Environmental Planning & Design Portfolio

Page 1

ENVIRONMENTAL DESIGN & PLANNING

PORTFOLIO 2024

LEILA BAHRAMI

Leila Bahrami

Tell: +1(215)866-7997

lbahrami@design.upenn.edu

lbahrami69@gmail.com

Linkdin.com/in/profile

Philadelphia, PA, USA

RESEARCH

LANDSCAPE RESTORATION, NJ SEAGRASS

RESTORATION IN KELP FORESTS

GREEN NEW DEAL

Award of Excellence, ASLA

ENVIRONMENTAL JUSTICE

PREDICTED FLOOD INUNDATION IN CALGARY

PREDICTION OF 2020 DEVELOPMENT

DEMAND IN DVR

PREDICTION OF VOTING PATTERN IN PA

SOIL INFILTRATION CALCULATION

COVID-19 MEMORIAL SITING STUDY

FARGMENTED LANDSCAPE

DESIGN

REVOLUTIONARY INDUSTRIES

GROWING TOGETHER

1st Place Winner, EPA Competiton

THE CAP

GREEN X BLUE REDEFINERY

THE FARMTOWN IN CITY

VANDERBILT RESIDENTIAL COMPLEX

BRIDESBURG PARK

Regional Context

Multispectral imagery set within New Jersey coastal context.

LANDSCAPE RESTORATION

Provide landcover classification for non-classified wetland areas to identify and protect endangered species

Land Use and Envirnmental Modeling ARC GIS Pro

Land cover data derived from remotely sensed images are an important feature of environmental impact studies, policy formulations, and flood and watershed management and modeling. Landscape architects frequently use thematic data such as that provided by the National Land Cover Database (NLCD); however, this data comes prepackaged after it has undergone many levels of interpretation and decision-making. Knowing more about these datasets allows to develop literacy about the environmental information that they often take for granted.

May. 2021

Mentor: Keith Vandersys

“Finding” water is a key step in most land cover datasets. Making material distinctions using multispectral imagery involves a great deal of interpretation as it is dependent on the detection index, satellite schedule, and tidal variation. This series of images shows different boundary locations between land and water depending on which classification method is used.

01

International Classifications

International Classifications

The application of different international landcover classification standards to the same image clearly demonstrates how the

and thematic

of

A comparison among the legends shows similarities and differences in how

Multi year / Season Classifications

The application of different international landcover classification standards to the same image clearly demonstrates how the spatial and thematic structure of various classification systems frame our understanding of the landscape. A comparison among the legends shows similarities and differences in how land cover themes are defined.

NLUD Land Cover Classification (1000 m) EU Land Cover Classification (500 m) India Land Cover Classification (100 m) China Land Cover Classification (1000 m) LEGEND (NCLD) INTERNATIONAL LANDCOVER CLASSIFICATION LEGEND (NLUD) Developed, Open Space Developed, Low Intensity Developed, Medium Intensity Developed, High Intensity Barren Land Deciduous Forest Evergreen Forest Mixed Forest Shrub/ Scrub Hay/ Pasture Cultivated Crops Woody Wetlands Emergent Herbaceous Wetlands Open Water Estuarine Water Allotment Residential Mixed woodland Salt Marsh Fresh Marsh Scrub Coastal Rocks and Cliffs Inter-tidal Sand and Mud Standing Water Industrial and Commecial Grassland/Herbaceous Unimproved Grassland Field Crops Dunes LEGEND (NCLD) LEGEND (EU) Developed, Open Space Developed, Low Intensity Developed, Medium Intensity Developed, High Intensity Barren Land Deciduous Forest Evergreen Forest Mixed Forest Shrub/ Scrub Hay/ Pasture Cultivated Crops Woody Wetlands Emergent Herbaceous Wetlands Open Water Inland Water Bodies Artifical non-built up areas Buildings with one to three floors Broadleaved Woodland Coniferous Woodland Mixed woodland Salt Marsh Inland Marsh Scrub Coastal Rocks and Cliffs Sand Coastal Water Bodies Buildings with more than three floors Intertidal Flats Grassland/Herbaceous Unimproved Grassland Cropland LEGEND (NCLD) LEGEND (INDIA) Developed, Open Space Developed, Low Intensity Developed, Medium Intensity Developed, High Intensity Barren Land Deciduous Forest Evergreen Forest Mixed Forest Shrub/ Scrub Hay/ Pasture Cultivated Crops Woody Wetlands Emergent Herbaceous Wetlands Open Water Articial non-built up areas Deciduous Broadleaved Forest Evergreen Broadleaved Forest Mixed Forest Permanent Wetland Shrubland Barren Land Water Bodies Grassland/Herbaceous Grassland Cropland LEGEND (NCLD) LEGEND (CHINA) Developed, Open Space Developed, Low Intensity Developed, Medium Intensity Developed, High Intensity Barren Land Deciduous Forest Evergreen Forest Mixed Forest Shrub/ Scrub Hay/ Pasture Cultivated Crops Woody Wetlands Emergent Herbaceous Wetlands Open Water Artifical Surfaces Forest Wetland Shrubland Barren Land Water Bodies Grassland/Herbaceous Grassland Cultivated Land
spatial
structure
various classification systems
our understanding
landscape.
frame
of the
land cover
fined.
themes are de-
Multi Year / Season Classifications

UAV Mapping

Coastlines are migrating upland faster than at any point in recorded history. As dunes and coastal marshes disappear, the need for littoral adaptation increases. In recognition of this, the United States Army Corps of Engineers (USACE) has placed an increasing importance on developing sediment placement strategies for restoring deteriorating coastal wetlands. These strategies, however, are still experimental and need to be monitored to track their performance. This project’s goal is monitoring and analyzing a recent sediment placement on Sturgeon Island in the Great Sound Bay of New Jersey.

Locating Land

Composite image comparing the land/ water boundaries of five different water detection indices.

Locating Land

The position and area of land/ water changes depending on the water detection method. This image compares the outcomes of three of the most widely used indices: mNDWI; TCW; and NDVI.

Existing wetland datasets are woefully insufficient for accurate modeling of vulnerable coastal conditions. This set of images shows the difference in a model created with NLCD (Right) and site-collected data (Left).

