THE OSPREY
The International Journal of Salmon and Steelhead Conservation
![]()
The International Journal of Salmon and Steelhead Conservation

pacific lamprey a friend or foe • why abundant salmon are critical to steelhead and trout life history diversity • natural recolonization of salmon and steelhead after reconnecting a river • steelhead fry and their importance to estimating capacity • an interview with rick williams about his new book managed extinction


By Jeff Dose
By Gary Marston
By Peter Kiffney
Kretschmer
By Nick Chambers
By Rick Williams

Chair
Pete Soverel
Editor: John R. McMillan
Associate Editor: Sarah Lonigro
Editorial Committee
Pete Soverel • Greg Knox
Brian Braidwood
Rich Simms • Ryan Smith
Guy Fleischer
Scientific Advisors
Rick Williams • Jack Stanford
Bill McMillan • Bill Bakke • Michael Price
Design & Layout
John R. McMillan
The Osprey is published by: Wild Salmon Rivers 16430 72nd Avenue, West Edmonds, WA 98026
Letters To The Editor
The Osprey welcomes letters to the editor and article proposals
The Osprey P.O. Box 13121 Portland, OR 97213 editor@ospreysteelhead.org
General business and change of address: https://www.ospreysteelhead.org/contact
The Osprey is a joint publication of not-for-profit organizations concerned with the conservation and sustainable management of wild Pacific salmon and steelhead and their habitat throughout their native and introduced ranges. This unique partnership includes The Conservation Angler, Fly Fishers International, Steelhead Society of British Columbia, SkeenaWild Conservation Trust, Wild Salmon Center, and Wild Steelhead Coalition. Financial support is provided by partner organizations, individuals, clubs and corporations. The Osprey is published three issues per year: Winter, Spring/Summer and Fall. All materials are copyrighted and require permission prior to reprinting or other use.





By John R. McMillan
This issue covers topics ranging from Pacific lamprey to the value of salmon eggs to steelhead life histories. This is both an exciting and uncertain time for wild steelhead and salmon, and for Pacific lamprey. Lamprey have received increasing attention over the past decade, and in my experience on the Elwha River dam removal project, they were one of the first animals to move upstream past the dams. We now regularly see their juveniles in the smolt traps.
There are two articles on steelhead that offer valuable insight into different aspects of their life cycle and have implications for management. One focuses on the benefit and role of salmon eggs and the other discusses the importance of fry to life cycle and recruitment dynamics. There is also an article on barrier removal that describes the intended and unintended benefits of reconnecting riverine habitats. Last, but certainly not least, I interviewed scientist Rick Williams about his new book -- Managed Extinction -- that dives into the history of salmon and steelhead management and what has and has not worked, and why. The book was written with Jim Lichatowich, who recently passed and was featured in the last issue of The Osprey.
I wrap up the issue with a handful of recent publications on a variety of topics ranging from dam removal to hatchery effects. Two articles also address adverse effects that result from changes in body size with implications for managing harvest and hatcheries.

Juvenile steelhead holding below spawning salmon as they feed on eggs. Photo credit: John R. McMillan
As some of you likely know, I was recently promoted to President of The Conservation Angler. I’m excited about the opportunity to lead the organization and refine our approach to conservation of wild steelhead and salmon. Unfortunately, that also means I will need to step down as editor of The Osprey. There simply aren’t enough hours in the day for me to take on both jobs. While it was a short run for me, I’m thankful for the chance to contribute to the publication.
I will be replaced by Brian Morrison, a thoughtful scientist and keen observer who lives in Ontario, Canada, but is remarkably knowledgeable about all things salmon and steelhead throughout
North American and beyond. He is a close friend and also an ally of wild steelhead and salmon, and he has a deep appreciation for the history of conservation and what has, and has not, worked. His home-waters in the Great Lakes also offer a unique example of what is possible when steelhead and salmon are introduced and then left to their own devices. I think you will all be pleasantly surprised, even shocked, to learn about the productivity of those highly altered habitats. In closing, I thank everyone for reading The Osprey and caring about the future of wild steelhead and salmon. Their future and the fisheries they support depends on all of us working in concert.


Recently, The Conservation Angler confirmed Peter Herzog as Chair of the Board and John McMillan as President. John in turn has notified me, Chair of the Osprey Management and Editorial Committee that, in light of the demands of his new position, he will need to step down as Editor of the Osprey.
Fortunately, we have identified and hired a new Editor, Brian Morrison, a well-studied fish biologist from Ontario, Canada, who is also a long-time angler and dedicated conservationist. Welcome aboard Brian!
Hits
There have been a couple of recent hits in hatchery cases, including one in the famed North Umpqua River and another centered around hatcheries in the lower Columbia River that are funded by the Mitchell Act. There is also exciting news about the rapid response of salmon and steelhead following removal of four dams in the Klamath River.
North Umpqua River summer steelhead hatchery case
The North Umpqua Coalition’s work to protect the North Umpqua River’s legendary wild summer steelhead took a major step forward last fall, when a Marion County Circuit Court judge denied a motion for an injunction, requesting that the court order the continued release of hatchery summer steelhead into the river. As a result, the Oregon Fish and Wildlife Commission’s historic decision to terminate the Rock Creek Hatchery summer steelhead program - which the North Umpqua Coalition secured through effective legal, scientific, and grassroots advocacy - will finally be implemented. Following their defeat, the plaintiffs filed an amended complaint, alleging new claims against the Commission’s decision. The North Umpqua Coalition will fight against those claims in court to ensure the Commission’s decision stands and that wild North Umpqua summer steelhead are protected.
The North Umpqua Coalition includes The Conservation Angler, Steamboaters, The North Umpqua Foundation, Umpqua Watersheds, Native Fish Society, and Pacific Rivers.
Mitchell Act hatchery case
Last fall, The Conservation Angler, Wildlife Fish Conservancy, and the Washington Department of Fish and Wildlife (“WDFW”) submitted a
By Pete Soverel
joint consent decree in the Western District Court of Washington to settle claims in an Endangered Species Act (“ESA”) lawsuit regarding the funding and operation of Mitchell Act and Select Area Fishery Enhancement (“SAFE”) program hatcheries in the lower Columbia River below Bonneville Dam. The consent decree requires the termination of the non-native Washougal winter steelhead hatchery program and Deep River net pens coho program and
The North Umpqua Coalition will fight against those claims in court to ensure the Commission’s decision stands and that wild North Umpqua summer steelhead are protected.
significant reductions in the release of Chinook salmon from the Kalama/Fallert Chinook program.
Klamath River dam removal
Four dams were recently removed on the Klamath River to help recover wild salmon and steelhead. A collaboration between Cal Trout, Tribes, state, federal, academic, and nonprofit organizations began an intensive science and monitoring program to collect, process, and analyze data on fish migration through the former dams. As part of that process, they’ve tagged adult Chinook salmon, steelhead, and coho salmon to track their journey upstream using radio-telemetry, Passive Integrated Transponders (PIT tags), and SONAR.
SONAR was and remains a critical tool to enumerate salmon and steelhead abundance in the Elwha River dam removal project. In a matter of days, from October 17 through October 29, 2024, SONAR data collected during the fall-run Chinook salmon migration suggested that more than six thousand fish passed the former Iron
Gate Dam site and migrated upstream into the newly re-opened habitats, and numerous Chinook salmon have been documented spawning in those habitats. This is a great first step for the Klamath River.
WDFW missed an opportunity to be forward thinking on this year’s Olympic Peninsula (OP) winter steelhead fishing regulations. WDFW proposed allowing fishing from a boat in the entire Sol Duc River and closing the fishery at the end of March. The Department eventually prohibited fishing from a boat above the hatchery drift, but that change will not adequately protect OP steelhead. These legendary fish are in long-term decline, and given WDFW’s mismanagement of the fisheries, the better move would have been to eliminate fishing from a boat across the entire Quillayute River system. That would reduce angler effectiveness, which would benefit OP steelhead by reducing fishing mortality. It could also potentially allow for an extended season into April if encounter rates were sufficiently low. Unfortunately, WDFW did not adopt this commonsense approach.
WDFW seems to believe that April should be closed because it protects the “meat” of the run and reduces impacts on post-spawn kelts. WDFW is keenly aware that the “meat” of the run once occurred in January-February and the only reason the run timing is so skewed to spring is because of their own mismanagement of hatcheries and fisheries. Further, any angler

worth their salt on the OP knows that kelts start to show in the fishery in late-January through early-February and are common in March. This is an example of how little the policy managers know about the fish and that they are – despite clear science – refusing to acknowledge the shifting baseline syndrome. In other words, contemporary policy managers with the Department are accepting the status quo as the norm, when there is peer-reviewed science indicating otherwise.
The same shenanigans played out in the Calawah, Bogachiel, and Hoh Rivers. Rather than
This is an example of how little the policy managers know about the fish and that they are - despite clear science - refusing to acknowledge the shifting baseline syndrome. In other words, contemporary policy managers with the Department are accepting the status quo as the norm...
reduce impacts, they allowed fishing from a boat in the lower sections. Remember, all fish must first pass through those sections before they can get upstream into areas where fishing from a boat is prohibited. Hence, many are likely caught anyway. It’s time for the Department to begin rebuilding the early-timed component of the run and stop trying to squeeze every last encounter out of the fisheries when the fish need a break.
Pete Soverel is Chair of The Osprey Management and Editorial Committee and founder and President of The Conservation Angler, one of The Osprey’s supporting partner organizations. Learn more about their work at: www.theconservationangler.org

Dear Mr. McMillan
I am a former teacher/principal non biologist retired. I have lived full time on the Methow river in N Central for 15 years. I really enjoyed your first issue of The Osprey. Bill McMillan’s article, “Reflections” was frightening and enlightening. I have been an environmental crazy for many years. Thanks for preaching a lesson about our future. Very well written. Even preaching to the choir!
Several years ago I caught a 8 lb 29 in fish that was marked like a westslope cutthroat (WCT). I asked the local WDFW (Washington Department of Fish and Wildlife) biologist what I had caught. He said it was a cuttbow, probably a WCT/steelhead hybrid. Several others have reported the same type of catch. WCT are a native species probably transported here thousands of years ago by the Missoula floods. They have probably hybridized with planted rainbow and steelhead in most of the mainstem of the Methow.
I have a passion to find out if there are any wild native WCT left in the Methow watershed. I have helped fund a couple studies by John Crandall, local biologist who believes there might be pure WCT in the upper tribs. Funding is available for salmon and steelhead studies but not native trout.
I am writing to ask if you might know of any funding sources that support studying native wild trout. WDFW has no interest and local fishers believe finding pure WCT may close the river. I will continue to support your great work for wild salmon and steelhead.
Lawrence
Hill Twisp WA
Editor: Thank you for the wonderful letter, Lawrence. While we often focus on steelhead and other anadromous species in The Osprey, a recent article by Guy Fleischer in the last issue underscores the importance of resident trout. I also agree that the future of salmonids in the Pacific Northwest is highly uncertain given the unpredictable and increasingly concerning rate of climate change.

