Skip to main content

Florida Water Resources Journal - February 2022

Page 1


Editor’s Office and Advertiser Information:

Florida Water Resources Journal

1402 Emerald Lakes Drive

Clermont, FL 34711

Phone: 352-241-6006

Email: Editorial, editor@fwrj.com

Display and Classified Advertising, ads@fwrj.com

Business Office: 1402 Emerald Lakes Drive, Clermont, FL 34711 Web: http://www.fwrj.com

General Manager: Michael Delaney

Editor: Rick Harmon

Graphic Design Manager: Patrick Delaney

Mailing Coordinator: Buena Vista Publishing

Published by BUENA VISTA PUBLISHING for Florida Water Resources Journal, Inc.

President: Richard Anderson (FSAWWA) Peace River/Manasota Regional Water Supply Authority

Vice President: Jamey Wallace (FWEA) Jacobs

Treasurer: Rim Bishop (FWPCOA) Seacoast Utility Authority

Secretary: Mish Clark Mish Agency

Moving?

The Post Office will not forward your magazine. Do not count on getting the Journal unless you notify us directly of address changes by the 15th of the month preceding the month of issue. Please do not telephone address changes. Email changes to changes@fwrj.com or mail to Florida Water Resources Journal, 1402 Emerald Lakes Drive, Clermont, FL 34711

Membership Questions

FSAWWA: Casey Cumiskey – 407-979-4806 or fsawwa.casey@gmail.com

FWEA: Karen Wallace, Executive Manager – 407-574-3318

FWPCOA: Darin Bishop – 561-840-0340

Training Questions

FSAWWA: Donna Metherall – 407-979-4805 or fsawwa.donna@gmail.com

FWPCOA: Shirley Reaves – 321-383-9690

For Other Information

DEP Operator Certification: Ron McCulley – 850-245-7500

FSAWWA: Peggy Guingona – 407-979-4820

Florida Water Resources Conference: 407-363-7751

FWPCOA Operators Helping Operators: John Lang – 772-559-0722, e-mail – oho@fwpcoa.org

FWEA: Karen Wallace, Executive Manager – 407-574-3318

Websites

Florida Water Resources Journal: www.fwrj.com

FWPCOA: www.fwpcoa.org

FSAWWA: www.fsawwa.org

FWEA: www.fwea.org and www.fweauc.org

Florida Water Resources Conference: www.fwrc.org

2021 FSAWWA FALL CONFERENCE RECAP

News and Features

FWEA Focus—Ronald R. Cavalieri

C Factor—Patrick “Murf” Murphy

Reader Profile—Dakota Millican

FSAWWA Speaking Out—Emilie Moore 58 Let’s Talk Safety: Message to Self: Distracted Driving Is Dangerous

60 Test Yourself—Donna Kaluzniak

62 FWEA Chapter Corner: FWEA Wastewater Process Fall 2021 Seminar: The Future is NOW!—Maraida Balaguer-Barbosa

Technical Articles

Control Inhibitors—Paula Campesino and Steven J. Duranceau

Challenges and Solutions to Developing Alternative Water Supplies in Central Florida: Polk Regional Water Cooperative Experiences—Robert G. Maliva, Scott Manahan, Mary Thomas, Stephen James, and Ryan Taylor

Education and Training

Departments

75 Classifieds 78 Display Advertiser Index

Patrick Murphy Elected as FWPCOA President for 2022

Patrick “Murf” Murphy was elected president of FWPCOA for 2022 at the association’s October 2021 board of directors meeting.

Murphy has been an active member of FWPCOA since 1985, serving first in Region X under the mentorship of Katie Kinloch, a past president. She got him involved with the association as a secondary instructor for the C wastewater residence course at Polk Community College for seven years and as a consultant for the pre- and post-exam review committee for the Florida Department of Environmental Protection (FDEP) for five years. He covered Katie’s longstanding role as secretary-treasurer for Region X during her presidency and state-level involvement.

After becoming employed with Plant City in 2003, his membership was changed to Region XII, and Murphy served as chair in 2013 and 2014, vice chair in 2015, and then chair again in 2016 and 2017, attending numerous state board meetings as Region XII’s director substitute.

He is very proud of his membership in FWPCOA, which has been a key factor in his professional development. The dedication of so many operators within the association’s membership has been an amazing thing for him to witness. Membership provides fantastic networking opportunities and advances the professional status of the water and wastewater industry’s operators and their disciplines. The association is growing with its members in mind!

Murphy was born and raised in Winter Haven (in Polk County), growing up around the Chain of Lakes and doing a lot of fishing. The purpose of FWPCOA to protect the health of the citizens and preserve the natural resources of Florida rings louder than ever with him, having seen the changes in lake quality over the years.

Like most operators who are working in the industry, this was not Murphy’s first choice as a profession. It could have been, as he had the choice of starting as an operator trainee for the City of Winter Haven or working at a chemical plant in Bartow—both positions had a starting pay in 1977 of $4.17 an hour. He chose the chemical plant because he knew a mechanic who worked there. His father had worked in the mines for years and suggested that the pay would increase significantly

through promotions (if he didn’t get killed in the process), and his pop was right!

Very quickly, Murphy advanced from a groundsman (prepping rail cars for loading and other manual labor) to rock unloader, bulk loader, acid loader, and payloader/tractmobile operator, then finally to ammonia and sulfur unloader, which was in the top tier in the shipping department, in less than three years. He then moved to the uranium recovery facility onsite for three years, moving up the ranks there also, until the first layoff the company ever had. He was brought back from what turned out to be a short layoff and spent the next two years as a maintenance mechanic and welder, with most of that time in the sulfuric acid department. Then a second layoff occurred, estimated to last nine months, which prompted Murphy to look for a new job. What popped up was an operator trainee position at Winter Haven—eight years later and still paying $4.17 an hour! So, it’s been a long tradition in the industry to have some of the lowest starting pay.

An important issue to Murphy is that utility workers aren’t considered first responders. They act like first responders when an emergency occurs, but don’t get the recognition of essential personnel compared to the other groups that are categorized as such. “The water industry must also get more of its newer members to become involved with FWPCOA, with the same dedication as some of the older members who don’t almost faint at the mention of volunteering for extracurricular activities with the association,” says Murphy. “It would help to get utility managers to see that FWPCOA membership, training, and involvement are beneficial to their employees, their company, and the industry.”

Murphy is currently working as chief plant operator for the City of Plant City operating the 10-million-gallon-per-day (mgd) water reclamation facility and four water plants. Prior to Plant City, he was the chief plant operator for the City of Lakeland supervising 10 licensed employees and operating a 13.7-mgd wastewater treatment facility for 14 years, with a total of 16 years at Lakeland. Before that, he worked at the City of Winter Haven for two years at its wastewater plants 2 and 3.

The City of Plant City requires all operators to become dual-certified, so as quickly as the timeline would allow for certification, Murphy worked on getting his water licenses. He now holds an A water license and the wastewater license that he came to Plant City with. He has been with Plant City for 18 years.

Murphy states, “I have nominated more than 100 people for FWPCOA awards over the years. I deeply believe that this is the number one way of shedding light on our work. Sometimes a person doesn’t get selected right away, so don’t stop nominating folks. There are so many people in our industry who deserve the recognition, but we can’t stop there. Get the word out on other venues, take it to your commission meetings and local newspapers, and build up our industry in the eyes of the public. We have good news to tell, so don’t let the negative news overwhelm us. By no means does this mean neglecting FWPCOA’s ‘Florida Water Professionals Month’ proclamation.”

Murphy has high hopes for the association’s growth. There has been so much recent work done by so many of the current members, such as the library of training courses being established, a new promotional video for FWPCOA soon to be released, and some succession planning that seems to be working well.

He notes that local and federal regulations are pouring down, and it’s just going to get tougher to implement them. New skill sets (and old ones that might need dusting off), new technologies, and a new generation of operators (though some of them will never know what it’s like to rake a drying bed or operate a trickling filter plant) will be bringing essential skills and enthusiasm to the table.

Says Murphy, “This is FWPCOA—the members are the doers! There are roughly 15,000 licensed drinking water/wastewater/distribution system operators in Florida, and the FWPCOA membership of around 5,400 surely will increase in the coming years to help advance the excellence of the industry.”

New Research Shows Most Americans Unaware of Their Daily Water Consumption

According to new research conducted by global research agency Opinium on behalf of American Water, Americans underestimate the amount of water they use daily by 90 percent.

Most Americans believe they use less than 100 gallons of water each day, when the actual number is more than 2,000 gallons on average, according to the Water Footprint Network. This figure considers the water consumed by individuals directly (e.g., dishwashing or watering the lawn) and indirectly (e.g., the water required to produce food and manufacture various consumer items). With the majority of Americans underestimating their own personal water usage, the study also found a lack of awareness for water consumption in other areas of their lives as well.

The survey asked a nationally representative sample of more than 2,000 adults in the United States to reflect on their daily water consumption and how much water is required to produce many common items that are consumed daily. The findings revealed that—regardless of gender, socioeconomic background, homeownership, or age— Americans are largely unaware of just how large their water footprint is and the variety of ways water impacts their everyday lives.

Survey Shows More Education is Needed

“We all know water is a vital part of our daily lives for drinking and basic hygiene, but we often don’t consider the water needed to produce the foods we eat or even the clothes we wear,” said Dr. Lauren Weinrich, principal scientist for water research and development at American Water. “As part of our commitment to provide clean, safe, and reliable drinking water for our customers, it’s important to raise public awareness of the true value of water. During the yearly Imagine a Day Without Water event, we want to help educate our customers on the importance of water, but also give them ways they can participate in the efforts to support water efficiency and conservation.”

Imagine a Day Without Water is an education campaign held every fall that brings together diverse stakeholders to highlight how water is essential, invaluable, and in need of investment. It includes events, resolutions, student contests, social media engagement, and more, all across the U.S.

The Opinium study revealed various underestimations by Americans of water consumption for products they likely use every day.

S Almost 90 million Americans believe it takes no water at all to make a pair of jeans. In

reality, a new pair of jeans requires around 2,600 gallons to make.

S It takes 713 gallons of water to make a new cotton t-shirt to pair with those jeans. Americans believe it takes just 136 gallons.

S Americans believe it takes 158 gallons of water to produce a smartphone, but the actual amount is more than 3,400 gallons.

Americans just enjoyed last fall’s many holiday events—like gathering around the table for family dinners. Most people, however, aren’t aware of just how much water goes into producing their favorite foods. Americans drastically underestimate the water needed to make them.

S One 16-pound holiday turkey takes 4,688 gallons versus an estimated 158 gallons.

S A pecan pie takes 1,068 gallons versus the estimated 135 gallons and a pumpkin pie takes 458 gallons versus the estimated 135 gallons.

S The traditional green bean casserole—with fried onions on top—takes 547 gallons of water to hit the holiday dinner table versus the estimated 116 gallons.

Conservation Tips

The study also showed that nine out of 10 Americans are likely to try at least one new habit

Continued on page 8

Generate Revenue with Raptor ® Septage Acceptance Plants

Grow your septage, FOG, and sludge receiving business with a Raptor Septage Acceptance or Complete Plant.

REPRESENTED LOCALLY BY:

Trippensee Shaw, Inc.

Eustis and Sebring, FL www.TrippenseeShaw.com T. 863.382.2101

Florida Panhandle Only T: 205.424.7570 www.eshelmancompany.com

NOT YOUR ORDINARY RECEIVING SYSTEM

Raptor Septage Acceptance Plant

Removes debris and inorganic solids from municipal and industrial septage, FOG, and sludge. This heavy-duty machine incorporates the Raptor Fine Screen for screening, dewatering and compaction. Accessories include security access and automated accounting systems.

Raptor Septage Complete Plant

With the addition of aerated grit removal, the Septage Acceptance Plant is offered as the Raptor Septage Complete Plant.

Continued from page 7

to conserve water. American Water recommends some simple ways to reduce America’s water footprint.

Take Shorter Showers

The report found 56 percent of Americans are likely to try to incorporate shortening their showers to the length of two songs, but only 8 percent currently do it. An easy way to keep track can be listening to music while washing and finishing by the time two songs are complete.

Turn Off the Tap

The most-common, wasteful activity Americans do is leave the faucet on while brushing their teeth—the report found that one in five do this every day. Assuming people are brushing their teeth twice a day for a minute each time, this would waste 3 gallons of water each day or 1.5 gallons each minute. With 20 percent of U.S. adults doing

this daily, it means around 149.9 million gallons of water are lost every day to this easily changeable task.

Use the Dishwasher Only With a Full Load

Washing dishes by hand can actually be more wasteful if the tap is left running. Simply scraping off the food scraps—instead of rinsing—and loading up the dishwasher before using can save an average of 320 gallons of water per week.

Wash a Full Load of Laundry

Being mindful of laundry habits can help clothes last longer and protect the planet. Sixtyfour percent of Americans are, according to the report, likely to try to incorporate waiting for a full load to do laundry into their daily lifestyle to conserve more water.

Use an Automatic Shut-Off Hose

Because many people leave the hose running

when washing their car at home, it’s one of the most-wasteful water activities. The report found that Americans are doing this on an average of 2.6 times each month, which equates to 2,340 gallons of water lost per person per year. By adding an automatic shut-off nozzle to the end of the hose, it can save up to 5 gallons of water per minute.

Check and Fix Leaks

Leaks around the house make up a significant part of wasted water each year. Test toilets, water gaskets, and pipe fittings regularly.

Watch the Water Bill

The monthly or bimonthly water bill can be a tool to help keep water use down. Try to set a goal for reducing water use and check any progress on the next bill.

Follow Local Watering Restrictions

Implement smart water habits from the start. Use a water-smart irrigation system, pay attention to weather conditions, and take advantage of rain barrels.

Invest in High-Efficiency Appliances and Fixtures

The report found that 64 percent of Americans are likely to try to incorporate installing more ecofriendly appliances into their home to conserve more water, but only 7 percent currently do. Look for Energy Star- and WaterSense-certified models.

Resources

The company created an infographic to depict key findings of the study. For more information on how people can reduce their water footprint, visit https://www.amwater.com/paaw/ water-information/wise-water-use. S

FWEA FOCUS

Direct Potable Reuse Rulemaking Continues

noted in my October 2021 column that Florida's projected potable water demand will increase by more than 15 percent between 2020 and 2040, reaching 7.4 billion gallons daily. This increased demand will have a significant impact on the state’s water utilities to supply the projected demands and has brought about both new legislation and innovative water supply approaches.

The column emphasized the need for a “One Water” approach to water supply planning and recognized that water should not be labeled by its source (stormwater, groundwater, reclaimed water, etc.), but should be managed as simply One Water. An innovative new approach in water supply planning receiving widespread attention is reclaimed water for direct potable reuse.

Water quality also continues to be a high-profile issue in Florida and the focus of legislative and regulatory action. Several environmental bills have been passed by the Legislature, including the Clean Waterways Act (SB 712) in 2020 and the Reclaimed Water Bill (SB 64) in 2021. The Clean Waterways Act addresses several environmental issues, including provisions specifically related to water quality improvement and requirements for Florida Department of Environmental Protection (FDEP) rulemaking.

According to the SB 712 legislation, FDEP was required to initiate rule revisions based on the recommendations of the 2020 report of the Potable Reuse Commission, “Advancing Potable Reuse in Florida: Framework for the Implementation of Potable Reuse in Florida.” The legislation also stated that rules for potable reuse projects must address contaminants of emerging concern and meet or exceed federal and state drinking water quality standards and other applicable water quality standards. Also, as part of the legislation, reclaimed water was deemed a water source for public water supply systems.

Rulemaking Schedule

The FDEP potable reuse rulemaking effort is comprised of a joint effort between the wastewater and drinking water programs and includes revisions to Chapters 62-610, 62600, 62-625, 62-550, and 62-555 of the Florida Administrative Code (F.A.C.) in compliance with the Florida Clean Waterways Act 2020150 Laws of Florida, Section 403.064 Florida Statutes (F.S.).

The FDEP potable reuse rulemaking schedule is as follows:

S Chapter 62-600, F.A.C. – Effective Sept. 27, 2021

S Chapter 62-625, F.A.C. – Effective Sept. 20, 2021

S Chapter 62-610, F.A.C.

• Phase I – Effective Aug. 8, 2021

• Phase II A – Anticipated by end of 2021, indirect potable reuse and aquifer storage and recovery (ASR)

• Phase II B – Anticipated summer 2023

S Chapter 62-550, F.A.C. – Anticipated summer 2023

S Chapter 62-555, F.A.C. – Anticipated summer 2023

FWEA Utility Council Acknowledgment

The FWEA Utility Council (FWEAUC) has been actively engaged with FDEP in the potable reuse rulemaking process. While Phase II of the proposed rule development is not yet complete, the goal of our organization is to continue working with FDEP to address remaining technical concerns and ensure that the new rules facilitate establishment of this alternative water supply in Florida in a manner that protects public health and the environment.

I want to express my sincere appreciation to the members of FWEAUC and the countless hours that have gone into this rulemaking effort, dating back to the Potable Reuse Commission. Having recently participated in FDEP Day on Jan. 7, 2022, it was great to see the level of collaboration among the stakeholders for the implementation of potable reuse in Florida. The mission of FWEAUC is to assist its members in achieving sound public health and environmental goals for the millions of users it serves in an efficient and cost-effective manner. The FWEAUC works for the reduction and elimination of water pollution in Florida and supports the adoption and implementation of effective wastewater legislation, regulations, and policy, primarily at the state and federal level.

References

• Framework for the Implementation of Potable Reuse in Florida, January 2020.

• FDEP. Water Reuse News and Rulemaking Information website. https://floridadep.gov/ water/domestic-wastewater/content/waterreuse-news-rulemaking-information.

• FDEP. Potable Reuse Rulemaking Public Workshop, Jan. 14, 2021. S

City of Altamonte Springs Pure ALTA direct potable reuse demonstration pilot project.

San Antonio, Texas, USA

June 12-15, 2022

Addressing a 10-µg/L Lead Trigger Level for a Blended Water Supply by Evaluating Alternative Corrosion Control Inhibitors

The revised Lead and Copper Rule (LCR) was published in the Federal Register on Jan. 15, 2021, by the U.S. Environmental Protection Agency (EPA) and became effective on Dec. 16, 2021. It is anticipated that utilities will have to be compliant with this new law by Oct. 16, 2024. These revisions have motivated utilities to plan on how to best address these impending changes and determine how to effectively incorporate needed improvements, while managing existing corrosion programs already in place.

The University of Central Florida (UCF), through its department of civil, environmental, and construction engineering, has been performing corrosion control studies for water purveyors across the United States and its territories for over a decade. Recently, UCF was requested by the City of Sarasota Utilities Department (city) to investigate existing corrosion conditions (corrosion rates) of the system and forecast future possible needs if source waters were to change or existing unit operations were modified or replaced.

In this work, the use of precorroded linear polarization resistance (LPR) probes and coupons for conducting accurate and rapid corrosion control inhibitor screening studies is discussed.

A corrosion control testing rack apparatus using two identical parallel flow loops was designed and constructed to house mild steel, ductile iron, lead, and copper coupons used for weight-loss analysis, as well as mild steel, ductile iron, lead solder, and copper electrodes used for LPR analysis. Unlike other studies, coupons and electrodes were precorroded to simulate existing distribution system conditions. The city is interested in understanding its current water quality and the impacts to its distribution system corrosion chemistry, along with how modifications to its treatment process, for improved water quality, may influence corrosion rates.

This article provides an overview of a research project conducted for the city to evaluate the applicability and effectiveness of three blended phosphate chemical-based inhibitor formulations

for the reduction of lead and copper corrosion rates. The corrosion test racks described herein were employed at the city’s facility. Both of these loops were fed by the city’s existing finished water supply, one of which was dosed with 1.6 mg/L of orthophosphate (with a varying polyphosphate dose based on the inhibitor’s ortho:poly ratio), after the initial stabilization period. Poststabilization, corrosion rates of the copper alloy decreased at varying degrees for the three inhibitor products tested.

One of the products resulted in a 60 percent decrease in the copper alloy corrosion rates. The lead/tin solder tested showed no statistically significant decrease or increase in the corrosion rate when exposed to the test condition, as compared to the existing condition. Of interest is the increase in the iron and mild steel alloy corrosion rates when an inhibitor was applied. Corrosion indices, such as the Langelier Saturation Index (LSI) and the Ryznar Stability Index (RI), were calculated for the existing condition, as well as the “future” condition. The “future” condition includes a reduced concentration of sulfate and total dissolved solids, among other parameters, as the city is assessing the feasibility of integrating nanofiltration into its current treatment process for one of its two well fields. A reduction in the amount of elemental sulfur is expected to increase lead corrosion since lead sulfide is insoluble.

Introduction

The corrosivity of a utility’s finished water may impact metals concentrations and water quality changes within its distribution system and at consumer taps. The recent EPA revision of the LCR maintains the current action levels for lead and copper, but introduces a lead trigger level of 10 parts per bil (ppb). The study presented investigates the existing corrosion conditions of the city’s finished water. This study is in response to the upcoming changes to the LCR and may result in the need for improvements and an analysis of how future water quality may affect the corrosion conditions in the distribution system.

Paula Campesino, MS, EI, is a graduate research assistant, and Steven J. Duranceau, Ph.D., P.E., is a professor with the department of civil, environmental, and construction engineering at the University of Central Florida in Orlando.

Regulatory Considerations

The LCR, promulgated by EPA in 1991, has an established action level of 0.015 mg/L for lead and 1.3 mg/L for copper (EPA, 2008). Potable water systems (PWS), must be compliant with the Lead and Copper Rule Revisions (LCRR) by October 2024, and are required to prepare for the following:

a) Lead service line (LSL) inventory by January 2024

b) LSL replacement

c) 5-liter sample draws for homes served by LSLs

d) Sampling at schools and childcare facilities

e) Expansion of public and community awareness and communication programs

With a greater focus on LSL replacement, sampling under these revisions prioritizes those sites served by LSLs (EPA, 2020); note that the city does not have LSLs and therefore (d) and (e) listed above stand out as the focus for the city moving forward. Along with these requirements comes the implementation of a new trigger level of 0.010 mg/L for lead. An exceedance of this concentration would “trigger” the start of corrosion control planning and increased treatment requirements. Corrosion control under the law can be undertaken through water chemistry changes or through the addition of a corrosion inhibitor.

