bloq_Panorama Acuícola Magazine Mayo-Junio 2024 Vol. 29 No.4

Page 1


Algunas reflexiones sobre lo que la gente entiende mal acerca de la cría de camarón de alcanzar.

Algunas reflexiones sobre lo que la gente entiende mal acerca de la cría de camarón

La acuicultura es la agroindustria mundial de más rápido crecimiento, pero la verdadera sostenibilidad en la cría de camarón sigue siendo un paradigma difícil de alcanzar.

POR MÁS DE 32 AÑOS

SOMOS CALIDAD,

CONFIANZA Y

garantía

Contenido

Algunas reflexiones sobre lo que la gente entiende mal acerca de la cría de camarón

La acuicultura es la agroindustria mundial de más rápido crecimiento, pero la verdadera sostenibilidad en la cría de camarón sigue siendo un paradigma difícil de alcanzar. 06

Editorial

Noticias de la industria

Alternativas

Bacteriófagos en la acuicultura: una alternativa para el control de Vibrio parahaemolyticus en granjas camaroneras

Directorio

DIRECTOR Salvador Meza info@dpinternationalinc.com

EDITOR ASOCIADO Marco Linné Unzueta

COORDINADORA EDITORIAL Karelys Osta edicion@dpinternationalinc.com

DIRECCIÓN ADMINISTRATIVA Adriana Zayas Amezcua administracion@dpinternationalinc.com

COORDINACIÓN DE OPERACIONES Johana Freire opm@dpinternationalinc.com

COLABORADORES EDITORIALES Carlos Rangel Dávalos

DISEÑO EDITORIAL / PUBLICITARIO Perla Neri / Rozana Bentos design@dpinternationalinc.com

VENTAS Y MARKETING crm@dpinternationalinc.com

CIRCULACIÓN Y SUSCRIPCIONES Renée Meza suscripciones@panoramaacuicola.com

OFICINA EN LATINOAMÉRICA

Empresarios No. #135 No. Int. Piso 7 Oficina 723, Col. Puerta de Hierro, C.P. 45116 Zapopan, Jal., México. Cruza con las calles Av. Paseo Royal Country y Blvrd. Puerta de Hierro Tels: +(33) 8000 0578

OFICINA EN ESTADOS UNIDOS DP INTERNATIONAL INC. 401 E Sonterra Blvd. Sté. 375 San Antonio, TX. 78258 info@dpintertnatinonalinc.com

COSTO DE SUSCRIPCIÓN ANUAL $750.00 M.N. DENTRO DE MÉXICO USD $100.00 EE.UU., CENTRO Y SUDAMÉRICA €80 EUROPA Y RESTO DEL MUNDO (SEIS NÚMEROS POR UN AÑO)

PANORAMA ACUÍCOLA MAGAZINE, Año 29, mayo - junio 2024, es una publicación bimestral editada y distribuída por Design Publications, S.A. de C.V. Av. Empresarios #135 Piso 07 Oficina 723 Col. Puerta de Hierro CP. 45116. Zapopan, Jalisco, México. Tel: +52 (33) 80 00 05 78, www.panoramaacuicola.com, info@dpinternationalinc.com. Editor Responsable: Salvador Antonio Meza García. Número de Reserva de Derechos de Uso Exclusivo 04-2019071712292400-01, licitud de Título No. 12732, Licitud de Contenido No. 10304, ambos otorgados por la Comisión Calificadora de Publicaciones y Revistas Ilustradas de la Secretaría de Gobernación. Permiso SEPOMEX No. PP-14-0033. Impresa por Negocios Gráficos Grafinpren S.A. Teléfono: 04-2221362 ext 28 / 0959537917. Av. C.J. Arosemena Km 2.5 Antiguo Coliseo Granasa, Guayaquil, Ecuador. Este número se terminó de imprimir el 30 de septiembre de 2023 con un tiraje de 3,000 ejemplares. La información, opinión y análisis contenidos en esta publicación son responsabilidad de los autores y no reflejan necesariamente el criterio de esta editorial. Queda estrictamente prohibida la reproducción total o parcial de los contenidos e imágenes de la publicación sin previa autorización de Design Publications, S.A. de C.V.

Tiraje y distribución certificados por Lloyd International

Visite nuestra página web: www.panoramaacuicola.com

También síganos en:

Artículo de fondo

Camarones y aves playeras: ¿Aliados para el comercio y la conservación?

Artículo

Efectos de la sustitución parcial de la harina de pescado por hidrolizado enzimático de harina de subproductos avícolas sobre el crecimiento, la salud hepática, la capacidad antioxidante y la inmunidad de juveniles de lobina (Micropterus salmoides)

Artículo

Mejorando la acuicultura: influencia de Empyreal® 75 en las dietas de la industria

Artículo

Frozen Ocean®: copépodos congelados, 100% naturales y esterilizados para una óptima nutrición en acuicultura

Artículo

¿Te gustaría descubrir cómo la automatización del suministro de alimento en tu granja o hatchery puede generar grandes ahorros?

Artículo IRTAmar®, una historia de éxito de los RAS en acuicultura

Todo está ligado: océanos, montañas, acuicultura y consumo responsable 10 14 20 24 28 32 54 50

Artículo

Departamentos

34

Carpe Diem

En la mira

Financiamiento para la acuicultura

Agua + cultura

Nueva era en tecnologías acuícolas

Nos guste o no, la voluntad política es crucial para el desarrollo de la acuicultura

Pérdidas y desechos dentro del seafood mundial

El surgimiento de la bioeconomía azul

Algunas reflexiones sobre lo que la gente entiende mal acerca de la cría de camarón

Uso de sueros de leche y soya fermentada para prevención de enfermedades

Visión holística para la producción acuícola Editorial

Este 2024 Panorama Acuícola Magazine arribará a sus 30 años, en donde la sinergia de información ha influido profundamente en la acuicultura mundial, a través de los resultados de I+D+i, sin olvidar las prácticas sustentables que conlleve a un fortalecimiento tecnológico y, por consecuencia, económico.

Por lo anterior, el acceso a la información científica especializada es, hoy en día, un factor que coadyuva al fortalecimiento y calidad de las políticas públicas, a la generación de nuevo conocimiento y al desarrollo de la investigación en el mundo. Conscientes de esta necesidad, sabedores del alto costo económico que la información altamente especializada tiene en los circuitos nacionales e internacionales, y dispuestos a establecer una estrategia común en beneficio del sector acuícola, se deben fortalecer las acciones de I+D+i en acuicultura.

Una de las acciones prioritarias es el de conjuntar el conocimiento científico con el desarrollo tecnológico y articular esfuerzos de las instituciones académicas, empresas y gobiernos, con el fin de desarrollar pruebas de concepto, escalamientos, apropiaciones y desarrollo de prototipos ecoeficientes de producción de proteína animal.

En consecuencia, a nivel mundial, se han integrado grupos de investigación interinstitucionales que aportan, desde diferentes discipli-

nas, conocimiento biológico y tecnológico, desarrollos de paquetes biotecnológicos de especies acuiculturales, nativas o introducidas. Adicionalmente, se cuenta con laboratorios equipados y unidades demostrativas para realizar pruebas que establecen las condiciones y desempeño de los sistemas en el cultivo comercial, así como para realizar capacitaciones técnicas acuiculturales para el desarrollo de la acuicultura comercial a mayor escala.

Estos desarrollos benefician al sector, dando el impulso a la acuicultura, tomando en consideración la producción industrial de semilla y juveniles, conformando bancos alternos de reproductores, sin perder de vista la aplicación de enfoques ecosistémicos acompañada de tecnologías de adaptación al cambio climático.

Como podremos apreciar en las recientes publicaciones, se han generado programas de selección de cría, reproducción e investigación genética; sin embargo, estos programas, se han acompañado de información relevante en el desarrollo de dietas de alto rendimiento y rentables con fuentes de proteínas alternativas a la harina de pescado y aceite de pescado, así como la generación de esquemas de manejo que incluye la evaluación e implementación de métodos para la producción en masa, con el fin de minimizar o eliminar las interacciones genéticas entre poblaciones silvestres y cultivadas.

Además, se han fortalecido las acciones de evaluación de aditivos probióticos para mejorar el crecimiento y salud de los organismos, sin menoscabo de acciones tendientes al establecimiento de técnicas de bioseguridad que permitan reducir, eliminar y controlar los agentes patógenos y contaminantes específicos en los sistemas de producción acuicultural.

Al considerar a los sistemas de producción como sistemas multifactoriales, y que cuenten con herramientas prácticas de medición de productos de calidad para los procesadores y exportadores de productos de la acuicultura, podrá prever el desarrollar productos con valor agregado de calidad superior que permitan la competencia, considerando el desarrollo y validación de modelos de desempeño ambiental y capacidad de carga a través de operaciones inteligentes, sistemas automáticos de retroalimentación, redes neuronales, y el software del sistema de control de las operaciones de cultivo; lo que se podrá traducir en modelos bioeconómicos precisos, flexibles, y fácil de usar que incluyen la sensibilidad y análisis de riesgos, para determinar el tamaño potencial del mercado de productos con valor agregado.

Editor Asociado

Para más información contacta a tu asesor Nicovita de confianza.

Algunas reflexiones sobre lo que la gente entiende mal acerca de la cría de camarón

La acuicultura es la agroindustria mundial de más rápido crecimiento, pero la verdadera sostenibilidad en la cría de camarón sigue siendo un paradigma difícil de alcanzar.

La acuicultura es la agroindustria mundial de más rápido crecimiento. Aunque este crecimiento ha estado y seguirá estando sujeto a volatilidad, la tendencia general de la producción de pescados y mariscos cultivados en granjas, durante las últimas tres décadas o más, ha sido de

un aumento constante. En 2022, la FAO informó por primera vez que la biomasa total procedente de la acuicultura superaba a la de la pesca. El número de especies cultivadas está aumentando y el tonelaje total de las tres principales (aparte de los bivalvos), camarones, tilapia y salmónidos, sigue creciendo.

La naturaleza del medio acuático plantea muchos retos únicos a la producción sostenible. Desgraciadamente, el término sostenible se ha convertido en una palabra de moda, al igual que eco, verde, etc. Se ha convertido en el blanco de la propaganda. Se ha convertido en el objetivo de un marketing basado en

palabrería y muchos lo emplean en un esfuerzo por diferenciar sus productos de la corriente dominante.

El diccionario Oxford define la sostenibilidad como:

1. Evitar el agotamiento de los recursos naturales para mantener un equilibrio ecológico y

2. La capacidad de una práctica de mantenerse a un determinado ritmo o nivel de crecimiento (indefinidamente).

En general, considerar cómo se aplica esto a la acuicultura, con una evaluación abierta y honesta, sugiere claramente que aún estamos muy lejos de alcanzarla. La verdadera sostenibilidad requiere el desarrollo de paradigmas de producción que permitan a las generaciones futuras satisfacer sus necesidades.

Los retos son muchos. Quizá el mayor sea que no existe un enfoque universal considerado sostenible por todo el mundo. Aunque no siempre obvios, los obstáculos a la sostenibilidad, son, entre otros:

1. Daños al medio ambiente. Se produce de muchas formas, desde el vertido de flujos de residuos sin tratar hasta el uso indiscriminado de antibióticos, productos químicos y medicamentos para hacer frente a problemas que podrían evitarse adoptando un enfoque proactivo.

2. Enfoques reactivos para mitigar el impacto de las enfermedades. Las enfermedades son un gran impedimento para la sostenibilidad. Sin embargo, prevenir los problemas, es decir, ser proactivo, no es la norma. Algunas organizaciones no gubernamentales (ONG) que auditan la producción, no abordan este tema, mientras afirman que su metodología específica es el camino hacia la sostenibilidad.

3. Los logros a corto plazo (es decir, los beneficios) son más importantes que los logros a largo plazo, que son el resultado de estrategias de gestión inteligentes y reproducibles.

Históricamente, la cría de camarones se ha basado en gran medida en el uso de desinfectantes en un intento de comenzar con entornos “estériles”. Con frecuencia, se emplean en condiciones que no garantizan alcanzar el objetivo, además del daño que su aplicación generalizada puede hacer a los microbiomas

Suscríbete

Históricamente, la cría de camarones se ha basado en el uso de desinfectantes, lo que ha demostrado ser contraproducente al crear un entorno propicio para patógenos peligrosos.

benignos y conducir a cambios en el microbioma que aseguran la afectación de los organismos por las bacterias sobrevivientes. Los vibriones son a menudo el centro de atención, a pesar de ser en gran medida inofensivos y un elemento importante de los microbiomas sanos. Cada vez hay más pruebas de que el uso de desinfectantes puede empeorar las cosas.

