178th CFMC Regular Meeting Documents (April 19-20,2022)

Page 1


segment type called ‘‘AISL-Annual Inquiry Service List.’’ 11 As mentioned in the Procedural Guidance, beginning in January 2022, Commerce will update these annual inquiry service lists on an annual basis when the Opportunity Notice for the anniversary month of the order or suspended investigation is published in the Federal Register. 12 Accordingly, Commerce will update the annual inquiry service lists for the above-listed antidumping and countervailing duty proceedings. All interested parties wishing to appear on the updated annual inquiry service list must take one of the two following actions: (1) New interested parties who did not previously submit an entry of appearance must submit a new entry of appearance at this time; (2) Interested parties who were included in the preceding annual inquiry service list must submit an amended entry of appearance to be included in the next year’s annual inquiry service list. For these interested parties, Commerce will change the entry of appearance status from ‘‘Active’’ to ‘‘Needs Amendment’’ for the annual inquiry service lists corresponding to the above-listed proceedings. This will allow those interested parties to make any necessary amendments and resubmit their entries of appearance. If no amendments need to be made, the interested party should indicate in the area on the ACCESS form requesting an explanation for the amendment that it is resubmitting its entry of appearance for inclusion in the annual inquiry service list for the following year. As mentioned in the Final Rule,13 once the petitioners and foreign governments have submitted an entry of appearance for the first time, they will automatically be added to the updated annual inquiry service list each year.

Interested parties have 30 days after the date of this notice to submit new or amended entries of appearance. Commerce will then finalize the annual inquiry service lists five business days thereafter. For ease of administration, please note that Commerce requests that

11 This segment has been combined with the ACCESS Segment Specific Information (SSI) field which will display the month in which the notice of the order or suspended investigation was published in the Federal Register, also known as the anniversary month. For example, for an order under case number A–000–000 that was published in the Federal Register in January, the relevant segment and SSI combination will appear in ACCESS as ‘‘AISL-January Anniversary.’’ Note that there will be only one annual inquiry service list segment per case number, and the anniversary month will be pre-populated in ACCESS.

12 See Procedural Guidance, 86 FR at 53206.

law firms with more than one attorney representing interested parties in a proceeding designate a lead attorney to be included on the annual inquiry service list.

Commerce may update an annual inquiry service list at any time as needed based on interested parties’ amendments to their entries of appearance to remove or otherwise modify their list of members and representatives, or to update contact information. Any changes or announcements pertaining to these procedures will be posted to the ACCESS website at https:// access.trade.gov.

Special Instructions for Petitioners and Foreign Governments

In the Final Rule, Commerce stated that, ‘‘after an initial request and placement on the annual inquiry service list, both petitioners and foreign governments will automatically be placed on the annual inquiry service list in the years that follow.’’ 14 Accordingly, as stated above and pursuant to 19 CFR 351.225(n)(3), the petitioners and foreign governments will not need to resubmit their entries of appearance each year to continue to be included on the annual inquiry service list. However, the petitioners and foreign governments are responsible for making amendments to their entries of appearance during the annual update to the annual inquiry service list in accordance with the procedures described above.

This notice is not required by statute but is published as a service to the international trading community.

Dated: March 25, 2022.

James Maeder,

Deputy Assistant Secretary for Antidumping and Countervailing Duty Operations.

[FR Doc. 2022–06925 Filed 3–31–22; 8:45 am]

BILLING CODE 3510–DS–P

DEPARTMENT OF COMMERCE

National Oceanic and Atmospheric Administration

[RTID 0648–XB909]

Caribbean Fishery Management Council; Public Meeting

AGENCY: National Marine Fisheries Service (NMFS), National Oceanic and Atmospheric Administration (NOAA), Commerce.

ACTION: Notice of public meeting (inperson/virtual hybrid).

13 See Final Rule, 86 FR at 52335. 14 Id.

SUMMARY: The Caribbean Fishery Management Council (CFMC) will hold the 178th public hybrid meeting to address the items contained in the tentative agenda included in the SUPPLEMENTARYINFORMATION

DATES: The 178th CFMC public hybrid meeting will be held on April 19, 2022, from 9 a.m. to 4:45 p.m., and on April 20, 2022, from 9 a.m. to 4 p.m. AST.

ADDRESSES:

Meeting address: The meeting will be held at the Courtyard by Marriott Isla Verde Beach Resort, 7012 Boca de Cangrejos Avenue, Carolina, Puerto Rico 00979.

You may join the 178th CFMC public hybrid meeting via Zoom, from a computer, tablet or smartphone by entering the following address: Join Zoom Meeting: https://us02web.zoom.us/j/ 83060685915?pwd=VmVsc1orSUtKck8x Yk1XOXNDY1ErZz09

Meeting ID: 830 6068 5915.

Passcode: 995658.

One tap mobile:

+17879451488,,83060685915#,,,,,,0#,, 995658# Puerto Rico

+17879667727,,83060685915#,,,,,,0#,, 995658# Puerto Rico

Dial by your location:

+1 787 945 1488 Puerto Rico

+1 787 966 7727 Puerto Rico

+1 939 945 0244 Puerto Rico

Meeting ID: 830 6068 5915. Passcode: 995658.

In case there are problems and we cannot reconnect via Zoom, the meeting will continue using GoToMeeting.

You can join the meeting from your computer, tablet or smartphone. https:// global.gotomeeting.com/join/ 971749317. You can also dial in using your phone. United States: +1 (408) 650–3123 Access Code: 971–749–317.

FORFURTHERINFORMATIONCONTACT:

Miguel A. Rolo ´ n, Executive Director, Caribbean Fishery Management Council, 270 Munoz Rivera Avenue, Suite 401, San Juan, Puerto Rico 00918–1903, telephone: (787) 398–3717.

SUPPLEMENTARYINFORMATION: The following items included in the tentative agenda will be discussed: April 19, 2022

9 a.m.–9:45 a.m.

—Call to Order

—Roll Call

—Adoption of Agenda

—Consideration of 176th and 177th Council Meetings Verbatim Transcriptions

—Executive Director’s Report

9:45 a.m.–10 a.m.

—Outcomes of the Moored Fishery Aggregating Devices (FAD) Working Group Meeting—Rachel O’Malley, Office of International Affairs, Tray and Commerce, NOAA

10 a.m.–10:45 a.m.

—Island-Based Fishery Management Plans (IBFMP) and Amendments Update—Marı´a Lo ´ pez-Mercer, Sarah Stephenson, SERO/NOAA Fisheries

—IBFMP Implementation Update

—Spiny Lobster Amendment Status Update

—Spiny Lobster Overfishing Limit/ Acceptable Biological Catch Update and Council’s Request to NOAA Fisheries

—Gear Amendment: Modification to Buoy Gear Status Update

10:45 a.m.–11 a.m.

—Break

11 a.m.–12 p.m.

—Potential Actions for IBFMP Amendments—Marı´a Lo ´ pez-Mercer, Sarah Stephenson, NOAA Fisheries

—Trawling and Other Net Gear— Options Paper

—Pelagic Species Management Measures—White Paper

12 p.m.–1 p.m.

—Lunch Break

1 p.m.–1:30 p.m.

—Ecosystem-Based Fishery Management Technical Advisory Panel Report—Sennai Habtes, Chair

1:30 p.m.–2 p.m.

—Scientific and Statistical Committee Report—Richard Appeldoorn, Chair

2 p.m.–2:30 p.m.

—Southeast Fishery Science Center Updates—Kevin McCarthy, SEFSC

2:30 p.m.–3:15 p.m.

—District Advisory Panel Chairs Report on March 2022 Meetings (15 minutes each)

—St. Thomas/St. John—Julian Magras, Chair

—St. Croix—Edward Schuster, Chair —Puerto Rico—Nelson Crespo, Chair

3:15 p.m.–3:30 p.m.

—Identifying Critical Habitats of Juvenile Nassau Grouper in Puerto Rico—Chelsea Harms-Touhy

3:30 p.m.–3:45 p.m.

—Break

3:45 p.m.–4:30 p.m.

—Dolphin Fish Studies on Fish Aggregation Devices—Wessley Merten

4:30 p.m.

—Adjourn for the day

4:45 p.m.

—Closed Session

April 20, 2022

9 a.m.–9:30 a.m.

—Understanding Essential Fish Habitat of Queen and Cardinal Snappers and Associated Fish Communities of the Deep-Water Snapper Fishery: From Fishers’ Knowledge to Scientific Language—Jorge Garcı´a-Sais

9:30 a.m.–10 a.m.

—Characterization of Prey Diversity of the Commercially-Important Queen Snapper (Cartucho) Etelis oculatus— Stacey Williams/Diana Beltran

10 a.m.–10:15 a.m.

—Break

10:15 a.m.–10:45 a.m.

—Microplastics in the Caribbean Study—Dalila Aldana

10:45 a.m.–11:30 a.m.

—Outreach and Education Report— Alida Ortiz

—Social Media Report—Cristina Ola ´ n

11:30 a.m.–12 p.m.

—Liaison Officers Reports (10 minutes each)

—St. Croix—Mavel Maldonado

—St. Thomas/St. John—Nicole Greaux

—Puerto Rico—Wilson Santiago

12 p.m.–1 p.m.

—Lunch Break

1 p.m.–1:15 p.m.

—Recreational Fisheries Summit— Marcos Hanke/Carlos Farchette

1:15 p.m.–1:45 p.m.

—Fisher-Scientist Concepts—Marcos Hanke

1:45 p.m.–2:45 p.m.

—Enforcement Reports (15-minutes each):

—Puerto Rico—Department of Natural and Environmental Resources

—USVI—Department of Planning and Natural Resources

—U.S. Coast Guard

—NOAA Fisheries Office of Law Enforcement

2:45 p.m.–3 p.m.

—Break

3 p.m.–3:30 p.m.

—Other Business

3:30 p.m.–4 p.m.

—Public Comment Period (5-minute presentations)

—Next Meeting

Note (1): Other than starting time and dates of the meetings, the established times for addressing items on the agenda may be adjusted as necessary to accommodate the timely completion of discussion relevant to the agenda items. To further accommodate discussion and completion of all items on the agenda, the meeting may be extended from, or completed prior to the date established in this notice. Changes in the agenda will be posted to the CFMC website, Facebook, Twitter and Instagram as practicable.

Note (2): Financial disclosure forms are available for inspection at this meeting, as per 50 CFR part 601.

The order of business may be adjusted as necessary to accommodate the completion of agenda items. The meeting will begin on April 19, 2022, at 9 a.m. AST, and will end on April 20, 2022 at 4 p.m. AST. Other than the start time on the first day of the meeting, interested parties should be aware that discussions may start earlier or later than indicated in the agenda, at the discretion of the Chair.

Special Accommodations

Simultaneous interpretation will be provided. For simultaneous interpretation English-Spanish-English follow your Zoom screen instructions. You will be asked which language you prefer when you join the meeting.

For any additional information on this public virtual meeting, please contact Diana Martino, Caribbean Fishery Management Council, 270 Mun ˜ oz Rivera Avenue, Suite 401, San Juan, Puerto Rico, 00918–1903, telephone: (787) 226–8849.

Authority: 16 U.S.C. 1801 et seq.

Dated: March 28, 2022.

Tracey L. Thompson, Acting Deputy Director, Office of Sustainable Fisheries, National Marine Fisheries Service. [FR Doc. 2022–06840 Filed 3–31–22; 8:45 am] BILLING CODE 3510–22–P

DEPARTMENT OF COMMERCE

National Oceanic and Atmospheric Administration

[RTID 0648–XB907]

Permanent Advisory Committee To Advise the U.S. Commissioners to the Western and Central Pacific Fisheries Commission; Meeting Announcement

AGENCY: National Marine Fisheries Service (NMFS), National Oceanic and Atmospheric Administration (NOAA), Commerce.

Understanding Essential Fish Habitat (EFH) of Queen and Cardinal Snappers and Associated Fish Communities of the Deep-Water Snapper Fishery: From Fishers’ Knowledge to Scientific Language

Jorge R. Garcia-Sais

CFMC – 178th Meeting

April 20, 2022 Carolina, PR.

Study Objectives

1) Document the deep-water snapper fishery from on-site surveys with commercial fishermen.

2) Characterize (via oceanographic instrumentation/video) the benthic habitat and oceanographic features of specific fishing sites

3) Share with fishermen scientific data and knowledge of the water mass and benthic habitat that sustain deep snapper populations at their fishing marks with emphasis on the queen and cardinal snappers (Etelis oculatus, Pristipomoides macrophthalmus)

4) Produce an inventory of the fish species associated with this deep-water fishery (200 – 400m), including non-marketable fish and document depth and habitat information

5) Describe the spatial/depth distribution of the commercial fishing grounds and the targeted species.

6) Evaluate the genetic connectivity of queen snapper between the PR and USVI populations

Methods

Sail out with commercial fishermen to obtain oceanographic data and real-time deep-snapper fishery statistics at their fishing grounds

Obtain catch and fishing effort data, including information on fishing gear, number of gear drops, geographic coordinates, depth, fish species caught, size, weight, gonadal condition, and any food item present aside from bait

Perform series of CTD deployments to obtain full profiles (water temperature, salinity, density, depth) of the water column at the fishing marks

Deploy a camera (Go-pro with 1,000m proof housing) with programmable lights to survey the benthic habitat at the fishing mark

Obtain queen snapper tissue samples and otoliths from 10 fish individuals/fishermen x 10 fishermen (goal: 100 fish samples) to run DNA analyses for determination of genetic connectivity between PR and USVI populations

Caribbean

Mixed Surface Water (0 – 70m)

Subtropical Underwater (70 – 200m)

Sargasso Sea Water (200 – 500m)

Source: Michael and Foyo (1976)

Sub Antarctic Intermediate Water (500 – 1,000m)

North-Atlantic Deep Water (>1,000m)NACW

Source: Seijo-Ellis et al., 2019)

Euphasids (krill)

Potential Sources of Productivity sustaining deep-water fish populations in the 200 – 400m depth range

1- Sedimentation of organic matter with microbial loops from SML

2- Advective transport of organic matter and zooplankton and fishes from STU and SSW masses

3- Zooplankton/micronekton vertical migrations to the chl-a max. and back to the SSW mass

4- infaunal/epifaunal benthic invertebrates living off the seafloor organic matter (incl. demersal zooplankton, equinoderms, crustaceans)

5- local zooplankton/ichthyoplankton

Surface area covered by depth contours (0 - 400m depth range)

PR and USVI source: PR coastal digital elevation model (www.ncei.noaa.gov)

Percent annual fish landings by habitat types (means: 2015-2017) - PR and USVI

Summary of commercial deep-sea catch statistics

Fishermen:Luis A. Roman, Jorge Gonzalez, Rodolfo Abrahams

The fish community at the fishing marks…

Preliminary Conclusions

1) Deep-water snapper fishery in the 200-400m depth range associated with SSW mass

2) Water column physical/biological properties relatively stable and dominated by strong permanent stratification and oligotrophic conditions

3) Productivity appears to be strongly based on a plankton food web, but also with an important benthic component associated with reef biota including corals

4) we suggest that zooplankton/micronekton patchiness may be a key factor influencing the productivity, seasonality, and spatial distribution of queen snapper and other top predator populations in the SSW mass (inverted pyramid concept)

Higher percentages of deep-sea demersal fish landings in PR relative to USVI influenced with larger habitat area in the 200-400m depth range (among other things…)

Characterization of Prey Diversity of the Commercially-Important Queen Snapper (Cartucho), Etelis oculatus

Stacey M. Williams, Carlos Prada, Diana M. Beltrán

Queen snapper (cartucho)

Queen snapper fishery is becoming an increasingly important fishery

What do we know

• Extensive distribution-North Carolina to Brazil

• Depth distribution from 130 m to 539 m

• Assumed an ontogenetic relationship with depth

• Juveniles spotted < 30m (Appledoorn et al. 1987)

• Spawn throughout the year

• Peaks during October and November (Rosario et al. 2006)

• Females mature at 23 cm and males at 31 cm

• Queen snappers are associated with areas of high topographical relief and substrate discontinuities

What we do not know

• Life history, habitats preference, prey?

Goal Characterize the diet of the queen snappers, Etelis oculatus.

Objectives

• Summarize the demographic information of the queen snappers collected.

• Characterized and quantified the diversity in preys between sexes, size and locations of the queen snappers.

