52495 Old Stage Road La Pine, OR 97739

Page 1


Discover the perfect canvas for your dream home This expansive 37 16-acre parcel of vacant land offers a unique opportunity to create your ideal living space in the serene and picturesque La Pine With a well and septic system already installed, your building process is off to a seamless start The property boasts easy access via a paved road, ensuring yearround accessibility Enjoy the best of both worlds with a thinned lot that maintains a natural, wooded charm while being prepared for development You ll appreciate the close proximity to local amenities, providing convenience without sacrificing the tranquility of rural living Whether you ' re envisioning a sprawling estate, a charming countryside retreat, or a sustainable homestead, this ready-to-build property offers the space and infrastructure to bring your vision to life Don't miss this rare opportunity to secure a sizeable piece of Oregon s beautiful landscape for your future home

Ownership

Legal Owner(s): Mcneely Family Trust

Site Address: 52495 Old Stage Rd La Pine, OR 97739

Mailing Address: Po Box 514 Forest Grove, OR 97116

Property Characteristics

Bedrooms: 0

Total Bathrooms: 0.00

Full Bathrooms: 0

Half Bathrooms: 0.00

Units: 0

Stories:

Fire Place: N

Air Conditioning:

Heating Type:

Property Information

Land Use: AGRICULTIRAL

Year Built: 0

Building SqFt: 0

First Floor SqFt: 0

Basement SqFt: 0

541.382.4201 | cs.deschutes.or@firstam.com

Report Created: 6/10/2024

Parcel #: 211033 C0 00400 APN: 183446

County: Deschutes

Lot SqFt: 1,618,690

Lot Acres: 37.16

Roof Type:

Roof Shape:

Basement Type: Porch Type:

Building Style:

Garage:

Garage SqFt: 0

Parking Spots: 0

Pool:

Improvement Type: Timberland-Forest-Trees (Agricultural)

Legal Description:

Assessor & Taxes

2023 Market Land: $216,590

2023 Market Structure: $

2023 Market Total: $216,590

2023 Assessed Total: $3,418

Sale History

Zoning: F2

School District: Bend-La Pine Schools

Neighborhood: Subdivision:

2023 Taxes: $159.35

% Improved: 0.00

Levy Code: Millage Rate:

Deschutes County Property Information

Report Date: 6/10/2024 9:40:50 AM

The information and maps presented in this report are provided for your convenience. Every reasonable effort has been made to assure the accuracy of the data and associated maps. Deschutes County makes no warranty, representation or guarantee as to the content, sequence, accuracy, timeliness or completeness of any of the data provided herein. Deschutes County explicitly disclaims any representations and warranties, including, without limitation, the implied warranties of merchantability and fitness for a particular purpose. Deschutes County shall assume no liability for any errors, omissions, or inaccuracies in the information provided regardless of how caused. Deschutes County assumes no liability for any decisions made or actions taken or not taken by the user of this information or data furnished hereunder.

Account Summary

Warnings, Notations, and Special Assessments

Review of digital records maintained by the Deschutes County Assessor’s Office, Tax Office, Finance Office, and the Community Development Department indicates that there are County tax, assessment, or property development related notations associated with this account and that have been identified above. Independent verification of the presence of additional Deschutes County tax, assessment, development, and other property related considerations is recommended. Confirmation is commonly provided by title companies, real estate agents, developers, engineering and surveying firms, and other parties who are involved in property transactions or property development. In addition, County departments may be contacted directly to discuss the information.

Valuation History All values are as of January 1 of each year. Tax year is July 1st through June 30th of each year.

Tax Payment History

Sales History

Land Characteristics

Designated Forest Land 37.16 FA5:

OWNER MCNEELY FAMILY TRUST,

AGENT MCNEELY, MARNIF

AGENT MCNEELY, WILLIAMM

SCHOOL DISTRICT BEND - LA PINE SCHOOL DISTRICT (541) 355-1000

AS TRUSTEE

AS TRUSTEE

REDMOND, OR 97756

COLLEGE TAX DISTRICT CENTRAL OREGON COMMUNITY COLLEGE (541) 383-7700 2600 NW COLLEGE WAY, BEND, OR 97703

PARK & RECREATION DISTRICT LA PINE PARK & RECREATION DISTRICT (541) 536-2223

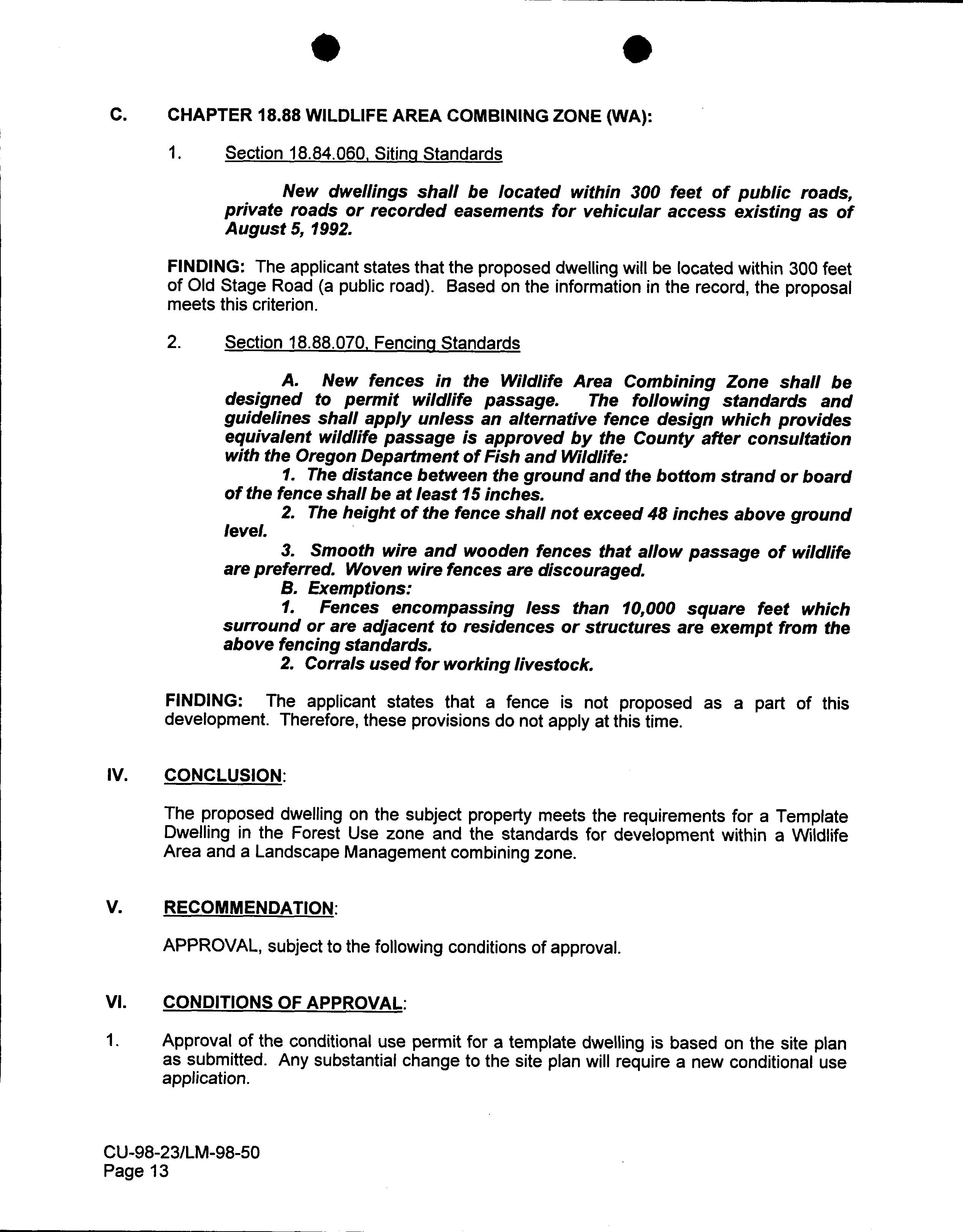
County Development Details

Ground Snow Load: 55 #/sq. ft.