Water Quality Considerations

The corrosion potential of finished waters is correlated to its water quality. A few parameters of importance, including pH, alkalinity, hardness, and disinfectant type (among several others) may affect the extent and type of corrosion present in a PWS distribution system. Of interest

in the work presented herein are the chloride and sulfate concentrations, usually characterized by the chloride-to-sulfate mass ratio (CSMR). It has been shown that a CSMR of less than 0.6 is preferred to reduce the corrosivity of the water in a distribution system and to reduce pitting potential (Edwards & Triantafyllidou, 2007). Changes in treatment, including the further removal of dissolved salts from raw water using membrane processes, such as nanofiltration (NF) or reverse osmosis (RO), can affect the CSMR and contribute to increased corrosion.

Common Corrosion Monitoring Techniques

There are several ways in which a utility may monitor the corrosion rates or the corrosion potential of its finished water. Traditional weightloss methods can be useful and practical for a less sophisticated way of getting insight on a finished water’s corrosivity. These traditional methods have the disadvantage of long wait periods with no immediate results. Pipe loops are also a common way to collect concentration data in a more-realistic setting. A disadvantage in these scenarios is the lack of control of certain parameters, such as temperature and reproducible water characteristics, since they are generally connected to a treatment facility for sufficient flow and pressure (Merkel & Pehkonen, 2006).

In recent times, electrochemical options provide instant feedback as to the current corrosion conditions. This niche of testing includes both electrochemical noise measurements and LPR. This study focuses on the use of LPR measurements to analyze the “instantaneous” corrosion rates of different metal alloys. Along with corrosion rates, the instrument can also measure the pitting index, which represents the ratio between the forward and reverse currents. This can indicate that there is asymmetry between the two electrodes installed and therefore suggests the potential for pitting; however, results of this asymmetry may manifest itself in ways other than pitting (Metal Samples, 2016).

Corrosion Indices

It is common to characterize or predict a water’s corrosion or scaling potential using indices, such as LSI, Calcium Carbonate Precipitation Potential (CCPP), RI, Larson-Skold Ratio (LSR), and more. While the applicability of these indices in real-world corrosion problems has not been completely successful, they will be used to compare different future treatment scenarios and how these changes can help predict corrosion control needs (McNeill & Edwards, 2002).

The LSI is simply a measure of the degree of calcium carbonate saturation (CaCO3) of a water. This index is commonly used in the industry and can inform on the potential of CaCO3 scaling. An LSI of greater than zero is considered to

be a supersaturated solution (with a tendency to precipitate), an LSI of zero indicates this chemistry is in equilibrium, and one below zero indicates an undersaturated solution with the tendency for dissolution (Langelier, 1936). This measure is important in understanding aqueous corrosion chemistry because the formation of a CaCO3 precipitate may help mitigate corrosion by forming a protective coating on pipes.

The CCPP is another measure of how likely CaCO3 will precipitate out of solution. At a CCPP of zero, the solution is at equilibrium; above zero, it is oversaturated, with the CCPP value equivalent to the concentration of precipitant in mg/L, and below zero, it is undersaturated, equivalent to the amount of CaCO3 needed to reach oversaturation in mg/L (Mehl & Johannsen, 2017; Rossum & Merrill, 1983).

The RI is an index used to predict the “aggressiveness” of a water. At values less than 5.5, it is highly likely that scale forms, and beginning around a value of 7, the water is likely to be corrosive; after 8.5 it is considered increasingly aggressive and corrosive (Ryznar, 1944).

The LSR is the ratio between corrosive and inhibitory elements, i.e., the sum of chloride and sulfate versus the carbonate and bicarbonate (Larson & Skold, 1958). An LSR less than 0.8 is considered to be protective and may include film formation; between 0.8 and 1.2, the corrosive elements may hinder natural film formation; and a value greater than 1.2 indicates that corrosion is highly likely (Leitz & Guerra, 2013). The indices described herein, and their equations are summarized in Table 1.

Background

The city is supplied by two water sources, a brackish source and fresh water source, that contribute to its 12-mil-gal-per-day (mgd) maximum capacity. The first source is the Verna Wellfield (Verna), which consists of three separate wellfields (51 Lower Floridan aquifer wells). These waters are combined and aerated onsite through the implementation of tray aeration. Postaeration, the Verna water is dosed with

chlorine for biological control prior to transport to the city’s water treatment facility (WTF) through a gravity-fed, 20-mi-long pipeline.

A portion of this aerated Verna water is treated through a cation exchange (CIX) process, while the remaining water is bypassed for blending. The second water source is the downtown wellfield, which consists of eight brackish water wells. This second well field is treated using RO, the permeate of which is aerated using packed towers and blended with the two Verna flows. During combination of the three streams, sodium hydroxide (NaOH) is added for pH adjustment, and the water is disinfected with sodium hypochlorite.

Table 2 summarizes the general water quality of the city’s finished water; note the high sulfate and total dissolved solids (TDS) content of this water (180 mg/L and 450 mg/L, respectively). Due to the new 0.010 mg/L lead trigger level in the revised LCR, the city requested that UCF perform a study to evaluate its current corrosion potential, as well as analyze its expected future water quality (associated with plant improvements and treatment additions) for corrosivity.

This part of the study analyzed the applicability of three different blended-phosphate corrosion inhibitor products on the corrosion rates of four metal alloys. Corrosion control test loops were built and operated by city and UCF staff at the city’s facilities over a period of about a year.

Materials and Methods

Corrosion Test Rack

The analyses conducted within this research were done based on Standard Methods for the Examination of Water and Wastewater (Baird et al., 2017). The corrosion test racks employed at the city’s facility are presented in Figure 1. Examples of the metal coupons and the LPR electrodes used, provided by Metal Samples Co. Inc. (Munford, Ala.), are shown in Figure 2. The test rack consists of two parallel loops: one for existing conditions and the second for the test condition with inhibitor addition.

Continued on page 18

Continued from page 17

Test Rack Operation

The operation of the test rack was conducted similar to that done in previous work and includes a stabilization period for the corrosion rates of the metal alloys prior to dosing with inhibitor products (Duranceau et al., 2018). The test rack was continuously monitored for accurate dosing, pump operation, and flow rate consistency. Water quality field samples were collected at least twice weekly, grab samples were collected on a weekly basis, and LPR measurements were collected six days a week for a period of approximately three months per test.

The timer, which controls pump operation and test rack runtime, was programmed to run to reflect the typical household water use. The test rack ran for 6.5 hours per day between 6:30-9:30 a.m., 12-12:30 p.m., 5-8 p.m., and 12-12:30 a.m. The thirty-minute runtimes at noon and midnight were used to flush the system. The purpose of these flow and stagnant periods was to mimic a typical household, which has periods of stagnation.

Corrosion Monitoring Methods

There were two monitoring methods used for the test rack: traditional weight-loss with metal coupons and LPR probe measurements. Table 3 presents the alloys used for this study.

The gravimetric method of using preweighed metal coupons, in addition to electrochemical methods, was included in this study as an inexpensive supplementary method of analysis. Metal coupons were placed in parallel racks, in order of nobility. After exposure, the coupons were carefully removed from the test rack, dried, and sent to Metal Samples Co. for postexposure analysis. This analysis included weight loss and pitting measurements. At the time of insertion and removal, the coupons were handled with nitrile gloves to prevent contamination due to handling.

Equation 1 provides the calculation to find the corrosion rate, given the parameters listed. Figure 3 provides an example of a coupon prior to exposure, after exposure, and after postcleaning.

Where,

Equation 1

W = weight loss (g)

D = density of metal (g/cm3)

A = area of test specimen (in2)

T = exposure time (hours)

K = 5.34 x 105

The LPR is used to measure the in-situ “instantaneous” corrosion rate of a metal alloy. This is done by connecting the MS1500L to the LPR probes placed in the parallel test loops. The instrument runs approximately 20 millivolts (mV) through the electrodes, which sends a signal back and forth in each direction for the set length of time. Equation 2 and Equation 3 summarize the principals of the technology. The pitting index is also measured with this instrument and is simply the ratio between the forward and the reverse currents.

Continued on page 20

Table 2. Average Finished Water Quality
Figure 2. Examples of metal coupon (left) and linear polarization resistance electrodes (right).
Figure 1: Corrosion test racks at the City of Sarasota.
Table 3. Metal Alloys Tested Using Corrosion Test Rack

Continued from page 18

Equation 2

Where,

ICORR = corrosion current generated by the flow of electrons

E = equivalent weight of the corroding material (g)

D = density of corroding metal (g/cm3)

A = area of corroding electrode specimen (cm2)

Equation 3

Where,

i corr = corrosion current density (A/cm2)

R p = polarization resistance (Ep/i)

E p = polarization offset (<0.01 V)

i = measured current density (A/cm2)

βa = anodic Tafel constant

βc = cathodic Tafel constant

Chemical Dosing

Three different inhibitors of varying orthophosphate and polyphosphate blends were tested. A goal of 1.6 +/- 0.1 mg/L of reactive phosphorus or orthophosphate dose (using Hach Method 8048) was to be achieved.

The following is a list and short description of each phosphate-based corrosion inhibitor tested:

S Inhibitor A – 80 percent orthophosphate and 20 percent polyphosphate blend

S Inhibitor B – 75 percent orthophosphate and 25 percent polyphosphate blend

S Inhibitor C – 70 percent orthophosphate and 30 percent polyphosphate blend

Statistical Analysis

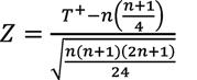
In order to statistically analyze the applicability of each inhibitor, the Wilcoxon Signed Rank Test and the Wilcoxon Rank Sum Test were used, based on Wysock et al. (1995) procedures. The prestabilization phase was statistically analyzed using a two-tailed test, which indicates whether both sides of the test rack are corroding at the same rate for each metal alloy. The inhibitor effectiveness was conducted with a one-tailed test, which analyzes if the effects of the inhibitor are of significance; the one-tailed test is presented in Equation 4 and the two-tailed test is presented in Equation 5. A 95 percent (α = 0.05) confidence interval is used to determine the critical region for both tests.

The results presented herein are supported by statistical analysis using the Wilcoxon Rank Sum Test and the Wilcoxon Signed Rank Test. Prior to analysis using these methods, outliers were removed from the dataset.

Equation 4

Equation 5

Results and Discussion

Linear Polarization Resistance Corrosion Rates

Lead Alloy

For the lead-tin alloy there were no statistically significant improvements or worsening of the corrosion rates when exposed to Inhibitors A and B, with slight improvement when exposed to Inhibitor C. The corrosion

Figure 3. Example of a copper metal coupon a) pre-exposure, b) postexposure, and c) postcleaning.
Figure 4. Corrosion rate versus runtime for lead when exposed to the inhibitor products.

rates versus runtime are presented for Inhibitor A, B, and C in Figure 4. The average corrosion rate of the lead for Inhibitor A was 0.23 mils penetration per year (mpy), a statistically insignificant change from the 0.24 mpy without inhibitor addition (a mil is a thousandth of an in.). The average corrosion rate of the alloy when exposed to Inhibitor B was 0.19 mpy as compared to 0.17 mpy without the inhibitor addition. When exposed to Inhibitor C the lead corrosion rate was 0.16 mpy, compared to 0.23 mpy without inhibitor. In general, the lead alloy was unaffected by the addition of a corrosion inhibitor based on this LPR data, except when exposed to Inhibitor C.

Copper Alloy

For the copper alloy there was a statistically significant improvement of the corrosion rates for the three inhibitor products, as supported by the Wilcoxon Rank Sum Test and the Wilcoxon Signed Rank Test. The corrosion rates versus runtime are presented for Inhibitor A, B, and C in Figure 5. The average corrosion rate of the copper alloy when exposed to Inhibitor A was 0.52 mpy, versus 1.4 mpy without inhibitor addition. This accounts for an over 60 percent reduction in the average copper corrosion rate. The average corrosion rate of the alloy when exposed to Inhibitor B was 0.54 mpy as compared to 1.16 mpy without the inhibitor addition, a 53 percent reduction. Similarly, the addition of Inhibitor C lowered the average corrosion rate to 0.49 mpy as compared to 1.01 mpy without inhibitor addition.

Mild Steel Alloy

For the mild steel there was a visible increase of the corrosion rates for each inhibitor post-stabilization, i.e., during inhibitor addition. The mild steel corrosion rates versus runtime are presented for Inhibitor A, B, and C in Figure 6. The average corrosion rate when exposed to Inhibitor A was 6.67 mpy, compared to 4.13 mpy without inhibitor addition. Since these values cannot be directly compared (because the two loops were not corroding at the same rate prior to inhibitor addition) they were normalized based on their corresponding pre-inhibitor stable average, which gives values of 0.995 and 1.21 for the existing and test conditions, respectively. From these normalized values, there is an overall increase of mild steel corrosion with the addition of Inhibitor A. The average corrosion rate of the alloy when exposed to Inhibitor B was 6.47 mpy as compared to 5.24 mpy without the inhibitor addition, with normalized values of 1.10 and 1.06, respectively. When exposed to Inhibitor C the average corrosion rate was 6.60 mpy compared to 5.11 mpy without inhibitor.

Continued on page 22

Figure 5. Corrosion rate versus runtime for copper when exposed to the inhibitor products.
Figure 6. Corrosion rate versus runtime for mild steel when exposed to the inhibitor products.

Continued from page 21

The normalized values for these were 1.15 and 1.10, respectively.

Ductile Iron Alloy

Similar to the mild steel, there was a visible increase in the ductile iron corrosion rates for each inhibitor, post-stabilization/postinhibitor addition. The ductile iron corrosion rates versus runtime are presented for Inhibitor A, B, and C in Figure 7. The average corrosion rate when exposed to Inhibitor A was 4.95 mpy as compared to 3.95 mpy without inhibitor addition. When normalized based on the preinhibitor stable average, the values are 0.91 and 1.12 for the existing and test conditions, respectively. These normalized values show an overall increase of ductile iron corrosion with the addition of Inhibitor A. The average corrosion rate of the alloy when exposed to Inhibitor B was 6.41 mpy as compared to 4.15 mpy without the inhibitor addition, with normalized values of 1.17 and 0.93, respectively. When exposed to Inhibitor C the average corrosion rate was 6.26 mpy compared to 4.99 mpy without inhibitor. The normalized values for these were 1.14 and 0.97, respectively.

Linear Polarization Resistance Pitting Index

Lead Alloy

Like with the corrosion rates, the lead alloy was not affected by the addition of a blended phosphate corrosion inhibitor regarding the pitting index measured. When Inhibitor A was being dosed, the pitting index averaged 0.98 with a standard deviation of 0.66, compared to 0.93 and 0.59, respectively, for the existing condition. When Inhibitor B was being dosed, the pitting index averaged 1.43 with a standard deviation of 1.22, compared to 1.32 and 1.15, respectively, for the existing condition. When exposed to Inhibitor C the pitting index averaged 1.32 with a standard deviation of 1.10, compared to 1.41 and 1.00, respectively, without inhibitor addition. Figure 8 presents the pitting index for lead during the inhibitor-addition phase.

Copper Alloy

The copper alloy showed a decrease in the pitting index with the addition of a blended phosphate corrosion inhibitor. When Inhibitor A was dosed, the pitting index averaged 0.88 with a standard deviation of 0.76, compared to 2.00 and 1.48, respectively, for the existing condition. When Inhibitor B was dosed, the pitting index averaged 0.32 with a standard deviation of 0.22, compared to 1.40 and 1.06, respectively, for the existing condition. When exposed to Inhibitor C the average pitting index was 0.50 with a standard deviation of 0.38, compared to 0.85

Figure 7. Corrosion rate versus runtime for ductile iron when exposed to the inhibitor products.
Figure 8. Pitting index versus runtime for lead exposed to inhibitor products.
Figure 9. Pitting index versus runtime for copper when exposed to inhibitor products.

and 0.46, respectively, for the existing condition. Figure 9 presents the pitting index for copper during the inhibitor-addition phase.

Mild Steel Alloy

The mild steel alloy was not seemingly affected by the addition of a blended phosphate corrosion inhibitor regarding the pitting index measured. When Inhibitor A was being dosed, the pitting index averaged 1.00 with a standard deviation of 0.0, compared to 0.98 and 0.12, respectively, for the existing condition. When Inhibitor B was being dosed, the pitting index averaged 0.95 with a standard deviation of 0.07, compared to 1.02 and 0.08, respectively, for the existing condition. Similar trends were observed when exposed to Inhibitor C where the mild steel had an average pitting index of 1.00 and 0.97 without inhibitor addition. Figure 10 presents the pitting index for mild steel during the inhibitor-addition phase.

Ductile Iron Alloy

The ductile iron alloy was not affected by the addition of a blended phosphate corrosion inhibitor regarding the pitting index measured. When Inhibitor A was dosed, the pitting index averaged 0.98 with a standard deviation of 0.07, compared to 0.98 and 0.08, respectively, for the existing condition. When Inhibitor B was dosed, the pitting index averaged 0.98 with a standard deviation of 0.05, compared to 0.98 and 0.06, respectively, for the existing condition. Similarly, when exposed to Inhibitor C, the ductile iron had an average pitting index of 0.97, and 0.95 without inhibitor addition. Figure 11 presents the pitting index for ductile iron during the inhibitor-addition phase.

Gravimetric Method: Weight-Loss Results

Also included in this study was the analysis of metal coupons inserted in the corrosion test rack. Postexposure analyses of the coupons were conducted by Metal Samples Co. The corrosion rates of the alloys tested, per the results of these analyses, are presented in Tables 4, 5, and 6. These results show increased corrosion rates in the mild steel and ductile iron coupons when inhibitor products were used, similar to that shown by the LPR measurements. The corrosion rate of the lead and copper metal coupons decreased with the addition of the corrosion inhibitors.

Pitting was present at the same rate in both the existing and test conditions for the ductile iron coupons, when exposed to Inhibitor A. Pitting, when exposed to Inhibitor B, increased for the mild steel and ductile iron, compared to the existing condition. When exposed to Inhibitor C, there was an increase in pitting for the ductile iron

Continued on page 24

Figure 10. Pitting index versus runtime for mild steel when exposed to inhibitor products.
Figure 11. Pitting index versus runtime for ductile iron when exposed to inhibitor products.
Table 4. Corrosion Rate and Pitting Analysis of Metal Coupons – Inhibitor A
Table 5. Corrosion Rate and Pitting Analysis of Metal Coupons – Inhibitor B

coupon, and a decrease for the mild steel coupon. There was no discernable pitting for the copper coupons, except when exposed to Inhibitor A, suggesting this inhibitor is incompatible regarding the potential for copper pitting. Other studies have shown that incompatibility of phosphatebased inhibitors can cause an increase in copper corrosion rates (Duranceau et al., 2018). The lead coupons showed no signs of pitting in the conditions tested.

Model Predictions of Distributed Water for the Future

The future finished water is based on improvements to the Verna groundwater supply treatment. Currently, the average annual daily flow (AADF) includes 4.5-mgd RO permeate production, 1.2-mgd CIX process production, and 1.2-mgd Verna Raw bypass water. The treatment scenarios considered in this evaluation are a) replacement of the CIX process with a hollow fiber nanofiltration (HFNF), i.e., 1.2-mgd HFNF permeate production, and b) replacement of CIX process with HFNF and removal of the raw Verna bypass, i.e., 2.4-mgd HFNF permeate

production. The pertinent water quality for each of these scenarios is presented in Table 7.

Shown in the bar charts in Figure 12 and Figure 13 are the results of the corrosion and scaling indices calculated for each of the scenarios, using the Tetra Tech RTW Model (2011). As a point of reference, the existing finished water quality has a CSMR of approximately 0.17. At CSMRs below 0.5, galvanic corrosion of lead is said to be minimal (Edwards & Triantafyllidou, 2007). Based on the results of these modeled indices, it is expected that the corrosivity of the water will be higher with increased treatment of the Verna wellfields, which is in part due to the removal of TDS, calcium, and sulfate.

Conclusions

The results of this research show that a blended phosphate inhibitor would be helpful in reducing copper corrosion rates; however, the majority of the inhibitors tested had no significant effects on the corrosion rate of lead when measuring the instantaneous rates using LPR techniques. Still, the gravimetric method using metal coupons showed a 14 percent, 25

Table 7. Water Quality Values Used in Model, With an Assumed 65, 82, 85, and 90 Percent Rejection of Chloride, Total Dissolved Solids, Calcium, and Sulfate, Respectively, When Using Hollow Fiber Nanofiltration*

*Assumptions based on best-performing membranes tested at the bench scale from work performed by Yonge (2016)

percent, and 23 percent decrease in the overall corrosion rate of lead when exposed to Inhibitor A, B, and C, respectively. The average pitting index of the copper alloy was also reduced when a blended phosphate inhibitor was used. Assessing the pitting found on the metal coupons, there are no signs of pitting, both in the existing and test conditions, except for when Inhibitor A was used. Of note are the increased LPR corrosion rates of both mild steel and ductile iron when exposed to the blended phosphate products, which is further supported by the corrosion rates calculated using the gravimetric method. These results indicate that the use of a blended phosphate product may be beneficial for meeting the regulations set forth by the LCR and LCRR; however, it may cause concern regarding corrosion of other metals that are not lead and copper.

Based on the indices calculated for the current and future process waters, it is expected that the corrosivity of the water will most likely degrade with further treatment of the Verna water. For this reason, it was recommended that the city plan for the addition of a corrosion control inhibitor to the finished water to provide additional corrosion control benefits for the “future” planned water supply.

Next Steps

Due to the anticipated further treatment of the Verna water, the next step in this study is to test the effects of different Verna treatment options and blends on the corrosivity of their finished water. This further treatment is expected to reduce the water’s sulfate and TDS content. Because of this, it is anticipated that the corrosivity of the water will also increase, based on the CSMR principle and other indices. The study will include bench-scale treatment of the Verna water, blending with the current RO aerated permeate and/or CIX process water. A novel flow-through coupon test rack will be used to analyze the corrosivity of this future finished water, with and without a corrosion inhibitor, and will allow for the measurement of metals concentrations and gravimetric analysis, but not LPR corrosion rates.

