portfolio. 2020-2025
harshitha n kumar.

![]()
harshitha n kumar.

I hope you found it as fascinating to flip through this portfolio as I found to create it.
Hi! I am Harshitha N Kumar, a student of the School of Planning and Architecture, Vijayawada. While my college provided me with the formal education of an architect, the true learning began when I stepped into Sangath, architect B.V. Doshi sir’s office. Though I never actually got to meet sir in person, his philosophy about life and buildings continues to live on through the impact he has had on the thought process of the lucky architects he has influenced, directly or indirectly. His work is not just about structures but about the stories they create, the interactions they foster, and the way they seamlessly integrate with the rhythm of life.
One of sir’s philosophies that I have always attempted to incorporate into my designs is his belief that the purpose of architecture is to create “accidental conversations” between people. He saw architecture as more than just walls and spaces—it is a medium that choreographs movement, nudging people into encounters that would otherwise never happen. The way pathways intertwine, the placement of a staircase, or even the subtle curve of a corridor can transform how people interact with a space and with each other. The built environment, when designed with this intent, becomes an enabler of new relationships, ideas, and opportunities.
Architecture that evolves from just one such philosophy can bring so much more life into the built habitat. It shifts from being a static entity to a dynamic framework that grows, adapts, and breathes with its users. As I progressed in my academic and professional journey, I found myself drawn to the intersections between computational design, human experience, and spatial storytelling. This portfolio is an exploration of these ideas and the many philosophies I encountered during my internship at Sangath. It represents my pursuit of an architecture that is both intentional and serendipitous—a balance between structured design and the unpredictable beauty of human interaction.

Education
Bachelors in Architecture (Full-time)
School of Planning and Architecture, Vijayawada 2020 - present
1st and 2nd P.U.C
RV Pre-University College, Bengaluru
2018 - 2020
LKG - 10th Grade
Jyothy Kendriya Vidyalaya, Bengaluru 2006 - 2018
Academic Projects
Architecture Internship Sangath | Ahmedabad May-Nov 2023
Unit Designee, NASA, 2021
Unit Secretary, NASA, India 2022-23
Software Knowledge
Drafting
Modelling
AutoCad, Archicad
Archicad Revit Grasshopper Sketchup
Visualisation
Presentation
Urban Design | Secunderabad Junction Restructuring Semester IX
Thesis | Adaptive Reuse of Mukesh Mills (ongoing) Semester X 2023
Housing Studio | NID Raipur Semester VIII
Professional Practice | Sanagath, Ahmedabad Semester VII
Mixed-Use | Chennai Semester VI
2022
Redesign of Municipal Corporation Semester V Urban Documentation and Study Semester IV
Working Dawing Semester V Rural Documentation Semester IV Rural Design Semester IV | Vijayawada | Vijayawada | Residance Design | Kolavennu | Kolavennu
Twinmotion Enscape Lumion
Photoshop Illustrator Indesign
Competitions and Achievements
2021 - 2025 Award for academic excellence
2021 - 2022
ANDC Trophy (65th Year)| Chennai
NASA Interiors for Residences| Italy
Archdias
Industrial Design Trophy
NASA
2020-2021
ANDC Trophy (64th Year) | Delhi
NASA
Cafe Interiors Design | Mangluru
Arch Dias
LIK Trophy | Rishikesh
scan for computational design portfolio.
scan for product design sheets.
Special Mention
NASA Top 100 3rd place

scan for pre-internship portfolio.
scan for internship portfolio.



The project is set in Naya Raipur, Chhattisgarh, a newly developing town with sparse urbanization. The flat terrain posed design challenges, which were addressed through a series of cut-and-fill operations, resulting in dynamic landscape features.
While the studio required detailed site drawings, the project primarily focused on housing. As part of the Semester VIII housing studio, we individually designed the site plan and housing details for the anticipated occupants of the upcoming NID Raipur campus. Although eight buildings were designed, this discussion will focus on one due to space constraints.


raipur, chhattisgarh
The site is located in Naya Raipur, Chhattisgarh, a newly developing town with sparse urbanization.
scan for site study sheets.