Las cepas de Vibrio parahaemolyticus, una especie que contiene patógenos tanto de humanos como de camarones, tienen tiempos de reproducción cortos, la capacidad de volverse metabólicamente inactivas (Viable but Non Culturable, VBNC por sus siglas en inglés) y, en virtud de las biopelículas que crean, pueden ser refractarias a una variedad de modalidades destinadas a eliminarlas de un ecosistema. Si bien hay cepas oportunistas, también hay varias cepas que causan problemas masivos de enfermedad en virtud de toxinas específicas. Se trata de los agentes etiológicos del síndrome de mortalidad precoz (SME, por sus siglas en inglés) y/o del síndrome o enfermedad de necrosis hepatopancreática aguda (AHPNS o AHPND),

así como los responsables de la enfermedad de postlarvas translúcidas (TPD). Existen pruebas sólidas de que el uso de desinfectantes puede disminuir la productividad y no es una práctica sostenible. Básicamente, se está creando un entorno compatible con la proliferación de estos patógenos obligados a expensas de las innumerables bacterias inofensivas.

Uno de los principales retos (entre otros) a los que se enfrentan muchos acuicultores, es la gran variedad de productos existentes en el mercado que pretenden resolver los problemas de forma reactiva. Algunos, como los antibióticos, cuando se usan de manera correcta, son herramientas valiosas de las que, por desgracia, se abusa con demasiada frecuencia. El uso correcto implica atacar enfermedades bacterianas (o fúngicas). Para ello es necesario aislar el agente patógeno, determinar que se trata efectivamente de un patógeno y no del resultado de unas condiciones de cría de mala calidad que debilitan a los organismos, determinar los niveles adecuados de aplicación

Suscríbete

y asegurarse de su uso apropiada, respetando los tiempos de espera y las dosis adecuadas.

Aunque la acuicultura es solo un sector en el cual esto puede suponer un problema, la realidad es que el uso sin restricciones en humanos es una amenaza mucho mayor para la utilidad continuada del actual conjunto de antibióticos. No obstante, el abuso sistemático de antibióticos en algunos casos en la cría de camarones, ya se trate de tratamientos profilácticos de reproductores o de un intento de contener mortalidades de origen desconocido, puede provocar un aumento de la resistencia a estas valiosas herramientas y no es una práctica sostenible.

Con la revolución genética en pleno apogeo, la manipulación del microbioma se ha convertido en una herramienta de marketing de moda, a pesar de que la inmensa mayoría de bacterias, virus, hongos, protozoos, etc., no pueden cultivarse. Se recurre a potentes herramientas estadísticas para caracterizar organismos que todavía no pueden (o quizá nunca) cultivarse en condiciones controladas.

Me llama la atención la facilidad con la que los criadores de camarones creen en la existencia de soluciones mágicas. El pensamiento universal parece ser que algunos aspectos muy fundamentales del proceso de producción no son críticos para el éxito y que, si podemos evitar garantizar cosas como la bioseguridad, la reducción de la carga de patógenos y la reducción del estrés, es decir, la gestión proactiva de los retos de salud animal, aparecerán algunas soluciones que validarán esta idea. Creo que esto se debe, entre otras cosas, a varias razones. Una de ellas es que la mayoría de los criadores de camarón del mundo no son biólogos con formación científica, ni se dedican a la acuicultura. Los paradigmas de producción basados en la necesidad (pobreza) son habituales. A medida que aumenta la eficiencia y se reducen los márgenes de beneficio, se tiende a la consolidación, lo que deja fuera de juego a la mayoría de los paradigmas impulsados por la necesidad. Otra, es la tendencia a repetir cosas que pudieron funcionar bien en un momento dado, incluso ante cambios capaces de hacer desaparecer lo que antes era fácilmente reproducible.

Otro problema es la amplia disponibilidad de una gran cantidad de productos cuya eficacia para tratar enfermedades de forma reactiva ha sido “probada”. Hay muchas publicaciones sobre una amplia gama de compuestos, incluyendo una variedad de productos químicos y bioquímicos, plantas y extractos de plantas, además de bacterias, tanto vivas como muertas y sus extractos, que han demostrado tener un impacto positivo en la supervivencia o el crecimiento, etc. La mayoría de ellos emplean modelos para demostrar la tesis. Normalmente, se trata de microcosmos de algún tipo que, por su propia naturaleza, no reflejan con exactitud diversos aspectos de los paradigmas de producción del mundo real. En particular, muchos son cerrados en cierta medida y suelen ser a pequeña escala. A menudo, los acuarios se usan para validar afirmaciones de eficacia. Estos productos suelen ingerirse; aunque bañar a los organismos en ellos es lo que realmente puede estar ocurriendo, además de lo que

pueda ser ingerido. En un sistema cerrado, como un acuario, el agua no fluye a un ritmo similar al movimiento y al impacto de dilución que se observa en condiciones reales. Como el organismo tritura el alimento en gránulos para ingerirlo, los productos analizados se encuentran en concentraciones mucho más altas en comparación con las condiciones típicas de producción reales. Esto garantiza que el camarón no solo lo ingiere en el alimento, sino que lo absorbe potencialmente a través de la ingestión en el agua, pero también a través de la absorción por las células fagocíticas de las branquias. Los estudios en acuarios pueden ser defectuosos por la propia naturaleza de sus limitaciones inherentes. Podría decirse que, si un producto no tiene ningún efecto en un acuario, tiene pocas posibilidades de funcionar en el campo. Por otra parte, ver un beneficio en un acuario no significa que se verá en el campo. Con demasiada frecuencia, los datos comerciales de las observaciones sobre el terreno se seleccionan al azar. No son pocos los casos en los que parece evidente que quien diseñó los protocolos experimentales no conocía bien el método científico. El objetivo es vender el producto, no asegurarse de su funcionamiento en condiciones de campo que suelen ser muy variables.

Cualquiera con una amplia experiencia en la cría de camarones le dirá que es propensa a una gran variabilidad. Normalmente hay muchas razones posibles, aunque la mayoría de las veces los criadores no saben muy bien por qué. Se recurre a estadísticas correlativas para hacer ver que se tiene alguna idea, aunque rara vez con mecanismos subyacentes plausibles para explicar por qué algo aparentemente funciona. A menudo, la causa y el efecto siguen siendo esquivos. Esto no quiere decir que no haya productos que puedan ser beneficiosos, aunque una vez que los camarones están en la mayoría de los estanques, el único mecanismo práctico de suministro es a través del alimento (con algunas excepciones). Sería muy costoso bañar a los camarones, incluso en los estanques comerciales más pequeños, en un producto que haya demostrado ser eficaz en gran medida o exclusivamente por esta vía.

A finales de la década de 1990, Aquaintech Inc. desarrolló un para-

biótico que se probó de manera exhaustiva sobre el terreno. Miles de millones de postlarvas (PL) fueron bañadas en el producto antes de ser introducidas en los estanques. Los resultados no fueron consistentes en términos de costo-beneficio caso por caso, pero, en general, sugerían fuertemente la existencia de un beneficio que podía justificarse (añadía centavos al costo de 1,000 PL). Desde entonces, muchos trabajadores han publicado observaciones que parecen apoyar el potencial de este enfoque, aunque casi todas se han realizado en acuarios. Esto confirma los reportes de que algunas cosas que funcionan en acuarios, pueden funcionar en el campo. Es importante destacar que esto fue a través del suministro de agua. Cuando el producto se administra en condiciones de campo, los efectos desaparecen en gran medida. En conclusión, la cría sostenible de camarón sigue siendo un paradigma difícil de alcanzar. El uso de sistemas de recirculación acuícola (RAS, por sus siglas en inglés), con entornos altamente controlados, ofrece cierto potencial. La producción en estanques al aire libre tiene un largo camino por recorrer y, en la mayoría de los casos, puede que nunca lo sea. Hay quien está estudiando la producción en estanques interiores, aunque no suelen ser bioseguros y la falta de una gestión proactiva de la presencia de patógenos obligados garantiza que estos sistemas seguirán plagados de problemas en gran medida evitables. Como he escrito muchas veces, caveat emptor. Muchas de las soluciones que se pregonan no son soluciones en la realidad, y cualquiera que defienda que se pueden ignorar los aspectos fundamentales y de sentido común de la gestión de los sistemas acuícolas, debe tomarse con mucho cuidado.

*Stephen Newman es doctor en Microbiología Marina con más de 30 años de experiencia. Es experto en calidad del agua, salud animal, bioseguridad y sostenibilidad con especial enfoque en camarón, salmónidos y otras especies. Actualmente es CEO de Aqua InTech y consultor para Gerson Lehrman Group, Zintro y Coleman Research Group. Contacto: sgnewm@aqua-in-tech.com www.aqua-in-tech.com www.bioremediationaquaculture.com www.sustainablegreenaquaculture.com

Efectos de la sustitución parcial de la harina de pescado por hidrolizado enzimático de harina de subproductos avícolas sobre el crecimiento, la salud hepática, la capacidad antioxidante y la inmunidad de juveniles de lobina (Micropterussalmoides)

Este artículo resume un estudio enfocado en explorar los efectos de la sustitución de harina de pescado tradicional por hidrolizado enzimático de harina de subproductos avícolas en las dietas de lobinas juveniles (Micropterussalmoides) , cuyos resultados destacan su potencial para mejorar la nutrición y la sostenibilidad de la acuicultura, sin comprometer el crecimiento y la salud de los peces.

Por: Redacción de PAM*

La demanda mundial de proteína animal de alta calidad se está disparando debido al crecimiento demográfico, el aumento de los ingresos en los países en desarrollo y el cambio de dieta en los países desarrollados, lo que impulsa la rápida expansión de la industria acuícola. La harina de pescado (FM, por sus siglas en inglés), conocida por su excelente valor nutritivo, palatabilidad y

digestibilidad, ha sido tradicionalmente la principal fuente de proteínas en la alimentación acuícola. Sin embargo, su uso es cada vez más insostenible debido a los problemas de suministro e incremento de costos. Por lo tanto, el desarrollo de nuevas fuentes de proteínas de alta calidad y bajo costo es esencial para mejorar la sostenibilidad ecológica y económica de la acuicultura.

En las últimas décadas, se han estudiado diversas fuentes alternativas de proteínas para la acuicultura. No obstante, muchas presentan importantes inconvenientes, como factores antinutricionales, composición desequilibrada de aminoácidos y deficientes palatabilidad, digestibilidad y absorción, los cuales pueden dificultar el crecimiento y la salud de los organismos acuáticos. La mejora de la calidad de estas

Los subproductos avícolas se han revelado como un posible sustituto de la harina de pescado en la alimentación acuícola. Los estudios han demostrado que la digestión enzimática puede mejorar el valor nutritivo y el uso de los subproductos avícolas.

fuentes de proteínas, mediante procesos como el calentamiento, la cocción, la fermentación y la digestión enzimática, ha resultado prometedora. En este sentido, la hidrólisis enzimática destaca por su elevada bioseguridad, además de sus condiciones de reacción más favorables y respetuosas con el medio ambiente.

Los subproductos avícolas se han revelado como un posible sustituto de la FM en la alimentación acuícola. Los estudios han revelado que la digestión enzimática puede mejorar el valor nutricional y el uso de los subproductos avícolas. Por ejemplo, se ha demostrado que el hidrolizado de subproductos avícolas mejora el crecimiento de los juveniles de corvina roja, y que la sustitución parcial de la FM por subproductos avícolas mejora el crecimiento y la salud de distintas especies acuáticas. Sin embargo, el impacto del hidrolizado enzimático de harina de subproductos avícolas (EHPB, por sus siglas en inglés) en la lobina (Micropterus salmoides) no se ha estudiado exhaustivamente.

La lobina es apreciada por su textura fina, la ausencia de espinas intersticiales y su alto valor nutritivo, convirtiéndola en prometedora candidata para la acuicultura. Esta especie carnívora de agua dulce requiere una dieta con alto contenido de FM, alrededor del 40-55% de materia seca. Las investigaciones previas sobre el uso de EHPB en lobina se han centrado principalmente en la calidad muscular, dejando lagunas en la comprensión de sus efectos sobre las propiedades antioxidantes e inmunológicas hepáticas. El objetivo de este estudio es llenar estos vacíos y evaluar el impacto global de la sustitución de FM por EHPB en esta especie.

