Relocation Guide

Page 1

GUIDE TO BUYING IN Halifax Halifax

With The Leblanc & Associates Team

This is not intended to solicit anyone currently under contract

It Takes A Team!

As a team, our goal is to establish lifelong relationships with our buyers by dedicating a strong and supportive partnership that provides guidance, resources and extensive knowledge at all stages of your real estate transaction.

Most agents are a “solo show” with limited time and energy, juggling several clients with little help. Our team ALWAYS has time for you!

Our unique TEAM approach means you get a highly qualified staff of individuals, each with their own specialized knowledge and area of expertise. And hey... We're told we are even fun to be around!

You get all of our team, all You get all of our team, all WORKING FOR YOU! WORKING FOR YOU!

4 Relocation Roadmap 6 Buyer’s Roadmap 10 Why Choose Us? 8 Meet The Team 12 Choosing Your Team 17 Virtual Showing Tips 16 Virtual vs In-Person Showings 15 Why Buyer's Representation Is Important 13 Closing Costs 18 10 Steps For A Successful HHT 20 Intro To Halifax 21 History Of Halifax 23 Universities & Colleges in Halifax 22 Climate In Halifax 24 Local Attractions & Events In Halifax 53 Sample Forms 52 Client Referral Program 27 Districts Guide 26 Frequently Asked Questions Contents

It's NEVER too early to get in touch with a REALTOR®. A lot can be taken care of prior to getting your official transfer/posting message and we are here to help!

Relocation Roadmap

Receive word of a possible posting/transfer/ relocation Search for a REALTOR® that will match your needs and personality (Ask friends or colleagues for recommendations)

Read your REALTOR® custom relocation package thoroughly

Posting message/notice is received

Register with your relocation team (BGRS, Relocation Dept, etc.)

Make a list of your needs (location, schools, amenities, etc)

Upon arrival, go for a quick drive around the houses or locations you are interested in

Complete your mortgage preapproval

Get educated about your new market. This is someting you should talk about with your chosen REALTOR®

Keep in constant communication with your REALTOR®

Gather all the paperwork you will need for your upcoming preapproval (It's never too early to start)

Choose your team and plan your HHT dates. Your REALTOR® will be able to refer some knowledgeable professionals such as home inspectors, lawyers, etc.

Touchbase with your REALTOR® in the days leading up to your planned HHT to discuss the last details or changes to travel plan

Gather and keep all your HHT tools together in the same location such as BGRS # or equivalent for RCMP, preapproval letter, gov't ID, funds for deposit

Establish agency relationship with signatures on compliance documents (Working With The Real Estate Industry and Buyer Designated Brokerage Agreement)

1 2 3 4
5 6 7 8 9 10 11 12
15 14 13
4

Proactive, efficient, professional and attentive are only a few characteristics that define the team and level of customer service at Leblanc and Associates. Going above and beyond to accommodate our many requests, Melanie made our purchasing experience down right easy, and gave us the full confidence to complete the transaction over virtual means. Melanie is truly the standard by which all others should be measured. We cannot thank Mel and her team enough. Highly recommended; there just is no other option when it comes to a Realtor!

- Melanie Q

I have nothing but incredible things to say about Kim. I have been working in the mortgage lending industry for 13 years and have lived, worked, and purchased in real estate markets coast to coast. The level of service, professionalism, knowledge and human connection Kim brings to real estate interactions with her clients is beyond anything I have witnessed elsewhere. Not only is Kim detail oriented, she gets to know her clients personally and understands the human and emotional element of the real estate process. Her communication and care are a testament to her character, integrity and exceptional knowledge of the diverse markets she serves.

- Tanyse and James G

BUYER’S ROADMAP

Establishing Agency Relationship With Signatures Of Compliance Documents Decline Agency Relationship Thank You For Your Time Insurance Contact Mortgage Contact Collab Center Track Listings Buyers Book Lawyer Contact Showings Write Educated Offer Accepted Offer Conditions & Inspections Lawyer Home Inspection Septic, Well & Water Insurance Finance Letter CLOSING DAY Trades & Affiliates Concierge Service 6 (IfApplicable)

We were lucky enough to have Melanie work with us while we bought virtually. She was able to make a stressful situation manageable, dealing with the paperwork as well as recommending professionals to help us with inspections, lawyer, and everything in between. Her and her staff are responsive and professional all while keeping us laughing through trying times. - Kolbey N

7

Meet TheTeam Team

e a m L e a d / R E A L T O R ® M E L A N I E L E B L A N C

Meet Melanie, your dedicated real estate ally with an impressive 17+ years of experience and a track record of successfully navigating countless transactions. There's no challenge too big for Melanie—she tackles every situation head-on.

Renowned in the industry for her impeccable knowledge, Melanie stands out for her thorough communication, candid feedback, and top-notch transaction management systems. She's not just a REALTOR®; she's your go-to expert for those difficult conversations and tough negotiations, excelling in what she does best.

Melanie has earned her title as THE relocation specialist, having worked closely with hundreds of military, RCMP, and work relocation clients. Drawing from her personal experience as a military veteran, Melanie understands the challenges of moving from miles away. This firsthand knowledge empowers her to create systems that minimize stress and ensure you stay two steps ahead during your house-hunting journey.

Beyond her professional achievements, Melanie is a passionate advocate for dogs, with four furry companions of her own. Volunteering for ElderDog Canada, she dedicates her time to supporting our four-legged friends. In her role as a wife and mom of two boys, Melanie brings the same commitment and care to her personal life as she does to her real estate career.

Choose Melanie for a personable, engaging, and experienced approach to real estate that goes beyond the transaction—because your journey is her priority.

Bilingual (English & French)

Certified Negotiation Expert (CNE)

Accredited Buyers Representative (ABR)

T
8

Steve is someone who has always thrived on aligning himself with excellence. With a rich background in hospitality, Steve served as a restaurant manager for the renowned Bertossi Group and The Canteen on Portland, where he honed the art of delivering unparalleled client service and building lasting relationships.