Previous issues of The Osprey, going back to 2008, are now available on our new website, providing access to years of in-depth science, policy and legal articles pertaining to wild Pacific salmon and steelhead, their management, research and conservation written exclusively for us by experts in their fields.
Whether you are doing a literature search for a research project or preparing a wild fish conservation initiative and looking for supporting data, The Osprey is an invaluable data base of wild fish information — past and present.
Access back issues of The Osprey at:
https://www.ospreysteelhead.org/archives
Older issues available by request.
The Osprey recipient of the Haig-Brown Conservation Award for excellence in fisheries conservation journalism and communications
By Jeff Dose, Retired USFS Fishery Biologist
Thelittle known and rarely discussed Pacific lamprey (Entosphenus tridentatus) has been in the news a lot since the dewatering and repair efforts to Winchester Dam last summer resulted in a massive fish kill. This article provides some insights about these prehistoric fish. Pacific lamprey are an ancient anadromous, parasitic, eel-like fish species that is found throughout the Pacific Rim along the coastal areas of North America and Asia. These primitive fish evolved at least 350 million years ago - before dinosaurs! They do not have bones, scales, or paired fins but a skeleton of cartilage.
Pacific lampreys spend most of their life as blind, worm-like juveniles, called ammocoetes, burrowed into soft substrates in rivers and streams for 3 to 7 years. At this stage they are filter feeders that ingest passing detritus and algae. After this stage, they metamorphize into their adult shape with primitive fins and grow eyes and teeth, and are called macrophthalmia. They subsequently out-migrate to the ocean during the spring months. At this stage, they have a jawless, round, sucker-like mouth with three teeth called a buccal funnel that they use to attach to a variety of fish species, and even marine mammals. They feed on their hosts’ blood and bodily fluids. The degree of injury and mortality to the hosts is not known, but returning salmon with round scars demonstrates that some hosts survive the experience.
After one to three years in the ocean they return to freshwater in the spring and summer months in preparation to spawn. They do not feed upon return but overwinter in a dormant state for up to a year in caves and crevices prior to spawning the following spring and summer. They can lose as much as 20% of their body weight during this time. They spawn in habitat similar to salmon, gravels and small cobbles. They construct a nest depression by moving substrate with their mouths. A female can have as many as 200,000 eggs, but average about 100,000. The adults die shortly after spawning. After a 3-4 week incubation period, the tiny larvae emerge and disperse downstream where they burrow into soft substrates and begin filter feeding.
Status
Like most Pacific salmon species, Pacific lamprey populations have declined rap-
idly over the past 50+ years. There are many factors to this decline, including: habitat degradation, passage barriers, dewatering of streams, impaired water quality, and predation by non-native fish. All of these factors may be compounded by climate change. Passage barriers - such as irrigation withdrawals, road crossings, and (particularly) dams - are widespread and particularly limiting. Lamprey are not strong swimmers and cannot leap like salmon. Most fish ladders in the Pacific Northwest are designed to pass salmon but are significant impediments to lamprey migration.
to indigenous peoples as food, medicine, and for ceremonial purposes. Their abundance and high fat content made them an especially important food source.
As with streams in nearly every other other region-wide historical distribution of Pacific lamprey, the population in the North Umpqua sub-basin is greatly diminished. All of the factors described above apply here as well, especially upstream passage impediments non-native smallmouth bass in the 100+ mile

Pacific lampreys were once very abundant and were of considerable ecological and cultural importance. Juvenile densities of up to 100 per square yard have been reported. Their filter feeding helps improve water quality. They also once served as a “food buffer” for predators that otherwise would feed on salmon. This includes all life stages; during juvenile out-migration (avian and fish), in the ocean (fish and mammals), and upon their return to fresh water (seals and other (terrestrial) mammals). Like salmon, they die shortly after spawning. Their carcasses are an important source of marine derived nutrients that is utilized throughout the entire watershed. This is why they are known as a “keystone species”. In addition to their ecological functions, they were of great importance
main Umpqua River which the out-migrating juveniles must transit through. One of, if not the most deleterious, factors is the presence of and operation of Winchester Dam. Research during the period 2009-2011 by Ralph Lampman, a graduate student at Oregon State University, found that Winchester Dam greatly reduced adult upstream passage of lamprey. He reported passage efficiencies at the dam of 8% and 19%, respectively for 2009 and 2010. He also reported that all the tagged adults that successfully passed used routes other than the fish ladder. Additionally, he found that many of the unsuccessful adult lamprey migrants stopped by the dam overwintered in voids within the dam itself. He estimated that the number of lamprey passing
Continued on next page

the dam was 960 in 2009 and 556 in 2010. This compares to the counts from the period 1965 to 1971 that ranged from 14,532 to 46,785, and these are likely underestimates. Dam operations and repairs/maintenance have periodically resulted in extremely high rates of mortality of ammocoetes residing within the reservoir. Such work and associated dewatering in the summer of 2023 resulted in an estimated loss of about 550,000 juvenile lamprey, representing up to 7 generations.
Summary
Pacific lamprey are an ancient species that are enormously important to the ecological functioning of our rivers and streams. However, they are not doing very well. They are a “keystone species” that play multiple ecological roles
at all stages of their life history. As larvae they filter the water and capture nutrients and provide an abundant source of prey for many native
Pacific lamprey are an ancient species that are enormously important to the ecological function of our rivers and streams.
aquatic organisms. As outmigrants they serve as a “food buffer” for predators that would otherwise prey on juvenile salmon. In the ocean, they are parasitic, but also serve as prey for a number of fish, avian, and mammal species. Upon their return to freshwater and spawning, their eggs are prey for a host of organisms and, perhaps most importantly, their carcasses are an important source of marine derived nutrients that are critical to the productivity and functioning of the entire food chain for both aquatic and terrestrial ecosystems. Due to their historical abundance, they have a very high cultural and food-source value for most indigenous people in the Pacific Northwest. While not particularly attractive to many people, they are most definitely our friends.

By Gary Marston, Science Advisor for Trout Unlimited’s Wild Steelhead Initiative
The Pacific Northwest is home to a diverse range of salmonid species, including five species of Pacific Salmon, two species of native char, native cutthroat trout, and steelhead and rainbow trout, collectively referred to as O. mykiss. The interactions between these species are complex, but as they evolved in an intertwined ecosystem, the health of one species can directly impact the health of others.
Pacific Salmon are a keystone species in the rivers across the Pacific rim, driving many components of the food web with the bottom-up processes where marine-de -
rived nutrients from their carcasses drive the primary productivity at the base of the food web increasing algal growth, which in turn drives the abundance of aquatic invertebrates that then serve as prey for juvenile salmonids.
Continued on next

Returning salmon also provide more direct inputs to the diet of stream-rearing salmonids, in the form of eggs, flesh, and fry the following season. The increase in productivity provided by salmon is even more important in the Pacific Northwest, where the mix of geology and climate has resulted in nutrient-deprived aquatic ecosystems with limited scope for growth. Since there is a direct link between size at migration and survival the influx of marine-derived nutrients can be the difference between life and death for smolts embarking on their migrations into the North Pacific. Unfortunately, as salmon and steelhead populations have declined the influx of marine-derived resources into the food webs of many streams has greatly diminished resulting in a negative feedback loop that also hinders the recovery of salmon and steelhead populations. Rivers in Washington’s Hood Canal are acutely impacted by this loss, of anadromous fish with Chinook Salmon, summer chum salmon, and steelhead all currently listed under the Endangered Species Act. Steelhead in the watersheds draining to the Hood Canal are currently among the most depressed in Puget Sound and were estimated at just 1.7% of their historical abundance at the time of listing in 2007, with two rivers, the Duckabush and Hamma Hamma Rivers typically only receiving approximately 20 returning adult spawners annually throughout the 1990s. The decline of steelhead in these watersheds has been primarily attributed to poor marine survival, but with the relationship between marine
survival and size at migration there was also significant uncertainty about the role of freshwater food web dynamics in the decline of steelhead, especially since summer chum Salmon populations had experienced dramatic declines during the same time frame as steelhead.
..as salmon and steelhead populations have declined the influx of marine-derived resources into the food webs.. has greatly diminished resulting in a negative feedback loop that also hinders the recovery of salmon and steelhead populations.
Summer chum had numbered in the tens of thousands in the 1960s and 1970s, but by 1990
just over 400 summer chum returned to the entire Hood Canal. These summer chum primarily spawn during September, when water temperatures still facilitate rapid growth at a period when juvenile steelhead need to bluster their fat reserves to prepare for the lean winter months ahead. pink salmon numbers also experienced a significant decline alongside the Summer chum, with only a few thousand returning to the Duckabush and Hamma Hamma Rivers compared to the tens of thousands that had returned in prior years. As juvenile steelhead generally rear in freshwater for 1-3 years, it was hypothesized that the loss of these once robust salmon populations significantly impacted the growth and survival of fish rearing in the Duckabush and Hamma Hamma Rivers.
In an attempt to resolve some of these questions, in 2013, I launched a collaborative research project with Washington Department of Fish and Wildlife (WDFW), NOAA Fisheries, and Long Live the Kings on the Duckabush and Hamma Hamma Rivers, to attempt to resolve some of these questions, with our work primarily focusing on the food web dynamics at the parr life stage. Both the Hamma Hamma and Duckabush River are high-gradient, snow-driven watersheds draining the eastern slope of the Olympic Mountains. These watersheds were uniquely suited to investigating food-web dynamics as each has two sets of natural barriers to anadromous access located several miles upstream

