Tutto_Misure n.3 - 2022

Page 43

ANNO XXIV N. 03 2 0 2 2 LA RIVISTA DELLE MISURE E DEL CONTROLLO QUALITÀ - PERIODICO FONDATO DA SERGIO SARTORI ORGANO UFFICIALE DELL’ASSOCIAZIONE “GMEE” E DI “METROLOGIA & QUALITÀ” TUTTO _ MISURETUTTO _ MISURE WWW.TUTTOMISURE.IT N° 3Anno 24Settembre 2022 Le Misure strumento per la ripresa EDITORIALE Panta rei I TEMI Droni e image processing in agricoltura Degrado delle prestazioni di generatori fotovoltaici TESTING & DINTORNI Il prodotto non elettrico per atmosfere esplosive: “ATEXMeccanico” TECNOLOGIE IN CAMPO Prove “imprescindibili” per crescere nel settore del materiale elettrico Misure centrali nella riproduzione di grandi opere d’arte Tarature accreditate: valore aggiunto per aziende e laboratorI Simulazione multi-fisica: l’uovo di Colombo Valore dell’Avvocato 4.0 nei contenziosi in ambito metrologico ALTRI ARGOMENTI Intervista a Vito Fernicola (INRiM) La sicurezza funzionale Verso una norma del Tecnico Metrologo La misura del gas La storia del GMEE Misure in astrofisica CON IL SOSTEGNO DI
Precisi per natura OLTRE 70 ANNI 12019 949SERIE VX3000 MISURA OTTICA FLASH V EIRES 3XV A F 000 TREOL 1949 Via Alamanni, 14 - 20141 Milano - Italia Tel. 02 5392212 | Mail: vendite@rupac.comWWW.RUPAC.COM MISURAZIONE ISTANTANEA PRECISIONE ESTREMAPREC E I ISTANTA CI CISIONE ES ANEA STREMA RUPAC C Via Al el. 02T amanni, lano - Italia @rupac.com

LABORATORI

LABORATORIO PERMANENTE SAMARATE

Centro di Taratura LAT n. 019

Taratura e riparazione di strumenti elettrici ed elettronici Taratura strumenti meccanici, dimensionali, forza, temperatura, pressione, massa.

LABORATORIO PERMANENTE ROMA

Taratura e riparazione di strumenti elettrici ed elettronici. Sviluppo Sistemi di Test. Taratura strumenti meccanici, dimensionali, forza, temperatura, pressione, massa.

LABORATORIO MOBILE

Taratura On Site di strumenti di misura elettrici, elettronici, meccanici, dimensionali, temperatura, forza, massa, ecc.

Fax: +39 0331 227944

ACCREDITATO UNI CEI EN ISO/IEC 17025:2018 - UNI EN ISO 9001:2015 - NCAGE A0632 Sede principale: Via Roma 103 - 21017 Samarate (VA) Unità locali: Via G.B. Bardanzellu, 46 - 00155 Roma Tel: +39 0331 227911 -
www.aviatronik.it - aviatronik@aviatronik.it TARATURA STRUMENTI DI MISURA Flessibilità, qualità del servizio offerto, tempi di lavorazione ridotti, messa in punto dello strumento compresa nel prezzo sono alcuni dei nostri servizi DAL 2010 TARATURE ACCREDITATE STRUMENTI DI VERIFICA PER CRONOTACHIGRAFI
SISTEMI AUTOMATICI DI TEST E MISURA Sviluppo di sistemi automatici di test e misura e civili. Attività di System Integration. CONSULTA LE TABELLE DI ACCREDITAMENTO SUL NOSTRO SITO www.aviatronik.it VENDITA STRUMENTI DI MISURA Rappresentanza e distribuzione di importanti costruttori internazionali di strumenti di test e misura. A Camere anecoiche Camere climatiche Mod Sistemi di alimentazione AC e DC per applicazioni ATE e da laboratorio. Analizzatori di Spettro e di Segnale Analizzatori di Rete Vettoriali Strumenti in fibra ottica (OTDR, Splicer, ecc.) Antenne, adattatori e componenti in guida d’onda SERVICE CENTER AUTORIZZATO Centro di assistenza autorizzato per taratura e riparazione delle principali case rappresentate LAT N° 019 Instruments Precision Modular InstrumentationPr umentationecision Instr RA ABORA aratura eT aratura sT temperatu ATTORIOPERMANENTESAMA TaraturaT LA ura, T ATERAT RA ed elettronici i, RA ABORA aratura eT aratura sT temperatu RA ABORA aratura OT ATTORIOPERMANENTEROM Test.Sistemi di ura, ATTORIOMOBILE ci, A ed elettronici. i, a, massa, ecc. ACCREDITAT TA principa el: 0T 22791 www.avi . ia (Vale: V iaV 1 atronik.it aviatronik@aviatron A)rate 55 Roma 7944 nik.it L TLA

GLI ESPERTI DI T _ M

Via L Alamanni, 14 20141 Milano

Tel. 02 5392212 Fax 02 5695321

E mail: vendite@rupac.com Web: www.rupac.com

RUPAC Srl è presente sul mercato degli strumenti di misu ra da oltre 70 anni, durante i quali ha accumulato espe r i e n z e e c o n o s c e n z e s p e c i f i c h e i n m a t e r i a , a r r i v a n d o a proporre ai propri Clienti una gamma di strumenti molto articolata, completa e di ottima qualità Dal semplice calibro alle Macchine di Misura Multisensore CNC, passando attraverso una serie di strumenti per il con trollo dimensionale, meccanico e ottico, per il rilevamen to di rugosità, durezze, strati e spessori.

La struttura operativa della nostra Società garantisce: un tempestivo servizio di Assistenza pre-vendita, con l’ausilio di due Sale Dimostrative complete di tutti gli stru menti della gamma proposta e con la presenza di Tecnici specializzati in grado di effettuare prove con gli strumenti anche presso la Sede dei Clienti;

u n c o m p l e t o s e r v i z i o d i A s s i s t e n z a p o s t - v e n d i t a , s i a presso il nostro laboratorio sia presso la Sede del Cliente, su tutti gli strumenti della gamma, dai più semplici ai più complessi

P e r u l t e r i o r i i n f o r m a z i o n i s u l l a n o s t r a S o c i e t à e s u l l a nostra gamma di prodotti, Vi invitiamo a visitare il nostro sito www.rupac.com.

Alcune novità

VIDEOMICROSCOPIO DI MISURA E VISIONE “SNIPER”

Soluzione ideale per le esigenze di controllo dimensiona le 2D e visivo di particolari di piccole e medie dimensioni, con prestazioni di alto livello, non influenzate dalla sog gettività dell’operatore grazie all’analisi d’immagine

P e r l a p r i m a v o l t a s u l m e r c a t o , u n o s t r u m e n t o o t t i c o d i misura che coniuga in modo ottimale prestazioni di alto livello, dimensioni ridotte e prezzo sorprendentemente “fuori dagli schemi”.

PROFILOMETRO “SJ5760”

Disponibile in 2 versioni con differenti classi di accuratez za il profilometro e costituito da un grande piano in gra nito su cui si trova installata la testa motorizzata di misu ra L’operatore può settare anche la velocita di esplorazio ne, pr es s ione di m is ur a e dir ez ione v er t ic ale a s alir e o a scendere del tastatore.

L’ampia corsa di rilevazione di 200 mm sull’asse X e di 50 mm (Z1) del tastatore è usufruibile sull’intera corsa di spo stamento motorizzato di 450 mm dell’asse Z

Il profilometro è inoltre dotato di sistemi anticollisione per la sicurezza di misura.

Lo strumento viene fornito completo di PC ultima genera zione, sistema operativo Windows, tastiera, mouse, joy stick di controllo, master di taratura, tastatore standard H30 mm.

Prezzo di assoluto interesse.

T M  4 TUTTO MISURETUTTO MISURE AFFIDABILITÀ D TOR AL metrologi ogia Forense XIX Congresso In trologia La riproducibilità de is FMEA a sinergia rologica in Sanità Le responsabilità da contatto sociale TUTTO MISURETUTTO MISURE FFIDABILITÀ D TORIA In ricordo di due amici EMA delle grandi struttu G pi ob di controllo A R ARGOM N Gestione dell’efficienza energetica

MISURE

TUTTO MISURE IN QUESTO NUMEROTUTTO

Tecnologie innovative per l’agricoltura di precisione

Innovative technologies for precision agriculture

F. Adamo, F. Attivissimo, A. Di Nisio E.Caronia

Il prodotto non elettrco per atmosfere esplosive: “ATEXMeccanico”

The non-electrical product for explosive atmospheres: “Mechanical ATEX”

M. Martina

Ricerca e innovazione nella copia del David per l’Expo di Dubai 2020

Research and innovation in the copy of Michelangelo’s David for Dubai Expo 2020

A cura di M. Mortarino

Misure sempre più precise

More and more precise measurements

T. Maccacaro

Editoriale:

(Alessandro Ferrero)

Comunicazioni, Ricerca e Sviluppo, dagli Enti e dalle Imprese

Notizie nel campo delle misure e della strumentazione 15

Il tema: Misure per l’agricoltura Tecnologie innovative per l’agricoltura di precisione (F. Adamo, F. Attivissimo, A. Di Nisio, E. Caronia) 17

Il tema: Efficienza pannelli fotovoltaici Degrado delle prestazioni di generatori fotovoltaici (A. Carullo, F. Spertino, A. Vallan) 25

La pagina di ACCREDIA

Notizie dall’Ente di Accreditamento

(a cura di R. Mugno, S. Tramontin, F. Nizzero) 35 “Misurare” la qualità di beni e servizi tra metrologia e accreditamento Intervista a Vito Fernicola, INRiM (a cura di F. Nizzero) 42

La pagina di IMEKO

Aggiornamenti sulle attivita IMEKO (a cura di Daniele Fontanelli) 47

La Pagina dell’IMS

Notizie dall’IEEE Instrumentation and Measurement Society

(M. Parvis, S. Rapuano) 49

Testing & dintorni

Il prodotto non elettrico per atmosfere esplosive: “ATEXMeccanico” (articolo di Mirko Martina)

(a cura di Massimo Mortarino) 53

Misure e fidatezza

La sicurezza funzionale: sistemi high e low demand mode (articolo di C. Bruno, M. Crippa, L. Cristaldi, M. Tacchini)

(a cura di L. Cristaldi, M. Catelani, M. Lazzaroni e L. Ciani) 63

Tecnologie in campo

Quando Misure e Test fanno la differenza: casi applicativi e soluzioni di successo(a cura di Massimo Mortarino) 69

Metrologia generale

Verso una norma del Tecnico Metrologo (articolo di Luca Mari e Roberto Buccianti)

(a cura di Luca Mari) 97

I Seriali di T_M: Misura del software Metrologia e Contratti–Parte 25 (a cura di Luigi Buglione) 101

Metrologia legale e forense

Il gas e la misura.... colma

(a cura di Veronica Scotti) 105

Spazio Associazioni Universitarie di Misuristi

Dalle Associazioni Universitarie di Misuristi

(a cura di A. Ferrero, E. Sardini e A. Cigada) 107

Metrologia… per tutti!

L’energia nucleare: può essere la soluzione alla crisi energetica?

(a cura diMichele Lanna) 109

Manifestazioni, Eventi e Formazione 2022: eventi in breve 113

Commenti alle norme: la 17025

Presentazione dei risultati – Dodicesimaparte: Contenuto del documento finale (a cura di Nicola Dell’Arena) 115

Storia e curiosità

La storia del Gruppo Misure Elettriche ed Elettroniche (GMEE)

Settima parte: Gli anni dei segnali deboli (Mario Savino) 117 Misure sempre più precise (Tommaso Maccacaro) 125 Abbiamo letto per voi 129 News 28-48-66-70-74-78-80-82-86-90-9296-100-102-104-108-112-114-116-126-128

ANNO XXIV N.03 2022
Π ντa Ρ ι
7
_
17
69
12 T_M N. 3/22  5
53 5

menti elettrici ed elettronici e di strumenti mecca nici (grandezze dimensionali, forza, temperatura, pressione, massa)

G r a z i e a l l a t e c n o l o g i a d i c u i d i s p o n e e a l k n o w how acquisito, Aviatronik si configura come part n e r i d e a l e p e r l e i m p r e s e e o r g a n i z z a z i o n i c h e d e s i d e r a n o a s s i c u r a r s i i l m a s s i m o d e l l a q u a l i t à , anche in outsourcing.

m o i n grado di effettuare tarature presso i nostri labora tori e on site, grazie alla nostra unità mobile Nello specifico ci occupiamo della taratura di stru

S i

Consulta le tabelle di accreditamento sul nostro sito: www.aviatronik.it.

T M  6 TUTTO MISURETUTTO MISURE AFFIDABILITÀ D TOR AL metrologi ogia Forense XIX Congresso In trologia La riproducibilità de is FMEA a sinergia rologica in Sanità Le responsabilità da contatto sociale TUTTO MISURETUTTO MISURE FFIDABILITÀ D TORIA In ricordo di due amici EMA delle grandi struttu G pi ob di controllo A R ARGOM N Gestione dell’efficienza energetica GLI ESPERTI DI T M Sede principale: Via Roma 103 21017 Samarate (VA) Unità locale: Via G B Bardanzellu 46 00155 Roma Tel. 0331/227911 Fax 0331/227944 E mail: aviatronik@aviatronik.it Web: www.aviatronik.it Persona da contattare: Massimo Rebellato Da oltre 40 anni Aviatronik si occupa della taratu ra e manutenzioni di strumenti e apparecchiature n e l s e t t o r e a v i o n i c o C e n t r o S I T n 0 1 9 d a l 1 9 8 2 , divenuto poi LAT n. 019 nel 2011, il nostro labora t o r i o e ff e t t u a c i r c a 1 3 0 0 0 t a r a t u r e l ’ a n n o A ff i d a r s i a d Av i a t r o n i k s i g n i f i c a p o t e r c o n t a r e s u i laboratori più avanzati d’Europa, sia per caratteri s t i c h e t e c n i c h e s i a p e r n u m e r o e v a r i e t à d e l l e g r a n d e z z e m e t r o l o g i c h e d i s p o n i b i l i
a

a

Π ντa Ρ ι

Ever ything evolves

Cari Lettori, mai come in questo periodo la frase attribuita a Eraclito

p a n t a r e i , t u t t o e v o l v e a p p a r e d i s t r e t t a a t t u a l i t à . Ma non preoccupatevi: non int endo r if il ar vi l ’ ennes im a tirata geopolitica o l’ennesi mo ricordo di Queen Eliza bet h. Com e pens o abbiat e ormai compreso, mi limito a scrivere di ciò che ritengo di conoscere e lascio ad altri più competenti di me scrivere di ciò che non mi compete

I c a m b i a m e n t i a c u i m i r i f e r i s c o s o n o q u e l l i c h e riguardano Tutto Misure, la nostra rivista Ce ne sono stati altri in passato e penso sia utile ripercor rerne brevemente la storia, per vedere come essi abbiano sempre avuto l’obiettivo di adeguare la rivista al mutare dei tempi per mantenere alto l’in teresse dei lettori

Il primo numero di Tutto Misure esce nel settembre 1999, a pochi mesi dal successo della prima edi zione del Congresso Metrologia & Qualità, nato d a u n a d e l l e t a n t e m e r i t o r i e i n t u i z i o n i d i S e r g i o Sar tori che, in questa occasione, aveva capito l’im por tanza, per l’Italia, di avere un evento simile al Congrès de Métrologie francese, in cui si potesse r o i n c o n t r a r e e t r a r n e m u t u o b e n e f i c i o u n a f i e r a dedicata ai produttori e utilizzatori di strumenta z i o n e e s e r v i z i e u n c o n g r e s s o s c i e n t i f i c o n e l campo della Qualità e della Metrologia. In quell’occasione ci si accorse che mancava una r i v i s t a s p e c i f i c a t a m e n t e o r i e n t a t a a l l e e s i g e n z e delle PMI, tantissime realtà aziendali assetate di cultura metrologica e, soprattutto, di comprendere quali applicazioni metrologiche potessero por tare a un aumento della competitività, indispensabile per poter sopravvivere e progredire Da questa esi genza nacque Tutto Misure, che si è sempre posta l’obiettivo di essere ponte tra chi crea e diffonde cultura metrologica e chi ha la necessità di appli c a r l a a l l a s o l u z i o n e d e i p r o p r i p r o b l e m i ; q u e s t a visione ha da subito trovato attiva sponda nei due gruppi accademici quello delle Misure Elettriche ed Elettroniche e quello delle Misure Meccaniche e Ter miche che hanno nelle misure la loro radice culturale

Nel 1999 una rivista non poteva che essere car ta cea, stampata e diffusa con i tradizionali mezzi di stampa e di distribuzione La proprietà, che dove va farsi carico dei non indifferenti oneri di stampa e diffusione, non poteva che essere industriale e fu,

infatti, la casa editrice Augusta, che già pubblicava diverse riviste nell’ambito della Qualità e delle PMI e aveva i mezzi di diffusione per arrivare efficace mente anche a quello specifico target che la nuova rivista si prefiggeva. In Augusta lavorava, ai tempi, Mas s im o Mor t ar ino che i nos t r i l et t or i, s opr at t ut t o industriali, ben conoscono come deus ex machina di Tutto Misure.

E D I T O R I A L E s A l e s s N e l 2 0 0 7 a r r i v a i l p r i m o c a m b i a m e n t o . A u g u s t a chiude e la rivista rischia anch’essa di chiudere. Per for tuna, pochi anni prima (nel 2004, per l’esattez za), il GMEE (il Gruppo di Misure Elettriche ed Elet troniche) si trasforma, con la dismissione dei gruppi informali del CNR, da uno di questi gruppi in Asso c i a z i o n e C u l t u r a l e s e n z a s c o p o d i l u c r o , c o n u n a propria personalità giuridica e, soprattutto, con un proprio patrimonio Su suggerimento, ancora una volta, di Sergio Sar tori, che non vuole veder morire la propria creatura, il GMEE decide d’investire una consistente par te del proprio patrimonio nell’acqui sto della proprietà della testata È l’ultimo atto della m i a p r e s i d e n z a d e l G M E E e , l a s c i a t e m e l o d i r e , forse la cosa meglio riuscita di quel triennio di presi denza Le riviste sono però, a quell’epoca, ancora car tacee e l a n e o n a t a A s s o c i a z i o n e G M E E n o n h a a n c o r a introiti sufficientemente cer ti e sicuri per garantire la pubblicazione della rivista appena acquisita. Stipu l a q u i n d i u n c o n t r a t t o d i e d i z i o n e c o n l a a p p e n a cos t it uit a A & T s as , in cui viene as s unt o Mor t ar ino c h e a s s i c u r a q u i n d i , a s s i e m e a l D i r e t t o r e S a r t o r i , continuità al lavoro fino a quel momento svolto. Da quel momento, il GMEE s’impegna in modo cre scente nella gestione della rivista, coinvolgendovi anche il GMMT e sposandone appieno la linea edi toriale; al punto che, quando Sergio Sar tori lascia la direzione, poco prima di lasciarci prematuramente n e l 2 0 1 2 , l a d i r e z i o n e p a s s a s e n z a s o l u z i o n e d i continuità a Franco Docchio Franco si accorge che stanno maturando i tempi per i n i z i a r e a s p e r i m e n t a r e q u e l l a c h e a d e s s o v i e n e p o m p o s a m e n t e c h i a m a t a d i g i t a l i z z a z i o n e e , i n realtà, consiste sostanzialmente nel corretto ed effi ciente impiego delle tecnologie disponibili Accanto alla versione car tacea della rivista viene pubblicata anche quella telematica, in grado di sfruttare tutti i vantaggi offer ti dalla tecnologia digitale in termini di multimedialità e facilità di diffusione E arriviamo così al 2020, quando arriva il Covid 19 a mettere in discussione quanto fino ad allora segui to dimostrando, in modo estremamente eloquente, l ’ im por t anza del l e nuove t ecnol og ie di com unica z i o n e n e l l ’ a l l e v i a r e l e r e s t r i z i o n i n e i m o v i m e n t i

n d r o F e r r e r o
T M N. 3/22  7

Innovazione è

comsol.com/feature/multiphysics-innovation mo disposi Simula ndo procetivi progettre essi i, Multip COcon fe /fecomsol.com/f hysics MSOL hysics-inn/multiphysie/mure/ature vationova simulazio

Metti alla prova diverse iterazioni di progetto prima ancora della prototipazione.

rogeti pi dzionitera iva drova plli aMett

Innovazione è

Innovazion

ancora della prototi rimao pt erse e

Analizza prototipi virtuali e realizza il prototipo fisico solo per il progetto migliore.

Innovazione è simulazione

Innovazion waretof ati ni

Simulare progetti, dispositivi e processi del mondo reale con COMSOL Multiphysics® pa zione. lio mettroer i o firototipl pa izrealiz viprototipizaAnaliz p l p g g iore. oloo ssic etualir n se a uzia, graccurati risultsu ecisioe due ta lFond

Fonda le tue decisioni progettuali su risultati accurati, grazie a un software che ti permette di studiare un numero illimitato di effetti fisici con un solo modello.

ne e mouncon atllimito iumern nu i se dermetti pe tch dello. ffettii eo d tudiare

imposte dalla pandemia e nel rendere possibili attività che, condotte in modo più tradizionale, sarebbero non più econo micamente sostenibili

Stampare la rivista è una di queste attività I costi, sia quelli s o s t e n u t i d a l l ’ e d i t o r e s i a q u e l l i s o s t e n u t i d a g l i i n s e r z i o n i s t i , diventerebbero tali, in un momento di crisi economica, da por tare alla chiusura della rivista Per for tuna, la lungimiranza di Franco Docchio e del GMEE, che ne aveva pienamente condi viso la sperimentazione, aveva aper to la strada alla pubblica zione telematica con una qualità pari a quella della versione car tacea, ma a costi decisamente più sostenibili, e dal n. 1 del 2020 Tutto Misure passa alla sola attuale versione telematica. Nel frattempo Mortarino, sempre più deus ex machina della rivi sta, lascia A&T, ma non Tutto Misure con la quale, su incarico della proprietà, continua a collaborare fattivamente per garan tirne il futuro sviluppo, che ben presto si manifesta concretamen te proprio in anni “difficili”, come quelli appena trascorsi La più immediata conseguenza di questi cambiamenti è la dra stica riduzione dei compiti prima in capo all’editore, che ora p o s s o n o e s s e r e a g e v o l m e n t e e d e f f i c i e n t e m e n t e s v o l t i d a l l a proprietà, continuando come prima ad avvalersi della prezio sa opera di Massimo Mor tarino Ed ecco l’ultimo cambiamento in arrivo: dal 2023 la gestione, anche editoriale della rivista sarà seguita dal GMEE, che nel frattempo è diventata una Associazione di Promozione Socia le (APS) iscritta al Registro Unico Nazionale del Terzo Settore (RUNTS) e può, a tutti gli effetti, gestire Tutto Misure H o v o l u t o r i p e r c o r r e r e l ’ i n t e r a s t o r i a d e l l a n o s t r a r i v i s t a p e r mostrare come tutti i cambiamenti maturati nel corso della sua più che ventennale storia (il prossimo anno sarà il venticinque

simo anno di vita di Tutto Misure) siano stati coerenti con l’illu minata visione iniziale del suo fondatore Sar tori di favorire la diffusione della cultura metrologica come impor tante leva di competitività per le aziende, e in par ticolare per le PMI che rappresentano la ricchezza del mondo produttivo italiano Spero che quanto brevemente ricordato possa rassicurare i let tori che anche quest’ultimo cambiamento ha l’obiettivo, attra verso una più efficiente gestione della rivista, di rafforzare que sta visione e missione. Al momento non ci saranno grandi cam biamenti, perché la squadra che è stata finora al timone non cambia e continuerà a tenere ben salda la barra: si continuerà a interloquire con le stesse persone a cui lettori, collaboratori e inserzionisti erano abituati a rivolgersi. Se nulla cambierà nell’immediato, ben diverso è il discorso sulle prospettive future aperte da una gestione decisamente più snella e totalmente rivolta a innovare. L’utile della rivista sarà intera mente gestito dal GMEE che, in quanto APS e quindi senza scopo di lucro, potrà interamente investirlo nel potenziamento della rivista, nella sua multimedialità e in iniziative editoriali e, più in generale, culturali di diffusione delle competenze metrolo giche a esclusivo vantaggio dell’intera comunità delle misure Come sempre, ogni suggerimento da par te dei nostri lettori è più che benvenuto Per ora, buona lettura e preparatevi alle prossime novità in arrivo!

alessandro.ferrero@polimi.it

N . 0 3  ; 2 0 2 2 EDITORIALE  (
)
UTTO_MISURE UTTO_MISURE NNO XV N 03 ƒ 2012 & ( A R ST DE LE SU E DE CO TRO LO UA TÀ PE OD O F ND TO A S RG S RTO O GA O U FIC LE EL ASS C A ON GMEE E M TR OG A & QUA TÀ D À T N O GR OM S C D N H EDI Sei se a un m OTTUT M ERUS ONNA 41 N 30 2102 TU ANNO NXV 02 2ƒ 013 ) * ) A &T N G AEDITORIALE pet ando uro a IL TEMA: AFFIDABILITÀ NELL ELETTRONICA Aff dabilità de prodotti e de s s emi e ettron c ALTRI TEMI Diet o angolo de innovaz one: a Fo on ca Mis re e fidatez a s em riparab ARGOMENTIMetrologia ega e e f rense: neri e ono i del CTU Confo mità e aff dabilità parte 4 17025 L non confo m tà parte VII LA VI TA ELL M URE E D L C NT OLL QU L TÀ R O C FO DAT DA SE G O AR OR O GANO U F C LE ELLASS C A ION GMEE E M TR OG A & QUA TÀ TUTTO T_MISURE UTTO_MISURE TUTTO M SURE ANNO 16 N 02 2014 ANNO NXVI 02 2ƒ 014 ( ) * DNÀ O LEDITORIALE o Stato che manca IL TEMA:SPECIALE CENTRI CACCREDITATI o vegno Cent Taratu aa d A&T R2014 equisit s atist Mci sura de Fattore di Poten a ALTRI CTEMI ara te izzazione d ela Mtici isure per la Smar Gr Id certezza par e II MARGOMENTI etrologia ega e e forense in Calia ompat bilità elet omagnet Lca e norme Audit pa te I LA VI TA ELL M URE E D L C NT OLL QU LITÀ P R O CO FON AT DA SER O AR RI O GAN U F C LE ELL SS CIA ON G EE E D M TRO OG & UA TÀ TUTTO T_MISURE UTTO_MISURE TUTTO M SURE ANNO 16 N 01 2014 ANNO NXVI 01 2ƒ 014 & & & & A TT NO G A LEDITO anno della NUOVI BPAR envenuto ACC IL MTE ISURE PER ML’INDUST on to aggio della Wsaldatura re ess elle car ozze metropo Mi isure non d s ruttive ALTRI MTE etrologia per l aero paProge to MisuraInternet parte VARGOMENT is one artif cia e Metr logia ega e e Cforense ompa bilità ele tromagneti La a norma L17025: a non conformità pa te X A R IST DE LE SU E DE CO TRO LO UA TÀ PE OD O OND TO A ERG O ORG NO UFF C A D LA SO AZ NE GM E DI ME ROL G A & Q AL À TUTTO T_MISUR UTTO_MISUR OTTUT M ERUS ONNA 71 N 20 5102 ANNO XVII N 02 ƒ 2015 $ ( D À C OG A V S A D LLE M S RE E D C NTR LL QU LITÀ P R O CO FON AT DA SER O AR OR RG NO FF AL DE AS OC AZ NE GM E D ET OLO A Q AL TÀ TUTTO_MISURE TUTTO_MISURE EDITORIALE A&T OK nno azione d casa nostra meno IL TEMA: SENSORI E RETI DI SENSOR Sensor per i monitoraggio di pazie Camic a sensori z M sure colorime r Naso elet o GLI ALTRI D agno tica di assili fer Odome ia con istemi di M su a d e ene i d Misu a d ALTRI ARG Metro og a legal La 17025 A Il Convegno annuale dei C n WWW.TUTTOMISURE.IT TUTTO M SURE ANNO 18 N 01 2016 ANNO NXVII 01 2ƒ 016 ) & DA L NÀ O LA R V TA DEL E M SUR E EL ON ROL O Q AL À ER DIC F NDA O D S RG SA O GA O FF C ALE DEL AS OC Z O E ME E ET OLO A QU L TÀ TUTTO T_MISUR UTTO_MISUR 2EDITORI 016 u tr bu o a E ns IL TEMA&T 2016: Misu e e Pro e in primo p an GLI ALTRI MTEMI isurare l Mnnovazione sur di umore ambienta eNuovo approcc o a Tincertezz ruf e con contatori ALTRI LARGOMENTI a 17025 Riesame d lla Dire ione parte TI ecn ogie in Mcampo e ro ogia per tu ti! WWW.TUTTOMISURE.IT ANNO XV N 03 ƒ 2013 & & F DA À & C OG EDITORIALE Chissà IL TEMA: TESTING E CONTROLLI TRV: Senso i e s emi di acquis z o e dati pe l Tes ing e i Controlli ALTRI TEMI Diagnos ca pe sistem eolici Met ologia fondamenta e: l nce ezza La alu azione de a Qualità de a R cerca ARGOMENTI Visione per le Life Sc ences Compa bilità ele tromagne a La norma 17025 Non conformità parte VIII R ST DE LE SU E E DEL CON RO LO UA TÀ PE OD O F ND TO A S RG SA TO O GA O U F C LE ELL SS C A ON G EE E D M TRO OG & UA TTÀ TUTTO_MISURE UTTO_MISURE
Il fenomenale aumento dell'uso dei dati di misura 3D negli ultimi Gestione robusta dei dati di misura 3D Facile accesso ai dati Visita polyworkseuropa.com/it Chiama +39 (0573) 1812250 TRASFORMA I TUOI DATI DI METROLOGIA 3D IN UNA VALIDA RISORSA AZIENDALE

E-mail: infoitalia@polyworkseuropa.com Web: www.polyworkseuropa.com/it

Come innovare il processo di produzione connettendo digitalmente i dati di misura 3D

Ciao Alessandro, iniziamo con le presentazioni…?

Mi chiamo Alessandro Vicinelli, sono il direttore del supporto tecnico di PolyWorks Europa. Ho iniziato come ingegnere di produzione, per poi passare alla qualità e alla metrologia in un’azienda di stampaggio automatico del settore automotive.

Da quando è presente il supporto tecnico in Italia?

PolyWorks Europa inizia ufficialmente a operare in Italia ad aprile del 2016, ma le attività di supporto erano già iniziate l’anno precedente.

Cosa rappresenta per PolyWorks Europa il supporto tecnico?

La connettività digitale è un elemento trainante nelle nostre vite. Oltre a essere inestimabile, ha anche il potenziale per trasformare i processi di produzione In molti casi, questa trasformazione è già iniziata, ma n e l c a m p o d e l l a m i s u r a 3 D , f i n o r a n o n è s t a t a s f r u t t a t a a l m a s s i m o . I p r o c e s s i d i p r o d u z i o n e p o s s o n o e s s e r e m i g l i o r a t i i n m o l t i m o d i , e s p e s s o i d a t i s o n o d i r e t t a m e n t e l a m i g l i o r e r i s o r s a d a s f r u t t a r e . Se applicato alla metrologia 3D, un miglior utilizzo dei d a t i p u ò a p p o r t a re v a n t a g g i s i g n i f i c a t i v i a t u t t i g l i attori coinvolti nel processo di ingegneria del prodotto, che si tratti di progettisti, operatori, tecnici addetti alla qualità o alla produzione. Ad esempio, i tecnici addetti alla produzione possono i n d a g a r e e r i s o l v e r e i p r o b l e m i p i ù v e l o c e m e n t e s e h a n n o a c c e s s o i m m e d i a t o a i d a t i d i m i s u r a 3 D e I l compito di un progettista di valutare l’efficacia delle modifiche ai progetti è semplificato dall’esame dei dati di ispezione 3D Ma la gestione dei dati di misura 3D è una grande sfida a causa delle grandi dimensioni dei file che possono far sorgere in molti casi dei problemi La crescente popolarità delle tecnologie di scansione 3 D g e n e r a p r o g e t t i d i i s p e z i o n e l e c u i d i m e n s i o n i s u p e r a n o t i p i c a m e n t e 1 G B p e r 1 0 p e z z i s c a n s i o n a t i . Q u e s t o r a p p r e s e n t a u n ’ e n o r m e q u a n t i t à d i d a t i d a g e s t i r e , s p e c i a l m e n t e s e s i c o n s i d e r a c h e l e a z i e n d e misurano facilmente centinaia o addirittura migliaia di p e z z i a l l ’ a n n o . N e i p r o c e s s i d i p r o d u z i o n e d i o g g i è p o s s i b i l e g e s t i r e m e g l i o i d a t i m e t r o l o g i c i 3 D , c o n v a n t a g g i p e r l ’ i n d u s t r i a l i z z a z i o n e d e l p r o d o t t o , l a produzione e il team di metrologia.

Il supporto tecnico si basa su 3 attività cardini: dimostrare il prodotto, formare i clienti, supportarli nelle sfide quotidiane mettendo a disposizione dei nostri account manager e dei nostri partner, Application Specialist (AS) formati e motivati. La nostra missione pone al centro di queste attività i clienti, con i quali cerchiamo di instaurare fin dal primo incontro un rapporto di collaborazione e fiducia, ascoltando le loro esigenze e proponendo soluzioni specifiche per le varie necessità. Una volta che i clienti ci accordano fiducia scegliendo PolyWorks®, il secondo passo è quello di fornire una formazione adeguata ed efficace. Ogni licenza include un contratto di supporto che dà la possibilità di contattare i tecnici telefonicamente o tramite canali digitali per confrontarsi con i nostri AS su casi applicativi. Tutto questo è possibile formando in modo continuo e mirato i nostri tecnici. Con la stessa logica lavoriamo anche con la rete di partner.

Poter contare su un moder no sistema di gestione dei dati è fondamentale per:

Com’è organizzato li supporto tecnico di PolyWorks in Italia?

Automatizzare la gestione di tutti i file e le cartelle; Accedere facilmente e istantaneamente ai dati di misura, definendone anche differenti livelli di accesso; Implementare le attività creando una collaborazione digitale e ottimizzare così il lavoro di squadra.

La sede operativa è a Pistoia e abbiamo 7 tecnici che lavorano in home-office in grado di coprire tutta l’Italia. Gli AS si alternano fra supporto da remoto, corsi e dimostrazioni del prodotto: per attività particolarmente complesse abbiamo tecnici esperti in vari settori (CMM, Macro, Reverse, GD&T, etc).

Questo tipo di organizzazione ci permette, pur mantenendo un livello di eccellenza nelle attività svolte, di ottimizzare le risorse: oltre a corsi, dimostrazioni e interventi di supporto tecnico abbiamo completato diversi progetti di customizzazione.

La soluzione esiste già con PolyWorks|DataLoop™, la soluzione di gestione dei dati di nuova generazione che consente la condivisione a livello aziendale dei dati e dei risultati delle misure 3D, contribuendo alla trasformazione digitale della tua organizzazione.

Inoltre, l’approccio di PolyWorks Europa alla trasformazione digitale è una caratteristica distintiva:

L ’ a r c h i t e t t u r a m o d u l a r e p e r m e t t e a i c l i e n t i d i p i a n i f i c a r e u n a g r a d u a l e t r a s f o r m a z i o n e d i g i t a l e c o n vantaggi misurabili già dopo le prime fasi;

Hai parlato di Macro e customizzazioni, spiegaci meglio. Ogni licenza di PolyWorks include gratuitamente un linguaggio macro molto potente e allo stesso tempo semplice e intuitivo che consente ad ogni utilizzatore, anche senza esperienza di programmazione, di scaricare delle macro dalla TSZ (Technical Support Zone) o convertire in un singolo “click” un numero qualsiasi di operazioni. Se il cliente lo desidera, offriamo anche servizi di customizzazione avanzati per fare fronte alle esigenze più complesse.

Parlaci di progetti futuri

I t e a m h a n n o i l t e m p o , t r a u n a f a s e e l ’ a l t r a , d i a c q u i s i r e n u o v e c o m p e t e n z e d i g i t a l i e i n d i v i d u a r e potenziali guadagni;

In qualsiasi momento lungo il percorso di trasformazione digitale, i clienti possono decidere di fare una p a u s a o d i i n s e r i r e u n n u o v o s t e p p e r d a r e p r i o r i t à a i p r o g e t t i d i d i g i t a l i z z a z i o n e c h e a p p o r t e r a n n o ulteriori vantaggi

Abbiamo da poco ricevuto il primo ordine per il nostro nuovo prodotto PolyWorks|DataLoop™, che consente una rivoluzionaria gestione, analisi e condivisione dei dati e parallelamente un importantissimo cliente sta iniziando un periodo di test sempre di PolyWorks|DataLoop. Sulla scia di quanto sta già accadendo in nord America, ci prepariamo a supportare la diffusione su larga scala di questo prodotto che rivoluzionerà il modo di lavorare dei nostri clienti. Per mostrare e spiegare ciò di cui vi ho appena parlato, stiamo preparando numerose iniziative, la prima delle quali si terrà presso FICO l’11 Marzo 2022.

Maggiori informazioni su PolyWorks|DataLoop™ qui: PolyWorks | DataLoop™ Gestione dei dati (polyworkseuropa.com)

“La nostra missione pone i clienti al centro delle attività del Supporto tecnico”
LA FIERA A&T RADDOPPIA LA FIERA DEDICATA A INNOVAZIONE, TECNOLOGIE, AFFIDABILITÀ E COMPETENZE 4.0 LE FILIERE DI TORINO 16.000 VISITATORI 121 RELATORI 400 ESPOSITORI 70 GIORNALISTI LA FIERA IN NUMERI AUTOMOTIVE MECCATRONICA E MECCANICA FOOD & BEVERAGEELETTRODOMESTICI - CONDIZIONAMENTO - REFRIGERAZIONIAUTOMAZIONE E MECCATRONICA BIOMEDICALE, FARMACEUTICO E COSMETICO PACKAGING LE FILIERRE DI EROSPACE PAA AUTOMOTIVE BIOMEDICALE OSMETICOC ARMACEUTICOE, F FA OODF ERAGEBEV PA MECCAT CCANICAMEATRONIC NU FIEA FIERL MERI ERA VISITA 16. TORIRELATORI 000 GIO 7 ORNALISTI 0
LE FILIERE DI VICENZA AUTOMAZIONE E MECCATRONICA OCCHIALERIA FARMACEUTICO E COSMETICO FOOD & BEVERAGE SPORT SYSTEMS ELETTRONICA E ELETTROMECCANICA ELETTRODOMESTICI - CONDIZIONAMENTO - REFRIGERAZIONIAUTOMAZIONE E MECCATRONICA ELETTRODOMESTICI, CONDIZIONAMENTI E REFRIGERAZIONI MECCANICA GENERALE E SUBFORNITURA TORINO VICENZA LE FILIERE DI AZIONE MEAUTOM ATRONICA TCC CCANICAELETTROME ELETTRODOMESTICI AZIONIREFRIGER ONDIZIONAMENTI, C SYSTEMMS EROOD BEVF RAGE GENERA ORNITURASUBF LE FARMACEUTIC FA OSMETICOO C
T M  14 TUTTO MISURETUTTO MISURE AFFIDABILITÀ D TOR AL metrologi ogia Forense XIX Congresso In trologia La riproducibilità de is FMEA a sinergia rologica in Sanità Le responsabilità da contatto sociale TUTTO MISURETUTTO MISURE FFIDABILITÀ D TORIA In ricordo di due amici EMA delle grandi struttu G pi ob di controllo A R ARGOM N Gestione dell’efficienza energetica GLI ESPERTI DI T M Via Risorgimento 3 Oggiona con S. Stefano (VA) Tel 0331/212312 Fax 0331/219778 E mail: segreteria@cogobilance.it Web: www.cogobilance.it Persona da contattare: Fabio Martignoni Cogo Bilance è dal 1870 leader nel settore della pesatura e del d o s a g g i o i n d u s t r i a l e c o n i m a r c h i B u r o n i O p e s s i , Q u a d r e l l i , Laveggio, Iemmegi Progettiamo produciamo e installiamo sia impianti standard quali pese a ponte, piattaforme di pesatura, i n d i c a t o r i d i p e s o , c e l l e d i c a r i c o , d i n a m o m e t r i , c o n t a p e z z i , b i l a n c e , i m p i a n t i d i d o s a g g i o , s i a r e a l i z z a t i s u s p e c i f i c h e d e l cliente, sia hardware che software Realizziamo impianti di controllo accessi negli stabilimenti e nei singoli reparti, sia per quanto riguarda mezzi pesanti sia per mezzi leggeri e persone fisiche, per garantire la sicurezza delle persone e il controllo puntuale della movimentazione delle merci Eseguiamo tarature di impianti di pesatura e dosaggio e dispo niamo delle autorizzazioni necessarie per eseguire le verifiche periodiche legali con il nostro laboratorio metrologico Siamo certificati ISO 9001 2015 e nel giugno 2020 il nostro laboratorio m e t r o l o g i c o h a o t t e n u t o d a A c c r e d i a l ’ a c c r e d i t a m e n t o c o m e Centro LAT n° 292 Le soluzioni Visualizzatori e converti tori di peso, bilance, celle d i c a r i c o , p e s e a p o n t e , i m p i a n t i d i p e s a t u r a , s o l u z i o n i p e r c o n t r o l l o a c c e s s i c o n v i d e o c a m e r e e R F I D , p i a t t a f o r m e d i p e s a t u r a , b i l a n c e t e c n i c h e , c o n t a p e z z i , c h e c k w e i g h e r, d i n a m o m e t r i , i m p i a n t i d i d o s a g g i o , s o f t w a r e p e s a t u r a , t r a n s p a l let pesatori, tarature ma n u t e n z i o n i e v e r i f i c h e d i i m p i a n t i d i p e s a t u r a e dosaggio

Notizie nel campo delle misure e della strumentazione

Da Laboratori, Enti e Imprese

NEWS IN MEASUREMENT AND INSTRUMENTATION

view of the most significant news from Italian R&D groups, associations and industries, in the field of measurement science and instrumentation, at both theoretical and applied levels

RIASSUNTO

Questa sezione contiene ar ticoli e notizie significative da gruppi di ricerca, associazioni e aziende leader in Italia nel campo della scienza delle misure

ENEL E UNIVERSITÀ DEGLI STUDI DELL’AQUILA SOTTOSCRIVONO UN PROTOCOLLO PER L’APPRENDISTATO DUALE DI ALTA FORMAZIONE E RICERCA

L ’ A ppr endis t at o Dual e di A l t a For m a z i o n e e R i c e r c a , a i s e n s i d e l l ’ a r t 4 5 del D Lgs 81/2015, è un modello for m a t i v o i n t e g r a t o t r a E n t i F o r m a t i v i e realtà del mondo del lavoro e fornisce ai giovani competenze in linea con le e s i g e n z e d e l l ’ i n d u s t r i a e d e l l e a z i e n de, avvicinandoli al mondo del lavoro durante il loro percorso d’istruzione e f o r m a z i o n e M e d i a n t e u n o s p e c i f i c o contratto l'apprendista assume un dop pio status, di studente e di lavoratore: il giovane diventa, quindi, un lavoratore dipendente, e nello stesso tempo, man t iene anche l o s t at us di s t udent e, per ché iscritto a un percorso formativo Per la Laurea Triennale e Magistrale la d u r a t a d e l l a f o r m a z i o n e e s t e r n a r a g g i u n g e a l m a s s i m o i l 6 0 % d i q u e l l a degli insegnamenti previsti dal corso di l a u r e a i n c u i l ’ a p p r e n d i s t a t o è a t t i v o , mentre la formazione interna sul luogo di lavoro almeno il 40%.

L’accordo ENEL –Università degli Studi dell’Aquila

E n e l I t a l i a S . p . A . e U n i v e r s i t à d e g l i Studi dell’Aquila hanno siglato un pro tocollo per avviare un programma spe rimentale di Apprendistato di Alta For mazione e Ricerca (ar t 45 del D Lgs 8 1 / 2 0 1 5 ) : a p a r t i r e d a l l ’ a n n o a c c a demico 2023/2024 saranno coinvolti

15 studenti e studentesse del secondo anno del corso di laurea magistrale in Ingegneria Elettrica, che alterneranno le lezioni e lo studio a una formazione tecnico professionale in azienda

L’obiettivo del percorso è, infatti, quello del conseguimento di un titolo universita rio arricchito da contenuti formativi alta mente professionalizzanti. Alle studen tesse e agli studenti interessati a parteci pare all’Apprendistato Duale, verrà pro posto un curriculum di studi denominato “Energia” che, oltre a offrire la consoli data formazione in Ingegneria Elettrica erogata da oltre 50 anni dall’Ateneo aquilano, si arricchirà di ulteriori conte nuti, definiti e sviluppati in modo con giunto da Università e Azienda e rispon denti alle attuali esigenze del mondo produttivo, collegate alla fase di transi zione energetica e di trasformazione tec nologica e digitale dei processi di lavo ro, in par ticolare per le attività inerenti alla generazione di energia e alle reti elettriche L’integrazione tra l’apprendi mento in aula e l’esperienza lavorativa sarà supportata e favorita per ciascuno

“ s t u d e n t e

a p p r e n d i s t a ” da un tutor a ziendale e da un tutor univer sitario.

L’Apprendista

t o d i A l t a F o r

m a z i o n e e R i c e r c a s i c o n c l u d e r à c o n i l c o n s e g u i m e n to della laurea

m a g i s t r a l e i n Ingegneria Elettrica, entro la durata del corso di studi.

S a r à p o s s i b i l e s o t t o p o r r e l a p r o p r i a c a n d i d a t u r a a l l ’ A p p r e n d i s t a t o a n c h e alle studentesse e agli studenti dei corsi di laurea magistrale in Ingegneria Elet trica, Elettrotecnica o equivalenti (clas se LM 28) iscritti in altri Atenei; in caso d i a c c o g l i m e n t o , a l l o s t u d e n t e s a r à r i c h i e s t o i l t r a s f e r i m e n t o p r e s s o l ’ U n i versità dell’Aquila, sede dell’Appren d i s t a t o P e r i n f o r m a z i o n i s u l c o r s o d i Laurea Magistrale in Ingegneria Elettri c a d e l l ’ U n i v e r s i t à d e l l ’ A q u i l a , e s u l l e m o d a l i t à d i p a r t e c i p a z i o n e a l l ’ A p p r e n d i s t a t o , è p o s s i b i l e c o n t a t t a r e i l prof Edoardo Fiorucci, Presidente del Corso di Laurea, scrivendo a: ing.elettrica@univaq.it.

POLITECNICO DI MILANO RICORDA TRE SUOI ALFIERI

Il 5 luglio scorso, il Politecnico di Mila no ha commemorato, con un breve e v e n t o s c i e n t i f i c o , i P r o f f M a r i a n o C u n i e t t i , A n d r e a C a p e l l o e A rn a l

IL
DELLE MISURE
d o B r a n d o l i n i , r i s p e t t i v a m e n t e nel venticinquesimo, dodicesimo e quin to anniversario dalla scomparsa Come ben evidenziato dagli organiz zatori dell’evento (i Proff. Luigi Mussio, M i c h e l e G a s p a r e t t o e A l e s s a n d r o
This section contains an over
La Redazione di Tutto Misure (alessandro.ferrero@polimi.it)
C O M U N I C A Z I O N I , R I C E R C A E S V I L U P P O D A E N T I E I M P R E S E s
T M N. 3/22  15

Ferrero), sono stati tre autentici pionieri e a l f i e r i d e l l a s c i e n z a d e l l e m i s u r e , declinata senza aggettivi, perché ave vano tutti e tre ben chiaro, in un ’ epoca s t o r i c a s e g n a t a d a m a r c a t e d i v i s i o n i tra le diverse discipline, che gli aspetti comuni di misure e metrologia travali cano largamente quelli tipici dei diver

si campi applicativi.

D o p o i s a l u t i d e l R e t t o r e e d e i P r e s i d i d e l l e F a c o l t à d’Ingegneria, si sono susse guiti quattro interessanti in ter venti.

I l P r o f M i c h e l e G a s p a r e t t o h a t r a c c i a t o l a s t o r i a d e l l e Misure Meccaniche e Termi che al Politecnico di Milano e r i c o r d a t o g l i e v e n t i c h e h a n n o p o r t a t o a l l a n a s c i t a del GMMT, ai quali Andrea C a p e l l o h a d a t o u n f o n d a mentale contributo.

I l P r o f M a r i o S a v i n o h a d e l i n e a t o l e figure di Cunietti, Capello e Brandoli ni, evidenziando la vastità dei loro inte ressi culturali, ben rappresentata dalle Giornate della Misurazione, ideate da Cunietti e sostenute con entusiasmo da C a p e l l o e B r a n d o l i n i , e o r g a n i z z a t e annualmente nella bella e prestigiosa

sede di Villa Olmo a Como, dove nel corso degli anni si sono avvicendati in t e r e s s a n t i s s i m i d i b a t t i t i s u l s i g n i f i c a t o più profondo del misurare, con contri b u t i a n c h e d i f i l o s o f i , e p i s t e m o l o g i e psicologi

I l P r o f L u c a M a r i h a p r o p o s t o , n e l l o s p i r i t o d e l l e g i à c i t a t e G i o r n a t e d e l l a Misurazione, alcune originali conside razioni sul ruolo sociale delle misure e su come una più diffusa cultura metro logica potrebbe favorire una migliore conoscenza dei tanti fenomeni che ci circondano.

Infine il Prof. Luigi Mussio ha presenta to, per conto della Prof ssa Tamara Bel l o n e ( i m p o s s i b i l i t a t a a p a r t e c i p a r e ) , u n ’ i n t e r e s s a n t e d i s a m i n a d e l l a G e o matica della Commedia di Dante. L ’ e v e n t o s i è p o i c o n c l u s o c o n a l c u n i b r e v i r i c o r d i d i C u n i e t t i , C a p e l l o e Brandolini da par te di chi ha avuto la for tuna di collaborare con loro.

La locandina dell’evento
T M  16 N . 0 3 ; 2 0 1 6 COMUNICAZIONI, RICERCA E SVILUPPO DA ENTI E IMPRESE  N . 0 3  2 0 2 2

Tecnologie innovative per l’agricoltura di precisione

NEW TECNOLOGIES FOR PRECISION AGRICOLTURE

Xylella fastidiosa (Xf) is a bacterial phytopathogen associated with serious diseases affecting a wide variety of plants; in olive trees, it causes a rapid drying of the plants and represents a serious threat to their survival.

The paper describes a new segmentation algorithm of high-resolution multispectral images acquired using a multirotor unmanned aerial vehicle (UAV) purposely equipped for fast detection of Xf symptoms in olive trees. The experimental results obtained by flying over olive groves show a high similarity coefficient which ensures the correct identification of infected trees with a reduced number of false positives and false negatives.

RIASSUNTO

La Xylella fastidiosa (Xf) è un fitopatogeno di origine batterica, associato a gravi malattie che colpiscono un’ampia varietà di piante e che, negli ulivi, conduce al veloce disseccamento delle piante fino a determinarne la morte. L’articolo descrive un nuovo algoritmo di segmentazione di immagini multispettrali ad alta definizione, acquisite da un drone multi-rotore opportunamente attrezzato per il rilevamento rapido dei sintomi della Xf negli alberi di ulivo. I risultati sperimentali ottenuti dai sorvoli su alcuni uliveti mostrano un elevato coefficiente di similarità, che assicura la corretta individuazione degli alberi infetti con un numero ridotto di falsi positivi e falsi negativi.

INTRODUZIONE

La ricerca presentata in questo articolo s’inquadra nel vasto panorama dell’agricoltura di precisione, il cui obiettivo fondamentale è l’incremento della produttività dei terreni attraverso l’utilizzo ridotto delle risorse e la garanzia di elevati standard di qualità; questo nuovo paradigma, che guarda con occhi diversi al mondo agricolo, si affida a nuove strategie e nuovi strumenti tecnologici, in grado di raccogliere informazioni sullo stato di terreni e colture e mettere in atto azioni mirate, utili a raggiungere tali obiettivi. D’altro canto, la European Green Deal [1] prima e il Piano Nazionale della Ricerca [2] dopo, hanno inserito come obiettivo primario per la ricerca e l’innovazione la tutela dell’ambiente, l’uso ecosostenibile e l’integrità delle risorse naturali, nonché la produzione di alimenti per una sana catena alimentare; questi obiettivi, considerati indi-

spensabili nel prossimo futuro, fondano le loro basi su nuovi modelli produttivi e su tecnologie avanzate e performanti.

Questa nuova opportunità può essere colta solo attraverso il connubio fra aziende ambiziose e lungimiranti, che investono in nuove metodologie per l’ambiente e il benessere della persona, ed enti di ricerca, che scommettono sull’innovazione orientata ai mercati portando la ricerca e i suoi risultati fuori dai laboratori accademici. In quest’ottica, il Gruppo SPS di Roma e il Gruppo di Ricerca in Misure Elettriche ed Elettroniche del Politecnico di Bari hanno realizzato un sistema di verifica dello stato di salute degli alberi di ulivo, ricorrendo a un sistema di rilevamento automatico e meccanizzato per l’individuazione della Xylella fastidiosa (Xf) negli alberi di ulivo che, con i circa 360 mila ettari di coltivazione, costituisce un patrimonio unico e pregiato della Regione Puglia.

La produzione di olio d’oliva è senza dubbio una delle principali fonti di reddito agricolo per l’Italia e la Puglia è la regione con la più alta percentuale di produzione; nell’ultimo decennio, l’incidenza della Xf ha determinato una consistente riduzione della stessa rendendo la battaglia contro questo batterio, che fa dell’individuazione precoce della malattia l’elemento fondante per la sua eliminazione, un obiettivo primario per agricoltori e agronomi. Le tecniche di analisi in laboratorio generalmente utilizzate, seppur affidabili e collaudate, sono parecchio complesse, richiedendo tempi di attesa mediolunghi e competenze elevate con costi a volte proibitivi [3, 4]. Tecniche di rilevamento alternative sono basate sul telerilevamento, ossia sullo studio dell’interazione a distanza della radiazione elettromagnetica con oggetti ed esseri viventi. Esse fondano il loro successo sull’analisi della firma spettrale della vegetazione rilevata mediante la ripresa di immagini multi- e iper- spettrali, che necessitano di essere opportunamente corrette e interpretate. In questo lavoro si è fatto ricorso a un drone ad ala rotante, opportunamente equipaggiato, e ad alcuni algoritmi d’intelligenza artificiale che, dopo una prima fase di addestramento, consentono il corretto rilievo della malattia.

1 Dip. di Ingegneria Elettrica e dell’Informazione, Politecnico di Bari francesco.adamo@poliba.it filippo.attivissimo@poliba.it attilio.dinisio@poliba.it

2 Soluzioni Prodotti Sistemi srl Fiumicino (RM) e.c.@spsistemi.net

T_M N. 3/22  17 MISURE PER L’AGRICOLTURA
F.Adamo 1, F. Attivissimo 1, A. Di Nisio 2 , E. Caronia 2 Droni e image processing per rilevare agenti patogeniIL TEMA s

Highlights:

• Campo di misura dell’impedenza interna: 10…100 mohm

Frequenza di misura: 1kHz, 100Hz, 10Hz, 1Hz

• Risoluzione: no a 0,01ohm

• Da 1 a 5 canali di misura espandibili e misura di temperatura PT100

• Precisione: +/- 0,2% f.s., +/-0,4% della lettura

• Programmi di analisi veloci e customizzabili

• Design compatto, stato dell’arte delle interfacce

www.burster.it
• Wall mounting • Top hat rail mounting Applicazioni • Costruzione di celle e moduli di batterie • Assicurazione qualità di celle e moduli di batterie • Veri ca connessioni di contatto di saldature BATTERY MEASURING MODULE 2511 NEW particolarmente adatto per veloci misure e test su celle di batterie in sistemi di automazione Opzioni: Esempio: Applicazione 16 canali high – speed, monitoraggio al 100% di moduli batteria Versione con display per applicazione a due canali Measuring and evaluation parameters Ucell 0…3.4 to 3.7 VDC Umodule 54.4…59.2 VDC RAC (1 kHz) ...... 0…0.85 m PLC P NET ROFI ® USBEthernet P NET ROFI ®

METODI E PROCEDURE DI MISURA

I l b a t t e r i o d e l l a X f i n f e t t a l a p i a n t a d i olivo colonizzando il suo sistema xile matico, bloccando il flusso dell’acqua e dei nut r ient i in es s a dis ciol t i e indu cendo sintomi di disseccamento. Que sto danno si traduce in una significati va riduzione del tasso di traspirazione fogliare, che por ta infine alla clorosi e alla defogliazione della pianta, provo c a n d o u n c a m b i a m e n t o d i r i f l e t t a n z a spettrale. Il contenuto di clorofilla tende a d i m i n u i r e n e l l e p i a n t e i n f e t t e , m o strando una maggiore riflettanza nelle regioni visibile (VIS) verde (l = 550 nm) e rossa (l = 650 720 nm) dello spettro. In questo caso, l’indice vegetazionale N P Q I ( N o r m a l i z e d P h a e o p h y t i n i z a tion lndex) ben si adatta alla valutazio n e d e l l a d e g r a d a z i o n e d e l c o n t e n u t o di clorofilla.

Le piante sottoposte a stress mostrano a n c h e u n a d i m i n u z i o n e d e l l a d e n s i t à della chioma e dell’area fogliare, che por ta a una riduzione della riflettanza spettrale nell’inter vallo del vicino infra r o s s o ( N I R ) ( 6 8 0 8 0 0 n m ) I n q u e s t o caso l’indice SIF (Solar Induced Fluore scence) ben si adatta al monitoraggio precoce delle alterazioni fisiologiche e dell’attività fotosintetica.

Inoltre la regione dell’infrarosso termi co (TIR, 8000 15000 nm) è molto adat t a p e r i l r i l e v a m e n t o d e l l ’ i n f e z i o n e , a causa della diminuzione della velocità di traspirazione che induce la chiusura degli stomi, riducendo il raffreddamen to per evaporazione e aumentando la temperatura della chioma [5]; in que s t o cas o, l ’ indice CW S I ( C r o p Wa t e r S t r e s s I n d e x ) r i s u l t a m o l t o u t i l e p e r i l monitoraggio dello stress idrico della pianta C o n s i d e r a n d o q u e s t i c a m b i a m e n t i nello spettro delle piante infette, i sinto m i d e l l a m a l a t t i a p o t r e b b e r o e s s e r e r i l e v a t i d a r e m o t o n e l l e r e g i o n i V I S , Red Edge, NIR e TIR.

Per la misura di questi indici si è ricorso a u n d r o n e a d a l a r o t a n t e a q u a t t r o rotori, con eliche ad alta efficienza ae rodinamica da 18”, alimentato da bat t e r i e d a 2 2 , 6 V d i c a p a c i t à p a r i a 16.000 mAh.

I l s i s t e m a d i r i l e v a z i o n e a e r e a , e q u i paggiato con una camera multispettra

le e alcuni sensori scelti ad hoc, integra un gimbal 3D adattativo ad alta preci sione con tripla camera IR/RGB/Multi spettrale ad alta risoluzione, che resti t u i s c e t r e d i f f e r e n t i i n f o r m a z i o n i ( o r o g r a f i a t e r r e s t r e , v i g o r e v e g e t a t i v o , stress idrico), e sensori di temperatura, pressione e umidità dedicati Per la rilevazione dello stato di salute delle piante si è sviluppato un algorit m o di s eg m ent azione ad al ber o ed è s t a t a u t i l i z z a t a l a L i n e a r D i s c r i m i n a n t Analysis applicata agli stack multispet trali.

Il sistema è stato utilizzato per acquisi re immagini ad alta risoluzione di ulive ti da quote di sor volo di alcune decine di metri. I rilievi sono stati eseguiti utiliz z a n d o i l t i p i c o p r o f i l o d i m a p p a t u r a aerea a “serpentina” (Fig 2), con ele v a t e p e r c e n t u a l i d i s o v r a p p o s i z i o n e sia trasversale sia longitudinale, al fine di raccogliere dati sufficienti per poter

ricostruire tridimensionalmente il cam po senza perdita di informazioni Allo scopo di testare robustezza e velo cità del prototipo realizzato sono stati acquisiti più rilievi dello stesso uliveto da diverse altitudini, per ottenere diver s e r i s o l u z i o n i d i c a m p i o n a m e n t o a l s u o l o ( G S D , G r o u n d S a m p l e D i s t a n ce). I livelli fuori terra dei diversi rilievi sono determinati automaticamente, uti lizzando un foglio di calcolo, apposita mente sviluppato, e por tando in conto i parametri inerenti a risoluzione e lun ghezza focale del sensore della fotoca mera, risoluzione del campione del ter reno desiderata, velocità dell'otturato re della fotocamera e velocità di trasla zione del drone Un SBC (Single Board C o m p u t e r ) , R a s p b e r r y P I v 4 B , d o t a t o di m odem 4G / 5G , g ar ant is ce che l e immagini acquisite possano essere tra sferite su un ser ver remoto, nel quale è i m p l e m e n t a t o l ’ a l g o r i t m o d i e l a b o r a z i o n e d e l l e i m m a g i n i i n s i e m e a u n a piattaforma GIS (Geographic Informa tion System), utilizzata per la georefe renziazione delle immagini S u l l e i m m a g i n i r i p r e s e d a l l a c a m e r a m u l t i s p e t t r a l e v e n g o n o e s e g u i t i i s e guenti quattro passi di elaborazione: i) c o r r e z i o n e r a d i o m e t r i c a , i i ) c a l c o l o d e l l a r i f l e t t a n z a , i i i ) c o r r e z i o n e d e l l e distorsioni e iv) allineamento; quest’ul timo passo si rende necessario in quan t o i c i n q u e s e n s o r i d e l l a t e l e c a m e r a multispettrale, della telecamera ter mi c a e d i q u e l l a n e l c a m p o d e l v i s i b i l e sono tra loro disassati e riprendono il suolo da posizioni diverse

RISULTATI SPERIMENTALI

Una campagna di mi sure è stata condotta in diversi siti coltivati a uliveto del territorio d e l s u d e s t p u g l i e s e c o n d i v e r s o g r a d o d ’ i n c i d e n z a d e l l a X f (da incidenza nulla a i n c i d e n z a d i f f u s a , con la maggior par te d e g l i a l b e r i g i à i n stato di avanzato dis s e c c a m e n t o ) , o p p o r

Figura 1 – Drone modello EVO-4HSE equipaggiato con str umentazione di misura Figura 2 Traiettoria per il rilevamento aereo del drone (in rosso le posizioni di acquisizione dell’immagine)
T M  19 N . 0 3  ; 2 0 2 2 IL TEMA s

tunamente selezionati con la consulenza di un esper to agro nomo [6, 7] I rilievi sono stati condotti scansionando i poderi da altezze comprese tra 20 m e 70 m, scegliendo una quota di sor volo tale da garantire una risoluzione al suolo di circa 5 cm/pixel e una sovrapposizione tra scatti adiacenti pari all’80%.

Per calcolare le aree malate delle chiome, occorre tuttavia identificare automaticamente i pixel che appar tengono agli alberi, distinguendoli dal suolo e dall’erba del terreno non arato.

A tale scopo è stato implementato un algoritmo che prevede la ricostruzione tridimensionale, consente d’identificare punti appar tenenti alla chioma degli alberi, sopraelevata rispetto al suolo, e classificare le diverse aree, mediante ulteriori fea ture basate sulla riflettanza nella banda NIR e su indici vege tazionali

Il rilevamento dello stato di salute e la classificazione degli alberi in sani e malati sono basate su un classificatore LDA (Linear Discriminant Analysis), addestrato su alberi segmen tati in stack multispettrali a 5 bande; le prestazioni di classifi cazione sono state molto elevate, con una sensibilità del 98%

e una precisione del 100% in un set di test di quasi cento alberi, il 75% dei quali ha presentato sintomi di dissecca mento da Xf

La Fig. 4 mostra un campo di ulivo non interessato da Xf, d o v e g l i a l b e r i s a n i s o n o c o n t o r n a t i d i v e r d e ; d i v e r samente, la Fig 5 mostra un campo con alberi interessati da Xf dove gli alberi malati sono contornati di rosso

La Fig 6 mostra in verde le aree essiccate degli alberi in Fig. 5.

Infine, vale la pena evidenziare che il metodo proposto, o l t r e a e s s e r e u n e f f i c a c e s t r u m e n t o p e r l a r i l e v a z i o n e d e l l a X f , r i s u l t a m o l t o e f f i c i e n t e d a l p u n t o d i v i s t a c o m putazionale; nelle analisi effettuate, i tempi di elaborazio n e p e r l a s e g m e n t a z i o n e e p e r l a c l a s s i f i c a z i o n e s o n o stati inferiori a 7 secondi; in par ticolare, impiegando un laptop con processore Intel i7 8850H e 16 GB di RAM, sono stati necessari 6,2 s per la segmentazione e 0,2 s per la classificazione.

Figura 4 Immagine RGB segmentata di un campo sano Figura 5 Immagine RGB segmentata di un campo malato di xylella Figura 6 Immagine in falsi colori CIR segmentata del campo in Fig. 5. In verde sono evidenziate le chiome colpite da Xf Figura 3 Ricostr uzione 3D di un sito esaminato
N . 0 3 ; 2 0 1 6 IL TEMA s N . 0 3  2 0 2 2
T M  20

CONCLUSIONI

L a r i l e v a z i o n e a n a l i t i c a d e l l a X f c o n m e t o d i t r a d i z i o n a l i r i c h i e d e t e m p i e c o s t i d i a t t u a z i o n e m o l t o e l e v a t i ; i l ricorso al telerilevamento, combinato a tecniche d’intelligenza ar tificiale, sem bra essere la giusta via per un monito r a g g i o v e l o c e e a f f i d a b i l e I l s i s t e m a s v i l u p p a t o , o l t r e a l r i l e v a m e n t o d e l l a Xf, ha significativi margini di migliora mento e si presta anche ad altre appli cazioni nel settore agricolo in quanto, con l’aggiunta di ulteriori sensori e l’im plementazione della stima di altri para metri, quali la misura dello stress idrico e di eventuali infestanti presenti sui ter reni coltivati, costituisce un valido stru m e n t o n e l l ’ o r m a i r i c o n o s c i u t o s e t t o r e dell’agricoltura di precisione

RIFERIMENTI BIBLIOGRAFICI

[1] European Commission, “Annex to the Communication from the Commis s i o n t o t h e E u r o p e a n P a r l i a m e n t , t h e E u r o p e a n C o u n c i l , t h e C o u n c i l , t h e European Economic and Social Com m i t t e e a n d t h e C o m m i t t e e o f t h e Regions”, Brussels, 2019.

[2] MUR, Programma Nazionale per la Ricerca (PNR) 2021 27, Roma, 2021

[3] E Engvall, P Perlmann, “Enzyme linked immunosorbent assay (ELISA)”, T h e J o u r n a l o f I m m u n o l o g y, p p . 1 2 9 135, 1972

[4] M Saponari et al , “Isolation and p a t h o g e n i c i t y o f X y l e l l a f a s t i d i o s a a s s o c i a t e d t o t h e u l i v e q u i c k d e c l i n e syndrome in souther n Italy”, Scientific Repor t, p 177 223, 2017

[5] R Fensholt, S Huber, S R Proud e C M b o w, “ D e t e c t i n g C a n o p y Wa t e r Status Using Shor twave Infrared Reflec t a n c e D a t a f r o m P o l a r O r b i t i n g a n d Geostationar y Platforms”, IEEE Journal o f S e l e c t e d To p i c s i n A p p l i e d E a r t h O b s e r v a t i o n s a n d R e m o t e S e n s i n g , pp. 271 285, 2010.

[6] A Di Nisio, F Adamo, G Acciani, F Attivissimo, “Fast Detection of Olive Tr e e s a f f e c t e d b y X y l e l l a F a s t i d i o s a f r o m U AV s U s i n g M u l t i s p e c t r a l I m a ging, Sensors, pp. 1 35, 2020.

[ 7 ] F A d a m o , F A t t i v i s s i m o , A D i Nisio, M A Ragolia, M Scarpetta, “A

N e w P r o c e s s i n g M e t h o d t o S e g m e n t Olive Trees and Detect Xylella Fastidio

sa in UAVs Multispectral Images, Proc. on IMTC/21, pp 1 6, 2021

Francesco Adamo, è Professore Associato di Misure Elettriche ed Elettroniche presso il Politecnico di Bari, Dip d’Ingegneria Elettrica e dell’Informazione; i suoi interessi di ricerca spaziano dalla modella zione e caratterizzazione di ADC alla caratterizzazione automatiz zata con sistemi di test, sviluppati in proprio, di componenti elettro

m e c c a n i c i d i v e l i v o l i a p i l o t a g g i o r e m o t o . C o m e r e s p o n s a b i l e d e l laboratorio didattico di Misure Elettriche ed Elettroniche presso il Poli tecnico di Bari ha par tecipato allo sviluppo e all’implementazione di soluzioni hard ware dedicate alla didattica remotizzata È referee per diverse riviste internazionali nel settore delle Misure Elettriche ed Elettroniche.

Filippo Attivissimo, Professore Ordinario di Misure Elettriche ed Elet troniche presso il Politecnico di Bari, ha rivestito il ruolo di Consigliere di Amministrazione e Coordinatore del Corso di Laurea in Ingegneria dei Sistemi Medicali È stato membro designato dal Ministero dell’U

n i v e r s i t à e d e l l a R i c e r c a n e l P N R s e z i o n e “ I n f o r m a t i c a , I n d u s t r i a , Aerospazio” e membro della Commissione Regionale Pugliese per le a z i o n i c o n t r o i l n u o v o C o r o n a v i r u s S A R S C o V 2 . R e s p o n s a b i l e d e l laboratorio multidisciplinare “OpenMultiLab” e del laboratorio di tecnologie biome diche “Tech4Biomed” del Politecnico di Bari, svolge attività di ricerca nel campo della sensoristica industriale, medica e ambientale Membro dei comitati editoriali di Journal Acta Imeko, Metrology, Sensors e del GMEE e responsabile per la sede di Bari nel Gruppo Nazionale di Misure Elettriche ed Elettroniche.

Attilio Di Nisio, nel 2009 ha cons eg uit o il dot t or at o di r icer ca in ingegneria elettronica e dal 2019 è ricercatore senior in Misure Elet t r i c h e e d E l e t t r o n i c h e p r e s s o i l P o l i t e c n i c o d i B a r i L e s u e r i c e r c h e h a n n o a b b r a c c i a t o i c a m p i d e l l a m o d e l l a z i o n e e t e s t d i s i s t e m i d i m i s u r a e c o n v e r t i t o r i a n a l o g i c o / d i g i t a l i , d e l l a v i s i o n e a r t i f i c i a l e e della generazione da fonti rinnovabili di energia I suoi interessi di r i c e r c a a t t u a l i i n c l u d o n o l ’ e l a b o r a z i o n e d i i m m a g i n i e t e c n i c h e d i machine learning per il monitoraggio ambientale, il test di componenti e batterie per UAV, lo sviluppo di sensori mediante stampa 3D e di sensori in ambito medicale, e la realizzazione di laboratori remotizzati

Eleonora Caronia, Business Project Manager, nonché socia dell’a zienda Soluzioni Prodotti Sistemi srl. Svolge attività di Project Mana gement, consulenza manageriale e marketing, vendite e gestione di progetti di grandi dimensioni Ha gestito e coordinato numerosi pro getti di finanza agevolata, tra cui diversi Pia Puglia POR FESR 2014 2020 (Regione Puglia), Bando Sace Simest e commerce, Bando Inno v a t i o n M a n a g e r, B a n d o D i g i t a l i z z a z i o n e , B a n d o P r i s m e e B a n d o Pass (FinPiemonte) Senior Consultant per 11 anni nella divisione Management Con sulting di Accenture, ha operato nell’area CRM e lavorato presso primari Clienti nazionali e internazionali dei settori Pharma, Fashion, Products e Automotive Ha maturato una significativa esperienza nelle aree del Customer Relationship Manage ment, Project and Program Management, Organizzazione e Formazione, sviluppan do rilevanti competenze

T M  21 N . 0 3  ; 2 0 2 2 IL TEMA s

Centri di verifica per organi di trasmissione

Cent oper smrat erii vi dr dirgani sioneis fica

enceRefer precisione

Reference HP: altissima precisione, per tutti

tuttiper

Non solo una macchina di misura, un vero sistema di collaudo dimensionale multifunzione per tutti i componenti powertrain.

omp

La tecnologia di misura di altissima precisione alla portata di tutti.

Solo da Hexagon.

©2022 Hexagon AB e/o sue filiali e consociate. Tutti i diritti riservati. Scopri di più su hexagonmi.com
caca mno uoln sNo imenso daudloli cd owepionent
ci
, atemiso sern v, uuraisi ma dhin ittur tee punzionfiulte malion raintr i ma dicnologea tL ttui ta dattora plal gonexaa Ho dolS cisionerea psimislti aa duris i ù si pii dScopr u

GLI ESPERTI DI T_M

Strada del Portone, 113 10095 Grugliasco (TO) –ITALY Tel. 011/4025 111

E-mail: commerciale.it.mi@hexagon.com Web: www.hexagonmi.com

Persona da contattare: Levio Valetti

Hexagon è il gruppo leader mondiale nel settore dei sensori, dei software e delle soluzioni autonome. Ci stiamo avvalendo dei dati per aumentare l’efficienza, la produttività e la qualità nell’ambito delle applicazioni per l’industria, la produzione, le infrastrutture, la sicurezza e la mobilità.

Hexagon è il gruppo leader mondiale nel settore dei sensori, dei software e delle soluzioni autonome. Ci stiamo avvalendo dei dati per aumentare l’efficienza, la produttività e la qualità nell’ambito delle applicazioni per l’industria, la produzione, le infrastrutture, la sicurezza e la mobilità.

Le nostre tecnologie stanno modellando gli ecosistemi urba ni e produttivi per renderli sempre più connessi e autonomi, garantendo un futuro scalabile e sostenibile.

Le nostre tecnologie stanno modellando gli ecosistemi urbani e produttivi per renderli sempre più connessi e autonomi, garantendo un futuro scalabile e sostenibile.

d a l l ’ i n g e g n e r i a , d a l l a m e t r o l o g i a e d a l l a p r o d u z i o n e , p e r rendere l’impresa manifatturiera più intelligente. L’organizzazione commerciale e di supporto tecnico di Hexa gon Italia opera con sedi e personale distribuiti sul territorio nazionale per garantire la massima efficienza e rapidità d’in tervento locale.

Le nostre tecnologie stanno modellando gli ecosistemi urbani e produttivi per renderli sempre più connessi e autonomi, garantendo un futuro scalabile e sostenibile.

La divisione Manufacturing Intelligence di Hexagon fornisce soluzioni che utilizzano i dati derivanti dalla progettazione e

La divisione Manufacturing Intelligence di Hexagon fornisce soluzioni che utilizzano i dati derivanti dalla progettazione e dall’ingegneria, dalla metrologia e dalla produzione, per

La divisione Manufacturing Intelligence di Hexagon fornisce soluzioni che utilizzano i dati derivanti dalla progettazione e

dall’ingegneria, dalla metrologia e dalla produzione, per rendere l’impresa manifatturiera più intelligente.

rendere l’impresa manifatturiera più intelligente. L’organizzazione commerciale e di supporto tecnico di Hexagon Italia opera con sedi e personale distribuiti sul territorio nazionale per garantire la massima efficienza e rapidità d’intervento locale.

L’organizzazione commerciale e di supporto tecnico di Hexagon Italia opera con sedi e personale distribuiti sul territorio nazionale per garantire la massima efficienza e rapidità d’intervento locale.

La competenza e la pluriennale esperienza del personale di v e n d i t a s u t u t t i i p r o d o t t i d e l g r u p p o s o n o u l t e r i o r m e n t e arricchite dal supporto di tecnici specializzati in grado di ese guire studi applicativi, dimostrazioni e realizzazione di siste mi speciali e integrati

La competenza e la pluriennale esperienza del personale di vendita su tutti i prodotti del gruppo sono ulteriormente arricchite dal supporto di tecnici specializzati in grado di eseguire studi applicativi, dimostrazioni e realizzazione di sistemi speciali e integrati.

La competenza e la pluriennale esperienza del personale di vendita su tutti i prodotti del gruppo sono ulteriormente arricchite dal supporto di tecnici specializzati in grado di eseguire studi applicativi, dimostrazioni e realizzazione di sistemi speciali e integrati.

sia in modo diretto verso i vostri abituali interlocutori

Vi invitiamo quindi a contattarci per ogni necessità e informazione sia in modo diretto

interlocutori che al nostro indirizzo

Vi invitiamo quindi a contattarci per ogni necessità e informazione sia in modo diretto verso i vostri abituali interlocutori che al nostro indirizzo di posta elettronica (commerciale.it.mi@hexagon.com)

commerciale.it.mi@hexagon.com)

ogni esigenza

al numero 011/4025555

Center alla pagina webcc.it.hexagonmi.com

Contact Center

pagina webcc

hexagonmi com

Per ogni esigenza di assistenza tecnica e applicativa è operativo il Contact Center alla pagina webcc.it.hexagonmi.com o al numero 011/4025555.

continua, iscrivetevi alla nostra newsletter Hexagon:

Seguiteci su tutti i nostri canali di comunicazione e, per una informazione continua, iscrivetevi alla nostra newsletter Hexagon: un solo fornitore per soluzioni complete di progettazione, simulazione, CAD/CAM, controllo dimensionale e analisi di processo Per maggiori informazione visitate hexagonmi.com

progettazione, simulazione, CAD/CAM, controllo dimensionale e

visitate hexagonmi.com

Seguiteci su tutti i nostri canali di comunicazione e, per una informazione continua, iscrivetevi alla nostra newsletter Hexagon: un solo fornitore per soluzioni complete di progettazione, simulazione, CAD/CAM, controllo dimensionale e analisi di processo.