Results

• Total 157 queens from November 2019 to July 2020

• Seven different locations

• Depths 256 m at Bajo Medio to 402 m at Site 3

• Total of fish caught varied greatly between location and sampling time

Sampling

Size

Standard: 442.73 ± 11.53 mm

Fork: 472.06 ± 11.90 mm

Total: 595.34 ± 15.24 mm

Fork ranging: 220 mm to 808mm

Weight

Gonads

110 gonads sexed

• 69% males

• 31% females

Females had slightly a greater average fork length than males

Gonadosomatic Index (GSI)

What does Cartucho

eat? Prey Diversity of the Commercially-Important Queen

Snapper (Etelis oculatus)

Two approaches to identify preys

We received the stomachs of E. oculatus frozen from Puerto Rico

• 146 of collected stomachs

Regurgitation of gut contents due to rapid decompression remains a problem

• Out of the 146 of collected stomachs, 35 had undigested items (24% of the captures). First approach.

• We processed 107 stomachs for metabarcoding, as 39 of them were fully empty. Second approach.

Undigested items were removed intact and preserved frozen

First approach: Individual preys

Each prey pieces

PCR reaction using COI

DNA Sequencing and Data

Blast using Geneious software and the NCBI

Seven invertebrates species (2 arthropods, 4 mollusks, and 1 isopod) and 16 fish species were found within those undigested items.

cation of some prey items was difficult in some samples because of co-amplification of the COI marker with the queen snapper’s DNA.

The issue persisted even after we washed the sample multiple times and used blocking primers. We often got unreadable chromatograms, resulting from coamplification of multiple DNA templates.

Invertebrates and vertebrates are part of the queen snapper's diet

Abralia veranyi
Mid water squid
Oplophorus gracilirostris
Deep sea shrimp
Myctophum selenops Wisner's lantern fish
Coccorella atlantica Atlantic sabretooth
Diaphus dumerilii
Systellaspis debilis

Second approach: Metabarcoding using digested liquid/content

If the stomach came empty: Without any prey fragment

We recovered the digested content in the stomach and intestines

Homogenized all the digested material

DNA Extractions per triplicate per sample

Library preparation Next-Generation Sequencing Illumina MiSeq

PCR reaction using 12S triplicate per sample DADA2 processing of the Amplicons Sequence Variance (ASVs)

We obtained metabarcoding data from 89 out of 107 stomachs samples (83%).

We found 43 fish species (potential preys) present in queen snapper stomachs.

Many fish species compose the queen snapper’s diet

Samples ID

ish species are common in the queen snapper’s stomachs

43 prey species present in the queen snapper

Myctophiformes and Stomiiformes are the most common orders

Mychtophiformes Stomiiformes Scombriformes

Aulopiformes Anguilliformes Gadiformes

Carangiformes Argentiniformes Beryciformes

Caproiformes Acanthuriformes Pempheriformes

Acromomatiformes Clupeiformes

• Scombriformes are used as baits. Six families have been reported by fishermen, yet we found nine of families

Transfer of energy to dermersal areas through mesopelagic and bathypelagic preys due to fish vertical migrations

Mesopelagic

Mesopelagic -Bathypelagic

Bathypelagic-Benthal

Mesopelagic-Benthal

Reef-associated

Prey vs location

Pichincho

46 prey species

Sigmops elongatus

Diaphus brachycephalus

Lepidophanes guentheri

Myctophum nitidulum

Hypogeum benoiti

Bonapartia pedaliota

Astronesthes atlanticus

Diaphus dumerilii

Ichthyococcus ovatus

Scomberomorus cavalla

Ichthyococcus polli

Howella brodiei

Elagatis bipinnulata

Diaphus splendidus

Systellaspis debilis

Pomatomus saltatrix

Oplophorus gracilirostris

Opisthonema oglinum

Notolychnus valdiviae

Kali macrodon

Euthynnus alletteratus

Diaphus mollis

Centropyge aurantonotus

Centrobranchus nigroocellatus

Benthodesmus tenuis

Urophycis floridana

Thunnus obesus

Stomias affinis

Sphyraenops bairdianus

Scopelarchus analis

Scopelarchoides danae

Scombrolabrax heterolepis

Omosudis lowii

Myctophum selenops

Myctophum obtusirostre

Monacoa grimaldii

Hygophum reinhardtii

Gymnothorax saxicola

Gonostoma elongatum

Gephyroberyx darwinii

Euprymna albatrossae

Diaphus sp. CBM:ZF:14790

Derichthys serpentinus

Cyclothone pallida

Coryphaena equiselis

Coccorella atlantica

Chauliodus sloani

Argyropelecus aculeatus

Antigonia combatia

Anguilla rostrata

Abralia redfieldi

Elongated bristlemouth fish

Short-head lanternfish

Günther’s lanternfish

Pichincho

Prey vs Size

203-508 mm- 40 species

Short-head lanternfish (D. brachycephalus)

508-1016 mm fork- 39 species

Longray fangjaw (B. pedaliota)

Pearly lanternfish (Myctophum nitidulum)

Dumeril’s lanternfish (D. dumerilii)

Elongated Bristlemouth (S. elongatus)

Benoit’s lanternfish (H. benoiti)

Conclusions

• Strong weight-fork length relationship

• Power parameter was 2.80 (similar to Rosario et al. 2006)

• Queen snapper exhibits isometric growth

• Queens may also spawn in July (October and November)

• Supports anecdotal accounts by fishers

• Metabarcoding is an effective approach to identify stomach contents of deep-water fish

• A total of 61 species belonging to 18 orders, 38 genera and 31 families were observed in the stomach contents

Conclusions

• Queens are large carnivore, which feeds on squid, shrimp and deep-water fishes

• E. coruscans and E. carbunculus

• E. oculatus is feeding mainly on mesopelagic fishes, mostly Myctophidae, that likely inhabit the mesopelagic boundary

• Queens maybe the key link between shallow highly productive environments and demersal mostly unproductive areas

• Prey composition may vary between locations, sex and age

• Essential to incorporate fishers in any future queen snapper research

Thanks

Luis Roman and Nelson Crespo

Graciela Garcia, Noemi Pena, Orian Tzadik, Wilson Santiago

Virginia Shervette

Braulio Quintero, Katie Flynn,

Fernando Melendez Vazquez, Manuel Nieves, Leysa Lopez

Gonzalez, and Maria del Pilar

Gonzalez Garcia, Juliane Mora

Helfman

Myctophidae and stomiidae are the most common families

Characterization of Prey Diversity of the Commercially-Important Queen Snapper (Cartucho), Etelis oculatus

Stacey M. Williams, Carlos Prada, Diana M. Beltrán

Queen snapper (cartucho)

Queen snapper fishery is becoming an increasingly important fishery

What do we know

• Extensive distribution-North Carolina to Brazil

• Depth distribution from 130 m to 539 m

• Assumed an ontogenetic relationship with depth

• Juveniles spotted < 30m (Appledoorn et al. 1987)

• Spawn throughout the year

• Peaks during October and November (Rosario et al. 2006)

• Females mature at 23 cm and males at 31 cm

• Queen snappers are associated with areas of high topographical relief and substrate discontinuities

What we do not know

• Life history, habitats preference, prey?

Goal Characterize the diet of the queen snappers, Etelis oculatus.

Objectives

• Summarize the demographic information of the queen snappers collected.

• Characterized and quantified the diversity in preys between sexes, size and locations of the queen snappers.

Results

• Total 157 queens from November 2019 to July 2020

• Seven different locations

• Depths 256 m at Bajo Medio to 402 m at Site 3

• Total of fish caught varied greatly between location and sampling time

Sampling

Size

Standard: 442.73 ± 11.53 mm

Fork: 472.06 ± 11.90 mm

Total: 595.34 ± 15.24 mm

Fork ranging: 220 mm to 808mm

Weight

Gonads

110 gonads sexed

• 69% males

• 31% females

Females had slightly a greater average fork length than males

Gonadosomatic Index (GSI)

What does Cartucho

eat? Prey Diversity of the Commercially-Important Queen

Snapper (Etelis oculatus)

Two approaches to identify preys

We received the stomachs of E. oculatus frozen from Puerto Rico

• 146 of collected stomachs

shtory.co

Regurgitation of gut contents due to rapid decompression remains a problem

• Out of the 146 of collected stomachs, 35 had undigested items (24% of the captures). First approach.

• We processed 107 stomachs for metabarcoding, as 39 of them were fully empty. Second approach.

Undigested items were removed intact and preserved frozen

First approach: Individual preys

Each prey pieces

PCR reaction using COI

DNA Sequencing and Data

Blast using Geneious software and the NCBI

cation of some prey items was di cult in some samples because of co-ampli cation of the COI marker with the queen snapper’s DNA.

The issue persisted even after we washed the sample multiple times and used blocking primers. We often got unreadable chromatograms, resulting from coampli cation of multiple DNA templates.

Seven invertebrates species (2 arthropods, 4 mollusks, and 1 isopod) and 16 sh species were found within those undigested items.

Invertebrates and vertebrates are part of the queen

* Bait species were identi ed with a red asterisk

snapper's diet

Abralia veranyi
Mid water squid
Oplophorus gracilirostris
Deep sea shrimp
Myctophum selenops
Wisner's lantern sh
Coccorella atlantica
Atlantic sabretooth
Diaphus dumerilii
Systellaspis debilis
Gonostoma elongatum

Second approach: Metabarcoding using digested liquid/content

If the stomach came empty: Without any prey fragment

We recovered the digested content in the stomach and intestines

Homogenized all the digested material

DNA Extractions per triplicate per sample

PCR reaction using 12S triplicate per sample

Library preparation Next-Generation Sequencing Illumina MiSeq

We obtained metabarcoding data from 89 out of 107 stomachs samples (83%).

DADA2 processing of the Amplicons Sequence Variance (ASVs)

We found 43 sh species (potential preys) present in queen snapper stomachs. Representing 37 genera and 24 prey families .

Species

Many fish species compose the queen snapper’s diet

Samples ID

ish species are common in the queen snapper’s stomachs

43 prey species present in the queen snapper

Myctophiformes and Stomiiformes are the most common orders

Mychtophiformes Stomiiformes Scombriformes

Aulopiformes Anguilliformes Gadiformes

Carangiformes Argentiniformes Beryciformes

Caproiformes Acanthuriformes Pempheriformes

Acromomatiformes Clupeiformes

• Scombriformes are used as baits. Six families have been reported by shermen, yet we found nine of families

Transfer of energy to dermersal areas through mesopelagic and bathypelagic preys due to fish vertical migrations

Mesopelagic

Mesopelagic -Bathypelagic

Bathypelagic-Benthal

Mesopelagic-Benthal

Reef-associated

Transfer of energy to dermersal areas through mesopelagic and bathypelagic preys due to fish vertical migrations

``Deep scatering layer” -
Andrews1,2

Prey vs location

Pichincho

46 prey species

Sigmops elongatus

Diaphus brachycephalus

Lepidophanes guentheri

Myctophum nitidulum

Hypogeum benoiti

Bonapartia pedaliota

Astronesthes atlanticus

Diaphus dumerilii

Ichthyococcus ovatus

Scomberomorus cavalla

Ichthyococcus polli

Howella brodiei

Elagatis bipinnulata

Diaphus splendidus

Systellaspis debilis

Pomatomus saltatrix

Oplophorus gracilirostris

Opisthonema oglinum

Notolychnus valdiviae

Kali macrodon

Euthynnus alletteratus

Diaphus mollis

Centropyge aurantonotus

Centrobranchus nigroocellatus

Benthodesmus tenuis

Urophycis floridana

Thunnus obesus

Stomias affinis

Sphyraenops bairdianus

Scopelarchus analis

Scopelarchoides danae

Scombrolabrax heterolepis

Omosudis lowii

Myctophum selenops

Myctophum obtusirostre

Monacoa grimaldii

Hygophum reinhardtii

Gymnothorax saxicola

Gonostoma elongatum

Gephyroberyx darwinii

Euprymna albatrossae

Diaphus sp. CBM:ZF:14790

Derichthys serpentinus

Cyclothone pallida

Coryphaena equiselis

Coccorella atlantica

Chauliodus sloani

Argyropelecus aculeatus

Antigonia combatia

Anguilla rostrata

Abralia redfieldi

Elongated bristlemouth fish

Short-head lanternfish

Günther’s lanternfish

Pichincho

Prey vs Size

203-508 mm- 40 species

Short-head lanternfish (D. brachycephalus)

508-1016 mm fork- 39 species

Longray fangjaw (B. pedaliota)

Pearly lanternfish (Myctophum nitidulum)

Dumeril’s lanternfish (D. dumerilii)

Elongated Bristlemouth (S. elongatus)

Benoit’s lanternfish (H. benoiti)

Conclusions

• Strong weight-fork length relationship

• Power parameter was 2.80 (similar to Rosario et al. 2006)

• Queen snapper exhibits isometric growth

• Queens may also spawn in July (October and November)

• Supports anecdotal accounts by fishers

• Metabarcoding is an effective approach to identify stomach contents of deep-water fish

• A total of 61 species belonging to 18 orders, 38 genera and 31 families were observed in the stomach contents

Conclusions

• Queens are large carnivore, which feeds on squid, shrimp and deep-water fishes

• E. coruscans and E. carbunculus

• E. oculatus is feeding mainly on mesopelagic fishes, mostly Myctophidae, that likely inhabit the mesopelagic boundary

• Queens maybe the key link between shallow highly productive environments and demersal mostly unproductive areas

• Prey composition may vary between locations, sex and age

• Essential to incorporate fishers in any future queen snapper research

Thanks

Luis Roman and Nelson Crespo

Graciela Garcia, Noemi Pena, Orian Tzadik, Wilson Santiago

Virginia Shervette

Braulio Quintero, Katie Flynn,

Fernando Melendez Vazquez, Manuel Nieves, Leysa Lopez

Gonzalez, and Maria del Pilar

Gonzalez Garcia, Juliane Mora

Myctophidae and stomiidae are the most common families

families

Helfman

CFMC SOCIAL MEDIA UPDATE

Cristina D. Olán Martínez

SOCIAL MEDIA PAGES

YouTube

91 Followers

323 Subscribers

CONTENT

• Seasonal closures (people share the most)

• Meetings and workshops

• Educational materials

• Videos

• Content produced by other organizations and agencies (local and federal)

• CFMC Monthly Bulletin

INBOX / DIRECT MESSAGES

Fish ID Documents Regulations

Workshops

Fishing license

CFMC

MONTHLY BULLETIN

REPASO DE PEPCO

COOKING WITH ITA AND TA

JJ FISHING ADVENTURES

WHATSAPP

THANKS TO ALL OUR COLLABORATORS! QUESTIONS?

PUERTO RICO FISHERIES LIAISON

CFMC 178th Regular Meeting

April 19 - 20 2022

Wilson G. Santiago Soler

2022 Liaison Participation

■ Give educational program for commercial fishers (PEPCO)

■ Support Cristina Olán with post at CFMC social media for the “Repaso de PEPCO”

■ Participate in MREP committee meetings for August 2022 fishers workshop in Puerto Rico

■ Send weekly educational posts via WhatsApp

■ Support fishers with issues and information of DNER State and Federal Closures

■ Give educational materials for the fishers and fishing communities

■ Give recreational fishers educational program (PEPR) virtual

Educational Program for Commercial Fishers (PEPCO) in Puerto Rico

■ March 23, 2022, 1st workshop face-to-face after COVID – 19 pandemic

■ 3 hours of different topics including a presentation by Janette Ramos (Sea Grant Program)

■ We have a participation of 17 fishers

■ For all the participants that completed the program we gave them a certificate of completion. (Thanks to DNER, CFMC, Sea Grant)

■ Next workshop is in April 27 in Aguada

Educational Program for Recreational Salt Water Fishers

■ 2022 1st virtual workshop was in March 31, 2022

■ Topics were Laws, Regulations, marine species and areas managements in state and federal waters for recreational fishers

■ Thanks to Helena Antoun and Cristina Olán for their support in the workshop.

Puerto Rico Marine Protected Areas (MPA’s) State Jurisdiction

■ A total of 44 MPA’s are managed by the DNER in Puerto Rico.

■ DNER has an interactive map of all marine protected areas at this site: drna.pr.gov/explora/anp

■ In this site we can find managements plans, designations, investigations, permissions and other documents regarding all the protected areas in Puerto Rico. DNER is updating this website continuously.