Materiales y métodos

Las formulaciones de la dieta experimental y los ingredientes empleados (Tabla 1), se tomaron del estudio de Yi et al. (2023), procedentes de trabajos previos del laboratorio de investigación. La dieta de control (EHPB0) contenía 0% (p/p) de EHPB y 45% (p/p) de FM. Las otras dietas contenían 3.1%, 6.2%, 9.3% y 12.4% de EHPB, que sustituía al 8.89%, 17.78%, 26.67% y 35.56% de FM (basada en un 45% de FM), y se denominaron EHPB3, EHPB6, EHPB9 y EHPB12, respectivamente. El ensayo de alimentación de juveniles de lobina se llevó a cabo durante 95 días, en la granja de cría del Grupo Charoen Pokphand (Huanggang, China). Antes de iniciar el experimento, se dejó que los peces se aclimataran al entorno de alimentación durante dos semanas y se les suministró una dieta comercial. Luego, se distribuyeron 600 peces activos de tamaño similar en 15 jaulas (2.5 m × 2.5 m × 1.5 m), a una densidad de 40 por jaula, las cuales se colocaron en estanques al aire libre y se organizaron en cinco grupos, con tres réplicas por grupo. Se registraron los pesos y la cantidad inicial de juveniles. Los peces fueron alimentados diariamente, hasta la saciedad aparente, a las 6:30 y a las 18:30. Se pesaron y contaron cada dos semanas, procediendo a

ajustar la cantidad de alimento. Los peces se mantuvieron en ayuno durante 24 horas antes de tomar las muestras. Se pesaron, enumeraron y recogieron para medir sus índices de crecimiento.

Resultados

Los datos de crecimiento y morfometría se presentan en la Tabla 2. La tasa de supervivencia (SR, por sus siglas en inglés) de los peces fue superior al 85% en todos los grupos, y ninguna de las dietas experimentales influyó en esta métrica. Las tendencias de la tasa específica de crecimiento (SGR) y de la tasa de aumento de peso (WGR) fueron coherentes con la del peso corporal final (FBW). Además, los valores de estos parámetros obtenidos para cada grupo de tratamiento con EHPB no difirieron significativamente de los obtenidos para el grupo control (EHPB0). Sin embargo, el FBW, la SGR y la WGR disminuyeron al aumentar el contenido de EHPB.

La sustitución de hasta un 12.4% de hidrolizado enzimático de harina de subproductos avícolas en la dieta de juveniles de lobina puede sustituir el 35.56% de la harina de pescado, sin afectar negativamente parámetros de crecimiento como el peso corporal final, la tasa de crecimiento específico y la tasa de ganancia de peso.

En términos de composición del cuerpo entero, los peces alimentados con la dieta de control (EHPB0) tuvieron el menor contenido de humedad (p < 0.05); en cambio, la proteína bruta fue mayor con EHPB0 (p < 0.05). El contenido en lípidos brutos y cenizas no difirió significativamente entre tratamientos (p > 0.05); mientras que los niveles de glucosa (GLU) bajo todas las dietas EHPB, excepto EHPB3, fueron superiores a los de EHPB0, siendo mayor con EHPB12

(p < 0.05). La deshidrogenasa láctica (LDH, por sus siglas en inglés), el colesterol total (CT) y los triglicéridos (TG) fueron significativamente menores en todas las dietas con EHPB, excepto EHPB9 y EHPB12, en comparación con el control. En los dos últimos tratamientos, LDH, CT y TG habían aumentado en relación con EHPB0 (p < 0.05).

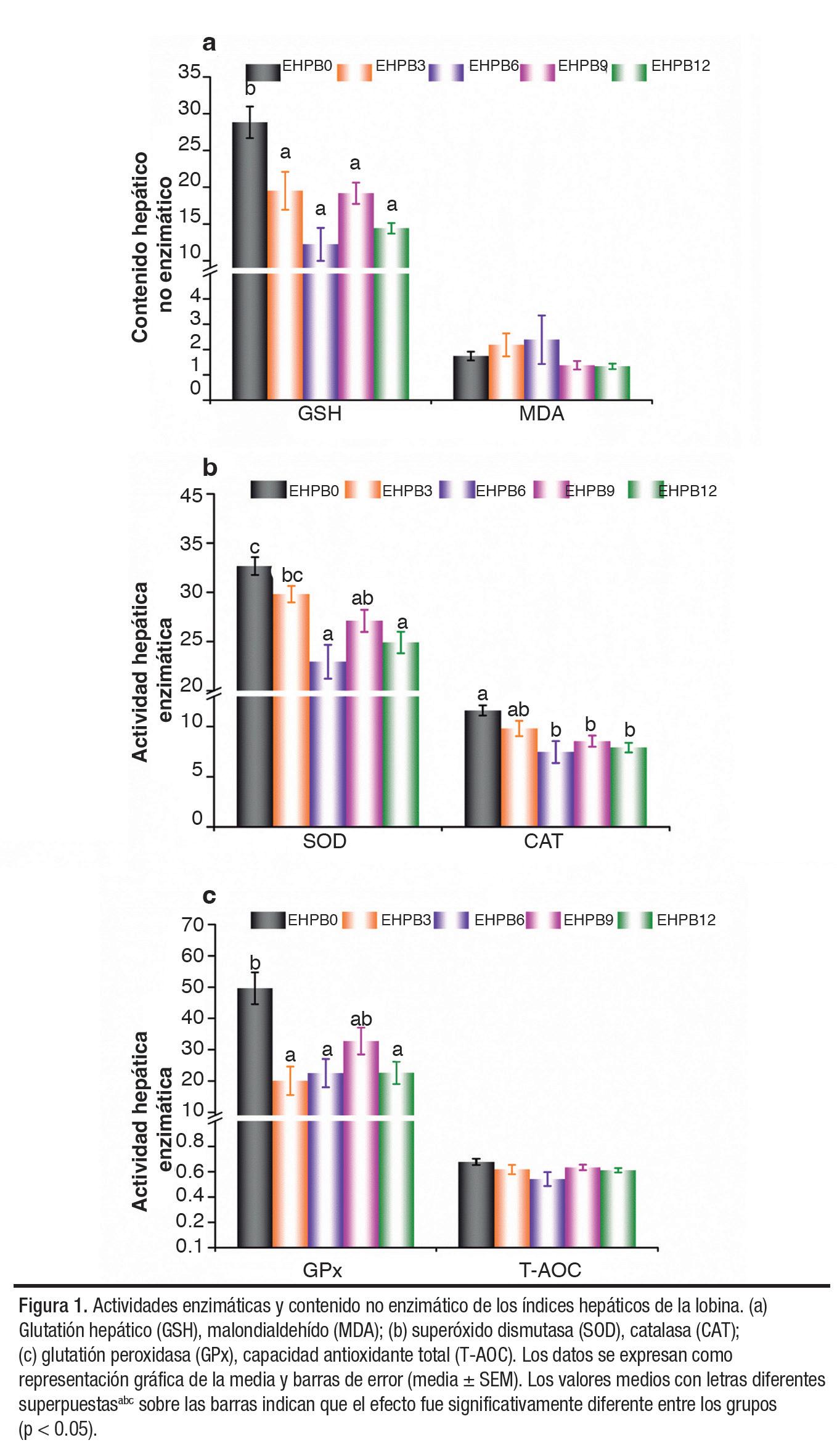
En la Figura 1 se representan gráficamente los parámetros de actividad y contenido de antioxidantes hepáticos. EHPB0 tuvo el mayor

contenido de glutatión hepático (GSH, por sus siglas en inglés) (p < 0.05) (Figura 1a). Lo mismo ocurrió con el glutatión peroxidasa (GPx), excepto que su actividad no difirió significativamente entre EHPB9 y EHPB0 (p < 0.05) (Figura 1c).

Discusión

Este ensayo demostró que la sustitución de hasta un 12.4% de EHPB en la dieta de juveniles de lobina puede reemplazar el 35.56% de FM, sin afectar negativamente parámetros de crecimiento como FBW, SGR y WGR. Se obtuvieron resultados similares en otras especies, lo que sugiere que el EHPB es un sustituto eficaz de FM.

La eficacia del EHPB radica en la digestión enzimática, la cual libera pequeños péptidos y aminoácidos libres que aumentan el apetito, mejoran la conversión alimenticia y favorecen el crecimiento. A diferencia del aumento del factor de conversión alimenticia (FCR, por sus siglas en inglés) observado en el salmón del Atlántico con una palatabilidad del alimento alterada, el EHPB no afectó el FCR en la lobina, ni siquiera en las dosis máximas. Sin embargo, el rendimiento del crecimiento disminuyó con un mayor contenido de EHPB, con diferencias significativas entre los grupos EHPB3 y EHPB12, lo que sugiere un nivel óptimo de sustitución.

Los análisis del índice hepatosomático (HSI, por sus siglas en inglés) y del factor de condición (CF) no indicaron efectos adversos de la suplementación con EHPB. Los resultados mostraron valores de CF más elevados en EHPB6 y EHPB9 en comparación con el control, lo que sugiere un mejor estado nutricional general. Aunque los niveles de proteína bruta y humedad variaron, estos resultados coinciden con los de estudios anteriores, lo que indica respuestas específicas de cada especie al EHPB. Índices bioquímicos como la proteína total y la albúmina no se vieron afectados por la adición

de EHPB, indicando que se mantuvo la ingesta de nutrientes y la función hepática. El análisis de la actividad enzimática mostró niveles más bajos de GPx, superóxido dismutasa (SOD) y catalasa (CAT) en los tratamientos con EHPB, lo que sugiere ligeros efectos negativos sobre los mecanismos antioxidantes. Sin embargo, la ausencia de cambios significativos en el contenido de malondialdehído (MDA) significa que no hubo efectos tóxicos.

Los análisis de expresión génica de la respuesta inflamatoria e inmunitaria revelaron una sobreexpresión de las citocinas proinflamatorias tnf-α e il-8 en EHPB6, lo que

sugiere una respuesta inflamatoria a este nivel de EHPB. Por el contrario, la antiinflamatoria il-10 también estaba elevada, indicando una respuesta inmunitaria equilibrada. En general, es probable que se produzca una inhibición competitiva del transporte de aminoácidos a niveles más altos de EHPB, lo que afectaría el metabolismo y el crecimiento. En resumen, el EHPB puede sustituir eficazmente una parte significativa de la FM en las dietas de la lobina, sin comprometer el crecimiento ni la salud, con un nivel óptimo de sustitución de alrededor de 3.1% EHPB.

Conclusiones

Las dietas con un nivel base del 29% de FM (12.4% de EHPB) no afectaron el crecimiento de los juveniles de lobina. Sin embargo, en cuanto a la expresión de genes relacionados con el rendimiento antioxidante y la función inmunitaria, el nivel óptimo de EHPB añadido a las dietas de lobina fue del 3.1% (41% FM). El tratamiento con EHPB6 activó el sistema inmunitario, alivió el estrés oxidativo y atenuó la inflamación a través de las vías de señalización MAPK/Nrf2/NF-κB.

La versión informativa del artículo original está patrocinada por NORTH AMERICAN RENDERERS ASSOCIATION (NARA).

Esta es una versión resumida desarrollada por el equipo editorial de Panorama Acuícola Magazine del artículo “EFFECTS OF PARTIAL SUBSTITUTION OF ENZYMATIC HYDROLYSATE OF POULTRY BY-PRODUCT MEAL FOR FISHMEAL ON THE GROWTH PERFORMANCE,HEPATIC HEALTH, ANTIOXIDANT CAPACITY,AND IMMUNITY OF JUVENILELARGEMOUTHBASS(MICROPTERUS SALMOIDES)”escritoporGU,J.yZHANG,Q. -NanjingAgriculturalUniversityyChinese AcademyofFisherySciences;HUANG,D.ChineseAcademyofFisherySciences;ZHANG, L.,CHEN,X.yWANGY.-TongweiAgricultural DevelopmentCo.,LTD.;LIANG,H.-Nanjing AgriculturalUniversityyChineseAcademyof FisherySciences;REN,M.-NanjingAgricultural University. La versión original, incluyendo tablas y figuras, fue publicada en FEBRERO de 2024 en AQUACULTURE REPORTS. Se puede acceder a la versión completa a través de https://doi. org/10.1016/j.aqrep.2024.101990

En el cambiante panorama de la acuicultura, la búsqueda de soluciones de alimentos más sostenibles y eficientes es primordial. Empyreal® 75, un concentrado proteico de gran pureza desarrollado por Cargill®, se sitúa a la vanguardia de esta revolución. Este innovador producto ofrece una alternativa sostenible a las harinas de pescado tradicionales y mejora la eficacia nutricional de las dietas acuícolas. Este artículo profundiza en los orígenes, la funcionalidad y las profundas repercusiones de Empyreal® 75, basándose en una amplia investigación de campo y en los comentarios de expertos del sector. Artículo

Mejorando la acuicultura: Influencia de Empyreal® 75 en las dietas de la industria

Empyreal® 75: ¿Qué es y cuál es su origen? Empyreal® 75 es un innovador ingrediente para alimentos producido por Cargill®, diseñado específicamente para la industria acuícola. Como concentrado proteínico vegetal de gran pureza derivado del maíz, Empyreal® 75 representa un avance significativo en la tecnología de los alimentos para animales. El producto se desarrolló en respuesta a la creciente demanda de fuentes de proteínas sostenibles y eficientes en la acuicultura.