Sangath has taken up the design and construction of the new architecture block of Ananth National University, Ahmedabad. I had the opportunity to be involved earlier in the
As part of the Semester VIII housing studio, we individually designed the site plan and housing details for the anticipated occupants of the upcoming NID Raipur campus. Though eight buildings were designed, I will only show details of one building due to space constraints of the portfolio.



a perspective section.






Practice
Established in 1955, Vastu Shilpa Sangath is one of the leading consultancy firm in the country dealing with the interdeciplinary feilds of Architecture, Planning and Urban Design.
Each project delves into novel conceptual ideologies, emerging technologies, and distinctive construction methodologies, challenging the conventional norms that currently characterize contemporary architecture. Sangath places emphasis on crafting experiences rather than mere structures. The aim is to design architecture adaptable to evolving cultural and societal needs which enriches the space’s potential while maintaining a holistic vision. Established in 1955, Vastu Shilpa Sangath is one of the leading consultancy firm in the country dealing with the interdeciplinary 15 May - 24 Nov, 2023
Sangath places emphasis on crafting experiences rather than mere structures. The aim is to design architecture adaptable to evolving cultural and societal needs which enriches the space’s potential while maintaining a holistic vision.


working with the team.
Sangath recognises itself as a place where passion meets architecture. As much as we try to maintain the balance between life and work, work pressures often lead to late nights and long working hours that are often spent in joy and laughter.
Team SNS consists of a very smart group of people taking up heavy responsibilities, responsible for the seamless execution of the Shiv Nadar School, Chennai. It is this group of people that led me to believe in the phrase ‘Teamwork is dreamwork’. I arrived as a clueless intern, but by the end of my internship I had learnt enough to be able to take up big and small responsibilities and I have Team Sangath to thank for that.

Sangath has taken up the design and construction of the new innovation department at FLAME university in Pune (also designed by the same office). I was involved in the design and development of the said project:


Conceptual sketches; source: author


Conceptual sketches; source: author


Conceptual models; source: author
schematic floor plans.






Schematic renders; source: author
Learing to produce these schematic floor plans wea a challenge considering my limited knowledge of the software Archicad at that time.





Conceptual models; source: author
This wall section detail shows the fixing details of the windows to the wall as well as the canopy of the parasol above the classrooms.
As one may have guessed, the parasol is the focal element of this design.
Sangath has taken up the design and construction of Shiv Nadar School, Chennai. I had the opportunity to be involved in the preparation of a few construction drawings for the Primary Block of the school. Learning from the roadblocks met during the construction of the Pre-primary block, we had the opportunity to make corrections and further perfect the Primary Block drawings.
detailing through rendering.




Elevation detailing of Ananth National University, Ahmedabad. While I was not involved in the design stage, I was involved to produce presentation drawings.


The studio documented and restructured the Secunderabad Junction precinct. While documentation was a 100-person group effort, design was individual. The site, outside Secunderabad Railway Station, required not just aesthetic improvements but also pedestrian connections and bus route restructuring.
As we can see from the above diagram, we have 6 Transportation nodes, i.e., Secunderabad West Metro Station, Secunderabad East Metro Station, Secunderabad Bus Station 1, Secunderabad Bus Station 2, Ratafile Bus Stand and Secunderabad Railway Station within a distance of 1.3km.
With consideration to this Studio’s theme of “Climate Resilience and Green Mobility”, the overall concept plan is to develop a string of urban open spaces that not only provides efficient pedestrian connectivity to the 6 transportation nodes in Railway Station Precinct, but also gives due consideration to other aspects of the brief:
1. The Pedestrian connectivity between these nodes is not very pedestrian friendly and convenient for walking.
2. There are 3 major bus stands within 500m walking distance and the one in front of Secunderabad Railway Station causes traffic congestion and traffic choking points in that area objectives.
1. Decongestion of traffic at the entrance and exits of Secunderabad Railway Station 2. Restructuring of bus stand location, size and bus routes for improving movement efficiency
3. Creation of quality urban open spaces to break the pattern of urban sprawl in the immediate precinct
4. Improvement of Imagebility in the area just outside of railway station to improve the first impression of the city.









landmarks | focal points
“Landmarks are point references considered to be external to the observer.”
The structure serves as both a landmark and a water tank.
nodes | entry points
“Nodes are points, strategic spots in a city into which an observer can enter.”
This node structure abstracts a traditional arch as a gateway.
“Paths are the channels along which the observer customarily, occasionally, or potentially moves.”
The shaded primary path provides protection from sun and rain.
districts | defined by the paths
“Districts are the medium-to-large sections of the city, conceived of as having two-dimensional extent, which the observer mentally enters ‘inside of.’”
Concept diagrams show functional zoning into distinct districts.
“Edges are the linear elements not used or considered as paths by the observer.”
The road-footpath edge is crucial as key activities occur here, detailed in 3D visuals.







designing a coastal coartyard style cafe.