He seamlessly transitions his passion, enthusiasm, and dedication from the hospitality industry to this award-winning real estate team where he takes great pride in upholding the same standards of excellence that he's always been accustomed to.

Steve's commitment goes beyond the ordinary; he strives and thrives in going the extra mile to ensure a seamless experience at every stage of the real estate journey. For Steve, client satisfaction isn't just a goal—it's his ultimate reward.

Beyond his professional life, Steve and his partner enjoy hosting guests or indulging in the vibrant local dining scene. No matter where he goes, Steve always manages to know someone, spreading smiles with his warm and welcoming demeanour.

Meet Kim, your dynamic real estate partner with a background rich in experiences and a passion for community. Born and raised in the coastal haven of Herring Cove, just outside of Halifax, Kim now proudly calls the area of Waverley her "home."

Kim's professional background includes real estate paralegal and assistant, retail, sales, branding, digital marketing, merchandising, and even a little event planning. These diverse experiences have created a skill set that now fuels her thriving career as an award-winning REALTOR®, allowing her to seamlessly blend her varied expertise to assist clients with their real estate needs.

Over the last 6+ years as a licensed real estate agent, she has cherished the opportunity to get to know her clients and their families along the way while creating genuine connections that extend beyond the transaction.

On a personal note, Kim is a first-time mom, shop local advocate and connoisseur and the host of Connected Mastermind Group for entrepreneurs looking to grow their business!

E A L T O R ®
T E V E A R S E N A U L T
E A L T O R ®
I M D E M P S E Y 9
R
S
R
K

Why Choose Us?

1

We are a team of agents with over 80% of its business coming from repeat clients & referrals.

2 3 4 5

We have a combined wealth of knowledge of over 28 years of real estate sales experience in the Halifax market.

We are highly skilled negotiators working on your behalf.

We are a team of full-time agents who are familiar with the ins and outs of the Halifax market and surrounding areas.

We have a professional administrative team handling everything behind the scenes so our agents can prioritize you!

10

I was new to the whole buying a house experience, but Melanie and Steve alleviated my anxiety and confusion and made the whole process easy and enjoyable. I would recommend Leblanc & Associates to anyone who is looking to buy. They are very professional, courteous and fun to be with

CHOOSING Your Team Your Team

Lawyers Lawyers

Lawyers who specialize in real estate ensure that proper procedures are followed during the acquisition of property and are invaluable members of your team. Their job is to ensure that you get what you are paying for in accordance with the terms of your purchase and sale agreement and make certain that there is a clear title to the land.

Home Inspectors Home Inspectors

Hiring an independent home inspector is not mandatory, however strongly recommended. They will help alleviate a lot of the risk. Building inspectors ensure that the property is warm, safe and dry and can help identify if a building is worth your time and money. A properly trained inspector can potentially save you thousands of dollars and any unpleasant surprises.

Mortgage Brokers Mortgage Brokers

The mortgage industry is highly competitive and it is important to understand that interest rates can change anytime. Partnering with a mortgage broker or financial institution will help you find the right mortgage product with the best rate. It is also very important to obtain a copy of your pre-approval as this can be a powerful tool when submitting offers. Sellers are more likely to consider an offer when they know there is a pre-approval in place.

Leblanc & Associates have vetted and worked extensively with many industry experts. We would be happy to connect you with some incredible and TRUSTED professionals to assist you in the buying process.

12

Closing Costs

Most buyers can expect to pay approx 3-5% of the purchase price in closing costs. These can include mortgage application fees, legal fees and disbursements, utility hookups, fuel and tax adjustments, Land Transfer Tax etc. As your closing date approaches, your lawyer will provide you with a statement of all the costs and will handle the distribution of all said fees on your behalf.

3 Primary Costs/Adjustments On Closing Day

All buyers must pay a Land Transfer Tax called the Deed Transfer Tax (DTT) in Nova Scotia. The amount paid is based on 1.5% of the purchase price of the property and is due upon closing.

If the property you are purchasing has oil or propane, the sellers will fill the tank(s) a few days before closing and you will be required to pay the sellers for a full tank upon closing.

You will be required on closing to reimburse the sellers for any taxes they have prepaid for the year. This is prorated and will be calculated by the lawyer and will be due upon closing.

Fuel
Land
Tax Adjustments
Adjustments
Transfer Tax
13

Mel and Kim listened to our dreams and found us the right house to make them happen. It was like having close friends guide us through the process. So glad they had our backs for the move from Ottawa to HRM and appreciate their continued support as we settle in. Highly recommend!

J. C.

-

WHY HAVING

''

Buyer's Representation Buyer's Representation IS SO IMPORTANT!

It is a common misconception that just because the REALTOR® is showing you properties, that they are automatically working for you. This is most definitely NOT the case. You must discuss representation with the REALTOR® and decide what level of representation you want. There are three types of relationships or agencies you can have with a REALTOR® - Client, Customer or Transaction Brokerage. Each has a different set of duties and obligations they must provide buyers. To understand more about each type of relationship, please refer to page 54.

THE SEARCH PROCESS

Your buyer's representative will set up showings and provide valuable information regarding the property, community, taxes, utilities and zoning. They will help scrutinize properties and locations to the best of their knowledge, so having a highly experienced and knowledgeable agent is a HUGE asset!

THE OFFER PROCESS

Your buyer's representative will educate you on the current market and how that corelates with recent sales in the area. They will work with you to strategize the best terms of an offer that satisfies both your needs and those of the seller. In a sellers market, this process is CRUCIAL to preventing buyer burnout from unsuccessful attempted offers.

THE CLOSING PROCESS

Your buyer's representative will monitor all dates, conditions and requirements leading up to the closing date. They will attend the pre-close inspection and carefully assess the property and it's current condition to ensure that no new issues or damage has occurred since the last viewing.

Why not use the listing agent?

The listing agent has a relationship with the seller, therefore you will not receive all the benefits of having your own representation. The agent is working for the sellers, who are naturally trying to get you to pay top dollar for their home. You need a buyers representative who will represent you EXCLUSIVELY and can provide advices and direction.