Puerto Rico State and Federal MPA’s

Credit: usda.gov

1. Reserva Marina Tres Palmas (Rincón)

2. Reserva Marina Agua de Desecheo

3. Reserva Natural Isla de Mona y Monito

4. Reserva Natural Arrecifes de Torumaline

5. Reserva Natural Caño La Boquilla

6. Reserva Natural Laguna de Joyuda

7. Reserva Natural Finca Belvedere

8. Refugio Iris Alameda Boquerón

9. Bosque Estatal de Boquerón

10. Reserva Natural La Parguera

11. Reserva Natural Punta Cuchara (Ponce)

12. Reserva Natural Caja de Muertos

13. Reserva Natural Punta Petrona (Santa Isabel)

14. Reserva de Investigación Estuarina Bahía de Jobos (Guayama y Salinas)

15. Bosque Estatal de Aguirre (Salinas)

16. Reserva Natural Arrecifes de Guayama

17. Reserva Natural Humedal Punta Viento (Patillas)

18. Reserva Natural Punta Tuna (Maunabo)

19. Bosque Estatal de Ceiba

20. Reserva Natural Bahía Bioluminiscente de Vieques

21. Área Natural Protegida Punta Soldado (Culebras)

22. Reserva Natural Cana Luis Peña (Culebras)

23. Reserva Natural Arrecifes de la Cordillera (Fajardo)

24. Reserva Natural Corredor Ecológico del noreste (Entre Luquillo y Fajardo)

25. Reserva Natural Rio Espiritu Santo Rio Grande)

26. Bosque Estatal de Piñones (Entre Carolina y Loiza)

27. Reserva Marina Arrecifes de Isla Verde (Carolina)

28. Reserva Natural Estuaruina Laguna del Condado

29. Reserva Natural Caño Martin Peña

30. Reserva Natural Cienaga Las Cucharillas (Cataño)

31. Reserva Natural Pantano Cibuco (Vega Baja)

32. Reserva Natural Laguna Tortuguero Manati y Vega Baja)

33. Reserva Natural Cueva del Indio

34. Reserva Natural Caño Tiburones

35. Reserva Natural Finca Nolla (Camuy)

36. Punta Yeguas

37. Bosque Estatal de Guanica

38. Punta Guaniquilla

39. Cabeza de San Juan

40. Extenciòn Marina Playa Larga El Paraiso

41. Marina Reserva Natural Hacienda La Esperanza

42. Reserva Natural Finca Seven Seas

Protected Areas without Informative Bulletin Board

■ Tres Palmas Marines Reserve, Rincón

■ Mona Island and Monito Island

■ Bosque Estatal of Boquerón Natural Reserve, Cabo Rojo

■ La Parguera Natural Reserve, Lajas

■ Las Cucharras Natural Reserve ( Did not find sign, photo found in DNER website)

■ Caja de Muerto Natural Reserve (Found in Sea Grant website)

■ Estuarine Research Reserve Bahia of Jobos, Salinas/Guayama

■ Aguirre State Forest, Salinas

■ Punta Ballena Natural Reserve, Guanica (New)

■ Punta Tuna Natural Reserve, Maunabo

■ Mosquito Bioliminescent Bay, Vieques (No Photo)

■ Luis Peña Natural Reserve, Culebra (No Photo)

Protected Areas with Informative Bulletin Board

■ Ecologic Corredor of the Northeast Natural Reserve ( Between Luquillo and Fajardo)

■ Isla Verde Reefs Marine Reserve, Carolina

■ Laguna del Condado Estuarine Natural Reserve, San Juan

■ Cienaga Las Cucharillas Natural Reserve, Cataño

■ Playa Grande el Paraiso Natural Marine Reserve, Dorado

■ Tortuguero Lagoon Natural Reserve (Between Manati and Vega Baja)

■ Caño Tiburones Natural Reserve

■ Ines Maria Mendoza Punta Yeguas Natural Reserve, Yabucoa

■ Las Cabezas de San Juan Natural Reserve, Fajardo

■ Hacienda la Esperanza Natural Reserve, Manati

Protected Areas without Informative Bulletin Board

■ Desecheo Waters Marine Reserve, Near Coast of Rincón

■ Reef Natural Reserve Tourmaline (State and Federal Jurisdiction)

■ Bajo de sico Marine Protected Area (State and Federal jurisdiction)

■ Abril La Sierra Marine Protected Area ( Federal jurisdiction)

■ La Boquilla Natural Reserve, Mayagüez

■ Laguna of Joyuda Natural Reserve, Cabo Rojo

■ Finca Belvedere Natural Reserve, Cabo Rojo

■ Punta Petrona Natural Reserve, Santa Isabel

■ Reefs of Guayama Natural Reserve

■ Punta Vientos Wetland Natural Reserve, Patillas

Protected Areas without Informative Bulletin Board

■ Cordillera Reefs Natural Reserve, Fajardo

■ Caño Martin Peña Natural Reserve

■ Cibuco Swamp Natural Reserve, Vega Baja

■ Cueva del Indio Natural Reserve ( Arecibo)

■ Cueva del Indio Natural Reserve (Did not find Informative Bulletin Board)

■ Punta Guaniquilla Natural Reserve, Cabo Rojo

■ Finca Seven Seas Natural Reserve, Fajardo ( Did not find Informative Bulletin Board)

PR - MPA’s with Management Plans

■ Bosque Estatal de Piñones (Between Carolina and Loíza) – In Process

■ Natural Reserve Laguna Tortuguero (Between Manatí and Vega Baja) – In Process

■ Natural Reserve Bahia Bioluminiscente (Vieques) Approved by JP

■ Natural Reserve Arrecife de la Cordillera (Fajardo) – Completed

■ Natural Reserve Isla Caja de Muertos – Draft

■ Natural Reserve Rio Espiritu Santo (Rio Grande) – In Process

■ Natural Reserve Isla de Mona y Monito – Draft Completed, Final

■ Natural Reserve of Pterocarpus (Humacao) - Completed, approved by JP

■ Natural Reserve Caño de Tiburones (Arecibo) - Final Draft

■ Natural Reserve Canal Luis Peña (Culebra) - Approved by JP

■ Natural Reserve Finca Seven Seas (Fajardo) – Approved by JP

PR - MPA’s with Management Plans

■ Natural Reserve Punta Tuna (Maunabo) – Completed

■ Marine Reserve Tres Palmas (Rincón) – Approved by JP

■ Natural Reserve Punta Viento (Patillas) – Approved by Administrative Order

■ Natural Reserve Arrecifes de Isla Verde – Completed

■ Natural Reserve Laguna del Condado – Approved by JP

■ Natural Reserve Corredor Ecológico del Noreste – Approved by JP

Reserva Marina Tres Palmas (Rincón)

3er Festival Come Pez León

PR Protected Areas

Informative Bulletin Boards

PR Protected Areas

Informative Bulletin Boards

Puerto Rico’s Fishers Issues

■ The Issues with the commercial fishing license with the DNER has been resolved. Fishers has been receiving their fishing license and letters from the DNER.

■ New fishers misinformation about fishing closures, statistics report (eReporting app), licenses and permits for state and federal waters in Puerto Rico

■ Low enforcement to watch the closures and illegal commercial fishing in state and federal waters

■ Fishers need support with different funding opportunities

2022 Liaison Next Step

■ Continue with PEPCO face-to—face workshops

■ Continuing of the virtual PEPR workshops

■ Continuing supporting CFMC social media

■ Find out and support fishers in their issues, visiting fishing villages and fishers communities

■ Visit fishing villages and fishing communities around the island giving educational materials

Outreach and Education Advisory Panel (OEAP) REPORT TO THE COUNCIL

178th CFMC Regular Meeting

April 19 – 20, 2022

Marriott Courtyard Hotel Isla Verde, PR

Specific areas of action for Outreach and Education in the CFMC 5YSP

Goal: Engage, educate, and inform a variety of audiences to improve public understanding and participation in the Council process.

Objective 20: Use a variety of communication tools that consider the social, cultural, and economic characteristics of target audiences in coordination with the Outreach and Education Advisory Panel (OEAP).

• Maintain the content and organization of the Council's website to enhance its utility to a variety of users.

Working group to update the CFMC webpage to present information in a more accessible and attractive way to the users.

Objective 20: Use a variety of communication tools that consider the social, cultural, and economic characteristics of target audiences in coordination with the Outreach and Education Advisory Panel (OEAP).

• Coordinate with management partners, commercial and recreational fishing organizations and fishers, nongovernmental organizations, and coastal businesses to expand the scope of Council communications across new and existing audiences.

Meeting with Liaisons and DAPs Chairs and with DAPs from each island to receive their ideas for better communication with stakeholders

Use local radio and tv to announce CFMC activities in PR and the USVI

• Objective 21: Promote participation of a variety of stakeholders in the Council process.

Develop a newsletter or summary to highlight Council meeting outcomes and anticipated actions.

• Produce CFMC Meetings Highlights for the webpage.

• Illustrated Booklet on MPAs in the US Caribbean.

Objective 22: Improve public and stakeholder understanding and awareness of fisheries management, current issues, and the Council process.

Continue support of the Marine Resource Education Program (MREP) workshops throughout the U.S. Caribbean.

Develop island-specific (Puerto Rico, St. Thomas/St. John, St. Croix) outreach approaches and materials for recreational and commercial fishers.

• Collaborate with PR Dept. of Education and the New School Institute to develop Pilot Project on Marine Sciences curriculum integrated to all disciplines for Intermediate grades at the Alejandro Tapia Rivera school at La Parguera, Lajas, PR.

Objective 22: Continuation

Thomas restaurants

Partner with other outreach organizations (e.g., PEPCO, Sea Grant) and federal agencies (e.g., USCG, NPS, etc.) and commercial and recreational fishing, diving, and boating organizations to develop and distribute educational materials to fishers, other marine resource users (e.g., divers), and the general public.

• Placemats for St. Croix restaurants

• Collaborate with UPR-Sea Grant to produce signs for La Parguera Nature Reserve and Tres Palmas Marine Reserve with information on the marine resources in each one

St.

St. Thomas/St. John MPAs outreach strategies requested by the fishers to inform tourists.

4 pages Fact sheet

Local

Tourism

Presentation to Tourist Guides with the PRTC

Tenemos que educar al consumidor

• Escuelas

• Villas pesqueras

• Restaurantes

• Turistas

Ongoing OEAP projects

Recipe Book

Illustrated Booklets on MPAs and Climate Change and US Caribbean Fisheries

Fact sheets, stickers and infographics on each

IBFMP

Integration of concepts on marine fisheries in the US Caribbean to the regular education curriculum.

Questions?

Outreach and Education Advisory Panel (OEAP) REPORT TO THE COUNCIL

178th CFMC Regular Meeting

April 19 – 20, 2022

Marriott Courtyard Hotel Isla Verde, PR

Specific areas of action for Outreach and Education in the CFMC 5YSP

Goal: Engage, educate, and inform a variety of audiences to improve public understanding and participation in the Council process.

Objective 20: Use a variety of communication tools that consider the social, cultural, and economic characteristics of target audiences in coordination with the Outreach and Education Advisory Panel (OEAP).

• Maintain the content and organization of the Council's website to enhance its utility to a variety of users.

Working group to update the CFMC webpage to present information in a more accessible and attractive way to the users.

Objective 20: Use a variety of communication tools that consider the social, cultural, and economic characteristics of target audiences in coordination with the Outreach and Education Advisory Panel (OEAP).

• Coordinate with management partners, commercial and recreational fishing organizations and fishers, nongovernmental organizations, and coastal businesses to expand the scope of Council communications across new and existing audiences.

Meeting with Liaisons and DAPs Chairs and with DAPs from each island to receive their ideas for better communication with stakeholders

Use local radio and tv to announce CFMC activities in PR and the USVI

• Objective 21: Promote participation of a variety of stakeholders in the Council process.

Develop a newsletter or summary to highlight Council meeting outcomes and anticipated actions.

• Produce CFMC Meetings Highlights for the webpage.

• Illustrated Booklet on MPAs in the US Caribbean.

Objective 22: Improve public and stakeholder understanding and awareness of fisheries management, current issues, and the Council process.

Continue support of the Marine Resource Education Program (MREP) workshops throughout the U.S. Caribbean.

Develop island-specific (Puerto Rico, St. Thomas/St. John, St. Croix) outreach approaches and materials for recreational and commercial fishers.

• Collaborate with PR Dept. of Education and the New School Institute to develop Pilot Project on Marine Sciences curriculum integrated to all disciplines for Intermediate grades at the Alejandro Tapia Rivera school at La Parguera, Lajas, PR.

Objective 22: Continuation

Thomas restaurants

Partner with other outreach organizations (e.g., PEPCO, Sea Grant) and federal agencies (e.g., USCG, NPS, etc.) and commercial and recreational fishing, diving, and boating organizations to develop and distribute educational materials to fishers, other marine resource users (e.g., divers), and the general public.

• Placemats for St. Croix restaurants

• Collaborate with UPR-Sea Grant to produce signs for La Parguera Nature Reserve and Tres Palmas Marine Reserve with information on the marine resources in each one

St.

St. Thomas/St. John MPAs outreach strategies requested by the fishers to inform tourists.

4 pages Fact sheet

Local

Tourism

Presentation to Tourist Guides with the PRTC

Tenemos que educar al consumidor

• Escuelas

• Villas pesqueras

• Restaurantes

• Turistas

Ongoing OEAP projects

Recipe Book

Illustrated Booklets on MPAs and Climate Change and US Caribbean Fisheries

Fact sheets, stickers and infographics on each

IBFMP

Integration of concepts on marine fisheries in the US Caribbean to the regular education curriculum.

Questions?

Presentation Outline

Presentation Objective: Provide a comprehensive update of research associated with the Puerto Rico FAD System.

Outline:

1. Quick Program Statistics (5 mins)

2. Case Study 1: Catch and Effort (15 min)

3. Case Study 2: Vessel Census (7 min)

Case Study 2a: Vessel Detections with Sound (4 min)

Case Study 2b: Vessel and Marine life presence (4 mins)

4. Case Study 3: Tagging Studies (4 mins)

1. Size-frequency tagged at FADs

2. Wahoo vs. Dolphin

5. Acknowledgements and Questions: (2 min)

16 Surface / 6 Subsurface

As of June 2019

2,779 trips up to April 18th, 2022 As of 12.31.2021

31 Satellite Tag Deployments

27 dolphin, 3 wahoo, 1 shark

1 Published 1 in review Fisheries Science 1 in prep

34 Vessels Involved

Quick

Program Statistics - Deployments

Maximum/Minimum longevity = 1249/12 days

Average longevity = 453

Average time to redeployment = 8.8 months

Case Study 1: Catch and Effort:

Vessel Trip Histories

Picture: W. Merten

Database Management & Analysis

Fishing Trips:

PDS Application Program Interface (API) combined with Google’s data warehouse – BigQuery (PostgreSQL)

Trip Catch:

Daily written surveys entered in BQ & joined to trips

Data Cleaning & Analysis:

*SQL (updates/inserts/deletes)

*R with Matplotlib, CARTO for GIS

Preliminary Results

Vessel Fishing Trip Histories: Charter Examples

Vessel Fishing Trip Histories: Charter Examples

Preliminary Results

Vessel Fishing Trip Histories: Charter Examples

Preliminary Results

Vessel Fishing Trip Histories: Charter Examples

Preliminary Results

Vessel Fishing Trip Histories: Charter Examples

Preliminary Results

Vessel Fishing Trip Histories: Charter Examples

Preliminary Results

Vessel Fishing Trip Histories: Charter Examples

Preliminary Results

Vessel Fishing Trip Histories: Commercial Example

Preliminary Results

Vessel Fishing Trip Histories: Commercial Example

Preliminary Results

Vessel Fishing Trip Histories: Commercial Example

Preliminary Results

Vessel Fishing Trip Histories: Commercial Example

Preliminary Results

Vessel Fishing Trip Histories: Commercial Example

Preliminary Results

Vessel Fishing Trip Histories: Commercial Example

Preliminary Results

Vessel Fishing Trip Histories: Recreational Example

Preliminary Results

Vessel Fishing Trip Histories: Recreational Example

Conclusion

• Vessel fishing trip histories provide quantitative estimates of FAD and Non-FAD use on different temporal and spatial scales

• This method can be used to assess FAD use and performance by sector

• VTS systems can die which require daily assessments of device health and status

• Results are only representative of when vessel captains report catch and trip data

• Results can be used to examine other socioeconomic trends in fishing activity

• VTS represents a relatively cost-effective approach to assess FAD fishing activity

• ~$500/device for 2 years of data service (additional costs for data management + analysis)

Case Study

2: Use of video monitoring to quantify spatial and temporal patterns in fishing effort across sectors at moored FADs off Puerto Rico

