Light Lines July/August 24

Page 1


THE HOLISTIC PICTURE

Look beyond carbon, says new president

LARKS, OWLS AND SILENT MIRACLES

The 2024 Daylight Award winners

SECRETARY

Brendan Keely FSLL bkeely@cibse.org

EDITOR

Jill Entwistle jillentwistle@yahoo.com

COMMUNICATIONS COMMITTEE:

Andrew Bissell FSLL

James Buck

Iain Carlile FSLL

Jill Entwistle

Fiona Fanning

Debbie-Sue Farrell

Chris Fordham MSLL

Rebecca Hodge

Stewart Langdown FSLL

Luke Locke-Wheaton

Rory Marples MSLL

Linda Salamoun MSLL

All contributions are the responsibility of the author, and do not necessarily reflect the views of the society. All contributions are personal, except where attributed to an organisation represented by the author.

COPY DATE FOR LL5 2024 IS 17 JULY

PUBLISHED BY

The Society of Light and Lighting 222 Balham High Road London SW12 9BS www.sll.org.uk ISSN 2632-2838

© 2024 THE SOCIETY OF LIGHT AND LIGHTING

The Society of Light and Lighting is part of the Chartered Institution of Building Services Engineers, 222 Balham High Road, London SW12 9BS. Charity registration no 278104

Designed and printed in the UK

George Eason

Graphic Design

www.georgeeason.design hello@georgeeason.design

FROM THE EDITOR

The issue of the need to save lighting energy versus lighting quality has been rumbling on for some time. The CFL, not lighting's finest hour, may have been worthy, but its ghastly pallor made it deeply unlovable.

When white-light LEDs first emerged, many lighting consultants had serious reservations about specifying them in place of halogen or xenon.

After years promoting the importance of lighting quality, LEDs perversely got everyone focused on carbon counting at the expense of ambience.

Energy use is critical, but the point is that a well-designed lighting scheme should by definition meet both carbon and quality criteria. As new SLL president Dan Lister said in his address (The Whole in One, p5), we need to ensure that the lighting message is about the complete, complex picture, including its effect on human beings.

'When I look at how the industry talks about performance, all too often the approach is reductive: focusing on technical compliance, practical utility or wellbeing through the offer

of “circadian products”,' he told SLL members.

'We’re very good at measuring the calculable, but not so good at classifying the less tangible aspects such as quality, perception, experience, visual comfort, occupant comfort and considering the needs of different parts of our society.'

In this vein, the SLL's Light2Perform event at ExCeL in November will take as its theme Lighting Quality for People.

'Good lighting considers human needs, aesthetics, and the interplay between light and our senses,' said Lister. 'It transforms spaces, enhances experiences, and contributes to a healthier, happier environment for all.'

CURRENT SLL LIGHTING GUIDES

SLL Lighting Guide 0: Introduction to Light and Lighting (2017)

SLL Lighting Guide 1: The Industrial Environment (2018)

SLL Lighting Guide 2: Lighting for Healthcare Premises (2019)

SLL Lighting Guide 4: Sports Lighting (2023)

SLL Lighting Guide 5: Lighting for Education (2011)

SLL Lighting Guide 6: The Exterior Environment (2016)

SLL Lighting Guide 7: Office Lighting (2023)

SLL Lighting Guide 8: Lighting for Museums and Galleries (2021)

SLL Lighting Guide 9: Lighting for Communal Residential Buildings (2022)

SLL Lighting Guide 10: Daylighting – a guide for designers (2014)

SLL Lighting Guide 11: Surface Reflectance and Colour (2001)

SLL Lighting Guide 12: Emergency Lighting (2022)

SLL Lighting Guide 13: Places of Worship (2018)

SLL Lighting Guide 14: Control of Electric Lighting (2023)

SLL Lighting Guide 15: Transport Buildings (2017)

SLL Lighting Guide 16: Lighting for Stairs (2017)

SLL Lighting Guide 17: Lighting for Retail Premises (2018)

SLL Lighting Guide 18: Lighting for Licensed Premises (2018)

SLL Lighting Guide 19: Lighting for Extreme Conditions (2019)

SLL Lighting Guide 20: Lighting and Facilities Management (2020)

SLL Lighting Guide 21: Protecting the Night-time Environment (2021)

SLL Lighting Guide 22: Lighting for Control Rooms (2022)

Guide to Limiting Obtrusive Light (2012) Code for Lighting (2022)

Commissioning Code L (2018)

SLL Lighting Handbook (2018)

CIBSE TM66: Creating a Circular Economy in the Lighting Industry (2021)

CIBSE TM65.2: Embodied Carbon in Building Services – Lighting (2023)

FROM THE SECRETARY

It was great to see so many people join us at Leeds Art Gallery and online for the SLL AGM, Awards (see p7) and Presidential Address (see p5). Congratulations to all the award recipients, it was good to hear from those providing their citations as well as the recipients' acceptance speeches.

I welcome Dan Lister, SLL president, with whom we will work closely to make sure his presidential year is as enjoyable as it can be. I would like to thank Helen Loomes, now immediate past president, for her work and contribution to the SLL during her presidential year. I would also like to thank my colleague Fiona Fanning, who has made everything better for the SLL in the past 12 months and who has been great to work with.

We have a refreshed website which now includes a Membership Finder. All you have to do is click on three items that describe your experience, or education and experience, in lighting and it will suggest the SLL membership grade for you. For those thinking of applying for or upgrading their SLL membership, go to the website (see box for link) and click Routes to SLL Membership.

A Lighting Course Finder will follow, which will break down the lighting course options available depending on what aspect of lighting you work in, how long you are willing to study, whether remote or in-person, and what you will get from the course.

Other changes to the website include grouping items based on their relationship to other information. For instance, the heading of Knowledge and Resources includes SLL lighting guides, Light Lines magazine, on-demand webinars and past presentations, LR&T, and the SLL Directory of Lighting Consultants.

For webinars and past presentations, there is a new Excel spreadsheet on the page which when opened lists all the on-demand knowledge. By clicking ‘presentations’ on the bottom bar menu you can search for recordings based on category.

A huge thanks to Andrew Bissell (SLL past president) and Fiona for their work with the website. I'm happy to hear any comments on the changes.

We have a number of events coming up. An introduction to Dark Sky Lighting, organised by South West Regional lighting representatives Jennifer Neal and Nathan Wright, will take place on 4July at Mott MacDonald, Bristol.