El viaje de Empyreal® 75 comenzó con la visión de Cargill®

de crear una proteína versátil que pudiera reducir la dependencia de la industria de fuentes tradicionales y, a menudo, insostenibles, como la harina de pescado. Aprovechando su experiencia en ciencia agrícola y formulación nutricional, Cargill® creó un producto que no solo aborda estas preocupaciones de sostenibilidad, sino que también cumple con los altos estándares de eficiencia del alimento requeridos en las prácticas acuícolas modernas.

Empyreal® 75 obtuvo rápidamente el reconocimiento por sus propiedades únicas, incluido un contenido en proteínas que supera de forma sistemática el 75%, convirtiéndolo en una opción ideal para su inclusión en diversas dietas acuícolas. Su desarrollo se vio impulsado por la necesidad de proporcionar una fuente de proteína renovable que favoreciera la salud y el crecimiento de las especies acuáticas, contribuyendo al mismo tiempo a una producción de alimentos más respetuosa con el medio ambiente.

Características innovadoras para una mejor nutrición

Empyreal® 75 está diseñado para optimizar la dieta acuícola, dejando más espacio para formulaciones creativas. Su concentración superior de proteínas y su densidad de

nutrientes, reducen la necesidad de otras fuentes de proteínas, lo que disminuye costos y mejora la calidad del alimento. Las principales ventajas del uso de Empyreal® 75 incluyen:

 Mejor extrusión e integridad del pellet: garantiza que el alimento mantenga su forma y nutrición cuando está sumergido, reduciendo el desperdicio.

 Aglutinamiento y recubrimiento superiores: mejora la durabilidad y el atractivo del alimento.

 Alta digestibilidad: los organismos necesitan menos alimento para ganar más peso, lo que optimiza los ciclos de crecimiento y mejora la productividad del cultivo.

 Flexibilidad y libertad para los productores de alimentos: la libertad de formulación de Empyreal® 75 permite a los productores de alimentos innovar sin limitaciones, ofreciendo productos de alto valor que satisfacen las diversas necesidades de las granjas acuícolas. Favorece el desarrollo de alimentos rentables y beneficiosos para el medio ambiente, contribuyendo a una menor huella ecológica.

 Garantizar la sostenibilidad y la rentabilidad: el origen natural y vegetal de Empyreal® 75 se alinea con la tendencia global hacia prácticas de acuicultura sostenibles. Se produce en las modernas instalaciones de molienda de maíz húmedo de Cargill® bajo estrictas normas de calidad, lo que garantiza un producto confiable y consistente. Además, Empyreal® 75 favorece la salud y el crecimiento de los organismos acuáticos, por su bajo contenido en cenizas y su alta disponibilidad energética, reforzando aún más su papel en las prácticas acuícolas sostenibles.

 Certificaciones y alcance mundial: Empyreal® 75 no es solo un producto, sino una promesa avalado por el certificado Halal y Kosher, y conforme a las normas FSSC 22000 y FSMA. Disponible en todo el mundo, se distribuye en varios continentes, como Norteamérica, Sudamérica, Asia y África, lo que garantiza una cadena de suministro confiable para los fabricantes de alimentos acuícolas.

 Soporte estratégico al cliente: Cargill® proporciona un apoyo inigualable a sus clientes, ofre-

ciendo servicios específicos como el transporte por ferrocarril y camión dentro de Norteamérica, y variadas opciones de transporte de exportación en todo el mundo. Un equipo profesional de atención al cliente garantiza que cada interacción añada valor, ayudando a los clientes a maximizar los beneficios de Empyreal® 75 en sus formulaciones de alimentos acuícolas.

Beneficios funcionales de las dietas acuícolas

Empyreal® 75 ha redefinido el papel de las proteínas en los alimentos para acuicultura, al proporcionar una opción vegetal de gran pureza que mantiene y mejora los regímenes alimentarios de las especies acuáticas. A continuación, analizamos cómo este ingrediente optimiza y puede sustituir a otros componentes de las dietas acuícolas.

 Optimización de las fórmulas de los alimentos: Empyreal® 75 permite una mayor flexibilidad en la formulación de los alimentos. Su alto contenido proteínico y su excelente perfil de aminoácidos lo convierten en un sustituto eficaz de fuentes proteínicas más tradicionales, como la harina de pescado, que suelen ser más costosas y menos sostenibles. Al integrar Empyreal® 75, los productores de alimentos pueden crear dietas rentables, además de respetuosas con el medio ambiente, reduciendo la huella ecológica global de sus operaciones.

 Mejora de la eficiencia nutricional: una de las características más destacadas de Empyreal® 75 es su capacidad para hacer que las dietas sean más eficientes. Los organismos alimentados con dietas que incorporan Empyreal® 75 presentan tasas de crecimiento más rápidas y mejores factores de conversión alimenticia (FCR, por sus siglas en inglés). Esto significa que necesitan menos alimento para ganar peso, representando una ventaja directa a la hora de reducir los costos asociados a la alimentación y el mantenimiento de los sistemas de acuicultura. Además, el bajo contenido en cenizas y la alta digestibilidad de Empyreal® 75 contribuyen a mejorar la salud general y a reducir la producción de residuos, lo que es crucial para mantener la calidad del agua en los sistemas de acuicultura.

Empyreal® 75 es un innovador ingrediente para alimentos producido por Cargill®, diseñado específicamente para la industria acuícola.

 Mantener la salud acuática: la inclusión de Empyreal® 75 en las dietas acuícolas favorece la salud general de las especies acuáticas al aportar nutrientes esenciales y beneficios funcionales. Por ejemplo, su estructura celular uniforme ayuda a mantener la integridad de los gránulos de alimento en el agua, garantizando que el alimento siga siendo apetecible y nutritivo incluso cuando está sumergido. Esta característica es especialmente importante para reducir la lixiviación de nutrientes en el agua, manteniendo así la calidad nutricional del alimento durante periodos prolongados.

Resultados de campo e impacto en las explotaciones acuícolas

La aplicación práctica de Empyreal® 75 en acuicultura ha mostrado resultados prometedores en diversas cultivos de todo el mundo. En esta sección se examinan los efectos tangibles observados en los ensayos de campo y en el uso cotidiano en las granjas, subrayando la eficacia del producto y las ventajas que aporta a los productores acuícolas.

Empyreal® 75 ha sido fundamental para mejorar las tasas de crecimiento de especies como salmón, trucha, tilapia y camarón. Estudios de campo han demostrado que las dietas con Empyreal® 75 conducen a un aumento de peso más rápido en estas especies, gracias a su alta digestibilidad y eficiente absorción de nutrientes.

Los ensayos comerciales han demostrado que Empyreal® 75 puede sustituir la proteína animal

y vegetal tradicional sin afectar al rendimiento del crecimiento y, en algunos casos, incluso mejorarlo. Además, esta dieta puede suponer ahorro de costos y mejores características físicas. En las tablas 1, 2 y 3, se presentan algunos de los últimos ensayos realizados en salmón, tilapia y camarón.

Análisis del impacto de Empyreal® 75 en la acuicultura por especies

Empyreal® 75, un concentrado proteínico de maíz, ha sido evaluado en múltiples especies acuícolas con resultados diversos, ofreciendo una alternativa sostenible a la harina de pescado. He aquí un desglose y las conclusiones basadas en los ensayos realizados con diferentes especies:

1. Tilapia roja

 Lugar del ensayo: Universidad de Nong Lam, Vietnam (2017).

 Resultados: el uso de Empyreal® 75 en dietas para tilapia roja mostró resultados prometedores, con ganancias totales ligeramente superiores en dietas que contenían un 2.4% de Empyreal® 75 en comparación con la dieta de referencia. En particular, el FCR fue mejor con la inclusión de Empyreal® 75, lo que redujo los costos del alimento y mejoró el retorno de la inversión (ROI, por sus siglas en inglés), sin afectar la calidad de la piel o el filete del pescado.

2. Salmón del Atlántico

 Lugar del ensayo: Fundación Chile, Estación Experimental Quillaipe (2015).

 Resultados: las dietas para salmón del Atlántico que incluían un 10% y un 20% de Empyreal® 75 produjeron un rendimiento igual o superior en comparación con las dietas de referencia. El FCR mejoró notablemente en la dieta con 10% de inclusión, demostrando que Empyreal® 75 puede aumentar la eficiencia del crecimiento manteniendo, al mismo tiempo, tasas de supervivencia del 100%.

3. Camarón

 Lugar del ensayo: Inprosa, Ecuador (2014).

 Resultados: en la producción de camarón, las dietas que incluían un 11% de Empyreal® 75 mejoraron significativamente el FCR, reduciendo los costos de producción por kilogramo y aumentando el ROI en un 16% frente a la dieta de referencia.

4. Jurel juvenil

 Lugar del ensayo: Universidad de Kochi, Japón (2018).

 Resultados: la inclusión de Empyreal® 75 al 7.5% mejoró drásticamente el rendimiento, mostrando un mejor crecimiento y eficiencia del alimento en comparación con mayores tasas de inclusión y la dieta de referencia. Los beneficios económicos óptimos se observaron en este nivel de inclusión.

5. Lenguado

 Lugar del ensayo: Universidad de JuJu, Corea del Sur (2016).

 Resultados: las dietas que incorporan Empyreal® 75 al 50% de

proteína bruta (PB) permitieron reducir significativamente el uso de harina de pescado, manteniendo niveles de rendimiento comparables a las dietas tradicionales. El ahorro de costos también fue significativo, lo que demuestra la capacidad de Empyreal® 75 para reducir los costos operativos.

En diversas especies acuícolas, Empyreal® 75 ha evidenciado considerables beneficios en la mejora de la eficacia de los alimentos, las tasas de crecimiento y la viabilidad económica general:

 Eficiencia alimentaria y crecimiento: Empyreal® 75 mejora sistemáticamente el FCR en todas las especies, siendo necesario menos alimento para un crecimiento igual o mayor.

 Impacto económico: la reducción de los costos de alimentación y el aumento de la rentabilidad de la inversión fueron beneficios comunes, lo que convierte a Empyreal® 75 en una alternativa rentable en comparación con las dietas tradicionales a base de harina de pescado.

 Sostenibilidad: al reducir la dependencia de la harina de pescado, Empyreal® 75 favorece unas prácticas acuícolas más sostenibles, cada vez más importantes en un mercado tan consciente de su compromiso con el medio ambiente.

La versatilidad y eficacia de Empyreal® 75 lo convierten en una excelente opción para los fabricantes de alimentos acuícolas que deseen optimizar sus productos cumpliendo las normas de sostenibilidad. Su rendimiento constante en diferentes especies subraya su potencial como ingrediente universal de alimentos para diversas aplicaciones acuícolas.

Opinión de productores de alimentos para animales y acuicultores

La adopción de Empyreal® 75 en el sector de la acuicultura ha generado opiniones positivas, tanto de los productores de alimentos como de los acuicultores. Esta sección explora sus comentarios y experiencias, proporcionando una visión completa de cómo Empyreal® 75 es considerado por las diferentes partes interesadas.

Experiencias de productores de alimentos para animales

Los fabricantes de alimentos que han incorporado Empyreal® 75 a sus productos reportan sistemáticamente mejoras en la calidad de los alimentos y en los procesos de elaboración. Destacan propiedades aglutinantes y de extrusión superiores de Empyreal® 75, que mejoran la integridad estructural de los gránulos de alimento. Esta mejora es fundamental para mantener el contenido nutricional durante las exigencias físicas de la manipulación y la inmersión en agua. Además, los productores aprecian la flexibilidad que ofrece Empyreal® 75 en la formulación de alimentos acuícolas. Su alto contenido de

proteínas y aminoácidos esenciales permite soluciones dietéticas más variadas y rentables, sin comprometer el valor nutritivo. Esta adaptabilidad se valora, especialmente, en un sector en el que las necesidades dietéticas pueden variar de manera significativa, según las especies y las condiciones de cría.

Experiencias de acuicultores

Los acuicultores han observado notables mejoras en la salud y las tasas de crecimiento de sus poblaciones desde que integraron Empyreal® 75 en sus regímenes de alimentación. Muchos afirman que sus peces y camarones alcanzan el tamaño de mercado más rápidamente y con menos alimento que antes, favore-

Empyreal® 75 está diseñado para optimizar la dieta acuícola, dejando más espacio para formulaciones creativas. Su concentración superior de proteínas y su densidad de nutrientes, reducen la necesidad de otras fuentes de proteínas, lo que disminuye los costos y mejora la calidad del alimento.

ciendo de forma directa la rentabilidad del cultivo.

Los comentarios constantes apuntan a una disminución del FCR en general; en otras palabras, cada unidad de alimento con Empyreal® 75 produce más biomasa que los alimentos convencionales. Esta eficacia es uno de los principales factores que explican su amplio respaldo por parte de la comunidad acuícola.

Además, las ventajas medioambientales de usar una proteína sostenible de origen vegetal, como Empyreal® 75, son bien recibidas por los acuicultores comprometidos con las prácticas sostenible. La menor huella medioambiental de Empyreal® 75 coincide con la creciente demanda mundial de prácticas de cría más responsables.