Wessley Merten1, Roberto Rivera2, RichardAppeldoorn3 , Kelvin Serrano4, Omar Collazo4, Nilda Jimenez4

Published 2018 by the Beyond Our Shores Foundation

Results – Temporal Variation

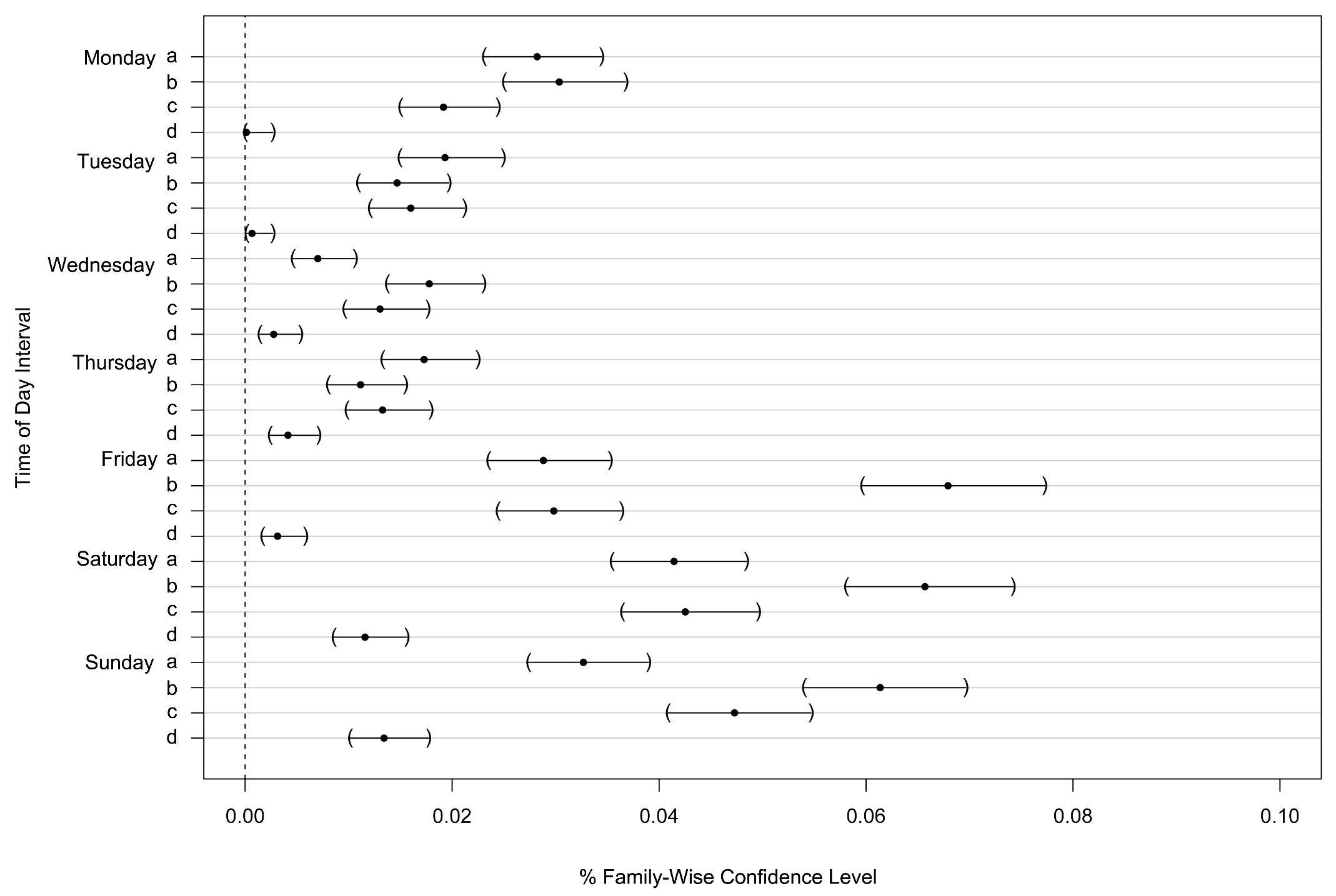
Found significant differences by time of day and day of week.

Results – Temporal Variation in Vessel Activity

Results – Cost-Benefit Analysis

Conclusion

• Conducted a fishery independent assessment of multi-sector fishing effort using video monitoring

• Video monitoring represents a cost-effective approach to assess in situ fishing activity

• Results serve as baseline estimates of FAD use

• Results are only representative of daytime fishing effort

• Need to match fishery-dependent port surveys with in situ FADCAM data

• Need to increase recording time and automate vessel detection through image recognition

Case Study 2b: Vessel Detection using Sound

Case Study 2b:

Vessel and Marine life Presence with Underwater Cameras

Case Study 3: Tagging Studies

Picture: W. Merten

Frequency of fish tagged and released at Caribbean mFADs

N = 949 24% are less than 20” FL 33.8% are less than 23.5” FL

Wahoo Tagging

Comparisons to Dolphin

Acknowledgements

Funded by the Federal Aid in Sport Fish Restoration (Dingell-Johnson) Program of the United States Fish and Wildlife Service and grants (Grant No: PR-F507F14AF00688 and PR-F19AF01043)

Thanks to Dr. Nilda Jimenez, Damaris Delgado, Kelvin Serrano, Omar Collazo, Johanna Gutierrez, Dr. Craig Lilyestrom, Dr. Richard Appeldoorn

Captain Luis Lagradier (Puerto Rico Sportfishing Charters)

Captain Luis Burgos-Roviera (Caribbean Fishing Academy)

Captain Rafa Terraza (Billfish)

Captain Luis Iglesias (Bill Wraps)

Captain Humberto Morales (Double Hook)

Captain Marcos Hanke (LTP3)

Captain Irving Rivera (La Robalo)

Captain Hector Pesquero (Don Polo)

Captain Cedric Taquin (Menta)

Captain Robi Birriel (Nuri)

Captain Tylor Penfield (Ana Sofia)

Captain Jonathan Prices (Cono Azul)

Captain Kristian Tsotoros (Pinchona)

Captain Bradley Dray (Mireya)

Captain Alex Oben (Seaborn Fishing Charters)

Captain Carlos Andres (Chispa)

Captain Jesus Duran (Lalooli)

Captain Emmanuel Markham (La Calankita)

Captain Milton Char (Phantomas)

Captain Cheo Volvo (Yadimar)

Captain Richard Delizza (Rock Boat)

Captain Julien Brossel (Madatet Lures)

Captain Ron Teke (Colorado Magic)

Captain David Neblett (Hit That)

Captain Hunter Stokes (Painkiller)

Captain Chris Jobes (Pair of Docs)

Captain Rick Perrson (Swamphopper)

Captain Dan Gates (No Name)

ANECDOTAL OBSERVATIONS MEET SCIENCE

Capt. Marcos Hanke / B.AMarine Biology

Charter operator/ Fisherman

787fishing Research Project

SPECIAL THANKS

• Capt. Juan Morales, BA (Dive instructor and fishing captain)

• Edgardo Ortiz, PhD

• Virginia Shervette, PhD

• RichardAppeldoorn, PhD

• Diana Beltrán, PhD

• Aida Rosario, MS

*Recognition to industry experts consulted:

Nelson Crespo (PR-West), Roberto Silva (PR-East) and Tommy Forte (PR-North, Dealer)

*Recognition academic experts for the information and guidance shared:

Cedar Garcia, PhD; EvanTuohy, MS; Graciela García Moliner, PhD;Juan Cruz Motta, PhD; Martha Prada, PhD; Megan Davis, PhD; Michelle Scharer, PhD; Jim Franks, PhD; Jesus Rivera-Hernández, MS

CHARTER OBSERVATION BACKGROUND

• Home port is Pto. Chico,Fajardo; fishing area is East Coast of Puerto Rico

• Pioneer inshore light tackle guide forTarpon and others (aprox. 30 years)

• Collaborator on multiple research data collections

• Due to recent interest in documenting lane snapper age, growth, and reproductive biology across the U.S. Caribbean, racks (carcasses) are saved after filleting and donated to Dr.Shervette’s research team.Usually, fish carcasses are fed to tarpon at the cleaning station, but since we started donating lane snapper carcasses for research, we developed filleting techniques that maintain gonad integrity for later preservation; after carefully filleting, samples are labeled, measured, then kept on ice until processed for life history research

• As a consequence of this more careful treatment of lane snapper scientific donations: 28Aug 2021, I first observed one small conch in the stomach of a lane snapper from AREA1

• Lane snapper is very abundant and a preferred target fish for consumption by my clients

• Lane snapper availability has been stable, and abundance has increased overtime (charter info.)

• On PR east coast no direct fishery for lane snapper exists nowadays; commercially this species is mostly landed by nonselective gears,like nets and traps

GENERAL FISHING GROUND

To protect the fishing grounds and resources, the specific areas will not be revealed at this time.

SCIENCE TALKS TO FISHERMAN

• Randall (1967), one of the most definitive, broadscale studies of Caribbean fish feeding, only specifically mentions queen conch S. gigas documented in stomachs of the following snapper species:

Mutton snapper L. analis

Gray snapper L. griseus

Dog snapper L jocu

Yellowtail snapper O. chrysurus

• Estimated conch sizes were 70-80 mm

• S. gigas also found in the stomachs of two grunt species:

White grunt H. plumierii

Bluestriped grunt H. sciurus

Overall, conch was not common in stomach contents of fish samples examined and only tissue was noted

Randall (1967) hypothesized that these instances were opportunistic feeding on some other organism, such as an octopus or hermit crab, that had initially removed the conch from its shell

Speculated that these fishes did not have the jaw strength to crush the shells (and no shells were found in the guts), unlike other fish species such as permit, queen triggerfish, and porcupine fish

SCIENCE TALKS TO FISHERMAN

• Randall (1967), one of the most definitive, broadscale studies of Caribbean fish feeding, only specifically mentions queen conch S. gigas documented in stomachs of the following snapper species:

Mutton snapper L. analis

Gray snapper L. griseus

Dog snapper L jocu

Yellowtail snapper O. chrysurus

• Estimated conch sizes were 70-80 mm

• S. gigas also found in the stomachs of two grunt species:

White grunt H. plumierii

Bluestriped grunt H. sciurus

Lane snapper L. synagris not observed to consume queen conch

Overall, conch was not common in stomach contents of fish samples examined and only tissue was noted

Randall (1967) hypothesized that these instances were opportunistic feeding on some other organism, such as an octopus or hermit crab, that had initially removed the conch from its shell

Speculated that these fishes did not have the jaw strength to crush the shells (and no shells were found in the guts), unlike other fish species such as permit, queen triggerfish, and porcupine fish

LANE SNAPPER, Lutjanus synagris

• Charter observation: Lane Snapper is one of the most common snapper species along the east coast of PR and very abundant ii in inshore waters all year-round. Occurs across a diversity of depths and habitats.

TL: 38.8cm

• Peña-Alvarado and Torres-Ruiz (2012) investigated reproductive biology of lane snapper in PR waters

• Lane snapper can cover migrate over 700 m in a day in one direction before returning (Friedlander and Monaco 2007)

LANE SNAPPER, Lutjanus synagris

Charter observation: 15-years of observations from fishing efforts on lane snapper presence and abundance in Area-1 and Area-3 of off PR east coast

AREA-1 lane snapper presence/abundance appears to be related to tidal period, color of the water, wind speed, and wind direction

AREA-3 lane snapper presence/abundance is consistent and continuous year-round, does not seem to correlated with time of the day,moon phase, tide stage, or season.

• Lane snapper size at 50% sexual maturity (Figuerola, Matos-Caraballo and Torres,1998):

Males: 147 mm FL

Females: l85 mm FL

• Lane snapper has an average length of 14 inches (36 cm), with a maximum length of 20 inches (50 cm). An individual lane snapper usually weighs less than a pound. Sexual maturity is reached at lengths of 3-9 inches (10-23 cm). The estimated maximum age of lane snapper is 10 years (Discover fishes-Florida Museum of Natural History 2017).

First

OBSERVATION 28 Aug 2021 AREA-1

CONCH PROBABLYCONSUMED

DURING DAYTIME

Second OBSERVATION 23 Feb 2022 AREA-1

Conch observed inside mouth of lane snapper

OBSERVATIONS AREA-3

• From 16 Jan to 25 Feb 2022: 5 out of 8 fishing trips included lane snapper with remains of conch present in the stomach or regurgitated on the boat

• Images:Operculum from conch speciesregurgitated on the boat or found in the stomach

OBSERVATIONS AREA-3

• Lane snapper with conch parts in stomachs or regurgitated on the boat; observed thatlight barotrauma aided in expelling stomach contents via regurgitation

• During the ascent (fight) we observed that some lane snapper end up expelling stomach content in the water column

TRANSECT DESCRIPTION

AREA-3

• Diving transects

• GPS coordinate from pointA(start) to point B(end) of each transect, to record transect length

• Diver made sure there was no slack on the buoy line

• Conch count was made 1 m each side of the transect

• Transect 1: Visual and video observation(*Test). 2 m2 of the end of the transect was used to determine how many conch were alive and how many conch shells were empty (T13/11L/2E)

• Transects 2 and 3: Visual count of conch from pointAto point B 1-m 1-m

REMARKABLE DENSITY OBSERVATION

• 3 DivingTransects: 208 small conch / 172.8 m2 of sampled area = 1.2 conch/ m2

• Transect 1: In 2 m2 observed 13 small conch total;11 live and 2 empty shells w/ no evident scars

• If conch density is evenly distributed, Area-3 (411,635 m2) could contain ~343,029 conch

BUT: Sanders (1988) in Lucarillo Bay off La Parguera, reported that S. pugilis population extended over a broad area of 9,280 m2 . Surveying within a surrounding extra 5,000 m2 area, no additional conch noted. The full area of the bay is ~84,360 m2 . Thus, the S. pugilis population occupied no more than 11% of the bay. In the 2-year tagging study, documented that abundance varied seasonally (most likely due to burial behavior, Percharde 1970) with maximum numbers occurring in November as temperatures declined but still not cold. Maximum population size was 1,334 yielding a density of 0.14 conch/m2 over the survey area.

REMARKABLE DENSITY(CONT.)

• Area-3: Lane snapper charter fishing ground sampled with 3 transects: this section correspond to 2.5% of the total area or 10,360 m2 . This area potentially could contain 12,432 small conch if density are extrapolated from transect findings

• Assuming a potential density of 1.2/m2 – approximately 11% of the bay area ofArea-3 would contain 45,280 conch

• More research is needed!

RELEVANT OBSERVATIONS

• Lane Snapper with evidence of conch species consumption: 23.0 – 32.7 cm TL(all adult sizes)

• Density of small conch species from transects in Area-3: 1.2/m2

• Conch parts from lane snapper mainly consisted of the soft tissue close to the operculum + operculum; this part of conch extends out of the shell and are potentially vulnerable to nipping

• Double and triple conch clusters observed during transect dives

• No conch shells or fragments were observed inside lane snapper stomachs

• No signs of crush shells or shells with scars from bigger predators were observed during transect dives

• Most of the conch individuals observed inArea-3 were S. pugilis (indentified to species using conch shell diagnostics then released specimens live)

• 1-2 additional conch species may occur inArea-3 because morphological differences were observed for the operculum of live small conch during transects dives

AREA-1 VS. AREA-3

(AUG/28/2021 TO FEB/25/2022)

• Area-1: In 62 fishing trips, I observed during 2 trips conch piece(s) regurgitated at the boat or in the stomach (3.2% probability to find conch parts per trip, opportunistically)

• Area-3: In 8 fishing trips, I observed during 5 trips, multiple conch pieces regurgitated at the boat or in the stomach (62.5% probability to find conch parts per trip, opportunistically)

• Observations of conch parts (regurgitated or in stomach) was19.3% times more likely in Area-3 versus Area-1

QUESTIONS ANSWERED

• Lane snapper L. synagris directly feed on conch species in waters of east PR?

YES

• Documenting lane snapper predation on conch species provides important information about ecosystem interactions?

YES

• The main species of conch observed so far inArea-3 is Strombus pugilis

CONFIRMED (Thanks to the experts for the support)

QUESTIONS TO BE ANSWERED

• How/in what manner does lane snapper feed on conch species?

• Which conch species are consumed by lane snapper?

• Which species of conch occur inArea-3?

• What factors drive the relatively high density of conch in this area?

• Trophic relation relevance?

• Are there temporal/seasonal shifts in density of conch species inArea-3?

• What are the habitat characteristics ofArea-3?