• To apply for, or upgrade, SLL membership (click Routes to SLL Membership): www.cibse.org/get-involved/ societies/society-of-lightand-lighting-sll/join

• For more details and to register for the ICEL conference: www.thelia.org.uk/page/ icelconference

• Registration and details of the Recolight Circular Lighting Live Conference: www.recolight.co.uk/ circular-lighting-live/

• Register for Ready Steady Light www.cibse.org/what-s-on/ search-events/ready-steadylight-2024

SLL will again partner with the ICEL Emergency Lighting Conference, on 12 September (see box for the ICEL website). We are also delighted to partner with the Recolight Circular Lighting Live Conference on 9 October. This is an excellent opportunity to promote circularity in our industry based on the principles of CIBSE’s TM66 (see box).

Ready Steady Light 24, in association with Rose Bruford College and the IALD, will take place on 15 October and registration is now open. We had to turn teams away last year so don't delay and register now.

SLL Light2Perform 24 takes place on 13-14 November at ExCeL, London, alongside CIBSE’s Build2Perform. The overall theme is Lighting Quality for People. This will include lighting for people with neurodiversity and visual impairment, post-occupancy evaluation of office lighting, the new aesthetic of repair and reuse in lighting design – and why we need a mindset shift.

The following week we will exhibit at LiGHT 24 at the Building Design Centre, London. I hope to see many of you there.

THE WHOLE IN ONE Carboncountingiscrucial,saysnew SLLpresidentDanLister,butthefocus mustalsobeonwiderissues

NORTHERN LIGHTS

Thisyear'sAGMAwardsatthe LeedsArtGallery

THE PIONEER AND THE PURIST

The2024DaylightAwardhonoursa chronobiologistandanarchitectwho celebratesthe'silentmiraclesofdaylight'

BUILDING COMPETENCE

TimBowesexplainswhysafetyand sustainabilityinthebuiltenvironment arecritical,andcompulsory,CPDareas forSLLmembers

WORK LIGHT BALANCE

IainCarlilelooksattworelatedpapers inaspecialwellbeingissueofLighting ResearchandTechnology

STATE OF THE ART

Top5:MartinaAlagnaonfiveinspirational lightartistsandcollectives EVENTS

COVER: Sport Pavilion, Francisco De Vitoria University, Madrid, by Alberto Campo Baeza, this year's winner of the Daylight in Architecture award

Javier Callejas

News

SMART LIGHTING CALL FOR PAPERS

The organiser of the 2024 edition of theIEEE Sustainable Smart LightingWorldconferencehas put out a call for papers.

Mike Simpson (left), former president of both CIBSE and the SLL, has taken over as chair of trustees of the Lighting Education Trust (LET). He replaces Hugh Ogus (right), now in his 90th year, who was instrumental in setting up the LET in 1995. Simpson has also been involved with the LET since its foundation. The charitable trust is supported by CIBSE, the SLL and the IALD, as well as lighting consultants and manufacturers.

'This presages quite a change in command with a younger generation coming forward,' said Ogus. Hywel Davies, CIBSE's former chief technical officer, was elected a trustee in April, joining Jeff Shaw and Iain Macrae, both former SLL presidents, who were elected the previous year. John Aston remains the trustee nominated by CIBSE.

The LET Diploma in Lighting Design is the only high-level, non-graduate lighting design course available. Diploma holders can be accepted by UCL Bartlett for its MSc Light and Lighting course. The LET now has a new website: www.lightingeducationtrust.org

SIMPSON TAKES OVER AS CHAIR OF LIGHTING EDUCATION TRUST NEW INDUSTRY EVENT FOR SCOTLAND

The Scottish Lighting Event in May marked the return of an industry exhibition and CPD programme to the country. The event, held at Edinburgh Napier University and organised with the help of the SLL, featured 26 exhibitors including Atrium, iGuzzini, Holophane and Bega. The exhibition and talks programme were coorganised by Lisa Sutherland, marketing manager at Stoane Lighting and member of the SLL Events Committee, and Lindsey McPhillips, senior street lighting engineer at the City of Edinburgh Council and chair of the ILP Scotland LDC.

Feedback from attendees was positive. 'The SLL and Scottish ILP have done an amazing job getting all the lighting professionals together for one of the best technical sessions/exhibitions in a long time,' commented one visitor.

• Edinburgh-based Stoane Lighting has won two King’s Awards for Enterprise, one for Sustainable Development, the other for Innovation, recognising the ZTA range

ON THE LIGHTER SIDE…

With the Paris Olympics beginning at the end of this month, a timely and cheering story on street lighting. With the organising committee committed to halving emissions compared with London and Rio, scrutiny has fallen on street lights.

Paris lighting consultant Concepto (Roger Narboni) and designer Studio 5.5 have installed 350 fittings made from salvaged scaffolding poles and lampposts in the athletes' village.

The fittings vary in shape, size and construction, the tallest made from reused

galvanised steel lampposts and the shorter ones featuring laminated wood poles. Where lighting for pedestrians was needed, a second light source is placed at the lower end of a scaffold-pole crosspiece. This helped to reduce the overall number of fixtures required.

The event will be held in Eindhoven in November and will coincide with the GLOW Eindhovenlight festival, which attracts hundreds of thousands of visitors.

The conference (LS2024) has evolved from the first event, the Light Sources Technology Conference, held in 1975 in Loughborough. It is organised by the Intelligent Lighting Institute (ILI), EindhovenUniversity of Technology, in coordination with the IEEE.

It brings together scientists and engineers worldwide, both in academia and in industry, toshare and exchangethe latest progress on the science and technology of lighting.

'It provides a unique forum to discuss the latest developments in energy, environmental and human welfare impact of light, light sources, and lighting infrastructure, and their interaction with healthy buildings,' commented Professor Jean-Paul Linnartz of Eindhoven University of Technology.

The Sustainable Smart Lighting World conference will be held on 12-14 November in Eindhoven. The deadline for 2pp abstracts is 19 July. More details at www.ssleindhoven.com/home

BEHAVIOUR EXPERT GIVES KEYNOTE AT ICEL EVENT

Professor Ed Galea, a renowned fire safety engineering expert from the University of Greenwich, will be the keynote speaker at the ICEL Emergency Lighting Conference in London in mid-September.

Galea will share his extensive research on human behaviour during emergencies, highlighting good practices for enhancing safety and efficiency.