15

vs

VVirtual irtual In -Person Showings In -Person Showings

We understand relocation clients may not always have the ability to travel for in-person showings. Under these circumstances, we can complete showings virtually in such a way as to make them feel confident in purchasing. Some buyers are even opting to do virtual showings despite having the ability to travel. Whatever method you choose, we are happy to accommodate you!

As experienced agents, you can trust that we know exactly how to help you navigate virtual or inperson showings so YOU can feel CONFIDENT making an educated decision. We've got your back!

VIRTUAL SHOWINGS

Provide you with a cutsheet with all the properties information by email

Email you copies of all the property docs for your review

Browse through Google Maps' Street View to view the neighbourhood and see amenities

Use Facebook Messenger, Zoom, etc to video conference a virtual tour through the property while pointing out features and concerns

Record and send videos of a virtual tour of the property if not available for zoom

Discuss any questions and concerns regarding the property by phone, email or video

IN-PERSON SHOWINGS

Provide you with a cutsheet with all the properties information in person

Email you copies of all the property docs for your review

Drive through the neighbourhood to see amenities

Walk you through the property together, pointing out features and concerns

Discuss any questions and concerns regarding the property by phone, email or video

16

Virtual Showing Tips

Have a floor plan ready, if available

This will help keep you orientated dusing the tour and make it easier to follow along

Ask your agent to be your EYES, EARS and NOSE

Ask them what the noise level is like in the house, are there odors, do the floors creak, etc.

Gather critical details

Keep a notepad next to you so you can write down important details and ask for specifics

Ask as many questions as you'd like!

Don't be shy and come prepared with a list of questions you know you need answered

17

Steps Steps 10 10

For a Successful House Hunting Trip

It is important to know that it's NEVER too early to get in touch with a REALTOR® once you hear that you may be posted/relocation! This is a very COMMON MISTAKE. A lot of details can and should be taken care of before getting your transfer/posting message, and this is what we're here to help you with.

0 1

Select The Right REALTOR® For Your Needs

0 2

Get Pre-Approved For Your Mortgage ASAP

This is THE MOST important aspect of a successful relocation. The remainder of the relocation process and how seamless the experience will be is greatly affected by this 1st step. The level of expertise, years of experience in relocation, personal experiences with relocation, access to a network of qualified professionals, and the recognition of their peers, are only a few pieces you should consider when selecting the right REALTOR® for you.

Pre-approvals are a MUST for both you and the REALTOR®. With a mortgage pre-approval, you get a very clear picture of what you can afford financially.

0 3

Get Educated On Your New Market

Again, this is very important, as the buying strategy will be totally different depending on if you are heading into a seller's market or a buyer's market. If you are a buyer in a seller's market like we are currently in, the competition will be fierce and the purchase price will likely go over the asking price. The more questions you ask will help you build your education. A realistic understanding of this market is crucial, especially as you make a list of your needs and wants.

0 4 Make A List Of your Wants and Needs

0 5

Think About Resale In ANY MARKET

The market status will definitely affect your lists. When buying in a seller's market, you will have to make a lot more compromises than if you buy in a buyer's market with tons of inventory to choose from. In a seller's market, your focus should remain on your needs, with any of the wants considered a bonus!

We cannot stress this one enough to all our relocation clients. Your posting/transfer is usually for a set period of time, so more than likely this won't become a forever home. Once you get posted/transferred again, you need to be able to sell your home quickly and your property needs to remain as appealing as possible to a broad range of prospects.

0 6 Be Prepared To Make A FAST Decision

0 7

Have A Team Ready To Go

You typically have only a week to find your new house and this is why planning is KEY! Consultation and communication with your REALTOR® on a regular basis, prior to your HHT, are an absolute priority. Make sure your REALTOR® has a team on-site and ready to go. This can range from Home Inspectors, Lawyers, water testers, etc. These qualified professionals need to be all registered with BGRS or must be extremely knowledgeable with relocation moves and understand the time crunch.

0 8 Dress Comfortably

Try to wear comfortable clothes and slip-on shoes/boots. This makes showings easy and efficient.

0 9 Quick RECCE Upon Arrival

A quick drive around the houses you've spotted online, and surrounding neighbourhoods, will save you so much time viewing properties that do not make the cut! We all know how precious time is during a HHT

1 0 ID and Funds Available For Deposit

We will require a government issued picture ID for the transaction. Also, make sure you have funds available for the deposit which will be required when your offer is accepted.

19

Intro toHalifax Intro toHalifax

Halifax sits in the center of Nova Scotia’s eastern coastline and offers all the conveniences of a large city while still maintaining that small-town feeling. Its streets are filled with an eclectic mix of new & old and offer all the culture and energy of urban living. Famous for having the highest number of bars and restaurants per capita in Canada, Halifax is filled with unique dining and entertaining experiences. With over 50,000 tons of the World Famous Nova Scotia lobster hauled every year, you’ll likely see this delicacy on plenty of menus throughout Nova Scotia.

Prefer nature? Well, Halifax has it in spades too! From amazing hiking trails and beautiful waterfalls to kayaking and scanning the ocean floor, there is no shortage of places to explore. Swimming, sailing, biking, and golfing are often just minutes from home or strolling some of the most beautiful beaches are just a short drive away. In fact, with over 13,000 Km of coastline in all of Nova Scotia, it’s impossible to be more than 67 Km from the ocean.

But what makes Halifax truly stand out is the people! It is nothing to walk down the street and be greeted by a stranger or you can see an entire community come together to help a neighbour. Halifax’s hospitality is second to none and that is why it attracts and retains so many people!

20

History History

As one of the first established areas in Canada, Halifax is rich in history and is reflected in many of its museums, festivals and events. It was once, one of the first entry points for European immigration to Canada and it is deeply rooted in Miꞌkmaq heritage. Much of its history can be explored through some of the following attractions:

Halifax Citadel National Historic Site

Canadian Museum Of Immigration at Pier 21

The Africville Museum

Art Gallery of Nova Scotia

Maritime Museum of the Atlantic

York Redoubt National Site

Black Cultural Center For Nova Scotia

21

Climate Climate

Halifax’s weather is strongly influenced by the ocean and offers milder winters and summers that fluctuate from warm to hot all season. The best summer weather is usually in mid to late summer and often runs into early fall. In the winter months, snow is often replaced with milder temperatures and rain, but don’t let that fool you, Halifax is known for a good cold snap too, and can still deliver a fair bit of snow. Fall is often recommended by locals as one of the best times to visit, offering some pretty spectacular and colourful scenes.