Per maggiori informazione visitate hexagonmi.com

TUTTO MISURETUTTO MISURE AFFIDABILITÀ D TOR L metrologi d ogia Forense Il XIX Congresso In io d M trologia La riproducibilità de is FMEA sinergia rologica Sanità Le responsabilità da contatto sociale TUTTO MISURETUTTO MISURE FFIDABILITÀ D TORIA In ricordo due amici L T MA delle grandi struttu G pi ob controllo A R A GOM N Gestione dell’efficienza energetica GLI ESPERTI DI T _ M Strada del Portone, 113 10095 Grugliasco (TO) ITALY Tel 011/4025 111 E mail: commerciale.it.mi@hexagon.com Web: www.hexagonmi.com Persona da contattare: Levio Valetti H e x a g o n è i l g r u p p o l e a d e r m o n d i a l e n e l s e t t o r e d e i s e n s o r i , d e i s o f t w a r e e d e l l e s o l u z i o n i a u t o n o m e . C i s t i a m o a v v a l e n d o d e i d a t i p e r a u m e n t a r e l ’ e ff i c i e n z a , l a p r o d u t t i v i t à e l a q u a l i t à n e l l ’ a m b i t o d e l l e a p p l i c a z i o n i p e r l ’ i n d u s t r i a , l a p r o d u z i o n e , l e i n f r a s t r u t t u r e , l a s i c u r e z z a e l a m o b i l i t à .
verso i vostri abituali
di posta elettronica (
Per
di assistenza tecnica e applicativa è operativo il
alla
it
o
T_M 9
Vi invitiamo quindi a contattarci per ogni necessità e informazione
che al nostro indirizzo di posta elettronica (commerciale.it.mi@hexagon.com) Per ogni esigenza di assistenza tecnica e applicativa è operativo il Contact
o al numero 011/4025555 Seguiteci su tutti i nostri canali di comunicazione e, per una informazione
un solo fornitore per soluzioni complete di
analisi di processo. Per maggiori informazione

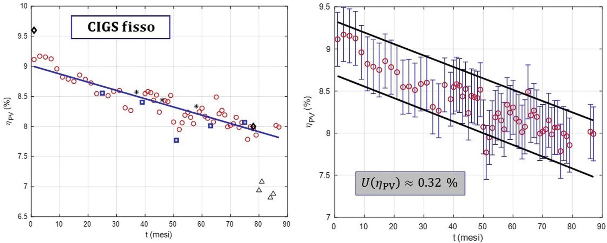
Degrado delle prestazioni di generatori fotovoltaici

Un approccio rigoroso per la valutazione sperimentale

DEGRADATION RATE OF PHOTOVOLTAIC GENERATORS

The results obtained during an 87-months monitoring period of ten PV generators are presented in this paper. The monitoring system, which is subjected to a periodic metrological confirmation, allowed value and uncertainty of the degradation rate of the PV generators to be obtained. The main results are the conformity of m-Si generator to the manufacturer warranty, while CIGS and CdTe (thin film technologies) generators have not met this warranty. It can be also stated that sun-light tracking systems are not really convenient for the higher degradation rate and the remarkable maintenance activity.

RIASSUNTO

L’articolo riassume i risultati relativi al monitoraggio continuodi dieci generatori FV lungo un arco di tempo di 87 mesi. Il sistema di monitoraggio, che è stato soggetto a conferma metrologica periodica, ha permesso di valutare valore e incertezza del degrado del rendimento dei generatori FV. I risultati indicano la conformità della tecnologia m-Si alla garanzia del costruttore e la non conformità a tale garanzia delle tecnologie CIGS e CdTe (film sottile). Risulta inoltre poco conveniente il ricorso a inseguitori a due assi della luce solare, a causa del maggiore tasso di degrado e del maggiore costo di manutenzione.

MOTIVAZIONI

L’aumento continuo di generatori FotoVoltaici (FV) installati a livello mondiale, spinto anche dal recente incremento dei costi dei combustibili fossili, ha evidenziato la necessità di disporre di dati affidabili relativi al comportamento a lungo termine (alcuni decenni) dei generatori FV stessi. Il parametro di maggiore interesse è sicuramente il rendimento hPV di conversione da energia solare a energia elettrica, che condiziona la producibilità di un generatore FV e quindi la bontà economica dell’investimento, solitamente espressa con i parametri LCOE (Levelized Cost of Electricity) e NPV (Net Present Value). Le fonti da cui estrarre informazioni sul degrado nel tempo del rendimento hPV sono principalmente i costruttori di moduli FV e la letteratura scientifica. I primi forniscono solitamente una garanzia di massimo degrado in un intervallo di tempo definito, ad esempio 90% (80%) della potenza iniziale garantita dopo 10 (25) anni. Tuttavia, solitamente non si hanno informazioni sul tipo di degrado nel tempo (a gradini, lineare, …) e non esistono molti dati relativi al

rispetto della garanzia fornita dal costruttore. Per quanto riguarda la letteratura scientifica, i risultati sperimentali disponibili sono riferiti quasi esclusivamente alle tecnologie al silicio, sono basati su misure iniziali e finali (ad esempio, all’installazione e alla dismissione del generatore FV) e spesso non sono “qualificate” da un punto di vista metrologico, in quanto la riferibilità delle misure non è sempre garantita e l’incertezza non è sempre fornita. Al fine di contribuire a colmare parzialmente la carenza di dati affidabili su cui basare la valutazione della bontà di investimenti in generatori FV, nell’anno 2010 gli autori hanno avviato una campagna sperimentale di monitoraggio basata su un sistema di acquisizione dati multicanale appositamente sviluppato per soddisfare i requisiti metrologici essenziali, ossia garanzia di riferibilità e valutazione dell’incertezza. Il monitoraggio è stato eseguito per un intervallo di tempo di 87 mesi e ha riguardato dieci diversi generatori fotovoltaici installati in Piemonte a una latitudine di circa 45° Nord. Sei di questi generatori impiegano moduli FV in posizione fissa e orientati verso Sud (azimut

g = 0°), dei quali cinque con un angolo d’inclinazione b pari a 35° e quello basato su moduli cilindrici sul piano orizzontale (b = 0°), mentre gli altri quattro sono installati su inseguitori solari a 2 assi. Le principali caratteristiche dei dieci generatori fotovoltaici sono riportate nella Tab. 1, dove si può notare che sono stati presi in considerazione sia moduli al silicio, ossia m-Si, p-Si, string ribbon Si e m-Si ad alta concentrazione (HCPV), sia moduli a film sottile, che sono CIGS, CdTe e CIGS cilindrici. Tre delle tecnologie FV (m-Si, CIGS, CdTe) sono presenti sia in installazione fissa sia su inseguitore a due assi. Oltre ai dati di targa forniti dal costruttore (P nom ed hPV), è riportata la potenza massima (Pact) di ciascun generatore, ottenuta sperimentalmente subito dopo l’installazione tramite l’acquisizione del transitorio di carica di un carico capacitivo [1].

IL SISTEMA DI MONITORAGGIO

Uno schema riassuntivo del sistema di monitoraggio sviluppato è riportato nella Fig. 1, mentre una sua completa descrizione può essere trovata in [2]. Le tensioni e le correnti a valle dei moduli FV (grandezze in continua, DC) e a valle dei convertitori di potenza (grandezze in alternata, AC) sono convertite in segnali di tensione tramite circuiti di condizionamento appositamente progettati, che assicurano l’isolamento galvanico tra i generatori FV e il sistema di acquisizione dati, basato su uno chassis PXI che ospita quattro schede di acquisizione dati. L’irradianza solare G è misurata sul piano orizzontale, sul piano dei moduli

1 Dip. di Elettronica e Telecomunicazioni, Politecnico di Torino alessio.carullo@polito.it alberto.vallan@polito.it

2 Dip. di Energia, Politecnico di Torino filippo.spertino@polito.it

EFFICIENZA PANNELLI FOTOVOLTAICI
A.Carullo 1, F. Spertino 2, A. Vallan 1
IL TEMA s
T_M N. 3/22  25

m-Si

2,03 1,93 18,1

1,85 1,80 13,4

2,28 2,16 12,7

CIGS 1,68 1,67 9,6 CdTe 1,74 1,61 10,1

1,72 1,69 9,7

2,03 1,95 18,1

CIGS 1,68 1,66 9,6

Inseguitore

CdTe 1,74 1,61 10,1 HCPV 1,60 1,55 22,0

fissi (b = 35°) e sul piano di uno degli inseguitori a due assi tra mite tre piranometri, mentre la temperatura dei moduli FV è misurata tramite termoresistenze di tipo Pt1000 incollate sulla superficie posteriore di un modulo di ciascun generatore e col legate a un circuito di condizionamento a ponte di Wheatsto ne La temperatura e l’umidità dell’ambiente esterno e del loca le che ospita i convertitori di potenza sono convertite in segnali di tensione tramite due termo igrometri commerciali. Il sistema di monitoraggio esegue una misura di tutte le grandezze d’in gresso ogni 10 s e memorizza i dati ottenuti una volta al minuto in un file creato ogni 24 h Per le analisi qui presentate, le gran dezze d’interesse sono le tensioni in continua (VDC) e le correnti in continua (IDC) a valle dei moduli FV, l’irradianza solare sui tre piani dei moduli FV e le temperature tPV dei moduli FV Il sistema di monitoraggio è stato realizzato in modo da poter essere sezionato nei punti indicati con una “X” nello schema della Fig. 1, permettendo così l’applicazione di valori noti di tensione e corrente in continua e in alternata, attraverso un

calibratore multifunzione. Ciò ha permesso di eseguire una valuta zione iniziale delle funzioni di taratura delle catene di misura, che sono state rap presentate mediante opportune costanti di taratura (fuori zero e guadagno). Per i piranometri è stata utilizzata la sensibilità dichiarata nei corrispondenti certificati di taratura e il guadagno nominale dell’am plificatore collegato all’uscita, mentre per le catene di misura delle temperature dei moduli FV si è fatto riferimento alla classe dei sensori Pt1000 e alle caratteristiche del circuito di condizionamento. L’incer tezza valutata per le grandezze in misura è riassunta di seguito: (0,5% lettura + 0,5 V) per le tensioni VDC nel campo da 100 V a 450 V; (0,4% lettura + 5 mA) per le correnti IDCnel campo da 0,5 A a 7 A; (2% lettura + 5 W/m2) per l’irradianza G nel campo da 500 W/m2 a 1200 W/m2; (0,6% lettura + 0,55 °C) per le temperature tPV nel campo da 10 °C a 80 °C.

È stata quindi definita una procedura di conferma metrologica del sistema di misura con una periodicità di un anno, che pre vede una verifica di taratura iniziale, la messa a punto delle catene di misura delle grandezze elettriche, attraverso l’ag giornamento delle corrispondenti costanti di taratura, e una verifica di taratura finale delle stesse catene successiva alla messa a punto Per le catene di misura delle grandezze elettri che è stato utilizzato lo stesso metodo impiegato durante la caratterizzazione iniziale (applicazione di grandezze note tramite una sorgente di riferimento), mentre le catene di misura dell’irradianza e delle temperature dei moduli FV sono state verificate per confronto con un piranometro campione e un ter mometro campione, affiancati ai sensori in taratura durante un’intera giornata. La verifica di taratura iniziale ha permesso di verificare che gli errori di misura rilevati fossero inferiori alle incertezze valutate, mentre la verifica finale ha permesso di valutare l’efficacia della messa a punto delle catene di misura delle grandezze elettriche. Grazie a questa procedura, si è evitato il rischio di interpretare erronea mente la possibile deriva del sistema di monitoraggio, come un degrado dei generatori FV.

rendimento

tato

dai dati

FV

Figura Architettura del sistema di monitoraggio
N . 0 3 ; 2 0 1 6 IL TEMA s N . 0 3  2 0 2 2
ELABORAZIONE DEI DATI Il
hPV dei generatori
è valu
a partire
misurati come: ηPV = P max, STC AFV GSTC T M  26 1 Tecnologia FV Installazione Pnom (kW) Pact (kW) hPV (%)
Fissa g = 0° b = 35°
p-Si
string ribbon Si
CIGS cilindrici Fissa - b = 0°
m-Si
a due assi
Tabella 1 Principali caratteristiche dei generatori FV sottoposti a monitoraggio
1
(1)

dove AFV è l’area dei moduli FV (m2), GSTC = 1000 W/m2 è l’irradianza in condizioni di riferimento (STC: Standard Test Conditions), mentre Pmax,STC è la potenza massima @ STC, che è ottenuta a partire dalla potenza misurata attraverso il seguente modello semplificato:

dove la corrente di corto circuito ISC,act e la resistenza serie RS,act dei generatori FV sono state valutate durante la caratterizzazione preliminare eseguita tramite l’acquisizione del transitorio di carica di un carico capacitivo, a (A/°C) e b (V/°C) sono i coefficienti di temperatura di corrente e di tensione dei moduli FV (dati di targa del costruttore) e, infine, i coefficienti di correzione CG e Ct sono valutati come:

A partire dai dati forniti dal sistema di monitoraggio, è stata selezionata una giornata serena per ciascun mese e le espressioni da (1) a (3) sono state valutate per valori d’irradianza misurata Gm superiori a 800 W/m2, per i quali è garantita la piena efficienza dei moduli FV. Dalla relazione (1) appare evidente che il principale contributo d’incertezza delle misure di hPV è legato alle misure di Pmax,STC, essendo GSTC un valore di riferimento e AFV una grandezza nota con incertezza trascurabile. L’incertezza tipo u(Pmax,STC) è stata valutata con la procedura descritta in [3] tenendo conto sia dei contributi d’incertezza strumentale uB(P) delle varie catene di misura sia del contributo di riproducibilità uA(P) derivante dall’applicazione della relazione (2) per tutti i valori di Gm superiori a 800 W/m2. La Tab. 2 riporta i termini che contribuiscono all’incertezza tipo u(Pmax,STC) relativa alla giornata del 17 gennaio 2016.

Come si può osservare dalla Tab. 2, il principale contributo d’incertezza è quello legato al fattore di correzione CG e, quindi, alla misura dell’irradianza Gm, per il quale non è possibile ottenere valori significativamente inferiori per misure in campo, visto che è stato impiegato un piranometro campione di lavoro (Kipp&Zonen CMP11). Si noti, inoltre, che nella Tab. 2 non sono presenti le tecnologie CIGS cilindrici e HCPV, in quanto le loro prestazioni sono risultate di gran lunga inferiori a quanto atteso. Per la prima tecnologia sono stati rilevati valori di rendimento notevolmente inferiori ai dati di targa (questi moduli sono stati ritirati dal mercato), mentre la tecnologia HCPV ha mostrato una bassissima disponibilità (availability) a causa di continui guasti del sistema di inseguimento, che doveva garantire l’allineamento dei moduli con la luce incidente entro un errore angolare di 1°. Inoltre si deve segnalare che questa tecnologia non produce energia nel caso di luce diffusa (ad esempio, giornata nuvolosa) a differenza delle altre tecnologie. Al fine di valutare il degrado dei generatori FV, sono stati identificati i parametri hPV(t0) (rendimento iniziale) e Sh (pendenza) di una funzione lineare che descrive l’andamento dei valori di rendimento ottenuti con la relazione (1) mediante un algoritmo ai minimi quadrati: (4)

dove il tempo t è espresso in mesi. A partire da questo modello, il tasso di degrado annuale DR di ciascun generatore FV è ottenuto come:

DR =100

(%/anno)

Il primo parametro economico utilizzato (LCOE) permette di confrontare tecnologie differenti, in quanto è definito come:

T_M n 27 N.03 n ; 2022 IL TEMA s (2) (3)

Pmax, STC = (IDC + ISC, act CG + a⋅ Ct) [VDC + b Ct RS, act ⋅ (ISC, act ⋅ CG + + a⋅ Ct)] CG = 1 –; Ct = tstc tPV GM GSTC
ηPV (t) = ηPV (t0) + Sη⋅ t 12 Sη ηmedio
25304 caratteri, 4 figure, 4 tabelle Tabella 2 Tecnologia FV uA(P) (W) uB,Idc(P) (W) uB,Vdc(P) (W) uB,CG(P) (W) uB,tm(P) (W) u(Pmax,STC) (W) Pmax,STC (W) hPV (%) u(hPV) (%) m-Si 8,2 5,0 5,7 26 3,2 28 1940 17,33 0,25 p-Si 8,4 4,4 5,0 40 4,1 42 1725 12,50 0,30 string ribbon Si 11,7 5,4 6,2 27 4,9 31 2110 11,77 0,17 CIGS 10,9 3,4 4,1 14 3,2 19 1375 7,95 0,11 CdTe 4,9 3,0 4,3 8,5 3,1 12 1415 8,07 0,07 m-Si (x-y) 8,0 5,9 5,7 24 3,2 27 1990 17,78 0,24 CIGS (x-y) 3,7 4,0 3,8 10,8 3,5 13 1350 7,70 0,07 CdTe (x-y) 3,9 3,9 3,9 11,0 2,6 13 1360 7,84 0,07 Tabella 2 – I termini dell’incertezza tipo u(Pmax,STC) relativa alla giornata del 17 gennaio 2016 ed i corrispondenti valori di rendimento e incertezza u(hPV) (5) Cinst + Σ LCOE = (€/kWh) N k = 1 N k = 1 Co&m, k (1+r) k EG, k (1+r) kΣ (6)

dove Cinst è il costo di installazione, Co&m,k è il costo annuale di manutenzione, EG è l’energia prodotta durante il k esimo anno e r il tasso di interesse L’altro parametro (NPV) è un indicatore della bontà dell’inve stimento e richiede di considerare i ricavi RPV dall’energia pro dotta (da autoconsumo e da vendita in rete):

RISULTATI SPERIMENTALI

I risultati ottenuti in termini di degrado del generatore FV m Si fisso sono riportati nella Fig. 2 dove, nel grafico di sinistra, i cerchi rossi sono i valori di hPV misurati, i quadrati blu sono i valori di hPV misurati dopo la messa a punto del sistema di monitoraggio, mentre gli asterischi neri si riferiscono ai rendi menti misurati dopo il lavaggio dei moduli FV. Si noti che, a seguito della messa a punto, non si notano differenze signifi cative di rendimento, evidenziando quindi che la deriva del sistema di monitoraggio durante l’inter vallo di taratura è accettabile. Nello stesso grafico di sinistra sono riportati i valo ri di rendimento (rombi neri) ottenuti ai mesi 1 e 78 con la tec nica del carico capacitivo, che risultano in accordo con la variabilità stagionale osser vata Infine i triangoli neri eviden ziano valori non validi, dovuti a un guasto del sistema di moni toraggio tra i mesi 80 e 85. Questi valori non sono stati consi

derati per l’implementazione del modello (4), ripor tato nel grafico di sinistra con una linea blu, che ha fornito un degrado DR (relazione 5) pari a 0,03%/anno Nel grafico di destra della stessa figura sono riportati i valori di hPV con la corrispon dente incertezza estesa U(hPV), ottenuta applicando un fattore di copertura k = 2 all’incertezza tipo calcolata. Tenendo conto dell’incertezza delle misure di rendimento è stata valutata l’in certezza estesa del parametro DR a un livello di fiducia del 95%, ottenendo U(DR) = 0,35%/anno, per cui si può afferma re che la garanzia del costruttore è rispettata, sia a 10 anni sia a 25 anni, anche considerando il valore limite di degrado DR = 0,38%/anno

La stessa analisi, eseguita sui risultati dei generatori FV p Si e string ribbon Si in posizione fissa, ha permesso di valuta re valori di degrado nominale DR, rispettivamente pari a 0 , 8 7 % / a n n o e 0 , 6 8 % / a n n o , m e n t r e l e c o r r i s p o n d e n t i incer tezze estese U(DR) sono risultate pari a 0,35%/anno e 0 , 2 5 % / a n n o I n b a s e a q u e s t i r i s u l t a t i n o n è p o s s i b i l e dare un giudizio sulla conformità alla garanzia fornita dal costruttore, in quanto i valori di degrado sono inclusi negli inter valli ( 0,52 ÷ 1,22)%/anno per il generatore p Si e ( 0,43 ÷ 0,93)%/anno per il generatore string ribbon Si Nella Fig. 3 sono ripor tati i risultati relativi al generatore FV GIGS fisso, dove i simboli utilizzati hanno lo stesso signifi c a t o d e l l a F i g 2 I n q u e s t o c a s o i l d e g r a d o m i s u r a t o è D R = 1 , 8 3 % / a n n o c o n u n ’ i n c e r t e z z a e s t e s a U ( D R ) = 0,20%/anno Ne consegue che anche considerando l’estremo superiore

le disponibile come optional e alla tri pla foratura M6. Senza tale piattafor m a , g l i s t a d i h a n n o u n ’ a l t e z z a d i s o l i 63 mm

NUOVO STANDARD PREZZO/PRESTAZIONI

NELLE SOLUZIONI

DI POSIZIONAMENTO

P I ( P h y s i k I n s t r u m e n t e ) a m p l i a i l s u o p o r t f o l i o c o n l a n u o v a s e r i e d i a s s i lineari ad alto carico V 817, che stabili sce così un nuovo standard di prezzo pr es t az ioni nelle s oluz ioni di pos iz io namento per l’elaborazione, collaudo e attività di ispezione altamente dina miche e precise nei settori dei semicon duttori, dell’elettronica e dei laser La serie V 817 è adatta ad applicazioni q u a l i i l p o s i z i o n a m e n t o d i s e n s o r i e telecamere, la saldatura laser, le proce dure di test ottici e tattili, nonché l’ela borazione e l’ispezione di wafer Alcu ni modelli del nuovo asse, ad alte pre stazioni ed economico, sono specifica t a m e n t e i n d i c a t i p e r l ’ a u t o m a z i o n e industriale di precisione.

I n u o v i a s s i l i n e a r i s o n o p r o g e t t a t i p e r applicazioni industriali con cicli di fun zionamento elevati: i motori lineari tri fase, con guide a ricircolo di sfere, offro no forze costanti fino a 600 N e velocità fino a 3 000 mm/s

I n o l t r e l ’ e n c o d e r l i n e a r e i n c r e m e n t a l e h a u n a r i s o l u z i o n e f i n o a 0 , 3 n m , c h e g a r a n t i s c e e l e v a t a p r e c i s i o n e , m i n i m i e r r o r i d ’ i n s e g u i m e n t o e b r e v i t e m p i d i assestamento

La precisione di posizionamento tarata d e g l i s t a d i l i n e a r i è f i n o a ± 2 , 5 µ m I l campo di corsa si estende fino a 813 mm.

Per applicazioni multi asse, questi stadi possono essere facilmente combinati in sistemi XY.

Gli assi possono essere assemblati singo larmente, grazie alla piattaforma mobi

G r a z i e a q u e s t a p r o p r i e t à , p o s s o n o e s s e r e i n t e g r a t i c o m e a s s e s i n g o l o o c o m e c o m b i n a z i o n e X Y i n g r u p p i d i macchine compatte

G r a z i e a l d e s i g n p i a t t o , l a m a s s a i n m o v i m e n t o e g l i e r r o r i p a r a s s i t i s o n o ridotti al minimo

Q u e s t i s t a d i l i n e a r i s o n o a d a t t i p e r l’uso in ambienti di lavoro puliti, poi c h é i l l o r o m o v i m e n t o n o n g e n e r a alcuna particella

P o s s o n o e s s e r e f a c i l m e n t e e r a p i d a m e n t e a l l i n e a t i d u r a n t e l ’ i n s t a l l a z i o ne, grazie a un riscontro appositamen t e s a g o m a t o , c a r a t t e r i z z a t o d a u n parallelismo migliore di 30 m rispetto a l l e g u i d e o a l l a d i r e z i o n e d e l m o v i mento I connettori industriali con un elevato g r a d o d i p r o t e z i o n e I P o ff r o n o u n a connettività sicura.

CLICCA QUI per ulteriori informazioni

T M  28 N . 0 3 ; 2 0 1 6 IL TEMA s N . 0 3  2 0 2 2
(RPV, k Co&m, k) (1+r)kNPV = Cinst + (€)Σ N k = 1
(7)
NEWS t

dell’inter vallo di misura, ossia 1,63 %/anno, si può affer mare che questo generatore FV non è conforme alla garan zia fornita dal costruttore

Com e ul t im o es em pio dei r is ul t at i ot t enut i, nel l a Fig 4 s i ripor ta il confronto tra il compor tamento su installazione fissa (linea blu) e su inseguitore a due assi (linea rossa) dei generatori FV a film sottile CIGS (grafico di sinistra) e CdTe (grafico di destra)

Per il generatore CIGS, il degrado passa da 1,83%/anno per l’installazione fissa a 3,34%/anno (U(DR) = 0,26%/anno) per l’installazione su inseguitore, evidenziando così un notevo le peggioramento delle prestazioni Nel caso del generato re CdTe, il peggioramento non è così evidente, in quanto si passa da 2,36%/anno (U(DR) = 0,30%/anno) per l’instal lazione fissa a 2,41%/anno (U(DR) = 0,20%/anno) per

l’installazione su inseguitore. Per entrambe le tecnologie a f il m s ot t il e, s i può af f er m ar e che non vi è conf or m it à al l a garanzia del costruttore sia per l’installazione fissa sia per quella su inseguitore a due assi

L a s i n t e s i d e i r i s u l t a t i o t t e n u t i i n t e r m i n i d i d e g r a d o D R e incer tezza estesa U (D R ) a un livello di fiducia del 95% è ripor tata nella Tab. 3 per i generatori FV sottoposti a moni toraggio

T M  29 N . 0 3  ; 2 0 2 2 IL TEMA s Dal punto di vista economico, si fa inizialmente riferimento ai valori al momento dell’installazione per i generatori FV s u i n s t a l l a z i o n e f i s s a , o s s i a C i n s t = 5 , 0 k € / k W, C o & m = 1% Cinst, r = (2 ÷ 3) % e si considera l’energia prodotta al primo anno, pari a EG,1 = 2 500 kWh, e il ricavo al primo anno, pari a RPV,1 = 1 140 € (periodo di “for te” incentiva zione). In queste condizioni si ottengono i valori di LCOE

Figura 2 Risultati sperimentali relativi al generatore FV m Si fisso Figura 3 Risultati sperimentali relativi al generatore FV CIGS fisso

Figura

( r e l a z i o n e 6 ) e N P V ( r e l a z i o n e 7 ) r i a s s u n t i n e l l a Ta b 4 (Valori al 2010), che sono stati calcolati sia per il degrado nominale (valori in nero) sia per il degrado misurato (valori in blu, nel caso di maggiore resa economica, o in rosso, nel caso di minore resa economica) Nel caso del generatore FV m Si fisso si nota un sensibile aumento tra la resa attesa e q u e l l a e f f e t t i v a , m e n t r e p e r l a t e c n o l o g i a a f i l m s o t t i l e CIGS fisso si ha un’impor tante riduzione.

CONCLUSIONI

25304 caratteri, 4 figure, 4 tabelle

Una sintesi dei risultati ottenuti in termini di degrado del ren dimento dei generatori FV può essere ricavata a par tire dal l’analisi della Tab 3

Q u e s t ’ u l t i m o c o m p o r t a m e n t o s i r i s c o n t r a a n c h e n e l c a s o della tecnologia a film sottile CdTe

Per quanto riguarda i generatori p Si e string ribbon Si in posizione fissa, non si ottengono significative differenze tra la resa attesa e quella effettiva, in quanto il degrado misu rato è compatibile con quello nominale.

Le stesse conclusioni possono essere estese a un investi mento eseguito oggi per installazioni fisse, considerando Cinst = 2,2 k€/kW, Co&m = 1%·Cinst, r = (2 ÷ 3) % e conside rando EG,1 = 2.500 kWh e RPV,1 = 550 € (periodo di “debo le” incentivazione con un valore medio di 0,22 €/kWh tra prezzo dell’energia per l’utente e prezzo riconosciuto per l’im missione in rete con il meccanismo di “scambio sul posto”) I valori corrispondenti sono ripor tati nella Tab. 4 (valori al 2022).

L’analisi del generatore FV m Si su inseguitore a due assi è stata eseguita considerando un maggior costo di installa zione C inst = 2,5 k € /kW (a oggi), un maggiore costo di m a n u t e n z i o n e C o & m = 2 % C i n s t e l ’ e n e r g i a p r o d o t t a a l primo anno EG,1 = 3 400 kWh Per questo generatore non s i o s s e r v a n o d i f f e r e n z e s i g n i f i c a t i v e t r a l a r e s a a t t u a l e e quella effettiva, perché anche in questo caso è stato ottenu to un degrado sperimentale in linea con quello atteso Per le tecnologie a film sottile non si for niscono risultati per i parametri economici attuali, in quanto la loro quota di mer cato è attualmente trascurabile nei sistemi fissi ed ancor di più nei sistemi a inseguimento del percorso solare

La prima impor tante conclusione è la migliore prestazione dei moduli al silicio rispetto a quelli a film sottile, in quanto per i primi sono stati ottenuti valori significativamente infe riori di degrado

U n a l t r o i m p o r t a n t e r i s u l t a t o è i l m a g g i o r e d e g r a d o d e i g e n e r a t o r i F V s u i n s e g u i t o r e a d u e a s s i r i s p e t t o a q u e l l i s u

Tabella 3

T M  30 N . 0 3 ; 2 0 1 6 IL TEMA s N . 0 3  2 0 2 2
4 Confronto dei risultati sperimentali tra installazione fissa e inseguitore a due assi per i generatori FV CIGS (sinistra) e CdTe (destra)
Prestazione dei generatori FV in termini di degrado del rendimento
Tabella 3 Tecnologia FV DR (%/anno) U(DR) (%/anno) m-Si -0,03 0,35 m-Si (x-y) -0,78 0,40 p-Si -0,87 0,35 string ribbon Si -0,68 0,25 CIGS -1,83 0,20 CIGS (x-y) -3,34 0,26 CdTe -2,36 0,30 CdTe (x-y) -2,41 0,20

Tabella 4

Tecn. FV

LCOEDR nominale

Valori al 2010

LCOEDR misurato

NPV - DR nominale

NPV - DR misurato

Valori al 2022

LCOEDR nominale

LCOEDR misurato

NPV - DR nominale

NPVDR misurato

m-Si 0,32÷0,33 0,29÷0,30 6040 7930 0,13÷0,15 0,11÷0,13 4500 5500 CIGS 0,32÷0,33 0,36÷0,37 6040 4150 m-Si (x-y) 0,12÷0,14 0,13÷0,15

i n s t a l l a z i o n e f i s s a , s i a p e r l e t e c n o l o g i e a l s i l i c i o s i a p e r q u e l l e a f i l m s o t t i l e , a c a u s a d i u n a m a g g i o r e e s p o s i z i o n e d e i m o d u l i F V s u i n s e g u i t o r e a s t r e s s t e r m i c i e m e c c a n i c i [ 4 ]

Si può inoltre affermare che i generatori FV a film sottile non s o n o c o n f o r m i a l l a s p e cifica IEA (Int e r n a t i o n a l E n e r g y Agency), che prevede un degrado annuale del rendimento non superiore allo 0,7%

Infine, per le tecnologie p Si e string ribbon Si non è possibile valutare in modo significativo la conformità a tale specifica, a causa dell’incer tezza ottenuta Combinando le considerazioni relative al degrado DR con quelle ottenute dai parametri economici LCOE ed NPV, si possono fornire le seguenti linee guida sintetiche:

la tecnologia m Si su installazione fissa rappresenta il miglio re investimento, come conseguenza del ridotto degrado del rendimento e di un minore ingombro, grazie all’elevato rendi mento (circa 20%);

le tecnologie a film sottile CIGS e CdTe presentano elevati tassi di degrado, con conseguente minore resa economica rispetto a quella attesa; inoltre richiedono un maggiore ingom bro (rendimenti dell’ordine del 10%);

le tecnologie p Si e string ribbon Si forniscono ritorni econo mici in linea con quelli attesi e richiedono un ingombro medio (rendimenti tra il 12% e il 14%);

il ricorso a inseguitori a due assi non risulta conveniente, a causa di maggiori costi d’installazione e manutenzione, mag giore ingombro e maggiore degrado (significativo per CIGS e m Si);

la tecnologia basata su moduli FV CIGS cilindrici ha fornito risultati deludenti;

la tecnologia HCPV ha manifestato notevoli problemi di dis ponibilità, in quanto richiede un inseguitore con controllo atti vo dell’allineamento con la luce incidente; inoltre, la produzio ne di energia risulta assente nel caso di luce diffusa

RIFERIMENTI BIBLIOGRAFICI

[1] Mar wan M Mahmoud, Transient analysis of a PV power

generator charging a capacitor for measurement of the I V characteristics, Renew Energy 31(13), 2006, pp 2198 2206

[2] A Carullo, A Vallan, Outdoor experimental laboratory for long term estimation of photovoltaic plant performance, IEEE Trans. on IM, 61(5), 2012, pp. 1307 1314.

[3] A Carullo et al , Uncertainty analysis of degradation parameters estimated in long term monitoring of photovoltaic plants, Measurement, 55, 2014, pp. 641 649.

[4] A. Carullo et al., Uncertainty issues in the experimental assessment of degradation rate of power ratings in photo voltaic modules, Measurement, 111, 2017, pp 432 440

Alessio Carullo è professore associato di misure elettriche ed elettroniche presso il Dipar timento di Elettronica e Telecomunicazioni del Politecnico di Torino I suoi principali campi di ricerca sono lo sviluppo e la caratterizzazione metrologica di stru m e n t a z i o n e i n t e l l i g e n t e , l a g a r a n z i a d i r i fe r i b i l i t à delle misure fornite da sistemi di monitoraggio di stribuiti e la validazione di sistemi di taratura automatici.

Filippo Sper tino è professore associato di siste mi elettrici per l’energia presso il Dipar timento di Energia “Galileo Ferraris” del Politecnico di Torino. I suoi principali campi di ricerca sono la progetta zione , la simulazione teorica e la verifica sperimentale di sistemi fotovoltaici ed eolici connessi a rete con oppor tuni sistemi di accumulo

Alber to Vallan è professore associato di misure elettriche ed elettroniche presso il Dipar timento di Elettronica e Telecomunicazioni del Politecnico di Torino I suoi principali campi di ricerca riguarda no lo sviluppo e la caratterizzazione di sistemi di misura e di sensori in fibra ottica per applicazioni industriali e biomedicali

Tabella 4 Confronto tra generatori FV in termini di parametri economici
T M  31 N . 0 3  ; 2 0 2 2 IL TEMA 
pdt performance digital traceability Certi cazione digitale in Blockchain delle performance aziendali e delle competenze delle persone www.iqcbox.com La Certi cazione Digitale PDT® - Performance Digital Traceability è un procedimento di analisi, rilevazione discreta e continua e successiva rappresentazione digitale delle risultanze, riferite ad organizzazioni, processi, servizi e prodotti. C-BOX® è la Piattaforma per la reazione e il rilascio di Digital Badge strumento agile, dinamico e innovativo, per la tracciabilità dei saperi acquisiti in tutti i contesti formativi ed esperienziali. www.iqcpdt.com IQC S.r.l. Sede Legale: Via Domenico Morelli, 4/A - 40137 Bologna (BO) Sede Operativa: Via di Corticella, 181/3 - 40128 Bologna (BO) P.I. e C.F.: 03332011208 - www.itaqua.it - info@itaqua.it Tel. +39 051 4172555 - Fax +39 051 4172501 www.itaquait . itaqua.it
• R&S, Innovazione Tecnologica e Digitale • Transizione 4.0, interconnessione beni strumentali e perizie • • • Consulenza per la credibilità delle misure nell’Industry 4.0 • Consulenza sistemi aziendali ad alta integrazione digitale • • Tecnologia Blockchain Società Tecnologica del Gruppo Servizi Integrati Business coniugando interventi consulenziali ad alto contenuto professionale con soluzioni tecnologiche che ne oggettivano le risultanze e ne agevolano la comunicazione del valore. Innovazione nell’ nformation Tecnology ompetenze delle nella Long life Learing rappresentano gli asset aziendali per rendere a dabili e uidi i processi per l’agile allineamento al contesto in rapida evoluzione. Sensori sempre più miniaturizzati nell’IoT, Digitalizzazione, Intelligenza Arti ciale, Blockchain, sicurezza dei dati e delle informazioni, rappresentano i fattori di successo per guidare le imprese in Transizione 4.0 verso l’Economia della Conoscenza, mantenendo il continuità operativa e fornendo stabilità agli stakeholder reputazione aziendale Soluzioni per evolvere www.pomiager.com ansizione 4.0, in • r R&S, Inno T• • t onnessione beni serc a e Digitazione Tecnologicazionev ale trumen alit omwww.pomiager.c • Consulenz • • Consulenz• • emi aziendali ad altt à delle misur a sis edibilita cr egrazione digitt e nell’Indus a in ale y 4.0tr

PESI SINGOLI: Pesi in acciaio INOX in classe di precisione M1; masse OIML in fusione di ghisa

per bilance di grossa portata;

aste porta pesi in classe di pre cisione M1; pesi in acciaio

disco

Uniformare il

per garantire la

Vendita di pesi, pesiere e masse di grossa portata

TUTTO TMISURE UTTO MISURE D OR A E EMA p TUTTO TMISURE UTTO MISURE EMA G A R EM A R ARGOMEN g GLI ESPERTI DI T M Via Picasso 18/20 20025 Legnano (MI) Tel. 0331/466611 Fax 011/465490 E mail: tomalino@cibelab.it Web: www.cibelab.it Persona da contattare: Erika Tomalino
peso
Qualità Il laboratorio metrologico CIBE lavora per assicurare qualità e affidabilità riferite alle misure di massa, eseguendo prove e tarature per bilance, sistemi automatici di pesatura e di misura Da 40 anni CIBE è un punto di riferimento nell’ambito della Metrologia legale e tecnica in Italia ed in Europa. CIBE offre: • Ser vizi di taratura ACCREDIA per pesi, masse e bilance; • Rapporti di prova per bilance, indicatori di peso, sistemi di pesatura automatica e celle di carico; • Verificazione periodica di strumenti per pesare; • Formazione e consulenza sulla metrologia legale e scientifica; •
c l a s s e d i p r e c i s i o n e M 1 ; m a s s e i n c l a s s e d i precisione M1
masse a
e
INOX classe di pre c i s i o n e F 1 , p e s i c a m p i o n e i n a c c i a i o I N O X classi di precisione E1 E2 P E S I E R E : P e s i e r e i n l e g n o e i n a l l u m i n i o c o n s e t d i p e s i i n a c c i a i o I N O X i n c l a s s e d i precsione M1, F1, E2 STRUMENTI FORNITI S O F T WA R E : S o f t w a r e p e r l a g e s t i o n e d e l l a t a r a t u r a e p r o v e d i s t r u m e n t i p e r p e s a r e ACCESSORI: Custodie in legno, p l a s t i c a e a l l u m i n i o p e r p e s i s i n g o l i e s e t d i p e s i ; m a n i g l i e , pinze, pennellini e altri accessori T M  34

di Accredia

THE PAGE OF ACCREDIA

Accredia, The Italian National Accreditation Body plays an active role in “TUTTO MISURE”, as a per m a n e n t s t r a t e g i c p a r t n e r, e n s u r i n g a h i g h a d d e d value contribution to the quality of the Magazine, in the context of the measurement and testing sector, for the benefit of the industr y

RIASSUNTO

Accredia, L’Ente unico di Accreditamento Naziona le gioca un ruolo attivo nella squadra di “TUTTO MI SURE”, garantendo valore aggiunto a livello contenutistico per quanto riguar da l’ambito delle misure e delle prove.

t a m e n t e c o s t i t u i t o e c o m p o s t o d a l l e principali istituzioni coinvolte: Ministe

Per biobanca di ricerca s’intende una struttura che raccoglie, conser va e ge stisce in maniera organizzata materia le biologico e relativi dati clinici, a fini di ricerca Il materiale biologico è un patrimonio essenziale per il progresso delle biotecnologie, settore emergente su scala universale che, secondo le sti me dell’OCSE, nel 2030 avrà un peso enorme sull’economia mondiale e inci derà complessivamente per il 2,7% del Pil globale

Le biobanche di ricerca hanno un am pio impatto e coloro che utilizzano ma teriali depositati richiedono garanzie relativamente alle attività di raccolta, traspor to, conser vazione, tracciabilità e dis t r ibuzione di t al i m at er ial i. P er il progresso della ricerca è quindi fonda mentale che i materiali biologici depo sitati siano di qualità e vengano gestiti dalle biobanche, in modo da assicura re la riproducibilità e la comparabilità d e i r i s u l t a t i d e l l a r i c e r c a , a t t r a v e r s o processi e procedure standard A queste esigenze risponde l’accredi t a m e n t o d e l l e b i o b a n c h e s e c o n d o l a norma UNI ISO 20387:2019 “Biotec nologie “Biobanking” Requisiti ge nerali per il biobanking”, specificando

i requisiti generali di competenza, im p a r z i a l i t à e c o e r e n t e f u n z i o n a m e n t o d e l l e s t r u t t u r e L a n o r m a d e f i n i s c e u n ampio quadro di riferimento, condiviso a livello inter nazionale, per la raccol ta, la conser vazione e il successivo uti l i z z o d e i c a m p i o n i , e r a p p r e s e n t a i l r i f e r i m e n t o p e r l a r i c h i e s t a e l ’ o t t e n i mento dell’accreditamento.

Il 14 luglio scorso, la prima Biobanca italiana (la Biobanca Multispecialistica dell’Azienda Ospedaliera Universita ria Pisana) ha ottenuto l’accreditamen to ai sensi della UNI ISO 20387. Il pro c e s s o d i v a l u t a z i o n e h a c o i n v o l t o u n team ispettivo con competenze sia nel l ’ a m b i t o d e l b i o b a n k i n g d i m a t e r i a l e b i o l o g i c o d i o r i g i n e u m a n a , s i a i n m a t e r i a d i s i s t e m i d i g e s t i o n e d e l l a qualità, sicurezza infor matica e delle informazioni, privacy e GDPR La valu t a z i o n e è s t a t a s v o l t a a l i v e l l o d o c u mentale e mediante verifica in sede. Si tratta della prima biobanca italiana a o t t e n e r e q u e s t o i m p o r t a n t i s s i m o r i c o noscimento Lo schema di accreditamento e i relati vi regolamenti sono stati elaborati dal Dipar timento Laboratori di taratura di Accredia, in collaborazione con l’Istitu to Superiore di Sanità e il Dipar timento Laboratori di prova di Accredia Fon damentale anche il suppor to di un Ta volo Tecnico di Consultazione apposi

r o d e l l a S a l u t e , M i n i s t e r o d e l l e P o l i t i c h e A g r i c o l e , A l i m e n t a r i e F o r e s t a l i , Istituto Superiore di Sanità, Associazio ne Istituti Zooprofilattici, Consiglio per l a R i c e r c a i n A g r i c o l t u r a e l ’ a n a l i s i dell’economia agraria, BBMRI Italia, Istituto Nazionale di Ricerca Metrologi c a , J O I N T R E S E A R C H U N I T M I R R I I T, Ordine Nazionale dei Biologi, RIBES Un risultato reso possibile grazie alla collaborazione tra Accredia e il Ministe ro della Salute con l’avvio di un Progetto Pilota che nel 2021 ha visto coinvolte tre Biobanche appar tenenti a tre Istituti di Ricerca, Ricovero e Cura (IRCSS) nelle valutazioni preliminari in confor mità alla norma UNI ISO 20387. L’accreditamento fornisce un indicato re chiaro e affidabile delle capacità e dell’adeguatezza della struttura in ter mini di competenza, imparzialità e fun z i o n a m e n t o c o e r e n t e , i n l i n e a c o n l o standard internazionale Inoltre il pro c e s s o d i v a l u t a z i o n e p r o p e d e u t i c o a l rilascio del cer tificato di accreditamen t o f o r n i s c e i n f o r m a z i o n i p r e z i o s e a s u p p o r t o d e l l a B i o b a n c a n e l f o n d a m e n t a l e p r o c e s s o d i s e m p l i f i c a z i o n e delle procedure, favorendo un poten ziale risparmio di tempo e denaro Q u a n t o a i r i s u l t a t i , l ’ a c c r e d i t a m e n t o a u m e n t a l a f i d u c i a n e l l a p r o d u z i o n e d e l l a b i o b a n c a e a s s i c u r a a l l e p a r t i int er es s at e il r is pet t o dei r equis it i cr u ciali, contribuendo al progresso della ricerca scientifica nel settore.

1 Direttore Dipar timento Laboratori di taratura, Accredia Torino r.mugno@accredia.it

2 Direttore Dipar timento Laboratori di prova, Accredia Roma s.tramontin@accredia.it

3 Relazioni esterne, Accredia Roma f.nizzero@accredia.it

ACCREDITATA LA PRIMA BIOBANCA ITALIANA DI RICERCA CONFORME ALLA UNI ISO 20387
T M  35
La pagina
Notizie dall’Ente di accreditamentoL A P A G I N A D I A C C R E D I A s T M N. 3/22  35 Rubrica a cura di Rosalba Mugno 1 , Silvia Tramontin 2 e Francesca Nizzero 3

SICUREZZA ALIMENTARE

E FOOD PACKAGING: IL RUOLO STRATEGICO DEGLI RMP ACCREDITATI

L’attenzione della comunità scientifica e degli stessi consumatori alla qualità d e g l i a l i m e n t i e a l l o r o i m p a t t o s u l l a s a l u t e u m a n a è a u m e n t a t a e s p o n e n z i a l m e n t e n e g l i u l t i m i a n n i , a n c h e a causa della crescente complessità dei p r o c e s s i p r o d u t t i v i . D i p a r i p a s s o , è aumentata la necessità di informazioni chiare e trasparenti, nonché di analisi di laboratorio in grado di fornire risul tati sempre più precisi e affidabili Gli alimenti possono contenere sostan ze che influiscono sulla loro qualità e composizione, ad esempio gli additivi (conser vanti, coloranti, ecc ) e, soprat tutto, i contaminanti alimentari (tossine, pesticidi, metalli pesanti) che sono po t e n z i a l m e n t e p e r i c o l o s i p e r l a s a l u t e dei consumatori Per questo tali sostan ze sono soggette a precise legislazio ni, che ne stabiliscono i limiti massimi accettabili nei vari prodotti alimentari destinati al consumo umano Fondamentale è, quindi, identificare e quant if icar e ques t e s os t anze al l ’ int er no delle matrici alimentari. Numerosi metodi analitici sono già stati messi a punto dalla comunità tecnico scientifi ca, e m ol t i al t r i s ono at t ual m ent e al l o s t u d i o , c o n l ’ o b i e t t i v o d i m i g l i o r a r e l’accuratezza della determinazione. I materiali di riferimento sono uno stru mento chiave per il corretto sviluppo dei processi di misurazione Secondo la norma UNI CEI EN ISO 17034:2017 “Requisiti generali per la competenza dei produttori di materiali di riferimen to”, si definisce materiale di riferimento (RM Reference Material) un “materia le, sufficientemente omogeneo e stabi le rispetto a una o più proprietà speci ficate, che è stato stabilito essere ido n e o p e r i l s u o u t i l i z z o p r e v i s t o i n u n processo di misurazione” . In più, un materiale di riferimento cer ti ficato (CRM Cer tified Reference Ma terial) è “caratterizzato mediante una p r o c e d u r a m e t r o l o g i c a m e n t e v a l i d a p e r u n a o p i ù p r o p r i e t à s p e c i f i c a t e , a c c o m p a g n a t o d a u n c e r t i f i c a t o d e l materiale di riferimento che fornisce il valore della proprietà specificata, dal

la sua incertezza associata, e da una dichiarazione sulla riferibilità metrolo gica” In par ticolare, i CRM svolgono un ruolo fondamentale nella quantifica

z i o n e d e l l e s o s t a n z e c o n t a m i n a n t i e d e g l i a d d i t i v i n e g l i a l i m e n t i , c o n t r i buendo in maniera sostanziale alla va lutazione della sicurezza alimentare

L ’ e s i g e n z a d i g a r a n t i r e l a r i f e r i b i l i t à d e i r i s u l t a t i a l s i s t e m a i n t e r n a z i o n a l e del l e unit à di m is ur a ha int r odot t o, in campo metrologico, il ricorso all’accre ditamento La riferibilità è garantita dai materiali di riferimento cer tificati pro dotti da produttori di materiali di riferi m e n t o a c c r e d i t a t i ( R M P R e f e r e n c e Material Producers) ai sensi della nor ma ISO 17034

N e l s u o a r t i c o l o “ U n s o r s o d i s icurezza. I produttori di materiali di riferimento accreditati nel settore alimentare: uno studio nel settore enologico” , pubblicato sul la rivista Ingredienti Alimentari, Iris Ca gnasso, funzionario tecnico del Dipar timento Laboratori di taratura di Accre dia, ha sottolineato l’impor tanza, nel compar to alimentare (ma non solo), di sviluppare materiali di riferimento cer ti ficati sotto accreditamento Emblemati co è l’esempio dell’anidride solforosa, tra gli additivi alimentari più utilizzati p e r l a p r e s e r v a z i o n e , s o p r a t t u t t o i n enologia, tramite l’aggiunta di agenti s ol f it ant i al vino ( i f am os i s ol f it i in et i chetta) Trattandosi di un possibile al l e r g e n e , i l R e g o l a m e n t o d e l e g a t o U E 2019/934 ha stabilito che la concen trazione massima di anidride solforosa totale dev’essere pari a 150 mg/l per i vini rossi e a 200 mg/l per i vini bian chi. I materiali di riferimento di questo additivo in matrice alimentare disponi bili in commercio sono pochi, e si av ver te la necessità di un RMP di anidride s o l f o r o s a n e l v i n o c o m e g a r a n z i a d i a f f i d a b i l i t à d e i r i s u l t a t i d e l l e m i s u r e effettuate sui campioni reali. L’accreditamento dei produttori di ma teriali di riferimento ai sensi della nor ma ISO 17034 è un aspetto fondamen tale per assicurarne la competenza tec nica e accrescere la fiducia nella cor retta determinazione della sostanza e, di conseguenza, garantire il consuma tore finale.

L’impor tanza di disporre di materiali di

r i f e r i m e n t o p r o d o t t i s o t t o a c c r e d i t a mento è stata ribadita anche nel corso del Convegno “I Produttori di Materiali di Riferimento (RMP) accreditati, a ga ranzia del food packaging”, organiz zato nella cornice degli incontri annua li dei Laboratori di taratura accreditati Iris Cagnasso di Accredia ha ricordato come la scelta del packaging alimenta re rappresenti un tassello impor tante a garanzia della sicurezza dei cibi che arrivano sulle nostre tavole I materiali d a i m b a l l a g g i o a l i m e n t a r e n o n s o n o semplici contenitori, ma barriere con tro i rischi di contaminazione microbio logica e chimica dei cibi Essi devono i n o l t r e g a r a n t i r e u n l i m i t a t o i n q u i n a mento ambientale nella fase ultima di smaltimento. In presenza di requisiti da rispettare e analisi da eseguire, è più facile stabilire un legame con la metro logia e, di conseguenza, con la riferibi l i t à m e t r o l o g i c a e i m a t e r i a l i d i r i f e r i mento. Nel suo inter vento, Andrea Mario Ros si, tecnologo afferente alla Metrologia quantistica e nanotecnologie di INRiM, ha presentato IMPreSA, l’Infrastruttura Metrologica Per la Sicurezza Alimenta re Il progetto ha l’obiettivo di garantire il rispetto delle normative internaziona li e di suppor tare le aziende per le mi sure necessarie allo sviluppo di mate r i a l i i n n o v a t i v i p e r l ’ i m b a l l a g g i o a l i mentare IMPreSA offre suppor to agli operatori di settore chiamati a rispon dere alle richieste delle Autorità di con trollo. Il punto di vista è quello di chi for n i s c e c o m p e t e n z e s c i e n t i f i c h e , s t r u mentazione analitica e suppor to metro logico per il controllo e lo sviluppo di materiali destinati all’imballaggio ali mentare, in par ticolare per lo sviluppo di materiali attivi che permettono di al l u n g a r e l a s h e l f l i f e d e i p r o d o t t i e g a r a n t i r e l a s i c u r e z z a a l i m e n t a r e Tr a i p r o g e t t i s v i l u p p a t i , l ’ i m b a l l a g g i o a t t i vo, ossia l’imballaggio che, svolgendo un ’azione interattiva con il contenuto, rilascia sostanze protettive e/o assor be quelle che accelerano il processo di deterioramento per il cibo. Alber to Taffurelli, responsabile del set t o r e C o n f o r m i t à M O C A ( M a t e r i a l i e O g g e t t i a C o n t a t t o c o n A l i m e n t i ) , e s p e r t o d i c e r t i f i c a z i o n e d i c o n f o r m i t à del packaging alimentare di qualsiasi

T M  36 LA PAGINA DI ACCREDIA s N . 0 3  2 0 2 2

natura e tipologia di materiale e delle prove del CSI Laboratori di Prova, ha a p p r o f o n d i t o i r e q u i s i t i l e g i s l a t i v i e l ’ u s o d i m a t e r i a l i d i r i f e r i m e n t o n e l l e a n a l i s i d i l a b o r a t o r i o p e r v a l i d a r e , monitorare e mantenere la qualità del risultato e la confidenza statistica Stefano Zardetto, della Direzione Assi curazione Qualità e Ricerca e sviluppo di Voltan Spa, azienda leader nella pro duzione di pasta fresca di qualità, ha introdotto le tematiche della selezione dei for nitori di imballaggi alimentari, della definizione delle analisi da con durre sui materiali e delle aspettative dei clienti, nell’ottica di un sistema di gestio ne cer tificato L’esigenza, sempre più pressante, di rimuovere sostanze non desiderate dai materiali, di ridurre il materiale stesso, di riusarlo e riciclarlo in fase di smaltimento rende sempre più difficile la fase di accettazione delle for niture di materiali da imballaggio e l’ag giornamento del processo produttivo. N e l l ’ i n c o n t r o è e m e r s a , a n c o r a u n a volta, l’impor tanza per i laboratori di disporre di materiali di riferimento pro dotti sotto accreditamento: questo ren d e r e b b e p i ù s e m p l i c e l a v a l i d a z i o n e dei metodi di prova e garantirebbe la robustezza statistica delle analisi ese g u i t e L e b a r r i e r e d a i n f r a n g e r e s o n o ancora numerose, sia dal punto di vista economico sia da quello culturale. La speranza è che l’immissione sul merca to di materiali di riferimento cer tificati s o t t o a c c r e d i t a m e n t o r i c e v a u n f o r t e impulso, in funzione del perseguimen to dell’Obiettivo 2 dell’Agenda ONU 2 0 3 0 p e r l o S v i l u p p o S o s t e n i b i l e “ S c o n f i g g e r e l a f a m e ” , c h e i m p e g n a tutti i Paesi a “ porre fine alla fame, rag giungere la sicurezza alimentare, mi g l i o r a r e l a n u t r i z i o n e e p r o m u o v e r e un ’agricoltura sostenibile”

SCARICA QUI gli Atti del Convegno.

PUBBLICATA LA BLUE GUIDE ALL’ATTUAZIONE

DELLA NORMATIVA UE

SUI PRODOTTI 2022

Per funzionare correttamente, il Merca to Unico ha bisogno di regole uniformi,

c h e s e m p l i f i c h i n o l e p r o c e d u r e e g a rantiscano ovunque il rispetto di norme fondamentali, a tutela, in primis, della sicurezza dei prodotti e della salute dei consumatori.

Per rendere più chiare le norme in vigo re e favorirne un ’applicazione omoge nea, il 29 giugno 2022 la Commissio n e e u r o p e a h a p u b b l i c a t o l a “ G u i d a blu all’attuazione della nor mativa UE sui prodotti 2022” Si tratta della quar ta edizione della Blu Guide, la cui pri m a v e r s i o n e r i s a l e a l 2 0 0 0 , c o n r e v i s i o n i s u c c e s s i v e , r i s p e t t i v a m e n t e , n e l 2014 e nel 2016.

L a G u i d a , c h e s i i n t e n d e q u a l e d o c u mento di puro orientamento, si rivolge a g l i S t a t i m e m b r i e a t u t t i c o l o r o c h e devono essere infor mati sulle disposi zioni intese a garantire la libera circo lazione dei prodotti e un livello elevato d i p r o t e z i o n e i n t u t t a l ’ U n i o n e , q u a l i associazioni di categoria, associazio ni di consumatori, organismi di norma z i o n e , f a b b r i c a n t i , i m p o r t a t o r i , d i s t r i butori, organismi di valutazione della conformità e organizzazioni sindacali I prodotti interessati sono quelli non ali mentari e non agricoli, definiti prodotti industriali o prodotti destinati all’utiliz zo da par te di consumatori o professio nisti, quali giocattoli, strumenti di misu r a , a p p a r e c c h i a t u r e r a d i o , a p p a r e c c h i a t u r e e l e t t r i c h e a b a s s a t e n s i o n e , dispositivi medici, prodotti fer tilizzanti Il documento della Commissione riper corre le diverse fasi della politica d’in t e g r a z i o n e a d o t t a t a n e g l i u l t i m i q u a r a n t ’ a n n i : d a l t r a d i z i o n a l e “ Ve c c h i o Approccio” deterministico, che preve deva testi dettagliati con tutti i requisiti tecnici e amministrativi richiesti, al co siddetto “Nuovo Approccio” formulato nel 1985, che limitava il contenuto del l a l e g i s l a z i o n e a i r e q u i s i t i e s s e n z i a l i , l a s c i a n d o l a d e f i n i z i o n e d e i d e t t a g l i tecnici a norme armonizzate europee, fino ad arrivare al “Nuovo quadro le gislativo”, incentrato sull’integrazione d i t u t t i g l i e l e m e n t i n e c e s s a r i a i f i n i dell’efficacia, in termini di valutazione d e l l a c o n f o r m i t à , a c c r e d i t a m e n t o e vigilanza del mercato

L a n u o v a v e r s i o n e 2 0 2 2 d e l l a B l u e G u i d e c o n t i e n e p e r t a n t o a g g i o r n a m e n t i s o s t a n z i a l i , c h e t e n g o n o c o n t o degli sviluppi inter venuti dal 2016, in

par ticolare quelli avviati con il Regola mento UE sulla Vigilanza del Mercato 2019/1020, che punta a modernizza re la vigilanza sul mercato promuoven do la conformità, intensificando control li su intere filiere di prodotti armonizzati e non armonizzati, migliorando la coo perazione tra Stati membri, Autorità doganali e Autorità preposte ai controlli sul territorio, disponendo controlli an che su prodotti di Paesi terzi Sono quindi fornite spiegazioni e indi cazioni in merito al sistema europeo di v a l u t a z i o n e d e l l a c o n f o r m i t à , a l l ’ a c creditamento dei laboratori, alla mar catura CE e alla sor veglianza del mer cato, così da consentire una migliore c o m p r e n s i o n e g e n e r a l e d e l s i s t e m a Ve n g o n o i n o l t r e a p p r o f o n d i t i c o n t e s t i specifici, come le vendite a distanza, la m e s s a a d i s p o s i z i o n e s u l m e r c a t o d i prodotti soggetti a modifiche fisiche o aggiornamenti software e la valutazio ne degli organismi di valutazione della conformità

L’obiettivo della Commissione è, anco r a una vol t a, quel l o di t ut el ar e in m a niera sempre più efficace interessi pub blici fondamentali, quali la salute e la sicurezza, la protezione dei consuma tori e dell’ambiente e la pubblica sicu rezza, nonché per il corretto funziona mento del mercato interno per gli ope ratori economici.

LEGGI QUI la Blue Guide, pubblicata sul sito della Gazzetta Ufficiale dell’Unione europea

ACCREDITAMENTO DEGLI ORGANISMI PER SCOPI DI NOTIFICA: L’ADEGUAMENTO NORMATIVO

I prodotti immessi sul mercato devono essere sicuri e confor mi ai requisiti sta biliti dalla legge Per i prodotti regola mentati a livello europeo, la nor mativa U E p u ò p r e v e d e r e i l c o i n v o l g i m e n t o d e g l i o r g a n i s m i d i v a l u t a z i o n e d e l l a confor mità designati dalle Autorità na z i o n a l i e n o t i f i c a t i a l l a C o m m i s s i o n e e u r o p e a , g l i O r g a n i s m i N o t i f i c a t i I l l o r o c o m p i t o è q u e l l o d i v e r i f i c a r e i l p r o d o t t o e r i l a s c i a r e u n a t t e s t a t o d i

T M  37 LA PAGINA DI ACCREDIA N . 0 3  ; 2 0 2 2 s
UNICO LABORATORIO ACCREDITATO DI TARATURA IN ITALIA* Centro di taratura ACCREDIA LAT N° 245 CONFORME AI REQUISITI DELLA NORMA: UNI CEI EN ISO/IEC 17025:2018 Non spedire i tuoi strumenti lontano, li tariamo noi! PORTATA PORTATA IN GAS: da 0,1 mL/min a 6000 L/h * UNICO CENTRO IN ITALIA NEL CAMPO da 0,1 a 2,5 mL/min PRESSIONE PRESSIONE DIFFERENZIALE IN GAS: da 5 Pa a 25000 Pa * UNICO CENTRO IN ITALIA PRESSIONE RELATIVA IN GAS: da 20 Pa a 2,5 Mpa PRESSIONE RELATIVA NEGATIVA IN GAS: da -100 kPa a Patm PRESSIONE ASSOLUTA IN GAS: da 0,5 kPa a 1,1 MPa ATEQ: sicurezza, precisione, serietà. i tuoi strumenti trumenti UNIC ARAT TARA LABORAO ITTURA ARATURA CORIO AT LABORAT ALIA*ITALIA AT CREDITAT CREDITA O o tarCentr SSOLSIONE APRES SIONE RELAPRES SIONE RELAPRES O ITUNIC SIONE GAPRES O CENTRO IN ITUNIC S: da 0A IN GAT TAA TATPORTA T 2LACCREDIAa Aatur 1 MPa a 1,,5 kPS: da 0A IN GAUT UTA 100 kPS: -A GATIV TIVAA NEGA NEGATIVTIV TIVARELATIV aS: da 20 PA IN GATIV TIVARELATIV ALIA a PS: P 1 mL/,ALIA NEL CAMPO da 0O CENTRO IN ITALIA min a 6000 L/h1 mL/, 45 a atma P a min UNI CEI EN ISO ORME NORMACONF eTEQ: sicurA ATEQ: 025:2018/IEC 17 ecisionezza, pr : , serietà.

confor mità, prima che il prodotto stes so sia immesso sul mercato

La notifica è l’atto di un’Autorità notifi cante di uno Stato membro dell’Unione europea, che informa la Commissione e gli altri Stati membri di aver designa t o u n o r g a n i s m o d i v a l u t a z i o n e d e l l a conformità, ai sensi di un atto di armo n i z z a z i o n e d e l l ’ U E , e c o n f e r m a c h e l’organismo soddisfa i requisiti stabiliti in tale atto Per determinati prodotti, quindi, il coin volgimento degli Organismi Notificati è obbligatorio per poter procedere alla marcatura CE, che è l’indicatore chia v e d e l l a c o n f o r m i t à d e l p r o d o t t o a l l e nor me e alle direttive UE, mentre l’ac c r e d i t a m e n t o è i l m e z z o p r i v i l e g i a t o per dimostrare la competenza tecnica degli Organismi Notificati. I l d o c u m e n t o E A 2 / 1 7 M : 2 0 2 0 “ E A Document on Accreditation for Notifi c a t i o n P u r p o s e s ” s u l l ’ a c c r e d i t a m e n t o per scopi di notifica presenta la politi ca condivisa dai Membri di EA (Euro p e a n A c c r e d i t a t i o n ) p e r l ’ a c c r e d i t a mento degli organismi di valutazione d e l l a c o n f o r m i t à d a p a r t e d e g l i E n t i nazionali di accreditamento. L’accreditamento rappresenta, infatti, l a b a s e p e r l a n o t i f i c a d a p a r t e d e l l e A u t o r i t à n a z i o n a l i a l l a C o m m i s s i o n e europea, da cui discende la loro quali f i c a c o m e O r g a n i s m i N o t i f i c a t i (OONN) Il documento si applica an che agli organismi che eseguono la va l ut azione e ver if ica del l a cos t anza di prestazione, ai sensi del Regolamento UE 305/2011 “Prodotti da Costruzione” Si tratta di un documento procedurale a carattere obbligatorio per gli Enti di accreditamento membri di EA, che se gna un passaggio fondamentale, intro ducendo un approccio comune e iden tificando i requisiti che tutti gli Enti de vono seguire durante la valutazione e l’ accreditamento degli organismi che richiedono la notifica (salvo i casi in cui l’Autorità di notifica e/o regolamenta r e s t a b i l i s c a u f f i c i a l m e n t e , a p r o p r i a discrezione, requisiti diversi). Per gli accreditamenti già rilasciati a fi ni di notifica, è previsto un termine di a deguamento ai requisiti del documento E A : e n t r o i l 1 7 a p r i l e 2 0 2 3 s a r a n n o svolte tutte le verifiche sugli organismi accreditati e notificati prima dell’entra

ta in vigore delle prescrizioni dell’EA 2/17 M:2020

Allo scopo, Accredia ha pubblicato la C i r c o l a r e Te c n i c a D C N ° 1 0 / 2 0 2 2 “Documento EA 2/17 M:2020 sull’ac creditamento per scopi di notifica”, sol lecitando tutti gli organismi interessati ad assolvere all’obbligo di comunicare formalmente le decisioni assunte rispet to al mantenimento del proprio scopo di accreditamento, in applicazione di quanto previsto dal documento EA

Al fine di contenere quanto più possibi le l’impatto economico delle valutazio ni da eseguire, tutti gli organismi inte r e s s a t i s o n o s t a t i i n v i t a t i a p r e v e d e r e t e m p i d i a d e g u a m e n t o c h e t e n g a n o conto della periodicità delle verifiche di sor veglianza o di rinnovo e della da ta ultima definita dalla EA 2/17, così d a e v i t a r e i l r i s c h i o d i s o s p e n s i o n i o limitazioni degli accreditamenti e delle notifiche UE di cui sono intestatari.

La comunicazione per l’adeguamento al documento EA 2/17 M:2020 preve de (eventualmente in un Allegato) un ’ a nalisi degli scostamenti fra lo scopo di a c c r e d i t a m e n t o d i c u i l ’ o r g a n i s m o è intestatario in ambito regolamentato a f i n i d i n o t i f i c a e q u a n t o p r e v i s t o d a l documento EA, inclusa una stima delle tempistiche previste per completare l’a deguamento del proprio sistema di ge stione interno alle diverse norme di ac creditamento applicabili Va indicata a n c h e l a t e m p i s t i c a p r e v i s t a p e r p r e s e n t a r e d o m a n d e d i n u o v i a c c r e d i t a menti o di estensioni, eventualmente e messi in altri schemi, per scopi diversi da quelli a fini della notifica Sulla base delle informazioni degli or ganismi, Accredia definisce i piani di adeguamento per singola direttiva e ti pologia di organismo, in modo di assi c u r a r e i l p a s s a g g i o a l n u o v o s i s t e m a entro il ter mine previsto del 17 aprile 2023 e col minore impatto economico possibile per gli organismi stessi e per il mercato in generaleÈ a t t u a l m e n t e a l l o s t u d i o d e l l ’ U E l ’ i m p l e m e n t a z i o n e d e l R e g o l a m e n t o C E 7 6 5 / 2 0 0 8 i n m a t e r i a d i a c c r e d i t a m e n t o e v i g i l a n z a d e l m e r c a t o p e r q u a n t o r i g u a r d a l a c o m m e r c i a l i z z a z i o n e d e i p r o d o t t i I l p r o v v e d i m e n t o stabilisce i requisiti per l’accreditamen t o e l ’ a b r o g a z i o n e d e l R e g o l a m e n t o

C E E 3 3 9 / 9 3 e i n t r o d u c e u n s o l i d o quadro giuridico per l’accreditamento e la marcatura CE Le disposizioni previ ste accrescono la chiarezza e la credibi lità della marcatura CE, ne rafforzano la visibilità, aumentano l’attenzione del settore sui requisiti e appianano le pic cole incongruenze tra i diversi atti legis lativi. Al riguardo, il Report della Com missione al Parlamento europeo, al Consiglio e alla Commissione europea economica e sociale riconosce l’effica cia del nuovo quadro legislativo (NQN) e ribadisce l’impor tanza di adottare e attuare il quadro giuridico dell’UE per l’accreditamento, anche al fine di raffor zare il sistema di valutazione della con formità in Europa Dopo oltre dieci anni di applicazione del Regolamento CE 765/2008, l’espe rienza dimostra che un solido sistema di accreditamento, che garantisca una valutazione affidabile della conformità e della sicurezza dei prodotti, facilita la libera circolazione delle merci, promuo ve il mercato unico e contribuisce alla corretta attuazione della politica indu striale dell’UE. Un’ulteriore conferma in questa direzione viene dalla Relazione annuale sul mercato unico 2022, che sottolinea l’importanza dello sviluppo di sistemi di certificazione nei settori chia ve delle politiche industriali e del merca to unico dell’UE.

T M  39 LA PAGINA DI ACCREDIA N . 0 3  ; 2 0 2 2 s
LEGGI QUI la Circolare tecnica DC N° 10/2022 D o c u m e n t o E A 2 / 1 7 M : 2 0 2 0 “ D o c u m e n t o E A s u l l ’ a c c r e d i t a m e n t o p e r s c o p i d i n o t i f i c a ” , p u b b l i c a t a s u l s i t o web di Accredia ? DOMANDE COMMENTI PROPOSTE Caratteri 10511, 0 Figure, 0 Tabelle DOMANDE COMMENTI PROPOSTE Scrivi alla Redazione CLICCA QUI (LOGO tutto_misure) Le Misure strumento er la ri resa Scrivi alla Redazione Le Misure strumento per la ripresa CLICCA QUI TUTTO _ TMISURE UTTO MISURE

TIPOLOGIA

Strumenti per pesare NAWI; Strumenti per pesare AWI; Sistemi per la misurazione continua e dinamica di liquidi diversi dall’acqua;

STRUMENTI:

Misuratori massici di gas metano; Misure di capacità; Pesi; Contatori dell’acqua;

TARATURA E PROVE DI CONFORMITA’ SU STRUMENTI PER PESARE E MISURARE PRD n. 237B LAT n.147 Il laboratorio LABCERT effettua prove metrologiche in conformità alle seguenti Raccomandazioni Internazionali OIML: R35, R43, R49, R50, R51, R61, R76, R80, R106, R107, R111, R117, R120, R134, R138 Prove metrologiche su strumenti per pesare MID & NAWID Prove EMC Prove in camera climatica Prove su Selezionatrici Ponderali Prove su Dosatrice gravimetriche Prove metrologiche su Bilance da banco Prove di sicurezza elettrica su pesatrici gravimetriche Prove su Pale meccaniche con pesatura dinamica Prove su Pese a ponte ferroviarie statiche e dinamiche Prove su Pesa a ponte stradale Statiche e dinamiche Bicchieri e caraffe Misure di capacità Prove su erogatore di carburanteMetri ORGANISMO DI ISPEZIONE ACCREDITATO Per la Verificazione Periodica degli Strumenti di Misura (Decreto 21 Aprile 2017, n. 93)
LAT n. 147 Taratura Masse da 1mg a 2000kg Taratura Strumenti per Pesare da 1mg a 100t Taratura Misure di Capacità da 100ml a 25 000L Taratura Serbatoi campioni per liquidi e GPL (Taratura non accreditata di Contatori Volumetrici) LABCERT snc di G. Blandino & C. Via Comina, 3 – 33080 S. QUIRINO (PN) Italy Tel. 0434-554707 - Fax 0434-362081 Internet : www.labcert.it e-mail:info@labcert.it LA CERT Taratura & Certificazione B

C

EN/ISO/IEC 17065:2012 quale Organismo di Certificazione di prodot ti/servizi

A

EN/ISO/IEC 17025:2005 quale Laboratorio di Taratura

Organismo Notificato n 2166: Direttiva 2014/32/UE (MID) Stru menti di misura; Direttiva 2014/31/UE (NAWID) Strumenti per

re

funzionamento

butori

autocisterne.

P

Servizi di prove e taratura nell’ambito volontario, nelle Aziende con Sistema di Qualità Certificato ISO 9000 Il Centro è dotato di appa recchiature e campioni certificati LAT per emettere rapporti di tara tura e di prova (attività non accreditate) su strumenti al di fuori del proprio campo di accreditamento Labcert supporta le aziende per la pianificazione delle tarature di tutti i loro strumenti di misura: Chiavi d i n a m o m e t r i c h e , P r e s s e p e r p r o v a m a t e r i a l i , C a l i b r i , M i c r o m e t r i , Manometri, Misuratori di pressione, umidità, temperatura, ecc Formazione Corsi di metrologia teorico/pratici di metrologia, anche s u s p e c i f i c a r i c h i e s t a d e l c l i e n t e , m i r a t i s u s p e c i f i c h e t e m a t i c h e : Metrologia legale Metrologia tecnico scientifica Taratura masse Taratura strumenti per pesare e misurare Documenti OIML, Guide WELMEC, DIRETTIVE EUROPEE di Metrologia Legale Verifica perio dica degli strumenti metrici nazionali & MID MI 005, MI 006

e di capacità), e la Direttiva 2014/31/UE, relativa agli strumenti per pesare a funzionamento non automatico (bilance).

zate

T M  41T M 41T M  41 TUTTO MISURETUTTO MISURE AFFIDABILITÀ D TOR AL metrologi ogia Forense XIX Congresso In trologia La riproducibilità de is FMEA a sinergia rologica in Sanità Le responsabilità da contatto sociale TUTTO MISURETUTTO MISURE FFIDABILITÀ D TORIA In ricordo di due amici EMA delle grandi struttu G pi ob di controllo A R ARGOM N Gestione dell’efficienza energetica GLI ESPERTI DI T M LABCERT snc di G Blandino & C Via Comina 3 33080 San Quirino (PN) Tel 0434/554707 Fax 0434/362081 E mail: info@labcert.it Web: www.labcert.it Persona da contattare: Cav. Giuseppe Blandino Il Laboratorio metrologico della LABCERT snc, diretto dal cav. Giu seppe Blandino, a seguito dei provvedimenti firmati dal Ministero dello Sviluppo Economico negli ultimi anni e dei numerosi e qualifi c a t i a c c r e d i t a m e n t i e m e s s i d a A C C R E D I A , è d i v e n t a t o u n o d e i p i ù importanti Laboratori di metrologia legale in Italia, nel settore della certificazione per marcatura CE di prodotto e della taratura Il Laboratorio possiede i seguenti accreditamenti e notifiche: A c c re d i t a m e n t o P R D n . 2 3 7 B : c o n f o r m e a l l a n o r m a U N I
E I
c c re d i t a m e n t o L AT n . 1 4 7 : c o n f o r m e a l l a n o r m a U N I C E I
pesa
a
non automatico Servizi di Taratura nell’ambito della metrologia scientifica Il Centro è a c c r e d i t a t o p e r l a t a r a t u r a d e i s e g u e n t i s t r u m e n t i : C a m p i o n i d i masse da 1 mg a 2.000 kg Strumenti per pesare fino a 100.000 kg Serbatoi campione e misure materializzate di capacità da 100 ml a 2 000 L Serbatoi campione e misure materializzate di capacità per gas GPL da 5 L a 2.000 L. Servizi di Certificazione prodotto e S.Q. nell’ambito della Metrolog i a L e g a l e O l t r e a p o s s e d e r e l ’ a c c r e d i t a m e n t o P R D , L A B C E RT è “Organismo Notificato” europeo n 2166 per la Direttiva 2014/32/UE, r e l a t i v a a g l i s t r u m e n t i d i m i s u r a ( M I 0 0 5 , S i s t e m i d i m i s u r a p e r l a misurazione continua e dinamica di quantità di liquidi diversi dall’ac qua: distributori di carburanti e gas liquefatti; sistemi di misura su condotta di tutti i liquidi, quali vino, latte, birra, saponi, ecc MI 006, Strumenti per pesare a funzionamento automatico: seleziona trici ponderali a funzionamento automatico, riempitrici gravimetri che automatiche, totalizzatori a funzionamento continuo e discon tinuo, pese a ponte per veicoli ferroviari MI 008, Misure materializ
di lunghezza
S e r v i z i d i “ Ve r i f i c a z i o n e p e r i o d i c a ” d e g l i s t r u m e n t i p e r p e s a re e misurare nell’ambito della Metrologia Legale LABCERT ha ottenuto l’idoneità da parte della CCIAA di Pordenone ( 1 1 / 0 3 / 2 0 0 3 n P N 0 1 i n a p p l i c a z i o n e d e l D M 2 8 / 0 3 / 2 0 0 0 , n 1 8 2 e succ Decreti attuativi), fra i primi Centri autorizzati in Italia Inoltre ha ottenuto l’idoneità da parte di UNIONCAMERE (nn PN 131 e PN 1 3 2 ) p e r l a v e r i f i c a z i o n e d e g l i s t r u m e n t i d i m i s u r a r e g o l a m e n t a t i dalla Direttiva MID: MI 005 ed MI 006 I l C e n t r o è i d o n e o a l l ’ e s e c u z i o n e d e l l a v e r i f i c a p e r i o d i c a d e l l e seguenti categorie: Pesi e masse da 1 mg a 2 000 kg Misure Campio ne di volume fino a 5 000 L Strumenti per pesare fino a 300 000 kg NAWI Strumenti per pesare a funzionamento automatico Misure di capacità e recipienti (anche montati su autocisterna) Misuratori volumetrici Misuratori di carburanti per autotrazione presso distri
stradali Complessi di misura per carburanti Misuratori di M e t a n o e G
L S i s t e m i d i m i s u r a z i o n e d i c a r b u r a n t i i n s t a l l a t i s u

“Misurare” la qualità di beni e ser vizi, tra metrologia e accreditamento

Intervista

Quali sono le applicazioni della scienza delle misurazioni n e l l a v i t a q u o t i d i a n a e q u a l e s u p p o r t o o f f r o n o a l P N R R , a l l ’ a p p r o v v i g i o n a m e n t o d e l l e r i s o r s e e a l l e s t r a t e g i e d i cybersecurity?