Organised by the LIA and supported by the SLL, the event will focus on the latest thinking in emergency lighting.

The event will be at the Cavendish Conference Centre on 12 September: www.thelia.org.uk/page/ICELConference

THE WHOLE IN ONE

Carboncountingiscrucial, saysnewSLLpresident DanLister,butthefocus mustbeonthewiderissues affectinglightingquality

The lighting industry faces many challenges, said the SLL's new president Dan Lister, citing ecological impact, technological advances, changing regulations, budget and financial constraints, as well as generative AI, 'but arguably the climate crisis poses the greatest risk to us all'.

While a number of countries have committed to net zero emission targets, many are not on track to achieve their goals, he said, adding that he was proud to be part of an industry that has embraced the need for change, 'with significant steps made technologically that deliver meaningful reductions in operational carbon'.

This, coupled with the development and adoption of TM65.2 and TM66 by specifiers and manufacturers alike, and the imminent release of BS 8887 – a code of practice for the remanufacture of luminaires – 'collectively provide us the tools to tackle the carbon contained within the products we use'.

Ultimately, everyone was looking to provide clients with spaces that can be considered high performance, said Lister, who is currently director of lighting at Arup.

'But what does this mean as lighting professionals?' he asked. 'When I look at how the industry talks about performance, all too often the approach is reductive: focusing on technical compliance, practical utility or wellbeing through the offer of “circadian products”. We are seemingly in a race to lowest carbon by only talking about "how" we are going to do it, without thinking about "who” we are doing it for and “why”.'

Lighting performance has many aspects, he said. As a minimum, buildings and places must be safe for people and provide sufficient light for the task in hand. However, he added, we now know that lighting can much more broadly

influence human experience, society at large and the environment.

'I believe we’ve unintendedly settled ourselves into a comfortable corner that speaks directly to what clients want to hear, not necessarily more broadly about the holistic performance of lit spaces that clients need to hear about,' he said.

'We know that good lighting considers human needs, aesthetics, and the interplay between light and our senses. It transforms spaces, enhances experiences, and contributes to a healthier,

'We need to be better at describing the benefits of good quality lighting, in a consistent manner, so that we’re advancing the narrative in the same direction'

happier environment for all. We’re very good at measuring the calculable – energy, embodied carbon, light spill, cost and so on – but not so good at classifying the less tangible aspects such as quality, perception, experience, visual comfort, occupant comfort and considering the needs of different parts of our society.'

He added that this was by no means meant to dismiss the 'amazing work' of members who are educating clients on the importance of good lighting, the tenacity of volunteers who donate

time to develop standards and guidance documents, or 'the forward-thinking companies that are challenging the historic construction norms one project at a time'.

However, he said, he believed that as an industry we need to be better at describing the benefits of good quality lighting, in a consistent manner, so that we’re advancing the narrative in the same direction. 'Clients should be confident that when engaging with members of the society, they are getting considered and balanced expert knowledge – ideally evidence-based and supported with academic rigour, certainly more than just sales rhetoric.'

Lister said it was the role of the SLL to provide opportunity to access this knowledge, supporting the ongoing professional development of members and assisting in the evolution of the industry, 'moving the market towards higher performing lit environments'.

'CIBSE, the SLL and our members all have a role to play in this. Collectively we are the curators of building performance and carry the moral responsibility to ensure that we are going beyond "bare minimum" and delivering the "best affordable" outcomes for our clients as

Background

well as the people who will use the spaces.

The industry has very successfully transitioned itself away from conventional light sources, he said. 'We are starting to see our efforts influence clients in their approach to embodied carbon, incorporating circular economy principles into their business-as-usual activity, and starting to move the dial on carbon savings now and for the future.

'Our sector is at the forefront, surpassing many other industries within the construction field,' he continued. 'We are proactively adapting to legislative requirements and showcasing the potential of robust leadership from an engaged and well-supported professional association.'

The value that members can bring to the table is gaining recognition among collaborators, thereby strengthening the SLL's brand and standing in the industry, he said. 'It’s now crucial to leverage this platform to remind our clients about the importance of looking beyond carbon. We need to emphasise that the quality of light and the creation of spaces for people are equally significant. After all, enhancing the human experience is at the core of our work.'

All of our achievements are rooted in the

'As with many in this room, becoming a lighting designer was not a conscious career path when leaving the school gate. Having grown up in a small rural North Yorkshire town, and following years of summer jobs labouring on my uncle’s farm, I travelled south to study electronic engineering in Sheffield.

My degree was in the design of computers, but as part of my studies I was required to undertake project work with an external industry partner. I was fortuitously allocated to a large multi-disciplinary engineering consultancy firm and, while primarily motivated to avoid another summer on the farm, I approached them about the possibility of a summer job.

My electrical engineering internship at Arup gave me my first glimpse of lighting design – working on the remodelling of a church to incorporate a community centre. The process of lighting design fascinated me – the balance between the theoretical engineering-led amenity of light, with the need to mentally visualise the impact of your choices, captivated me at first lumen calculation.

I was fascinated by how small considerations at design stage, such as the offset of a downlight from a wall, could change the perception and success of a space, fusing engineering with aesthetics.

Twenty-five years later, I’m still within the same organisation, however, my career path has been far from typical. What began as an interest in a small part of my job grew into enthusiasm to do more, demonstrating one project at a time the value of careful and considered design.

During those early years, local projects requesting specialist lighting designers were few and far between. This drew out an entrepreneurial spirit, developing skills across the broadest gamut of lighting-related challenges. Projects ranged from road lighting to daylighting, environmental impact assessment to placemaking, museums to universities and from local tennis courts to global sporting events.

I am profoundly grateful for the privilege of working with a host of remarkable mentors and experienced colleagues who have nurtured my passion for lighting and fostered my development. Their generosity in sharing their time, wisdom, and experience has been unwavering. They have taught me to challenge the obvious, spurred creativity, and offered encouragement to venture beyond conventional limits. For this, I will forever be grateful.'

capability, creativity and professionalism of SLL members, he concluded. 'We must amplify our voice in engaging with the wider industry, celebrate the accomplishments of our members and harness their enthusiasm. We need to articulate more clearly within the industry what it means to be an associate, member, or fellow of the society, and what the benefits are to projects, so that it is recognised as a symbol of ability and excellence.'