Reconocimiento del sector y perspectivas de futuro

La buena acogida de Empyreal® 75 se refleja también en los diversos premios y reconocimientos que ha recibido, lo que subraya su impacto en la industria acuícola. De cara al futuro, tanto fabricantes de alimentos como acuicultores, expresan un gran interés en seguir explorando el potencial de Empyreal® 75, avizorando una

gran expectativa para su uso en la acuicultura.

Casos prácticos y testimonios

Para subrayar aún más la eficacia de Empyreal® 75, diversos estudios de casos y testimonios de ensayos realizados en granjas acuícolas de todo el mundo, ponen de relieve los beneficios prácticos y las experiencias reales con este innovador ingrediente de alimentos acuícolas.

Estudio de caso: cría de salmón en Canadá y Chile

Cooke Aquaculture, la mayor empresa de productos del mar de Norteamérica, ha mejorado significativamente su producción de salmón empleando Empyreal® 75. Este producto les ha permitido reducir su dependencia de las proteínas marinas, usando menos peces para producir salmón del Atlántico de alta calidad. Esto satisface las demandas del mercado en cuanto a frescura −entregando los productos en las 48 horas siguientes a su captura−, además de alinearse con los valores de sostenibilidad, importantes para destacados chefs como Rick Moonen. Empyreal® 75 respalda las operaciones integradas de Cooke Aquaculture, desde

la producción de alimentos hasta el procesado final, reforzando su compromiso con un producto saludable y sostenible.

Testimonio de un productor de camarones

de Ecuador

Un importante productor de camarones de Ecuador compartió su experiencia con Empyreal® 75, afirmando: “Desde que cambiamos a Empyreal® 75, hemos notado un crecimiento más rápido, así como una mejor salud general en nuestras poblaciones de camarón. La estabilidad del alimento en el agua ha reducido drásticamente los residuos y mejorado la eficacia de nuestras prácticas de alimentación”. Estos comentarios coinciden con los de muchos otros productores de regiones donde la acuicultura es una parte fundamental de su economía local.

Implicaciones más amplias para la industria

Estos ejemplos reflejan una tendencia más amplia en el sector de la acuicultura hacia prácticas más sostenibles y eficientes. Empyreal® 75 está a la vanguardia de este cambio, ofreciendo una solución que beneficia tanto al productor como al medio ambiente. Los comentarios positivos de estos estudios de casos

Empyreal® 75 ha redefinido el papel de las proteínas en los alimentos para acuicultura, al proporcionar una opción vegetal de gran pureza que mantiene y mejora los regímenes alimentarios de las especies acuáticas.

están respaldados por datos de múltiples granjas e informes de investigación que demuestran sistemáticamente las ventajas de incorporar Empyreal® 75 a las dietas acuícolas.

Conclusiones

Empyreal® 75 ha demostrado ser un ingrediente transformador en la industria de la acuicultura. Su desarrollo por parte de Cargill® ha abordado necesidades críticas de sostenibilidad y eficiencia en la producción de alimentos acuícolas. Los resultados de campo y los comentarios de los profesionales del sector destacan

su eficacia para mejorar las tasas de crecimiento, reducir los costos de los alimentos y apoyar las prácticas de cría sostenibles. A medida que la industria sigue evolucionando, Empyreal® 75 destaca como un componente clave en el camino hacia operaciones acuícolas más sostenibles y económicamente viables.

Para más información:

A los productores acuícolas y fabricantes de alimentos para animales interesados en obtener más información sobre Empyreal®75 o en integrarlo en sus formulaciones de alimentos para animales, les animamos a que se pongan en contacto con su representante local de Cargill®. Explorar el potencial de Empyreal® 75 podría mejorar significativamente la sostenibilidad y rentabilidad de sus operaciones acuícolas.

Referencias:

 Página web oficial de Cargill® Empyreal® 75.  Comentarios de la industria y estudios de casos sobre el impacto de Empyreal® 75 en la acuicultura.

 Para consultas y más detalles, visite http://empyreal75.com, llame al +1 402-533-4282, o envíe un correo electrónico a empyreal@cargill.com

Este artículo es patrocinado por: CARGILL.

Copépodos congelados,

100% naturales

y esterilizados para una óptima nutrición en acuicultura

La acuicultura es clave para la alimentación mundial, ofreciendo una alternativa sostenible y de alto valor nutricional frente a la sobreexplotación de pesquerías naturales. Megasupply, líder en la industria, proporciona soluciones avanzadas y sostenibles, como los Copépodos Frozen Ocean®, que mejoran la supervivencia y crecimiento de organismos acuáticos en etapa larvaria.

Por: Redacción de PAM*

La acuicultura, que consiste en la cría y el cultivo de peces, moluscos y crustáceos, hoy en día, es un componente fundamental de la alimentación en todo el mundo. Ofrece una alternativa sostenible a la creciente demanda de alimentos, como proteínas de alto

valor nutricional, y a la sobreexplotación de pesquerías naturales. De esta manera, puede satisfacer las necesidades nutricionales de una población global en aumento. En este sentido, la calidad de los alimentos que se suministran durante la producción acuícola, en particular en la etapa larva-

ria, es primordial para el éxito de esta industria. Los copépodos son pequeños crustáceos que forman parte del zooplancton marino. Su importancia se debe al papel vital que desempeñan en los ecosistemas acuáticos, siendo además una fuente indispensable de

nutrientes para muchas especies de peces y otros organismos acuáticos. En la industria acuícola, los copépodos son de alto valor por su contenido nutricional, indispensable para la alimentación de especies acuáticas en su etapa larvaria, un periodo crítico para su desarrollo y supervivencia.

Megasupply es una empresa líder en el suministro de productos y soluciones avanzadas para la acuicultura, comprometida con la calidad y la sostenibilidad. Ofrece una amplia gama de productos, incluyendo alimentos especializados para acuicultura, equipos de última generación y soluciones de bioseguridad. Entre sus metas se encuentra proporcionar recursos que optimicen las operaciones acuícolas y aseguren el crecimiento saludable de las especies acuáticas. Esta empresa se dedica a la innovación, colaborando con instituciones de investigación y expertos en la industria, para desarrollar productos que satisfagan las necesidades presentes y futuras de la acuicultura.

En la industria acuícola, los copépodos son de alto valor por su contenido nutricional, que es indispensable para la alimentación de organismos acuáticos en su etapa larvaria, un periodo crítico para su desarrollo y supervivencia.

Megasupply está comprometida con la sostenibilidad, implementando prácticas que minimizan el impacto ambiental y promueven la conservación de recursos naturales. El equipo de expertos de esta empresa brinda un servicio de asesoramiento técnico y soporte al cliente de manera excepcional. La empresa tiene como norte construir relaciones duraderas con sus clientes, basadas en la confianza y la colaboración permanente, avanzando hacia un futuro sostenible para la producción de alimentos acuícolas. Un ejemplo de ello, los Copépodos Frozen Ocean®

Los Copépodos Frozen Ocean® de Megasupply

Los Copépodos Frozen Ocean® son recolectados cerca del Círculo Polar Ártico, asegurando una pureza y calidad excepcionales. Estos copépodos han sido esterilizados por irradiación gamma, analizados y certificados libres de virus, lo que garantiza una alimentación segura y de alta calidad para las especies en desarrollo. Con un rico perfil nutricional y un alto contenido energético, los Copépodos Frozen Ocean® proporcionan todos los nutrientes necesarios para un crecimiento óptimo. Además, contienen astaxantina, un pigmento carotenoide natural con potentes propiedades antioxidantes, que contribuye a la salud y vitalidad de los animales acuáticos.

La inclusión de Copépodos Frozen Ocean® en la dieta de los organismos acuáticos en la etapa larvaria, no solo mejora su tasa de supervivencia y crecimiento, sino que también optimiza la eficiencia de la producción en acuicultura. Al garantizar una fuente de alimento natural, segura y altamente nutritiva, los Copépodos Frozen Ocean® representan un avance significativo en la nutrición acuícola, apoyando la sostenibilidad y la seguridad alimentaria global. Descubre cómo los Copépodos Frozen Ocean® pueden revolucionar la nutrición en la acuicultura, proporcionando una opción confiable y nutritiva para asegurar el desarrollo saludable de tus especies acuáticas. Entre las principales características del producto, se encuentran:

9 Producto seguro, esterilizado por irradiación gamma.

9 Provee de una alta disponibilidad de nutrientes para promover el crecimiento y supervivencia del animal.

9 Es un producto 100% natural.

9 Congelado rápido, para mantener intacto su valor nutricional.

9 Sustituto probado de hasta el 100% de los quistes de Artemia, manteniendo la calidad de los organismos y los niveles de producción.

Especificaciones y bioseguridad de los Copépodos Frozen Ocean® Las especificaciones de los Copépodos Frozen Ocean® detallan que están compuestos al 100% de estos organismos (Cyclops sp), los cuales se presentan congelados y esterilizados. Este producto se ofrece en dos rangos de tamaño: de 500 a 800 µm, conteniendo aproximadamente 20,000 organismos por gramo, y de 700 a 1,300 µm, con aproximadamente 10,000 organismos por gramo. En cuanto a los valores nutricionales típicos (Tabla 1), al tratarse de un producto de origen natural, la información proporcionada se basa en el mejor conocimiento disponible.

Con un rico perfil nutricional y un alto contenido energético, los Copépodos Frozen Ocean® proporcionan todos los nutrientes necesarios para un crecimiento óptimo.

Además, los Copépodos Frozen Ocean® representan una opción biosegura, gracias a su esterilización a través de irradiación gamma (Tabla 2).

Instrucciones de uso de los Copépodos Frozen Ocean®

Se recomienda una dosis específica de Copépodos Frozen Ocean® dependiendo de su propósito. Como reemplazo de quistes de Artemia, se debe usar una proporción de 1:1 de biomasa de nauplios de Artemia por biomasa de copépodos. Cuando se emplea como alimento complementario, es importante referirse a la tabla sugerida de alimentación para determinar la cantidad adecuada.

Para preparar el producto, primero se debe pesar la cantidad requerida de copépodos congelados. Luego, se saca el producto de su bolsa y se descongela en un recipiente con agua limpia, preferible-

mente con una salinidad similar a la del tanque a alimentar. Es importante no agitar el producto mientras se descongela. Una vez descongelado, el producto debe dispersarse sobre la superficie del tanque. Es necesario ajustar la dosis según el desempeño de los organismos alimentados.

Después de descongelar el producto, no debe volver a congelarse. En su lugar, debe almacenarse en el refrigerador por un máximo de 3 días. El almacenamiento adecuado del producto congelado debe realizarse a una temperatura de -18ºC (0.4ºF) o más fría, permitiendo su conservación hasta por 3 años a partir de la fecha de elaboración, si se almacena conforme a las recomendaciones.

En cuanto al empaque, los Copépodos Frozen Ocean® se presentan en baldes plásticos con tapa

de seguridad, cada uno contiene 10 bolsas de 1 kg, o en hieleras desechables que contienen 20 bolsas de 1 kg cada una.

Conclusiones

Megasupply, como líder en la industria, ofrece soluciones avanzadas, como los Copépodos Frozen Ocean® que no solo mejoran la supervivencia y el crecimiento en etapas larvarias, sino que también promueven la sostenibilidad y la seguridad alimentaria global. Estos copépodos, recolectados cerca del Círculo Polar Ártico y esterilizados por irradiación gamma, garantizan una fuente de alimento segura y nutritiva para las especies en desarrollo. Su inclusión en la dieta acuícola representa un avance significativo, respaldado por la innovación y el compromiso de Megasupply con la sostenibilidad y la calidad.

Este artículo es patrocinado por MEGASUPPLY.

Esta es una versión resumida desarrollada por el equipo editorial de Panorama Acuícola Magazine del artículo “FROZEN OCEAN® COPÉPODOS CONGELADOS 100% NATURAL,ESTERILIZADO”escrito por MEGASSUPLY. La versión original fue publicada en FICHA TÉCNICA DE FROZEN OCEAN® COPÉPODOS CONGELADOS.

Este artículo es patrocinado por ZEIGLER BROS., INC.

Bríndale a tus larvas

Máxima seguridad garantizada:

Esterilizado por Irradiación Gamma

una nutrición incomparable

Alternativa eficaz y confiable:

Sustituto probado de hasta el 100% de los quistes de Artemia

Resultados notables:

Promueve el crecimiento y la supervivencia

MÉXICO

Nutrimar www.nutrimar.mx ventaspacifico@gbpo.com.mx

VENEZUELA

Megasupply de Venezuela www.megasupply.net ventasve@megasupply.net

Megasupply Honduras www.megasupply.net ventasca@megasupply.net

USA

Megasupply USA www.megasupply.com orders@megasupply.net

¿Te gustaría descubrir cómo la automatización del suministro de alimento en tu granja o hatchery puede generar grandes ahorros?