from their mouths. The first barriers are located at rkm 3.2 on the Hamma Hamma and rkm 7.2 on the Duckabush and bar access to chum, pink, and coho. However, steelhead can still ascend these falls. The second barriers located at rkm 4.0 on the Hamma Hamma and rkm 12.1 on the Duckabush, mark the upstream extent of anadromy allowing us to study the food-web dynamics of anadromous and resident O. mykiss in the presence and absence of anadromous salmon.
To investigate the food-web dynamics, we used a mark-recapture and scale sampling study to evaluate the age structure, annual growth, and survival of the fish above and below the barriers. We also collected diet samples from a subset of the fish, which were paired with drift sampling and stream temperature data to evaluate the prey supply and growth potential of O. mykiss in the two watersheds.
We found that juvenile O. mykiss in the Duckabush and Hamma Hamma Rivers grew best when water temperatures were between 10-18°C. However, the growth rate varied depending on the feeding rate of the fish and the quality of the prey items available. However, both watersheds rarely exceeded 14°C, and the optimal temperatures for growth only occurred from mid-summer through early fall, when prey supply became a limiting factor in the upper watersheds. With the prey supply limitations, O. mykiss generally had low feeding rates but selected high-energy prey items such as terrestrial insects and caddisfly larvae. Cased caddis -flies were so prevalent in the diets that it was not uncommon to encounter fish where you could feel the gravel in their gut from caddisfly cases crunching when holding them. However, selecting higher energy prey was not enough to negate the poor growing conditions in the upper watersheds where salmon were not present, and there was minimal growth potential for fish age-3 and older at the observed feeding rates and with the available prey items. As such fish rarely exceeded 300 mm. Our data also indicated that O. mykiss in the upper watersheds above anadromous access typically experienced high mortality rates after age-2, and age-3 to age-4 mortality exceeded 90%. The middle reaches between the falls where steelhead were present showed a similar pattern and aligned with smolt trap data indicating most smolts out-migrated between age-2 and age-3. Indicating that food quality and quantity were likely the primary incentives driving outmigration.


The picture was quite different in the lower watershed, where we found more fish over 300 mm, with a distinct group of age-3 and older fish above 400 mm. Recruitment (survival) data showed that fish in the lower watershed had approximately a 2.0% (Duckabush) to 3.8% (Hamma Hamma) higher average for age-2 to age-3 survival than above the anadromous barrier where only resident O. mykiss were found. However, age-3 to age-4 survival was 11.6% higher in the Duckabush River and 5.5% higher in the Hamma Hamma River. These results were surprising since we could not account for out-migrating smolts in the survival analysis expected to see reduced recruitment to older age classes compared to the upper watersheds.
Growth patterns from the scale samples and recaptured individuals helped to explain the increased survival and recruitment to older age classes, as fish ≥ 400 mm showed a substantial increase in growth after age-2.
Fortuitously, our study aligned with a rebound in the numbers of both pink salmon and summer chum. In 2015 the Duckabush had 4,905 summer chum and 194,112 pink salmon spawn, and the Hamma Hamma River had 1,649 summer chum and 226,641 pink salmon spawn. In the case of the Hamma Hamma River, these fish were packed into just 3.2 km of river, and by the end of the season it was easy to understand why the local Twana name for the place Hab’hab roughly translates to “stinky stinky”.
While there were prey supply limitations in the upper watersheds during the summer months, the presence of salmon provided significant food subsidies starting in late August. The first boost to the food supply occurred as the salmon entered the freshwater and sea lice began falling off them. At the peak of the migration, sea lice comprised nearly 20% of the diet of juvenile O. mykiss. However, once spawning began, the O. mykiss shifted almost completely to feeding on salmon eggs, which are approximately three times as energy-dense as any aquatic invertebrates available in the watershed. Interestingly, while Pink Salmon were by far the most abundant species of salmon, we anecdotally noted that the O. mykiss selected for the larger but less abundant summer chum eggs. During 2019, when summer chum was low 2019, O. mykiss diets were dominated by cased-caddis larvae in areas lacking spawning chum despite pink salmon actively spawning nearby. This finding wasn’t unique to our study either as research done by Erin Lowery (Seattle City Light) on bull trout in the Skagit River, showed that despite 300,000 pink salmon spawning in the Skagit River in 2007, no pink salmon eggs were detected in bull trout diet samples. The reason for this avoidance of pink salmon eggs remains unclear but demonstrates the importance of chum salmon to O. mykiss. As the salmon spawn progressed, flesh and maggots from salmon carcasses became more predominant in the diets and we also observed
some of the larger O. mykiss with worn noses likely from digging the eyed eggs out of redds. The influx of food provided by salmon occurred when water temperatures were nearly optimal for O. mykiss growth resulting in growth rates double of those observed in the upper watersheds. This provided a significant opportunity for the growth beyond age-3, something that was not present in the upper watersheds. While the subsidies of high-quality food items from salmon could explain much of the growth, our sampling targeting juvenile O. mykiss only accounted for the summer and fall seasons. Therefore, we still lacked a full picture of how these larger fish could survive during the rest of the year. The jump in growth observed on the scale samples was so dramatic in these larger (≥ 400mm) O. mykiss that our collaborators in the WDFW scale and aging lab hypothesized that these fish exhibit some degree of an anadromous life history. This hypothesis was supported by ad-clipped hatchery fish appearing in the Hamma Hamma and neighboring Dosewallips Rivers. Neither of these rivers had received hatchery releases in recent years. Additionally, one of our PIT-tagged fish was detected passing through the Ballard Locks the spring after it was tagged. This raised questions about whether we had a half-pounder or estuary resident life history as our scale samples looked very similar to O. mykiss exhibiting these life histories
Continued on next page

Cohort based survival rates between age-2 to age-3 and age-3 to age-4 in the Duckabush and Hamma
in Kamchatka, Russia. Another possibility was that these O. mykiss remained in freshwater throughout their lives and exhibited a fluvial life history. The final hypothesis was that the fish we observed might be hybrids with cutthroat and exhibit an intermediate life history between that of sea-run coastal cutthroat and steelhead.
To answer these questions, we launched another phase of our research project that ran from 2016 to 2019.We affectionately referred to this phase as the “biggie-smalls” project since the fish were bigger than the typical stream resident fish that maxed out at approximately 300mm but smaller than the average steelhead which was typically 500mm or larger. In addition to the Duckabush and Hamma Hamma Rivers, we expanded this component of the project to the Dosewallips River and focused on investigating the life history and food web dynamics of these larger O. mykiss. To do this we employed a mark-recapture study to understand the movement and abundance of these fish, diet sampling to fill in the food web dynamics, and genetics and fin ray microchemistry to determine whether these fish were hybrids or exhibited an anadromous life history. We also opportunistically collected fin rays and genetics from coastal cutthroat to help us understand how they fit into the ecosystem. First, while there were some hybrids, they were a small component of the popula-
tions, and most fish were either pure O. mykiss or cutthroat. Next, the fin ray analysis indicated all the fish with clear anadromous signals were either cutthroat or hybrids. Interestingly, it also indicated cutthroat in the Dosewallips and Duckabush Rivers had base microchemistry signals that differed from those in our watersheds, suggesting that they were spawned in different streams and had entered our study streams to take advantage of food subsidies provided by the spawning salmon. While we couldn’t rule out short-term forays into marine waters for the O. mykiss from the fin ray data, marine residence was not apparent in the data, strongly implying a fluvial life history for these O. mykiss. Next, we started filling in the seasonal diet data which solidified the importance of marine-derived prey items for larger O. mykiss. As we had found during our earlier research, salmon eggs, especially those from chum salmon, dominated their diet throughout the fall months. We were unable to fill in the winter diet due to challenging conditions, but starting in March salmon fry became a key prey item along with sculpin adults and eggs. As juvenile salmon disappeared from the system, cased October Caddis larvae became the dominant prey item. We also observed O. mykiss preyed upon the anadromous western river lamprey when they returned spawn in the watersheds in early summer. With all of these pieces, we finally were able to explain
how these watersheds were able to sustain fish of this size when the above barrier reaches could not. The key is spawning summer chumsalmon in the fall, but also includes other prey items such as salmon fry, sculpin, lamprey, and cased caddis, which allowed the fish to bridge the gap between salmon spawning seasons.
This conclusion was driven home when we dug into the abundance data from the mark-recapture study. During years with high salmon abundance years like 2016, in which 9,899 summer chum returned to the Dosewallips River, the rivers could sustain approximately 20 fluvial fish per km. However, as marine heat waves hit the North Pacific, summer chum numbers crashed and just 565 and 289 spawners returned to the Dosewallips in 2018 and 2019 respectively. The response in the fluvial O. mykiss population was dramatic, and they crashed to such a degree that we could not recapture enough fish to calculate an abundance estimate after 2018. This research highlighted the importance of salmon to the growth, survival, and maintenance of life history diversity in O. mykiss populations and the importance of maintaining and rebuilding healthy wild salmon populations. While it is unclear whether food resources from salmon might result in an overall shift toward a freshwater resident life history, in steelhead populations, like those in the Hood Canal where marine survival has been a
Continued from previous page
significant limiting factor, these freshwater life history forms likely provide a crucial bridge to allow O. mykiss populations to weather poor ocean conditions and take advantage of good conditions when they arise again. As such it is essential that managers take a conservative approach and use policies, such as Washington’s upcoming Resident Native Trout Policy to provide a conservation framework that protects and supports this essential life history diversity.