HISTORICAL DILEMMA

ANECDOTAL VS SCIENTIFIC INFORMATION

ANECDOTAL: Not necessarily true or reliable, because it is based on personal accounts rather than facts or research (Oxford lenguajes, online)

TOOOFTENWEHEARFROMFISHERMEN: “Can you help me to document,record, or corroborate my observations? I’ve seen this happening for more than 30 years!”

ECOSYSTEM BASED FISHERY MANAGEMENT(EBFM)

HOW CAN ECOSYSTEM BASED MANAGEMENT WORK BETTER?

• Must include the best scientific information, tools, models, and data development

• Create NEW mechanisms to corroborate industry expert observations utilizing rigorous scientific-based methods

• Pursue NEW scientific input from all stakeholders for model development and in the decision-making process. This means that industry contributions should not only be limited to anecdotal information

HOPE AND WAYS TO DO IT!

• Find a scientist that truly recognizes that your knowledge and experience are valuable

• Discuss with a scientist how to move forward on starting the data collection process

• Make your self available to collaborate in scientific studies

• Continue to request support and industry engagement; participate in formal scientific data collections, especially the ones you recognize are important

• New momentum currently related to establishment of the NOAASEFSC Caribbean Fisheries Branch – current interest expressed in support of fisheries data collection improvement and engagement with the stakeholders

Priorities of the NOAANMFS Southeast Fisheries Science Center

RECOMMENDATIONS

• Create a task force and allocate resources at local and national level to guide fisherman on how to collect/document/record and store initial relevant information from fishermen’s perspectives.

• Support fishers in the design pf forms and other digital tools tocollect initial data

• To facilitate the engagement of fishermen with researchers,cut costs, and speed up research tasks, propose establishing a list of future potential fishermen scientific collaborators (industry task force)

– the list would potentially include information provided by each fisherman on their boats, licenses, target species, areas of expertise, and specialized skills

• Must report the research results to industry collaborators

• Include fishers on future studies in all developmental steps of fisheries-related scientific investigations – for example,include fishing associations,independent fishers,fishing villages and others

LESSANEDOTALAND MORE MEANINGFUL INFORMATION SUPPORTED

PRESENTER MESSAGE

ANECDOTALobservations just waiting to be verified and proven true/reliable; these are based on many years of personal observations and generations of knowledge rather than hard facts or research that also change and evolve over time

Both complement each other and are essential to build the best information available for ecosystem-based fisheries management

LITERATURE CITED

• Discover fishes -Florida Museum of Natural History.2017. www.Floridamuseum.ufl.edu

• Friedlander, A.M., M.E. Monaco. 2007. Acoustic tracking of reef fishes to elucidate habitat utilization patternsand residence times inside and outside marine protected areas around the island of St. John, USVI. NOAA Technical Memorandum NOS NCCOS 63

• Figuerola,M., Matos-Caraballo, D., Torres, W. 1998. Maturation and Reproductive Seasonality of Four Reef Fish Species in Puerto Rico. Departamento de Recursos Naturales y Ambientales, Negociado de Pesca y Vida Silvestre y Laboratorio de Investigaciones Pesqueras. GCFI-50

• Peña-Alvarado,N., Torres-Ruiz, W. 2012. Aspects of the Reproductive Biology of Recreationally Important Fish Species in Puerto Rico

• Percharde, P.L. 1970. Further underwater observations on the molluscan genus Strombus Linne as found in the waters of Trinidad and Tobago. Caribb. J. Sci. 10:73-77.

• •Randall, J. E. 1967. Food habits of reef fishes of the West Indies. Stud. Trop. Ocean. 5:665-847.

• Sanders, I.M. 1988. Energy relations in a population of Strombus pugilis. Ph.D. Dissertation, UPR-Mayaguez. 130 p.

787FISHING RESEARCH PROJECT

787FISHING RESEARCH PROJECT is a private initiative from 787fishing charter. Our mission is to opportunistically collect preliminary data from day-to-day on the water. Making observations available to researchers, graduate students, and agencies for future research projects.

INITIATIVESIN PROGRESS:

1. Barotrauma (post released conditions on reef fish species)

2. Deep water Squid datasets and industry support to new fishing opportunities

3. Baitfish (Impacts of sargassum influx on baitfish availability and impacts on catch compositions)

4. Lane Snapper and Strombus sp.field observation (Presented today)

NOTE: These initiatives are grassroot, private donation of time and effort to support science development; follow-up formal research efforts are conducted in collaboration with researcher and agencies resource managers

QUESTIONS?

Characterization of Prey Diversity of the Commercially-Important Queen Snapper (Cartucho), Etelis oculatus

Stacey M. Williams1, Carlos Prada2, Diana M. Beltrán3

1Coastal Survey Solutions LLC, PO Box 1362 Lajas, PR 00667-1362

2 University of Rhode Island, Department of Biological Sciences, Kingston, RI 02881

3University of Rhode Island, Department of Natural Resources Sciences, Kingston, RI 02881

February 12, 2022

Executive Summary

The queen snapper (Cartucho-Etelis oculatus) fishery is becoming an increasingly important fishery in Puerto Rico and wider Caribbean region. In Puerto Rico queen snappers' commercial landings reached 135 tons in 2007, valuing around $770,000 (Matos Carabello 2012). Even though the queen snapper is a vital component essential to Puerto Rico's commercial fishing industry (CMFC 2016), not much is unknown about this species' general biology and ecology (life history, habitat preferences, prey, etc.). The lack of available information has made it challenging to manage this species. This project's main goal was to summarize the population of queen snapper off the west coast of Puerto Rico, and characterize the diversity in preys between sexes, size and locations

A total of 157 queen snappers were collected from November 2019 to July 2020 at seven different locations, ranging in depths from 256 m at Bajo Medio to 402 m at Site 3. The size and weight of queen snappers collected during this study significantly varied between sampling time and location (PERMANOVA, p<0.0001). However, from the estimates of the components of variation, sampling timehadamore ofan influenceonthesize andweight offishthanthelocation.

The mean (±SE) standard, fork and the total length of queen snappers during the sampling period was 442.73 ± 11.53 mm, 472.06 ± 11.90 mm, 595.34 ± 15.24 mm, respectively. Smaller fish werecaught at Site4 andSite3,whilelargerfish werecaught at Site6 andSouth ofPichincho. On average, fishers caught the largest fish in July and the smallest fish in November. The mean (±SE) weight of the queen snapper during this project was 1,948.39 ± 144.22 g, ranging from 195 g to 10,568 g. The mean fish weight was the lowest during January, followed by November. The highest weights were observed during July. There was a strong positive relationship between the

fork length and weight (Regression, R=0.99, p<0.0001). The power parameter calculated for this study was 2.80, confirming that the queen snapper exhibits isometric growth.

There was significant spatial and temporal variability in Gonadosomatic Index (GSI) values during the study (PERMANOVA, p<0.0001). Queen snappers are known to spawn during between October and November. However, in this study, July collections exhibited the highest GSI values between the west coast sites. Therefore, queen snappers might spawn during late summer. However, more samples should be collected during July and August to confirm this observation.

Our study of the prey composition suggests that E. oculatus is a large carnivore that mainly feeds on squids, shrimps,anddeep-waterfishes. Ourapproachidentified Diaphus brachycephalus, Diaphus dumerilii, Myctophum selenops, Coccorella atlantica, Sigmops elongatus and Bonapartia pedaliota as themost commonfish preys and Abralia veranyi, Doryteuthis pealeii, Abalia redfieldi (all three squids) and Oplophorus gracilirostris and Systellaspis debilis (both shrimps) as the main invertebrate preys. Given the unbalanced design of the sampling, our data was inconclusive of whether the variation in diet composition varies across locations. However, we did observe higher prey diversity at Pichincho seamount, which could be related to high structural complexity of the karst terrain of the seafloor. We did observe variation in species composition of preys across size classes. B. pedaliota, S. elongatus and H. benoiti were more common in the stomach contents of larger queen snappers, while D. brachycephalus, Myctophum nitidulum, D. dumerilii, Elagatis bipinnulata, and Lepidophanes guentheri more common in smaller queen snappers.

A major aspect of this study is our approach. Unlike previous cases with analysis of fish gut contents, most of the fish prey we found were identified to the species level and even some of themostcommoninvertebratespecieswerealsoidentifiedtothespecieslevel.Thishighresolution

in the identification of prey items in deep-water snappers is atypical and represents a viable alternative to continue learning about the biology of these species of commercial value. This study provides baseline information and is part of a larger project funded by the Caribbean Fisheries Management Council to examine the food web of the queen snapper. More samples are needed to determine the size structure of queen snapper not only along the west coast but in other areas like the north and east coast.

Figures

Figure 1 Map showing the ROV dives from the Okeanos Expedition in 2018 (Wagner et al. 2018). Queen snappers were observed at Sites 4, 7, 13, 14, 15 and 16. 11

Figure 2 Map of the locations where queen snapper samples were collected during the study along the west coast of Puerto Rico. Coordinates were not available for South of Pichincho site. ....................................................................................................................................................... 13

Figure 3 Photographs of (a) a queen snapper sample, (b) queen snapper length measurement and (c) gonads collected during the study. .......................................................................................... 14

Figure 4. Prey items collected from stomachs of Etelis oculatus samples. .................................. 15

Figure 5 Fork length distribution of queen snapper samples collected at seven sites along the west coast of Puerto Rico.............................................................................................................. 19

Figure 6 Mean fork length of queen snappers between sites (left) and sampling times (right) on the west coast of Puerto Rico. Bars denote standard errors.......................................................... 20

Figure 7 Mean weight of queen snappers between sites (left) and sampling times (right) on the west coast of Puerto Rico. Bars denote standard errors. Fish weights were not collected for South of Pichincho site............................................................................................................................ 21

Figure 8 Strong linear relationship between the log weight (g) and log fork length (mm) of queen snappers sampled during this study performed along the west coast of Puerto Rico................... 22

Figure 9 Mean gonadosomatic index value of queen snapper samples collected at seven sites along the west coast of Puerto Rico. Bars denote standard errors................................................ 23

Figure 10 Mean gonadosomatic index value of queen snappers collected during sampling times along the west coast of Puerto Rico. Bars denote standard errors................................................ 24

Figure 11 Species composition of stomach contents of Etelis oculatus. ...................................... 30

Figure 12 Prey composition (total species number) in the stomach samples of Etelis oculatus at the different locations on the west side of Puerto Rico. The number of samples are in parentheses. 32

Tables

Table 1 Cytochrome oxidase I and Tele02 primer sequences. ..................................................... 16

Table 2 The number of queen snapper samples collected at each site and sampling time along the west coast of Puerto Rico.............................................................................................................. 19

Table 3 Permutational Multivariate ANOVA results of the difference of fork length (mm) of the queen snapper samples between sites and sampling times for the west coast of Puerto Rico...... 20

Table 4 Permutational Multivariate ANOVA results of the difference of weight (g) of the queen snapper samples between sites and sampling times for the west coast of Puerto Rico................ 21

Table 5 Permutational Multivariate ANOVA results of the difference of the gonadosomatic index (GSI) value weight of the queen snapper samples between sites and sampling times for the west coast of Puerto Rico...................................................................................................................... 22

Table 6 Species identified using Cytochrome oxidase I (COI) marker in undigested items found in the Etelis oculatus stomach contents. See Index 5 for pictures and web link to species details on FishBase. 26

Table 7 Prey species of Etelis oculatus using two molecular approaches, Cytochrome oxidase I (COI) and Tele02.......................................................................................................................... 27

Table 8 The one-way Permutational Analysis of Variance tests examining the difference of prey composition between the locations along the west coast of Puerto Rico and sex of Etelis oculatus. 31

Table 9 Main prey species found in E. oculatus using the metabarcoding approach with ecological information about each species (FishBase 2002). 38

Indices

Index 1 Prey species present in the Etelis oculatus stomach content samples using the metabarcoding genetic approach...................................................................................................

Index 2 Prey genera present in the Etelis oculatus stomach content samples using the metabarcoding genetic approach...................................................................................................

Index 3 Prey families present in the Etelis oculatus stomach content samples using the metabarcoding genetic approach.

Index 4 Prey species observed in the stomach contents of Etelis oculatus by extracting DNA from Individual preys using Cytochrome oxidase I (COI).

Index 5 Prey species observed in the stomach contents of Etelis oculatus by extracting DNA from Individual preys using metabarcoding approach.

45

46

47

48

51

Introduction

Commercial fisheries support many US Caribbean people's livelihoods, as they are a vital source of employment and sustenance. Like many other Caribbean countries, the commercial fishing in Puerto Rico and the US Virgin Islands are artisanal, and occurs mostly on the insular shelf with the use of small boats. The catch consists primarily of shellfish (lobster), conch and finfish, with snappers and groupers being the most important finfish landed by weight. From 2007 to 2011, queen and silk snapper were the most landed species (Matos-Caraballo 2012). Many snappers are caught by recreational and commercial fishers on the west and east coast in deep waters (>200m). The two main fish species found within these depth ranges are the silk (Lutjanus vivanus) and queen snapper (Etelis oculatus)

Over the years, silk snappers were the primary targets for deep-water fisheries. However, in Puerto Rico queen snapper landings and revenues have increased through time. The decrease in silk snapper revenues could be due to changes in the way fisherman fish these species, from traps to vertical longlines, and management initiatives, with seasonal closures (October to December) and annual catch limits. The queen snapper fishery is becoming an increasingly important fishery. Matos-Carabello (2012) reported queen snappers' commercial landings to reach 135 tons in 2007, valuing around $770,000. Queen snapper represents about 10% of the entire finfish annual catch (CFMC 2010). Even though the queen snapper is a vital component essential to Puerto Rico's commercial fishing industry (CMFC 2016), not much is unknown about this species' biology and ecology (life history, habitat preferences, prey, etc.). The lack of available information has made it challenging to manage this species.

Queen snappers are members of the family, Lutjanidae, one of the largest fish family in the Caribbean. The distribution of the queen snapper is extensive in the western Atlantic Ocean, from

North Carolina to eastern Brazil, and is also found in the Gulf of Mexico. The queen snapper is the deepest dwelling snapper species, contributing to the lack of information collected about this species. The depth range of queen snapper was previously reported to range from 130 to 450 m (Allen 1985).Inthemostrecent NOAAOkeanos Expedition in 2018,scientists observedthequeen snapper as deep as 539m, possibly breaking a new record depth for this species. However, in Gobert et al. (2005), a fisherman in Guadeloupe reported catching queen snappers in depths from 100 to 550 m.

Like the silk snappers (Boardman and Weiler 1980, SAFE report 2005), it has been assumed that queen snappers also display a depth and ontogenetic relationship, where recruits and juveniles are found at shallower depths and adults move to the deeper habitats. Individuals smaller than 45- 50 cm were caught by fishermen close to the shore or at the shelf edge in Roatán, Honduras (Gobert et al. 2005). Juveniles have been sighted close to the shelf in less than 30 m (Appledoorn et al. 1987), and observed at mesophotic depths (59m) of the southeastern United States (Cuellar et al. 1996).

Observing recruits and juveniles of the queen snapper in the wild has been a problematic task. Thus, estimations of the queen snapper's life cycle have occurred by calculating the gonadosomal index (GSI). In Puerto Rico, queen snappers spawn throughout the year. However, Rosario et al. (2006) estimated the peak spawning times during October and November. At Vieux Fort in St. Lucia, Lesser Antilles, two recruitment peaks per year were observed for the queen snapper, one in March and one in August (Murray et al. 1989). However, Gobert et al. (2005) reported queen snappers spawning at the end of the year in the Lesser Antilles. In the same study, Gobert et al. observed the maturation size varied between sexes. Age maturity was 23 cm in females and31 cminmales(Rosarioetal.2006).WhileGobertet al.(2005)foundthatthesmallest

fish with developing gonads was 39 cm and 29 cm for females and males, respectively. The size structure of a population of queen snapper is dependent on the sex. Female snappers, in general, tend to grow bigger and faster (Claro and Garcia-Arteaga 2001) Females have been recorded to reach 90 cm in fork length in Guadeloupe, and for the total length between 94 cm in St. Lucia (Murrary 1989) and 100 cm in Venezuela (Cervigon 1991).