Deschutes County Permits

Permit Detail

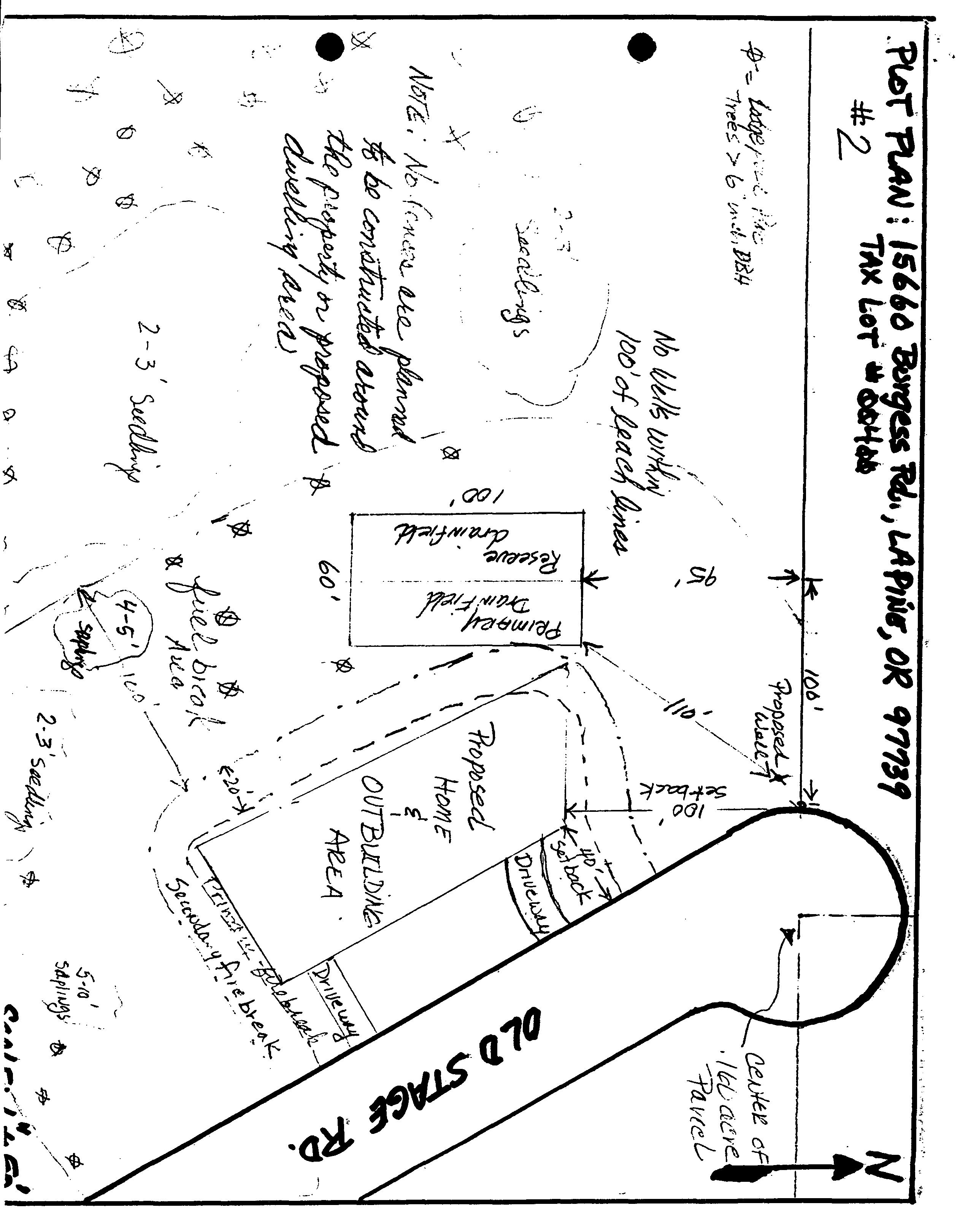
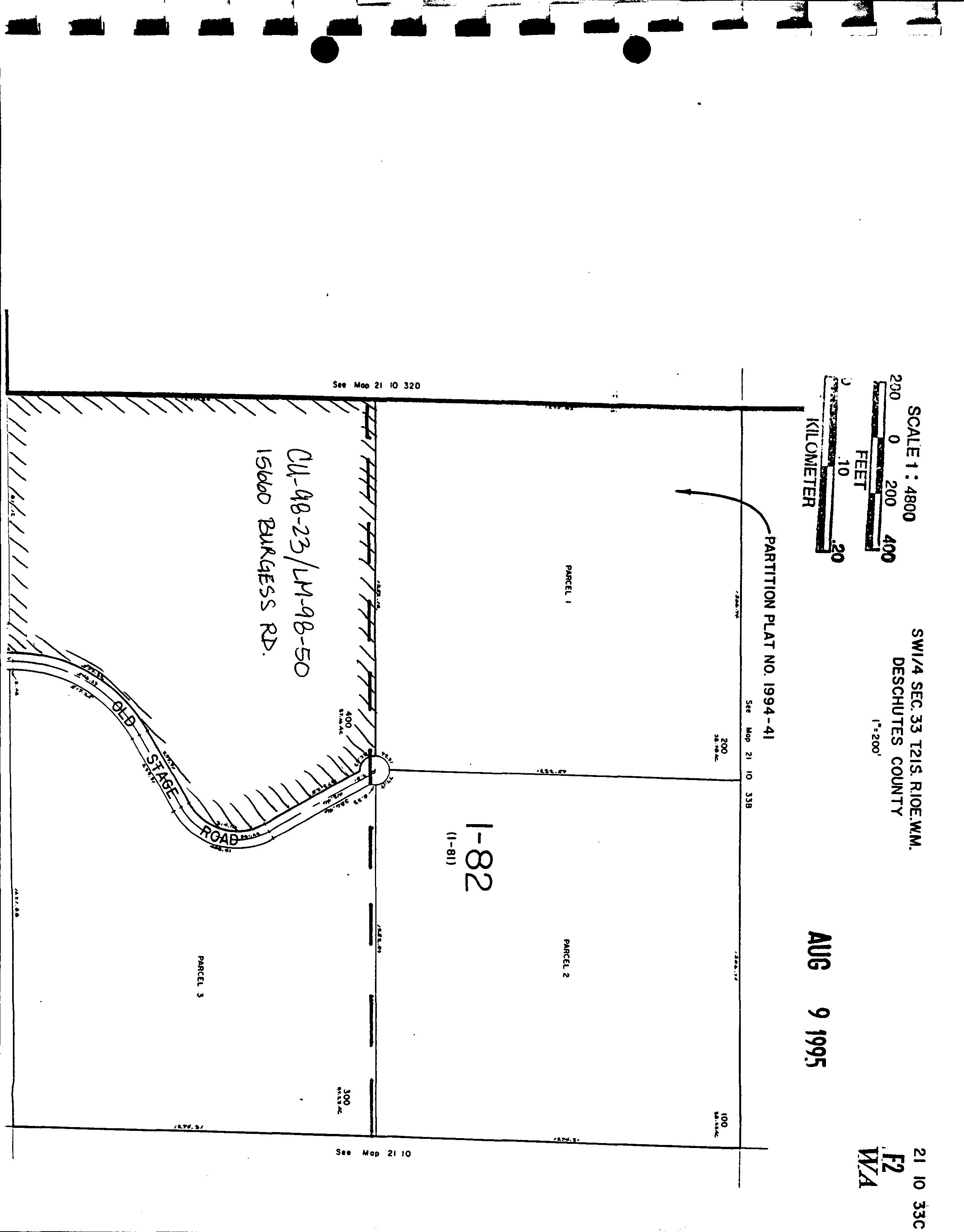
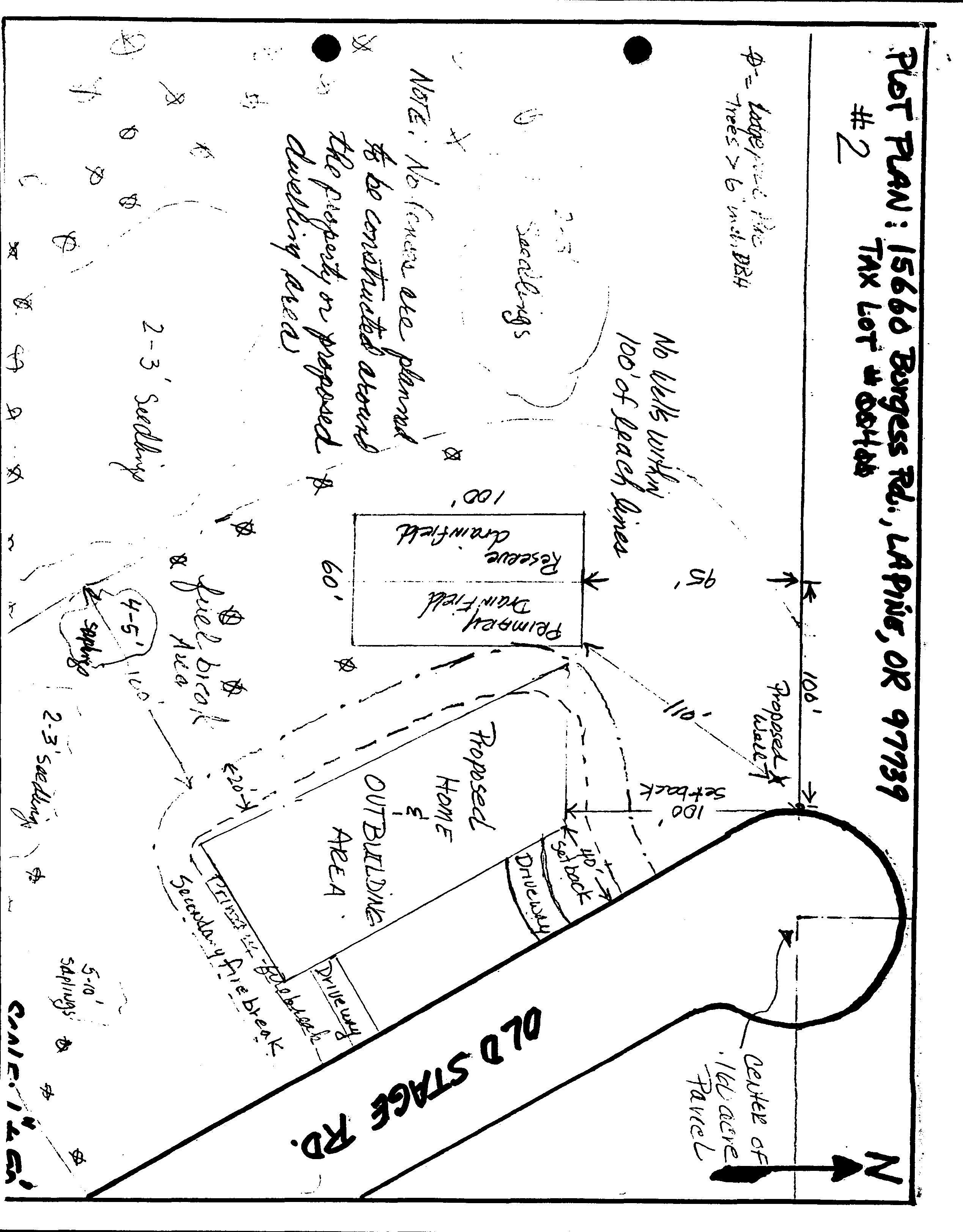
04/10/1998 LEL GC OLD SITUS= 15660 BURGESS RD,LA PINE