Suggested Reading
Lowery, E.D. and D.A. Beauchamp. 2015. Trophic ontogeny of fluvial bull trout and seasonal predation on Pacific salmon in a riverine food web. Transactions of the American Fisheries Society 144(4): 724-741.
Kendall, N.W., J.R. McMillan, M.R. Sloat, T.W. Buehrens, T.P. Quinn, G.R. Pess, K.V. Kuzishchin, M.M. McClure and R.W. Zabel. 2015. Anadromy and residency in steelhead and rainbow trout (Oncorhynchus mykiss): a review of
the processes and patterns. Canadian Journal of Fisheries and Aquatic Sciences 72:319-342.
McPhee, M.V., F. Utter, J.A. Stanford, K.V. Kuzishchin, K.A. Savvaitova, D.S. Pavlov and F.W. Allendorf. 2007. Population structure and partial anadromy in Oncorhynchus mykiss from Kamchatka: relevance for conservation strategies around the Pacific Rim. Ecology of Freshwater Fish 16: 539-547.
By P. M. Kiffney1, J. H. Anderson2, M. C. Liermann1, E. L. Jones3, G. R. Pess1, and F. Kretschmer4
1National Oceanic and Atmospheric Administration Center
2Washington Department of Fish and Wildlife
3Graduate School of Oceanography, University of Rhode Island
4 Mountains to Sound Greenway Trust
The migration of billions of organisms, including mammals, insects, birds, turtles, and fish, plays a crucial role in shaping the structure and function of ecosystems. Migratory species are not only ecologically significant but also hold extensive cultural and economic value, serving as vital sources of food and recreation. However, habitat loss and fragmentation have led to significant declines in migratory and other mobile species, including anadromous species which are the focus of our study, prompting extensive socio-economic investments aimed at restoring connectivity and movement corridors (Bauer & Hoye, 2014; Horns & Şekercioğlu, 2018). For anadromous fish, such restoration efforts include dam removal, culvert replacement, and fish ladder construction (Kemp & O’Hanley, 2010; Bellmore et al., 2017).
Despite these efforts, few studies have comprehensively assessed the recovery of anadromous fish populations across all phases of re-establishment—initial, growth, and regulation (Armstrong & Seddon, 2008). Even fewer have examined unassisted, natural re-establishment processes. The initial phase involves the dispersal of individuals to new habitats, the growth phase marks a linear population increase, and the regulation phase indicates stabilization as populations approach carrying capacity. Understanding these phases, along with their ecological spillover effects on non-target species and habitats, is critical for evaluating restoration success and informing future efforts (Anderson et al., 2014; Liermann et al., 2017).
This study focuses on the natural recovery of anadromous coho salmon (Oncorhynchus kisutch) in Rock Creek, a tributary to the Cedar River in western Washington, USA and the ecological consequences of restoring anadromous fish on resident trout populations after the re-establishment of longitudinal connectivity in September 2003 via a fish ladder on Landsburg Dam (Kiffney et al. 2023). Built in 1901 without fish passage, this low-head diversion dam is on the Cedar River about 3.5 kilometers downstream of Rock Creek. This research expands on earlier studies in Rock Creek (e.g., Pess et al. 2011) focusing on stream-rearing populations of juvenile coho salmon and resident coastal cutthroat trout (O. clarkii, clarkii) and rainbow trout (O. mykiss) by extending the monitoring period to 16 years and increasing the spatial scope to include several more kilometers of additional upstream habitat. This time period encompasses about eight generations for coastal cutthroat and rainbow trout and five for coho salmon. Our study provides a unique opportunity to evaluate long-term recovery trajectories and the ecological implications of restoration of longitudinal connectivity without population supplementation for both target (coho salmon) and non-target species (resident trout) at scales relevant to management.
The study was conducted in the 366 km2 Cedar River municipal watershed (lat. 47.419808°, lon. -121.781331°, 274 m above
mean sea level) a forested conservation area managed by the City of Seattle. The Cedar River originates in the Cascade Mountains, flowing southwest for 72 kilometers into Lake Washington near the city of Seattle, WA, USA. The watershed experiences a temperate, maritime climate, with the rainy season lasting from mid-October to June, followed by drier conditions from early July to late September. Landsburg Dam, located on the Cedar River 35 kilometers upstream from Lake Washington, acted as a barrier to fish migration for over a century. In 2003, a fish ladder adjacent to the dam restored access to 33 kilometers of high-quality freshwater habitat for native anadromous fish (Anderson & Quinn, 2007; Pess et al., 2011). Rock Creek, a major tributary to the Cedar River, provides approximately 13 kilometers of this habitat. Upslope forests in the Rock Creek basin consist of previously logged, mixed-aged stands (~80 to > 180 years old) of large evergreen conifers (e.g., Pseudotsuga menziesii, Douglas’ fir) and broadleaf deciduous trees (e.g., Alnus rubra, red alder) and shrubs (e.g., Rubus spectabilis, salmonberry), which are most abundant along watercourses and wetland areas (City of Seattle 2000). There are active gravel roads in the municipal watershed, but they are only used for official purposes and appear to have minimal impact on stream habitat. Rock Creek, a cool (range in median daily summer water temperature = 13.2 – 16.1 °C), heavily-shaded, gravel-bed stream typical
Continued on next page