En la industria de la acuicultura, optimizar el suministro de alimento, mediante sistemas automatizados, puede generar ahorros significativos y mejorar la eficiencia operativa. Este artículo detalla cómo la implementación de estos sistemas en granjas y hatcheries beneficia a los productores, describiendo los ahorros directos e indirectos, y proporcionando ejemplos concretos de su eficacia.

Automatizar el proceso de alimentación de peces o camarones en la acuicultura ofrece múltiples ventajas que justifican la inversión inicial. A continuación, se presentan los ahorros directos e indirectos más significativos obtenidos mediante la implementación de sistemas automatizados de alimentación.

Ahorros directos

1. Reducción del consumo de alimento

La optimización del factor de conversión alimenticia (FCR, por sus siglas en inglés) puede reducir el consumo de alimento entre 5% y 9% anual. Este ahorro se debe a la dosificación precisa y al momento ade-

cuado de la alimentación, evitando la sobrealimentación y el desperdicio de alimento.

2. Menores costos laborales

Un alimentador automatizado requiere significativamente menos mano de obra, ya que solo necesita un operador para su mantenimiento y supervisión, en lugar de varios

empleados para turnos continuos, lo cual puede traducirse en ahorros laborales sustanciales.

Ahorros indirectos

1. Reducción de la mortalidad de peces

La alimentación continua y en pequeñas dosis previene el canibalismo, una causa común de mortalidad en la acuicultura. Al reducir la mortalidad, se mejora la eficiencia y la producción total de la granja.

2. Crecimiento más rápido de peces y camarones

La alimentación en dosis exactas y a intervalos regulares mejora el índice de crecimiento específico (SGR, por sus siglas en inglés), permitiendo que los peces y camarones alcancen el tamaño deseado en menos tiempo. Esto se traduce en ciclos de producción más cortos y mayores rendimientos.

Diversas investigaciones han demostrado que los sistemas automatizados pueden reducir los costos de alimentación hasta en un 20%, gracias a la mejora en la eficiencia del FCR y la reducción de la mano de obra necesaria.

Sistemas de alimentación automática para hatcheries con alimento vivo

Los sistemas de alimentación automática para hatcheries de Fish Farm Feeder están diseñados para optimizar la alimentación de larvas y juveniles de peces y camarones, garantizando un crecimiento saludable y uniforme desde las primeras etapas de vida. Aquí se detallan algunas de las características y beneficios más relevantes de estos sistemas:

Características principales

Dosificación precisa y distribución uniforme

Los sistemas de Fish Farm Feeder permiten dosificar cantidades exactas de alimento, como artemia, rotífero y microalgas, a intervalos regulares. Esto asegura que todas las larvas reciban la cantidad adecuada de nutrientes, sin desperdiciar alimento, promoviendo un crecimiento homogéneo en los tanques.

Alimentación continuada

Estos sistemas están diseñados para operar las 24 horas del día, lo que garantiza una alimentación continua y constante, crucial para el desarrollo óptimo de las larvas. Los silos utilizados pueden mantener el alimento a temperaturas ajustables para preservar su calidad.

3 Cumplimiento de normativas sanitarias

Los sistemas están diseñados para cumplir con estrictas regulaciones higiénicas y sanitarias, preservando el alimento en perfectas condiciones y reduciendo el riesgo de contaminación. Esto es esencial para mantener altos niveles de bioseguridad en los hatcheries

Beneficios operativos

a. Incremento de la tasa de supervivencia. La alimentación precisa y constante reduce la mortalidad de las larvas, incrementando significativamente las tasas de supervivencia. Esto resulta en lotes más grandes y saludables de juveniles listos para la etapa de crecimiento.

b. Facilidad de mantenimiento. Los sistemas son fáciles de mantener y operar, lo que minimiza el tiempo de inactividad y garantiza un funcionamiento continuo y eficiente de los hatcheries.

Aplicación en la acuicultura

Fish Farm Feeder ofrece soluciones personalizadas para todo tipo de hatcheries, desde pequeños laboratorios hasta instalaciones industriales de gran escala. Sus sistemas de alimentación están diseñados para satisfacer las necesidades específicas de cada granja acuícola, garantizando un crecimiento eficiente y sostenible de peces y camarones en todas sus etapas de vida.

Los sistemas de alimentación Fish Farm Feeder están diseñados para satisfacer las necesidades específicas de cada granja acuícola, garantizando un crecimiento eficiente y sostenible de peces y camarones en todas sus etapas de vida.

3. Crecimiento homogéneo de los peces y camarones

La dosificación precisa y la distribución adecuada del alimento en el estanque promueven un crecimiento uniforme de los peces. En estas circunstancias, es posible prescindir de la clasificación de los peces por tamaño, aumentando el valor de la producción.

4. Menor contaminación y ahorros en filtración

La dosificación exacta del alimento reduce la contaminación del agua, disminuyendo la carga y los costos de operación y mantenimiento de los sistemas de filtración.

5. Ahorros en el consumo de oxígeno

Menos contaminación en el agua significa que los peces consumen oxígeno de manera más eficiente, con la consiguiente reducción de los costos asociados al suministro de oxígeno. La implementación de sistemas automatizados de alimentación en granjas, criaderos de peces y cama-

rones, puede resultar en significativos ahorros de costos, aumentando la rentabilidad de la producción. Estos sistemas no solo optimizan el uso de los recursos, sino que también mejoran la eficiencia operativa, reducen la mortalidad y fomentan un crecimiento más rápido y uniforme de los organismos. Además, disminuyen la contaminación del agua y los costos asociados al consumo de oxígeno y filtración, lo que contribuye a una gestión más sostenible y económica de la acuicultura.

Diversas investigaciones han demostrado que los sistemas automatizados pueden reducir los costos de alimentación hasta en un 20%, gracias a la mejora en la eficiencia del FCR y la reducción de la mano de obra necesaria. Además, las granjas que implementaron estos sistemas reportaron un retorno de inversión en menos de tres años, debido a los ahorros combinados en alimento, mano de obra y mantenimiento.

Para obtener una estimación precisa de los ahorros en su granja,

es recomendable analizar los costos actuales y proyectar los posibles ahorros. Si necesita asistencia, el equipo de Fish Farm Feeder está disponible para compartir su experiencia y ayudar en el proceso de automatización.

Este artículo es patrocinado por: FISH FARM FEEDER

Para más información sobre los sistemas de alimentación automática de Fish Farm Feeder y cómo pueden beneficiar a su operación acuícola, visite su sitio web oficial (https://www.fishfarmfeeder.com/ en/) o contacte directamente con sus representantes.

desempeñolíquido

Bioseguro,Trazable,Probado & Certificado

Dieta Líquida para el Reemplazo de Artemia

+ Mayor densidad y digestibilidad de nutrientes en sus partículas

+ Microencapsulación mejorada

+ Más tiempo en la columna de agua

Dieta Líquida Premium para Larvas

CONTIENE PROBIÓTICOS Y VPAK

• Acelera el crecimiento y acorta el tiempo total de cultivo.

• Constantemente aumenta las sobrevivencias.

• Suplementa o reemplaza a las algas en los protocolos de laboratorio.

Investigado y probado en Zeigler Aquaculture Research Center

IRTAmar® , una historia de éxito de los RAS en acuicultura

Nuestra historia se inicia en el IRTA, hace 25 años, permitiéndonos llegar a nuestra actual propuesta, integrada por IRTA e INGESOM: una Plataforma Integral de Servicios enfocados a impulsar la acuicultura mediante el uso de la tecnología RAS, centrándonos en facilitar las condiciones para generar conocimiento que, desde los centros de investigación, sea fácilmente transferible a la industria.

Por: IRTA*

Nuestra historia se inicia en el IRTA, hace 25 años, cuando teníamos que trabajar en condiciones medioambientales complejas y cambiantes. La situación de este centro de investigación, en el corazón de la Bahía del Alfacs en el Delta del Ebro, implicaba que el uso del agua de mar directamente del entorno impedía la realización de pruebas experimentales controladas. En origen, un número considerable de ensayos fracasaron y los investigadores tuvieron que realizar un esfuerzo extraordinario para adaptarse a esas condiciones, debido a la persistencia de blooms de fitoplancton tóxico y cambios térmicos.

Después de un análisis de los riesgos llegamos a la conclusión que debíamos incorporar tecnología de recirculación para garantizar los resultados y poder adaptarnos a las necesidades de los investigadores. 25 años atrás la recirculación era una tecnología emergente y muy pocos centros de investigación, por no decir casi ninguno, disponían de sistemas contrastados.

Apenas si había un par de publicaciones por año (2000-2005) y todas ellas con una base muy experimental que no informaban del sistema utilizado, y que más o menos era artesanal.

Iniciamos un proceso de ensayoerror, probamos alternativas y materiales, y tras una serie de prototipos para validar su funcionamiento con diversas especies, nacieron los sistemas de recirculación de acuicultura

(RAS, por sus siglas en inglés) en el IRTA, siendo en 1999 cuando diseñamos la primera versión de lo que posteriormente sería nuestra patente de proceso IRTAmar®, hoy marca registrada internacionalmente. Tras multitud de proyectos y evaluaciones de componentes, buscando siempre la máxima eficiencia

energética, la seguridad de los ensayos y una plasticidad total, hemos llegado a la actual Plataforma IRTAmar®

RAS inteligentes en acuicultura Nuestra actual propuesta, integrada por IRTA e INGESOM, no es un servicio de RAS convencional, sino

que la hemos transformado en una Plataforma Integral de Servicios enfocados a impulsar la acuicultura mediante el uso de la tecnología RAS, centrándonos en facilitar las condiciones para generar conocimiento que, desde los centros de investigación, sea fácilmente transferible a la industria. Especie, edad, tamaño, condiciones medioambientales y diversas situaciones de riesgo, se combinan para diseñar ensayos con peces, crustáceos y bivalvos, tanto marinos como continentales. Por lo tanto, hemos diseñado un sistema con un nivel de monitorización y control altamente eficiente y sofisticado que, soportado sobre una aplicación SCADA, se presenta en una web atractiva, funcional e interactiva, para dar respuesta a múltiples y variadas condiciones de cultivo, donde la investigación es clave y con la garantía de la adquisición de datos primarios para la certificación y trazabilidad (Figura 1). Además de controlar y monitorizar las principales variables RAS, el sistema permite controlar alimentación, iluminación, con posibilidad de disponer de cámaras que monitorizan en tiempo real el comportamiento de la población y permite añadir sondas multiparamétricas adaptadas a las necesidades de cada usuario.

Tras multitud de proyectos y evaluaciones de componentes, buscando siempre la máxima eficiencia energética, la seguridad de los ensayos y una plasticidad total, hemos llegado a la actual Plataforma IRTAmar®

Figura 2. IRTAmar® actual.

Hemos trabajado para poder garantizar que nuestros usuarios no solo accedan a las últimas innovaciones tecnológicas en sistemas RAS, sino que también puedan implementar estas mejoras de manera segura y eficiente.

El diseño experimental es una prioridad, y la seguridad en la investigación es esencial. Por ello, hemos incorporado a nuestra plataforma una formación integral en el uso de sistemas RAS. Esto permite que tanto técnicos como investigadores transformen sus propios IRTAmar® en sistemas avanzados que se adaptan y evolucionan según sus necesidades cambiantes. A pesar de estas adaptaciones, seguirán contando con nuestro apoyo y asistencia experta, además de la capacidad de integrar las mejoras que desarrollamos. Estas mejoras, tras ser evaluadas, podrán incorporarse para optimizar aún más los sistemas, como venimos haciendo desde hace 20 años con los avances en nutrición, reproducción, cultivo larvario y patología. Nos avalan 192 publicaciones científicas en los últimos 5 años (2019-2023) con un 80% en revistas de primer nivel.

Ciencia convertida en tecnología

Cuando la ciencia se convierte en tecnología, nos soluciona parte de los retos a los que nos enfrenta-

mos. Por este motivo, hemos trabajado para poder garantizar que nuestros usuarios no solo accedan a las últimas innovaciones tecnológicas en sistemas RAS, sino que también puedan implementar estas mejoras de manera segura y eficiente. La formación integral abarca aspectos teóricos y prácticos, asegurando que los técnicos e investigadores comprendan profundamente el funcionamiento y mantenimiento de los sistemas RAS. Además, proporcionamos recursos continuos y actualizaciones, permitiendo que los sistemas IRTAmar® se mantengan a la vanguardia de la investigación y producción acuícola.

Actualmente, hay unas 40 unidades IRTAmar® funcionando en nuestro centro de investigación, un sistema complejo basado en el uso de la tecnología RAS más avanzada que incluye investigadores, técnicos de mantenimiento y cultivo, diseñadores, programadores web, expertos en control y digitalización, y departamento de construcción.