02/07/1997 DWH STUDY VALID AS IS 02/07/1997 MAS GC OLD SITUS= 15696 BURGESS RD,LAPINE 07/11/1991 TAF PIT C

247-E0114-PL

Permit Number: WILL AND MARNI MCNEELY

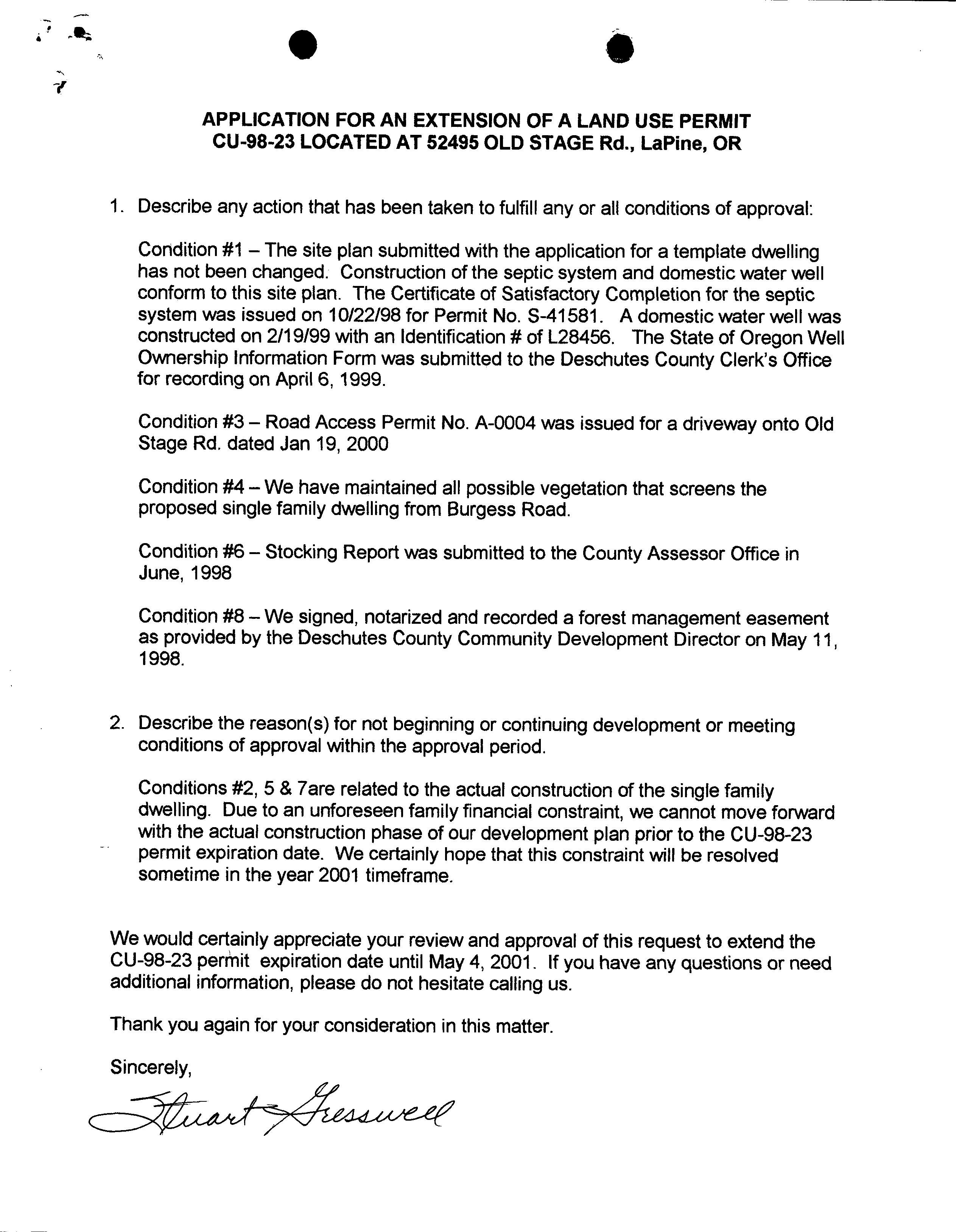
Land Use Permit Details 04/03/2001

Owner:

Permit Name: MCNEELY,WILLIAM M

Conservation Easement Required:

Conservation Easement Recording Number: Conservation Easement Description: Conservation Easement Comments: Request: EXTENSION OF CU-98-23 No

Land Use Permit Details 03/14/2000

247-E007-PL Permit Number: STUART D. & DIANE D. GRESSWELL

Permit Name: GRESSWELL,STUART D

Owner: 02/09/2000 Submit Date: Application Complete Date: Finaled Status:

Conservation Easement Required:

Request: FOR AN EXTENSION ON CU9823 FOR A SFD IN THE F2 ZONE No

Conservation Easement Recording Number:

Conservation Easement Description:

Conservation Easement Comments:

Land Use Permit Details

Permit Number:

Permit Name:

Owner:

247-LM9850-PL

GRESSWELL,STUART D

GRESSWELL,STUART D

03/16/1998

Request: NONVISIBLE LM REVIEW - BURGESS ROAD No

Conservation Easement Required:

Conservation Easement Recording Number:

Conservation Easement Description: Conservation Easement Comments:

Permit Number:

Land Use Permit Details 04/15/1998

247-CU9823-PL

03/16/1998

GRESSWELL,STUART D

Owner:

Permit Name: GRESSWELL,STUART D

Request: CU FOR TEMPLATE TEST - F2 No

Conservation Easement Required:

Conservation Easement Recording Number:

Conservation Easement Description: Conservation Easement Comments:

247-D9810-PL

Permit Number: STUART GRESSWELL

Permit Name:

Land Use Permit Details 03/03/1998

Owner:

GRESSWELL,STUART D

Request: DEPOSIT ON CU PERMIT FOR TEMPLATE DWELLING IN F2 ZONE No

Conservation Easement Required:

Conservation Easement Recording Number:

Conservation Easement Description: Conservation Easement Comments:

Permit Number:

Owner:

247-SW2657

Permit Name: STUART GRESSWELL

Building Class: Driveway Class of Work:

Road Access Permit Details Driveway Access Type:

STUART GRESSWELL

Septic Permit Details

Permit Number:

247-S47495

MCNEELY,WILLIAM M

Permit Name: RUSSELL CONST., STAN

Contractor: 06/26/2001 Application Date: 07/02/2001 Issue Date: 07/23/2001 Final Date: Finaled Status:

Linked Feasibility Permit:

Inspections

Date Init. Comments

07/19/2001 MYA FAXED AS-BUILT REC'D/ROUTED TO TSC INCDDL/INSP SCHEDULED FOR TODAY (TANK) ONLY RE-LOCATION

07/02/2001 SLA GC BACK TO TECH

06/27/2001 TSC PLANNER SIGN OFF NEEDED.

