Research & Design Portfolio

Page 1


ENVIRONMENTAL DESIGN & PLANNING

PORTFOLIO 2024

LEILA BAHRAMI

Leila Bahrami

Tell: +1(215)866-7997

lbahrami@design.upenn.edu

lbahrami69@gmail.com

Linkdin.com/in/profile

Philadelphia, PA, USA

RESEARCH

LANDSCAPE RESTORATION, NJ SEAGRASS

RESTORATION IN KELP FORESTS

GREEN NEW DEAL

Award of Excellence, ASLA

ENVIRONMENTAL JUSTICE

PREDICTED FLOOD INUNDATION IN CALGARY

PREDICTION OF 2020 DEVELOPMENT

DEMAND IN DVR

PREDICTION OF VOTING PATTERN IN PA

SOIL INFILTRATION CALCULATION

COVID-19 MEMORIAL SITING STUDY

FARGMENTED LANDSCAPE

DESIGN

REVOLUTIONARY INDUSTRIES

GROWING TOGETHER

1st Place Winner, EPA Competiton

THE CAP

GREEN X BLUE REDEFINERY

THE FARMTOWN IN CITY

VANDERBILT RESIDENTIAL COMPLEX

BRIDESBURG PARK

Regional Context

Multispectral imagery set within New Jersey coastal context.

LANDSCAPE RESTORATION

Provide landcover classification for non-classified wetland areas to identify and protect endangered species

Land Use and Envirnmental Modeling ARC GIS Pro

Land cover data derived from remotely sensed images are an important feature of environmental impact studies, policy formulations, and flood and watershed management and modeling. Landscape architects frequently use thematic data such as that provided by the National Land Cover Database (NLCD); however, this data comes prepackaged after it has undergone many levels of interpretation and decision-making. Knowing more about these datasets allows to develop literacy about the environmental information that they often take for granted.

May. 2021

Mentor: Keith Vandersys

“Finding” water is a key step in most land cover datasets. Making material distinctions using multispectral imagery involves a great deal of interpretation as it is dependent on the detection index, satellite schedule, and tidal variation. This series of images shows different boundary locations between land and water depending on which classification method is used.

International Classifications

International Classifications

The application of different international landcover classification standards to the same image clearly demonstrates how the

and thematic

of

A comparison among the legends shows similarities and differences in how

Multi year / Season Classifications

The application of different international landcover classification standards to the same image clearly demonstrates how the spatial and thematic structure of various classification systems frame our understanding of the landscape. A comparison among the legends shows similarities and differences in how land cover themes are defined.

UAV Mapping

Coastlines are migrating upland faster than at any point in recorded history. As dunes and coastal marshes disappear, the need for littoral adaptation increases. In recognition of this, the United States Army Corps of Engineers (USACE) has placed an increasing importance on developing sediment placement strategies for restoring deteriorating coastal wetlands. These strategies, however, are still experimental and need to be monitored to track their performance. This project’s goal is monitoring and analyzing a recent sediment placement on Sturgeon Island in the Great Sound Bay of New Jersey.

Locating Land

Composite image comparing the land/ water boundaries of five different water detection indices.

Locating Land

The position and area of land/ water changes depending on the water detection method. This image compares the outcomes of three of the most widely used indices: mNDWI; TCW; and NDVI.

Existing wetland datasets are woefully insufficient for accurate modeling of vulnerable coastal conditions. This set of images shows the difference in a model created with NLCD (Right) and site-collected data (Left).

TWI Wetland Classing

Image comparing existing landcover data (NLCD) and custom high-resolution wetland landcover data created by using UAV multispectral imaging.

Seagrass Restoration Strategies

SEAGRASS RESTORATION

Seagrasses are all being lost globally, contributing to fewer carbon stocks on bed and in turn blue carbon emissions. Seagrass restoration has become a common management tool for recovering the ecological functions and services lost due to habitat fragmentation and degradation.

The intervention phase is divided into two parts. Firstly, to avoid seagrass loss by improving water quality. Specific methods include reducing eutrophication, managing urban water systems by adding treating ditches and ponds, and supervising the industrial infrastructure applied on the site in order to formulate a protected water shoreline. Secondly, it comes the phase of restoring the disappearing seagrass. It’s important to improve sediment instability caused by excessive bioturbation before planting.