Plans for the year

• The coming year will see the first steps in formally aligning the professional membership requirements of MSLL with that of the Engineering Council. 'This is a substantial undertaking, and not one taken lightly when a significant proportion of the society’s membership are not, and do not, consider themselves to be engineers. This is not about becoming more scientifically focused. Rather, by clearly articulating the rigour of our membership criteria and the need for commitment to continuous professional development, we can more effectively showcase the value our members can contribute to clients and projects.'

• In November the SLL will once again be at Light2Perform, as part of the Build2Perform exhibition. 'While the programme is still in development, the theme for this year will be very much aligned with performance of lighting from a human experience perspective, moving away from the traditional energy/carbon metric of lighting performance.'

• As custodians of the Lighting Guides and contributions to technical publications across CIBSE, the SLL's technical and publications committee, led by Sophie Parry, continuously review or revise publications, while 'delivering amazing new content'. This includes plans for a new Lighting Guide (LG23) on Creative and Architectural Lighting.

NORTHERN LIGHTS

ThisyeartheSLLAGMwasheldattheLeedsArtGallery intheornateVictoriansurroundingsoftheTiledHall

The SLL Annual Awards, hosted by president-elect Kristina Allison, was this year held in the Tiled Hall at Leeds Art Gallery.

Originally the main library reading room, from 1888-1941 the Tiled Hall became a sculpture court. The magnificent Victorian hall was renovated extensively in 2007 with the help of English Heritage. A 'space steeped in history' said new president Dan Lister, who chose the venue.

The Lighting Award is given to acknowledge outstanding service to the society. The recipient this year was David Battersby, project lead for Pockets of Light which took place in October last year alongside Light Night Leeds.

Coming from a background in amateur theatre lighting (since the age of 13), a similar event led to Battersby joining the SLL in 2015: he took a major part in the Night of Heritage Light at Fountains Abbey that year, as well as organising a joint CIBSE and CIBSE patrons event. He was also on the planning team for the SLL's Pockets Of Light in both 2016 in York and 2017 in Oxford. In 2021 he took on the role of the SLL's regional lighting representative for Yorkshire.

Lighting, which he describes as 'my passion', is possibly in his blood, his grandfather having also lit Fountains Abbey as a designer working in the 1950s and 1960s. Battersby still has his grandfather's analogue light meter.

Currently senior lighting designer at Gamma Illumination, he previously held the same position at Arup and formerly worked at Apollo, Whitecroft and, initially, High Technology Lighting.

'It has been almost 26 years since I saw his potential and gave him his first design job in lighting,' said Thomas Helgeth, responsible for his citation. 'In that time, the lighting industry has undergone a transformation. From my experience, I have always found in David a willingness to embrace these changes, such an important and positive attribute for anyone working within a technical and design role. It not only helps facilitate the needs of the clients, but also empowers the team around them.'

'She is an exemplar leader of people, a creative thinker, is generous and open with her time, and has been instrumental in positively shaping many lighting careers,

� Roger Sexton, presented with the President's Medal recognising a lifetime contribution to lighting
� Austin Williamson, this year's recipient of the Regional Award
� Florence Lam, made an Honorary Fellow
� David Battersby, winner of the Lighting Award for outstanding service to the SLL

including very much my own,' said Arfon Davies in his citation for Florence Lam, who was given an Honorary Fellowship in recognition of a significant contribution not only of services to the SLL but to the wider lighting profession.

Now retired as global lighting design leader for Arup, Florence Lam began her lighting journey at the company while studying engineering at the University of Cambridge, joining full-time in 1989 as a graduate. She went on to achieve a distinction at the Bartlett's light and lighting MSc course and won CIBSE’s Lighting Division Young Lighter award in 1991.

She co-founded the specialist lighting design studio at Arup in 2000. Under her leadership, the lighting team grew from four members in London to a global practice of 140 designers across 12 countries.

'Over her 35-year career at Arup as a practising lighting designer, Florence’s expertise in daylight, visual perception and holistic lighting design have played a key role in many of her projects,' said Davies. Her more than 550 projects include the V&A Dundee, London’s Millennium Bridge, the California Academy of Sciences, San Francisco and Abu Dhabi International Airport Midfield Terminal.

Her favourite is likely to be the Acropolis Museum in Athens, said Davies, often described as 'a museum of daylight', which won her an Award of Excellence and Award of Sustainability at the IALD Awards 2010.

Florence is passionate about research, and since 2014 has spearheaded the Lighting in the Urban Age campaign addressing the excessive use of illumination.

Her commitment to passing on her knowledge by sharing experiences, inspiring others and encouraging innovative thinking has led to numerous roles beyond Arup, including visiting professor of lighting design and engineering at The Bartlett and advisory board member for the ENLIGHTENme project (EU Horizon 2020 research and innovation programme).

In 2013 Florence Lam was named Lighting Designer of the Year at the UK Lighting Design Awards, the first woman to receive this award. In 2014, she was awarded the SLL Lighting Award and in 2021 the SLL President’s Medal, the first woman to receive the award.

'Her creative and holistic design vision and novel approach, backed by technical knowhow and rigour, have been pivotal in her ability to turn her authentic concepts into exemplary solutions,' said Davies.

The President’s Medal, first awarded to Joe Lynes in 2009, recognises a significant and lifetime contribution to lighting, and this year went to Roger Sexton. The citation was given by Peter Raynham who first met Roger Sexton in 1988 when he joined Philips Lighting in Croydon.

Sexton had recently completed his BEng degree in building services at the University of Liverpool, where a final-year project looked at the non-uniformity of lighting in the office environment due to shadowing from furniture. 'For this work he had the good fortune to have Peter Boyce and Bob Venning as external tutors,' said Raynham. 'I think this project may be the reason that Roger has always had so much enthusiasm for lighting.'

Initially an application engineer at Philips, he quickly became a full member of what was then the Lighting Division of CIBSE. In 1997 he swapped his Croydon job for one based in Eindhoven where his work ultimately focused on finding applications for LEDs which initially had an efficacy of 3lm/W, rising to the 'dizzy heights' of 8lm/W around 2000. Over the years as LED performance improved and possible applications grew, he started to engage in application research.

In 2007, after 20 years with Philips, he moved to the then small California-based start-up Xicato. He remained in London, however, which meant he was able to rejoin what had become the SLL.

Raynham worked with him on a series of projects mainly in the area of lighting for retail. 'I was amazed how he could read and digest reams of abstract papers on various

lighting topics and come to me to see if we could find out if any of this worked in the real world.'

