El Efecto de Invernadero - Seminario Cambio Climático 2022-2023

Page 1

Seminario sobre el Cambio Climático

Jornada 1. El efecto de invernadero

1.- Introducción

2.- Investigaciones tempranas

3.- La luz, radiación electromagnética

4.- La absorción de la energía de la luz por los gases

5.- El efecto de invernadero

6.- Un aspecto inesperado del Efecto Invernadero

7.- Los GEI*: origen y evolución

8.- Aceleración de la concentración del CO2

9.- Lo esencial del Seminario

* GEI: Gases de efecto de invernadero

19-11-2022

ÍNDICE
www.universidadpopularc3c.es Curso 2022-2023

Curso 2022-2023

Seminario sobre el Cambio Climático

ÍNDICE

1.- El Efecto de Invernadero

2.- El Calentamiento Global

3.- Reducción de emisiones de GEI *

4.- La Energía y el cambio Climático (2 sesiones)

Hay un acuerdo muy amplio entre los científicos del Clima sobre la situación actual: Se ha perdido mucho tiempo y tenemos que acelerar el proceso para recuperarlo.

* GEI: Gases de efecto de invernadero

Hoy en día nos encontramos en una situación crítica para avanzar de forma decidida hacia una Sociedad y Economía descarbonizadas.

Para tomar medidas de calado tenemos que apoyarnos en razones de peso: estamos convencidos de que un seminario sobre el cambio climático nos permitirá aclarar muchas ideas.

P-1 Pág. 1/6

19-11-2022

www.universidadpopularc3c.es

P-1 Pág. 2/6

19-11-2022

¿Por qué este seminario ahora?

Tenemos que conseguir reducir a cero las emisiones de gases de efecto invernadero para el año 2050.

Hay carencias y deficiencias en la sociedad mundial, que obstaculizan la acción, y van a agravar las consecuencias, si no somos capaces de resolverlas a tiempo.

El cambio climático es más difícil de resolver que cualquier pandemia, pero, si no lo hacemos, los efectos negativos serán mucho peores que los de COVID 19.

Hace 7 años se firmo el acuerdo de París, pero su puesta en práctica es demasiado lenta.

Volver a Índice

P-1 Pág. 3/6 19-11-2022

Introducción Volver a Índice

19-11-2022

Introducción

Bibliografía

Documentación general

- Un texto de física que incluya secciones sobre Calor y Electromagnetismo

- Un texto de estadística general

Documentación específica

- Un texto de divulgación sobre climatología

- Se recomienda especialmente: “La Tierra herida”, de M. Delibes

- Se recomienda:

- http://www.realclimate.org

- https://ustednoselocree.com

- Cristina Monge, profesora Sociología Univ. Zaragoza. Artículos en Diario El País.

- https://www.aemet.es/es/portada Volver a Índice P-1 Pág. 4/6
Documentos de especial interés:
https://elpais.com/autor/cristina-monge-lasierra/

Una Ley de Cambio Climático y Transición Energética ha sido aprobada y va poniéndose en práctica de forma gradual.

El objetivo de esta Ley es ayudar a España a cumplir con sus compromisos internacionales en la lucha contra el cambio climático.

Alcanzar “antes de 2050” la “neutralidad climática”: España solo podrá emitir los gases de efecto invernadero que puedan ser absorbidos por los sumideros, por ejemplo, los bosques).

Para ello, la norma establece una serie de metas intermedias y de medidas concretas

P-1
Volver a Índice
Pág. 5/6 19-11-2022
Introducción

Efectos

Observados

Climáticos Biosfera

Geofísicos

Geoquímicos

La Ciencia se encarga de descubrir las causas de esos fenómenos

La Ciencia establece leyes fundamentales de la Naturaleza La Ciencia hace predicciones Se realizan experimentos /observaciones para contrastar las predicciones Resultados compatibles

Introducción
NO
Modificar hipótesis
19-11-2022 Volver a Índice
Ejemplo: Mendelejev Tabla Periódica P-1 Pág. 6/6

Investigaciones tempranas

Un enigma conocido desde la antigüedad: El enfriamiento extraordinario que sufre la Tierra por la noche, en los desiertos y otros lugares con muy poca humedad en el aire.

