98 Meeker Ln, Severance -HC

Page 1


TobiasisaColoradoNativewithfamilyrootstied toSanLuis,CO(theoldestcontinuously occupiedtowninColorado).Tobiasbrings,tothe EdPratherRealEstateTeam,18yearsexperience exclusivelyintheDebtManagementIndustry, whichallowsTobiasacompetitiveadvantagein preparinghisClients.

TOBIAS TRUJILL

TobiasthrivesongettinghisClientsthe propertiestheydesireandwithhisunflappable character,astoundingleadership,andrefined negotiatingskillsgetsthejobdone.Tobiasalso prideshimselfinobtainingtopdollarforhis Client’sproperties.Tobiasbuildsandmaintains strongrelationshipswithhisClientsthatwilllast alifetime.Tobiasandhisfamilyarehuge Coloradosportsfans,especiallytheDenver Broncos.TheyenjoyexploringColoradoand spendingtimewithextendedfamilyandfriends.

Property Details

Maps

Local Schools

Community Utilities & Resources

Title & Escrow

The information contained is provided by WFG’s Customer Service Department to our customers, and while deemed reliable, is not guaranteed.

PROPERTY DETAILS

98 MEEKER LN SEVERANCE CO 80550

R2553703

WELD COUNTY CO

OwnerInformation

OwnerName: MITCHELL DEBORAH J / JOHNSON R PHILIP / JOHNSON STEPHEN I

Vesting: TENANTS IN COMMON

MailAddress: 98 MEEKER LN SEVERANCE CO 80550

OwnerStatus:

LocationInformation

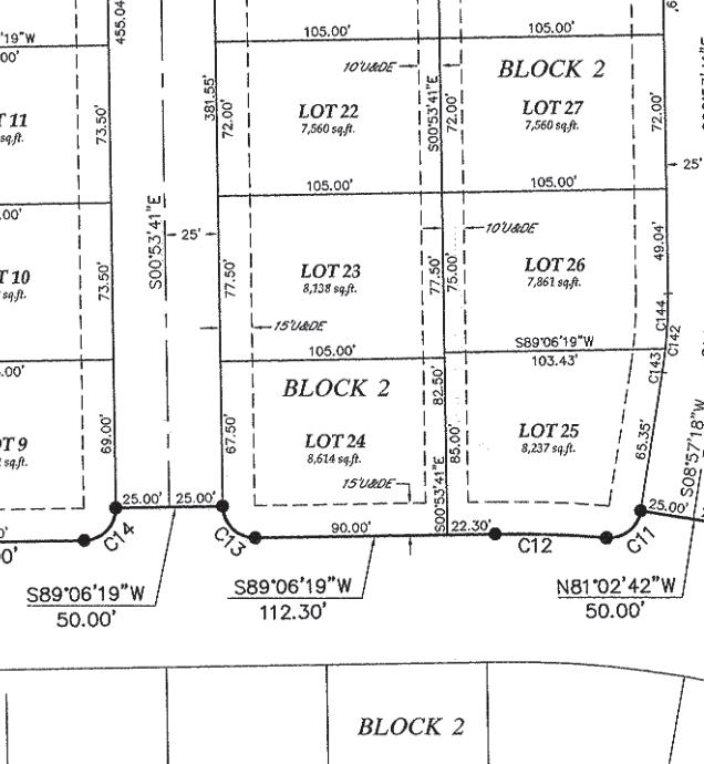
LegalDesc: SEV 2SV L24 BLK2 SUMMIT VIEW 2ND FG

County: WELD

Census/Block: 002208 / 2048

Tsp-Rng-Sec: T06-R67-S02

Lot/Block: Lot: 24 Block: 2

HousingTract: SUMMIT VIEW SUB 2ND FG

LastMarketSale

Date: 2015-05-26/2015-05-20

SalePrice: 268000

Document#: 2015.4109636

DocType: GENERAL WARRANTY DEED

$Sqft: $164.01

PriorSaleInformation

AltParcel# 8070-22-1-90-24

SchoolDistrict: WINDSOR RE-4

Municipality:

Parcel#: R2553703

Lender: LOAN SIMPLE INC

Loan: 241200

Document#: 2015.4109637

LoanType: CONVENTIONAL

LoanTerm: 30

Date: / Lender:

Price:Loan:

Document#:Document#:

DocType:LoanType:

Theaboveisbelievedtobeaccurate,butisnotguaranteed. Copyright©1995-2025CDSMarketing,Inc.

98 MEEKER LN SEVERANCE CO 80550

R2553703

WELD COUNTY CO

PropertyCharacteristics

GrossArea: 2,574

LivingArea: 1,634

Above Grade: 1,634

Bedrooms: 3

Bath(F/H): 2/1

GarageArea:InteriorWall

RoofShape:PorchType: PORCH

Foundation:PatioType: BALCONY

RoofMaterial: COMPOSITION SHINGLE AirCond: CENTRAL

Construction: FRAME

Fireplace:HeatType: CENTRAL

Basement: 940

PropertyInformation LandUse: SFR

TaxandAssessmentInformation

Quality:Condition:

MAPS

ASSESSOR MAP

This map/plat is being furnished as an aid in locating described land in relation to adjoining streets, natural boundaries and other land, and is not a survey of the land depicted. Except to the extent a policy of title insurance is expressly modified by endorsement, if any, the company does not insure dimensions, distances, location of easements, acreage or other matters shown thereon.

STREET MAP

This map/plat is being furnished as an aid in locating described land in relation to adjoining streets, natural boundaries and other land, and is not a survey of the land depicted. Except to the extent a policy of title insurance is expressly modified by endorsement, if any, the company does not insure dimensions, distances, location of easements, acreage or other matters shown thereon.

AERIAL MAP

This map/plat is being furnished as an aid in locating described land in relation to adjoining streets, natural boundaries and other land, and is not a survey of the land depicted. Except to the extent a policy of title insurance is expressly modified by endorsement, if any, the company does not insure dimensions, distances, location of easements, acreage or other matters shown thereon.

CITY BOUNDARY MAP

This map/plat is being furnished as an aid in locating described land in relation to adjoining streets, natural boundaries and other land, and is not a survey of the land depicted. Except to the extent a policy of title insurance is expressly modified by endorsement, if any, the company does not insure dimensions, distances, location of easements, acreage or other matters shown thereon.

SCHOOLS

SCHOOLS

98 MEEKER LN SEVERANCE CO 80550

R2553703

WELD COUNTY CO

Weld County Reorganized School District No. RE-4

Elementary School

Range View Elementary School 700 Ponderosa Drive, Severance, CO 80550

Grades: K to 05

Middle School

Severance Middle School 1801 Avery Plaza Street, Severance, CO 80550

Grades: 06 to 08

High School

Severance High School 1200 Hidden Valley Parkway, Severance, CO 80550

Grades: 09 to 12

970-833-7300

Distance: 1.2 Miles

970-833-7200

Distance: 1.5 Miles

970-833-7100

Distance: 1.1 Miles

Assigned schools provided by WFG’s Customer Service while deemed reliable, is not guaranteed. It is recommended to check with the district or school for confirmation.

Whatistheperformance framework?

2024PerformanceFrameworkResults

PerformanceIndicatorRatings

Howdidstudentsperformondifferentpartsofthe performanceframework?