In 2020 he moved for a final time, to Stoane Lighting. 'Before long he was in touch again setting up a trial to see if a new style task light could be used to provide the benefits associated with non-image forming effects of light in an actual office environment,' said Raynham.

Sexton has worked with organisations such as the LIA, the Good Lighting Group and Lighting Europe on areas including the circular economy and the benefits of good lighting. He has also been a member of the SLL Events committee.

'While Roger has kept a somewhat low profile within our industry, everybody who has worked with him will have been struck by his enthusiasm for lighting, and the work he has done on how best to apply lighting,' concluded Raynham. 'This work underpins quite a bit of current lighting practice.'

The Regional Award, a recognition of the work undertaken by an individual on behalf of the society in the regions, this year went to Austin Williamson, technical director of consulting engineer Foreman Roberts and responsible for the SLL's Home Counties North East (HCNE) region.

The Leon Gaster and Walsh Weston Awards are awarded annually by the society for the best published papers in Lighting Research and Technology.

The Leon Gaster award recognises the role that Gaster made as the founder of the Illuminating Engineering Society (SLL forerunner) in 1909 and is presented for the best paper concerned with lighting applications. The award was first made in 1929. This year it went to Mehlika Inanici, Belal Abboushi and Sarah Safranek for their paper, Evaluation of sky spectra and sky models in daylighting simulations (see LR&T, Vol 55, Issue 7).

'She is an exemplar leader of people, a creative thinker, and has been instrumental in positively shaping many lighting careers'

The Walsh Weston Award is for the best paper concerning more fundamental lighting matters, and was given to Nozomu Yoshizawa, Roland Schregle, Ken Komazawa, Kaira Ootori and Toshihide Okamoto for their paper, Photon flow: A three-dimensional expression of the light field using volume photon mapping (see LR&T, Vol 55, Issue 3).

THE PIONEER AND THE PURIST

Thisyear'sDaylightAwardhonoursagroundbreaking chronobiologistandaSpanisharchitectwhocelebratesthe 'silentmiraclesofdaylight'

The 2024 biennial Daylight Award has been given to Spanish architect Alberto Campo Baeza, and German professor of chronobiology Till Roenneberg, who win the award for Daylight in Architecture and Daylight Research respectively. Founded in 1980 and first presented to Danish architect Jørn Utzon (Sydney Opera House), the award acknowledges and encourages scientific knowledge and practical applications of daylight that interlink varying disciplines.

DAYLIGHT RESEARCH: PROFESSOR TILL ROENNEBERG, GERMANY

Professor Till Roenneberg (left) is emeritus professor of chronobiology at the Institute of Medical Psychology at Ludwig-Maximilian University (LMU) in Munich, Germany.

Roenneberg has dedicated most of his career to investigating the effects of light on circadian clocks, sleep and health.

Spanning the natural and social sciences, his research and publications have promoted understanding in the many aspects and

impacts of daylight, and illumination in general, for human health, wellbeing and performance, said the jury. His findings have been influential, and applied to a number of fields including medicine, public policy and architecture.

He has also worked with diverse groups of organisms, which has enabled a comparative and interdisciplinary strategy, allowing him 'to take novel approaches to address key questions relating to the effects of daylight on human health, wellbeing and performance,' said the jurors.

'Roenneberg’s interest in light was present in his first years as a scientist,' continued the jury. 'He was one of the first chronobiologists to appreciate that both the intensity and the spectral composition of light was key in understanding how light affects the circadian

I don’t think its possible to enlarge just the bullet points. However, I’ve overlayed some yellow circles will have to keep an eye on alignment

system in a range of organisms, including Dinoflagellates (a unicellular algae) and fungi (Neurospora Crassa).'

After establishing key concepts related to light and circadian rhythms, Roenneberg transitioned to human and social sciences with a focus on daylight. He used his experience in experimental bench-based chronobiology and in using big data to address research questions that focused on human daily behaviour in real life.

He developed and validated a new questionnaire – the Munich ChronoType Questionnaire, MCTQ – to enable investigations of circadian entrainment in populations across the world. The resulting database has more than 400,000 entries and has allowed him to probe important questions in 'real-life experiments'.

Roenneberg pioneered the epidemiology of chronotypes (the phase relationship of the circadian clock and the natural daylightdark cycle: the familiar larks and owls). He showed, for example, that relative timing of human entrainment ('chronotype') systematically changes with age (putting the latehour preferences of teenagers in a biological perspective) and with day length. He worked with the steel industry to evaluate and allocate workers to their chronotype-specific shift. This change resulted in significantly

improved sleep for most of the individuals.

A key observation by Roenneberg, said the jury, is the demonstration that human clocks are profoundly influenced by the natural light/ dark cycle, despite increasing urbanisation. He has become notably influential as the creator of the 'social jetlag' concept, the difference in sleep timing between work and free days, and which reflects changes individuals must make for work that are counter to their natural biology. When social jetlag is extensive it becomes a biological challenge to that individual's circadian and sleep systems. He went on to link social jetlag with obesity, depression and substance abuse.

Roenneberg has continued his work demonstrating the importance of daylight on human circadian rhythms and sleep in

longitudinal studies of humans living in different environments. He has shown that circadian clocks resist the artificial social clock changes associated with Daylight Saving Time (DST) as compared with Standard Time (ST) when social clocks and daylight are more aligned. In his recent work, he has studied how industrialisation (with its associated changes in exposure to daylight vs artificial light) influences circadian rhythms and sleep. For this work, he studies communities in Brazil, such as the Quilombolas, whose lifestyles range from rural without electricity to modern urban.

Roenneberg has received many international prizes. In 1993, he was awarded the prestigious Honma Prize (Japan) for 'Outstanding contributions to the field of chronobiology'. His work on daylight was awarded the Professional Lighting Design Recognition Award for Research and Education (2011).

'Professor Till Roenneberg was one of the first chronobiologists to appreciate that both the intensity and the spectral composition of light was key in understanding how light affects the circadian system'

He was named Ambassador for Sleep by the German Sleep Foundation, and his first book received both the Science Book Award from the British Medical Association Board (2013) and the Italian Science Book Prize (Galileo Award, 2016). The University of Kent recognised his innovative work with the Innovation in Academia Award (Europe) in 2018.