En un punto del Sahara se han registrado en un mismo día temperaturas de – 0,5 C y + 37,5 C

¿Qué pasa en los desiertos para que se produzca ese enfriamiento nocturno tan intenso?

P-2 Pág. 1/11 19-11-2022 Volver a Índice

P-2 Pág. 2/11

19-11-2022

En 1824 Fourier publica un estudio titulado "Observaciones generales sobre la temperatura del globo terrestre y los espacios planetarios“ .

El trabajo de Fourier se publicó unos 25 años después de que Herschell descubriera la radiación infrarroja

Explicación de Fourier: Una invisible cúpula de gas que rodea la Tierra y ayuda a mantenerla caldeada conservando el calor recibido del Sol, evitándose así el enfriamiento nocturno exagerado que se observa en los desiertos.

Volver a Índice

Jean Baptiste Joseph Fourier
Investigaciones tempranas

Investigaciones tempranas

En 1800, William Hershel descubre la radiación infrarroja. Para ello utilizó un dispositivo experimental según el esquema siguiente.

Termómetros

http://sac.csic.es/astrosec undaria/es/proyectos_con _unesco/dia_internacional _de_la_luz_2018/Herschel

Cas.pdf

Los 3 termómetros paralelos a las bandas de color indican una temperatura superior a la del termómetro perpendicular a las bandas, que mide la temperatura ambiente.

El termómetro de la derecha está situado fuera de las bandas de color, y muestra una temperatura correspondiente a una “luz” desconocida, que en aquella época se llamó “rayos caloríficos”. Ahora se denomina “radiación infrarroja”.

P-2 Pág. 3/11

19-11-2022

Volver a Índice

P-2 Pág. 4/11

19-11-2022

Investigaciones tempranas

En 1837 Siméon Poisson publicó “Teoría matemática del calor”. Esta teoría es muy similar a la que se ha desarrollado por los científicos mucho más tarde!

En 1862, el científico irlandés John Tyndall describió de forma intuitiva la clave de lo que acabaría llamándose “efecto de invernadero”.

Había descubierto que ciertos gases, entre ellos:

- Vapor de agua

- CO2

Son parcialmente opacos a lo que entonces se llamaba “rayos caloríficos”.

Relacionó, de forma cualitativa, el freno al enfriamiento de la atmósfera con la presencia de estos gases, que interfieren con la radiación que escapa de la Tierra y atraviesa la atmósfera.

Volver a Índice

John Tyndall

Investigaciones tempranas

Por analogía, este freno al enfriamiento nocturno se llama “efecto de invernadero”, puesto que produce un efecto similar al del vidrio de los invernaderos.

Ahora queda más claro lo que sucede en los desiertos: El “efecto de invernadero” está atenuado, como había intuido Fourier, debido a la escasez de vapor de agua en la atmósfera.

P-2 Pág. 5/11
Volver a Índice
19-11-2022

Investigaciones tempranas

Hacia mil ochocientos noventa y tantos, intervino en una de las controversias de la época acerca de las causas de la eras glaciales.

En su época ya se conocía de forma cuantitativa la absorción de energía radiante por algunos gases, y pensó que las glaciaciones se podrían haber producido por una reducción temporal de ese efecto.

P-2 Pág. 6/11

19-11-2022

Svante Arrhenius
Volver a Índice

19-11-2022

(Explicación Esquemática de Arrhenius)

Luz del Sol. “Cuerpo negro” radiando a 6500 C

Longitud de onda: 0,2-3,5 μm (UV-Visible)

Energía Absorbida: 25-30 %

Energía Transmitida: 70-75 %

Viaje de la radiación desde las capas altas de la atmósfera hasta el suelo

Atmósfera

Longitud de onda: 4-70 μm (Infrarrojo)

Energía Absorbida: 70-85 %

Energía Transmitida: 15-30 %

Viaje de la radiación desde el suelo hasta las capas altas de la atmósfera

Al llegar al suelo, la energía se transforma: calienta el suelo, y éste emite en onda más larga (infrarrojo)

El suelo radia como un

“Cuerpo negro” a 15 C

Volver a Índice

de Invernadero
Efecto
SOL
P-2 Pág. 7/11

Conclusiones principales de S. Arrhenius

El Efecto de Invernadero es un freno al flujo de la energía que emite la Tierra hacia el espacio, debido a la presencia de ciertos gases (GEI), principalmente CO2.