CALIFORNIA KELP FORESTS
Soil De-eutrophication
Sediment Modification Manual Transplanting
Urban Sewage Treat Systam

Data Calculation : Carbon Sequested / yr

Total site area: 5.96 km x 3.15 km = 18.774km/2 = 18775000 m*2

Restored Shoreline Kelp Bed: 3.4% x Site area = 635000 m2 = 63.5 Ha (Sediment Modification Area+ Mechanical Micropropagation Area)

Carbon intake = Total C sequestration = The hectares of patches transplanted x 0.89 Mg C Ha-1 yr-1 = 56.5 Mg C / yr

Relocated Inland Seagrass Marsh: 0.9% x Site area = 179000 m2 = 17.9 Ha (Goleta Slough Manual Transplanted Area + Urban Water Purified Area)

Carbon intake = Total C sequestration = The hectares of patches transplanted x 0.89 Mg C Ha-1 yr-1 = 15.9 Mg C / yr

Mitigation Potential: 72.4 Mg C / yr

Uncertainty: standard error of seagrass decline rate, unstable emission rate of kelp

= 26016 trees seedlings grown for 10 years

Other Impacts

The intervention is expected to imrove the long-term water quality, air conditions and biodiversity. When seagrass is successfully propagated, the amount of sea urchins decline which will in turn attract sea otters. The return of otters and other native animals will further contribute to the revival of seagrass meadow ecological system.

Moreover, the anti-trawler actions along some parts of the shore and lucid water will make more regional natural resources alive. Residents and students nearby acquire a better living environment and a space for ecological education. The carbon export to adjacent ecosystems through direct transport of seagrass detritus and through the spread of faecal matter takes energy to fisheries, stimulating their productivity.

Unintened consequences include excessive sediment management, sulfide concentration as well as huge cost.

Important Farmlands
Goleta Slough
Goleta Estuary
Data Collection

ASLA Award of Excellence City Planning \Landscape Architecture

DESIGNING A GREEN NEW DEAL

USA

Dec. 2019 Team Work

LARP 701

The investments a Green New Deal would make in our physical assets—homes, offices, transportation, and parks, —are where the material benefits of a Green New Deal will be best understood by the American people. The Green New Deal offers little insight into how such an ambitious program would be realized in the built and natural environment. In this studio, we ask how and where designers could play a role in pushing the Green New Deal from an idea to reality. And try to answer two key questions: (1) which regions of the US must be “won” if the carbon, justice, and jobs goals of the Green New Deal are going to be possible?, and (2) within these regions which communities and projects should receive the initial wave of investments?

Delta Region

The Delta region’s legacy of dispossession and natural resource extraction is the starting point for our vision of the Green New Deal in the Delta, which builds upon the strong foundation of organizing and resistance in the South.

A massive public investment in housing offers people liv ing in vulnerable areas the opportunity to live in safe and connected communities. A restored coast gives rebirth to a once-thriving fishing industry and reinvigorates the re

Virtual Exhibition

Proposed Interventions in the Delta

Restored coastal marshes sequester carbon from the atmosphere. Oil rigs are decommissioned and replaced by wind turbines, which support new coral reef growth. These remediation efforts create opportunities for high-wage jobs while building ecological buffers against future storms.

Envirnmental Justice

Environmental Justice Beyond the Boundary of LTER in MaryLand

Objects

Urban forests and their role in buffering climate change and bringing Envirnmental Justice” are among the hot topics in recent years. The Baltimore Ecosystem Study (BES) with it’s significant efforts in understanding etropolitan Baltimore as an ecological system has made this city as one of the pioneer cities in U.S. in developing urban forests. In this study, I am going to evaluate the Envirnmental Justice ” within the boundary of LTER site to show which census tracts are mostly suffering from environmental justice and need serious actions for improving the quality of life for all the people.

Mentor:
Dana Tomlin
MaryLand State Economic Index

Accessibility to Forest Hubs

Forest Hubs in this study, refers to green patches with area larger than 0.2 square mile. The Accessibility is related the proximity of census tracts to te Forest hubs which has been calculated through CLOSEST Spatial Join.

“Census Tracts” as Target Features and “Forest hubs” as the Join Features.

