[FREE PDF sample] Vermicomposting for sustainable food systems in africa 1st edition hupenyu allan m

Page 1


Visit to download the full and correct content document: https://ebookmass.com/product/vermicomposting-for-sustainable-food-systems-in-afri ca-1st-edition-hupenyu-allan-mupambwa/

More products digital (pdf, epub, mobi) instant download maybe you interests ...

Sustainable food waste-to-energy systems Babbitt

https://ebookmass.com/product/sustainable-food-waste-to-energysystems-babbitt/

Sustainable Food Systems from Agriculture to Industry Improving Production and Processing Galanakis

https://ebookmass.com/product/sustainable-food-systems-fromagriculture-to-industry-improving-production-and-processinggalanakis/

Sustainable biofloc systems for marine shrimp Samocha

https://ebookmass.com/product/sustainable-biofloc-systems-formarine-shrimp-samocha/

Women and Sustainable Human Development: Empowering Women in Africa 1st ed. Edition Maty Konte

https://ebookmass.com/product/women-and-sustainable-humandevelopment-empowering-women-in-africa-1st-ed-edition-maty-konte/

Engineering Plant-Based Food Systems Sangeeta Prakash

https://ebookmass.com/product/engineering-plant-based-foodsystems-sangeeta-prakash/

India–Africa Partnerships for Food Security and Capacity Building : South–South Cooperation 1st Edition

Renu Modi

https://ebookmass.com/product/india-africa-partnerships-for-foodsecurity-and-capacity-building-south-south-cooperation-1stedition-renu-modi/

Building a Resilient and Sustainable Agriculture in Sub-Saharan Africa 1st ed. Edition Abebe

https://ebookmass.com/product/building-a-resilient-andsustainable-agriculture-in-sub-saharan-africa-1st-ed-editionabebe-shimeles/

Sustainable Food Packaging Technology Athanassia

Athanassiou

https://ebookmass.com/product/sustainable-food-packagingtechnology-athanassia-athanassiou/

Introduction to Food Science and Food Systems 2nd Edition Rick Parker

https://ebookmass.com/product/introduction-to-food-science-andfood-systems-2nd-edition-rick-parker/

Hupenyu Allan Mupambwa

Lydia Ndinelao Horn

Pearson Nyari Stephano Mnkeni   Editors

Vermicomposting for Sustainable Food Systems in Africa

SustainabilitySciencesinAsiaandAfrica

SustainableAgricultureandFoodSecurity

SeriesEditor

RajeevK.Varshney,Semi-AridTropics,InternationalCropsResearchInstitute, Patancheru,Telangana,India

Thisbookseriessupporttheglobaleffortstowardssustainabilitybyprovidingtimely coverageoftheprogress,opportunities,andchallengesofsustainablefoodproductionandconsumptioninAsiaandAfrica.Theseriesnarratesthesuccessstoriesand researchendeavorsfromtheregionsofAfricaandAsiaonissuesrelatingtoSDG2: Zerohunger.Itfosterstheresearchintransdisciplinaryacademic fieldsspanning acrosssustainableagriculturesystemsandpractices,post-harvestandfoodsupply chains.Itwillalsofocusonbreedingprogramsforresilientcrops,efficiencyincrop cycle,variousfactorsoffoodsecurity,aswellasimprovingnutritionandcurbing hungerandmalnutrition.Thefocusoftheseriesistoprovideacomprehensive publicationplatformandactasaknowledgeengineinthegrowthofsustainability scienceswithaspecialfocusondevelopingnations.Theserieswillpublishmainly editedvolumesbutsomeauthoredvolumes.Thesevolumeswillhavechaptersfrom eminentpersonalitiesintheirareaofresearchfromdifferentpartsoftheworld.

LydiaNdinelaoHorn 2

PearsonNyariStephanoMnkeni

Editors

Vermicomposting forSustainableFoodSystems inAfrica

Editors HupenyuAllanMupambwa SamNujomaMarineandCoastal ResourcesResearchCenter UniversityofNamibia HentiesBay,Namibia

PearsonNyariStephanoMnkeni FacultyofScienceandTechnology UniversityofArusha Arusha,Tanzania

LydiaNdinelaoHorn

UniversityofNamibia Windhoek,Namibia

ISSN2730-6771

ISSN2730-678X(electronic)

SustainabilitySciencesinAsiaandAfrica

ISSN2730-6798

ISSN2730-6801(electronic) SustainableAgricultureandFoodSecurity

ISBN978-981-19-8079-4ISBN978-981-19-8080-0(eBook) https://doi.org/10.1007/978-981-19-8080-0

© TheEditor(s)(ifapplicable)andTheAuthor(s),underexclusivelicensetoSpringerNatureSingapore PteLtd.2023

Thisworkissubjecttocopyright.AllrightsaresolelyandexclusivelylicensedbythePublisher,whether thewholeorpartofthematerialisconcerned,specificallytherightsoftranslation,reprinting,reuseof illustrations,recitation,broadcasting,reproductiononmicrofilmsorinanyotherphysicalway,and transmissionorinformationstorageandretrieval,electronicadaptation,computersoftware,orby similarordissimilarmethodologynowknownorhereafterdeveloped.

Theuseofgeneraldescriptivenames,registerednames,trademarks,servicemarks,etc.inthispublication doesnotimply,evenintheabsenceofaspecificstatement,thatsuchnamesareexemptfromtherelevant protectivelawsandregulationsandthereforefreeforgeneraluse.

Thepublisher,theauthors,andtheeditorsaresafetoassumethattheadviceandinformationinthis bookarebelievedtobetrueandaccurateatthedateofpublication.Neitherthepublishernortheauthorsor theeditorsgiveawarranty,expressedorimplied,withrespecttothematerialcontainedhereinorforany errorsoromissionsthatmayhavebeenmade.Thepublisherremainsneutralwithregardtojurisdictional claimsinpublishedmapsandinstitutionalaffiliations.