P-2 Pág. 8/11

19-11-2022

El freno al flujo de energía de la Tierra hacia el espacio supone un freno al enfriamiento natural que sufriría la Tierra si no hubiera GEI en la atmósfera.

Freno al enfriamiento = Calentamiento

Volver a Índice

Investigaciones tempranas

Investigaciones tempranas

Conclusiones principales de S. Arrhenius

Si se redujera a la mitad la cantidad de CO2 presente en la atmósfera, la temperatura media de la Tierra bajaría entre 4 y 5 C.

P-2 Pág. 9/11

19-11-2022

Pero también se puede deducir otra

consecuencia:

Si se doblara la cantidad de CO2 en la atmósfera, la temperatura media de la Tierra subiría entre 5 y 6 C.

Volver a Índice

¿Es el efecto de invernadero “beneficioso” o “perjudicial”?

Efecto de invernadero “Natural”

En ausencia de Gases de Efecto de Invernadero (GEI), la temperatura media de la Tierra sería unos 32 C inferior a la actual (aprox. -17 C)

A finales del siglo XIX se podía afirmar que el “Efecto Invernadero” existente en esa época era imprescindible para el sostenimiento de la vida en la Tierra.

P-2 Pág. 10/11

Pero en la actualidad nos preocupa el efecto invernadero intensificado, como veremos en el punto 5.

19-11-2022 Volver a Índice

Investigaciones tempranas

P-2 Pág. 11/11

19-11-2022

Artículo de noviembre 1990

Autor: Alto cargo técnico de una de las más importantes compañías petrolíferas mundiales.

El suelo radia como un “Cuerpo Negro” a 15 C

Volver a Índice

Efecto de Invernadero (Esquema
“sin atmósfera” - 1990

P-2 Pág. 11/11

19-11-2022

Artículo de noviembre 1990

Autor: Alto cargo técnico de una de las más importantes compañías petrolíferas mundiales.

El suelo radia como un “Cuerpo Negro” a 15 C

Volver a Índice

Efecto de Invernadero (Esquema
“sin atmósfera” - 1990

El esquema del P-2. Pág. 7 muestra el papel esencial que juega la energía que recibimos del Sol en el efecto Invernadero.

Newton realizó el experimento de dispersión de la luz “blanca” del Sol por un prisma.

Concluyó que la luz del Sol está compuesta por la mezcla de luces de distintos colores

Dispersión de la luz por un prisma (experimento de Newton)

P-3 Pág. 1/5

19-11-2022

Volver a Índice

Luz del Sol incidente
La luz, radiación electromagnética

La luz, radiación electromagnética

La luz como una onda

electromagnética:

- Una onda en un campo magnético en fase con una onda en un campo eléctrico.

- Ambos campos son perpendiculares entre si

Observar: La longitud de onda λ =

inverso de la frecuencia

P-3 Pág. 2/5

19-11-2022

En la actualidad se considera que la luz tiene una naturaleza dual:

- Es una onda electromagnética

- Es una emisión de partículas

elementales (fotones)

Energía de la luz: obedece a la ley de Planck (principio fundamental de la mecánica cuántica)

E = hv

E = Energía

h = constante de Planck

v= frecuencia de la luz

Volver a Índice

Espectro electromagnético completo P-3 Pág. 3/5
Visible Volver a Índice La luz, radiación electromagnética
logarítmica
Luz
Escala

Algunas cuestiones fundamentales

Ley de Stefan-Boltzmann

F = σT4

(Cuerpo Negro)

En esta fórmula tenemos:

F= Potencia emisiva hemisférica total (w/m2)

σ = 2π5kb 4/(15c2h3) 5,67x10-8wm-2K-4

kb= Constante de Boltzmann

c = Velocidad de la luz

h= Constante de Planck

Potencia emisiva superficial de una superficie real

E = ε.σT4

En esta fórmula tenemos:

E= Potencia emisiva superficial (w/m2)