Acknowledgments

This work was funded by the City of Sarasota Utilities Department (UCF Project 1620-8A15). Dr. S.J. Duranceau served as the principal investigator. The authors acknowledge the City of Sarasota staff, especially Bill Reibe, Verne Hall, Pedro Perez, and Tomasz Torski, for their help and support. The authors would also like to acknowledge and thank the city operators who helped in coordinating the work and

Table 6. Corrosion Rate and Pitting Analysis of Metal Coupons – Inhibitor C

collecting data, without which this work would not have been possible. The efforts of UCF Water Quality Engineering Research Group were greatly appreciated and contributed to the success of this research. Any opinion, findings, conclusions, or recommendations expressed in this material are those of the authors and do not necessarily reflect the views of UCF, nor serve as an endorsement of any company, product, equipment, or material identified herein.

References

• Baird, R. B., Eaton, A. D., & Rice, E. W. (2017). Standard Methods for the Examination of Water and Wastewater (23rd ed.). Washington: American Public Health Association, American Water Works Association, Water Environment Federation.

• Duranceau, S., Rodriguez, A. B., Higgins, C., Wilder, R. J., Myers-O Farrell, S., Black, S. J., & Yoakum, B. A. (2018). Use of Precorroded Linear Polarization Probes and Coupons for Conducting Corrosion Control Studies. Florida Water Resources Journal

• Edwards, M., & Triantafyllidou, S. (2007). Chloride-to-sulfate mass ratio and lead leaching to water. Journal AWWA, 99(7), 96-109. doi:https://doi.org/10.1002/j.1551-8833.2007. tb07984.x.

• Langelier, W. F. (1936). The Analytical Control of Anti-Corrosion Water Treatment. Journal AWWA, 28(10), 1500-1521. doi:https://doi. org/10.1002/j.1551-8833.1936.tb13785.x.

• Larson, T. E., & Skold, R. V. (1958). Laboratory Studies Relating Mineral Quality of Water To Corrosion of Steel and Cast Iron. Corrosion, 14(6), 43-46. doi:10.5006/0010-9312-14.6.43.

• Leitz, F., & Guerra, K. (2013). Water Chemistry Analysis for Water Conveyance, Storage, and Desalination Projects. Denver, Colo.: U.S. Department of the Interior.

• McNeill, L. S., & Edwards, M. (2002). The Importance of Temperature in Assessing Iron Pipe Corrosion in Water Distribution Systems. Environmental Monitoring and Assessment, 77(3), 229-242. doi:10.1023/A:1016021815596.

• Mehl, V., & Johannsen, K. (2017). Calculating chemical speciation, pH, saturation index and calcium carbonate precipitation potential (CCPP) based on alkalinity and acidity using OpenModelica. Journal of Water Supply: Research and Technology - Aqua, 67(1), 1-11. doi:10.2166/aqua.2017.103.

• Merkel, T. H., & Pehkonen, S. O. (2006). General corrosion of copper in domestic drinking water installations: scientific background and mechanistic understanding. Corrosion Engineering, Science and Technology, 41(1), 21-37. doi:10.1179/174327806X94009.

Figure 12. Results of corrosion indices calculated for the existing blend ratio at average annual daily flow production and the two future treatment scenarios.

Figure 13. Calcium carbonate precipitation potential (left) and the Langelier Saturation Index (right) for the existing blend ratio at average annual daily flow production and the two future treatment scenarios.

• Metal Samples, I. (2016). MS1500L LPR Data Logger User’s Manual. Metal Samples Co., Munford, Ala. Retrieved from https://www. alspi.com/manuals/ms1500Lmanual.pdf.

• Rossum, J. R., & Merrill, D. T. (1983). An evaluation of the calcium carbonate saturation indexes. Journal - American Water Works Association, 75(2), 95-100. Retrieved from http://www.jstor.org/stable/41271574.

• Ryznar, J. W. (1944). A New Index for Determining Amount of Calcium Carbonate Scale Formed by a Water. Journal AWWA, 36(4), 472-483. doi:https://doi. org/10.1002/j.1551-8833.1944.tb20016.x.

• Tetra Tech, I. (2011). Tetra Tech (RTW) Model for Water Process and Corrosion Chemistry (Version 2.0) [CD-ROM]: American Water Works Association.

• USEPA (2008). Lead and Copper Rule: A Quick

Reference Guide. Washington, D.C., Office of Water.

• USEPA (2020). Reference Guide for Public Water Systems, Lead and Copper Rule Comparison. Retrieved from https://www.epa. gov/sites/default/files/2020-12/documents/ reference_guide_for_pwss_12.21.20.pdf.

• Wysock, B. M., Sandvig, A. M., Schock, M. R., Frebis, C. P., & Prokop, B. (1995). Statistical procedures for corrosion studies. Journal AWWA, 87(7), 99-112. doi:https://doi. org/10.1002/j.1551-8833.1995.tb06397.x.

• Yonge, D. (2016). Modeling Mass Transfer and Assessing Cost and Performance of a Hollow Fiber Nanofiltration Membrane Process. (Doctor of Philosophy [Ph.D.]). University of Central Florida. College of Engineering and Computer Science, Retrieved from http://purl. fcla.edu/fcla/etd/CFE0006549. S

2022 FWPCOA OFFICERS AND COMMITTEE CHAIRS

For more information on officers and committee chairs, visit the association website at www.fwpcoa.org.

• Vice Chair June Clark (321) 868-1240 03-vice-chair@fwpcoa.org

• Secretary Jessica Erdman 03-secretary@fwpcoa.org

• Treasurer Marcy King (321) 221-7570 03-treasurer@fwcpoa.org

Region 4

• Director Bob Case (727) 892-5076 04-director@fwpcoa.org

• Chair William Anderson (727) 562-4270 x7806 04-chair@fwpcoa.org

• Vice Chair Jeff Pfannes 04-treasurer@fwcpoa.org

CORPORATE OFFICERS

• President Patrick Murphy president@fwpcoa.org

• Vice President Athena Tipaldos (407) 246-4086 vice-pres@fwpcoa.org

• Secretary-Treasurer Rim Bishop (561) 627-2900, ext. 314 sec-treas@fwpcoa.org

• Secretary-Treasurer-Elect Kevin Shropshire (321) 221-7540 st-elect@fwpcoa.org

• Past President Ken Enlow past-pres@fwpcoa.org

REGIONAL OFFICERS

Region 1

• Director Dakota Millican 01-director@fwpcoa.org

• Chair Russel Burton 01-chair@fwpcoa.org

• Vice Chair 01-vice-chair@fwpcoa.org

• Secretary-Treasurer Albert Bock 01-sec-treas@fwpcoa.org

• Secretary-Treasurer-Elect James Tucker 01-sec-elect@fwpcoa.org

Region 2

• Director David Ashley (904) 665-8484

02-director@fwpcoa.org

• Chair Josh Parker (904) 665-6052

02-chair@fwpcoa.org

• Vice Chair Larry Johnson 02-vice-chair@fwpcoa.org

• Secretary-Treasurer Jackie Scheel (904) 665-8473 02-sec-treas@fwpcoa.org

• Secretary-Treasurer-Elect Randy Ellis (904) 665-7133

02-sec-elect@fwpcoa.org

Region 3

• Director Russ Carson (321) 749-5914 03-director@fwpcoa.org

• Chair Wayne Gauler 03-vicepchair@fwpcoa.org

• Secretary Debra Englander (727) 892-5633 04-secretary@fwpcoa.org

• Treasurer Vivian Gleaves 04-treasurer@fwcpoa.org

Region 5

• Director Stephen Utter (772) 978-5220 05-director@fwpcoa.org

• Chair Pierre Vignier (772) 462-1150 05-chair@fwpcoa.org

• Vice Chair George Horner (772) 873-6400 05-vice-chair@fwpcoa.org

• Secretary-Treasurer John Lang (772) 562-9176 05-sec-treas@fwpcoa.org

Region 6

• Director Phil Donovan 06-director@fwpcoa.org

• Chair Vincent Munn 06-chair@fwpcoa.org

• Vice Chair Pat Lyles 06-vice-chair@fwpcoa.org

• Secretary Jessica Hill 06-secretary@fwpcoa.org

• Treasurer Patti Brock 06-treas@fwpcoa.org

Region 7

• Director Mauricio Linarte 07-director@fwpcoa.org

• Chair James Bauer 07-chair@fwpcoa.org

• Vice Chair Renee Moticker 07-vice-chair@fwpcoa.org

• Secretary Maria Loucraft 07-secretary@fwpcoa.org

• Treasurer Tim McVeigh (954) 683-1432 07-treasurer@fwpcoa.org

• Secretary-Treasurer-Elect Tangela Thomas 07-st-elect@fwpcoa.org

Region 8

• Director Nigel Noone (239) 565-5352

08-director@fwpcoa.org

• Chair Igor Gutin 08-chair@fwpcoa.org

• Vice Chair Diane DiPascale 08-vice-chair@fwpcoa.org

• Secretary-Treasurer Patrick Long 08-sec-treas@fwpcoa.org

Region 9

• Director Glenn Whitcomb 09-director@fwpcoa.org

• Chair Tom Mikell (352) 393-6614 09-chair@fwpcoa.org

• Vice Chair (West) Syed Hasan (352) 393-6769 09-vice-chair-w@fwpcoa.org

• Vice Chair (East) Brian Terry 09-vice-chair-e@fwpcoa.org

• Secretary Jim Parrish 07-secretary@fwpcoa.org

• Treasurer Kameron Van Kleeck 07-treasurer@fwpcoa.org

• Secretary-Treasurer-Elect Scott Ruland 09-st-elect@fwpcoa.org

Region 10

• Director Charles Nichols Sr. (863) 534-5894 10-director@fwpcoa.org

• Chair Todd Potter (863) 701-1149 10-chair@fwpcoa.org

• Vice Chair Chris Nichols 10-vice-chair@fwpcoa.org

• Secretary-Treasurer Katherine Kinloch (863) 632-5994 10-sec-treas@fwpcoa.org

• Secretary-Treasurer-Elect Conrad Odum 10-st-elect@fwpcoa.org

Region 11

• Director Steve Schwab 11-director@fwpcoa.org

• Chair (Vacant) 11-chair@fwpcoa.org

• Chair-Elect (Vacant) 11-chair-elect@fwpcoa.org

• Secretary-Treasurer Vonte Tucker (321) 986-9570 11-sec-treas@fwpcoa.org

• Secretary-Treasurer-Elect Nioker White (407) 599-3563 11-st-elect@fwpcoa.org

Region 12

• Director Steve Saffels 12-director@fwpcoa.org

• Chair Theresa Hughes 12-vice-chair@fwpcoa.org

• Vice Chair Isaiah Moss 12-vice-chair@fwpcoa.org

• Secretary-Treasurer Zoé Chaiser (813) 757-9191 12-sec-treas@fwpcoa.org

• Secretary-Treasurer-Elect Brent Laudicina (941) 792-8811 x 8057 12-sec-treas-elect@fwpcoa.org

Region 13

• Director (Vacant) 13-director@fwpcoa.org

• Chair Tracy Betz (386) 935-2762 13-chair@fwpcoa.org

• Vice Chair (Vacant) 13-vice-chair@fwpcoa.org

• Teasurer Arnold Gibson (386) 466-3350 13-treasurer@fwpcoa.org

• Secretary Bill Ewbank 13-secretary@fwpcoa.org

STANDING COMMITTEE CHAIRS

• Awards and Citations

Renee Moticker awards@fwpcoa.org

• Constitution and Rules

Ken Enlow const-rules@fwpcoa.org

• Customer Relations

Peter Selberg cust-rel@fwpcoa.org

• Dues and Fees

Tom King dues@fwpcoa.org

• Education

Tom King education@fwpcoa.org

• Ethics Scott Ruland ethics@fwpcoa.org

• Historical

Al Monteleone (352) 459-3626 historian@fwpcoa.org

• Job Placement

Joan Stokes (407) 293-9465

• Membership

Rim Bishop (561) 627-2900, ext. 314 membership@fwpcoa.org

• Policies and Procedures

Athena Tipaldos st-elect@fwpcoa.org

• Program and Short Course

Jim Smith programs@fwpcoa.org

• Publicity

Johnathan Torres publicity@fwpcoa.org

• Systems Operators

Jeff Elder sys-op@fwpcoa.org

• Website

Debra Englander webmaster@fwpcoa.org

SPECIAL COMMITTEE CHAIRS

• Audit

Tom King audit@fwpcoa.org

• Exam Consultant Ray Bordner (727) 527-8121 exam@fwpcoa.org

• FWRJ/FWRC

Tom King (321) 867-9495 fwrj@fwpcoa.org

• Legislative Mike Darrow legislative@fwpcoa.org

• Nominating

Raymond Bordner (727) 527-8121 h2oboy2@juno.com

• Operators Helping Operators

John Lang (772) 562-9176 oho@fwpcoa.org

• Safety Charles Nichols Sr. safety@fwpcoa.org

• Scholarship Renee Moticker (954) 967-4230 awards@fwpcoa.org

EDUCATION SUBCOMMITTEE CHAIRS

• Backflow

Glenn Whitcomb backflow@fwpcoa.org

• Continuing Education Charles Nichols Sr. CEU@fwpcoa.org

• Industrial Pretreatment Kevin Shropshire (407) 832-2748 ipp@fwpcoa.org

• Plant Operations Jamie Hope (352) 318-3321 plant-ops@fwpcoa.org

• Reclaimed Water Jody Godsey (904) 813-1159 reclaimed@fwpcoa.org

• Stormwater Brad Hayes stormwater@fwpcoa.org

• Utilities Maintenance Robert Case (727) 893-5076 util-maint@fwpcoa.org

ADMINISTRATION

• Administrator Darin Bishop (561) 840-0340 administrator@fwpcoa.org

• Training Coordinator Shirley Reaves (321) 383-9690 training@fwpcoa.org

• Webmaster Debra Englaner webmaster@fwpcoa.org

FWRC/FWRJ BOARD APPOINTMENTS

• Trustee Ken Enlow past-pres@fwpcoa.org

• Trustee Patrick Murphy president@fwpcoa.org

• Trustee Athena Tipaldos (407) 246-4086 vice-pres@fwpcoa.org

• Member Kevin Shropshire (321) 221-7540 st-elect@fwpcoa.org

• Member Rim Bishop (561) 627-2900, ext. 314 sec-treas@fwpcoa.org

• Member Al Monteleone (352) 259-3924 scooter1030@embarqmail.com

• Member Mike Darrow (863) 409-4256 legislative@fwpcoa.org

2021 FSAWWA Fall Conference: Negotiating the New Normal

The Florida Section of the American Water Works Association (FSAWWA) celebrated its 95th year of commitment and dedication to the world’s most important resource by hosting its 27th Fall Conference, with the theme, “Negotiating the New Normal,” from November 28 to December 1 at the Hyatt Regency Grand Cypress Orlando.

The yearly event, which attracted 1850 attendees, included water utility executives

and managers, operators, engineers, educators, manufacturers, consultants, students, and others from the water profession. A total of 170 exhibit booths were sold.

There were plenty of opportunities to meet old colleagues and make new friends at the continental breakfasts, lunches, meet-andgreet receptions, Poker Night and Happy Hour, Topgolf event, and annual BBQ Challenge and

Opening General Session

The Opening General Session (OGS) on Monday afternoon is one of the conference’s must-attend events and has been a part of the conference since 2013. Dr. Fred Bloetscher, FSAWWA chair, welcomed the attendees to the conference and Dr. Chi Ho Sham, AWWA president, gave an update on association events and priorities.

The keynote speaker this year was George S. Hawkins, Esq., founder and chief executive officer of Moonshot Missions. His topic was “Hand Over Fist: A Path to Innovation and Performance in a Time of Chaos and Change.”

He noted that five challenges plague every water utility (the Fist) and five steps can be embraced to overcome them for any utility (the Helping Hand). Hawkins, the prior general manager of DC Water, presented from his own experience a guide to utility transformation— why, how, and when—including fun stories and anecdotes from real experience throughout.

His focus is public utilities that are often known to be conservative—not in a political sense, but in a caution to take risks and innovate.

The FSAWWA staff (from left: Jenny Arguello, Donna Metherall, and Casey Cumiskey) at the conference registration desk.
Dr. Fred Bloetscher welcomes attendees to the conference.
Dr. Cho Ho Sham attends the conference as the visiting AWWA officer.
George Hawkins encourages attendees to embrace innovation during his presentation.

TECHNICAL PROGRAM

These agencies, conventional wisdom suggests, are hampered by rigid bureaucracies that are hostile to changing layers of standard procedures. He suggested a simple and practical sevenstep process to encourage innovation that is founded on understanding the values of an organization and using them as a motivator for change within a secure process and structure.

BBQ Challenge and Incoming Chair’s Reception

On Monday evening, the conference held the seventh BBQ Challenge, which was open to all attendees. It was also an opportunity to introduce and welcome the incoming chair, Emilie Moore (for more information, see page 44).

Technical Program

The excellent technical program is successful every year through the dedicated efforts of Dr. Fred Bloetscher. In 2021, the Monday specialty workshops were offered, as they have been in the past. The eight workshops were:

S Looking Down the Road: What to Expect in the Regulatory Future

S Automation and Supervisory Control and Data Acquisition (SCADA) Technology Workshop

S Get Your Research On

S Cybersecurity 2021

S From High School to Hired

S Utility Finances in Challenging Times

S Water Conservation Symposium: How to Lower Our Water Use Footprint

S Utility Symposium: Wastewater Collection Systems “Keeping it Moving”

Continued on page 30

EXHIBITS

RECAP OF 2021 FSAWWA FALL CONFERENCE

Continued from page 29

Tuesday and Wednesday technical sessions focused on the conference’s theme. The sessions included:

S Potable Reuse

S Membranes and Chartering Resilient Water Solutions for Raw Water Quality Challenges

S Navigating the New Normal

S Lead and Copper

S Asset Management

MEETINGS

S Addressing Water Treatment Process Improvements

S Collaboration, Communication, and Protecting Critical Knowledge

S Per- and Polyfluoroalkyl Substances (PFAS) and Perfluorooctane Sulfonate (PFOS)

S Geographic Information Systems (GIS), SCADA, and Asset Management

S Alternative Water Supplies (back-to-back workshops)

S Water Treatment: Disinfection Byproducts

HIGH SCHOOL ACADEMY

Exhibits

The exhibit hall, which had 140 booth spaces and 30 tabletops, gave attendees another chance to network and learn about the latest and most-innovative products and services in the water industry. Company representatives were available each day to help attendees solve their problems and meet future challenges.

Heritage High School Academy students.
Students tour the exhibit floor.
Steve Soltau, who heads the high school program for FSAWWA, speaks to the students.
Students from St. Johns Technical High School Academy.

WATER BOWL AND POSTERS

Meetings

The FSAWWA Executive Committee held its meeting on Sunday morning, followed by the board of governors meeting in the afternoon, with 33 board members present and other active volunteers attending. This is where the real work of the section is planned for the following year. Two special guests from AWWA were present:

S Dr. Chi Ho Sham, AWWA president

S Michelle Hektor, senior manager of development and donor relations, AWWA Water Equation

Other meetings were also held by the organization’s councils and committees. There’s a group for almost every water topic. Meetings are also held at other section events throughout the year.

High School Academy Students Meet, Greet, and Eat

For the fifth year, the FSAWWA High School Academy Initiative Committee invited high school students from Heritage High School Academy of Environmental Water and St. Johns

Technical High School Academy of Coastal and Water Resources to attend the conference.

The ultimate outcome of the committee is to have “job-ready” high school graduates who may not be able to, or want to, go to college after high school. This initiative supports education programs that will provide a career for the high school graduate, not just a job.

The goals of the initiative are to:

S Understand and communicate the need for operators.

S Support the development of new and existing operators.

As part of this initiative, FSAWWA provides support to four technical high schools in Florida that provide four years of coursework and training in preparation for students to take the Class C license operator exam.

The students attended the conference on Tuesday, November 30. As part of their schedule for the day, they attended a lunch and roundtable discussions that included a panel of both experienced and new operators to discuss their careers in operations and management. The lunch was sponsored by:

S Atkins

S HDR

S Hydromax USA

S KMAC Consulting

S Orlando Utilities Commission

Students were also provided with safety vests, donated by Rob Quick and the Florida Tool Store.

Water For People Duck Race

The duck race will be back in 2023. It will be held on Tuesday, November 28, at Omni ChampionsGate’s lazy river as a fundraising event for Water For People.

Awards

The section’s annual business luncheon and awards ceremony celebrated the current roster of statewide officers and inducted the new officers for 2021-2022. Awards were also given for the best papers and to the outstanding volunteers in the water field. See page 36 for award recipients.

Contests

Several contests, with both team and individual competitors, were held.

Continued on page 32

Two teams compete in the Water Bowl event.
From left are Jessica Cormier, Tulsi Shukla, and Paula Campesino with their winning trophy.
Tulsi Shukla at her winning poster.
Poster authors discuss their work with attendees.

RECAP OF 2021 FSAWWA FALL CONFERENCE

Continued from page 31

Water Bowl

Winner: University of Central Florida

The University of Central Florida (UCF) retained the title of champion at the 2021 Young Professionals Water Bowl. The UCF has been the

champion for the past six years, and this year’s team consisted of Jessica Cormier, Tulsi Shukla, and Paula Campesino. The university provided two teams to compete for the title in the singleelimination competition format

The contest is modeled after the classic “College Bowl” television quiz show. Team

METER MADNESS

HYDRANT HYSTERIA

members were asked questions related to the water industry, encompassing water chemistry, operations, and design of treatment systems.

Michael Stanley, Gina Parra, and Shelby Brodie facilitated the event.

Poster Contest

Winner: University of Central Florida

Tulsi Shukla, from the University of Central Florida, was the 2021 Fresh Ideas Poster Contest winner. She presented her poster, “Waiahi Water Treatment Facility Ultrafiltration Backwash Water Settling and Residual Aluminum Analysis.”

By winning the competition, Tulsi receives a trip to ACE22, AWWA’s annual conference and exposition, to be held in June in San Antonio, Texas, to compete with contest winners from across the United States, Canada, Mexico, and Puerto Rico.

Operator Events

Hydrant Hysteria

Hydrant Hysteria is a fast-paced two-person competition to determine who can assemble a fire hydrant in the fastest time. Two or more teams go head-to-head while assembling the hydrant to see who will be crowned Hydrant Hysteria champion.