TWI Wetland Classing

Image comparing existing landcover data (NLCD) and custom high-resolution wetland landcover data created by using UAV multispectral imaging.

Seagrass Restoration Strategies

SEAGRASS RESTORATION

Seagrasses are all being lost globally, contributing to fewer carbon stocks on bed and in turn blue carbon emissions. Seagrass restoration has become a common management tool for recovering the ecological functions and services lost due to habitat fragmentation and degradation.

The intervention phase is divided into two parts. Firstly, to avoid seagrass loss by improving water quality. Specific methods include reducing eutrophication, managing urban water systems by adding treating ditches and ponds, and supervising the industrial infrastructure applied on the site in order to formulate a protected water shoreline. Secondly, it comes the phase of restoring the disappearing seagrass. It’s important to improve sediment instability caused by excessive bioturbation before planting.

CALIFORNIA KELP FORESTS Soil De-eutrophication Sediment Modification Manual Transplanting Urban Sewage Treat Systam
02

Data Calculation : Carbon Sequested / yr

Total site area: 5.96 km x 3.15 km = 18.774km/2 = 18775000 m*2

Restored Shoreline Kelp Bed: 3.4% x Site area = 635000 m2 = 63.5 Ha (Sediment Modification Area+ Mechanical Micropropagation Area)

Carbon intake = Total C sequestration = The hectares of patches transplanted x 0.89 Mg C Ha-1 yr-1 = 56.5 Mg C / yr

Relocated Inland Seagrass Marsh: 0.9% x Site area = 179000 m2 = 17.9 Ha (Goleta Slough Manual Transplanted Area + Urban Water Purified Area)

Carbon intake = Total C sequestration = The hectares of patches transplanted x 0.89 Mg C Ha-1 yr-1 = 15.9 Mg C / yr

Mitigation Potential: 72.4 Mg C / yr

Uncertainty: standard error of seagrass decline rate, unstable emission rate of kelp

= 26016 trees seedlings grown for 10 years

Other Impacts

The intervention is expected to imrove the long-term water quality, air conditions and biodiversity. When seagrass is successfully propagated, the amount of sea urchins decline which will in turn attract sea otters. The return of otters and other native animals will further contribute to the revival of seagrass meadow ecological system.

Moreover, the anti-trawler actions along some parts of the shore and lucid water will make more regional natural resources alive. Residents and students nearby acquire a better living environment and a space for ecological education. The carbon export to adjacent ecosystems through direct transport of seagrass detritus and through the spread of faecal matter takes energy to fisheries, stimulating their productivity.

Unintened consequences include excessive sediment management, sulfide concentration as well as huge cost.

Total Site Area 18.774km’2 = 18775000 m2 Cumulative Kelp Bed Cover: 2566000 m2 Existing Kelp Bed: 1752000 m2 Restored Shoreline Seagrass Bed: 635000 m2 Relocated Inland Seagrass Marsh: 179000 m2 Total Carbon Sequestration 228.37 Mg CO2e yr-1 = 177,044 gallons of gasoline consumed = 1,733,660
of coal burned
Total Site Area: 18.774km‘2 = 18775000 m’2 Cumulative Kelp Bed Cover 1752000 m’2 Existing Kelp Bed: 1752000 m2 Restored Shoreline Seagrass Bed: 0 m2 Relocated Inland Seagrass Marsh: 0 m2 Total Carbon Sequestration 155.93 Mg CO2e yr-1
Important Farmlands
Pounds
Goleta Slough Goleta Estuary Data Collection

ASLA Award of Excellence City Planning \Landscape Architecture

DESIGNING A GREEN NEW DEAL

USA

Dec. 2019 Team Work

LARP 701

The investments a Green New Deal would make in our physical assets—homes, offices, transportation, and parks, —are where the material benefits of a Green New Deal will be best understood by the American people. The Green New Deal offers little insight into how such an ambitious program would be realized in the built and natural environment. In this studio, we ask how and where designers could play a role in pushing the Green New Deal from an idea to reality. And try to answer two key questions: (1) which regions of the US must be “won” if the carbon, justice, and jobs goals of the Green New Deal are going to be possible?, and (2) within these regions which communities and projects should receive the initial wave of investments?

03

Delta Region

The Delta region’s legacy of dispossession and natural resource extraction is the starting point for our vision of the Green New Deal in the Delta, which builds upon the strong foundation of organizing and resistance in the South.

A massive public investment in housing offers people liv ing in vulnerable areas the opportunity to live in safe and connected communities. A restored coast gives rebirth to a once-thriving fishing industry and reinvigorates the re

Thematic maps (Delta Region)
Virtual Exhibition

Proposed Interventions in the Delta

Restored coastal marshes sequester carbon from the atmosphere. Oil rigs are decommissioned and replaced by wind turbines, which support new coral reef growth. These remediation efforts create opportunities for high-wage jobs while building ecological buffers against future storms.

Envirnmental Justice

Environmental Justice Beyond the Boundary of LTER in MaryLand

Objects

Urban forests and their role in buffering climate change and bringing Envirnmental Justice” are among the hot topics in recent years. The Baltimore Ecosystem Study (BES) with it’s significant efforts in understanding etropolitan Baltimore as an ecological system has made this city as one of the pioneer cities in U.S. in developing urban forests. In this study, I am going to evaluate the Envirnmental Justice ” within the boundary of LTER site to show which census tracts are mostly suffering from environmental justice and need serious actions for improving the quality of life for all the people.

04
graphic
Arc GIS Dec. 2019 CPLN675
Modeling Geo-
Mentor: Dana Tomlin
Social Index Children & over 65yr percent Black Population IDW Black population + projected vulnerable age LTER Site Population Density Income Highest Population Density Dissolved Socio-Economic Vunerability Overlayed Socio-Economic Vunerability
MaryLand State Economic Index

Accessibility to Forest Hubs

Forest Hubs in this study, refers to green patches with area larger than 0.2 square mile. The Accessibility is related the proximity of census tracts to te Forest hubs which has been calculated through CLOSEST Spatial Join.

“Census Tracts” as Target Features and “Forest hubs” as the Join Features.