In Puerto Rico, the fishers catch queen snappers with weighted vertical longlines. Many times, this fishing gear is lost in crevices or entangled in deep-sea corals and sponges. Lost fishing gear was observed frequently during the Okeanos Expedition (Wagner et al. 2018), specifically at areas of high structural relief (SM Williams pers comm). High relief submerged reefs, like the Mona Passage and Desecheo Ridge, are targeted by fishers because they are the main habitats of the queen snappers (Tonioli and Agar 2011) Garcia Sais et al. (2018) AUV study, which characterized the habitat and benthic composition of targeted queen snapper sites, found the density and relative composition of sessile-benthic organisms to be highly varied along the west coast of Puerto Rico. Submerged areas with substrate discontinuities and high topographic relief were hotspots of biological diversity and locations of increased abundance of queen snappers (Garcia Sais et al. 2018, Wagner et al. 2018). The percent of cover by hard, soft and black corals intheMonaPassagewas high,closeto43%onhardsubstrate.Thisvalueisgreaterthanthepercent live coral on shallow-water coral reefs around Puerto Rico. Like the shallow-water counterparts, high topographic relief areas correlated to enhanced benthic productivity, microhabitat availability, and ecosystem biodiversity. Additional factors such as availability of hard bottom, depth, slope, and distance from shore may also be regulating sessile-benthic community structure and possibly the distribution of queen snappers.

Most of the research on queen snapper has occurred along the west coast of Puerto Rico and has focused on describing the benthic habitat at targeted snapper fishing sites (Garcia Sais et al. 2015, 2018) However, the queen snapper distribution around Puerto Rico is extensive (Wagner et al. 2018) (Fig. 1) Queen snappers were observed at six of the 19 sites during the Okeanos Expedition –which covered the entire island of Puerto Rico. Most of the sites with queen snapper observations were along the west coast. However, queen snappers were also observed in Ponce and south of St. Croix, US Virgin Islands. Also, as observed from landing data (Carballo-Matos 2012), queen snapper was landed all around Puerto Rico, with the east having the second-highest landings in 2010 (9,942 lbs.), followed by the north (5,215 lbs.) and south (4,589 lbs.).

1 Map showing the ROV dives from the Okeanos Expedition in 2018 (Wagner et al. 2018). Queen snappers were observed at Sites 4, 7, 13, 14, 15 and 16.

Figure

This study provides the first attempt to characterize the diet of the queen snappers, Etelis oculatus. We characterized and quantified the diversity in preys between sexes, size and locations of the queen snappers. In addition, we summarized the demographic information of the queen snappers collected and analyzed. Given the commercial importance of queen snapper and the lack of available information on this species, this study is essential. It provides baseline information and is part of a larger project funded by the Caribbean Fisheries Management Council to examine the food web of the queen snapper. We have provided some preliminary recommendations on the management of this species.

Methods

Processing fish samples

Commercial fishers of the west coast including, Nelson Crespo and Luis Roman, were contracted to collect queen snappers at known fishing grounds during November 2019, JanuaryFebruary, April and July 2020. The name, geographical location and depth of the site or area were recorded most of the time by the fishers. Given that this species is in high demand, the exact geographical location was not given for some sites because of the sensitivity of the fishing area. Therefore, the name of the coral reef system was reported. Figure 2 gives a general area of where the fish were collected. Once landed, queen snapper samples were stored in coolers full of ice until processed.

Figure 2 Map of the locations where queen snapper samples were collected during the study along the west coast of Puerto Rico. Coordinates were not available for South of Pichincho site.

Queen snapper samples (Fig. 3a) were identified by a code and were photographed next to a ruler (Fig. 3b) Fish were weighed to the nearest gram, except for fish caught at South of Pichinchos. Total, fork, and standard length were recorded for each fish with a ruler. A small piece (3 cm) of tissue sample was collected and preserved in DMSO to preserve the DNA. Stomachs and any remaining prey items in the mouth were removed and placed in a sterile Whirl-pack bag. Gonads were removed, weighed with a digital scale, photographed (Fig. 3c) and placed in a zip lock bag. Graciela Garcia-Moliner and Noemi Peña Alvarado identified the sex of most of the gonad samples via the photographs. Otoliths were removed, rinsed and dried. Once dried, the otoliths wereplacedin a plasticvial. Eyes wereremoved with aknife,andtheleft eyewas wrapped in tin foil. Eyes wereplacedin azip-lockbag.Knives, tweezers andprocessingtables werecleaned with a 10% bleach solution before and after the collection of stomach and tissue samples. Gloves

were replaced after each sample to avoid cross contamination of the samples. All samples were labeled and stored in a freezer with a temperature of -20°C, except the otoliths. Gonads, eyes and otoliths were sent to Dr. Virginia Shervette at the University of South Carolina Aiken. Stomachs and tissue samples were sent to Dr. Carlos Prada and Dr. Diana Beltran at the University of Rhode Island.

Stomach analysis

To initially identify the prey items present in E. oculatus, the undigested items of individuals were collected from each of the stomachs (Fig. 4). Items were placed in individual labelled tubes, and stored at -80 °C. To genotype each prey, we extracted genomic DNA from the muscle tissue of each prey following the QIAGEN DNeasy Kit protocol. We used a Bio-Rad 4000 thermal cycler for PCR amplifications with varying cycling conditions depending on the marker. A detailed description of primers sequence is provided in Table 1 We followed standard PCR

Figure 3 Photographs of (a) a queen snapper sample, (b) queen snapper length measurement and (c) gonads collected during the study.

conditions with 35 amplification cycles and annealing temperature of 54°C and 52°C for TELEO2 and COI, respectively. Preys were genotyped for the mitochondrial protein coding gene cytochrome oxidase I (COI), using two primers sets one for fish (Baldwin et al. 2009) and one for invertebrates (Folmer et al. 1994). A cycle-sequencing reactions were produced in both directions to add fluorescent labels and analyzed them on an ABI 3130xl using the amplification primers.

Sequences for each gene were assembled, edited, and aligned using Geneious R8 8.1.4 (Kearse et al. 2012). To identify species, we manually blast each COI sequence on the NCBI website using the blastx algorithm.

Figure 4. Prey items collected from stomachs of Etelis oculatus samples.

To better characterize the prey diversity in E. oculatus, we used a second approach with the metabarcoding protocol, largely following the latest standardized protocols and reducing confounding variables. For each collected fish, we recovered the digested content in the stomach and intestines, likely containing undigested preys. For each liquid sample, we extracted the DNA using a Macherely Nagil eDNA extraction kit. We then generated amplicons (three per sample) using specific primers, combined each replicate, sequence the amplicons in an Illumina MiSeq and then computationally identified species (Deiner et al. 2017; Fig. 4). Since only markers for vertebrates reliably allow species level resolution, we used the mitochondrial 12S gene with the TELEO2 primers (Tarbelet et al., 2018). Along with the samples, we run PCR negative controls to test for the presence of contamination or PCR artifacts.

Table 1 Cytochrome oxidase I and Tele02 primer sequences

Marker

Primer Name

Primer Sequence Reference

COI FISHCOILBC 5'TCAACYAATCAYAAAGATATYGGCAC-3' Baldwin et al. 2008 FISHCOIHBC 5'-ACTTCYGGGTGRCCRAARAATCA-3' Baldwin et al. 2008

LCO1490 5'-GGTCAACAAATCATAAAGATATTGG-3' Folmer et al. 1994 HC02198 5'-TAAACTTCAGGGTGACCAAAAAATCA3' Folmer et al. 1994

12S tele02-F 5'-AAACTCGTGCCAGCCACC-3' Taberlet et al, 2018 tele02-R 5'-GGGTATCTAATCCCAGTTTG-3' Taberlet et al, 2018

Statistics

Demographic analyses

Given the unbalanced nature of the data, four one-way distance Permutational Multivariate Analyses of Variance (PERMANOVA) tests (Anderson 2001) were performed to examine the

difference of the fork length between sample sites and time. We ran the same analyses to test for variation in weight across locations and sexes. Since the fork length is a univariate measure, the similarity matrix was based on Euclidean distances. Euclidean distance measures for univariate PERMANOVA analyses produce sums-of-squares estimates equivalent to parametric ANOVA (Anderson, 2001) and allow the same methodological framework to be used for all community attributes.

We calculated the gonadosomatic index (GSI) for each sample. The GSI was calculated using this algorithm GSI= (GW/FW)*100, where GW= gonad weight (g) and FW= fish weight (g). Two one-way PERMANOVA tests were run to assess the patterns in GSI between sampling sites and time. We followed the same PERMANOVA procedure above. PERMANOVAs were performed in PRIMER-E software.

A regression analysis was performed to examine the relationship between the fork length and weight of the fish. Fork length and weight were log transformed before the analysis. Regression analysis was run in Statistica 7.1 software.

Genetic analyses

To identify species from each sample, we initially trimmed Primers using Cutadapt (v. 1.9.1) (Martin 2011) and imported sequences into DADA2 for a quality filter, trim, check for chimeras, and finally, we merged them into a table of amplicon sequence variants (ASVs), the atomic unit of analysis (i.e., the taxonomic unit). ASVs were assigned taxonomy using a naive Bayesian classifier method that takes in the ASVs and a trained set of reference sequences from the ANACAPA database. We used blast (BLASTn) searches on ASVs represented in GenBank and BOLD (Barcode of Life Data Systems) (Ratnasingham and Hebert 2007). To assess the

accuracy of IDs, we used different sequence identity cut-offs and different taxonomic assignment methods such as RDP Classifier, SPINGO, and SINTAX (Leray et al. 2018). The end result was an ASV presence-absence matrix and a taxonomy file with the unique ASV ID and associated taxonomy. These files, along with sample metadata information, was imported into the R package Anacapa for downstream analyses and visualization (R Core Team, 2017).

One-way PERMANOVAs were performed to examine the distribution of prey items between the different locations, sex of the fish, and size. Species composition (presence/absence) was calculated with the Jaccard similarity index, which considers only the presence and absence of each species in each sample and allows comparisons of the proportion of species between locations. Similarity percentage tests (SIMPER) were also performed to identify which prey species contributed the difference in the factors (locations, sex, and size). SIMPERs were also performed in PRIMER-E software.

Results

Demographic results

A total of 157 queen snappers were collected from November 2019 to July 2020 at seven different locations (Fig. 3), ranging in depths from 256 m at Bajo Medio to 402 m at Site 3. The number of samples collected at each site/area varied (Table 2). Most fishers targeted Bajo Medio (55 samples) and Pichincho (29 samples). The size and weight of queen snappers collected during this study varied between sampling time and location. However, from the estimates of the components of variation, sampling time had a more significant influence on the size and weight of fish than location. The patterns of queen snapper size and weight are detailed below.

Table 2 The number of queen snapper samples collected at each site and sampling time along the west coast of Puerto Rico.

Bajo Medio 11/13/2020

Bajo Medio 1/16/2020 10 South of Pichincho 1/29/2020 8

Bajo Medio 2/2/2020 15

Bajo Medio

Size

The mean (±SE) standard, fork and the total length of queen snappers during the sampling period was 442.73 ± 11.53 mm, 472.06 ± 11.90 mm, 595.34 ± 15.24 mm, respectively. The standard size of queen snapper samples ranged from 190 mm to 756 mm, fork length ranged from 220 mm to 808 mm, and total length ranged from 260 mm to 970 mm

5 Fork length distribution of queen snapper samples collected at seven sites along the west coast of Puerto Rico.

Figure

As seen in Figure 5, the size distribution was skewed slightly to the left towards smaller fish. More fish were sampled with a fork length between 280 -300 mm and 520-540 mm in fork length.

Table 3 Permutational Multivariate ANOVA results of the difference of fork length (mm) of the queen snapper samples between sites and sampling times for the west coast of Puerto Rico.

Dependent variable: Fork Length (mm)

The fork length size significantly varied between sampling time and locations (Table 3).

Smaller fish were caught at Site 4 and Site 3, while larger fish were caught at Site 6 and South of Pichincho On average, fishers caught the largest fish in July and the smallest fish in November (Fig. 6)

Figure 6 Mean fork length of queen snappers between sites (left) and sampling times (right) on the west coast of Puerto Rico. Bars denote standard errors.

Weight

The mean (±SE) weight of the queen snapper during this project was 1,948.39 ± 144.22 g, ranging from 195 g to 10,568 g. Given the size differences between sites, it was not surprising that fish's weight also significantly varied between locations (Table 4)

Table 4 Permutational Multivariate ANOVA results of the difference of weight (g) of the queen snapper samples between sites and sampling times for the west coast of Puerto Rico.

Dependent variable: weight (g) Source

The weight variation within site was more extreme for fish weight than length, especially at Site

5. For sampling time, mean fish weight was the lowest during January, followed by November.

The highest weights were observed during July (Fig. 7).

Figure 7 Mean weight of queen snappers between sites (left) and sampling times (right) on the west coast of Puerto Rico. Bars denote standard errors. Fish weights were not collected for South of Pichincho site.

As seen in Figure 8, there was a strong positive relationship between the fork length (mm) and weight (g) (Regression, R=0.99, p<0.0001).

Figure 8 Strong linear relationship between the log weight (g) and log fork length (mm) of queen snappers sampled during this study performed along the west coast of Puerto Rico.

Gonads

We were able to identify the sexes from 110 queen snappers. The majority of the fish sampled were males (69%). Females had slightly greater average (± SE) fork length size (548. 61± 25.12 mm) than males (432.8 ± 14.82 mm). The average (± SE) gonad weight during this study was 11.82 ± 21.31 g. As seen by the standard error, there was a high variability of gonad weight, ranging from 0.1 g to 121.6 g (Site 6). Females had a higher average GSI (0.59 ± 0.10) compared to males (0.23 ± 0.03).

Table 5 Permutational Multivariate ANOVA results of the difference of the gonadosomatic index (GSI) value weight of the queen snapper samples between sites and sampling times for the west coast of Puerto Rico.

Dependent variable: Gonadosomatic index (GSI)

There was significant spatial and temporal variability in GSI during the study (Table 5). The GSI ranged from 0.02 at Pichincho to 2.78 at Site 5. GSI greatly varied at Site 5 and Site 6 (Fig. 9).

Figure 9 Mean gonadosomatic index value of queen snapper samples collected at seven sites along the west coast of Puerto Rico. Bars denote standard errors. GSI significantly varied between sampling times, which was due to the high values calculated during July (Fig. 10).

Figure 10 Mean gonadosomatic index value of queen snappers collected during sampling times along the west coast of Puerto Rico. Bars denote standard errors.

Prey detection

Individually separated items

Preys from individually separated undigested items in stomach contents were identified using the Cytochrome oxidase I (COI) marker. Out of the 146 of collected stomachs, 35 had undigested items (24% of the captures). The 75% of the fish collected exhibit signs of traumatic decompression, including regurgitation of the gut content.

Seven species of invertebrates (2 arthropods, 4 mollusks, and 1 isopod) and 16 fish species were found within those undigested items. Detection of some fish species was difficult in some samples because of competing co-amplification of the COI marker with the queen snapper’s DNA. The issue persisted even after we washed the sample multiple times and used blocking primers. We often got unreadable chromatograms. Table 6 describes all the different species identified using the COI marker along with the common name and the number of times found in the different samples. We reported all species found in stomach including those commonly use as baits such as skipjacks (Katsuwonus pelamis), little tunny (Euthynnus

alletteratus), blackfin tunas (Thunnus atlanticus), herring (Opisthonema oglinum,), ladyfish (Albula vulpes), and squids (N. Crespo pers comm). Bait species were identified in Table 6 and 7 with a red asterisk. We identified the genetic information of eight species used as bait corresponding to the 38% of the separated undigested items found in all the stomach contents.

Table 6 Species identified using Cytochrome oxidase I (COI) marker in undigested items found in the Etelis oculatus stomach contents. See Index 5 for pictures and web link to species details on FishBase.

Metabarcoding approach

We obtain metabarcoding sequence from 89 corresponding to 83%, out of 107 stomachs samples. Using the 12S marker, we found a total of 43 prey species present in the queen snapper stomach content samples (Table 7, Index 1 and 6), representing 37 genera (Index 2), and 24 prey families (Index 3) Diaphus dumerilii, Euthynnus alletteratus, Lepidophanes guentheri, were the only fish species detected with both molecular approaches. A picture of each species, including a link to their full description on FishBase is detailed in Index 6.

Table 7 Prey species of Etelis oculatus using two molecular approaches, Cytochrome oxidase I (COI) and Tele02.