OfficialPerformanceRating

Howareperformanceframeworkratingsdetermined?

Postsecondary& WorkforceReadiness: Meets

Achievement: Meets

Growth: Approaching

Exceeds Expectations Meets Expectations Approaching Expectations

DoesNotMeet Expectations

Howdothedifferentperformanceindicators factorintotheofficialperformancerating?

WhatisUnified ImprovementPlanning?

ImprovementStrategies

Whatstrategieshavebeenputin placetoaddressrootcauses?

Conveythevalueofpubliceducationto ourcommunity

Engagestudentsincommunityactivities

Ensureaguaranteedandviable curriculumforallstudents

Listcontinues.Clickbelowtoviewmore.

Whatdoesthisratingmeanandhowdoesit comparetootherdistricts?

2024-25UnifiedImprovementPlan

RootCauses

Whatissuesunderliethese challenges?

Listcontinues.Clickbelowtoviewmore. Decreasedinterestanddesiretopursue educationasalongtermcareer ConsistentMathInstruction ComprehensiveBehaviorSupport

ClickHeretoViewFullUnifiedImprovementPlan

PerformanceChallenges

Whereisthedistrictfocusingits attention?

Educate-AcademicProficiencyand CharacterEducation

Empower-Fosterqualitystaff

Engage-Strengthentrust

ClickHeretoViewFullPeformanceFrameworkReport

2024PerformanceFrameworkResults

Whatistheperformance framework? OfficialPerformanceRating

PerformanceIndicatorRatings Howdidstudentsperformondifferentpartsofthe performanceframework?

Howareperformanceframeworkratingsdetermined?

Achievement: Meets

Growth: Approaching

Exceeds Expectations Meets Expectations Approaching Expectations

DoesNotMeet Expectations

Howdothedifferentperformanceindicators factorintotheofficialperformancerating?

WhatisUnified ImprovementPlanning?

ImprovementStrategies

Whatstrategieshavebeenputin placetoaddressrootcauses?

Whatdoesthisratingmeanandhowdoesit comparetootherschools?

2024-25UnifiedImprovementPlan

RootCauses

Whatissuesunderliethese challenges?

PerformanceChallenges

Whereistheschoolfocusingits attention?

Whatistheperformance framework?

2024PerformanceFrameworkResults

PerformanceIndicatorRatings

Howdidstudentsperformondifferentpartsofthe performanceframework?

OfficialPerformanceRating

Howareperformanceframeworkratingsdetermined?

Achievement: Approaching

Growth: Approaching

Exceeds Expectations Meets Expectations Approaching Expectations

DoesNotMeet Expectations

Howdothedifferentperformanceindicators factorintotheofficialperformancerating?

WhatisUnified ImprovementPlanning?

ImprovementStrategies

Whatstrategieshavebeenputin placetoaddressrootcauses?

Reserached-basedinstuctions CommunicationandCulture

Whatdoesthisratingmeanandhowdoesit comparetootherschools?

2024-25UnifiedImprovementPlan

RootCauses

Whatissuesunderliethese challenges?

Alackofaccountability.

PerformanceChallenges

Whereistheschoolfocusingits attention?

CultureofAccountability

2024PerformanceFrameworkResults

Whatistheperformance framework? OfficialPerformanceRating

Principal: JenBrownhill

PerformanceIndicatorRatings

Howdidstudentsperformondifferentpartsofthe performanceframework?

Postsecondary& WorkforceReadiness: Meets

Achievement: Approaching

Growth: Approaching

Exceeds Expectations Meets Expectations Approaching Expectations

DoesNotMeet Expectations

Howdothedifferentperformanceindicators factorintotheofficialperformancerating?

WhatisUnified ImprovementPlanning?

ImprovementStrategies

Whatstrategieshavebeenputin placetoaddressrootcauses?

Connections,recognitions,and celebrations AcademicAchievement

Whatdoesthisratingmeanandhowdoesit comparetootherschools?

2024-25UnifiedImprovementPlan

RootCauses

Whatissuesunderliethese challenges?

Listcontinues.Clickbelowtoviewmore. FocusonAcademicAchievementthrough Infrastructure Admin/StaffInconsistency

NeedforStudentEngagementand Empowerment

PerformanceChallenges

Whereistheschoolfocusingits attention?

Academicachievementwithafocuson literacyviaPLCs

Positiveclimateandculture

COMMUNITY

CITY OF SEVERANCE

10,380 POPULATION

$126,413

MEDIAN INCOME

35

MEDIAN AGE

Severance, Colorado is a small town located in northern Colorado, just northeast of Fort Collins and west of Greeley, making it part of the fast-growing Front Range region. It offers a mix of rural charm and suburban convenience, with open spaces, parks, and access to nearby recreational areas. The town is known for its strong sense of community, family-friendly events, and proximity to the Poudre River and Cache la Poudre River Trail, popular for hiking, biking, and outdoor activities.

SCHOOL DISTRICTS

Greeley-Evans School District 6

Weld County School District

Eaton School District RE-2

HOUSING

91.8% of Homes Owner Occupied

8.2% of Homes Rented

POPULATION DENSITY

1,144 Inhabitants per Sq. Mile

3,420 Housing Units with an Average of 3 Occupants

AGE DEMOGRAPHIC

27.6% under age 18

7.8% between ages 18 to 24

32.4% between ages 25 to 44

21.4% between ages 45 to 64

10.8% above age 65

CITY QUICK FACTS

9.19 Square Miles

4,876 Feet Elevation

Highest Average Temperature 89º

Lowest Average Temperature 20º Averages 236 Sunny Days Annually

The town of Severance was founded by Bruce Eaton, the son of Governor Benjamin Eaton, in 1906. By 1920, Severance had enough residents to incorporate, with 40 votes for and none against. The name "Severance" was chosen after a post office application in 1894. In the early 1900s, the community promoted sugar beet farming to support the construction of a sugar factory in neighboring Windsor, leading to the establishment of the Great Western Sugar Company in 1905. Agriculture, particularly the raising of cattle, sugar beets, potatoes, and onions, has been central to Severance's economy. In recent decades, the town has experienced growth, transitioning from a small rural farming community to a suburban area with new residential subdivisions. Today, Severance is a home rule municipality with a population of approximately 11,500 residents. The town continues to embrace its agricultural roots while evolving to meet the needs of a growing community. Residents enjoy a blend of rural tranquility and suburban amenities, making Severance a unique and welcoming place to live

WELD COUNTY BASE MAP

98 MEEKER LN SEVERANCE CO 80550

Animal - Services

NameAddressTelephoneDistance

Downing,Robin-DowningCent415MainSt970-674-04343.42Mi

Baxter,MargaretRDVM-Vets1295MainSt,#7970-686-50254.06Mi

Wittig,MeloraDVM-Housecal301PoudreBay970-217-28944.39Mi

Jergens,DougADVM-CountryOSt970-351-70455.89Mi

PeakVeterinarySpecialist4630RoyalVistaCir970-674-17757.09Mi

Banks

NameAddressTelephoneDistance

ColoradoCommunityBankofSe3TimberRidgePkwy970-686-90900.55Mi

FirstNationalBankofSevera399E4thAve970-674-94441.07Mi

PublicServiceCreditUnion422MainSt970-416-50003.44Mi

CitibankBrandedATM629MainSt800-627-39993.55Mi

FirstCommunityBank700AutomationDr970-674-00983.56Mi

Credit Unions

NameAddressTelephoneDistance

PublicServiceCreditUnion3512W10thSt,Unit2303-691-23459.76Mi WeldSchoolsCreditUnion255547thAve970-330-972810.50Mi

Coffee Shops

NameAddressTelephoneDistance

AnneMariesCoffeeHSE411MainSt970-686-76203.41Mi

Starbucks:KingSoopers-Winds1520MainSt970-674-28304.27Mi

Starbucks:Safeway-Windsor1535MainSt970-674-11774.30Mi ANewDawnCoffeeService133771stAve970-353-14308.28Mi

Theaboveisbelievedtobeaccurate,butisnotguaranteed. Copyright©1995-2025CDSMarketing,Inc.