Social Criterion

Economic Criterion

Accessibility to Water Bodies

Accessibility to water refers to two types of water bodies: 1.with public accessibulity 2 . without public accessibility. Inorder to rank census tracts according to their proximity to water bodies,first the public accessible water bodies have been Geocodes on the map and then two beffer zones with radius 1 mile and 2 mile has been considered around and the census tracts have been ranked based on their intersection with buffers.

Erasingthebufferofpublic accesswaterbodiesfromall

Buffer(public accessiblewater

Toolboxes>analysis tools>proximity>multiple bufferring>exportdata Makethe1milebuffers ofthewaterbodieswith publicaccessibility.Then weexporteachbufferto anewshapefile.

1milebufferwithno publicaccesstowater

1milebufferwithpublicaccesstowater

Erase

IusedErasetoolfor priotizingareasbasedon proximitytowater.I definedtheareasas1 milebufferofpubic accessiblewaterbodies, 1milebufferofwater bodies,2molebufferof waterbodieswithno publicaccesstowater andthenclipittothe boundaryofLTERsite.

2milebufferwithno publicaccesstowater

Urban Forest Buffering Zone
Public access water bodies
Census Tracts Forest Ranking
Average Forest Distance

TIN Visualization from Social Vunerability

TIN Visualization from Social Vunerability

TIN visualization is another suitable method used to visualize the vulnerabl population distribution which the TIN contains elevation information. The workflow below shows part of whole workfow diagram of the project which has been used for scoring the census tracts based on socio-economic condition.

: Node Elevation of Vulnerable Population

Calculate the final score for each census tracts with aggregating score and then zoom in the tracts with highest rate of Envirnmental Vulnerabilit

In order to prioritze the high risk tracts based on their risk, their proximity to the TRI site has been analyzed through the Spatial Join.

Render: Elevation (No Hillshade)
Render: Elevation (with Hillshade)
Render: Slope
Final Result : Aggregated Score
High Risk tracts relationship with TRI sites
7 tracts with highest risk of envirnmental injustice
Context Visualization of High risk tracts

Data Visualization

PREDICTINGFLOOD INUNDATION IN CALGARY USINGLOGISTIC REGRESION

Calgary, CA

March. 2020

Group Work

with Haitian Wang CPLN675

Flooding, a frequent and devastating natural disaster, poses significant economic and social risks. This project focused on predicting flood inundation in Calgary, which experienced a catastrophic flood in 2013, resulting in five fatalities, the displacement of over 100,000 residents, and $5 billion in total damages—the costliest disaster in Canadian history with $1.7 billion in insurable damages.

Mentor: Ken Steif

To enhance flood preparedness, a logistic regression model was developed to predict flood-prone areas in Calgary. During the feature engineering phase, we utilized three categories of predictive variables:

geographical and census data, spatial data, and hydrological data. Key factors like flow accumulation, flow length, basins, and proximity to water bodies were incorporated to capture the characteristics of flood-prone areas. These variables were then analyzed using a fishnet grid to determine their association with the 2013 flood events. This model aims to improve flood prediction and increase awareness among residents, ultimately contributing to better flood risk management.