06/26/2001 MYA PLANNER TO SIGN OFF E-0114

06/26/2001 MYA RE-LOCATING SEPTIC TANK FOR A FUTURE HOME/NO BLDG PERMIT APPLIED FOR AT THIS TIME

Septic Permit Details

Permit Name: RUSSELL CONST., STAN

Inspections

Date Init. Comments

10/20/1998 STS GC AS BUILT SUBMITTED/INSP SCHEDULED

04/10/1998 LEL GC OLD SITUS= 15660 BURGESS RD,LA PINE 03/16/1998 TMT THIS IS A 37 ACRE PARCEL.

Assessor's Office Supplemental Information

Subdivision: Lot: Block: Legal Description:

STATEMENT OF TAX ACCOUNT

SITUS ADDRESS:

52495 OLD STAGE RD LA PINE

Roa d Map

Property Maps

CC&R’s Available Upon Request

Altos Market Report

La Pine, OR 97739

Single-Family Homes

This week the median list price for La Pine, OR 97739 is $532,500 with the market action index hovering around 29. This is less than last month's market action index of 30. Inventory has increased to 118.

Market Action Index

This answers “How’s the Market?” by comparing rate of sales versus inventory

Slight Buyer's Advantage

The Market Action Index has been trending lower for several weeks while prices have remained relatively stable. If inventory continues to grow relative to demand however, it is likely that we will see downward pressure on pricing.

Median List Price

Market Segments

Each segment below represents approximately 25% of the market ordered by price.

Slight Buyer's Advantage

Demographics

Transportation To Work

Average Travel Time To Work

45-59 min

40-44 min

35-39 min

30-34 min

25-29 min

Bike to Work

Age Pyramid

The largest group: 2023 Males Age 60-64

The smallest group: 2023 Males Age 85+ Dots show comparison to Deschutes County

Households by income

The largest group: $100,000 - $149,999 (16.7%)

The smallest group: $150,000 - $199,999 (2.7%) Indicator

$100,000 - $149,999

$150,000 - $199,999

$200,000+

Employment By Industry

$4,533,227 Annual Pet Spending

School Report

Subject: 52495 Old Stage Rd La Pine, OR 97739 541.382.4201 | cs.deschutes.or@firstam.com Report Created: 6/10/2024

Bend-La Pine Schools

Students We Serve

OREGON AT-A-GLANCE SCHOOL PROFILE

LaPine Elementary School

PRINCIPAL: Megan Silvey | GRADES: K-5 | 51615 Coach Rd, LaPine 97739 | 541-355-8000

CLASS SIZE

REGULAR ATTENDERS

Students

School Goals

Our promise is for every student to be known by name, strength and need; and to graduate ready for college, career and citizenship. Our focus is on people, starting with our teachers and school staff and extending to students, families and community partners. We ask teachers, school leaders and staff to hold our students to high expectations, to model those standards in their own behavior and to provide all students the support they need to succeed.

MATHEMATICS

State Goals

The Oregon Department of Education is partnering with school districts and local communities to ensure a 90% ontime, four year graduation rate by 2027. To progress toward this goal, the state will prioritize efforts to improve attendance, provide a well-rounded education, invest in implementing culturally responsive practices, and promote continuous improvement to close opportunity and achievement gaps for historically and currently underserved students.

Safe & Welcoming Environment

Bend-La Pine Schools is committed to creating a safe and welcoming environment for all students. Our strategic priorities include

· Maximizing safety for students, staff, and the community.

· Ensuring physically and psychologically safe, secure and orderly learning environments.

· Building upon our foundation of prevention, intervention, emotional health and crisis preparedness.

Our Staff (rounded FTE)

OREGON AT-A-GLANCE SCHOOL PROFILE

LaPine Elementary School

Outcomes

REGULAR ATTENDERS

ENGLISH LANGUAGE ARTS

About Our School

BULLYING, HARASSMENT, AND SAFETY POLICIES

Bend-La Pine Schools is committed to creating a safe and welcoming environment for all students. Our strategic priorities include

· Maximizing safety for students, staff, and the community.

· Ensuring physically and psychologically safe, secure and orderly learning environments.

· Building upon our foundation of prevention, intervention, emotional health and crisis preparedness.

EXTRACURRICULAR ACTIVITIES

Bend-La Pine Schools values extracurricular activities, including interscholastic sports, academic clubs, service clubs and more. To learn more about the activities offered at our school, connect with our staff or visit our school website for details.

PARENT ENGAGEMENT

We ask parents and families to partner with us in giving children the support they need to succeed at school. We ask community partners to consider committing more time and expertise. We offer numerous ways for interested families and community members to connect with our schools — through volunteering, attending school activities and events and much more.

COMMUNITY ENGAGEMENT

We offer numerous ways for interested community members and businesses to connect with our schools. We partner with local businesses and community agencies to provide students with learning opportunities. Contact our schools to learn more about ways to connect.

Students We Serve

OREGON AT-A-GLANCE SCHOOL PROFILE

LaPine Middle School

PRINCIPAL: Brian Barringer | GRADES: 6-8 | 16360 First St, LaPine 97739 | 541-355-8200

REGULAR ATTENDERS

Students

School Goals

Our promise is for every student to be known by name, strength and need; and to graduate ready for college, career and citizenship. Our focus is on people, starting with our teachers and school staff and extending to students, families and community partners. We ask teachers, school leaders and staff to hold our students to high expectations, to model those standards in their own behavior and to provide all students the support they need to succeed.

MATHEMATICS

State Goals

The Oregon Department of Education is partnering with school districts and local communities to ensure a 90% ontime, four year graduation rate by 2027. To progress toward this goal, the state will prioritize efforts to improve attendance, provide a well-rounded education, invest in implementing culturally responsive practices, and promote continuous improvement to close opportunity and achievement gaps for historically and currently underserved students.

Safe & Welcoming Environment

Bend-La Pine Schools is committed to creating a safe and welcoming environment for all students. Our strategic priorities include

· Maximizing safety for students, staff, and the community.

· Ensuring physically and psychologically safe, secure and orderly learning environments.

· Building upon our foundation of prevention, intervention, emotional health and crisis preparedness.

Our Staff (rounded FTE)

OREGON AT-A-GLANCE SCHOOL PROFILE

LaPine Middle School

REGULAR ATTENDERS

ENGLISH LANGUAGE ARTS

MATHEMATICS

About Our School

BULLYING, HARASSMENT, AND SAFETY POLICIES

Bend-La Pine Schools is committed to creating a safe and welcoming environment for all students. Our strategic priorities include

· Maximizing safety for students, staff, and the community.