Starbucks4320W9thStRd,#b101970-353-35459.31Mi

Eating and Drinking Places

NameAddressTelephoneDistance

Bruce'sBar1231stSt970-686-23200.98Mi

BorderRestaurant404MainSt970-686-12173.41Mi

ChimneyParkBistro406MainSt970-686-14773.41Mi

OkoleMalunaHawaiianGrill431MainSt970-686-88443.42Mi

DukeofWindsor522MainSt970-686-57753.46Mi Golf Courses

NameAddressTelephoneDistance

PtarmiganGolf&CountryClub5416VardonWay970-226-66006.32Mi

BoomerangLinks73094thSt970-351-89347.44Mi

GreeleyCountryClub450010thSt970-353-24319.24Mi

HighlandHillsGolfCourse2200ClubhouseDr970-330-73279.66Mi

MountainVistaGreensGolfCo2808NEFrontageRd970-482-484710.04Mi

Grocers and Supermarkets

NameAddressTelephoneDistance

Wal-MartSupercenter4500WeitzelSt970-484-02906.37Mi

KraftFoods6775E45thAve970-622-95048.06Mi

Johnson'sFoodMarket1081stAve970-834-20248.21Mi

OnionGrowersInc11011stSt970-834-24289.49Mi

SafewayNorthernColoDistric101537thAvenueCt,Unit201a970-356-21619.64Mi

Theaboveisbelievedtobeaccurate,butisnotguaranteed. Copyright©1995-2025CDSMarketing,Inc.

Grocers and Supermarkets NameAddressTelephoneDistance

Health Clubs and Spas

NameAddressTelephoneDistance

WindsorAthleticClub655AcademyCt970-686-78253.56Mi

CurvesForWomen1297MainSt970-686-01884.07Mi

ColoradoEaglesProHockey1625PelicanLakesPt970-686-74684.75Mi

PtarmiganCountryClub5416VardonWay970-226-66006.31Mi

KellyFarmPool&RacquetAss10454thAve970-346-90308.01Mi

Hospitals - Acute Care NameAddressTelephoneDistance MedicalCenterOfTheRockies2500RockyMountainAve970-624-250010.15Mi

Nursing Homes NameAddressTelephoneDistance WindsorHealthCareCenter7103rdSt970-686-74743.80Mi

GracePointeContinuingCare191968thAve970-304-19198.76Mi KentonManor85027thAve970-353-101710.15Mi

LifeCareCenterOfGreeley4800W25thSt970-330-640010.38Mi

CentennialHealthCareCenter163729thAvePl970-356-818110.50Mi

Offices and Clinics of Chiropractors

Brighi,RichardDDC-Campbe3000W10thSt970-352-035410.06Mi

Offices and Clinics of Dentists

Theaboveisbelievedtobeaccurate,butisnotguaranteed. Copyright©1995-2025CDSMarketing,Inc.

Offices and Clinics of Dentists

NameAddressTelephoneDistance

Jorgensen,DonaldLDds519MainSt970-223-47003.50Mi

WilliamReardonWindsorFrontRangeDentistry970-686-11863.52Mi

StevenMFrederick1190WAshSt970-674-02503.90Mi

MichaelJosephBruhin1226WAshSt970-686-78583.93Mi

Offices and Clinics of Medical Doctors

NameAddressTelephoneDistance

WindsorVeterinaryClinicPc415MainSt970-686-96643.41Mi

SevenLakesRecoveryProgram1286thSt,UnitD970-674-33073.45Mi

Orth,MarilynJDC-CrossRo33062CoRd25970-686-12223.47Mi

JudsonValstadIncorporated519MainSt970-686-71213.49Mi InstituteForAlcoholAwarene617MainSt970-686-63043.51Mi

Pet Sitting Services

NameAddressTelephoneDistance

Dumm,RickDVM-GardenValle32450CO-257970-674-51053.59Mi

Pharmacies

NameAddressTelephoneDistance

PeakWheelchairsLlc685TechnologyCir970-674-10323.41Mi

CreativeCounselingServices617MainStreet970-686-63043.55Mi AbleKidzPC309AmberDr970-213-30973.70Mi

BeyondChiropracticClinic509LocustSt925-595-06743.73Mi AspenLeafDentistryPc1190WAshSt970-674-02503.92Mi

Places of Religion

NameAddressTelephoneDistance

WindsorChurchOfChrist102ElmSt970-686-01313.44Mi

BethelLutheranChurch328WalnutStN/A3.45Mi

LifeCareCenterofAmerica4750W25thSt970-339-002210.46Mi

Theaboveisbelievedtobeaccurate,butisnotguaranteed. Copyright©1995-2025CDSMarketing,Inc.

UTILITIES & RESOURCES

CHANGE OF ADDRESS

USPS

Below is the website if you would like to change your address online or you can visit your local post office, they will provide you with the change of address packet.

http s://m oversguide.usp s.com

Benefits you will receive when you change your address online are:

Exclusive mover savings coupons

Safe and secure with identity verification by a simple $1.00 charge to your credit or debt card

Email confirmation at the end of registration of your change of address

* Must have valid email address and credit card to register online.

Colorado Department of Transportation

Below is the website if you would like to change your address online or have any questions.

Region 1 and Headquarters

Denver/Central Colorado 2829 W Howard Place Denver, CO 80204 (303) 759-2368

www.codot.gov

VOTER REGIST RATION

Below is the website if you would like to change your address online or you can fill out the paperwork provided and mail it back to your County Elections Office listed below.

sos.state.co.us/voter/pages/pub/home.xhtml

County Elections Office Contacts

Weld County 1250 H St Greeley, CO 80631 (970) 304-6525

MOVING CHECKLIST

UTILITIES

Electric

NW Natural Gas

Water District

Sewer District

Garbage Provider

Cable/Satellite

Fuel (Propane)

Phone Services

Internet

FINANCIAL INSTITUTIONS

Banks and Credit Unions

Credit Card Companies (including department store credit cards)

Lenders

(Mortgage, Home Equity, Auto, Student Loans)

Insurance Companies (Health, Renters, Auto, Home, Medical, Dental, Disability, Life)

Retirement (Pension plans, 401K, Social Security, Veterans Affairs)

Investments (Investment Agencies and Brokers)

Online Bill Payer

Paypal

GOVERNMENT OFFICES

US Post Office

Department of Motor Vehicles

(Obtain your driver’s license and change vehicle registration)

IRS

Passport Office

Veteran Affairs

Unemployment Office

(If you are currently receiving unemployment benefits)

HEALTH

Physician

Pharmacies

SERVICE PROVIDERS

Childcare

Housecleaning Services

Delivery Services

Lawn Care Services

Veterinarian

Pool Service

MEMBERSHIPS

Health Clubs

Membership Clubs (AAA or similar)

Community Groups (PTA, Neighborhood Associations, Civic Clubs)

Children’s Extracurricular Activities (Dance Classes, Music Lesson, Sports Clubs)

SUBSCRIPTIONS

Newspapers

Magazine (USPS will only forward 2 months)

Movie Subscriptions

(Netflix, Blockbuster, etc)

Book or Music Clubs

OTHER

Friends and Family Employers

(typically notify the Human Resources Department)

MOVING CHECKLIST

8 WEEKS BEFORE YOUR MOVE

Inventory Sheets: Create an inventory sheet of all your belongings which need to be moved

Research M oving Options : You ’ll need to decide if yours is a do-it-yourself move or if you’ll be using a moving company.