In conclusion, the jury was

� The Munich ChronoType Questionnaire (MCTQ), developed and validated by Roenneberg, enabled investigations of circadian entrainment in populations across the world. The resulting database has more than 400,000 entries

'deeply impressed' by Roenneberg’s fundamental research findings, their application to help resolve real world issues and his ability to communicate this work to both scientific and public audiences. 'He is an exemplary scientist,' said the judges. 'With energy and enthusiasm, he applies innovative approaches to understand the importance of natural light on human health.'

DAYLIGHT IN ARCHITECTURE:

ALBERTO CAMPO BAEZA, SPAIN

Alberto Campo Baeza’s architecture is 'a celebration of the silent miracles of daylight in buildings of widely differing functions,' said the jury. 'His buildings exemplify the spiritual qualities of daylight and thus expand the understanding of the values of daylight beyond the current scope of science.'

His 'unwavering confidence' in his essential style often 'projects an air of silent spirituality, which is a rare, but a highly valuable alternative to today's materialist, consumerist architecture,' it continued

Campo Baeza (shown right, previous page) is an internationally recognised and widely published Spanish architect, who also served as a professor at the Escuela Technica Superior de Arquitectura de Madrid from 1986-2017. 'He is one of the most admired representatives of the contemporary minimalist orientation in architecture who has developed this line of architectural thinking most consistently, subtly and impressively,' said the judges.

His buildings are invariably brilliantly white,

both inside and outside. Regardless of their modernity and minimalism, his buildings continue the ageless tradition of whitewashed houses around the Mediterranean, the severe white vernacular architecture that inspired early modernism. The whiteness of these surfaces 'heighten the presence and healing power of natural light,' said the jury.

An exception to his elimination of colour is the Domus Aurea Building in Monterrey, Mexico, where a huge golden yellow wall is designed to intensify the presence and meaning of the sun outdoors.

His buildings are always based on a simple, regular, rectangular and repetitious structure, for the purpose of 'neutralising suggestions of movement' and emphasising the presence of light. They may appear as a single white rectangle in the landscape (Casa Guerrera), or, by the ocean, a mysterious white horizontal roof plane with carefully considered apertures (House of the Infinite).

'Usually, he has eliminated materiality to maximise the impact and expressivity of natural white daylight,' commented the judges. 'Even windows appear as mere rectangular openings or narrow horizontal slits cut into the walls, instead of being presented as technical devices.'

In addition to his numerous houses, Campo Baeza has designed buildings for a variety of other purposes, from museums to a bank, office buildings, a sports hall, and an urban square. Among his structures is the monumental Caja Granada Savings Bank. While many of his buildings convey 'an air of

lightness and thinned air', the Bank has a cavelike massiveness and weight, enlivened by columns of sunlight from skylights moving across the walls, gigantic pillars and monumental space. 'The epitome of his personal flair for the drama of understatement,' ArchDaily once observed.

While most of his buildings are based on a static volume, the Museum of Memory in Andalucia, with its circular ramps rising from an elliptical courtyard, is 'a forceful demonstration of architectural dynamics'.

'Campo Baeza has numerous brilliant examples of architectural light as directed and focused beams of light creating a sense of focus, drama and significance,' concluded the jury. 'But the uniqueness of his architecture is to make us aware of the presence of daylight around us.'

The DaylightAward was established by the philanthropic foundations Villum Foundation, Velux Foundation and Velux Stiftung 'to honour and support daylight research and daylight in architecture'. The award is conferred biennially in two categories: Daylight Research and Daylight inArchitecture. The sum of €100,000 is given to each recipient. www.thedaylightaward.com

� Robert Olnick Pavilion, an extension of the Italian Art Museum in Cold Springs, New York
� Campo Baeza's monumental Caja Granada
Hisao Suzuki
Javier Callejas

BUILDING COMPETENCE

TimBowes,chairoftheSLLeducationandmembership committee,explainswhysafetyandsustainabilityinthebuilt environmentarenowcriticalCPDareasforSLLmembers

Seen as an authority on lighting, the SLL has more than 3300 members globally. CIBSE, of which it is part, works worldwide offering building services engineers with best practice guidance and codes to deliver ‘better performing buildings for society and the environment’. By becoming members of the SLL, we are all signed up to the CIBSE Code of Conduct, which outlines four key requirements of membership:

• Members must uphold the reputation and standing of the profession

• Safeguard public interest

• Act with integrity and honesty

• Ensure they are suitably competent

Focusing on the area of ensuring we are ‘suitably competent’, as members of the SLL and CIBSE we have to undertake and demonstrate continual professional development (CPD). There are, of course, many ways that we can do this through a mix of structured, semi-structured and unstructured activities. How members demonstrate this is not prescriptive, leaving them to achieve these requirements as they

see fit (see box for examples given on the CIBSE website).

With more than 25 lighting guides, Lighting Research and Technology Journal, CIBSEaccredited CPDs, webinars and in-person events, the SLL is a fantastic resource in supporting its members in undertaking their CPD requirements. This body of work is only possible through the incredible efforts of so many within the SLL, whether they are staff, the SLL committees, or members throughout the world offering their time and expertise for the betterment of the membership and wherever light impacts us.

From 1 January 2024, CIBSE required that all CIBSE licentiates, associates, members and fellows must complete at least two semistructured CPD activities every year, namely sustainability and building safety (see box). SLL associate members, members and fellows are required to do the same.

Alongside other relevant material published by CIBSE, it is working with those who offer accredited CPDs through the institution to highlight those presentations that link to these two areas of the built environment.

So why these two topics? On the CIBSE ‘CPD requirements’ page of its website it states: 'CIBSE is a pioneer in responding to the threat of climate change and has

been active for many years in establishing the critical link between how buildings perform in operation and their carbon impact. This, combined with the revised Building Safety Act 2022, emphasises that competence in these two topics has never been more critical.'

BUILDING SAFETY ACT 2022

Becoming an Act of Parliament on 28 April, 2022, this was introduced in response to the Dame Judith Hackitt report on Building Regulations and Fire Safety following the tragic events at Grenfell Tower on 17 June, 2017. The Act creates a Building Safety Regulator and brings some major changes to all controlled building work, statutory registration of all building inspectors as well as the creation of the category of 'Higher Risk Buildings'.

It introduces more rigour to all stages of the planning, design, construction and operation of buildings, a strengthening of the whole building control system and specific requirements around the construction materials and defects.