Diamo spazio in questo numero a V ito Fernicola, Consigliere di Accredia e di INRiM (Istituto nazionale per la ricerca metrologica) e professore aggiunto al Politecnico di Torino per il corso di “Misura e control li” che, inter vistato, spiega perché la metrologia sia al cen tro della Qualità per imprese e cittadini L’Infrastruttura per la Qualità (IQ) svolge un ruolo essenziale

per garantire prodotti e ser vizi sicuri sul mercato, sia per l’ambiente sia per la salute dei consumatori Una delle quat tro componenti dell’IQ è senza dubbio la metrologia Le sue applicazioni nella vita di tutti i giorni sono molteplici e cre scono quelle per le imprese, anche alla luce dei progetti del PNRR e dell’innovazione tecnologica Riassumiamo qui le par ti più significative di quanto detto da Vito Fernicola, rimandando i lettori interessati alla versione i n t e g r a l e d e l l ’ i n t e r v i s t a , d i s p o n i b i l e i n q u e s t o p o d c a s t , che fa par te della serie di podcast di Accredia “Voce alla Qualità”

L ’ a c c r e d i t amento dei lab o r a t o r i d i t a r a t u r a è stato il primo a essere rilas c i a t o i n I t al i a . Q u a l è l’impor tanza d e l l a m et ro l o g i a n e ll’IQ e come si collega con l’accreditamento?

( V. F e r n i c o l a ) L a m e t r o l o g i a è l a s c i e n z a d e l l e m i s u r a z i o n i e d e l l e s u e a p p l i c a z i o n i N a s c e s t o r i c a m e n t e come suppor to alle imprese manifattu riere: per garantire il “ successo ” di pro d o t t i e d i s e r v i z i , i n f a t t i , l e a z i e n d e d e v o n o m u o v e r s i i n u n q u a d r o d i norme tecniche che fanno affidamento sulle misurazioni per verificarne l a q u a l i t à e l a c o r r i s p o n d e n z a a l l a s t e s s a n o r m a t i v a t e c n i c a Per fare ciò è necessario che le misura z i o n i e s e g u i t e i n d i f f e r e n t i l u o g h i d e l m o n d o e i n d i f f e r e n t i e p o c h e , s i a n o tutte riconducibili a un ’unica unità fon

d a m e n t a l e S c o p o d e l l ’ I N R i M è p r o p r i o q u e l l o d i a s s i c u r a r e c h e g l i s t a n dard metrologici italiani siano equiva lenti agli standard internazionali degli altri Paesi, per consentire la libera cir colazione dei cer tificati di taratura e di prova Il primo cer tificato venne emes so nel 1979 da SIT (Ser vizio Italiano di Ta r a t u r a ) c o n f l u i t o p o i i n A c c r e d i a . I primi laboratori accreditati furono l’Al f a R o m e o S u d e l e A c c i a i e r i e F a l c k , due aziende produttive che all’epoca facevano della qualità della produzio ne un elemento di vanto e che si rivolse ro all’accreditamento delle misurazio ni per poter dimostrare ai propri clienti la qualità di questi ser vizi. Oggi siamo a r r i v a t i a o l t r e 2 0 0 l a b o r a t o r i d i taratura e oltre 1.500 laboratori di prova accreditati

P ro v i a m o a “ c a l a r e ” l a m e t rol o g i a n e l l a v i t a q u o t i d i a n a . L a crisi Ucraina, tra le altre cose, ci ha messo di fronte a un problem a d i a p p ro v v i g i o n a m e n t i , specialmente di gas. Quale suppor to può dare la metrologia?

( V. F e r n i c o l a ) L ’ E u r o p a i n v e s t e i n maniera significativa sulle misurazioni, sia dal punto di vista dei centri di ricer ca sia dal punto vista delle imprese Si parla di oltre 80 miliardi di euro impie gati per definire la qualità o la confor m i t à d i p r o d o t t i e d i s e r v i z i . S i s t i m a che il ritorno sia almeno tre volte tanto. Q u i n d i , p e r o g n i e u ro s p e s o i n m i s u r e i n a t t i v i t à d i m i s u r a , c i sono almeno 3 euro che vengon o g e n e r a t i i n t e r m i n i b e n e f i c i diretti e/o indiretti, come le “rica dute sociali” su salute, sicurezza, am biente

La misurazione, quindi, è par te d e g l i s c a m b i c o m m e r c i a l i , p e rché è il modo per garantire e per dimostrare che i prodotti scambiati siano conformi alle regole

Nel caso della crisi ucraina, parlando d i m a t e r i e p r i m e n o n p o s s i a m o n o n fare riferimento al vettore energetico Noi impor tiamo energia sotto forma di g a s e c o n i l g a s p r o d u c i a m o e n e r g i a elettrica. In un sistema di reti intercon n e s s e q u e s t e o p e r a z i o n i s o n o b i d i r e zionali Quindi, da una par te, si ha un flusso di gas che entra nel nostro Paese attraverso la rete delle pipeline e, dal l’altra, scambi in direzione opposta.È fondamentale, quindi, misurare pre c i s a m e n t e s i a q u e l l o c h e c o m p r i a m o dai nos t r i f or nit or i s t r anier i s ia quel l o c h e v e n d i a m o . Av e r e l a g a r a n z i a c h e q u e l m i s

a t

u r
o r e , i n s t a l l a t o
a Vito Fernicola: la metrologia al centro della Qualità per imprese e cittadiniL A P A G I N A D I A C C R E D I A s A cura di Francesca Nizzero (Accredia) T M N. 3/22  42

in quel determinato condotto e in quella determinata pipeline, misuri correttamente durante tutto il periodo in cui viene utilizzato, diven t a n e c e s s a r i o a n c h e p e r l o s c a m b i o economico che c’è alla base. Ancora più complessa è la situazione elettrica Nello scorso secolo avevamo un unico pr odut t or e che m et t eva in r et e l a pr o pria energia e la vendeva a tutti noi uti lizzatori finali Oggi, con la produzio n e b a s a t a s u e n e r g i e r i n n o v a b i l i , l ’ e nergia è prodotta in maniera distribuita e viene immessa in rete in maniera di stribuita, tanto che i singoli utenti posso no essere a loro volta produttori Que sto richiede misurazioni molto precise La sfida, tuttavia, non è solo la misura zione dell’energia prodotta ma anche il fatto che questa energia debba esse re inserita in rete in maniera oppor tu na, alla tensione oppor tuna, alla fase oppor tuna, per evitare sbilanciamenti n e l l a r e t e . U n r u o l o f o n d a m e n t a l e è g i o c a t o q u i n d i s i a d a l l e i m p r e s e c h e fanno in campo queste misure sia dai laboratori che devono essere in grado di accer tare la correttezza dei misuratori industriali.

A n c h e g l i I s t i t u t i d i M e t ro l o g i a s o n o i m p e g n a t i n e l l o s v i l u p p o d i “ n u o v e m e tro lo g ie ” , p e r a ffrontare le sfide socio-economiche e scientifiche dettate princip a l m e n t e d a l P N R R . P a r l i a m o di ambiente e monitoraggio del c l i m a , s p a z i o , t r a s p o r t i i n t e l l igenti, agroalimentare, e qualità alimentare, salute e applicazion i d ia g n o stich e e te ra p e u tich e . Q u a l e i m p a t t o s t a a v e n d o l a metrologia in questi ambiti? (V. Fernicola) Le sfide sono veramen te impor tanti Se parliamo di ambiente, ad es em pio, l a s it uazione è com pl es sa. Noi sappiamo che il parametro fon damentale con cui viene stimato ogni anno l’adattamento o meno del nostro m o d o d i v i v e r e c o n i l p i a n e t a è l ’ a u mento di temperatura. Ma per monito r a r e l a t e m p e r a t u r a e p e r p o t e r a f f e r mare che la temperatura è aumentata d i m e z z o g r a d o r i s p e t t o a d i e c i a n n i fa, è necessario che le misurazioni effettuate allora siano riferib i l i a l l e m i s u r a z i o n i e s e g u i t e

oggi e ci sia, quindi, una conti nuità di queste misurazioni

A essere monitorato non è solo il clima ma, più in generale, l’ambiente perché sappiamo che i contaminanti hanno un impatto diretto con la salute. La strumen tazione che fa questo tipo di misure è molto complessa e dev’essere tarata e verificata. Scopo degli studi metrologici e dei laboratori accreditati, è quello di sviluppare i cosiddetti “materiali di riferimento certificati”, materiali cioè che hanno una proprietà fondamentale, certificata, con cui si possono verificare gli strumen ti di misura in campo Le Arpa, ad esempio, che fanno misure in campo, ai bordi delle strade, con le loro stazioni devono disporre di strumentazione certi ficata e riferibile a questi materiali di rife rimento, proprio per la garanzia delle misurazioni Anche perché, ovviamen te, se le misurazioni sono sopra soglia, il sindaco chiude il traffico. Parlando di salute, poi, possiamo fare tanti altri esempi Pensiamo alle tecniche diagnostiche moderne, quelle basate sul DNA, che richiedono l’utilizzo di materiali biologici certificati, provenienti da banche bio logiche in cui il materiale biologico sia conser vato secondo criteri di qualità e protocolli ben definiti. Quando parliamo di materiali di riferi m e n t o p o s s i a m o p a s s a r e a n c h e a u n c o n c e t t o p i ù a s t r a t t o e d e n t r a r e n e l campo dei dati. Questa è l’epoca del Big Data, il periodo in cui vengono pro dotti, in maniera formidabile, terabyte ogni gior no, ogni minuto Questi dati v e n g o n o p o i a n a l i z z a t i , r i e l a b o r a t i e spesso sono alla base di decisioni pre se dal decisore tecnico. Ma chi mi ga rantisce che quel dato sia significativo e sia corretto? È impor tante che ci s i a u n s i s t e m a i n g r a d o d i g arantire la qualità di questi dati, la qualità con cui sono prodotti e l a q u a l i t à c o n c u i s o n o c o n s e rvati e utilizzati È poi impossibile non considerare la cybersecurity. L’Europa ha un sistema di satelliti per il monitoraggio del clima e del pianeta, che si chiama Copernicus e ogni giorno, ogni minuto, genera centi naia di terabyte di dati. INRiM collabo ra con questo sistema per sviluppare

protocolli in cui i dati vengano trattati. Proprio il 31 marzo scorso la Commis sione europea ha firmato con la rappre sentanza europea Euramet (l’Associa zione europea degli studi di metrologia) una partnership che durerà per l’intero periodo di Horizon Europe, dal 2021 al 2027, e finanzierà con oltre 600 milioni di euro la ricerca metrologica in Euro pa, in particolare la ricerca metrologica applicata, cioè quella che va direttamente a impattare sul commercio, sull’industria e sui temi chiave dell’Europa, come il Green Deal. Tutto questo avrà riper cussioni nelle policy nazionali e il PNRR ne è una dimostrazione

Gli esempi che ci ha finora presentato dimostrano come le attività riferibili alla metrologia e ai laboratori di taratura impatt i n o n e l l a v i t a q u o t i d i a n a d e i c i t t a d i n i . P r e n d e n d o s p u n t o dalla sua esperienza di profess o r e , c o m e s i p o t r e b b e m i g l i or a r e l a c o n o s c e n z a d i q u e s t i temi?

(V. Fernicola) Prima di tutto bisogne r e b b e i n v e s t i r e d i p i ù s u l l e m a t e r i e s c i e n t i f i c h e , p e r c h é c o m e P a e s e n o n brilliamo in quest’ambito Quando par l i a m o d i m e t r o l o g i a , d i v a l u t a z i o n i della conformità o di sistemi di qualità o protocolli tecnici, ovviamente mettia mo in conto un background scientifico Non si fa mai abbastanza in termini di formazione e, direi, non solo negli ate nei ma anche nella formazione tecnica a tutti i livelli, sia quella scolastica sia quella cosiddetta continua, per mante nersi aggiornati nella propria vita lavo rativa.

A c c r e d i a h a f a t t o m o l t o d a l p u n t o d i vista della formazione, ma credo che si d e b b a f a r e a n c o r a d i p i ù S a r e b b e oppor tuno che tutte le persone che par tecipano alle decisioni in un ’azienda o in un Ministero, abbiano una formazione di base su queste tematiche per acquisire un linguaggio comune. Se i quadri aziendali o i fun z i o n a r i m i n i s t e r i a l i p a r l a s s e r o u n l i n guaggio comune a ogni livello, credo c h e q u e s t o f a c i l i t e r e b b e i l p r o c e s s o interno così come la collaborazione tra soggetti diversi.

T M N. 3/22  43 LA PAGINA DI ACCREDIA N . 0 3  ; 2 0 2 2 

GLI ESPERTI DI T

M

Via Pavia 28, 20835 Muggiò (MB)

Tel.: 345.5288113 E mail: marco.fortuna@crioclima.it Web: www.crioclima.it

CTS e Crioclima partner per la qualità

C

CTS,

bientale CTS

Persona da contattare: Marco Fortuna (responsabile commerciale)

mondiale nella

catalogo di prodotti stan

e i

d

p

t

r offrire la soluzione ideale per le vostre esigenze negli ambiti testing, ricerca e sviluppo, controllo qualità

L’AZIENDA

CTS nasce nel 1996 da tre soci con una lunga esperienza nel settore. Attualmente conta circa 160 dipendenti ed è considerata a livello mondiale sinonimo di avanguar dia tecnica e quali t à s e n z a c o m p r o messi, tanto da po t e r v a n t a r e o l t re 20.000 sistemi in stallati in tutto il mondo.

L ’ a z i e n d a è s i t u a t a a H e c h i n g e n , c i r c a 60 km a sud di Stoc carda

p a r t i r e d a l l e s p e c i f i c h e e s i g e n z e d i p r o v a d e l c l i e n t e . Per questo motivo, ci piace pensare al l e n o s t r e c a m e r e c l i m a t i c h e c o m e a u n a b i t o f a t t o s u misura. La filosofia costruttiva, di tipo modulare, permet te di contenere i costi di queste personalizzazioni e, nel contempo, fornire prodotti altamente qual i t a t i v i c h e durano nel tempo

ATTENZIONE AI DETTAGLI S iamo convinti che l’eccellenza possa essere raggiunta partendo dai dettagli: l’attenzione a dati come rumorosi tà, consumi energetici, comfort di utilizzo, o anche solo la scelta dei migliori materiali, sono per noi elementi fondamentali

UN PRODOTTO SU MISURA

Tra i tanti prodotti standardizzati presenti sul mercato, CTS s i diff er enz ia per l’off er t a di s oluz ioni s t udiat e a

ASSISTENZA TECNICA SEMPRE AL TUO FIANCO Crioclima, partner italiano di CTS, è in grado di fornire un’assistenza tecnica qualificata, rapida nelle tempisti che d’intervento e sempre aggiornata Inoltre i nostri t e c n i c i p o s s o n o e s e g u i r e r i p a r a z i o n i m u l t i m a r c a , g a r a n t

spongono

parco macchine eterogeneo

QUALITÀ TOTALE P

di qualità

lascia

molto semplicemen te, vogliamo darvi il meglio.

T M  45
r i o c l i m a è p a r t n e r e s c l u s i v o p e r l ’ I t a l i a d e l l a s o c i e t à tedesca
protagonista a livello
pro d u z i o n e d i a p p a r e c c h i a t u r e p e r l a s i m u l a z i o n e a m
offre un ampio
d a r d , m a s i d i s t i n g u e p e r u n v e n t a g l i o p r a t i c a m e n t
n f i n i t o d i r e a l i z z a z i o n i c u s t o m : s i a m o s i c u r i
i
o
e
e n d o q u i n d i c o p e r t u r a a n c h e a i c l i e n t i c h e d i
di un
e r n o i i l c o n c e t t o
non
s p a z i o a c o m p r o m e s s i . C i p i a c c i o n o l e c o s e s e m p l i c i e ,
TUTTO MISURETUTTO MISURE AFFIDABILITÀ D TOR AL metrologi ogia Forense XIX Congresso In trologia La riproducibilità de is FMEA a sinergia rologica in Sanità Le responsabilità da contatto sociale TUTTO MISURETUTTO MISURE FFIDABILITÀ D TORIA In ricordo di due amici EMA delle grandi struttu G pi ob di controllo A R ARGOM N Gestione dell’efficienza energetica
_

Spostamento

GLI ESPERTI

Via Bergamo 25 24035 Curno (BG)

Tel 035/462678 Fax 035/462790

E mail: info@luchsinger.it

Web: www.luchsinger.it

Persona da contattare: Fabio Pegurri

L’AZIENDA

Luchsinger opera nel campo delle tecnologie di misura per la ricerca e l’industria distribuendo strumenti e soluzioni di impor tanti aziende internazionali In supporto alla vendita, offre una consulenza tecnica altamente specializzata e diffonde la pro pria cultura tecnologica attraverso corsi, webinar e seminari

L’ampia offerta di tecnologie di misura comprende: Estensimetri per l’analisi sperimentale delle sollecitazioni e per la realizzazione di trasduttori, accessori selezionati per garantire installazioni estensimetriche della massima qualità e sistemi di acquisizione dati di Micro-Measurements

Sensori laser, induttivi, capacitivi e confocali ad alta precisio ne. L’azienda partner Micro Epsilon è specializzata nelle tec nologie di misura dello spostamento, distanza e posizione senza contatto

Pirometri, termocamere, termoscanner e sensori di tempera tura a infrarossi. Optris sviluppa tecnologie di misura della temperatura senza contatto e offre soluzioni dedicate per diversi settori industriali

Accelerometri per testing e industriali, celle di carico piezoe l e t t r i c h e , v i b r o m e t r i e m a r t e l l i s t r u m e n t a t i D y t r a n I n s t r u ments è un’azienda americana specializzata nello sviluppo e nella produzione di sensori piezoelettrici e MEMS per misure dinamiche di accelerazione, vibrazioni, forza e pressione. Sensori di pressione e vuoto, barometri, sensori dedicati ai settori del condizionamento e riscaldamento aria (HVAC/R), sensori per il Test&Measurement o dedicati al settore sanita rio/farmaceutico Dinamometri, banchi dinamometrici e indicatori per sensori intercambiabili di forza e coppia dell’azienda statunitense Mark 10.

ALCUNE NOVITÀ

L a s e

a d

s c a n n e

5 k H

c

lungo la linea laser.

C

T

O L 3 0

2

p o t e n t e s i s t e m a senza contatto per il rilevamento dei profili e delle dimensio ni di oggetti o superfici Il sensore raggiunge una velocità di m i s

e

1 0 2

Te r m o c a m e r a i n d u s t r i a l e s t a n d a l o n e X i 4 1 0 : c o m b i n a l a resistenza e le dimensioni compatte di un pirometro con la possibilità di ottenere immagini termografiche di una termo camera. Il campo di misura va da 20 a +900 °C e dispone di una funzione di ricerca automatica dell’hotspot e di un focus motorizzato Il pacchetto software di analisi e sviluppo (SDK) e il software PIX Connect sono inclusi.

24035 CURNO (BG) - Via Bergamo, 25 Tel. 035 462 678 - Fax 035 462 790 info@luchsinger.it - www.luchsinger.it Accelerometri monoassiali e triassiali Accelerometri per testing Accelerometri per manutenzione predittiva Sollecitazioni Vibrazioni Temperatura
Sensori laser a triangolazione Sistemi capacitivi Sensori a correnti parassite Estensimetri Sistemi di acquisizione dati per estensimetria Sistemi a correlazione digitale delle immagini luchsinger.it Più precisione Sensori di misura Termocamere a infrarossi Pirometri a puntamento laser Pirometri compatti elazioneemi a corrSist emi estSist ensimetria ometriAcceler enzione prometri per manutAcceler estingometri tAcceler eenti parassitSensori a corr emiSist edittiva ometriPir o laserometri puntamentPir ossie infrarTermocamer Ber .it - www.luchsingerinfo@luchsinger www.luchsinger ax 035 462 790Fel.T gamo, 25 .it www.luchsinger.it TUTTO MISURETUTTO MISURE AFFIDABILITÀ D TOR A metrologi di ogia Forense XIX Congresso In io M trologia La riproducibilità de FMEA sinergia rologica in Sanità Le responsabilità da contatto sociale TUTTO MISURETUTTO MISURE O In ricordo di due amici MA delle grandi struttu G ALT M pi ob nti di controllo ALT ARGOM N Gestione dell’efficienza energetica
DI T _ M
r
r s
a n
O N
R
x
: u n
u r
i
z e u n a r i s o l u z i o n e s u l l ’ a s s
x d i
4 p u n t i

AN INTRODUCTION TO IMEKO

IMEKO, International Measurement Confederation, has been added to the permanent collaborations to the Jour n a l s t a r t i n g f r o m t h e b e g i n n i n g o f 2 0 1 4 T h i s s e c t i o n c o n t a i n s i n f o r m a t i o n a b o u t t h e A s s o c i a t i o n , p u b l i c a tions, events and news of interest to our readers.

RIASSUNTO

IMEKO, International Measurement Confederation, si è aggiunta tra i collaboratori stabili della Rivista a partire dall’inizio del 2014 Questa rubrica contiene informazio ni sull’Associazione, pubblicazioni, eventi, e notizie di utilità per i nostri lettori

L e s e d u t e d e l C o n s i g l i o G e n e r a l e IMEKO 2022 si svolgeranno il 27 e 28 d i a g o s t o a l P T B P h y s i k a l i s c h Te c h n i sche Bundesanstalt di Berlino, Germa n i a . D o p o q u e s t i u l t i m i d u e a n n i d i restrizioni, le riunioni si terranno nuo vamente in presenza, sebbene l’acces s o i n r e m o t o r i m a n g a g a r a n t i t o p e r coloro che non sono in grado par teci pare di persona. Il consorzio IMEKO è in continua espansione: dall’ultima riu nione del Consiglio Generale, tenutasi nel settembre 2021, due nuovi istituti, l ’ Em ir at es Met r ol og y Ins t it ut e ( Em ir at i Arabi Uniti) e l’IMBIH Institute di metro l o g i a ( B o s n i a e d E r z e g o v i n a ) h a n n o e s p r e s s o i l d e s i d e r i o d i a d e r i r e a I M E K O ; i n o l t r e s o n o s t a t e r i c e v u t e a oggi sessantuno nuove richieste di par tecipazione ai comitati tecnici IMEKO Oltre a organizzare conferenze e altri eventi, i comitati tecnici IMEKO hanno proposto due eventi speciali. Il primo riguarda gli Obiettivi per uno Sviluppo Sostenibile definiti dall’ONU, che evi denzia in par ticolare come IMEKO, di c o n c e r t o c o n i c o m i t a t i t e c n i c i , s i dichiari conforme, nell’alveo delle pro p r i e a t t i v i t à , c o n g l i o b i e t t i v i d e l l e Nazioni Unite Il secondo riguarda la Giornata della Metrologia 2022, cele b r a t a c o n u n n u m e r o s p e c i a l e d e l l a n e w s l e t t e r e a v e n t e c o m e o g g e t t o l a metrologia nell’era digitale, mettendo i n l u c e c o m e l a r i v o l u z i o n e d i g i t a l e

influenzi le varie aree definite dai comi tati

Le relazioni tra metrologia ed era digi tale sono anche il tema principale della conferenza F i r s t I n t e r n a t i o n a l I M E K O

T C 6 C o n f e r e n c e o n M e t r o l o g y a n d D i g i t a l Tr a n s f o r m a t i o n ( M 4 D c o n f 2022), organizzata nelle giornate del 19 e 21 settembre 2022 dal comitato

t e c n i c o T C 6 D i g i t a l i z a t i o n , c h e s a r à organizzata in modalità ibrida sempre a Berlino, Germania

I t e m i p r i n c i p a l i d e l l a c o n f e r e n z a riguardano la rappresentazione digi tale e il relativo utilizzo nelle infor ma z i o n i m e t r o l o g i c h e , c e r t i f i c a t i d i g i t a l i p e r s e r v i z i m e t r o l o g i c i , i n f r a s t r u t t u r e cloud, di ser vizio remoto e digitali per la qualità e la metrologia nell’Industria 4 0 Tr a l e a l t r e c o n f e r e n z e d i r i l i e v o organizzate dai vari comitati, ricordia m o i l w o r k s h o p 2 5 t h I M E K O T C 4 S y m p o s i u m a n d 2 3 n d I n t e r n a t i o n a l Wo r k s h o p o n A D C a n d D A C M o d e l ling and Testing (IWADC), organizzato quest’anno a Brescia, dal 12 14 set tembre, dal TC4 Measurement of Elec trical Quantities.

D u b r o v n i k , i n C r o a z i a , s a r à i n v e c e centrale nel mese di ottobre, dove si ter ranno in concomitanza diverse confe renze in parallelo, organizzate da sva riati comitati tecnici. Nel periodo 11 13 ottobre, infatti, si terranno in parall e l o s v a r i a t e c o n f e r e n z e : q u e l l a

del TC3 Measurement of Force, Mass a n d To r q u e 2 4 t h C o n f e r e n c e o n t h e M e a s u r e m e n t o f F o r c e , M a s s a n d To r q u e ; la conferenza del TC5 M e a s u r e m e n t o f H a r d n e s s 1 4 th T C 5 C o n ference on the Measurement of Hard ness; la conferenza del TC16 Pressure a n d Va c u u m M e a s u r e m e n t 6 t h C o n f e r e n c e o n P r e s s u r e a n d Va c u u m M e a s u r e m e n t , e l a c o n f e r e n z a d e l T C 2 2 Vi b r a t i o n M e a s u r e m e n t 5 t h TC22 Conference on Vibration Meas u r e m e n t . S e m p r e a D u b r o v n i k , m a l a settimana successiva dal 16 al 20 otto b r e , s i t e r r à l a c o n f e r e n z a c o n g i u n t a t r a T C 1 1 M e a s u r e m e n t i n Te s t i n g , I n s p e c t i o n a n d C e r t i f i c a t i o n e T C 2 4 Chemical Measurements, che avranno come obiettivo Measurement for a better life e Chem ical m easurem e n t s t o w a r d s a s u s t a i n a b l e f u t u r e , rispettivamente. La conferen za si terrà in formato ibrido, con par te c i p a z i o n e i n p r e s e n z a e d a r e m o t o U n ’ a l t r a c o n f e r e n z a c o n g i u n t a s a r à M AT H M E T : C u t t i n g E d g e M e a s u r e ment Science for the Future, che si terrà tra il 31 di agosto e il primo settembre e che sarà organizzata in concomitan za dal TC1 Education and Training in M e a s u r e m e n t a n d I n s t r u m e n t a t i o n , TC7 Measurement Science, T13 Mea su re m e n ts in B io lo g y a n d M e d ic in e e d a l T C 1 8 M e a s u r e m e n t o f H u m a n Functions Un ulteriore attività in programma a fin e settembre, precisamente il 28 30 set tembre, è il simposio vir tuale Internatio nal Symposium on Measurement, Con t r o l , a n d R o b o t i c s ( I S M C R 2 0 2 2 ) , o r g a n i z z a t o d a l T C 1 7 M e a s u r e

m e n t a n d R o b o t i c s , che vede l e co s pons o rizzazioni di IEEE Robotics and Auto m a t i o n S o c i e t y, I E E E A e r o s p a c e a n d E l e c t r o n i c s S y s t e m s S o c i e t y e I E E E Instrumentation Measurement Society. I l s i m p o s i o a v r à c o m e t e m a R o b o t i c s and Virtual Tools for a New Era In par t i c o l a r e , i l T C 1 7 h a r e c e n t e m e n t e La pagina di IMEKO Aggiornamenti sulle attività IMEKO nel 2022L A P A G I N A D I I M E K O s Rubrica a cura di Daniele Fontanelli (daniele.fontanelli@unitn.it) T M N. 3/22  47

n

provveduto a una riorganizzazione in ter na e vede alcuni colleghi italiani a capo di alcuni dei propri sottocomitati Sempre sul proprio sito IMEKO pub blica un utile e completo bollettino, nel quale sono riassunte le attività effettua te nell’anno, gli esiti delle riunioni dei comitati di IMEKO e altre notizie d’inte r e s s e p e r c h i s i o c c u p a d i m i s u r e . I n par ticolare, nella newsletter di giugno 2022, si da ampio spazio alla prima par te dell’ottimo resoconto storico tec nico sul TC4 redatto dal Prof Savino, c h e c o p r e g l i a n n i c h e v a n n o d a l 1979, anno di costituzione del comita to, fino al 2002

t

COSTRUIRE CALIBRI DI OGNI DIMENSIONE, MA SEMPRE DI QUALITÀ!

Dal 1960 Tamburini srl studia, proget ta e produce calibri filettati, calibri lisci e calibri speciali per qualsiasi esi genza di utilizzo, nel rispetto delle normative e in considerazione delle quote di filettatura e dimensioni d’in gombro.

Calibri realizzati in acciaio legato, altamente indeformabile, con durez za superficiale di 63 HRc (raggiungibi le dopo tempra)

ACTA IMEKO

A c t a I M E K O , r i v i s t a

s c i e n t i f i c a d i I M E K O e

i n d i c i z z a t a s u S c o p u s , r e n d e d i s p o n i b i l i l i b e r a m e n t e ( o p e n a c c e s s ) t u t t i g l i a r t i c o l i p u bblicati

I l s e c o n d o f a s c i c o l o 2 0 2 2 d i A c t a IMEKO è ora online e raccoglie contri b u t i g e n e r a l i c h e n o n r i g u a r d a n o u n evento specifico.

U n a n u o v a p o l i t i c a e d i t o r i a l e è s t a t a r e c e n t e m e n t e d e f i n i t a : i l n u m e r o c o r rente è disponibile nel primo mese del

La costruzione di calibri specia li avviene, su specifica richie sta del cliente, con materiali al leggeriti, ama gnetici e in me tallo duro

Per migliorare il rendimento, la durata e l’assen za di attriti, i ca libri Tamburini possono essere sottoposti a di versi trattamen ti superficiali, a seconda delle necessità individuate e della specifica applicazio ne (come la ricopertura della parte filettata con un rivestimento esterno in TIN o DLC), senza alterare le caratteri stiche di base del calibro.

La società lombarda, inoltre, offre da sempre un servizio di progettazione e costruzione di sistemi di misura “chiavi in mano”, personalizzato sulla base di specifiche esigenze

A seguito di una richiesta fuori stan dard, infatti, l’ufficio tecnico produce uno studio di massima del calibro, a cui seguono la fase di progettazione vera e propria, la verifica della funzionalità e il riscontro di conformità Il massimo li vello qualitativo per tutti i calibri pro dotti viene raggiunto attraverso vari progressivi controlli incrociati, il primo dei quali viene effettuato in ogni fase della filiera produttiva, per arrivare al controllo finale a cura dell’evoluto La boratorio metrologico interno, che ne verifica e registra ogni caratteristica

t r i m e s t r e s u c c e s s i v o d e l l ’ a n n o ( a d esempio, questo secondo numero per il secondo trimestre è disponibile come numero corrente completo a luglio) e, s u c c e s s i v a m e n t e , v i e n e t r a s f e r i t o i n archivio.

I l t e r z o n u m e r o ( p e r l u g l i o s e t t e m b r e ) v i e n e i n i z i a l m e n t e p u b b l i c a t o t r a l a f i n e d i l u g l i o e l ’ i n i z i o d i a g o s t o c o n t u t t i i d o c u m e n t i d i s p o n i b i l i i n q u e l momento

Ulteriori ar ticoli verranno aggiunti non appena saranno pronti per la pubbli cazione e il nuovo numero sarà finaliz zato alla fine di settembre.

U n a c a p a c i t à n o n d a p o c o , c h e p r e s u p p o n e m a s s i m a f l e s s i b i l i t à p r o d u t t i v a e p r o g e t t u a l e , q u e l l a d i p o t e r p r o d u r r e c a l i b r i d i q u a l s i a s i d i m e n s i o n e , d a q u e l l i p i ù p i c c o l i ( d e s t i n a t i s o p r a t t u t t o a i s e t t o r i A u t o m o t i v e e M e d i c a l e : b a s t i p e n s a r e a l l a m i s u r a z i o n e d i m i c r o v i t i p e r i m p i a n t i d e n t a l i ) a q u e l l i d i m a g g i o r i d i m e n s i o n i ( p e r l a R u b i n e t t e r i a i n d u s t r i a l e e l e Va l v o l e , s p e s s o u t i l i z z a t i n e l l a r i p a s s a t u r a d i f i l e t t i u s u r a t i i n g r u p p i c a l d a i a g i à i n s t a l l a t i ) .

Una vera e propria “mission” per la Tamburini, quella di rispondere pun tualmente a ogni specifica esigenza mettendo in campo l’intera azienda, i n o t t i c a e s t r e m a m e n t e s i n e r g i c a e collaborativa, totalmente orientata verso il cliente

CLICCA QUI per maggiori informazioni.

T M n 48 N . 0 3 ; 2 0 1 6 LA PAGINA DI IMEKO
N . 0 3 n 2 0 2 2
NEWS

M S

Congressi e Mentorship IEEEL A P A G

N A D E L L

Notizie dall’IEEE Instr umentation and Measurement Society

ABSTRACT

This column presents the latest news about the activities of the IEEE Instrumentation and Measurement Society, t h e c o m m u n i t y o f m e a s u r e m e n t w i t h i n t h e I n s t i t u t e o f Electrical and Electronics Engineers In any issue infor mation about conferences, funding oppor tunities, edu cation activities and standard development activities of the Society are presented.

RIASSUNTO

Questa rubrica presenta gli ultimi aggior namenti sulle a t t i v i t à d e l l ’ I E E E I n s t r u m e n t a t i o n a n d M e a s u r e m e n t Society, la comunità delle misure nell’ambito dell’Institu t e o f E l e c t r i c a l a n d E l e c t r o n i c s E n g i n e e r s D i v o l t a i n v o l t a v e n g o n o p r e s e n t a t e i n f o r m a z i o n i s u i c o n g r e s s i , sulle oppor tunità di finanziamento, sulle attività di for mazione e sugli standards IEEE gestiti dalla Society.

PROGRAMMA MENTORSHIP

Il programma Mentorship di IMS è stato creato per sostenere gli studenti e i giova ni professionisti nel loro sviluppo profes sionale attraverso relazioni di mento ring. Questo programma mette in contat to i membri dell’IMS, a tutti i livelli di e sperienza, che possono svolgere il ruolo di allievo, con esper ti del settore delle misure e della strumentazione, i quali possono svolgere il ruolo di mentore. Il programma di mentorship mira a fornire agli allievi le risorse, tra cui consigli, o rientamento professionale e supporto, di cui hanno bisogno per progredire nella loro carriera grazie al suppor to e alla guida dei mentori I ruoli di mentore e al lievo non sono legati a uno specifico tito lo di studio o età, né prevedono relazioni di subordinazione. Chiunque cerchi di entrare in un nuovo campo o abbia biso gno di una guida per orientarsi nel mon do accademico o industriale, può chie dere il supporto di un mentore L’IMS sta cercando sia mentori sia allievi. Le candi dature dei mentori sono aperte tutto l’an no, mentre per quelle degli allievi ci sono

due bandi all’anno per un periodo di due settimane. Durante questo periodo, i potenziali allievi possono candidarsi a partecipare al programma compilando un breve questionario Queste informa zioni saranno poi utilizzate per abbina re potenziali allievi con più di 3 poten ziali mentori Il primo bando si è chiuso il 26/08 CLICCA QUI per ulteriori infor mazioni e per conoscere le date del secondo bando.

AGGIORNAMENTO SUI CONGRESSI DELL’IEEE

Le conferenze di primavera/estate del l’IMS si sono svolte regolarmente in for mato tradizionale o ibrido con differen t i f o r m u l e . A p a r t e l e g i à m e n z i o n a t e I 2 M T C 2 0 2 2 , M e M e A 2 0 2 2 e S A S 2022, quest’anno è ripar tita anche la conferenza A U TO T E S T C O N , che riu nisce l’industria delle prove automati c h e i n c a m p o m i l i t a r e / a e r o s p a z i a l e , acquirenti e utenti governativi/militari per condividere nuove tecnologie, dis c u t e r e a p p l i c a z i o n i i n n o v a t i v e e d esporre prodotti e ser vizi. È sponsoriz

zata annualmente dall’IMS e dall’IEEE

A e r o s p a c e a n d E l e c t r o n i c S y s t e m s Society Essendo focalizzata sugli inter scambi personali la conferenza è stata s o s p e s a d u r a n t e l a p a n d e m i a e d è stata organizzata di nuovo in presenza dal 29 agosto al 1° settembre di que st’anno a National Harbor, Mar yland, USA Le iscrizioni sono ancora aper te a l l ’ I E E E I n t e r n a t i o n a l Wo r k s h o p o n

A p p l i e d M e a s u r e m e n t s f o r P o w e r Systems (AMPS) 2022, all’IEEE Interna tional Symposium on Precision Clock Synchronization for Measurement, Con trol, & Communication (ISPCS) 2022 e all’IEEE International Workshop on Metrology for the Sea (MetroSea) L’IEEE AMPS 2022 (Cagliari, 28 30 settembre) affronta tutti gli aspetti relativi alle ap plicazioni di misura nei nuovi sistemi e reti di energia (Smart Grids) e ha l’obiet tivo principale d’incoraggiare la discus sione su questi temi tra gli esperti prove nienti dal mondo accademico, dall’indu stria e dalle utilities. L’IEEE ISPCS 2022 (Vienna, 2 7 ottobre) è rivolta a ricercato ri e professionisti dell’industria, del mondo accademico, dei laboratori nazionali e del governo coinvolti nell’a rea della sincronizzazione di precisione degli orologi e delle applicazioni distri buite basate sul tempo L’IEEE MetroSea 2022 (Milazzo ME, 3 5 ottobre) rappre senta un punto d’incontro internazionale nel mondo della ricerca nel campo della metrologia per l’ambiente marino e coin volge istituzioni nazionali e internazio nali e il mondo accademico.

1 Marco Par vis, IEEE IMS Vice President Technical and Standards Activities, Dip. di Elettronica e Telecomunicazioni, Politecnico di Torino marco.par vis@polito.it

2 Sergio Rapuano, IEEE IMS Vice President Education, Dip. Ingegneria, Università del Sannio rapuano@unisannio.it

T M N. 3/22  49 A cura di M. Parvis 1 e S. Rapuano 2
I
’ I

GLI ESPERTI

DI T_M

Il laboratorio di Legnano, in provincia di Milano, dispone di nuovi Laboratori attrezzati, grazie ai quali è in grado soddisfare le esigenze dei propri Clienti garantendo un servizio completo di gestione della taratura degli strumenti di misura.

Il Laboratorio è Accreditato Centro LAT n. 060 per la grandezza temperatura nel campo -80÷1.100 °C e nel punto di ebollizione del l’Azoto (-196 °C) – si veda tabella di Accreditamento per dettagli.

Grazie a una completa ri definizione e ristrutturazione degli spazi dedicati alle tarature, LTTS ha am pliato i propri Laboratori au mentandone sensibilmente la capacità operativa.

LTTS dispone inoltre di competenze e apparecchiature per lo svolgimento di tarature, anche presso la sede del Cliente, per verifica di forni, muffole, stufe, celle climatiche, autoclavi, incubatori, frigocongelatori, macchine di saldatura e per trattamenti termici.

Via Pisacane 46 – 20025 Legnano (MI)

Tel. 0331/543222 –Fax 0331/486660 E-mail: info@ltts.it – Web: www.ltts.it

Persona da contattare: Marco Carrera

Le principali grandezze trattate dal Laboratorio sono:

• TEMPERATURA

• UMIDITÀ RELATIVA

• MISURE DIMENSIONALI

• PESO

• MOMENTO TORCENTE

• VELOCITÀ ROTAZIONALE

• TEMPO

• FLUSSO GAS DI SALDATURA

Per tutte le altre grandezze LTTS ha sviluppato, in questi anni, una fitta rete di collaborazione con altri Centri di Taratura ed è quindi in grado di gestire l’intero parco strumenti del Cliente.

Il “know-how” acquisito e l’esperienza trentennale maturata nel settore, consentono inoltre ad LTTS di assistere i propri Clienti nella qualifica di forni per trattamenti termici in accordo a norme internazionali nei settori Automotive (AIAG CQI-9), Oil&Gas (qualifiche API6A e NORSOK M-650) ed Aerospaziale (SAE-AMS2750).

Persona contattare: Giorgio Rossi
T M  51T_M ■ 69 TUTTO MISURE EDITORIALE Magistrati, avvocati e metrologi XIX Congresso Internazionale Metrologia IL TEMA FMEA misure: una sinergia Si dibatte ancora sul valore vero competenza metrologica in Sanità responsabilità da contatto sociale TUTTO MISURE EDITORIALE In ricordo di due am monitoraggio delle grandi strutture Il campione nazionale del tempo robot come strumen di controllo Boe intelligenti per itoraggio delle acque ALTRI ARGOMENTI ro colpevole? Gestione dell’efficienza energetica termiche Milano

Analisi della potenza: massimizzare l’efficienza con HBK

pot massimizzar enza: icienza cl’eff l’inter olli invcontr mot

Una soluzione per l’intera catena della misura per i test della potenza elettrica: dai test sulle macchine elettriche ai test sui controlli degli inverter complessi ad alta tensione.

Semplifica i test su motori e inverter unendo diversi sistemi di test in un’unica fonte di informazioni.

a ersi sistemi di ’unicaun er

www.hbm.com/ept e on HBK a catena della misur terer ter unendo divori e inv

Il prodotto non elettrico per atmosfere esplosive:

DOES THE ATEX PRODUCT ALSO HAVE TO COMPLY WITH PRODUCT STANDARDS?

Our analysis in the field of tests prescribed by the ATEX Directives (regarding equipment used in potentially explosive atmospheres) continues In this issue it is the turn of the non mechanical products

TESTING & DINTORNI

Prosegue la nostra analisi in ambito di prove prescritte dalle Direttive ATEX, riguardanti le apparecchiature impiegate in atmosfere potenzialmente esplo sive In questo numero è la volta dei prodotti “ non meccanici”

Nei precedenti numeri questa rubrica

s i è o c c u p a t a p r i n c i p a l m e n t e d i r a c contare le avventure di prodotti elettrici o elettronici destinati a essere installati in atmosfera potenzialmente esplosiva

S e i n v e c e i l p r o d o t t o d e s t i n a t o a u n a z o n a c l a s s i f i c a t a è “ n o n e l e t t r i c o ” , i l costruttore cosa deve fare? Il primo passo è quello di verificare se i l p r o d o t t o “ n o n e l e t t r i c o ” r i c a d e n e l campo di applicazione della Direttiva 2 0 1 4 / 3 4 / E U ( AT E X ) , c h e n o n f a d i stinzioni tra prodotti elettrici e non elet trici, non contiene quindi riferimenti a requisiti a seconda che i prodotti siano elettrici o non elettrici I distinguo della Direttiva per un prodotto è che esso sia un “apparecchio”, un “componente”, un “dispositivo di sicurezza” o un “si stema di protezione”

L’articolo 2 della 2014/34/EU introdu ce le definizioni dei prodotti e gli “ appa recchi” sono indicati come: “le macchi ne, le apparecchiature, i dispositivi fissi o mobili, gli organi di comando, la stru mentazione e i sistemi di rilevazione e di prevenzione che, da soli o combinati, sono destinati alla generazione, al tra sporto, allo stoccaggio, alla misurazio ne, alla regolazione e alla conversione di energia e/o alla trasformazione di materiale e che, a causa delle potenziali sorgenti d’innesco che sono loro proprie, rischiano di provocare un ’esplosione” In conclusione, la Direttiva Atex si applica ai prodotti elettrici e non elettrici destinati a essere impiegati in atmosfera poten

zialmente esplosiva, con potenziali sor genti d’innesco proprie, che possono es sere attivate nell’uso previsto. Sappiamo che le norme tecniche armonizzate sono gli strumenti che supportano il costruttore nell’applicazione dei requisiti essenziali di sicurezza della Direttiva ma, passando in ambito non elettrico i riferimenti degli enti di normazione si spostano da IEC (in ternazionale) e CENELEC (europeo per norme elettriche EN) a ISO (internaziona le) e CEN (europeo per norme EN) del settore meccanico. La cultura tecnica della protezione con tro l’innesco di un ’esplosione è retaggio della sorgente di accensione di origine elettrica; pertanto anche per il prodotto non elettrico rimane valido l’approccio dello “IEC Zone System” (ovvero la clas sificazione in Zone pericolose) Il siste ma “Zone livello di protezione dell’ap parecchio” (EPL, Equipment Protection Level) rimane quindi applicato anche al prodotto non elettrico e la classificazio ne delle apparecchiature è invariata, così come i concetti di Massima Tempe ratura Superficiale e Classi di Tempera tura D’altro canto, il fenomeno “inne sco ” dell’atmosfera esplosiva non cam bia a seconda del prodotto, ma segue le leggi della fisica ed è quindi collegato a fenomeni di riscaldamento e super fici calde, scintille, in questo caso di origine meccanica, quali attrito, sfregamento, ecc.

Come per il settore elettrico ci aspettere mo, quindi, un approccio pari alla serie

di norme EN IEC 60079, con una prima par te di norma con requisiti generali e seconde par ti con specifici requisiti a seconda della tecnica di protezione adottata, ovvero seconde parti di norma per i diversi “modi di protezione”

La condivisione di approccio tra norma elettrica e non elettrica ha prodotto una cooperazione tra i diversi enti norma tori e l’equivalente “meccanico” della serie 60079 è stato redatto ed emesso grazie al lavoro di ISO e IEC come se rie di nor me ISO IEC 80079, ar mo n i z z a t e i n U n i o n e E u r o p e a c o m e EN ISO IEC 80079 La Fig 1 descri ve un parallelo tra le norme di riferimen to per i prodotti elettrici e non elettrici nel pericolo di esplosione, compresa l’ar monizzazione per l’Unione Europea Le norme della serie EN ISO IEC 80079 sono armonizzate per la Direttiva ATEX

Articolo
T M N. 2/21  53T M N. 3/22  53
di Mirko Martina Rubrica a cura di Massimo Mor tarino (mmor tarino@affidabilita.eu)
“ATEX Meccanico” Cosa fare quando il prodotto è “non elettrico”T E S T I N G & D I N T O R N I s Ing. Mirko Mar tina Responsabile Settore ATEX di Intek spa e membro CT31 CEI mirko.mar tina@intek.it Figura 1 Norme Tecniche e Armonizzate per i prodotti nei luoghi con pericolo di esplosione

PHYSIK INSTRUMENTE srl

Via Marconi 28 20091 Bresso (MI) Tel. 02/66501101 Fax 02/61039656 E mail: info@pionline it Web: www pionline it

Persona da contattare: Gianluca Poli

Ben conosciuta per l’alta qualità dei suoi prodotti, PI (Physik Instrumente) è da sempre una delle aziende di riferimento nel mercato globale del posiziona mento di precisione e può vantare un’esperienza di ormai 40 anni nello svilup po e nella fabbricazione di prodotti standard e OEM, su tecnologie convenzio nali e piezoelettriche Acquisendo le quote di maggioranza di ACS Motion Control, leader mondiale nello sviluppo e nella produzione di controllori di movimento modulari per sistemi di azionamento multiasse e ad alta precisio ne, PI ha compiuto un importante passo in avanti nella fornitura di sistemi completi per applicazioni industriali con la più alta richiesta di precisione e dinamica. Oltre a quattro siti produttivi in Germania, il Gruppo PI è rappresen tato a livello internazionale da quindici filiali di vendita e assistenza.

#NanoPositioning #PerformanceAutomation #PiezoTechnology #StayEngaged

TUTTO MISURE WWW TUTTOM SURE IT D TORIAL Riflessioni NOTIZ ti, metrologi logia Forense XIX Congresso In io le M rologia La riproducibilità de ella d dica A TR A GOM N FMEA na sinergia dibatte ancora valore vero rologica in Sanità Salvatore Baglio el responsabilità da contatto sociale UALITÀ PERIODICO TUTTO MISURE WWW TU TOM SURE T O ricordo di due am L EMA delle grandi struttu GL ALTR EM ob nti di controllo Boe intelligenti per ito delle acque ALTR ARGOMENT Gestione dell’efficienza energetica ta lla te in lo ia te ic M GLI ESPERTI DI T M

2014/34/EU e il loro utilizzo conferisce la presunzione di conformità ai requisiti essenziali di sicurezza della Direttiva stessa

I riferimenti di norma per i requisiti ge nerali e per i modi di protezione sono i seguenti:

EN ISO 80079 36

Explosive atmospheres Part 36: Non e l e c t r i c a l e q u i p m e n t f o r e x p l o s i v e a t m o s p h e r e s B a s i c m e t h o d a n d requirements (ISO 80079 36:2016); EN ISO 80079 37

Explosive atmospheres Part 37: Non e l e c t r i c a l e q u i p m e n t f o r e x p l o s i v e a t m o s p h e r e s N o n e l e c t r i c a l t y p e o f p r o t e c t i o n c o n s t r u c t i o n a l s a f e t y ’ ’ c ’ ’ , control of ignition sources ’’b’’, liquid immersion ’’k’’ (ISO 80079 37:2016); EN ISO IEC 80079 38

E x p l o s i v e a t m o s p h e r e s P a r t 3 8 : E q u i p m e n t a n d c o m p o n e n t s i n e x p l o s i v e a t m o s p h e r e s i n u n d e r g r o u n d m i nes (ISO/IEC 80079 38:2016).

In questo ar ticolo porremo l’attenzione sulle norme par te 36 e 37, per i prodot ti impiegati nelle aziende di super ficie (non nelle miniere grisutose).

NORME 80079

TRA PRESENTE E PASSATO

P r o v i a m o a f a r e c h i a r e z z a s u q u a l i s t r u m e n t i n o r m a t i v i u t i l i z z a r e p e r l a valutazione di un prodotto non elettrico i n a t m o s f e r a e s p l o s i v a a n a l i z z a n d o , s i a p u r e a u n l i v e l l o i n f o r m a t i v o , s e i l c o m u n e a p p r o c c i o c o n l e n o r m e 60079 per i prodotti elettrici sia anche condiviso in termini di tecniche di pro tezione e prove di tipo.

D o b b i a m o p e r c i ò a n c h e c h i e d e r c i q u a l i s t r u m e n t i e s i s t e v a n o p r i m a d i queste norme, quali siano le differenze e se possano essere ancora utilizzati

La serie 80079 non rappresenta una novità assoluta per il prodotto ATEX non elettrico: infatti, fino alla loro entrata in vigore la presunzione di conformità era affidata alle norme EN 13463, che ave vano la stessa struttura: parte generale e parti per lo specifico modo di protezione

La Fig 2 riproduce la cronistoria di que sto passaggio, fino al presente La data del 31 Ottobre 2019 rappresenta il ter mine ultimo oltre il quale l’utilizzo delle EN 13463 ha cessato la presunzione di conformità alla direttiva 2014/34/EU

La struttura della serie EN 13463 era la seguente:

Il limite formale delle norme EN 13463 era la loro possibile applicazione solo i n a m b i t o c o m u n i t a r i o ( E u r o p a ) , p e r q u e s t o I S O e I E C s v i l u p p a n o l a s e r i e ISO IEC 80079, che introduce modifi che necessarie per l’allineamento con lo schema “IEC Zone System”, quali ad esempio:

Introduzione dei livelli di protezione (EPL) Ga/Gb/Gc per Gas e Da/Db/ Dc per polveri;

I n t r o d u z i o n e d e i g r u p p i d i p o l v e r i IIIA/IIIB/IIIC; per allineare la nomenclatura alla serie IEC 60079 per le apparecchiature e lettriche

Inoltre le novità strutturali delle nuove n o r m e ( q u e l l e t e c n i c h e e d i p r o v a l e a f f r o n t e r e m o t r a p o c o ) r i g u a r d a n o i

Norma Modo di protezione

EN 13463-1 General requirements -

Simbolo del modo di protezione

EN 13463-2 Protection by flow restictring enclosure fr

EN 13463-3

EN 13463-5

Protection by flame proof enclosure d

Protection by constructional safety c

Requisiti generali

splosiva gas

Descrizione

EN 13463-6

EN 13463-8

Protection by control of ignition source b

Una esplosione interna alla custodia è supportasfera di gas cir-

Costruzio pparecchio è costruito per non innescare nel funzionamento normale

Apparecchio che non presenta sorgenti di innesco efficaci nel funzionamento normale, ma solo in caso di guasto. Il funzionamento in guasto è evitato mediante strumentazione a bordo che monitora le grandezze critiche

Protection by liquid immersion k Le parti che presentano sorgenti di innesco efficaci sono immerse in un liquido per evitare il con siva

Tabella 2 - Norme e modi di protezione applicabili a un prodotto "non-elettrico"

Figura 2 – Evoluzione delle norme per Non-Elettrici per la Direttiva ATEX

T M  55T M  55 TESTING & DINTORNI N . 0 3  ; 2 0 2 2 s Tabella 1 Str uttura della norma EN 13463

Tabella 1 - Struttura della norma EN 13463

leggendo i primi capoversi dello scopo della nor ma (ar t 1), comprendiamo subito quale strada si sia voluto traccia re con questa serie di norme Li ripor ti amo di seguito, commentandoli. “This p a r t o f I S O / I E C 8 0 0 7 9 s p e c

della sorgente d’innesco)

(immer sione in liquido)

Con la serie ISO IEC 80079, e la loro armonizzazione come EN ISO 80079, il costruttore ha l’oppor tunità di cer tifi care le apparecchiature non elettriche,

alla Direttiva ATEX.

LA NORMA EN ISO 80079-36 (REQUISITI GENERALI)

La norma è l’armonizzazione della ISO 80079 36 e dal 1° novembre 2019 è l’unico riferimento per la certificazione ATEX di un prodotto non elettrico. Già

e s t h e b a s i c m e t h o d a n d r e q u i r e m e n t s f o r design, construction, testing and mar king of non electrical Ex equipment, Ex C o m p o n e n t s , p r o t e c t i v e s y s t e m s , d e vices and assemblies of these products

t h a t h a v e t h e i r o w n p o t e n t i a l i g n i t i o n s o u r c e s a n d a r e i n t e n d e d f o r u s e i n explosive atmospheres” . Il normatore ci informa che il prodotto non elettrico, destinato a essere instal lato in atmosfera esplosiva, dev’essere sottoposto a un ’analisi di rischio d’in nesco e, qualora il risultato sia la pre s e n z a d i u n a s o r g e n t e d i a c c e n s i o n e c h e p u ò d i v e n i r e e f f i c a c e , e s s o d e v e soddisfare i requisiti di progetto della norma e i requisiti di prova ad esso ap

plicabili. Quindi anche il prodotto mec canico dev’essere sottoposto a test, a p r e s c i n d e r e d a l f a t t o c h e l ’ a p p a r e c c h i o a b b i a o m e n o u n a n o r m a i n d u striale di prodotto di riferimento. “ H a n d t o o l s a n d m a n u a l l y o p e r a t e d equipment without energy storage are e x c l u d e d f r o m t h e s c o p e o f t h i s s t a n dard. This standard does not address the safety of static autonomous process equipment when it is not part of equip ment referred to in this standard

campo di applicazione

prodotti non

edizione Maggio 2020” sezio

componenti stati

funzionale, come ad esempio le tuba

l’approccio della Direttiva ATEX.

T M  56 N . 0 3 ; 2 0 1 6 TESTING & DINTORNI s N . 0 4  2 0 2 2 m o d i d i p r o t e z i o n e . L e n o r m e E N 13463 5, EN 13463 6, EN 13463 8 sono state riunite in un ’unica norma EN I S O 8 0 0 7 9 3 7 , n e l l a q u a l e v i s o n o i r e q u i s i t i p e r i m o d i d i p r o t e z i o n e “ c ” ( s i c u r e z z a c o s t r u t t i v a ) , “ b ” ( c o n t r o l l o
e “k”
in accor do s ia al l o s chem a IECEx s ia
” L a D i r e t t i v a AT E X g i à e s c l u d e d a l
i
e l e t t r i c i a z i o n a t i m a n u a l m e n t e ( v e d . “ AT E X 2 0 1 4 / 3 4 / E U G u i d e l i n e s terza
n e § 3 8 ) , q u a l i a d e s e m p i o l e v a l v o l e ad azione manuale o
c i p r i v i d i q u a l s i a s i m o v i m e n t a z i o n e
z i o n i Q u e s t o c a p o v e r s o c o n f e r m a
i f i

“This part of ISO/IEC 80079 specifies t h e r e q u i r e m e n t s f o r t h e d e s i g n a n d c o n s t r u c t i o n o f e q u i p m e n t , i n t e n d e d for explosive atmospheres in conformi ty with all Equipment Protection Levels (EPLs) of Group I, II and III”.

Omissis

“This standard supplem ent and m odi f i e s t h e g e n e r a l r e q u i r e m e n t s o f I E C 60079 0, as shown in Table 1. Where a requirement of this standard conflicts with a requirement of IEC 60079 0, as f a r a s a p p l i c a b l e f o r n o n e l e c t r i c a l e q u i p m e n t , t h e r e q u i r e m e n t o f t h i s standard takes precedence” .

RIFERIMENTO

ISO 80079-36 EN ISO 80079-36 Requisiti generali meccanico

IEC 60079-0 EN IEC 60079-0 Requisiti generali elettrico

ISO 80079-37 EN ISO 60079-37 Modi di protezione: sicurezza costruttiva controllo sorgente d innesco - immersione in un liquido

meccanico

I l c o s t r u t t o r e e s e g u e l ’ a n a l i s i d e i rischi d’innesco del prodotto. Se vi so n o p o t e n z i a l i s o r g e n t i d ’ i n n e s c o c h e possano divenire efficaci, allora si veri fica che il prodotto soddisfi i requisiti d e l l a 8 0 0 7 9 3 6 ; b u o n a p a r t e d i t a l i requisiti sono gli stessi della 60079 0, o p p u r e m o d i f i c a t i p e r l ’ a p p l i c a z i o n e n o n e l e t t r i c a L a Ta b 1 d e l l a n o r m a 80079 36, specifica quali ar ticoli del la 60079 0 siano applicabili e indica c h e i r e q u i s i t i a p p l i c a b i l i r i g u a r d a n o anche le apparecchiature protette da tipi di protezione “ c ” , “b” e “k’

La ISO 80079 36 rimanda integral mente ai modi di protezione “d”, “ p ” , “ t ” d e i p r o d o t t i e l e t t r i c i d e l l a s e r i e 60079, per completare le tecniche di p r o t e z i o n e a p p l i c a b i l i Vi e n e a l t r e s ì

IEC 60079-1 EN 60079-1 Modo di protezione: custodie a prova di esplosione elettrico

IEC 60079-2 EN 60079-2 Modo di protezione: custodie a pressurizzazione interna

IEC 60079-31 EN 60079-31 Modo di protezione: - custodie protette contro di polvere

specificato nell’allegato G (normativo) c h e , q u a n d o s i a p p l i c a n o l e n o r m e 60079 relative ai modi “d”, “ p ” e “t”, si debbano prendere in considerazio ne la natura e le fonti di accensione del prodotto non elettrico nell’applicazio ne dei requisiti dei modi di protezione “elettrici” La Fig 3 e la Tab 2, che se g u o n o , r i a s s u m o n o l ’ a p p r o c c i o “ m i sto” della norma 80079

PROVE DI TIPO EN ISO 80079-36 E RIFERIMENTI ALLA EN IEC 60079-0

L e p r o v e d i t i p o d e l l a p a r t e g e n e r a l e s o n o , a l p a r i d e l l ’ a p p r o c c i o 6 0 0 7 9 , da applicarsi al prodotto in esame prima di passare alle prove dello specifico modo di protezione

Prove di Temperatura

Figura 3 Modi di protezione "meccanici" completati dai modi di protezione "elettrici"

Se per il prodotto elettrico, il rischio di accensione dovuto a l l a t e m p e r a t u r a è d o v u t o p r i n c i p a l m e n t e a l s u r r i s c a l d a m e n t o p e r e f f e t t o J o u l e , n e l p r o d o t t o m e c c a n i c o s i d e v o n o p r e n d e r e i n c o n s i d e r a z i o n e a n c h e a z i o n i meccaniche dovute al movi m e n t o ( s f r e g a m e n t o e a t t r i

elettrico

elettrico

t i ) , o p p u r e a l c a l o r e p r o v e n i e n t e d a f o n t i i n t e r n e , q u a l i f l u i d i d i p r o c e s s o , g a s c a l d i , e c c I l c o n c e t t o , t u t t a v i a , rimane il medesimo: l’apparecchio svi l u p p e r à u n a c e r t a t e m p e r a t u r a d e l l e par ti a contatto con l’atmosfera esplosi va nel funzionamento normale (defini t a c o m e “ t e m p e r a t u r a d i s e r v i z i o ” : ved cl 3 8 della norma), e una “tem peratura massima super ficiale” nel fun zionamento in guasto e/o con applica t o i l m a s s i m o c a r i c o n e l l e c o n d i z i o n i più sfavorevoli

La temperatura di ser vizio è utilizzata c o m e p a r a m e t r o p e r l ’ e s e c u z i o n e d i p r o v e s u c c e s s i v e , m e n t r e l a m a s s i m a t e m p e r a t u r a s u p e r f i c i a l e d e f i n i s c e l a c l a s s e d i t e m p e r a t u r a d a a p p o r r e i n marcatura

Prove meccaniche e prove addizionali per le par ti non-metalliche da cui dipende la protezione

L e a p p a r e c c h i a t u r e m e c c a n i c h e i c u i c o m p o n e n t i c h e c o n t r i b u i s c o n o a l l a protezione sono in materiale metallico, ad esempio custodie, guar nizioni me talliche, cuscinetti, bronzine, ecc., de vono essere sottoposte a prove mecca niche d’impatto e di caduta (se appli cabile)

I m e t o d i d i p r o v a p e r l e p r o v e d i resistenza all’impatto e alla caduta so

TESTING & DINTORNI N . 0 3  ; 2 0 2 2 s T M  57 L’impatto più significativo della 80079 è l a c o n n e s s i o n e c o n l e n o r m e I E C 60079 per i prodotti elettrici La norma p e r p r o d o t t i m e c c a n i c i è d i f a t t o u n a estensione della IEC 60079 0. L’approccio della ISO 80079 36 può essere riassunto come segue:

Tabella 2 - Norme e modi di protezione applicabili a un prodotto "non-elettrico" NORMA ISO o IEC NORMA EN OGGETTO Tabella 2 Norme e modi di protezione applicabili a un prodotto “non elettrico”

n o i m e t o d i d i c u i a l l a n o r m a I E C 60079 0 e sono espressamente richia mati nella 80079 36

Quando l’apparecchiatura non elettri ca è costruita con par ti non metalliche c h e c o n t r i b u i s c o n o a l l a p r o t e z i o n e , l’approccio IEC 60079 0 viene appli cato sia per il tipo di prove sia per l’or dine con cui devono essere condotte. Nei numeri precedenti si è visto come il materiale plastico, così come la tenuta elastomerica, fossero osser vati specia li dalla norma: le proprietà dei materia li non metallici, da cui dipendono i mo d i d i p r o t e z i o n e , s o n o v e r i f i c a t e n e l tempo con esposizione alla temperatu ra e all’umidità

L a n o v i t à p i ù i m p a t t a n t e d e l l a n u o v a s er ie IS O IEC 80079 è quel l a r ig uar dante una par te/componente del pro dotto che contribuisce alla protezione ed è non metallico, che impone di sot toporre il prodotto alle seguenti prove:

Condizionamento a caldo umido per 672 h (Thermal Endurance to heat);

Condizionamento a freddo per 24 h (Thermal Endurance to cold);

P r o v e d i r e s i s t e n z a a l l ’ i m p a t t o c o n d o t t e a l l a “ u p p e r t e s t t e m p e r a t u r e ” e s u c c e s s i v a m e n t e a l l a “ l o w e r t e s t t e m perature”, determinate rispettivamente incrementando da 10 K a 15 K la mas s i m a t e m p e r a t u r a d i s e r v i z i o , e r i d u cendo la minima temperatura di ser vi zio da 5 K a 10 K;

Prove di resistenza alla caduta con

dotte all’“upper test temperature” e, suc c e s s i v a m e n t e , a l l a “lower test tempera t u r e ” , d e t e r m i n a t e come sopra; Prove dello speci f ico m odo di pr ot e zione applicato (es. p r o v e I P, p r o v e d i esplosione, ecc ) L a c l a u s o l a 8 4 3 d e l l a I S O 8 0 0 7 9 3 6 p r e s c r i v e c h e i test debbano essere condotti su due cam p i o n i , i n s u c c e s s i o n e s u o g n i c a m p i o n e e n e l l ’ o r d i n e i n dicato.

Sempre con preciso riferimento alla IEC 60079 0, il mate riale non metallico dev’essere sottopo sto a verifiche addizionali in merito al rischio di accumulo di carica e scarica elettrostatica, ad esempio alla misura di Resistenza Super ficiale in accordo a cl. 26.13 della IEC 60079 0. Anche la presenza di specole di vetro o par ti di custodia in vetro, richiede delle prove per la verifica dell’integrità del m a t e r i a l e s t e s s o , q u a n d o v i e n e s o t t o p o s t o a l l a p r o v a d i S h o c k Te r m i c o i n a c c o r d o a I E C 6 0 0 7 9 0 c l . 2 6 . 5 . 2 , esattamente come per il prodotto elet trico

ESEMPI DI PROVE DEL MODO DI PROTEZIONE

Modi di protezione “c”, “b”, “k” (ISO 80079-37) Il modo di protezione “ c ” a sicurezza c o s t r u t t i v a , o r a c o n t e n u t o n e l l a I S O 8 0 0 7 9 3 7 , r i c h i e d e p r i n c i p a l m e n t e soluzioni progettuali volte a evitare l’in nesco, in relazione al tipo di prodotto o a par te meccanica del prodotto stesso Ad esempio, sono forniti requisiti per le par ti in movimento, tenute delle par ti in movimento, i cuscinetti, gli elementi di trasmissione (pneumatica, cinghie, ca tene, ecc ), freni, accoppiamenti flessi bili, ecc. Quando la protezione richie de un determinato grado di protezione contro la penetrazione di corpi solidi e/o liquidi, sono richiesti gradi di pro t e z i o n e I P 2 0 , I P 5 X , I P X 4 e I P 6 X a seconda della tipologia d’impiego del prodotto Il metodo di prova ammesso è q u e l l o d e l l a I E C 6 0 5 2 9 , m a c o n l a p r o v a c o n d o t t a a l t e r m i n e d e l l a s e quenza di prove poc ’anzi descritta. Q u a n d o u n p r o d o t t o n o n e l e t t r i c o è progettato per avere par ti in movimen to relativo, tra le quali vi sono tenute lubrificate (come, ad esempio, negli accoppiamenti albero foro), è richiesta una prova di misura di temperatura a secco (“dr y test”) per simulare la perdita di lubrificante e verificare che le tempe rature non superino la massima tempe ratura dichiarata in marcatura. L’allega to B (normativo) dell a nor ma for nisce il metodo di prova per il “dr y test”. Il modo di protezio n e “ b ” è b a s a t o p r i n c i p a l m e n t e s u i risultati puntuali del l ’ a n a l i s i d i r i s c h i o d’innesco: s’inter vie n e s u l c o m p o n e n te/par te dell’appa r e c c h i a t u r a n o n e l e t t r i c a c h e p r e s e n t a l a s o r g e n t e p o t e n z i a l e d ’ i n n e s c o , p o s i z i o n a n d o s e n sori che ne controlli no le grandezze da cui dipende l’attiva zione della sorgente

Figura 4 Prove di temperatura su componente meccanico pneumatico Figura 5 Prove di misura della Resistenza Super ficiale su provino di materiale non metallico
T M  58 N . 0 3 ; 2 0 1 6 TESTING & DINTORNI s N . 0 4  2 0 2 2

di accensione, quali velocità, pressio ne, temperatura In questo approccio, p o i c h é i l s e n s o r e è a s u a v o l t a u n a potenziale sorgente d’innesco di natu ra elettrica, la norma impone che il sen sore abbia un livello di protezione ido neo alla zona d’installazione e, quin di, generalmente si utilizzano sensori già cer tificati ATEX. La norma richiede, tuttavia, che siano d e t e r m i n a t i i p a r a m e t r i d i c o n t r o l l o mediante l’esecuzione di prove di tipo, misurando le grandezze associate alla p o t e n z i a l e s o r g e n t e d ’ i n n e s c o c h e i l sensore deve controllare (ad esempio, prove di misura di temperatura, misura di pressione, misura di velocità, ecc ) N e l m o d o d i p r o t e z i o n e “ k ” s o n o r i c h i e s t e p r o v e d i p r e s s i o n e i n t e r n a , volte a verificare perdite del liquido di protezione Nel caso in cui la contami nazione, il deterioramento o la degra d a z i o n e d e l l i q u i d o p r o t e t t i v o c o n mezzi esterni possano ridurre il livello della protezione, sono richiesti valori m i n i m i d i g r a d o d i p r o t e z i o n e I P A d esempio, nel caso di apparecchiature che necessitano di protezione da ele v a t i l i v e l l i d i p o l v e r e a t m o s f e r i c a e vapore acqueo, queste devono fornire un grado di protezione dall’ingresso di a l m e n o I P 6 6 , c o m e d e s c r i t t o n e l l a n o r m a I E C 6 0 5 2 9 , m a c o n l a p r o v a condotta al termine della sequenza di prove poc ’anzi descritta

M o d i d i p ro t e z i o n e “ d ” , “ p ” , “t” (nor me IEC 60079)

Se in un prodotto, o in par ti di un pro dotto, non elettrico sono adottate prote zioni, mediante:

c u s t o d i e a p r o v a d i e s p l o s i o n e “ d ” (atmosfera gas),

c u s t o d i e a s o v r a p r e s s i o n e i n t e r n a “ p ” (atmosfera gas o polveri),

c u s t o d i e p r o t e t t e c o n t r o l a p e n e t r a zione di polveri “t” (atmosfera polveri), requisiti e prove di tipo sono prescritti nella serie IEC 60079 delle norme per prodotti elettrici, che si applicano integralmente anche se il prodotto è meccanico.

I r e q u i s i t i d i p r o v a d i a l c u n i d i q u e s t i modi di protezione sono descritti negli a r t i c o l i p u b b l i c a t i n e g l i s c o r s i n u m e r i della rivista in questa rubrica In questa s e d e , r i c o r d i a m o c h e u n a c u s t o d i a a prova di esplosione “d” deve soddisfa

re i requisiti della norma di riferimento

I E C 6 0 0 7 9 1 , c h e r i c h i e d e a l m e n o i seguenti test (nell’ordine indicato):

Prove di misura della temperatura di ser vizio (IEC 60079 0);

Prove di misura della massima tempe ratura super ficiale (IEC 60079 0);

Se non vi sono par ti non metalliche:

P r o v e d i r e s i s t e n z a a l l ’ i m p a t t o ( I E C 60079 0);

Prove di resistenza alla caduta, solo se applicabili (IEC 60079 0)

Se vi sono par ti non metalliche:

Prove di sovrapressione interna sulle par ti trasparenti in vetro, per la verifica d e l s i g i l l a n t e p r i m a d e i c o n d i z i o n a menti (IEC 60079 1)

P r ove di r es is t enza t er m ica a cal do (IEC 60079 0);

Prove di resistenza termica a freddo

(IEC 60079 0);

P r o v e d i r e s i s t e n z a a l l ’ i m p a t t o ( I E C 60079 0);

Prove di resistenza alla caduta, solo se applicabili (IEC 60079 0);

P r o v e d i m i s u r a d e l l a p r e s s i o n e d i esplosione (IEC 60079 1);

Prove di sovrapressione interna, inclu se le par ti trasparenti in vetro dopo il condizionamento (IEC 60079 1);

P r o v e d i t r a s m i s s i o n e d e l l a f i a m m a (IEC 60079 1)

CONCLUSIONI

L ’ a v v e n t o d e l l a s e r i e I S O I E C 8 0 0 7 9 ha indirizzato l’approccio delle tecni c h e d i p r o t e z i o n e c o n t r o l ’ i n n e s c o verso le nor me IEC 60079 del settore e l e t t r i c o L a c o n s e g u e n z a è c h e s i pone maggiormente attenzione, nelle pro v e d i t i p o , a l l e p r o p r i e t à d e i m a t e r i a l i n o n m e t a l l i c i p e r i q u a l i è r i c h i e s t a l a s t e s s a s e q u e n z a d i p r o v e d e l l a I E C 60079 0, che punta a t e s t a r e m a t e r i a l i i n v e c c h i a t i . I n q u e sto senso, l’asticella delle proprietà mec caniche dei materia l i p l a s t i c i e d e l a s t o merici si alza, con le r e l a t i v e c o n s e g u e n z e t e c n i c o e c o n o m i che

Figura 6 Trasmissione della fiamma a seguito di una accensione interna, in un componente meccanico Figura 7 Prova di sovrapressione su componente meccanico
T M  59T M  59 TESTING & DINTORNI N . 0 3  ; 2 0 2 2 

Competenza e know-how speci co nella meccanica di precisione da oltre 60 anni. Tamburini affronta con te tutte le fasi dello sviluppo del prodotto con un servizio su misura per ogni progetto. Garantiamo la soluzione ottimale per tutte le esigenze produttive grazie a prodotti mirati, studiati e realizzati in base alle tue speci che richieste.

u

TAMBURINI, DA SEMPRE UNA

GLI ESPERTI DI T

M

Via G Pastore 6 25080 Mazzano(BS) Tel: 030/2791033 | Fax: 030/2594494

Web: www tamburinigroup it E mail: info@tamburinigroup.it

CONFERMA QUANDO SI PARLA DI PRECISIONE

In Tamburini, la precisione è tutto. Continui investimenti in tecnologia pongono i Laboratori Metrologici di Tamburini al centro di una costante ricerca per offrire al cliente un prodotto ed un servizio accurato, sicuro e dalla qualità indiscussa

Il Laboratorio Metrologico di Tamburini è accreditato ACCREDIA e opera in conformità alla normativa europea UNI CEI EN ISO/IEC 17025, effettuan do servizio di taratura per strumenti primari ed emette certificati ricono sciuti da tutti gli stati firmatari dell’Accordo Multilaterale della “European Cooperation for Accreditation (EA)”, secondo tabella pubblicata sul sito www.accredia.it.

I certificati emessi dal laboratorio ACCREDIA garantiscono la riferibilità metrologica per gli strumenti e i campioni usati nei processi di misurazione attuati dalle aziende che operano in termini di “garanzia della qualità”.

Tamburini produce calibri lisci e filettati, sia standard secondo le normati v e v i g e n t i , e s p e c i a l i p e r q u a l s i a s i e s i g e n z a d i u t i l i z z o c o n s i d e r a n d o l e quote di filettatura e le dimensioni di ingombro

La gamma calibri è realizzata in acciaio legato, altamente indeformabile con durezza superficiale di 63 HRc (raggiungibile dopo tempra)

P e r a p p l i c a z i o n i s p e c i a l i v e n g o n o r e a l i z z a t i c a l i b r i c o n a c c i a i s p e c i f i c i secondo le richieste del cliente.

E per migliorare il rendimento, la durata e l’assenza di attriti, senza altera re le caratteristiche di base, i calibri possono essere sottoposti a una serie di trattamenti superficiali tra cui la ricopertura della parte filettata con un rivestimento esterno (in TIN o DCL) a seconda delle necessità individuate nelle specifiche applicazioni

Inoltre a richiesta può essere rilasciato il Rapporto di Taratura o la Dichia razione di Conformità, secondo l’uso a cui è destinato.

Il servizio è attivo anche per calibri di proprietà di terzi, con taratura periodica pianificata e rilascio della documentazione richiesta

La nostra missione: essere precisi Dalla produzione al controllo

TUTTO MISURETUTTO MISURE AFFIDABILITÀ D TOR A metrologi di ogia Forense XIX Congresso In io d M trologia La riproducibilità de FMEA sinergia rologica in Sanità Le responsabilità da contatto sociale TUTTO MISURETUTTO MISURE FFIDABILITÀ E TO IA In ricordo di due amici L M delle grandi struttu G pi ob di controllo A T A GOM NT Gestione dell’efficienza energetica
_
T M  61

Rubrica a cura di L. Cristaldi, (loredana.cristaldi@polimi.it), M. Catelani, M. Lazzaroni, L. Ciani

Articolo di C. Bruno, M. Crippa, L. Cristaldi, M. Tacchini

M I S U R E E F I D A T E Z Z A La sicurezza funzionale: sistemi high e low demand mode

Parte II – I Sistemi in high demand mode

FUNCTIONAL SAFETY: HIGH AND LOW-DEMAND MODE SYSTEMS

In any human activity, there are intrinsic hazards to things, the environment, or people, who require spe cial attention from designers and operators to mini mize or at least mitigate, all risks associated In this paper, we will analyze the standards ISO 13849 1

stems operating in High Demand Mode.