ε = emisividad de la superficie w/m2

P-3 Pág. 4/5

19-11-2022

Volver a Índice

La
radiación electromagnética
luz,
P-3 Pág. 5/5 19-11-2022 Volver a Índice La luz, radiación electromagnética Espectro de radiancia de un cuerpo a varias temperaturas
-15 C 15 C 30 C 1000 C
Calculador de espectro de radiancia: https://www.spectralcalc.com/blackbody_calculator/blackbody.php

Absorción de la energía de la luz por los gases

La luz tiene dos formas de interacción con la materia:

a) Interacción en el nivel atómico: Captura de la energía por un electrón de un átomo y salto a un nivel de energía diferente.

b) Interacción en el nivel molecular: Una o varias moléculas completas capturan la energía de la luz y modifican su estado vibratorio

Por lo que respecta al “Efecto Invernadero”, la interacción de mayor relevancia se da en el nivel molecular.

La captura se realiza solo para unas energías correspondientes a unas frecuencias perfectamente definidas, pero no a otras - Resonancia

P-4 Pág. 1/5

19-11-2021

Volver a Índice

Absorción de la energía de la luz por los gases

La radiación incide sobre una molécula del gas, y es absorbida, originando vibraciones de los átomos constituyentes.

La energía absorbida se transforma en un aumento de la temperatura del gas, que emite una radiación con la misma frecuencia que la radiación incidente.

Cada uno de los modos de vibración tiene una frecuencia

Absorción y emisión de radiación infrarroja (ejemplo para el H2O)

Volver a Índice

propia
P-4 Pág. 2/5 19-11-2022

Efecto de Invernadero

(Explicación Esquemática de Arrhenius) SOL

Luz del Sol. “Cuerpo negro” radiando a 6500 C (1,22x1017 joules/seg)

Longitud de onda: 0,2-3,5 μm (UV-Visible)

Energía Absorbida: 25-30 %

Energía Transmitida: 70-75 %

Viaje de la radiación desde las capas altas de la atmósfera hasta el suelo

Atmósfera

Longitud de onda: 4-70 μm (Infrarrojo)

Energía Absorbida: 70-85 %

Energía Transmitida: 15-30 %

Viaje de la radiación desde el suelo hasta las capas altas de la atmósfera

Al llegar al suelo, la energía se transforma: calienta el suelo, y éste emite en onda más larga (infrarrojo)

El suelo radia como un

“Cuerpo negro” a 15 C

Volver a Índice

Absorción de la energía de la luz por los gases

Longitud de onda en μm. 1 μm = 0,001 mm

La radiación procedente del Sol llega a las capas superiores de la atmósfera con el espectro de un “cuerpo negro” ideal que emitiera a unos 5525 K.

Los gases atmosféricos transmiten aprox. El 70-75 % de la energía

La Tierra emite radiación como un cuerpo negro a 210-310 K. Los gases atmosféricos transmiten aprox. El 15-30 % de la energía.

P-4 Pág. 4/5

19-11-2022

https://es.wikipedia.org/wiki/Banda_de_absorci%C3%B3n

Volver a Índice

P-4 Pág. 5/5 19-11-2022 Volver a Índice Absorción de la energía de la luz por los gases
de absorción de los gases atmosféricos
Bandas
https://es.wikipedia.org/wiki/Banda_de_absorci%C3%B3n

Vamos a explicar el efecto de invernadero de forma un poco más rigurosa que la que hemos aplicado en la página 7 del punto 2. No obstante, se recomienda leer el artículo siguiente, escrito por Raymond T. Pierrehumbert, (Louis Block Professor in Geophysical Sciences, Universidad de Chicago)

https://geosci.uchicago.edu

/~rtp1/papers/PhysTodayRT

2011.pdf

P-5 Pág. 1/8

19-11-2022

Volver a Índice
El efecto de invernadero

P-5 Pág. 2/8

19-11-2022

El suelo emite con el espectro de un cuerpo negro ideal, caracterizado por la función B de Planck

La energía escapará hacia el espacio desde la capa 3, que es la capa superior de la atmósfera.

El efecto de invernadero no calienta la atmósfera, sino que “frena” la emisión de la radiación infrarroja que emite la Tierra.

El efecto final es aun aumento de temperatura de la atmósfera +Tierra.