Event Winners

S First Place: JEA

S Second Place: City of St. Cloud

The first-place winner, JEA, qualifies to compete at ACE22 in San Antonio, Texas, in June to compete in the AWWA competition.

Seth Daniel with Clow Valve and Shannon Payne with M&H Valve Company facilitated the event.

City of St. Cloud team.
The team from JEA.
The JEA team wins first place.
First-place winner Brian O’Berry.
Jonathan Blaiel comes in second place.
Drew Watkins is the third-place winner. The top three winners with the first-place plaque.

Meter Madness

Meter Madness had a returning champion: Brian O’Berry of Florida Key Aqueduct Authority! He assembled a water meter one second (44 seconds to 45 seconds) ahead of Jonathan Blaiel from City of Deltona, making him the first-place winner. Jonathan won second place and in third place was Drew Watkins of JEA. O’Berry qualifies to go to ACE22 in San Antonio, Texas, to compete in the AWWA competition.

Meter Madness is a competition where participants receive a bucket of meter parts for a specific water meter to assemble against the clock. To make is more interesting, three to six miscellaneous parts are included in the bucket. After assembly, the meter must work correctly and not leak.

Jeff Elder with City of Deltona facilitated the event.

Tapping Contest

Using skill and dexterity, as well as speed, teams of four compete for the fastest time as they perform a quality drill and tap of pipe under available pressure. Two taps are allowed per team. The Fun Tap is the simpler version of the two contests.

Ductile Iron Tap Winner

First Place: JEA Water Boys

Fun Tap Winner

First Place: Bonita Springs Utilities

The following helped in the success of the tapping competitions: Mike Spriggs, with A.Y. McDonald, and Josh Anderson, with Florida Pipeline Sales.

Continued on page 34

TAPPING CONTEST

The JEA team in action.
JEA Water Boys are the first-place winners.
The winning team of the Fun Tap is from Bonita Springs Utilities.
David Kloor from Charlotte County Utilities wins first place.
The second-place winner is Victor Gonzalez from Orange County Utilities.
In third place is Geraldo Feliciano from City of Deltona.
The three winners pose by a backhoe.
BACKHOE RODEO

RECAP OF 2021 FSAWWA FALL CONFERENCE

Continued from page 33

Backhoe Rodeo

Backhoe operators show their expertise by executing challenging lifts and drops of various objects in the fastest time. The judges for the event were Jeff Elder, City of Deltona; Josh Baur, Florida Pipeline Sales; and Tony Smith, Charlotte County. Event Winners

S First Place: David Kloor, Charlotte County Utilities

S Second Place: Victor Gonzalez, Orange County Utilities

S Third Place: Geraldo Feliciano, City of Deltona

All five operator competitions have been held for a very long time. We hope to see a Fun Tap women’s team in 2022! Competitions are open to public and commercial-field operators working in the state of Florida. Contact Mike George at (352) 200-9631 for more information.

Par-Tee at Topgolf

We were adventurous this year and

PASSING THE GAVEL

went a different route to wind down after the conference. Topgolf it was! A venue to entertain colleagues and clients with games and fun, delicious food, and drinks—is was a good time for all! We occupied the top floor at the golf complex with 32 bays. Plans are underway to do this par-tee at Topgolf after the 2022 FSAWWA Fall Conference.

The fundraising social benefited AWWA Water Equation and Water For People.

Peggy Guingona is executive director of Florida Section AWWA.
S
Fred Bloetscher receives a plaque for his service as 2021 chair of FSAWWA.
Lunch at the business meeting and awards luncheon.
Emilie Moore is “crowned“ section chair.
The passing of the gavel.
Emilie closes the business meeting and awards luncheon.
Emilie enjoys her moment.
Emilie Moore, incoming section chair for 2022, receives the gavel from outgoing chair, Dr. Fred Bloetscher.

CONFERENCE SPONSORS

The section thanks all the sponsors for their generous support of the conference.

Premier Sponsors

• AECOM

• CHA Consulting Inc.

• CS3 Waterworks

• Data Flow Systems Inc.

• Ferguson Waterworks

• Freese and Nichols

• Jacobs

• Jones Edmunds & Associates Inc.

• Kimley-Horn & Associates Inc.

• National Metering Services Inc.

• Public Utility Management and Planning Services Inc.

• Sigma Corporation

• Spirit Group Inc.

• Sundt Construction Inc.

• Wager Company of Florid, Inc.

• Wharton-Smith Inc.

• Wright-Pierce

Topgolf Sponsors

Eagle

• AECOM

• Carollo Engineers

• CHA Consulting Inc.

• CONSOR Engineers

• CS3 Waterworks

• Data Flow Systems Inc.

• Ferguson Waterworks

• Ford Meter Box Company Inc.

• Fortiline Waterworks

• Freese and Nichols

• Innovyze

• Jacobs

• Jones Edmunds & Associates Inc.

• Kimley-Horn & Associates Inc.

• National Metering Services Inc.

• Public Utility Management and Planning Services Inc.

• Sensus, a Xylem Company

Platinum Sponsors

• American Cast Iron Pipe Company

• Atkins

• Core and Main

• England-Thims & Miller Inc.

• Halff Associates

• HDR

• ISCO Industries

• Kiewit

• MeterSYS

• Nanostone Water

• PSI Technologies Inc

• Tetra Tech

• Thames & Associates

• The Ford Meter Box Company

• U.S. Water Services Corporation

• Wade Trim

• Sigma Corporation

• Spirit Group Inc.

• Sundt Construction Inc.

• Wager Company of Florida Inc.

• Wharton-Smith Inc.

• Wright-Pierce

Birdie

• Carter VerPlanck Inc.

• NEFCO Systems Inc.

• Tetra Tech

• Trihedral Inc.

Gold Sponsors

• Carollo Engineers

• Fortiline Waterworks

• Trihedral Inc.

• Woolpert

Silver Sponsors

• GHD

• McWane Ductile

Poker Night Sponsors

Royal Flush

• AECOM

• American Cast Iron Pipe

• CHA Consulting Inc.

• Core & Main

• CS3 Waterworks

• Data Flow Systems Inc.

• Ferguson Waterworks

• Freese and Nichols

• Jacobs

• Jones Edmunds & Associates Inc.

• Kimley-Horn & Associates Inc.

• National Metering Services Inc.

• Public Utility Management and Planning Services Inc.

• Sigma Corporation

• Spirit Group Inc.

• Sundt Construction Inc.

• Tesco Controls Inc.

• Wager Company of Florida Inc.

• Wharton-Smith Inc.

• Wright-Pierce

Full House

• Atkins

• Veith Engineering & Business Solutions

ANNUAL SECTION AWARDS

Recipients of this year’s awards are noted and/or pictured in this section. The Florida Section AWWA honored outstanding individuals and organizations in the state’s water industry on two different dates. At the opening general session, held on November 29, the following awards were presented to the recipients.

REGIONS VOLUNTEER OF THE YEAR AWARD

This award honors individuals who contributed their time and talent to the success of their region.

COUNCIL CHAIR AWARDS OF EXCELLENCE

This award honors distinguished service by a council or committee chair who has made the most-significant contribution to the council.

Kirsten Burns Region III
David Yonge Region IV
Dustin Chisum Region V
Monica Wallis Region IX
Trooper Smith Region X
Raul Alfaro Region VII
Emma Johnson Region VI
Paul Kavanagh Operators and Maintenance Council
Kevin Stine (left) and Kim Kowalski (center) present award to Josh Anderson on the Manufacturers/Associates Council.
David Roberts Member Engagement and Development Council
Shea Dunifon Public Affairs Council
David Yonge Technical and Education Council
Tara Lamoureux Water Utility Council NOT PICTURED
Arthur Bides Region II
PICTURED
Jenny Tomes Region VIII
PICTURED

PLANT AWARDS

The following awards were also handed out at the opening general session because the Florida Water Resources Conference (FWRC) was canceled in 2021.

Most Improved Water Treatment Plant Class A

Coral Springs Improvement District

Accepted by Christian McShea.

Most Improved Water Treatment Plant Class C

City of Lynn Haven Water Treatment Plant

Accepted by Derek Rizzuto.

Outstanding Water Treatment Plant Class C

Peter’s Creek, Clay County

Accepted by Dwight Garth and Ross Bland.

Outstanding Water Treatment Plant Class B

City of Clearwater

Accepted by Timothy Ferlanie and Fred Hemerick.

Outstanding Water Treatment Plant Class A

Peace River Manasota Regional Water Supply Authority

Accepted by Richard Anderson (center).

OPERATOR AWARDS

These awards honor exceptional operators in the industry.

Meritorious Water Treatment Plant Operator

Presented to Sam Stone (center), Peace River Manasota Regional Water Supply Authority.

Meritorious Water Treatment Plant Operator

Presented to Karla Berroteran-Castellon (center), Village of Wellington.

Outstanding Water Treatment Plant Operator

Presented to Robert Nelson, City of Palm Coast.

ANNUAL AWARDS LUNCHEON

On December 1, FSAWWA honored outstanding individuals and organizations in the state’s water industry at the annual awards luncheon.

AWWA GEORGE WARREN FULLER AWARD

This year’s Fuller Award recipient, William “Bill” Young, embodies the principles of the George Warren Fuller Award, especially demonstrating constructive leadership, research, and organizational skills in promoting the water profession.

He is a native Floridian who can trace his family’s heritage back to over 400 years and is a graduate of the University of Florida.

Bill has served his local community in countless ways. He’s a past president of St. Augustine Rotary Club and The Arc of the St. Johns. He has served on the YMCA board and Cathedral Parish board. He worked for St. Johns County Utilities for over 35 years

and recently retired as director. After his retirement, he took a different career path and joined Wright-Pierce, a multidiscipline engineering firm.

Bill has been an AWWA member since 1988. He was a Roy Likins Scholarship recipient in 1993. He served in many positions over the years with the Florida Section, including Roy Likins Scholarship Committee chair, and trustee, secretary, vice chair, chair-elect, and finally section chair in 2018. He currently serves the section as the Finance Committee chair.

Bill will receive his award at AWWA’s ACE22 in San Antonio, Texas, this coming June. Congratulations Bill!

ALLEN B. ROBERTS JR. AWARD

This award is named in honor of Allen B. Roberts Jr., who worked diligently as the Florida Section’s executive director to improve the status of the section by providing valuable leadership.

Jay Madigan received this year’s award for his outstanding service as a member. Jay has contributed most to the section by providing valuable support to its programs through outstanding leadership, creativity, and service in the water-related field, particularly in fulfilling AWWA membership challenges.

Jay embarked on a road trip last year to visit the 12 FSAWWA regions. His goal was to a) see people outside of Zoom meetings, b) keep Member

Engagement and Development Council (MEDC) interests in the forefront of everyone’s mind, c) spike some interest in the need for diversity, and d) put some wind in the sails for Water Equation (WE) virtual fundraising events, such as the WE Walk before ACE21, WE Bid, and Last Splash of Summer, a STEAM (science, technology, engineering, arts, and mathematics) youth education project.

Also, under Jay’s leadership, MEDC worked hard in fostering AWWA’s Veteran Initiative, a program to create a career path for active military members to apply their skills, experience, and talents to the water industry. Currently FSAWWA has six regions with a designated veteran volunteer.

Jay Madigan
Bill Young
Bill with daughter Georgia.
Chi Ho Sham, AWWA president, presents Fuller Award pin to Bill.

DR. EDWARD SINGLEY AWARD OF EXCELLENCE

This award was given to Kim Kowalski by the FSAWWA Executive Committee for dedicating her time and talents in ensuring that the Florida Water Resources Conference (FWRC) remains viable and continues to serve all the members of the three sponsoring organizations. This exceeded her duties and obligations in her service to the FSAWWA board of governors and the section.

CHARLES HOGUE AWARD

Todd Jernigan was honored by the MAC with this award as its individual member of the year. He is an active committee volunteer for the FSAWWA Fall Conference, especially in the operator competitions.

FSAWWA SERVICE AWARDS

The following were honored for their service to the Florida Section:

ROBERT L. CLAUDY AWARD

This award is named in honor of Robert L. Claudy, who was a past chair of FSAWWA and is a big supporter of, and still active in, the Roy Likins Scholarship program.

Lisa Wilson-Davis was the recipient of this MAC award for her efforts in promoting water quality in the industry, community, section, and association, and continued support to the section. She continues to participate in the section and association’s programs through outstanding leadership, creativity, and service in the water-related field, particularly to the FSAWWA Water Utility Council.

MAC COMPANY OF THE YEAR AWARD

Awarded to E.H. Wachs.

Accepted by Hassan Cruz.

Jay Madigan Member Engagement and Development Council Chair 2019-2021

Mike George Manufacturers/ Associates Council Chair 2019-2021

Andy May Trustee 2016-2021

Lisa Wilson-Davis
David Roberts Region I Chair 2018-2021
Kenneth Broome Region IV Chair 2019-2021
Rhea Dorris Region III Chair 2019-2021
Monique Durand Region VI Chair 2019-2021
Ann Lee Region X Chair 2017-2021
Kim Kowalski
Todd Jernigan

RECAP OF 2021 FSAWWA FALL CONFERENCE

MAC DADDY

This award honors the Manufacturers/Associates Council (MAC) member or honorary member who has contributed the most to the success of the FSAWWA Fall Conference. In 2021, the honor went to Richard Anderson. He helped launch the first BBQ Challenge in 2014 and continues to assist with the event.

AWWA AWARDS

AWWA honors significant membership tenure with the following awards. The recognition received builds with a member’s years with the association.

GOLD WATER DROP AWARDS

Recipients were honored for 50 years of AWWA membership.

AWWA LIFE MEMBER STATUS AWARDS

Recipients were honored for 30 cumulative years of membership and being at least 65 years of age.

Brandon G. Braley

Thomas M. Brantley

John B. Corey

Christianne C. Ferraro

Walter C. Goblisch

John F. Hayford

Michael T. Hersey

Robert H. Hinkel

Jonathan M. Kennedy

J. Kent Kimes

Steven V. Mazuk

Stephen E. Moler

Harold W. Morrow

John E. Potts

Teresa Remudo-Fries

James C. Stiles

LANDMARK AWARDS

The FSAWWA gives this award to various facilities or structures serving as components of water systems that have historical significance and, as such, may be candidates as an AWWA Water Landmark or a Florida Section Water Landmark. The facility or structure should have been in service and operational for 50 or more years to qualify for this important recognition. Wells, pumps, and piping may qualify if deemed to be of important significance.

SILVER WATER DROP AWARDS

Recipients were honored for 25 cumulative years of AWWA membership. These awards were given out at the conference’s opening general session.

Paul Blastic

Marjorie G. Craig

Christine S. Ellenberger

Bobby K Gibbs

Gary J. Gula

Terry D. Gullett

Philip A. Jones

David A. King

David M. Richardson

Karen P. Snyder

Steven M. Soltau

Barry E. Stewart

Mickhael S. Sulayman

Dana Kirk Tallman

Marc Walch

James J. Wallace

S FKAA Kermit H. Lewin

Desalination Treatment Plant

Dedicated in 1968

S Miami-Dade Hialeah Water Treatment Plant

Dedicated in 1925

Due to the pandemic, the plaques were not finished on time. Formal presentations will be done in early 2022 at the discretion of the utilities.

Barton Jones
Richard Anderson (left) receives his award from Kevin Stine.

WATER DISTRIBUTION SYSTEM AWARDS

An award is given to a utility with outstanding performance during the preceding year that deserves special recognition by the section. The criteria for these awards shall be based on, but not limited to, the following:

S Must be a member of AWWA (organization or individual)

Accepted by Ben Keen and Alicia Keeter.

S Actively supports the activities of the Florida Section

S Has completed the questionnaire

S Demonstrates high standards and integrity

The following utilities earned the firstplace award in their respective divisions:

Accepted by John Bostic.

Division 2 – South Walton Utility Co. Inc.
Division 3 – City of Zephyrhills Utility Department
Division 4 – Bonita Springs Utilities Inc. Accepted by (left to right) James Morris, Lance Reighter, Mike Prescott, and Andy Koebel.
Division 1 No award.
Division 5 – City of Boca Raton Utility Services Dept.
Accepted by Lisa Wilson-Davis.
Division 8 – Hillsborough County Water Resources Dept.
Accepted by (from left) Roy Bean, Chris Jones, and Suresh Maharaj.
Division 6 – Broward County Water and Wastewater Services
Accepted by Kevin Carter.
Division 7 –Lee County Utilities Water Distribution (no photo)

RECAP OF 2021 FSAWWA FALL CONFERENCE

ROY W. LIKINS SCHOLARSHIP

The scholarships are awarded each year by the section to outstanding graduate or undergraduate college students enrolled in an accredited Florida institution who are pursuing a degree related to the drinking water industry. The scholarship is named for the late Roy Likins, former president of Palm Coast Utility Corp. and a lifelong member of AWWA, who served as section chair and secretary-treasurer, as well as Region IX chair with the Florida Water and Pollution Control Operators Association.

The total awarded for the scholarships was $66,000.

NOT PICTURED

Aleutia Blakeman, University of North Florida

Rachel Fonseca, University of Florida

Francis Gorman, University of North Florida

Francisca Olmos de Aguilera, Florida International University

Carlos Cabrejos Niquen, Florida International University

Maya Patel, University of Florida

Senuda Rajapakse University of Florida

Jerome Small, University of Florida

Program ElementSingle Program Highlight

Best in Class - Class 2

Orange County Utilities Water Division

“Water Watch Enforcement Program in a Pandemic”

Accepted by Terri Thill and Bridgett Tolley.

Comprehensive Water

Conservation Programming

Best in Class - Class 3

Pasco County/FGUA

“The Water Awareness Poster Contest” (no photo)

Scholarship recipients pose with Marjorie Craig (back row, center), vice chair of FSAWWA.

Nino Stea University of Central Florida
Isabella Sillverman University of South Florida
Elisabeth Schreiber University of Florida
Thanh Lam University of South Florida
Christopher Hagglund University of Central Florida
Zack Farmer Florida Atlantic University

“Case Study to Reduce Lead and Copper Corrosion Through Water Quality Optimization and Control of Nitrification”

Richie Angley, P.E.; GJ Schers, PMP; and Peter Davis

Accepted by Richie Angley.

“Evaluation of Mixing, Mass Transfer, Operation and Maintenance, Energy, and Material Requirements for H2S Oxidation at the Orlando Utilities Commission Water Treatment Plants”

Srikanth S. Pathapati, Ph.D.; Chris Schulz, P.E.; John Healy, P.E.; Brad Jewell, P.E.; Eric Jones; Robert Sumpter; Quyen Newell, P.E.; and Thomas Steinke

Accepted by (from left) Thomas

and John

Eric

“Evaluating Ozone Oxidation and Granular Activated Carbon for Treatment of Disinfection Byproduct Precursors From University of Central Florida’s Groundwater Supply”

Steven J. Duranceau, Ph.D., P.E.; Devon Higgins, EI; and Tulsi L. Shukla, MS, EI

Accepted by Tulsi

and Steve Duranceau.

Steinke,
Jones, Quyen Newell,
Healy.
Shukla

Incoming Chair’s Reception and BBQ Challenge was an Attendee Hit!

One of the highlights of the conference was the seventh annual BBQ Challenge and incoming chair’s reception held on the outdoor patio of the Hyatt Regency Grand Cypress. The setting made for a great evening of music, networking, and excellent food and drinks for more than 500 attendees. Mother Nature cooperated this year, and the beautiful patio setting was enjoyed by all.

It was also a chance to toast Emilie Moore, the incoming chair, who will lead the section in 2022. Emilie thanked everyone for attending.

Music was provided by Rick Hutton and Carly Jackson, each an excellent guitarist and vocalist. Some folks joined the duo onstage and had a fun and rocking time. It was great entertainment all around.

Event Sponsors

Complimentary beverages were sponsored by the FSAWWA Contractors Council and the following companies:

S CROM

S C&T Contracting Services

S Electric Services Inc.

S Integ-Crete Construction

S Kamstrup Water Metering

S Sinns and Thomas Electrical

S TESCO Controls

S Torishima Pumps

S VMG Construction

S Woolpert

The barbecue sides were sponsored by the FSAWWA Contractors Council and the following companies:

S Barney’s Pumps

S C&T Contracting Services

S Core & Main

S CPH Inc.

S EnviroSales of Florida

S Integ-Crete Construction

S MCO Construction & Services Inc.

S Petticoat Schmidt

S PSI Technologies

S REVERE Control System Inc.

S Torishima Pump Manufacturing

S TSC Jacobs North

S Victaulic

S Woolpert

The sponsors helped to make the 2021 event an outstanding success. There is nothing like an ice-cold drink and delicious sides to go with great barbecue!

Event Chairs and Teams

In charge of the event were cochairs Mike Alexakis and Richard Anderson. This year’s contest featured 12 teams competing for the honor of “grand champion.”

Grill masters from the following companies competed for top honors in chicken, pork butt, pork ribs, beef brisket, people’s choice, and overall champion:

S Bonita Springs Utilities

S Charlotte County Utilities/Jones Edmunds/ Crescent Limited

S Core and Main

S Ferguson Waterworks

S FJ Nugent/Mead & Hunt/AECOM

S Garney Construction

S Insituform/Aegion

S Kimley-Horn

Insituform/Aegion wins first place for beef brisket. First-place for chicken goes to Kimley-Horn. Kimley-Horn is first-place winner for pork butt.

Fred Bloetscher (right), outgoing section chair, introduces Emilie Moore, section chair for 2022.
Rick Hutton and Carly Jackson provide the entertainment.

S PCL Construction

S Peace River Manasota Regional Water Supply Authority

S Pinellas County Utilities/Meat Doctors

S Wharton-Smith/Barney’s Pumps

As the conference attendees socialized and feasted on the barbecue, judging took place to determine the best in each category and the grand champion. Thank you to the volunteer judges: Kim Kowalski, Mark Lehigh, Jason Parrillo, Greg Taylor, Lisa Wilson-Davis, and Bill Young.

BBQ Winners

Richard Anderson, the barbecue event cochair, announced the results at the end of the evening. Top honors went to the following teams: First-place honors:

S Kimley-Horn for chicken

S Peace River Manasota Regional Water Supply Authority for pork ribs

S Kimley-Horn for pork butt

S Insituform/Aegion for beef brisket

Other top honors included:

S Team Charlotte County Utilities earned the crowd’s vote, winning the people’s choice award.