· Ensuring physically and psychologically safe, secure and orderly learning environments.

· Building upon our foundation of prevention, intervention, emotional health and crisis preparedness.

EXTRACURRICULAR ACTIVITIES

Bend-La Pine Schools values extracurricular activities, including interscholastic sports, academic clubs, service clubs and more. To learn more about the activities offered at our school, connect with our staff or visit our school website for details.

PARENT ENGAGEMENT

We ask parents and families to partner with us in giving children the support they need to succeed at school. We ask community partners to consider committing more time and expertise. We offer numerous ways for interested families and community members to connect with our schools — through volunteering, attending school activities and events and much more.

COMMUNITY ENGAGEMENT

We offer numerous ways for interested community members and businesses to connect with our schools. We partner with local businesses and community agencies to provide students with learning opportunities. Contact our schools to learn more about ways to connect.

Students We Serve

OREGON AT-A-GLANCE SCHOOL PROFILE

LaPine Senior High School

PRINCIPAL: Scott Olszewski | GRADES: 9-12 | 51633 Coach Rd, LaPine 97739 | 541-355-8400

REGULAR ATTENDERS

Students

Students

who were first-time ninth graders in 2018-19 graduating in 2021-22

FIVE-YEAR COMPLETION

Students earning a high school diploma or GED within five years. Cohort Includes students who were firsttime ninth graders in 2017-18 finishing in 2021-22

COLLEGE GOING

Students enrolling in a two or four year college within 16 months of completing high school in 202021. Data from the National Student Clearinghouse.

School Goals

Our promise is for every student to be known by name, strength and need; and to graduate ready for college, career and citizenship. Our focus is on people, starting with our teachers and school staff and extending to students, families and community partners. We ask teachers, school leaders and staff to hold our students to high expectations, to model those standards in their own behavior and to provide all students the support they need to succeed.

State Goals

The Oregon Department of Education is partnering with school districts and local communities to ensure a 90% ontime, four year graduation rate by 2027. To progress toward this goal, the state will prioritize efforts to improve attendance, provide a well-rounded education, invest in implementing culturally responsive practices, and promote continuous improvement to close opportunity and achievement gaps for historically and currently underserved students.

Safe & Welcoming Environment

Bend-La Pine Schools is committed to creating a safe and welcoming environment for all students. Our strategic priorities include

· Maximizing safety for students, staff, and the community.

· Ensuring physically and psychologically safe, secure and orderly learning environments.

· Building upon our foundation of prevention, intervention, emotional health and crisis preparedness.

Our Staff (rounded

OREGON AT-A-GLANCE SCHOOL PROFILE

LaPine Senior High School

Outcomes

REGULAR ATTENDERS

ON-TRACK TO GRADUATE

About Our School

ADVANCED COURSEWORK

Bend-La Pine Schools offer a range of advanced coursework and opportunities for students. These include, but are not limited to, Advanced Placement courses, International Baccalaureate programs of study, dual credit courses (in which students can obtain college credit in school) and much more. Contact counseling offices to learn more about potential options.

CAREER & TECHNICAL EDUCATION

Bend-La Pine Schools’ cutting-edge rigorous and relevant Career and Technical Education courses prepare students for a wide range of high-wage, high-skill, highdemand careers. More than 2,300 Bend-La Pine Schools’ students enrolled in CTE courses last year, with high schools offering more than 148 CTE courses. Students have the opportunity to explore a variety of CTE options including agri-sciences, business, culinary, engineering, forestry, future energy and power, graphic design and manufacturing technologies.

EXTRACURRICULAR ACTIVITIES

Bend-La Pine Schools values extracurricular activities, including interscholastic sports, academic clubs, service clubs and more. To learn more about the activities offered at our school, connect with our staff or visit our school website for details.

PARENT & COMMUNITY ENGAGEMENT

We ask parents and families to partner with us in giving children the support they need to succeed at school. We ask community partners to consider committing more time and expertise. We offer numerous ways for interested families and community members to connect with our schools — through volunteering, attending school activities and events and much more.

Business Report

Subject: 52495 Old Stage Rd La Pine, OR 97739 541.382.4201 | cs.deschutes.or@firstam.com Report Created: 6/10/2024

Restaurants

Lavender Cottage Huntington Rd @ Burgess La Pine, OR 97739

16490 1st St La Pine, OR 97739

OR 97739

OR 97739

Stores

Deschutes Fly & Tackle 15746 Burgess Rd La Pine, OR 97739

Carpet Cleaning

Pine, OR 97739

Sunrise Blvd

Pine, OR 97739

Burgess Rd

Pine, OR 97739

Woodchip Ln

Pine, OR 97739

Design 16321 Leona Ln La Pine, OR 97739

RimRock Detector Sales com

51675 Pine St La Pine, OR 97739

52322 Glenwood Dr

Pine, OR 97739

Subject: 52495 Old Stage Rd La Pine, OR 97739 541.382.4201 | cs.deschutes.or@firstam.com Report Created: 6/10/2024

Pets

High Lakes Duck Dogs

Fir Rd

Pine, OR 97739

OR 97739

OR 97739

52495 Old

Rd La Pine, OR 97739 541.382.4201 | cs.deschutes.or@firstam.com Report Created: 6/10/2024

Healthcare

Hospice Of La Pine

Huntington Rd

Pine, OR 97739

Community

Pine, OR 97739

| cs.deschutes.or@firstam.com Report Created: 6/10/2024

Public Agencies

La Pine Fire Department Station 103 15990 Burgess Rd

Pine, OR 97739

Subject: 52495 Old Stage Rd La Pine, OR 97739 541.382.4201 | cs.deschutes.or@firstam.com Report Created: 6/10/2024