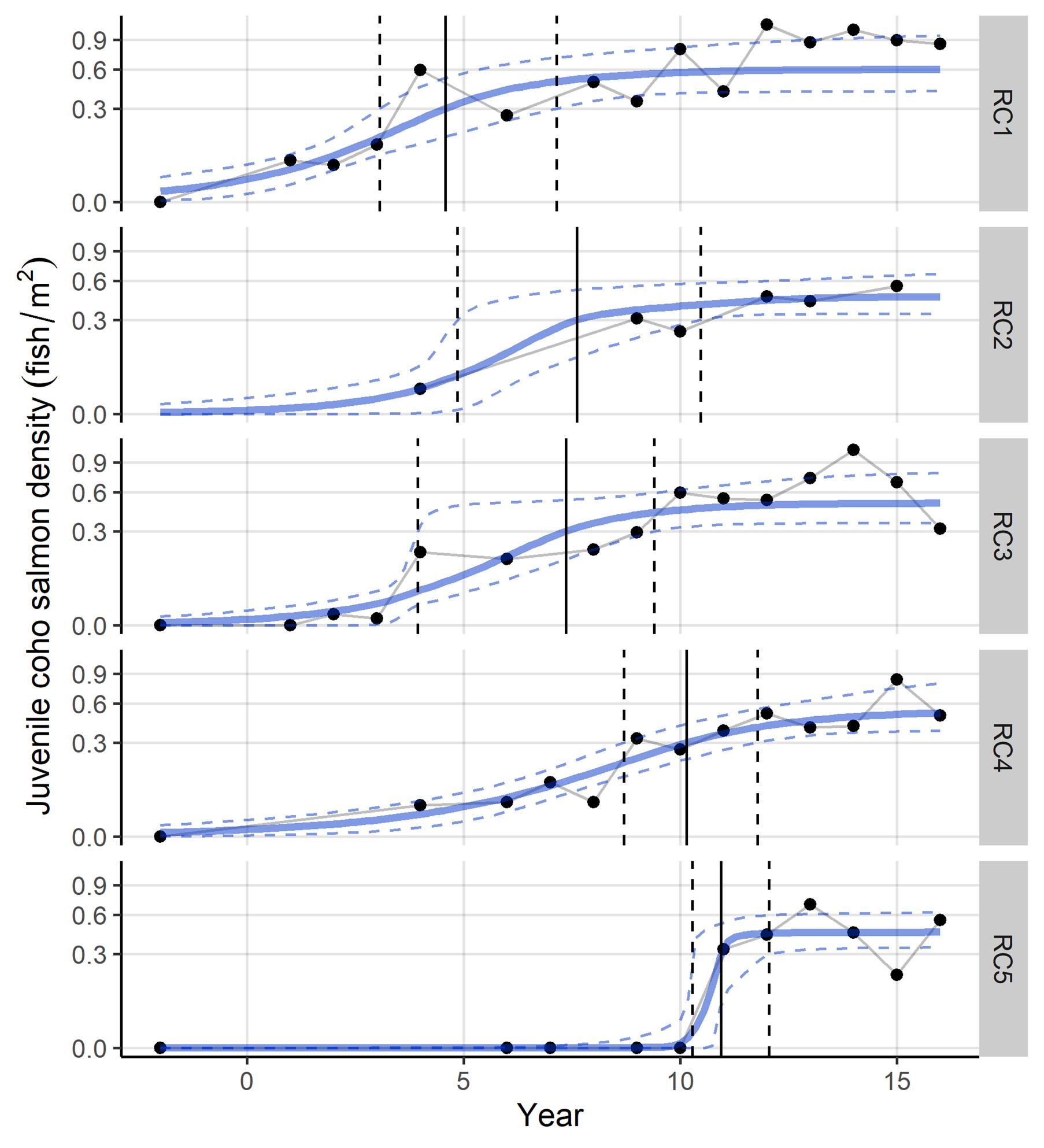
Figure 1. Map of study area in western Washington, USA showing Landsburg Dam (black and white disc), the Cedar River main stem, Rock Creek, Rock Creek reach breaks (dashed orange lines, RC1–RC5), and natural barriers to upstream fish migration (solid orange lines).
of the region. Overall, Rock Creek is about 4 to 5 m wide in summer consisting of a mixture of fast-water (riffles, cascades) and slow-water (pool, runs) habitats, except for a wetland complex about three kilometers upstream from the Cedar River. Large wood debris (<0.1 m in diameter and > 1.0 m in length), an important agent shaping stream habitat complexity, is abundant in Rock Creek (Pess et al. 2011) (Figure 1). Native coastal cutthroat and rainbow trout, which spend their entire life in freshwater, were the only resident salmonids present in Rock Creek before and after restoration (Riley et al. 2001; Buehrens et al. 2014). Coastal cutthroat trout were the dominant resident salmonid in Rock Creek comprising 95% of total trout abundance and biomass before and after restoration (Buehrens et al. 2014). Both trout species mature around age two or three. Anadromous Puget Sound coho salmon spend, on average, 18 months in both freshwater and the Pacific Ocean before returning to spawn and die in their natal stream (City of Seattle 2000). Other abundant native freshwater fish in Rock Creek include several species of sculpin, speckled dace (Rhinichthys osculus ), and western brook lamprey (Lampetra richardsoni) (Buehrens et al. 2014).
Data collection and analysis
Longitudinal snorkel surveys for stream coho salmon and resident trout were conducted in pool habitats in five reaches of Rock Creek (RC1– RC5) that were 3.1, 4.1, 4.8, 6.6, and 7.3 kilometers from Landsburg
Dam to monitor fish populations before and after restoration. During surveys, we also measured pool area (m2) so that we could standardize snorkel counts by habitat area sampled (fish/m 2 ) (Anderson et al. 2008). Although most of the trout in Rock Creek consisted of juvenile (<90 mm total length) and large (>90 mm) coastal cutthroat trout, it was challenging to distinguish between the two species while snorkeling, especially small juveniles. As a result, we combined the two species into ‘trout’ for data analysis.
This research... extends the monitoring period to 16-years and.. encompasses about eight generations for coastal cutthroat trout and rainbow trout and five for coho salmon.
Data collected during snorkel surveys in summer of 2000 and 2001 were used to establish baseline resident trout density (fish/m2) before restoration (henceforth year -2). Year 0 was defined by habitat reconnection and reestablishment of anadromous salmon above Landsburg Dam after completion of the fish ladder in September 2003. We conducted snorkel surveys in the same reaches in summer (June) and early fall (October) after restoration (2004 – 2018 or years 1 – 16 post-restoration). The number of adult coho salmon returning to the river each year was determined at the fish ladder between 2003 (year 0) and 2018 (year 16) (Unrein 2018).
We also examined whether stream-rearing anadromous coho salmon and resident trout in Rock Creek are influenced by the number of adult coho salmon returning to the river by using a 15-year (2003 – 2018) time series of estimated counts of adult coho salmon migrating above the dam (Unrein 2018). It is possible we might observe an increase in the resident trout population, because spawning anadromous fish provide a unique energy resource for the Cedar River food web. We used a combination of analytical approaches to quantify temporal and spatial variation in the fish response to restoration including a Bayesian spatial model as described in Kiffney et al. (2023) that was applied to the juvenile coho salmon response. This model allowed us to quantify whether the rate of juvenile coho salmon recovery varied

Figure 2. Estimated annual juvenile coho salmon density (fish/m2) in each reach of Rock Creek (RC1 – RC5) in relation to survey year based on the Bayesian spatial model. The solid and dashed blue lines are the model fit and 95% pointwise credible intervals. Vertical solid lines represent the estimated date at which the reach-specific population achieved a density of 0.3 fish/m2; the dashed lines represent 95% credible intervals. Points represent an average of at least five replicate slow-water habitat; points were not displayed for years with missing data. Year 0 represents the year restoration was complete.
with distance from Landsburg Dam, the site of restoration, and source populations below.
Key metrics included temporal and spatial trends in juvenile and large trout and juvenile and adult coho salmon abundance in response to restoration.
Results
Juvenile Coho Salmon
No evidence of adult coho salmon spawning in Rock Creek was observed during the first four years post-restoration. Juvenile coho salmon hatched in the Cedar River were detected in low densities within the lower three kilometers of Rock Creek during this period. By year four, adult coho salmon began spawning in Rock Creek, leading to rapid population growth. Over the study period, juvenile coho salmon density increased non-linearly from 0.03 fish/m² in year one to 0.55 fish/m² in year 16 post-restoration, an 18-fold increase. The pro-
portion of surveyed habitats occupied by coho salmon rose from 40% to 95%, and their contribution to total salmonid (juvenile coho salmon + resident trout) density increased from 10% to nearly 70% by the end of the study period. Recovery varied spatially, with higher juvenile coho salmon densities observed in reaches closer to Landsburg Dam. The reach nearest the dam (RC1) achieved a density of 0.3 fish/m² within four years, while the farthest reach (RC5) required 11 years to reach this density. Our spatial modeling confirmed that recovery rates slowed with increasing distance from the dam (Figure 2).
A strong positive relationship was observed between juvenile coho salmon density and the number of adult females migrating above the dam the previous year, suggesting that spawning stock size significantly influenced recruitment success for coho salmon in Rock Creek.
Resident trout populations showed stable densities between pre-restoration and year nine post-restoration, followed by a marked increase in both juvenile and large trout densities. Between year 10 and 15 post-restoration, mean total trout densities (~0.22 fish/m2) nearly doubled compared to the first nine years. Unlike coho salmon, trout densities were higher in upstream reaches, with the highest densities observed in RC5 (0.24 fish/m2) (Figure 3). Statistical modeling indicated that mean annual trout density increases were influenced by distance from the dam, with the largest post-restoration increases occurring in the farthest reaches.
The increase in trout densities correlated positively with the abundance of coho salmon the previous year, suggesting potential ecological benefits of re-establishing anadromous fish populations in the basin.
We found no evidence of negative interspecific interactions between juvenile coho salmon and resident trout over the course of the study, indicating that habitat and food resource availability are not limiting in addition to habitat partitioning by the species minimizing overlap.
The restoration of upstream fish passage at Landsburg Dam enabled the natural recovery, i.e., without hatchery supplementation, of a coho salmon population in Rock Creek after a century of isolation. The observed logistic growth pattern indicates that recovery progressed from an initial phase of colonization to a stabilization phase, with population density approaching carrying capacity within a decade. This timeline aligns with recovery periods reported for other anadromous fish species and ecosystems following restoration efforts, including those where population supplementation occurred (Pess et al., 2014). The spatial variability in recovery rates highlights the influence of distance from source populations on coho salmon colonization dynamics. Reaches closer to the dam benefited from higher initial densities, likely due to both greater accessibility and high habitat quality for dispersing individuals. These findings underscore the importance of considering landscape-scale factors, such as connectivity, water temperature, and habitat complexity in designing restoration projects to optimize recovery outcomes.
The restoration of connectivity at Landsburg Dam also had significant positive effects on resident trout populations in Rock Creek. Increased densities of both juvenile and adult trout suggest that the reintroduction of coho salmon and associated organic matter sub-
Continued on next page