S Kimley-Horn was declared the “2021 BBQ Grand Champion.”

Congratulations to all and kudos to the teams competing this year!

Overall, this year’s event was a tremendous success that featured great food and fun in a fantastic locale. Watch for news of the eighth annual BBQ Challenge at the 2022 FSAWWA Fall Conference at Hyatt Regency Grand Cypress. You don’t want to miss it!

The BBQ grand champion is Kimley-Horn.
Chi Ho Sham, AWWA president (far left), attends the barbecue with (left to right) Fred Bloetscher, Peggy Guingona, Bill Young, Emilie Moore, and Kim Kowalski.
Carolyn Bonaventura and Trooper Smith staff the Water Monster Tank to keep attendees hydrated.
Peace River Manasota Regional Water Supply Authority wins the first-place trophy for pork ribs.
Charlotte County Utilities wins the people’s choice award.
Networking at the BBQ.
The hotel patio provides a welcoming setting for the event.

Utilities Invited to Host Local “Drop Savers” Contest

The Florida Section of the American Water Works Association will again sponsor the statewide “Drop Savers” Water Conservation Poster Contest during National Drinking Water week, scheduled for May 1-7, 2022. Submission deadline is Friday, March 11, 2022, for local winners to be submitted for judging at the state level, Florida utilities are encouraged to begin preparations for showcasing the creativity of their local children.

The contest gives children from kindergarten through high school the opportunity to design a poster about water conservation. Early in the year, local winners are chosen in five different age groups, with winning entries advancing for statewide judging. Utilities publicize the local contests, distribute the contest material to local schools, coordinate the judging, recruit prize sponsors, and arrange local award ceremonies.

Although the state winners will be announced in mid-April prior to Drinking Water Week, utilities should start planning their local celebration now. Interested utilities may download the complete package of “Drop Savers 2022” start-up materials from the “Drop Savers” Florida Section web site at www.fsawwa.org/dropsavers. If you have questions or problems downloading the materials, please contact state coordinator Melissa Velez at (754) 229-3089 or by email velezm@bv.com.

Looking forward to seeing your utility represented this year!

Water Supply and Alternative Sources: I Ain’t Ready!

am not ready for one more strawberry field to be plowed and excavated for 2,500 singlefamily dwellings. Over three-quarters of the nation’s midwinter strawberries come from Plant City, and it’s been known as the Winter Strawberry Capital of the World for as long as I can remember.

I am also not ready to see a series of wetlands “mitigated” and pasture lands stripped to put in thousands of townhouses, condominiums, and million-square-feet warehouses. I always considered mitigation as punishment for those who did what they shouldn’t have done to our wetlands, which now seems like a blessing to allow ruining the wetlands.

I was not ready for Senate Bill 64 and its deadline of Nov. 1, 2021, for submittal of plans to stop surface water discharge. I was offended to be lumped in with nonadvanced wastewater treatment facilities meeting the Grizzle-Figg Act discharge limitation. I’ve

done a Level II Water Quality-Based Effluent Limitation (WQBEL) study that has morestringent loading requirements, making our facility limits even tighter than the Grizzle-Figg numbers.

Plant City just finalized both its water and wastewater master plans, agreeing that the population of Plant City (currently at just 40,000) will double by 2025, and triple by 2045. This means that we will need two more water plants and a new wastewater plant quickly. It took over five years to design and build the currently expanded wastewater plant, so that doesn’t give us a lot of time to waste—and we need to get the funding!

There are estimates that 1,000 people are moving to Florida each day, and its population will increase to nearly 26 million by 2030. By that time the state is projected to use 7.7 billion gallons per day of water, which is 1.3 billion gallons per day more than is currently used. In my opinion, I’m not the only one not ready!

In speaking to some regulators, they are not ready, senators and state representatives are not informed enough, and consumers are not aware of how water and wastewater plants operate now. They are concerned with how much their water bills are currently and may not understand the issue until all the lakes are bone dry. Operators and engineers are going

to need to fight for what’s right to truly have alternative sources of water supply.

Water Reuse News

First off, kudos to all the members of the Potable Reuse Commission (PRC) who work so diligently to address water issues in Florida. Its mission statement includes “develop a framework for potable reuse implementation in Florida to augment future water supply and support water quality initiatives” and “advice elected officials and regulatory agencies on statutory and regulatory challenges and present consensus based solutions.” This provides the underlying statutory framework for the implementation of potable reuse as an alternative water supply option.

The first draft of Chapter 62-610 of the Florida Administration Code (F.A.C.), Reuse Of Reclaimed Water and Land Application, had to be reworked, and at this time (late December 2021) it is still not finalized. It is posted on the Florida Department of Environmental Protection (FDEP) website.

The first joint Public Workshop for Potable Reuse Rulemaking was held Jan. 14, 2021, via a GoToWebinar (thanks to COVID-19). The second joint workshop was held June 2, 2021 (also via GoToWebinar), and covered the updates to Chapters 62-610, 62-625, 62-550, and 62-555 F.A.C. in response to the previous comment period. It’s hard to read a room when you’re not in the room, but the workshop went fast.

Chapter 62-550 F.A.C. and Chapter 62-555 F.A.C. are still in rulemaking and the revisions will update the chapters to be consistent with other Title 62 chapters, clarify current language, and identify the requirements for implementing treated reclaimed water as a source for public water systems. These are not easy tasks, and the proposed revisions would have to support, and be consistent and compliant with, the Florida Clean Waterways Act of 2020-150, Florida Statutes 403.064, Reuse of Reclaimed Water. Our friends at FDEP have a difficult job, and we must encourage and help them however we can to have this move forward in a realistic, feasible, and attainable way.

The potable reuse rulemaking link on the FDEP website is https://floridadep.gov/water/ domesticwastewater/content/water-reusenewsrulemaking-information.

Operators

The FWPCOA has approximately onethird of the licensed operators in the state as members. It should be more than that, but that’s another topic all together. What’s important here is that FWPCOA has a long history of advancing the professional status of water and wastewater operators. The association works in close cooperation with the Florida Water Environment Association (FWEA), Florida Section of the American Water Works Association (FSAWWA), Florida State Department of Health, FDEP, and the state educational system.

The association is comprised of members who are actively engaged in or deal with the production, treatment, or distribution of water, and/or the collection, treatment, or disposal of wastewater, whether industrial or domestic. Who better than operators to institute advanced training for indirect and direct potable water treatment? The technology is out there, and the reliability is there; we just need to work together and get specific classes blended appropriately, include all the disciplines, and be ready for a future of increasing potable water scarcity.

The association’s Education Committee is already making plans, and at least one of the topics at the Operators Showcase at this year’s Florida Water Resource Conference (FWRC), to be held April 24-27, 2022, in Daytona, will be potable reuse. Please do not fail to attend this joint conference, sponsored by FSAWWA, FWEA, and FWPCOA; it’s a great networking and technical-session event.

FWPCOA 2022 Spring State Short School

The FWPCOA 2022 Spring State Short School will be held March 14-18, 2022, at the Indian River State College in Fort Pierce. The following courses, as usual, will be offered:

S Backflow Repair Certification

S Backflow Tester Certification

S Backflow Tester Recertification

S Facility Management

S Reclaimed Water Distribution courses (A, B, and C)

S Reclaimed Water Distribution Abbreviated Courses (A, B, and C)

S Reclaimed Water Distribution Exam Only (A, B, and C)

S Stormwater Management (A, B, and C)

S Stormwater Management Exam Only (A, B, and C)

S Utilities Maintenance (Level II and III)

S Utilities Maintenance Exam Only (Level II and III)

S Utility Customer Relations (Level I, II, and III)

S Wastewater Collection System Operator (A, B, and C)

S Wastewater Collection System Operator Exam Only (A, B, and C)

S Supervisory Control and Data Acquisition (SCADA)

S Wastewater Process Control

S Wastewater Troubleshooting

S Water Distribution System Operator (Level I, 2, and 3)

S Water Distribution System Operator Exam Only (Level I, 2, and 3)

This will be the second time the SCADA class is offered at the short school, so don’t overlook it. Make sure you review the details for the sessions and meet the criteria required for certain courses or exams.

For event details go to www.fwpcoa.org and view the event calendar. For all events contact Shirley Reaves at (321) 383-9690 or fwpcoa@gmail.com, or Darin Bishop at (561) 840-0340 or memfwpcoa@gmail.com.

Past President Kenneth Enlow

My hat is off to Ken Enlow for his twoyear stint as president! By no means do I want to take away from all the things that directors, committee chairs, and all the other movers and shakers of FWPCOA all dealt with during his tenure, but those two years created their own kind of issues that were rather unique and

somewhat unpleasant. I’d like to recap some of the bad as briefly as I can:

S Feb. 11, 2020 - Walt Smyser, our dear friend and FWPCOA webmaster, passed away.

S March 13, 2020 - The last-minute cancellation of the March Spring State Short School (and both the FWPCOA board and Education Committee meetings) and the suspension of all face-to-face training. I believe this was the first cancellation since before World War II.

S April 2020 - The joint conference FWRC was canceled.

S June 6, 2020 - The first “electronic” meeting ever for FWPCOA was held, and the challenges with virtual meetings, then hybrid meetings, followed.

S August 9, 2020 – The Fall State Short School, proposed with COVID-19 mitigation recommendations, was canceled because of the Indian River State College closure.

There was also personal life losses and changes, an additional year of COVID, cancellation of the 2021 FWRC, abrupt cancellation of the FWPCOA awards banquet during the August 2021 short school, and more that I don’t know.

Thank you, Mr. Enlow, for your dedication and commitment to FWPCOA!

I want to thank all the leadership and hard-working members in our organization. Thank you for doing all you do every single day, in and out! Let’s keep that water clean! S

Military Point Regional Advanced Wastewater Treatment Facility

Bay County Utilities, Panama City

Work title and years of service.

I am the wastewater facilities lead operator at the Military Point Regional Advanced Wastewater Treatment Facility (AWTF) on Tyndall Air Force Base (AFB). Our plant capacity is 7 million gallons per day (mgd) average flow, with a peak flow of about 14 to 20 mgd with heavy rainfall. We have a five-stage Bardenpho biological nutrient removal process (BNR) with ultraviolet disinfection as we discharge to St. Andrew Bay (Class III Marine Waters). Our pollutant removal efficiencies average 98.9 percent for biochemical oxygen demand (BOD) and 99.6 percent for total suspended solids (TSS). I started my career as a wastewater operator

FWRJ READER PROFILE

license in 2017 and I was recently promoted to lead operator, when I then obtained my class B wastewater license. I have been in the industry almost seven years. I am only 27 years old so there’s a lot to accomplish.

What does your job entail?

I oversee and direct the operation of the facility to meet all applicable regulatory requirements in accordance with design criteria. I assist the chief operator with developing and implementing techniques and methods of process control, which increase plant efficiency, and also assist with submitting monthly, quarterly, and annual reports to the Florida Department of Environmental Protection (FDEP). I walk the plant daily to ensure safe and proper operation of all equipment, pumps, etc., and initiate work orders as needed.

What education and training have you had?

I recently passed my Class B wastewater exam and will be working toward obtaining my class A license in the near future. After that, I plan to pursue a degree in environmental science. There are countless seminars and training classes that I’ve attended throughout my career, along with a leadership development program provided by my employer.

What do you like best about your job?

Our wastewater division has won numerous awards from FDEP, Florida Water Environment

organizations over the past years for innovative technical advancements in the treatment of wastewater. Our team is passionate and dedicated to the treatment and disinfection of wastewater, and we take pride in our work.

What professional organizations do you belong to?

I am the director for Region I of FWPCOA and a member of the Florida Rural Water Association (FRWA) and FWEA.

How have the organizations helped your career?

To maintain my licenses, I attend training classes and workshops for continuing education units. These workshops not only support my credentials, but also give me the opportunity to network with others and update myself on current industry standards and state regulations. As I learn of new developments, I communicate them to my team members and we implement them in our day-to-day operations. This would not be possible if it weren’t for these organizations.

What do you like best about the industry?

The fact that we are making a huge impact on our future, and there’s always room for improvement and growth. There is constantly new technology coming out that not only makes our jobs easier, but improves treatment efficiency with accuracy and even equipment runtime costs. Many people call us super heroes—we can turn wastewater into what Bobby Boucher would call

Operators: Take the CEU Challenge!

Members of the Florida Water and Pollution Control Operators Association (FWPCOA) may earn continuing education units through the CEU Challenge! Answer the questions published on this page, based on the technical articles in this month’s issue. Circle the letter of each correct answer. There is only one correct answer to each question! Answer 80 percent of the questions on any article correctly to earn 0.1 CEU for your license. Retests are available.

This month’s editorial theme is Water Supply and Alternative Sources. Look above each set of questions to see if it is for water operators (DW), distribution system operators (DS), or wastewater operators (WW). Mail the completed page (or a photocopy) to: Florida Environmental Professionals Training, P.O. Box 33119, Palm Beach Gardens, Fla. 334203119. Enclose $15 for each set of questions you choose to answer (make checks payable to FWPCOA). You MUST be an FWPCOA member before you can submit your answers!

EARN CEUS BY ANSWERING

QUESTIONS FROM PREVIOUS

JOURNAL ISSUES!

Contact FWPCOA at membership@fwpcoa.org or at 561-840-0340. Articles from past issues can be viewed on the Journal website, www.fwrj.com.

Challenges and Solutions to Developing Alternative Water Supplies in Central Florida: Polk Regional Water Cooperative Experiences

Robert Maliva, Scott Manahan, Mary Thomas, Stephen James, and Ryan Taylor (Article 1: CEU = 0.1 DW/DS02015396)

1. Dissolved solids in central Florida Lower Floridan aquifer groundwater were mainly derived from the dissolution of a. calcium sulfate. b. sodium chloride. c. calcium chloride. d. sodium sulfate.

2. Concentrate disposal in southeastern and southwestern Florida is performed predominantly by a. Class I injection wells. b. Class V injection wells. c. reuse. d. surface water discharge.

3. Geochemical modeling results indicate that a supersaturation of concentrate_______________ would result in injection well clogging. a. chloride b. magnesium c. gypsum d. iron

4. The primary source of fresh drinking water in central Florida is a. the Lower Floridan aquifer. b. the Upper Floridan aquifer. c. the Avon Park formation. d. the Upper Cretaceous zone.

5. For Class V aquifer surface water injection wells required to meet Florida drinking water standards at the well head, the main parameter(s) of concern are a. chloride.

b. arsenic

c. coliform bacteria and other pathogens. d. total organic carbon.

If paying by credit card, fax to (561) 625-4858 providing the following information:

Addressing a 10-µg/L Lead Trigger Level for a Blended Water Supply by Evaluating Alternative Corrosion Control Inhibitors

Paula Campesino and Stephen J. Duranceau (Article 2: CEU = 0.1 DW/DS02015397)

1. The 1991 Lead and Copper Rule establishes a lead concentration action level of _____ mg/l.

a. 0.010

c. 1.3

b. 0.015

d. 1.5

2. Along with corrosion rates, ______________can be used to measure the pitting index.

a. gravimetric methods

b. electrochemical noise methods

c. the Larson-Skold ratio

d. linear polarization resistance

3. The study concludes that the proposed future treatment of Verna water will cause corrosivity to

a. worsen.

b. improve.

c. remain unchanged. d. change, but unpredictably.

4. It has been shown that a chloride-to-sulfate mass ratio of ______ may reduce corrosivity and pitting.

a. 1

c. 7

b. greater than 1

d. less than 0.6

5. The study results show that a blended polyphosphate product may

a. increase lead and copper corrosion.

b. decrease lead, but increase copper corrosion.

c. increase corrosion of mild steel and ductile iron.

d. have no impact at all on any metals.

State of Infrastructure Security: Protecting Water Lifelines From Physical and Cyber Threats

Twenty years after 9/11 the challenges to maintain normal operation of water and wastewater systems continue to increase as the water sector works to improve drinking water security and resilience

Imagine that it’s Monday morning and you’re in your kitchen filling up the coffeemaker before starting the work week and nothing comes out of the tap. Now imagine by Friday you still have no water—not for coffee, your morning shower, your cooking and cleaning, or to flush toilets. Imagine for five days being unable to do these mundane activities you’ve come to take for granted every day—and that’s just the impact to you, personally. Without water and wastewater service many businesses can’t open, and eventually, an entire community’s ability to function begins to degrade.

The fact remains that drinking water is fundamental to life and our expectation is to have this convenient service (along with wastewater) at our fingertips every minute of every day of every year. When it’s gone, it’s not only extremely disruptive to us individually, but its absence also threatens everything around us..

Legislation Addresses Security

Twenty years after 9/11, the challenges to maintain normal operation of water and wastewater systems continue to increase as the water sector works to improve drinking water security and resilience. In response to the terrorist attack, the Public Health Security and Bioterrorism Preparedness and Response Act of 2002 (P.L. 107-188) was passed on June 12, 2002. This legislation amended the Safe Drinking Water Act (SDWA) and required approximately 8,400 community water systems serving greater than 3,300 people to conduct vulnerability assessments (VAs) and prepare emergency response plans (ERPs). This legislation authorized (but didn’t appropriate) funding for preparing the VAs and ERPs and for emergency grants to states and utilities.

A Louisiana National Guard soldier distributes food and water to citizens in the wake of Hurricane Ida in Westwego, La., on Sept. 1, 2021. (U.S. Army National Guard photo by Sgt. Renee Seruntine)

This legislation directed the U.S. Environmental Protection Agency (EPA), not the Department of Homeland Security (DHS), to review methods to prevent, detect, and respond to threats to water safety and infrastructure security. The EPA set up a water security division (WSD) and focused its initial efforts on foreign and domestic terrorist threats, improving physical security, and detecting intentional contamination by adversaries. This legislation did not require water systems to make security upgrades to address potential vulnerabilities, but many water systems made physical security improvements, such as improving access control to their facilities.

In the same time frame, DHS identified 16 critical infrastructure sectors where assets, systems, and networks, whether physical or virtual, are considered so vital to the United States that their incapacitation or destruction would have a debilitating effect on security, the national economy, and public health and safety. Water and wastewater systems are one of the 16 sectors, and guidance and resources have been developed by DHS and EPA to assist systems in improving security and resilience—but there is much more to do.

Weather is a Security Issue

As the water sector increased its knowledge on security and resilience, and there were zero (or a limited number) of incidents of physical attacks or intentional contamination, it became apparent that an all-hazard approach was needed that addressed extreme weather events, such as hurricanes, flooding, ice storms, wildfires, etc., as well as cybersecurity and other threats. The water sector then established water/wastewater response networks (WARNs) across the U.S. to provide a system for “utilities helping utilities” in the aftermath of an extreme weather event. In many cases, the WARNs have been effective ways to bring people and equipment in to assist prior to the arrival of federal resources and to aid in navigating the federal process for reimbursement of response and recovery expenditures.

Extreme weather events occur on a regular basis and Hurricane Ida and its impacts on water systems in Louisiana are the latest example. As of Sept. 11, 2021 (12 days after Ida made landfall), at 3 p.m., CDT, according to the Louisiana Department of Health website, the impacts to its water systems included:

S 217 water systems serving 822,246 people were cleared of boil water advisories.

S 91 water systems serving 326,226 people were on boil water advisories.

S 18 water systems serving 19,661 people had water outages, i.e., no water service.

These statistics show the power of extreme weather events to impact water systems, even in areas like Louisiana that are used to hurricanes. They know better than most how to prepare and how to respond, but there’s only so much a utility can do with 150-mile-per-hour winds, several inches of rain, and substantial power outages. Supplies of treatment plant chemicals also became an issue in the aftermath of Ida. The strength of Ida created water service impacts for approximately 25 percent of Louisiana’s population and considerable impacts to water and wastewater systems in other neighboring states.

Improving Operations

System resilience goes beyond response and recovery into design and operational issues that also need improvements. Remember that EPA’s focus, as defined by the SDWA, is ensuring that these systems meet the standards for more

Continued on page 54

than 90 regulated contaminants. Meeting the standards is essential for public health protection, but having an adequate water source is part of the equation. Approximately half of those systems serve fewer than 500 people, and it’s likely that most, if not all, of them are groundwater systems with a single well and single storage tank. With only a single source of water, the well pump can’t be pulled and maintained as it should be, and the well casing and screens also can’t be checked and maintained.

While it’s a small system issue, it becomes a big problem in the community when there’s no drinking water. Additionally, there are no federal requirements for backup power, nor are there state-level requirements for backup power, and fuel storage for generators varies from state to state.

Time marches on, and Congress responded to the increasing number and diversity of threats to water systems with another round of legislation. The America’s Water Infrastructure Act (AWIA) was passed on Oct. 23, 2018, and AWIA Section 2013 required approximately 10,000 community water systems serving greater than 3,300 people to develop or update risk and resilience assessments and their ERPs. The law specifies the components that these assessments and ERPs must address and establishes deadlines by which water systems must certify to EPA completion of the risk and resilience assessment.

Current Challenges

After two rounds of federal legislation and two cycles of assessments and ERPs, where are we today in the water sector? The short answer is that we are still facing many, many challenges.

First, a significant challenge is the sheer number of public water systems. There are more than 150,000 public water systems and more than 50,000 community water systems (CWS) where people live and work every day. Another challenge is that the most CWS are publicly owned and become easily tangled up in politics and resistance to raising rates to buy “insurance,” i.e., to make improvements to protect against low-probability events.

Second, neither round of federal legislation nor the systems’ assessments required systems to make any improvements to address any of the vulnerabilities that were identified. It’s up to the governing board or the city council to make the financial decisions on whether to invest in the necessary security and resiliency improvements. Progress on these improvements is unknown.

Third, after 9/11, many states passed exceptions to the Sunshine Act or other public disclosure laws for security information. These

protections are logical, as one wouldn’t want adversaries to know the strengths and weaknesses of any system’s security improvements, but these protections present challenges for federal and state regulators to understand the breadth and depth of potential security problems. The national scope of the problems is unknown; what, for instance, is the total national need (cost) for security and resiliency improvements?