SOMMARIO

In qualunque attività umana sono presenti intrinsecamente dei pericoli per le cose, per l’ambiente o per le persone che richiedono una par ticolare attenzio ne da par te dei progettisti e degli operatori per minimizzare, o quanto meno mitigare, tutti i rischi associati

In questo ar ticolo si analizzano le norme ISO 13849 1 e IEC 62061, riferi mento per l’analisi dei sistemi operanti in High Demand Mode

Le due norme prima citate introducono le procedure per la progettazione e la rea lizzazione di sistemi di controllo di sicu rezza, in modo che questi tendano ad avere valori di affidabilità accettabili. Il livello di rischio accettabile viene valuta to, relativamente al sistema o all’appa recchiatura oggetto di studio, con un ap proccio probabilistico, per tanto come funzione della frequenza o probabilità di accadimento del guasto e della gravi tà delle conseguenze del guasto stesso

INTRODUZIONE

G a r a n t i r e l a s i c u r e z z a f u n z i o n a l e d i qualsiasi dispositivo è di fondamentale i m p o r t a n z a p e r l a s a l u t e e s i c u r e z z a dei lavoratori che vi entrano in contatto ogni giorno

E s s a è u n p r e z i o s o s t r u m e n t o , c h e c o n s e n t e d i r i d u r r e n o t e v o l m e n t e i l n u m e r o d i i n f o r t u n i o m o r t i s u l l u o g o d i l a v o r o , e d è n e c e s s a r i o c h e s i c o n t i n u i n o a s v o l g e r e s t u d i a l f i n e d i u n c o n t i n u o m i g l i o r a m e n t o d a l p u n t o d i v i s t a t e c n o l o g i c o d i q u e s t i s i s t e m i , s i a d i c o n t r o l l o s i a d i s i c u r e z z a I n e v i t a b i l m e n t e , i l r a p i d o s v i l u p p o i n t e r m i n i d i s i c u r e z z a f u n z i o n a l e h a a n c h e p o r t a t o i n o r m a t o r i a c e r c a r e d i r e g o l a r e c o n n u o v i c r i t e r i q u a n t i t a t i v i i l l i v e l l o d i a f f i d a b i l i t à d e i s i s t e m i d i c o n t r o l l o c h e a s s o l v o n o f u n z i o n i d i s i c u r e z z a , e l e d u e n o r m e c h e s o n o s t a t e p u b b l i c a t e e s t a b i l i s c o n o p i ù n e l d e t t a g l i o c r i t e r i e r e q u i s i t i d i s i c u r e z z a f u n z i o n a l e p e r i s i s t e m i d i c o n t r o l l o s o n o l a I E C 6 2 0 6 1 e l a I S O 1 3 8 4 9 1 .

LA SICUREZZA FUNZIONALE DEI SISTEMI HIGH AND LOW DEMAND MODE

Come già commentato nella Par te I, le funzioni di sicurezza vengono adot tate qualora il rischio introdotto da un processo o da un macchinario sia più elevato di quello accettabile.

Le due norme, che nel dettaglio stabili scono criteri e requisiti di sicurezza fun z i o n a l e p e r i s i s t e m i d i c o n t r o l l o d e i macchinari, in par ticolare per i sistemi in High Demand, sono la IEC 62061 e la ISO 13849 1 La seconda edizione della IEC 62061 è stata pubblicata il 2 2 m a r z o 2 0 2 1 : q u e s t o d o c u m e n t o , nonostante le differenze che tuttora esi stono, ha di fatto allineato ISO 13849 1 e IEC 62061, rendendo quest’ultima applicabile anche ai sistemi di sicurez za pneumatici e idraulici.

L ’ e d i z i o n e 2 0 2 1 p r e s e n t a p o i d u e nuovi allegati (Allegato C e Allegato E) c h e r i p o r t a n o e s e m p i s i a d e l t e m p o m e d i o a l g u a s t o p e r i c o l o s o c h e d i coper tura diagnostica.

Il rischio introdotto da un processo o da un macchinario è normalmente più ele vato di quello socialmente accettabile e dev’essere ridotto del necessario tramite una o più funzioni di sicurezza È impor tante introdurre il concetto di canale funzionale: esso rappresenta parte di un sistema di sicurezza e ha lo scopo di eseguire la funzione di sicurez za, quando richiesto o in modo continuo È rappresentato generalmente da un blocco a funzione discreta e può essere formato da più elementi connessi in serie. Il sistema di sicurezza sarà rappresentato pertanto da un diagramma a blocchi Per un canale funzionale perdere l’abi lità di eseguire la funzione di sicurezza è descritto come un guasto pericoloso.

P r o p r i o p e r l a c r i t i c i t à d e i s i s t e m i d i sicurezza, in taluni casi è possibile pre vedere la verifica dei canali funzionali a inter valli di tempo definiti o in modo continuo, tramite specifici test Tali fun z i o n i d i a g n o s t i c h e p o s s o n o e s s e r e i m p l e m e n t a t e m e d i a n t e u n a p p o s i t o c a n a l e ( d e f i n i t o c a n a l e d i m o n i t o r ) oppure, nel caso di sistemi di sicurezza aventi ridondanza, eseguite tramite gli stessi canali funzionali

1 GT Engineering, Poncarale (BS) claudia.bruno@gtengineering.it marco.tacchini@gtengineering.it

2 Politecnico di Milano loredana.cristaldi@polimi.it crippamatteo95@gmail.com

T M N. 3/22  63
s
a n d I E C 6 2 0 6 1 , r e f e r e n c e f o r t h e a n a l y s i s o f s y

Test avanzati sulle attrezzature e i sistemi elettrici aereonautici

est aT Test a attr v e sistzzatur anzati emie ici aelettr

L’elettrificazione degli aerei punta a diversi obiettivi: aumentarne l’efficienza, ridurre i costi operativi e rendere i velivoli più rispettosi dell’ambiente, sia in termini di emissioni che di inquinamento acustico. Per trasformare le attuali aeronavi in aerei elettrici, gli attuatori e i sistemi idraulici e pneumatici saranno gradualmente sostituiti da attuatori e sistemi elettrici.

elettrificazione aerL’ efficienza, ridurrtarne l’ ambiente, sia in termini di emissioni che diosi dell’rispett o acustico. Pinquinament ei attuat

ersi obiettivi: aumen oli piùelive i vender vi inonae le attuali aer auliciaer adualmente sostituiti da attuatanno grsar ori e sistemi elettrici.

www.hbm.com/aest ereonautici ei div ativi e re i costi oper asformarer tr ori e i sistemi idr

HIGH DEMAND MODE

In High Demand Mode, secondo le normative ISO 13849 1 e la nuova IEC 62061, esistono tre tipologie di dati di a f f i d a b i l i t à p e r u n s i s t e m a d i s i c u r e z za. In ognuna di esse il pedice “D” indi ca che gli indici sono relativi a guasti pericolosi (dall’inglese Dangerous):

B10D: è il numero di cicli operativi nel q u a l e , s e n e l l o s t e s s o i s t a n t e v i e n e posto in operazione un numero elevato di dispositivi, il 10% di questi ultimi ha subito un guasto pericoloso In altri ter mini, è il numero di cicli nel quale un dispositivo ha subito un guasto perico loso con una probabilità del 10%. È uti lizzato, come verrà illustrato in seguito, per dispositivi soggetti a wearout;

M T T F D : è i l t e m p o m e d i o a l g u a s t o pericoloso, tipico per componenti non soggetti a wearout (è utilizzato anche λD, il tasso di guasto pericoloso);

PFHD: è la probabilità di guasto perico loso per ora (in inglese Probability of Dan gerous Failure per Hour). La sua unità di misura è [1/h]. È utilizzato tipicamente per dispositivi elettronici complessi La misura dell’affidabilità di un sistema di sicurezza, in entrambe le normative, è correlata al PFHD. IEC 62061 utiliz

z a l ’ a c r o n i m o P F H , m a i n d i c a e s a t t a m ent e l a s t es s a cos a, ovver o l a par t e pericolosa o PFHD

Nella normativa ISO 13849 1 l’affidabi lità di un sistema di sicurezza è misurata in livelli di affidabilità, definiti anche PL (dall’inglese Performance Level)

I livelli di affidabilità utilizzati sono, in o r d i n e c r e s c e n t e d i a f f i d a b i l i t à , i s e guenti: PL=a, PL=b, PL=c, PL=d e PL=e. Nella normativa IEC 62061 l’affidabili tà di un sistema di sicurezza è misurata, come per la modalità di operazione a bassa richiesta, in livelli di sicurezza inte grata, SIL. Anche in questo caso i livelli di sicurezza integrata utilizzati sono i seguenti, elencati in ordine crescente di affidabilità: SIL 1, SIL 2 e SIL 3

IEC 62061

La IEC 62061 si rifà dalla IEC 61508 ed è uno strumento utile ai costruttori di m a c c h i n e p e r s t a b i l i r e e v e r i f i c a r e i l l i v e l l o d i a f f i d a b i l i t à r a g g i u n t o d a i s i s t e m i d i c o n t r o l l o c h e s v o l g o n o f u n zioni di sicurezza in relazione ai peri coli significativi delle macchine. In par ticolare, essa specifica i requisiti per la progettazione, l’integrazione e la vali dazione di sistemi di controllo elettrici, elettronici ed elettronici programmabili r e l a t i v i a l l a s i c u r e z z a ( S a f e t y C o n t r o l System, SCS), ed è applicabile ai siste mi di controllo sia nel caso in cui siano usati singolarmente o sia quando è pre sente una combinazione di essi. In questa norma, l’affidabilità di una fun zione di sicurezza è misurata in SIL, l’a cronimo di Safety Integrity Level e si misu ra in PFH. Esistono diversi livelli di SIL, come indicato in Tab. 1: si considera SIL 1

come livello più basso e SIL 3 come livel lo più alto; il livello SIL 4, invece, non è applicabile nei macchinari

Per assegnare un SIL richiesto alla fun z i o n e d i s i c u r e z z a b i s o g n a s e g u i r e u n a p r o c e d u r a c h e p r e v e d e l ’ u t i l i z z o di una m at r ice di r is chio bas at a s ul l a stima dei parametri: durata (D) (v Tab 2), accadimento (P) (v. Tab. 3) e valuta zione dell’evitabilità (E) (v. Tab. 4). La c l a s s e d i r i s c h i o è d a t a d a l l a s o m m a dei tre parametri D, P ed E Il numero 5 indica le condizioni peggiori mentre il numero 1 quelle migliori. Poiché la classe di rischio è data dalla somma dei tre parametri, essa avrà un valore numerico compreso tra 3 e 15

L a m a t r i c e d i r i s c h i o è c o s t r u i t a s u l l a base di questi valori e presenta cinque c l a s s i d i r i f e r i m e n t o . Q u e s t e , a l o r o volta, sono ulteriormente correlate a un a l t r o p a r a m e t r o : l a g r a v i t à ( G ) , c o m presa tra 1 e 4 in base alle conseguen ze dell’evento indesiderato (v. Tab. 5).

L a I E C 6 2 0 6 1 h a s v i l u p p a t o u n a p p r o c c i o s e m p l i f i c a t o a l l a s t i m a d e l l a p r o b a b i l i t à d i p e r i c o l o s i g u a s t i h a r d ware casuali per una serie di architettu r e d i b a s e d e l s o t t o s i s t e m a e f o r n i s c e for mule che possono essere utilizzate per i sottosistemi realizzati a par tire da elementi di sottosistema di bassa com plessità o da elementi di sottosistema complessi. Le architetture di base a cui s i f a r i f e r i m e n t o s o n o q u a t t r o e s o n o denominate come A, B, C e D I p r i n c i p a l i p a r a m e t r i c h e u t i l i z z a l a norma per descrivere le quattro archi tetture sono i seguenti:

λ: Tasso di guasto;

MTTF: Tempo medio di guasto;

SFF: Frazione di guasto sicuro; HFT: Tolleranza ai guasti hardware.

T M n 65 N . 0 3 n ; 2 0 2 2 MISURE E FIDATEZZA s
Tabella 1 SIL e limiti di PFH SIL Limiti di PFH Frequenza dell’esposizione Durata dell’esposizione = 10 Durata dell’esposizione > 1 Tabella 2 Valutazione della durata (D)

NUOVO

ACCREDITAMENTO PER TARATURE DI PORTATA (DA 0,1 A 2,5 mL/min)

ATEQ, pr es ent e nel s et t or e del leak and flow testing dal lontano 1975, si rivolge ai più differenti settori indu striali, quali: automotive, valvolame, m e c c a n i c a , e l e t t r o d o m e s t i c i , m e d i c a l e , a e r o s p a z i a l e , p a c k a g i n g , a l i m e n t a r e , e l e t t r o n i c a , c o m p o n e n t i gas, pneumatica, pressofusioni, rubi netterie, riscaldamento, farmaceuti co, oleodinamico, ecc Nel 1985 viene creata la prima filiale d e l g r u p p o , q u e l l a i t a l i a n a , a s u p p o r t o t e c n i c o c o m m e r c i a l e p e r i l mercato locale Durante tutti questi a n n i , l a f i l i a l e i t a l i a n a h a m a t u r a t o u n ’ e s p e r i e n z a t a l e d a s u p p o r t a r e i l c l i e n t e i n t u t t e l e f a s i r e l a t i v e a l l e prove sui propri prodotti, dall’indivi duazione dello strumento più adat to alle proprie esigenze di test fino al

s e r v i z i o p o s t v e n d i t a d i r e t t a m e n t e sul campo Dal 2015 il laboratorio di metrologia di ATEQ Italia è stato riconosciuto da

Accredia come laboratorio a c c r e d i t a t o , c o n i l c o d i c e LAT 245, per le tarature in pressione differenziale da 5 a 2 5 . 0 0 0 P a , r i s u l t a n d o u n i c o c e n t r o i n I t a l i a s u questa gamma di misura Nel 2022, inoltre, il labora t o r i o i t a l i a n o r a g g i u n g e u n a l t r o i m p o r t a n t i s s i m o t r a g u a r d o : u n s e c o n d o accreditamento, rilasciato d a A C C R E D I A , c h e q u e s t a v o l t a r i g u a r d a l a t a r a t u r a d i s t r u m e n t i d i m i s u r a d i portata in massa e in volu me di gas da 0,1 mL/min a 6.000 L/h:.anche in questo caso, unico laboratorio ac creditato in Italia

Visitate il sito www.ateq.it p e r a v e r e

N . 0 3  2 0 2 2 MISURE E FIDATEZZA s T M  66
NEWS t
m a g g i o r i i n f o r m az ioni r iguar do gli s t r u menti e i servizi offerti da ATEQ o scrivete a ateq@ateq.it p e r r i c h i e d e r e i l s u p p o r t o d i u n e sperto tecnico commerciale Denotazione Probabilità di accadimento Denotazione Evitabilità dell’evento Conseguenze Gravità Classe 3-4 5-7 8-10 11-13 14-15 Tabella 5 Valutazione del SIL richiesto tramite la matrice del rischio (IEC 62061) Tabella 4 Valutazione dell’evitabilità (E) Tabella 3 Valutazione della probabilità di accadimento (P)

Tasso di guasto

P e r p o t e r u t i l i z z a r e l a I E C 6 2 0 6 1 e analogamente alla ISO 13849 1, ogni c o m p o n e n t e u t i l i z z a t o n e l s i s t e m a d i controllo per la sicurezza deve avere un tasso di guasto. In Low demand è la n o r m a l i t à I n H i g h d e m a n d , l a m a n canza di dati diretti ha contribuito all’u so limitato dello standard fino a ora. I guasti possono essere suddivisi in quat tro par ti:

lS: tasso di guasto sicuro (Safe);

lD: tasso di guasto pericoloso (Dan gerous);

lDD: tasso di guasto pericoloso rileva to dalle funzioni diagnostiche (Dange rous, Detected);

lDU: tasso di guasto pericoloso non r i l e v a t o d a l l e f u n z i o n i d i a g n o s t i c h e (Dangerous, Undetected).

La somma di tutti i tassi di guasto sicuri e di tutti i tassi di guasto pericolosi for nisce il tasso di guasto complessivo.

Mean Time To Failure (MTTFD)

Analogamente alla norma ISO 13849

1, il Mean Time To Failure è un parame tro attribuito ai componenti non ripara bili ed è di natura statistica.

L’MTTFD, così come il lD, sono validi solo per la Vita Utile del componente Oltre tale tempo, i parametri perdono di significato, poiché i tassi di guasto del componente non possono più esse re considerati costanti

Safe Failure Fraction (SFF)

L ’ i n d i c e S F F ( S a f e F a i l u r e F r a c t i o n ) è s t a t o i n t r o d o t t o d a l l o s t a n d a r d I E C 61508 e poi utilizzato anche nella IEC 62061 come misura per deter minare la minima tolleranza ai guasti hardwa re (HFT) di un sottosistema di sicurez z a S o s t a n z i a l m e n t e r a p p r e s e n t a l a p e r c e n t u a l e d i g u a s t i s i c u r i t r a t u t t i i possibili guasti L ’ S F F v i e n e u t i l i z z a t o c o n l o s t e s s o s i g n i f i c a t o s i a i n H i g h c h e i n L o w D e mand mode

Gli standard IEC definiscono un guasto s i c u r o c o m e u n g u a s t o c h e n o n h a i l p o t e n z i a l e p e r m e t t e r e i l S I S ( S a f e t y Instrumented System) in uno stato peri coloso

Un guasto pericoloso è un guasto che p u ò i m p e d i r e a l S I S d i e s e g u i r e u n a specifica funzione di sicurezza (Safety

Instrumented Function SIF), ma se rile

v a t o s u b i t o d o p o i l s u o v e r i f i c a r s i , i l guasto è considerato “sicuro” poiché è possibile, in automatico, por tare il si stema a uno stato sicuro.

Hardware Fault Tolerance (HFT)

I l c o n c e t t o H a r d w a r e F a u l t To l e r a n c e ( H F T ) è u t i l i z z a t o n e l l a I E C 6 1 5 0 8 e dalla IEC 62061 per indicare l’abilità di un sistema di essere in grado di svol g e r e l a s u a f u n z i o n e s t r u m e n t a l e d i sicurezza in presenza di uno o più gua sti nell’hardware.

L’HFT può assumere tre valori:

HFT = 0 significa che se c’è un erro re, la funzione è persa

HFT = 1 significa che se un canale si guasta, c’è un secondo canale che è in grado di svolgere la stessa funzione, o che il sottosistema può tollerare un gua sto ed essere ancora in grado di funzio nare. Anche un sottosistema composto da tre elementi in parallelo che funzio na finché funzionano due dei suoi tre canali ricade in questa categoria

HFT = 2 significa che se due canali su tre oppure due canali su quattro si guastano, il sistema è ancora in grado di svolgere la propria funzione

I valori di HFT vengono associati alle varie tipologie di architettura e correla ti al Safe Failure Fraction per determi nare il massimo valore di SIL raggiungi b i l e d a u n s i s t e m a c h e è c o s t r u i t o s e condo una determinata architettura

CONCLUSIONI

In questo contributo si è cercato di ana l i z z a r e p e r i s i s t e m i i n H i g h D e m a n d Mode il ruolo della norma IEC 62061. Nel prossimo numero si valuteranno le quattro architetture proposte dallo stan dard IEC

RIFERIMENTI BIBLIOGRAFICI

[1] IEC 61508 “Sicurezza funzionale dei sistemi elettrici/elettronici/elettro nici programmabili relativi alla sicurez za ” , (ed 2020)

[2] IEC 61511 “Sicurezza funzionale, sistemi strumentali di sicurezza per il setto re dell’industria di processo ” (ed. 2010).

c o n s u l e n z a t e c n i c a s p e c i alizzata in Marcatura CE,Ana lisi del Rischio e messa in Sicurezza di Mac chinari secondo la Direttiva 2006/42/CE. La società è membro internazionale dei comi tati tecnici che trattano la Sicurezza Funzio nale , sia per il settore dei macchinari, come IEC 62061 e ISO 13849-1, sia dei processi, come la serie IEC 61508 e la IEC 61511 1

Claudia Bruno è laureata i n I n g e g n e r i a d e l l a p reve n zione e sicurezza nell’indu s t r i a d i p ro c e s s o p re s s o i l Po l i t e c n i c o d i M i l a n o È M a c h in e r y Sa fe ty Sp e c ia list in GT Engineering

M a t t e o C r i p p a , l e c c h e s e , i n g e g n e re c o n l a p a s s i o n e d e l l ’ a r b i t r a g g i o i n c a m p o calcistico, è laureato in pro duzione industriale e in pre venzione e sicurezza nell’in dustria di processo

[3] ISO 13849 1 “Sicurezza dei mac c h i n a r i p a r t i d i s i s t e m i d i c o n t r o l l o legate alla sicurezza”, (ed 2015) Marco Tacchini è laureato i n I n g e g n e r i a E l e t t ro n i c a presso il Politecnico di Mila no. È responsabile tecnico di G T E n g i n e e r i n g , s o c i e t à d i
T M  67 N . 0 3  ; 2 0 2 2 MISURE E FIDATEZZA 
? DOMANDE COMMENTI PROPOSTE Caratteri 10511, 0 Figure, 0 Tabelle DOMANDE COMMENTI PROPOSTE Scrivi alla Redazione CLICCA QUI (LOGO tutto_misure) Le Misure strumento er la ri resa Scrivi alla Redazione Le Misure strumento per la ripresa CLICCA QUI TUTTO _ TMISURE UTTO MISURE

GLI ESPERTI DI T M

La nostra società opera da oltre 40 anni nella misura delle grandezze fisiche e ha maturato una competenza specialistica e qualificata in un ampio spettro di impieghi, nei settori dell’industria, della ricerca e del laboratorio La conoscenza ed esperienza applicativa ci porta a risolve re le problematiche di misura utilizzando le migliori tecnologie svilup pate dai primari Marchi dei quali siamo Partner Ci occupiamo di consulenza tecnica, vendita, assistenza, calibrazioni ed esecuzioni custom Principali grandezze fisiche: accelerazione, angolo, torsione, coppia,

e angolare, sistemi dinamometrici, sistemi telemetrici, sistemi inerziali e avionici, condizionatori di segnale e acquisitori

Te

fibra ottica, induttiva, laser,

a

Via Paolo Uccello 4 20148 Milano Tel 02/48009757 Fax 02/48002070

E mail: info@dspmindustria.it Web: www.dspmindustria.it

Persona da contattare: Ing. Riccardo Romanelli

Celle di carico miniatura, con blocco meccanico di sicurezza, multiassia li, con elevata risposta in frequenza, uscite amplificate ed USB Sensori di posizione/spostamento LVDT, potenziometrici, induttivi, ad alta temperatura, miniaturizzati, per impieghi ATEX, a filo

Banchi dinamometrici completi per la caratterizzazione e l’analisi elet tro meccanica di motori elettrici, torsiometri, freni ad isteresi magneti ca Sistemi inerziali miniaturizzati ad alte prestazioni IMU, VG, AHRS, INS, per applicazioni flight test, UAV, motorsport, vehicle testing, robotica

Alcune novità

e

Cella di carico FUTEK mod LSB205, miniatura ad “S” Realizzata com pletamente in acciaio 17 4 PH, blocco meccanico di sicurezza del fondo scala, range di misura da 2,5 a 500 N Connettore a 7 pin, TEDS e sensore PT1000 per la misura di temperatura Torsiometro ad alberi Magtrol serie TS

lo stato dell’arte nelle misure di c

Sovraccarico sicuro 3X, uscita analogica

digitale

Encoder 2x360 impulsi+index

e i i e t i n a i s t u t t u r a l i , permanenti, controllo vibrazione di processo di pressione per impieghi industriali, ATEX, miniaturizzati in ambito avionico/difesa e motorsport (omologati FIA)
TUTTO MISURETUTTO MISURE AFFIDABILITÀ D TOR AL metrologi ogia Forense XIX Congresso In trologia La riproducibilità de is FMEA a sinergia rologica in Sanità Le responsabilità da contatto sociale TUTTO MISURETUTTO MISURE FFIDABILITÀ D TORIA In ricordo di due amici EMA delle grandi struttu G pi ob di controllo A R ARGOM N Gestione dell’efficienza energetica
f o r z a , i n c l i n a z i o n e , l i v e l l o , p o s i z i o n e , p r e s s i o n e , v e l o c i t à l i n e a r e
c n o l o g i e d i m i s u r a : a s s e r v i t a , c a p a c i t i v a , d i g i t a l e , e s t e n s i m
t r i c
,
LVDT, microfused, piezoelettrica, poten ziometrica, semiconduttore A c c e l e ro m e t r i s p
c
f
c i p
r Te s
g , R & D , m o n i t o r
g g
r
installazioni
Trasduttori
per impieghi
,
o p p i a m e d i a n t e a l b e r o r o t a n t e R a n g e d i m i s u r a d a 0 , 0 5 a 1 0 N m
e
USB
T M  68

Quando Misure e Test fanno la differenza: casi applicativi e soluzioni di successo

TECHNOLOGIES IN ACTION

The section “Technologies in action” presents a number of recent case studies of industries or institutions gaining profit from the latest innovation in measu ring instruments and systems

RIASSUNTO

La Rubrica “Tecnologie in campo ” presenta un compendio di casi di studio di Aziende e/o istituzioni che hanno tratto valore aggiunto dalla moderna stru mentazione di misura.

IL VALORE DELLE PROVE SI VEDE QUANDO COMPAIONO I PROBLEMI… E NON SOLO!

L’impor tanza di un laboratorio di prova par tner, fin dal concepimento di un nuovo prodotto: AVE spa ci racconta il suo percorso competitivo nel mercato del materiale elettrico

L a r i v i s t a T U T T O M I S U R E p r o s e g u e nella sua rassegna di casi applicativi di successo, grazie alle proprie “antenne” sul territorio che ci segnalano una quan tità sempre più rilevante di esperienze di qualità di sicuro interesse per i nostri l e t t o r i , t e s t i m o n i a n z e d i r e t t e d i c o m e l ’ a p p r o c c i o a z i e n d a l e a i s e r v i z i d i prova possa diventare ben più del mero soddisfacimento di obblighi normativi: un vero e proprio strumento competiti vo, in grado d’innescare e alimentare il miglioramento continuo della propria offer ta e, nel contempo, produrre gran de valore aggiunto L’azienda protagonista di questo enne simo articolo/inter vista è la AVE spa, storica società di Rezzato (BS) protago nista nello scenario internazionale dei produttori di apparecchiature elettriche ed elettroniche di qualità. Dopo 118 anni di esistenza, guidata da ben 5 generazioni di imprenditori della stessa famiglia, la società bresciana continua con successo e sicurezza il pro prio percorso espansivo, grazie anche

alla propria politica di ricerca & svilup po, che propone sistematicamente pro dotti innovativi, con il massiccio e indi spensabile supporto di ser vizi di prova di assoluto livello, a partire dalle fasi d’i deazione e progettazione e, natural mente, al manifestarsi di ogni possibile problema o al sorgere di qualsiasi spe cifica esigenza

Ci guida nella nostra visita alla AVE il s u o a t t u a l e C E O , E m a n u e l e B e l l i , che in questi anni ha il compito di gui d a r e , i n s i e m e a l f r a t e l l o To m m a s o , l o s v i l u p p o d e l l ’ a z i e n d a a t t r a v e r s a n d o scenari sempre meno calmi e dominati dall’incer tezza

Siete quasi al 120° compleanno, complimenti! Azienda di dimens i o n i i m p o r t a n t i m a d i s p i r i t o “ f a m i l i a r e ” e , c i r i s u l t a , m o l t o p ro i e t t a t a s u l l ’ i n n o v a z i o n e , l a qualità e l’affidabilità dei propri prodotti…giusto?

(E. Belli) Certa mente sì! Fon data nel 1904, AV E è d a s e m p r e a l l ’ a v a n guardia nell’a d o t t a r e s o l u z i o n i i n n o v a t i v e , m i g l i o r a n d o c o s t a n t e m e n t e l a p r o p r i a o ff e r t a e l a t e c n o l o g i a d e l l e s u e unità produttive Nel 2016 la società è stata inserita tra le 100 eccellenze ita

l i a n e : u n p r e s t i g i o s o r i c o n o s c i m e n t o c h e l a i d e n t i f i c a t r a i p r o t a g o n i s t i del Made in Italy Complessivamente il personale impiegato e la rete commer c i a l e , c o n l ’ a s s i s t e n z a t e c n i c a p r e e post vendita, supera le 330 unità (210 in Italia) caratterizzandosi per l’eleva to livello di preparazione professiona le

AVE spa esporta in oltre 70 paesi este ri ed è presente in vari paesi con filiali commerciali e joint venture industriali

U n a r e a l t à i n c o n t i n u a c r e s c i t a , c h e o ff r e a l l a p r o p r i a c l i e n t e l a o l t r e 3 . 0 0 0 p ro d o t t i , n e l l e p r o p r i e s e i attuali divisioni strategiche: serie civili (interruttori, prese di corrente, placche e oltre 200 funzioni modulari); domoti c a e g e s t i o n e a l b e r g h i e r a ; s i c u r e z z a ( a n t i f u r t o e a n t i n c e n d i o ) ; s c a t o l e d a incasso, contenitori e centraline; appa recchi modulari; ventilazione

La ricerca e sviluppo di nuove solu zioni, la progettazione e la produzio n e a c c u r a t a d e i s i n g o l i c o m p o n e n t i , fino al loro assemblaggio e all’efficien te organizzazione di vendita, consen tono al marchio AVE di presentarsi con s i c u r e z z a a I n s t a l l a t o r i , P r o g e t t i s t i e Architetti, offrendo risposte razionali e adeguate all’evoluzione delle esigen ze impiantistiche civili e industriali

Il concreto rapporto di partnership con i professionisti dell’installazione e i Di stributori caratterizza lo stile di lavoro AVE in ogni suo aspetto, valorizzando l’impegno comune di garantire la mi gliore affidabilità del prodotto per la com pleta soddisfazione del cliente finale.

I n q u e s t o c o n t e s t o s i c o l l o c a n o in posizione di spicco le numeros i s s i m e p ro v e s u i p ro d o t t i , c h e la AVE ha adottato fra le principali caratteristiche distintive del p ro p r i o a p p ro c c i o a l m e r c a t o , presentandosi da subito con elevate garanzie qualitative e affidabilistiche…

T M N. 3/22  69 T E C N O L O G I E I N C A M P O
Prove “imprescindibili” per crescere nel settore del materiale elettrico – Misure centrali nella riproduzione di grandi opere d’arteTarature accreditate: valore aggiunto per aziende e laboratori – HBK: servizi al centro della strategia dei fornitori nel Test&Measurement – Simulazione multi-fisica: l’uovo di Colombo – Valore dell’Avvocato 4.0 nei contenziosi in ambito metrologico - Nuove applicazioni per motori piezoelettrici a ultrasuoni s Rubrica a cura di Massimo Mortarino (mmortarino@affidabilita.eu)

( E . B e l l i ) E s a t t o , a n c h e s e p e r c o m prendere pienamente il nostro approc c i o a i s e r v i z i d i p r o v a è o p p o r t u n o fare un passo indietro e risalire a una v e n t i n a d ’ a n n i f a , q u a n d o m i o p a p à Alessandro, allora al vertice della AVE, si rese conto della necessità di effettua re una quantità e una varietà di prove s e m p r e p i ù e l e v a t e , b e n o l t r e q u e l l e espressamente previste dalle normati v e c o g e n t i e v o l o n t a r i e i n v i g o r e n e i vari Paesi, ormai insostenibili da parte d e l s o l o n o s t r o l a b o r a t o r i o i n t e r n o decisamente insufficiente a coprire esi genze in continua forte crescita. Basti p e n s a r e a l l a n e c e s s i t à d i e ff e t t u a r e nuove prove, che richiedevano costo se apparecchiature e ulteriori compe tenze professionali: ad esempio, l’ac q u i s i z i o n e d i n u o v a s t r u m e n t a z i o n e c o n c o s t i d i c e n t i n a i a d i m i g l i a i a d i euro per svolgere prove soltanto per un p a io d i s e ttim a n e a ll’ a n n o … M io p a dre si rese conto, da un lato, dell’asso l u t a n e c e s s i t à d i e ff e t t u a r e m o l t e p l i c i prove in tempi brevi e a costi sostenibili (comune a molte altre aziende, in par ticolare del nostro stesso settore) e, dal l’altro, dell’impossibilità di soddisfare questa esigenza tramite il nostro labo r a t o r i o i n t e r n o , o r m a i i n a d e g u a t o

C osì pensò a una soluzione sem plice m a t u t t ’ a l t r o c h e f a c i l e d a a t t u a r e : creare ex novo uno spin off del nostro laboratorio prove, le cui quote di pro prietà fossero in possesso delle stesse aziende che avrebbero usufruito prin cipalmente dei servizi da esso erogati Così il laboratorio avrebbe potuto cre scere rapidamente, investendo i propri u t i l i n e l l e n u o v e a p p a r e c c h i a t u r e n e c e s s a r i e a e ff e t t u a r e s e m p r e n u o v e p r o v e , a m p l i a n d o i l v e n t a g l i o d e l l a p r o p r i a o ff e r t a e a c q u i s e n d o s e m p r e

nuovi clienti, oltre ai soci veri e propri. Sto descrivendo, in sintesi, la storia di I N T E K s p a , s o c i e t à b e n c o n o s c i u t a dai lettori di questa rivista, che rappre s e n t a i l r i s u l t a t o t a n g i b i l e d i q u a n t o p e n s a t o e i d e a t o d a l m i o g e n i t o r e e g r a z i e a l q u a l e o g g i p o s s i a m o a d e g u a r c i i n m o d o r a p i d o e p r e c i s o a l l e e s i g e n z e d i p r o v a c h e s u b e n t r a n o periodicamente nel nostro lavoro, non s o l t a n t o i n p r e s e n z a d i p r o b l e m i m a anche, soprattutto, in fase di progetta zione e prototipazione del prodotto

L

P

Wo

sta reinventando e semplificando le applicazioni di misura 3D grazie agli ologrammi e le potenti capacità di riconoscimento dei gesti tramite

AR

virtuale

cui poter lavorare

alta

mani libere avendo davanti ai propri occhi proiettati nei visori le necessarie funzionalità di guida, le

gli strumenti da utilizzare durante le attività

T M  70 TECNOLOGIE IN CAMPO s N . 0 3  2 0 2 2
METROLOGIA 3D: COME LA REALTÀ VIRTUALE AUMENTATA MIGLIORA LE PRESTAZIONI DEI METROLOGI
a r e a l t à v i r t u a l e a u m e n t a t a o ff e r t a d a
o l y
r k s
l’impiego dei visori i n t e l l i g e n t i M i c r o s o f t H o l o L e n s O r a g l i o p e r a t o r i hanno la possibilità di sperimentare un ambiente fisico
integrato e senza soluzione di continuità in
con la testa
e le
informazioni e
Vieni a provare la realtà virtuale aumentata a BIMU nel Padiglione 13 presso lo Stand B44 di PolyWorks Europa NEWS t

Un’idea semplice ma apparen t e m e n t e p o c o p r a t i c a b i l e i n u n Paese “individualista”, come il nostro, a livello imprenditoriale: quella di creare una nuova realtà di tipo “aggregativo”, in grado di soddisfare le necessità di prova (altrimenti ingestibili singolarmente) di diverse aziende, magari fra loro concorrenti… ( E . B e l l i ) G i u s t a o s s e r v a z i o n e , t u t t a via il progetto ha coinvolto rapidamen te una manciata di soci, interessati ad a b b a t t e r e t e m p i e c o s t i d e i s e r v i z i d i prova massimizzando al tempo stesso la qualità dei servizi ricevuti, soci che ha nno conferito a lla nuova società le p r o p r i e a p p a r e c c h i a t u r e c r e a n d o quindi la base del nuovo laboratorio. O g g i i soci d i IN TEK (a ziend a che fa prove “ per il mercato”, non solo per i p r o p r i s o c i ) s o n o c i r c a u n a v e n t i n a , alcuni dei quali parzialmente nostri con c o r r e n t i , a n c h e s e n o n p r o p r i o n o s t r i competitor “diretti” Questa aggrega zione d’aziende caratterizzate da co m u n i e s i g e n z e , n e l l a p r a t i c a , è s t a t a molto facilitata dall’assunzione, da par te del laboratorio, di precise e severe re sponsabilità in materia di privacy e se gretezza dei dati e delle informazioni ri guardanti i singoli soci, sempre mante nute durante questa trentina d’anni di vi ta della realtà. In questo modo i soci di INTEK hanno potuto fruire in via privile g ia ta d i se rv iz i ra p id i (la v ic in a n z a è molto importante, a mio avviso, in que st’ambito e nel nostro caso ci troviamo addirittura nello stesso Comune di resi denza !), evoluti, accreditati e ampia mente riconosciuti dai mercati E paral lelamente sono aumentati esponenzial mente anche i clienti, che ora ammonta no a più di 1 600 Per esperienza diret ta posso testimoniare che INTEK, negli anni, si è sviluppata con successo anche in ambito consulenziale, in particolare nel supporto alle aziende per la messa a punto dei nuovi prodotti, ampliando ogni volta non solo le attrezzature necessarie (investendo gran parte dell’utile, in cre scita, proprio nelle nuove tecnologie) ma anche lo specifico know how riguardan te i nuovi servizi di prova erogati In definitiva, la soluzione rappresenta t a d a l l a c r e a z i o n e d i u n l a b o r a t o r i o p a rtner esterno ha contrib uito a m ini

m iz z a r e a lc u n i a s p e tti n e g a tiv i, tip ic i nell’approccio a fornitori di servizi di prova esterni: in primo luogo, i tempi necessari, quando il prodotto non rie sce a superare uno dei test previsti dal pacchetto di prove pianificato, a rita rarsi con i tecnici del laboratorio e sta bilire le opportune modifiche, per poi r i p r e n d e r e c o n l a f a s e d i t e s t ( s t i a m o parlando di un andirivieni lungo e sfi n e n t e d e l p r o d o t t o , d a l l a b o r a t o r i o all’azienda e così via, che dura tanto meno quanto minore è la distanza fra le due sedi). Ma da non sottovalutare anche i rapporti umani instaurati con i t e c n i c i d e l l a b o r a t o r i o , f a c i l i t a t i s e n z ’ a l t r o d a l l ’ i n t e n s i t à d i f r e q u e n t a z i o n e , d a l l ’ u t i l i z z o d e l l a s t e s s a l i n g u a e d a l l i v e l l o d ’ i n t e r a z i o n e r a g g i u n t o : n o n d i m e n t i c h i a m o c h e i l p r o g e t t i s t a non è e non potrà mai essere felice se il suo prodotto non supera una prova al primo colpo, ma il suo livello di delu sione può essere adeguatamente ridot to al minimo se, grazie alla collabora zione con il laboratorio prove, riesce v e l o c e m e n t e a t r o v a r e u n a s o l u z i o n e adeguata al problema sorto…!

( E . B e l l i ) R i c o r d o i l c a s o d e l l ’ I o T, quando mettemmo a punto una serie di “ f r u t t i ” W i f i , c h e r i c h i e s e r o u n a l u n g h i s s i m a f a s e d i m e s s a a p u n t o p e r r i s o l v e r n e i l p r o b l e m a d e l l ’ e c c e s s i v o r i s c a l d a m e n t o , f a v o r i t o d a s p a z i d i sponibili molto miniaturizzati In quel caso il prodotto andava e torna va dal laboratorio senza soluzione di continuità: situazione che, se non aves sim o a vuto a d isp osizione un p a rtner così vicino alla nostra sede e altamente performante, avrebbe comportato tem p i b e n p i ù l u n g h i d i q u e l l i a u s p i c a t i , c o n c o n s e g u e n z e n e g a t i v e s u l n o s t r o livello competitivo Naturalmente si so n o v e r ific a ti n e l te m p o m o lti a ltr i c a s i a n a l o g h i a q u e l l o a p p e n a d e s c r i t t o , riguardanti altre tipologie di prodotti e di ambiti applicativi, che non avendo superato al primo colpo le prove piani ficate, necessitavano di ulteriori messe a punto. Ciò evidenzia ancor più che il v e ro “ v a lo re a g g iu n to ” o ffe rto d a l la b o r a t o r i o e m e r g e c o n m a g g i o r e e v i denza quando si affrontano problemi in ricerca e sviluppo

Quali tipi di prove siete chiamati par ticolarmente a effettuare? (E. Belli) Da sempre facciamo moltis s i m e p r o v e E M C ( c o m p a t i bilità elettromagnetica), che tutti i prodotti devono supe rare, ma ne facciamo molte altre, prescritte dalle norme, che devono essere effettua te, di volta in volta, sui nuovi a rtic o li (c irc a 3 0 a ll’a n n o ), come prescritto dalle norme d i r i f e r i m e n t o L e p r o v e d i nostro interesse, oltre a quel l e d i t i p o E M C e d i b a s s a t e n s i o n e , s o n o v e r i f i c a d e l g r a d o I P e I K , v i b r a z i o n e , disturbi di vario tipo, prove a m b i e n t a l i ( n e b b i a s a l i n a , s b a l z i t e r m i c i , p r o v e t e r m i che, ecc ) Abbiamo ricordato all’inizio c h e i n o s t r i c l i e n t i s o n o s o prattutto i grossisti, ma i no stri referenti principali sono gli elettricisti, che presso di loro acquistano i materiali e le apparecchiature da installa re; ed è soprattutto a ques t i

Può farci un esempio di quanto ha appena descritto?
T M  71 TECNOLOGIE IN CAMPO s N . 0 3  ; 2 0 2 2

u l t i m i c h e r i v o l g i a m o l a n o s t r a a t t e n zione, puntando sempre a offrire loro un buon servizio e un ampio pacchetto di prodotti per l’installazione in ambito residenziale, terziario e sempre a livel lo di appalti medio piccoli (non seguia m o , s e n o n m a r g i n a l m e n t e i g r a n d i appalti)

I l t i p o d i o r g a n i z z a z i o n e d a l e i descritto suggerisce che il person a l e d e l l a AV E s i a p a r t i c o l a rm e n t e f o r m a t o e p ro v v i s t o d i e l e v a t o k n o w - h o w, u t i l e p e r g e s t i r e a l m e g l i o a n c h e i l r a ppor to siner gico con i tecnici del laboratorio di prova…? (E. Belli) Il nostro personale è sicura m e n t e p r e p a r a t o , i n p o s s e s s o d i u n a b u o n a f o r m a z i o n e a l i v e l l o t e c n i c o e metrologico, anche per poter dialoga r e a l l a p a r i c o n i t e c n i c i d i I N T E K . Negli ultimi due anni abbiamo inserito molti giovani nel nostro organico: oggi abbiamo vari ingegneri elettronici ed elettrotecnici impegnati in progettazio ne, oltre a un ingegnere incaricato di s e g u i r e d i r e t t a m e n t e i l l a b o r a t o r i o ( a meno che non siano necessari contatti con i progettisti provvisti in via esclusi va di particolari conoscenze). In ogni caso le nostre politiche prevedono l’in serimento di personale che abbia già ricevuto una sufficiente formazione di base, a cui somministrare ulteriori co n o s c e n z e d i r e t t e s i a “ o n t h e j o b ” s i a t r a m i t e u l t e r i o r i c o r s i d i f o r m a z i o n e collettivi e individuali

Stiamo avviandoci verso la fine

d i q u e s t a i n teressante inter vista, che evidenzia una volta di più l ’ i m p o r t a n z a delle prove, prioritarie per la competitività delle aziende di settori come quello elettrico. Quindi chiuderemmo con la ri chiesta di una rapida valutazione degli ultimi anni, che abbiamo vissuto in modo così incer to, tra alti e bassi, successi e sconfitte, in un mare che sarebbe un eufemismo definire “tempestoso”, e con le sue attese per il prossimo futuro…

(E. Belli) P r o v o a r i s p o n d e r e i n t a n t o alla prima parte del quesito posto, rias sumendo l’andamento del nostro fattu rato negli ultimi anni: 31 Mln. di euro ( 2 0 1 9 ) ; 2 8 M l n d i e u r o ( 2 0 2 0 ) ; 4 0 mln di euro (2021) 43 44 Mln di euro ( p r e v i s i o n e 2 0 2 2 ) F a c c i o p r e s e n t e che il 2019 seguiva diversi anni un po ’ c o m p l i c a t i e r i v e d e v a f i n a l m e n t e u n a

c r e s c i t a p o s i t i v a , m e n t r e i l c a l o d e l 2020 è giustificato dall’arrivo improv viso della pandemia di Covid 19 e dal c o n s e g u e n t e c a o s o r g a n i z z a t i v o c h e ha colpito l’intera società (siamo rima sti chiusi solo per un mese, riuscendo comunque a mantenere quasi inaltera ti gli utili rispetto all’anno precedente, n o n o s t a n t e i l c a l o d i f a t t u r a t o ) ; p o i e c c o i l 2 0 2 1 , c o n i l f a t t u r a t o r e c o r d d e l l a s t o r i a ( n o n s o l o p e r l a AV E m a p e r m o l t e a l t r e a z i e n d e c h e d e f i n i r e i “ sane ” , senza tema di smentita); e, infi ne, la previsione positiva per il 2022, con un ’ulteriore crescita sul già splen dido risultato ottenuto nel 2021 S e m b r e r e b b e u n o s c e n a r i o i d e a l e p e r l e i m p r e s e a t t r e z z a t e , m a i n r e a l t à l ’ a n n o i n c o r s o s i c h i u d e r à f r a m o l t i t i m o r i e p o c h e s p e r a n z e , s e s i g u a r d a p i ù a t t e n t a m e n t e a l l ’ a u t u n n o o r m a i i m m i n e n t e , p i e n o d ’ i n c e r t e z z e P r i m e f r a t u t t e q u e l l e r i g u a r d a n t i l a c r i s i e n e r g e t i c a , l a g u e r r a i n U c r a i n a , a n c o r a l a p a n d e m i a ( m a g a r i c o n n u o v i t e m i b i l i v i r u s i n p r i m o p i a n o ) e i l c a m b i a m e n t o c l i m a t i c o , p e r n o n p a r l a r e d e l l a c r i s i d e l l a p o l i t i c a e d e i p a r t i t i , d e l l a s e m p r e p i ù n e t t a d i s t a n z a f r a c i t t a d i n i e p o t e r e p o l i t i c o / a m m i n i s t r a t i v o In s o m m a , f o r s e b r u t t o te m p o i n a r r i v o , e q u e s t o i m p o n e a n o i i m p r e n d i t o r i , c h e a b b i a m o g r a n d i r e s p o n s a b i l i t à s u c e n t i n a i a d i d i p e n d e n t i e s u l l e l o r o f a m i g l i e , s u i p i c c o l i f o r n i t o r i e s u l l ’ i n t e r a a r e a g e o g r a f i c a d i r e s i d e n z a , u n i m p e g n o a n c o r a m a g g i o r e r i s p e t t o a q u e l l o f i n o r a p r o f u s o S o n o a u s p i c a b i l i a i u t i “ s e r i ” d a p a r t e d e l l a p o l i t i c a , a l l a q u a l e n o n c h i e d i a m o “ e l e m o s i n e ” b e n s ì i n t e r v e n t i c h e c i c o n s e n t a n o d i p o r t a r e a v a n t i c o n s u c c e s s o l o s v i l u p p o d e l l e n o s t r e i m p r e s e , i n c o n d i z i o n i d i t r a n q u i l l i t à , c h i a r e z z a e s i c u r e z z a , s e n z a r i s c h i a r e d i s v e g l i a r c i e c o n s t a t a r e o g n i m a t t i n a c h e s e n z a f a r n u l l a i n o s t r i c o s t i e n e r g e t i c i s o n o a u m e n ta ti s p r o p o s i t a t a m e n t e Non ci resta che rimboccarci le mani che, come sempre, e ripartire al massi mo dopo le ferie estive appena conclu s e , a u s p i c a n d o d i p o t e r f a r e s e r e n a mente il proprio lavoro, senza doverci p reoccup a re a nche d i risolvere i p ro b l e m i d i u n m o n d o t r o p p o p i e n o d i “lavori in corso ” …

T M  72 TECNOLOGIE IN CAMPO s N . 0 3  2 0 2 2

RICERCA E INNOVAZIONE NELLA COPIA DEL DAVID PER L’EXPO DI DUBAI 2020

Modelli digitali, metricamente accurati, di opere d’ar te di grande dimensione per la riproduzione attraverso stampanti 3D

La maggior par te dei lettori avrà sen z ’ a l t r o s e n t i t o p a r l a r e , a n c o r a p r i m a della Pandemia, della copia in stampa 3D del David di Michelangelo: dall’ini z i o d e l l a l u n g a e l a b o r i o s a o p e r a d i digitalizzazione fino alla conclusione del lavoro, all’imballaggio, all’imbar co sull’aereo che finalmente l’avrebbe por tata a Dubai, per troneggiare fra le meraviglie esposte all’Expo Universale 2020, al l ’ int er no del t eat r o del l a m e moria, punto focale del percorso espo sitivo che caratterizzava il Padiglione Italia Ma pochi, forse, hanno idea di q u a n t e t e c n o l o g i e i n n o v a t i v e e q u a l i professionalità siano state necessarie per por tare a compimento questo pro getto, per la prima volta pensato in am bito di beni culturali, prendendo a pre

stito strumenti appannaggio del mon do industriale Bene, oggi abbiamo la possibilità di apprendere in dettaglio come si sia svi luppato questo ambizioso progetto direttamente dalla voce di Grazia Tucci, docente di Geomatica presso l’Università di Firenze, incaricata di sviluppare e dirigere questo ambizioso progetto.

Quali sono gli aspetti di par ticolare criticità di questo progetto, professoressa Tucci, e per quali m o t i v i è s t a t a c h i a m a t a u n ’ e s p e r t a d i g e o m a t i c a a f a r e d a c o o r d i n a t r i c e d e l l e n u m e ro s e componenti che vi hanno preso par te…?

(G. Tucci) Par tiamo dalla se c o n d a p a r t e della doman da, che richie de una più sem plice risposta La Geomatica è una scienz a c h e s i o c c u p a di dati spaziali a varie scale: la parte “nobi le” si occupa della Terra (for m a , c a r t o g r a f i a , t e l e r i l e v a mento, quasi sempre in scala m o l t o p i c c o l a ) Q u e l l o c h e faccio, con il mio laboratorio e il mio gruppo di ricerca, in parole semplici, è di traspor re nel mondo dei beni cultura li le metodologie, le tecniche e gli strumenti usati principal mente in geodesia e cartogra fia, con l’idea di poter fornire “ b e n i c u l t u r a l i d i g i t a l i ” d i q u a l i t à I n e ff e t t i , i n q u e s t o settore non è mai stata accol ta, in modo strutturato, la cer tificazione di qualità, né con s i d e r a t a l ’ a s s e n z a d i n o r m e ( d i ff i c i l i d a a p p r o n t a r e n e l caso di opere di architettura e scultura) che diano garanzie sulla bontà dei dati: i prodotti c h e n e d e r i v a n o s o n o i p i ù v a r i e g a t i e n o n s e m p r e s e g u o n o m e to d o lo g ie c o rre tte , c o n p e r c o r s i v e r i f i c a b i l i e

“ripercorribili”, concetti alla base di un a p p r o c c i o s c i e n t i f i c o I d a t i 3 D , i n o l t r e , s o n o d i v e n u t i i n d i s p e n s a b i l i p e r tutti coloro che intervengono sul territo r i o , p e r c o n o s c e r l o e / o m o d i f i c a r l o ( a r c h i t e t t i , a g r i c o l t o r i , g e o l o g i , i n g e gneri, ecc ), perciò colleghi d’idrauli ca, strutture, architettura chiedono alla G e o m a t i c a m i s u r e ( b a s t i p e n s a r e a l modello strutturale di un ponte, al siste m a i d r a u l i c o d i u n g i a r d i n o s t o r i c o o all’alveo di un fiume) per creare model l i c h e c o n s e n t a n o l ’ i n t e r p r e t a z i o n e , più corretta possibile, dei fenomeni da indagare, lo studio e la progettazione. Q u i n d i s o s t e n g o c h e l a G e o m a t i c a , nel suo ambito applicativo, possa ave re senz ’altro una funzione determinan te, di collante, tra le varie competenze c h e o p e r a n o s u l t e r r i t o r i o ; e s s a d e v e f o r n i r e r i s p o s t e a p r o b l e m i r e a l i d a risolvere, senza per questo rinunciare a l l a s u a d i g n i t à d i d i s c i p l i n a a u t o n o ma, anzi con la consapevolezza che, dovendo interloquire con professiona lità diverse, deve sviluppare linguaggi a d e g u a t i a l l e d i v e r s e s i t u a z i o n i p e r divenire comprensibile e per fornire un r e a l e c o n t r i b u t o a l l a r i c e r c a n e i v a r i settori Il Ministero italiano dell’Univer s i t à e R i c e r c a s e m b r a i n d i ff e r e n t e r i guardo all’importanza della Geomati ca, che diviene automaticamente com petenza di chi si avventura con la nuo va strumentazione pur non avendo le conoscenze teoriche adeguate; vengo no prodotti sempre più dati senza alcun controllo e senza poterne verificare la q u a l i t à A l l ’ e s t e r o l a G e o m a t i c a è i n forte sviluppo e ci sono percorsi didatti ci dedicati, consci della pervasività dei d a t i s p a z i a l i i n o g n i s e t t o r e e i n o g n i ambito, anche della vita quotidiana.

Bene, approfondiamo le specifiche caratteristiche del progetto “ D a v i d ” , a d d e n t r a n d o c i n e i suoi aspetti tecnici, sicuramente d’interesse per i nostri lettori… (G. Tucci) Il contratto stipulato con il C o m m i s s a r i a t o G e n e r a l e d i S e z i o n e p e r l’Ita lia p e r E x p o 2 0 2 0 D u b a i e ra finalizzato alla riproduzione fisica del David, ma questo passaggio non sar e b b e s t a t o p o s s i b i l e s e n z a p r i m a a c quisire dati digitali, metrologicamente a t t e n d i b i l i , c h e a v r e b b e r o c o s t i t u i t o

T M  73 TECNOLOGIE IN CAMPO s N . 0 3  ; 2 0 2 2

l ’ i n p u t p e r l a r i p r o d u z i o n e , c o n q u a lunque tecnica si fosse scelto di opera re La digitalizzazione di un ’ opera di così grandi dimensioni ed elevatissimo v a l o r e h a i n t r o d o t t o p r o b l e m a t i c h e d i v e r s e , n o n u l t i m e q u e l l e r e l a t i v e a sicurezza e protezione della stessa O t t e n e r e u n m o d e l l o 3 D d e l l a m a s s i m a a c c u r a t e z z a , a d i s t a n z a d i o l t r e 2 0 a n n i d a l l ’ a n a l o g a e s p e r ie n z a s v i l u p p a t a d a l l ’ U n i v e r s i t à c a l i f o r n i a n a d i S t a n f o r d , n o n c o m p o r t a s o l o u n p r o b l e m a te c n o l o g ic o ( d o p o v e n t ’ a n n i , a b b i a m o s e n z ’ a l t r o s t r u m e n t i p i ù e v o l u t i a d i s p o s i z i o n e ) m a a n c h e m e to d o l o g ic o L e d im e n s i o n i, d e c is a m e n t e i m p o n e n t i , d e l l ’ o p e r a , r i d u c e v a n o a p r i o r i i l n u m e r o d i p o t e n z i a l i a z i e n d e n e l m o n d o i n g r a d o d i s v o l g e r e il l a v o r o c o n s u ffic ie n t e e s p e r i e n z a e p r o f e s s io n a l it à L a s c e lt a , p o i , d i p r o c e d e r e c o n u n a s t a m p a p i u t t o s t o c h e c o n s i s t e m i d i f r e s a t u r a C N C è s t a t a d e t e r m i n a t a d a l l a v o l o n t à d i c o n f r o n t a r s i c o n p r o c e s s i i n n o v a t i v i e m a i s p e r i m e n t a t i p r i m a D o p o u n ’ a t te n ta r i c e r c a d i m e r c a t o , a b b ia m o t r o

PRESSIONE

E TEMPERATURA

SFIDANO L’E-MOTIVE

I l s e t t o r e e m e r g e n t e d e l l a m o b i l i t à s o s t e n i b i l e p r e s e n t a i n n u m e r e v o l i e inedite sfide per gli ingegneri, non sol t a n t o d a l p u n t o d i v i s t a p r o g e t t u a l e , ma anche, in prima battuta, in fase di p r o t o t i p a z i o n e e t e s t i n g Vo g l i a m o q u i c o n c e n t r a r c i s u u n a s p e t t o p o c o noto ai più: i sistemi di condizionamen to per batterie, trasformatori, motori e i n v e r t e r, m o n t a t i a b o r d o d e i v e i c o l i elettrici.

N o n t u t t i i n f a t t i f o r s e s a n n o c h e i d i spositivi sopra menzionati necessitano di essere, a seconda dei casi, riscaldati o r a ff r e d d a t i p e r p o t e r f u n z i o n a r e a l m e g l i o : n o n s o l a m e n t e p e r q u e s t i o n i di dissipazione del calore prodotto, ma anche per compensare avverse condi zioni ambientali

I circuiti dei sistemi di climatizzazione d e v o n o i n o l t r e s o p p o r t a r e a n c h e u n

elevato cambio del carico in termini di pressione

D a q u e s t a p r e c i s a e s i g e n z a d i t e s t i n g n a s c e l a c o l l a b o r a z i o n e d i P + P ( o l t r e trent’anni di esperienza nell’ambito dei banchi per prove in pressione) con CTS, l e a d e r m o n d i a l e n e l l a c o s t r u z i o n e d i camere climatiche. Invece d’impiegare tempo ed energia per testare la resistenza mediante esperi menti sviluppati in modo autonomo o in condizioni normali di esercizio, i produt tori possono verificare le performance dei loro componenti grazie a banchi di prova funzionali o di resistenza alle va riazioni di pressione e temperatura Una prova di lunga durata significativa

v a t o f i n a l m e n t e l a s t a m p a n t e c h e h a c o n s e n t i to i n s o l e c i r c a 1 6 0 o r e l a r i p r o d u z i o n e d i u n a s c u l t u r a a l t a p i ù d i 5 m e t r i , i n 1 4 p e z z i , p o i a s s e m b l a t i e r i f i n i t i s u p e r f i c i a l m e n t e c o n p o l v e r e d i m a r m o e r e s i n e , d a p a r t e d i a r ti g i a n i e s p e r t i . Va rilevato un altro aspetto importante del nostro lavo r o , c h e i l g r u p p o d a m e coordinato ha sempre con s i d e r a t o f r a g l i o b i e t t i v i p r i o r i t a r i : s i a m o u n ’ i s t i t u z i o n e p u b b l i c a , q u i n d i i n vari casi possiamo contare su canali di finanziamento differenti rispetto a quelli di cui può avvalersi una real tà privata, con la quale non d o b b i a m o m a i e n t r a r e i n concorrenza. Il nostro sco po non è quello di compe t e r e c o n i p r i v a t i , b e n s ì d i s f r u t t a r e l e n o s t r e r i s o r s e

richiede di norma 20 o 30 giorni, in funzione della frequenza della variazione del carico A seconda dei cicli di prova programmati, vengono variati continuamente la temperatura e il flusso volumetri co del fluido di controllo e la tem peratura ambientale, se la prova avviene nella cella climatica I parametri che vengono regolati e misurati sono pertanto molte plici: la temperatura d’ ingresso e us c it a dal c am pione, il f lus s o, la p r e s s i o n e e l a c a d u t a d i p r e s s i o n e , l a corrente e la tensione in condizioni di alto e basso voltaggio. Q u e s t i b a n c h i p r o v a p o s s o n o e s s e r e d o t a t i d i d i s p o s i t i v i c h e g a r a n t i s c o n o la resistenza del vano di prova agli im p a t t i , q u a l o r a d e b b a v e r i f i c a r s i u n a rottura improvvisa, e la cella climatica p u ò e s s e r e d o t a t a d i d i s p o s i t i v i a n t i f i a m m a o a n t i e s p l o s i o n e t i p o AT E X , qualora vengano ritenuti necessari per gar ant ir e la s ic ur ez z a degli oper at or i (ad esempio, a causa delle miscele con tenenti glicole)

CLICCA QUI per ulteriori informazioni.

T M  74 TECNOLOGIE IN CAMPO s N . 0 3  2 0 2 2
NEWS t

p e r r e a l i z z a r e s t r u m e n t i i n n o v a t i v i , nuove metodologie di supporto al siste m a e a l l a s o c i e t à n e l s u o c o m p l e s s o , d i s s e m i n a n d o c o n o s c e n z e e c u l t u r a s p e c i f i c a . C o s ì , s e b b e n e p a r t i t i d a i beni culturali, grazie a nuove sollecita zioni ci siamo trovati ad affrontare pro b l e m a t i c h e i n a s p e t t a t e e m o l t o s t i m o lanti: mi riferisco, ad esempio, all’inca rico affidatoci da Rete Ferroviaria Ita liana, che consiste nel collaudo di dati a c q u i s i t i d a v e i c o l i a t t r e z z a t i ( t r e n i e aerei) che misurano e fotografano tutto il sistema ferroviario nazionale e circa 600 metri di buffer a partire dai binari. U n a s o r t a d i “ G o o g l e M a p s ” , c o n l a possibilità di utilizzare i dati per finali t à p r o g e t t u a l i e q u i n d i m e t r o l o g i c a mente certificati. Insomma, la posizione del nostro gruppo di ricerca è e dev’es s e r e s e m p r e “ d i f r o n t i e r a ” , p r e s e n t e dove la società privata addetta ai lavo ri avrebbe difficoltà a soddisfare com pletamente la singola esigenza, maga r i p e r s c a r s a r e d d i t i v i t à d e l p r o g e t t o , tale da non giustificare il budget di una società che debba fare utile

S i s t a d e l i n e a n d o u n a v e r a e p ro p r i a “ i m p r e s a ” a t u t t i g l i effetti, dove il vostro Gruppo di L a v o ro h a s v o l t o m o l t e p l i c i ruoli, non ultimo quello di “scopritore di eventuali fornitori”, di “ d e t e c t i v e t e c n o l o g i c o ” , i n p ar a l l e l o a l r u o l o s c i e n t i f i c o p i ù lecito da attendersi da par te di ricercatori e scienziati… (G. Tucci) Il nostro GdL, in effetti, si è molto occupato di mettere insieme un “ te a m m u lti c o m p e te n c e ” , c o o r d in a n do e omogeneizzando una molteplici tà di saperi grandi e piccoli e facendo li concorrere al raggiungimento di uno s t e s s o a m b i z i o s o o b i e t t i v o C o s ì l o stampatore 3D finale è stata una socie tà veneta, dotata di una stampante di g r a n d e d i m e n s i o n e d i t e c n o l o g i a i sraeliana, mentre le finiture sono state a ff i d a t e a u n r e s t a u r a t o r e f i o r e n t i n o , formatosi all’Opificio delle Pietre dure ed esperto nel restauro di beni mobili. Per misurare il livello di affidabilità del materiale di stampa, sia da un punto di vista qualitativo che strutturale, abbia m o s t a m p a t o u n a g a m b a d e l D a v i d , sottoponendola poi a prove di rottura.

Devo rilevare, tuttavia, che la parte più critica e laboriosa è stata quella relati va all’acquisizione dati, che ha richie sto la costruzione di un sistema di ele v a z i o n e d i c i r c a 5 m e t r i p e r p o r t a r e a l l o s t e s s o l i v e l l o d e l l a s t a t u a l o s t r u m e n t o u t i l i z z a t o p e r s c a n s i o n a r e , i n condizioni di perfetta immobilità Nel caso del David è di rilevante inte resse non solo l’acquisizione del dato geometrico, ovvero la forma della sta tua, ma anche della sua texture, e per t a n t o a b b i a m o d o v u t o c o n s i d e r a r e sistemi di acquisizione in grado di otte n e r e c o n t e m p o r a n e a m e n t e e n t r a m b e l e i n f o r m a z i o n i P e r c o n t e m p e r a r e l e d i v e r s e n e c e s s i t à d i a c c u r a t e z z a d i misura, risoluzione spaziale, velocità d i c a m p i o n a m e n t o e a c q u i s i z i o n e d i texture sono stati utilizzati sistemi che v e n g o n o n o r m a l m e n t e i m p i e g a t i i n ambito industriale, in situazioni in cui si associa la necessità di accuratezze elevate alla rilevante dimensione degli o g g e t t i i n d a g a t i , c o m e n e l c a s o d i p a l e e o l i c h e , m o t o r i d i n a v i , m e z z i e strumenti dell’aeronautica

Quali principali strumenti avete impiegato per la digitalizzazione?

(G. Tucci) Durante la digitalizzazione s o n o s t a t i i m p i e g a t i d u e s t r u m e n t i diversi, entrambi del gruppo Hexag o n , p e r g a r a n t i r e l a q u a l i t à f i n a l e d e l l a n u v o l a d i p u n t i n e c e s s a r i a a l l a modellazione tridimensionale. Il primo è un Leica Absolute Tracker, abbi n a t o a u n o s c a n n e r l a s e r L e i c a A bsolute Scanner, in grado di rilevare fino a 156 000 punti al secondo sulla superficie della statua con precisioni di p o c h i c e n t e s i m i d i m i l l i m e t r o ( s t i a m o parlando di una persona posizionata su un trabattello vicino alla statua, con in mano lo scanner )

I l r i f e r i m e n t o a s s o l u t o d e i p u n t i n e l l o s p a z i o è d a t o d a l L a s e r Tr a c k e r c h e , g r a z i e a l l o s c a m b i o d i u n f a s c i o d i raggi laser con lo scanner, è in grado di determinarne la posizione e l’orien t a m e n t o n e l l o s p a z i o , a t t r i b u e n d o a c i a s c u n o d e i p u n t i r i l e v a t i l e p r o p r i e c o o r d i n a t e t r i d i m e n s i o n a l i I l c i c l o d i a c q u i s i z i o n e d e l l a n u v o l a d i p u n t i dell’intera statua del David, alta oltre 5 m, ha una dura t a d i c i r c a 4 0 o r e , t e m p o d e c i s a m e n t e b r e v e s e s i c o n s i d e r a n o l e d i m e n s i o n i e la complessità dell’ogget to e la definizione del risul tato finale Il secondo strumento, utiliz z a t o p e r r i l e v a r e l e p a r t i geometricamente più picco le e più complesse, è un sen s o r e a l u c e s t r u t t u r a t a Aicon StereoScan Neo Il sistema è costituito da un p r o ie tto r e e d a d u e te le c a mere ad alta risoluzione Il p r o i e t t o r e t r a s f e r i s c e s u l l a s u p e r f i c i e d a r i l e v a r e u n a sequenza di geom etrie no t e ( p a t t e r n ) m e n t r e l e d u e camere acquisiscono in po c h i s e c o n d i l a p r o i e z i o n e d e l l o s t e s s o p a t t e r n a d a n g o l i p r e d e f i n i t i . I n q u e s t o m o d o , a l t e r m i n e d e l l a m i s u r a s i o t t i e n e u n m o d e l l o tridimensionale di superfici ad alta risoluzione e metro logicamente accurato.

T M  75 TECNOLOGIE IN CAMPO s N . 0 3  ; 2 0 2 2

La definizione del modello tridimensio nale ottenuto è regolata dal tipo di otti ca utilizzata Nel caso specifico della s c a n s i o n e d i a l c u n e a r e e m o l t o c o m plesse del David si è scelto di utilizzare un ’ottica con campo di visione di 850 mm, che garantisce una risoluzione di s o l i 1 4 6 m i l l e s i m i d i m i l l i m e t r o c o n un ’accuratezza superiore ai sei cente simi di millimetro.

S e a b b i a m o b e n c o m p r e s o l e s u e p a ro l e , a v e t e c e r c a t o d i sfruttare al meglio per il settore d e i b e n i c u l t u r a l i t e c n o l o g i e i n n o v a t i v e g i à p o s i t i v a m e n t e i m piegate in ambito industriale, traendone il massimo vantaggio possibile in funzione degli obiettivi prefissati…? Il nostro bilancio finale relativo al pro getto sviluppato è totalmente positivo: abbiamo imparato molto e familiariz zato con nuovi strumenti. Al di là della c o p i a d e l D a v i d ( o r m a i p e r m a n e n t e mente in mostra a Dubai) ciò che rima n e , d i e l e v a t a i m p o r t a n z a , è i l “ g emello digitale”, che consente anali s i e v a l u t a z i o n i d i v a r i o g e n e r e . O r a stiamo verificando gli allineamenti dei d a t i a c q u i s i t i , u n a f a s e c h e r i c h i e d e mesi di lavoro e, per necessità di tem po, è stata rimandata alla conclusione d e l p r o g e t t o d i r i p r o d u z i o n e . N o n dimentichiamo che vi è ancora un gap tra il dettaglio descritto dal modello nu m erico e q uello che p uò essere rip ro d o t t o i n f a s e d i s t a m p a ; è q u e s t a l a ragione che ci ha consentito di pospor

r e l a f a s e d i e l a b o r a z i o n e più raffinata e di validazio ne dei dati numerici Prima di concludere, vorrei s o t t o l i n e a r e a n c o r a u n a volta l’importanza della for m a z i o n e ; è n e c e s s a r i o t r a sferire le conoscenze acqui site, così come è importante a v e r e u n a t t e g g i a m e n t o a perto e positivo per lavora re in team multidisciplinari, dove ognuno ha consolida to approcci che non sempre si rivelano efficaci di fronte a processi innovativi

B i s o g n a e s s e r e d i s p o s t i u n p o ’ t u t t i a r i n u n c i a r e a l l e certezze acquisite, per affrontare con m e n t e l i b e r a e c r e a t i v a u n p e r c o r s o che può essere foriero di nuovi proble mi, con la consapevolezza che il lavo r o c o l l e t t i v o c o n d u r r à a l r i s u l t a t o migliore: le soluzioni esistono sempre, vanno solo individuate ! Un’ultim a nota riguardo all’im portan z a d e l l a c o m u n i c a z i o n e , a t t u a l m e n t e insufficiente a supportare adeguatam e n t e l a p r o m o z i o n e n e l m o n d o d e l n o s t r o l a v o r o A b b i a m o s v i l u p p a t o p r o g e t t i , a n c o r a p i ù i m p e g n a t i v i d e l David (penso alla digitalizzazione di Palazzo Pitti, con 1.400 vani circa da d o c u m e n ta r e , m a p o tr e i c ita r n e m o lti a l t r i ) , m a n e l m o n d o a d e s s o c i c o n o scono soprattutto grazie al lavoro per l’Expo di Dubai e credo che questo sia merito di una campagna di comunica zione ben articolata e, comunque, cer tamente non seguita dall’U niversità, che non ha anco r a s v i l u p p a t o g l i s t r u m e n t i p e r l a v a l o r i z z a z i o n e d e l proprio lavoro Sulla scia di questa eccezio nale esperienza della ripro d u z i o n e d e l D a v i d , a b b i a m o d a p o c o c o n c l u s o l a r i p r o d u z i o n e d e l “ P u g i l e a r i p o s o ” , u n a m e r a v i g l i o s a scultura in bronzo, esposta al Museo Nazionale Roma no, destinata a una grande mostra in Cina È stata l’oc casione, ancora una volta, per sperimentare un nuovo tipo di finitura, che ha sorti

t o u n o t t i m o r i s u l t a t o . P a r t i t a c o n a l t r i 5 0 0 p e z z i o r i g i n a l i , l ’ o p e r a è g i à esposta a Pechino, ma l’assenza di un adeguato piano di comunicazione ha r e s o m e n o c o m p r e n s i b i l e l ’ o p e r a z i o ne. Queste occasioni vanno ben “ rac c o n t a t e ” p e r s e n s i b i l i z z a r e i l g r a n d e p ub b lico e fa r ca p ire la p orta ta d elle scelte effettuate Il problema non è più q u e l l o d i c e r c a r e l e d i ff e r e n z e t r a u n originale e una copia, bensì di spiega r e p e r c h é e c o m e l ’ i n t e r o p r o c e s s o possa contribuire a conservare e a sal vare il nostro fragile patrimonio a van taggio delle generazioni future.

T M  76 TECNOLOGIE IN CAMPO s N . 0 3  2 0 2 2
? DOMANDE COMMENTI PROPOSTE Caratteri 10511, 0 Figure, 0 Tabelle DOMANDE COMMENTI PROPOSTE Scrivi alla Redazione CLICCA QUI (LOGO tutto_misure) Le Misure strumento er la ri resa Scrivi alla Redazione Le Misure strumento per la ripresa CLICCA QUI TUTTO _ TMISURE UTTO MISURE

TARATURE ACCREDITATE: VALORE AGGIUNTO ANCHE PER CHI LE EFFETTUA, NON SOLO A FAVORE DELL’AZIENDA CLIENTE…

Come si evolve la for nitura di strumenti di misura, sempre più ricca di ser vizi collegati al prodotto venduto e di vera e propria consulenza

E c c o u n a l t r o e s e m p i o c o n c r e t o c h e b e n e v i d e n z i a , a n c o r a u n a v o l t a , i l for te cambiamento in atto nella fornitu r a d i s t r u m e n t i e s o l u z i o n i d i m i s u r a , sempre più accompagnata dalla pro p o s t a d i s e r v i z i v i a v i a p i ù e v o l u t i : a par tire, ovviamente, dalla riparazione e manutenzione periodica, fino a una sor ta di consulenza specialistica mira ta alla soluzione di problemi o al soddi sfacimento di specifiche esigenze. Un contesto, quindi, caratterizzato da for te e rapida evoluzione, in grado di por t a r e v a l o r e a g g i u n t o a i c l i e n t i e , c o n temporaneamente, vantaggi competiti vi agli stessi fornitori, come ci dimostra i l c a s o r e a l e d e l l a AT E Q I t a l i a s r l , che andiamo qui a conoscere in detta g l i o g r a z i e a l l a d i s p o n i b i l i t à d i G i ovanni Mar toccia, responsabile del l a b o r a t o r i o d i t a r a t u r a d e l l a s o c i e t à c h e h a s e d e a S a n D o n a t o M i l a n e s e (MI)

Iniziamo, come di consueto, con una sintetica “fotografia” della vostra azienda, per introdurre i l e t t o r i d i T U T T O M I S U R E n e l l a vostra specifica realtà…?

( G . M a r t o ccia) ATEQ Ita lia, fondata nel 1985, è stata la prima filiale d e l l a s o c i e t à francese ATEQ, oggi diventata g r a n d e g r u p po capillarmen t e p r e s e n t e a l i v e l l o m o n d i a l e AT E Q è l ’ acronimo di “Advanced Tec h n o l o g y E x c e l l e n t Q u a l i t y ” , i n c u i è r a c c h i u s a t u t t a l a nostra filosofia Da sempre curiamo e

s e g u i a m o d i r e t t a m e n t e t u t t e l e f a s i : progettazione, sviluppo, produzione, distribuzione e assistenza tecnica Nei l a b o r a t o r i d i r i c e r c a p r e s s o l a s e d e parigina, il continuo progresso evoluti vo consente di realizzare e offrire stru m e n t i e s o l u z i o n i d i c o l l a u d o s e m p r e più efficaci e performanti in termini di tempo e prestazioni, flessibilità, quali t à , a ff i d a b i l i t à e c o s t i . A l l ’ i n t e r n o d e i nostri strumenti si trovano componenti e l e t t r o n i c i e p n e u m a t i c i b r e v e t t a t i d a ATEQ La scelta di non utilizzare com p o n e n t i c o m m e r c i a l i c i c o n s e n t e d i migliorare le prestazioni dei nostri stru menti, elevando l’affidabilità e la pre cisione dei controlli di tenuta e portata P e r t u t t o i l t e r r i t o r i o n a z i o n a l e AT E Q Italia fornisce servizi di vendita e con sulenza tecnica sin dalla fase proget tuale, con studi di fattibilità, test funzio nali, corsi di formazione Offre inoltre a s s i s t e n z a t e c n i c a p e r l e r e v i s i o n i , riparazioni, modifiche, tarature e certi ficazioni degli strumenti

Un “pacchetto evoluto” di ser vizi, quindi, in grado di soddisfare tutte le principali esigenze dei v o s t r i c l i e n t i , a c q u i s i t i e p o t e nziali, nel cui contesto la taratura a c c r e d i t a t a d e g l i s t r u m e n t i d iventa un ser vizio fondamental e , n o n l a s e m p l i c e “ c i l i e g i n a sulla tor ta”… (G. Mar toccia) AT E Q I t a l i a è d a l 2015 Laboratorio di Taratura Accreditato LAT N° 245T per le tarature di pressione in mezzo gassoso: in condizione relativa da -1 a 25 bar, in condizione assoluta da 5 mbar a 11 bar e (unico centro in Ita lia ) in c o n d iz io n e d if ferenziale da 5 a 25.000 Pa Per far capire a coloro che non “masticano” q u e s t e g r a n d e z z e , v i r a c c o n t o u n a c u r i o s i t à : l a p r e s s i o n e d i 5 P a s c a l è quella sviluppata dal battito d’ali di una f a r f a l l a ! D a l m e s e d i g i u g n o d e l 2022, inoltre, ATEQ ha esteso il proprio c a m p o d i a c c r e d i t a m e n t o , i n s e r e n d o anche le misure di portata in massa e in volume di gas da 0,1 mL/min a 6 000 L/h; e anche in questo settore detenia mo un primato, in quanto siamo l’unico laboratorio di taratura accreditato in Italia (LAT n° 245T) nella

m is u r a z io n e d e lla P o r ta ta , in massa e in volume, di gas da 0,1 mL/min a 2,5 mL/min Anche qui per far comprendere ai non addetti ai lavori l’entità di queste grandezze, fac cio un esempio: per riempire il volume d i u n l i t r o c o n u n f l u s s o p a r i a 0 , 1 mL/min, occorrerebbe circa una setti mana.