Volver a Índice

El efecto de invernadero

Capas y constituyentes atmosféricos

Aerosoles estratosféricos

Gases traza

Gases moleculares (dispersión de Rayleigh)

Aerosoles troposféricos

Superficie del terreno

El efecto de invernadero
Altitud sobre el nivel del mar P-5 Pág. 3/8 19-11-2022 Volver a Índice
de la temperatura de la atmósfera
la altitud El efecto de invernadero P-5 Pág. 4/8 19-11-2022 Volver a Índice
Variación
con

Atm aprox. 101.000 Pa

kPa aprox. 0,01 Atm

El efecto de invernadero P-5
19-11-2022 Volver a Índice
Pág. 5/8
1
1

El CO2 o el vapor de agua. ¿Cuál de ellos origina la mayor parte del calentamiento?

- El vapor de agua se produce por evaporación del agua líquida. Este proceso depende la temperatura. Por ello, un aumento de CO2 produce un aumento de vapor de agua.

- El CO2 se produce por las emisiones de GEI (actividades humanas). Éstas no dependen de la temperatura. Por ello, un aumento de vapor de agua no produce un aumento de CO2

- El CO2 es un “driver” (impulsor) y controla el clima

- La cantidad de vapor de agua depende en cierto grado de la cantidad de CO2

El efecto de invernadero
P-5 Pág. 6/8 19-11-2022 Volver a Índice
Fuente: NASA, a través de AEMET – Kiehl y Trenberth 1997 P-6 Pág. 7/8 19-11-2022 Volver a Índice Balance energético Sol-Tierra
Efecto de invernadero
Magnitud Energética del

Magnitud Energética del Efecto de invernadero

La energía retenida por la atmósfera por los GEI’s es aprox.

4,34x1015 Mwh en 300 años (datos de 2015)

Los GEI emitidos durante un año van a permanecer reteniendo energía durante 300 años

Acceso a la hoja de cálculo, pulsar aquí

P-6 Pág. 8/8

19-11-2022

La energía primaria consumida globalmente en un año es aprox.

1,55x1011 Mwh (2012)

Es el 0,004 % de la energía retenida en la atmósfera por efecto de los GEI’s

Volver a Índice

Un aspecto inesperado del efecto de invernadero

En 1938, Guy Callendar estudió las mediciones de temperatura del siglo XIX y posteriores, y vio un apreciable aumento.

Comprobó un aumento apreciable del CO2 durante el mismo período; descubrió que los niveles habían aumentado aproximadamente un 10% en 100 años.

Escribió y presento el Estudio: "The Artificial Production of Carbon Dioxide and its Influence on Temperature".

Este aumento de la temperatura se denominó

“Efecto Callendar”

P-6 Pág. 1/2

19-11-2022

Volver a Índice

Globo estratosférico, 1958

En 1956 Gilbert Plass confirmó experimentalmente que un aumento de CO2 en la atmósfera originaba un aumento de la absorción de la radiación infrarroja. Estimó que la industrialización, con el aumento del consumo de energía, incrementaría la temperatura de la Tierra en algo más de 1 ºC por siglo.

P-6 Pág. 2/2

19-11-2022

Medición espesor del hielo por un submarino en el polo Norte en 1958

Los datos se mantienen en secreto hasta los años 90, y se descubre una importante reducción del espesor del hielo polar (desde 1953 el 40 % de reducción).

Volver a Índice

El efecto de invernadero

Gases de Efecto de Invernadero Efecto Invernadero Natural

Hace miles de millones de años, la atmósfera de la Tierra contenía proporciones de CO2 mucho más elevadas que las actuales. Procedía de fuentes y procesos naturales (no existían aún los seres humanos).

Desde 1850, se ha producido un incremento de las emisiones de GEI a la atmósfera, por procesos artificiales, no naturales.