Utilities

Cable Television

TDS (844) 628-6611

DirectTV (888) 777-2454

Dish Network (888) 825-2557

Yellowknife Wireless Co. (541) 385-0111

Garbage / Recycling

Republic Services – Bend (541) 382-2263

Cascade Disposal (541) 382-6660

Deschutes Recycling (541) 388-1910

Environmental Center (541) 385-6908

Republic Services –Redmond & Sisters (541) 548-4984

Knott Landfill (541) 383-4388

Republic - Prineville (541) 447-5208

Wilderness (La Pine) (541) 536-1194

Electric / Gas Companies / Propane

Amerigas (Propane) (541) 548-7449

Cascade Natural Gas (888) 522-1130

Central Electric (Bend) (541) 389-1980

Central Electric (Prineville) (541) 447-5321

Central Electric (Redmond) (541) 548-2144

Central Electric (Sisters) (541) 549-5698

Ed Staub & Sons (Propane) (541) 504-8265

Ferrell Gas/Propane (541) 382-1161

Mid. State Electric (541) 536-2126 Northern Energy (Propane) (541) 548-7449

Pacific Power & Light (800) 221-7070

Underground Utilities Location (541) 678-0629

Irrigation Districts

Arnold Irrigation (541) 382-7664

Central Oregon Irrigation (541) 548-6047

Ochoco Irrigation (541) 447-6449

Swalley Irrigation (541) 388-0658

Three Sisters Irrigation (541) 549-8815

Tumalo Irrigation (541) 382-3053

Telephone Companies

AT&T (800) 222-0300

TDS (844) 628-6611

BendTel (541) 389-4020

CenturyLink (800) 244-1111

DirectTV (888) 777-2454

Dish Network (888) 825-2557

Water Companies

Agate Water (541) 382-2855

Avion Water Company (541) 382-5342

City of Bend (541) 388-5515

City of La Pine (541) 536-1432

City of Prineville (541) 447-5627

City of Redmond (541) 923-7765

City of Sisters (541) 549-6022

Cline Butte Utility (541) 504-2305

Laidlaw Water District (541) 389-1255

Roats Water System (541) 382-3029

Sun Mountain Water Systems (541) 382-7309

Sunriver Utilities (541) 593-4197

Terrebonne Domestic (541) 548-2727

Chambers of Commerce

Bend (541) 382-3221

La Pine (541) 536-9771

Prineville (541) 447-6304

Redmond (541) 923-5191

Sisters (541) 549-0251

Sunriver (541) 593-8149

Parks / Museums / Resorts

Bend Metro Park & Rec (541) 389-7275

Black Butte Ranch (866) 901-2961

Brasada Ranch (888) 487-3563

Cascades Theatrical Company (541) 389-0803

Deschutes Co. Fairgrounds (541) 548-2711

Deschutes Historical Museum (541) 389-1813

Deschutes Nat’l Forest Info (541) 383-5300

Eagle Crest Resort (541) 923-2453

Fish & Wildlife (Bend Office) (541) 388-6363

FivePine Lodge (Sisters) (541) 549-5900

High Desert Museum (541) 382-4754

Mt. Bachelor Ski Resort (541) 382-1709

Odem Theater Pub (541) 425-1850

Redmond Air Center (541) 504-7200

Redmond Cinemas (541) 548-8777

Regal Old Mill (844) 462-7342

Seventh Mountain Resort (541) 382-8711

SHARC (Sunriver) (541) 585-5000

Sisters Movie House (541) 549-8800

State Parks Reservations (800) 452-5687

Sunriver Nature Center (541) 593-4394

Sunriver Resort (855) 420-8206

The Lodge at Suttle Lake (Sisters) (541) 638-7001

US Forest Service (800) 832-1355

Golf Courses

Aspen Lakes (Sisters) (541) 549-4653

Awbrey Glenn (541) 385-6011

Bend Golf & Country Club (541) 382-3261

Black Butte Ranch (541) 595-1500

Brasada Canyons (541) 526-6380

Broken Top Club (Bend) (541) 383-8200

Caldera (Sunriver) (541) 593-4851

Crooked River Ranch (541) 923-6343

Crosswater Club (Sunriver) (541) 593-6196

Eagle Crest (Redmond) (541) 923-4653

Golf Courses (Cont.)

The Greens (Redmond) (541) 923-0694

Juniper (Redmond) (541) 548-3121

Lost Tracks (Bend) (541) 385-1818

Meadow Lakes (Prineville) (541) 447-7113

Old Back Nine at Mt. High (Bend) (541) 382-1111

Pronghorn (Bend) (541) 693-5300

Quail Run (La Pine) (541) 536-1303

Rivers Edge (Bend) (541) 389-2828

Sunriver Resort (541) 593-4402

Tetherow (Bend) (541) 213-2424

Widgi Creek (Bend) (541) 382-4449

Medical / Hospitals

Summit – Bend (541) 706-5440

Summit Health – Sisters (541) 382-2811

Deschutes County Health Dept (541) 322-7400

High Lakes Health Care (Sisters) (541) 389-7714

La Pine Community Health Ctr (541) 536-3435

Poison Control Center (800) 222-1222

Police/Sheriff/Fire/ Ambulance 911

St. Charles (Redmond) (541) 548-8131

St. Charles (Prineville) (541) 447-6254

St. Charles (Sisters) (541) 549-1318

St. Charles Hospital (Bend) (541) 382-4321

School Districts / Schools

Bend/La Pine School District (541) 355-1000

Central Oregon Com. College (541) 383-7700

Crook County High School (541) 416-6900

Crook County Middle School (541) 447-6283

Crook County Schools (541) 447-5664

OSU Cascades (541) 322-3100

School Districts / Schools (Cont.)

Redmond School District 2J

(541) 923-5437

Sisters School District #6 (541) 549-8521

Road Conditions

In Oregon (800) 977-6368

Transportation

Amtrak (800) 872-7245

Bend Municipal Airport (541) 389-0258

Bus Line/Greyhound (800) 231-2222

Cascade East Transit (541) 385-8680

Oregon Hwy Info (800) 977-6368

Redmond Airport (541) 504-3084

Sunriver Airport (541) 593-4603

Voters Registration

Crook County Registration (541) 447-6553

Deschutes County Registration (541) 388-6547

City / County Services

City of Bend (541) 388-5505

City of Redmond (541) 923-7710

City of Sisters (541) 549-6022

City of La Pine (541) 536-1432

City of Prineville (541) 447-5627

Deschutes County (541) 388-6570

Libraries

Bend Public (541) 617-7050

Crook County (541) 447-7978

La Pine (541) 312-1090

Prineville (541) 447-7978

Redmond (541) 312-1050

Sisters (541) 312-1070

Sunriver (541) 312-1080

Lock Smiths

Bend Lock & Safe (541) 389-1515

Cornerstone Lock & Key (Redmond) (541) 291-4500

Johnnys Locskhop (Prineville) (541) 447-3373

Knight’s Locksmith (541) 604-2866

Media / Newspapers

The Bulletin (541) 382-1811

Cascade Business News (541) 388-5665

Central Oregonian (541) 447-6205

The Nugget (Sisters) (541) 549-9941

Oregonian (503) 221-8100

The Redmond Spokesman (541) 548-2184

The Source (541) 383-0800

SERIAL 183446

DIVISION EH

SITUS 52495 OLD STAGE D

HOUSE# 52495

STREET OLD STAGE CONTENT S47495

RECORD ID S47495

Inspection Date 07/ 23/ 2001

Job Location - Address: TaxLot:

Name of Owner: Installer:

52495 OLD STAGE RD 211033C000400

MCNEELY, WILLIAM M RUSSELL CONST., STAN

SEPTIC SYSTEM TYPE: STANDARD SYSTEM Tank Material & Capacity: CONCRETE 1000

City: LA PINE Serial: 183446

License#: 36839

In accordance with Oregon Revised Statute 454. 66, this Certificate is issued as evidence of satisfactory completion and installation of components as described in the permit at the location identified above.