Order Family

oxidase I (COI) Tele02 (12S)

Acanthuriformes Pomacanthidae Centropyge aurantonotus x

Acropomatiformes Epigonidae Sphyraenops bairdianus x

Pempheriformes Howellidae Howella brodiei x

Anguilliformes

Anguillidae Anguilla rostrata x

Derichthyidae Derichthys serpentinus x Muraenidae Gymnothorax saxicola x

Argentiniformes Opisthoproctidae Monacoa grimaldii x

Evermannellidae Coccorella atlantica x

Alepisauridae Omosudis lowii x

Aulopiformes

Synodontidae Saurida caribbaea x

Scopelarchidae Scopelarchoides danae x

Scopelarchidae Scopelarchus analis x

Beryciformes Trachichthyidae Gephyroberyx darwinii x

Carangiformes Carangidae Coryphaena equiselis * x

Carangidae Elagatis bipinnulata * x

Caproiformes Caproidae Antigonia combatia x

Clupeiformes Clupeidae Opisthonema oglinum * x

Decapoda Oplophoridae Oplophorus gracilirostris x

Oplophoridae Systellaspis debilis x

Gadiformes Phycidae Urophycis floridana x

Macrouridae Ventrifossa macropogon x

Myctophidae Diaphus dumerilii x x

Myctophidae Diaphus perspicillatus x

Myctophidae Lepidophanes guentheri x x

Myctophidae Electrona paucirastra x

Myctophidae Myctophum obtusirostre x

Myctophidae Myctophum selenops x

Myctophidae Diaphus mollis x

Myctophidae Diaphus brachycephalus x

Myctophiformes

Myctophidae Notolychnus valdiviae x

Myctophidae Myctophum nitidulum x

Myctophidae Diaphus splendidus x

Myctophidae Centrobranchus nigroocellatus x

Myctophidae Hygophum benoiti x

Myctophidae Hygophum reinhardtii x

Myctophidae Bolinichthys photothorax x

Myctophidae Diaphus sp. x

Myopsida Loliginidae Doryteuthis (possible pealeii) x

Table 7. cont.

Order Family

Lampadioteuthidae Lampadioteuthis megaleia * x

Oegopsida

Enoploteuthidae Abralia redfieldi * x

Enoploteuthidae Abralia veranyi * x

Scombridae Euthynnus alletteratus * x x

Scombridae Katsuwonus pelamis * x

Scombridae Scomberomorus regalis * x

Scombridae Thunnus obesus * x

Scombriformes

Trichiuridae Benthodesmus tenuis x

Chiasmodontidae Kali macrodon x

Scombridae Scomberomorus cavalla * x

Scombrolabracidae Scombrolabrax heterolepis x

Pomatomidae Pomatomus saltatrix * x

Gonostomatidae Gonostoma elongatum x

Stomiidae Astronesthes similus x

Sternoptychidae Argyropelecus aculeatus x

Phosichthyidae Ichthyococcus ovatus x

Phosichthyidae Ichthyococcus polli x

Stomiiformes

Stomiidae Idiacanthus fasciola x

Stomiidae Stomias affinis x

Gonostomatidae Sigmops elongatus x

Stomiidae Chauliodus sloani x

Stomiidae Astronesthes atlanticus x

Gonostomatidae Bonapartia pedaliota x

A total of 61 species belonging to eighteen orders, 38 genera and 31 families were observed in the stomach contents of queen snappers using the two molecular approaches (Table 7, Index 1, 2, and 3). The total number of prey species identified in stomach samples includes both the natural preys and the ones used as bait (see Table 6) We also identified the presence of other pelagic fishes in the stomach samples such as Scomberomorus regalis, S. cavalla, Elagatis bipinnulata, T. obesus, Pomatomus saltatrix, Coryphaena equiselis and Opisthonema oglinum. Therefore, it is unclear if queen snappers naturally are able to eat the juveniles of these species.

The most common prey item was the Diaphus brachycephalus, the short-headed lantern fish, which was found in 25 stomach samples, followed by Sigmops elongatus in 23 and Bonapartia pedaliota in 19 (Fig. 11 and Index 1) D. brachycephlus is a bathypelagic fish dwelling in deep waters a depth between 200 to 600 m (FishBase 2002). The two other common species, S. elongatus, elongated bristlemouth fish, and B. pedaliota, longgray fangjaw, are also bathypelagic fish inhabiting deeper waters, ranging usually between 100 to 1500m (FishBase 2002).

Myctophiformes was the most common order among the identified preys, with 16 species recognized within the family Myctophidae. We found 59 samples with Myctophidae preys. Stomiiformes fishes were the second most common order observed in this study, represented by eleven families in our sampling. Preys from the families Gonostomatidae and Stomiidae were identified in 34 and 17 stomach samples, respectively. The third most common order of prey observed in the stomach samples was the Aulopiformes. Four families represented by five prey’s species were observed in the queen snapper stomach content (Table 7, Index 1 and 3).

We identified five squid species including the midwater squid (Abralia veranyi), longfin inshore squid (Doryteuthis sp. (possible pealeii)), wonderful firefly squid (Lampadioteuthis megaleia), and Redfield's enope squid (Abralia redfieldi), and also two types of shrimps

Oplophorus gracilirostris, Systellaspis debilis (Table 6).

11 Species composition of stomach contents of Etelis oculatus.

Figure

Prey composition differed among locations (Table 8); however, these results should be taken with caution as the sample numbers greatly varied per site. As seen in Figure 12, Pichincho displayed the highest prey diversity with 33 different prey species. We also observed high prey diversity at Bajo Medio, another seamount and popular fishing ground for many species of fish especially queen snapper.

Table 8 The one-way Permutational Analysis of Variance tests examining the difference of prey composition between the locations along the west coast of Puerto Rico and sex of Etelis oculatus.

The most common prey species identified at Bajo Medio were two species of Diaphus, D. brachycephalus (11 samples) and D. dumerilii (8 samples). At Pichincho, Sigmops elongatus (11 samples)was themost commonpreyitem sampled,followedby Bonapartia pedaliota (8samples).

Hypogeum benoiti and Lepidophanes guentheri (8 samples), were the most common prey species sampled at Site 6.

Figure 12 Prey composition (total species number) in the stomach samples of Etelis oculatus at the different locations on the west side of Puerto Rico. The number of samples are in parentheses.

The species composition was significantly different between the size ranges 203-508 mm and 508-1016 mm fork length (Table 8). Smaller (<203 mm fork length) and larger fish (>1016 mm fork length) were not landed during this project, therefore we are missing stomach samples from these ranges. B. pedaliota, S. elongatus and H. benoiti were more common in the stomach contents of larger queen snappers (508-1016 mm), while D. brachycephalus, Myctophum nitidulum, D. dumerilii, Elagatis bipinnulata, and Lepidophanes guentheri contributed the most to the prey composition of smaller queen snappers (203-508 mm, SIMPER). We did not find any significanceofthepreycompositionbetweensexes(one-wayPERMANOVA,p=0.41).Thiscould be due to the lack of sex data for the samples.

Discussion

The deep-water snappers, silk and queen, are some of the most landed fishes in Puerto Rico (Matos-Carballo 2012). Even though queen snappers are an essential component of the Caribbean commercial fisheries (Bryan et al. 2011), the most recent published analyses of the queen snapper biology in Puerto Rico were carried out more than ten years ago (Rosario et al. 2006). The mean fork length measured in this study was slightly larger than that reported by Rosario et al. (2006), with a mean size of 312.05 ± 66.65 mm. The maximum length of fish caught in their study was less than 700mm, while in this study was slightly over 800 mm.

When comparing the length-frequency distribution of the west coast queen snappers to other places in the Caribbean, the distribution pattern is similar to the Honduras fisheries (Gobert et al. 2010). The fishers in the Lesser Antilles islands, like Barbados (Prescod et al. 1996) and Guadeloupe (Gobert et al. 2010), overall caught larger queen snappers. The size difference between islands could be due to several factors, such as the fishers' gear type, small sample sizes, and time duration during this study. The fishers on the west coast target queen snappers using weighted vertical long lines, unlike in Barbados and Guadeloupe, where they use hand lines and gillnets, respectively (Prescod et al. 1996, Gobert et al. 2010)

Several studies have calculated the relationship between weight and length of the queen snapper (Bohnsack and Harper 1988, Murray et al. 1992, Frota et al. 2004, Rosario et al. 2006).

Like past studies, there was a strong linear relationship between queen snapper fish weight and fork length. The power parameter calculated for this study was 2.80, which is similar to values calculated by Rosario et al. 2006 (2.84) and other studies in the south Atlantic and Caribbean, which range from 2.55 (Bohnsack and Harper 1988) to 2.91 (Frota et al. 2004). Therefore, our

study confirms that the queen snapper exhibits isometric growth, given that the power parameter is close to 3 (Bryan et al. 2011).

InwesternPuertoRico,thequeensnapperfishery is foundall year-round.However, fishers usually catch more fish when the water temperatures cool down, with landings increasing between September and March (N. Crespo pers comm.). Based on the GSI values reported by Rosario et al. (2006), queen snappers spawn during this time, between October and November. However, in this study, July collections exhibited the highest GSI values between the west coast sites. July was the only month when queen snappers were not collected during Rosario et al. (2006) study. Many queen snappers, both male and female, were gravid during the July collection. Therefore, queen snappers may spawn during late summer. Fishers have also observed female queen snappers to be gravid during July and August (N. Crespo pers comm.).

Regurgitation of gut contents due to rapid decompression remains a problem for prey identification of deep-water fishes. Most of our stomachs came empty without any big undigested pieces as in previous studies (Haight, et al, 1993). Even when pieces were found, it was difficult to identify the items in the stomachs due to its advance degree of degradation. Given the difficulty in identifying prey items in deep water fishes, we decided to use metabarcoding as regurgitated items likely left behind cells with DNA in the gastrointestinal tract. We were able to record preys in at least 89 samples using metabarcoding

Both of ourmolecular approaches suggest E. oculatus is a large carnivore that mainly feeds on squids, shrimps, and deep-water fishes. It coincides with earlier studies of its sister species, E. coruscans, and E. carbunculus that have also been reported as piscivorous fishes (i.e., primary piscivorous feeding guild; Haight, 1993). In fact, E. oculatus is classified as a 4.2 on the trophic level on FishBase, suggesting that only larger top predators such as striped marlin or some sharks

are above it in the trophic pyramid (FishBase 2002). Our data and previous reports support the idea that E. oculatus likely represents a top predator in deep water environments.

Our approach identified as the most common preys D brachycephalus, S elongatus, B pedaliota, L guentheri, M nitidulum, H benoiti, A atlanticus, D dumerilii, M selenops, C atlantica, and A. veranyi. These species mostly belong to three orders of deep-sea fishes. First, we have the Myctophiformes with 28% of the total species identified with both approaches (Table 7). The myctophids, commonly known as lanternfishes, are a diverse group with over 240 species (Helfman 2009). They occur in all seas and are prey of numerous other fishes and marine mammals. The group make up a large fraction of the deep scattering layer – a diverse assemble of the fishes and invertebrates that lives at mesopelagic depths (200–1000 m) during the day and migrate towards the surface at dusk (Helfman et al, 2009). The second order was the Stomiiforms with 18 % of the species identified (Table 7). The Stomiiforms commonly known as dragonfishes and allies, are characterized by inhabiting the mesopelagic and bathypelagic regions in the open water, between 200 and 4000 m depths. During the day, Stomiiforms stay in deep water, and at night migrate to the surface following zooplankton migration patterns and enjoying the plentiful of food in the shallow areas of the ocean. Lastly, we found the Aulopiforms with 8.5 % of the species identified (Table7). This is also a group that is largely found in the open water at mesopelagic habitats. All these species are considered deep-water dwellers of the mesopelagic, bathypelagic and benthic regions of the ocean (Table 9), suggesting that E. oculatus can feed in different habitats of the deep ocean.

In addition, we found nine families of Scombriformes, six of them were reported as baits during our study. However, we found three additional families, which suggest E. oculatus feeds

on these fishes in their natural habitats. Given the large size of some of these fishes, it seems most likely queen snappers prey on juveniles of these families.

Despite the lack of studies on the diet of deep-water snappers, we found an overlap with the only other study on Etelis species (Haight et al. 1993). Haight et al (1993) found that the main preys of E. coruscans and E. carbunculus were mesopelagic lanternfishes and the deep-water demersal cardinalfish. In Hawai’i, those mesopelagic species are a component of the “mesopelagic boundary community” (100-700 m), a band surrounding the islands or banks. If we apply this reasoning to our study, it means that E. oculatus is feeding mainly on mesopelagic fishes, mostly Myctophidae, that likely inhabit the mesopelagic boundary. Our data also suggest that E. oculatus can feed on other fish species. For instance, we found prey species in the families Scombridae, Phosichthyidae, Scopelarchidae, Gonostomatidae, Alepisauridae, Anguillidae, Caproidae, Carangidae, Chiasmodontidae, Coryphaenidae, Derichthyidae, Epigonidae, Evermamellidae, Howellidae, Macrouridae, Muraenidae, Opisthoproctidae, Phycidae, Pomacanthidae, Pomatomidae, Scombrolabracidae, Sternoptychidae, Synodontidae, Trachichthyidae, and Trichiuridae. We observed some of the families detected in previous studies such as the Mychtophidae, and Synodonidae. Yet, it is clear that our metabarcoding approach provided a broader resolution of the different preys of deep-water snappers, with identifying 31 families total Our study opens the possibility that the diet of E. oculatus is broad and includes fishes with different behaviors that occupy different habitats of the ocean.

The diet of E. oculatus also contained invertebrate preys such as three squids (Abralia veranyi, Doryteuthis pealeii, and Abalia redfieldi), two shrimps (Oplophorus gracilirostris and Systellaspis debilis), and one isopod species. Squids such as the ommastrepid (Humbolt squid) and chiroteuthis, have been previously reported as preys in other Etelis species from the Pacific

(Parrish 1987, in Haight 1993). In addition, large crustaceans such as lobsters, shrimps, crabs, amphipods, euphausiids, isopods, and stomatopods have been found to be part of the diet of the deep snappers in the pacific (Parrish1987, Seki and Callahan 1988 in Haight 1993). In our study, one species of squid was used as bait, yet we found two more, suggesting that squids are also part of the natural preys of the queen snapper in Puerto Rico.

Our study strongly suggests that E. oculatus is a demersal fish that feeds on benthic vertebrate and invertebrate species with the ability to capture mid-water fishes. We suggest that deep water snappers are a key link between shallow highly productive environments and demersal mostly unproductive areas. The reason is that a large portion of the E. oculatus preys are mesopelagic, like the Myctophiformes and Stomiiforms, that daily migrate from deep unproductive areas into shallow rich productive areas following the zooplankton. In essence, it is the zooplankton in the upper layers of the ocean that maintains a major fish community in the mesopelagic environment and by doing so, also supports a highly productive demersal community that maintains healthy stocks of deep-water snappers.

Table 9 Main prey species found in E. oculatus using the metabarcoding approach with ecological information about each species (FishBase 2002).

Specie

Distribution

Diaphus brachycephalus Marine bathypelagic oceanodromous depth range 200 - 600 m Deep-water

Sigmops elongatus Marine bathypelagic depth range 25 - 4740 m Deep-water

Bonapartia pedaliota Marine bathypelagic depth range 100 - 1200 m Deep-water

Lepidophanes guentheri Marine pelagic-oceanic oceanodromous depth range 40 - 750 m

Myctophum nitidulum Marine bathypelagic oceanodromous depth range 412 - 1537 m Deep-water

Hygophum benoiti Marine bathypelagic oceanodromous depth range 51 - 700 m Deep-water

Astronesthes atlanticus Marine bathypelagic depth range 300 - 1200 m

Diaphus dumerilii Marine pelagic-oceanic oceanodromous depth range - 805 m

Coccorella atlantica Marine bathypelagic oceanodromous depth range 50 - 1000 m Deep-water

Dasyscopelus selenops Marine bathypelagic oceanodromous depth range 40 - 500 m Deep-water

Our data indicate that diet composition of species of E. oculatus is relatively constant acrosslocations. Wehavesomelocations with higherdiversityofpreys, but at thesametime,these locations have many more samples, which prevents us to extricate if higher diversity is due to larger sample sizes or due to a location effect. The highest prey diversity was observed at Pichincho, a seamount located on the far western ridge of Desecheo Island, and a known recreational fishing site for highly migratory pelagic fishes (Appledoorn et al. 2015). As observed during the Okeanos Expedition, high structural relief of the karstic terrain characterizes the seafloor geomorphology at Pichincho (Wagner et al. 2018), and strong bottom currents have eroded and molded some of this karst terrain (Chaytor et al. 2015). The variation in structural relief has allowed for the high diversity and abundance of benthic organisms such as deep-sea corals and sponges. During the expedition, small invertebrates and deep-water fishes, such as the misty grouper (Hyporthodus mystacinus) and queen snapper were observed inhabiting caverns and overhangs that dominate this site. A more balanced sampling approach needs to be conducted to understand if there are site differences in prey items of E. oculatus.