I traguardi che siamo riusciti a raggiun g e r e h a n n o c o m p o r t a t o u n e n o r m e impegno da parte nostra, a tutti i livelli: n u o v e t e c n o l o g i e e s t r u m e n t i , f o r m a zione risorse umane, e tantissima spe rimentazione, soprattutto nel caso del l’estensione dell’accreditamento per le misure di portata, dove, a parte alcune pubblicazioni, non esistono Linee Gui da ufficiali e consolidate alle quali rife r i r s i ( c o m e q u e l l e d i E u r a m e t r e l a t i v e a l l e P r e s s i o n i ) e c i a s c u n l a b o r a t o r i o d e v e s c r i v e r e l e p r o p r i e p r o c e d u r e e s p e r i m e n t a r l e s u l c a m p o a u t o n o m a mente.

Con questo ulteriore servizio accredi tato, dunque, ATEQ Italia ha ampliato la propria offerta di servizi post vendi ta ed è ora in grado di fornire ai propri clienti un supporto diretto e completo a 360° Le misure di portata e di pressio ne, infatti, sono collegate: se faccio un controllo di tenuta, individuo una per d i t a , ( i n f u n z i o n e d i u n a s o g l i a d i a c c e t t a b i l i t à p r e d e f i n i t a ) e s p r e s s a i n

T M  77 TECNOLOGIE IN CAMPO s N . 0 3  ; 2 0 2 2

u n i t à d i f l u s s o e i d e n t i f i c a t a c o n l e m is u r e d i p o r ta ta M a AT E Q è a n c h e i m p e g n o , r i c e r c a e i n n o v a z i o n e l’evoluzione di un’idea Il collaudo dei prodotti non deve gene rare problemi, ma risolverli. Il controllo della qualità del prodotto non è perdi t a d i t e m p o e r i s o r s e , m a v a l o r e a g g i u n t o a l p r o d o t t o s t e s s o , p e r c h é n e garantisce la qualità. L e s t r a t e g i e d i AT E Q I t a l i a , p e r a l t r o , s o n o d a s e m p r e c a r a t t e r i z z a t e d a l c o s t a n t e d e s i d e r i o d i s o d d i s f a r e l e richieste dei clienti. E, peraltro, gli sfor z i d a n o i c o m p i u t i i n t a l s e n s o , c o m e l ’ e s t e n s i o n e d e l l ’ a c c r e d i t a m e n t o o t t e nuto, mirano a conseguire ritorni effet tivi, in grado di fornire valore aggiunto a t u t t i i c l i e n t i e , o v v i a m e n t e , a n c h e alla nostra società.

E c c o , v e d i a m o d i a p p ro f o n d i r e q u e s t o p u n t o , p a r t i c o l a r m e n t e interessante…?

(G. Mar toccia) Sì, quando parlo di “ritorni effettivi” mi riferisco non solo a q u e l l i d i r e t t a m e n t e a v a n t a g g i o d e i clienti ATEQ, come ad esempio il fatto di poter offrire loro anche il servizio di taratura dello strumento da essi posse duto, che fino a pochi mesi fa doveva

essere inviato a Parigi, presso il labo ratorio accredita to d ella nostra sed e, con maggiori costi e tempi d’attesa più l u n g h i O r a , n o n o s t a n t e l ’ e s t e n s i o n e dell’accreditamento sia ancora relati v a m e n t e “ f r e s c a ” , l a n o t i z i a h a g i à raggiunto non solo la platea dei clienti ATEQ , m a a nche q uella d i p otenzia li clienti con strumenti non ATEQ, che tra mite le fiere di settore, news nei canali

di comunicazione ATEQ e il motore di ricerca del sito di Accredia, ci hanno trovato e con i quali si sono immediata m e n t e a t t i v a t e t r a t t a t i v e t e c n i c o c o m merciali e che stanno già dando i loro frutti…! Questi sono ritorni che, soddi sfacendo precise esigenze dei clienti, s i t r a s f o r m a n o i n v a l o r e a g g i u n t o e , quindi, arricchiscono ulteriormente la nostra offerta e il nostro valore compe titivo Se vogliamo andare oltre con la lista dei vantaggi derivanti dall’affron t a r e “ a v v e n t u r e t e c n o l o g i c h e ” c o m e quelle delle tarature accreditate, deci s a m e n t e a r d u e p e r u n a P M I c o m e l a nostra, non possiamo trascurare l’ele vata importanza di essere i “primi” a percorrere una specifica strada, diven t a n d o q u i n d i p a d r o n i a s s o l u t i d e l know how. E senza dimenticare l’ulte riore crescita aziendale che si acquisi sce passando da fornitori di strumenti a fornitori di servizi, incluso quello con s u l e n z i a l e ( f o r n i t o a c o s t o z e r o , c o m preso nel prezzo!): possiamo definirci, s e n z a e s a g e r a r e , v e r i e p r o p r i “ p r o blem solver” nel nostro campo specifi c o d i c o m p e t e n z a , u n p o ’ c o m e i l medico che è in grado di leggere con cognizione di causa le analisi appena effettuate

t

PROVE DI TRAZIONE E COMPRESSIONE A PREZZI CONTENUTI

L a c e l l a d i c a r i c o t r a z i o n e / c o m p r e s sione low cost 8427 burster è un sen s o r e p a r t i c o l a r m e n t e r o b u s t o , c h e p u ò e s s e r e f a c i l m e n t e i n t e g r a t o i n prove di tenuta tra due cavi o catene per misurarne la forza di trazione. Il modello standard è provvisto di una filettatura interna, consentendo così i l c o l l e g a m e n t o a d a d a t t a t o r i q u a l i le chiavette. In alternativa, possono essere forniti adattatori esterni per u n v e l o c e e f a c i l e a d a t a t t a m e n t o a fori filettati costruiti ad hoc

I l c a v o a u s c i t a r a d i a l e è e s t r e m a

m e n t e f l e s s i b i l e e d i s e g n a t o p e r u n ampio raggio di movimento Al fine di raggiungere il più alto grado di stabi l i t à p e r u n s e n s o r e c o s ì p i c c o l o , r e n d e n d o l o q u i n d i a d a t t o n o n s o l o p e r applicazioni di laboratorio ma anche

per uso industriale, tutte le parti che c om pongono la c ella di c ar ic o s ono saldate nel corpo del sensore, inclusa la boccola guida cavo L’elemento di misura è una membra na perpendicolare all’asse del senso re, con un ponte estensimetrico ap p l i c a t o a l l a s u p e r f i c i e i n t e r n a , c h e r i c h i e d e u n ’ a l i m e n t a z i o n e s t a b i l e con un valore di sensibilità di 1 mV/V. L a m e m o r i a e l e t t r o n i c a T E D S ( b u r s t e r Tr a n s d u c e r E l e c t r o n i c D a t a Sheet) è disponibile come opzione e c o n s e n t e u n c o l l e g a m e n t o f a c i l e e veloce alla strumentazione burster, come Master di taratura, Amplifica t or i/Condiz ionat or i di s egnali, Con trollori x/y, ecc

CLICCA QUI per approfondire. RICHIEDI ulteriori informazioni

T M  78 TECNOLOGIE IN CAMPO s N . 0 3  2 0 2 2
NEWS

Quanto tempo avete impiegato per raccogliere e implementare la corposa documentazione relativa all’estensione dell’accred i t a m e n t o , o t t e n u t o p o i m a t erialmente pochi mesi fa…? ( G . M a r t o c c i a ) S i a m o p a r t i t i c o n i l n u o v o p r o g e t t o a f i n e 2 0 1 9 , c o m e d i c e v o i n p r e c e d e n z a d o v e n d o c i i n ventare tutto quasi da zero, e probabil m e n t e u n p r i m o a i u t o i m p o r t a n t e i n q u e s t a f a s e i n i z i a l e c i è s t a t o f o r n i t o p r o p r i o d a l l a P a n d e m i a , c h e c o n i l o c k d o w n i m p o s t i d a l l a s i t u a z i o n e c i h a “ r e g a l a t o ” l e g r a n d i q u a n t i t à d i tempo necessario per stendere le pro c e d u r e e l a p a r t e d o c u m e n t a l e , m a anche la fase di progettazione e scelta d e l p e r c o r s o d a a ff r o n t a r e , c o m p i u t a con il supporto di un consulente ester no, per lo più in smart working e, suc cessivamente, in laboratorio, confron t a n d o c i c o n m i s u r e m o l t o d e l i c a t e e impegnative.

Un lavoro complesso, che ci ha messo a dura prova ma si è poi rivelato, addi rittura, entusiasmante: affrontato sem pre nella certezza di perseguire il sod disfacimento di una richiesta primaria del cliente e, per ATEQ, la spesa soste nuta per l’acquisto di uno strumento è u n i n v e s t i m e n t o c h e v a m a n t e n u t o e valorizzato nel tempo (oggi non è raro per noi occuparci degli strumenti che i nostri clienti hanno acquistato 10 15 20 anni fa !)

S i t r a t t a , p e r a l t r o , s o p r a t t u t t o d i s t r u m e n t i i m p i e g a t i i n p r o d u z i o n e , i c u i fermi possono comportare ingenti pro b l e m i e n o t e v o l i c o s t i : q u e s t o è u n m o tiv o p iù c h e su ffic ie n te p e r g iu stifi c a r e l ’ i m p o r t a n z a d i u n s e r v i z i o d i

t a r a t u r a a c c r e d i t a t a i n t e m p i n e t t a m e n t e p i ù r a p i d i r i s p e t t o a l p a s s a t o Un’adeguata pianificazione, il massi mo impegno e la voglia di continuare a p r o g r e d i r e r a p p r e s e n t a n o i l g i u s t o mix in grado di supportare progetti di questo tipo fino al loro completamen to

C h i u d e r e m m o c o n l a “ s o l i t a ” d o m a n d a r e l a t i v a a l l e v o s t r e strategie d’investimento, la cui risposta spesso include consigli utili per i nostri lettori. Cosa può raccontarci in proposito…? (G. Mar toccia) Inizio la risposta con un grande dato di fatto da tenere sem pre presente: i grandi gruppi chiedono al fornitore il prodotto finito e certifica to; chi è in grado di soddisfare questa

richiesta, vince la partita.

N e i m e r c a t i c o m p e t i t i v i q u e s t a “ a s t i c e l l a ” s i a l z a c o n t i n u a m e n t e , s e n z a soluzione di continuità, e sta a ciascu na azienda che voglia restare sul mer c a t o a t t r e z z a r s i a d e g u a t a m e n t e p e r offrire risposte complete e puntuali In s o s t a n z a , o g n i a z i e n d a d e v e s a p e r investire, tendere costantemente verso l’innovazione, ascoltando attentamen te le richieste dei clienti

G l i i n v e s t i m e n t i n e l l e s o l u z i o n i e s t r u m e n t i i n n o v a t i v i e n e l p e r s o n a l e s p e cializzato sono ovviamente prioritari, se si vuole crescere.

Q u e s t ’ u l t i m o è u n o d e g l i a s p e t t i p r i n c i p a l i s u i q u a l i c o n c e n t r e r e m o p r o s s i m a m e n t e i n o s t r i s f o r z i : u n s e r v i z i o e v o l u t o , c o m e q u e l l o f o r n i t o d a ATEQ I t a l i a , r i c h i e d e e s p e r t i a d e g u a t a m e n t e f o r m a t i , g i o v a n i c a p a c i , i n p o s s e s s o d e l l e g i u s t e e a g g i o r n a t e c o m p e t e n z e i n d i s p e n s a b i l i p e r p o t e r o ff r i r e a l c l i e n t e q u e l l a c o m p o n e n t e c o n s u l e n z i a l e i n g r a d o d i a i u t a r l o a v i n c e r e l a p r o p r i a b a t t a g l i a c o m p e t i t i v a S e m p r e d i p i ù AT E Q I t a l i a v u o l e d i v e n t a r e u n p a r t n e r a f f i d a b i l e p e r i p r o p r i c l i e n t i , o ff r e n d o l o r o n o n s o l o s t r u m e n t i d i c o l l a u d o , m a u n a s e r i e s e m p r e p i ù c o m p l e t a d i s e r v i z i c h e c o n s e n t a n o l o r o d i m a s s i m i z z a r e i r i s u l t a t i e t r a s f o r m i n o l ’ a c q u i s t o i n u n i n v e s t i m e n t o d u r a t u r o e p r o f i c u o n e l t e m p o

T M  79 TECNOLOGIE IN CAMPO s N . 0 3  ; 2 0 2 2

NUOVO ACRREDITAMENTO PER IL CENTRO LAT N° 306 DI CRIOCLIMA

Lo scorso luglio, il laboratorio di tara t u r a d i C r i o c l i m a h a c o n s e g u i t o d a parte di Accredia importanti estensio ni dell’accreditamento già conseguito, c h e n e a m p l i a n o u l t e r i o r m e n t e l o s p e t t r o o p e r a t i v o I l l a b o r a t o r i o p u ò quindi operare nei seguenti ambiti:

S T E 1 0 : A M B I E N T I T E R M O S TAT I C I , ovvero macchine che regolano la tem p e r a t u r a i n u n c a m p o c o m p r e s o t r a 90°C e +250°C come congelatori, incu batori, forni, camere climatiche e ter mostatiche;

SHR-04: AMBIENTI CLIMATICI, come ad esempio le camere climatiche;

STE 08: TEM PERATU RA D EL L ’A RIA, ovvero misuratori e termometri per la misura della temperatura dell’aria Il sen sore di temperatura può essere una termo resistenza, ter mocoppia o termistore;

S T E 0 4 : C AT E N E T E R M O M E T R I C H E , o v v e r o s i s t e m i c o n

indicatore collegato a sensore che mi sura la temperatura (termoresistenza, termocoppia o termistore);

S T E 0 1 : I G R O M E T R I E T E R M O I G R O METRI, quindi strumenti con indicato r e c o l l e g a t o a u n s e n s o r e c h e m i s u r a l’umidità relativa e la temperatura, o anche solo l’umidità relativa.

Particolarmente importanti per Crio c l i m a s o n o l e c e r t i f i c a z i o n i S T E 1 0 e SHR 04, che permettono alla società di r i l a s c i a r e c e r t i f i c a t i d i t a r a t u r a i n campo per ambienti termostatici e climatici Ricordiamo che la Crioclima è leader in Italia nell’assistenza su camere cli m a t i c h e e i n g e n e r a l e s t r u m e n t a z i o n e p e r s i m u l a z i o n e ambientale. Combinare taratura e assistenza tecnica per mette di contenere al massimo i fermi macchina durante le attività di manutenzione e taratura periodica

CLICCA QUI per ulteriori informazioni

Le macchine di taratura universale ad elevata precisione serie SJ5100 ULM (di stribuite in Italia dalla RUPAC srl di Mila no) permettono di effettuare misure lineari secondo il principio di Ernst Abbe Equipaggiate con righe in cristallo a pre cisione nanometrica, guide di scorrimen to lappate di precisione, un compensato re ambientale con sonde di temperatura e di umidità, le macchine sono corredate da una vasta gamma di accessori per il posizionamento ottimale dei campioni da misurare Inoltre, grazie alla tecnologia di applicazione costante della forza di misura, la ripetibilità delle prove è impeccabile. La forza di misura è regolabile in vari step: 0,1 N 0,3 N 0,5 N oppure in continuo da 1 N a 10 N I modelli della serie A e B sono anche disponibili con campo di misura esterno fino a 3.000 mm.

Accessori in dotazione standard

Encoder bidirezionale con lettura della forza di misura; Tavola a 5 assi;

Ta v o l a d i s u p p o r t o p e r p e z z i l u n g h i ( c a m p o d i m i s u r a ≥ 1 000 mm);

Set di 4 coppie di punte di misura;

24 coppie di blocchetti di riscontro a tre fili per tamponi filettati;

Supporto per tamponi lisci;

Coppia di supporti a V per fissaggio di pezzi cilindrici;

A p p a r e c c h i d i s u p p o r t o p e r l a m i s u r a d i b l o c c h e t t i d i riscontro;

Dispositivi di fissaggio per anelli di riscontro di grande dia metro;

S e t d i 8 s o n d e a T i n r u b i n o p e r l a m i s u r a z i o n e d i a n e l l i filettati;

Set di 2 sonde sferiche con contatto singolo in rubino;

Due coppie di morse per anelli master da o 20 mm a o 200 mm;

Anello master di riferimento da o 40 mm;

Dispositivo di compensazione ambien tale;

30 standard normativi inclusi nel soft ware.

Software di misura

Grazie a un software completo e un’in t e r f a c c i a m o d e r n a , l ’ u t e n t e v i e n e g u i dato nel processo di misura passo dopo p a s s o e d è i n g r a d o , i n t e m p i b r e v i , d i effettuare le misure con la massima pre cisione e ripetibilità Il software compensa automaticamen te, in tempo reale, forza, temperatura e umidità, garanten do sempre misure stabili.

Le misure possono essere effettuate secondo gli standard GB, ISO, BS, ANSI, DIN, JIS e API, selezionabili direttamente tramite software In alternativa è possibile creare i propri standard.

Esistono ulteriori standard opzionali, in grado di coprire al meglio ogni esigenza

I risultati delle misurazioni possono essere esportati in for mato PDF, Word, Excel, AutoCAD, oppure in report persona lizzabili

Accessori opzionali

È disponibile un’ampia gamma di accessori aggiuntivi, che estendono ulteriormente le possibilità di misura di questa macchina: Banchi di lavoro con piano in granito; Encoder bidirezionale per misure di master conici; Supporti per tam poni e anelli lisci e filettati, anche conici; Comando a pedale; Mobiletto anti umidita per dispositivi elettronici; Ulteriori 100 standard normativi Tanti altri accessori e supporti per ogni tipo di applicazione

CLICCA QUI per maggiori dettagli.

RICHIEDI QUI ulteriori informazioni

NEWS s
N . 0 3  2 0 2 2 T M  80

ENGINEERING SERVICE: SUPPORTO A VALORE AGGIUNTO PER LE AZIENDE UTENTI Dal monitoraggio delle problematiche alla proposta di soluzioni. Come si evolvono le strategie dei for nitori leader in ambito metrologico: il caso HBK-Hottinger Bruel & Kjaer

N o n è l a p r i m a v o l t a c h e i n q u e s t a rubrica andiamo a “ficcare il naso ” nel profondo delle strategie dei principali f o r n i t o r i d i s t r u m e n t i e s o l u z i o n i i n a m b i t o d i m i s u r e , p r o v e e c o n t r o l l i d i qualità, con l’obiettivo d’individuare, a t t r a v e r s o i l o r o c o m p o r t a m e n t i , n o n tanto i cambiamenti in atto sul mercato quanto, piuttosto, le nuove oppor tunità per i clienti (in par ticolare per le azien de di piccole e medie dimensioni) che p o s s o n o n a s c e r e d a l l e r i v o l u z i o n i organizzative in atto nella schiera dei for nitori specializzati Oggi andiamo a c o n o s c e r e l a d i v i s i o n e “ E n g i n e er i n g S e r v i c e ” d i H B K - H o t t i n g e r B r u e l & K j a e r , m u l t i n a z i o n a l e d e l s e t t o r e Te s t & M e a s u r e m e n t d i c u i T U T TO MISURE ha raccontato la nascita, a v v e n u t a a t t r a v e r s o l a f u s i o n e d i d u e aziende leader in quest’ambito: la te desca HBM (sensori, trasduttori, esten simetri, amplificatori, sistemi di acqui sizione dati, software, ecc.) e la dane se BRUEL & KJAER (specializzata nelle misure di acustica e vibrazioni), inter pellando direttamente la sua responsa b i l e p e r l ’ E u r o p a S u d O c c i d e n t a l e e B e n e l u x , C a ro l a C o r a z z a , c h e r i n graziamo come sempre per la disponi bilità

HBK non è il primo grande fornit o r e i n a m b i t o m e t ro l o g i c o c h e m a n i f e s t a g r a n d e a t t e n z i o n e p e r l a c o m p o n e n t e d i s e r v i z i o c h e i c l i e n t i p r e t e n d o n o i n m a n i e r a s e m p r e p i ù n e t t a d a i propri fornitori, così impor tante da essere spesso determinante nelle loro scelte d’acquisto. Ma com’è strutturato e or ganizzato il vostro “ser vice”…?

(C. Corazza)

P r e m e s s o c h e le due aziende che hanno da t o v i t a a H B K h a n n o s e m p r e avuto una strut t u r a d e d i c a t a a l l ’ a s s i s t e n z a t e c n i c a p e r l a p r o p r i a s t r u m entazione, da alcuni anni abbiam o attivato una divisione a se stante (Engineering Ser vices, appunto), strut turata per affrontare esigenze di misu ra specifiche del cliente, analizzarle a fondo e studiare le soluzioni più appro priate L’Engineering Services ha rap presentato una grande innovazione per la nostra azienda, perché affianca alla vendita della strumentazione una con sulenza ingegneristica di alto livello, in grado di portare ulteriore valore ai no stri clienti. Un aspetto oggi molto impor tante, perché le aziende sono sempre più alla ricerca di partner con cui con frontarsi piuttosto che puri fornitori Inol tre il mercato delle prove e misure è in continua evoluzione e richiede compe tenze sempre più specialistiche e perso n a l i z z a z i o n e d e l s e r v i z i o , c h e s o n o appunto le cifre della nostra attività

I m m a g i n i a m o c h e q u e s t a d i v isione “Engineering Ser vice” sia formata da personale piuttosto evoluto a livello tecnico e provv i s t o d i g r a n d e k n o w - h o w, i n m o d o d a p o t e r g e s t i r e l e p i ù d i v e r s e p ro b l e m a t i c h e c o n l a massima competenza di causa, giusto…?

(C. Corazza) La divisione è costituita da un team di oltre 50 ingegneri e tec nici specializzati in grado di compren dere e analizzare l’esigenza del clien te e, una volta studiata e condivisa con il cliente la soluzione tecnica, procede r e a lla s u a im p le m e n ta z io n e a ll’ in te r n o d e l p r o c e s s o d e l c o m m i t t e n t e L e competenze del team coprono un arco d i a p p l i c a z i o n i m o l t o a m p i o , p r i n c i p a lm e n te in a m b ito m e c c a n ic o ( fo r z e , c o p p i e , d e f o r m a z i o n i , c a r i c h i , spostamenti) e acustica-vibrazioni Il nostro intervento consiste solitamente nell’analizzare e trovare soluzioni in

s i e m e a l c l i e n t e a s f i d e t e c n o l o g i c h e complesse Essendo il nostro un know h o w b a s a t o s u l l e c o m p e t e n z e t e c n i che, ma anche relazionali e di ascolto, f r e q u e n t i a m o c o s t a n t e m e n t e c o r s i d i aggiornamento e formazione speciali s t i c a I n o l t r e , a n a l i z z a n d o s p e s s o i n team le applicazioni dei clienti, contri b uia m o con esp erienze d iverse a tro vare soluzioni pragmatiche e orientate a l cliente H o nota to che con la m a g g i o r p a r t e d e i c l i e n t i i l r a p p o r t o s i è c o n s o l i d a t o n e l t e m p o , g i u n g e n d o spesso a livelli di fiducia reciproca non comuni nelle relazioni professionali La nostra è un ’attività molto stimolante e g r a t i f i c a n t e , c h e a v o l t e r i c h i e d e anche qualche sacrificio perché spes s o s e g u i a m o p r o g e t t i i n c o n d i z i o n i ambientali difficili e fuori sede Ricor d o c h e a n c h e i n p i e n o l o c k d o w n p e r Covid 19, tolti i primi giorni di smarri mento generale, la nostra attività non si è praticamente mai fermata, proprio p e r l a p a r t i c o l a r i t à d e i p r o g e t t i c h e curiamo Accennavo alla capacità dei n o s t r i t e c n i c i d i a d a t t a r s i e d i e s s e r e sta ti form a ti p er op era re in sicurezza in ambienti non comuni È il caso di un cliente, importante azienda leader nel settore dell’energia eolica, che deside rava una soluzione innovativa in ambi to di strumentazione delle turbine. L a s u a p r o p e n s i o n e a l l ’ i n n o v a z i o n e trovava terreno fertile nel nostro desi d e r i o d i m e t t e r c i a l l a p r o v a i n u n c a m p o a b b a s t a n z a n u o v o p e r l a n o stra divisione, in condizioni operative

T M  81 TECNOLOGIE IN CAMPO s N . 0 3  ; 2 0 2 2

AEROTECH ESPONE

ALLA FIERA SPS 2022 DI NORIMBERGA

A e r o t e c h , s p e c i a l i s t a n e l l e s o l u z i o n i per il controllo del movimento e posi zionamento, parteciperà alla fiera SPS d i N o r i m b e r g a d a l l ’ 8 a l 1 0 n o v e m b r e p r o s s i m i , d o v e p r e s e n t e r à s v a r i a t e n o v i t à , a p a r t i r e d a l l a n u o v a r e l e a s e 2 3 della piat t af or m a di c ont r ollo del movimento Automation1 e dai model l i d e l l e s l i t t e l i n e a r i d e l l a s e r i e P R O , controllati con Automation1 “ D o p o l ’ a n n u l l a m e n t o d e l l a s c o r s a edizione della SPS, siamo impazienti di partecipare all’evento che si svolgerà il prossimo novembre. Ci sentiamo total m e n t e a n o s t r o a g i o i n u n a f i e r a c h e t r a t t a a r g o m e n t i c h i a v e c o m e i l c o n trollo del movimento e l’azionamento, a m a g g i o r r a g i o n e p e r c h é a b b i a m o u n a s e d e q u i i n G e r m a n i a , a F u e r t h ” , afferma Simon Smith, direttore euro peo di Aerotech

A u t o m a t i o n 1 Controllo assi di facile utilizzo

I visitatori dello s t a n d A e r o t e c h pot r anno v ede re di persona co m e i s i s t e m i d i p o s i z i o n a m e n t o e i c o m p o n e n t i p e r i f e r i c i p o s s o n o e s s e r e c o n t r o l l a t i i n m o d o s e m p l i c e , u t i l i z zando una sola piattaforma di control lo La suite Automation1 sostituisce le p r e c e d e n t i p i a t t a f o r m e d i c o n t r o l l o (A3200, Ensemble e Soloist) con nuove

che richiedevano di lavora re a un ’altezza tra i 50 e gli 80 metri da terra, su piatta forme piuttosto piccole e in c o n d i z i o n i c l i m a t i c h e t u t t’altro che favorevoli…!

P u ò f o r n i r c i u n b r e v e ident

kit dei cl

E

S

ent

del v

-

te p i ù p o t e n t i f u n z i o n a l i t à , i n u n ’ a r c h i t e t t u r a f a c i l e d a a p p r e n d e r e e i n t u i t i v a “ L a n o s t r a u l t i m a v e r s i o n e 2 3 è d o t a t a d i n u m e r o s e n u o v e f u n z i o n a l i t à , c o m e l o s t r u m e n t o d i s v i l u p p o M a c h i n e A p p s H M I C o n q u e s t o s t r u m e n t o , completamente personalizza bile, abbiamo sostituito la pre c e d e n t e i n t e r f a c c i a C N C r i v o l u z i o n a n d o l e i n t e r f a c c e u t e n t e p e r i s i s t e m i d i a z i o n a m e n t o c o n b e n e f i c i provati sul campo dall’utilizzo in appli cazioni reali” , continua Smith Inoltre la versione 2 3 di Automation1 ha comple tato con successo la fase beta dello svi luppo della compatibilità con EtherCAT, c h e c o n s e n t e l a c o n n e s s i o n e a s i s t e m i basati su PLC e, quindi, amplia le opzioni per i processi di movimento ad alta pre c i s i o n e q u a n d o s o n o i n c o r p o r a t i i n u n s i s t e m a c o n v e n z i o n a l e c o n p r e c i s i o n e i n f e r i o r e . A t t u a l m e n t e a n c o r a i n f a s e beta, ma già parte della nuova versione, sono le funzioni touchscreen per il sup porto di MachineApps e l’interfaccia di configurazione API Python

mero utile per inquadrare lo svi luppo di questo ser vizio…? (C. Corazza) L a s tr u ttu r a c h e d ir ig o s e g u e o l t r e c e n t o a t t i v i t à c o m p l e s s e all’anno, il fatturato è in forte crescita come il numero di progetti. I clienti con c u i c o l l a b o r i a m o , e c h e s e g u i a m o i n varie parti del mondo, sono di solito a z i e n d e m e d i o g r a n d i o P M I m o l t o a t tente alla R&S e tutte ci interpellano per trovare soluzioni innovative a problemi

A u t o m a t i o n 1 h a a n c h e m i g l i o r a t o l a visualizzazione dei dati e l’usabilità del modulo di programmazione; sono stati inoltre aggiunti e ottimizzati la coda di c o m a n d i ( m o d a l i t à Q n e l l ’ A 3 2 0 0 ) e i l c o n t r o l l o d i p o s i z i o n e / v e l o c i t à / c o p p i a tramite ingresso analogico

“Con Automation1 2.3, forniamo agli ut ent i dei nos t r i s is t em i di pos iz iona m e n t o u n c o n t r o l l o c o m p l e t o d e l l a macchina per tutti i componenti, spin gendoci così molto più in là rispetto ai tradizionali controlli del movimento” , dichiara Smith

Stadi a motore lineare in azione A N o r i m b e r g a ( s t a n d 3 4 7 P a d 3 ) saranno esposti anche diversi modelli di slitte lineari PRO LM, controllati da Automation1. Gli stadi della serie PRO s o n o d i s p o n i b i l i c o n a z i o n a m e n t o diretto da parte di un motore lineare o con vite a ricircolo di sfere “Sulla base dell’allestimento, possiamo dimostra re il nostro ampio know how nella p r o g e t t a z i o n e d i q u e s t e s l i t t e l i n e a r i , c o m p r e s a l a g e s t i o n e d e i cavi”, spiega Simon Smith “Sono in grado di viaggiare ad alta velo cità con un eccellente controllo di q u e s t a g r a n d e z z a , o l t r e a o ff r i r e un’incredibile robustezza” . I cuscinetti meccanici sigillati ren d o n o g l i s t a d i l i n e a r i P R O L M insensibili a qualsiasi tipo di conta minazione; sono dotati di un siste ma di tenuta a basso attrito che riduce notevolmente l’impegno di manuten zione nell’uso industriale

CLICCA QUI per approfondire RICHIEDI QUI ulteriori informazioni.

T M  82 TECNOLOGIE IN CAMPO s N . 0 3  2 0 2 2
i
i
i
o s t ro
n g i n e e r i n g
e r v i c e e q u a l c h e n u
NEWS

complessi. Come dicevo poc ’anzi, gli o r d i n i a u m e n t a n o e s p e s s o l o s t e s s o c l i e n t e l i r i p e t e n e l t e m p o , a t e s t i m o nianza del vantaggio competitivo che la nostra attività porta al cliente.

Sempre per capire al meglio le modalità secondo cui si sviluppano i vostri progetti, può schematizzarne alcuni aspetti esemplificativi (C. Corazza) Normalmente i colleghi d e l r e p a r t o c o m m e r c i a l e i d e n t i f i c a n o p r e s s o i c lie n ti s p e c ific h e p r o b le m a ti c h e t e c n i c h e , c h e i l m i o g r u p p o p u ò contribuire a risolvere A questo punto veniamo coinvolti e introdotti presso il c l i e n t e , p e r a p p r o f o n d i r e l a t e m a t i c a d a l p u n t o d i v i s t a t e c n i c o a p p l i c a t i v o e, dopo aver identificato una soluzio n e e a v e r l a c o n d i v i s a c o n i l c l i e n t e , procediamo con i colleghi delle vendi te alla stesura a quattro mani della pro posta tecnico commerciale.

Sul piano più operativo le faccio inve ce un esempio di come affrontiamo la strumentazione di componenti:

A n a l i s i i n g e g n e r i s t i c a p e r l o s t u d i o della fattibilità della misura;

Applicazioni estensimetriche su com ponenti e strutture presso i nostri labora tori e/o presso la sede del cliente;

Installazione di sensori, quali accele rometri, trasduttori di spostamento, ter mocoppie e altri su richiesta;

Fornitura dei sistemi di acquisizione dati;

S e t u p d e lla stru m e n ta z io n e , a l fin e d i o t t i m i z z a r e l ’ a c q u i s i z i o n e d a t i i n base alle specifiche esigenze;

A c q u i s i z i o n e d a t i p e r m o n i t o r a r e i l comportamento del componente/strut tura in esercizio;

Stesura di un rapporto di prova;

Assistenza all’elaborazione dei dati M e d i a n t e l a t e c n i c a e s t e n s i m e t r i c a è possibile monitorare il comportamento m e c c a n i c o d i s t r u t t u r e e c o m p o n e n t i m e c c a n i c i L ’ e s t e n s i m e t r o e l e t t r i c o a r e s i s t e n z a è u n d i s p o s i t i v o d i m i s u r a che consente di determinare la defor m a z i o n e a t t r a v e r s o i l r i l i e v o d i u n a variazione di resistenza e, in particola re, fornisce nella zona d’installazione l a d e f o r m a z i o n e m e d i a , l a b a s e d i misura nella sua direzione longitudina le. L’analisi delle sollecitazioni (calco

late a partire dalla misura delle defor mazioni) permette di effettuare: considerazioni sulla resistenza strut turale; analisi dei danni; ottimizzazione della struttura (durata della vita, tipo d’impiego e risparmio dei materiali);

c o n fe rm a sp e rim e n ta le d e ll’e sa tte z za del modello matematico di sviluppo (FEM)

I n s o m m a , s e r v i z i m o l t o a r t i c olati e sicuramente a valore aggiunto per le aziende interessa te a individuare fornitori/par tner, capaci di suppor tare lo sviluppo delle loro idee innovative o l ’ a n a l i s i e s o l u z i o n e d i l o ro s p e c i f i c h e p ro b l e m a t i c h e . M a c o s a c o m p o r t a l ’ o r g a n i z z a z i one e gestione di un ser vizio così complesso…?

(C. Corazza) Fornire un servizio così complesso e avanzato comporta costi e le v a ti, s ia p e r il m a n te n im e n to d e lla sua struttura sia per il continuo aggior

namento delle persone. Per quanto riguarda la m ia funzione, giocano un ruolo fondamentale la mo tivazione del mio team, lo sviluppo del mercato e della tipologia di attività e la stima e fiducia da parte dei clienti, non solo da conquistare ma anche da man tenere nel tempo

Ai nostri lettori piacciono molto i “ c a s i a p p l i c a t i v i d i s u c c e s s o ” , p e r c h é r e n d o n o p i ù f a c i l m e n t e l ’ i d e a d i q u a n t o e s p r e s s o n e l t e s t o . N e h a q u a l c u n o p a r t i c olarmente significativo da riassu mere brevemente…? (C. Corazza) Sicuramente significati va, anche per la notorietà dell’opera, è s t a t a l a s t r u m e n t a z i o n e d e l p o n t e della Costituzione (detto anche Ponte d i C a l a t r a v a ) a Ve n e z i a , c h e h a avuto una storia travagliata C i a v e v a m o l a v o r a t o g i à n e l 2 0 1 2 , strumentandolo con estensimetri elettri c i , p o i c i è s t a t o r i c h i e s t o d i e s e g u i r e ulteriori misure recentemente e questa volta, vista la particolarità dei segnali d i m i s u r a d a r i l e v a r e , a b b ia m o p r o p o s to u n a te c n o l o g i a i n n o v a t i v a b a s a t a s u sensori ottici, scelta che poi s i è d i m o s t r a t a p r e m i a n t e sia per la qualità dei dati sia per la rapidità d’installazio ne S t r u m e n t a r e q u e s t o p o n t e d o p o d i e c i a n n i d a l l a p r e cedente installazione è sta t a u n ’ e s p e r i e n z a m o l t o s i g n i f i c a t i v a n o n s o l o d a l punto di vista tecnico, data l a c o m p l e s s i t à “ f i s i c a ” d i a c c e s s o a i p u n t i d i m i s u r a (effettuato tramite un’imbar cazione con piattaform a”), ma anche per l’importanza dei dati acquisiti e le eleva t e a s p e t t a t i v e d e l c o m m i t tente È stata anche un ’esperienza a l i v e l l o p e r s o n a l e p a r t i c o l a r e e a r r i c c h e n t e , p e r c h é mi sono resa conto di quan to io e il mio team siamo cre sciuti in questi anni di lavo ro, in termini di esperienza e di conoscenze.

T M  83 TECNOLOGIE IN CAMPO  N . 0 3  ; 2 0 2 2

GLI

Web: https://uk aerotech com

Persona da contattare: Uwe Fischer

Tel +44/1256855055 E mail: ufischer@aerotech com

Aerotech Italy Santo Neglia Tel +44(0)7548835640 E mail: sneglia@aerotech com

Informazioni su Aerotech

Con sede a Pittsburgh, USA, Aerotech Inc (https://uk.aerotech.com) è u n ’ a z i e n d a p r i v a t e d i m e d i e d i m e n s i o n i F o n d a t a n e l 1 9 7 0 d a Stephen J Botos, Aerotech progetta e produce i migliori sistemi d i c o n t r o l l o d e l m o v i m e n t o e d i p o s i z i o n a m e n t o , d e s t i n a t i a clienti di diverse industrie, della scienza e della ricerca Nello spi rito di un’azienda familiare, i proprietari continuano ad attribui r e l a m a s s i m a i m p o r t a n z a a i r a p p o r t i , a p e r t i e i m p r o n t a t i a l l a f i d u c i a , c o n i c l i e n t i , i p a r t n e r c o m m e r c i a l i e i d i p e n d e n t i A Fuerth, in Germania, hanno sede le attività di vendita e assisten za e quelle di montaggio dei sistemi di posizionamento creati ad hoc per il mercato europeo

Le soluzioni di movimento, innovative e di alta precisione, soddi sfano tutti i requisiti critici necessari a soddisfare per le attuali applicazioni, particolarmente esigenti Esse vengono utilizzate in svariati campi nei quali sia richiesta un’elevata produttività: tecno logie mediche e applicazioni per le scienze della vita, produzione di semiconduttori e schermi piatti, fotonica, automotive, archiviazio ne dati, elaborazione laser, industria aerospaziale, produzione elettronica, nonché ispezione e collaudo, fino all’assemblaggio

Dotata di capacità avanzate di analisi e diagnostica, Aerotech fornisce un’assistenza tecnica e un servizio di qualità. Se un pro dotto standard non è adatto per una specifica applicazione, il produttore è in grado di fornire componenti e sistemi di movi mento speciali, mettendo a frutto anni di competenza ed espe rienza La capacità di produzione per applicazioni personalizza te è ulteriormente integrata dall’esperienza nella fornitura di sistemi per operazioni sottovuoto e in camera bianca

Aerotech ha uffici a servizio completo in Germania (Fuerth), Regno Unito (Ramsdell), Cina (Shanghai City) e Taiwan (Taipei City). Aerotech impiega attualmente circa 500 persone in tutto il mondo

TUTTO MISURETUTTO MISURE AFFIDABILITÀ ED TO A E i, metrologi di ogia Forense XIX Congresso io M trologia La riproducibilità de FMEA sinergia p rologica in Sanità Le responsabilità da contatto sociale TUTTO MISURETUTTO MISURE FFIDABILITÀ D TORIAL ricordo di due amici EMA delle grandi struttu G p ob ti di controllo A R ARGOMEN Gestione dell’efficienza energetica
ESPERTI DI T _ M
T M  84

SIMULAZIONE MULTI-FISICA: L’UOVO DI COLOMBO

Una soluzione ideale per ottenere infor mazioni rapide e sicure da dati da misure sparse

N e l l e n o s t r e i n t e r v i s t e a i p r o t a g o n i s t i e c c e l l e n t i d e l l a r i c e r c a i t a l i a n a n o n poteva sicuramente mancare il Dipar timento d’Ingegneria Industrial e d e l l ’ U n i v e r s i t à d i S a l e r n o , inserito a pieno titolo fra i 350 dipar ti m e n t i u n i v e r s i t a r i d i e c c e l l e n z a . L o andiamo a conoscere più in dettaglio, cogliendo al volo la connessione offer taci ancora una volta dalla simulazio n e m u l t i f i s i c a , s t r u m e n t o d i g r a n d e suppor to all’attività dei ricercatori, in grado di consentire loro l’estrazione di rapide e affidabili informazioni da dati provenienti da misure sparse

Ci guida alla scoper ta di questa n u o v a i m p o r t a n t e r e a l t à d e l compar to universitario italiano il professor Francesco Marra, al quale chiediamo in prima battuta una breve scheda/profilo del D i p . u n i v e r s i t a r i o d i a p p a r t enenza, per poi addentrarci man mano nei “casi applicativi”, sic u r a m e n t e d i g r a n d e i n t e r e s s e per molti dei nostri lettori. ( F. M a r r a ) I l Dipartimento d ’ I n g e g n eria Industria le dell’Univers i t à d i S al e r n o h a c o me missione for m a r e l e n u o v e generazioni di p r o f e s s i o n i s t i negli ambiti del l’ingegneria chi mica e alimentare, meccanica e gestio n a l e , e d e l e t t r o n i c a , s e t t o r e c h e c o m prende l’ambito delle misure In particolare, con riferimento al setto re dell’Ingegneria Chimica e Alimenta re, il dipartimento integra competenze n e l c a m p o d e l l ’ i n g e g n e r i a c h i m i c a , m a te ria li, m ic ro b io lo g ia e te c n o lo g ie a l i m e n t a r i , p e r l a p r o g e t t a z i o n e e l a

r e a l i z z a z i o n e d i i m p i a n t i , p r o c e s s i e prodotti innovativi d’interesse per l’in d u s t r i a m a n i f a t t u r i e r a , s o p r a t t u t t o n e l campo dei polimeri, del settore farma ceutico, energetico e alim entare, con un occhio alla sostenibilità. Con riferimento al settore dell’Ingegne ria Meccanica e Gestionale, il diparti m e n to in te g r a c o m p e te n z e n e i s e tto r i del Disegno e Modellazione e prototi p a z io n e v irtu a le , F isic a te c n ic a p e r il risparmio e l’efficienza energetica nel l’edilizia, macchine frigorifere e appli c a z i o n i i n d u s t r i a l i , F l u i d o d i n a m i c a , Im p ia n ti In d u s tr ia li M e c c a n ic i, Te c n o l o g i e e S i s t e m i d i L a v o r a z i o n e , I n g e g n e r i a E c o n o m i c o G e s t i o n a l e , M a c chine a fluido e sistemi per l’energia e l’ambiente, Meccanica Applicata alle M a c c h i n e , P r o g e t t a z i o n e M e c c a n i c a e Costruzione di Macchine con model li per la progettazione e ottimizzazio ne di componenti di macchine, il con t r o l l o d e l l e v i b r a z i o n e e d e l r u m o r e fino alla biomeccanica Con riferimento, infine, al settore del l ’ I n g e g n e r i a E l e t t r i c a , i l d i p a r t i m e n t o integ ra com p etenze nell’a m b ito d elle Misure Elettriche ed Elettroniche, relati ve soprattutto ai sistemi di telemisura, elaborazione di immagini per control l o d i p r o c e s s i i n d u s t r i a l i , s i s t e m i d i m i s u r a e c o n t r o l l o d i s t r i b u i t i e r e t i d i sensori, Sistemi Elettrici per l’Energia, c o n p a r t i c o l a r e r i f e r i m e n t o a l l e f o n t i rinnovabili e all’efficienza energetica, automazione degli impianti, domotica e b u i l d i n g a u t o m a t i o n , e l e t t r o n i c a d i potenza, macchine elettriche e conver titori per le fonti rinnovabili e le diverse applicazioni nell’industria, nei traspor ti e nei servizi, tecnologie telematiche per i sistemi di trasporto. Una vastissima offerta, insomma, sia in termini di didattica sia di ricerca appli cativa (fino alla produzione di brevet ti), in grado di rispondere puntualmen te ai bisogni delle aziende e del territo rio di competenza, che lavora tramite c o m m e s s e d i r e t t e e p a r t e c i p a z i o n i a bandi internazionali, in costante siner gia con le aziende e con altre im por ta n ti r e a ltà in te r n a z io n a li n e ll’ a m b ito d e l l a r i c e r c a U n a m b i e n t e p r o n t o a r i m e t t e r s i c o n t i n u a m e n t e i n g i o c o , a c o g lie re se m p re n u o v e sfid e e a d a u m e n t a r e i l p r o p r i o k n o w h o w s e

g u e n d o p u n t u a l m e n t e l e r i c h i e s t e d e i propri stake holder

U n a r i c e r c a b e n s i n t o n i z z a t a s u l l e e s i g e n z e d e l t e r r i t o r i o d i competenza, che vanta numerosi par tner, sia dell’industria privata sia del settore Università & Ricerca… (F. Marra) Il dipar timento d’ingegne ria industriale ha come punto di forza l’elevato numero di progetti sviluppati c o n p a r t n e r i n d u s t r i a l i e l a v i s i b i l i t à inter nazionale della ricerca prodotta, distinguendosi anche per le competen ze metrologiche: quella “cultura delle m is u r e ” c h e è s ta ta s e m p r e u n p r in c i p a l e p u n t o d i r i f e r i m e n t o p e r l ’ i n t e r o Dipartim ento, nonché im portante m a teria di formazione.

Personalmente porto avanti un piccolo g r u p p o d i r i c e r c a , c h e l a v o r a p r e v a l e n t e m e n t e s u p r o g e t t i d e l s e t t o r e agroalimentare (peraltro in piena sin to n ia c o n le s p e c ific ità p r o d u ttiv e d e l n o s t r o t e r r i t o r i o , m a a n c h e a p e r t a a player del mercato multinazionale) Ci o c c u p i a m o d i a p p l i c a r e l e m e t o d o l o gie tipiche dello studio dei fenomeni di trasporto (quantità di moto, energia e m ateria) a sistem i alim entari, avendo come finalità la progettazione di siste mi, processi e prodotti d’interesse per l’industria alimentare. Nel dettaglio:

1 ) P ro g e t t a z i o n e d i s i s t e m i b asati su tecnologie elettro-assistit e ( m i c r o o n d e , r a d i o f r e q u e n z e e campi elettrici moderati) per efficienta r e i l t r a t t a m e n t o t e r m i c o d i a l i m e n t i Abbiamo da poco concluso la parteci pazione a un progetto internazionale, MEFPROC, coordinato dall’University College of Dublin, Irlanda, sull’utilizzo

T M  85 TECNOLOGIE IN CAMPO s N . 0 3  ; 2 0 2 2

d e i c a m p i e l e t t r i c i m o d e r a t i p e r l a s o s t e n i b i l i t à d e l l a f i l i e r a a l i m e n t a r e Sugli stessi temi abbiamo lavorato con d u e m u l t i n a z i o n a l i l e a d e r d e l s e t t o r e d e g l i e l e t t r o d o m e s t i c i d a c u c i n a p e r sviluppare un nuovo concept di cavità

NEWS scritti da sistemi di equazioni differen ziali alle derivate parziali Da anni uti l i z z i a m o l a s u i t e C O M S O L M u l t ip h y s i c s , c h e c o n s e n t e d i a ff r o n t a r e processi in cui si hanno fenomeni fisici caratterizzati da diversi tempi caratte

NUOVO SISTEMA DI TRACKING BLE (BLUETOOTH LOW ENERGY)

DI STRUMENTAZIONE E OGGETTI

Il sistema di tracking BLE, sviluppato da Aviatronik spa, permette di trac c i a r e q u a l s i a s i s t r u m e n t a z i o n e e o g g e t t o d i v a r i o t i p o i n q u a l u n q u e ambiente chiuso o aperto. Tale siste m a è c o m p o s t o d a p i c c o l e a n t e n n e “ G a t e w a y ” , c h e r i c e v o n o p a c c h e t t i di informazioni provenienti dai Bea con Tag presenti nell’area di coper t u r a ; q u e s t i p a c c h e t t i p o s s o n o c o n tenere varie informazioni utili, quali m a t r i c o l a , s e r i a l n u m b e r, e m a i l , testo breve o altro I Beacon Tag pos sono avere varie forme e dimensioni i n f u n z i o n e d e l l ’ u s o c h e s e n e d e v e fare: uno dei modelli più comuni ha forma circolare, con diametro di 2,8 c m (v ed im m agine), c ar at t er is t ic he

a microonde, che oggi sono disponibi li sul mercato statunitense

tc h e l o r e n d o n o installabile su gran p a r t e d e i p o s s i b i l i oggetti da traccia re

Installate le anten ne a copertura del le aree interessate e f i s s a t i i B e a c o n Ta g s u g l i o g g e t t i d a m o n i t o r a r e , i l software di gestio n e s v i l u p p a t o d a Av i a t r o n i k p e r m e t t e d i c o n f i g u r a r e u n a s e r i e d i parametri utili, co m e l ’ i n t e r v a l l o d i e m i s s i o n e d e l s e g n a l e d e i B e a c o n Ta g ( i m p o s t a n d o un’emissione ogni 5 m i n u t i , l a b a t t e ria di ogni Tag du rerà circa 10 anni), l e i n f o r m a z i o n i i n e s s o c o n t e n u t e , i l nome o la posizio n e d e i G a t e w a y, ecc.

Grazie a un com plesso e struttu rato algoritmo di ricerca (Real Ti me Location Sy stem), il software è in grado di rile vare con alta pre cisione e affida bilità la posizio ne dei vari Bea con Ta g , a n c h e se il loro segnale d o v e s s e e s s e r e r i c e v u t o d a d i v e r s e a n t e n n e Gateway

I n o l t r e t a l e s o f t w a r e p e r m e t t e l ’ i n vio automatico di email di allarme in caso di spostamento dei Beacon Tag da un Gateway all’altro o in caso di sparizione del segnale dai Gateway È possibile, inoltre, dotare i Beacon Tag di accessori quali un misuratore d i t e m p e r a t u r a o u n m i s u r a t o r e d i s h o c k , p e r r i l e v a r e e v e n t u a l i c o l p i ricevuti dal sensore

Ta l e s i s t e m a , q u i n d i , n e l s u o c o m plesso garantisce un affidabile trac ciamento Real Time di beni all’inter n o d i a z i e n d e , o s p e d a l i , a e r o p o r t i , quartieri e molto altro

RICHIEDI QUI ulteriori informazioni.

T M  86 TECNOLOGIE IN CAMPO s N . 0 3  2 0 2 2 2 ) S i m u l a z i o n e d i p ro c e s s i e c r e a z i o n e d i s t r u m e n t i d i g i t a l i , mediante la costruzione e la soluzione di modelli matematici tipicamente de

ristici (come nel caso del riscaldamen to a microonde).

3 ) P ro g e t t a z i o n e d i a l i m e n t i “plant-based”, mediante una suite c h e a b b i a m o r e a l i z z a t o “ i n h o u s e ” e c h e u t i l i z z a u n a p p r o c c i o i b r i d o p e r determinare quali e quanti ingredienti di origine vegetale possono sostituire ingredienti di origine animale in parti colari preparazioni alimentari

P ro g e t t i e v i d e n t e m e n t e “ i n n o v a t i v i ” , c h e p r e v e d o n o i l s u ppor to di soluzioni informatiche evolute per l’analisi e la gestion e d i g r a n d i q u a n t i t à d i d a t i ottenuti da misure sparse, come Comsol Multiphysics, che abbia-

mo già incontrato diverse v o l t e n e l l ’ a m b i t o d e l l e n o s t r e i n t e r v i s t e , s o p r a ttutto in quelle che hanno a v u t o c o m e p ro t a g o n i s t i e s p o n e n t i d e l l a r i c e r c a , n o n s o l o i n c a m p o a c c ad e m i c o m a a n c h e i n d ustriale.

( F. M a r r a ) I l g r a n d e v a n t a g g i o d i a v e r e s t r u m e n t i p e r l a sim u la z io n e m u lti fisic a è l’a b battimento del cosiddetto time to market (dall’idea al prodotto finito), grazie alla possibilità di esplorare, con un clic, diverse ipotesi di lavoro, con la conse g u e n t e d r a s t i c a r i d u z i o n e d e l n u m e r o d i p r o t o t i p i n e c e s s a r i (sia che si stia progettando un prodotto alimentare o un siste m a / p r o c e s s o p e r o t t e n e r e q u e l d a t o p ro d o tto a lim e n ta re ). S p e sso o c c o rre scrivere linee di codice ma, chiaramen t e , a v e r e a d i s p o s i z i o n e u n a s u i t e d i alto livello, che libera il ricercatore dal d o v e r o g n i v o l t a s c r i v e r e u n p r o p r i o codice, è di grande aiuto. N el caso della suite COMSOL Mul t i p h y s i c s , l e p o t e n z i a l i t à s o n o b e n più ampie rispetto a quelle che impie g o a t t u a l m e n t e a s u p p o r t o d e l l e m i e

CAMPO

r i c e r c h e . Tu t t a v i a , n e g l i a n n i h o r i c a v a t o d a C O M S O L M u l t i p h y s i c s u n a s o r t a d i l a b o r a t o r i o “ v i r t u a l e ” , u n a specie di realtà aumentata che mi con sente di sviluppare esperienze affida b i l i e f o n d a t e s u l l a s c i e n z a . L ’ u s o d i questi strumenti non si limita solo alla attività di ricerca, ma trova uso anche nel training e nella formazione di per s o n a l e , i m m e r g e n d o l o i n u n s i s t e m a v i r t u a l e d o v e è p o s s i b i l e e s p l o r a r e i cosidetti scenari “what if” (cosa succe de se ?) Partendo da un ottimo stru m e n t o , i n s o m m a , s o n o i n g r a d o d i s f o r n a r e a c c u r a t i s t r u m e n t i v i r t u a l i , u t i l i p e r l a f o r m a z i o n e , i l t r a i n i n g o n t h e j o b , i l t r a s f e r i m e n t o d i c o n o s c e n za, sempre supportati da calcoli estre m a m e n t e a c c u r a t i . Va d a s é c h e t a l i s t r u m e n t i v i r t u a l i r i c h i e d o n o i n o g n i c a s o l a c o n o s c e n z a d e l l e p r o p r i e t à dei materiali e dei sistemi che vengo no simulati e richiedono anche la vali dazione sperimentale dei risultati che t a l i s t r u m e n t i f o r n i s c o n o A n c h e i n queste attività di ricerca, quindi, l’ap proccio alle misure è fondamentale e l’accuratezza di una soluzione nume r i c a d i p e n d e r à s e m p r e d a l l ’ a c c u r a t e z z a d e l l e m i s u r e s p e r i m e n t a l i f a t t e p e r f o r n i r e d a t i i n i n p u t a l m o d e l l o e per validarne i risultati

T M  87 TECNOLOGIE IN
s N . 0 3  ; 2 0 2 2

La società ICeM Srl - Industria Calibri e Meccanica di precisione, costituita negli anni ’60 sull’esperienza trentennale acquisita dai soci fondatori in aziende del settore, si è specializzata nella costruzione di calibri fissi secondo le normative nazionali e internazionali (UNI, ANSI, DIN, BS, ecc.), lavorazioni di tornitura, fresatura e rettifica conto terzi, costruzione di attrezzature di controllo speciali, costruzione e rigenerazione di utensili a rullare.

I suoi prodotti hanno trovato applicazione nei più svariati settori produttivi: automobilistico, aereonautico, ferrotramviario, nell’industria vetraria e, in particolare, nel settore elettrico con la costruzione dei calibri per il controllo delle filettature CEI, IEC.

Il proprio Laboratorio Metrologico, sulla base dell’esperienza acquisita nel controllo della propria produzione e dalla verifica periodica della propria strumentazione, ha ottenuto da ACCREDIA, l’Ente Italiano di Accreditamento, il riconoscimento come Centro LAT n. 144 (Labo-

Industria Calibri e Meccanica

via Lampugnano 157 –20151 Milano Tel. 02/40910000 –Fax 02/48200625 Email: info@icmcalibri.it – Web: www.icmcalibri.it

Persona

ratorio Accreditato di Taratura) per le grandezze “lunghezze” indicate nella specifica tabella di accreditamento (campioni diametrali lisci; cilindri interni e forcelle lisce da 3 mm a 250 mm; cilindri esterni fino a 300 mm; sfere esterne fino a 100 mm; anelli cilindrici filettati da 3 mm a 90 mm; tamponi cilindrici filettati fino a 300 mm.

I calibri sono costruiti dalla società milanese con acciai indeformabili, trattati termicamente e stabilizzati. La durezza, la finitura superficiale e l’indeformabilità nel tempo garantiscono la loro lunga durata.

Su richiesta, alcuni tipi di calibri possono essere forniti in metallo duro, (widia) carburo di tungsteno. Inoltre tamponi e anelli possono essere anche realizzati con riporto superficiale TIN.

TUTTO MISURETUTTO MISURE Riflessioni NOTIZIE rologia Forense IL TEMA La riproducibilità delle misure nella diagnostica medica ALTRI ARGOMENTI La competenza metrologica in Sanità Salvatore Baglio ele QUALITÀ” TUTTO MISURETUTTO MISURE EDITORIALE monitoraggio elle grandi strutture GLI A campione nazionale del tempo Boe intelligenti per itoraggio delle acque ro colpevole? L’importanza della terminologia Storia: misure meccaniche GLI ESPERTI DI T_M
di precisione
da contattare: Anna Galli
T_M ■ 58T M  88

CONTENZIOSI LEGALI IN AMBITO METROLOGICO: IL VALORE DELL’ “AVVOCATO 4.0”

I vantaggi di un ef ficace suppor to legale, non solo a livello giudiziale ma anche stragiudiziale: prevenire è meglio che combattere

In questi quasi 25 anni di vita, la nostra rivista ha frequentemente proposto ar ti c o l i m i r a t i s u g l i a s p e t t i l e g a l i c h e riguardano, come e più di tanti aspetti del nostro vivere, la metrologia e tutto ciò che a essa è collegato Protagonisti d e i n o s t r i p e z z i s o n o s t a t i , d i v o l t a i n volta, gli autovelox e le contravvenzio n i , i c o n t a t o r i e l e b o l l e t t e , i p r o d o t t i non conformi e le specifiche sanzioni: p e r r i a s s u m e r l e i n u n a s o l a p a r o l a (oggi più che mai “di moda”), le “stan gate”, a carico soprattutto di consuma tori, fornitori e subfornitori, un po ’ me n o d i c o m m i t t e n t i e p u b b l i c a a m m i n i strazione.

I n t u t t i g l i a r t i c o l i f i n o r a p u b b l i c a t i (gran par te dei quali a firma dell’Avvo cato Veronica Scotti, ormai volto e pen na familiari per i nostri lettori), abbia mo cercato di fornire un’interpretazio ne chiara ed esaustiva del problema e l’individuazione delle possibili soluzio ni, senza però mai addentrarci troppo a fondo per quanto riguarda concreta m e n t e l e a z i o n i d i p r e v e n z i o n e / d i f e s a/ r ival s a a dis pos izione del l a par t e che potrebbe venire danneggiata dal la singola normativa Una par te finale c h e v a r i a a s e c o n d a d e l s i n g o l o p r o blema, ma dipende moltissimo dal le gale che offre il proprio suppor to in se de giudiziale e stragiudiziale Ecco perché oggi abbiamo il piacere d’inter vistare l’Avv. Veronica Scotti del foro di Milano, da anni apprezzata collaboratrice di Tutto Misure per cui cura da tempo la rubrica di metrologia legale e forense Con lei, esper ta an c h e d i m e t r o l o g i a e d a a n n i i n p r i m a linea nell’assistere aziende e privati ri guardo a questi temi, vogliamo affron t a r e i c a m b i a m e n t i c h e l ’ a s s i s t e n z a legale a una PMI ha subito negli ultimi tempi. E, possibilmente, offrire ai lettori suggerimenti utili per scegliere il giusto

par tner affrontando in piena sinergia i propri problemi legali

Avvocato, secondo lei, cosa dov r e b b e a s p e t t a r s i u n a P M I d a l proprio legale?

(V. Scotti) An c o r o g g i , p u r troppo, l’avvo c a t o è s p e s s o p e r c e p i t o c o me il rimedio a u n e v e n t o g i à v e r i f i c a t o s i , che poteva es s e r e g e s t i t o p r e v e n t i v a mente o, quan to meno, messo a bilancio come possi bile oppure quando tentativi di compo s i z i o n e a m i c h e v o l e i n f o r m a l e d i u n conflitto tra le sole parti non solo non h a n n o c o n d o t t o a e s i t o p o s i t i v o m a , addirittura, esarcerbato il rapporto. È u n a p p ro c c io c h e rite n g o p e ric o lo so , o l t r e c h e e c o n o m i c a m e n t e r i s c h i o s o : s a p p i a m o t u t t i c h e i m b a r c a r s i i n u n contenzioso giudiziale rischia di esse r e u n ’ a v v e n t u r a q u a s i s e n z a f i n e ( s e m a i s i d o v e s s e a n d a r e f i n o i n C a s s a zione, la durata del processo potrebbe arrivare a 30 anni!) e dall’esito quanto mai incerto.

Mai come in queste situazioni appare valido il vecchio detto che “prevenire è meglio che combattere” A parte i man c a t i p a g a m e n t i ( o g g i g i o r n o s e m p r e più frequenti, stante l’incerta situazio n e e c o n o m i c a ) , q u a s i s e m p r e , p e r quanto ho potuto constatare per espe r i e n z a d i r e t t a , i c o n t e n z i o s i n a s c o n o da imprecisioni nei contratti, sottovalu tazione di alcune clausole, ambiguità nell’interpretazione di norme tecniche o incorretta interpretazione del campo di applicazione delle Direttive Comu nitarie (spesso riscontrata nell’ambito della metrologia legale).

C h i e d e r e i l p a r e r e a l p r o p r i o l e g a l e prima di sottoscrivere impegni o prima d’intraprendere iniziative che potreb b e r o p o t e n z i a l m e n t e v i o l a r e q u a l c h e disposizione tecnica o di legge evite rebbe, molto probabilmente, i proble mi di cui sopra: un piccolo investimen t o p e r e v i t a r e r i s c h i e c o n o m i c a m e n t e più consistenti.

Interpretando i desideri dei no stri lettori, credo che accennare a d a l c u n i c a s i s p e c i f i c i f a c i l i t erebbe sicuramente la comprens i o n e d e i c o n c e t t i d a L e i b e n espressi, anche se in forma sintetica…

(V. Scotti) Alcuni esempi concreti che posso citare riguardano sia il contenu t o d e i c o n t r a t t i n e l l o s p e c i f i c o , s i a l a loro applicazione:

1) Clausola contrattuale che individua un foro diverso da quello p r e v is to d a l c o d ic e d i p ro c edura civile per la soluzione delle controversie: spesso viene indicato nel contratto un foro specifico dinanzi al quale por tare le eventuali controver sie insor te tra le par ti, con esclusione di qualsiasi altra sede. Questo può acca d e r e i n d i v i d u a n d o u n f o r o i n a m b i t o n a z i o n a l e ( u n Tr i b u n a l e o G i u d i c e d i Pace di una città italiana) o in un altro Stato. La differenza non è di poco conto poiché, mentre nel caso in cui ci si rivol ga a un ’autorità giudiziaria nazionale il diritto applicato sarà quello italiano, n e l c a s o i n c u i i l f o r o s i t r o v i i n a l t r o S t a t o l e r e g o l e c h e t r o v e r a n n o a p p l i c a z i o n e s a r a n n o q u e l l e p r o p r i e d i t a l e P a e s e ; i n a l c u n i c a s i t a l i s c e l t e ( c o s i d d e t t o “ f o r u m s h o p p i n g ” ) , c o m e quella d’individuare un foro di compe tenza unico ed esclusivo in Paese diver so da quello in cui si conclude l’affare, n o n s e m p r e s o n o v i s t e p o s i t i v a m e n t e dal legislatore dal momento che potreb b e c o s t i t u i r e u n a s o r t a d i p r e v e n t i v o s c u d o d a t o d a u n o r d i n a m e n t o “ p i ù a c c o m o d a n t e ” r i s p e t t o a q u e l l o c h e potrebbe essere coinvolto secondo le r e g o l e g e n e r a l i . C o m e m i è s p e s s o capitato di vedere, le par ti non si soffer m a n o e c c e s s i v a m e n t e s u c l a u s o l e d i questo tipo, concentrandosi maggior mente sulla par te relativa ai dettagli tec nici e, ovviam ent e, econom ici, s enza piena consapevolezza circa gli spiace voli effetti che a volte ne derivano E la c o s a p i ù c u r i o s a è l a r i s p o s t a c h e a v o l t e m i c a p i t a d i r i c e v e r e q u a n d o s i chiede alla par te che subisce la clauso la, piegandosi alle richieste della con tropar te estera, come mai si è accettata una clausola di questo tipo: “Abbiamo sempre fatto così e non è mai successo nul l a!” ( pens o che a m ol t i di voi, non

T M  89 TECNOLOGIE IN CAMPO s N . 0 3  ; 2 0 2 2

solo giuristi ma anche tecnici, sia capi tato in varie occasioni di sentire questo tipo di affermazioni)

2 ) D i f f i c o l t à i n t e r p r e t a t i v e d i norme tecniche par te a): altri casi, in cui spesso mi imbatto, riguardano le norme tecniche citate nel contratto, che diventano poi oggetto di discussione In alcuni casi è capitato che si divergesse propriamente su interpretazioni tecni che per le quali erano necessarie speci fiche cognizioni, mentre in altri casi è accaduto che, a causa del sovrapporsi d e l l e r e v i s i o n i d e l l e n o r m e c i t a t e n e l contratto, fosse deter minante un inter vento interpretativo che fornisse la cor r e t t a c h i a v e d i l e t t u r a , p o s s i b i l m e n t e senza compromettere totalmente il rap por to tra le par ti. Nel caso di specie, la norma tecnica menzionata nel contrat to tra le par ti non recava specifico riferi mento alla sua edizione (dato che nelle r e v i s i o n i a v e v a c o n s e r v a t o i l n u m e r o originario, a cui veniva aggiunto nume ro e anno di nuova revisione): le inter pretazioni possibili, in assenza di spe cifiche previsioni contrattuali al riguar do, possono essere sia quella che privi l e g i a l a v e r s i o n e v i g e n t e a l m o m e n t o della redazione del contratto (questa è quella che io sposo), sia quella che in clude anche le successive revisioni (ov viamente nel caso in cui si tratti di forni ture di prodotti continuative o similari), o v v i a m e n t e p e r l a p a r t e c o m p a t i b i l e con la norma precedente In specie, nel caso par ticolare di cui mi sono occupa ta, la nuova norma richiedeva una me todologia di misura parzialmente diffe r e n t e r i s p e t t o a q u e l l a r i p o r t a t a n e l l a norma tecnica nella sua edizione pre cedente (e menzionata nel contratto) e o v v i a m e n t e p i ù a c c u r a t a e m e n o a p p r o s s i m a t i v a Q u a l e s o l u z i o n e d a r e ? L ’ i n t e r p r e t a z i o n e s u g g e r i t a ( e f o r s e accolta: si tratta di caso ancora in itine re) è quella di utilizzare la versione pre cedente della norma tecnica e applica re il vecchio procedimento di misura Un simile scenario potrebbe apparire c o m e u n i n s u l t o a l p r o g r e s s o t e c n i c o (viene emanata una nuova norma e si usa quella superata ?), ma da un pun to di vista giuridico è, a mio sommesso avviso, la soluzione più corretta; 3 ) D i f f i c o l t à i n t e r p r e t a t i v e d i nor me tecniche par te b): in alcuni

contratti sono state inserite le chiavi di letture e interpretazioni condivise dalle par ti relativamente alle norme tecniche

c i t a t e n e l c o n t r a t t o s t e s s o I n u n c a s o tale operazione è stata fatta preventi

v a m e n t e , i n d i v i d u a n d o a p p u n t o i l significato da attribuire a deter minati concetti o la qualifica da assegnare a specifici componenti/prodotti, mentre i n a l t r i c a s i s o n o s t a t i i n s e r i t i a l c u n i addendum ai contratti, al fine di preve nire l’insorgere della lite quando già si delineavano le prime avvisaglie di una possibile discussione;

4) I n c l u s i o n e d i n o r m e t e c n i c h e mediante rinvio generico: soprat tutto nel campo delle direttive “Nuovo Approccio”, è frequente la prassi dei fabbricanti d’indicare nel contratto che

v e r r a n n o a p p l i c a t e t u t t e l e n o r m e

armonizzate relative a tutte le direttive a p p l i c a b i l i a l p r o d o t t o c o n t e m p l a t o Q u e s t o g e n e r i c o r i n v i o a l l e n o r m e a r m o n i z z a t e e a l l e d i r e t t i v e d i r i f e r i mento, senza indicare espressamente quali siano quelle effettivamente per ti nenti, conduce inevitabilmente a con tenziosi poiché, quando l’ambito in cui c i s i m u o v e è e c c e s s i v a m e n t e f l u i d o (ovvero non sono puntualmente identi f i c a t e , o a l m e n o i d e n t i f i c a b i l i , i n m a niera inequivocabile le norme di riferi mento), ogni interpretazione potrebbe essere valida e accettabile e quindi tro v a r e a c c o g l i m e n t o , c o n c o n s e g u e n t e danno per una delle par ti contrattuali In casi di questo tipo è perciò consiglia bile indicare, quanto meno, le più rile vanti norme applicabili al caso di spe cie (direttiva di riferimento ed eventuali

NEWS t

MAI VISTO UN DESIGN COSÌ COMPATTO PER UN TORSIOMETRO: LA NUOVA SERIE 8655/8656 BURSTER

Con la serie compatta di torsiometri 8655 e 8656 burster, la coppia viene acquisita t r a m i t e l a t o r s i o n e d e l l ’ a l b e r i n o , u t i l i z zando il principio degli estensimetri Gra zie alla trasmissione induttiva e ottica del segnale, il sensore è maintenance free, i s e g n a l i s o n o d i g i t a l i z z a t i d i r e t t a m e n t e s u l l ’ a l b e r i n o e r e s i d i s p o n i b i l i d a l l ’ e l e t t r o n i c a d i v a l u t a z i o n e i n u n s e g n a l e i n tensione o via USB

Grazie all’elevata qualità dei componen ti, si può raggiungere una velocità fino a 1 0 0 0 0 r p m L a d i r e z i o n e d i r o t a z i o n e può essere compresa osservando l’uscita in tensione: la rotazione in senso orario corrisponde a un’uscita in tensione posi t i v a , m e n t r e l a r o t a z i o n e a n t i o r a r i a a una tensione negativa

L a s e r i e 8 6 5 5 h a l ’ a t t a c c o q u a d r o m a s c h i o / f e m m i n a , c h e c o n s e n t e l ’ i n t e g r a zione in sistemi pre esistenti o strumenti, senza impiego di componenti aggiuntivi (quali, per esempio, giunti)

La serie 8656 ha l’attacco tondo ad albe rino ed è equipaggiata con chiavette su tutti i range che, quando non necessarie, possono essere omesse È necessario l’uti lizzo di giunti adeguati: si suggerisce la

s e r i e 8 6 9 0 b u r s t e r p e r u n a t r a s m i s s i o n e sicura della coppia Per acquisire velocità e angolo di rotazio n e , i l s e n s o r e p u ò e s s e r e e q u i p a g g i a t o c o n u n e n c o d e r i n t e r n o d a 4 0 0 i m p u l s i Q u e s t o s e g n a l e d i v e l o c i t à / a n g o l o è d i sponibile come segnale di uscita TTL. I l s o f t w a r e D i g i v i s i o n , f o r n i t o g r a t u i t a mente, è utilizzabile via USB; in alternati v a , s o n o d i s p o n i b i l i d r i v e r L a b Vi e w e DASYLab da scaricare Sono disponibili per l’integrazione nel si stema dell’utente, cavi di varie lunghez ze, giunti e supporti meccanici

CLICCA QUI per approfondire RICHIEDI ulteriori informazioni

T M  90 TECNOLOGIE IN CAMPO s N . 0 3  2 0 2 2

principali norme armonizzate).

L a c a s i s t i c a è a m p i a e s i p o t r e b b e r o citare svariati casi, ma l’intenzione qui è solo quella di fornire qualche spunto di riflessione al fine di prevenire even t u a l i c o n f l i t t i o , c o m u n q u e , r i d u r r e l o s p a z i o o f f e r t o a l c o n t e n z i o s o C e r t a m e n t e p e r m a n g o n o e p e r m a r r a n n o s i t u a z i o n i n o n r i s o l v i b i l i s e n o n a t t r a verso una causa ma, se si comincia a l a v o r a r e i n v i a a n t i c i p a t a s u p o s s i b i l i i n n e s c h i , f o r s e s i p o s s o n o e v i t a r e e splosioni che potrebbero essere anche fatali, visto che gli esiti dei contenziosi non sono sempre così scontati.

Sembra di capire, da quanto ha accennato sugli aspetti normativi, che l’avvocato si può trovare ad analizzare questioni a cavall o t r a a s p e t t i t e c n i c i e l e g a l i . È così?

(V. Scotti) I n u n c e r t o s e n s o s ì . M i è capitato in diverse occasioni di trattare questioni in cui il problema che aveva dato origine al contenzioso, piuttosto che a una sanzione, era legato a inter p r e t a z i o n i d i s c o r d a n t i d i u n a s t e s s a norma tecnica, che peraltro, in alcuni casi, avevano un peso economico non tra sc u ra b ile d i a lc u n i m ilio n i d i e u ro ! C e r t o n o n s i p o s s o n o c h i e d e r e a u n a v v o c a t o l e c o m p e t e n z e p e r a d d e n trarsi in delicate questioni di normativa tecnica m a , a nche solo p er com p ren dere se e quali implicazioni legali que s t e c o i n v o l g a n o e a r r i v a r e e v e n t u a l mente a chiedere il parere di un esper t o t e c n i c o c o n c o g n i z i o n e d i c a u s a , una minima conoscenza quanto meno d e l lin g u a g g io te c n ic o sa re b b e e stre mamente utile. Purtroppo queste com petenze non si acquisiscono nei corsi di giurisprudenza (anche se da tempo auspico corsi a carattere tecnico giuri dico interfacoltà) e vanno acquisite sul campo.

C i s t a d i c e n d o c h e , o l t r e a g l i s t r u m e n t i o f f e r t i d a I n d u s t r i a 4.0, ser virebbe anche disporre di “Avvocati 4.0”?

( V. S c o t t i ) S e s i v u o l e r i a s s u m e r e l a questione in una frase a impatto, dicia mo di sì Attenzione però a non limitar si ad associare quel 4.0 alla semplice d i g i t a l i z z a z i o n e , p e n s a n d o a u n i m

piego sempre più massiccio delle tec nologie digitali, verso le quali l’ammi nistrazione giudiziaria si sta lentamen te m uovend o N on si tra tta solo d ’im parare a usare lo strumento informati c o , c o s a p e r a l t r o i n d i s p e n s a b i l e i n un ’ epoca in cui l’analfabetismo infor m a t i c o p u ò l i m i t a r e n o t e v o l m e n t e l a c r e s c i t a p r o f e s s i o n a l e i n q u a l u n q u e settore d’attività. Come dicevo poc ’ an z i , i c a s i o r i g i n a t i e / o b a s a t i s u q u e stioni tecniche sono sempre più nume rosi, come si evince anche dal sempre maggior numero di Consulenze Tecni che disposte dai giudici. Per impostarli correttam ente non si può prescindere d a l l ’ a s p e t t o t e c n i c o e u n a c o n o s c e n za, almeno a livello terminologico, dei concetti tecnici di base diventa fonda mentale, anche solo per interfacciarsi correttamente con il proprio consulen te tecnico Temo che la sola conoscen z a d i c o d i c i e d i s p o s i z i o n i d i l e g g e , b e n c h é o v v i a m e n t e i n d i s p e n s a b i l e , diventerà presto insufficiente per assi stere al meglio le PMI Per usare un lin g u a g g i o s c i e n t i f i c o f a c i l m e n t e c o m p r e n s i b i l e a i n o s t r i l e t t o r i , p o t r e m m o dire che sarà una condizione necessa ria ma non sufficiente

D a l e t t o r i d e i s u o i t e s t i s u Tu tto Misure possiamo tranquillamente affermare che lei affronta molto bene gli aspetti tecnici, q u a n t o m e n o q u e l l i c o n n e s s i c o n l a m e t ro l o g i a . C i h a d e t t o che questi aspetti non vengono t r a t t a t i n e l l e F a c o l t à d i G i u r is p r u d e n z a : c o m e h a f a t t o a d acquisire queste competenze? (V. Scotti) Ho avuto la fortuna, mentre p r e p a r a v o l ’ e s a m e p e r l ’ a b i l i t a z i o n e alla professione forense e nei primissi mi anni di carriera, di lavorare al Poli t e c n i c o d i M i l a n o , n e l l ’ a l l o r a C e n t r o per la Qualità di Ateneo, occupando mi proprio degli aspetti giuridici insiti nelle norme tecniche Capire gli aspet ti tecnici essenziali delle norme non è s t a t o d i ff i c i l e , a v e n d o a d i s p o s i z i o n e delle vere eccellenze (anche in termini di pazienza didattica!) in grado d’illu stra rm e li C o m p re n d e re il lin g u a g g io tecnico è stato un po ’ meno semplice, dal momento che certe parole vengo no usate, in campo tecnico e giuridico,

con significati a volte opposti. Si pensi, ad esempio, all’incertezza, che per un metrologo indica presenza d’informa zione utile sul risultato di misura, men t r e p e r u n l e g a l e i n d i c a e s a t t a m e n t e l ’ o p p o s t o : a s s e n z a d ’ i n f o r m a z i o n e . G l i a n n i t r a s c o r s i a l P o l i t e c n i c o s o n o stati utilissimi per comprendere le basi del linguaggio tecnico.