Social Criterion

Economic Criterion

Accessibility to Water Bodies

Accessibility to water refers to two types of water bodies: 1.with public accessibulity 2 . without public accessibility. Inorder to rank census tracts according to their proximity to water bodies,first the public accessible water bodies have been Geocodes on the map and then two beffer zones with radius 1 mile and 2 mile has been considered around and the census tracts have been ranked based on their intersection with buffers.

Erasingthebufferofpublic accesswaterbodiesfromall

Buffer(public accessiblewater

Toolboxes>analysis tools>proximity>multiple bufferring>exportdata Makethe1milebuffers ofthewaterbodieswith publicaccessibility.Then weexporteachbufferto anewshapefile.

1milebufferwithno publicaccesstowater

1milebufferwithpublicaccesstowater

Erase

IusedErasetoolfor priotizingareasbasedon proximitytowater.I definedtheareasas1 milebufferofpubic accessiblewaterbodies, 1milebufferofwater bodies,2molebufferof waterbodieswithno publicaccesstowater andthenclipittothe boundaryofLTERsite.

2milebufferwithno publicaccesstowater

Urban Forest Buffering Zone
centroid within 1 mile buffer centroid within 2 mile buffercentroid out of 1mile buffer centroid out of more than 1mile buffer Water bodies buffers Public water bodies buffer
Public access water bodies Census Tracts Forest Ranking Average Forest Distance
Forest_Distance Forest Hubs 0-1009 1009-2500 2500-4000 4000-6000 6000-9354 ! (! ( ! ! (! !(!( ( ! ! ! (! ( ! (! ( ! ! ( ! !( (! ( ! !( ( ! ! (!(! ( !( ! ! !( ( ! ! ! ! !( ( ! (!(! ( ! ! ( ! ! ! ! ! ( ! ! !( ( ! !( ( ! ! (! !(!( ( ! ( ! ! ! ! ! !( ( ! ! ! ! ! ! ! ! ! ( ! ! (! !( ( ! !(!(!( ( ! ! !( ! ! ! ! ! (! ( ! ! ! ! (! ( ! SCORECENSUSTRACTSOVERWATERACCESSIBILITY
Legend waterbody_public accessibility buffer_publicaccess_LTER
Legend pref2_1milebuffer LTER_waterbody Legend pref3_2milebuffer LTER_waterbody
Legend pref5_census pref4_census cenusu_pref2 cenusus_pref3 census_accessible

TIN Visualization from Social Vunerability

TIN Visualization from Social Vunerability

TIN visualization is another suitable method used to visualize the vulnerabl population distribution which the TIN contains elevation information. The workflow below shows part of whole workfow diagram of the project which has been used for scoring the census tracts based on socio-economic condition.

: Node Elevation of Vulnerable Population

Calculate the final score for each census tracts with aggregating score and then zoom in the tracts with highest rate of Envirnmental Vulnerabilit

In order to prioritze the high risk tracts based on their risk, their proximity to the TRI site has been analyzed through the Spatial Join.

.
1 2 3 4 Overall Score Node elevation 57.778 - 65 50.556 - 57 .778 43.333 - 50 .556 36.111 3.333 28.889 - 36 .111 21.667 - 28 .889 14.444 - 21 .667 7.222 - 14 .444 0 - 7.222 Tin
Render
Render: Elevation (No Hillshade) Render: Elevation (with Hillshade) Render: Slope Final Result : Aggregated Score High Risk tracts relationship with TRI sites 7 tracts with highest risk of envirnmental injustice Context Visualization of High risk tracts

Data Visualization

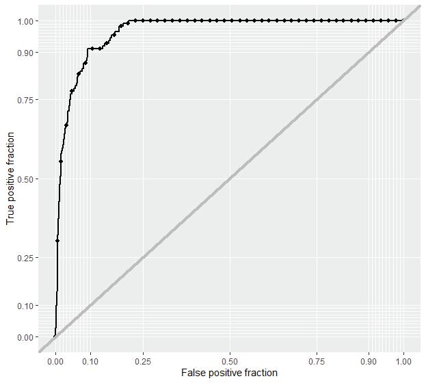
PREDICTINGFLOOD INUNDATION IN CALGARY USINGLOGISTIC REGRESION

Calgary, CA

Flooding is a common type of natural disaster which could cause huge economic and social damages. In this project, we built a model using logistic regression to predict the flooding inundation of Calgary.

March. 2020

Group Work

with Haitian Wang CPLN675

Mentor: Ken Steif

Calgary experienced a major flood in 2013. During that disaster, five people were confirmed dead as a direct result and over 100,000 people were displaced throughout the region. The Total damage estimates exceeded $5 billions and in terms of insurable damages, made the 2013 Alberta floods the costliest disaster in Canadian history at $1.7 billion. Therefore, it is important to predict flooding locations and increase the awareness of flood among residents.

In the feature engineering phase, we took three different categories of variables, including Geographical and census data, spatial, and hydrological data as predictive variables to capture the characters of flooding locations. For instance, we included Flow Accumulation,, Flow Length, Basins, and Distance to water bodies to represent the hydrological condition of Calgary. These variables then, have been put on fishnet to determine their association with flood in 2013.

Geographical

Slope

Elevation

Population Density

Spatial

Tree Density

Distance to steep slope

Residetial landuse

Distance to parks

Development Sum

Hydrological

Flow Accumulation

Flow length

Basin

Distance to water bodies

05
Arc
R
GIS

The next step for our model process is split data randomly into 70% training set and 30% test set and then build the model on training set and validate the model on test set. The dependent variable for our regression model is flood inundation ranges from 0 to 1. 0 for non inundation areas and 1 for inundation areas.

As the result of logistic regression, we can see that “The variables are statistically significant in our model at a 90% confidence interval except for four variables: tree density, flow accumulation,basin, and flow length. After modeling the logistic regression. Our AUC was 0.9617, which indicates that our model is very good at discriminating between flooded and non-flooded.

We also performed a Cross validation presenting a 0.9650 accuracy, which means our model is quite solid in prediction. As observed, the predicted flooding area fits in the trend of actual flooding area while presenting a larger coverage with both severely and mildly affected areas. This is because our model is based on many hydrological variables .