Request Moving Quote: Solicit moving quotes from as many moving companies and movers as possible. There can be a large difference between rates and services within moving companies.

Discard Unnecessary Items : Moving is a great time for ridding yourself of unnecessary items. Have a yard sale or donate unnecessary items to charity.

Packing Material : Gather moving boxes and packing material for your move.

Contact Insurance Companies : You ’ll need to contact your insurance agent to cancel/transfer your insurance policy.

4 WEEKS BEFORE YOUR MOVE

Start Packing: Begin packing all things destined for your new location.

Obtain Your Medical Records : Contact your doctor, physician, dentist and other medical specialists who may currently be retaining any of your family ’s medical records. Obtain these records or make plans for them to be delivered to your new medical facilities if changing. Security is critical of personal records.

Note Food Inventory Levels: Check your cupboards, refrigerator and freezer. Use up as much of your perishable food as possible.

Small Engines: Service small engines for your move by extracting gas and oil from the machines. This will reduce that chance to catch fire during your move.

Protect Jewelry and Valuables : Transfer your jewelry and valuables to a safety deposit box; you don’t want them to be lost or stolen during your move.

Bor rowed and Rented Items : Return items which you may have borrowed or rented. Collect items borrowed to others.

1 WEEK BEFORE YOUR MOVE

Your Change of Address: Change your address with the USPS, DMV, Financial Institutions, Utilities, Government Offices, Health Care Service Providers, Memberships, Subscriptions and Insurance Provisions.

Bank Accounts: Transfer or close bank accounts if changing banks. Make sure to have a money order for paying the moving company.

Service Automobiles: If automobiles are to be driven long distance, you’ll want to have them serviced so you have a trouble-free drive.

Cancel Services: Notify any remaining service providers (newspapers, lawn services, etc.) of your move.

Tr avel Items: Set aside all items you ’ll need while traveling. Make sure these are not packed on the moving truck..

Contact Utility Companies : Set utility turno ff date, seek refunds and deposits and notify them of your new address.

MOVING DAY

Plan Your Itinerary: Make plans to spend the entire day at the house or at least until the movers are on their way. Someone will need to be around to make decisions. Make plans for kids and pets to be at a sitters for the day.

Review the House : Once the house is empty, check the entire house (closets, attic, basement, etc.) to ensure no items are left or no home issues exist.

Double Check With Your Mover: Ensure the mover has the new property address and all of your most recent contact information, should they have any questions during your move.

Vacate Your Home: Make sure utilities are off, doors and windows are locked and notify your real estate agent you ’ve vacated the property.

Questions To Ask : Where is the garage door opener? Where are the keys to the house, mailbox and other lockable area? Did you retrieve all keys from neighbors and friends?

RES OURCE GUIDE

AIRPORT

Denver International Airport (720) 730-4359

www.flydenver.com

Greeley-Weld County Airport (970) 336-3000 www.gxy.net

AUTO & DRIVER REGISTRATION

Department of Transportation (303) 759-2368

www.codot.gov

BUS SERVICE

Greeley-Evans Transit (970) 350-9287 www.greeleyevanstransit.com

Greyhound (800) 231-2222 www.greyhound.com

CABLE TV, INTERNET, PHONE & SATELLITE

Century Link (866) 963-6665 www.centurylink.com

Dish Network (800) 318-0572 www.dish.com

DIRECT TV (800) 531-5000 www.directtv.com

XFINITY (800) 266-2278

www.xfinity.com

CITY CONTACTS

Ault

970-834-2844

Berthoud 970-532-2643

Brighton 303-655-2000

Dacono 303-833-2317

Eaton 970-454-3338

Erie 303-926-2700

Evans 970-475-1170

Firestone 303-833-3291

Fort Lupton 303-857-6694

Frederick 720-382-5500

Garden City (970) 351-0041

Gilcrest 970-737-2426

Greeley greeleygov.com/contact-us Hudson 303-536-9311

Johnstown 970-587-4664

Keenesburg 303-732-4281

CITY CONTACTS CONTINUED...

Kersey 970-353-1681

La Salle 970-284-6931

Lochbuie 303-655-9308

Longmont 303-776-6050

Mead www.townofmead.org

Milliken 970-587-4331

Northglen 303-451-8326

Nunn 970-897-2385

Pierce 970-834-2851

Platteville 970-785-2245

Severance 970-686-1218

Thornton 303-538-7200

Windsor 970-674-2400

COUNTY CONTACTS

Weld County (970) 400-4000 www.co.weld.co.us

RES OURCE GUIDE

EDUCATION

Briggsdale School District RE-10 www.briggsdaleschool.org

Eaton School District RE-2 www.eaton.k12.co.us

Greeley-Evans School District 6 www.greeleyschools.org

Johnstown-Milliken

Weld School District RE-5J www.weldre5j.k12.co.us

Pawnee School District RE-12 www.pawneeschool.org

Platte Valley School District RE-7 www.pvre7.org/en-US

Prairie School District RE-11 www.prairieschool.org

School District 27J www.sd27j.org

St. Vrain Valley School District RE 1J www.svvsd.org

Thompson School District R-2J www.tsd.org

Weld County School District RE-1 www.wcsdre1.org/en-US

Weld County School District RE-3J www.re3j.com

Weld RE-9 School District www.weldre9.org

Weldon Valley School District RE-20J www.weldonvalley.org

Wiggins School District RE-50J www.wiggins50.k12.co.us

Windsor School District RE-4 weldre4.org/en-US

ELECTRICITY

United Power

303-637-1300 www.unitedpower.com

Xcel Energy (800) 895-4999 co.my.xcelenergy.com

GARBAGE

Waste Management Garbage (800) 482-6406 www.wm.com

Waste Connections (800) 457-1379 www.wasteconnections.com/ colorado

Pawnee Waste (970) 889-0006 www.pawneewaste.com

WATER & SEWER

See City Contacts

HOSPITALS

Banner North Colorado Medical 970-810-4121 www.bannerhealth.com

UCHealth Greeley Hospital 970.652.2000 www.uchealth.org

NATURAL GAS

Xcel Energy (800) 895-4999 co.my.xcelenergy.com

Atmos Energy (866) 322-8667 www.atmosenergy.com

NEWSPAPERS

Greeley Tribune www.greeleytribune.com

The Rocky Mountain Collegian www.collegian.com

RECREATION

& ATTRACTIONS

www.discoverweld.com

Hiking & Biking

Fishing & Boating

Birding

Golfing

Disc Golf

Swimming, Skating & More

Camping

The Weld Legacy Trail

Firestone –St. Vrain State Park

Greeley-Houston Gardens

Frederick in Flight

Dacono Colorado National Speedway

Northern Weld Pawnee National Grasslands & Buttes

Greeley Union Colony Civic Center

TITLE & ESCROW

CYBER SECURITY

Because of you… we obsess over cyber security!