ThisSpringerimprintispublishedbytheregisteredcompanySpringerNatureSingaporePteLtd. Theregisteredcompanyaddressis:152BeachRoad,#21-01/04GatewayEast,Singapore189721, Singapore

4 AnOutstandingPerspectiveonBiologicalDynamicsin VermicompostingMatrices ...............................

JerikiasMarumure,ZakioMakuvara,ClaudiousGufe, RichwellAlufasi,NgavaiteChigede,andRangarirayiKaridzagundi

5 InsightsintoEarthwormBiologyforVermicomposting 89 RutendoNyamusamba,ReaganMudziwapasi,FortuneJomane, UnityMugande,AbigarlNdudzo,SiceloSebata, andMorleenMuteveri

6 VermicompostingasanEco-FriendlyApproachforRecycling andValorizationGrapeWaste ............................

MaríaGómez-Brandón,ManuelAira,andJorgeDomínguez

7 Vermitechnology:AnUnderutilisedAgro-toolinAfrica .........

EbenezerOlasunkanmiDadaandYusufOlamilekanBalogun

P.Nyambo,L.Zhou,T.Chuma,A.Sokombela,M.E.Malobane, andM.Musokwa

BrendanM.Matomola,SimonT.Angombe,RhodaBirech, andHupenyuA.Mupambwa

SinazoAjibade,HupenyuAllanMupambwa,BarbaraSimon, andMiklosGulyas

AFarmers’ SynthesisontheEffectsofVermicompostsonSoil

AdornisD.Nciizah,HupenyuA.Mupambwa,PatrickNyambo, andBinganidzoMuchara 12 VermicompostasaPossibleSolutiontoSoilFertilityProblems andEnrichmentintheSemiaridZonesofNamibia

S.N.Nghituwamhata,L.N.Horn,andS.N.Ashipala

13 RoleofVermicompostinOrganicVegetableProductionUnder Resource-ConstrainedFamersinZimbabwe .................. 213 CosmasParwadaandJustinChipomho

14 Co-applicationofVermicompostwithOtherAmendments fortheImprovementofInfertile/DegradedSoils ...............

AkinsonTumbure,CharityPisa,andPardonMuchaonyerwa

15 SustainableEnhancementofSoilFertilityUsingBioinoculants ... . 249 MukelabaiFlorenceandChimwamurombePercy

16 ThePotentialofVermicompostsinSustainableCrop ProductionSystems 261 M.T.Mubvuma,I.Nyambiya,K.Makaza,P.Chidoko, C.P.Mudzengi,E.Dahwa,X.Poshiwa,R.Nyamusamba, A.M.Manyanga,M.Muteveri,andH.A.Mupambwa

17 VermicompostandVermi-leachateinPestandDisease Management 279 K.Sivasabari,S.Parthasarathy,DeepakChandran,S.Sankaralingam, andR.Ajaykumar

18 Vermicompost:APotentialReservoirofAntimicrobialResistant Microbes(ARMs)andGenes(ARGs) ....................... 307 ZakioMakuvara,JerikiasMarumure,RangarirayiKaridzagundi, ClaudiousGufe,andRichwellAlufasi

19 PotentialTransformationofOrganicWasteinAfrican CountriesbyUsingVermicompostingTechnology ............. 335 ParveenFatemehRupani,AshaEmbrandiri, HupenyuAllanMupambwa,andJorgeDomínguez

20 EarthwormsinBioremediationofSoilsContaminatedwith PetroleumHydrocarbons ................................ 349 AbdullahAnsari,JonathanWrights,andSirpaulJaikishun

AbouttheEditors

HupenyuAllanMupambwa holdsaPhDinSoilScience,wherehisresearch focusedonvermicompostingasawastebeneficiationtechnologyimportantin drivingorganicsoilfertility.Currently,heleadstheDesertandCoastalAgriculture researchprogramattheUniversityofNamibia.Hehasmorethan14years’ experienceinagricultureresearchandtrainingaswellasuniversityundergraduateand postgraduateteachingandresearch.Hehaspublishedmorethan25peer-reviewed internationalpublications,11bookchapters,andedited1book.Hisresearchfocuses onwastebeneficiation,vermi-technology,andorganicsoilfertilitymanagement withadrivetowardsimprovingthesoilqualityamongresource-poorfarmers.

LydiaNdinelaoHorn isaResearchCoordinatorattheMultidisciplinaryResearch Services(MRS)Department,UniversityofNamibia(UNAM).SheholdsaBScin Agriculture(CropScience)andanMScinBiodiversityManagementandResearch fromUNAM.SheobtainedaPhDinPlantBreedingfromtheUniversityofKwaZulu-NatalundertheTCAfricasponsorshipinpromotingwomeninnuclearscience andtechnology.Asaplantbreeder,herroleincropimprovementusingnuclear scienceandtechnologyledtothedevelopmentofNamibia’s first-evermutantthe developmentofthe first-evergermplasmsofcowpea,Bambaragroundnutpearl millet,andsorghum.

PearsonNyariStephanoMnkeni workedasaprofessorofsoilscienceatthe UniversityofFortHare(UFH),SouthAfrica,untilhisretirementin2018.Before 1997,heservedasanAssociateProfessorinSoilScienceattheSokoineUniversity ofAgricultureinMorogoro,Tanzania.HeispresentlyDeanofScienceandTechnologyandActingDeputyViceChancellorforPlanning,Administrationand FinanceattheUniversityofArusha,Tanzania.Hisresearchfocushasbeenon waysofimprovingsoilfertilityusingecologicalapproachesthatminimizethe carbon,energy,andwaterfootprintsofcropproduction.Heinitiatedandled

climate-smartagricultureresearchatUFH.Heledthedevelopmentofclimate-smart agricultureguidelinesforSouthAfricaasaconsultantfortheUnitedNations EnvironmentalProgramme(UNEP)in2018.Hehaspublishedover90articlesand isrankedasanestablishedresearcherbytheNationalResearchFoundationofSouth Africa.

Chapter1 ADecadeofVermicompostingResearch attheUniversityofFortHare:Selected Insights