22

Universities + Colleges Universities + Colleges

Halifax offers MANY opportunities for post-secondary, postgraduate and/or professional development programs. There is a huge variety of courses and disciplines that would appeal to a wide variety of interests. Major institutions include but are not limited to:

Dalhousie University

Saint Mary’s University

Mount Saint Vincent University

University of King’s College

Université Sainte-Anne - Halifax Campus

Nova Scotia College Of Art And Design

Atlantic School Of Theology

Nova Scotia Community College

23

Local Attractions + Events Local Attractions + Events

Halifax is home to many outstanding parks dotted throughout all of Halifax, Dartmouth & Bedford, some offering the most scenic coastal views, and many more set in both the heart of the city & surrounding neighbourhoods. Halifax is a mecca for both retreats of reflection, for an adventure, or for the challenge of a marathon. Enjoy exploring all the unique plants and species at the Halifax Public Gardens, jog through Point Pleasant Park or take a boat ride to explore both Georges Island & McNabs Island.

Halifax’s waterfront is a bustle of activity offering boat tours, local buskers, music & food festivals, as well as dining & drinks on one of the many vibrant harbourfront patios.

12 species of whales are known to swim the waters around Nova Scotia and one of the province’s largest tour operators; Ambassatours offers 2.5-hour whale watching tours departing from the Halifax waterfront. It seems that the whales like our seafood too!

Explore the unique shops of Spring Garden Rd and take in the award-winning architecture of Halifax’s Central Library.

If you run out of local places to visit, there is no shortage of amazing places to travel nearby such as Kejimikujik National Park, Peggy’s Cove Lighthouse, Cape Breton Highlands, Annapolis Valley, and the hundreds of miles of sandy beaches to explore.

The proximity of the Halifax Stanfield International Airport is a mere 30 minutes outside the city. It is both the largest and busiest airport east of Montreal & north of Boston.

24

Leblanc & Associates Halifax Area Relocation Services

@yourmoveinhalifax

@steve n rheal st8

@kim dempsey realtor

We hope you love Halifax as much as we do!
#yourmoveinhalifax #hfxloveaffair #leblancandassociates

Frequently Asked Questions

What if I want to switch agents? 1 1 2 2 3 3 4 4 5 5 6 6 7 7

What does it cost as a potential buyer to use a Real Estate Agent?

NOTHING! The compensation that a Real Estate Agent receives comes from the seller's proceeds. There is no cost for a buyer to use an agent in a traditional agent/buyer relationship. In a Buyer Agency agreement, there may be some costs to the buyers but even these agreements are usually worded so that the agent is compensated by the seller. *Some conditions may apply so please discuss with your REALTOR®.

N O U N

Yes, Absolutely! Can my Agent give me information and show me properties that are for sale by other companies?

What if I find a property on my own?

You should contact your agent and NOT the property owner or the agent listing the property. Having the address or the MLS® # is very helpful and will assist your agent in gathering detailed information regarding the property.

What type of information will my agent need from me?

Your agent will need all the information that is pertinent to finding your ideal home. For example, the number of bedrooms, bathrooms, price range, location (area) etc...Keep in mind that a search that is too specific may narrow your list of properties too much and you may miss out on properties that would otherwise have been a suitable match to your needs.

Can I go to open houses without my agent?

You can go to open houses without your agent. However, you need to make sure that you indicate you are working with an agent already. You may unknowingly disclose information that may affect the negotiation process on a property you offer on.

How can I find out about new properties?

Your agent should be able to accommodate your particular situation whether it be via email, phone calls, etc. Clients with email capability can receive automatic updates from the MLS® system as soon as new listings are entered.

Let your current agent know why you want to switch agents. See if you can work out the issues with them. If not, tell the agent you no longer want to work with them and sign a termination of contract.

26

Districts

The MLS® system uses a numbering system to assist buyers narrow down their search for properties by area To ensure that you and your family narrow down to areas that best suit your lifestyle and your needs, we have created a district guide to highlight amenities and answer common questions for each district. We are always available to discuss your needs at a greater length and help you narrow your search even more, but this is a great starting point!

Armbrae Academy

Bedford Academy

Birch Hills Academy

Halifax Christian School

Halifax Grammar School

Halifax Independent School

King's View Academy

Sacred Heart School Of Halifax

Via Vita Academy

Halifax Central

Halifax South

Halifax North

Halifax West Fairmount, Clayton Park, Rockingham Fairview Spryfield Armdale, Purcell’s Cove, Herring Cove

Harrietsfield, Sambro, Halibut Bay

Dartmouth, Downtown to Burnside

Dartmouth, Woodside, Eastern Passage, Cow Bay

Southdale, Manor Park

Chrichton Park, Albro Lake

Montebello, Port Wallace, Keystone Forest Hills Colby Village

Woodlawn, Nantucket, Portland Estates

Bedford

Kingswood, Haliburton Hills, Hammonds Plains

Sackville

Beaver Bank, Upper Sackville

Waverley, Fall River, Oakfield

Lake Echo, Porters Lake

HALIFAX PRIVATE SCHOOLS Guide
27
Lawrencetown,
Timberlea, Prospect, St Margarets Bay 1 2 3 4 5 8 7 9 12 11 10 6 13 14 15 16 17 25 21 26 40 31 30 20