Fourth, there is no systematic reporting of security breaches and outages at water and wastewater systems, other than at the state level as previously discussed for the recovery from Hurricane Ida in Louisiana. When there is a power outage in an area, sometimes the system has adequate backup power and enough fuel to sustain the generators during the outage, but in a sustained power outage maintaining an adequate fuel supply can be problematic. There is no systematic reporting of impacts to water and wastewater systems during power outages and there is a legitimate issue on what the data would be used for if collected.

Fifth, an understanding of the relative risks of the threats (physical destruction versus intentional contaminant versus cyberattacks) is needed to prioritize investments in improvements so that the most-likely risks are addressed. Research is needed on how to harden water and wastewater infrastructure in a cost-effective manner.

Finally, cybersecurity in the water sector has emerged as a top priority in the past couple of years. In 2019 and 2021, well-publicized incidents in Ellsworth, Kan., and in Oldsmar, Fla,, respectively, are prime examples. The media carried the story of the 2021 indictment of a former employee in Ellsworth, and law enforcement held a news conference in Oldsmar to report the attack (no indictments yet), but many other cyberattacks in the water sector don’t make the news and we don’t know how many attacks occur or how significant the attacks are to system operations.

Increased automation in water and wastewater systems has improved efficiency, but it has also increased the risk of cybersecurity attacks. The water sector is lacking a baseline estimate of how many systems have remote access, but it’s likely at least 50 percent. Cybersecurity tools and resources have been developed by EPA and others, such as the American Water Works Association (AWWA), but it’s unclear how many systems have taken advantage of these resources or made any of the improvements noted in a cybersecurity assessment.

Moving Forward

So, what’s next for the water sector? Several questions need to be answered in a collaborative manner, so that everyone agrees

with the path forward for improving security and resilience in the water sector:

S What are the greatest risks for water and wastewater systems? Is the risk for each system site-specific?

S What have systems done already to lower those risks? What improvements remain? How much would those improvements cost?

S How many water systems have a single source of supply? How would emergency water be supplied if that source failed? How long could that emergency supply be sustained?

S How many systems have full backup power? Who would look at the data if collected? What would be the resultant actions from this data collection?

S Do we need a national reporting system of system breaches and cyberattacks? Who would look at this data? What would be the resultant actions from this data collection?

S How do we best increase cybersecurity skills and knowledge across the water sector?

S How do we best reduce the cybersecurity risks to water and wastewater systems?

S Are the ongoing treatment plant chemical supply issues solely related to the COVID-19 pandemic or are they indicative of a more systemic problem?

S How could we optimize the federal/state/ local response to extreme weather events?

These questions may sound simple, but they represent a staggering research agenda that needs significant federal funding for making progress on the necessary security and resiliency improvements to our water and wastewater systems. A coordinated effort is needed as soon as possible, as it’s critical that the speed of the progress be increased through collaboration between federal and state agencies and water and wastewater systems. The alternative—to stay with the status quo—means that the water sector will continue to make slow and steady progress on improving security and resiliency, while many more extreme events occur. This will likely leave communities without water, which will continue to destabilize their economies and the lives of the people within them.

Alan Roberson, P.E., is executive director of Association of State Drinking Water Agencies in Arlington, Va. This article was first published by Homeland Security Today S

African-American HISTORY Month

February 2022

Jacqueline Torbert

Sr. Director at Toho Water Authority, Past FSAWWA Chair, Past AWWA Vice President, Member of AWWA Technical and Educational Council

Coleman D. McClain Senior Sales Engineer, AMERICAN Ductile Iron Pipe, current FSAWWA Member Engagement/Development Council chair

Christopher Isaiah Moss

Operations Group Shift Lead at Tampa Bay Water; Iraq and Afghanistan War Veteran; conducted water operations in Germany, Poland, Iraq, and Afghanistan

FSAWWA members celebrate African-American History Month. African-Americans continue to make important contributions to the water industry while helping us lead the way to a more sustainable future. Thank you for your many contributions! You have made the Florida Section and the water industry: a better Florida through better water!

Join us in reflecting upon the rich African-American history within our water community.

Let’s Talk Source Water Protection

ource water protection is more important than ever—especially in Florida—as an average of approximately 900 net people per day are populating our state. The better the quality of our source water, the less expensive the capital and operational costs of our water treatment systems are to provide the highest quality drinking water to customers. Additionally, maintaining and protecting high-quality source water reduces risks for contamination of a drinking water supply.

The support of the American Water Works Association (AWWA) of this premise is noted in its official policy statement on the quality of water supply sources:

“AWWA strongly supports securing drinking water from the highest quality sources available and protecting those sources to the maximum degree possible” (AWWA, 2010).

The AWWA also strongly encourages “implementation of proactive approaches by utilities to safeguard, maintain, or improve the quality and/or quantity of drinking water

sources and their contributing areas” (AWWA, 2022).

Per a U.S. Geological Survey study (Water Withdrawals, Uses, and Trends in Florida, 2015; U.S. Geological Survey, 2020), in 2015 approximately 15,319 million gallons per day (mgd) of water were withdrawn in Florida, of which approximately 63 percent (9,598 mgd) was saline water and approximately 37 percent (5,721 mgd) was freshwater. Of the salinewater withdrawals, surface-water sources accounted for approximately 98 percent of the withdrawals, while groundwater sources accounted for approximately 2 percent. Of the freshwater withdrawals, groundwater accounted for approximately 3,604 mgd (63 percent) and surface water accounted for the remaining 2,117 mgd (37 percent).

The primary goal of AWWA is to support water utilities in the evaluation and improvement of their water quality, operations, maintenance, and infrastructure. A key provision is the AWWA standards program, which has existed for more than 100 years to produce peer-reviewed standards for the materials and processes used by water and wastewater utility industries. These standards, which are approved by the American National Standards Institute (ANSI), are recognized worldwide and have been adopted by many utilities and organizations. The AWWA standards program is designed to assist water and wastewater utilities and their service providers in meeting the expectations of

their customers, investors, and government regulators. The standards developed under the program are generally intended to improve a utility’s overall operations and service.

One of these standards, ANSI/AWWA Standard G300, Source Water Protection, is for a drinking water facility to use to protect its drinking water supply sources. The G300 is a standard within AWWA’s utility management standards program. The first edition of ANSI/ AWWA G300 became effective on July 1, 2007, was revised on June 1, 2014, and is currently being updated, with a revised edition expected in 2022.

The G300 identifies six key components of a successful local source water protection (SWP) program, including:

S Program Vision

S Source Water Characterization and Assessment

S Program Goals and Objectives

S Action Plans Development

S Action Plans Implementation

S Program Metrics Evaluation

Stakeholders play an important part in source water protection. As highlighted by AWWA, “Involvement of relevant outside stakeholders is usually essential for development and implementation of a successful source water protection program” (AWWA, 2022). Utilities may already have partnerships with relevant stakeholders, and the formation of new partnerships at the watershed and local levels is

(photos: Emilie Moore)

an effective approach to engage stakeholders. These stakeholders may be very diverse and include those financially impacted by the cost of drinking water treatment. What gets measured gets done. Additional source water protection resources have been developed recently by AWWA and are available free of charge on the www.awwa.org website, including:

S Operational Guide to ANSI/AWWA G300 (AWWA, 2017)

S Source Water Protection Justification Toolkit (AWWA, 2018)

S Source Water Protection Performance Metrics (AWWA, 2021)

S Source Water Protection Performance Metrics Tool, including Excel file, users guide, and training presentation (AWWA, 2021)

The AWWA Technical and Education Council (TEC) funded the development of the 2021 source water protection performance metrics publication to serve as a guide for measuring source water protection metrics. The publication identifies example quantitative and qualitative performance metrics for a range of source water protection measures.

In addition, AWWA initiated the first-ever Source Water Protection Week in 2021 during the last week in September to raise awareness about the importance of protecting drinking water sources.

Other national resources include the Farm Bill passed by the U.S. Congress in 2018 and administered by the U.S. Department of Agriculture (USDA) Natural Resource Conservation Service (NRCS). The Farm Bill is offering approximately $4 billion dollars over the next 10 years to conservation practices that protect sources of drinking water. Financial assistance programs offered by NRCS in Florida through the Farm Bill (https://www.nrcs.usda. gov/wps/portal/nrcs/main/fl/programs/) include the Conservation Stewardship Program (CSP) and the Environmental Quality Incentives Program (EQIP).

If you are passionate about source water protection in Florida, please reach out to me, and the FSAWWA TEC and FSAWWA Water Utility Council (WUC), as we expand our footprint utilizing AWWA’s and other national and local resources to help safeguard water quality at the source in ever-growing Florida. S

(Copyright: 2018 American Water Works Association)

This column addresses safety issues of interest to water and wastewater personnel, and will appear monthly in the magazine. The Journal is also interested in receiving any articles on the subject of safety that it can share with readers in the “Spotlight on Safety” column.

Message to Self: Distracted Driving Is Dangerous

Every year roadway accidents are the number one cause of fatal occupational injuries. The Bureau of Labor Statistics indicates that roadway incidents accounted for 24 percent of all work-related fatalities. While there are many reasons for these accidents, distracted driving is a growing safety concern for both occupational and personal-use motorists.

What is distracted driving? The National Highway Traffic Safety Administration (NHTSA) defines distracted driving as a specific type of inattention that occurs when drivers divert their attention away from driving to focus on another activity.

Distracted driving is divided into the following categories:

S Visual distractions - Tasks that require the driver to look away from the roadway to visually obtain information.

S Manual distractions - Tasks that require the driver to take a hand off the steering wheel and manipulate a device.

S Cognitive distractions - Tasks that are defined as the mental workload associated with a task that involves thinking about something other than the driving task.

Distracted driving, therefore, is any activity that diverts a driver’s attention away from the task of driving. These distractions can be electronic, such as text messaging or using a navigation system, tablet, or cell phone; or more conventional, such as talking to a passenger or eating. Other common distractions include grooming, reading, eating, drinking, watching a video, or changing

the radio station, CD, or MP3 player. Because text messaging—texting—involves cognitive, manual, and visual attention, it has received the most legal attention in recent years, including legislative bans on texting while driving.

It’s well documented in multiple university studies that drivers simply can’t safely do two things at once. These studies conclude that motorists talking on a hand-held or even a handsfree cell phone are as impaired as intoxicated drivers with a blood alcohol level of .08 (the minimum level that defines drunk driving in most states).

Here are a few eye-opening statistics from the NHTSA that may encourage drivers to limit their distractions:

S Drivers who use hand-held devices while driving are four times as likely to get into crashes serious enough to injure themselves or others.

S In 2018, an estimated 421,000 people were injured in motor vehicle crashes involving a distracted driver—a nine percent increase from the estimated 387,000 people injured in 2017.

S At any given moment across America, approximately 660,000 drivers are using cell phones or manipulating electronic devices while driving.

Perhaps the most common distraction is cell phone use. About 89 percent (approximately 277million) of Americans have a cell phone, and 77 percent of those individuals report that at least some of the time they talk on the phone while driving.

Distracted driving has risen to unprecedented levels, and state legislatures have taken action. Eleven states, the District of Columbia, and the Virgin Islands have banned handheld cell phone use for all drivers, while 41 states, the District of Columbia, and Guam have banned text messaging by all drivers.

Everyone Has a Personal Responsibility

Common sense and personal responsibility are a big part of the solution. But the problem simply can’t be legislated away. President Barack Obama issued an executive order in 2011 that prohibits more than four million federal employees from texting behind the wheel while working or while using government vehicles and communication devices, but accidents continue to occur.

One reason is that more portable technology is available now than ever before, and driver distractions have risen to unprecedented and alarming levels. People expect instant, real-time

information 24 hours a day and those desires do not stop just because people get behind the wheel. Drivers don’t always realize the dangers of taking their eyes and minds off the road, their hands off the wheel, and focusing on activities other than driving.

Company Policy

Every company should have a policy that prohibits the use of cell phones while driving, but just having a policy is not enough; it must be communicated to the affected employees, compliance must be monitored, and violations enforced. The National Safety Council has a free cell phone kit available to help develop a policy. There’s information to assist with understanding the issue, obtaining buy-in from leadership, and educating employees. There’s also a sample cell phone policy to use as a blueprint for your organization.

There are severe consequences if one of your employees is involved in a severe or even fatal accident while on company business and was found to be distracted because of using a cell phone at the time of the accident, especially if your organization does not have an established

cell phone policy. There have been numerous documented lawsuits with multimillion-dollar settlements awarded by juries to the victims involving distracted drivers.

Prevention Strategies

Distracted driving is a complicated issue and must be approached through multiple channels. Enacting laws banning the use of cell phones and increasing the penalties for violators will deter some, but not all drivers. Continued driver education and awareness are vital tools in changing drivers’ behaviors.

Distracted driving is a learned behavior. There have been surveys where young drivers cite instances of observing their parents using their cell phones while driving. Education is the key to breaking the chain of distracted driving for future generations of drivers, which will ultimately make American roadways safer.

Consider the following to minimize distractions while driving:

S Adjust mirrors, temperature controls, and entertainment consoles when you first get into the vehicle.

S Input your destination into your GPS before embarking on your trip.

S Stow cell phones in the trunk or glove compartment.

S Turn off cell phones and have a programmed message informing the caller that you are driving and you will call them after you arrive at your destination.

S If you must use your cell phone, pull off the road to a safe area before making or answering a call.

S Never take a photo with your cell phone unless your vehicle is stopped.

S If you stop for food, eat it while your vehicle is parked.

S Do not perform personal grooming while driving.

S Purchase and install GPS mounts that allow you to keep your head up.

For more information go to the official website for distracted driving at www.distraction. gov, or the National Safety Council website on the topic at http://www.nsc.org/learn/NSCInitiatives/Pages/distracted-driving.aspx. S

2021 FSAWWA AWARDS

Outstanding and Most Improved Water Treatment Plant Awards

Class A, Class B, Class C

Deadline: Friday, March 18, 2022

Outstanding Water Treatment Plant Operator Award

Deadline: Friday, March 18, 2022

AWWA Operator’s Meritorious Service Award

Deadline: Friday, March 18, 2022

For more information please go to our website www.fsawwa.org/WTPawards or contact Paul Kavanagh at (813) 264-3835 or kavanaghp@hillsboroughcounty.org

Test Yourself

What Do You Know About Environmental Resource Permitting?

1. Per Florida Administrative Code (FAC) 62330 Environmental Resource Permitting, the environmental resource permitting (ERP) program governs construction, alteration, operation, maintenance, repair, abandonment, and removal of what type of systems?

a. Drinking water systems

b. Stormwater systems

c. Wastewater collection systems

d. Wastewater treatment systems

2. Per FAC 62-330, an ERP is required prior to the construction, alteration, operation, maintenance, removal, or abandonment of any project that results in a total of how many square feet of impervious or semi-impervious surface area?

a. 2,000 square feet

b. 5,000 square feet

c. 9,000 square feet

d. 10,000 square feet

3. Per FAC 62-330, the duration of an ERP for a general permit is how many years long to construct?

a. 2 years

b. 3 years

c. 4 years

d. 5 years

4. Per FAC 62-330, where must an individual permit be kept during the construction phase?

a. At the regional office of the Florida Department of Environmental Protection (FDEP).

b. At the local government building department.

c. At the work site of the permitted activity.

d. Online at the FDEP ERP permit site.

5. Per FAC 62-330, a general ERP may be granted to counties, municipalities, state agencies, and water management districts to construct, operate, and maintain a stormwater project to

a. add additional treatment capability to an existing stormwater management system.

b. install a new stormwater pumping system.

c. reduce existing flooding by discharging additional untreated stormwater. d. serve a new development.

6. Per FAC 62-330, a general ERP is granted for the installation, maintenance, repair, and removal of underground utility lines; however, the maximum width of the disturbed corridor in wetlands shall not exceed

a. 15 feet.

b. 20 feet.

c. 30 feet.

d. 50 feet.

7. Per FAC 62-330, a general ERP is granted to any person constructing, repairing, or replacing a subaqueous utility crossing of artificial waters and residential canal systems. What is the maximum length of the utility crossing from top of bank to top of bank?

a. 75 feet

b. 100 feet

c. 150 feet

d. 200 feet

8. Per FAC 62-330, a general ERP is granted to governmental entities to construct, operate, and maintain public use facilities on public natural areas. The public use facilities authorized by this permit include a parking lot or parking area and an at-grade access road. The total size of impervious surface cannot exceed

a. 2 acres.

b. 3 acres.

c. 4 acres.

d. 5 acres.

9. Per the Environmental Resource Permit Applicant’s Handbook, Volume 1, (ERP Handbook, Volume 1), some activities are exempt from the ERP program, including construction and maintenance of

a. sanitary sewer collection systems.

b. swales.

c. swale systems.

d. water treatment plants.

10. Per the ERP Handbook, Volume 1, when do construction projects under a general ERP convert to an operations and maintenance phase?

a. Automatically upon completion of permitted activities.

b. Immediately upon submittal of a certification of completion form to FDEP.

c. Within 30 days of submitting a certification of completion form to FDEP.

d. Within 10 days of satisfactory inspection of the project by FDEP.

Answers on page 78

References used for this quiz:

• Florida Administrative Code 62-330 Environmental Resource Permitting https://www.flrules.org/gateway/ChapterHome. asp?Chapter=62-330

• Environmental Resource Permit Applicant’s Handbook, Volume 1 https://www.flrules.org/Gateway/reference. asp?No=Ref-12078

Send Us Your Questions

Readers are welcome to submit questions or exercises on water or wastewater treatment plant operations for publication in Test Yourself. Send your question (with the answer) or your exercise (with the solution) by email to: donna@h2owriting.com

Gainesville, FL | $605

Gainesville, FL | $706

Wastewater

Gainesville, FL | $705

Water Distribution Systems Operator Level 2&3 Training

Gainesville, FL | $699

FWEA CHAPTER CORNER

Welcome to the FWEA Chapter Corner! The Member Relations Committee of the Florida Water EnvironmentvAssociation hosts this article to celebrate the success of recent association chapter activities and inform members of upcoming events. To have information included for your chapter, send details to Melody Gonzalez at gonzalezm@bv.com.

FWEA Wastewater Process Fall 2021 Seminar: The Future is NOW!

Wastewater Process Committee hosts successful seminar

On Tuesday, Nov. 2, 2021, the FWEA Wastewater Process Committee hosted the FWEA Wastewater Process Fall 2021 Seminar, “The Future is NOW!” at the St. Pete College EpiCenter in Clearwater. The seminar

of current approaches employed by professionals in the wastewater treatment sector. The seminar presented the results of research and observations using innovative process engineering practices and advanced plant operations.

attended the seminar, with the following 10 technical presentations:

Nonbeneficial Surface Water Discharge Ryan Popko (JEA) and David MacNevin

Are MBRs the Future? State of the

Largest MBR in Florida Update: Delivering Advanced Wastewater Treatment for Jody Barksdale and Andrew Gilmore

Stepping it up During Wet Weather: How to Handle More Flow Through Secondary

A Day in the Life of the Modern Operator Matt Astorino and Igor Gutin (City of Cape

A Comparison of Five-Stage Bardenpho Processes to Achieve High-Level Nutrient Removal at the Northwest WRF and South

Melody Gonzalez
Registration table.
Isaiah Shapiro presenting during the seminar.

Isaiah Shapiro (Hillsborough County)

S Anastasia Island WWTF Ultraviolet Light Design Project

David Rasmussen (Ardurra)

S City of St. Petersburg SWWRF Biosolids-toEnergy Project

Lisa Rhea (City of St. Petersburg)

S Aerobic Granular Sludge Startup in Wolf Creek WWTP in Foley, Ala.

Joe Tardio (Aqua-Aerobic Systems Inc.)

The keynote address was delivered during the lunch break by Megan Ross, Pinellas County Utilities director.

Thank you to all the speakers, attendees, sponsors, and volunteers from the Wastewater Process Committee. Special thanks go to Bartt

for their

efforts to put together such a successful event.

Maraida Balaguer-Barbosa, EI, MS, ENV SP, is wastewater engineer 2 with Arcadis in Tampa. S

Booz, chair; Yanni Polematidis, vice chair; and Tonya Sonier, treasurer,
tireless
Panelists group picture.

Challenges and Solutions to Developing Alternative Water Supplies in Central Florida: Polk Regional Water Cooperative Experiences

Central Florida is projected to experience continued rapid population growth and concomitant increases in water demands. Groundwater modeling performed for the Central Florida Water Initiative (CFWI) indicates that the region is approaching the sustainable limit for Upper Floridan aquifer (UFA) groundwater withdrawals, its predominant water source, and projects a shortfall of 95 mil gal per day (mgd) by 2040 that will have to be met through expanded water conservation and other alternative sources. Communities will therefore be forced to find alternative water sources (AWS) to meet future demands.

Fragmentation of regional water supply systems into numerous local utilities increases the cost of developing AWS due to poor economies of scale. A solution to fragmentation is joint development of large AWS projects, which were adopted by the Polk Regional Water Cooperative (PRWC), a consortium of 16 Polk County governments. The PRWC is in the design stage for four AWS projects, two brackish groundwater desalination facilities, and surface water facilities withdrawing from the Peace Creek and Peace River.

Brackish groundwater desalination is widely adopted as AWS in Florida because much

of the state is underlain by brackish groundwater and it’s a reliable year-round supply. A technical challenge in Polk County is that its brackish groundwater source, the Lower Floridan aquifer (LFA), contains calcium sulfate-type water (rather than the sodium chloride-type water of coastal brackish aquifers). The reverse osmosis (RO) desalination process will produce a concentrate that is highly supersaturated with respect to gypsum and thus poses a high threat of scale formation in injection wells used for its disposal.

The solution adopted is pretreatment using a precipitation process to decrease calcium and sulfate concentrations. Potential increases in the salinity of the raw water over time were addressed by rigorous solute-transport modeling and a robust treatment process design.

Desalination concentrate disposal in central Florida is particularly challenging because of the absence of a high-transmissivity injection zone below the regulatory base of the underground source of drinking water (USDW). Injection of concentrate into a basal LFA zone could result in upward migration into a USDW, which would be a regulatory violation, but would not impair actual potable water supplies as the migrating water would

Robert G. Maliva is principal hydrogeologist and Scott Manahan is senior engineering manager with WSP USA Inc. in Fort Myers. Mary Thomas is associate vice president with Carollo Engineers in Orlando. Stephen James is administrator and Ryan Taylor is executive director of Polk Regional Water Cooperative in Bartow.

be captured by the shallower LFA production wells.