Logistic Regression Model Validation - Class Probability Model Validation - AUC Curve Cross- Validation

PREDICTION OF 2020 DEVELOPMENT DEMAND IN DELAWARE VALLEY REGION

2.Data

The study adopted a quantitative approach, along with regression analysis to predict future development.

2.1.Land Cover Change as Development Indicators

The change of land cover from 2001 to 2011 indicates major developments in the decade.

2.2 Population Growth as a major Development Engines

Population is the foremost driving factor in development since an increase in population will bring about growth of density and employment. Intensive population growth has been observed in the north of Philadelphia.

2.1.3 Road network as a major Development Engines

In view of the high level of auto-dependency and consequently highway-oriented development patterns, our assumption is that development demand is likely to occur near highways to access better connection to destinations.

Data Visualization

1.Background

Delaware, USA May. 2020

Group Work with Haitian Wang CPLN675

Mentor: Ken Steif

The DVR as core urban clusters of the Greater Philadelphia Region connects five adjacent states. While population grew from 5.1 million to 5.6 million, the developed area expanded by 1.5 times, signaling significant urban sprawl. The DVR region is forecasted to receive over 658,000 residents and more than 372,000 job opportunities from 2015 to 2045. (DVRPC, 2017) The region will face severe environmental damage if urban clusters continue sprawling at the preceding speed. Therefore, a projection study of future development demand will help observe development patterns and strategically alleviate sprawl through formulation of policy instruments.

06
Arc
R
GIS
Landcover change 2001-2011
Population 2001
Population 2011
Population change 2001-2011
DVR
DVR
DVR

3.Method

To achieve a level of accuracy, the study used the roughly one-acre grids as units of analysis. By spatial join data including land cover change, population distribution and distance to highway to the grids of both 2000 and 2010, we used logic regression analysis to study the development patterns. Based on the hypothesis that future development demand shares continuity of current development, the patterns learned from the previous decade would serve as the model of development demands in the upcoming decades.

4.Exploratory Analysis

The spatial lag (i.e. the calculation of spatial weighted average) to 2001 development illustrates development probabilities. Higher chance of development occurs in the periphery of the region and close to certain sections of the highway networks. Land cover change also indicated positive correlation with population change from 2000 to 2001. Among different types of land cover, farmland has the highest conversion rate, follow by developed land and forests, at 1.16%, 1.07%, and 0.67% respectively.

4.1 2010 Prediction and evaluation

2010 prediction was based on analysis of six logic regression models. As observed, most developments have been predicted with probabilities of lower than 20%. The model failed to provide robust results. For example, 5% threshold correctly predicts a lower number of new development areas (Sensitivity) whereas incorrectly predicts a higher number of not changed areas (Specificity). Similarly, all counties demonstrate higher numbers of incorrect 5 predictions of not

6.Discussions and Suggestions

The following figures summarize this study by showing the development potential of each county. Development demand implies growth opportunities including jobs, real estate investment, small business and retail supporting bedroom communities. On the other hand, however, the projected growth in density unveiled a possible pattern of urban sprawl to north Bucks County. The proposed highway further connects north Bucks County and South Jersey where most land is currently Conservation Focused Areas (CFA). The environmental sensitivity analysis further revealed vulnerable preserved land that may be invaded under urban sprawl. In particular, CFA should continue as a tool in the growth control mechanism. the city planners should work with relevant parties to study the land value and release land for development. Legislation and regulations should be formulated as precaution of over-development.

Modeling Geographic spaces

Arc GIS

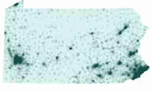
PREDICTION OF VOTINGPATTERNIN PENNSYLVANIA!

Use the extent in Envirnment to set the extent, cell size, and mask same as traffic Layer..

Data interpolation

Mentor:

Dana Tomlin

In this study, seven possible indicators of voter sentiment were assessed using interpolation and density tools in ArcGIS.

The grids generated using those indicators were adjusted to a range of 0 to 100 and then clustered using Iso Cluster Unsupervised Classification. Then, the outputs of the Iso Cluster Classification were compared to the 2018 gubernatorial election results to determine the most suitable indicators.

This indicators are as follows:

•population

•percent of population that is white

•percent of population older than 65 years

•birth rate

•income

•number of people per dentist,

•golf course locations

Method Used

Denisty

Populationthan 65 years

Golf Course location

IDW

% of white population

% older than 65 years

Income

birth rate

People per dentist

It seems the iso cluster of income+ white_population has the most similarty with voting pattern..!

Analysis

Scale all the criterion in the same range, Compare them with orginal map to predict the best combination of three

Iso Cluster for the best three criterion and compare it with original voting pattern and make conclusion.

07
CPLN675
May. 2020
Workflow Data
conclusion Population + White + Golf Course Population + Income + White Population + Income + Golf Course

Focal Statistics (mean)

Rescaling interpolated maps with most similarities

Interpolations Comparison Iso Cluster Unsupervised Classification

Raster Calculation: (raster/Max)*100

Population + White + Golf Course
Population over 65 yr (IDW)
Population
Population over 65 yr
Low High Data Analysis Population + Income + White Population + Income + Golf Course
Income Birth
Per
White Population (IDW) White Population Population (Kernel Density)
Income
(IDW)
Rate (Spline)
Dentist (Spline)
Golf Course (point Density) Golf Course

Land Use and Envirnmental

Modeling

ARC GIS + HECGEOHMS

Soil Infiltration Calculation

calculate runoff potential using soil and land use data with ArcGIS and HEC-GeoHMS extensions

Soil Data:

HYDGRP – stands for soil hydrologic group. Ranges from A,B,C,D. Based on grouping of soil types that have the same run off potential.

A are soils having high infiltration rates; chiefly sands or gravel.

B moderate infiltration.

C slow infiltration.

In this study it has been tried to use ArcGIS to wrangle the land use data and then relate it to the soil database and calculate curves using a specialized extension.