Figure 3. The relationship (solid line) between distance from each reach to Landsburg Dam (km) and Mr, the estimated year at which the reach-scale juvenile coho salmon density achieved 0.3 fish/m2 (black dot), based on the Bayesian spatial model. Vertical gray bars represent uncertainty in Mr (90% credible interval) and dashed lines represent 90% credible interval for the median predicted Mr.
sidies enhanced resource availability and habitat quality. This hypothesis is supported by similar studies demonstrating the ecological benefits of nutrient inputs from anadromous salmon spawning events on a river-dependent bird in the Elwha River after dam removal (American Dipper, Cinclus mexicanus) (Tonra et al., 2015).
Interestingly, trout density increases were most pronounced in upstream reaches, suggesting that spatial heterogeneity in habitat characteristics, such as gradient and complexity, also influenced their response to restoration of anadromous fish.
While we were able to link changes in the resident trout population after restoration to re-establishment of anadromy, the trout response could also be a result of factors beyond our control like natural climatic variation, which influences stream flow and water temperature. Future analysis by our group will investigate the role of this climatic variation in contributing to the resident fish response following re-establishment of anadromous species.
While the exact mechanisms driving annual variation resident trout populations remain uncertain, these findings emphasize the need for long-term, spatially extensive monitoring to fully understand restoration impacts on non-target species.
Subsidies
One compelling mechanism for the observed increase in trout densities is
the influx of marine-derived organic matter from spawning coho salmon. This input can enrich food webs by providing energy-rich nutrients that enhance the growth and survival of stream invertebrates, a primary food source for resident trout. In addition, adult coho salmon provide eggs when they spawn and flesh after they die that are consumed by resident trout and other species. Studies in similar systems have documented significant trophic responses to such marine organic matter subsidies, including increased biomass and growth rates of aquatic and terrestrial organisms (Gende et al., 2002; Scheuerell et al. 2007).
While this explanation aligns with broader ecological theory, further investigation is needed to confirm the specific pathways through which marine-derived nutrients influence trout populations and other organisms in Rock Creek. Stable isotope analysis and detailed dietary studies could provide valuable insights into the direct and indirect effects of nutrient enrichment on resident fish and other ecosystem components.
This case study underscores several key principles for effective conservation and restoration practice. First, the importance of long-term monitoring cannot be overstated. Many ecological processes unfold over extended timescales, and short-term studies may fail to capture critical dynamics, such as delayed recovery or unexpected spillover effects. In
the case of Rock Creek, the 16-year monitoring period provided invaluable insights into the trajectories of both target and non-target species, enabling a more comprehensive evaluation of restoration outcomes (Lindenmayer et al., 2016). Second, spatial variability in recovery responses highlights the need for site-specific management strategies. Factors such as habitat connectivity, channel gradient, water temperature, and the proximity of source populations can significantly influence restoration success. By tailoring interventions to local contexts, practitioners can maximize the likelihood of achieving desired outcomes.
This study illustrates the interconnectedness of ecological systems. Restoration efforts targeting one species or process often have cascading effects on other components of the ecosystem.
Finally, this study illustrates the interconnectedness of ecological systems. Restoration efforts targeting one species or process often have cascading effects on other components of the ecosystem. Recognizing and leveraging these interdependencies can enhance the efficiency and effectiveness of conservation initiatives. Insights from Landscape-Level Recovery Patterns Another notable observation from this study is the influence of landscape-level factors on recovery trajectories. The upstream expansion of coho salmon populations illustrates how dispersal barriers and distance from source populations can mediate colonization success. For resident trout, the spatial variability in response highlights the interplay between biotic interactions and local habitat features such as stream gradient and complexity. Together, these findings underscore the importance of integrating landscape-scale considerations into conservation planning to maximize habitat quality and connectivity. The use of Bayesian modeling in this study allowed for a nuanced understanding of spatial

Figure 4. Boxplots describing the summer distribution of a) juvenile and b) adult trout density (fish/m2) in Rock Creek after restoration of habitat connectivity at Landsburg Dam on the Cedar River, WA. Year -2 represents before restoration densities and years 1–16 represent post-restoration survey years. Completion of fish passage occurred in September 2003, or year 0. No summer snorkel surveys occurred in years 0 or 5. Box plots show 25th (box bottom) and 75th (box top) quartiles, the median (solid line); lines extending from box, or the whiskers, represent minimum and maximum values, and black dots represent outliers.
and temporal variability in coho salmon population dynamics. By incorporating distance from the dam and year-over-year changes in density, the models provided robust predictions of recovery patterns for juvenile coho salmon. This analytical approach could serve as a valuable tool for other restoration projects seeking to account for site-specific and regional factors influencing ecosystem recovery.
While the results of this study highlight several successes, challenges remain for ensuring sustained recovery of anadromous fish populations. One pressing concern is the impact of climate change on aquatic ecosystems. Rising temperatures, altered precipitation patterns, and reduced snowpack could significantly influence water availability, streamflow, and habitat quantity and quality. These changes may dispro-
portionately affect cold-water species like coho salmon and trout, emphasizing the need for adaptive management strategies that account for climatic variability (Heino et al., 2015). Additionally, the influence of downstream anthropogenic pressures, such as urban development and pollution, must be mitigated to preserve the gains achieved through restoration. Collaborative efforts involving multiple stakeholders—from local communities to governmental agencies—will be essential to address these challenges effectively. Public engagement and education can further enhance conservation efforts by fostering a shared commitment to ecosystem health.
The restoration of habitat connectivity at Landsburg Dam facilitated the natural recovery of coho salmon populations in Rock Creek, demonstrating the efficacy of unassisted re-establishment processes for migratory species. The observed spillover effects on resident trout further highlight the ecological benefits of such efforts, reinforcing the value of connectivity restoration as a conservation strategy. By providing a comprehensive understanding of recovery dynamics and interspecific interactions, this study offers valuable guidance for future restoration initiatives aimed at promoting biodiversity and ecosystem function. Looking ahead, continued monitoring and adaptive management will be essential to sustain and build on these successes. Emerging challenges, such as climate change and shifting land-use patterns, underscore the need for flexible and forward-thinking approaches to conservation. By integrating scientific knowledge with practical action, restoration practitioners can help ensure the long-term health and resilience of ecosystems like Rock Creek.

References
Anderson, J. H., & Quinn, T. P. (2007). Movement patterns of adult Chinook salmon returning to the Cedar River, Washington. Environmental Biology of Fishes, 80(1), 1–10.
Anderson, J. H., et al. (2008). Summer Distribution and Growth of Juvenile Coho Salmon during Colonization of Newly Accessible Habitat. Transactions of the American Fisheries Society 137(3), 772–781.
Anderson, J. H., et al. (2014). The effects of migration distance and barriers on life history expression in steelhead and resident rainbow trout. Canadian Journal of Fisheries and Aquatic Sciences, 71(6), 800–812.
Continued on next page
Armstrong, D. P., & Seddon, P. J. (2008). Directions in reintroduction biology. Trends in Ecology & Evolution, 23(1), 20–25. Bauer, S., & Hoye, B. J. (2014). Migratory animals couple biodiversity and ecosystem functioning worldwide. Science, 344(6179), 1242552.
Bellmore, J. R., et al. (2017). The invisible river: Navigating uncertainties in dam removal outcomes. Environmental Management, 59(1), 10–19.
Buehrens, T. W., et al. (2014). Life history patterns of coastal cutthroat trout and steelhead in the Columbia River Basin. North American Journal of Fisheries Management, 34(1), 1–21. City of Seattle (2000). Cedar River Watershed Habitat Conservation Plan. Seattle Public Utilities.
Gende, S. M., et al. (2002). Pacific salmon in aquatic and terrestrial ecosystems. BioScience, 52(10), 917–928.
Heino, J., et al. (2015). The importance of metacommunity ecology for environmental assessment research in the freshwater realm. Biological Reviews, 90(1), 166–178.
Horns, J. J., & Şekercioğlu, Ç. H. (2018). Conservation of migratory species. Annual Review of Ecology, Evolution, and Systematics, 49, 501–522.
Kiffney, P. M., et al. (2023). Long-term ecological responses to fish passage restoration. Ecological Applications, 33(2), e2530.
Kemp, P. S., & O’Hanley, J. R. (2010). Procedures for evaluating and prioritizing the removal of fish passage barriers: A synthesis. Fisheries Management and Ecology, 17(4), 297–322.
Lindenmayer, D. B., et al. (2016). Temporal dimensions of landscape ecology: Wildlife responses to ecosystem change. Trends in Ecology & Evolution, 31(3), 179–188.
Liermann, M. C., et al. (2017). River restoration in the twenty-first century: Data and experiential knowledge to inform future efforts. Conservation Letters, 10(5), 564–572.
Pess, G. R., et al. (2011). Juvenile salmon response to the reconnection of floodplain habitats. Ecological Engineering, 37(8), 1250–1258. Pess, G. R., et al. (2014). Biological impacts of the Elwha River dams and potential salmonid responses to dam removal. Northwest Science, 88(4), 179–201.
Scheuerell, M. D., J. W. Moore, D. E. Schindler, and C. J. Harvey. 2007. Varying effects of anadromous sockeye salmon on the trophic ecology of two species of resident salmonids in southwest Alaska. Freshwater Biology 52:1944–1956.
Schindler, D. E., et al. (2003). Pacific salmon and the ecology of coastal ecosystems. Frontiers in Ecology and the Environment, 1(1), 31–37.
By Nick Chambers
Asteelhead alevin struggles free from its egg casing beneath a riverbed’s gray stones. Nearby, thousands of its siblings remain nestled in the gravel, absorbing the final reserves of their yolk sacs. Within weeks to months, driven by hunger, these alevins will emerge into the current. Only a small fraction will survive the perils of the first days, months, and years ahead. But who will survive is not random—it follows patterns shaped by density, competition, and environmental constraints. Observing and documenting the intricacies of these patterns has occupied scientists for decades, yet life stage-specific dynamics are often overlooked in steelhead management because current models are unable to account for their effects.
One of ecology’s strongest debates has revolved around population regulation: Are populations limited by internal factors, such as competition for limited resources, or by external forces, like climate and predation? Ecologists now largely agree that populations are internally regulated in such a manner that den-

Newly emerged steelhead fry that has just absorbed it’s yolk sac. Photo
Credit: Nick Chambers.
sity will be inversely proportional to individual survival. In short, when abundance is low, the proportion surviving to adulthood increases, and when abundance is high, survival decreases, leading an undisturbed population to form
a natural equilibrium with the environment. By the mid-20th century, simple mathematical models describing these dynamics became commonplace. These models are now critical tools for managing salmonid populations, underpinning decisions about harvest rates and escapement goals. While useful for describing general patterns, they fall short in accounting for specific nuances—such as how patterns of survival and growth evolve through juvenile stages.
From the moment steelhead fry emerge, they face their greatest period of potential mortality, where survival hinges on finding space with adequate food and shelter from predators. Importantly, the rate of mortality is proportional to density, such that high fry densities result in fewer surviving the first weeks of life. This elevated mortality occurs for several reasons.
First, not all fry are able to find sufficient food and some fail to achieve significant growth. These smaller fish are prone to predation as they are weaker swimmers and often take additional risks as they struggle to find food. Observations show that higher
..fry are poor swimmers, and most remain within tens to a few hundred meters of their natal redds during the early period of high mortality. During this time survival and growth advantages fall to those that stay close to home.
densities, such as when multiple redds occur together, typically lead to slower growth and less variation in fry size. This occurs because dominant fry expend more energy defending territories or are forced to share with other fry, while less dominant and slower growing fry are more likely to succumb to predators.
Second is that fry are poor swimmers, and most remain within tens to a few hundred meters from their natal redds during the early