Cyber fraud and email hacking is on the rise. Fraudsters may access individual email accounts and monitor the life of your transaction. At the time funds are due to the escrow, fraudsters intercept the information for wiring funds and the fraudsters change the information without the knowledge of the sender or recipient, resulting in the funds being sent to an outside account and never credited to the intended party.

To protect and reduce your risk, WFG has implemented the following procedures for outgoing and incoming wires:

Outgoing Wire from WFG to seller or borrower for proceeds

In the escrow paperwork provided you will be asked to provide written instructions on how you want funds dispersed at the close of escrow. If you choose to have the funds sent via wire transfer, WFG will contact you by phone to con rm the wire information provided.

Incoming Wires from buyer and/or lender to WFG bank account

For funds that are to be wired to WFG for your transaction, we will send speci c wire instructions to the remitting person via an encrypted email. We recommend you reach out to your WFG contact to con rm the wire instructions prior to remittance.

We look forward to processing your escrow transaction for you. We know that this can be a stressful time and we are here to assist you in any way we can to make this a good experience.

http://national.wfgnationaltitle.com/2016/04/05/obsess-cyber-security/

WIRE FRAUD

PROTECT YOUR MONEY WHEN BUYING A HOME: YOUR WIRE FRAUD CHECKLIST

Every day, hackers try to steal your money by emailing fake wire instructions. Criminals will use a similar email address and steal a logo and other info to make it look like the email came from your real estate agent or title company. You can protect yourself and your money by following the steps below.

Don’t send sensitive nancial information via email.

Call, don’t email. Con rm your wiring instructions by phone using a known number before transferring funds.

We will never email wiring instructions to you nor change WFG account information after it’s been provided to you by our sta .

Keep your email account clean, remove any stale messages. Hackers can watch your business patterns and use this information against you.

Ask your bank to con rm the name on the account before sending a wire.

Call your title company or real estate agent within four to eight hours to con rm they have received your money.

This is for informational purposes only and should not be considered legal advice.

WHY IS OWNER’S TITLE INSURANCE IMPORTANT?

The purchase of a home is likely going to be one of the most expensive and important purchases you will ever make. You and your mortgage lender want to make sure the property is indeed yours and that no individual or government entity has any right, lien, claim, or encumbrance to your property.

The title insurance company’s function is to make sure your rights and interests to the property are clear, that transfer of title takes place e ciently, and correctly, and your interests as a homebuyer are protected. Title insurance companies provide services to buyers, sellers, real estate developers and builders, mortgage lenders, and others who have an interest in the real estate transfer. Title companies issue two types of policies - “Owners Policy” (which covers the homebuyer) and “Lenders Policy” (which covers the bank, savings and loan, or other lending institution over the life of a loan). Both are issued at the time of purchase for a one-time premium.

The title company conducts an extensive search of public records to determine if anyone other than you has an interest in the property before issuing a policy. The search may be performed by title company personnel using either public records, or more likely, information gathered, reorganized, and indexed in the company’s title “plant”. With such a thorough examination of records, title problems can usually be found and cleared up prior to purchase of the property. Once a title policy is issued, if for some reason any claim, which is covered under your title policy, is ever led against your property, the title company will pay the legal fees involved in defense of your rights as well as any covered loss arising from a valid claim. That protection, which is in e ect as long as you or your heirs own the property, is yours for a one-time premium paid at the time of purchase.

The title company works to eliminate risks before they develop. This makes title insurance di erent from other types of insurance. Most forms of insurance assume risks by providing nancial protection through a pooling of risks or losses arising from unforeseen events, like re, theft, or accident. The purpose of title insurance, on the other hand, is to eliminate risks and prevent losses caused by defects in title that happened in the past. Risks are examined and mitigated before property changes hands. Eliminating risk has bene ts to both of you, the home buyer, as well as the title company. It reduces the chance adverse claims might be raised, and by doing so reduces the number of claims that have to be defended or satis ed. This keeps costs down for the title company and your title premiums low. With title insurance you are assured that any valid claim against your property will be taken on by the title company, and that the odds of a claim being led is slim.

WHAT IS ESCROW

When your o er has been accepted and conveyed, escrow is opened. An escrow is an arrangement made under contract between a buyer and seller. As the neutral third party, escrow is responsible for receiving and disbursing money and/ or documents. Both the buyer and seller expect the escrow agent to carry out their written instructions associated with the transaction and also to advise them if any of their instructions are not being met, or cannot be met. If the instructions from all parties to an escrow are clearly set out, the escrow o cer can proceed on behalf of the buyer and seller without further consultation.

TYPICAL ROLES IN THE CLOSING PROCESS

The Seller/Agent

• Delivers Purchase Sale Agreement to the escrow agent

• Prepares the paperwork necessary to close the transaction

• Approves the commitment for title insurance, or other items as called for by the Purchase Sale Agreement

The Buyer/Agent

• Deposits funds required to close with the escrow agent

• Executes the paperwork and loan documents necessary to close the transaction

The Lender

• Deposits loan documents to be provided by the buyer

• Deposits the loan funds

• Informs the escrow agent of the conditions under which the loan funds may be used

The Escrow Agent

• Clears Title

• Obtains title insurance

• Obtains payo s and release documents for underlying loans on the property

• Receives funds from the buyer and/or lender

• Prepares vesting document a davit on seller’s behalf

• Prorates insurance, taxes, rents, etc.

• Prepares a nal statement (often referred to as the Closing Disclosure or CD) for each party, indicating amounts paid in conjunction with the closing of your transaction

• Forwards deed to the county for recording

• Once the proper documents have been recorded, the escrow agent will distribute funds to the proper parties

Escrow is the process that gathers and processes many of the components of a real estate transaction. The escrow agent is a neutral third party acting on behalf of the buyer and seller.

WHAT IS TITLE

Title insurance insures against nancial loss from defects in title, liens, or other matters. It protects both purchasers and lenders against loss by the issuance of a title insurance policy. Usually, during a purchase transaction the lender requests a policy (commonly referred to as the Lender’s Policy) while the buyers receive their own policy (commonly referred to as an Owner’s Policy).

It will protect against lawsuits if the status of the title to a parcel or real property is other than as represented, and if the insured (either the owner or lender) su ers a loss as a result of a title defect. The insurer will reimburse the insured for that loss and any related legal expenses.

How is title insurance di erent than other types of insurance?

While the purpose of most other types of insurance is to assume risk through the pooling of monies for losses happening because of unforeseen future events (like sickness or accidents), the primary purpose of title insurance is to eliminate risks and prevent losses caused by defects in title arising out of events that have happened in the past. To achieve this, title insurers perform a thorough search and examination of the public records to determine whether there are any adverse claims (title defects) attached to the subject property. These defects/claims are either eliminated prior to the issuance of a title policy or their existence is excepted from coverage. The policy is issued after the closing of your new home, for a one time nominal fee, and is good for as long as you own the property.