D very low infiltration like clay

May. 2020

CPLN675

Using HEC-GeoHMS extension in ArcGIS for taking land cover and soil type as inputs and creating a curve number (CN) based on a set of assumptions about how the two inputs interact to produce a certain amount of runoff given a certain volume of rainfall. The HEC-GeoHMS extension essentially relates these categories of information in ArcGIS and calculates CN figures using a database called “ssurgo” (a national soil survey) and an algorithm that is used to estimate runoff.

This curve number can be used as a parameter in other models to understand how much of a landscape in a given watershed will drain overland into a water body or into a sewer system. This is important for understanding the degree to which runoff may cause risk of flooding.

In the last step union the soil data shapefile data to landuse polygons and get rid of geographic artifacts and then creating a table with data related to Curve Numbers to understand the relationship between landuse and soil type with respect to run off.

LandUse Reclassifies LandUse polygons

Add the Soil Data and associate each geometry a measure of soil typ.

Classify the polygons based on the percentage of soil type by adding 4 percent fields.

Generating CN Grid using HEC-GeoHMS extension and then comapre it in the table left.

08
Mentor: Ken Steif
Datasets
= water =Medium residential =Forest =Agriculture

COVID-19 Memorial Siting Study

Modeling Geographic spaces Arc GIS

May. 2020 CPLN675

Future generations may never truly understand the circumstances that we are currently living with, but art may offer a gateway for communicating the feeling of solitude that has become more commonplace than ever. A new sculpture sited in the Central California’s Ritter Range will seek to communicate our current feeling to future generations and our future selves.

Mentor: Dana Tomlin

The sculpture must be accessible, but it must also feel remote at the same time. An outdoor sculpture that is sited in the mountains should also be protected from the elements as much as possible. As such, three criteria have been developed for selecting the site: Safety, Accessibility, and Aesthetics.

Others = 9-1 Reclassify Slope 1-10

Reclassify Lakes =1 Reclassify 0-500 m = 10

1.1 Steep Slope
1.2
Flood Risk Areas 1.3 Road Traffic Volume
1.Criterion SAFETY
Focal Statistics (mean)
Reclassify Roads = 1Raster to polyline Line Density Reclassify 1-10 09
Euclidean Distance Cell Statistics (Mean)

2.Criterion Accessibility

Elevation

2.2 Flat Areas

3.1 wetland view

3.Criterion Aesthetic

Euclidean Distance Reclassify 1-10

Accessibility

Reclassify slope 1-5 =1 others =2-10 Safety Cell Statistics (Mean) Cell Statistics (Mean)

Reclassify wetgrass =1Region group/ Raster to polygon feature to point ViewSheds

Elevation Hillshade Reclassify 1-10

Statistics (Mean)

Criterion Aesthetic
Final
Score Cell
Local Roads
Slope 2.1 Local Roads / Trails
3.2 Shadows

Land Use and Envirnmental Modeling

Arc GIS + R-Studio

Fragmented Landscape

calculatio of landscape fragmentation using Arc GIS and R-Studio from 2001 to 2011 in Chester County (PA)

Reclassified landuse to developed and non developed

combined layer of non-developed and reclassified roads

Fragmentation defined by the ‘Isoperimetric quotient’- The compactness of a given landscape patch relative to the most compact shape(a circle) with the same perimeter. The lower the quotient, the more fragmented a shape is considered. Fragmentation is related to to a decrese in the hardiness of ecosystems.

Dec. 2020

CPLN675

Mentor: Ken Steif

The script being used in R is preceded by a series of raster processing routines in ArcGIS whereby land use rasters for the years 2001 and 2011 are reclassified into developed/not developed lands and grouped into undeveloped fragments in previous steps . Each of these fragments has its “isoperimetric quotient” calculated and is associated with its municipality

Isoperimetric by town

Changes in the undeveloped land fragmentation by town Chester County (2001-2011)

Patches area by town

Changes in the area of non-developed patches

Chester County (2001-2011)

Patches by town

Changes in the number of undeveloped patches by town

Chester County (2001-2011)

region groups of combined layer

10
LandCover 2011 2001
-10 0 10 20 percent change percent change -20 0 -4 -2 percent change

Landscape Planning

REVOLUTIONARY INDUSTRIES

NEW PROPOSAL FOR RESILLIENCY BY CREATING NEW JOB OPPORTUNITIES THROUGH ATTRACTING ART-BASED INDUSTRIES IN ATLANTIC CITY

Atlantic City NJ, USA

New Jersey’s Urbanism relies alot on coastal’s industries. In recent decades, coatal areas suffered severely from sea level rise and storm surge during rapid climate change. The inequalities of climte change has affected these industries drasrically and therefore has created strong social and economic divides along these coastal communities.

Dec. 2018

Individual Work

LARP 601

Mentor: Ellen Neises

This proposal sets up a strategic framework on smart landuse and focusing investement and development on new industries in Atlantic city as the cultural capital of New Jersey state with the emphasis on creating new job opportunites for the indigenous people as well as strengthening the tourism attraction and making money.

In this propsal, Landscape is the bridge to tie tourists, local residents and industries back to the envirnment. It provieds opportunities for a resillient and sustainable development framework.

01

Population Vulnerability in New Jersey

New Jersey Coast in History Sub Sites Comparisons

Median Household Income Atlan�c City : Low average Income, High Poverty rate, Weak Economy, High Flood Risk Great Bay : Median Income, Low Poverty rate, Stable Economy, High Flood Risk Toms River : High Income, Low Poverty rate, Strong Economy, High Flood Risk Atlan�c City $26,566 NJ State $73,702 % 53 Children below poverty level Food & serving Food & serving Sales & o ce Management Maintenance Administrative % 4 Children below poverty level % 15 Children below poverty level Atlan�c City % 16.2 NJ State % 37.5 % 60 Resident not go to college % 38 Resident not go to college Toms River $72,500 NJ State $ 73,702 Toms River $60,535 NJ State $ 73,702 University degree Educa�on level Flood Insurance payout 1978-2017 Main Government Revenue Educa�on level Flood Insurance payout 1978-2017 Educa�on level Flood Insurance payout 1978-2017 Occupa�on Occupa�on Occupa�on Poverty Rate Sea level Rise 3� Median Household Income Asbury Park Toms River Great Bay House Damaged by Sandy House Market Health Atlan�c City Median Household Income Poverty Rate Sea level Rise 3� Poverty Rate Sea level Rise 3� Sea level Rise 3� % 36.6 %10 %8.9 %14.1 %18.8 %17.4 %14.8 %10.1 %15.7 %16.4 %28 %30 865 4971 %25 %16 %32 %23 % 6.9 % 8 %18.1 %10.2 %9.4 Management Sales & o ce Maintenance Maintenance College No degree High School Parking Operating grant Unpaid %11.8 Unpaid %16.7 Unpaid Hotel Bachelor/ Higher %32 %6 %11 %31 %20 College No degree High School BachelorHigher % 43 Resident not go to college %28 %32 %23 College No degree High School Bachelor/ Higher Sales Health Care Median Household Income (2016) <50000 50000-55000 55000-60000 60000-67000 >67000 poor areas (more than 12.7% of households’ income is less than 100% of federal poverty line) Urban areas
Sea bright Atlantic City Beach Haven Island beach Seaside Park Ortley beach Ocean City Peak City Avalom Ludiam beach Seven mile beach Diamond beach Cape May