Nuestro compromiso con la seguridad y la excelencia se refleja en

la capacidad de personalizar los sistemas según los requerimientos específicos de cada proyecto, sin comprometer la calidad ni la fiabilidad. Así, los usuarios pueden enfocarse en sus objetivos de investigación y desarrollo, mientras nosotros proporcionamos el soporte técnico necesario y las herramientas para el éxito. Con este enfoque colaborativo, fomentamos un entorno de innovación constante y mejora continua, asegurando que nuestros sistemas RAS no solo respondan a las necesidades actuales, sino que también estén preparados para los desafíos futuros.

Ventajas

frente a la competencia

El sistema IRTAmar® presenta varias ventajas frente a la competencia en el ámbito de la acuicultura y los RAS, como:

Personalización y Flexibilidad: los sistemas IRTAmar® pueden adaptarse y personalizarse según las necesidades específicas de cada usuario, permitiendo ajustes precisos para diferentes especies y condicio-

Figura 3. Beneficios de IRTAmar®

nes de cultivo. Esta personalización permite evolucionar los sistemas con las necesidades cambiantes de los proyectos y garantizar que se mantengan relevantes y eficientes a lo largo del tiempo.

Soporte y Asistencia Técnica

Experta: IRTAmar® ofrece un apoyo continuo por parte de expertos del IRTA e INGESOM, asegurando que los usuarios reciban asistencia técnica y consultoría para resolver problemas y optimizar sus sistemas. Este respaldo incluye la posibilidad de integrar mejoras y actualizaciones desarrolladas por nuestro equipo, manteniendo los sistemas siempre a la vanguardia.

Formación Integral: se proporciona una formación completa en el uso y mantenimiento de los RAS, tanto en aspectos teóricos como prácticos, asegurando que los técnicos e investigadores estén bien equipados para operar y mejorar sus instalaciones.

La formación incluye recursos actualizados y continuos, lo que permite a los usuarios estar siempre informados sobre las últimas innovaciones y mejores prácticas

Eficiencia y Sostenibilidad: los sistemas IRTAmar® están diseñados para maximizar la eficiencia en el uso de recursos, especialmente el agua, mediante tecnologías avanzadas de recirculación y tratamiento. El enfoque en la sostenibilidad reduce el impacto ambiental de las operaciones acuícolas y mejora la viabilidad económica a largo plazo.

Innovación Constante: la colaboración con una entidad de investigación de renombre y una empresa especializada en gestión y control de sistemas, asegura que los usuarios se beneficien de los últimos avances científicos y tecnológicos.

IRTA e INGESOM están constantemente desarrollando nuevas tecnologías y mejoras en el campo de la gestión, control y eficiencia de la acuicultura. Los usuarios de IRTAmar® podrán disponer de acceso directo a estas innovaciones mediante un sistema de suscripción anual a medida del usuario.

Control y Monitoreo Avanzado: la integración de tecnologías de monitoreo en tiempo real soportadas en una web interactiva dinámica y elegante, facilita la toma de

decisiones informadas y la rápida respuesta a cualquier cambio o problema. IRTAmar® ofrece herramientas avanzadas de monitoreo y control que permiten una gestión precisa de los parámetros ambientales críticos, asegurando condiciones óptimas para el crecimiento y la salud de los organismos acuáticos. Durante todo este tiempo, hemos sido capaces de desarrollar un sistema robusto, IRTAmar® se presenta como un sistema lleno de ventajas que radican en su capacidad de adaptación, soporte técnico experto, formación integral, eficiencia y sostenibilidad, innovación constante, y herramientas avanzadas de control y monitoreo. Estas características lo posicionan como una opción superior en comparación con otros sistemas de recirculación de acuicultura disponibles en el mercado.

Contáctanos para mayor información:

Ricard Carbó ricard.carbo@irta.cat +34 650 18 76 73 linkedin.com/in/ricard-carbó-97ab9913

Óscar Benavent oscar@ingesom.com +34 607 35 90 37 linkedin.com/in/oscarbenaventcampos

Cristóbal Aguilera cristobal.aguilera@irta.cat +34 659 31 79 58 linkedin.com/in/cristobalaguilera

Todo está ligado: océanos, montañas, acuicultura y consumo responsable

Aunque los que vivimos en las montañas tengamos la tendencia de pensar que el mar está muy lejos y que nada tiene que ver con nosotros, y viceversa, la realidad es que mientras más avanza el conocimiento, más cuenta nos damos de que la salud de unos es la salud de otros.

Por: COMEPESCA*

El cambio climático es un hecho, y la participación de los desechos de las actividades humanas en este cambio hoy es indiscutible. Si algo hemos aprendido con esta situación, es que, por inmenso que nos parezca nuestro planeta, por ilimitado que parezcan sus recursos, por lo generoso que siempre ha sido con nuestra y todas las demás especies, no es ilimitado, se daña si se abusa. Todas las especies dependemos de él, pero, sobre todo, todo está ligado.

¡Así es! Todo está ligado, aunque los que vivimos en las montañas tengamos la tendencia de pensar que el mar está muy lejos y que nada tiene que ver con nosotros, y viceversa. La realidad es que mientras más avan-

za el conocimiento, más cuenta nos damos de que la salud de unos es la salud de otros. Por ejemplo, océanos, montañas, playas y cuencas…, las aguas vertidas por los ríos ayudan a aportar nutrientes al mar fertilizándolo; a su vez, en el mar se evapora agua que al trasladarse y enfriarse, tras chocar con las montañas, cae en forma de lluvia, esencial para la vida en los bosques y selvas.

Junio es el mes de los océanos y, por supuesto, es muy importante para el 60% de la población mundial, que hoy vive en las zonas costeras, y para el 2030 se estima sea el 70%, pero… ¿y para los demás?

México es un país excepcional en muchos aspectos, inclusive, es la excepción de la tendencia mundial. Solo vive el 25% de la población en

las costas. De las 10 ciudades más pobladas, solo hay una en la costa: Tijuana (que, además, no es netamente costera).

Así, la mayoría de los mexicanos no tienen una relación directa cotidiana con los océanos. Sin embargo, su vida está ligada al mar, ya sea por la evidente comida y agua, sitios de recreo, recursos minerales y mil cosas más, que generosamente nos llegan del mar, gracias al trabajo y esfuerzo de las personas que saben cómo aprovechar sus recursos.

Un ejemplo claro de estas interacciones de gran importancia son los arrecifes de coral. Hoy, se conoce muy bien el crucial papel de los arrecifes en la estabilidad de las costas, de su protección contra huracanes y tormentas, del gran sitio

de reproducción y refugio que es para las miles de especies marinas, muchas de ellas comerciales, pero su protección y restauración pareciera un asunto local del arrecife. Nada más alejado de la realidad. Un gran enemigo de los corales es el sedimento en el agua, los ahoga, y este sedimento se ha incrementado de forma alarmante en estos últimos años… ¡proveniente de las montañas!

Efectivamente, la erosión de los suelos en las partes centrales y montañosas es desastrosa para los corales, a cientos de kilómetros de distancia. Así, se genera un círculo vicioso: menos corales es más vulnerabilidad ante tormentas y huracanes, a más tormentas más lluvias violentas en las montañas desprovistas de bosques, que, a su vez, provocan más erosión, la cual llega al mar y asfixia a los corales.

Por eso, no es exagerado decir que cualquier acción de conservación, restauración y producción regenerativa tiene un impacto significativo, tanto en el lugar donde se desarrolla como a cientos de kilómetros de ella. Y, por supuesto, la acuicultura de aguas interiores juega un papel muy importante en ello. El principal insumo para la acuicultura es justamente el agua. En ella sucede casi todo, por lo que es de gran… gran importancia para esta actividad. Los acuicultores lo que más vigilan es el aprovisionamiento del agua, su calidad, temperatura y turbidez, actuando de manera rápida ante cualquier cambio en el caudal o la calidad para corregirlo.

Lo último que necesitan los peces son sedimentos en el agua, siendo los acuicultores vigilantes y actores en la defensa del agua limpia. Por eso, la acuicultura rural es un gran aliado en el control de los residuos y sedimentos que pudieran llegar en ella, para el beneficio evidente de su propia actividad, pero también, a veces sin saberlo, para el control de la erosión que ensuelve lagos, presas, lagunas e, inclusive, el mar, protegiendo a los arrecifes a muchos kilómetros de distancia.

De esta manera, la acuicultura de aguas interiores es un aliado importante no solo para producir alimentos de alta calidad, para el bienestar económico y arraigo de miles de familias rurales, sino un aliado importante para la conservación, limpieza y restauración de los manantiales, ríos, lagos, presas y lagunas.

Todo está ligado, hasta el consumidor responsable e informado tiene mucho que ver. Cuando se compra un producto local de acuicultura, se logra que miles de familias vivan mejor; además de que los recursos sean aprovechados racionalmente, en especial, que el agua se cuide, ya que… el mar empieza en las montañas.

Este artículo es patrocinado por: COMEPESCA.

TODO ESTÁ LIGADO

OCÉANOS, MONTAÑAS, ACUACULTURA Y CONSUMO RESPONSABLE

Nos guste o no, la voluntad política es crucial para el desarrollo de la acuicultura

Australia es el sexto país más grande del mundo, con una plétora de recursos naturales, condiciones adecuadas para desarrollar especies en aguas templadas, semitropicales y tropicales; además, cuenta con una vasta extensión de terreno árido que puede aprovecharse en la acuicultura, profesionales, instituciones de investigación, y estupendos programas de intercambio académico y cooperación. En pocas palabras, Australia es un lugar idóneo para que nuestra actividad se desarrolle; sin embargo, sin voluntad política no irá a ninguna parte.

Siempre me pregunté por qué Australia no se había convertido o estaba en vías de convertirse en un gigante de la acuicultura. El evento de Aqua Farm 2024, en Surfers Paradise, me resolvió cualquier duda; simplemente la acuicultura no es una prioridad y no existe la voluntad política para que se desarrolle. Sé que esta puede considerarse una declaración bastante fuerte, pero un evento que reúne a expertos de Estados Unidos, Europa, Medio Oriente y toda Asia, apoyado por profesionales locales de altísimo renombre como Roy Palmer, y que no recibe absoluta-

mente nada de atención por las autoridades, quienes fueron invitadas a participar en repetidas ocasiones, es una señal muy clara.

Australia es el sexto país más grande del mundo, con más de 7.7 millones de kilómetros cuadrados, con una plétora de recursos naturales y que reúne las condiciones adecuadas para desarrollar especies en aguas templadas, semitropicales y tropicales. Por si fuera poco, la densidad poblacional de Australia es muy baja y cuenta con una vasta extensión de terreno árido que no está plenamente aprovechado o, mejor dicho, que puede aprovecharse de muy buena manera por la acuicultura. Además, cuenta con un importante número de profesionales e instituciones de investigación para dar servicio a la industria, y estupendos programas de intercambio académico y cooperación con las principales potencias acuícolas del orbe. En pocas palabras, Australia es un lugar idóneo para que nuestra actividad se desarrolle; sin embargo, sin voluntad política no irá a ninguna parte. En contraste, lugares con menos recursos iniciales, pero mucha más voluntad política como Chile, Ecuador, Egipto y Vietnam, han lo-

Claro que la voluntad política puede existir para que la acuicultura no solo sea un generador de riqueza, sino una herramienta indispensable para lograr la seguridad alimentaria.

grado que la acuicultura contribuya de manera muy importante para el desarrollo de su producto interno bruto. Es interesante destacar a Arabia Saudita, el cual es un ejemplo de cómo, aún en las circunstancias más adversas, se puede impulsar la acuicultura como un generador de empleos y riqueza.

Claro que la voluntad política puede existir para que la acuicultura no solo sea un generador de riqueza, sino una herramienta indispensable para lograr la seguridad alimentaria. Para eso, basta con nombrar a China, sin duda, el líder en producción acuícola a nivel mundial y en donde una tercera parte de la proteína que consumen diariamente sus más de 1,400 millones de habitantes, proviene de la acuicultura.

Como bien mencioné en mi participación en Aqua Farm, el amor se muestra con presupuesto. Hoy, la acuicultura sigue en boca de los tomadores de decisiones de un gran número de países, pero eso se ve

ALIMENTOS ACUÁTICOS

ALIMENTOS DE MASCOTAS

SUPER PREMIUM SNACKS O PREMIOS PARA MASCOTAS

reflejado muy pobremente en las asignaciones presupuestarias de la mayoría de estos. Seguiré insistiendo: “La acuicultura debe convertirse en una prioridad a nivel nacional, regional y global, ya que, siendo bien ejecutada, puede ser la forma más sostenible de producir proteína animal a nivel mundial”. Sigamos todos trabajando en reducir, cada vez más, su huella ambiental y, sin duda, muchos otros países seguirán el ejemplo que han puesto los países de la Comunidad de los Países del Golfo (GCC, por sus siglas en inglés), incluyendo a la acuicultura en sus prioridades nacionales.