Da diversi anni, poi, tengo per contrat to il corso di “Implicazioni legali dell’e sercizio della professione” per allievi ingegneri Qui le iniziali difficoltà so n o s t a t e q u e l l e d i s p i e g a r e c o n c e t t i e t e r m i n i t i p i c i d e l l a g i u r i s p r u d e n z a a studenti in possesso di una formazione e di un linguaggio prettamente tecnici e l’esperienza acquisita negli anni di lavoro al Centro per la Qualità è stata p r e z i o s a p e r a r r i v a r e a c o m u n i c a r e questi concetti con un certo successo H o l a p r e s u n z i o n e d i r i t e n e r l o u n primo piccolo contributo alla realizza zione di corsi a forte carattere multidi sciplinare, ai quali accennavo prima Mi lasci infine dire che poter frequenta r e c o n c o n t i n u i t à e a s s i d u i t à u n a m biente di eccellenza tecnico scientifica così intellettualmente stimolante come il Politecnico mi ha enormemente aiuta t a n e l l ’ a m p l i a r e l e m i e c o n o s c e n z e verso il mondo tecnico Mi ha permes so di frequentare anche consessi inter nazionali, come l’American Academy of Forensic Sciences, di cui sono mem bro, e di confrontarmi con ordinamenti giudiziari diversi dal nostro: in un momento in cui molte commesse arriva no alle nostre PMI dall’estero, non si può trascurare come vengono gestiti i con tenziosi fuori dall’Italia Infine mi ha anche fornito un “bacino” di potenziali consulenti tecnici di altissimo livello a cui rivolgermi per tutti i casi che richiedono specifiche competenze tecniche

N o n c i r e s t a c h e r i n g r a z i a r e l ’ Av v. Scotti per il tempo che ci ha dedicato e per gli interessanti spunti di riflessione c h e r i t e n i a m o p o s s a n o e s s e r e d ’ i n t e resse per i nostri lettori. E se qualcuno fosse interessato a sotto porle, per una valutazione prelimina r e , u n c a s o p e r s o n a l e i n e r e n t e a l l a metrologia, può scriverle direttamente all’indirizzo: veronica.scotti@gmail.com.

T M  91 TECNOLOGIE IN CAMPO s N . 0 3  ; 2 0 2 2

NUOVA SERIE DI CELLE DI CARICO A RONDELLA CON CONNETTORE

La serie di celle di carico a rondella LTH (distribui t a i n I t a l i a d a l l a D S P M I n d u s t r i a d i M i l a n o ) , ampiamente utilizzata in applicazioni di testing e c o n t r o l l o d i p r o c e s s o , s i a r r i c c h i s c e d i u n a nuova versione.

FUTEK Advanced Sensor Technology ha realizza to una gamma di celle di carico che utilizzano il c o n n e t t o r e a ff i a n c a n d o l e a l l e u n i t à c o n u s c i t a cavo Lo scopo è quello di offrire una maggiore flessibilità nell’integrazione del sensore di forza, garantendo al contempo la possibilità di sostitui re il cavo in caso di danneggiamento dello stesso

La cella di carico LTH350 offre dimensioni compatte (diametro 37,6 mm, altezza 12,7 mm) Realizzata in acciaio 17 4 PH, ga rantisce elevata robustezza e resistenza alle abrasioni L’eleva ta rigidezza permette di raggiungere frequenze proprie eleva

te, rendendola adatta a misure fortemente dina miche Il connettore garantisce un grado di pro tezione IP67

P r i n c i p a l i a p p l i c a z i o n i d e l l e c e l l e s e r i e LT H : t e sting, controllo di processo di punzonatura, crim patura, industria elettromeccanica

Range di misura: da 2 kN a 22 kN; Alimentazione: 18 Vdc max; U s c i t a e l e t t r i c a e s t e n s i m e t r i c a : 2 m / V a p o n t e completo; Vari diametri di foro passante; Grado di protezione IP67

CLICCA QUI per approfondire

RICHIEDI QUI ulteriori informazioni.

MISURA PRECISA DEL PROFILO DELLE RUOTE DEI TRENI E MANUTENZIONE PREDITTIVA

La divisione Manufacturing Intelligence di Hexagon ha annun ciato oggi il lancio di CALIPRI X, un sistema di misura su rotaia delle sale montate completamente automatico, che consente di ottenere significativi aumenti di produttività e risparmi sui costi operativi nel settore ferroviario. Combinato con le capaci t à a n a l i t i c h e d e l l o s t r u m e n t o d i a r c h i v i a z i o n e e a n a l i s i i n cloud CALIPRI Predictor, CALIPRI X consente agli operatori fer roviari di far circolare in sicurezza i propri treni con intervalli di manutenzione più lunghi e prevedibili, minori tempi di arresto e riduzione dei costi del ciclo di vita

La sicurezza è fondamentale nel settore ferroviario: per soddi sfare i severi requisiti di sicurezza e garantire un funzionamen t o s i c u r o e i l c o m f o r t d e i p a s s e g g e r i , è n e c e s s a r i o e ff e t t u a r e regolarmente le misure delle sale montate Tuttavia la misura di ruote e sale montate è in genere ancora eseguita manual mente, e questo richiede molta manodopera, tempo e denaro. CALIPRI X elimina la necessità di misurare manualmente, for nendo risultati accurati in pochi secondi, grazie a un sistema di scansione ottica automatico installato in modo permanente e progettato per funzionare 24/7

“Con questa soluzione integrata ci siamo davvero spinti oltre i l i m i t i ” , a ff e r m a P e t e r L e h o f e r , P r o d u c t M a n a g e r d i C A L I P R I presso Hexagon “Si tratta di un’autentica novità sul mercato, che soddisfa le esigenze dell’industria ferroviaria per quanto riguarda la misura completamente automatica delle sale mon tate, senza rinunciare all’accuratezza e alla riproducibilità che si riscontrano comunemente nei prodotti oggi disponibili. La combinazione di dati altamente accurati e affidabili, la facilità d’uso e le analisi fornite da CALIPRI Predictor consentiranno ai nostri clienti di ridurre i costi e mantenere la tranquillità nella m a n u t e n z i o n e d e l m a t e r i a l e r o t a b i l e d u r a n t e i l s u o c i c l o d i vita” .

C o n C A L I P R I X i l p r o c e s s o d i m i s u r a n o n p o t r e b b e e s s e r e p i ù semplice: un treno transita a bassa velocità su un’unità di sen s o r i , i n c u i m o d u l i l a s e r e t e l e c a m e r e m i s u r a n o e r e g i s t r a n o automaticamente il profilo delle ruote Il sistema misura tutti i parametri delle sale montate, in conformità alla norma euro pea EN 15313, tra cui il profilo della ruota, il diametro, la distan za posteriore, la conicità equivalente, l’inclinazione e la conver genza

I parametri e gli scostamenti più importanti sono disponibili in pochi secondi e le aree fuori tolleranza sono immediatamente identificate. Combinato con CALIPRI Predictor, le misure sono

a r c h i v i a t e a u tomaticamen te e istantanea mente nel cloud e l’evoluzione dei gradi di u s u r a è v a l u t a ta per consen t i r e l a p i a n i f i cazione dei tempi di arresto, in base alle condizioni attuali e previste delle ruote, eliminando quelli non pianificati, causati dalle condizioni delle ruote stesse Il sistema è il più recente sviluppo di NEXTSENSE, parte della divisione Manufacturing Intelligence di Hexagon

CALIPRI X si basa sulla collaudata tecnica di misura ottica laser s e n z a c o n t a t t o C A L I P R I d i H e x a g o n , i c u i d i s p o s i t i v i p o r t a t i l i sono noti e riconosciuti in tutto il settore ferroviario per la loro capacità di fornire misure del profilo della ruota rapide, accura te e affidabili, con una ripetibilità senza pari.

CALIPRI X si installa facilmente sui binari esistenti ed è proget t a t o p e r f u n z i o n a r e 2 4 / 7 i n o g n i s t a g i o n e U n ’ u n i t à s e n s o r e , robusta e priva di pezzi mobili, garantisce che il sistema resista al difficile ambiente ferroviario e richieda una manutenzione minima. La compensazione della temperatura consente il fun zionamento in qualsiasi condizione atmosferica per garantire risultati affidabili tutto l’anno Per ottenere la massima produt tività il sistema è stato progettato per essere installato sui bina ri dove i treni circolano di frequente: davanti a depositi, offici ne, impianti di lavaggio o nei binari di raccordo Ciò consente di effettuare misure frequenti senza problemi o costi aggiuntivi E ff e t t u a r e p i ù m i s u r e s i g n i f i c a a v e r e a d i s p o s i z i o n e p i ù d a t i s u l l ’ u s u r a d e l l e r u o t e d a a n a l i z z a r e , c o n s e n t e n d o a C A L I P R I Predictor di prevedere con precisione i livelli di usura Gli ope ratori ferroviari possono pianificare la manutenzione in base a l l e c o n d i z i o n i e ff e t t i v e d e l l e s a l e m o n t a t e , c o n s e n t e n d o a i treni e alle intere flotte di funzionare con intervalli di manu t enz ione più lunghi e pr ec is i e c on m inor i t em pi d’inat t iv it à, con conseguenti significativi risparmi sui costi operativi CALI P R I P r e d i c t o r g a r a n t i s c e l a p i e n a t r a c c i a b i l i t à d e i r i s u l t a t i d i misura e consente un accesso sicuro ai dati e alle analisi per i tecnici delle flotte, i proprietari delle officine, gli addetti alla m a n u t e n z i o n e e a l t r o p e r s o n a l e d i p e n d e n t e i n o ff i c i n a o i n ufficio, o anche viaggiante.

NEWS s
N . 0 3  2 0 2 2 T M  92

NUOVE APPLICAZIONI PER I MOTORI PIEZOELETTRICI A ULTRASUONI

In for ti campi magnetici o in ambienti in cui il sistema deve compor tarsi in modo neutrale da un punto di vista elettromagnetico

m e d i a n t e u n e l e m e n t o d i accoppiamento (Fig 1)

Q u a n d o v i e n e a p p l i c a t a u n a t e n s i o n e , l ’ e f f e t t o p i e zoelettrico inverso provoca la deformazione della cera m i c a L a d e f o r m a z i o n e a v v i e n e a l i v e l l o c r i s t a l l i n o a l l ’ i n t e r n o d e l m a t e r i a l e e non è quindi influenzata dal magnetismo Per questo mo tivo i motori PILine® non in teragiscono con i campi ma gnetici.

Figura 1 Schema di un motore PILine®: un attuatore piezoelettrico viene precaricato contro una guida. L’attuatore viene stimolato a oscillare. Queste oscillazioni vengono conver tite in un movimento in avanti, che viene trasmesso al pattino tramite un elemento di accoppiamento (Immagine: PI)

Q u e s t o f a s ì c h e v i s i a n o due interessanti settori di applicazione per i motori piezoelettrici, quali ad e sempio, il funzionamento in for ti campi m a g n e t i c i e l ’ u t i l i z z o i n u n a m b i e n t e s e n s i b i l e s e n z a i n f l u e n z a r e i c a m p i m a gnetici esistenti

G l i a s s i p i l o t a t i d a motori PILine® s o n o i n g r a d o d i eseguire movimenti control lati su ampi inter valli di cor sa nell’ordine dei millimetri, c o n r i s o l u z i o n i d i q u a l c h e n a n o m e t r o e u n a v e l o c i t à fino a 200 mm/s Quando sono “ a riposo”, o spenti, gli azionamenti sono a u t o b l o c c a n t i . S o n o p o s s i b i l i s i a s i s t e m i l i n e a r i c h e rotativi

ca del campo magnetico

La densità di flusso magnetico B (o, nel linguaggio comune, il campo magneti co) è collegata allo stimolo magnetico

I s is t em i di pos izionam ent o P IL ine® s i basano su un azionamento diretto con motori piezoelettrici a ultrasuoni. Ciò consente tempi di risposta molto rapidi e u n p o s i z i o n a m e n t o e s t r e m a m e n t e p r e c i s o . G r a z i e a l p a r t i c o l a r e p r i n c i p i o d i f u n z i o n a m e n t o , q u e s t i m o t o r i s o n o a u t o b l o c c a n t i i n a s s e n z a d i a l i m e n t a z i o n e I n o l t r e , g l i a z i o n a m e n t i non influenzano i campi magnetici, e v i c e v e r s a i c a m p i m a g n e t i c i e s t e r n i non influenzano il loro funzionamento. Q u e s t o s u r v e y s i p r o p o n e d i f o r n i r e u n a m i g l i o r e c o m p r e n s i o n e d e l l ’ u s o dei prodotti PILine® in for ti campi ma gnetici o in ambienti in cui il sistema de ve compor tarsi in modo neutrale da un punto di vista elettromagnetico Il cuore di ogni sistema PILine® è un at tuatore piezoelettrico, che viene preca ricato contro una guida di scorrimento

Materiali in Campi Magnetici

Quando un materiale viene introdotto in un campo magnetico, può iniziare a inte ragire fisicamente Queste interazioni possono influenzare il campo magnetico desiderato in misura inaccettabile o pos sono anche disturbare il funzionamento dei sistemi tecnici nel campo magnetico Se queste interazioni sono negative, si ricorre ai cosiddetti azionamenti “ non magnetici”. In natura esistono varie for me di magnetismo, che provocano diversi gradi d’interazione fisica I materiali possono essere suddivisi in t r e g r u p p i , c o n d i v e r s e p r o p r i e t à m a gnetiche In questo caso, le interazioni al l ’ int er no di un cor po, caus at e dal l o s t i m o l o e s t e r n o , g i o c a n o u n r u o l o i m por tante. Per differenziare, possiamo considerare la dipendenza matemati

H a t t r a v e r s o l a p e r m e a b i l i t à L a p e r m e a b i l i t à è c o s t i t u i t a d a l l e c o s t a n t i n a t u r a l i d e l l a p e r m e a b i l i t à μ0 e d e l l a p e r m e a b i l i t à r e l a t i v a μ r , b a s a t a s u l m a t e r i a l e N e l l a v i t a d i t u t t i i g i o r n i , l’entità della densità di flusso magneti co varia del campo magnetico terrestre c o n 2 0 7 0 μ T [ 4 ] a g l i s c a n n e r a r i s o nanza magnetica con 7 T I m a t e r i a l i d i a m a g n e t i c i f o r m a n o u n campo che si oppone allo stimolo ester no. Questo perché gli elettroni in movi m e n t o n e l m a t e r i a l e v e n g o n o d e v i a t i dal campo esterno, causando la forma z i o n e d i u n c a m p o c h e s i o p p o n e a q u e l l o e s t e r n o P e r u n a p e r m e a b i l i t à relativa < 1 vale quanto segue. L’effetto d i a m a g n e t i c o è m o l t o r i d o t t o , s c o m p a r e q u a n d o i l c a m p o e s t e r n o v i e n e spento e si verifica per tutti i materiali Spesso si sovrappone all’effetto para magnetico o ferromagnetico. Un esempio di effetto diamagnetico è l a l e v i t a z i o n e d e l l a g r a f i t e p i r o l i t i c a sopra i magneti permanenti Nel caso dei materiali paramagnetici, i m i c r o s c o p i c i d i p o l i d e l m a t e r i a l e s i allineano al campo magnetico esterno, deter minando un aumento del campo nel materiale Per tanto i materiali para magnetici sono attratti da un campo. In questo caso, μr > 1 si applica alla per m e a b i l i t à r e l a t i v a 1 R i m u o v e n d o i l campo esterno, l’effetto scompare I materiali ferromagnetici si compor ta no in modo simile a quelli paramagne t i c i ; l a d i f f e r e n z a è c h e , q u a n d o i l campo ester no viene rimosso, rimane

Survey a cura di Thomas Polzer (Physik Instrumente PI GmbH & Co KG Sviluppatore di azionamenti e sistemi piezoelettrici)
T M  93 TECNOLOGIE IN CAMPO s N . 0 3  ; 2 0 2 2

l a c o s i d d e t t a “ p o l a r i z z a z i o n e r i m a n te” e il materiale stesso crea un campo magnetico In questo caso, la permea bilità relativa μr >> 1 può raggiungere valori fino a 106. Mentre per i materiali diamagnetici e paramagnetici le forze possono essere dimostrate solo con test complessi, per i materiali ferromagneti ci sono molto più for ti. I magneti permanenti in neodimio ferro boro sono un esempio impressionante d i f o r z e d ’ i n t e r a z i o n e a l t a m e n t e m a gnetiche

P e r t a n t o l ’ u t i l i z z o d i m a t e r i a l i d i a m a gnetici e paramagnetici è indicato nei sistemi di posizionamento che non so no destinati a influenzare il campo ma gnetico In altre parole, materiali con una permeabilità relativa di circa 1. In questo caso, l’influenza dei campi ma gnetici interni dei rispettivi componenti s u i c a m p i m a g n e t i c i e s t e r n i è m o l t o b a s s a , i l c h e s i g n i f i c a c h e l ’ i n f l u e n z a sull’applicazione o sul sistema di posi zionamento è insignificante Per tanto, s e p o s s i b i l e , p e r l e a p p l i c a z i o n i n o n magnetiche si dovrebbe evitare l’uso di materiali ferromagnetici.

La conoscenza dei materiali utilizzabili e d e l l a l o r o p e r m e a b i l i t à r e l a t i v a è e s s e n z i a l e p e r r e a l i z z a r e u n s i s t e m a amagnetico che non influisca sul cam po magnetico di un ambiente sensibile. Mentre le plastiche e le ceramiche so no generalmente diamagnetiche, i me talli possono avere proprietà parama gnetiche o ferromagnetiche.

L a f o r m a t u r a a f r e d d o f a s ì c h e g l i a c c i a i a u s t e n i t i c i r e s i s t e n t i a l l a c o r r o s i o n e f o r m i n o m a r t e n s i t e p e r a t t r i t o o d e f o r m a z i o n e , e c i ò s i g n i f i c a c h e i materiali con una bassa per meabilità r e l a t i v a a l l o s t a t o o r i g i n a l e n e h a n n o successivamente una molto più eleva t a U n m a t e r i a l e c h e m o s t r a c h i a r a m e n t e q u e s t o c o m p o r t a m e n t o è l ’ 1 . 4 3 0 5 . P e r t a n t o , l a p e r m e a b i l i t à relativa può essere compresa tra 1,05 e 3 , 4 2 , a s e c o n d a d e l l ’ e n t i t à d e l l a deformazione Q u e s t o a s p e t t o d e v ’ e s s e r e p r e s o i n cons ider azione s opr at t ut t o quando s i u t i l i z z a n o p e z z i s t a n d a r d a u s t e n i t i c i resistenti alla corrosione, poiché nella maggior par te dei casi non sono dispo nibili infor mazioni sul grado di defor mazione a freddo.

Misurazione Magnetica degli Assi

Per le applicazioni in campi magnetici elevati, al Forschungszentrum Jülich si ut il izzano as s i di r ot azione con azio namenti PILine®. Per la caratterizzazio

n e e s a t t a d e i m a g n e t i a d i p o l o , e r a necessario determinare l’influenza del posizionatore sulla successiva caratte rizzazione dei magneti. A tal fine, so n o s t a t i m i s u r a t i s i a u n p o s i z i o n a t o r e standard U 624 03 PILine® sia una ver sione speciale basata sull’U 624, otti m i z z a t a p e r a m b i e n t i n o n m a g n e t i c i L ’ a s s e d i r o t a z i o n e U 6 2 4 . 0 3 h a u n a super ficie di 30 x 30 mm² e un ’altezza di 12 mm

zionat or e P IL ine®. Il cavo per g l i as s i di rotazione è stato sempre posiziona to sul lato destro

Risultati della Misurazione

Di seguito sono illustrati l’impostazione delle misure e i risultati delle indagini condotte presso il Forschungszentrum Jülich.

La misurazione magnetica dei posizio natori, effettuata in una camera di mi sura, è illustrata nella figura seguente

In una prima fase, l’asse di rotazione standard U 624 03 è stato misurato in un campo magnetico esterno di 123 mT contenente componenti ferromagneti che. È stato quindi possibile misurare i valori della componente di campo in Y a circa 1 mm sopra il livello del rotore; i valori variavano tra 800 e 800 μT La Fig. 4 mostra i risultati di questa misura zione. Il contorno esterno è rappresenta to da un quadrato, il rotore del posizio natore da un cerchio e il cavo da una linea che punta a destra Lo stadio di rotazione standard è dota to di un cuscinetto a sfera in acciaio al cromo vicino alla super ficie del rotore, che causa gli elevati valori di misura Per il secondo U 624.03, tutti i compo nenti ferromagnetici sono stati sostituiti c o n c o m p o n e n t i i d o n e i a b a s s a p e r m e a b i l i t à r e l a t i v a I n q u e s t o c a s o , l e m o d i f i c h e r i l e v a n t i s o n o i c u s c i n e t t i a sfera interamente in ceramica, i nume r o s i c a m b i a m e n t i d e i c o m p o n e n t i s u l PCB e le viti in titanio L e m i s u r e p r e c e d e n t e m e n t e d e s c r i t t e nel campo magnetico sono state effet tuate anche con questo posizionatore modificato.

Durante la prima misurazione, anche s e v i s u a l i z z a t a n e l c a m p o d i m i s u r a già ridotto da 200 a 265 μT (Fig. 5), non sono visibili influenze evidenti sui componenti utilizzati nel posizionato re

Il campo magnetico appare quasi omo geneo. Per tanto è necessario effettuare u n a s e c o n d a m i s u r a z i o n e c o n u n campo di misura ulterior mente ridotto ( 25 bos +106 μT) per poter registrare e illustrare i valori di campo significati vamente più bassi (Fig. 6).

È s t a t o c r e a t o u n c a m p o m a g n e t i c o permanente esterno di 123 mT allinea to lungo l’asse x positivo

La componente di campo così indotta in direzione Y è stata scansionata nel l’area illustrata in verde, a circa 1 mm sopra la super ficie del rotore del posi

Il campo parassita massimo provenien t e d a l p o s i z i o n a t o r e , r e s o v i s i b i l e d a questa misurazione, si trova nell’ango lo in basso a destra e ha un valore di 106 μT.

In questa posizione dello stadio di rota zione la testa del sensore, necessaria per il funzionamento ad anello chiuso d e l p o s i z i o n a t o r e , è i n s t a l l a t a s o t t o i l rotore.

Figura 2 U 624.03 (Immagine: PI) Fig. 3 Setup di misura per la misurazione magnetica degli assi di rotazione
T M  94 TECNOLOGIE IN CAMPO s N . 0 3  2 0 2 2

Grazie alle modifiche descritte, è stato possibile ridurre il valore del campo magnetico misurato di circa l’87% rispetto allo stadio di rotazione

standard U-624.03 PILine® e, con 10 6 μ T, si tratta di un valore molto basso. Pertanto il posizionatore modificato è adatto a molte applicazioni non magnetiche.

Test di Funzionalità in Campi Magnetici Esterni

I test di funzionamento in campi magnetici elevati sono stati un’altra importante indagine condotta presso il Forschungszentrum Jülich. Oltre all’influenza minore sui campi magnetici da misurare (caratterizzazione passiva), i posizionatori nell’applicazione prevista devono anche essere in grado di muovere una sonda di misura in un alto campo magnetico, per caratterizzare esattamente i magneti a dipolo. In questo caso, sono stati testati entrambi gli stadi di rotazione U- 624.03 PILine® in precedenza descritti, con e senza modifiche. Per il controllo sono stati utilizzati un controller C-867.1U e il software PIMikroMove®

Setup di Misurazione

I posizionatori sono stati avvitati su un blocco di plastica e installati nella fessura di un magnete a dipolo con un campo statico massimo di 1,8 T. La direzione del campo magnetico era verticale (Fig. 7) o allineata parallelamente all’asse di rotazione e i posizionatori si trovavano al centro del campo del dipolo. Sono stati eseguiti movimenti controllati con una velocità angolare di 360 °/s nell’intervallo di corsa da 0° a 360°.

Il campo magnetico è stato gradualmente aumentato a 1,8 T e le misure sono state ripetute di conseguenza.

Risultati della Misurazione

È stato possibile referenziare e posizionare senza errori sia il posizionatore standard U-624.03 sia la versione modificata fino al campo magnetico massimo di 1,8 T. Nel processo, il funzionamento è sempre stato corretto; con l’allineamento sia perpendicolare sia parallelo del campo all’asse di rotazione.

Sono state inoltre testate con successo velocità di rotazione fino a 720 °/s a 1,8 T.

Per ulteriori informazioni: info@pionline.it

Figura 5 –U-624 Modificato, Misura 1 Figura 6 –U-624 Modificato, Misura 2, Alta risoluzione Fig. 4 U-624.03 – Asse di rotazione standard senza selezione modificata del materiale Si formano due poli, visibili qui come un’area rossa e una blu, in cui le linee di campo sono verticali rispetto al piano dell’immagine e corrono dentro o fuori di esso. Figura 7 –Grande magnete a dipolo con U-624.03
T_M n 95 TECNOLOGIE INCAMPO nN.03 n ; 2022
? DOMANDE COMMENTI PROPOSTE Caratteri 10511, 0 Figure, 0 Tabelle DOMANDE COMMENTI PROPOSTE Scrivi alla Redazione CLICCA QUI (LOGO tutto_misure) Le Misure strumento er la riresa Scrivi alla Redazione Le Misure strumento per la ripresa CLICCA QUI TUTTO _ TMISURE UTTO MISURE

ASITA È ANCHE CENTRO DI TARATURA LAT N. 109

Il laboratorio di taratura Asita dal 1998 è il Centro LAT accreditato dall’Ente Italiano di accreditamento Accredia, in conformità alla normativa UNI/CEI EN ISO/IEC 17025:2018 “Requisiti generali per la competenza dei laboratori di prova e di taratura”. Asita considera il proprio laboratorio di taratura LAT n°109 come un vero e proprio servizio necessario all’attività nel settore della strumentazione professionale in quanto, trattandosi di un Centro abilitato, è tenuto a offrire i propri servizi a qualsiasi strumento di misura applicabile alla capacità metrologica del centro, indipendentemente dalla marca dello strumento stesso. Da più di 20 anni il laboratorio Asita continua ad adeguarsi al mercato e alle necessità dei propri Clienti, per offrire sempre il miglior servizio. La recente estensione nel settore Sicurezza elettrica, per venire incontro alle esigenze degli organismi di Certificazione in accordo al DPR 462, ne è un esempio.

Il Centro di Taratura LAT n.109 è già accreditato per le seguenti grandezze: Tensione continua (SBF-01), Corrente continua (SBF-02), Resistenza in continua (SBF-03), Tensione alternata (SBF-04), Corrente alternata (SBF-05), Resistenza in alternata (SBF-07), Sicurezza elettrica (SBF-19). Recentemente il Centro ha ottenuto da Accredial’estensione delle capacità metrologiche per Misure elettriche in continua e bassa frequenza, in particolare per i settori: Resistenza in continua (SBF-03) e Resistenza in alternata (SBF-07).

Grazie a queste estensioni delle proprie capacità metrologiche, il Laboratorio ASITA è oggi in grado di fornire il Servizio di Taratura ACCREDITATO (LAT) anche per i seguenti strumenti/funzioni:

– Milli-ohmetri e/o Misuratori di Resistenza in Corrente Continua da 1,2 mΩ a 100 MΩ;

– Prova continuità DC / AC ad alte correnti (fino a 30 A) anche a due terminali;

– Ponti LCR e/o misuratori di Resistenza in Corrente Alternata con misure accreditate da 1 Ω a 1 kΩ e con frequenze da 40 Hz fino a 10 kHz con le migliori incertezze fino a 62 parti in 106.

Il laboratorio si contraddistingue oggi come il Centro in Italia che dispone delle migliori incertezze e range di frequenza per la taratura dei misuratori della resistenza in corrente alternata nonché uno dei pochi abilitati a emettere tarature accreditate nell’ambito della Sicurezza elettrica.

CLICCA QUI per ulteriori informazioni.

SIMULAZIONE: NUOVO STRUMENTO PER ANALISI DI SENSIBILITÀ E AFFIDABILITÀ

La garanzia della correttezza del modello e la maggiore comprensione delle quantità d’interesse aiutano a ridurre i costi di progettazione, sviluppo e produzione. Ma come testare in modo efficiente la validità delle ipotesi di un modello e testarne l’affidabilità? Per rispondere a questa esigenza, COMSOL ha rilasciato un nuovo add on di COMSOL Multiphysics®, l’Uncertainty Quantification Module. Questo prodotto aiuta a produrre modelli multifisici più completi, accurati e utili: consente di testare in modo efficiente la validità delle ipotesi del modello, semplificare in modo convincente i modelli, identificare l’input chiave delle quantità d’interesse ed esplorarne la distribuzione diprobabilità, e scoprire l’affidabilità di un progetto. L’Uncertainty Quantification Module rivela come la variabilità dei parametri d’input influenzi i risultati della simulazione.

“Un punto di forza del l’Uncertainty Quantification Module è che può essere applicato a qualsiasi simulazione fisica realizzabile con COMSOL Multiphysics”, dice Jacob Yström, Technology director of numerical analysis in COMSOL. “ Non si è limitati a un certo campo o area di applicazione, come l’analisi strutturale, ma si possono eseguire gli stessi tipi di analisi d’incertezza su applicazioni basate su acustica, fluidodinamica, elettromagnetismo e così via, anche quando questi fenomeni sono accoppiati. Ciò amplia il raggio d’azione del prodotto e lo rende molto potente”.

Analisi di affidabilità

Dato un progetto nominale e alcuni input incerti specifici, qual è la probabilità che il progetto fallisca? Un fallimento può significare il cedimento completo del progetto, ma può anche

essere formulato in termini di criterio di qualità. Per garantire l’affidabilità, l’approccio tradizionale di modellazione e simulazione è quello di utilizzare margini di sicurezza e scenari peggiori. Con una corretta analisi di affidabilità è possibile evitare la sovra o sottoprogettazione di dispositivi e processi, poiché si possono fare stime della probabilità reale. È possibile definire un criterio di affidabilità più sofisticato, basato su combinazioni di quantità d’interesse e soglie corrispondenti.

Screening

È disponibile un metodo leggero di screening globale, che dà una misura qualitativa dell’importanza di ogni parametro d’input. È un metodo ideale quando il numero di parametri d’input è troppo grande per permettere studi di quantificazione dell’incertezza più costosi dal punto di vista computazionale.

Analisi di sensibilità Questa analisi è usata per calcolare in che misura le quantità d’interesse siano sensibili rispetto ai parametri d’input. Rispetto al metodo di screening, l’analisi di sensibilità è usata per analizzare quantitativamente come le incertezze nelle quantità d’interesse si ripartiscano tra i diversi parametri d’input. Questo tipo di studio include due metodi: il metodo Sobol, che analizza l’intera distribuzione dei parametri d’input e decompone la varianza di ogni quantità d’interesse in una somma di contributi dai parametri d’input e dalle loro interazioni; il metodo della correlazione, che calcola la relazione lineare e monotona tra ogni parametro d’input e le quantità d’interesse. Propagazione dell’incertezza

Questo tipo di studio è usato per analizzare come le incertezze dei parametri d’input si propaghino a ogni quantità d’interesse, stimando la loro funzione di densità di probabilità (PDF).

CLICCA QUI per maggiori approfondimenti.

L’Uncertainty Quantification Module di COMSOL aiuta a capire l’impatto dell’incertezza del modello
NEWS s
N.03 n2022 T_M n 96

O

R

N

Verso una nor ma del Tecnico Metrologo

GENERAL METROLOGY

I n t h i s p e r m a n e n t s e c t i o n o f t h e J o u r n a l o u r c o l l e a g u e and friend Luca Mari, world recognized exper t in funda mental metrology and member of several Inter national

C o m m i t t e e s , i n f o r m s t h e r e a d e r s o n t h e n e w d e v e l o p ment of the fundamental norms and documents of interest

f o r a l l m e t r o l o g i s t s a n d m e a s u r e m e n t e x p e r t s D o n o t hesitate to contact him!

METROLOGIA GENERALE

In questa Rubrica permanente il collega e amico Luca Mari, internazionalmen te riconosciuto quale esper to di metrologia fondamentale e membro di nume rosi tavoli di lavoro per la redazione di Norme, informa i lettori sui più recenti temi d’interesse e sugli sviluppi di Norme e Documenti. Scrivete a Luca per commentare i suoi ar ticoli e per proporre ulteriori temi di discussione!

Negli ar ticoli “Le competenze del metrologo, la figura profession a l e d e l m e t ro l o g o ” e “ Q u a l i competenze ha il metrologo oggi?” , pubblicati in questa rubrica nei numeri 3 e 4 del 2020 di Tutto Misure, p r e s e n t a m m o i l p r o g e t t o c h e l a C o m missione Tecnica UNI/CT 027, Metro l o g i a ( C o m m i s s i o n e M i s t a U N I C E I ) , aveva deciso di realizzare, per creare una norma a proposito dell’Attività Pro fessionale Non Regolamentata (APNR) d e l Te c n i c o M e t r o l o g o ( p r o g e t t o d i nor ma UNI1608262) (il ter mine “tec nico metrologo” è scritto al maschile, ma ovviamente ciò non implica alcuna limitazione di genere)

Da allora la Commissione ha comple tato la bozza, con il contributo fattivo di vari suoi esper ti in rappresentanza di diversi stakeholders, e l’ha recente m e n t e a p p r o v a t a f o r m a l m e n t e I n a c c o r d o a l l e p r o c e d u r e s u l l a n o r m a z i o ne, la bozza è ora entrata in Inchiesta Pubblica Finale, allo scopo di “ racco gliere i commenti degli operatori e otte nere il consenso più allargato possibile prima che il progetto diventi una nor ma, soprattutto da par te di chi non ha p o t u t o p a r t e c i p a r e a l l a p r i m a f a s e d i e l a b o r a z i o n e n o r m a t i v a ” , p e r f a r s ì che “al valore della trasparenza si uni

s c a q u e l l o d e l l a d e m o c r a t i c i t à ” ( c i t a z i o n i d a q u e s t a p a g i n a w e b , da cui al momento della pubblicazio n e d i q u e s t o a r t i c o l o è p o s s i b i l e s c a r icar e il f il e P DF con il t es t o com pl et o d e l p r o g e t t o d i n o r m a , s e l e z i o n a n d o M e t r o l o g i a p e r l ’ o r g a n o t e c n i c o , e i n v i a r e e v e n t u a l i c o m m e n t i e n t r o i l 6/11/2022)

Dato che assai plausibilmente i lettori di questa rivista sono, a qualche titolo, tra i destinatari della norma che il pro g e t t o m i r a a p r o d u r r e , r i t e n i a m o o p p o r t u n o d e d i c a r v i q u e s t o a r t i c o l o , anche per incentivare a contribuire con commenti alla finalizzazione del testo d e l l a n o r m a s t e s s a A q u e s t o s c o p o ricordiamo, prima di tutto, cosa sono e p e r q u a l e m o t i v o s o n o r e a l i z z a t e l e norme APNR, quindi presentiamo bre vemente i principi che hanno guidato l o s v i l u p p o d e l t e s t o d e l l a n o r m a s u l Tecnico Metrologo e, infine, sintetizzia mo le caratteristiche più impor tanti di quanto è stato prodotto.

LE NORME A PROPOSITO DELLE ATTIVITÀ PROFESSIONALI NON REGOLAMENTATE (APNR)

Pur in un mercato dinamico e competi

tivo come quello attuale, in cui si crea no sempre nuove attività professionali, è ragionevole che la società abbia inte resse a mantenere riconoscibili i princi pali profili professionali, con una suffi c i e n t e m e n t e c h i a r a d e f i n i z i o n e d e l l e competenze richieste e dei relativi per corsi di formazione Mentre per alcune professioni, come è il caso degli inge g n e r i , e s i s t e u n o r d i n e p r o f e s s i o n a l e che sviluppa e attua le strategie al pro posito, per la qualificazione di attività professionali senza un ordine di riferi mento e perciò chiamate appunto “ non regolamentate”, la Legge 04/2013, “Disposizioni in materia di professioni non organizzate”, ha reso possibile un p rocesso di “autoregolamentazione volontaria” (ar ticolo 6, comma 1 della Legge), nel contesto del Quadro Euro peo delle Qualificazioni (E u ro p e a n Qualifications Framework, EQF), incorporato in Italia nel Quadro Nazio nale delle Qualificazioni (QNQ, istituito l’8 gennaio 2018 con Decreto del Mi nistero del Lavoro e delle Politiche Socia li)

Tut t o ciò, che pot r ebbe appar ir e s ol o come un’inutile ulteriore fonte di buro c r a z i a , è d i p r i n c i p i o u n o s t r u m e n t o strutturale, di cui la nostra società si è dot at a per cer car e di r is ol ver e al cuni dei problemi che la fluidità del mercato genera, in par ticolare:

dal punto di vista dei professionisti, la n o n r i c o n o s c i b i l i t à s o c i a l e d e l l e c o m petenze, che è un ostacolo alla mobili tà professionale (un metrologo che ha s t udiat o in It al ia pot r ebbe non es s er e r i c o n o s c i u t o n e l l a s u a p r o f e s s i o n a l i t à a l l ’ e s t e r o ) , u n a q u e s t i o n e s e m p r e p i ù impor tante in un mondo del lavoro glo balizzato;

dal punto di vista della società, l’as senza di un riconoscimento sociale del le competenze professionali, che è una fonte di possibili problemi per attività p r o f e s s i o n a l i c h e c o m p o r t a n o a s s u n z i o n i d i r e s p o n s a b i l i t à s o c i a l m e n t e

La regolamentazione della professione del metrologo ai sensi della Legge Articolo di Luca Mari (LIUC) e Roberto Buccianti
04/2013 Rubrica a cura di Luca Mari (lmari@liuc.it) M E T R
L O G I A G E
E
A L E s T M N. 3/22  97

GENERALE

rilevanti, come è cer tamente quella del m e t r o l o g o ( n o n è d i f f i c i l e p e n s a r e a esempi di gravi conseguenze causate da misurazioni non appropriate) In accordo alla Legge 04/2013, perché un professionista con competenze in un settore non regolamentato possa essere qualificato o certificato da parte di una terza par te accreditata è innanzitutto necessario che sia stata approvata una norma tecnica APNR: infatti la qualifica zione della prestazione professionale si basa sulla conformità della medesima a norme tecniche UNI ISO, UNI EN ISO, UNI EN e UNI” (articolo 6, comma 2). È per questo che la Commissione ha svilup pato il progetto di norma sulla figura pro fessionale del Tecnico Metrologo

I PRINCIPI CHE HANNO GUIDATO LO SVILUPPO DELLA NORMA SUL TECNICO METROLOGO

A partire dalla constatazione che il pro

getto avrebbe prodotto la prima norma finalizzata a tracciare un profilo di com petenze per un esperto in ambito metro logico, dopo varie analisi e consultazio ni la Commissione si è orientata a svilup pare una norma relativa alle competen ze basilari che ogni metrologo dovreb be avere Se la nor ma si dimostrerà utile, potrà essere il punto di par tenza per norme più specifiche, per esempio relative a specifici ambiti applicativi (il metrologo esperto di compatibilità elet tromagnetica? il metrologo esper to di misure nella medicina di laboratorio? e così via) o a specifiche tipologie di stru mentazione (il metrologo esper to di macchine di misura a coordinate? il metrologico esperto di spettroscopia? e così via) o, ancora, a specifiche aree di competenze (il metrologo esper to di analisi dell’incer tezza di misura? il metrologo esper to di materiali di riferi mento? e così via). Per come è interpretato nella norma, il

Tabella 1

Tecnico Metrologo è dotato di una cul tura di base di metrologia che gli con sente di progettare ed eseguire proces si di misura, includendo in ciò non solo la preparazione e l’uso della strumen tazione fisica ma anche l’elaborazio ne, la validazione e la presentazione dei risultati di misura, e con ciò può o p e r a r e i n l a b o r a t o r i , s a l e m e t r o l o g i che, installazioni di misura in campo, unità di misura mobili, ecc Ci si aspet ta, inoltre, che sia in grado di assumere un ruolo proattivo nel suo lavoro, rela z i o n a n d o s i c o n l e a l t r e f i g u r e d e l l ’ o r ganizzazione in / per cui opera, come dipendente o libero professionista (“La professione è esercitata in forma indivi duale, in for ma associata, societaria, c o o p e r a t i v a o n e l l a f o r m a d e l l a v o r o dipendente.”, come specifica la Legge 0 4 / 2 0 1 3 a l l ’ a r t i c o l o 1 , c o m m a 5 ) : pur senza essere necessariamente un manager, il Tecnico Metrologo a cui la norma si riferisce non ha dunque solo

FASE 1 PIANIFICAZIONE (PLAN)

Analisi della situazione attuale, identificazione di ciò che dev’essere fatto per raggiungere gli obiettivi stabiliti, e pia nificazione delle azioni da svolgere in ottica di miglioramento continuo

1 Compito: Analisi della situazione tecnico/organizzativa

1 1 Presa d’atto dei compiti e delle responsabilità del Tecnico Metrologo assegnati nell’organizzazione

1.2 Mappatura e profilazione dei processi che interessano aspetti metrologici nell’organizzazione

1 3 Identificazione delle esigenze di misura e dei corrispondenti requisiti metrologici, con valutazione dell’impatto del processo di misura sull’organizzazione (sulla produzione, sulla sicurezza, sulle decisioni basate sui risultati, ecc)

1.4 Esame della disponibilità, inter na ed ester na, di nor me, specifiche tecniche, metodi, procedure, dotazioni, locali, strumentazione, materiali di riferimento e sistemi software necessari per lo sviluppo e l’implementazione del processo di misura

1 5 Individuazione dei fattori principali che influenzano la qualità dei risultati del processo di misura, in termini di bilancio d’incer tezza, di riferibilità metrologica, analisi di rischio per cause metrologiche, ecc

1 6 Valutazione delle effettive condizioni ambientali e di sicurezza e valutazione della necessità di eventuali pro poste di adeguamento

1 7 Analisi delle risorse economiche disponibili

1.8 Determinazione delle modalità per valutare i miglioramenti o gli scostamenti da quanto previsto

2 Compito: Definizione del programma delle attività

2 1 Definizione degli obiettivi

2.2 Allocazione delle risorse affidate (persone, strumentazione, budget, ecc) in funzione degli obiettivi definiti

2 3 Definizione delle priorità di azione e delle tempistiche attese

2.4 Analisi dei rischi connessi al solo parziale raggiungimento o al non raggiungimento degli obiettivi identificati

T M  98 METROLOGIA
s N . 0 3  2 0 2 2

Tabella 2

FASE 2 ESECUZIONE (DO)

Attuazione dei piani e delle azioni precedentemente identificati.

3 Compito: Stesura del piano operativo dettagliato

4 Compito: Valutazione della congruità delle risorse disponibili

5 Compito: Implementazione del piano operativo

5 1 Realizzazione del processo di misura (progetta zione di dettaglio / costruzione / sviluppo / implementazione di procedure e sistemi di misu ra) e produzione del risultato, inclusa la valuta zione dell’incer tezza di misura

5 2 G e s t i o n e d e l l a s t r u m e n t a z i o n e e d e i s i s t e m i d i controllo e di sicurezza (sicurezza delle persone, delle dotazioni materiali e dell’ ambiente e sicu rezza informatica)

Tabella 4

FASE 4 IMPLEMENTAZIONE DELLE SOLUZIONI (ACT) Realizzazione delle soluzioni identificate, continuando a monitorare i processi.

9 Compito: Progettazione, proceduralizzazione, e attuazione delle azioni correttive

10 Compito: Presentazione dei risultati alle funzioni interessate

11 Compito: Monitoraggio continuo della disponibilità di nuove risorse

12 Compito: Revisione e affinamento delle procedure e dei piani operativi

competenze relative a un impiego rou tinario della strumentazione di misura, ma potrebbe essere una persona che promuove e abilita la misurazione co m e l e v a s t r a t e g i c a p e r c o n t r i b u i r e a l l’innovazione dell’organizzazione D a t i g l i o t t o l i v e l l i i n c u i s i a r t i c o l a i l QNQ documentati nella Tabella A del Decreto d’istituzione del QNQ la figura professionale descritta nella nor ma si colloca al livello 5, caratterizzato d a “ c o n o s c e n z e i n t e g r a t e , c o m p l e t e , approfondite e specializzate” e dalla capacità di “utilizzare anche attraver so adattamenti, rifor mulazioni e riela

Tabella 3

FASE 3 ANALISI DEI RISULTATI (CHECK)

Accertamento dell’adeguatezza dei risultati ottenuti rispetto agli obiettivi stabiliti e identificazione di solu zioni per i problemi accertati.

6 Compito: Accer tamento dell’adeguatezza dei risultati ottenuti

6.1 Verifica del raggiungimento degli obiettivi stabi liti

6 2 Analisi e accer tamento dell’adeguatezza dei risultati metrologici

6 3 Identificazione di eventuali non conformità

6 4 Analisi e accer tamento dell’adeguatezza eco nomica delle attività metrologiche realizzate

7 Compito: Identificazione di eventuali azioni correttive

7 1 Identificazione di azioni da compiere sui meto di, procedure e dotazione strumentale

7 2 Identificazione di azioni da compiere verso il personale coinvolto nelle attività metrologiche, in riferimento a problematiche di organizzazione, formazione e sicurezza

8 Compito: Suppor to nelle relazioni con soggetti terzi

8.1 Suppor to ai contatti con fornitori di strumenta zione

8 2 Suppor to ai contatti con laboratori di taratura

8 3 Suppor to ai contatti con organismi di valutazione della conformità o di cer tificazione dei sistemi di gestione

borazioni un ’ampia gamma di metodi, prassi, protocolli e strumenti, in modo consapevole e selettivo anche al fine di modificarli, attivando un set esauriente di abilità cognitive, relazionali, sociali e di attivazione che consentono di tro vare soluzioni tecniche anche non con venzionali”.

La nor ma sul Tecnico Metrologo: caratteristiche principali

Il documento segue fedelmente la strut tura delle norme APNR, come definita nell’ambito della Commissione Tecnica U N I / C T 0 0 6 , A t t i v i t à p r o f e s s i o n a l i

T M  99 METROLOGIA GENERALE s N . 0 3  ; 2 0 2 2 n o n r e g o l a m e n t a t e , e f o r m a l i z z a t a dalla “Cabina di Regia sulle Professio ni”. In par ticolare, poiché “il QNQ as sume il concetto di competenza quale com pr ovat a capacit à di ut il izzar e, in s i t u a z i o n i d i l a v o r o , d i s t u d i o o n e l l o sviluppo professionale e personale, un insieme strutturato di conoscenze e di abilità acquisite nei contesti di appren dimento for male, non for male o infor male”, come dichiara il Decreto d’isti tuzione del QNQ (Allegato 1, comma 2), il nucleo della nor ma è organizza to in due sezioni: una in cui sono iden tificati i compiti e le attività specifiche

d e l Te c n i c o M e t r o l o g o ( s e z i o n e 4 ) e una in cui, di conseguenza, sono iden tificati i requisiti che il Tecnico Metrolo go deve soddisfare in ter mini di cono s c e n z e ( k n o w l e d g e ) e a b i l i t à ( s k i l l s ) (sezione 5).

L’attività professionale del Tecnico Metrologo è descritta nella norma come un processo iterativo organizzato in quattro fasi, in accordo allo schema di un processo Plan, Do, Check, Act, riferi to sia a un nuovo processo di misura sia a un processo esistente, con l’obiettivo di un miglioramento continuo. Ogni fase richiede lo svolgimento di compiti che possono consistere nella realizza zione di una o più attività, grazie a conoscenze e abilità Nelle tabelle pro poste alle pagine precedenti, tratte dal testo della norma approvato dalla Com missione, per ognuna delle quattro fasi sono elencati i compiti e le eventuali atti vità (mentre per l’elenco delle conoscen ze e delle abilità individuate rimandia mo al testo della norma stessa)È da notare, inoltre, che la norma con tiene due appendici: una, nor mativa,

che ripor ta gli elementi per il processo c o n c u i u n a t e r z a p a r t e a c c r e d i t a t a potrà cer tificare un Tecnico Metrologo, e una, informativa, con riferimenti agli aspetti etici e deontologici che devono essere rispettati dal Tecnico Metrologo nell’esercizio della propria funzione

QUALCHE NOTA CONCLUSIVA

Al momento della pubblicazione di que sto articolo la norma APNR sul Tecnico Metrologo, sviluppata dalla Commissio ne Tecnica UNI/CT 027, Metrologia, dovrebbe essere in fase d’Inchiesta Pub blica Finale e perciò accessibile libera mente al fine di raccogliere eventuali osser vazioni e proposte di cambiamenti da apportare prima di giungere al testo per la pubblicazione ufficiale Con que sto lavoro la Commissione si è posta soprattutto l’obiettivo di contribuire a promuovere il riconoscimento, anche formale, della figura professionale del metrologo Saranno i fatti che seguiran no la pubblicazione della norma a stabi

lire se si è trattato di un lavoro utile: se, cioè, si genererà un interesse da par te dei professionisti e una richiesta, da parte della società, di tecnici metrologi qualificati o certificati in accordo a que sta norma. Se ciò accadrà, è plausibile che nel prossimo futuro assisteremo e, magari, qualcuno dei lettori contribuirà alla diffusione di percorsi di formazio ne per l’acquisizione, il mantenimento e l’aggiornamento delle competenze ne cessarie all’attività professionale del Tecnico Metrologo E potrà anche acca dere che questo sia promosso da una o più associazioni professionali, esistenti o che nel frattempo si saranno costituite: citando ancora una volta la Legge 04/2013 (ar ticolo 2, comma 1), si “ possono costituire associazioni a ca rattere professionale di natura privatisti ca, fondate su base volontaria, senza alcun vincolo di rappresentanza esclusi va, con il fine di valorizzare le compe tenze degli associati e garantire il rispet to delle regole deontologiche, agevo lando la scelta e la tutela degli utenti nel rispetto delle regole sulla concorrenza ”

LA PESATURA

SI PRESENTA

I nuovi video di Cogo Bilance: tradizione e innovazione in mostra

Cogo Bilance è un’azienda per la quale tradizione si traduce in innova zione quando, dall’interpretazione dei segnali ricevuti dal mercato, na scono prodotti e soluzioni innovative Lo dimostrano i più recenti prodotti dell’azienda varesina, che propongo no una sorta di rivoluzione nel mondo della pesatura, fino a trasformare la bilancia in un vero e proprio sistema di controllo integrato Tutto questo pre suppone un’organizzazione azien dale estremamente snella, flessibile, proiettata verso la ricerca & sviluppo, dotazioni tecnologiche e personale ai massimi livelli, in grado di analizzare e soddisfare ogni possibile richiesta della clientela di qualsiasi settore d’at tività Insomma, un cambiamento radicale del modo di lavorare, una rivoluzione organizzativa che la soci

età ha avviato da diversi anni e i cui effetti positivi si stanno evidenziando nei suoi risultati economici. “Abbiamo pensato di far entrare i nostri clienti, attivi e potenziali, nella realtà di Cogo Bilance” , dichiara Fabio Martignoni, CEO dell’azienda, “sfruttando uno strumento ’social’ sempre più diffuso e gettonato, come YouTube Abbiamo, quindi, realizzato alcuni brevi video, ciascuni dei quali presenta, in modo semplice e gradevole, un ambito fon damentale della nostra realtà, sicura

mente influente ai fini del risultato del nostro lavoro”

Ecco i cinque nuovi video proposti da Cogo Bilance, scaricabili qui:

Controllo Accessi; Laboratorio Metrologico; Progettazione e Consulenza;

– Impianti speciali;

– Assistenza e Montaggio

CLICCA QUI per ulteriori informazioni

T M  100 METROLOGIA GENERALE  N . 0 3  2 0 2 2
NEWS t

Metrologia e Contratti

Miglioramento: un PDCA mapping

METROLOGY AND CONTRACTS - PART 25: MEASUREMENT PROCESS AND IMPROVEMENT – A PDCA MAPPING

Twenty fifth paper based on the new GUFPI ISMA guidelines on the proper use of “Principles, Assumptions and Contractual Best Practices” (vol 1, 2016) is about a Plan Do Check Act (PDCA) cycle mapping with the typical activities in the measure ment process for its continual improvement.

RIASSUNTO

Venticinquesimo ar ticolo basato sulle nuove linee guida GUFPI ISMA sul cor retto uso di ‘Principi, Assunzioni e Best Practice Contrattuali’ (vol.1, 2016), relativo alla mappatura delle principali attività del processo di misurazione con le fasi del Plan Do Check Act (PDCA) ciclo di Deming per un miglioramen to continuativo

E c c o c i a l v e n t i c i n q u e s i m o a p p u n t a mento della nostra rubrica, e stavolta parliamo di miglioramento continuati vo del processo di misurazione, consi derando il PDCA (Plan Do Check Act) c i c l o d i D e m i n g . Ve d i a m o m e g l i o d i cosa si tratta

MISURARE PER MIGLIORARE SERVE VERAMENTE?

P a r t i a m o d a l l ’ i n i z i o , o v v e r o s i a d a l l a domanda che molti manager si pongo no durante la gestione di qualsiasi pro g e t t o : d o b b i a m o v e r a m e n t e a v e r e i n p i e d i u n p r o c e s s o d i m i s u r a z i o n e ? Non basta avere un project manager, seguire le linee guida generali per una b u o n a g e s t i o n e d e l l e a t t i v i t à s e n z a doverle “appesantire” con un processo d i m i s u r a z i o n e ? M a l a m i s u r a z i o n e non è già inclusa nel project manage ment?

E la risposta è (ovviamente) no: l’argo m e n t a z i o n e s i p u ò t r o v a r e f a c i l m e n t e c o n s u l t a n d o i p r i n c i p a l i f r a m e w o r k / standard di processo e anche le cer tifi cazioni sulle relative competenze indi viduali.

Par tiamo da alcuni dei principali mo d e l l i d i p r o c e s s o , q u a l i i l C M M I [ 1 ] ,

S P I C E ( e x I S O 1 5 5 0 4 5 , o r a I S O 33060) [2] e il processo ISO di riferi mento (ISO 15939) [3]:

Nel CMMI v2 0, i processi (“practice areas”) relativi al project management s o n o P l a n n i n g e M o n i t o r i n g & Control, mentre quello per la misura z i o n e è E s t i m a t i n g ( i n p r e c e d e n z a “Measurement & Analysis”) e Manag i n g P e r f o r m a n c e a n d M e a s u rement, con differenti obiettivi, chia ramente descritti del documento;

In SPICE (ora descritto dalla famiglia d i n o r m e 3 3 x x x ) , i l P r o j e c t M a n a g e ment è regolato dai processi di Plann i n g ( § 5 4 2 ) e P ro j e c t A s s e ssment and Control (§5 4 3), men t r e l a m i s u r a z i o n e d a l p r o c e s s o d i M e a s u r e m e n t ( § 5 . 4 . 8 ) , a n c h e q u i con obiettivi diversi sebbene la misura zione sia chiaramente a ser vizio della gestione di un progetto

La norma ISO 15939:2017 nasce nel 1999 per meglio specificare quan t o e r a g i à f o r m u l a t o n e l l e n o r m e 1 2 2 0 7 ( c i c l o d i v i t a d e l s o f t w a r e ) e nelle norme 15288 (ciclo di vita dei s i s t e m i ) e r a p p r e s e n t a l o s t a n d a r d d i riferimento a livello internazionale. Per confermare quanto detto nei preceden ti bullet, si distingue dalla norma ISO

21500, relativa al “Project, program me and portfolio management”

Per quanto riguarda le relative cer tifi cazioni individuali, a livello di profes

per la competenza di Project Manager, e la più recente UNI 11621-6:2021 [5], per definire il nuovo ruolo profes sionale relativo alla gestione delle me triche e alla misurazione ICT

Ma tor nando alla domanda nel titolo della sezione, per migliorare le proprie performance ser ve misurare oppure no?

L a F i g 1 p r o p o n e l o “ s c h e m a A B C ” [6], un modello per classificare i requi siti utente in tre tipologie (A Funziona li di prodotto; B Non Funzionali di pro dotto; C Organizzativi/Gestionali)

All’inter no del box ingrandito, è indi c a t a l a s e q u e n z a “ Q ( q u a n t i t à ) → T ( t e m p i ) → C ( c o s t i / c o r r i s p e t t i v i ) ” c h e r a p p r e s e n t a l ’ o r d i n e d e i p a s s i d a seguire, da sinistra a destra:

1 par tendo dalla creazione/gestione d i u n U R ( U s e r R e q u i r e m e n t ) c h e v a “dimensionato” con l’oppor tuna unità di misura (Q Quantità) per ciascuno dei tre flussi ABC;

2 L e q u a n t i t à r a p p r e s e n t a n o l a b a s e per determinare i tempi di lavoro (T) in diversi modi:

2 a) attraverso stime puramente espe rienziali;

2 . b ) c a l c o l a t i d i v i d e n d o l e q u a n t i t à p e r l e p r o d u t t i v i t à r a p p r e s e n t a t i v e d i quel tipo di progetto e combinazione tecnologica;

2 c ) c a l c o l a n d o l ’ i m p e g n o ( e f f o r t ) attraverso i parametri derivati da equa z i o n i d i r e g r e s s i o n e , p a r t e n d o d a u n dataset di riferimento;

Presidente GUFPI ISMA Gr uppo Utenti

Point Italia Italian Software Metrics Association luigi.buglione@gufpi-isma.or g

T M N. 3/22  101
Function
L A M I S U R A D E L S O F T W A R E
Parte 25 – Processo di Misurazione e
s Rubrica a cura di Luigi Buglione – GUFPI-ISMA
s i o n i n o n r e g o l a m e n t a t e , i n I t a l i a , a b b i a m o i n v e c e d u e n o r m e U N I b e n d i s t i n t e : l a U N I 1 1 6 4 8 : 2 0 1 6 [ 4 ] ,

d) incrociando le precedenti modalità e consolidando un valore che (partendo da diversi input) rappresenti una sorta di “minimo comune multiplo” dei valori derivati con i precedenti approcci; 3 I tempi di lavoro (T), oppor tunamen te scomposti secondo ruoli/costi interni seguendo lo schema ABC (es: gli effor t funzionali tipo A sono associabili in u n p r o g e t t o I C T a u n a n a l i s t a / p r o g r a m m a t o r e ; q u e l l i d i t i p o B e f f o r t non funzionali sono invece associabi li a uno specialista di prodotto, sistemi s t a , D B A , … ; i n f i n e q u e l l i d i t i p o C s o n o a s s o c i a b i l i a p r o f i l i g e s t i o n a l i , project/ser vice manager, misuratore, Quality Assurance, ), permettono di derivare una stima dei costi interni che g u i d a a l l a d e t e r m i n a z i o n e d e i C o r r i spettivi finali (applicando un margine

L

Optris (azienda tedesca rappresentata in Italia da Luchsinger s

l) viene utilizzata per misurare in modo accurato la tempe ratura in un intervallo da 20 °C a +900 °C La messa a fuoco è di tipo motorizzato e dispone di una funzione automatica per il monitoraggio dei punti caldi e freddi

p e r c e n t u a l e s u i c o s t i d i p r o d u z i o ne)

Ma se non si misu r a s s e r o l e Q (quantità) di lavo ro con le oppor tu ne unità di misura e si procedesse a u n a s t i m a e s p e rienziale, gli effet ti immediati sareb bero che: non si potrebbe calcolare la produt tività e tantomeno storicizzarla per un suo successivo uso per stimare i succes sivi effor t;

le stime delle par ti contrattuali por te rebbero frequentemente a contraddit t o r i , n o n a v e n d o e l e m e n t i o g g e t t i v i (quantità di lavoro e livello di produtti vità) tali da consentire di concordare in modo più semplice e maggior mente oggettivo l’impegno (e, quindi, il costo/ corrispettivo) corretto per la realizzazio ne dei requisiti di un dato progetto.

MIGLIORARE IL PROCESSO DI MISURAZIONE CON IL PDCA CYCLE

Come si suol dire, non esiste la per fe zione ma vi si può tendere, cercando in modo “continual” (non “continuous”) il

La termocamera Xi 410 è compatta e robusta, pro g e t t a t a p e r l ’ u s o i n d u striale L’alta risoluzione e l ’ a m p i o i n t e r v a l l o d i misura da 20 °C a +900 °C c o n s e n t o n o i l m o n i t o raggio di macchine e im p i a n t i , a n c h e d i g r a n d i d i m e n s i o n i L a f u n z i o n e spotfinder integrata è in g r a d o d i r i l e v a r e a u t o maticamente punti caldi e freddi La termocamera può monitorare fino a tre campi di misura contemporanea mente e in continuo I valori possono esse re trasmessi a un controller per attivare, in c a s o d i s u p e r a m e n t o d e i v a l o r i p r e c o n f i gurati, allarmi, aperture porte, sistemi di

miglioramento nei singoli aspetti di un q u a l s i v o g l i a p r o c e s s o d i p r o d u z i o n e / e r o g a z i o n e M a c o m e m i g l i o r a r e in generale e, in par ticolare, il proces s o d i m i s u r a z i o n e ? E s i s t o n o v a r i a p p r o c c i , m a s i c u r a m e n t e u n o d i q u e l l i più conosciuti e adottati è il cosiddetto P l a n - D o - C h e c k - A c t ( P D C A ) [7], proposto da Edward Deming, uno dei “ guru ” del Total Quality Management (TQM), or mai alla base dei Sistemi di Gestione usati dalle organizzazioni di tutto il mondo (9001, 14011, 20000 1, 27001, …), adattato dall’originale PDSA Plan Do Study Act) [8]. La Fig. 2 ne riassume gli step principali, che sono:

Plan: pianifica le attività da eseguire, determinando l’ambito del progetto da gestire;

Do: esegui le attività pianificate;

Check: verifica l’eventuale correttez za delle attività eseguite e determina le attività correttive/migliorative possibili e/o oppor tune;

A c t : e s e g u i l e a t t i v i t à c o r r e t t i v e / m i g l i o r a t i v e p o s s i b i l i e / o o p p o r t u n e prima della conclusione del progetto I l c i c l o P D C A v a a p p l i c a t o i n m o d o continuativo e iterativo, come indicato nella Fig 3 che descrive la “ruota della q u a l i t à ” ( q u a l i t y w h e e l ) , a i n d i c a r e che, dopo ciascun ciclo PDCA cresce la maturità organizzativa e viene posta u n a s o r t a d i c u n e o a c o n s o l i d a r e l a nuova baseline da cui ripar tire per un nuovo ciclo di miglioramento Considerando il processo di misurazio

raffreddamento o lo spe gnimento

La configurazione dello s t r u m e n t o è s e m p l i c e , grazie al software inclu so PIX Connect

I v a l o r i d i m i s u r a p o s s o n o e s s e r e t r a s m e s

s i t r a m i t e E t h e r n e t o un’interfaccia di proces so (4 20 mA)

N o n è n e c e s s a r i o a l c u n PC aggiuntivo per il fun zionamento in modalità autonoma

CLICCA QUI per approfondimenti sui prodotti Optris

RICHIEDI maggiori informazioni.

Figura 1 La sequenza “Q → T → C”
T M  102 LA MISURA DEL SOFTWARE s N . 0 3  2 0 2 2
TERMOCAMERA SPOTFINDER PER APPLICAZIONI INDUSTRIALI
a t e r m o c a m e r a i n d u s t r i a l e X i 4 1 0 d i
r
NEWS t

ne proposto nella nor ma ISO 15939, la Fig. 4 illustra una mappatura grafica delle quattro fasi del ciclo PDCA sulle sue attività

La raccolta dei dati di effort pianificato e speso per fase PDCA nella MEB (Mea surement Experience Base) come

potrebbe essere ef fettuato in generale su ogni progetto permetterebbe di de terminare nel tempo il giusto bilancia mento percentuale PDCA, volto a un reale “continual im provement” . Par tire dal processo di mi surazione può esse re utile quale pilota per una più ampia applicazione nelle organizzazioni, in distintamente dalla dimensione

ALCUNE CONCLUSIONI ...

“ N o n p u o i c o n t r o l l a r e c i ò c h e n o n misuri” è un vecchio a d a g i o c h e s i p o t r e b b e r i f o r m u l a r e come “ non puoi mi gliorare (in modo efficace ed efficien

t e ) c i ò c h e n o n m i s u r i ” , p e r c h é s i p o trebbero attuare iniziative tese a un mi glioramento, ma mag a r i s p e n d e n d o male il budget stanziato per tali attivi tà

L ’ a p p l i c a z i o n e d i t e c n i c h e d i L e a n

Management alla gestione aziendale p u ò p e r m e t t e r e l ’ i n d i v i d u a z i o n e e r i mozione di sprechi, partendo ad esem pio dall’analisi degli “8 waste” che c o m p o n g o n o l ’ a c r o n i m o DOW NT IME, che consentirebbe di accantonare “ r is er ve ” da inves t ir e in at t ivit à di m i glioramento continuativo Tutto ciò, pe rò, a condizione di attuare regolarmen te e bene un processo di misurazione che a sua volta misuri “quanto” ser va investire Nei prossimi numeri continue r e m o a c o m m e n t a r e u l t e r i o r i a s p e t t i derivati dall’analisi delle nuove “linee g u i d a c o n t r a t t u a l i ” G U F P I I S M A [ 9 ] , cercando di evidenziare come una cor retta applicazione degli aspetti di misu razione permetta a un decision maker di disporre di dati, informazioni e cono scenze (trend) il più possibile oggettivi, utili a prendere decisioni consapevoli che tengano in debito conto anche dei rischi da individuare, gestire e possibil mente prevedere in un progetto.

”Make improvements, not excuses Seek respect, not attention” (Roy T. Bennett)

RIFERIMENTI BIBLIOGRAFICI

[1] CMMI Institute, CMMI v2.0

[ 2 ] I S O / I E C T S 3 3 0 6 0 : 2 0 1 5 , P r o c e s s Assessment Model for Software Life Cycle Processes, March 2020

[ 3 ] I S O

I

C / I E E E 1 5 9 3 9 : 2 0 1 7 S y s t e

d

process, May 2017.

11648:2016

Attività professio nali

regolamentate Project manager Definizione dei requisiti di conoscenza, abilità

competenza

11621-6:2021

Attività profes sionali

Profili di ruolo professionale

delle metriche

Profili

alla

Measuring and Evaluating the NonFunctional Productivity, MetricViews,

August 2012, pp.11 14.

[7] Deming W

Out of the Crisis, MIT Press, 2000 (reprint), ISBN 9780262541152

[8] , The PDSA Cycle, The Deming Insti tute website

[ 9 ] G U

& Best Practice Contrattuali (Vol.1), Feb 2016.

Figura 4 Processo di Misurazione ISO 15939 e fasi PDCA Figura 3 – Ciclo PDCA nel tempo Figura 2 – Dal PDSA al PDCA Cycle
T M  103 LA MISURA DEL SOFTWARE  N . 0 3  ; 2 0 2 2
/
E
m s a n
s o f t w a r e e n g i n e e r i n g M e a s urement
[4] UNI
,
non
e
[5] UNI
,
non regolamentate
per l'ICT Par te 6:
di r u o l o p r o f e s s i o n a l e r e l a t i v i a l l a g e s t i o n e
e
misurazione [ 6 ] B u g l i o n e L , T h e N e x t F ro n t i e r :
I F P U G N e w s l e t t e r, Vo l . 6 I s s u e N o . 2 ,
E ,
F P I I S M A , P r i n c i p i , A s s u n z i o n i

SENSORE DI DEFORMAZIONE OTTICO PER MISURE STATICHE E DINAMICHE DELLA DEFORMAZIONE

I sensori ottici di deformazione FS62 della serie newLight della HBK sono progettati per recuperare facilmente misure di deformazione statiche e dinamiche per l’analisi delle sollecitazioni in materiali, macchine, componenti e altre strutture intelligenti. Con diversi incapsulamenti, materiali e metodi di collegamento, soddisfano i requisiti della misura delle sollecitazioni per testare materiali intelligenti, per il laboratorio e per il monitoraggio strutturale.

Sicuri, robusti e duraturi:

– Tre tipi di protezione cavi: rinforzo in acciaio per ambienti difficili;

– Isolamento elettrico da atmosfere esplosive, aree ad alta tensione e campi elettromagnetici intensivi.

Efficaci anche in ambienti pericolosi:

– Convenienti;

– Fibre a doppio cavo, per collegare un gran numero di sensori

combinati in un unico cavo ottico.

Facile impiego di am pie reti di rilevamento con minor numero di cavi:

– Alta resistenza alla deformazione;

– Sensori prodotti con sistema through-the-coating a femtosecondi per resistere a deformazione e fatica elevate.

Misurazioni precise anche in materiali con elevati livelli di deformazione.

CLICCA QUI per approfondimenti.

RICHIEDI QUI ulteriori informazioni.

MATERIALE DI RIVESTIMENTO PER ESTENSIMETRI RESISTENTE ALL’OLIO

La gomma nitrilica NG 120 della HBK è un materiale di rivestimento marrone a componente unico in tubetto progettato per proteggere le installazioni di estensimetri. L’adesivo solvente è resistente a olio, carburante e plastificante e si polimerizza a contatto con l’aria a temperatura ambiente.

È importante garantire che il punto di misura completamente coperto non venga a contatto con detergenti per estensimetri contenenti acetone (come il 1-RMS1) poiché NG 120 può essere tolto con l’acetone. Il materiale di rivestimento NG 120 per estensimetri può essere conservato a temperatura ambiente (20°C +/– 5°C) per circa 15 mesi (dalla data di spedizione dalla fabbrica). Materiale di rivestimento per estensimetri , costituito da

gomma nitrilica in tubetto Intervallo di temperatura: -40°C ... +120 °C (-40°F ... +248°F)

Applicare direttamente dal tubetto facendolo scorrere, spazzolando o procedendo a riempimento 1-NG120: 1 tubetto da 130 g circa è sufficiente per circa 200 estensimetri.

Acquista il materiale di rivestimento NG 120 per estensimetri dal nostro Shop Online.

CLICCA QUI per approfondimenti.

RICHIEDI QUI ulteriori informazioni.

Come i comprovati trasduttori U10M e C10 , i trasduttori di forza a profilo particolarmente basso della serie U10F, prodotta dalla HBK, utilizzano il principio di misura del trasduttore della forza di taglio per raggiungere la stessa eccellente precisione e ridotto spostamento degli analoghi modelli. Ciò rende le celle di carico U10F adatte all’acquisizione di forza tendenzialmente rapida e dinamica e di forze statiche.

I sensori sono saldati ermeticamente e realizzati in acciaio inox.

I connettori, flangiati sui due lati, consentono un’installazione che semplifica notevolmente il processo rispetto ai sensori con filettature centrali. A questo scopo, HBK offre set di viti con rivestimento di finitura per la protezione dalla corrosione. Il rivestimento, nello stesso tempo, garantisce un coefficiente uniforme e ridotto di frizione, che consente di eliminare la necessità d’ingrassare o lubrificare le viti. Sono diverse le configurazioni pratiche che consentono a U10F, come gli omologhi modelli U10M e C10, di adattarsi ai compiti di misura.

Ecco alcune caratteristiche peculiari dei trasduttori serie U10F:

Precisi

– Precisione del punto di riferimento;

– TCzero di soli 150 ppm/10 K;

– Ridotto errore di linearità (0,035 – 0,05% a seconda della capacità);

– Isteresi estremamente ridotta (0,04 – 0,05% a seconda della capacità)

Robusti e duraturi

– Realizzati in acciaio inox, grado di protezione IP68 (con opzione cavo);

– Elevate riserve di sovraccarico;

– Elevata resistenza alla fatica anche quando l’intervallo di misura è completamente utilizzato in modalità alternata tensione/compressione;

– Vibrazione, urto e CEM testati in conformità con le linee guida internazionali.

Facile da installare e adattabile

– Facile installazione grazie ai collegamenti a vite (serve soltanto una chiave dinamometrica);

– Viti a elevata forza, resistenti alla corrosione disponibili come kit di montaggio (con informazioni dettagliate sui momenti e sulle forze parassita massime);

– Pratiche opzioni di configurazione, ad esempio doppio ponte, diverse opzioni di spine e cavi, TEDS, ecc.

CLICCA QUI per approfondimenti.

RICHIEDI QUI ulteriori informazioni.

DELLA FORZA DI
A
T_M n 104 NEWS s
N.03 n2022
TRASDUTTORE
TRAZIONE-COMPRESSIONE, CON CAPACITÀ DA 50 KN
1,25 MN

gas e la misura... colma

LEGAL AND FORENSIC METROLOGY

This section intends to discuss the great changes on Legal Metro logy after the application of the D Lgs 22/2007, the so called MID directive In particular, it provides information, tips and war nings to all "metric users" in need of organizations that can certify their metric instruments according to the Directive. This section is also devoted to enlighting aspects of ethical codes during forensic activities where measurements are involved Please send all your inquiries to Ms Scotti or to the Director!

RIASSUNTO

Questa rubrica intende discutere i significativi cambiamenti in tema di Metro logia Legale a seguito dell’entrata in vigore del Dlgs 22/2007, altrimenti detto Direttiva MID. In par ticolare, vuole fornire utili informazioni, consigli e ammonimenti a tutti gli "utenti Metrici" che si rivolgono per reperire informa zioni su Enti e organizzazioni notificate per la cer tificazione del loro prodot to/strumento secondo la Direttiva La rubrica tratta anche di aspetti etici cor r e l a t i a l l o s v o l g i m e n t o d i m i s u r a z i o n i l e g a t e a d a t t i v i t à i n a m b i t o f o r e n s e (CTU, CTP). Scrivete all’Avv. Scotti o al Direttore, e verrete accontentati!

La tentazione di scrivere qualcosa sulla tematica del gas e dell’aumento dei prez zi di qualsiasi forma di energia, amplifi cata dal timore di eventuali restrizioni all’uso di gas ed energia che ci rievocano l’austerity del secolo scorso, è stata tal mente forte da superare le mie perplessi tà e da portarmi a scrivere brevi conside razioni sulla misura del gas Partiamo da un concetto di base, incon trovertibile affermato nel DL 135/2009 DECRETO LEGGE 25 settembre 2009, n. 135 “Disposizioni urgenti per l’attua zione di obblighi comunitari e per l’ese cuzione di sentenze della Corte di giusti zia delle Comunità europee ” , convertito con modificazioni dalla L. 20 novembre 2009, n 166: “i sistemi di misura relativi alle stazioni per le immissioni di gas natu rale nella rete nazionale di trasporto, per le esportazioni di gas attraverso la rete nazionale di trasporto, per l’interconnes sione dei gasdotti appartenenti alla rete nazionale e regionale di trasporto con le reti di distribuzione e gli stoccaggi di gas naturale e per la produzione nazio n a l e d i i d r o c a r b u r i n o n s o n o s o ggetti all’applicazione della nor-

mativa di metrologia legale”

Tale normativa, che sottrae al campo applicativo della metrologia legale i siste mi utilizzati per la misura del gas naturale nei “punti d’immissione o di esportazio ne ” , è stata emanata, secondo la relazio ne illustrativa, allo scopo di garantire la messa in commercio (e indi in ser vizio) anche in Italia di contatori che non fosse ro solo volumetrici, per i quali sarebbe stato necessario un iter di approvazione nazionale specifico, tale da determinare un ostacolo al libero scambio di merci. A tale proposito, giova precisare che la nor mativa disposta per i sistemi di misura in oggetto è stata emanata anche al fine di concludere positivamente una procedura d’infrazione, n 2007/4915, intrapresa dall’Unione Europea contro l’Italia e rife rita al divieto d’installazione di strumenti di misura non recanti bolli metrici nazio nali per il settore gas, sebbene conformi a disposizioni europee Allo scopo di fugare ogni dubbio ed evi tare interpretazioni estensive, che avreb bero potuto confliggere con l’esclusione di tale settore dalla metrologia legale, anche nel DM 93/2017 è ribadita l’i

napplicabilità delle disposizioni in esso contenute per gli strumenti di misura del gas (fatta eccezione per i contatori instal lati presso gli utenti finali)

Ora, considerata la granitica affermazio ne del DL 135/2009 che, senza alcuna ombra di dubbio e senza alcuno spazio per manovre interpretative, prevede che la metrologia legale si possa occupare di tutto tranne che di tali sistemi di misura, sorge a questo punto la domanda sponta nea: ci sono norme specifiche, pur sem pre di contenuto metrologico, che regola mentino questo ambito oppure il settore è lasciato al proprio autogoverno confi dando nel fair play degli attori coinvolti? Sul punto viene in soccorso lo stesso DL 135, che impone la successiva adozione di un decreto ministeriale destinato a pre vedere le norme per la realizzazione e la gestione degli stessi sistemi di misura al fine di garantire un elevato livello di tute la Detto decreto ministeriale è emanato nel 2010 (DECRETO del Ministero dello Sviluppo Economico del 18 giugno 2010 Disposizioni per i sistemi di misu ra installati nell’ambito delle reti naziona li e regionali di trasporto del gas e per eli minare ostacoli all’uso e al commercio degli stessi, anche in relazione alla pro cedura d’infrazione n 2007/4915) e, tra le altre disposizioni, fornisce una serie di definizioni tra cui una delle più rilevanti è quella di sistema di misura qualificato come: “il complesso di apparecchiature e degli strumenti installati, anche con fun zione di riser va e controllo, inclusi i siste mi di acquisizione ed elaborazione loca le della misura e le locali apparecchiatu re atte a consentire la telelettura Il siste ma di misura include principalmente i seguenti componenti: (i) le valvole d’intercettazione e le tubazio ni comprese fra valvola d’intercettazione

Avvocato – Foro

a contratto al Politecnico di

veronica.scotti@gmail.com

M E T R O L O G I A L E G A L E E F O R E N S E Il
Un’eccezione alla metrologia legale s Rubrica a cura dell’Avv. Veronica Scotti (www.avvocatoscotti.com)
di Milano Professore
Milano
T M N. 3/22  105

a monte e a valle del misuratore stesso; (ii) il misuratore dei volumi di gas; (iii) il gascromatografo e i dispositivi ad esso associati, dove presenti, ovvero altre apparecchiature di misura della qualità del gas;

(iv) i dispositivi per la misurazione auto matizzata quali, ad esempio, il converti tore di volume (flow computer), il sistema locale di trasmissione dei dati e il registra tore dei dati (data logger)”

Contrariamente a quanto ci si aspettereb be, in considerazione della precisione con cui sono stati identificati e definiti i sistemi di misura del gas, il decreto mini steriale in esame non stabilisce le specifi che dei sistemi di misura, limitandosi ad affermare che essi debbano presentare “caratteristiche metrologiche idonee a consentire tra i soggetti del sistema del gas naturale il negoziato per la presta zione di servizi e la transazione di beni” , oltre che richiedendo la loro conformità alla normativa e alla regola d’arte, atte stata dal titolare dell’impianto, e delegan do ai codici di rete (disposti dalle imprese del settore, in specie l’impresa maggiore di trasporto SNAM Rete Gas SpA) la pun tuale individuazione delle specifiche caratteristiche, funzionalità e modalità di gestione e controllo Infine, allo scopo di consentire un control lo periodico, quanto meno formale, sul regolare esercizio e funzionamento dei sistemi di misura del gas, il decreto preve de a carico dell’impresa maggiore di tra sporto l’elaborazione di un Piano di ade guamento e manutenzione dei sistemi di misura, nonché la redazione di rapporti annuali sullo stato di avanzamento del piano entro il 30 giugno di ogni anno In sostanza, le responsabilità e i ruoli in ordine alle attività di misura del gas sono differenziate, in quanto:

le attività di metering sono assegnate al titolare dell’impianto, che deve adeguar si alle specifiche indicate nei codici di rete (cui si possono aggiungere ulteriori specifiche resesi necessarie per adegua menti, modifiche normative, ecc ) ed effettuare la gestione e controllo del siste ma di misura adottato, incluse le verifiche periodiche e la conferma metrologica, di cui comunica l’esito all’impresa di tra sporto;

le attività di meter reading, da intender si come tutte le operazioni necessarie alla

raccolta, trasmissione, validazione, e ventuale ricostruzione, archiviazione, elaborazione e messa a disposizione ai soggetti interessati dei dati di misura, sono di competenza dell’impresa di tra sporto.