How does this relate to the need for mandatory CPD for CIBSE and SLL members? The Act gives the regulator powers to request that those working in building design and construction demonstrate competence. It will regulate and hold to account those involved with the design and construction of all buildings (new and refurbishment). Going beyond the requirements outlined within the Construction Design and Management (CDM) Regulations (2015), the stated aim is to 'ensure everyone designing or carrying out building work is competent to carry out that work in line with building regulations'.

As highlighted by Dr Hywell Davies in an article published in the CIBSE Journal in September 2022, ‘Why Building Safety Act will mean radical change’, this may also include manufacturers who advise on product choices within a project.

As lighting specialists, it is therefore up to all of us to understand better how these changes will continually affect us over the coming year to allow us to

not just do our jobs, but also advise others.

SUSTAINABILITY

With the built environment responsible for anything between 25-40 per cent of all UK emissions, if the government is to achieve its net zero targets the construction industry and those working in the wider built environment will play a key role.

For many in our industry there is a growing acceptance that a ‘business as usual’ approach cannot continue. This is for economic, social and environmental reasons.

For example, we see:

• increasing volatility within geopolitical events threatening access to rare-earth elements and other materials required to service green technologies

• waste from the construction, demolition and excavation (CDE) of buildings responsible for 60 per cent of all UK waste, with only one per cent repurposed today (source: NLA)

• our demand for ecological resources exceeding what the Earth can regenerate in a year. The Earth Overshoot Day puts that date globally as 2 August last year with it projected to be the 1 June for the UK

In the lighting sector we have seen a huge amount of change with the transition to LED and control technology offering significant reductions in the operation of lighting in buildings from where we were just a decade ago.

The impact of lighting, of course, goes beyond simply operation and ‘designing for compliance’. Design and product choice linked to sustainability cannot be simply about luminaire lumens/watt. How will we identify the opportunity of materials, design, manufacturing, supply, operation and whole-life

'It is key that as lighting practitioners and members of the SLL, we continue to engage, learn, collaborate, innovate, step out of our comfort zone and embrace new challenges'

management to deliver the transformative change needed? The use of innovative materials, research and collaboration, new business models, academic papers and new guidance such as CIBSE/SLL's TM66 show that our industry is already looking to what is next. But this is just the start and much needs to happen to make this the new ‘business as usual’.

CONCLUSION

The next decade is going to present to us perhaps global challenges that affect all areas of the built environment and will require a holistic, systemic approach. The speed of change needed within the construction industry is perhaps similar to what was seen in lighting in the past 10-15 years. The actions of our industry shows it is possible.

It will, however, require all parts of the built environment to work together and support the cultural change that will deliver the transformative changes needed in building safety and sustainability.

It is key that as lighting practitioners and members of the SLL, in whatever form that may be, we continue to engage, learn, collaborate, innovate, step out of our comfort zone, and embrace new challenges. Undertaking CPD activities both within the lighting industry and the wider built environment will prepare us all for the skills we need.

Every challenge presents an opportunity. Through continual learning and increasing our collective competence it is a challenge we can meet and surpass.

Building Safety Act: www.cibse.org/policy-insight/ key-policy-areas/building-safetyact

CIBSE Code of Conduct: www.cibse.org/about-cibse/ governance/code-of-conduct CPD activities: www.cibse.org/membershipregistration/membershipinformation/continuingprofessional-development/cpdguidance/cpd-activities CPD requirements: www.cibse.org/membershipregistration/membershipinformation/continuingprofessional-development/cpdguidance/cpd-requirements

WORK LIGHT BALANCE

IainCarlilelooksattworelatedpapersinaspecialwellbeing issueofLightingResearchandTechnology

In April 2024, a special edition of LR&T (Vol 55, No 2) was published with the theme of Research of Lighting and Wellbeing.

In part one of a two-part paper on the link between light exposure and sleep outcomes of office workers, Aries et al present a study comparing office and home workdays. It was carried out both before and during the Covid-19 pandemic which affected home and office working.

While the authors note that exposure to light (depending on its level, spectral distribution, timing and duration) affects sleep and circadian functioning, it is not only the sun that dictates rest activity cycles in modern society. Social constraints and availability of electric light also both affect sleep-wake cycles. A typical office worker spends around half their waking time in office environments and considerable time at home before and after work, making both office and home lighting significant contributors to a person's daily light exposure.

Participants, worked for two different companies in different buildings in Sweden. Each wore a light-tracking device and used a sleep tracker device at home, and was tracked for at least four weeks. Due to the onset of the pandemic they worked from home more during the second half of the study.

It was found that on a home-working day light exposure was lower in the afternoon and total

sleep time was almost five minutes longer compared to office working days. Sleep efficiency was the same on both. On office workdays, higher median afternoon illuminance levels were significantly related to later sleep onset. Higher illuminance levels in the morning were related to earlier awakening. Counter to expectations, it was also found that higher light exposure in the evening related to earlier awakening.

The study showed that everyday light environments matter for sleep outcomes, and that differences between home and office lighting environments may influence how employees sleep on office or home-working days.

Compared to previous laboratory experiments, it was also found that everyday light exposure affected sleep differently, especially with regards to evening light exposure. The authors highlight the need for further investigation into providing supportive light levels during working hours.

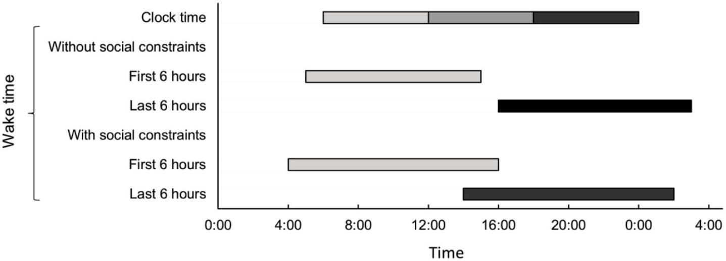
In part two of the paper, Beute et al investigate the difference between days with and without social constraints posed by work schedules.

Acknowledging that modern life deviates from the sleep/wake, activity/rest and light/dark relationship established for centuries with the daily solar cycle, the authors query how changes in light exposure and timing caused by work schedules affect daytime workers’ sleep.

Previous studies into sleep showed that at weekends when social constraints are absent

� Clock time versus wake time (Beute et al)

people tend to sleep later and longer, catching up on sleep loss accumulated during the week.

Differences between weekday and weekend sleep schedules, known as social jetlag, can also differ depending on a person’s chronotype. Social jetlag has been reported to be related to human performance and wellbeing during weekdays, as well as to long-term health outcomes.