Potentials and Issues in Atlantic City

Physical Vulnerability

With 3ft SLR the coast and lower central parts sink under water with 6ft SLR about 90% of the city sink under water

wide range of ameni�es and entertainment within the city

The rich history within the urban context of the city

limited
severe
access to water Not enough tourism a�rac�on within in the city
damages all over the city due to frequesnt floods
poten�al
a�rac�ons poten�al of flood protec�on wi�hin natural features Tourism a�rac�on Boradwalk limita�on less liveliness Renewable Enrgies
Boardwalk phusical and social vulnerability OPPORTUNITIES ISSUES Historical a�rac�on Vacant Lands Mangroves + + + + + + + + + + + +
of developing new indus�es in vacant lands within
Mangroves
old
vulnerable
cli-
Sea level rise 2050 Sea level rise 2100 Construction history offshore wind farm project
housing in high risk areas in
to
mate change.

In order to save the city from bankrupcy and unwanted commiunity migration, the new propsal refers to developing revolutionary industries, art-based industries, as a new tourism attraction which help not only to improve stagnant tourism industry in the city but also to highlight cultural values of AC and help to flourish the city. tourism attraction

survive the city from bankruphighlight cultural and historical values of the city making money through new industries new as artbase industries portable structure for holding temporary events redesign the vacant lots to fit new industries

Find opportunities for Adoptive reuse of vacant hotels and vacant lands for developing new industries

Ocean front Park ocean Resort $755 million Borgata Harra’s Fishing Park Casinos Tidal Wetlands Central Pier Exis�ng Casinos Abandoned Casinos poteniatl open spaces Significant Ins�tutes Tourism and gambling Important Corridors Ocean front Park ocean Resort $755 million Borgata Harra’s Fishing Park Casinos Marsh Park Tidal Wetlands Central Pier Exis�ng Casinos Abandoned Casinos poteniatl open spaces Significant Ins�tutes Tourism and gambling Important Corridors
mangrove as flood protection buffer wind power energy very old and vulnerable housing large amount of vacant lands casino and hotels gambling as one of the main industry gambling as one of the main industry redesign vacant lands holding events on roof tops reuse of vacant hotels for events reuse of lower floors for events coast line
Highlights in Atlantic City
+ + + + + + + + + + +
Developing Design Strategy

vacant hotels/casinos historical/cultural landmarks proposed open space for event Existing

AC Historical Museum Revel Resort pen 2012 close 2014 Absecon Lighthouse AC Historical Waterfront Historical Gardner’s Basin Showboat Resort open 1987 close 2014 Segal Building Columbus Hall Carneige Center Madison Hotel Claridge Hotel Bally’s Casino Caesars Casino Boardwalk Hall Dante Hall Arts Garage Tropicana Casino Land Use Analysis Extended Boarwalk into the site open space amphitheater for events light structures for holding temporary events Large plazas works both daily and in festivals Natural sand dunes system view deck extended to the ocean entertaining coast
Site Proposed Section Design Access Analysis Flood Risk Analysis
Selected
green space
Functional open
different
shading pathway extended boarwalk event venue amphitheater view deck salt marsh fresh marsh brighton Park sandy amphitheater seating area urban steps large plaza pergola different quality of space
of holding events 1 2 3 4 5 6 7 8 9 9 8 7 9 5 6 1 2 2 3 3 4
space in
time
potential

GROWING TOGETHER

A COMMUNITY FOOD FOREST FOR STORMWATER MANAGEMENT AT ANDREW HAMILTON

1st place Winner

Rainwork Challenge

Competition Philadelphia, PA

Dec.2020 Team work

With a lack of green space, access to fresh and healthy foods, and stormwater management systems, Andrew Hamilton School is in need of sustainable and food-producing green stormwater infrastructure (GSI) that would benefit both the students and the community of West Philadelphia. Our design will lower the school’s stormwater fee, mitigate flooding in the community, alleviate the urban heat island effect, and provide access to fresh healthy food for students and the surrounding community.

We propose a plan that will incorporate a green roof, rain gardens, raised beds, a food forest, and permeable pavers. To improve students’ engagement with GSI, our project will also incorporate educational signage, the development and implementation of both hands-on watershed-focused and nutrition-oriented curricula, and a mural created by the school’s students depicting the role of water in urban sustainability and resilience.

The school had to pay $13,000 every year in stormwater fees. After redesigning, the school will save $10,560/yr

Total Investment: $120,166

Net Present Value: $131, 698 Investment Return: 8.798 %

Mentor: John Miller
GOALS 1. Improved Water Quality 2. Resilience and Adaptation 3. Community Gathering Space 4. Equitable Access to Healthy Produce 5. Environmental Justice 6. Student Engagement
STEM Education 02
7.

Reduction in Overall Impervious Area: 20,020 sq. ft

Reduction in Directly connected impervious area: 12,455 sq. ft

Percentage increase in CO2 Sequestered (lbs CO2/yr): 873%

Area of Protected/restored native species: 25,675 sq. ft

Annual Groundwater recharge: 29,339 gallons

Roof Area Shaded by Vegetation: 15, 500 sq ft.