Figure 1. Example stock recruit model showing the assumed relationship between the number of spawners and their surviving offspring (recruits). Black line indicates the average relationship, and the dotted lines show confidence intervals that capture much of the variation. Instead of a single number of recruits for each number of spawners as shown by the solid line here, the number of recruits likely varies by how distributed spawning adults are across available habitat. This means that if spawners are held at low numbers due to poor adult survival, for example, a population might not be able to easily rebound and use all of the potentially productive habitat.
period of high mortality. During this time survival and growth advantages fall to those that stay close to home. Dispersal from the redd often results from passive transport in faster surface flows or competition-driven movement. These strategies are fraught with risk — predators lurk, and finding suitable habitat is not certain. For the fry that manage to disperse and settle in a new area with few competitors and ample food, they have a size debt to overcome and achieving this is anything but certain. There is a narrow range of options for survival through the fry stage and only a short window in which they must evade predators and grow quickly. Few individuals will survive to see the end of the first summer of life, and the patterns of survival and growth that occur during this early window set a trajectory that carries through the rest of life. Once fry have transitioned to the parr stage during their first or second year of life, survival patterns change. In contrast to fry, parr enjoy great flexibility in the paths available for survival to the smolt stage. Increased size limits predation risk, and parr are bet -
ter swimmers, capable of daily and seasonal movements to optimize survival and growth. Increased size limits predation risk and parr are better swimmers, capable of daily and seasonal movements to optimize survival and growth. And where fry must find resources quickly or perish, parr can build reserves successfully and weather periods of low food availability or harsh conditions. Consequently, unlike fry, evidence suggests parr survival rates are not strictly dependent on density. Steelhead exhibit remarkable flexibility in the age at which they smolt. The physiological decision to smolt or remain in freshwater occurs months before the process begins and is largely driven by size and condition. Thus, the trajectory set during the fry stage—including size at the end of the first summer—is critical. Parr that grew well as fry often smolt earlier, while those which struggled early may delay smolting for a year or more. Rather than directly influencing survival, evidence suggests density primarily influences growth and dispersal among parr. Where poor growth among fry lead to increased

mortality, parr mitigate these effects by delaying smolting or dispersing to better habitats.
Delaying smolting comes with a cost however — even if survival rates remain constant, older cohorts produce fewer smolts in general due to compounding annual mortality. And while poor parr growth can contribute to delayed smolting, it is not the sole driver. Early life patterns of density, competition, and habitat limitations carry through freshwater rearing, ultimately influencing when and whether steelhead smolt. Thus, the fry stage plays a critical role not only in survival but also in setting growth trajectories that affect life history outcomes long after emergence.
The legendary homing ability of salmonids ensures that adults return to their natal reaches or tributaries for reproduction. This trait leads to local adaptations that improve fry survival, and some evidence shows that aggregations of closely related fry experience higher survival rates due to reduced territorial aggression. However, this high homing fidelity means that when populations decline, spawning contracts into core habitats, leaving peripheral areas underutilized.
When spawners concentrate in limited areas, fry density reflects redd distribution rather than habitat suitability for juveniles. Since the rate of fry survival is proportional to density and the vast majority of mortality occurs early in life, models without spatial considerations can overestimate fry survival because they underestimate their density. Even if parr survival is unusually high, it likely cannot compensate for early mortality.
Estimating potential habitat productivity is hamstrung by a lack of data from before heavy exploitation of steelhead populations. Current estimates typically rely on noisy adult data, making it difficult to discern clear relationships. Mapping redds and applying known fry dispersal limits offers a method to assess whether populations are at or near capacity (Figure 1). By estimating the proportion of accessible habitat, managers can determine whether additional suitable areas remain underutilized. If the accessible proportion increases with spawner abundance and reaches a plateau, it suggests that most suitable habitat is occupied. Conversely, if no plateau is observed, it indicates untapped potential. As core areas
fill, additional spawners should spread into peripheral areas. Once all suitable areas are occupied, increased spawner and redd abundance will increase local fry density without substantially expanding the occupied range. A fundamental assumption of current methods is that, for each spawner abundance, there is a single average number of offspring surviving to adulthood, with any deviation attributed to environmental factors. This assumption becomes problematic when survival rates are influenced not only by spawner numbers but also by their distribution across a watershed. Incorporating spatial distribution into management could significantly improve steelhead population outcomes in several important ways. Improved estimation of annual population growth rates can guide decisions on harvest levels and incidental mortality, particularly in years when both abundance and distribution of adults are low. Without accounting for the spatial distribution of adults, managers risk overestimating the population’s ability to recover quickly, which could result in overly optimistic harvest targets.
For populations with uncertain and noisy data, simply GPS-locating redds can provide valuable insight into whether a population is at or near capacity in certain years. Additionally, understanding the spatial distribution of adults can help explain why some populations remain stable at levels below the apparent capacity of freshwater habitat.
Finally, incorporating spatial information offers new mechanisms for establishing more accurate escapement goals. An escapement goal ensures that enough fish remain to utilize the available habitat in a watershed, with only the surplus being harvested. Current capacity esti-
mates often rely on parr densities that have not been validated or on mathematical relationships prone to significant uncertainty. By incorporating spatial data on redd distribution, managers can better assess whether escapement goals are sufficient to maintain population productivity. Effective steelhead management requires moving beyond simple models to account for spatial structure and life-stage-specific dynamics. Incorporating measurements of redd distribution and estimates of fry dispersal capacity will bring about a clearer picture of population potential and resilience. By adopting spatially explicit approaches,
managers can better safeguard steelhead populations and their habitats, ensuring sustainable fisheries for future generations.

About the Author:
Nick Chambers is a graduate student at University of Washington School of Fisheries and is studying steelhead in the Skagit River, Washington State.
By Rick Williams
Questions by John R. McMillan
With Acknowledgment to Co-author Jim Lichatowich (See Memorial in Last Issue of The Osprey)
Whatis your background and how did you become involved in salmon and steelhead science and recovery?
See pages 11-13 in Managed Extinction that describe some of this. I grew up in SW Idaho, around Boise and McCall, and spent a lot of time in the outdoors with my family, especially my Dad and brother Ron. We hiked, fished, hunted, and spent a lot of each summer at McCall Idaho on Payette Lake, where we have a lakeshore family cabin that my grandparents built in the late 1930s. A lot of time was spent on the water, canoeing, fishing, and later in my post college years Kayaking. Those years and experiences were transformative. My father and grandfather loved fishing and both were fly fishermen, though not with the same passion I developed. All of us were also involved in Boy Scouting, and my father, brother and I are Eagle Scouts. The program is very good at teaching outdoor (and leadership) skills as well as conservation and stewardship.
At the College of Idaho (a small liberal arts college), I majored in Zoology and English Literature. My parents and grandparents all graduated from C of I, as well. The school had an extraordinary science program emphasizing field ecology and natural sciences. In graduate school, I wanted to study ecology and focus on birds of prey, particularly large falcons. For a short while before grad school, I was a falconer. My Master’s work was on prairie falcons, but after meeting my wife Shauna during that time, I followed her to Hawaii where she attended medical school. Consequently, I examined ecological feeding niches and distributions of non-native birds on Oahu for my doctoral work. Post doctoral work brought me back to the intermountain west and the Pacific Northwest. Shauna was in a 6-year surgical residency in Portland at Oregon Health Sciences University at that time. I examined phylogenetic relationships among the extant cutthroat trout subspecies using allozymes and mtDNA. During those several years (1986 - 1988), I befriended Bill Bakke and did consulting and pro bono work for him at Oregon Trout. Much of that work
concentrated on using science to achieve conservation goals for native western trout, including cutthroat and redband trout and bull trout. At this same time, Bill was very involved in Columbia River salmon and steelhead issues. In 1989, he nominated me for a seat in the yet to be formed Scientific Review Group (SRG), that was formed to advise Bonneville Power Administration on the implementation of the Columbia River Basin fish and wildlife program. I was accepted into that group along with Jack Stanford. Jim Lichatowich joined the group in 1991. The SRG later morphed into the current ISAB and ISRP, both of which Jim and I served on and chaired.
Why did you want to write another salmon book?
Jim and I, along with Jack Stanford were the principals behind the 2006 book, Return to the River. While RttR was a powerful book, it is a dense and academic book and has not been as widely read as we had hoped it would be. Within CRB fisheries circles, it is well known and respected however.
Continued on next page