Geographical

Slope

Elevation

Population Density

Spatial

Tree Density

Distance to steep slope

Residetial landuse

Distance to parks

Development Sum

Hydrological

Flow Accumulation

Flow length

Basin

Distance to water bodies

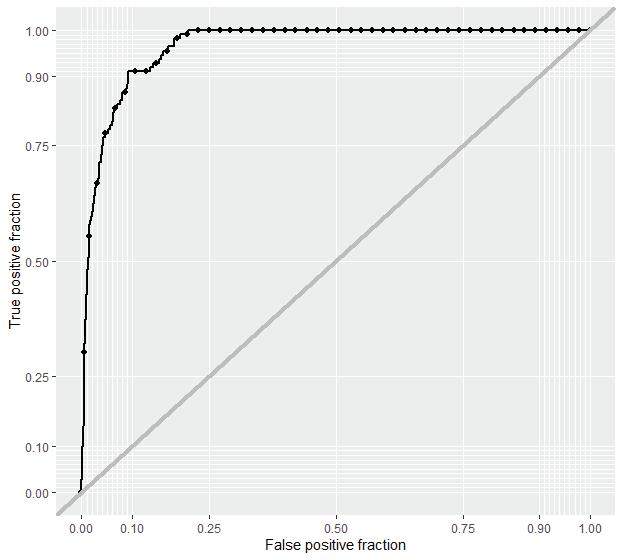
To enhance flood prediction in Calgary, we developed a logistic regression model using a 70% training set and a 30% test set. The model predicted flood inundation (0 for non-inundated, 1 for inundated areas) and performed well, with most variables showing statistical significance at a 90% confidence level. The model achieved an AUC of 0.9617 and a crossvalidation accuracy of 0.9650, indicating strong predictive capability. The predicted flood areas closely matched actual flood patterns from the 2013 Calgary flood, though with broader coverage due to the inclusion of multiple hydrological variables.

Logistic Regression
Model Validation - Class Probability
Model Validation - AUC Curve
Cross- Validation

Land Use and Envirnmental Modeling

ARC GIS + HECGEOHMS

Soil Iniltration Calculation

calculate runoff potential using soil and land use data with ArcGIS and HEC-GeoHMS extensions

Soil Data:

HYDGRP – stands for soil hydrologic group. Ranges from A,B,C,D. Based on grouping of soil types that have the same run off potential.

A are soils having high infiltration rates; chiefly sands or gravel.

B moderate infiltration.

C slow infiltration.

In this project, ArcGIS was employed to analyze land use data and relate it to soil characteristics, with the goal of calculating curve numbers (CN) for runoff estimation.

D very low infiltration like clay

May. 2020

CPLN675

Utilizing the HEC-GeoHMS extension, the study integrated land cover and soil type information to generate CN values, which are crucial for predicting how much runoff will occur given a certain volume of rainfall. The process relied on the SSURGO soil database and specific algorithms to estimate runoff potential across different landscapes.

Mentor:

Ken Steif

These CN values are vital for understanding flood risks within watersheds, offering key insights into landscape management and flood mitigation strategies.

In the last step union the soil data shapefile data to landuse polygons and get rid of geographic artifacts and then creating a table with data related to Curve Numbers to understand the relationship between landuse and soil type with respect to run off.

Datasets

LandUse Reclassifies LandUse polygons

Add the Soil Data and associate each geometry a measure of soil typ.

Classify the polygons based on the percentage of soil type by adding 4 percent fields.

Generating CN Grid using HEC-GeoHMS extension and then comapre it in the table left.

LandCover

Fragmented Landscape

calculatio of landscape fragmentation using Arc GIS and R-Studio from 2001 to 2011 in Chester County (PA)

Reclassified landuse to developed and non developed

combined layer of non-developed and reclassified roads region groups of combined layer

Land Use and Envirnmental Modeling

Arc GIS + R-Studio

Mentor:

This project analyzed landscape fragmentation using the "Isoperimetric quotient," which measures the compactness of landscape patches. A lower quotient indicates higher fragmentation and reduced ecosystem resilience.

The analysis involved reclassifying land use rasters from 2001 and 2011 in ArcGIS into developed and undeveloped lands. These fragments were then assessed in R to calculate their "Isoperimetric quotient" and linked to their respective municipalities.

The project highlighted the relationship between landscape fragmentation and the reduction in ecosystem resilience, providing valuable insights for sustainable land use planning and environmental conservation efforts.

Isoperimetric by town

Changes in the undeveloped land fragmentation by town Chester County (2001-2011)

Patches area by town

Changes in the area of non-developed patches

Chester County (2001-2011)

Patches by town

Changes in the number of undeveloped patches by town Chester County (2001-2011)

Ken Steif

Landscape Planning

REVOLUTIONARY INDUSTRIES

NEW PROPOSAL FOR RESILLIENCY BY CREATING NEW JOB OPPORTUNITIES THROUGH ATTRACTING ART-BASED INDUSTRIES IN ATLANTIC CITY

Atlantic City NJ, USA

New Jersey’s Urbanism relies alot on coastal’s industries. In recent decades, coatal areas suffered severely from sea level rise and storm surge during rapid climate change. The inequalities of climte change has affected these industries drasrically and therefore has created strong social and economic divides along these coastal communities.