Halifax Central

Casino Nova Scotia

CFB Halifax Stadacona

CFB Halifax Dockyard

Emera Oval

Halifax Commons

Public Library

IN THE COMMUNITY SCHOOLS

* Offers French Immersion

Citadel High School*

Joseph Howe Elementary School

Highland Park Junior High School

Oxford School*

St. Joseph's-Alexander Mckay Elementary School*

See page 27 for a list of private schools

LOCAL POINTS OF INTEREST

CFB Halifax Dockyard

- walking distance

CFB Shearwater - 11.5 km

CFB Halifax Stadacona

- walking distance

Downtown Halifax - < 5 km

Halifax Airport - 30 km

Hospitals - < 5 km

1

Halifax South

IN THE COMMUNITY

Citadel Hill National Historic Site

Discovery Center

Halifax Waterfront

Ferry Terminal

Halifax Central Library

Museum Of Natural History

Public Gardens

Point Pleasant Park

QEII and IWK Hospitals

Seaport Farmers Market

Universities- Dalhousie, NSCAD, St. Mary's

Via Rail

SCHOOLS

* Offers French Immersion

Citadel High School*

Joseph Howe Elementary School

Highland Park Junior High School

Oxford School*

St. Joseph's-Alexander Mckay Elementary School*

See page 27 for a list of private schools

LOCAL POINTS OF INTEREST

CFB Halifax Dockyard - < 5 km

CFB Shearwater - 13.5 km

CFB Halifax Stadacona - < 5 km

Downtown Halifax - walking distance

Halifax Airport - 32 km

Hospitals - walking distance

2

Halifax North

IN THE COMMUNITY

Africville Park and Trails

Fort Needham Memorial Park

Hydrostone Park

Merv Sullivan Park

NSCC - Institute Of Technology

Fairview Cove Container Terminal

SCHOOLS

* Offers French Immersion

Citadel High School*

Highland Park Junior High School

Oxford School*

St. Agnes Junior High School

St. Catherine's Elementary School*

St. Joseph's-Alexander Mckay Elementary School*

St. Stephen's Elementary School

See page 27 for a list of private schools

LOCAL POINTS OF INTEREST

CFB Halifax Dockyard - < 5 km

CFB Shearwater - 18 km

CFB Halifax Stadacona - < 5 km

Downtown Halifax - 4.5 km

Halifax Airport - 33 km

Hospitals - 4 km

3

Halifax West

IN THE COMMUNITY

CFB Halifax - Windsor Park

CFB Halifax - Willow Park

Halifax Forum

Halifax Shopping Center

Saunders Park

Armdale Rotary

* Offers French Immersion SCHOOLS

Citadel High School*

Gorsebrook Junior High School*

Halifax Central Junior High School

Highland Park Junior High School

LeMarchant-St Thomas Elementary School

Oxford School*

Sir Charles Tupper Elementary School

St. Agnes Junior High School

St. Catherine's Elementary School*

St. Joseph's-Alexander Mckay Elementary School*

Westmount Elementary School

See page 27 for a list of private schools

LOCAL POINTS OF INTEREST

CFB Halifax Dockyard - < 5 km

CFB Shearwater - 19 km

CFB Halifax Stadacona - < 5 km

Downtown Halifax - 5 km

Halifax Airport - 33 km

Hospitals - < 5 km

4

LOCAL POINTS OF INTEREST

CFB Halifax Dockyard - 9 km

CFB Shearwater - 21 km

CFB Halifax Stadacona - < 7 km

Fairmount, Clayton Park, Rockingham

IN THE COMMUNITY

Auburn Golf Club

Bayers Lake Shopping

BMO Soccer Center

Canada Games Center

Hemlock Ravine Park and Trails

Mount Saint Vincent University

Mainland Commons Dog Park

Keshen Goodman Library

* Offers French Immersion ** École Francaphone SCHOOLS

Bedford South School

Burton Ettinger Elementary School*

Charles P. Allen High School

Clayton Park Junior High School

Duc D'Anville Elementary School

École Beaubassin**

École Sommet**

École Met et Monde**

Fairview Heights Elementary School

Fairview Junior High School*

Grosvenor-Wentworth Park Elementary

Halifax West School

Oxford School*

Rockingham Elementary School*

Rocky Lake Junior High School*

Springvale Elementary School*

St Agnes Junior High School

St.Catherine's Elementary School

See page 27 for a list of private schools

Downtown Halifax - 11 km

Halifax Airport - 31 km

Hospitals - 8 km

5

Fairview

IN THE COMMUNITY

Burton Ettinger School Park

Randal Ave Park

Titus Smith Park

W.D Piercy Park

* Offers French Immersion SCHOOLS

Burton Ettinger Elementary School*

Clayton Park Junior High School

Duc D'Anville Elementary School

Halifax West School

Fairview Heights Elementary School

Fairview Junior High School*

See page 27 for a list of private schools

LOCAL POINTS OF INTEREST

CFB Halifax Dockyard - 7 km

CFB Shearwater - 19 km

CFB Halifax Stadacona - < 5 km

Downtown Halifax - 7 km

Halifax Airport - 36 km

Hospitals - 6 km

6

IN THE COMMUNITY

Captain William Spry

Community Centre (Wave Pool)