The PRWC is investigating both avenues of regulatory relief for LFA injection wells and use of a deeper Upper Cretaceous injection zone. Upper Cretaceous injection wells are more expensive and may operate at higher pressures than LFA injection wells, but the greater cost per well would be at least partially offset by an expected greater capacity per well.

The Peace Creek and Peace River projects would involve capturing and treating excess available surface water during the wet season for aquifer recharge. The goal is to increase aquifer heads so that additional UFA groundwater can be extracted without impacting minimum flows and levels of nearby lakes. Key technical issues are developing the most-cost-effective water treatment and storage options and identifying design options through detailed groundwater modeling that maximize the permittable additional UFA withdrawals. An overarching lesson of the PRWC experience is that there are no simple solutions for AWS and a wide range of options need to be rigorously considered.

Background

The strong economic and population growth of central Florida is projected to continue in coming decades. According to the Florida Bureau of Economic and Business Research (BEBR), the population of the counties in the region is projected to increase by 20.1 to 55.2 percent between 2020 and 2040 (Table 1).

(source: Rayer and Wang, 2019)

The primary water source in central

Table 1. Bureau of Economic and Business Research Projected Future Increases in Central Florida Population

Florida is fresh groundwater from the UFA, which has the great benefit of relatively low cost, high quality, and widespread availability. Extractions from the UFA in central Florida are considered to be approaching sustainable limits, which are dictated primarily by impacts to minimum flows and levels (MFLs) in lakes and springs.

The CFWI is “a collaborative water supply planning effort among the state’s three largest water management districts, Florida Department of Environmental Protection (FDEP), Florida Department of Agriculture and Consumer Services (DACS), water utilities, environmental groups, business organizations, agricultural communities, and other stakeholders” (CFWI, 2018). According to the 2020 CFWI regional water supply plan (RWSP), the sustainable fresh groundwater supply in the CFWI planning area is about 760 mgd and the projected water demand in 2040 is 855 mgd, leaving a projected shortfall of 95 mgd that will have to be met through expanded water conservation and other alternative sources (CFWI, 2020).

The main potable options for AWS in central Florida are desalination of brackish groundwater, fresh surface water from rivers and creeks, and potable reuse (direct and indirect). Utilities may also obtain additional permittable fresh groundwater allocations by purchasing properties with agricultural allocations. Water supply in parts of central Florida is decentralized, with small utilities serving local populations. Decentralization is often preferred by communities because it gives them greater autonomy over their water supplies, but the fragmentation of community water supplies can be an impediment to the development of AWS as small utilities often lack the needed technical and financial resources.

The poor economies of scale of small projects can result in high unit costs for additional water, but collaboration among community water supply systems is a means for smaller utilities to take advantage of the economies of scale of large AWS systems (Mullin, 2020).

The PRWC was established “to proactively identify alternative water resources and projects that ensure the future sustainability of our regional water supply. The PRWC will develop strategies that meet the long-term water demands of Polk County, determine needed infrastructure, and facilitate a regional conservation program, which encourages the responsible use of our water resources” (PRWC, 2020).

The PRWC is overseen by its 16 member governments, which include 15 cities and Polk County. The PRWC, in partnership with

the Southwest Florida Water Management District (SWFWMD), investigated various options for AWS in Polk County. The three main projects for the AWS chosen as best meeting the PRWC future requirements are two brackish groundwater desalination facilities, designated the Southeast and West Polk Lower Floridan Aquifer Water Production Facilities (SE LFAWPF and WP LFAWPF,) and surface water aquifer recharge (AR) using the Peace Creek and Peace River as sources (Figure 1). The current design capacities of the SE LFAWPF and WP LFAWPF are 12.5 and 15 mgd. The PRWC projects provide insights into the general opportunities and challenges in the development of AWS in central Florida.

Brackish Groundwater Desalination

The most widely implemented potable option for AWS in Florida is the RO desalination of brackish groundwater. Hydrogeological conditions in southeastern and southwestern Florida are particularly favorable for the implementation of brackish groundwater desalination because abundant brackish groundwater resources are available in the UFA, and, to a lesser degree, in the intermediate aquifer system in southwestern Florida. The

presence of an extraordinarily transmissive injection zone, the so-called “boulder zone” of the LFA, can be used to efficiently and economically dispose of the desalination concentrate. Another high-transmissivity zone, the Avon Park high-permeability zone (APHPZ), is suitable for concentrate disposal in the Tampa Bay region.

Brackish groundwater desalination in central Florida is more challenging than in the southeastern and southwestern parts of the state because brackish groundwater is present at greater depths, and in less-transmissive aquifers, there are hydrogeological and regulatory constraints on concentrate disposal via injection wells, and there are unusual groundwater chemistries. The brackish raw water supply for groundwater desalination in central Florida is the uppermost zone of the LFA. Using SWFWMD hydrostratigraphic terminology, the planned production zone at the SE LFAWPF is the LFA below the middle confining unit II-a (LFA II-a; Figure 2); a similarly positioned zone will be used for the WP LFAWPF. The LFA II-a at the SE LFAWPF site occurs from 1,485 to 1,915 ft below land surface (ft bls). The transmissivity of the production zone for the SE LFAWPF obtained from pumping tests of two test production

Continued on page 66

Figure 1. Polk County map showing locations of Polk Regional Water Cooperative alternative water supply projects.

wells was 3,810 and 15,300 ft2/d. These lowto moderate-transmissivity values are expected to result in large (> 100 ft) drawdowns in production wells.

The greatest technical and regulatory challenge for brackish groundwater desalination in central Florida is the disposal of generated concentrate. Concentrate disposal in southeastern and southwestern Florida is performed predominantly using Class I injection wells, which by definition inject below the deepest USDW. A USDW is defined

as a nonexempt aquifer that contains less than 10,000 mg/L of total dissolved solids (TDS). Both the boulder zone in south Florida and the APHPZ in coastal west-central Florida are located below the base of the USDW. Sufficient confinement must be present at Class I injection well sites to prevent upward migration of the injected liquid wastes into an overlying USDW.

The base of the USDW at the SE LFAWPF occurs near the top of the potential LFA injection zone (LFA II-b; Figure 1) and near the base of the injection zone at the WP LFAWPF. Although injection below the base of the

USDW may be possible at the SE LFAWPF, upward migration into the overlying USDW would likely occur, which would be a regulatory violation.

The Florida Administrative Code (Section 62-520.500 [1]) allows for a water quality criteria exemption (WQCE), where injection or migration into a USDW would not adversely impact the environment or public health, and granting the exemption would be in the public interest, which is clearly the case for the PRWC projects. The brackish groundwater desalination and injection well systems will merely recirculate salts; the salts present in the upper LFA production zone would be removed by the RO process and be injected into a deeper zone. If upward migration did occur, the salts would be returned to the aquifer from which they were derived.

A WQCE would be required for some primary and secondary drinking water standards. Current FDEP policy does not allow WQCEs for primary drinking water standards (e.g., radionuclides). In the absence of a WQCE or other regulatory relief, concentrate disposal by injection into the basal LFA is not now feasible. The least expensive feasible alternative for the PRWC RO projects is injection into deeper Upper Cretaceous strata.

Upper Cretaceous injection wells are being successfully used at the Tampa Electric Company (TECO) Polk Power Station, located roughly 10 mi west of Fort Meade. The deeper UC injection wells are more expensive to construct and operate at high pressures, but are expected to have higher capacities than LFA injection wells (2 mgd versus 1 mgd) based on operational data from the TECO wells, which would at least partially offset their additional construction costs. Other concentrate disposal options, such as piping the concentrate to a location where the boulder zone is present or there is zero liquid discharge, were found to not be economically viable at the PRWC RO projects.

Key issues for brackish groundwater desalination are predicting future raw water salinity and ionic composition. A number of brackish groundwater desalination plants in Florida experienced much more rapid increases in salinity than expected at the time of their design, which has impacted the performance of treatment systems and necessitated the installation of new production wells in order to reduce the average salinity of the raw water.

Unexpected hydrogeologic conditions were encountered in the wellfields that allowed for greater upconing of more saline waters. To reduce risks associated with unexpected raw water salinity increases at the PRWC facilities, density-dependent solute-transport modeling

Figure 2. Hydrogeological column from test wells at the Southeast Lower Floridan Aquifer Water Production Facilities site.

was performed using the SEAWAT (a publicdomain computer program) code in which the impacts of a wide variety of plausible adverse hydrogeological conditions were simulated. The model results were used to evaluate worstcase scenarios and guide the design of a robust treatment system (Figure 3).

Brackish groundwater present in southern and west-central Florida is sodium chloride water in which the dissolved solids were ultimately derived from seawater. The major ion concentrations are roughly in proportion to their values in modern seawater. Some changes in calcium, magnesium, and bicarbonate (alkalinity) concentrations may have occurred due to fluid-rock interactions. On the contrary, the LFA groundwater at the SE LFAWPF and WP LFAWPF sites is calcium sulfatetype water in which the dissolved solids were derived mainly from the dissolution of calcium sulfate minerals (gypsum and anhydrite) in the formation (Figure 4).

Geochemical modeling results indicate that the production zone water at the SE LFAWPF and WP LFAWPF sites is close to or at gypsum saturation and that the concentrate at a 75 or 80 percent RO recovery will be significantly supersaturated. The gypsumsupersaturated concentrate would result in the injection wells being susceptible to chemical clogging by gypsum precipitation, which would be very difficult to remediate. The concentrate will therefore require pretreatment via a precipitation process to reduce its calcium and sulfate concentrations. A large amount of gypsum will be generated, which is being investigated as a marketable commodity that could offset the cost of the additional pretreatment.

Peace Creek and Peace River Surface Water Alternative Water Supplies

Florida’s pronounced seasonality in precipitation results in a large intra-annual variability in surface water availability, which is out of sync with the seasonal variation in demand. Surface water availability in Polk County from the Peace Creek and Peace River is now dictated by MFLs. The amount of additional permittable surface water withdrawals varies greatly within and between years; hence, storage is required for a reliable year-round water supply from surface water systems, such as the large reservoir systems constructed by the Peace River Manasota Regional Water Supply Authority (PRMRWSA) and Tampa Bay Water.

Continued on page 68

Figure 4. Piper diagram of raw water for the Lower Florida aquifer for Polk Regional Water Cooperative reverse osmosis plants and modern seawater.
Figure 3. Southeast Polk SEAWAT-predicted increases in salinity over time.

The PRWC is investigating three options for AWS using surface water. One option is a conventional surface water treatment system involving withdrawals from the Peace River near Fort Meade, storage in a reservoir, treatment to drinking water standards, and aquifer storage and recovery, similar to the PRMWSA facility located further downstream on the Peace River in DeSoto County. The other two options are recharge of the UFA, with seasonally available water from the Peace Creek (Clear Springs site shown in Figure 5) and the Peace River near Fort Meade. The concept is to use UFA recharge during the wet season to offset impacts to MFL lakes from additional groundwater withdrawals elsewhere using either existing or newly installed wells. The Clear Springs AR project is planned to have a surface water withdrawal capacity of 40 mgd and an average annual recharge rate of 6.8 mgd.

The UFA aquifer recharge wells are categorized as Class V injection wells; injected waters are required to meet Florida drinking water standards at the wellhead. The main parameters of concern with respect to the injection of surface waters are coliform bacteria

and other pathogens. There is now abundant data, including from Florida-specific studies (John et al., 2005; John and Rose, 2005; Lisle, 2016), that pathogens do not survive long in the groundwater environment. Natural attenuation processes can be relied upon for the effective removal of pathogens; nevertheless, Florida’s current regulations and FDEP policies do not consider natural contaminant attenuation processes, nor allow for a zone of discharge (ZOD), which is an attenuation zone where the compliance point for water quality standards is at the edge of the ZOD, rather than at the wellhead.

The requirement that water quality standards be met at the wellhead necessitates pretreatment (particularly disinfection) prior to recharge. For the PRWC surface water AR projects, pretreatment options included in the conceptual and preliminary design are wetlands treatment (for the Peace Creek project), followed by slow sand filtration and then disinfection (chloramination).

A key hydrologic issue with the AR projects is converting the wet season recharge into additional fresh groundwater withdrawals during the subsequent dry season. The

preference would be to receive a one-to-one credit for the recovery of recharged water; however, the hydrologic reality is that recharge at one geographic location in the UFA will not completely offset the impacts on water levels in MFL lakes from pumping at another location and at another time. Groundwater modeling is therefore a key part of the development of AR schemes in order to identify optimal strategies that allow for the maximum additional groundwater withdrawals.

Other Central Florida Alternative Water Supply Options

Reuse of reclaimed water is a critical AWS that is already being implemented to a large degree in central Florida for nonpotable uses. Reclaimed water is either sent to reuse customers or is used for aquifer recharge using rapid infiltration basins (RIBs). Water Conserv II, developed by Orange County and the City of Orlando, is the largest wastewater reuse project of its kind in the world, combining agricultural irrigation with aquifer recharge using RIBs. The greatest impediment to potable reuse projects has been public acceptance (i.e., the “yuck factor”) but the tide of public opinion on this issue is turning and projects are now under consideration in Florida that would have been unthinkable two or three decades ago. For example, Polk County in 2021 approved a $1.5 million pilot study to investigate whether wastewater can be treated to potable standards at its new Cherry Hill Water Production Facility.

Where reuse of reclaimed water is already high, potable reuse may provide lesser overall water resource benefits if less reclaimed water becomes available for nonpotable uses (forcing users to pump more fresh groundwater) and for aquifer recharge. Some water reclamation facilities in Polk County (e.g., Southwest Regional Wastewater Treatment Facility) already recycle their entire treated wastewater flow (Force, 2020). Potable reuse is not part of the current suite of PRWC projects, but will likely eventually be adopted throughout Florida as public acceptance increases and the technology proves to be less expensive than other options for AWS.

Conclusions

Population and water-demand projections clearly indicate that central Florida will have to develop AWS to meet future needs. The PRWC experience has been that all options for AWS in the region are challenging and will be significantly more expensive than the current

Figure 5. Conceptual diagram of the Clear Springs aquifer recharge project.

primary potable water source, which is fresh groundwater from the UFA.

The PRWC experience indicates that a cooperative approach among local utilities is preferred to take advantage of the significant economies of scale of larger projects, which is particularly significant for brackish groundwater desalination because of the high costs of concentrate disposal options.

References

• CFWI (2018)) Central Florida Water Initiative, Water for Tomorrow. https:// cfwiwater.com/ (accessed 9/5/2018).

• CFWI (2020) Central Florida Water Initiative. Regional Water Supply Plan 2020. A Comprehensive Plan for Orange, Osceola, Polk, Seminole, and Southern Lake Counties.

• Force, J. (2020) Nothing Goes to Waste at the Southwest Regional Wastewater Treatment Facility in Polk County, Florida. TPO (Treatment Plant Operator). https://www. tpomag.com/editorial/2020/06/nothinggoes-to-waste-at-the-southwest-regionalwastewater-treatment-facility-in-polkcounty-florida.

• John, D. E., and Rose, J. B. (2005) Review of factors affecting microbial survival in groundwater: Environmental Science & Technology, 39, 7345-7356.

• John, D. E., Rose, J. B., and Karmarainen, A. (2004) Survival of fecal indicator bacteria, bacteriophage and protozoa in Florida’s surface and groundwater, Final Report of the Fate of Microorganisms in Aquifer Study. Brooksville: Southwest Florida Water District, and West Palm Beach: South Florida Water Management District.

• Lisle, J.T. (2016) Natural inactivation of Escherichia coli in anaerobic and reduced groundwater. Journal of Applied Microbiology, 120, 1739-1750.

• Mullin, M. (2020). The effects of drinking water service fragmentation on droughtrelated water security. Science, 368, 274-277.

• PRWC (2020) Polk Regional Water Cooperative. Our Role. https://prwcwater. org/.

• PRMRWSA (n.d.) Peace River Manasota Regional Water Supply Authority. https:// regionalwater.org/water/.

• Rayer, S., and Wang, Y. (2019) Projections of Florida Population by County, 2020–2045, with Estimates for 2018. Bureau of Economic and Business Research, Florida Population Studies Volume 52, Bulletin 183, April 2019.

• Water Conserv II (n.d.) Water Conserve II. Beneficial Water Use. http://waterconservii. com/. S

NEWS BEAT

Raftelis acquired Westin Technology Solutions on Nov. 1, 2021, to enhance its consulting focus on the effective use of business technologies, including utility billing and work and asset management optimization.

“Adding Westin’s expertise in utility asset and customer management technologies complements what we already do and allows us to provide new services to our utility clients in a particularly difficult area—managing the planning, selection, and implementation of modern utility billing and maintenance management solutions to replace outdated, suboptimal systems,” said Peiffer Brandt, Raftelis president and chief executive officer. “Together we can better serve water and wastewater utilities that need to evaluate, upgrade, replace, or optimize their customer information system or computerized maintenance management system solutions.”

Raftelis helps local governments and utilities thrive by providing management consulting expertise to help the leaders of these organizations create the change they seek. They’ve helped more than 600 organizations in the last year alone. Raftelis works in all areas of management consulting, including finance, assessment, communications, technology, executive recruitment, and strategic planning.

The Raftelis team includes leading local government and utility consultants, many of whom are former local government managers, utility directors, and public-sector employees. Raftelis consultants are located throughout the United States and focus on public sector work in North America and beyond.

RTwo of Florida’s largest cities have ended their water emergencies now that COVID-19 hospitalizations have declined drastically in the state.

In August, the Orlando Utilities Commission (OUC) asked residents to stop watering their lawns or washing their cars because liquid oxygen that’s used for treating the city’s water was being diverted to hospitals for patients suffering from the virus. The utility made the decision as it faced the prospect of getting only half of its usual shipment of liquid oxygen used for water treatment. Since the 1990s, OUC has used liquid oxygen to remove the slight discoloration and rotten-egg smell that is found naturally in Florida’s water supply.

The Tampa Water Department also started using chlorine instead of its usual liquid oxygen method to disinfect its water of viruses and bacteria because liquid oxygen was being diverted to local hospitals.

On Oct. 12, 2021, OUC officials said that residents can resume their normal water use, including irrigating their lawns and washing their cars. In Tampa, officials at the water department said they were going back to treating the 82 million gallons of drinking water produced each day with liquid oxygen.

“We were fortunate that we were able to quickly switch over to using chlorine as our primary way to disinfect the water. Not every water treatment plant affected by the shortage of liquid oxygen had that flexibility,” said Chuck Weber, director of the Tampa Water Department. “The resumption of regular liquid oxygen deliveries lets us return to our normal operations.”

About 40 percent of the potable water in Orlando is used for irrigation, but Orlando users only cut back water consumption by 16 percent, hitting a low of 76 million gallons, indicating the restriction wasn’t universally embraced. Nevertheless, OUC officials said they were able to get through the crunch and averted the need for a boil-water alert.

“With our community’s help in reducing the demand on our system, we were able to get through this difficult time together,” said Clint Bullock, OUC general manager and chief executive officer.

RFederal authorities are warning about a rise in ransomware and other threat activity targeting local water and wastewater facilities in the United States. Both information technology and operating technology are being targeted at these facilities using spear phishing attacks against unsuspecting personnel to gain network access.

The joint advisory, from the Federal Bureau of Investigation (FBI), the Cybersecurity and Infrastructure Security Agency (CISA), the U.S. Environmental Protection Agency (EPA), and the National Security Agency, has tracked attacks over the last two years. It follows an August attack against a California wastewater facility using the Ghost variant ransomware and a July attack against a facility in Maine using ZuCaNo ransomware, which used remote access to enter the system.

Many of the threats are targeting systems

Continued on page 73

IAWWA Section Services provides sections with content for their publications. These articles contain brand new information and will cover a variety of topics.

A Call to Arms (and Volunteers): Source Water Protection in the Farm Bill

n the 1930s, the Soil Conservation Service, the predecessor to the modern Natural Resources Conservation Service (NRCS), was formed to combat the impacts of the Dust Bowl and help prevent similar future occurrences. In the decades that followed, NRCS has focused on addressing a wide variety of resource concerns—not just soil erosion, but also wildlife habitat, air quality, soil health, water quality, and others. Throughout this history, even though there has long been a goal of improving water quality (and quantity where applicable), until recently, source water protection was never a specific focus.

In the 2018 Farm Bill, this has changed. Congress established source water protection as a goal for NRCS conservation programs and has dedicated considerable resources toward them.

Ultimately, all source waters come from somewhere—often from surface waters or groundwaters that receive inputs from

agricultural and forested areas. Working with NRCS and agricultural producers to reduce nutrients, sediments, chemicals, and animal waste entering source waters represents a proactive, effective, and cooperative approach to source water protection.

Over the past few years, the AWWA Water Utility Council has led an advocacy and education campaign to increase awareness of source water protection, build source water protection into the core of conservation programs, follow up on NRCS rules and policies, and work with utilities to engage with these programs. The efforts have met with some success to build knowledge and get several AWWA members involved in projects across the United States.

There’s much more to be done, however, and you have the power to help tackle it! The association is looking for interested volunteers who can build relationships with NRCS locally, help gain utility involvement, sit on NRCS

technical committees, and participate in (or create) activities that benefit source water protection.

For anyone interested, AWWA will provide information and support to work with NRCS programs to enhance source water protection. With the NRCS having an office in nearly every count in the U.S., there is almost certainly one close to anyone who can open the conversation about source water needs and goals and the resources to meet them.

The NRCS state conservationists are a key point of contact for all state-level conservation programs, and there are many collaborative partnering opportunities available. Through a state technical committee, there’s also opportunity to help set the criteria that determine the funds for conservation issues, and how and where they will be spent.

To learn more, reach out to Adam Carpenter, NRSC manager of energy and environmental policy, at 202-326-6126. S

FWPCOA TRAINING CALENDAR

UF TREEO Center Celebrates its Instructors!

The University of Florida’s Center for Training, Research, and Education for Environmental Occupations (TREEO) recently held a day-long workshop and awards luncheon for more than 20 trainers who have helped make UF TREEO Center a leader in environmental occupations training since 1977.