Dec. 2018

Individual Work

LARP 601

Mentor: Ellen Neises

This proposal sets up a strategic framework on smart landuse and focusing investement and development on new industries in Atlantic city as the cultural capital of New Jersey state with the emphasis on creating new job opportunites for the indigenous people as well as strengthening the tourism attraction and making money.

In this propsal, Landscape is the bridge to tie tourists, local residents and industries back to the envirnment. It provieds opportunities for a resillient and sustainable development framework.

Population Vulnerability in New Jersey

New Jersey Coast in History Sub Sites Comparisons

Potentials and Issues in Atlantic City

Physical Vulnerability

With 3ft SLR the coast and lower central parts sink under water with 6ft SLR about 90% of the city sink under water

wide range of ameni�es and entertainment within the city

The rich history within the urban context of the city

In order to save the city from bankrupcy and unwanted commiunity migration, the new propsal refers to developing revolutionary industries, art-based industries, as a new tourism attraction which help not only to improve stagnant tourism industry in the city but also to highlight cultural values of AC and help to flourish the city. tourism attraction

survive the city from bankruphighlight cultural and historical values of the city making money through new industries new as artbase industries portable structure for holding temporary events redesign the vacant lots to fit new industries

Find opportunities for Adoptive reuse of vacant hotels and vacant lands for developing new industries

vacant hotels/casinos historical/cultural landmarks proposed open space for event Existing

GROWING TOGETHER

A COMMUNITY FOOD FOREST FOR STORMWATER MANAGEMENT AT ANDREW HAMILTON

1st place Winner

Rainwork Challenge

Competition Philadelphia, PA

Dec.2020 Team work

With a lack of green space, access to fresh and healthy foods, and stormwater management systems, Andrew Hamilton School is in need of sustainable and food-producing green stormwater infrastructure (GSI) that would benefit both the students and the community of West Philadelphia. Our design will lower the school’s stormwater fee, mitigate flooding in the community, alleviate the urban heat island effect, and provide access to fresh healthy food for students and the surrounding community.

We propose a plan that will incorporate a green roof, rain gardens, raised beds, a food forest, and permeable pavers. To improve students’ engagement with GSI, our project will also incorporate educational signage, the development and implementation of both hands-on watershed-focused and nutrition-oriented curricula, and a mural created by the school’s students depicting the role of water in urban sustainability and resilience.

The school had to pay $13,000 every year in stormwater fees. After redesigning, the school will save $10,560/yr

Total Investment: $120,166

Net Present Value: $131, 698 Investment Return: 8.798 %

Mentor: John Miller

Reduction in Overall Impervious Area: 20,020 sq. ft

Reduction in Directly connected impervious area: 12,455 sq. ft

Percentage increase in CO2 Sequestered (lbs CO2/yr): 873%

Area of Protected/restored native species: 25,675 sq. ft

Annual Groundwater recharge: 29,339 gallons

Roof Area Shaded by Vegetation: 15, 500 sq ft.

Urban Design

THE CAP

A CONNECTIVE PATHWAY FOR BRIDGING AND CAPPING THE PIECES AND COMMUNITIES BACK TOGETHER

New York, NY, USA May. 2019

Group Work with Zipping Zheng LARP 602

The concept of Tri-boro line was introduced by RPA as the infrastructure investment that directly links the the east borough with the Manhattan-centric subway system. Based on the study of the Tri-boro line, the studio elaborates the dirct impacts of this potential on the neighborhood adjacant to the propsed station stops.

The selected site is in Queens, New York City. It Lies next to St. Michael Cemetery and close to La Guardia Airport and M, R Train Northern Blvd Station. Because of its location within the regional context, our site has great potential to be developed in the future which provide new housing, new working space, new business, and new connections through Tri-Boro line and subway.

Mentor: Nicholas Pevzner

This is a sustainable urban design project that emphasize on greater mobulity, better access to jobs, and opportunities for transit oriented development.

It reconnects the isolated districts and establishes a continues network of public realm and amenities and change it into a destination for both New York city and surrounding neighborhood.