PearsonNyariStephanoMnkeniandHupenyuA.Mupambwa

Abstract TheworksummarizedinthischapterhighlightsworkdoneattheUniversityofFortHare(UFH)inSouthAfricaoverapproximately10yearsfocussing ontheoptimizationofthevermicompostingprocesstoproducestabilizedand nutrientrichorganicfertilizerfreeofpathogens.Thepotentialoftheresultant optimizedvermicompostsassoilamendmentsinagricultureisalsohighlighted. Thehighlighted findingsshowedthat:(1)optimizingtheC:Nratiooffeedstock materialsandearthwormstockingdensityiscriticallyimportantforeffective vermicomposting,(2)theoptimumfeedstockC:Nratioforvermicompostingvaried withthetypeofwastemixture,theC:Nratioforcowdung-wastepapermixtures wasfoundtobe30whilstthatforchickenmanure-wastepapermixtureswas 40,(3)theoptimumearthwormstockingalsovariedwithtypeoffeedstockmaterial butgenerallyanearthwormstockingdensityrangeof22.5–37.5g-wormkg-1 feedstockmixturewasfoundtobeidealforcowdungwastepapermixturesas wellas flyash-cowdung-wastepapermixtures,(4)aprecompostingperiodof 1weekwasidealforthevermicompostingandsanitizationofcowdung waste papermixtures,(5)acombinationofthermophiliccompostingandvermicomposting using Eiseniafetida waseffectiveinsubstantiallyreducingtheconcentrationsof oxytetracyclineanditsmetabolites4-epi-oxytetracycline,a-apo-oxytetracyclineand b-apooxytetracyclineinchickenmanuresmixedwithshreddedwastepaperoptimizedataC:Nratioof40,(6)incorporationofphosphaterockandcoal flyashin cattlemanure-wastepaperfeedstockmixturesimprovedthebiodegradationofthe mixturesandnutrientvalueoftheresultingvermicomposts,(7)thecombinationof Eiseniafetida plus Pseudomonas fluorescens acceleratedthebiodegradationprocess invermicomposting,(8)optimizedvermicompostsproducedthroughthesestudies provedtobegoodcomponentsofvegetableandornamentalplantsgrowingmedia,

P.N.S.Mnkeni(✉)

FacultyofScienceandTechnology,UniversityofArusha,UsaRiver,Arusha,Tanzania

H.A.Mupambwa

SamNujomaMarineandCoastalResourcesResearchCenter,UniversityofNamibia, HentiesBay,Namibia

© TheAuthor(s),underexclusivelicensetoSpringerNatureSingaporePteLtd.2023

H.A.Mupambwaetal.(eds.), VermicompostingforSustainableFoodSystems inAfrica,SustainableAgricultureandFoodSecurity, https://doi.org/10.1007/978-981-19-8080-0_1

(9)Flyashenrichedvermicompostappliedat40mg-P/kgFVprovedtobean effectiveamendmentforthegrowthof Chlorisgayana grownonagoldmine wasteaffectedsoiltherebyindicatingitspotentialforthephyto-stabilizationof soilsdegradedbyminewastes.Itishopedthatthese findingswillprovetobea steppingstoneforfurtherresearchworkonvermicompostinginSouthAfricaand otherpartsofthecontinent.

Keywords Vermicomposting·C:Nratio· Eiseniafetida ·Earthwormstocking density·Manure·Flyash·Sanitization·Antibiotics·Growingmedia

1.1Introduction

Therapidlygrowingworldpopulationhaspromptedanintensi ficationofagriculturalandassociatedindustrialactivitiestomeetthegrowingdemandforfood (MupambwaandMnkeni 2018).Theintensificationofcropproductionisbeing donemostlythroughextensiveuseofsyntheticinorganicfertilizerswhichareknown tohavenegativeconsequencesonsoilhealthanditsfunction.Thesenegative impactsofinorganicfertilizersonsoilhealthhavestimulatedinterestintheuseof soilhealthcompatibleorganicnutrientsourceslikevermicomposts(Aranconetal. 2004, 2008).

Vermicompostsareaproductoftheactionofmainlyepigeicearthwormspecies andmicroorganismswhichdrivethemineralizationoforganicnutrientsinorganic materials(MupambwaandMnkeni 2018).Unliketraditionalthermophilic composting,vermicompostingonlyoccursundermesophilicconditions. Vermicompostsprovidenotonlynutrientsforplantgrowthbutarealsohumic acidsandplantgrowthhormones(Singhetal. 2008).Thegreatestlimitationtothe adoptionofvermicompostincommercialagricultureisthewidevariationintheir qualitywhichisdependentonthequalityoforganicmaterialsused,methodof preparation,earthwormspeciesandstockingdensity,amongotherfactors.Research onoptimizationandstandardizationoftheproductionproceduresofvermicomposts isthuscriticalsoastoenabletheproductionofvermicompostswithpredictable biologicalparametersandnutrientcomposition.

Animalmanureswhicharethemainorganicwastesusedinvermicomposting containpathogenicfaecalbacteriasuchas Escherichiacoli 0157(O’Connor 2002). Asaresult,rawanimalmanuresandmanure-basedsoilamendmentshavebeen implicatedinoutbreaksof E.coli 0157:H7infectionsfromeatingspinach,lettuce andothercropproducecontaminatedwiththeseorganisms(Ackersetal. 1998; Rangeletal. 2005;CDCP 2006).Parasiticprotozoacanalsobetransmittedtofood cropswhenmanurecontainingtheseorganismsisusedasafertilizerorsoil amendmentorthroughotherinadvertentcontact(Cieslaketal. 1993;Natvigetal. 2002).Managementstrategiesthatcaneliminate E.coli andparasiticprotozoain vermicompostsarethereforenecessary.

The intensive use of veterinary antibiotics (VAs) is a common practice for both prophylactic and therapeutic purposes in the livestock industry (Selvam et al. 2012;

Tzengetal. 2016).However,asmuchas30–90%ofveterinaryantibioticsmaybe excretedasparentcompoundsorbioactivemetabolitesthroughanimalfaecesor urineduetopoorabsorptionbyanimals(Nelsonetal. 2011).Itis,therefore, importantthatthebiodegradabilityofantibioticsandtheirmetabolitesduring vermicompostingbeestablished.

Thevermicompostingprocessinvolvessynergybetweenearthwormsand microbesandrequiresabalancedsupplyofmainlycarbon,nitrogenandphosphorus, whicharethemainelementsrequiredinproteinformation,energygenerationand reproductionineverylivingorganism(Bernaletal. 2009;NdegwaandThompson 2000).DuetothelinkbetweenC,NandPtothevermicompostingprocess,itis likelythatprocesseslikenutrientmineralization,bio-stabilizationandearthworm developmentwillbecompromisedifthesearenotbalancedduringthe vermicompostingprocess(ChangandCheng 2010).

Severalresearchershaveuseddifferentorganicmaterialsforvermicomposting suchascowdung(Lazcanoetal. 2008),pigmanure(Airaetal. 2006),chicken manure(RavindranandMnkeni 2016),householdwastes(Fredericksonetal. 2007), sewagesludge(MaboetaandVanRensburg 2003),wastepaper(GuptaandGarg 2009)amongothers.Fewstudieshave,however,triedtooptimizethesedifferent organicmaterialsbeforevermicompostingtoallowforeffectivevermi-degradation. Thestockingdensityandtypeofearthwormspeciesduringvermicompostingisalso importantasitaffectsthegrowthandreproductionofearthworms,thusdirectly influencingthebio-chemicalprocessestakingplacewithinthevermicompost (MupambwaandMnkeni 2016).