Fuente: Revista “Investigación y Ciencia” Volver a Índice

La atmósfera
de la Tierra Primitiva
Pág. 1/10
P-7
19-11-2022

Gases

Valor en 2021: 416,45 ppm

La cantidad de CO2 en la atmósfera es la más alta de los últimos 800.000 años

El calentamiento global está en marcha y se está acelerando

Miles de años antes del presente

Los efectos del calentamiento global son ya innegables

Pág. 2/10
a Índice
P-7
19-11-2022 Volver
Efecto de Invernadero Natural
de Efecto de Invernadero
. Volver a Índice Gases de efecto invernadero Efecto Invernadero Natural P-7 Pág. 3/10 19-11-2022 Fuente: Global Carbon Project: https://ourworldindata.org/co2-emissions Valor en 2021 416,45 ppm Para poner en este gráfico los datos de la pantalla anterior tendría que tener 280 metros Efecto Invernadero Intensificado

Origen principal del CO2

La fuente más importante de emisiones CO2 es el consumo de energía producida por el uso de combustibles fósiles

Almacén principal del CO2

Gases de Efecto de Invernadero

Sumideros

Lugares en los que queda almacenado, “aislado” de la atmósfera

P-7 Pág. 4/10

19-11-2022

Volver a Índice

Gases de Efecto de Invernadero

Cambios en la radiación solar Cambios en el albedo por uso de las tierras

Gases y aerosoles de corta vida

Gases GEI bien mezclados Aerosoles y precursores (Polvo minerales, SO4, NH3, Carbono orgánico, negro de humo

Ajustes en las nubes debidos a los aerosoles Polvo minerales, Sulfatos, Nitratos, carbono orgánico, negro de humo

(*) NMVOC: compuestos orgánicos volátiles (no metano)

Nat . Antropogénicos
NOx NMVOC (*) CO N 2 O Halocarburos CH 4 CO 2 Compuestos emitidos
Nitrato, CH 4 , O 3 CO 2 , CH 4 , O 3 CO 2 , CH 4 , O 3 NO 2 O 3 , CFC’s , HCFC’s CO 2 , H 2 O*, O 3 , CH 4 CO 2 Forzamientos atmosféricos resultantes P-7 Pág.
19-11-2022 Volver a Índice
5/10

Emisiones globales anuales de CO2

1 billion = 1000 millones

Observar el aumento sufrido desde 2001 hasta 2019.

Emisiones de CO2 originadas por consumo de combustibles fósiles para producir energía y cemento. No se incluyen las del cambio uso de la tierra.

https://ourworldindata.org/co2-emissions

Fuente: Global Carbon Project Volver a Índice P-7 Pág. 6/10 19-11-2022
Gases de Efecto de Invernadero

Balance de forzamientos radiativos

- Informe IPCC de 2013

El CO2 produce el forzamiento máximo, pero los efectos del resto de GEI no son despreciables

NMVOC: compuestos orgánicos volátiles (no metano)

P-7 Pág. 7/10

19-11-2022

Ver el efecto de enfriamiento de los aerosoles, las nubes y el cambio de uso de las tierras.

Volver a Índice

Evolución del forzamiento radiativo de los GEI más importantes

P-7 Pág. 8/10

19-11-2022

https://www.epa.gov/climate-indicators/climatechange-indicators-climate-forcing

Forzamiento Radiativo es la energía total retenida en la atmósfera por una sustancia durante un período de tiempo determinado

El valor absoluto en 1850 era aprox. 0,17 w/m2

Forzamiento radiativo de la atmósfera debido a los GEI de larga duración, respecto de 1750, Fuente: EPA

Volver a Índice

Fuente: Union of Concerned Sciencists

CO2 10 % Reside en la atmósfera en 10.000 años
Tiempo de residencia de GEI en la atmósfera CO2 20 % Reside en la atmósfera 1.000 años CO2 40 % Reside en la atmósfera 100 años CH4 100 % Reside en la atmósfera 12 años P-7 Pág. 9/10 19-11-2022 Volver a Índice
Gases de Efecto de Invernadero

Concentración de CO2 en la atmósfera (ppm)

La concentración de CO2 en la atmósfera, medida en ppm (μmol / mol), tiene una fuerte dependencia de la época del año y de la latitud.

Esto se debe a:

1.- En el Hemisferio Norte se concentran principalmente las tierras emergidas, en las que se realiza el proceso de fotosíntesis de las plantas.

2.- La vegetación viva consume CO2 en primavera-verano. La vegetación muerta emite CO2 en otoño-invierno.