This study ran at the same time as part one and involved the same participants. It investigated the differences in the relationship between light exposure and sleep outcomes on days with and without social constraints. The participants’ clock time and wake time (related to individual sleep times) were investigated.

It was found that participants were exposed to more light during the morning and afternoon on working days, and sleep times were later on the days without social constraints. For those days, the relationship between light exposure and sleep times was also more pronounced. Effects of light on sleep were more pronounced on days without social constraints, despite the increased light exposure during workdays.

The authors suggest that office workers may need a greater circadian stimulus (for example, higher light exposure) for light to affect sleep outcomes on days with social constraints.

Iain Carlile, FSLL, is a past president of the SLL and a senior associate at dpa lighting consultants

Lighting Research and Technology: OnlineFirst

In advance of being published in the print version of Lighting Research and Technology (LR&T), all papers accepted for publishing are available online. SLL members can gain access to these papers via the SLL website (www.sll.org.uk)

The relationship of light exposure to sleep outcomes among office workers.

Part 1: Working in the office versus at home before and during the Covid pandemic

MBCAries, G Fischl,ALowden and F Beute

The relationship of light exposure to sleep outcomes among office workers.

Part 2: Comparison of days with and without social constraints

F Beute,ALowden and MBCAries

STATE OF THE ART

MartinaAlagnaonfivelight artistsandcollectiveswho givehercreativeinspiration

As a designer, I constantly seek inspiration to unleash my creativity. Living in London, I'm fortunate to experience world-class theatre and art exhibitions. But I also love travelling and immerse myself in museums and art festivals while exploring different cultures. This blend of local and global experiences fuels my artistic vision.

By sharing impactful light artworks, I hope to ignite your curiosity to experience these artists yourself. While I deeply admire masters in light art such as Turrell, Eliasson, Flavin and Irwin, my focus here is on the new generation of artists. These creators are pushing boundaries by merging technology, science and creativity to craft unbelievable immersive experiences.

Lighting designer Martina Alagna is a Lighting Designer and Elected Member of SLL Council.

Es Devlin (UK)

The queen of stage and lighting design, Es Devlin is a renowned British artist known for her innovative and immersive installations incorporating light, sound and narrative elements. Her work spans theatre, opera, music and visual arts, and she collaborates with high-profile artists globally. Recently, Devlin has expanded her art beyond the stage, creating large-scale public installations and museum exhibitions. If you can't catch her work in theatre or concerts, you can now experience her extraordinary installations addressing pressing global issues. (Shown: Lux, 180 Strand, London)

Matthew Schreiber is a contemporary American artist known for his mesmirising light installations and sculptures. His work often explores the interplay between light, space and perception, creating immersive environments that engage viewers on both a sensory and conceptual level. Schreiber harnesses the unique properties of lasers to create illusions of depth, movement and space. By manipulating the intensity, direction and colour of the laser beams, he can alter viewers' perception of the surrounding environment. (Shown: Thin Air, The Beams, London) 1 4 5 3 2

TeamLab (Japan)

TeamLab is a collective of artists, programmers, engineers, CG animators, mathematicians and architects who create immersive digital art installations. They blend art, technology and the natural world, crafting interactive environments that captivate audiences. Drawing inspiration from natural phenomena, their work bridges digital and natural realms. Many installations require viewer participation, making each experience unique through light, colour and sound. You can visit their own museum, TeamLab Planets in Tokyo, or catch their exhibitions worldwide to explore their spellbinding creations. (Shown: TeamLab Tokyo)

Nonotak (France-Japan)

Nonotak is an artist duo comprising French illustrator Noemi Schipfer and Japanese architectmusician Takami Nakamoto. Together, they create mesmerising audiovisual installations and performances exploring the intersection of light, sound and space. Their work is known for precise synchronisation and immersive qualities, using intricate light patterns and projections to create a tangible sense of movement and depth. Using both static and kinetic light elements, Nonotak engages viewers in a dynamic, multi-sensory experience. (Shown: Lux, 180 Strand London)

UVA (UK)

United Visual Artists (UVA) is a London-based collective known for creating cutting-edge installations blending light, sound and technology. Founded by Matthew Clark, UVA has a reputation for work that explores the relationship between the human experience and the digital world. Its projects often feature large-scale, immersive environments that invite audience interaction and contemplation. By integrating philosophical and psychological themes, UVA's work encourages audiences to think more deeply about human and world issues, pushing the boundaries of immersive and interactive art. (Shown: Future Shock, 180 Studios, Strand, London).

Matthew Schreiber (USA)

All images by
Martina Alagna

Events 2024

For details of all upcoming webinars, go to: www.cibse.org/societyof-light-and-lighting-sll/sll-events/upcoming-webinars-and-onlinecontent

For previously recorded CPD webinars (including regional webinars), go to: https://www.cibse.org/get-involved/societies/society-of-lightand-lighting-sll/sll-events/on-demand-webinars-past-presentations

EVENTS

ICEL EMERGENCY LIGHTING CONFERENCE

(Organised by the LIA and supported by the SLL)

Date: 12 September

Venue: Cavendish Conference Hall, London W1 icelconference@thelia.org.uk

CIRCULAR LIGHTING LIVE 2024

(Organised by Recolight)

Date: 9 October

Location: Royal College of Physicians, London NW1 www.circularlighting.live

READY STEADY LIGHT 24

(in association with Rose Bruford College and the IALD)

Date: 15 October

Venue: Rose Bruford College, Sidcup, Kent www.sll@cibse.org

LIGHT2PERFORM 24

(Organised by the SLL as part of CIBSE's Build2Perform)

Date: 13-14 November

Venue: ExCeL, London www.build2perform.co.uk/light2perform

LIGHT 24

(including the SLL Young Lighter 2024 final) Date: 20-21 November

Venue: Business Design Centre, London N1 www.lightexpo.london

2025

LIGHT+INTELLIGENT BUILDING MIDDLE EAST

Date: 14-16 January

Venue: Dubai World Trade Center https://light-middle-east.ae.messefrankfurt.com/dubai/en. html

WORKSPACE DESIGN

Date: 26-27 February

Venue: Business Design Centre, London N1 https://workspaceshow.co.uk/

LET Diploma in Lighting Design

For details and registration: www.lightingeducationtrust.org

Turn static files into dynamic content formats.

Create a flipbook
Issuu converts static files into: digital portfolios, online yearbooks, online catalogs, digital photo albums and more. Sign up and create your flipbook.