Long Lake Provincial Park

YWCA

* Offers French Immersion SCHOOLS

Central Spryfield Elementary School

Chebucto Heights Elementary School*

Cunard Junior High School

Elizabeth Sutherland School

Harrietsfield Elementary School

Herring Cove Junior High School*

J.L Ilsley High School*

John W. MacLeod-Flemming

Tower Elementary School*

Rockingstone Heights School

William King Elementary School

See page 27 for a list of private schools

LOCAL POINTS OF INTEREST

CFB Halifax Dockyard - 9.5 km

CFB Shearwater - 24.5 km

CFB Halifax Stadacona - < 8.5 km

Downtown Halifax - 9 km

Halifax Airport - 41 km

Hospitals - 8 km

7
Spryfield

Armdale, Purcell’s Cove, Herring Cove

IN THE COMMUNITY

Armdale Yacht Club

Chocolate Lake Park and Beach

Chocolate Lake Rec Center

Frog Pond Park

Herring Cove Provincial Park Reserve

Royal Nova Scotia Yacht Squadron

Sir Sanford Fleming Park

The Dingle

Williams Lake

York Redoubt National Historic Site

SCHOOLS * Offers French Immersion

Citadel High School*

* Offers French Immersion

Cunard Junior High School

Elizabeth Sutherland School

Herring Cove Junior High School*

J.L Ilsley High School*

John W. MacLeod-Flemming Tower Elementary School*

Oxford School*

Springvale Elementary School

St. Agnes Junior High School

St. Catherine's Elementary School

William King Elementary School

See page 27 for a list of private schools

LOCAL POINTS OF INTEREST

CFB Halifax Dockyard - 9.5 km

CFB Shearwater - 27 km

CFB Halifax Stadacona - < 8.5 km

Downtown Halifax - 9 km

Halifax Airport - 41 km

Hospitals - 8 km

8

IN THE COMMUNITY

Duncan's Cove Nature Reserve & Trail

Crystal Crescent Beach

Provincial Park

* Offers French Immersion SCHOOLS

Harrietsfield Elementary School

Herring Cove Junior High School*

J.L Ilsley High School*

Sambro Elementary School

William King Elementary School

See page 27 for a list of private schools

LOCAL POINTS OF INTEREST

CFB Halifax Dockyard - 28 km

CFB Shearwater - 43.5 km

CFB Halifax Stadacona - < 27 km

Downtown Halifax - 27.5 km

Halifax Airport - 59.5 km

Hospitals - 26.5 km

9
Harrietsfield, Sambro, Halibut Bay

Dartmouth, Downtown to Burnside 10

IN THE COMMUNITY

Alderney Landing

Burnside Industrial Park

Dartmouth Commons

Dartmouth Farmers Market

Dartmouth Sportsplex

Dartmouth Yacht Club

Frenchman Lake Park

Spectacle Lake Park

World Peace Pavilion

Dartmouth Ferry Terminal

MacKay Bridge

MacDonald Bridge

SCHOOLS

* Offers French Immersion

Dartmouth High School*

Southdale-North Woodside

Elementary School*

Harbour View Elementary School

John Martin Junior High School

Shannon Park Elementary School*

See page 27 for a list of private schools

LOCAL POINTS OF INTEREST

CFB Halifax Dockyard - 5.5 km

CFB Shearwater - 14 km

CFB Halifax Stadacona - < 5.5 km

Downtown Halifax - 7 km

Halifax Airport - 30 km

Hospitals - 8 km

LOCAL POINTS OF INTEREST

CFB Halifax Dockyard - 14 km

CFB Shearwater - < 5 km

CFB Halifax Stadacona - < 14 km

IN THE COMMUNITY

CFB Shearwater

Dartmouth General Hospital

Fisherman's Cove Heritage Centre

Hartlen Point Force Golf Club

McCormack's Beach Provincial Park

NSCC Ivany Campus

Rainbow Haven Beach

Salt Marsh Trail

Woodside Ferry Terminal

Woodside Industrial Park

* Offers French Immersion SCHOOLS

Brookhouse Elementary School

Cole Harbour District High School*

Colonel John Stuart Elementary School

Dartmouth High School*

Dartmouth South Academy*

Eastern Passage Education Centre*

Ellenvale Junior High School*

Ocean View Elementary School

Island View High School*

Woodlawn High School

Seaside Elementary School*

Shannon Park Elementary School*

Sir Robert Borden Junior High School*

South Woodside Elementary School

Tallahassee Comunity Elementary School*

See page 27 for a list of private schools

Downtown Halifax - 15.5 km

Halifax Airport - 38 km

Hospitals - < 5 km

11
Dartmouth, Woodside, Eastern Passage, Cow Bay

Southdale, Manor Park

IN THE COMMUNITY

Dartmouth Curling Club

Findlay Community Center

Grahams Grove Park

Lake Banook Canoe Club

North Woodside Community Center

SCHOOLS

* Offers French Immersion

Alderney Elementary School

Bicentennial School

Dartmouth High School*

Dartmouth South Academy*

Ellenvale Junior High School*

Hawthorn Elementary School

Woodlawn High School

Shannon Park Elementary School*

See page 27 for a list of private schools

LOCAL POINTS OF INTEREST

CFB Halifax Dockyard - 5 km

CFB Shearwater - 7 km

CFB Halifax Stadacona - 5 km

Downtown Halifax - 6.5 km

Halifax Airport - 30 km

Hospitals - 7 km

12

Chrichton Park, Albro Lake

IN THE COMMUNITY

Albro Lake Park

Birch Cove Park

Brightwood Golf and Country Club

Lake Banook Trail

Mic Mac Aquatic Center

Mic Mac Mall

Sullivan's Pond

Cyril Smith Park

Historical Shubenacadie Canal

Starr Park

* Offers French Immersion SCHOOLS

Bicentennial School

Crichton Park Elementary School

Dartmouth High School*

Dartmouth South Academy*

Harbour View Elementary School

Hawthorn Elementary School

John MacNeil Elementary School

John Martin Junior High School

Shannon Park Elementary School*

See page 27 for a list of private schools

LOCAL POINTS OF INTEREST

CFB Halifax Dockyard - < 5 km

CFB Shearwater - 13 km

CFB Halifax Stadacona - < 5 km

Downtown Halifax - 6 km

Halifax Airport - 27 km

Hospitals - 6 km

13

Montebello,

Port Wallace, Keystone

IN THE COMMUNITY

Lake Charles Lake Micmac

Shubie Park and Trails

SCHOOLS

* Offers French Immersion ** École Francaphone

Bicentennial School

Caledonia Junior High School*

Crichton Park Elementary School

Dartmouth High School*

Dartmouth South Academy*

École Bois-Joli**

École du Carrefour**

Ian Forsyth Elementary School

Michael Wallace Elementary School

Woodlawn High School

Shannon Park Elementary School*

See page 27 for a list of private schools

LOCAL POINTS OF INTEREST

CFB Halifax Dockyard - 9 km

CFB Shearwater - 12 km

CFB Halifax Stadacona - 9 km

Downtown Halifax - 11 km

Halifax Airport - 24.5 km

Hospitals - 11 km

14

Forest Hills

IN THE COMMUNITY

Cole Harbour Place (pool, library, rec center)