Green Spaces Signage Surface Run-Off Rainwater Garden Detail A Detail A Proposed Existing

Urban Design

THE CAP

A CONNECTIVE PATHWAY FOR BRIDGING AND CAPPING THE PIECES AND COMMUNITIES BACK TOGETHER

New York, NY, USA May. 2019

Group Work with Zipping Zheng LARP 602

The concept of Tri-boro line was introduced by RPA as the infrastructure investment that directly links the the east borough with the Manhattan-centric subway system. Based on the study of the Tri-boro line, the studio elaborates the dirct impacts of this potential on the neighborhood adjacant to the propsed station stops.

The selected site is in Queens, New York City. It Lies next to St. Michael Cemetery and close to La Guardia Airport and M, R Train Northern Blvd Station. Because of its location within the regional context, our site has great potential to be developed in the future which provide new housing, new working space, new business, and new connections through Tri-Boro line and subway.

Mentor: Nicholas Pevzner

This is a sustainable urban design project that emphasize on greater mobulity, better access to jobs, and opportunities for transit oriented development.

It reconnects the isolated districts and establishes a continues network of public realm and amenities and change it into a destination for both New York city and surrounding neighborhood.

03
G and Cen ral Parkway ack He gh Ja so He Triboro Lin e B o kl yn Q u e s E x pre sway Brookyn Quee s Exp essw y E po N n E e o S on To GA P se 8 L e S a (T LGA Proposed riboro Station Ditmars Steinway Jackson Height St. Michael Playground St. Michael Cemetery Ditmars Steinway Jackson Height Grand Centra Parkway T iboro Line Brookl y Que n E p es w y P ose N n E en on S n G P op d n (T G Proposed riboro Station St. Michael Cemetery G and Cen ral Parkway Tribo o Lin e Brook yn Q eens E x pr ssway Prop se N Trai Ex n on ToLGA P ed 8 L e S o (To LGA St. Michael Cemetery Bridging Park Capping BQ Propose Triboro Statio Grand Central Parkway ackson He gh ackso He gh Asto Woodside Tribo o Line B ooklyn Queen E x p essway Brooklyn Que ns Exp es way E Propos N T a xt ns at LGA) P oposed in ta on To LG P o ed 8 S o (To LGA Proposed riboro Station Astori Woodside Ditmars Steinway Heights St. Michael Playground St. Michael Cemetery Core Area District Commercial District Industrial District Core Area Event Space Community Green Space Residential Development Residential Development Capping Park Core Area Station Plaza Triboro Station Platform Station Mixed Use Building Public Building New Cemetery Gateway Bridging Park Mixed Use Industria Auto Industry Cluster Mixed Use Commercial District Outdoor Market and Cultural Center Mixed Use Commercia Multi-Use Manufacturing l l Grand Central Parkway BQE St. Michael Cemetery TriboromunityExhibitio B r okl y Q n E p Triboro Line New Gateway Cemeter Woodsid Ditmars Steinway Jackson Height St. Michael Playground St. Michael Cemeter Grand Central Parkway B ooklyn Queens Exp essway E P op ed N T a n Ex en on S on To GA P o e 8 L e S a (To LGA Proposed riboro Statio Grand Cen ral Pa kway J H gh ac so H ht Tribo o Line Bro kl yn Quee s E x pre sway BrooklynQu ens Expressway E P op d N T E e on S n LGA po ne S a G Proposed riboro Station Astori Woodside Ditmars Steinway Height St. Michael Playground St. Michael Cemetery Capping Connection Bridging connection Core Area connection Capping connection Path connection Capping and Bridging Expand Open space Step by Step Development Overall Axon Office Mixed Use Commercial New Cemetery Gateway Outdoor Market Mixed Use Commercial Gallery Mixed Use Industrial Bridging park Multi-Use Manufacturing Mixed Use Commercial Public Building Core Area Event Space Core Area Station PLaza Office-Gallery Station Mixed-Use Building Library Community Services Residential Development Capping Park Residential Development Comunity Services

Grand Central Parkway Capping Park - Mixed Use Residential District Development

Mixed Use Development on top of BQE Capping - New Gateway of St.Michael Cemetery

Bridging Park - Auto Industry Cluster - Mixed Use De

velopment - Commercial District

Cap park connecting isolated neighborhoods by highway.

Plaza Daily use

Cap park creating central public ralm in middle at the heart of the walking system at top of the highway

Bridge park over haighway connecting neighborhoods

Plaza Event Time

-
Section A-A Grand Centra Pa kw y odside Trib r L n l y Q E r w B o ky Q e n Exp r s wa E P Sa To GA P d G Proposed riboro Statio Playground St. Michael Cemetery Grand Centra Pa kway Proposed riboro Station Proposed riboro Station G nd Centra Pa kw y T ibo Lin B r k y Q e p s y B o ky Qu n Ex s w E p N in To GA To GA Playground St. Michael Cemetery G nd Cen a P kw y T b L B k y Q e E r B o ky Qu e E p e s y N To Proposed riboro Statio St. Michael Cemetery

Central Public Realm and different activity

Typology of Open Space
flexible open space for big events flexible open space for big events seating area dedicated bike lane continues pathwalk corridor toward the cemetary station big plaza mix-use station buiding briding park over the highway corridor +green area corridor+entrance Outdoor seating area stairs+seating area

Year 1

Remove solid pavement; excavate wetland; refill peatland; build solid riverbank sow grass and legume sow forest (too small in the begining)

Year 5

Mature wetland; mature peatland; mature grassland; half matured forest to clean air pollution

Year 15

Expanded wetland; richer peatland; shrunk grassland with trees

GREEN X BLUE REDEFINERY

Philadelphia Energy Solutions’ Refinery Complex Competition Philadelphia, PA Dec.2020 Team work

Given the 1300-acre Philadelphia Energy Solutions (PES) Refinery site located along the Schuylkill River in southwest Philadelphia, we reinvisioned the site as a GreenXBlue hub to bring livability to the city as well as creating resiliency in this highly polluted site.

The design elements are as follows: Preserve Philadelphia’s post-industrial character through industrial-to-park adaptive reuse approach to transfer NIMBY use into public accessible open space, and interactive wetland parks. Enhance community involvement in the planning procedure of post-industrial transition, bring equity and transparency to the public in the nearby neighborhoods.