Authorized Signature X TODD

Date: 07/ 23/ 2001

FThiAL SEPTIC INSPECTION REQUEST AND NOTICE:

DATE RECEIVED:

Pursuant to the requirements within ORS 454. 665, OAR 340- 71- 175, The system installer and/ or permittee must notify the Deschutes County Environmental Health Division when the construction, alteration, or repair of the system is completed ( except for backfilling or covering). The Division has 7 days to inspect the completed construction after the official notice date, unless the Division elects to waive the inspection and authorizes the system to be backfdled. Receipt and acceptance of this completed form by the Division establishes the official notice date of your request for a pre -cover incpection. Complete this form with:

A) Detailed and accurate as -built drawing of system, including all pertinent setbacks, wells and surface waters.

B) Complete the back of this form listing ALL materials and wool imed in construction of the system.

C) Signature certifying that the construction followed all permit and DEQ construction rides. Forms that are determined to be incomplete will be returned. Use the space below for as -built drawing.

SEPTIC PERMIT tr_6"— Id r75- ADDRESS: 5-01/ cna 53.< -. PHONE 14: 576'1 f73:5 -

y 1416Z4-5- r ki f 00'

Construction was performed by Property owner ( Permittee)

BUSINESS 57-4A1

Print fullfull business name)

I certify the information provided in this notice is correct, and that rules regulating the construction of on- site sewage disposal system, tank has been water- tested on site and fa d to in ter -

INSTALLER' S SIGNATURE:

Licensed DEQ Installer

constniction of this system was in accordance with the permit AR Chapter 340, Divisions ' 71 and 73). I certify that the septic equirement' as described in OAR - 340- 71- 075.

DEQ LICENSE 3C gW

On -Site System Components List

Please list ail materials used in constructing this system an the spaces provided below.

Component

Septic Tank

Effluent Tank

Perforated Pipe

Drain Meciia Header

Pump Package

Sand Filter Media

Sand Filter

Underdram Media

Other: ( specify)

Job Location - Address:

In accordance with Oregon Revised Statute 454. 66, this Certificate is issued as evidence of satisfactory completion and installation of components as described in the permit at the location identified above.

Authorized Signature X

Date Received

F! NAL, SEPTIC INSPECTION REQUEST AND NOTICE

Pursuant to the requirements within ORS 454.865, OAR 340-71- 175, the system installer and/or permittee must notify the Deschutes County Environmental Health Division when the construction, atteration, or repair of the system is completed ( except for backfilling or covering). The Division has 7 days to inspect the completed construction after the official notice date, unless the Division elects to waive the inspection and authorizes the system to be backfilled. Receipt and acceptance of this completed form by the Division establishes the official notice date of your request for a pm -cover inspection, Complete this form with:

A) Detailed and accurate as -built drawing of system, including all pertinent setbacks, wells and surface waters.

B) Complete the back of this form listing ALL materials and amount used in construction of the system.

C) Signature certifying that the construction followed all permit and D.E.0_constniction rules. Forms that are determined to be incomplete will be returned. Use the space below for as-built drawing.

SEPTIC PERMIT14.".2

ListDfigaterials

1 000gal Concrete Tank -Willamette Graystone 12" Orenco Risor W/ Lid—Willamette Graystone Fernco cuplers---- Willamette Graystone

150Infiltrator Drainfield- Familian NW

1- Tuff- Tite 4 hole D- Box— Familian NW

1- Deverision Valve

100' 4" 3034 ------------ Familian NW 4- 4" 90* - 3034--- Familian NW 2- 4" 22. 5* - 3034 Familian NW

1- 4" 45* - Familian NW

C;ertify the information provided in this notice is correct, and that the construction of this system was cn accordance with the permit and rules regulating the construction of on-site sewage disposal systems( OAR Chapter 340, Divisions 71 and 73). I certify that the septic tank has been water tested on site and found to meet watertightness requirements as described in OAR 340-71-025.

Derexisioo

FILE ID 211033C0004000T20120112144336

TAXMAP 211033C000400

SERIAL 183446

DIVISION OT

SITUS 52495 OLD STAGE RD

HOUSE# 52495

STREET OLD STAGE

CONTENT SW2657 A0004

RECORD ID SW2657

Cover Sheet Identifier AHJKMTWX

Road Department

PROPERTY cwt HAMA NAMW DWEWt .

ADDRESS OF PROPERTY.

DISTANCE AND DIRECTION TO INTERS

TYPE OF ACCESS ( Circle One): RESIDENTIAL CObIIdERCLAL FARM

Applicant hereby applies to the Department ofPublic Works foraccess rights and permission to construct driveway and curb cert atthe locationshowninthis permit. All, work shall be in conformance with Deschutes County Code 17.48.210 and 1748. 220.

Permittee agrees and understands that this permit does not constitute a land use permit. Any development ofproperty connected withthis permit must comply with all applicable land use regulations.

Include a sketch showing the location and type ofaccess and indicate whether a curb cut is requited, ( Ifaaub cut is being put in aft driveway bas already been permitted, a utility permit is required.) Also include the distance to the driveway from the lot boundaries, thedriveway width and the curb cut width. Please include anorth arrow. Space for drawing the map isonthe back ofthis form.

I ", A R: Deschutes CountyDepartmentofPublic Works willnottake responsibility for ensuring that all otherconditions ofanyotherregulating agency have been complied with. Itisthe responsibility ofthe homeowner to meet subdivision Covenants, Conditions and Restrictions ( C.CR.'s) and all other neighborhood and regulatory agenoy requirements.

i PracArn's SIGMA•

MAILING ADDRESS•

DESCFItTIES CO

Approved By

DESCHUTES CO

Approved Br

AREA DRAWING LOCATING SUBJECT PROPERTY A map eau also be attached. No isolated plat maps. Please Indicate north.)

DIVISION EH

SITUS 52495 OLD STAGE RD

HOUSE# 52495

STREET OLD STAGE

CONTENT PLOT PLAN

RECORD ID S47495

A GTO- /4-1 L.- ST" INiC6- 12 c10, 84- Z

Turn static files into dynamic content formats.

Create a flipbook
Issuu converts static files into: digital portfolios, online yearbooks, online catalogs, digital photo albums and more. Sign up and create your flipbook.