Mid-town Manhattan Brooklyn queen ex

Existing train line as Barrier La Guardia Airport St.Michael cemetary Sunny-side Yard long-island

pressway as Barrier Grand central Parkway as Barrier

Grand Central Parkway Capping Park - Mixed Use Residential District Development

Mixed Use Development on top of BQE Capping - New Gateway of St.Michael Cemetery

Bridging Park - Auto Industry Cluster - Mixed Use De

velopment - Commercial District

Cap park connecting isolated neighborhoods by highway.

Plaza Daily use

Cap park creating central public ralm in middle at the heart of the walking system at top of the highway

Bridge park over haighway connecting neighborhoods

Plaza Event Time

Central Public Realm and different activity

Year 1

Remove solid pavement; excavate wetland; refill peatland; build solid riverbank sow grass and legume sow forest (too small in the begining)

Year 5

Mature wetland; mature peatland; mature grassland; half matured forest to clean air pollution

Year 15

Expanded wetland; richer peatland; shrunk grassland with trees

GREEN X BLUE REDEFINERY

Philadelphia Energy Solutions’ Refinery Complex Competition Philadelphia, PA Dec.2020 Team work

Given the 1300-acre Philadelphia Energy Solutions (PES) Refinery site located along the Schuylkill River in southwest Philadelphia, we reinvisioned the site as a GreenXBlue hub to bring livability to the city as well as creating resiliency in this highly polluted site.

The design elements are as follows: Preserve Philadelphia’s post-industrial character through industrial-to-park adaptive reuse approach to transfer NIMBY use into public accessible open space, and interactive wetland parks. Enhance community involvement in the planning procedure of post-industrial transition, bring equity and transparency to the public in the nearby neighborhoods.

Establish an urban framework and transportation network to better connect to nearby neighborhoods and enhance inter-neighborhood circulation. Provide building space for value-added industries, manufacturing and logistics that will enhance Philadelphia’s comparative advantages, boost economy and provide job opportunities for refinery workers and other Philadelphia’s essential workers.

Hardscape Accessibility
Open Space
Cliamte Solutions

Urban Design

THE FARMTOWN IN CITY

BUILD DYNAMIC, HOLISTIC SYSTEMS OF GREEN

SPACES AND CREATE A DEEP BOND BETWEEN THE PLACE AND COMMUNITY

San Jose, CA, USA

May. 2020

Individual Work

LARP 702

Mentor:

Marcel Wilson

Ryan Buckley

Katy Martin

Historically known as the valley of Heart Deligent, San Jose produced a significant amount of fruits and vegetables for nearly two centries until 1960s. The emergence of tech companies accelerated the urbanization and contributed to the rapid decrease of farmlands. Today, City of San Jose is faced with many social and envirnmental problems that came along with rapid urbanization, such as food insecurity, lack of public open spaces and homeless issues. The proposal transforms the 238-acer neglected green space into a vibrant urban park through promoting a wide range of recreataional and agicultural activitesin the park. The proposal includes a framework to revitalize the neighborhood and enhance the connection between the park and its surrounding neighborhoods. The new park circulation is defined to make a continiues connection among the three main activity zones in the park as well as connection with the city.

Zones

Development

Elevated Pathway

Creating different quality of space in the park for different groups of users from daily office workers to family and young childrens to have fit their needs in different time

Entrance Plaza View
Riverside View
Multi-Purpose Amphitheater View
Native Vegetated Mounds
Dedicated Boarwalk
Vegetated Terraced Riverside
purifying Plants Along the River

Philadelphia, PA

BRIDESBURG PARK

ADVANCED CONSTRUCTION DETAIL

Dec.2019

Team work

The riverfront community park located in Philadelphia has been selected to practice design and provide construction detail for implementaion over the course adavanced workshop. The main points are as follows: Work on technical aspects of site design, with an emphasis on site grading, site engineering, and landscape performance. Functional consideration related to landscape and associated systems were explored as vital and integral components of landscape design, from concept to execution.

Grading Plan

Planting Plan

Enlargement Planting Plan

Material Plan

Planter Section Scale 3/4” = 1’
Plarking Lot Section Scale 3/16” = 1’
Enlargement
Enlargement

Turn static files into dynamic content formats.

Create a flipbook
Issuu converts static files into: digital portfolios, online yearbooks, online catalogs, digital photo albums and more. Sign up and create your flipbook.