The day-long event began with a breakfast meet and greet, followed by a strategic plan overview from Andy Campbell, TREEO’s director, and administrative updates from Lauren McCain, operations manager. Ron Trygar, a TREEO instructor, spoke about the challenges of teaching during a pandemic and presented tips and tricks for teaching virtually. He also led an open discussion around stories that were provided by the attendees about the challenges they face when training.

Attendees were treated to an awards luncheon where trainers from five industries were recognized for their years of service and dedication to environmental training. Brainstorming sessions followed the luncheon where the instructors put on their training hats and came up with ideas to assist each other with topics related to instructional technology.

By attending either in-person or via Zoom,

26 instructors had the opportunity to reunite with other trainers they had not seen in several years.

Industry Representation

The industries represented and the instructors from each included:

Asbestos

S Toi Aiken – 4 years

S David Wiggins – 25 years

S Karen Meyer – 32 years

S Terry Zinn – 32 years

S Russ Stauffer – 33 years

Backflow Prevention

S Max Sako – 3 years

S Tom Mulling – 25 years

S Les O’Brien - 30 years

Safety and Health

S Cindy Mercado – 1 year

S Marian Nesbitt – 1 year

Solid Waste

S Norm Thomas – 7 years

S Carmen Bruno – 9 years

Water and Wastewater

S Daniel (Rick) Pfleiderer – 1 year

S Phillip Brown – 8 years

S Michael Cherniak – 24 years

S James Clifton – 34 years

S Ron Trygar – 19 years

Several instructors were not able to attend in person, but were able to participate via Zoom. These included:

S Glynn Stoffel, water and wastewater – 15 years

S Charlie Martin, water and wastewater – 15 years

S Jane Gregory, hazardous waste management13 years

S Kenneth Waite, backflow prevention - 11 years

S Jeff Ball, backflow prevention – 14 years

S Marco Flammia, backflow prevention, – 8 years

S Carlos Vazquez, asbestos – 9 years

S Tim Grobe, asbestos – 32 years

S Robert Sweeney, asbestos – 2 years

In total, these instructors have served TREEO for more than 400 years!

All trainers received a UF TREEO polo shirt and a certificate of attendance. Depending on their length of service, the instructors also

Asbestos abatement instructor Karen Meyer (left), receives a gator-themed trophy for her more than 30 years of training from Melissa Hamilton, asbestos program coordinator.
Areiole Williams, water and wastewater program coordinator, presented Phillip Brown with a shirt and service pin recognizing his more than five years of training.
Vivian Li, solid waste program coordinator, presented Carmen Bruno with a polo shirt, a length-of-service pin, and certificate of appreciation for his more than nine years of service.

received a length of service pin, a plaque, or a gator-themed trophy.

The response to this inaugural workshop has been very positive, with most indicating that the workshop and networking opportunity should be an annual event. We have some exciting ideas for next year’s meeting—stay tuned to the TREEO website (www.treeo.ufl.edu) to learn how we plan to celebrate our invaluable environmental trainers!

You can also follow us on: S Facebook

(https://www.facebook.com/uftreeocenter)

S Twitter

(https://twitter.com/TreeoCenter)

Continued from page 69

with often-outdated operating systems or unpatched software, the advisory said. Many of the facilities are underfunded or have not maintained adequate security controls and may be running industrial controls with vulnerable versions of firmware.

R

Work on the first increment of construction on the A-2 Reservoir in the Everglades agricultural area south of Florida’s Lake Okeechobee will begin in November, following the award of a $79.8 million fixed-price contract to Phillips and Jordan Inc. by the U.S. Army Corps of Engineers

The reservoir is being built to receive

S Instagram

(https://www.instagram.com/uftreeocenter)

Instructors Needed

Are you interested in becoming a contract instructor or providing training for the UF TREEO Center? We are always looking to expand our course offerings and instructor roster! Contact Ron Trygar at 352-294-3881 or rtrygar@treeo. ufl.edu to find out how to become part of our environmental training team! S

NEWS BEAT

Lake Okeechobee excess and release it slowly into an associated stormwater treatment area. The naturally treated water will then be released gradually to flow south through the Everglades, mimicking the leisurely “sheetflow” that created the historic ecosystem.

The contract calls for construction of the reservoir inflow/outflow canal, seepage canal, and maintenance road along the northern boundary of the proposed reservoir. Other increments of construction will be awarded later, bringing the estimated total cost of the reservoir to $3.5 billion when completed in 2029.

RManatees have starved to death by the

hundreds along Florida’s east coast because algae blooms and contaminants are killing the seagrass that the sea mammals eat, an official recently told a House committee.

Seagrass has been decimated in the 156-mile-long Indian River Lagoon and neighboring areas. The aquatic plant thrives in clear, sandy water, but murkier water, because of the algae and pollutants, has made it harder for seagrass to survive, said Melissa Tucker, director of the Division of Habitat and Species Conservation at the Florida Fish and Wildlife Conservation Commission

“Our statewide death count from all sources has been higher than it’s ever been reported before,” Tucker told the House

Continued on page 77

Tom Mulling received a plaque for his more than 25 years of service and shirt from Marta Keilhauer, backflow prevention coordinator.
Cindy Mercado, safety and health trainer (right), received a certificate of appreciation and shirt from Laurie Brown, safety and health program coordinator.
Instructors pose for a group photo at TREEO Center’s inaugural instructor workshop.

The Water Tower Welcomes Wade Trim to Innovation Campus as First Sustaining Partner

Wade Trim to open new office on The Water Tower campus in Buford, Ga.

Wade Trim will be the first sustaining partner and second tenant at The Water Tower Innovation Center, a 55,000-square-foot research collective on The Water Tower Global Innovation Hub Campus located in Gwinnett County, Ga.

The campus will serve as an accelerator for water innovation by bringing together utilities, technology providers, educational institutions, and other industry partners to conduct applied research, technology innovation, workforce development, and community engagement.

“We are thrilled to have Wade Trim open its new office on our campus,” said Melissa Meeker, chief executive officer of The Water Tower. “Wade Trim’s commitment to advancing the water industry through thought leadership and technical expertise fits perfectly with our mission and we look forward to what our collaboration will bring.”

Consistently ranked in the top 500 design firms, top 200 environmental firms, and nationally recognized for innovative solutions, Wade Trim’s operations spans 20 offices in the United States.

Known for its wet weather capabilities, the firm’s focus also

includes decades of planning, modeling, treatment, pumping, and conveyance projects for water, wastewater, and stormwater using conventional or collaborative delivery methods.

Wade Trim will be contributing to the advancement of the water industry through leading-edge programming across the four pillars of:

S Applied research

S Technology demonstration

S Workforce development

S Community engagement

For this first joint endeavor, the partnership between Wade Trim and The Water Tower will

support development of an interactive “career mapping” application that will help guide students, midcareer pivoters, and others to discover, plan, and continue their careers in the water industry.

“Part of our mission at Wade Trim is to solve complex challenges to create stronger communities,” said Chris Haney, P.E., Wade Trim senior vice president. “Our partnership with The Water Tower exemplifies this goal by creating awareness and opportunities for those looking to enter and remain in the water industry. We look forward to this and many other important projects in collaboration with The Water Tower.”

The Water Tower, scheduled to open in March 2022, includes a threestory innovation center facility that will house office and collaboration spaces, classroom and meeting spaces, and a conference facility, as well as experimental, analytical, and microbiology laboratories. A conveyance network will bring process streams from the F. Wayne Hill Water Resources Center to the facility to support bench-scale, fullscale, and pilot studies. S

CLASSIFIED ADVERTISING RATES - Classified ads are $20 per line for a 60 character line (including spaces and punctuation), $60 minimum. The price includes publication in both the magazine and our Web site. Short positions wanted ads are run one time for no charge and are subject to editing. ads@fwrj.com

POSITIONS AVAILABLE

CITY OF WINTER GARDEN –POSITIONS AVAILABLE

The City of Winter Garden is currently accepting applications for the following positions:

EXPERIENCED & TRAINEES/LABORERS

- Collection Field Tech – I, II, & III

- Distribution Field Tech – I, II, & III

- Public Service Worker II – Stormwater

- Superintendent – Collections, Wastewater, & Stormwater

- Wastewater Plant Operator – Class C

Please visit our website at www.cwgdn.com for complete job descriptions and to apply. Applications may be submitted online, in person or faxed to 407-877-2795.

City of Titusville - Multiple Positions Available Utility Asset Program Manager, Water Quality Coordinator, Electronics Technician, Industrial Electrician, Maint. Mechanic, Service Worker, Field Technician. Apply at www.titusville.com

Utility Resources Director

The City of Orange City is seeking a highly skilled and qualified individual to lead our Utilities Division of the City of Orange City Public Services Department under the direction of the Public Services Director. The Utilities Resources Director ensures the operation of the City’s complete potable water system, sewer collection, and reclaimed water through the application of professional engineering standards, scientific principles, and technological application. The desired candidate will have the abilities, knowledge, skills to lead, develop, and expand a broad range of municipal utilities projects. The City of Orange City has an intimate working environment that will allow the selected Utilities Resources Director to have a handson approach to the operations of the Utilities Division. Applications can be submitted electronically to recruitment@orangecityfl.gov

HIRING RANGE: $85,000 to $115,000; depending on qualifications

POSITION SCHEDULE: Monday – Friday, 7:00AM – 4:00PM

Water Treatment Plant Operator

Location: Florida City, FL

Salary Range: $52,646 - $80,612

The Florida Keys Aqueduct Authority is hiring a WTP Operator. Minimum Requirements: Must have a Florida Class “C” WTPO license or higher. Responsibilities include performing skilled/technical work involving the operation and maintenance of a water treatment plant according to local, state, and federal regulations and laws. An employee in this classification must have the technical knowledge and independent judgment to make treatment process adjustments and perform maintenance to plant equipment, machinery, and related control apparatus in accordance with established standards and procedures. Salary is commensurate with experience and license classification. Benefit package is extremely competitive! Must complete on-line application at http://www.fkaa.com/employment.htm EEO, VPE, ADA

Wastewater Treatment Plant Operator

Salary Range: $52,646. - $80,694.

The Florida Keys Aqueduct Authority is hiring a WWTP Operator. Minimum Requirements: Must have a Florida Class “C” WWTPO license or higher. Responsibilities include performing skilled/technical work involving the operation and maintenance of a wastewater treatment plant according to local, state and federal regulations and laws. An employee in this classification must have the technical knowledge and independent judgment to make treatment process adjustments and perform maintenance to plant equipment, machinery and related control apparatus in accordance with established standards and procedures. Salary is commensurate with experience and license classification. Benefit package is extremely competitive! Must complete on-line application at http://www.fkaa.com/employment.htm EEO, VPE, ADA

Water and Wastewater Engineer

The City of Altamonte Springs seeks a Water and Wastewater Plant Engineer with 5+ years experience and PE in Florida. Competitive salary/benefits. Apply: www.Altamonte.org/Jobs.

The Coral Springs Improvement District – A GREAT place to further your career and enhance your life!

Water Plant Operator

CSID offers:

Salary levels are at the top of the industry Health Insurance that is unmatched when compared to like sized Districts

The Coral Springs Improvement District is currently accepting applications for the position of water treatment plant operators. Applicants must have a valid Class C or higher Drinking water license and experience in Reverse Osmosis/Nano Filtration treatment processes preferred however not required. Position requirements include knowledge of methods, tools, and materials used in the controlling, servicing, and minor repairs of all related R.O. water treatment facilities machinery and equipment. Must have a valid Florida drivers license, satisfactory background check, be COVID-19 vaccinated and pass a pre-employment drug screening test.

The minimum starting salary for this position is $47,008. Salaries to commensurate relative to level of license and years of experience in the field.

The District has excellent company paid benefits including a 6% non-contributory investment money purchase pension plan, and voluntary 457 plan with match up to 6%. EOE.

Applications may be obtained by visiting our website at www.csidfl.org/resources/employment.html and fax resume to 954-753-6328, attention Jan Zilmer, Director of Human Resources.

CITY OF CAPE CORAL

Multiple positions available: Plant Electrician: $44,990 - $70,408

To apply, please go to: https://www.governmentjobs.com/careers/capecoral

City of Cape Coral is an Equal Opportunity Employer and Drug Free Workplace

SEACOAST HAS AN IMMEDIATE OPENING FOR A CAPITAL PROJECTS CONSTRUCTION COORDINATOR

Hourly range (PG 58): $25.95 to $42.60 Outside Hire Starting Pay Range: $25.95 to $34.28 hourly depending on qualifications. Closing date: Open until filled. Excellent benefits to include employer paid health, dental, life, short & long term disability and retirement. To obtain a job application, please visit the Seacoast Utility Authority website at: http://www.sua.com/hr-careers/career-opportunities Please submit your application and resume to: Seacoast Utility Authority Human Resources Department 4200 Hood Rd Palm Beach Gardens, FL 33410 E-Mail: HR@sua.com Phone: 561-656-2258

Utilities Engineer

The City of Panama City Beach is hiring a Utilities Engineer. Bachelor’s degree in Civil Engineering or related field. Certification as an Engineer Intern or Professional Engineer in the state of Florida.

Ability to read and interpret construction plans and use engineering design/modeling software.

Possession or ability to readily obtain a valid driver’s license issued by the state of Florida.

This position is currently offering a $2,100.00 hiring incentive. To apply, visit https://www.governmentjobs.com/careers/pcbgov.

Dunes Community Development District Utility Technician-Field Operations

The Dunes Community Development District located in Palm Coast is seeking qualified applicants for the Utility Technician - Field Operations position for their water, wastewater, storm water and reclaimed water operations. Applicant must possess valid State of Florida Class 3 Water Distribution System Operator License and/ or Class C Wastewater Collection Certification, or the capability to obtain within two (2) years. A valid Florida Backflow Device Tester Certification, or capability to obtain within one (1) year. Must have high school diploma/GED, valid Florida driver’s license. (CDL preferred), or capability to obtain within one (1) year. Salary Range: $17.00-$25.00/Hour DOQ, plus full benefits package. Open until filled. Job Description and application for employment is available at: www.dunescdd.org/Employment Send completed job application along with resume to: Utilities Manager

Dunes CDD

101 Jungle Hut Road Palm Coast, FL 32137

FAX: (386) 447-9858

Email: dponitz@dunescdd.org EOE/DFWP

Are you a Wastewater Treatment Operator Rockstar?

Then come join our incredibly awesome team at one of the fastest growing areas in Central Florida. Must hold at least a Class “C” license and a valid driver’s license. Starting Pay Range: $35,000$37,000yr – 10% more if you have a dual license or a Class A or B. Applications online www.wildwood- fl.gov or City Hall, 100 N. Main St, Wildwood, FL 34785 Attn: Marc Correnti EEO/AA/V/H/ MF/DFWP.

PLC/SCADA Tech

Willing to Train - PAY RATE: $20.20/HR

Experience or training related to electrical, controls/instrumentation - PLC, and SCADA

To apply visit www.plantcitygov.com/jobs

LOOKING FOR A JOB

The FWPCOA Job Placement Committee Can Help! Contact Joan E. Stokes at 407-293-9465 or fax 407-293-9943 for more information.

NEWS BEAT

Continued from page 73

State Affairs Committee. “This is a starvation issue. There’s not enough seagrasses that are available to the manatees.”

Officials noticed a sharp rise in manatee deaths from December 2020 through May 2021, when the sea cows congregate in warm waters. During that period, 677 manatees died, when typically only 156 die, Tucker said.

While manatee mortality leveled out after May, when the mammals extend their range in summer and fall, the state recorded 968 manatee deaths in 2021 through October. The previous annual high was 830 deaths in 2013.

Big manatee die-offs in past years have been attributed to more transitory events, like algae blooms and unusually cold weather, but the seagrass problem could take longer to reverse. Efforts are being made to replant seagrass and restore clam and oyster beds so the mollusks can help filter the water.

“This is something that we’re going to be trying to manage and improve over the course of years and maybe decades,” Tucker said.

Republican State Rep. Thad Altman, who represents Brevard County, where manatees typically thrive, said it will be difficult to regrow the seagrass unless the water gets cleared up. He said the manatees are now even eating seagrass roots, permanently killing the aquatic plants. S

Editorial Calendar

January Wastewater Treatment

February ........... Water Supply; Alternative Sources

March ................ Energy Efficiency; Environmental Stewardship

April .................. Conservation and Reuse

May Operations and Utilities Management

June .................. Biosolids Management and Bioenergy Production

July ................... Stormwater Management; Emerging Technologies

August Disinfection; Water Quality

September Emerging Issues; Water Resources Management

October ............. New Facilities, Expansions, and Upgrades

November ......... Water Treatment

December Distribution and Collection

Technical articles are usually scheduled several months in advance and are due 60 days before the issue month (for example, January 1 for the March issue).

The closing date for display ad and directory card reservations, notices, announcements, upcoming events, and everything else including classified ads, is 30 days before the issue month (for example, September 1 for the October issue).

For further information on submittal requirements, guidelines for writers, advertising rates and conditions, and ad dimensions, as well as the most recent notices, announcements, and classified advertisements, go to www.fwrj.com or call 352-241-6006.

Display Advertiser Index

Test Yourself Answer Key

Continued from page 60

1. B) Stormwater systems

Per FAC 62-330.010(2), Purpose and Implementation, “The ERP program governs the following: construction, alteration, operation, maintenance, repair, abandonment, and removal of stormwater management systems, dams, impoundments, reservoirs, appurtenant works, and works including docks, piers, structures, dredging, and filling located in, on, or over wetlands or other surface waters.”

2. C) 9,000 square feet

Per FAC 62-330.020(2)(c), Regulated Activities, “a permit is required prior to the construction, alteration, operation, maintenance, removal, or abandonment of any project that, by itself or in combination with an activity conducted after Oct. 1, 2013, cumulatively results in any of the following:

(a) Any project in, on, or over wetlands or other surface waters;

(b) A total of more than 4,000 square feet of impervious and semi-impervious surface areas subject to vehicular traffic;

(c) A total of more than 9,000 square feet of impervious and semi-impervious surface area.”

3. D) 5 years

Per FAC 62-330.320(1), Duration of Permits, “Unless revoked, extended, or otherwise modified, the duration of a permit under this chapter is:

(1) General permit - Five years to construct, commencing from the date notice is received by the agency, or the date the agency verifies compliance with the terms and conditions of the general permit in accordance with Rule 62330.402, F.A.C., whichever is later.”

4. C) At the work site of the permitted activity.

Per FAC 62-330.350(1)(b), General Conditions for Individual Permits, “A complete copy of this permit shall be kept at the work site of the permitted activity during the construction phase, and shall be available for review at the work site upon request by the agency staff. The permittee shall require the contractor to review the complete permit prior to beginning construction.”

5. A) add additional treatment capability to an existing stormwater management system.

Per FAC 62-330.451(2)(a), General Permit to Counties, Municipalities, and Other Agencies to Conduct Stormwater Retrofit Activities, “(1) A general permit is granted to counties, municipalities, state agencies, and water management districts to construct, operate, and maintain stormwater retrofit activities as authorized below for improving existing surface water and stormwater systems. This general permit may be used in conjunction with exempt activities.

(2) Types of stormwater retrofit activities authorized under this general permit are: (a) Construction or alteration that will add additional treatment or attenuation capacity and capability to an existing stormwater management system.”

6. C) 30 feet.

Per FAC 62-330.453(3)(d), General Permit for Installation, Maintenance, Repair, and Removal of Utility Lines, “A general permit is granted for the installation, maintenance, repair, and removal of underground utility lines, cable, conduit, or pipeline transmitting electricity, communication signals, potable water, raw water, reclaimed water,

domestic wastewater, propane gas, or natural gas …The maximum width of the disturbed corridor in wetlands shall not exceed 30 feet.”

7. C) 150 feet

Per FAC 62-330.457(1)(d), General Permit for Subaqueous Utility Crossings of Artificial Waterways, “A general permit is granted to any person constructing, repairing, or replacing a subaqueous utility crossing of artificial waters and residential canal systems, provided. . . The maximum length of the utility crossing shall not exceed 150 feet from top of bank to top of bank. Excavated trench dimensions shall be limited to a depth of not more than 10 feet below existing bottom contours and a trench top width of not more than 10 feet.”

8. A) 2 acres.

Per FAC 62-330.488(1), General Permit to Governmental Entities for Certain Public Use Facilities at Public Natural Areas, “A general permit is granted to governmental entities to construct, operate, and maintain public use facilities on public natural areas. For purposes of this rule, “public natural areas” are predominantly undeveloped lands owned by the governmental entity and that are dedicated and managed for the preservation, restoration, and maintenance of those lands. The public use facilities authorized by this permit are a parking lot or parking area and an at-grade access road, not to exceed a total size of 2 acres of impervious surface located entirely in uplands; at-grade access trails located entirely in uplands; restroom buildings and open-air shelters located entirely in uplands; pile-supported boardwalks having a maximum width of 6 feet; and pile-supported observation platforms, any of which shall not exceed 120 square feet in size.”

9. B) swales.

Per the ERP Handbook, Volume 1, Section 3.2.5. Swales, “Section 403.813(1)(j), F.S., exempts the construction and maintenance of swales. A swale is defined in Section 403.803(14), F.S., as a manmade trench that:

(a) Has a top width-to-depth ratio of the cross section equal to or greater than 6:1, or side slopes equal to or greater than 3 feet horizontal to 1 foot vertical;

(b) Contains contiguous areas of standing or flowing water only following a rainfall event;

(c) Is planted with vegetation suitable for soil stabilization, stormwater treatment, and nutrient uptake; and

(d) Is designed to take into account the soil erodibility, soil percolation, slope, slope length, and drainage area so as to prevent erosion and reduce pollutant concentration of any discharge. Applicants are advised that the construction of a swale system does not qualify for the exemption under Section 403.813(1)(j), F.S. A “swale system” is a stormwater management system that does not consist entirely of swales.”

10. A) Automatically upon completion of permitted activities.

Per the ERP Handbook, Volume 1, Section 12.2(a)1., Procedures for Requesting Conversion from the Construction Phase to the Operation and Maintenance Phase, “In accordance with subsection 62-330.310(5), F.A.C., projects authorized in a general permit shall automatically convert to an operation and maintenance phase upon completion of the permitted activities in conformance with all the terms and conditions of the permit.”

Turn static files into dynamic content formats.

Create a flipbook