Loon Lake

Links at Montague Golf Course

* Offers French Immersion SCHOOLS

Ash Lee Jefferson Elementary School

Auburn Drive High School*

Cole Harbour District High School*

Colonel John Stuart Elementary School

Joseph Giles Elementary School

Georges P. Vanier High School*

Graham Creighton Junior High School*

Humber Park Elementary School

Lockview High School*

Robert Kempt Turner Elementary School

Sir Robert Borden Junior High School*

Ross Road School*

Waverley Memorial School

See page 27 for a list of private schools

LOCAL POINTS OF INTEREST

CFB Halifax Dockyard - 12.5 km

CFB Shearwater - 11 km

CFB Halifax Stadacona - 12.5 km

Downtown Halifax - 14 km

Halifax Airport - 30 km

Hospitals - 14 km

15

Colby

Village 16

IN THE COMMUNITY SCHOOLS

Bissett Lake Park

Cole Harbour Heritage Park

Kiwanis Centre Beach and Park

Morris Lake

* Offers French Immersion

Astral Drive Elementary School*

Astral Drive Junior High School*

Auburn Drive High School*

Caldwell Road Elementary School

Colby Village Elementary School

Cole Harbour District High School*

Colonel John Stuart Elementary School

Dartmouth High School*

Dartmouth South Academy*

Ellenvale Junior High School*

Portland Estates Elementary School

Woodlawn High School

Shannon Park Elementary School

Sir Robert Borden Junior High School*

See page 27 for a list of private schools

LOCAL POINTS OF INTEREST

CFB Halifax Dockyard - 12 km

CFB Shearwater - 12 km

CFB Halifax Stadacona - 10.5 km

Downtown Halifax - 13.5 km

Halifax Airport - 31 km

Hospitals - 13 km

Woodlawn, Nantucket, Portland Estates

IN THE COMMUNITY

Bell Lake

Lemont Lake

NSCC - Akerley Campus

Portland Lake Trails

Public Library

Russell Lake & Park

Topsail Lake

* Offers French Immersion SCHOOLS

Admiral Westphal Elementary School

Bel Ayr Elementary School

Brookhouse Elementary School

Caledonia Junior High School*

Dartmouth High School*

Dartmouth South Academy*

Ellenvale Junior High School*

Eric Graves Memorial Junior High School

Ian Forsyth Elementary School

Mount Edward Elementary School

Woodlawn High School

Shannon Park Elementary School

See page 27 for a list of private schools

LOCAL POINTS OF INTEREST

CFB Halifax Dockyard - 8.5 km

CFB Shearwater - 12 km

CFB Halifax Stadacona - 10.5 km

Downtown Halifax - 13.5 km

Halifax Airport - 31 km

Hospitals - 13 km

17

IN THE COMMUNITY

Admiral Cove Park & Trail

Bedford Basin Yacht Club

Bedford Commons Shopping

Bedford Industrial Park

BMO Center

DeWolf Park

Mill Cove Waterfront Trail

Papermill Lake

Public Library

Sunnyside Mall

* Offers French Immersion ** École Francaphone SCHOOLS

Basinview Drive Community

Elementary School

Bedford South School

Charles P. Allen High School

Clayton Park Junior High School

Duc D'Anville Elementary School

École Beaubassin**

École Sommet**

Rocky Lake Junior High School*

Sunnyside Elementary School*

See page 27 for a list of private schools

LOCAL POINTS OF INTEREST

CFB Halifax Dockyard - 14 km

CFB Shearwater - 22 km

CFB Halifax Stadacona - 13 km

Downtown Halifax - 15 km

Halifax Airport - 22 km

Hospitals - 14 km

20
Bedford

Kingswood, Haliburton Hills, Hammonds Plains

IN THE COMMUNITY

Atlantic Splash Adventure

Glen Arbour Golf Course

Hatfield Farms

St Margarets Bay Trail

* Offers French Immersion SCHOOLS

Charles P. Allen Heights School*

Five Bridges Junior High School*

Hammonds Plains Consolidated Elementary School*

Kingswood Elementary School*

Madaline Symonds Middle School*

Millwood High School*

Sackville Heights Elementary School

Sackville Heights Junior High School*

Sir John A. MacDonald High School*

Tantallon Jr. Elementary School*

Tantallon Sr. Elementary School*

See page 27 for a list of private schools

LOCAL

POINTS

OF INTEREST

CFB Halifax Dockyard - 20 km

CFB Shearwater - 31 km

CFB Halifax Stadacona - 21 km

Downtown Halifax - 23 km

Halifax Airport - 30 km

Hospitals - 22 km

21

Sackville 25

IN THE COMMUNITY

Cobequid Community Health Center

Sackville Business Park

Sackville Lakes Provincial Park

Sackville Sports Stadium

SCHOOLS

* Offers French Immersion

** École Francaphone

A.J. Smeltzer Junior High School*

Caudle Park Elementary School

Cavalier Drive School

Ecole du Grand-Portage**

Hillside Park Elementary School

Leslie Thomas Junior High School*

Millwood Elementary School

Millwood High School*

Sackville Heights Elementary School

Sackville Heights Junior High School*

Sackville High School

Smokey Drive Elementary School

Sycamore Lane Elementary School

See page 27 for a list of private schools

LOCAL POINTS OF INTEREST

CFB Halifax Dockyard - 19 km

CFB Shearwater - 27 km

CFB Halifax Stadacona - 19 km

Downtown Halifax - 20 km

Halifax Airport - 23 km

Hospitals - 27 km

IN THE COMMUNITY

Lost Creek Golf Club

Beaver Bank Kinsac Community Centre

Springfield Lake Recreation Park

New Ashburn Golf Club

SCHOOLS

* Offers French Immersion ** École Francaphone

A.J. Smeltzer Junior High School*

Caudle Park Elementary School

Cavalier Drive School

Ecole du Grand-Portage**

Hillside Park Elementary School

Leslie Thomas Junior High School*

Millwood Elementary School

Millwood High School*

Sackville Heights Elementary School

Sackville Heights Junior High School*

Sackville High School

Smokey Drive Elementary School