Establish an urban framework and transportation network to better connect to nearby neighborhoods and enhance inter-neighborhood circulation. Provide building space for value-added industries, manufacturing and logistics that will enhance Philadelphia’s comparative advantages, boost economy and provide job opportunities for refinery workers and other Philadelphia’s essential workers.

04
Hardscape Accessibility Open Space Cliamte Solutions
Location Economy & Demography Accessibility
Health
Resiliency

Urban Design

THE FARMTOWN IN CITY

BUILD DYNAMIC, HOLISTIC SYSTEMS OF GREEN

SPACES AND CREATE A DEEP BOND BETWEEN THE PLACE AND COMMUNITY

San Jose, CA, USA

May. 2020

Individual Work

LARP 702

Mentor:

Marcel Wilson

Ryan Buckley

Katy Martin

Historically known as the valley of Heart Deligent, San Jose produced a significant amount of fruits and vegetables for nearly two centries until 1960s. The emergence of tech companies accelerated the urbanization and contributed to the rapid decrease of farmlands. Today, City of San Jose is faced with many social and envirnmental problems that came along with rapid urbanization, such as food insecurity, lack of public open spaces and homeless issues. The proposal transforms the 238-acer neglected green space into a vibrant urban park through promoting a wide range of recreataional and agicultural activitesin the park. The proposal includes a framework to revitalize the neighborhood and enhance the connection between the park and its surrounding neighborhoods. The new park circulation is defined to make a continiues connection among the three main activity zones in the park as well as connection with the city.

05
StocktonAve AutumnPkwy GuadalupePkwy NimitzFwy State Route 87 Downtown San Jose Google Village SITE Guadalupe River Center for Employment Career center Training- CET San Jose LMG HealthCare Santa Clara University LEGEND Job Center Supermarket Grocery Employment Development Dapartment San Jose ngS Regional Context Analysis Socio-Economic Background Employment by occupation Santa Clara county -$126.606 Sunnyvale - $124.696 San Jose - $113.036 California - $75.277 San Jose , California the 6th most diverse city in the U.S. Median Income Income per capita 20% 15% 10% 5% 0 120000 100000 80000 60000 40000 20000 0 5.8% 5.4% 5.0% 4.6% 4.2% Poverty level San Jose California Santa Clara Santa Clara U.S. unemployment rate median HH income median income owner median income renter computer 8.3% Retail trade 8.7% Office Administrative 9.9% Management 11.3% Scientific 15.2% white Black Indian Asian Hispanic Pacific Healthcare 12% Manufacturing 16% Others 20.6% Poverty Rate: 10% mix-use station buiding population : 1 0 M3 Population growth.2035 Sheltered Population Bay Area: Homelessness rate: Agriculture Trend .2015 Unsheltered Population 19% 27% 37 Before the arrival of computers and information technology, San Jose hada200-yearhistory of prosperous agricultural output. Much of the land today has been transferred to urban footprint, though it is the most productive and high-quality land for food production. 22% 18% 11% 82% employment population growth median Age

Zones

Development

Elevated Pathway

2 4 6 8 10 12 14 16 18 20 22 24 Entrance Plaza RECREATIONAL OPEN SPACE FOOD PRODUCTION EDUCATION RETAIL DEVELOPMENT Amphitheater Playground Shading seating Sport field Solar Farm MarshLand picnic area Seedling factory Orchard Farmland River Ecology Planting Activites Fresh market Cafe Farm to Table Office Housing Tourism/ Art Outdoor classrooms Innovation center Community garden
Axonmetric Rendering Framework
Activity Timeline
playground art plaza shading seating river ecology farmland playground seedling factory sport field entrance plaza community amphitheater solar farm marshland picnic area Cultural Zone Agro- Zone Social Zone

Creating different quality of space in the park for different groups of users from daily office workers to family and young childrens to have fit their needs in different time

Entrance Plaza View Riverside View Multi-Purpose Amphitheater View Native Vegetated Mounds Dedicated Boarwalk Vegetated Terraced Riverside purifying Plants Along the River

Professional experience

VANDERBILT RESIDENTIAL COMPLEX

PROFESSIONAL EXPERIENCE IN JULIA WAT-

SO LLC

NewYork City, NY

May.2021

Individual work

During my experience in Julia Watson LLC, I had the chance to practice collaborative work in real context and become skillful and experienced enough to prioritize and manage design and research projects with proficiency. Venderbilt project is a residential complex which a wide range of variety in landscape naming as Rood terraces, Courtyards, Circulation gardens... We collaborated with architecs to design the most suitable landscape for the places. I worked on preparing detailed sections introcing ecotones, plant species and quality of spaces and then prepared rendering in Rhino and Vary for some areas. In Julia Watson studio, I had the chance to research and work with Julia Watson, a leading expert of Lo—TEK nature-based technologies for climate-resilience, to develop creative and conceptual, interdisciplinary thinking to urban projects and corporate clients interested in systemic and sustainable change.

06
X axis Z axis Yaxis Z axis X axis Yaxis Xaxis Z axis Yaxis X axis Z axis Yaxis Z axis Yaxis Xaxis X axis Z axis Yaxis

Philadelphia, PA

BRIDESBURG PARK

ADVANCED CONSTRUCTION DETAIL

Dec.2019

Team work

The riverfront community park located in Philadelphia has been selected to practice design and provide construction detail for implementaion over the course adavanced workshop. The main points are as follows: Work on technical aspects of site design, with an emphasis on site grading, site engineering, and landscape performance. Functional consideration related to landscape and associated systems were explored as vital and integral components of landscape design, from concept to execution.

07
Workshop
Layut Plan Material Plan Planting Plan

Grading Plan

Planting Plan

Enlargement Planting Plan

Material Plan

Planter Section Scale 3/4” = 1’ Plarking Lot Section Scale 3/16” = 1’ Enlargement Enlargement

Turn static files into dynamic content formats.

Create a flipbook
Issuu converts static files into: digital portfolios, online yearbooks, online catalogs, digital photo albums and more. Sign up and create your flipbook.