What’s involved in a title search?

A title search is made up of three separate searches:

• Chain of Title – History of the ownership of the subject property

• Lien & Encumbrance Search – Discloses liens and encumbrances on the subject property

• Exceptions from Coverage Search –Includes Easements, Covenants, Conditions and Restrictions, etc.

After the three searches have been completed, the le is reviewed by an examiner who determines:

• If the Chain of Title shows that the party selling the property has the rights to do so.

• Whether there are any unsatis ed judgments on the Judgment and Name Search against the previous owners, sellers, or/and purchasers.

Rights established by judgment decrees, unpaid federal income taxes, and mechanics liens all may be prior claims on the property, ahead of the buyer’s or lender’s rights. The title search will only uncover issues in title that are of public record and therefore allowing the title company to work with the seller to clear up these issues and provide the new buyer with title insurance.

Once the searches have been examined, the title company will issue a commitment, stating the conditions under which it will insure title. The buyer, seller, and the mortgage lender will proceed with the closing of the transaction after clearing up any defects in the title that have been uncovered by the search and examination.

WHO PAYS FOR WHAT IN COLORADO

The examples below are typical. However, the real estate purchase agreement will ultimately determine who is paying for what expenses.

The Seller

• Real Estate Commission

• Document preparation fee for Deed

• Payo of all loans in the seller’s name (or existing loan balance if being assumed by Buyer)

• Interest accrued to lender being paid o

• Statement Fees, Reconveyance Fees, and any prepayment penalties to Payo Lender

• Home Warranty (according to contract)

• Any judgments, tax liens, etc. against the seller

• Tax proration (for any taxes unpaid at time of transfer of title)

• Any unpaid Homeowners’ Association dues

• Recording charges to clear documents of record against seller

• Any bonds or assessments (according to contract)

• Any and all delinquent taxes

• Notary Fees

Personal Property vs. Real Property

The Buyer

• Title Insurance Premium for Lender’s Policy

• Escrow Fee (one half)

• Document preparation (if applicable)

• Notary fees

• Recording charges for all documents in Buyers’ names

• Tax proration (from date of acquisition)

• Homeowners’ Association transfer fee

• HOA proration (from date of acquisition)

• All new loan charges (except those required by lender for seller to pay

• Interest on new loan from date of funding to 30 days prior to rst payment date

• Assumption/Change of Record fees for takeover of existing loan (if applicable)

• Bene ciary Statement Fee for assumption of existing loan (if applicable)

• Inspection Fees (roo ng, property inspection, geological)

• Home Warranty (according to contract)

• Fire Insurance Premium for rst year

• Any bonds or assessments (according to contract)

The distinction between personal property and real property can be the source of di culties in a real estate transaction. A purchase contract is normally written to include all real property; that is, all aspects of the property that are fastened down or which are an integral part of the structure. For example, this would include light xtures, drapery rods, attached mirrors, and trees and shrubs in the ground. It would not include potted plants, free-standing refrigerators, washer/dryer, microwave, bookcases, lamps, etc. If there is any uncertainty whether an item is included in the sale or not, it is best to be sure that the particular item is mentioned in the purchase agreement as being included or excluded.

DISCLAIMER:

This information is provided for informational purposes only and no warranties are made.

TITLE VESTING

TENANCY IN SEVERALTY

Ownership of property vested in one person rather than held jointly with another.

JOINT TENANCY WITH RIGHT OF SURVIVORSHIP TENANCY IN COMMON

Parties need not be married; may be more than two persons.

Parties need not be married; may be more than two persons.

Also called sole tenancy.

The sole owner may use, encumber, rent, sell, and convey at their discretion.

The owner may transfer the property via a Will, Trust, or a Bene ciary Deed upon their death.

Each joint tenant holds an equal and undivided interest in the estate, unity of interest.

Upon death, the estate of the decedent must be “cleared” through probate or adjudication.

One joint tenant can partition the property by selling his or her joint interest.

Each joint tenant holds an undivided fractional interest in the estate. May be disproportionate interest e.g. 20% and 80%; 40% and 60%; etc.

Each tenant’s share can be conveyed, mortgaged, or devised to a third party.

Requires signatures of all joint tenants to convey or encumber the whole.

Requires signatures of all to convey or encumber the whole.

Estate passes to surviving joint tenants outside of probate.

No court action required to “clear” title upon the death of joint tenant(s).

Upon death, the tenant’s proportionate share passes to his or her heirs by will or intestacy.

Upon death, the estate of the decedent must be “cleared” through probate or adjudication.

DISCLAIMER – The foregoing contains informational examples only and is not to be construed as legal advice. Given the complexities involved in acquiring and holding legal title to real property, WFG strongly recommends that you seek legal advice from an attorney prior to doing so.

55 Madison Street, Suite 690

Denver, CO 80206 (720) 475-8325

NORTH

12050 N Pescos Street, Suite 110 Westminster, CO 80234 (720) 475-8350

8610 Explorer Drive, Suite 105

Colorado Springs, CO 80920 (719) 598-5355

7800 E Union Avenue, Suite 310 Denver, CO 80237 (720) 475-8300

3. DENVER TECH CENTER / COMMERCIAL
4.
METRO OFFICE
2. COLORADO SPRINGS OFFICE
1. CHERRY CREEK OFFICE

TABLE OF CONTENTS

Altos Market Report

WFG’s My Home

Talking House Tent Cards

CC&R’s (if applicable)

The information contained is provided by WFG’s Customer Service Department to our customers, and while deemed reliable, is not guaranteed.

REPORT FOR 9/4/2025

Single-Family Homes

This week the median list price for Severance, CO 80550 is $520,000 with the market action index hovering around 31. This is less than last month's market action index of 32 Inventory has increased to 93

Market Action Index

This answers “How’s the Market?” by comparing rate of sales versus inventory

Real-Time Market Profile

Median List Price

Price of New Listings

Slight Seller's Advantage

Market Narrative

The market has been cooling over time and prices plateaued for a while Despite the consistent decrease in MAI, we’re in the Seller’s zone. Watch for changes in MAI. If the MAI resumes its climb, prices will likely follow suit If the MAI drops consistently or falls into the Buyer’s zone, watch for downward pressure on prices.

Market Segments

Slight Seller's Advantage

Each segment below represents approximately 25% of the market ordered by price

Median List Price

Prices in this zip code seem to have settled around a plateau. Look for a persistent down-shift in the Market Action Index before we see prices deviate from these levels.

Segments

In the quartile market segments, we see prices in this zip code have settled at a price plateau across the board. Prices in all four quartiles are basically mixed. Look for a persistent shift (up or down) in the Market Action Index before prices move from these current levels.

Price Per Square Foot

While prices have been basically flat, the price per square foot has been heading downward. While not a sign of broad strength in a market, larger homes are coming more available and buyers are tending to get more home for their money.

Inventory has been climbing lately. Note that rising inventory alone does not signal a weakening market. Look to the Market Action Index and Days on Market trends to gauge whether buyer interest is keeping up with available supply.

Market Action Index

The market has been cooling over time and prices plateaued for a while. Despite the consistent decrease in MAI, we’re in the Seller’s zone. Watch for changes in MAI. If the MAI resumes its climb, prices will likely follow suit. If the MAI drops consistently or falls into the Buyer’s zone, watch for downward pressure on prices.