In pratica, il settore è soggetto a una sorta di autoregolamentazione e autogestio ne, pur sempre vigilata da ARERA, dove gli operatori direttamente coinvolti nella transazione economica sottesa alla misu razione sono anche i responsabili delle verifiche del corretto funzionamento Tuttavia le anomalie del settore della misura del gas non si limitano alla sola attribuzione di ruoli e responsabilità, ma riguardano anche un ulteriore aspetto, ovvero i dati del gas non contabilizzato (GNC) che, come mostra il grafico di Fig. 1 (tratto dal documento di ARERA scaricabile QUI), evidenziano una vistosa differenza tra le stime preventive di GNC (quantitativi di gas stimati e riconosciuti in via preventiva alle imprese, come deri vanti da fisiologici errori del sistema, dovuti a varie cause e che si basano su andamenti storici dei consumi annuali) rispetto ai dati effettivi, come risultanti dalle misure effettuate per il consuntivo. Al fine di ricercare la causa di queste rile vanti differenze, ARERA si è rivolta all’im presa di traspor to affinché effettuasse un ’analisi del problema. È quindi emerso che la motivazione più plausibile, a segui to degli approfondimenti condotti, sia da ricondursi alla “errata o obsoleta proget tazione delle linee di misura e/o da una gestione delle stesse non ottimale” . Senza addentrarci nei possibili scenari ai quali questa situazione potrebbe dare ori gine (calcolo dei valori del GNC effettivo, corrispettivi alle imprese, eventuali ulterio ri conguagli per gli utenti di rete, ecc.), ci limitiamo a osservare quanto la misura nel

settore del gas, oltre a essere “orfana” di normativa (di metrologia) legale, è anche fonte di problematiche che determinano impatti sia sugli stessi operatori del settore sia, conseguentemente, sugli utenti. Re centemente, con la Delibera 23 novem bre 2021 512/2021/R/gas, ARERA è inter venuta a ridefinire la materia preve dendo, tra l’altro, incentivi proporzionati al numero di verifiche annuali eseguite dalle imprese di trasporto sugli impianti, al fine di verificarne il corretto funziona mento, anche sul piano metrologico A tale proposito l’Autorità ha definito norme di riferimento e tempistiche per le verifiche che devono essere condotte sui sistemi di misura, in modo che sia garantito il livello di qualità minimo per tale ser vizio, col mando in tal modo eventuali vuoti lasciati dai codici di rete sul punto.

La strada intrapresa con l’emanazione della delibera dell’Autorità disegna un percorso evolutivo del settore, che si è sempre caratterizzato per una sua autore ferenzialità quasi sacrale, utile a consenti re almeno l’individuazione puntuale delle specifiche per i sistemi di misura del gas, sebbene le verifiche restino di pertinenza di soggetti che coltivano un interesse diret to nei flussi Considerata la rilevante entità delle par tite economiche del settore in esame, sarebbe stata (forse) opportuna una riforma più profonda che includesse verifiche di soggetti terzi o condotte con modalità idonee a garantire la partecipa zione anche di soggetti non direttamente coinvolti nelle transazioni relative al gas oggetto di misura ma, tuttavia, è comun que innegabile l’impor tanza di questo nuovo approccio che chiarisce alcuni punti in precedenza poco comprensibili Non ci resta che sperare che l’autunno ormai alle porte non ci riservi troppe sor prese sul fronte dell’approvvigionamento energetico

Anche perché, se ancora una volta si può affermare che, per quanto riguarda i più ba nali principi di metrologia ap plicati alla metrologia legale, in Italia il re è sempre più nu do, sappiamo bene che non sente il freddo Ma noi “suddi ti” rischiamo di sentirlo non poco Speriamo almeno di avere vestiti a sufficienza per coprirci!

Figura 1 Andamento del GNC
T M  106 METROLOGIA LEGALE E FORENSE  N . 0 3  2 0 2 2

THE

Dalle Associazioni Universitarie di Misuristi

ASSOCIATIONS FOR

STEFANO DEBEI CI HA LASCIATI

c o n g r a n d e t r i

t e z z a c h e a p p r e n d i a m o c h e l’amico e collega Stefano Debei ci ha lasciati nel la notte tra il 6 e il 7 a g o s t o . L o r i cordano per noi i c o l l e g h i B o r t o l i no Saggin ed En rico Lorenzini

S t e f a n o D e b e i , p r o f e s s o r e o r d i n a r i o p e r i l S S D I N G I N D / 1 2 p r e s s o l ’ U n i versità degli Studi di Padova, ha dedi cato la maggior par te della sua attività scientifica allo sviluppo di strumenti di misura e sistemi per l’esplorazione spa ziale, a par tire dalla sua tesi di laurea i n c u i s v i l u p p a v a u n m e c c a n i s m o d i guida dello specchio mobile dell’inter f e r o m e t r o d i M i c h e l s o n c a n d i d a t o a r e a l i z z a r e l o s p e t t r o m e t r o d i F o u r i e r per la missione russa Mars ’96 Ma è durante l’attività di dottorato di ricerca prima e di ricercatore poi che h a p a r t e c i p a t o c o n r u o l i s e m p r e p i ù rilevanti alle principali missioni ESA di esplorazione del sistema solare: lo stru mento HASI per Huygens Cassini (mis s i o n e a S a t u r n o c o n g i u n t a N A S A E S A ) , V I RT I S e l a c a m e r a a d a m p i o campo WAC per la Missione ROSET TA Della WAC in par ticolare è stato re sponsabile e vero ar tefice della realiz zazione presso i laboratori del CISAS, una sfida tecnologica e organizzativa

c h e h a p o r t a t o a u n r i c o n o s c i u t o s u c cesso con gli straordinari risultati otte n u t i n e l l a f a s e d i o s s e r v a z i o n e d e l l a cometa.

S i s o n o q u i n d i s u s s e g u i t e u n a s e r i e di par t ecipazioni a s t r um ent i per l ’ e splorazione planetaria: PFS per MARS

E x p r e s s , V I RT I S p e r Ve n u s E x p r e s s e SIMBIO SYS per la missione a Mercu rio “Bepi Colombo”

In quegli anni il CISAS “G Colombo”, centro di ricerca aerospaziale dell’Uni versità di Padova voluto dal Prof. Fran cesco Angrilli in memoria del compian

t o P r o f G i u s e p p e C o l o m b o , ( i l “ B e p i C o l o m b o ” a c u i E S A h a I n t i t o l a t o l a missione a Mercurio), diventava sem p r e p i ù n o t o e r i c o n o s c i u t o a l i v e l l o internazionale e questo sicuramente in grande par te per merito dell’instanca bile e tenace lavoro di Stefano Debei I r u o l i s v o l t i d a l P r o f . D e b e i s o n o p o i diventati sempre più rilevanti: di SIM B I O S Y S h a a s s u n t o l a r e s p o n s a b i l i t à tecnica, così come è stato responsabile del gruppo di strumenti DREAMS per il lander di ExoMars2016. Del CISAS al cui sviluppo ha cosi for temente contri buito è stato anche Direttore dal 2015 al 2021

Numerosi gli incarichi di responsabili t à s v o l t i i n c o m i t a t i d e l l ’ A S I , E S A e l e c o l l a b o r a z i o n i c o n l a N A S A I n o l t r e , da ricordare l’impegno per la nascita e l o s vil uppo del conveg no IEEE Met r o logy for Aerospace e per la creazione d e l l a R e t e I n n o v a t i v a R e g i o n a l e d e l Veneto

Il CISAS, l’Università di Padova, la co

A BRESCIA, DAL 15 AL 17 SETTEMBRE

svolto

Brescia, dal 15 al 1

del Museo di Santa Giulia, il VI Forum d e

tante

Notizie da GMEE e GMMT
T M  107T M N. 3/22  107
ITALIAN UNIVERSITY
MEASUREMENT This section groups all the significant infor mation from the main University Associations in Measurement Science and Technology. RIASSUNTO Questa rubrica riassume i contributi e le notizie che provengono dalle mag g i o r i A s s o c i a z i o n i U n i v e r s i t a r i e c h e s i o c c u p a n o d i S c i e n z a e Te c n o l o g i a delle Misure. m u n i t à s c i e n t i f i c a a e r o s p a z i a l e h a n no perso con Stefano una figura di rife rimento, ma per chi ha avuto il privile g i o d i c o n o s c e r l o e p o s s i b i l m e n t e d i lavorarci assieme, la perdita è, oltre a q u e l l a d i u n t e n a c e e i n s t a n c a b i l e r i c e r c a t o r e , s o p r a t t u t t o q u e l l a d i u n c o m p a g n o s c h i e t t o , s e m p r e p r o n t o a l l a b a t t u t a , a s d r a m m a t i z z a r e o g n i s i t u a z i o n e a n c h e q u a n d o n e s s u n o avrebbe osato farlo. Ciao Stefano, ci manchi e ci manche rai GRANDE SUCCESSO PER IL VI FORUM DELLE MISURE
Si è appena
a
7 s e t t e m b r e , n e l l a p r e s t i g i o s a s e d e
l l e M i s u r e c h e h a r i u n i t o , c o m e è o r m a i t r a d i z i o n e , i l X X X I X C o n g r e s s o Nazionale di Misure Elettriche ed Elet troniche e il XXX Congresso Nazionale di Misure Meccaniche e Termiche Il più impor
evento scientifico na
È
s
Rubrica a cura di Alessandro Ferrero, Paolo Carbone e Nicola Paone (alessandro.ferrero@polimi.it)
S P A Z I O A S S O C I A Z I O N I U N I V E R S I T A R I E M I S U R I S T I s

zionale dedicato alle misure, che da sempre costituisce un momento d’incontro e di fecondo scambio d’idee per tutti i ricercatori e gli esperti italiani operanti nel settore delle Misure, quest’anno ha riscosso il maggior numero d’iscrizioni in assoluto.

Grazie anche al ricco programma scientifico (disponibile sul sito web del Forum ) che, oltre a proporre diverse presentazioni di interessanti risultati di ricerca, organizzate in sezioni congiunte GMEE e GMMT, e sessioni più specialistiche nei due campi delle misure elettriche ed elettroniche e delle misure meccaniche e termiche, ha proposto una tavola rotonda dedicata alle Misure per l’Arte, a testimonianza dell’importantissimo ruolo che la scienza delle misure può giocare nel preservare l’enorme patrimonio artistico italiano.

Anche quest’anno si è tenuta una sessione dedicata alle presentazioni degli sponsor industriali , a voler rimarcare l’importanza delle misure per lo sviluppo industriale e il legame tra i due gruppi accademici GMEE e GMMT e le principali aziende che operano nel settore, ben testimoniato dalla loro costante presenza al Forum.

L’ultima giornata del Fo rum è stata dedicata alle Assemblee dei Soci di GMEE e GMMT, molto partecipate.

Come è ormai tradizione del forum, il programma scientifico è stato completato e arricchito dalle visite ai tesori artistici e monumentali di Brescia e dalle attività sociali, culminate questo anno con la sfarzosa cena sociale alla scenografica Rocca di Lonato. Nel prossimo numero di Tutto_Misure torneremo a parlare del Forum, con un resoconto dei lavori e di quanto discusso nelle Assemblee di GMEE e GMMT.

SI È SVOLTA A SALERNO

LA SCUOLA INTERNAZIONALE DI DOTTORATO

FORMAZIONE METROLOGICA

A DISTANZA

L’edizione 2022 della Scuola Internazionale di Dottorato “Italo Gorini” si è svolta a Salerno, ospitata nel Campus di Fisciano dell’Università di Salerno, dal 5 al 9 settembre.

La scuola, intitolata a Italo Gorini e promossa da GMEE e GMMT, vuole costituire un momento di arricchimento della formazione avanzata nel campo delle misure e della strumentazione e, nello stesso tempo, di rafforzamento delle relazioni personali e scientifiche tra studenti di dottorato e giovani ricercatori.

La scuola affronta sia gli aspetti metodologici di base della scienza e della pratica delle misure, sia aspetti di punta, d’interesse pratico.

Il tema centrale di quest’anno sono state le misure nel settore del cibo e dell’agricoltura. Le lezioni hanno spaziato dalla sensoristica nei vari settori della catena del cibo all’impiego di nuove tecnologie, quali ad esempio i droni, per il monitoraggio ambientale e per il monitoraggio real-time di estese coltivazioni.

Il laboratorio metrologico CIBE, con se de a Legnano (MI), è da anni un punto di riferimento in materia di metrologia tecnica e legale e propone un ricco calendario di corsi di formazione a distanza. I temi trattati sono tutti di forte interesse e attualità, volti a chiarire alcuni concetti legati al mondo della pesatura e degli strumenti per pesare.

Ecco i prossimi appuntamenti programmati per il 2022:

12 ottobre –La scelta di selezionatrici ponderali per le aziende che producono preimballaggi (2 h)

20 ottobre –Bilance e metrologia legale (2 h)

9 novembre –Uso delle masse e requisiti richiesti nei diversi ambiti di metrologia legale o tecnica (2 h)

24 novembre –Selezionatrici ponderali con approvazione nazionale o MID: esempi, documenti, peculiarità (2 h)

9 dicembre –Incertezza di misura: concetti di base (2 h)

14 dicembre –Conferma metrologica di bilance (2 h)

CIBE organizza inoltre corsi di formazione completamente personalizzati, anche in lingua inglese, per rispondere alle esigenze specifiche di ogni cliente.

CLICCA QUI per maggiori informazioni sui prossimi webinar.

Su LinkedIn: sconti speciali riservati ai follower.

“ITALO GORINI”
T_M n 108 N.03 n2022SPAZIOASSOCIAZIONI UNIVERSITARIEMISURISTI n
NEWS s

R O

E

L’energia nucleare: può essere la soluzione alla crisi energetica?

“In natura nulla si crea, nulla si distrugge, tutto si trasforma”

METROLOGY FOR EVERYONE

In this permanent section of the Journal our colleague and friend Michele Lanna, leading exper t in metrology, calibra t i o n , a c c r e d i t a t i o n o f c o m p a n i e s , w i l l d i s c u s s t o p i c s o f interest for the majority of industrial measurement users, in s i m p l e a n d i m m e d i a t e t e r m s , w i t h r e f e r e n c e t o t h e m o s t r e c e n t N o r m s

and to propose other subjects!

RIASSUNTO

In questa Rubrica il collega e amico Michele Lanna, esperto di metrologia, tara tura, accreditamento industriale, discute aspetti d’interesse per la maggior parte degli utenti industriali delle misure, con terminologia semplice e immediata, e facendo riferimento alle più importanti e recenti Norme. Scrivete a Michele per commentare i suoi articoli e per proporre ulteriori temi di discussione!

PREMESSA

N e l l a s e c o n d a m e t à d e g l i a n n i ’ 6 0 , quando ero uno studente della facoltà d’ingegneria, il professore di Tecnolo gie Meccaniche dell’epoca (prof Maz z o l e n i d e l l ’ U n i v e r s i t à d i N a p o l i ) c i diceva che la domanda di energia cre sceva (all’epoca) esponenzialmente di anno in anno. Ciò che era vero allora, in un periodo di grandi trasformazioni e d’impetuosa crescita industriale, con la nascita di nuovi complessi produttivi e con la creazione di aziende che uti lizzavano grandi quantità di energia, è ancor più vero ora, come testimonia no svariate aziende siderurgiche, pe trolchimiche, chimiche, ecc. Erano gli anni ’60, quelli nei quali si sperimenta vano in Italia nuove forme di energia, q u a n d o l ’ e n e r g i a n u c l e a r e s e m b r a v a la soluzione ai fabbisogni di energia, s e n z a p r e o c c u p a r s i d e l t i p o e d e l l e modalità di produzione né tantomeno, s u c c e s s i v a m e n t e , d e l l e m o d a l i t à d i smaltimento delle scorie e dell’impatto che esse potevano avere sull’ambien te. Le illimitate quantità di energia che q u e s t o t i p o d i p r o d u z i o n e s e m b r a v a a s s i c u r a r e r a p p r e s e n t a v a n o l a p a n a cea per risolvere i problemi e assicura r e u n o s v i l u p p o ( n o n s o l o i n d u s t r i a l e )

praticamente illimitato. In quegli anni, i n I t a l i a , s o n o s t a t e r e a l i z z a t e a l c u n e centrali nucleari che dovevano affian carsi a quelle tradizionali, basate sul l’utilizzo di combustibili fossili, garan t e n d o u n ’ a u t o s u f f i c i e n z a e n e r g e t i c a c h e p o n e s s e l ’ I t a l i a i n c o n d i z i o n e d i assicurare uno sviluppo industriale ra p i d o e a c o s t i e n e r g e t i c i p i ù b a s s i r i spetto all’utilizzo di combustibili tradi zionali

Centrali nucleari, quali quelle del Gari g l i a n o , d i L a t i n a , Tr i n o Ve r c e l l e s e e Caorso furono realizzate o avviate in quel periodo. Tuttavia l’entusiasmo e la spinta verso questo nuovo tipo di ener gia subirono presto una battuta d’arre s t o, s ia per l e cr es cent i per pl es s it à di molti (gente comune ed esper ti), legate n o n s o l o a l l a p r o d u z i o n e m a a n c h e allo smaltimento delle scorie e ai relati vi siti da creare Queste crescenti per p l e s s i t à s i s c o n t r a r o n o c o n i p u n t i d i forza del nucleare, a par tire dal costo dell’energia, nettamente più basso di quella prodotta con combustibili fossili, m a a n c h e d a l l a p o s s i b i l i t à d i c r e a r e c o n c e n t r a z i o n i p r o d u t t i v e r i l e v a n t i nelle aree dove maggiore era il fabbi sogno di energia Pur troppo la produ z i o n e d i e n e r g i a n u c l e a r e è s t a t a anche accompagnata da significativi

incidenti nel mondo (Three Mile Island in Pennsylvania, nel 1979, e molto più recentemente Fukushima, che costitui scono gli esempi più famosi), che han n o c r e a t o c r e s c e n t i p e r p l e s s i t à n e l l’opinione pubblica e diviso gli esper ti in favorevoli e contrari.

L o s p a r t i a c q u e è s t a t o c o m u n q u e i l g r a v e i n c i d e n t e d i C h e r n o b y l ( U c r a i na) del 26 aprile del 1986, che ha cau sato mor ti e conseguenze incalcolabili sull’ambiente, anche in Paesi distanti: ad esempio, ricordiamo le conseguen ze verificatesi in Italia, con limitazioni alimentari e non solo Questo incidente h a p o r t a t o l ’ I t a l i a a r i p e n s a r e l a p r o p r i a s t r a t e g i a p r o d u t t i v a d i e n e r g i a elettrica con l’utilizzo del nucleare: nel 1 9 8 7 è s t a t o i n d e t t o u n r e f e r e n d u m abrogativo relativo alla produzione e u t i l i z z o d i e n e r g i a e l e t t r i c a d a f o n t e n u c l e a r e . L a p o p o l a z i o n e i t a l i a n a , a netta maggioranza, ha bocciato il nu cleare, mettendolo fuori legge Vale la pena di ricordare che la produzione di energia nucleare era all’epoca basata sulla fissione nucleare.

M a l e r e c e n t i v i c e n d e c o n n e s s e a l l a g u e r r a R u s s i a U c r a i n a , n o n c h é i p r o gressi scientifici legati alla produzione di energia elettrica utilizzando energia nucleare ci hanno por tato a una ricon siderazione delle possibili fonti di ener gia e alla loro produzione La possibili t à d i u t i l i z z o d e l l a f u s i o n e n u c l e a r e , i n v e c e d e l l a f i s s i o n e , h a c o s t i t u i t o u n grande passo avanti verso la sicurez za In tal senso, anche fonti quali il nu cleare, che sembravano messe “in sof fitta”, hanno riscosso e stanno riscuo tendo nuovo interesse, anche alla luce del l e innovazioni t ecnol og iche e pr o duttive di questi impianti che restringo no significativamente il campo d’azio n e a u n n u m e r o l i m i t a t o d i a z i e n d e ,

Studio Lanna & Associati – Roma info@studiolanna.it

T M N. 3/22  109
Wr i t e t o M i c h e l e t o c o m m e n t h i s a r t i c l e s
M
T
L O G I A . . . P E R T U T T I s Rubrica a cura di Michele Lanna

PER TUTTI s

cioè a quelle che si sono tenute al pas s o c o n u n ’ i n n o v a z i o n e c h e v a l o r i z z i appieno i progressi tecnologici inter ve nuti nel periodo

Certamente realizzare impianti nucleari richiede oggi un particolare know how e l’utilizzo di tecnologie produttive e di controllo spesso sofisticate e fortemente innovative. Le aziende, anche di Paesi diversi, stanno lavorando insieme per rendere concreta questa significativa innovazione, non solo tecnologica Non staremo qui a descrivere le differenze tra la tecnologia del primo e quella del secondo tipo di approccio, per le cui dif ferenze rimandiamo a qualificati testi e a pareri di esper ti C’interessa, invece, inquadrare alcuni aspetti qualificanti e, a tale scopo, abbiamo chiesto a una delle maggiori industrie italiane del setto re, Ansaldo Nucleare spa, di rispondere ad alcune domande

L’inter vista, che qui proponiamo, vede c o m e p r o t a g o n i s t a l ’ i n g . A n t o n i o A q u a ro , H e a d o f Q H S E & N uclear Safety di Ansaldo Nucleare SpA e nasce in un momento molto par ticolare:

da un lato, le conseguenze del Covid 19 hanno condizionato le aziende nei t e m p i e n e i p r o g r a m m i d i s v i l u p p o e crescita tecnologica;

dall’altro, la guerra russo ucraina ha i n f l u e n z a t o , c o n l ’ a u m e n t o e s p o n e n ziale dei prezzi del gas e del petrolio, lo sviluppo di nuove tecnologie, stimo lando la ricerca e l’innovazione, anche attraverso la cooperazione con azien de di altri Paesi

I n q u e s t ’ o t t i c a , p e r t a n t o , q u e s t o è d a considerare come un primo approccio a questo impor tante e strategico tema; c i r i p r o m e t t i a m o d i d a r e s e g u i t o n e i prossimi numeri a queste prime consi d e r a z i o n i , r i p r e n d e n d o i n m o d o p i ù a p p r o f o n i d t o i l t e m a d e l l o s v i l u p p o e utilizzo dell’energia nucleare in Italia.

L’INTERVISTA

I n g e g n e r A q u a ro , p u ò p r e s e ntare Ansaldo Nucleare spa? (da quanto tempo opera, quali prod u z io n i e f fe ttu a , q u a n ti d ip e ndenti ha, in quali mercati opera, quali le sue specificità)

( A . A q u a ro ) Ansaldo Nuclea

r e S p A , i n s i e m e a l l a c o n t r o l l a t a Ansaldo Nuclear L t d ( U K ) , o p e r a c o n i l n o m e d i Ansaldo Nuclear

c o m e u n a " O n e S t o p C o m p a n y " specializzata nel nucleare Con un fat turato di circa 80 milioni di euro per il 2021 (in significativa crescita rispetto all’anno precedente) e una forza lavo ro totale di oltre 400 dipendenti, forni s c e a l i v e l l o i n t e r n a z i o n a l e s e r v i z i d i progettazione, ingegneria, produzio ne, assemblaggio, collaudo, commis sioning, installazione on site e logistica integrata attraverso il suppor to di solu zioni s u m is ur a per l e quat t r o ar ee di b u s i n e s s i n c u i o p e r a : N u c l e a r N e w Built, Fusion, Plant Operation Assistan c e e D e c o m m i s s i o n i n g a n d Wa s t e Management

A n s a l d o h a c o n s o l i d a t o i l p r o p r i o r u o l o d i E P C c o n t r a c t o r g e s t e n d o l a progettazione integrata, le forniture di componenti nucleari e la relativa instal l a z i o n e i n d i v e r s i r e c e n t i p r o g e t t i n e i mercati domestici (Italia, UK) e all’este r o ( A r g e n t i n a , S l o v e n i a , R o m a n i a , F r a n c i a , e c c . ) . C o n 1 . 0 0 0 m e t r i q u a drati di officine e una torre di 30 metri per sperimentazioni, Ansaldo si è dota ta dal 2017 di una capacità manifattu r i e r a d ’ e c c e l l e n z a . I l s i t o d i Wo l v e r hampton contribuisce infatti alla costru zione, assemblaggio e test di macchi ne prototipiche per il mercato e suppor

ta il programma di sviluppo inglese per gli Advanced Modular Reactors, ospi t a n d o i n f r a s t r u t t u r e d i r i c e r c a p e r l a qualifica di nuove tecnologie

A seguito dell’abrogazione della legge relativa alla produzion e d i e n e r g i a e l e t t r i c a d a i mpianti nucleari del 1987 in Italia non si utilizzano più centrali per l a s u a p ro d u z i o n e . I n q u a l i a m b i t i o p e r a o g g i l ’ a z i e n d a i n Italia?

(A. Aquaro) Ansaldo Nucleare si posi ziona come leader della filiera nucleare italiana e in par ticolare in Italia opera con la sua business line dedita al Decom missioning and Waste Management Ansaldo, infatti, è in prima linea nello smantellamento in sicurezza degli impianti nucleari italiani che hanno ope rato a partire dagli anni ’60

La nostra società ha maturato una vasta esperienza nella gestione dei rifiuti nel corso degli anni, con capacità che inclu dono la progettazione, costruzione e messa in ser vizio di impianti per la ridu zione dimensionale, cer nita, deconta minazione dei rifiuti solidi, gestione remota di soluzioni su misura, gru nucleari e dispositivi di movimentazio ne, attrezzature e sistemi di controllo associati per il recupero di componenti attivi dallo stoccaggio in silo. Ansaldo ha sviluppato un notevole set di competenze di smantellamento ed è c r e s c i u t a a t t r a v e r s o l a g e s t i o n e d e l l e o p e r a z i o n i s u l c a m p o , s f r u t t a n d o l a cooperazione strategica con le azien de di smantellamento: attraverso il pro p r i o d i p a r t i m e n t o d i Meccatronica, for nisce p r o g e t t a z i o n e , c o s t r u zione e messa in ser vi z i o d i m a c c h i n e d i taglio e movimentazio n e p e r s o n a l i z z a t e p e r l a d i s a t t i v a z i o n e n u cleare

Ansaldo Nucleare realizza attualmente centrali nucleari che utilizzano una nuova tecnologia: può brevemente illustrarcela?

T M  110
N . 0 3  2 0 2 2 METROLOGIA...

( A . A q u a ro ) P r o g e t t a z i o n e d i i m pianti innovativi sia a fissione (reattore di IV generazione) sia di fusione (ITER, DEMO) Caratteristica comune di que sti tipi d’impianti è l’altissimo standard di sicurezza che dev’essere garantito in tutte le fasi operative degli impianti. La sicurezza è garantita dall’utilizzo di s t r u m e n t a z i o n e e t e c n i c h e a l l ’ a v a n guardia, quali ad esempio strumenta zione radiologica e utilizzo di algorit mi predettivi per la prevenzione degli eventi incidentali

Uno degli aspetti caratterizzanti q u e s t o t i p o d i p ro d u z i o n e è l a sicurezza in tutte le fasi progettuali. Può indicare quali posso no essere le tipologie di controlli peculiari per questo tipo di produzione?

(A. Aquaro) Lavorare alla progetta zione di sistemi di monitoraggio radio logico, chimico, dei rilasci, ambientale rappresenta indubbiamente un aspetto molto qualificante. Quali competenze specifiche son o r i c h i e s t e a c o l o ro c h e e f f e t -

tuano controlli su si stemi così complessi e come Ansaldo Nucleare ha sviluppato tali competenze?

( A . A q u a ro ) F o n d a mentale è la conoscenza delle tematiche di safety

i n t e r m i n i i n g e g n e r i s t i c i e , s o p r a t t u t t o , d e i c o r r i spondenti requisiti detta

t i d a l l e a u t o r i t à d i s i c u

r e z z a n u c l e a r i l o c a l i A n s a l d o N u c l e a r e h a sviluppato tali competen ze lavorando per anni in a t t i v i t à d ’ i n g e g n e r i a e c o n t r o l l o f o r n i t u r e e s u p e r v i s i o n e d e l l ’ a t t i v i t à d ’ i n s t a l l a z i o n e d i s t r u mentazione specialistica n u c l e a r e , i n t e r f a c c i a n d o s i c o n l e a u t o r i t à d i sicurezza locali attraver so i propri clienti Può accennare al sistema di monitoraggio della c o m p e tenza del personale che opera per la produzione di sistemi così complessi?

( A . A q u a ro ) A n s a l d o N u c l e a r e h a d e f i n i t o s p e c i f i c i j o b p r o f i l e p e r tutte le figure che ha inse r i t o n e l l a p r o p r i a o r ganizzazione e per cia scuna risorsa ha stabilito specifici criteri per moni torare le per for mance e valutare il mantenimento de l l e com p et en ze Tu t t o ciò è possibile attraverso corsi di formazione spe c i f i c i e t r a i n i n g o n t h e j o b c o n a f f i a n c a m e n t o di risorse esper te nazio nali e internazionali. P e r q u a n t o c o n c e rn e l e s o l u z i o n i m et ro l o g i c h e m e s s e a p u n t o p e r l a r e a l i zzazione e il controllo di questa nuova tec

nologia, può accennare alle so l u z i o n i p r e d i s p o s t e e m e s s e i n atto?

( A . A q u a ro ) A n s a l d o N u c l e a r e h a dato notevole impor tanza alle soluzio n i m e t r o l o g i c h e , a c o m i n c i a r e d a l l a f o r z a l a v o r o a s s e g n a t a a i c o n t r o l l i m e t r o l o g i c i ( c i r c a 2 0 m e t r o l o g i ) , r e s p o n s a b i l i d i a s s i c u r a r e i l c o r r e t t o a l l i n e a m e n t o . L ’ a z i e n d a s i è a f f i d a t a alla GEATOP srl che, con i suoi tecnici specializzati, offre una vasta gamma di ser vizi legati alle attività dimensionali nel settore del nucleare. D a m o l t i a n n i l a G E AT O P s r l è i m p e g n a t a i n u n o d e i p i ù g r a n d i p r o g e t t i i n t e r n a z i o n a l i , I T E R ( I n t e r n a t i o n a l Thermonuclear Experimental Reactor), p e r l a r e a l i z z a z i o n e d e l To k a m a k , i l c u o r e d e l l a c e n t r a l e n u c l e a r e a f u s i o ne La GEATOP, inoltre, è leader metrologi co dei seguenti progetti:

Va c u u m Ve s s e l : p r o d u z i o n e d e i settori presso i siti di Walter Tosto SpA, M a n g i a r o t t i S p A , B e l e l l i E n e r g y C P E Srl;

T M  111 N . 0 3  ; 2 0 2 2 METROLOGIA... PER TUTTI s

PERTUTTI n

METROLOGIA2022

– Cassette Body: produzione presso i siti di Walter Tosto Spa e SIMIC Spa;

– TAC 2 : assemblaggio del Tokamak presso il sito di I.T.E.R. di Cadarache (FR).

Inoltre l’azienda, pur disponendo di elevata specializzazione e know-how nel campo della fusione nucleare, offre servizi di metrologia applicata anche nel settore del nucleare convenzionale (Fissione), operando sia nell’assistenza diretta alla produzione che nell’assemblaggio e collaudo finale.

Servizi metrologici specializzati su specifiche richieste del cliente e attività di consulenza rivolte in special modo al problem solving.

Le sfide dei metrologi forniscono opportunità nella fissione nucleare, nel settore aerospaziale e nelle applicazioni navali. La combinazione nell’uti-

lizzo di grandi componenti e di alta precisione rendono particolarmente importante e utile il ruolo di I.T.E.R., fornendo un terreno fertile all’innovazione in metrologia. Ansaldo ha un’elevata competenza nelle applicazioni metrologiche, avendo sviluppato e implementato fin dal 2010 progetti nei quali i processi controllati e la precisione millimetrica sono requisiti irrinunziabili. Le collaborazioni esterne che Ansaldo Nucleare ha stabilito assicurano l’accuratezza metrologica necessaria per questo tipo di tecnologia.

CONCLUSIONI

Questa breve testimonianza mette a fuoco applicazioni metrologiche e tecnologiche che sono il frutto di studi,

sperimentazioni e applicazioni in un settore ad alta tecnologia, che onora la nostra industria e la mette continuamente a confronto con le più avanzate realtà industriali straniere. Ancora una volta si conferma l’impegno dei nostri tecnici anche in settori strategici, nei quali la ricerca e le applicazioni realizzate dimostrano l’efficacia dell’impegno italiano.

La competenza richiesta per queste applicazioni è stata la base di partenza per le applicazioni realizzate: l’incremento di know-how ha reso possibile l’adozione di nuovi standard e favorito sperimentazioni in applicazioni diverse.

L’energia è sempre più importante come volano per sviluppare e attuare una crescita in settori nuovi, richiedendo anche nel seguito di proseguire sul cammino dell’innovazione.

t

STRUMENTI DI SIMULAZIONE PER LA MECCANICA STRUTTURALE: WEBINAR GRATUITO

Giovedì 13 ottobre 2022 (ore 14.30-15.30)

COMSOL terrà un webinar gratuito dedicato agli strumenti di simulazione per la meccanica strutturale.

Dalla progettazione di componenti meccanici all’edilizia, dalla geomeccanica

LA “SCOSSA”

QUANDO SCENDI DALLA

MACCHINA: FENOMENO COMPLESSO E INSIDIOSO

A tutti sicuramente è capitato di prendere la scossa scendendo dalla macchina o semplicemente toccando la maniglia di una porta in metallo mentre s’indossavano scarpe in gomma. Questo fenomeno è dovuto all’elettricità statica ovvero all’accumulo di cariche che creano una notevole differenza di potenziale tra due punti. Il valore di tensione può infatti arrivare ad alcune decine di migliaia di volt e, oltre al fastidio percepito, può causare malfunzionamenti e danni alle apparecchiature elettroniche.

alla bioingegneria, fino alle nanotecnologie: l’analisi del comportamento meccanico delle strutture è fondamentale in tutti principali settori produttivi.

Il webinar mostrerà gli strumenti offerti da COMSOL Multiphysics® e dallo Structural Mechanics Module per supportare i

progettisti in fase di modellazione. Vedremo come, oltre a determinare gli sforzi e le deformazioni cui sono soggette le strutture, sia possibile valutare il fattore di sicurezza, considerare carichi stazionari o dinamici, valutare le frequenze naturali ed eventuali instabilità.

Il webinar si concluderà con una live demo: i nostri tecnici realizzeranno un modello in tempo reale e risponderanno a tutte le vostre domande in diretta.

CLICCA QUI per informazioni e per registrarti.

CONSULTA QUI il calendario aggiornato dei webinar COMSOL.

possono interagire in vario modo con le apparecchiature: dall’elevato valore di campo elettrico, con sollecitazione degli isolamenti, alla tensione indotta dal picco di corrente, che si verifica durante la sca rica al fenomeno elettromagnetico radiato.

Si pensi che il picco di corrente dell’impulso di scarica ha il suo valore massimo dopo circa 1 nanosecondo (un miliardesimo di secondo!).

Esiste una norma internazionale, la IEC 61000-4-2 che disciplina la metodologia di prova per riprodurre in laboratorio questo complesso fenomeno dagli innumerevoli effetti elettromagnetici che

Padroneggiare fe no me ni simili implica disporre di elevate conoscenze e di apparecchiature estremamente performanti. Intek spa (Rezzato – BS) è in grado di eseguire queste prove accreditate e supportare il cliente nella ricerca e risoluzione di eventuali problematiche.

CLICCA QUI per ulteriori informazioni.

T_M n 112
N.03 n
...
NEWS

eventi in breve

Segnalazione di eventi d’interesse

2 7 ottobre

3 5 ottobre

11 13 ottobre

12 ottobre

26 28 ottobre

26 28 ottobre

3-5 novembre

14 15 novembre

17 18 novembre

29 novembre 1 dicembre

30 novembre 2 dicembre

5 7 dicembre

12 16 dicembre

17 19 dicembre

15 16 dicembre

17 19 dicembre

Vienna (Austria)

Messina

Dubrovnik (Cavtat Croazia)

Roma Atene (Grecia)

Roma Perugia

Abu Dhabi (Emirati Arabi)

Shangai (Cina)

Palapye (Botswana)

Harbin (Cina)

Genova

Wellington (Nuova Zelanda)

Londra (United Kingdom)

Roma Londra (United Kingdom)

13 18 febbraio

7 10 marzo

26-28 aprile

22 25 maggio

29-31 maggio

6 8 giugno

12-15 giugno

14 16 giugno

19-22 giugno

Orlando, FL (USA)

Lione (Francia)

Napoli

Kuala Lumpur (Malesia)

Milano

Brescia

Roma

Jeju Island (South Korea)

Milano

IEEE International Symposium on Precision Clock Synchronization for Measurement, Control, & Communication (ISPCS 2022)

2022 IEEE International Workshop On Metrology For The Sea

IMEKO TC3, TC5, TC16, TC22 conference

Workshop: Microelettronica per la Salute

Sensors 2022

IEEE International Conference on Metrology for eXended Reality, Artificial Intelligence, and Neural Engineering (MEtroXRAINE 2022)

IEEE International Workshop on Metrology for Agriculture and Forestry (MetroAgriFor 2022)

IEEE International Symposium on Robotic and Sensors Environments (Rose 2022)

IEEE International Symposium on Sensing and Instrumentation in 5G and IoT Era (ISSI 2022)

SmartNets 2022

International Conference on Sensing, Measurement & Data Analytics in the era of Artificial Intelligence (ICSMD 2022)

5th IEEE International Conference on Image Processing, Applications and Systems (IPAS 2022)

Conference on Precision Electromagnetic Measurements (CPEM 2022)

16th International Conference on Computational and Financial Econometrics

XXX AIVELA National Meeting on noncontact or minimally invasive measurement techniques 15th International Conference of the ERCIM WG on Computational and Methodological Statistics

2022 2023

75th AAFS Annual Scientific Conference

International Metrology Congress CIM 2023

IEEE International Workshop on Measurements and Applications in Veterinary and Animal Sciences (MeAVeAS 2023)

IEEE International Instrumentation and Measurement Technology Conference (I²MTC 2023)

IEEE International Workshop on Metrology for Living Environment (MetroLivEnv 2023)

IEEE International Workshop on Metrology for Industry 4.0 & IoT (MetroInd4.0&IoT 2023)

CIRED 2023

IEEE Medical Measurements & Applications Symposium (MeMeA 2023)

IEEE 10th International Workshop on Metrology for AeroSpace (MetroAeroSpace 2023)

SITO WEB

SITO WEB

SITO WEB

SITO WEB

SITO WEB

SITO WEB

SITO WEB

SITO WEB

SITO WEB

SITO WEB

SITO WEB

SITO WEB

SITO WEB

SITO WEB

SITO WEB

SITO WEB

SITO WEB

SITO WEB

SITO WEB

SITO WEB

SITO WEB

SITO WEB

SITO WEB

SITO WEB

SITO WEB

2022-2023
M A N I F E S T A Z I O N I E V E N T I E F O R M A Z I O N E 
T M N. 3/22  113

MASSE, BILANCE E STRUMENTI DI PESATURA SEMPRE PERFORMANTI CON IL SERVIZIO DI TARATURA CIBE

Dal 1983 il laboratorio metrologico CIBE è punto di riferimento in Italia e in Europa nell’ambito della metrologia tecnica e legale. CIBE è accreditata da ACCREDIA come Centro LAT n. 117, in conformità alla norma ISO/IEC 17025:2017 per la taratura e la verificazione periodica di pesi campione, strumenti per pesare a funzionamento non automatico (bilance), selezionatrici ponderali e riempitrici gravimetriche. Il servizio di taratura masse è rapido ed efficiente e viene effettuato in soli 5 giorni lavorativi, garantendo tutti gli standard di qualità e la correttezza delle misurazioni effettuate. Il servizio offerto comprende anche un servizio il calcolo della compatibilità tra le ultime misure di massa e quelle precedenti; in questo modo i clienti dispongono di elementi oggettivi per effettuare autonomamente una valutazione della stabilità nel tempo delle proprie masse e una più consapevole scelta dell’intervallo di taratura.

Grazie all’ampia gamma di soluzioni metrologiche, il laboratorio è in grado di soddisfare le esigenze di svariate tipologie d’azienda: Laboratori di ri cerca e sviluppo – Laboratori di analisi –Aziende metalmeccaniche, chimiche e farmaceutiche – Produttori di strumenti per pesare – Laboratori di taratura – Laboratori di verificazione periodica. CIBE è costantemente impegnata nell’aggiornamento e nella formazione del proprio personale per poter fornire le risposte corrette alle diverse esigenze metrologiche. CLICCA QUI per maggiori informazioni sui servizi di taratura del laboratorio CIBE.

NUOVO LASER TRACKER A LUNGHISSIMO RAGGIO

La divisione Manufacturing Intelligence di Hexagon ha recentemente presentato il nuovo Leica Absolute Tracker AT500 e il relativo B-Probeplus, l’ultimo sistema laser tracker 3D di Hexagon. Dopo il grande successo della serie AT400, la nuova piattaforma AT500 offre prestazioni migliorate, sia per la misura con riflettore sia per quella con tastatore, insieme a un nuovo design del controller integrato alimentato a batteria, una protezione ambientale completa con grado di protezione IP54 e una gamma di temperatura d’esercizio più estesa. L’AT500 è stato pensato come il laser tracker più portatile e robusto della gamma Hexagon: una serie di caratteristiche contribuisce a tempi di configurazione estremamente rapidi, compresa l’unità di controllo integrata nel sistema, una novità assoluta per un Absolute Tracker. Questo nuovo design rappresenta un grande passo avanti nella portabilità, con un cablaggio ridotto al minimo e una configurazione limitata al concetto di plug-and-play. Oltre al fatto che il tracker non ha bisogno di essere tarato o inizializzato su un riflettore prima dell’inizio della misura, questo sviluppo consente al sistema di offrire significativi vantaggi in termini di produttività complessiva e di riduzione del tempo di raggiungimento del risultato. Questo laser tracker di nuova generazione rivoluziona anche la possibilità di misura con il nuovo B-Probeplus. Un aumento dell’angolo d’inclinazione e del volume di lavoro rende il sensore pratico da utilizzare e facile da puntare, con un feedback di connessione in tempo reale visualizzato direttamente sul display di lettura dell’unità del sensore, contribuendo a garantire che i punti siano misurati correttamente fin dal primo clic. E tutto ciò è corredato da una certificazione di precisione in linea con le specifiche ISO 10360-10. “L’AT403 e i suoi predecessori hanno rappresentato una generazione di laser tracker innovativa che ha portato la misura metrologica in settori completamente nuovi nell’ultimo decennio”, afferma Rodrigo Alfaia, Product Manager Absolute Tracker di Hexagon. “Con l’AT500,

abbiamo voluto continuare in questo senso e allo stesso tempo offrire i miglioramenti richiesti dai nostri clienti. Rendere il nostro sensore più semplice da usare è stato un obiettivo chiave per noi, e con il B-Probe plus abbiamo ora un sistema che può fornire enormi vantaggi in termini di produttività e cambiare il modo in cui le persone misurano in ambienti difficili. Il feedback della misura in tempo reale sul sensore fa una grande differenza in termini di fruibilità del sistema: effettuare una misura è diventato molto più facile con questa nuova versione”. Inoltre una temperatura d’esercizio che va da -15 °C a 50 °C permette all’AT500 di fornire risultati accurati ovunque, dalla cima delle montagne alle fonderie. Se si considera il volume di misura leader del mercato, fino a 320 metri di diametro, e l’essenziale protezione IP54 (unica sul mercato dei laser tracker) l’AT500 si distingue come il sistema di misura più robusto per ambienti difficili che vanno oltre i limiti delle applicazioni di produzione quotidiane. L’integrazione con la soluzione HxGN SFx | Asset Management di Hexagon aggiunge affidabilità e portabilità all’ AT500 e rende il sistema ancora più in grado di mantenere le sue promesse di riuscire a “misurare ovunque”, consentendone monitoraggio e gestione da remoto, semplificando la collaborazione tra i team: tutti i membri dei team possono facilmente mantenere una visione d’insieme della situazione di tutti i dispositivi della propria flotta (laser tracker, CMM o bracci di misura portatili) e assicurarsi che tutti siano aggiornati e correttamente tarati e certificati, ricevendo anche avvisi in caso di eventi critici o cambiamenti di stato. Visita la sezione laser tracker del nostro sito web per saperne di più.

SENSORI CAPACITIVI PER MISURE DI SPESSORE SUB-NANOMETRICHE

I sensori capacitivi di Micro-Epsilon (distribuiti in Italia da Luchsinger srl) vengono utilizzati per misurare senza-contatto spostamenti e spessori. La possibilità di raggiungere precisioni sub-micrometriche, anche in ambienti industriali, li rende adatti nel controllo della produzione dei film plastici per batterie.

I sensori capacitivi raggiungono linearità, ripetibilità e risoluzione impareggiabili. Grazie alla loro stabilità alle alte temperature, sono ideali negli ambienti con temperature variabili. Uno dei principali vantaggi dei sistemi capacitivi di MicroEpsilon risiede nella loro compatibilità: possono infatti essere combinati con ogni controller, senza effettuare alcun intervento di taratura. Le diverse interfacce analogiche, Ethernet ed EtherCAT consentono il collegamento a macchine e sistemi complessi.

Le configurazioni possono essere effettuate tramite un’interfaccia web intuitiva.

Misura dello spessore dei film per batterie

Per misurare film per batterie vengono utilizzati due sensori capacitivi, installati specularmente rispetto al target, che forniscono due segnali di distanza ad alta risoluzione, che vengono elaborati direttamente nel controller per ricavare il valore di spessore con precisione sub-micrometrica. Lo spot di misura dei sistemi capacitivi è più grande rispetto a quello generato dai metodi ottici, che calcolano la media di eventuali strutture e anomalie superficiali. L’utilizzo del controller multicanale capaNCDT 6200 consente l’elaborazione di più coppie di sensori con un solo controller. La loro stabilità alle alte temperature li rende adatti anche in presenza di temperature ambienti elevate.

CLICCA QUI per approfondimenti sui prodotti Optris.

RICHIEDI maggiori informazioni.

NEWS s
N.03 2022 T_M  114

M M

Presentazione dei risultati

COMMENTS ON STANDARDS: UNI CEI EN ISO/IEC 17025

A great success has been attributed to this intere sting series of comments by Nicola Dell’Arena to the UNI CEI EN ISO/IEC 17025 Standard.

RIASSUNTO

Prosegue con successo l’ampia e interessante serie di commenti di Nicola Dell’Arena alla norma UNI CEI EN ISO/IEC 17025. In questo numero conti nuiamo a parlare della presentazione dei risultati

FORMULAZIONE DELLA DICHIARAZIONE DI CONFORMITÀ

Al punto 7 8 6 la nor ma affronta l’ar g o m e n t o r e l a t i v o a l l a “ F o r m u l a z i o n e d e l l e d i c h i a r a z i o n i d i c o n f o r m i t à ” . I l p u n t o c o n s i s t e i n d u e p a r a g r a f i , c o n una nota per ogni paragrafo Il primo paragrafo riguarda la regola decisio nale mentre il secondo riguarda il con tenuto della dichiarazione di conformi tà.

Prima di entrare nel dettaglio del requi sito bisogna ricordare cosa significa e c o s a c o m p o r t a e s s e r e u n l a b o r a t o r i o accreditato. L’organismo di accredita mento verifica, valuta e, a conclusione del processo, stabilisce se il laborato rio ha i requisiti per essere accreditato C o n i l r i c o n o s c i m e n t o d e l l ’ a c c r e d i t a m e n t o l ’ o r g a n i s m o d i c h i a r a u f f i c i a l mente che il laboratorio opera in con f o r m i t à s i a a l l a I S O 1 7 0 2 5 s i a a l l a relativa norma o specifica di prova o di taratura.

Mi sembra per tanto alquanto bizzarro c h e i l l a b o r a t o r i o d e b b a d i c h i a r a r e , nel Rappor to/Cer tificato, la conformi tà a una norma o specifica, quando c’è un organismo, abilitato e riconosciuto a livello mondiale, a fare ciò. Quando un laboratorio è accreditato non ser ve l a d i c h i a r a z i o n e d i c o n f o r m i t à , i n quanto già l’accreditamento è una di chiarazione di conformità.

REGOLA DECISIONALE

Il paragrafo 7 8 6 1 ripor ta il seguente requisito: “quando fornisce una dichia razione di conformità a una specifica o norma, il laboratorio deve documen t a r e l a r e g o l a d e c i s i o n a l e u t i l i z z a t a , tenendo conto del livello di rischio ad e s s a a s s o c i a t o ( p e r e s e m p i o e r r o n e a accettazione, erroneo rifiuto, e le ipote si statistiche) e applicare tale regola” .

La norma richiede due cose: documen tare e applicare la regola decisionale È quindi fondamentale, soprattutto per q u e l l i , c o m e c h i s c r i v e , c h e n o n s o n o tecnici, cercare di capire cosa sia una regola decisionale; la nor ma viene in a i u t o , p o i c h é a l p u n t o 3 7 s i t r o v a l a d e f i n i z i o n e : “ R e g o l a c h e d e s c r i v e i n che modo si tiene conto dell’incer tezza di misura quando si dichiara la confor mità a un requisito specificato”

A questo punto si è chiarito che si tratta d e l l ’ i n c e r t e z z a d i m i s u r a , m a l ’ i n t e r o requisito continua a non essere chiaro. Ve d i a m o d i c h i a r i r l o L ’ i n c e r t e z z a d i m i s u r a è a p p r o f o n d i t a m e n t e t r a t t a t a , dalla norma, in un apposito punto Gradirei che qualche tecnico chiarisse questo mio dubbio, in modo da far mi c a p i r e q u a l i r e q u i s i t i a g g i u n t i v i l a norma prescrive a quanto già prescrit to nel trattare l’incer tezza alla quale, g i o v a r i c o r d a r e , s o n o g i à a s s o c i a t e “ipotesi statistiche” .

La norma impiega poi il termine “docu m e n t a r e ” . I n b a s e a l l a d e f i n i z i o n e ripor tata, il termine non appare corret t o , p e r c h é s i d o c u m e n t a u n ’ a z i o n e , n o n u n a r e g o l a . I l t e r m i n e p i ù a p p r o priato da utilizzare sembrerebbe “sta bilire”

C o m e f a i l l a b o r a t o r i o a s t a b i l i r e l a regola decisionale? Semplice In base alle conoscenze tecniche o alla norma, s e e s i s t e , s t a b i l i s c e l a r e g o l a c h e p o i ripor ta nella procedura sull’incer tezza o nella procedura di prova/taratura

La seconda par te è pleonastica e lapa lissiana. È sufficiente applicare la pro cedura e non ser ve alcun commento.

P e r q u a n t o r i g u a r d a l ’ u l t e r i o r e p u n t o “tenendo conto del livello di rischio”, preferisco non fare commenti su argo menti di natura prettamente tecnica, di cui non ho sufficiente conoscenza La nota del paragrafo 7 8 6 1 afferma che “Quando la regola decisionale è d e t t a t a d a l c l i e n t e , d a r e g o l a m e n t i o documenti normativi, non sono neces sarie ulteriori considerazioni sul livello di rischio”

I l p r i m o c o m m e n t o c h e v i e n e s p o n t a n e o f a r e é : p u ò u n c l i e n t e d e t t a r e l a regola decisionale a un laboratorio ac creditato? La risposta è NO Un cliente non può obbligare un laboratorio ac creditato a utilizzare una regola deci s i o n a l e d i v e r s a d a q u e l l a c o n t e n u t a nella procedura approvata dall’orga nismo di accreditamento Diverso è il discorso quando esistano d o c u m e n t i u f f i c i a l i ( r e g o l a m e n t i , n o r me o leggi) nazionali o internazionali, che si applicano a prescindere In que sta situazione, il requisito risulta sem plificato sul livello di rischio

Former: Responsabile Qualità - ENEA Casaccia RETIRED ndellarena@hotmail.it

Dodicesima parte: Contenuto del documento finale
T M  115
C O
E N T I A L L E N O R M E s Rubrica a cura di Nicola Dell’Arena
T M N. 3/22  115

CONTENUTO DELLA DICHIARAZIONE

Il paragrafo 7.8.6.2 prescrive che “il laboratorio deve riportare la dichiara z io n e d i c o n fo r m ità in m o d o ta le c h e essa identifichi chiaramente: a) a quali risultati si applica la dichiarazione di conformità; b) quali specifiche, norme o parti di esse sono soddisfatte o non s o d d i s f a t t e ; c ) “ l a r e g o l a d e c i s i o n a l e applicata (a meno che non sia già con t e n u t a n e l l a n o r m a o n e l l a s p e c i f i c a richiesta)”

L’applicazione del requisito risulta im mediata: è sufficiente ripor tare quanto prescritto. L’alinea a) è corretta, perché nel Rap por to di prova (o nel Cer tificato di tara tura) si possono ripor tare diversi risul t a t i e , q u i n d i , è d o v e r o s o i n d i c a r e a quali risultati si applica la regola. L’alinea b) è anch’essa corretta e basta a p p l i c a r l a ; t u t t a v i a , è d o v e r o s o f a r e una precisazione Il cliente che si rivol ge a un laboratorio accreditato cono sce a priori a quale specifica o norma l a p r o v a / t a r a t u r a r i s u l t a c o n f o r m e È bene, come chiede la 17025, ripor ta r e e i n d i c a r e s e s o l o u n a p a r t e d e l l a norma sia soddisfatta.

L’alinea c) si applica, ma appare con traddittoria in due aspetti Essa prescri ve che, qualora la regola decisionale s i a g i à c o n t e n u t a n e l l a n o r m a , n o n d e b b a e s s e r e r i p o r t a t a n e l R a p p o r t o / C e r t i f i c a t o N a s c e i l p r o b l e m a d i come il laboratorio dovrà compor tarsi con le proprie procedure

Ci sono due metodi: 1) citare la norma; 2) ripor tare nella procedura il contenu t o d e l l a n o r m a È c h i a r o c h e s i a p i ù semplice citare la norma

La seconda contraddizione riguarda la d i c h i a r a z i o n e d i c o n f o r m i t à . C h e necessità c’è di rilasciare la dichiara zione di conformità quando tutto è sta bilito dalla norma, applicata dal labo ratorio secondo procedure approvate dall’ organismo di accreditamento? A mio parere, nessuna

La nota del paragrafo 7 8 6 2 afferma “ per ulteriori inform azioni vedere la guida ISO/IEC 98 4” . La norma è una guida sulla regola decisionale e sulla dichiarazione di conformità Si applica per quel che riguarda la prova/taratura

P O S I Z I O N E D I A C C R E D I A S U L L A DICHIARAZIONE DI CONFORMITÀ

Per i laboratori di prova Accredia pre scrive due requisiti aggiuntivi e una nota, tutti contenuti nel paragrafo 7 8 6 1 Mentre per il paragrafo 7.8.6.2 non pre scrive nulla e ripor ta la solita frase “Si applica il requisito di norma ” Il primo requisito precisa a cosa biso gna riferirsi, e precisamente “il labora torio sia quando riporti dichiarazioni d i c o n f o r m i t à a r e q u i s i t i o s p e c i f i c h e s i a q u a n d o i n d i c h i d e i l i m i t i d i r i f e r i m e n t o , d e v e a s s i c u r a r e d i r i f e r i r s i a d o c u m e n t i v i g e n t i ( i l r i f e r i m e n t o p u ò essere a requisiti cogenti oppure con tra ttu a li): i rife rim e n ti a i d o c u m e n ti in c u i s o n o c o n t e n u t i l i m i t i / s p e c i f i c h e devono essere riportati sul rapporto di prova ” .

Il requisito aggiuntivo chiede di appli c a r e d o c u m e n t i e s i s t e n t i e v a l i d i a l momento dell’effettuazione della pro v a A p p a r e l a p a l i s s i a n o e c ’ è q u i n d i d a c h i e d e r s i s e c i f o s s e r e a l m e n t e l a necessità di precisarlo. È un punto che lascia quanto meno perplessi Il requisito precisa quali siano i docu menti di riferimento: cogenti o contrat tuali. C’era bisogno di precisarlo? Evi dentemente no. Già la nor ma, con la

nota al paragrafo 7.8.6.1, dice la stes sa cosa

I l r e q u i s i t o a g g i u n t i v o p r e s c r i v e c h e i documenti di riferimento siano ripor tati sul rappor to di prova. Giusto e sempli ce anche se la norma non lo chiede.

La nota invita poi a prendere in consi d e r a z i o n e a l c u n i d o c u m e n t i i n t e r n a zionali e precisamente “ per le dichia razioni di conformità si vedano, a tito lo di esempio, i documenti ILAC G8 e EURACHEM/CITAC”

I l d o c u m e n t o I L A C G 8 d e l 2 0 1 9 d a l t i t o l o “ G u i d e l i n e s o n D e c i s i o n R u l e s a n d S t a t e m e n t s o f C o n f o r m i t y ” è u n a norma internazionale sulla Regola De cisionale e una guida sulle modalità di ripor tare la Dichiarazione di conformi t à a s p e c i f i c h e e n o r m e n e l R a p p o r to/Cer tificato.

Il documento EURACHEM/CITAC dal t i t o l o “ Q u a n t i f y i n g U n c e r t a n t y i n Analytical Measurements” è una guida internazionale per calcolare e valutare l’incer tezza di misura

I due documenti sono guide emesse da organismi privati (anche se agiscono a livello internazionale) che non possono a s s u r g e r e a n o r m a , m a c h e p o s s o n o e s s e r e p r e s e c o m e r i f e r i m e n t o E s s i hanno una loro validità e possono es sere utilizzati

L’AFFIDABILITÀ

DEI CONTATTI: CON POCA ENERGIA MAGGIORE ATTENZIONE

L ’ i m p i e g o d i c o n t a t t i p e r a p p l i c a z i o n i in cui correnti e tensioni sono partico larmente basse, come ad esempio l’in gresso di un PLC, accentua varie proble m a t i c h e r e l a t i v e a l l ’ o s s i d a z i o n e e a l l e impurità. Quando la corrente commu tata assume valori di pochi milliampe re, con tensioni di 5 10 Vdc, è facile che un lieve stato di ossido o della sporcizia sui contatti possa dare luogo a una resi stenza inattesa, che genera un malfun z i o n a m e n t o s u l s i s t e m a : a d e s e m p i o , non riuscendo a commutare lo stato di un ingresso P e r g a r a n t i r e l ’ e ff i c i e n z a d e i c o n t a t t i per queste destinazioni d’uso, esiste la

tn o r m a E N 6 0 9 4 7 5 4 “ D i s p o s i t i v i p e r circuiti di comando ed elementi di ma n o v r a M e t o d i d i v a l u t a z i o n e d e l l a p r e s t a z i o n e d e i c o n t a t t i a b a s s a e n e r g i a ” . L a n o r m a i n d i c a p r o v e s p e c i a l i , che dettagliano metodi di prova su ba se statistica atti a valutarne prestazioni e affidabilità. INTEK spa (Rezzato BS) h a r e a l i z z a t o s u p r o p r i o p r o g e t t o u n a p p a r a t o d i t e s t c o n f o r m e a q u e s t a norma in grado di testare varie tipolo gie di contatto, fornendo al cliente un report contenente il tasso di guasto sti mato computato sulla base del modello statistico

CLICCA QUI per ulteriori informazioni

T M  116
COMMENTI ALLE NORME  N . 0 3  2 0 2 2
NEWS

O R

S

T

A E C U R I O S

La storia del Gr uppo Misure Elettriche ed Elettroniche (GMEE)

Settima parte – Gli anni dei segnali deboli

PART SEVENTH: THE YEARS OF SMALL SIGNALS

The paper follows the first six par ts of the histor y of GMEE (Group of Electrical and Electronic Measurements) published on Tutto Misure It refers to the years from 1994 to 1995 relevant to the last two years of Andrea Taroni’s Presiden cy with Mario Savino as secretar y. Those years required many meetings to consolidate the didactic organization following the “Ruber ti Reform ” of the Italian University This is the reason why the seventh par t of this stor y will con cern Andrea Taroni’s Presidency once again

RIASSUNTO

L’ar ticolo è il seguito delle prime sei par ti della storia del GMEE (Gruppo di Misure Elettriche ed Elettroniche) pubblicata su Tutto Misure Fa riferimento agli anni che vanno dal 1994 al 1995, gli ultimi due della presidenza del gruppo da par te di Andrea Taroni con Mario Savino come segretario. Quegli anni furono dedicati al consolidamento dell’organizzazione didattica seguita alla “Riforma Ruber ti” dell’Università italiana e richiesero molte riunioni Que sto è il motivo per cui anche la settima par te di questa storia riguarderà anco ra la presidenza di Andrea Taroni

INTRODUZIONE

C o m e s i è s c r i t t o n e l l a s e s t a p a r t e d i q u e s t a s t o r i a , A n d r e a Ta ro n i f u i l quar to presidente del GMEE, con Mario Savino segretario Gli anni della pr es idenza Tar oni vider o il com pl et a mento della transizione del GMEE dal l’area industriale a quella dell’informa zione e la grande attenzione di tutti i suoi ricercatori allo sviluppo di sensori s e m p r e p i ù m i n i a t u r i z z a t i e i n t e g r a t i nei sistemi di misura Si era nel mezzo d e g l i a n n i ‘ 9 0 d e l s e c o l o s c o r s o , d u rante i quali vi era turbolenza nel Go verno della Repubblica italiana e si eb be una significativa svolta culturale nel GMEE, in quanto la maggior par te dei s u o i c o m p o n e n t i , d a l l ’ i n t e r e s s a r s i d i m i s u r e d i i n t e n s e c o r r e n t i e l e t t r i c h e e alte tensioni, relative prevalentemente a macchine e impianti elettrici, erano passati a cimentarsi con i “segnali de boli” Il sensore conver tiva quasi sem p r e q u a l u n q u e t i p o d i s e g n a l e i n i n gresso, quindi non solo di natura elettri ca ed elettronica, in una debole tensio ne o corrente elettrica, che era misura t a a t t r a v e r s o i l c o n d i z i o n a m e n t o e l a

digitalizzazione per la successiva ela borazione ed estrazione dell’infor ma zione In quegli anni si assistette, dun que, a una sostanziale modifica delle m e t o d o l o g i e d i m i s u r a . S i s t a v a p a s s a n d o d a l l a s e m p l i c e l e t t u r a d i s t r u menti analogici, con la valutazione del relativo errore, alla vera e propria rea lizzazione dello strumento digitale, uti lizzando appositi sensori. Per un misu rista era necessario non solo leggere il risultato della misurazione, ma impara re a valutare quantitativamente il modo in cui il segnale, contenente l’informa zione estratta dal fenomeno in esame, fisico o chimico (e oggi di sempre più svariata natura), si degradasse lungo la catena di misura, in modo da asso c i a r e a l l a m i s u r a l a s u a i n c e r t e z z a . U n ’ a l t r a i m p o r t a n t e t r a s f o r m a z i o n e nell’esecuzione di una misura era do vuta all’impor tanza sempre maggiore che stava assumendo il software nella correzione degli errori sistematici, nel l’elaborazione del segnale e nell’estra zione dell’infor mazione Alcune case costruttrici di strumenti di misura pub b l i c i z z a v a n o i p r o p r i p r o d o t t i c o n l o s l o g a n : “ T h e s o f t w a r e i s t h e i n s t r u

m e n t ” C h i s c r i v e d e n u n c i a v a s p e s s o l’eccessiva fiducia che molti riponeva no negli algoritmi di elaborazione dati per migliorare il risultato, trascurando una necessaria ottimale progettazione della catena di misura che precedeva il m i c r o p r o c e s s o r e . E l e m e n t i i m p o r t a n t i della catena erano i componenti per il precondizionamento del segnale ana logico, per il suo adattamento al siste ma di filtraggio e al conver titore analo gico digitale. Per esempio, esistevano, a prezzi contenuti, amplificatori opera zionali di alta qualità con banda di fre quenza dalla componente continua ai gigaher tz. Molto spesso, però, era ne cessario limitare l’ampiezza di banda sia per ridurre la potenza del rumore in uscita, controllando che ciò non degra dasse la risposta sia dinamica sia stati ca, sia per evitare gli errori di aliasing. Spesso era anche preferibile dotare lo strumento di amplificatori operazionali elimina deriva (prevalentemente termi ca, specie alle basse frequenze, carat teristica delle applicazioni biomedica li), invece di delegare questa funzione al software Essenziale, inoltre, risulta va la corretta scelta dell’ADC (conver ti t o r e a n a l o g i c o d i g i t a l e ) i n b a s e a l l a n a t u r a e a l l e c a r a t t e r i s t i c h e d e l m i s u rando Questo fu il motivo e la ragione, come si scriverà di seguito, della costi t u z i o n e d i u n g r u p p o d i l a v o r o s u g l i A D C n e l l ’ I M E K O T C 4 , p r o m o s s o d u rante il Congresso Mondiale del 1994 a Torino Infine era necessario program m a r e i l m i c r o p r o c e s s o r e N o n o s t a n t e la disponibilità di DSP (D ig ita l S ig n a l Processor) dedicati, dotati di program mi quali per esempio MATLAB, SPICE, LABVIEW, fu necessario studiare e ap p r o f o n d i r e a l g o r i t m i c o m e i l f i l t r o d i K a l m a n , l e t r a s f o r m a t e s i a d i F o u r i e r (nelle sue versioni veloci FFT e dinamiche

Politecnico di Bari mario.savino@poliba.it

Mario Savino
T
I
I
À s T M N. 3/22  117

CURIOSITÀ s

STFT) sia di Hilber t e anche le Wavelet. L’avvenuta rivoluzione informatica nel l’era dell’informazione, insieme con la n e c e s s i t à d i a c q u i s i r e e d e l a b o r a r e i s e g n a l i d e b o l i , a v e v a n o m o d i f i c a t o r a d i c a l m e n t e i l n e c e s s a r i o b a g a g l i o culturale di chi si accingeva a eseguire misure Era indispensabile possedere una molteplicità di conoscenze sia fisi che sia matematiche, sia statistiche sia i n f o r m a t i c h e , e s a p e r l e a p p l i c a r e a quotidiane esperienze in laboratorio Il t u m u l t u o s o p r o g r e s s o t e c n o l o g i c o r i c h i e d e r à n e g l i a n n i s u c c e s s i v i a n c h e u n c o n t i n u o a g g i o r n a m e n t o e u n a m p i o s p e t t r o d i c o m p e t e n z e S i p e n s i , solo per fare un esempio, alle comples s i t à a t t u a l i n e l l ’ a s s i c u r a r e u n a b u o n a a c c u r a t e z z a a l l e m i s u r e l i n e a r i e f f e t tuate tramite i droni. Nel seguito si racconta di quanto avve nuto negli anni 1994 e 1995 e, soprat tutto, dei problemi legati all’istituzione dei diplomi universitari e dei rappor ti con il Consorzio Nettuno

L’IMTC DI HAMAMATSU E LA GIORNATA IN RICORDO DI ITALO GORINI

Dal 10 al 12 maggio 1994 si tenne per t r e g i o r n i , i n o c c a s i o n e d e l d e c i m o anniversario dell’IMTC, una confe renza in Giappone a Hamamatsu, dal t i t o l o “ A d v a n c e d Te c h n o l o g i e s i n Instrumentation and Measurement” . Il G e n e r a l C h a i r m a n f u K e n z o Wa t an a b e d e l l a S h i z u o k a U n i v e r s i t y, c o n Technical Program Co chair il collega R e n a t o S a s d e l l i d e l l ’ U n i v e r s i t à d i Bologna e con molti italiani nell’IMTC Te c h n i c a l P r o g r a m C o m m i t t e e . S u u n totale di 403 ar ticoli pubblicati nei Pro ceedings trentaquattro (l’8,5%) erano di colleghi appar tenenti alle seguenti unità territoriali del GMEE: 10 Milano; 7 N a p o l i B e n e v e n t o C a s s i n o S a l e r n o (frutto della collaborazione fra gli auto ri delle sedi citate); 5 Bologna Firenze; 3 L’Aquila Palermo; 2 Bari; 2 Brescia; 2 Cagliari Torino; 2 Trieste; 1 Pavia. È d a s o t t o l i n e a r e s i a i l p r e m i o r i c e v u t o da Carmine Landi per l’ar ticolo da l u i p r e s e n t a t o a l l a c o n f e r e n z a , s i a l’ampio spazio dedicato ai sensori con sessioni speciali su: Sensori e loro fu

sione; Sistemi di sensori ibridi e tolle ranti ai guasti; Elaborazione resiliente per strumentazione e sensori distribuiti in ambienti ostici

A Como, a Villa Olmo, nel mese di giu gno 1994, si tennero una serie di riu nioni in successione, la più impor tante d e l l e q u a l i f u l a g i o r n a t a d i S t u d i o i n r icor do di It al o Gorini pr ecedut a da un Consiglio Scientifico (CS) del GMEE e s e g u i t a d a l l a X I I I G i o r n a t a d e l l a Misurazione (GdM) Il pomeriggio del 21 giugno 1994 si riunì la sottocomm i s s i o n e d i d a t t i c a . S i f e c e u n a d i s a m i n a d e l l e s e d i c h e a v e v a n o n e l C o r s o d i L a u r e a ( C d L ) i n I n g e g n e r i a e l e t t r o n i c a i n s e g n a m e n t i d i m i s u r e , tenuti da docenti non appar tenenti al GMEE. Se ne contarono almeno dieci e s i d i s c u s s e s e f o s s e i l c a s o o m e n o d’invitare alcuni colleghi che tenevano questi corsi a frequentare anche i con g r e s s i G M E E , c o m e C a r l o M o r a n d i di Parma e Umber to Pisani di Torino, e ad aderire al raggruppamento Misu r e E l e t t r i c h e e d E l e t t r o n i c h e ( a l l o r a K10X) Domenico Mirri, responsabile del s ot t og r uppo “ coor dinam ent o pr o grammi”, costituito, insieme con lui, da Giovanni Betta, Massimo D’Apuzzo e Carlo Offelli, relazionò sui risultati del loro lavoro Propose per “Misure Elettriche” del CdL in Ingegneria Elet trica il programma che Arnaldo Brand o l i n i , i n s i e m e c o n M a r i o S a v i n o , aveva adottato e che riprendeva molto d e l t e s t o d i G i u s e p p e Z i n g a l e s . P e r “ M i s u r e E l e t t ro n i c h e ” f e c e r i f e r i mento al programma di Elio Bava al Politecnico di Milano Per la statistica nella teoria degli errori citò le sedi di Firenze (Gaetano Iuculano) e Tori no (Ernesto Arri). Le unità GMEE con il più elevato numero di insegnamenti di misure erano risultate Milano e Torino e n e e l e n c ò t i t o l i e d o c e n t i P e r i l p r o gramma di “Strumentazione Elettronica di Misura ” propose quello tenuto da Felice Cennamo a Napoli e d a M a s s i m o D ’ A p u z z o a S a l e r n o , mentre per “Misure per l’Automazione e la Produzione Industriale” quello di Franco Ferraris a Vercel li, in par te integrato con quello tenuto da Luigino Benetazzo a Padova Per “Sensori e Trasduttori” raccoman dò quello tenuto da Andrea Taroni a

Brescia, simile a quelli impar titi da An drea De Marchi a Torino e Stefano Pirani a Bologna, in par te differente d a q u e l l o t e n u t o a P a d o v a d a C a r l o Offelli. Per “Misure e Collaudo di Macchine e Impianti Elettrici” pro p o s e q u e l l i d i M a s s i m o D ’ A p u z z o , Renato Sasdelli e Mario Savino che erano abbastanza simili tra loro. Infi ne, per “Misure per l’Automazione e la Produzione Industriale” f e c e r i f e r i m e n t o a q u e l l o d i A n d r e a Bernieri a Cassino, leggermente dif ferente dall’omologo tenuto da Nicola P i t ro n e a C a t a n i a . G i o v a n n i B e t t a invece relazionò sull’anagrafe dei testi didattici nel campo d’interesse del GMEE Erano stati raccolti 71 titoli t r a s t r a n i e r i e i t a l i a n i d e i q u a l i 3 1 d i autori afferenti al GMEE, annoverando tra questi anche Barbagelata, Dore, Modoni e Regoliosi Per il corso di misure per il diploma in teledidatti c a , c h e l a R A I a v r e b b e m a n d a t o i n onda a ottobre di quell’anno, i colleghi Ferraris, Offelli e Taroni accettaro no la proposta di farsi carico della regi strazione. Al mattino del 22 giugno si tenne il CS G M E E Ta ro n i c o m u n i c ò c h e M a r i o R i n a l d i e r a s t a t o e l e t t o n e l c o m i t a t o d’Ingegneria del CNR Come ricorde rà il lettore che ha avuto la bontà di leg gere le par ti precedenti di questa sto ria, l’elezione fu possibile per l’appog gio dei colleghi elettrotecnici, impianti s t i e m a c c h i n i s t i e l e t t r i c i . Q u e s t a e v e nienza aveva permesso il loro riavvici namento al GMEE dopo le incompren sioni legate alla loro esclusione dall’A rea dell’Informazione I presidenti dei g r u p p i e l e t t r i c i d e l C N R a v e v a n o a n che apprezzato la proposta del Diplo m a s u l l a Q u a l i t à , c h e Ta r o n i a v e v a inviato loro Per rinsaldare questa col laborazione, non dimenticando le ra dici elettrotecniche di molti componenti del GMEE, Mario Rinaldi e Mario Savi n o a v r e b b e r o p a r t e c i p a t o a l u g l i o a due riunioni annuali dei suddetti grup p i . P e r l a r i s t r u t t u r a z i o n e d e i g r u p p i CNR la situazione risultava ancora ne b u l o s a e s i c h i e s e a M a r i o R i n a l d i d i tenere aggior nato il GMEE sulle deci sioni che si andavano assumendo Tut t o i l c o n s i g l i o G M E E s i c o m p l i m e n t ò con Franco Ferraris e Sergio Sar tori

T M  118 N . 0 3  2 0 2 2 STORIA E

che avevano curato un libro di raccolta d e g l i s c r i t t i p i ù s i g n i f i c a t i v i d i I t a l o Gorini Il libro, intitolato “Italo Gorini: S e l e z i o n e d e l l e o p e r e d a l 1 9 6 2 a l 1 9 9 3 ” , c o n t i e n e s i a u n a b e l l i s s i m a i n t r o d u z i o n e d i F e r r a r i s e S a r t o r i , s i a un sintetico curriculum vitae di Italo con una documentazione delle attività svol te, sia una scelta di venti tra le sue pub b l i c a z i o n i . S a r t o r i , i n o l t r e , c o m u n i c ò che le memorie presentate alla giorna ta in ricordo di Italo, che si sarebbe te nuta di lì a poco, sarebbero state pub blicate sulla nuova rivista “De Qualita te” con trentamila copie di diffusione. Inoltre, erano previsti due premi intito lati a Italo, da assegnare in occasione del congresso mondiale IMEKO, che si s a r e b b e s v o l t o a s e t t e m b r e a To r i n o . G i u s e p p e Z i n g a l e s G e n e r a l C h a i r man del suddetto congresso manifestò la sua soddisfazione per la numerosa prevista par tecipazione inter naziona le all’evento da par te di esper ti prove n i e n t i d a t u t t o i l m o n d o ( c o n g i à 3 6 0 memorie arrivate) Il maggior numero di memorie era inerente al campo delle m i s u r e e l e t t r i c h e e d e l e t t r o n i c h e , c o n riferimento al comitato TC4 IMEKO, di cui, il lettore ricorderà, Italo era stato D e p u t y C h a i r m a n La manifestazione s i s a r e b b e t e n u t a a l L i n g o t t o , c h e a v e v a g i à c o m p l e t a t o l a l o g i s t i c a . S i passò quindi all’esame delle indagini condotte dalla sottocommissione didat tica, in cui si fece la sintesi di quanto e s p o s t o p r e c e d e n t e m e n t e . G i u s e p p e Zingales, par ticolar mente interessa to all’argomento, propose di organiz zare un evento dal titolo “Cultura del l’allievo di Misure”, in cui esporre quali per il GMEE dovevano essere i conte nuti minimi dei singoli insegnamenti di Misure Sarebbe stato oppor tuno che all’incontro ci fosse la presenza dei col l e g h i n o n a p p a r t e n e n t i a l g r u p p o , quindi di altri raggruppamenti, che te n e v a n o c o r s i c o n c o n t e n u t i d i n a t u r a misuristica Inter venne poi il rettore del libero istituto università Carlo Cattaneo (LIUC) con sede a Castellanza, Camillo B u s s o l a t i , c h e d i e d e l a n o t i z i a d e l bando nella sua università di un posto d i r i c e r c a t o r e i n M i s u r e E l e t t r i c h e e d Elettroniche per il diploma universitario i n I n g e g n e r i a G e s t i o n a l e . B e n e t a zzo, infine, si soffermò sulla ripar tizione

d e i f o n d i P R I N , M U R S T 4 0 % , c h e a v r e b b e s e g u i t o l a s t e s s a l o g i c a d e g l i anni precedenti con una quota minima compresa tra i dieci e i tredici milioni di l i r e p e r s e d e , m e n t r e i l r i m a n e n t e s a r e b b e a n d a t o p e r i l 6 0 % a l l e s e d i d i Bari, Brescia e Firenze, per il restante 40% a Cassino, L’Aquila e Padova Sempre a Villa Olmo il pomeriggio del 22 e la mattina del 23 giugno si tenne la giornata di studio sul tema “Misure e qualità per i prodotti e i ser vizi” in ricordo di Italo Gorini, organiz zata da Franco Ferraris e Sergio Sar to ri. Dopo una breve e commossa com memorazione di Italo da par te di Taroni e Savino si passò alle relazioni invitate con gli inter venti di: Giovanni M a t t a n a ( L ’ E u r o p a p e r l a q u a l i t à ) ; S e r g i o S a r t o r i ( L a r i f e r i b i l i t à p e r l a q u a l i t à ) ; M a r i o R i n a l d i ( Q u a l i t à e didattica); Luigino Benetazzo (Scien za e tecnica della misurazione per la produzione di beni e ser vizi); Stefano Torre (La conoscenza come base per l ’ a z i o n e d i m i g l i o r a m e n t o : i l s i s t e m a informativo DEA); Stefano Re Fiorentin ( Met odol og ie di ot t im izzazione e robust design); Enzo Corda (La valuta z i o n e d e l l a c o n f o r m i t à ) ; G a e t a n o Iuculano (La misura della qualità nei s e r v i z i d i a s s i s t e n z a s a n i t a r i a ) ; A n t o n i o L a n g e l l a ( L a q u a l i t à d e l s o f t w a re); Saverio D’Emilio (La misura della q u a l i t à n e i l a b o r a t o r i d i r i c e r c a ) L a s e r a t r a i l 2 2 e i l 2 3 s i t e n n e l a c e n a sociale presso il ristorante ubicato nel parco di Villa Olmo. L’attivo della gior nata fu devoluto all’Associazione “Ar chincielo” presso la quale Italo svolge v a o p e r a d i v o l o n t a r i a t o A l t e r m i n e dell’evento in ricordo di Italo, i par teci panti furono invitati a seguire la Gior n a t a d e l l a M i s u r a z i o n e ( G d M ) c h e s i svolse nel pomeriggio e alla quale Italo era molto legato, in quanto rappresen tava uno dei pochi momenti d’incontro t r a m i s u r i s t i d i d i v e r s a e s t r a z i o n e . L a GdM rientrava quindi nel suo progetto d i u n ’ u n i c a a s s o c i a z i o n e d o v e c o n fluissero tutti coloro che in Italia si inte ressavano allo sviluppo delle Misure. La XIII GdM si tenne Como, dal 23 al 24 giugno 1994 I temi in discussione f u r o n o i n t r o d o t t i c o n l e s e g u e n t i r e l a zioni: Gli strumenti intelligenti e l a l o ro t a r a t u r a ( L . B e n e t a z z o , L .