The courtyard space was the seat of all activity within the household and thus has great significance.The courtyard here has lily pond at its center to add to the aesthetics.
The old Mangaluru courtyard style is derived by subtracting a courtyard volume from the main mass.















Cafe Malgudi is a cafe designed on a beach in Mangluru - a coastal town of North Karnataka. It is not just a cafe - the building itself is a museum showcasing the rich traditional architecture practices of the North Karnataka region.
The sea-facing side has been optimised to provide the users a breath-taking view of the sea while the interiors have been crafted with timber framed roofs, carved timber columns and red oxide flooring which along with the delicious food enhances the ‘Uttra Kannada’ experience.














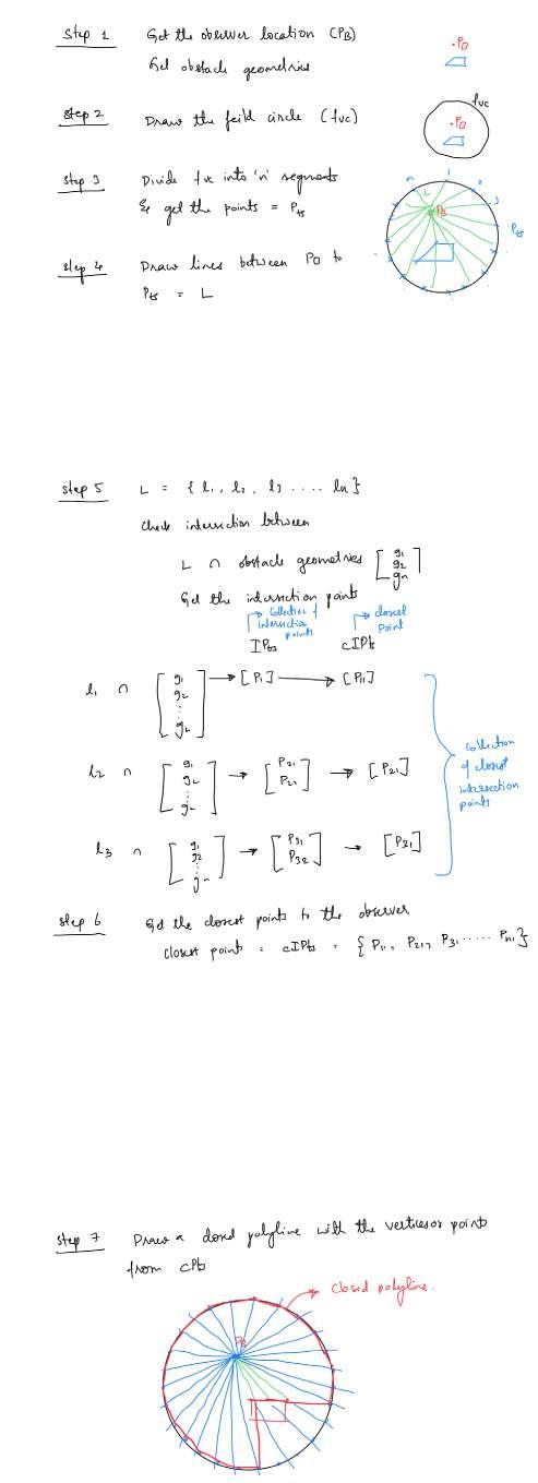
Aim : To calculate the percentage of visibility that is reduces by placeing obstacles surrounding the field of view




Aim : To analyze our semester design with respect to visibility from any average point on the site












The Labyrinth is a very challenging mirror maze that has only one right path forward. Every path leads to a large hexagonal room with six doors; while five of these doors lead the paticipant back into the maze only one leads him outside; the only catch is that all the doors are identical and the room is very symmetrical thus confusing the participant.

8762749811