Not surprisingly, all segments in this zip code are showing high levels of demand. Watch the quartiles for changes before the whole market changes. Often one end of the market (e.g. the highend) will weaken before the rest of the market and signal a slowdown for the whole group.

Median Days on Market (DOM)

The properties have been on the market for an average of 118 days. Half of the listings have come newly on the market in the past 57 or so days. Watch the 90-day DOM trend for signals of a changing market.

Segments

It is not uncommon for the higher priced homes in an area to take longer to sell than those in the lower quartiles.

Instant access to

WFG’s MyHome® provides full transparency, real-time updates, and post-closing home information in a secure built with YOU in mind.

Contact information for

Sign up for an account at https://myhome.wfgtitle.com today!

Click Register for MyHome® account on a MyHome® email to https://myhome. wfgtitle.com

Complete a brief registration form. Use your email address on immediate access.

via text, email, or

for your transaction

your escrow team

CONSUMER EXPERIENCE TIMELINE

TRANSACTION CLOSED

GATHER UP

SIGNING SCHEDULED

CLOSE TO SIGNING

TITLE CLEARED

UPDATER INVITATION

TITLE REPORT DELIVERED

TRANSACTION STARTED

MIDPOINT FEEDBACK

EARNEST MONEY

THINGS TO REMEMBER

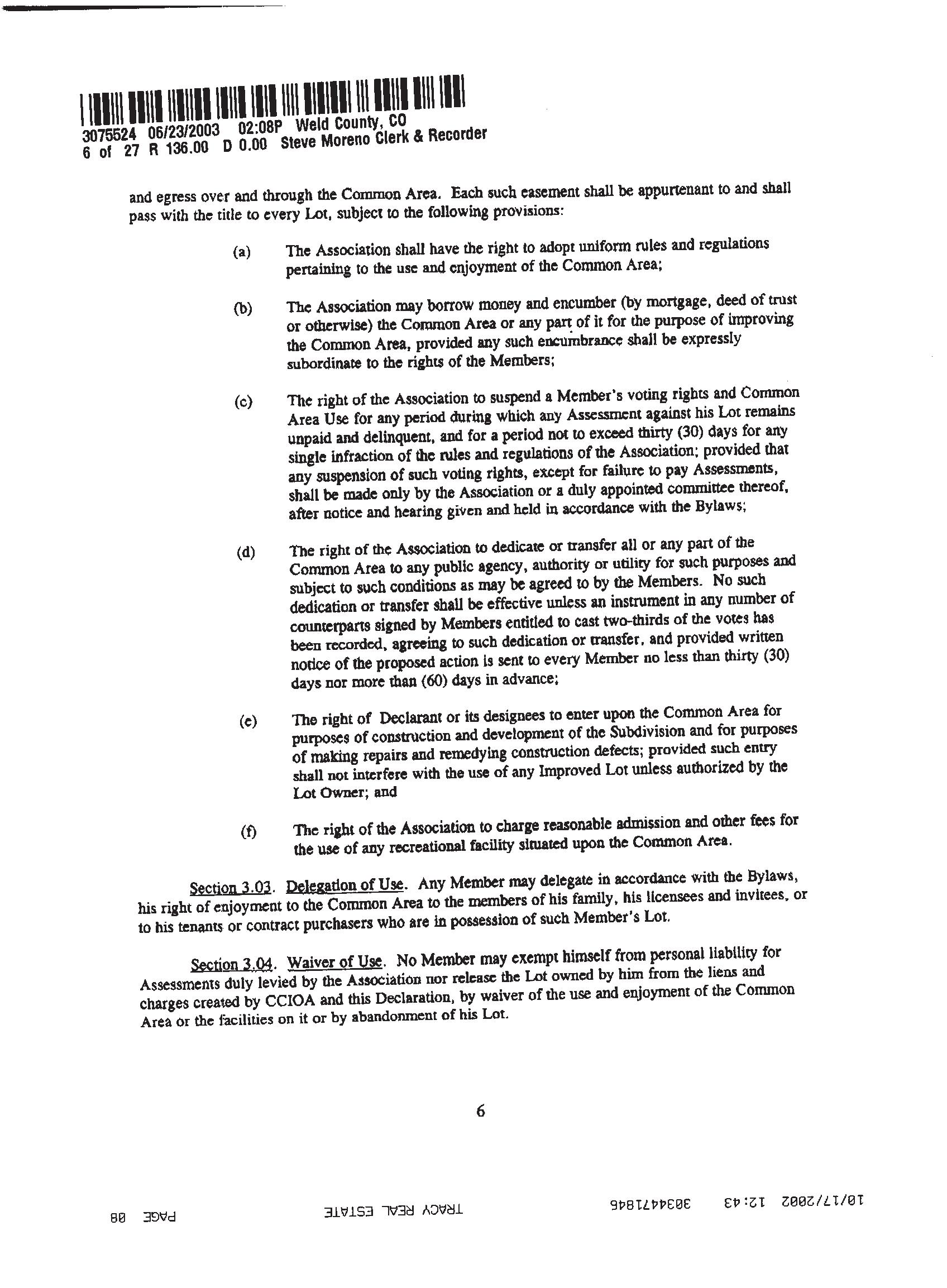
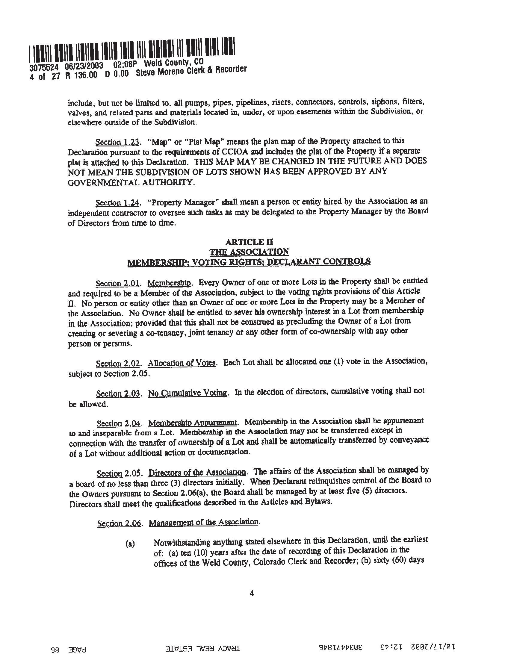
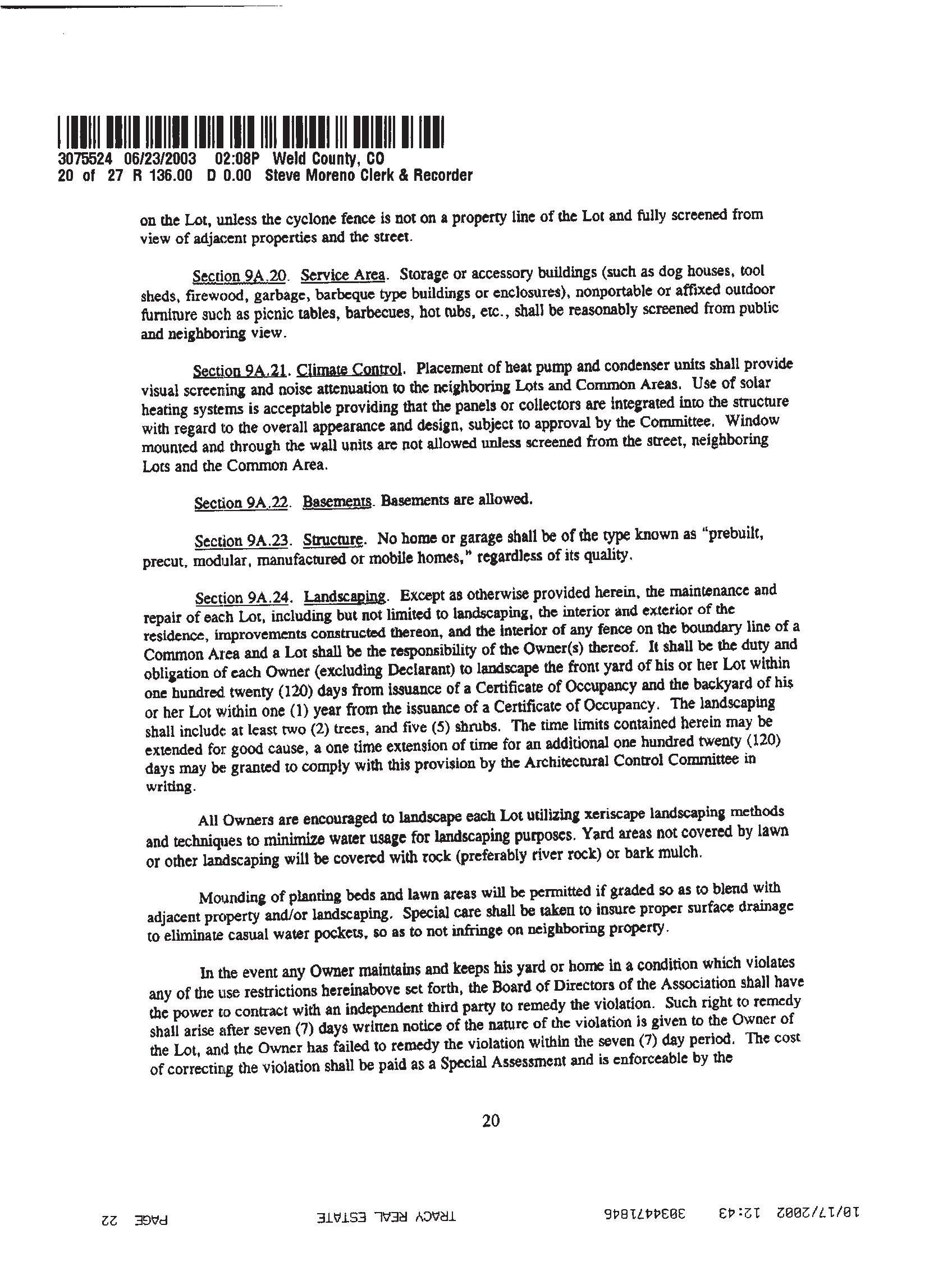
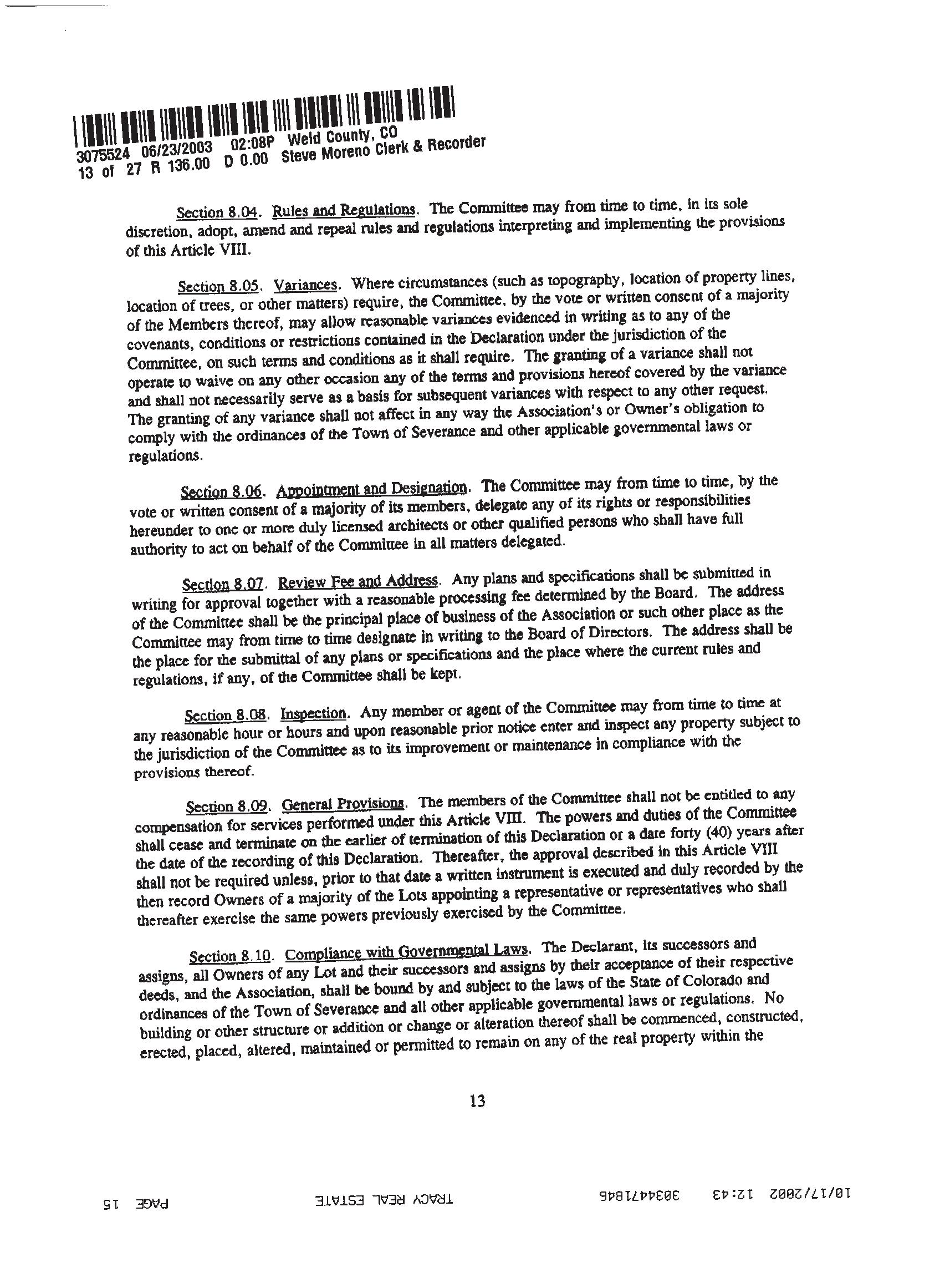
Covenants, Conditions & Restrictions

We believe these are the correct conditions and restrictions.

However, no examination of title has been made and WFG National Title assumes no liability for any additions, deletions or corrections.

Turn static files into dynamic content formats.

Create a flipbook
Issuu converts static files into: digital portfolios, online yearbooks, online catalogs, digital photo albums and more. Sign up and create your flipbook.