Sycamore Lane Elementary School

See page 27 for a list of private schools

LOCAL POINTS OF INTEREST

CFB Halifax Dockyard - 37.5 km

CFB Shearwater - 41.7 km

CFB Halifax Stadacona - 37 km

Downtown Halifax - 38 km

Halifax Airport - 38 km

Hospitals - 19 km

Upper
26
Beaver Bank,
Sackville

Waverley, Fall River, Oakfield

IN THE COMMUNITY

Ashburn Golf Course

Laurie Provincial Park

McDonald Sports Park & Trail

Oakfield Provincial Park

Shubenacadie Grand Lake

SCHOOLS

* Offers French Immersion

Ash Lee Jefferson Elementary School*

Georges P. Vanier Junior High School*

Holland Road Elementary School

Lockview High School*

Oldfield Consolidated Elementary School

Waverley Memorial School

See page 27 for a list of private schools

LOCAL POINTS OF INTEREST

CFB Halifax Dockyard - 31 km

CFB Shearwater - 35 km

CFB Halifax Stadacona - 31 km

Downtown Halifax - 32.5 km

Halifax Airport - 13 km

Hospitals - 32.5 km

30

Lawrencetown, Lake Echo, Porters Lake

IN THE COMMUNITY

Lawrencetown Beach

Porters Lake Provincial Park

Cole Harbour - Lawrencetown

Provincial Park

Hope For Wildlife

Rails to Trails

SCHOOLS

* Offers French Immersion ** École Francaphone

Atlantic View Elementary School

Bell Park Academic Centre*

Eastern Shore District High*

Gaetz Brook Junior High School*

O'Connell Drive Elementary School

Porters Lake Elementary School

Ross Road Junior High*

Cole Harbour High*

École des Beaux Marais**

See page 27 for a list of private schools

LOCAL POINTS OF INTEREST

CFB Halifax Dockyard - 34 km

CFB Shearwater - 33 km

CFB Halifax Stadacona - 37 km

Downtown Halifax - 33 km

Halifax Airport - 51 km

Hospitals - 32 km

31

Timberlea, Prospect, St. Margarets Bay

IN THE COMMUNITY

BLT Trail

Granite Springs Golf Club

Halifax Exhibition Center

Indian Lake Golf Course

Links At Brunello

Peggy's Cove

The Bluff Wilderness Hiking Trail

SCHOOLS

* Offers French Immersion

Atlantic Memorial-Terence Bay

Elementary School

Beechville-Lakeside-Timberlea Jr.

Elementary School*

Brookside Junior High School*

East St. Margaret's Elementary School

Five Bridges Junior High School*

Halifax West High School*

Prospect Road Elementary School

Ridgecliff Middle School*

Sir John A. Macdonald High School*

St. Margaret's Bay Elementary School

See page 27 for a list of private schools

LOCAL POINTS OF INTEREST

CFB Halifax Dockyard - 44.5 km

CFB Shearwater - 59 km

CFB Halifax Stadacona - 43.5 km

Downtown Halifax - 44 km

Halifax Airport - 67 km

Hospitals - 43 km

40

Client Referral Program

Marketing to new clients costs tons of time, money and energy. Like any company, we need new clients to stay in business. Over the years, we have found that looking for new clients takes away from the time we would be spending working for you and other clients.

If we have helped you in the purchase or sale of real estate, then you know how well we serve our clients. The reason why we try so hard is so we can earn your respect and confidence in recommending our services to your friends, neighbours, and relatives. The ultimate reward is your word-of-mouth referral!

With this program, we are asking you to share your experience with others. If you refer your friends, relatives or co-workers, everyone benefits. They will receive the highest level of service and for thinking of us, you will receive a special token of gratitude.

52

Sample Forms

Working With The Real Estate Industry

Buyer Designated Brokerage Agreement

Certificate and Consent of Purchaser

Agreement Of Purchase and Sale

Counter Offer

Property Disclosure Statement (PDS)

Equipment Schedule (ES)

Waiver of Conditions

53

Working With The Real Estate Industry

This is the form used to explain the different types of agency you can have with a REALTOR® and their brokerage and outlines the responsibilities of the buyer and agent.

Buyer Designated Brokerage Agreement

This is the form used to establish agency between the buyer(s) and the REALTOR®

Certificate and Consent of Purchaser

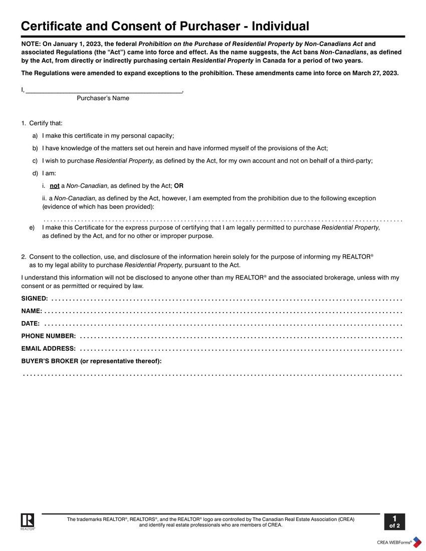
This is a form used to establish that a buyer is legally permitted to purchase a property in Canada

Agreement Of Purchase and Sale

This is a standard purchase and sale agreement which outlines the terms of the offer and covers the most common conditions buyers would like satisfied when purchasing a property.

Counter Offer

This is the form used by sellers to request different terms or conditions of the purchase and sale agreement submit from the buyer(s).

Property Disclosure Statement (PDS)

This is the form that sellers fill out to disclose any pertinent information about the property.

Equipment Schedule (ES)

This is the form sellers fill out to identify if there are any financed/leased/rented equipment at the property and allows the buyer(s) to accept, reject the terms or propose new terms.

Buyer Waiver Of Conditions

This is the form used to confirm that buyers are satisfied with all conditions and that the deal is firm and legally binding.

Knowledgeable. Efficient. Attentive. Leblanc & Associates │ 902.830.4093 │ yourmoveinhalifax.com

Turn static files into dynamic content formats.

Create a flipbook
Issuu converts static files into: digital portfolios, online yearbooks, online catalogs, digital photo albums and more. Sign up and create your flipbook.