Field assessment of plasma concentrations of doxycycline during colibacillosis treatment
Variability and implications, compared to
J. Wiegel1, P. Meijer1, R. Gehring2
1 Royal GD, Deventer, the Netherlands;
laboratory conditions
2 Department of Population Health Sciences, Faculty of Veterinary Medicine, Utrecht University, Utrecht, the Netherlands



A field study was conducted on two different farms to evaluate plasma concentrations of doxycycline in broilers treated with doxycycline hyclate via drinking water during a colibacillosis outbreak. Previous research suggested that doxycycline plasma concentrations (Concplasma) might be lower than expected, potentially resulting in reduced effectiveness. This study aimed to compare average Concplasma and the between-individual variability (BIV) in flocks with those observed under controlled conditions.
Materials and methods
Two flocks of 35-day-old broilers were sampled during one light period on the second day of treatment. Blood samples were collected from 26 birds at four and five intervals over periods of five and nine hours, respectively (Table 1). Treatment was according to the Summary of Product Characteristics (SPC) (25 mg/kg BW dose). Total Concplasma were determined by LCMSMS. Statistical analysis was performed in STATA 17, Levene’s robust test statistic (W0) was used to determine variation between sampling moments.
Results
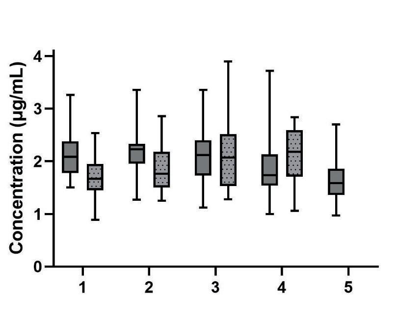
Average Concplasma over all sampling moments were 1.98 and 1.96 µg/mL (Table 2 and Figure 1). Findings indicate that concentrations vary between sampling points, with significant differences observed at certain times. The BIV was not significantly different at most sampling points. This field assessment of two flocks agrees well with findings from a laboratory study (data presented in Table 3 and Figure 2). Concentrations found in flocks in the field were higher than detected in the laboratory study with the same treatment regime and light scheme comparable to flock 1. Test groups kept on bedding are viewed as most comparable to the field situation. In the laboratory study, the variation in concentration between different sampling moments was not significantly different for the test groups kept on bedding (Levene’s robust test statistic (W0) test, p=0.10 and p=0.50). For the test group kept on slats there was a significant variation between the sampling moments (p=0.01).
Conclusion and discussion
The employed methodology proved suitable for monitoring plasma concentrations in broilers during treatment. The temporal profile of blood concentrations is influenced by multiple factors, with the lighting schedule likely being one of them. To obtain an accurate representation, it is crucial to collect sufficient samples distributed throughout the barn. Depending on the objective, it may be necessary to sample at multiple time points during a light cycle. Further investigation is required to

j.wiegel@gdanimalhealth.com www.gdanimalhealth.com
Table 1. Details of sampled flocks, one flock was sampled at farm 1 and one flock at farm 2.
Farm 2
Farm 1
Number of houses 2 3
Flock size of sampled flock 18800
Broiler breed Ross 308
Age at moment of sampling 35 days
Treatment Doxycycline hyclate, 25/kg/day by drinking water. Sampled on second day of treatment.
32220
Ross 308
35 days
Doxycycline hyclate, 25/kg/day by drinking water. Sampled on second day of treatment. Light scheme at sampling 9 hours of continuous light, preceded by 2 hours of darkness.
Sampling scheme 1 = lights on
2 = 2 hours after lights on
3 = 4 hours after lights on 4 = 8 hours after lights on 5 = lights off (9 hours after lights on)
1 Flock 2
1 2.15A (0.48) 1.71A (0.39)
2 2.16A (0.39) 1.81AB (0.40)
3 2.10A (0.46) 2.15B (0.67)
4 1.89A (0.62) 2.16B (0.49)
5 1.62B (0.41) n.a. Overall 1.98 (0.51) 1.96 (0.53)
A, AB, B Statistically significant differences based on linear regression.


5 hours of continuous light, preceded by 1 hour of darkness.
1 = lights
determine if the AUC/MIC target for effective treatment is achieved. The study found that average Concplasma were lower than expected according to SPC (steady state concentrations of 2.05 ± 0.47 µg/mL), although some values exceeded the specified range of 1.28 and 2.18 µg/mL. The highest detected concentration was 3.90 µg/mL. Percentage of concentrations below SPC range was 7.7 for flock 1 and 3.9 for flock 2, percentage above SPC range was 33.1 and 31.1 respectively. Additional research is needed to understand the impact of Concplasma on
A, AB, B Statistically significant differences based on Levene’s robust test statistic (W0) test.


residues after the withdrawal period. Blood testing at the end of treatment could aid in estimating tissue concentrations and the risk of residues at slaughter, with computer models potentially predicting appropriate withdrawal periods.
Acknowledgements
This research was funded by the Dutch poultry sector represented by AVINED. Sampling was done in collaboration with Veterinair Centrum Someren and AdVee Dierenartsen.