Thelowmacronutrientconcentrationsofvermicompostsrelativetoinorganic fertilizersisamongthemajorlimitationstothesustaineduseofvermicompostsin agriculture.Amongthemacronutrients,phosphorus(P)istheleastmobileandleast available,withitssoilbioavailabilitybeingamajorbottleneckincropproduction (Gichangietal. 2008).Inorganicbasedsoilfertilitymanagement,improvingthe availabilityofsoilphosphorushasbeenreportedtobecritical(Edwardsetal. 2010) henceitneedstobefactoredinstrategiesforthenutrientenrichmentof vermicomposts.TheinclusionofinorganicmaterialswithveryhightotalconcentrationsofPisonesuchstrategyforimprovingthePnutritionofvermicomposts (Mupambwaetal. 2016;Busatoetal. 2012;UnuofinandMnkeni 2014).Itis believedthattheactionofearthwormsandmicrobesduringvermicompostingcan beusedtoenhancemineralizationofthePboundintheinorganicmaterials,thus generatingaphosphorusrichvermicompost.

ThisbookchaptersummarizeshighlightsofresearchworkdoneattheUniversity ofFortHare(UFH)inSouthAfricaovera10years’ periodaddressingsomeofthe gapsinknowledgepointedabove.Themainfocusoftheworkwasoptimizationof thevermicompostingprocessandsoughttoaddressthefollowingquestions:

1. What are the most optimum condit ions for the vermicompost ing that will result in stabili zed and nutrient rich organic fertilizer free of pathogens over the shortest period?

2. Whatopportunitiesareavailableforimprovingthevermicompostingprocessin termsofnutrientcomposition,biodegradationandthebiologicalsafet yof the resultingcompost?

3. Whatisthepotentialofthevermicompostsproducedassoilamendmentsin agriculture?

1.2OptimizationoftheVermi-degradationProcess

ThevermicompostingresearchatUFHwasdoneusinglocallyavailablematerialsin theEasternCapeaswellasotherpartsofSouthAfrica.Amongthesematerialsare varioustypesofanimalmanuressuchascattle,goat,sheep,chickenandpig manures.ThemostcommontypeofanimalmanureiscattlemanurewhichMalherbe (1964)differentiatedas:

(i) Stablemanurewhichhaslargeamountsofbeddingandisnotolderthanayear. Itisfoundmainlyinthewinter-rainfallregionsoftheWesternCape, SouthAfrica.

(ii) Kraalmanurewhichcontainslittle,ifany,beddingandhasaccumulatedovera periodofayearorlonger.Itisfoundinthesummerrainfallregionsof SouthAfricaforexample,FreeState,TransvaalandtheEasternCape.Thisis themainorganicmaterialusedinstudiesreportedherein.

(iii) Karoomanureordungwhichisnormallyfoundinkraalsinthearidsheep (orgoat)areas.Itisusuallyfairlyoldandcontainsnobeddingmaterialatall.

TheUFHlikeotheracademicinstitutionsgenerateslargevolumesofwastepaper whichisoftenincinerated,contributingtogreenhousegasesintheatmosphere.This isanothermaterialthatwasextensivelyusedinstudiesreportedhereinwithaviewto encourageitsrecyclingandvalorization.

Theinorganicmaterialsusedasamendmentsinsomestudiessummarizedinthis chapterarerockphosphateandcoal flyash.Therockphosphateisofigneousorigin minedbyFoskorLtdinPhalaborwa,LimpopoProvince,SouthAfrica(Mupondi etal. 2018).Coal flyashwasobtainedfromcoal-poweredelectricitystationsin Mpumalanga,SouthAfrica(MupambwaandMnkeni 2015).

The critical parameters that drive the earthworm-m icrobe driven process whose end product is vermicomp ost are C: N and C: P ratios of the organic materials to be vermicompost ed, substrate biodegradat ion fraction, earthwor m species and stocking density Some of these parameters had not been adeq uately optimized for the material s used for composting in South Africa so the work done at UFH and summari zed in this chapter sought to address this need.

1.2.1OptimizingtheC:NRatio

Thevermicompostingprocessisdrivenbymicroorganismsandtheseneedcarbonas asourceofenergyandforcelldevelopmentandnitrogenforbuildingcellmaterials. However,ifthereistoomuchcarbonrelativetonitrogenduringvermicomposting, decompositionissloweddownastherewillbelessNforproteinsynthesisbythe microbesleadingtothegradualdeathofthemicroorganisms(Tuomelaetal. 2000). Forpropernutritionofbothearthwormsandmicroorganisms,itisofparamount importancethatcarbonandnitrogenbepresentatanappropriateratio(Ndegwaand Thompson 2000).

TwostudieshaveaddressedtheoptimizationoftheC:Nratioof vermicompostingmixturesatUFH.AstudybyMupondi(2010)investigatedthe effectofC:Nratioandcompostingmethodonthebiodegradationofmixturesof dairycowmanureandwastepaper.Thestudycomparedvermicompostingand combinedthermophiliccompostingandvermicompostingonthevermi-degradation ofmixturesofdairymanureandwastepapermixedtohaveC:Nratiosof30and 45asfeedstock.Resultsofselectedmaturityparametersobtainedafter8weeksof composting(Table 1.1)showedthatgreatervermi-degradationbybothcombined compostingandvermicompostingwasobservedwithfeedstockdairymanure-paper wastemixtureswithC:Nratioof30thanthosewithaC:Nratioof45.TheC:N ratiosoffeedstockmixturesdecreasedto29,22and23after4weeksandfurther decreasedto25,14and15in final(week8)compostsinthecontrol,vermicompost andcombinedthermophilicandvermicompostingtreatments,respectively (Table 1.1).Bycontrast,theC:Nratiosofdairymanure-wastepapermixtures withaC:Nratioof45alsodecreasedwithtimereachingvaluesof38,36and 33in final(week8)forthecontrol,vermicompostandcombinedcompost vermicomposttreatments,respectively(Table 1.1).AccordingtoBernal etal.(2009),compostswitha finalC:Nratiosof14and15couldbeaddedtosoil withoutalteringthemicrobiologicalequilibriumofthesoilsovermicompostsfrom dairymanure-wastepapermixturesmixedtoprovideaninitialC:Nratioof30could safelybeappliedtothesoil.Thehumi ficationparameters(HI)and(HR)inthe final compostswerealsohighestinthedairymanure-wastepapermixtureswhose initialC:Nratiowas30.Therefore,thefeedstockmixturesofdairymanureand paperwastewithC:Nratioof30provedtobemoresuitableforcomposting/ vermicompostingastheseproducedmorematureandhumi fiedcompostthanwastes withaC:Nratioof45.Bothvermicompostingandcombinedcompostingand vermicompostingwereeffectivemethodsforthebiodegradationofmixturesof dairymanureandpaperwastewithC:Nratioof30.