Este proceso se produce de forma alternada a lo largo del año,

P-7 Pág. 10/10 19-11-2022

Fuente: ESRL-NOAA

https://www.esrl.noaa.gov/gmd/ccgg/trends/history.html

Volver a Índice

Efecto de Invernadero
Gases de

P-8 Pág. 1/5 19-11-2022

La concentración de CO2 es el resultado de la acumulación de las diferencias entre emisiones y absorciones

416,45 ppm = 0,041% Concentr. CO2 en la atmósfera en 2021 Volver a Índice

Aceleración de la Concentración de CO2 (ppm)

Se ha calculado una curva de regresión con los valores desde 1948 hasta 2005.

(1) Proponemos una función tipo y= ax2+bx+c

(2) Se define otra función S como la suma de los cuadrados de las distancias de los puntos observados a los de la función (1) : S = Σ(dn)2

Tenemos que encontrar valores de a, b y c que hagan S mínima

S será mínima si las tres derivadas dS/da, dS/db y dS/dc son cero

dn= Distancia de un punto a la curva (1)

El sistema de 3 ecuaciones lineales

se resuelve con:

a = 0,0137 b = -0,47 y c = 0,0041

El valor de x para 1948 vale 32,98 y se suma 1 para cada año sucesivo.

Activar
P-8 Pág. 2/5 19-11-2022 Volver a Índice
Hoja Cálculo
Aceleración de la Concentración de CO2 (ppm)

Curva de regresión: y=0,0137x2-0,47x+0,0041

En la fórmula el valor de x para 1948 vale 32,98 y se suma 1 para cada año sucesivo. P-8

19-11-2022 Volver a Índice
Pág. 3/5
Aceleración de la Concentración de CO2 (ppm)

Activar Hoja Cálculo

Se prolonga la curva de ajuste hasta 2020 (Nota: los datos para el cálculo van de 1948 a 2005)

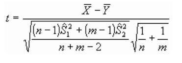
¿Son diferentes las medias de (dn)2 (19482005) y (dn)2 (2006-2020)?

La prueba de hipótesis sobre ambas medias permite afirmar que la diferencia no es significativa para un nivel de confianza del 95 %.

tcalculada= 0,56

tStudent71GL95% =0,68

P-8 Pág. 4/5

19-11-2022

Volver a Índice

Aceleración de la Concentración de CO2 (ppm)

19-11-2022

Velocidad de crecimiento de la concentración de CO2 en la atmósfera (ppm)

El objetivo es parar el crecimiento de la velocidad de las emisiones. Cuando se consiga habrá un punto de inflexión = línea de regresión horizontal

La velocidad de aumento de la concentración de CO2 sigue

creciendo:

- En 1948: 0,38 ppm/año

- En 2020: 2,45 ppm/año

P-8 Pág. 5/7
Volver a Índice

1.- La atmósfera contiene unos gases que retienen durante un tiempo la radiación de la Tierra hacia el exterior. Se llaman gases de efecto invernadero (GEI)

1.- Sin los GEI, la temperatura media de la Tierra sería unos -15 C.

Los GEI han sido beneficiosos hasta hace unos 150 años.

2.- Las actividades humanas generan GEI que provocan el incremento de su proporción en la atmósfera.

2.- La proporción de los GEI en la atmósfera está aumentando con una velocidad cada vez mayor.

3.- Hoy en día, la proporción de los GEI en la atmósfera es la más alta observada desde hace unos 2 millones de años.

3.- Una parte significativa de los GEI permanece en la atmósfera 100 años, pero una parte similar permanece entre 1000 y 10000 años

4.- Nos hallamos en una Emergencia Climática.

5.- No hay vacuna para la Emergencia Climática

P-9 Pág. 1/1

19-11-2022

Lo esencial del Seminario
Volver a Índice
Volver a Índice
¿Y si todo no es más que un gran engaño y creamos un mundo mejor para nada?

Turn static files into dynamic content formats.

Create a flipbook
Issuu converts static files into: digital portfolios, online yearbooks, online catalogs, digital photo albums and more. Sign up and create your flipbook.
El Efecto de Invernadero - Seminario Cambio Climático 2022-2023 by universidadpopularc3c - Issuu