Cover of Managed Extinction by Rick Williams and Jim Lichatowich. Published by Caxton Press and available to purchase online.
Over the last several decades since RttR, Jim and I had written a number of or papers, including our Osprey contribution Faith in Nature, something we considered to be a very important paper. Our thinking on salmon and steelhead relationships with their habitat was also evolving. We had been exploring the concept of ‘place-based’ and what that meant for salmon diversity and resilience and thought the time was ripe for a new book synthesizing and extending those concepts. We both hoped such a book could make a difference in recovering PNW salmon and steelhead populations.
When did you and Jim decide to write the book?
We decided to start on another book about 5 years ago (2020) in the wake of Bruce McNae’s World Salmon Forum (WSF). WSF brought many of the salmon folks together — Jack Stanford, Jim, me, Dave Montgomery, Nick Gayeski, Bill Bakke, Randall Peterman. Prior to the WSF symposium in Seattle, Bruce charged us to write a white paper describing the salmon problem and suggesting a way forward. That led to two papers, that Jim and I primar-
ily wrote with assistance from the rest of the group. Those papers were Lichatowich et al., 2017, Wild Pacific Salmon: a Threatened Legacy and Lichatowich et al., 2019, An Unfinished Story: Managed Annihilation of Wild Pacific Salmon. That group work also led to a paper in Fisheries — Gayeski, NJ, JA Stanford, DR Montgomery, JA Lichatowich, RM Peterman, and RN Williams. 2018. The failure of wild salmon management: need for a place‐based conceptual foundation. Fisheries 43, no. 7: 303-309. The book took about 5 years to run from start to finish. I was assisted in finishing the book by obtaining an Ecology Writer’s Residency at the Sitka Center for Arts and Ecology near Lincoln City Oregon in early 2023. The last two sections of the book were developed during that residency.
This is a great question and there are actually about 3 audiences. First, and primarily, it was written for people concerned about the declining salmon and steelhead runs in the PNW and CRB. This will include interested lay people, members of fishing clubs and conservation groups, conservation oriented NGOs and their staff, and so on. For this reason, Jim and I (and the publisher at Caxton Press) felt it imperative that the book follow stylistically with Jim’s great Salmon Without Rivers book, both in its flowing narrative voice, but also with the use of footnotes and extensive EndNotes for readers who wanted to know sources or greater detail.
..we both believe in possibilities for people, salmon, and their ecosystems. All can be resilient if given the chance.
The second group we wanted to target were students and professors in fisheries and environmental education where we hope that the book will be used in graduate and undergraduate education courses — as Salmon Without Rivers was used for the last several decades. Jim greatly hope that Managed Extinction would take over that role which Salmon Without Rivers had played for some time. Finally, we hope that fisheries professionals and policy/administrators who work in the CRB and PNW on salmon and steelhead management will find the book thought provoking. At its base, the book is
really about how we manage natural resources. Finally is was for the second and third groups that we placed such emphasis on the comprehensive EndNotes for each chapter.
Final question: How do you remain optimistic given all the challenges that salmon face?
Jim and I talked at some length about this point. Given the continuing uphill battle that CRB salmon recovery has been — and continues to be — it would be easy to burn out or become cynical. We believed that we stayed optimistic for several reasons. First and foremost, optimism and kindness seem to fall within each of our natures.
That doesn’t mean we can’t be, and haven’t been straight spoken and critical of many things in our new book and our scientific writing, but we both believe in possibilities for people, salmon, and their ecosystems. All can be resilient if given the chance.
In the book, Managed Extinction, we both wished we had more examples of restoration and rebuilding, like the Elwha River and Salmon River (Oregon) that demonstrate so clearly and vividly how quickly salmon and ecosystems can recover when given the chance. Perhaps the Klamath River and salmon can now provide another powerful example now that the four dams are out and the river and salmon are responding.
Editors Note:
Rick Williams and Jim Lichatowich have a unique ability to convey complex topics in an easy to understand way, which is one reason I enjoyed this book. I also enjoyed the book because of it’s thorough examination of the challenges salmon and steelhead face, the examples of where wild fish have succeeded and where they have not, and why hope is paramount in a rapidly changing environment. The book also dives into the failure of European-American Stewardship relative to Native American Stewardship, providing a cultural touchstone about salmon economies and how and why our contemporary efforts to manage wild salmon and steelhead have not only failed the fish, but also the people that rely on them. That being said, places like the Salmon River in Oregon, where coho salmon recovered abundance and diversity after cessation of a hatchery, the remarkable turn around of sockeye salmon in Lake Osooyos, and the resurgence of steelhead and bull trout following removal of two large dams in the Elwha River, ballast the notion that all is not lost. To realize similar results in other watersheds and populations, however, we must align the four-H’s (habitat, hydropower, harvest, and hatcheries). If not, our efforts to rebuild wild salmon and steelhead are unlikely to be successful.

Initial responses of Chinook salmon (Oncorhynchus tshawytscha) and steelhead (Oncorhynchus mykiss) to removal of two dams on the Elwha River, Washington State, U.S.A.
The Elwha River project – until recently in the Klamath River basin – was the largest, most ambitious dam removal effort in the United States. In this study, authors evaluated the response of Chinook salmon and steelhead to dam removal and found that, 1) the spatial extent of hatchery and natural origin Chinook salmon and steelhead rapidly expanded within a few years of dam removal, 2) natural production of juvenile Chinook and steelhead was suppressed within the first few years post-removal and then increased three years after adult passage was restored, a pattern likely related to impacts of downstream sedimentation, and 3) Chinook salmon were dominated by hatchery production, while steelhead were a mix of hatchery- and natural-origin fish, though spatial expansion of adult steelhead above the dams was predominated by natural-origin individuals. Last, there was also a reawakening of summer steelhead into the upper watershed that were in part derived from resident rainbow trout. The results underscore how quickly fish can increase their abundance and spatial distribution once barriers are removed.
Study is here: http://dx.doi.org/10.3389/fevo.2024.1241028
Does size selective harvesting erode adaptive potential to thermal stress
This study conducted an experiment to evaluate the effects of directional selection on zebrafish and whether such selection impaired their ability to respond to thermal stress (elevated temperatures). The study produced three groups of fish, one where larger fish were selectively removed, another where smaller fish were selectively removed, and a third where individuals were randomly removed. They found groups that experienced directional selection against large and small body size displayed reduced growth rate and a shift in their response to lower or elevated water temperatures compared to fish from the randomly selected group. This indicates that populations exposed to directional selection may have a more limited capacity to respond to thermal stress. While the research is on zebrafish, salmon body size has generally declined over the past century, highlighting the need for similar studies on salmon to determine if selection against larger individuals compromises their capacity to adapt to and keep pace with a rapidly changing environment.

Study is here:
https://doi.org/10.1002/ece3.11007
Salmon hatchery strays can demographically boost wild populations at the cost of diversity: quantitative genetic modeling of Alaska pink salmon
The study evaluated the impacts of stray hatchery pink salmon on natural population productivity and resilience. The model was based on a long-term data set from a multi-generational study of hatchery-wild interactions in the world’s largest fisheries enhancement program in Prince William Sound, Alaska. The authors found that the increasing presence of hatchery salmon on the spawning grounds provided a boost in abundance, but that hatchery origin genes can rapidly assimilate into a natural population despite the reduced fitness of hatchery fish. As a result, while the hatchery increased abundance, the introgression with hatchery fish came at a cost of reduced variation in adult return timing up to 20%. Run timing is one way in which salmon and steelhead can respond to climate change, and reductions in diversity and run timing may limit their ability to adapt, which is why there is a need to better balance hatchery effects with the conservation of diversity in wild populations.
Study is here: https://doi.org/10.1098/rsos.240455
For more information on potential effects of pink salmon, go to website for The Osprey and read the Winter 2024 issue where Greg Ruggerone and Alan Springer take a deep dive into their effects on ocean ecology in the North Pacific.
Issue is here https://www.ospreysteelhead.org/ archives/107hatcherypinksalmon
Adapting management of Pacific salmon to a warming and more crowded ocean
This study looks at changes in the North Pacific Ocean, the number of salmon in the ocean, and potential impacts and implications for a salmon future. The North Pacific Ocean is warming and becoming less predictable, as evidenced by the blob that appeared in 2013. Further, due to a warming ocean that has primarily benefited pink salmon and massive releases of hatchery fish to support commercial fisheries, there are more salmon in the North Pacific than at any time in the past century. The warming water temperatures and the high levels of salmon competing for food have been associated with a variety of changes in salmon, including but not limited to productivity, body size, and age at maturation. Given the overwhelming number of hatchery fish being released into the ocean, the authors propose limiting further releases and implementing a tax on hatchery releases. The premise of the tax is that there is a finite amount of food in the ocean and that food supply is a “common property” that should not “be without cost to those that seek to benefit” from it. The paper underscores the sensitivity of the North Pacific Ocean, the implications for an abundance of pink salmon and large releases of hatchery fish, and takes a novel approach to solving a complex situation that is only likely to get worse in the coming decades.
Study is here: https://doi.org/10.1093/icesjms/fsae135
Continued
Continued from previous page
Disruption of natural disturbance regime decouples habitat and life stage in a keystone species
This study is interesting because it covers such a long period of time and evaluates how fisheries and hatcheries may influence fish to create a mismatch with their habitat. Using over 100 years of data on Chinook salmon, they examine where changes in body size potentially impact their ability to successfully spawn in a highly altered California river where dams block the transport of sediment. They found that salmon body size declined over time, while river substrate became larger and sidechannel habitat became increasingly disconnected from the main channel. Their results indicate that increasing body size to historic sizes could increase available spawning habitat by as much as 13%. They also placed large and small gravel over cobble in two spawning riffles, and observed notable increases in the amount of spawning activity that was more pronounced where smaller gravel was deposited. After a decade, they replenished both sites with medium-sized gravel, which also resulted in increased spawning activity. The implication is that the available spawning substrate may be too large to be mobilized by smaller sized salmon and consequently, spawning processes can be decoupled from habitat below dams. This suggests that increases in substrate size combined with declines in body size due to hatchery and harvest practices can have a series of unintended effects on population productivity.
Study is here: https://doi.org/10.1002/ecs2.70017



To support our conservation mission and receive The Osprey three times per year, January, May and September, please fill out this coupon with your check made out to The Osprey - The Conservation Angler and mail to:
ADDRESS



P.O. Box 13121
Portland, OR 97213