The second study sought to determin e the optimum C: N ratio for converting waste paper and chicken manure to a nutrie nt rich manure with minimum toxicity (Ravindran and Mnkeni 2016). Six treat ments of feedst ock C: N ratio 20 (T1), 30 (T2), 40 (T3), 50 (T4), 60 (T5) and 70 (T6) achieved by mixing chicken manure with shredded paper were used. The study involved a therm ophilic precom posting phase for 20 days followed by vermicom posting with Eisenia fetida for 7 weeks. The

Table1.1 EffectofcompostingmethodandC:Nratioofdairymanureandpaperwastemixtures onselectedcompostmaturityparameters

Composting Compostingstage Selectedmaturityparameters

method (Weeks)

FeedstockC:Nratio = 45

C Control(Dairy manure-paper wastemixturesallowedtodecomposeontheirown), V Vermicomposting, CV CombinedcompostingandVermicomposting, CHA Extractablehumic acidcarbon, CFA Extractablefulvicacidcarbon, HI Humificationindex, HR Humificationratio AdaptedfromMupondi(2010)

resultsrevealedthat20daysofprecompostingconsiderablydegradedtheorganic wastemixturesfromalltreatmentsandafurther7weeksofvermicomposting significantlyimprovedthebioconversionandnutrientvalueofalltreatments (Fig. 1.1).ThefeedstockC:Nratioof40(T3)resultedinthebestquality vermicompostcomparedtotheothertreatments.Earthwormbiomass(Fig. 1.2) washighestintreatmentsT3andT4possiblyduetoagreaterreductionoftoxic substancesinthesefeedstockwastemixtures.

ThetotalN,totalPandtotalKconcentrationsincreasedwithtimewhilsttotal carbon,C:Nratio,ECandheavymetalcontentgraduallydecreasedwithtimeduring thevermicompostingprocess(RavindranandMnkeni 2016).Scanningelectron microscopy(SEM)notshowninthischapterbutreportedinRavindranandMnkeni (2016)revealedtheintrastructuraldegradationofthechickenmanureandshredded papermatrixconfirmingtheextentofbiodegradationoftreatmentmixturesasresult ofthecompostingandvermicompostingprocesses.Phytotoxicityevaluationof final vermicompostsusingtomato(Lycopersiconesculentum),radish(Raphanussativus),

Fig.1.1 ChangesofC:Nratioduringdifferentstagesofcompostandvermicompost.Errorbars indicatestandarddeviation.[Source:RavindranandMnkeni(2016)]

Fig.1.2 Treatmentseffectsonearthwormbiomass(g)attheendofthevermicompostingphase. Errorbarsindicatestandarddeviation.

carrot (Daucus carota) and onion (Allium cepa) as test crops showed the non-phytotoxicity of the vermicompost s in the order: T3 > T4 > T2 > T1 > T5 > T6 (Ravindran and Mnkeni 2016). These results indicated that the combi nation of composting and vermicomp osting processes is a good strategy for the management of chicken manure/paper waste mixtures and that the ideal feedstock C: N rati o of the

wastemixtureis40(T3).Thefactthatdairymanureandchickenmanurehad differentoptimalfeedstockC:Nratiosforvermicompostingand/orcombined thermophiliccompostingandvermicompostingunderscoredtheneedforoptimizing theseparametersfordifferentmaterials.

1.2.2OptimizingtheSanitizationofVermicomposts

Animalmanuresandmanure-basedsoilamendmentshavebeenimplicatedinoutbreaksof E.coli 0157:H7infectionsfromeatingspinach,lettuceandothercrop producecontaminatedwiththeseorganisms(Ackersetal. 1998;Rangeletal. 2005; CDCP 2006).Thisisattributedtothefactthatanimalmanurescontainpathogenic faecalbacteriasuchas Escherichiacoli 0157(O’Connor 2002).Becauseanimal manuresarethemainorganicwastesusedinvermicomposting,itisimportantthat measuresaretakentoensurethatvermicompostspreparedfromthesemanuresare freeofthesepathogens.Thermophiliccompostingisbeingpromotedasameansof sanitizingwastespriortovermicomposting(Gunadietal. 2002).Twostudies exploredtheeffectivenessofintroducingaprecompostingsteppriorto vermicompostingineffortstosanitizingtheresultantvermicomposts.Inonestudy Mupondietal.(2010)comparedvermicompostingandcombinedthermophilic compostingandvermicompostingusingdairymanure-wastepapermixtures withC:Nratiosof30and45.Thepre-vermicompostingthermophilicphaselasted 28days.Theresultsobtained(Table 1.2)showedthatvermicompostingprecededby athermophiliccompostingphase(CV)eliminatedtheindicatorpathogen E.coli 0157fromthe finalcomposts,whereasvermicompostingalone(V)onlymanagedto reducethepathogenpopulation.Bycontrast,inthecontroltreatment(C)wherethe dairymanure-paperwastemixtureswereallowedtodecomposeontheirownthe pathogenpopulationincreasedsteadily.Theincreasein E.coli 0157inthecontrol withcompostingtimecouldbeattributedtocreationofagoodenvironmentfor multiplicationofthispathogenthroughrehydrationandsubsequentavailabilityof easilydegradablesubstratesbydissolutionfollowingrehydration.Theseresults indicatethatdairymanure-wastepapermixturesallowedtosimplycompostin placecouldposeahealthhazardtousersandthatalternativewaysofhandlingthe wastesthatwillresultinasaferproductarenecessary.

A follow-up study with a wider range of precom posting periods was done so as to come up with a suitable precompo sting period to use when composti ng and vermicompost ing dairy manure-waste paper mixtures (Mupondi et al. 2011). Results of this study (Table 1.3) showed that over 95% of faecal coliform s, E. coli and of E. coli 0157 were eliminated from the wastes within 1 week of precomp osting and total elimin ation of these and protozoan (oo)cysts achieved after 3 weeks of precom posting. However , vermicom posts from wastes precompost ed for over

1ADecadeofVermicompostingResearchattheUniversityofFortHare: 11

Table1.2 Effectsof compostingmethodon changesof E.coli 0157H: 7numberswith compostingtime Compostingmethod

Compostingperiod(weeks)

b 2120a 2890a

1120b 4820a

C Control(Dairymanure-paperwastemixturesallowedtodecomposeontheirown), V Vermicomposting, CV Combined compostingandVermicomposting Meansinthesamerowfollowedbythesameletterarenot significantlydifferentaccordingtoLSDat P ≤ 0.05 AdaptedfromMupondi(2010)

2weekswerelessstabilized,lesshumi fiedandhadlessnutrientcontentscompared tovermicompostsfromwastesthatwereprecompostedfor1weekorless(Mupondi etal. 2011).These findingssuggestedthataprecompostingperiodof1weekisideal fortheeffectivevermicompostingofdairymanure-wastepapermixtures.