Mari, S. Sar tori, G. Zingales); Intro d u z i o n e e a n a l i s i c r i t i c a a l l a " G u i d a a l l ’ e s p r e s s i o n e d e l l ’ i ncer tezza nella misurazione" (W Bich, D. Costantini, G. Iuculano, L. Go nella, G.B. Rossi). Il dibattito fu molto interessante incentrato prevalentemen te sulla GUM (Guide to the expession of Uncertenty in Measurement) pubbli c a t a n e l 1 9 9 3 c o n g i u n t a m e n t e d a BIPM, IEC, IFCC, ISO, IUPAC e OIML e della quale Walter Bich stava curando per UNI e CEI la versione italiana La GUM aveva avuto il grande merito di a b b a n d o n a r e d e f i n i t i v a m e n t e l ’ a p proccio deterministico alla valutazione dell’incer tezza a favore di uno proba bilistico Nonostante il riconoscimento del merito della GUM, non mancarono le critiche sia all’ approccio frequenti sta della probabilità, sia alla distinzio ne di incer tezze valutate con due meto di diversi denominati A e B. Fu eviden ziata una chiara carenza dal punto di vista teorico nella GUM Sia Costant i n i s i a I u c u l a n o s o t t o l i n e a r o n o c o me una impostazione di tipo bayesia no (impiegando il postulato di Bayes: pr incipio del l e pr obabil it à com pos t e) avrebbe potuto unificare i due metodi A e B d i v a l u t a z i o n e d e l l ’ i n c e r t e z z a , e v i t a n d o l e l i m i t a z i o n i p r e s e n t i n e l l a GUM. Cunietti non trascurò nel dibat tito gli aspetti epistemologici dell’incer tezza oltre a quelli tecnici Fece riferi mento a scambi epistolari con Barone, che aveva affrontato il tema in pre cedenti GdM. Pose il problema dell’e ventuale connessione o dicotomia tra l’incer tezza nella misurazione e quella generale metafisica, relativa al mondo e a l b i s o g n o d i c e r t e z z e d e l l ’ u o m o .

D a t a l a r i l e v a n z a d e i t e m i t r a t t a t i e della discussione a essi relativa, tutta la documentazione fu raccolta negli “Atti della XIII Giornata della Misurazione

D i s c u s s i o n i s u g l i s t r u m e n t i d i m i s u r a intelligenti e sull’espressione dell'incer tezza nella misurazione”, a cura di M Cunietti e L Mari, edita da Città Stu di, Milano, 1995.

L ’ 8 a g o s t o 1 9 9 4 f u p u b b l i c a t o s u l l a Gazzetta Ufficiale il DPR che, ai sensi dell’ar t 14 della legge 19 novembre 1 9 9 0 , n 3 4 1 i n d i v i d u a v a i s e t t o r i s c i e n t i f i c o d i s c i p l i n a r i d e g l i i n s e g n a m e n t i u n i v e r s i t a r i . E r a u f f i c i a l i z z a t a

T M  119 STORIA E CURIOSITÀ s N . 0 3  ; 2 0 2 2

Automatica

K05A Sistemi di elab

d

l l e i n f o r m a z i o n i ; K05B Informatica; K05C Cibernetica; K06X Bioingegneria elettron i c a ; K 1 0 X M i s u r e e l e t t r i c h e e d elettroniche. Finalmente era stabilito il passaggio del GMEE nell’Area del l ’ I n f o r m a z i o n e L e c o n s e g u e n z e s i ebbero non solo nell’ambito del Mini s t e r o d e l l a U n i v e r s i t à e d e l l a R i c e r c a Scientifica e Tecnologica (MURST), ma a n c h e d e l C o n s i g l i o N a z i o n a l e d e l l e Ricerche (CNR) come meglio sarà chia rito nella ottava par te di questa storia

IL CONGRESSO MONDIALE IMEKO DI TORINO

L ’ o r g a n i z z a z i o n e d e l X I I I I M E K O World Congress, che si tenne a Torino d a l 5 a l 9 s e t t e m b r e 1 9 9 4 c o m p o r t ò una lunga fase preparatoria da par te sia dell’allora presidente IMEKO, Giu seppe Zingales, sia del Chairman del Congresso, Athos Bray, sia dei coor d i n a t o r i d e l c o m i t a t o s c i e n t i f i c o i n t e r nazionale, Luigino Benetazzo e Ser gio Sar tori. È da sottolineare che del c o m i t a t o o r g a n i z z a t o r e f a c e v a n o par te anche i due Istituti metrologici ita liani (Gustavo Colonnetti e Galileo Fer r a r i s ) , e i g r u p p i d i c o o r d i n a m e n t o C N R “ M i s u r e e l e t t r i c h e e d e l e t t r o n i c h e ” e “ M i s u r e m e c c a n i c h e e t e r m i che” Fu quella un’impor tante occasio ne d’incontro che ser vì a rinsaldare il rappor to tra i due istituti e i due gruppi d e l C N R . O l t r e a u n f i t t o s c a m b i o d i messaggi, la selezione dei lavori per v e n u t i s i c o n c l u s e c o n u n a r i u n i o n e indetta da Zingales a Torino presso il C o l o n n e t t i i n d a t a 2 3 o t t o b r e 1 9 9 3 . Durante il congresso furono organizza te dieci interessanti tavole rotonde e le riunioni dei diciassette Comitati Tecnici (TC). I 623 ar ticoli accettati, suddivisi in sessioni sia orali sia a poster, furono raccolti in tre volumi A testimonianza d e l l a v o r o s v o l t o n e l T C 4 d a I t a l o Gorini sta l’elevato numero di ar ticoli (93) giunti nell’ambito di quel comita t o , r e l a t i v o a l l a m i s u r a d i g r a n d e z z e

elettriche, con una notevole par tecipa zione dei componenti del GMEE Tra i t a n t i a r t i c o l i d i a u t o r i i t a l i a n i p i a c e ricordar ne uno “M e a s u r e m e n t d a y in Como: An Italian Experience” (autori: M . C u n i e t t i , L . M a r i , D . C o s t a n t i n i L . G o n e l l a , M S a v i n o ) , c h e p e r m i s e d i far conoscere a livello inter nazionale l ’ i m p o r t a n z a d e l l a G i o r n a t a d e l l a Misurazione e stimolò la nascita di una giornata mondiale dedicata alle misu re È dall’inizio degli anni 2000 che è stato istituzionalizzato il World Metro l o g y D a y , o r g a n i z z a t o d a l B u r e a u I n t e r n a t i o n a l d e s P o i d s e t M e s u r e s e d a g l i I s t i t u t i m e t r o l o g i c i d e l m o n d o , l’INRiM per l’Italia È un evento annua le che si tiene il 20 maggio, data scelta per ricordare la firma della Convenzio n e d e l m e t r o c h e a v v e n n e i n q u e l l a data del 1875 e che sancì formalmen te l’inizio della collaborazione interna zionale per la definizione e l’aggiorna mento del Sistema Internazionale delle unità di misura Durante il XIII IMEKO World Congress, oltre ai pranzi e alle cene furono orga nizzati un concer to per violino e piano f o r t e , l a v i s i t a a l M u s e o E g i z i o e u n a gita sul lago Maggiore Il premio intito l a t o a I t a l o G o r i n i f u c o n s e g n a t o a d u e r i c e r c a t o r i , u n o p o l a c c o e l ’ a l t r o b u l g a r o , v i n c i t o r i a p a r i m e r i t o , d a l p r e s i d e n t e d e l T C 4 I M E K O A d a m Fiok, durante la cerimonia di chiusura che si tenne nel Museo dell’automobile

“ C a r l o B i s c a r e t t i d i R u f f i a ” . D u r a n t e i lavori del World Congress si svolse an che una impor tante riunione del TC4 Fiok propose tre nuovi membri che por tarono nuovo lustro al Comitato: Linus M i c h a e l i d a l l a S l o v a c c h i a , S a b i n Ozgul dalla Turchia e Antonio Serra dal Por togallo È interessante, inoltre, sottolineare che nel corso della riunio ne la commissione accolse la proposta avanzata da Linus Michaeli (assente) e per suo conto da Pasquale Daponte d i o r g a n i z z a r e u n Wo r k s h o p s u l l'ADC a Slomenice Inizialmente il tito lo doveva essere “ADC Modelling and Vi r t u a l I n s t r u m e n t a t i o n ” , m a i l T C 4 decise di cancellare le ultime due paro l e p e r l i m i t a r e i t o p i c d e l W o r k s h o p alla conversione analogica digitale e alla sua inversa. Quello fu l’inizio della f o r m a z i o n e d i u n g r u p p o d i l a v o r o

s u g l i A D C ( I M E K O T C 4 W o r k i n g Group on Analog to Digital & Digital to A n a l o g C o n v e r t e r s ) c h e e b b e r i c o n o scimenti internazionali e, con il contri buto non solo di Linus Michaeli e Pas q u a l e D a p o n t e , m a a n c h e d i H a r a l d Schumny e Pasquale Arpaia, por tò a l l a a p p r o v a z i o n e d i u n a p p r e z z a t o “A European Project for a proposal of A D C S t a n d a r d i z a t i o n ” , m a q u e s t a è storia ancora a venire N o n o s t a n t e l a f i t t a a g e n d a d e l C o n g r e s s o M o n d i a l e , i c o l l e g h i t o r i n e s i , Franco Ferraris, Sigfrido Leschiutta e S e r g i o S a r t o r i , r i u s c i r o n o a o r g a n i z z a r e u n a s e r i e d i m a n i f e s t a z i o n i aggiuntive a quelle del congresso: riu nione della sottocommissione didattica la mattina del 5 settembre; concer to di musica classica con strumenti d’epoca p r e s s o l a c h i e s a d e l l o S p i r i t o S a n t o (con Leschiutta tra i concer tisti), seguita da una cena presso il ristorante “San Giors”, la sera del 6 settembre; Consi g l i o S c i e n t i f i c o ( C S ) e A s s e m b l e a GMEE la mattina del 7 settembre Sia c o n s e n t i t o r i c o r d a r e c h e S i g f r i d o L e s c h i u t t a , o l t r e a d e s s e r e s t a t o u n f a m o s o r i c e r c a t o r e u n i v e r s i t a r i o n e l c a m p o d e i s e g n a l i t e m p o f r e q u e n z a ( p r e s i d e n t e s i a d i v a r i e c o m m i s s i o n i i n t e r n a z i o n a l i , s i a d e l l ’ I s t i t u t o E l e t t r o tecnico Nazionale Galileo Ferraris), fu anche un ottimo bricoleur e un egregio suonatore di vari strumenti Era famosa una spinetta (strumento a tastiera di p i c c o l e d i m e n s i o n i e f a c i l e t r a s p o r t o con corde pizzicate, popolare fino al XVIII secolo) da lui interamente costrui ta, appoggiata al muro del suo ufficio presso il Politecnico di Torino Durante la Commissione didattica si esaminò la situazione degli insegna menti di misure a Roma “La Sapienza” d o p o i l p a s s a g g i o d i M a u r i z i o C aciotta e Paolo Carbone alla neonata Università di “Roma Tre”. Per il corso di M i s u r e E l e t t r o n i c h e p e r i l d i p l o m a a d i s t a n z a i n I n f o r m a t i c a e A u t o m a t i c a d e l C o n s o r z i o N e t t u n o s i p r e c i s ò l a s u d d i v i s i o n e n e l l e s e g u e n t i t r e p a r t i : concetti di base, Franco Ferraris; sen sori e analisi dei segnali, Andrea Taro n i ; s t r u m e n t a z i o n e d i g i t a l e , C a r l o O f f e l l i S i d e c i s e c h e l a s u c c e s s i v a Riunione annuale del GMEE si sarebbe tenuta a Bologna con l’invito ad aprirsi

T M  120 N . 0 3  2 0 2 2 STORIA E CURIOSITÀ s l’Area K che prevedeva i seguenti rag g r u p p a m e n t i : K 0 1 X E l e t t ro n i c a ; K 0 2 X C a m p i e l e t t ro m a g n e t i c i ; K 0 3 X Te l e c o m u n i c a z i o n i ; K 0 4 X
;
o r a z i o n e
e

a f o r z e n u o v e . B e n v e n u t i s a r e b b e r o stati tutti coloro che svolgevano attività di ricerca nel campo delle misure e che erano disponibili ad aderire al GMEE Benetazzo comunicò che i finanzia m e n t i M U R S T 4 0 % e r a n o s t a t i r i d o t t i del 5%, come gli era stato comunicato da Cecconi, e che la quota di soprav vivenza per sede era di dieci milioni di lire. I fondi erano stati così suddivisi per quell’anno: Cassino 10M£; Milano 10 M£: Salerno 10 M£; Calabria 19 M£; To

vento 10 M£; L’Aquila 19 M£; Napoli

Palermo 20 M£; Padova 19

Ve r g a t a 10 M£; Roma Tre 10 M£. Brandolini c h i e s e l o s d o p p i a m e n t o d e l l ’ u n i t à d i M i l a n o e s s e n d o d i v e r s e l e r i c e r c h e c o n d o t t e d a l s u o g r u p p o r i s p e t t o a quelle con orientamento più elettronico di Elio Bava. Benetazzo spiegò che l’e siguità dei fondi non per metteva l’ag giunta di nuove unità e spinse a cerca r e a l t r e f o n t i d i f i n a n z i a m e n t o , c o m e per esempio il CNR. L a n g e l l a c o m u n i c ò c h e u n g r u p p o costituito dalle sedi di Napoli, L’Aqui la, Salerno, Cassino e Benevento ave v a n o o t t e n u t o u n f i n a n z i a m e n t o C N R p e r u n a r i c e r c a d a l t i t o l o “ M e t o d i d i misura e strumentazione per la diagno stica sui sistemi elettrici” Anche Zappi t e l l i c o n l e s e d i d i R o m a , C a s s i n o , F i r e n z e e P i s a a v e v a o t t e n u t o u n f i n a n z i a m e n t o b i e n n a l e d a l C N R p e r u n a ricerca su “Studio, progettazione, pro tezione e controllo sui sistemi elettrici” Infine, la Commissione dei saggi comu nicò che erano emerse due candidatu re per la nomina del futuro segretario d e l G M E E : M a s s i m o D ’ A p u z z o e Gaetano Iuculano L’Assemblea del GMEE si tenne al Lingotto presso l’aula B (Londra) il 7 set tembre 1994 alle ore 10 e 30. Andrea Taroni comunicò l’avvenuta pubblica zione dei nuovi Settori Scientifici Disci p l i n a r i s u l l a G a z z e t t a U f f i c i a l e e r i n graziò Luigino Benetazzo per l’ope ra svolta che aveva por tato il GMEE nel s e t t o r e d e l l ’ i n f o r m a z i o n e ( A r e a K ) Informò inoltre che il MURST aveva pre sentato un disegno di legge sullo stato giuridico e il reclutamento di professori

universitari e ricercatori. Ringraziò infi ne Franco Docchio per aver completa to il data base dei docenti del GMEE, invitando tutti a prenderne visione e a suggerire eventuali modifiche e corre

z i o n i . M a r i o R i n a l d i r e l a z i o n ò s u l l o stato di avanzamento sia della modifi ca che il CNR stava appor tando al suo statuto, sia sulla formazione dei nuovi gruppi di consulenza del CNR.

B e n e t a z z o s u g g e r ì d i p r e p a r a r e u n documento che ribadisse l’orientamen to del GMEE verso l’area dell’informa

z i o n e e f o s s e d i a u s i l i o a R i n a l d i i n s e n o a l l e s c e l t e o p e r a t e d a l c o m i t a t o d’ingegneria del CNR

Ta r o n i i n v e s t ì d e l c o m p i t o l a c o m m i s sione di coordinamento, in modo che fosse preparato un documento da por tare all’approvazione della successiva A s s e m b l e a d e l G M E E M a r i o S a v i n o espose quanto precedentemente ripor tato sui lavori della commissione didat tica.

L ’ A s s e m b l e a a p p r e z z ò l ’ i m p e g n o assunto da Ferraris, Offelli e Taroni per il corso di Misure Elettroniche relativo al diploma a distanza d’Informatica e A u t o m a t i c a p r o p o s t o d a l C o n s o r z i o Nettuno

L e l e z i o n i r e g i s t r a t e d a i t r e c o l l e g h i s a r e b b e r o s t a t e t r a s m e s s e d a l l a R A I , suddivise in 40 lezioni, dal 3 ottobre 1994 al 12 novembre 1994. Fu infine confermata la scelta della sede di Bolo gna per la successiva riunione annuale del GMEE.

I RAPPORTI CON IL CONSORZIO NETTUNO

Dal 2 al 6 ottobre 1994 si tenne all’U niversità di Bologna presso la Facoltà d ’ I n g e g n e r i a l a 9 5 ° R i u n i o n e A nnuale dell’AEI con tre sessioni (K1, K2 e K3) dedicate alle Misure, presie d u t e d a M a r i o S a v i n o , c o n u n a b u o n a p a r t e c i p a z i o n e d e i r i c e r c a t o r i d e l G M E E I l 1 3 o t t o b r e d e l l o s t e s s o anno sempre all’Università di Bologna si tenne un incontro sull’academic spin o ff p e r l a p r o m o z i o n e d i i n i z i a t i v e i m p r e n d i t o r i a l i d a p a r t e d i d o c e n t i , r i c e r c a t o r i , t e c n i c i e s t u d e n t i . M a r i o Rinaldi ne aveva sollecitato la par te cipazione Nei giorni precedenti, l’11 e il 12 ottobre, si erano affrontati temi interessanti sulle iniziative universitarie per il trasferimento tecnologico tra uni versità e industria. Quelli furono anni i n c u i , s u l l a s p i n t a d e l l e e s p e r i e n z e e u r o p e e d i c o s t i t u z i o n e d i I n d u s t r i a l liaison office, molte università si stava no organizzando per favorire un con tatto tra le aziende, gli enti, le istituzio ni nazionali e internazionali, allo sco p o d i s v i l u p p a r e e f a v o r i r e u n a p r o f i cua collaborazione che in Italia man cava da troppo tempo, a differenza di quanto avveniva in quasi tutte le altre nazioni del mondo più industrializzato Il pomeriggio del 14 dicembre 1994 si riunì la commissione didattica del G M E E p r e s s o i l D i p a r t i m e n t o d ’ I n g e g n e r i a E l e t t r i c a d e l l ’ U n i v e r s i t à L a S a pienza Si nominarono i referenti degl

al

diplomi

per

distanza

Figura 1 Da sinistra: Carlo Of felli, Franco Ferraris e Andrea Taroni
T M  121 STORIA E CURIOSITÀ s N . 0 3  ; 2 0 2 2
r i n o 1 0 M £ ; F i r e n z e 1 0 M £ ; B e n e
1 0 M £ ; Tr i e s t e 1 0 M £ ; P i s a 1 0 M £ ;
M£; Bari 2 8 M £ ; B r e s c i a 2 8 M £ ; R o m a L a S a p i e n z a 1 0 M £ ; R o m a To r
i
tri inse gnamenti di misure
i nuovi
a
p r e v i s t i d a l C o n s o r z i o N e t t u n o c h e a v r e b b e r o d o v u t o p r e p a r a r e i p r o grammi con l’indicazio ne delle ore da dedicare a i d i v e r s i a r g o m e n t i S i a s s e g n ò l a p r e p a r a z i o n e a i s e g u e n t i c o l l e g h i : S i g f r i d o L e s c h i u t t a e Umber to Pisani (Diplom a i n Te l e c o m u n icazioni); Arnaldo Bran d o l i n i e Mario Savino (Diploma in Elettrotecnic a ) ; A n t o n i o L a n g e l l a e C a r l o O f f e l l i

CURIOSITÀ s

(Diploma in Elettronica). In realtà, come sarà chiarito in seguito, le cose andarono in modo difforme da quanto s i pr evedeva Dom enico Mirri diede l e u l t i m e i n f o r m a z i o n i s u l l ’ a n a g r a f e d e g l i i n s e g n a m e n t i e s u i r e l a t i v i p r o grammi per i corsi sia di laurea, sia di d i p l o m a n e l l e d i v e r s e s e d i A r n a l d o Brandolini espose le considerazioni del gruppo di lavoro sull’insegnamento di Misure Elettriche, sottolineando che p e r l a s u a t r a s v e r s a l i t à e r a p o s s i b i l e proporlo come disciplina a scelta degli studenti per Corsi di Laurea (CdL) diffe r e n t i d a I n g e g n e r i a E l e t t r i c a , p e r i l q u a l e e r a o b b l i g a t o r i o C h i a r ì c h e Misure Elettriche poteva essere scelto al Politecnico di Milano per gli studenti d e l C d L i n I n g e g n e r i a G e s t i o n a l e . S i d i s c u s s e i n f i n e s u c o m e o r g a n i z z a r e sia una sessione speciale, sia una Tavo la Rotonda sui problemi didattici nella successiva riunione annuale GMEE di Bologna. Il 20 dicembre 1994 presso l’IEN Gali leo Ferraris a Torino si svolse lo scruti nio per il rinnovo del Consiglio diretti v o d e l G r u p p o S p e c i a l i s t i c o “ M i s u r e e S t r u m e n t a z i o n e ” (GSMS) dell’AEI Furono eletti, in ordi ne di voti ricevuti, per le Università del n o r d G i u s e p p e Z i n g a l e s e A n t o n i o Bossi, per quelle del centro sud Mario Savino e Gaetano Iuculano. Per gli enti di ricerca del nord risultarono eletti G i a n l u i g i F u r i o l i , S e r g i o S a r t o r i , Dario Cattabiani, Saverio D’Emilio e Giovanni Colnago , mentre per gli e n t i d i r i c e r c a d e l c e n t r o s u d f u e l e t t o A n t o n i o L a n g e l l a C o m p l e t a r o n o i l C o n s i g l i o d i r e t t i v o s e i r a p p r e s e n t a n t i dell’industria. L’impor tanza del GSMS era proprio quella di creare un ponte t r a i l G M E E e i l m o n d o i n d u s t r i a l e e quindi dar corpo agli Industrial liaison office di cui si è accennato in preceden za. Il GMEE era sempre più conosciuto in ambito industriale, il che ebbe come positiva conseguenza la par tecipazio n e e s p o n s o r i z z a z i o n e a l l e r i u n i o n i annuali GMEE di molte industrie di stru mentazione elettrica ed elettronica. Ini z i a l m e n t e , m o l t e d i q u e s t e i n d u s t r i e e r a n o p r e s e n t i c o n s t a n d e s p o s i t i v i e s u c c e s s i v a m e n t e v i s o n o s t a t e a n c h e relazioni orali invitate. Sia consentito a chi scrive una nota di colore. Una volta

un rappresentante di una ditta di stru mentazione, al termine della sua rela zione orale, sostenne un dibattito acce so con i componenti del GMEE L’anno successivo, prima di entrare in aula per la presentazione degli ultimi strumenti nel suo catalogo, si espresse dicendo: “Mi accingo a entrare nella gabbia dei leoni”.

L u n e d ì 6 f e b b r a i o 1 9 9 5 p r e s s o i l D i

p a r t i m e n t o d ’ I n g e g n e r i a E l e t t r i c a d e l l ’ U n i v e r s i t à L a S a p i e n z a a R o m a (ospiti di Ennio Zappitelli) in succes sione si svolsero i seguenti eventi: alle 10 e 30 la Commissione per i diplomi

univer s it ar i ( DU ) in t el edidat t ica; al l e

1 4 l a C o m m i s s i o n e p e r l ’ i n d i c a z i o n e d e l s e g r e t a r i o G M E E p e r i l t r i e n n i o 1 9 9 5 9 8 ; a l l e 1 4 e 3 0 i l C o n s i g l i o s c i e n t i f i c o d e l G M E E . Q u e s t o f u d e d i c a t o i n m i n i m a p a r t e a l l e p o c h e n o t i z i e s u i n u o v i g r u p p i d e l C N R e a l l ’ o r g a n i z z a z i o n e d e l l a s u c c e s s i v a riunione annuale di Bologna. Il tempo prevalente fu impiegato per l’approva z i o n e d e i p r o g r a m m i d e g l i i n s e g n a m e n t i r e l a t i v i a i n u o v i D U a d i s t a n z a d e l C o n s o r z i o N e t t u n o . S i g f r i d o L eschiutta presentò quello per il Diplo m a i n Te l e c o m u n i c a z i o n i ; A r n a l d o B r a n d o l i n i q u e l l o p e r i l D i p l o m a i n Elettrotecnica, mentre per il Diploma in Elettronica Antonio Langella presen tò il programma di Misure Elettroniche e Carlo Offelli quello di Strumentazio ne Elettrica di Misura Nei gior ni suc cessivi Taroni inviò, con una lunga lette r a d i p r e s e n t a z i o n e , t a l i p r o g r a m m i con i rispettivi referenti GMEE a Rodol fo Zich, presidente del Consorzio Net t u n o È d a p r e c i s a r e c h e e r a s t a t a “molto apprezzata” dalla presidenza d e l C o n s o r z i o l a s c e l t a d e l G M E E d i assegnare ai tre colleghi (Ferraris, Of felli e Taroni) e non a un singolo docen te lo svolgimento dell’insegnamento di M i s u r e E l e t t r o n i c h e p e r i l d i p l o m a i n Ingegneria Infor matica e Automatica. Q u e s t o n o t e v o l e a p p r e z z a m e n t o diede luogo in seguito per gli insegna m e n t i d i M i s u r e r e l a t i v i a i s u d d e t t i n u o v i D U a d i s t a n z a a l l ’ u t i l i z z a z i o n e di par ti delle registrazioni effettuate da F e r r a r i s , O f f e l l i e Ta r o n i ( p e r l e p a r t i comuni ai vari DU) integrate con nuove registrazioni per gli argomenti specifi c i d e i n u o v i c o r s i . P e r e s e m p i o , A l e s

sandro Ferrero registrò una decina di ore di lezioni per il DU in Elettrotecni c a I n v e c e G i o v a n n i B e t t a , F e l i c e C e n n a m o e M a s s i m o D ’ A p u z z o registrarono nuove lezioni per il DU in Elettronica e Sigfrido Leschiutta per il DU in Telecomunicazioni

GLI ANNI TURBOLENTI IN CUI SI SUCCEDETTERO DIVERSI GOVERNI

I n t a n t o n e l 1 9 9 3 i l M i n i s t r o A n t o n i o Ruber ti aveva lasciato il MURST, per a s s o l v e r e a l l ' i n c a r i c o d i c o m m i s s a r i o europeo per la scienza, la ricerca e lo sviluppo L’impor tanza della sua rifor ma dell’Università fu tale da riscuotere tanti riconoscimenti che por tarono alla decisione nel febbraio del 2022 d’inti t o l a r g l i l ’ a r e a a n t i s t a n t e l ’ i n g r e s s o della sede del MUR (Ministero dell’Uni v e r s i t à e d e l l a R i c e r c a ) a l l ’ a n g o l o t r a via Michele Carcani e via degli Or ti di Trastevere Quelli erano stati anni tur b o l e n t i i n c u i s i s u c c e d e t t e r o d i v e r s i g o v e r n i i n p o c h i a n n i , p r e s i e d u t i d a Giuliano Amato (1992 93), da Carlo Azeglio Ciampi (1993 94), Silvio Ber l u s c o n i ( 1 9 9 4 9 5 ) e L a m b e r t o D i n i (1995 96) Inoltre, il Ministero dell’U n i v e r s i t à s i t r a s f e r ì d a L u n g o Te v e r e Thaon di Revel alla sua sede attuale, il c h e d e t e r m i n ò u n a s t a s i n e l l e a t t i v i t à m i n i s t e r i a l i e d i e d e l a p o s s i b i l i t à a l l e Università di operare un assestamento della didattica conseguente alle varia zioni introdotte dalla Riforma Ruber ti In data 22 febbraio 1995 si riunì il con siglio direttivo del gruppo specialis t i c o A E I “ M i s u r e e S t r u m e n t azione” nel quale furono rieletti all’u nanimità Giuseppe Zingales e Gian Luigi Furioli rispettivamente presiden t e e s e g r e t a r i o d e l g r u p p o Z i n g a l e s p o i s i n t e t i z z ò l e a t t i v i t à s v o l t e n e g l i anni precedenti e ne propose altre per q u e l l i s u c c e s s i v i , q u a l i : u n a g i o r n a t a sulla nor ma IEC relativa alle prove in alta tensione; la sponsorizzazione del c o r s o d i t r e g i o r n i o r g a n i z z a t o d a g l i Istituti metrologici sulla Guida ISO rela tiva alle incer tezze di misura; una gior n a t a d i s t u d i o s u l l a n o r m a I S O 9 0 0 0 relativa alla qualità. Dal 23 al 26 aprile 1995 a Waltham,

T M  122 N . 0 3  2 0 2 2 STORIA E

n e l M a s s a c h u s e t t s , U S A , s i t e n n e l ’ I E E E I n s t r u m e n t a t i o n / M e a s ur e m e n t Te c h n o l o g y C o n f e r e n c e I3C su Integrating Intelligent Instrumen t a t i o n a n d C o n t r o l I l c o n g r e s s o n o n ebbe lo stesso successo del preceden te, svolto in Giappone Su un totale di 162 ar ticoli pubblicati nei Proceedings ventiquattro (il 15%) erano di colleghi appar tenenti alle seguenti unità territo riali del GMEE: 11 Napoli Benevento C a s s i n o C o s e n z a L ’ A q u i l a S a l e r n o (frutto della collaborazione fra gli auto ri delle sedi citate), 4 Milano; 2 Torino; 2 Trieste; 1 Bari; 1 Bologna Firenze; 1 Padova; 1 Palermo; 1 Parma Il 21 giugno 1995 a Como, il gior no prima della GdM, si riunì la commissione didattica del GMEE , che f u d e d i c a t a q u a s i e s c l u s i v a m e n t e a l l a p r o p o s t a , d a a v a n z a r e a l C S , d e l l a organizzazione della riunione annua le del GMEE a Bologna, con l’indica z i o n e d e i t i t o l i e d e i p r e s i d e n t i d e l l e d i v e r s e s e s s i o n i S i e r a d e c i s o c h e l a prima sessione del Convegno sarebbe s t a t a d e d i c a t a a l l e m e t o d o l o g i e e d e s p e r i e n z e d i d a t t i c h e . S i s t a b i l ì c h e fosse Gaetano Iuculano a presiedere quella sessione e si scelsero da presen tare le esperienze didattiche delle sedi del Politecnico di Torino e delle Univer s i t à d i P a l e r m o , S a l e r n o , P a d o v a e P e r u g i a A l m a t t i n o d e l 2 2 g i u g n o s i t e n n e i l C S d e l G M E E p r e s s o Vi l l a Olmo. Domenico Mirri espose il pro g r a m m a d e l l a r i u n i o n e a n n u a l e d a l titolo XII Congresso del GMEE, ringra

ziando Antonio Menchetti per l’impe g n o p r o f u s o L e 1 0 2 s c h e d e g i u n t e e r a n o c o s ì s u d d i v i s e : 2 0 n e l l a C A R ( c a r a t t e r i z z a z i o n e e t a r a t u r a d i c o m p o n e n t i e s i s t e m i ) , a r e a i n c u i e r a n o i m p e g n a t e q u a s i t u t t e l e U n i t à d e l GMEE (20 schede su 26 unità); 6 nella DIA (diagnostica di circuiti e sistemi); 19 nella ELA (elaborazione di segnali e dati); 1 nella STA (metodi statistici); 17 nella MIS (metodi di misura e stru m e n t a z i o n e ) ; 9 n e l l a S I P ( m i s u r e s u sistemi di potenza); 13 nell’ESP (stru mentazione intelligente e sistemi esper ti); 9 nella MET (metrologia e campio ni); 8 nella SEN (sensori e trasduttori)

I quattro gruppi che erano stati incari cati di selezionare i lavori ne avevano scelti 30 per la presentazione orale (ai quali andavano aggiunti 5 della prima s e s s i o n e d e d i c a t a a l l a d i d a t t i c a ) e i r e s t a n t i p e r i p o s t e r. M a r i o S a v i n o propose i presidenti delle varie sessio ni del Congresso di Bologna, comuni cando che s ar ebbe s t at a por t at a una d e t t a g l i a t a r e l a z i o n e s u l l ’ a n a g r a f e degli insegnamenti MEE per i corsi sia d i l a u r e a s i a d i d i p l o m a . Ta ro n i , i n assenza di Rinaldi, relazionò sui grup pi formali CNR comunicando che sem brava che il Comitato d’Ingegneria del CNR avrebbe proposto la formazione di un Gruppo ETCE (Elettronica, Teleco municazioni, Campi Elettromagnetici) Il Consiglio diede mandato a presiden t e e s e g r e t a r i o d i m a n i f e s t a r e s i a a l comitato CNR d’Ingegneria sia ai pre s i d e n t i d e i s u c c i t a t i g r u p p i d e l c o s t i

t u e n d o E T C E l a v o l o n t à d i c o n f l u i r n e con l’invito che nell’acronimo compa risse una lettera che potesse costituire u n r i f e r i m e n t o a n c h e a l l e M i s u r e . S u i p r o g e t t i P R I N B e n e t a z z o r i b a d ì quanto aveva già comunicato a Torino d u r a n t e l a s e d u t a d e l l a C o m m i s s i o n e didattica, sollecitando a cercare fonti d i f i n a n z i a m e n t o a l t e r n a t i v e a q u e l l e M U R S T 4 0 % O l t r e a i p r o g e t t i C N R indicati a Torino da Langella e Zappi telli ne furono comunicati altri due coor dinati da Brandolini e Savino. L’ultimo punto all’ordine del giorno riguardò la proposta di nomina del segretario per il triennio 1995 98 Savino comunicò c h e G a e t a n o I u c u l a n o , s c u s a n d o s i per l’assenza, gli aveva dato la sua di sponibilità a ritirare la candidatura per n o n m e t t e r e i n d i f f i c o l t à i l c o n s i g l i o , che unanime apprezzò la sua sensibili tà e decise di proporre all’approvazio n e d e l l a s u c c e s s i v a a s s e m b l e a d e l GMEE a Bologna la nomina a segreta rio di Massimo D’Apuzzo La XIV Giornata della Misurazione si tenne a Villa Olmo a Como dal pomeriggio del 22 alla mattina del 23 giugno 1995 Gli interessanti temi di discussione furono: Il concetto d’intelli g e n z a e g l i s t r u m e n t i i n t e l l i g e n t i ( A . B o s c o l o , C . M a n g i o n e , A . R . M e o ) ; I l concetto d’incer tezza e la sua interpre t a z i o n e n e l l a " G u i d a a l l ' e s p r e s s i o n e d e l l ' i n c e r t e z z a n e l l a m i s u r a z i o n e " (ISO) (A. Balsamo, G. Iuculano, G.B. Rossi, S. Sar tori, G. Zingales). La docu mentazione degli atti fu pubblicata su

Figura 2 Da sinistra: Giuliano Amato; Azeglio Ciampi; Silvio Berlusconi; Lamber to Dini
T M  123 STORIA E CURIOSITÀ s N . 0 3  ; 2 0 2 2

CURIOSITÀ s

d u e i n s e r t i s p e c i a l i d e l l a r i v i s t a “ D e Q u a l i t a t e ” ( n 4 / 9 5 e 5 / 9 6 ) S e r g i o Sar tori e Luca Mari esposero i risul t a t i d i u n ’ i n d a g i n e d a l o r o c o n d o t t a s u l l a d e f i n i z i o n e e l ’ u s o d e l l ’ i n c e r t e z za, avendo inter vistato cinque esper ti italiani (Zingales, Iuculano, Balsamo, Rossi, Bich) e cinque stranieri (Savage, Rober ts, Camilli, Dirkzwager, Scriven).

D a l 1 3 a l 1 4 s e t t e m b r e s i t e n n e a P r a g a i l s e t t i m o S i m p o s i o d e l T C 4 I M E K O s u “ M o d e r n E l e c t r i c a l a n d Magnetic Measurement” organizzato da Milos Sedlacek. Furono presentati p i ù d i c e n t o a r t i c o l i ( 1 2 0 ) e i l l i v e l l o scientifico fu alto Ci furono tre confe r enze s u invit o m ol t o int er es s ant i pr e sentate da H Schumny, S Dado e J Weiler, riguardanti rispettivamente i sistemi di misura digitali, i nuovi senso ri e, da par te di Weiler, la possibilità d ’ i n s e g n a r e o m e n o l e m i s u r e e l e t t r i che. Dal 21 al 23 settembre 1995 si svolse a B o l o g n a p r e s s o l ’ A u l a A b s i d a l e d i Santa Lucia (chiesa secentesca ristruttu rata nel 1988) il XII Congresso Ann u a l e d e l G M E E c o n 3 5 r e l a z i o n i orali e 58 a poster. Si tennero due inte ressanti Tavole Rotonde una coordina t a d a L u i g i n o B e ne t a z z o s u “ Te l e d i d a t t i c a : e s p e r i e n z e e p r o s p e t t i v e p e r l’insegnamento delle misure”, la secon da coordinata da Mario Rinaldi su “Il ruolo attuale della ricerca nelle Facoltà tecnico scientifiche” Il pomeriggio del 20 settembre si era riunita la commiss i o n e d i d a t t i c a p r e s s o l a F a c o l t à d’Ingegneria di Bologna, a causa del l ’ i n d i s p o n i b i l i t à i n q u e l l a d a t a d e l l a C a p p e l l a a b s i d a l e d i S a n t a L u c i a L a riunione fu dedicata alla messa a pun t o d e l l ’ a n a g r a f e d e g l i i n s e g n a m e n t i MEE nei corsi di laurea e di diploma; l ’ a n a g r a f e s a r e b b e s t a t a e s p o s t a d u r a n t e i l C o n v e g n o I l 2 3 s e t t e m b r e s i tenne l’Assemblea del GMEE. Do p o u n a b r e v e r e l a z i o n e d i Ta r o n i s u l triennio della sua presidenza si passò al rinnovo delle cariche All’unanimità furono eletti Mario Savino e Massimo D’Apuzzo rispettivamente presidente e s e g r e t a r i o p e r i l t r i e n n i o 1 9 9 5 9 8 Rinaldi diede l e ul t im e inf or m azioni sui costituendi nuovi gruppi CNR e l’As semblea all’unanimità votò per l’ade sione al gruppo che sembrava avrebbe

raggruppato elettronici, telecomunica zionisti e campisti elettromagnetici con l’introduzione di una sezione di Misu re L’Assemblea ringraziò Luigino Benetazzo per il lavoro svolto in qualità d i r e s p o n s a b i l e d e l p r o g e t t o M U R S T 40% e lo invitò a continuare nel coordi namento anche del successivo proget to. Nello Polese e Massimo Rea sug g e r i r o n o d i c e r c a r e n u o v e f o n t i d i f i n a n z i a m e n t o , p e r e s e m p i o n e i f o n d i dei progetti europei banditi dalla CEE e in quelli relativi alla cer tificazione di qualità. Mario Savino relazionò sulle risultanze dei lavori della commissione didattica Alessandro Ferrero espose le tabelle dell’anagrafe degli insegna menti MEE, Giovanni Betta quelle dei l i b r i d ’ i n t e r e s s e d e l G M E E e F r a n c o Ferraris le esercitazioni su suppor to informatico L’Assemblea riconfer mò i componenti d e l l a C o m m i s s i o n e d i d a t t i c a , a s s e g n a n d o l a p r e s i d e n z a d e l l a s t e s s a a Massimo D’Apuzzo Per la riunione annuale GMEE dell’anno successivo si propose Lecce e si rimandò ai consigli scientifici la sua organizzazione. Sig frido Leschiutta, presidente dell’IEN e Giuseppe Zingales illustrarono le iniziative previste per commemorare il centenario della mor te di Galileo Fer raris al quale sarebbe stata dedicata la riunione AEI del 1997. Alessandro Ferrero organizzò a Mila n o , d a l 2 5 a l 2 7 s e t t e m b r e 1 9 9 5 , l a t e r z a e d i z i o n e d e l Wo r k s h o p s u “ P o wer Definitions and Measurements un der N onsinusoidal C onditions” Que sto Workshop, giunto alla sua terza e dizione, stava diventando un impor tan te appuntamento per i maggiori studio si internazionali in questo campo, che vi par tecipavano con grande entusia smo I lavori presentati al Workshop fu rono pubblicati sui n 5 e 6 del 1996 delle European Transactions on Electri cal Power (ETEP).

CONCLUSIONI

Si sono sintetizzati gli avvenimenti rela tivi alla seconda par te della presiden za di Andrea Taroni, caratterizzati da un consolidamento dell’organizzazio ne interna del GMEE. Fu, in quegli an

ni, sancito ufficialmente l’ingresso del G MEE nel l a nuova ar ea di S cienze e Ingegneria dell’Informazione Si è an che raccontato dei difficili rappor ti con il Consorzio Nettuno.

RINGRAZIAMENTI

L’autore ringrazia i colleghi Giovanni

Betta , Fr anco Ferraris , A l es s andr o Ferrero, Dario Petri, per le informa z i o n i f o r n i t e g l i s u a l c u n i a v v e n i m e n t i del periodo in esame. Precisa, inoltre, che la responsabilità di quanto scritto è soltanto la sua La storia, se non è scrit ta, è come se non esistesse

M a r i o S av i n o h a a t t u a l mente un contratto di con s u l e n z a s c i e n t i f i c a p re s s o i l Politecnico di Bari Si occupa di misure elettriche ed elet t ro n i c h e ap p l i c a t e a l l a d i a g n o s t i c a m e d i c a È s t a t o Professore ordinario di Misure Elettriche ed Elettroniche al Politecnico di Bari e ha pre sieduto il GMEE nel triennio 1995 1998. Nel 2011 ha ricevuto il Career Excellence Award d a l l a I E E E I n s t r u m e n t a t i o n a n d M e a s u re ment Society con la seguente motivazione: “For decades of advancements in measurement science and its dissemination”

T M  124 N . 0 3  2 0 2 2 STORIA E
? DOMANDE COMMENTI PROPOSTE Caratteri 10511, 0 Figure, 0 Tabelle DOMANDE COMMENTI PROPOSTE Scrivi alla Redazione CLICCA QUI (LOGO tutto_misure) Le Misure strumento er la ri resa Scrivi alla Redazione Le Misure strumento per la ripresa CLICCA QUI TUTTO _ TMISURE UTTO MISURE

Misure sempre più precise

Repetita juvant

MORE AND MORE ACCURATE MEASUREMENTS

A measurement, to be scientifically valid, must have a confidence inter val asso ciated to it The smaller the uncertainty in the measurement, the better the mea surement itself Hence the importance to repeat the measurement of important quantities when the possibility to reduce significantly the errors associated to it is offered. This may allow to discriminate between different models or theories, to verify if some important physical constants are really such or, more simply, to obtain new interesting results Astrometric measurements are discussed

RIASSUNTO

Una misura, per dirsi veramente tale, almeno in ambito scientifico, deve avere associato il valore della sua incer tezza E tanto più piccolo sarà quest’ultimo tanto più valida sarà la misura stessa Da qui l’utilità di ripetere alcune misure fondamentali ogni qualvolta si offre la possibilità di ridurre significativamente le incer tezze a loro associate. Ciò allo scopo di discriminare tra modelli e t e o r i e , v e r i f i c a r e l a c o s t a n z a d i a l c u n e g r a n d e z z e o , p i ù s e m p l i c e m e n t e , ottenere nuovi impor tanti risultati Il caso delle misure astrometriche è discusso

RIPETERSI PER MIGLIORARSI

Si conosce scientificamente parlando solo ciò che si è in grado di misurare e quantificare Già lo diceva William Thomson, più comunemente noto come Lord Kelvin, fisico e matematico irlande se dell’800: “ quando sei in grado di misurare ciò di cui stai parlando, ed esprimerlo in numeri, allora sai effettiva m e n t e q u a l c o s a d i e s s o , m a , q u a n d o non sei in grado di esprimerlo in nume ri, allora la conoscenza al riguardo è scarsa e insoddisfacente ”1 Esprimere una grandezza in numeri vuol dire non solo ottenere per essa un valore, ma anche conoscere l’incer tez za associata al valore stesso, ed è ovvio che tanto più piccola è l’incer tezza associata alla misura, tanto migliore è la conoscenza di quello che si sta misuran do e tanto più si possono valutare even tuali differenze tra quanto si osser va e quanto è previsto da un modello, piutto sto che da osser vazioni precedenti o quant’altro. Ecco dunque spiegato per ché molti ricercatori si dedicano, a volte con un ’attitudine apparentemente maniacale, a rimisurare cose già misu rate. Lo fanno per ottenere stime sempre

più precise delle grandezze in gioco o per ridefinire in maniera sempre più pre cisa alcune grandezze fondamentali Prendiamo ad esempio la legge di Cou lomb che descrive come due cariche elettriche interagiscono tra loro Sappia mo che la forza con cui si respingono (o attirano se di segno diverso) varia inver samente alla seconda potenza (il qua drato) della loro distanza, cioè come 1/r2 Ma quanto bene si conosce il valo re numerico dell’esponente della distan za r? È dai tempi in cui la legge fu enun ciata che si conducono esperimenti per determinarne il valore con sempre mag gior precisione, così da poter rilevare eventuali piccole deviazioni dal valore “2”. Alla fine del ‘700 si sapeva che se diverso da 2 l’esponente lo era solo per pochi percento Un secolo dopo già si era arrivati a determinare che lo sco stamento dovesse essere più piccolo di 5x10 5 . Il limite fu poi abbassato nel secolo scorso, prima a 2,0x10 9 (1936), poi a 1,3x10 13 (1970), e infine a 6,0x10 17 (1983) Nuovi esperimenti per aumentare la precisione con cui si conosce il valore dell’esponente nella legge di Coulomb vengono ancora oggi ideati e condotti

Sforzi analoghi sono dedicati a deter m i n a r e l ’ e v e n t u a l e t e m p o d i d e c a d i mento del protone, il cui limite inferiore è arrivato, per alcuni dei canali ipotiz zati, a più di 8,2x1033 anni, o a verifi care se alcune costanti fondamentali, come ad esempio la costante di struttu ra fine, variano nel tempo

È DAVVERO NECESSARIO?

Perché ingenti risorse, umane e mate r i a l i , s o n o c o n t i n u a m e n t e d e d i c a t e a progetti che si propongono di raffinare misure già disponibili? È così impor tan te sapere che nella legge di Coulomb la potenza in gioco è “esattamente 2” e non, ad esempio, 2,0000000001? O che effettivamente il protone decade e ha una vita media superiore a 1034 anni? (ricordiamo, per contestualizza re i 1034 anni, che l’età dell’Universo è di soli 1,4x1010 anni!) La risposta non può che essere affermativa: sì è impor tante, molto impor tante. Una deviazio ne dall’esatto valore di 2 implichereb be infatti una massa a riposo del fotone d i v e r s a d a z e r o e i l d e c a d i m e n t o d e l p r o t o n e n o n è p r e v i s t o d a l M o d e l l o S t a n d a r d ( r e c e n t e m e n t e r a f f o r z a t o d a l l a s c o p e r t a d e l b o s o n e d i H i g g s , ma continuamente messo in discussio n e ) , m a l o è i n a l c u n e G r a n d i Te o r i e Unificate (GUT). Questo spiega l’inte r e s s e n e l l ’ o t t e n e r e m i s u r e s e m p r e p i ù p r e c i s e e a n c h e l a l o r o i m p o r t a n z a S t a b i l i r e c h e e s i s t e u n a p u r p i c c o l a d e v i a z i o n e d a l v a l o r e p r e v i s t o d a u n modello consolidato, por terebbe a un cambiamento di paradigma, mandan do molta fisica a gambe all’ aria Ma anche quando lo scopo dell’ottenere una maggior precisione di misura non è quello di rivoluzionare (eventualmente) i

Istituto Nazionale di Astrofisica tommaso.maccacaro@gmail.com

Tommaso Maccacaro
S T O R I A E C U R I O S I T À s T M N. 3/22  125

QUANTUMX MXFS: INTEGRAZIONE DI MISURE OTTICHE ED ELETTRICHE IN UN UNICO SISTEMA AFFIDABILE

QuantumX MXFS di HBK Hottinger Brüel & Kjær rende le misura zioni ottiche facili, flessibili e competitive, in linea con ogni specifi ca esigenza Offre tutti i vantaggi ottici della tecnologia BraggME TER basata su filtro: misurazione di una grande rete di rilevamento composta da vari tipi di sensori, alta tensione ed elevata resistenza alla fatica, misurazioni affidabili e di alta qualità a lunga distanza, costi ridotti e molto altro ancora Con il nuovo MXFS BraggMETER, è p o s s i b i l e c o l l e g a r e i n s e r i e f i n o a 1 6 p i c c h i r e t i c o l a t i i n f i b r a d i Bragg a ciascuno degli 8 connettori ottici, con acquisizione paralle la. Quindi il nuovo dispositivo di rilevamento a fibra ottica offre un numero impressionante di canali per modulo, ben 128, con acquisi zione simultanea. I vantaggi sono evidenti: riduce non solo il costo per punto di misurazione, ma anche il costo totale di proprietà. L’utente può selezionare due modalità operative: a velocità normale, con velocità di acquisizione 100 S/s, adatta per il monitoraggio di progetti o test termici di componenti. ad alta velocità, con velocità di acquisizione 2.000 S/s, adatta per monitoraggio dinamico o l’analisi sperimentale delle sollecitazioni. Sono possibili misure di deformazione, temperatura, accelerazione,

carico e inclinazione Pertanto, con l’integra zione di MXFS, aumen ta l’accuratezza e la pos sibile gamma di applica zioni per le tue misurazioni “Con il nuovo MXFS stiamo portando le misure ibride a un altro livel lo”, dichiara Cristina Barbosa, Product Manager HBK in tecnologia ottica, “perché stiamo combinando tecnologie ottiche ed elettriche sotto la stessa piattaforma, rendendole partner perfetti” . Il nuovo modulo QuantumX MXFS BraggMETER è sia un interroga t o r e o t t i c o s i a u n t o o l k i t d ’ i n t e g r a z i o n e p e r l ’ a ff i d a b i l e s i s t e m a QuantumX DAQ, famoso per la sua flessibilità, facilità d’uso, modu larità e precisione. MXFS funziona come modulo singolo o sincro nizzato con altri moduli QuantumX.

CLICCA QUI per approfondimenti.

RICHIEDI QUI ulteriori informazioni.

Il torsiome tro TS (di s t r i b u i t o in Italia da DSPM In dustria srl di Milano) si è dimo strato un successo, con un numero di unità prodotte nel 2021 2022 superiore alle previsioni: la versatilità e qualità dello strumento ha soddisfatto pienamente le attese

A partire dal mese di settembre ’22 gli ordini sono aperti anche per il range di misura +/-200 Nm e +/-500 Nm.

Con il preciso obbiettivo di disporre dello “stato dell’arte” nelle misure di coppia mediante torsiometri ad alberi, il torsiometro serie TS è stato disegnato includendo tutte le funzionalità che consentono una perfetta integrazione negli ambienti di misura, grazie all’uscita analogica +/ 10 V e all’uscita digitale USB per una connessione diret ta con il PC 3 Led sul corpo del torsiometro, lato connettori, consen tono di verificare lo stato della misura (sovraccarico, Test, Tare, ecc )

La funzione BITE (Built In Test), attivabile mediante software e chiusu ra contatti sul cavo di segnale, completa la verifica funzionale del

sistema Le dimensioni sono contenute e con sentono un montaggio vincolato a terra oppure sospeso, con interasse albero base di 45 mm

Caratteristiche principali:

Range di misura: +/ 0,05 Nm +/ 500 Nm; Sovraccarico: 400% FS; Rpm: 15 000 max; Accuratezza: 0,1% FS; Banda passante: 1 kHz; Uscita analogica: +/ 5 V (+/ 10 V al 200% FS); Connessione digitale USB; 2x360 Impulsi / giro (sfasamento 90°) + Index; Alimentazione: 12 35 Vdc Tra le applicazioni di maggiore successo vi è la caratterizzazione del l’attrito residuo degli encoder rotativi assoluti, in fine linea di produ zione

CLICCA QUI per approfondire

RICHIEDI QUI ulteriori informazioni

TERMOCAMERE PER RILEVAMENTO TEMPESTIVO DEGLI INCENDI

TORSIOMETRO AD ALBERI DI GRANDE SUCCESSO, ORA ANCHE CON RANGE DI MISURA +/-200 NM E +/-500 NM Il fuoco si diffonde rapidamente, distrug gendo edifici, beni, vite umane. Le termo camere di Teledyne FLIR aiutano a preveni re gli incendi, rilevando i punti caldi prima che si verifichino eventi d’innesco Q u e s t i d i s p o s i t i v i d i m i s u r a z i o n e d e l l a temperatura, automatizzati e senza con t a t t o , s o n o e ff i c a c i n e l r i l e v a m e n t o d i potenziali incendi e vengono sempre più utilizzati anche in diverse applicazioni nell’ambito della sicurezza industriale Soluzioni come le termocamere con sensore intelligen te FLIR A50 e A70 sono ideali per i depositi di carburante che richie dono analisi integrate nella fotocamera e funzionalità di allarme p e r i l r i l e v a m e n t o p r e c o c e d i i n c e n d i , i n d i p e n d e n t e m e n t e d a l l e condizioni di luce I magazzini presentano un altro forte rischio d’incendio, nonostan te la maggior parte di essi sia dotata di allarmi e sistemi antincen dio Soluzioni come la termocamera compatta ed economica FLIR

AX8, con la sua uscita video in streaming, sono in grado di trasmettere informazioni a u n m o n i t o r d e l l a s a l a d i c o n t r o l l o c h e i n d i r i z z a i l p e r s o n a l e v e r s o l a p o s i z i o n e esatta di un punto caldo

Le termocamere e il software FLIR non solo i n d i v i d u a n o i p u n t i c a l d i , m a p o s s o n o avviare una risposta antincendio automa t i z z a t a , c o m e l ’ a c c e n s i o n e d i u n s i s t e m a d’irrigazione, l’arresto di un sistema o il targeting del punto caldo d a i m m e r g e r e n e l l a s c h i u m a a n t i n c e n d i o , i l t u t t o c o n t r o l l a t o a distanza tramite Internet In questo caso FLIR propone la termoca mera A310 ex ATEX, montata in un involucro ignifugo e dotata di u n c o n t r o l l e r i n t e g r a t o c o n d i v e r s i c a n a l i I / O d i g i t a l i e s e n s o r i d i temperatura, umidità e pressione

CLICCA QUI per ulteriori informazioni

NEWS s
N . 0 3  2 0 2 2 T M  126

nostri modelli correnti del mondo, la riduzione delle incer tezze associate a determinate grandezze permette note voli progressi tecnologici o scientifici Basti pensare alla ripetizione tre volte in vent’anni della mappatura comple ta della radiazione cosmica di fondo, al fine di misurarne le anisotropie, ese guita una prima volta da COBE (1989 1993), poi da WMAP (2001 2010) e i n f i n e d a P l a n c k ( 2 0 0 9 2 0 1 3 ) , o g n i v o l t a c o n m a g g i o r p r e c i s i o n e e o g n i volta con maggior soddisfazione

L’ASTROMETRIA

Ma prendiamo ad esempio una delle a t t i v i t à p i ù c l a s s i c h e e a n t i c h e d e l l ’ a stronomia: l’astrometria, che si prefig ge di determinare la posizione e i moti d e l l e s t e l l e L e m i s u r e a s t r o m e t r i c h e sono andate ripetendosi, nei secoli, e ancora oggi sono oggetto di estremo interesse Ogni volta che si sono otte nute misure delle posizioni delle stelle significativamente più precise di quelle g i à d i s p o n i b i l i ( e p a r a l l e l a m e n t e s i sono estese tali misure a popolazioni s t e l l a r i s e m p r e p i ù d e b o l i e q u i n d i mediamente più lontane) si sono otte nuti risultati impor tanti All’inizio fu Ipparco (l’astronomo greco; al satellite Hipparcos arriveremo tra breve) che compilò un catalogo stellare di quasi mille stelle e, paragonando le posizioni di alcune di esse con quelle determinate da suoi predecessori, notò che vi erano differenze sistematiche Le interpretò correttamente, capendo che era stata la Terra a “muoversi” nel tempo intercorso tra le sue misure e quelle più antiche di riferimento (di cui aveva una ragionevole conoscenza dell’epoca) e scoprì così il fenomeno della precessio ne degli equinozi A quel tempo la pre cisione con cui erano note le posizioni delle stelle era circa di una frazione di grado, ma ciò gli bastò per riconoscere come vere le differenze osser vate (che erano di pochi gradi). Nel 1718 Halley, paragonando con quelle correnti le posizioni di alcune stelle brillanti deter minate da Ipparco, scoprì il moto pro prio delle stelle Poi Bessel, nel 1838, per primo osser vò la parallasse2 di una stella, 61 Cygni, ricavando così la

prima misura trigonometrica della di stanza della Terra da una stella I tempi erano maturi e nello stesso anno altri misurarono la parallasse di Vega e di Alpha Centauri. Misure fondamentali queste delle parallassi stellari, perché per mettono di fissare con sicurezza i primi pioli della cosiddetta scala delle distanze cosmiche. Le parallassi delle stelle più brillanti e vicine si misurano in frazioni di secondo d’arco, ecco dun que che solo misure con queste precisio ni per mettono di quantificarle È stato quindi necessario attendere la costru zione di buoni telescopi per poterle apprezzare Nel mezzo, tra Ipparco e Bessel, troviamo una moltitudine di os ser vazioni ripetute, di cataloghi stellari sempre più utili per quantità di stelle catalogate e per qualità dell’informazio ne registrata Fu contando stelle in ma niera sistematica e registrando la loro posizione che Herschel ricavò una pri ma misura della struttura tridimensionale della nostra galassia Sono stati molti i successi dell’astrometria, basati appun to su misure sempre più complete e accu rate, e sono stati molti e continui i suoi progressi, destinati tuttavia a esaurirsi quando fosse venuta meno la capacità di ottenere misure sempre più precise E ciò sarebbe inevitabilmente accaduto, in assenza di un’innovazione rilevante. L’innovazione si è però presentata con la possibilità di condurre nuove misure dallo spazio

HIPPARCOS E GAIA

È s t a t a l ’ A g e n z i a S p a z i a l e E u r o p e a (ESA) a sfruttare, verso la fine del seco lo scorso, con un satellite interamente dedicato all’astrometria, questa oppor t u n i t à H i p p a r c o s ( H I g h P r e c i s i o n PARallax COllecting Satellite e il tri buto a Ipparco pur con qualche fatica n e l l a c o s t r u z i o n e d e l l ’ a c r o s t i c o c ’ è ) , lanciato nel 1989 e operativo fino al 1 9 9 3 , h a r e g i s t r a t o l a p o s i z i o n e d i oltre 100000 stelle con una precisione di pochi millisecondi d’arco, circa 200 volte meglio di quanto precedentemen te possibile, e un numero ben superiore di stelle (oltre 2 milioni) con una preci sione non altrettanto spinta ma comun q u e s e m p r e m o l t o m i g l i o r e d i q u a n t o

già disponibile. A dimostrare l’impor tanza (per la scienza che ne può deri vare) di rimisurare con ancor maggior precisione quanto già misurato da Hip parcos, ESA ha poi progettato, costrui to e messo in orbita una seconda mis sione astrometrica: Gaia

L a n c i a t a n e l 2 0 1 3 e d o t a t a d i d u e identiche camere fotografiche, due fo tometri (blu e rosso) e uno spettrometro p e r l a m i s u r a d e l l e v e l o c i t à r a d i a l i , Gaia ha già misurato, negli oltre 8 an ni di vita, posizione, distanza e moto di oltre un miliardo di stelle nella nostra galassia, così da permettere la costru z i o n e d e l l a p i ù p r e c i s a m a p p a t r i d i m e n s i o n a l e d e l l a Vi a L a t t e a . L a s t r u mentazione di Gaia permette una pre cisione sulla posizione di 24 microse c o n d i d ’ a r c o p e r l e s t e l l e p i ù b r i l l a n t i d e l l a 1 5 ma m a g n i t u d i n e 3 , d i 1 0 0 m i crosecondi per le stelle di 18ma magni tudine e di 300 400 microsecondi per q u e l l e p i ù d e b o l i , i n t o r n o a l l a 2 0 m a magnitudine Gaia ha determinato anche la luminosi tà e il colore delle stelle osser vate (con una precisione di qualche decina di mil lesimi di magnitudine) e, per quelle più brillanti della 17ma magnitudine, anche una misura dello spettro e della velocità radiale. Con questi dati è stato possibile costruire un modello del movimento delle stelle per i prossimi 400 mila anni e scoprir ne molte che provengono da altre galassie minori vicine alla nostra, quelle che compongono il cosiddetto Gruppo Locale Se la scienza primaria di Gaia consiste in una mappatura so praffina della Galassia, che ci sta per mettendo di studiarne la composizione,

Figura 1 – Il telescopio Gaia dell’ESA in un disegno d’ar tista (crediti: Agenzia Spaziale Europea)
T M  127 STORIA E CURIOSITÀ s N . 0 3  ; 2 0 2 2

CURIOSITÀ

i processi di formazione e l’evoluzione, i dati raccolti permettono anche studi in molti altri campi, dagli esopianeti a nuove verifiche della teoria della relativi tà, dagli asteroidi del nostro sistema solare all’evoluzione stellare, e persino la scoper ta di una dozzina di quasar con immagini multiple dovute alla distor sione prodotta da lenti gravitazionali lungo la linea di vista. Non è escluso che possano anche dirci qualcosa d’interes sante sulla distribuzione della materia oscura nella nostra galassia Parafrasando il motto dell’Accademia d e l C i m e n t o p o t r e m m o d u n q u e d i r e : misurando e rimisurando

NOTE

1 Dalla lezione “Electrical Units of Meas urement “ tenuta all’Institution of Civil Engineers il 3 maggio 1883. Pubblicata in Popular Lectures, Vol. I, p. 73.

2 La parallasse è il fenomeno per cui un oggetto sembra spostarsi rispetto allo sfondo se si cambia il punto di osser va z i o n e . L a p a r a l l a s s e s t e l l a r e c o n s i s t e nel cam biam ent o del l a pos izione ap parente di una stella sulla volta celeste, a seconda del periodo dell’anno in cui la si osser va; a seconda cioè della po sizione della Terra lungo la sua orbita di rivoluzione intorno al Sole (Fig. 2).

3 La magnitudine apparente di un corpo celeste è una misura di quanto esso ci

appare luminoso. Contrariamente a quanto si potrebbe supporre, maggiore è la magnitudine e più debole ci appare l’oggetto in questione Ciò deriva dalla pratica, introdotta da Ipparco di Nicea (circa 150 a.C.), di dividere le stelle visi bili in sei classi di magnitudine Le stelle più brillanti erano dette di prima magni tudine; quelle brillanti due volte e mezzo di meno, erano di seconda magnitudine e così via sino alla sesta magnitudine, il limite dell’occhio umano in una notte buia e tersa La scala delle magnitudini è quindi una scala logaritmica con base 2,5. Una stella di 6a magnitudine è dun que 100 volte più debole di una stella di 1a magnitudine

To m m a s o M a c c a c a ro , a s t ro f i s i c o, h a l avo r a t o i n I t a l i a , I n g h i l t e rr a e S t a t i Uniti, pubblicando oltre 250 lavori su riviste professionali internazionali È stato Diret t o re d e l l ’ O s s e r v a t o r i o Astronomico di Brera e Presidente dell’Istitu t o N a z i o n a l e d i A s t ro f i s i c a . A l l ’ a t t i v i t à d i ricerca ha affiancato un for te impegno nella divulgazione scientifica, collaborando, negli a n n i , c o n d i ve r s e t e s t a t e . H a c u r a t o i l s a g gio La ricerca tradita (Garzanti, 2007) e ha contribuito alla fondazione del giornale on line «Scienzainrete» di cui è stato codiretto re scientifico. Con Claudio Tar tari ha pubbli cato Storia del dove: Alla ricerca dei confini del mondo (Bollati Boringhieri, 2017)

NUOVI ASSI LINEARI AD ALTO CARICO PER POSIZIONAMENTO VELOCE E ALTAMENTE RIPETIBILE

Figura 2 Parallasse stellare: La stella A appare nella posizione A1 sulla volta celeste, piuttosto che nella posizione A2, se osser vata dalla Terra da due punti T1 e T2 distinti dell’orbita di rivoluzione intorno al Sole. L’ef fetto sarà massimo se T1 e T2 sono diametralmente opposti e dunque separati da circa 300 milioni di chilometri. La dif ferenza tra A1 e A2 sarà tanto più pronunciata quanto minore è la distanza della stella A dalla Terra

P I ( P h y s i k I n s t r u m e n t e ) a m p l i a i l s u o portafoglio per l’automazione indu striale di precisione con la nuova serie d i a s s i l i n e a r i a d a l t o c a r i c o V 8 5 5 e V 857: questi sistemi di posizionamen to offrono elevata efficienza durante le fasi di lavorazione e ispezione, che richiedono al contempo alta velocità e ripetibilità su lunghe corse. Inoltre i nuovi assi sono adatti per applicazioni nella produzione elettronica e nel micro assemblaggio, per il collaudo di sensori o per l’uso nei processi di stam pa a getto d’inchiostro

Gli assi lineari sono progettati specifi c a m e n t e p e r a p p l i c a z i o n i i n d u s t r i a l i c o n c i c l i o p e r a t i v i e l e v a t i s u l u n g h e corse: i motori lineari trifase, con gui de a ricircolo di sfere, rendono possi bile un carico costante fino a 1 000 N, accelerazioni fino a 5 m/s² e velocità fino a 5 000 mm/s

Gli encoder lineari ad alta risoluzione assicurano anche un’elevata precisio ne di tracciamento ed errori minimi, o l t r e a t e m p i d i a s s e s t a m e n t o b r e v i I n o l t r e , l a r i p e t i b i l i t à b i d i r e z i o n a l e calibrata è pari a ±0,5 µm

Gli assi sono progettati in modo tale da poter essere configurati, in combi n a z i o n e c o n a l t r i a s s i l i n e a r i , p e r d i ventare potenti sistemi gantry o split bridge Per il controllo degli assi lineari V 855 e V 857, PI offre l’elettronica rack 19" G 9 0 1 , c h e c o m b i n a u n c o n t r o l l o r e ACS Motion Driver per un massimo di q u a t t r o a s s i , n o n c h é u n m o d u l o “Safe Torque Off” (STO) integrato In alternativa, è possibile utilizzare dri v e r A C S m o d u l a r i , c o m e U D M p a , combinati con il potente ACS Motion C o n t r o l l e r o i n f i n e s o l u z i o n i d i c o n trollo di terzi

CLICCA QUI per ulteriori informazioni

T M  128 N . 0 3  2 0 2 2 STORIA E
NEWS 

TUTTO_MISURE

Anno XXIV - n. 3 - Settembre 2022

ISSN: 2038-6974

Direttore responsabile: Alessandro Ferrero

Vice Direttori: Alfredo Cigada,Emilio Sardini

Comitato di Redazione: Bruno Andò, Pasquale Arpaia, Loredana Cristaldi, Zaccaria Del Prete, Nicola Giaquinto, Michele Lanna, Claudio Narduzzi,Carmelo Pollio, Lorenzo Scalise, Bernardo Tellini,  Gaetano Vacca, Emanuele Zappa, Luciano Malgaroli, Massimo Mortarino

Redazioni per: Storia: EmilioBorchi, Riccardo Nicoletti, Aldo Romanelli Le pagine delle Associazioni Universitarie di Misuristi: Alessandro Ferrero, Emilio Sardini, Alfredo Cigada Le pagine degli IMP: Maria Pimpinella

Comitato Scientifico: ACCREDIA (Filippo Trifiletti, Rosalba Mugno, Emanuele Riva, Silvia Tramontin); ACISM-ANIMA (Roberto Cattaneo); AEIT-ASTRI (Roberto Buccianti); AIPT (Paolo Coppa); AIS-ISA (Piergiuseppe Zani); A.L.A.T.I. (Paolo Giardina); ALPI (Paolo Moscatti); ANIE (Marco Vecchi); ANIPLA (Marco Banti);

AUTEC (Gabriele Bitelli), CNR (Ruggero Jappelli); GISI (Sebastian Fabio Agnello); GMEE (Emilio Sardini); GMMT (Alfredo Cigada); GUFPI-ISMA (Luigi Buglione); IMEKO (Paolo Carbone); INMRI – ENEA (Pierino De Felice, Maria Pimpinella); INRIM (Diederik Sybolt Wiersma, Gianbartolo Picotto, Luca Callegaro); ISPRA (Maria Belli)

Autorizzazione del Tribunale di Casale Monferrato n. 204 del 3/3/1999.

I testi firmati impegnano gli autori.

A&T - sas

Direzione, Redazione, Pubblicità e Pianificazione Via Principi d’Acaja, 38 - 10138 Torino Tel. 011 0266700 - Fax 011 0266711

E-mail: info@tuttomisure.it Web: www.affidabilita.eu

Direzione Editoriale: Luciano Malgaroli, Massimo Mortarino

È vietata e perseguibile per legge la riproduzione totale o parziale di testi, articoli, pubblicità e immagini pubblicate su questa rivista sia in forma scritta sia su supporti magnetici, digitali, ecc.

ABBONAMENTO: a fronte della situazione Covid, la rivista viene inoltrata in omaggio per tutto il 2021 (4 numeri telematici + 4 sfogliabili)

NEL PROSSIMO NUMERO

We have read for you

MISURE. DAI FONDAMENTI ALLA STRUMENTAZIONE

di Michele Norgia, Alessandro Pesatori, Roberto Ottoboni, Cesare Svelto 320 pp. Società editrice Esculapio, 2022

ISBN: 9788893853040Prezzo 26,00 € (formato cartaceo) 18,19 € (formato Kindle)

Qui maggiori informazioni

Questo testo, giunto alla seconda edizione, descrive i fondamenti metodologici che permettono d’impostare, realizzare e analizzare le Misure di grandezze fisiche, insieme ai principi di funzionamento della moderna strumentazione elettronica di misura. I metodi descritti sono in accordo con i piu recenti sviluppi scientifici e la normativa internazionale in tema di misurazione.

Nello specifico, gli argomenti trattati partono dalla Metrologia e dal nuovo Sistema Internazionale, per approfondire poi la teoria della stima dell’incertezza di misura e soffermarsi infine sulla strumentazione di uso piu comune: voltmetri, schede di acquisizione dati, oscilloscopi e analizzatori di spettro.

Benché la valenza del libro sia prevalentemente di carattere didattico, come volume di riferimento per gli insegnamenti universitari di Misure, il suo impiego può tranquillamente uscire dalle aule universitarie per entrare laddove sia necessario creare solide basi sulle tematiche della misurazione, gli aspetti metodologici connessi alle Misure e la strumentazione elettronica di uso comune: per esempio dai laboratori accreditati, dove la conoscenza delle basi della metrologia è imprescindibile, ai laboratori industriali, dove queste competenze sono di grande utilità.

LE AZIENDE INSERZIONISTE DI QUESTO NUMERO

A&T Automation & Testing pp. 12-13

Aerotech pp. 82-84

Asita pp. 16-56-96

Ateq pp. 38-66-77

Aviatronik pp. 3-6-86

Burster pp. 18-78-90

Cibe pp. 34-108-114

Cogo Bilance pp. 14-100

Comsol pp. 8-96-112

Crioclima pp. 44-45-74-80

DSPM Industria pp. 68-92-126

HBK Italy pp. 52-64-81-104-126

Hexagon Metrology pp. 22-23-92-114

IC&M p. 88

Intek pp. 24-112-116

IQC pp. 32-33

Labcert pp. 40-41

LTTS pp. 50-51

Luchsinger pp. 46-102-114

Physik Instrumente pp. 28-54-93-128

Polyworks Europa pp. 10-11-70

Rupac pp. 2-4-80

Tamburini pp. 48-60-61

Teledyne Flir p. 126

La Redazione di Tutto_Misure (info@tuttomisure.it)
ABBIAMO LETTOPERVOI 
• Sensori acustici per il gas • Telelettura dei contatori dell’acqua • Diagnostica delle batterie E molto altro ancora...
T_M N. 3/22  129

Turn static files into dynamic content formats.

Create a flipbook
Issuu converts static files into: digital portfolios, online yearbooks, online catalogs, digital photo albums and more. Sign up and create your flipbook.