* Antonio Garza de Yta es Senior Fisheries and Aquaculture Advisor para AWJ Innovation, vicepresidente del Centro Internacional de Estudios Estratégicos para la Acuacultura (CIDEEA), presidente de Acuacultura sin Fronteras (AwF), expresidente de la Sociedad Mundial de Acuacultura (WAS), exsecretario de Pesca y Acuacultura de Tamaulipas y creador de la Certificación para Profesionales en Acuacultura (CAP) junto con la Universidad de Auburn.

UN SOLO EJE (FLECHA) PARA MÚLTIPLES MERCADOS

SISTEMA DE EXTRUSIÓN DE UN SOLO EJE OPTIMIZADO FLEXIBILIDAD Y OPORTUNIDADES DE MERCADO

Optimice el retorno de su inversión de capital, con un sistema de extrusión de un solo eje Extru-Tech. Compre un solo sistema de extrusión que le entregue un costo-beneficio de manera rentable y acceda a múltiples oportunidades de mercado.

• Un sistema capaz de producir alimentos de mascotas desde económico hasta super premium con adición de carne fresca

• Alimentos acuáticos que van desde flotantes hasta alimentos hundibles para camarones

• Alimentos acuáticos desde micro pellets hasta pellets de gran tamaño

• Aprovechar las oportunidades de Treats (premios) con alto margen

• Costo de operación por tonelada, significativamente más bajo en comparación con los sistemas de la competencia

Como muestra el cuadro siguiente, un sistema de extrusión de un solo eje Extru-Tech, proporciona toda la flexibilidad y eficiencias de producción a aproximadamente la mitad del costo de los sistemas de extrusión de doble tornillo con altos costos de operación.

Solución Extru-Tech Sistemas de Extrusión Doble Tornillo

Inversión de Capital

Costos de Operación

Flexibilidad de Ingredientes

Complejidad

Costo de Operación ($/ton)

Finalmente, me gustaría terminar esta columna con una felicitación de todo corazón al nuevo presidente electo del Capítulo de AsiaPacífico de la Sociedad Mundial de Acuacultura, el Dr. Imad Patrick Saoud, quien ha sido un entusiasta de la acuicultura por muchos años y uno de los más destacados científicos que han llevado la teoría a la práctica. El Dr. Saoud se convierte en el primer representante de la región del Medio Oriente que es electo presidente del capítulo AsiaPacífico, lo cual tal vez refleja la importancia que esta actividad tiene en esta zona del mundo, y confirma lo mencionado en la columna: “La voluntad política es crucial para el desarrollo de la acuicultura”. Todo nuestro apoyo a Imad en estos próximos 3 años en los que, sin lugar a duda, será un referente de la acuicultura en la región y a nivel mundial. ¡Enhorabuena! Contacte

directorio de publicidad

ALIMENTOS BALANCEADOS

CARGILL CONTRAPORTADA

Carretera Internacional y Calle Fresno S/N Parque

Industrial No. 2

C.P. 85000 | Cd. Obregón, Sonora.

Contacto: Osvaldo Anaya / Clarissa Navarro

Tel: 644 410 6235

E-mail: clarissa_navarro@cargill.com W: www.cargill.com.mx

MEGASUPPLY

Centroamérica, EE.UU., Europa, Sudamérica, Asia y Medio Oriente

Tel: +1 305 381 0210

E-mail: orders@megasupply.net W: www.megasupply.net

23

EVENTOS Y EXPOSICIONES

AQUA 2024 BLUE FOOD / GREEN SOLUTION.... 38

Agosto 26 - 30, 2024. Copenhagen, Dinamarca. Tel: +1 760 751 5005

E-mail: worldaqua@aol.com www.was.org

AQUACULTURE AFRICA 2024

Nov. 19-22, 2024

Hammamet, Túnez

T: (+1) 760 751 5005

Fax: (+1) 760 751 5003

E: worldaqua@was.org W: www.was.org

ASIAN-PACIFIC AQUACULTURE 2024 38

Julio 2-5, 2024

NATIONAL RENDERERS ASSOCIATION, INC SEGUNDA DE FORROS

Oficina para Latinoamérica: Sierra Candela 111 Oficina 501. Lomas de Chapultepec

C.P. 11000 CDMX

Contacto: Luz María Cano

Tel: (55) 55 5980 6080

E-mail: nramex@nralatinamerica.org

VITAPRO / NICOVITA...............................................5

Av. 28 de Julio 1150, Miraflores Lima, Perú.

Contacto: María Alejandra Rivera Cárdenas

Cel: +51 996 479 973

E-mail: mriveraca@vitapro.com.pe www.vitapro.com.pe

ZEIGLER BROS, INC

400 Gardners, Station RD, Gardners, PA. 17324, EE.UU. Contacto: Susan Thompson

27

Tel: 717 677 6181

E-mail: sales@zeiglerfeed.com www.zeiglerfeed.com

ANTIBIÓTICOS, PROBIÓTICOS Y ADITIVOS PARA ALIMENTOS

MEGASUPPLY

Centroamérica, EE.UU., Europa, Sudamérica, Asia y Medio Oriente

Tel: +1 305 381 0210

E-mail: orders@megasupply.net W: www.megasupply.net

Surabaya, Indonesia

T: (+1) 760 751 5005

Fax: (+1) 760 751 5003

E: worldaqua@was.org W: www.was.org

GLOBAL TILAPIA LEADERS TERCERA DE FORROS

Junio 26-28, 2024

San Salvador, El Salvador W: http://globaltilapialeaders.com/

24-27, 2024

Medellín, Colombia

T: (+1) 760 751 5005

E: worldaqua@was.org W: www.was.org

SERVICIOS DE INFORMACIÓN

23

PRILABSA INTERNATIONAL CORP......................1

2970 W. 84 St. Bay #1, Hialeah, FL. 33018, EE.UU. Contacto: Roberto Ribas. Tel: 305 822 8201, 305 822 8211

E-mail: rribas@prilabsa.com www.prilabsa.com

COSECHADORAS, MAQUINARIA Y EQUIPO PARA FABRICACIÓN DE ALIMENTOS

EXTRUTECH 35

343 W. Hwy 24, Downs, KS 67437, EE.UU.

Contacto: Judy Long.

Tel: 785 454 3383, 785 284 2153, 52 2955 2574

E-mail: extru-techinc@extru-techinc.com, osvaldom@extru-techinc.com W: www.extru-techinc.com

EQUIPOS DE AIREACIÓN, BOMBEO, FILTROS, MOBILIARIO PARA LABORATORIO E INSTRUMENTOS DE MEDICIÓN

SUN ASIA AERATION INT´L Co., Ltd......................9 15f, 7, Ssu-wei 4 road, Ling-ya District, Kaohsiung, 82047 Táiwan R.O.C.

Contacto: Ema Ma.

Tel: 886 7537 0017, 886 7537 0016

E-mail: sales@pioneer.tw.com www.pioneer-tw.com

PANORAMA ACUÍCOLA MAGAZINE

Empresarios No. #135 Int. Piso 7 Oficina 723

Col. Puerta de Hierro, C.P.45116. Zapopan, Jal. México. Cruza con las calles Av. Paseo Royal Country y Blvrd. Puerta de Hierro

Tels: +52 (33) 8000 0578

Contacto 1: Suscripciones

E-mail: suscripciones@panoramaacuicola.com

Tel: +52 (33) 8000 0629 y (33) 8000 0653

Contacto 2: Juan Carlos Elizalde, ventas y mercadotecnia

E-mail: crm@dpinternationalinc.com www.panoramaacuicola.com

Aquaculture Magazine

Design Publications International Inc. 203 S. St. Mary’s St. Ste. 160 San Antonio, TX 78205, EE.UU.

Oficina en EE.UU: +(210) 229 9036

Oficina en EE.UU, Directo: +(210) 504 3642

Oficina en México: (+52) (33) 3632 2355

Suscripciones: iwantasubscription@dpinternationalinc.com

Publicidad: crm@dpinternationalinc.com / sse@dpinternationalinc.com www.aquaculturemag.com

próximos eventos

MAYO 2024

AQUACULTURE UK 2024

Mayo 14-15,2024

Macdonald Aviemore, Escocia

T: +44 (0)1273 063841

E: aharrison@divcom.co.uk

W: https://aquacultureuk.com/ AUSTRALIAN CONFERENCE

AQUA FARM 2024

Mayo 14-17, 2024

Gold Coast, Australia

T: +61 390163202

E: rakshith.kumar@aquacultureconference. com.au

W: https://aquacultureconference.com.au/

AQUAEXPO MANABÍ 2024

Mayo 15, 2024

Manabí, Ecuador

T: (+593) 4 268 3017 ext. 124

E: cmosquera@cna-ecuador.com

W: www.aquaexpo.com.ec/

WORLD SEAFOOD INDUSTRY

Mayo 15-17, 2024

Guadalajara, Jalisco

T: (+52) 55 7028 3335

E: infoagrotechwsi@igeco.mx

W: worldseafoodindustry.mx/ SIMPOSIO DE ACUICULTURA GUATEMALA

Mayo 22-24, 2024

La antigua Guatemala, Guatemala

Tel: (502) 5596-8781

E-mail: simposiodeacuiculturag@agexport. org.gt https://simposio.export.com.gt/

XXI SIMPOSIO INTERNACIONAL SOBRE NUTRICIÓN Y ALIMENTACIÓN DE PECES

Mayo 27-31, 2024

Puerto Vallarta, México.

T: +52 (55) 1090 2474

E: isfnf2024secretariat@gmail.com, isfnf2024sponsor@gmail.com

W: http://isfnf2024.com/

JUNIO 2024

AQUAVISION 2024

Junio 10-12, 2024

Stavanger, Noruega W: www.skretting.com/aquavision/ EXPOACUÍCOLA EL ORO 2024

Junio 11-13, 2024

Machala, Ecuador

T: 0999604204

E: nizacely@gmail.com

GLOBAL TILAPIA LEADERS

Junio 26-28, 2024

San Salvador, El Salvador

W: http://globaltilapialeaders.com/

JULIO 2024

ASIAN-PACIFIC AQUACULTURE 2024

Julio 2-5, 2024

Surabaya, Indonesia

T: (+1) 760 751 5005

Fax: (+1) 760 751 5003

E: worldaqua@was.org

W: www.was.org

AQUAEXPO EL ORO 2024

Julio 9-11, 2024

El Oro, Machala, Ecuador

T: (+593) 4 268 3017 ext. 124

E: cmosquera@cna-ecuador.com

W: www.aquaexpo.com.ec/

PROTEÍNA VIVA

Julio 25-27, 2024

Quito, Ecuador

T: (+593) 98 689 5856

W: https://conave.org/proteina-viva-2024/

AGOSTO 2024

BLUE FOOD/GREEN SOLUTIONS AQUA 2024

Ago. 26-30, 2024

Copenhagen, Dinamarca

T: (+1) 760 751 5005

Fax: (+1) 760 751 5003

E: worldaqua@was.org

W: www.was.org, www.aquaeas.org

WORLD SEAFOOD SHANGHAI EXHIBITION (SIFSE)

Ago. 28-30, 2024

Shanghai

T: +86 21 6775 9097

E: fay.lam@ite-gehua.com

W: international@sifse.com

SEPTIEMBRE 2024

SEAFOOD EXPO ASIA 2024

Sept. 4-6, 2024

Singapur

T: +1-207- 842-5504

E: info-asia@seafoodexpo.com

W: https://www.seafoodexpo.com/asia/

LATIN AMERICAN & CARIBBEAN

AQUACULTURE 2024

Sept. 24-27, 2024

Medellín, Colombia

T: (+1) 760 751 5005

Fax: (+1) 760 751 5003

E: worldaqua@was.org

W: www.was.org

OCTUBRE 2024

AGRAME

Oct. 07-08, 2024

Dubai World Trade Centre

Dubai, EAU

T: +44 (0) 7305288348

E: brent.crosbie@informa.com

W: https://informaconnect.com/agra-middle-east/

AQUAEXPO GUAYAQUIL 2024

Oct. 21-24, 2024

Guayaquil, Ecuador

T: (+593) 4 268 3017 ext. 124

E: cmosquera@cna-ecuador.com

W: www.aquaexpo.com.ec/

SEAFOOD SHOW LATINAMERICA

Oct. 22-24, 2024

Distrito Anhembi, Sao Paulo, Brasil

T: (11) 2226-3100

E: cs@francal.com.br

W: https://seafoodshow.com.br/

CHINA FISHERIES & SEAFOOD EXPO

Oct. 30-Nov. 1, 2024

Beijing 100022, China

T: +86 10 58672620

E: info@seafarechina.com

W: https://chinaseafoodexpo.com/

Turn static files into dynamic content formats.

Create a flipbook
Issuu converts static files into: digital portfolios, online yearbooks, online catalogs, digital photo albums and more. Sign up and create your flipbook.