1.3OptimizingEarthwormStockingDensity inVermicomposting

Thesuccessfulimplementationofvermiculturerequiresthatkeyoperationalparameterslikeearthwormstockingdensitybeoptimizedforeachtargetwaste/waste mixture.OnetargetwastemixtureinSouthAfricaiswastepapermixedwithcow dungandrockphosphate(RP)forPenrichment.AstudybyUnuofinandMnkeni (2014)soughttoestablishtheoptimal Eiseniafetida stockingdensityformaximum PreleaseandrapidbioconversionofRPenrichedcowdung-paperwastemixtures. E.fetida stockingdensitiesof0,7.5,12.5,17.5and22.5g-wormskg-1 dryweight ofcowdung-wastepapermixtureswereevaluated.Theresultsobtained(Fig. 1.3) showedthat thevermi-degradationofcowdungwastepapermixturesenrichedwith RPasmeasuredbytheC:Nratioandhumi ficationparameters,washighlydependenton E.fetida stockingdensityandthatthiseffectvariedwithtime.Thestocking densityof12.5g-wormskg-1 resultedinthehighestearthwormgrowthrateand humificationoftheRPenrichedwastemixtureasreflectedbyaC:Nratioof <12 (Fig. 1.3a)andahumicacid/fulvicacidratioof >1.9in finalvermicomposts (Fig. 1.3b).Agerminationtestrevealedthattheresultantvermicomposthadno inhibitoryeffectonthegerminationoftomato,carrotandradish(Unuofinand Mnkeni 2014).ExtractablePincreasedwithstockingdensityupto22.5g-worm kg-1 feedstocksuggestingthatformaximumPreleasefromRPenrichedwastesa highstockingdensityshouldbeconsidered(UnuofinandMnkeni 2014).

Anotherstudysoughttooptimize Eiseniafetida stockingdensityforeffective biodegradationandnutrientreleasein flyash-cowdung-wastepapermixtures (MupambwaandMnkeni 2016).Itevaluatedfourstockingdensitiesof0g, 12.5g,25gand37.5g-wormkg-1.Thoughthetreatments12.5g,25gand

Table1.3 EffectsofprecompostingperiodonnumbersofFaecalColiforms(FC), E.coli , E.coli 157,microbialbiomass(MBC)(shownforPWonly),and presence(P)orabsence(A)of Cryptosporidium cystsand Giardia oocystsinprecompostedwastes(PW)andin fi nalvermicomposts(V)

MBC(mgg1 )

Giardia oocysts(Por A10gdw1 )

Cryptosporidium cysts (PorA10gdw1 )

E.coli 0157 (CFUg1 )

E.coli (MPN gdw1 )

FaecalColiforms (MPNgdw1 )

Precompostingperiod(weeks)

Meansi ne achcolumnfollowedbydifferentlettersaresigni fi cantlydifferentaccordingtoLSDat P < 0.05

AdaptedfromMupondi( 2010 )

Hunmification index(%)

Eisenia fetida stocking density(g-worm/kg feedstock) 0Day 14Days 28Days Days42

Fig.1.3 Eiseniafetida stockingdensityeffectsontheC:Nratio(a)andhumificationindex(b)of cowdung-wastepapermixturesduringvermicompostingofcowdungwastepapermixtures.Error barsindicatestandarddeviations.[Source:UnuofinandMnkeni(2014)]

37 5 g-worm kg-1 all resulted in a mature vermicom post, stocking densities of 25 and 37 5 g-worm kg-1 resulted in faster maturity, higher humification parameters and a significantly lower final C: N ratio range (11 1–10 4) (Fig 1 4) The humification parameters (Fig 1 5) showed that the stocking densities of 25 and 37 5 gworm kg-1 resulted in highly humi fied vermicomposts but for practical purposes the lower stocking density of 25 g-worm kg-1 seemed most appropriate for the fly ash-cow dung-wast e paper vermicompost .

Fig.1.4 ChangesinCarbon:Nitrogenratioduringvermicompostingof flyash-cowdung-waste papermixtureatdifferent E.fetida stockingdensities.Errorbarsindicatestandarddeviation. [SourceMupambwaandMnkeni(2016)]

1.3.1OptimizingVermicompostingThroughIncorporation ofInorganicAmendments

1.3.1.1RockPhosphate

Thedairymanure-wastepapervermicompostsreportedbyMupondietal.(2010) werelowintotalP.Inordertoincreaseacceptabilityofdairymanure-wastepaper vermicompostsassourcesofnutrientsorgrowingmedium,itisnecessarytoincrease theirPcontentandavailability.BiswasandNarayanasamy(2006)reportedthat enrichmentofthermophiliccompostswithPRsigni ficantlyincreasedtheircontentof totalPto2.20%comparedto0.3%instrawcompostswherenoPRwasadded.The PR-compostalsohadhighercitricacidsolubleP(0.72%P)comparedtostraw compost(0.1%P).

As there was little or no informat ion on the effectiven ess of PR incorporation to improve the P content and availability in vermicompost s, Mupondi et al. (2018) evaluated the effectiven ess of a low grade South African phosphate rock (PR) in enriching dairy manure-waste paper vermicom posts with P and its possible effects

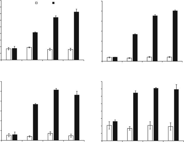
Fig.1.5 E.fetida stockingdensityeffectson(a)humificationratio,(b)humificationindex,(c) polymerizationindex,(d)percentagehumicacids,followingvermicompostingof flyash-cow dung-wastepapermixture.Errorbarsindicatestandarddeviation.Differentlowercaseletters indicatesignificantdifferenceat P ≤ 0.05.[Source:MupambwaandMnkeni(2016)] onstabilization,nutrientcontentandphysicalpropertiesofthevermicomposts.The dairymanurewasoptimizedtoaC:Nratioof30usingwastepaperandamended withRPtoprovide0,2,4and8%ofelementalphosphorusonadryw/wbasis.The mixtureswereprecompostedfor1weekbeforevermicompostingasrecommended byMupondietal.(2011).

Incorporation of RP at 2 and 8% P enhanced compost biodegradation resulting in a significantly (P < 0 001) lower final C: N ratios of 12 and 10, respectively (Fig 1 6), together with high humification parameters (Fig 1 7) Amending the dairy manure waste paper mixture with 2, 4 and 8% P as rock phosphate, resulted in increases of the bioavailable P fract ion measured as bicarbonate extractable P of 19, 28 and 33%, respectively relat ive to the control (Mupondi et al 2018) Additionall y, vermicomp osting with E fetida significantly reduced heavy metals by up to 45% to levels below the maximum permissible concentration of potential ly toxic elemen ts in soils after 8 weeks. This study demonstrated the potent ial of optimized vermicompost ing with igneous RP for generating nutrient rich organic fertilizers.

Fig.1.6 ChangesinC:Nratiofollowing8weeksofvermicompostingcowdung-papermixture amendedwithincreasinglevelsofphosphorusfromigneousrockphosphate.*Errorbarsrepresent standarddeviation.*Differentuppercaselettersindicatesignificantdifferences(P < 0.05)between treatmentsatweek0;whilstdifferentlowercaselettersindicatesignificantdifferences(P < 0.05) betweentreatmentsatweek8.[Source:Mupondi(2010)]

1.3.1.2FlyAsh

South Africa is highly dependent upon coal-fired power stations for elect ricity generat ion. Fly ash, a byproduct of coal combustion, contai ns a high total content of essential plant nutrien ts such as phosphorus but with low bioavailabili ty. If the plant nutrient bioavailability in fly ash could be improved, and the toxic element content reduced, fly ash could contribute signi ficantly as a fertilizer source in South African agricultu re. One possible way of doing this is through co-vermicomposting fly ash with organic wastes such as manure and waste papers. This entailed establishing an appropriat e mix of coal fly ash and the organic wastes that can be vermicompo sted. To this end a study was conducted at UFH to establish an appropriate mixture rati o of fly ash (F) to optimized cow dung-w aste paper mixtures (CP) in order to develop a high quality vermicompost using earthworms (Eisenia fetida) (Mupambwa and Mnkeni 2015) Fly ash was mixed with cow dungwaste paper mixtures at ratios of (F: CP) 1:1, 1:2, 1:3, 2:1, 3:1 and CP alone and composted for 14 weeks Among the parameter s measured were C: N rati o, humification parameters and scanning electron micrograph (SEM) images Based on C: N ratio, the extent of vermi-degradat ion of the waste mixtures followed the decreasing order (F: CP) of 1:3 > 1:2 > 1:1 > CP alone > 2:1 > 3:1 (Fig 1 7) Olsen P was significantly higher (P < 0 05) where earthwor ms were added SEM images report ed

Fig.1.7 ChangesinC:Nratioovertimeduringcompostingof flyashincorporatedintocowdungwastepapermixtures(a)withearthwormpresence;(b)withoutearthworms.Errorbarsrepresent standarddeviation.[Source:MupambwaandMnkeni(2015)]

inMupambwaandMnkeni(2015)confirmedtheextentofvermi-degradation reflectedbythevarioushumi ficationparametersdetermined.Flyashincorporation atthe1:2ratioprovedtobethemostappropriateasitwouldallowprocessingof more flyashwhilstgivingavermicompostwithdesirablematurityandnutritional properties.Thisstudydemonstratedthenutritionalpotentialof flyashthrough vermicomposting.

1.3.2OptimizingVermicompostingThroughIncorporation

ofMicrobialInoculants

1.3.2.1PhosphateSolubilizingBacteria

Due to the crucial role played by microbes during vermicom posting, deliberat e inocul ation of composts with specialized microbes as a way of further optimizing the vermicomp osting process has been suggested. Lukashe et al. (2019) evaluated the potent ial of inoculati ng fly ash-cow dung-wast e paper vermicom post with phosphate solubilizing bacter ia (P. fluorescens) in improving vermi-degradation, nutrient mineralizat ion and biological activity. Incorporati on of E. fetida plus P. fluorescens accelerated the biodegradation process as indicated by the significant decreas e in C: N ratio (P = 0.0012) resulting in a final C: N rati o of 11 compared to the control which had C: N ratio of 18 (Fig. 1.8). Inoculation with P. fluorescens resulted in improved availability of Olsen extractabl e P which amounted to 48 3%

Fig.1.8 ChangesinC:Nratioduringvermicompostingof flyash-cowdung-wastepapermixture using E.fetida earthwormsand P. fluorescens inoculation.[Source:Lukasheetal.(2019)]

moreOlsenPrelativetothecontrol(Lukasheetal. 2019).Theinoculationalso causedabigdecreaseinalkalinephosphataseactivitybutyieldedthehighestFDA activity.Thestudyconcludedthattheinteractionof E.fetida earthwormswith P. fluorescens canoptimizevermi-degradation,nutrientreleaseandbiologicalactivityduringvermicompostingof flyash-cowdung-wastepapersubstrate.

1.3.3DegradationofAntibioticResidues

Theintensiveuseofveterinaryantibiotics(VAs)isacommonpracticeforboth prophylacticandtherapeuticpurposesinthelivestockindustry(Selvametal. 2012; Tzengetal. 2016).However,accordingtoNelsonetal.(2011)asmuchas30–90% ofveterinaryantibioticsmaybeexcretedasparentcompoundsorbioactivemetabolitesthroughanimalfaecesorurineduetopoorabsorptionbyanimals.Thereare concernsthatwhensuchantibioticladenmanuresareappliedtoagriculturallands theymayhavenegativeconsequencesfortheenvironmentaswellashumanhealth. Ravindran and Mnken i (2017) investigated an integrate d system involving a combi nation of therm ophilic composting and vermicom posting using Eisenia fetida as a strategy for reducing the concentrations of oxytetracyc line (OTC) and its metab olites (4-epi -oxytetracyclin e [EOTC], a-apo-oxytetracyc line [a-A po-OTC] and b-apooxytetracycline [b-Apo-O TC]) (Fig. 1.9) in chicken manure. Treatments

Fig.1.9 Chemicalstructureofoxytetracyclineandthreedegradation/transformationproductsof 4-epi-Oxytetracycline(EOTC), α-apo-Oxytetracycline(α-apo-OTC)and β-apo-Oxytetracycline (β-apo-OTC).[Source:RavindranandMnkeni(2017)]

consistedofcombinationsofchickenmanureandwastepapermixedtoproduce feedstockwastemixtureswithC:Nratiosof20(T1),30(T2),40(T3),50(T4), 60(T5)and70(T6).Theseweresubjectedtothermophiliccompostingfor20days followedbyvermicompostingwith E.fetida for7weeks.Theoxytetracycline concentrationatthestartoftheexperimentwasintherangeof123.3mg/kgto 35.2mg/kgindicatingthatthechickenmanuresampleswerecontaminatedwith oxytetracyclineanditsmetabolites.However,afterthepre-vermicompostingthermophilicphasetheinitiallevelswerereducedtoarangeof44mg/kgto25.3mg/kg andthereaftertoarangeof35.4mg/kgto20.7mg/kgattheendofthe vermicompostingstage(Fig. 1.10)

These results indicated that the combi nation of thermophi lic composting and vermicompost ing is ideal for the management of chicken manure mixed with shredded waste paper at a C: N ratio of 40 Generally, these findings suggest that combi ned thermophi lic composting and vermicompost ing not only enhances the bioconversion of organic wastes but also helps to reduce the veterinary antibiotic footprint of livestock manures.

Initial raw mixtures

Final compost

Final Vermicompost

Treatments with different stages

Fig.1.10 Changesofoxytetracycline(mg/kg)throughcompostingandvermicompostingprocesses(Errorbarsindicatestandarddeviations(n = 3).[Source:RavindranandMnkeni(2017)]

1.4VermicompostsandPlantNutrition

Vermicompostscanbeusedascomponentsofplantgrowingmediaorassoil amendments.AccordingtoPeyvastetal.(2007),vermicompostshavetheability toimproveseedgermination,enhanceseedlinggrowth,developmentandoverall plantproductivity.Increasedgrowthandyieldfollowingvermicompostapplication areattributedtotheimprovedsoilormediapropertiessuchasincreasednutrient availabilityforplantuptake,microbialactivityandplantgrowthregulatorswhichare producedbyactivitymicroorganismssuchasfungi,bacteriaandactinomycetes (Singhetal. 2008;Azarmietal. 2008).Twostudieslookedatthepossibilityof incorporatingvermicompostsproducedatUFHintopinebark,atraditionalhorticulturalmediuminSouthAfrica,withtheintentionofimprovingthemediapropertiesandsubsequentseedlinggrowth.Athirdstudyexaminedthepossibilityofusing flyashvermicompostinthereclamationofdegradedminelandsoils.

Mupambwa et al. (2017a) evaluated the influence of substitutin g pine bark compost (PB) with chicken manure vermicompost (CMV ) at 0, 25, 50, 75 and 100%, on media properties and early tomato and cabbage seedling growth. The results showed that substitution of PB with CMV at between 25 and 50% resulted in the most appropriate media physical properties which also translated to seedling emergence above 90% for both vegetables The same media substitution of between 25 and 50% resulted in a leaf area that was 200% more compared to 100% PB and final plant height that was 100% more than PB alone The study demonstrated the potent ial of chicken manure vermicompost in enhancing pine bark growing media’s chemi cal and physical properties It showed that for effect ive seedling emergence

andgrowth,chickenmanurevermicompostcanbeeffectivewhenusedasasubstituteforpinebarkatlevelsbetween25and50%(Mupambwaetal.(2017a).

InthesecondstudyMupambwaetal.(2017b)evaluatedthepossibilityofmixing flyashvermicompost(FA)withpinebark(PB)composttoproduceahorticultural growingmediumforornamentalplantsusingornamentalmarigolds(Tagetes spp.) asthetestcrop.Flyashvermicompostwasmixedwithpinebarkcompostat0,25, 50,75and100%andmarigoldsseedsweresownwithorwithoutfertilizerinthe resultantmedia.TheresultsshowedthatFAsubstitutionupto50%significantly improvedwaterholdingcapacity,totalporosityandair filledporosityofthemedia. After4weeksofgrowth,seedlingsinthe25and50%FAsubstitutedmediahad higherplantheightandleafarea.The25%FAtreatmentresultedinsignificantly highernumberof flowersandbudscomparedtothe50and75%.Thestudy concludedthatforeffectivemarigoldseedlinggerminationandgrowth,a50%FA: 50%PBgrowingmediumisrecommendedwhilstformaturityand flowerproduction,the25%FA:75%PBcombinationistobepreferred.

Inthethirdstudy,Lukasheetal.(2020)evaluatedthepotentialof flyashenriched vermicompost(FV)toimprovethegrowthof C.gayana inagoldminewaste affectedsoilasarevegetationstrategy.Theresultsshowedthatthe flyashenriched vermicompostgreatlyimprovedthegrowthof C.gayana grownonthegoldmine wasteaffectedsoilespeciallyatthe40mg-P/kgFVamendmentratewhichsupplied optimallevelsofavailableP.Theimproved C.gayana growthinvermicompost amendedsoilswasattributedtoimprovednutrientssupplyandreducedsolubilityof potentiallyphytotoxictraceelementsasaresultofprecipitationduetoanincreasein soilpHandmetalcomplexationbytheorganicmatterinthevermicompost.Therefore,therevegetationofminewastecontaminatedsoilscanbeachievedwith additionof flyashenrichedvermicompostattheoptimizedrateof40mg-P/kg FV.Whilsttheseresultsrequireconfirmationunder fieldconditions,theyhave neverthelessdemonstratedthepotentialof flyashenrichedvermicompostinthe phyto-stabilizationofgoldminewasteaffectedsoils.

1.5Conclusions

Vermicompostingisanearthworm-microbedrivenprocesswhoseoptimalperformancedependsonsomecriticalparameters.TheworkdoneatUFHforapproximately10yearshasledtosomeconclusionsregardingtheoptimizationofthe vermicompostingprocesssuchthatitresultsinstabilizedandnutrientrichorganic fertilizerfreeofpathogensovertheshortestperiod.Theseconclusionsare:

1. The carbon and nitrogen in the feedst ock mixture must be present at an appropriate rati o for proper nutrition of earthworms and microorga nism s participating in the process. The optimal C: N rati o for cow dung-w aste paper mixtures feedst ock was found to be 30 whilst for chicken manure-waste paper mixtures it was 40. The fact that cattle and chicken manure had different optimal

Turn static files into dynamic content formats.

Create a flipbook
Issuu converts static files into: digital portfolios, online yearbooks, online catalogs, digital photo albums and more. Sign up and create your flipbook.