We did observed variation in species composition of preys across size classes. B. pedaliota, S. elongatus and H. benoiti were more common in the stomach contents of larger queen

snappers, while D. brachycephalus, Myctophum nitidulum, D. dumerilii, Elagatis bipinnulata, and Lepidophanes guentheri more common in smaller queen snappers. This difference may be related to an ontogenetic change of E. oculatus in the exploitation of different habitats as it changes in size. However, more samples need to be collected of fish smaller than 203 mm fork length and larger than 1016 mm fork length to fully understand the relationship between prey diversity and age of the fish.

A major aspect of this study is our approach. To our knowledge this is the first attempt to use the meta– and barcoding approach to uncover the feeding patterns in a deep-water fish species.

Unlike previous cases with analysis of fish gut contents (Haight 1983), most of the fish prey we found were identified to the species level and even some of the most common invertebrate species were also identified to the species level. This high resolution in the identification of prey items in deep-water snappers is atypical and represents a viable alternative to continue learning about the biology of these species of commercial value. The identifiable preys were diverse systematically and ecologically and included Myctophid fishes with some benthic species like shrimps, fishes with demersal habits at a variety of depths, and fishes of the water column (Table 9).

Management recommendations

• Most of the studies, including this one, have not sampled larger queen snappers (>800 mm fork length). A more thorough analysis needs to be conducted to determine the size structureofthequeensnapperofPuertoRico,includingthesizestructureatotherlocations, especially in the north and east coasts.

• Given the results of this study, the spawning time of queen snappers should be revised. We observed a high mean GSI of 1.08 ± 2.44 during the July collection from 20 samples. Therefore, queen snappers might spawn during late summer. Fishers have observed gravid females during this time (N Crespo pers comm). More samples should be collected during July and August to confirm this possible new spawning time.

• Length-at-maturity is between 233 mm for females and 310 mm for males (Rosario et al. 2006), therefore based on the samples collected, around 76% of the fish sampled in this study were sexually matured individuals. Juveniles were not sampled, and this could be due to the sampling time, site location and depths targeted by west coast fishers. Further studies should be conducted to understand the recruitment dynamics of queen snappers, and if this species is recruitment limited.

• Pichincho has been already designated as an important location for highly migratory species. This seamount may be an important area for forage fish for the queen snappers. More stomach samples need to be collected and analyzed for not only the west coast of Puerto but in the north and east coasts. A more balanced sampling design will allow for site-specific prey descriptions.

• It is essential to incorporate fishers in any future queen snapper research. Researchers collaboratingwith fishersthroughacooperativeresearchprogram will benefit from abetter

quantity and quality of data, and furthermore a better understanding of the biology and ecology of this commercially-important species.

Acknowledgements

This project was founded by the Caribbean Fisheries Management Council (NA15NMF4410012; NOAA CRCP CFMC Grant NA17NMF4410270), the Florida Wildlife Federation, Inc and The Pew Charitable Trusts Conserving Marine Life in the United States We would first like to thank Luis Roman and Nelson Crespo for their dedication and knowledge that they shared of the queen snapper fishery. We would also like to thank Braulio Quintero, Katie Flynn, Orian Tzadik, Fernando Melendez Vazquez, Manuel Nieves, Leysa Lopez Gonzalez, and Maria del Pilar Gonzalez Garcia for their help in processing the samples. I would also like to thank Wilson Santiago and Noemi Pena from the Department of Natural and Environmental Resources (DNER) for their help in the logistical support and identifying the sexes of some of the samples. Juliane Mora helped with the molecular work to ID preys and the HPC Center at URI provided all the server support to analyze the metabarcoding data. Also, we would like to thank Dr. Virginia Shervette for allowing us to collect gut contents and size measurements from her queen snapper samples.

References

Allen GR (1985) FAO species catalogue. Vol. 6. Snappers of the world. An annotated and illustrated catalogue of lutjanid species known to date. FAO Fish. Synop. 125, vol. 6:1−208.

Anderson, MJ (2001) Permutation tests for univariate or multivariate analysis of variance and regression. Can. J. Fish. Aquat. Sci., 58, 626– 639.

Appeldoorn RS, Sanders IM, Färber L (2015) A 51 year reconstruction of fisheries catch in Puerto Rico. Final Report Fisheries Centre, University of British, Columbia, Vancouver, Canada. Appeldoorn RS, Dennis D, Monterrosa Lopez O (1987) Review of shared demersal resources of Puerto Rico and the Lesser Antilles region. FAO Fish. Rep. 383:36−106

Baldwin C, Mounts J, Smith D, Weigt L (2008) Genetic identification and color descriptions of early life-history stages of Belizean Phaeoptyx and Astrapogon (Teleostei: Apogonidae) with Comments on identification of adult Phaeoptyx. Zootaxa 1:2009.

Boardman C, Weiler D (1980) Aspects of the life history of three deepwater snappers around Puerto Rico. Proc. Gulf Carib. Fish. Inst. 32:158−172.

Bohnsack, JA, and Harper DE (1988) Length-weight relationships of selected marine reef fishes from the southeastern United States and the Caribbean. NOAA Tech. Mem. NMFS-SEFC215:31 p.

Bryan MD, Lopez MDM, Tokotch B (2011) A review of the life history characteristics of silk snapper queen snapper, and redtail parrotfish. Caribbean Southeast Data Assessment Review Workshop Report SEDAR26-DW-01. 42 p.

Caribbean FisheryManagementCouncil (2016)Permit to harvest queen andcardinal snapperfrom Puerto Rico EEZ waters Scoping Document. 34p.

Caribbean Fishery Management Council (2010) Amendment 2 to the Fishery Management Plan for the Queen Conch Fishery of Puerto Rico and the U.S. Virgin Islands and Amendment 5 to the Reef Fish Fishery Management Plan of Puerto Rico and the U.S. Virgin Islands (including Final Environmental Impact Statement, Regulatory Impact Review, and Initial Regulatory Flexibility Analysis). 647p.

Cervigón F (1991) Los peces marinos de Venezuela, 951 p. Fundación Científica Los Roques, Caracas, Venezuela.

Chaytor J, Demopoulos A, Ten Brink U, Quattrini A (2015) Ecology and geology of the Mona Passage Region- The view from D2 and Seirios. NOAA Océano Profundo 2015: Exploring Puerto Rico’s Seamounts, Trenches, and Troughs.

Claro R, García-Arteaga JP (2001) Growth patterns of fishes of the Cuban shelf. In Ecology of the marine fishes of Cuba (Claro R, Lindeman LC, Parenti LR eds), Smithsonian Institution Press, Washington and London. p. 149−178.

Cuellar N, Sedberry GR, Machowski DJ, Collins MR (1996) Species composition, distribution and trends in abundance of snappers of the southeastern USA, based on fishery independent sampling. ICLARM Conf. Proc. 48:59−73.

Deiner K, Bik HM, Mächler E, Seymour M, Lacoursière‐Roussel A, Altermatt F, Creer S, Bista I, Lodge DM, Vere N de, Pfrender ME, Bernatchez L (2017) Environmental DNA metabarcoding: Transforming how we survey animal and plant communities. Molecular Ecology 26: 5872–5895. https://doi.org/10.1111/mec.14350

Doble CJ, Hipperson H, Salzburger W, Horsburgh GJ, Mwita C, Murrell, Frota LO, Costa PAS, Braga AC (2004) Length-weight relationships of marine fishes from the central Brazilian coast. NAGA, WorldFish Center Quarterly 27:20-26.

Folmer O, Black M, Hoeh W, Lutz R, Vrijenhoekand R (1994) DNA primers for amplification of mitochondrial cytochrome c oxidase subunit I from diverse metazoan invertebrates. Molecular Marine Biology and Biotechnology. 3(5), 294-299.

Frota LO, Costa PAS, Braga AC (2004) Length-weight relationships of marine fishes from the central Brazilian coast. NAGA, WorldFish Center Quarterly 27:20-26

Garcia-Sais JR, Williams S, Sabater J, Garcia-Moliner G (2018) Characterization of benthic habitats associated with deep-water snapper fishing grounds of Desecheo Ridge and other seamounts of the west coast of Puerto Rico. Final Report submitted to Caribbean Fisheries Management Council. 118 p.

García-Sais, JR (2015) Characterization of Deep Reef Benthic Habitats of Queen Snapper in Mona Passage, Puerto Rico. Final Report submitted to the Caribbean Fisheries Management Council. 85 p.

Gobert B, Guillou A, Murray P, Berthou P, Oqueli Turcios MD, Lopez E, Jérôme Huet PL, Diaz N, Gervain P (2005) Biology of queen snapper (Etelis oculatus: Lutjanidae) in the Caribbean. Fish Bull 103: 417-425.

Haight W, Parrish J, Hayes TA (1993) Feeding Ecology of Deepwater Lutjanid Snappers at Penguin Bank, Hawaii. Transactions of the American Fisheries Society. 122:328-347.

Helfman G, Collette B, Facey D, Bowen B (2009) The diversity of fishes: Biology, Evolution, and Ecology. Second edition. Wiley-Blackell

Leray M, Lin IJ, Ho S. L, and Machida RJ (2018) MIDORI server: a webserver for taxonomic assignment of unknown metazoan mitochondrial-encoded sequences using a curated database. Bioinformatics 34:3753-3754.

Martin M (2011) Cutadapt removes adapter sequences from high-throughput sequencing reads EMBnet.journal 17:1.

Murray PA (1989) A comparative study of methods for determining mean length-at-age and von Bertalanffy growth parameters for two fish species. M. Phil. thesis, 222 p. Univ. West Indies, Cave Hill, Barbados.

Murray PA, Chinnery LE and Moore EA (1992) The recruitment of the queen snapper, Etelis oculatus, Val, into the St. Lucia fishery: recruitment of fish and recruitment of fishermen. Proc Gulf Caribb Fish. Inst. 41:297-303.

Prescod SD, Oxenford HA, and Taylor C (1996) The snapper fishery of Barbados: present status and a preliminary assessment of the potential for expansion. Proc. Gulf Carib. Fish Inst 44:159−179

R Core Team (2017) R: A language and environment for statistical computing. R Foundation for Statistical Computing, Vienna, Austria. URL https://www.R-project.org/

Ratnasingham S, & Hebert PD (2007). bold: The Barcode of Life Data System (http://www.barcodinglife.org). Molecular Ecology Notes 7(3):355–364. https://doi.org/10.1111/j.1471-8286.2007.01678.x.

Rosario A, Rojas J, Pineiro E, Figuerola M, Pena N, and Torres W (2006) a Reproductivecycle of the Queen Snapper (Etelis oculatus) and the Wenchman (Pristipomoides macrophthalmus). Completion Report to the NMFS. Department of Natural and Environmental Resources, Fisheries Research Laboratory. 31 p

Taberlet P, Bonin A, Coissac E, and Zinger L (2018) Environmental DNA: For biodiversity research and monitoring, Oxford (UK): Oxford University Press.

Tonioli FC, Agar JJ (2011) Synopsis of Puerto Rican commercial fisheries. NOAA Technical Memorandum NMFS-SEFSC-622, 69 p.

Wagner D, Sowers D, Williams SM, Auscavitch S, Blaney D & Cromwell M (2018) EX-18-11 Expedition Report -Océano Profundo 2018: Exploring Deep-Sea Habitats off Puerto Rico and the U.S. Virgin Islands. Office of Ocean Exploration and Research, Office of Oceanic & Atmospheric Research, NOAA, Silver Spring, MD 20910. OER Expedition Report EX-18-11,171 pp. doi: 10.25923/wc2n-qg29

Indices

Index 1 Prey species present in the Etelis oculatus stomach content samples using the metabarcoding genetic approach.

Index 2 Prey genera present in the Etelis oculatus stomach content samples using the metabarcoding genetic approach.

Index 3 Prey families present in the Etelis oculatus stomach content samples using the metabarcoding genetic approach.

Index 4 Prey species observed in the stomach contents of Etelis oculatus by extracting DNA from Individual preys using Cytochrome oxidase I (COI).

Index 5 Prey species observed in the stomach contents of Etelis oculatus by extracting DNA from Individual preys using metabarcoding approach.

Squid fishing: New Opportunities in Deep Sea Fishing

Jannette Ramos García

Puerto Rico Sea Grant Program

Caribbean Fishery Management Council - Outreach and Education Advisory Panel Member

Squid Fishing: New Opportunities in Deep Sea Fishing

• The waters surrounding the Puerto Rican archipelago and the US Virgin Islands are rich in species diversity, both economically and recreationally important. Two of these species are the diamondback squid (Thysanoteuthis rhombus) and the neon flying squid (Ommastrephes bartramii). Many people enjoy eating squid; however, they are seldom fished in local waters and are usually purchased imported and frozen.

• Meanwhile, it wasn’t until recently that USVI fishers -very successfully- began fishing and selling them.

• Captain Marcos Hanke Herrero, being a consummate fisherman, took it upon himself to learn more about squid fishing. He intended to transmit this knowledge to other commercial fishers and thus add new funds to that obtained from usual catch sales.

Alternative Resources

Fuete y Verguilla is a magazine dedicated to the commercial fishing sector, therefore; it has been the medium chosen by the Caribbean Fishery Management Council to bring fishermen the necessary information to make them aware of this new type of fishing from the experience acquired by Captain Marcos Hanke.

One of the fishermen who welcomed the deep squid fishing proposal was Francisco Águeda from Villa Pesquera La Coal in San Juan. He has already sold at least four squids to several restaurants from San Juan to Isabela at a price of $16.00 a pound.

Thanks to Marcos for his excellent work and his desire to educate and bring new alternatives to fishermen in both Puerto Rico and the USVI and thanks to the Council for trusting that Fuete y Verguilla is the best means of bringing this information to fishermen.

Thank you!

Consideration of Management Measures for Pelagic Species Under the Island-based Fishery Management Plans

White Paper

April 2022

List of Tables

Table 1.1. Pelagic species managed under the island-based fishery management plans. ............. 6

Table 1.2. Recreational size limits and bag limits for pelagic species in Puerto Rico state waters. ......................................................................................................................................................... 7

Table 1.3. Summary of management measures for pelagic species in federal waters managed by the South Atlantic (SA) and Gulf of Mexico (GoM) Fishery Management Councils. ................. 15

Table 2.1. Selection matrix for considering minimum size limits for pelagic species under each island-based FMP.......................................................................................................................... 17

Table 2.2. Selection matrix for considering quota limits for pelagic species under each islandbased FMP. ................................................................................................................................... 18

List of Figures

Figure 1.1. Annual recreational (black bars) and commercial (gray bars) landings for dolphin, wahoo, great barracuda, and tripletail in Puerto Rico from 2000-2017.......................................... 9

Figure 1.2. Annual recreational (black bars) and commercial (gray bars) landings for blackfin tuna, little tunny, king mackerel, and cero mackerel in Puerto Rico from 2000-2017. ................ 10

Figure 1.3. Annual dolphin (black bars) and wahoo (gray bars) commercial landings in St. Thomas and St. John from 2000-2020. ......................................................................................... 11

Figure 1.4. Annual dolphin (black bars) and wahoo (gray bars) commercial landings in St. Croix from 2000-2020. ................................................................................................................. 12

1. Background

The Puerto Rico Fishery Management Plan (FMP), the St. Thomas and St. John FMP, and the St. Croix FMP were approved by the Secretary of Commerce in September 2020. Select pelagic species were included for management in federal waters under the FMPs (Table 1). Pelagic species were not managed under the U.S. Caribbean-wide FMPs, and thus are new to federal management. The island-based FMPs established annual catch limits (ACL), annual catch targets, and accountability measures for the pelagic stocks and stock complexes (Appendix A), but did not establish size limits or bag and trip limits for the stocks and stock complexes.

This paper provides information to assist the Caribbean Fishery Management Council (Caribbean Council) in establishing additional management measures for the pelagic species to control or reduce effort, if desired.

Table 1.1. Pelagic species managed under the island-based fishery management plans.

Puerto Rico FMP St. Thomas/St. John FMP St. Croix FMP

Tripletail (Lobotes surinamensis)

Dolphin (Coryphaena hippurus)

Pompano dolphin (Coryphaena equiselis)

Little tunny (Euthynnus alletteratus)

Blackfin tuna (Thunnus atlanticus)

King mackerel (Scomberomorus cavalla)

Cero mackerel (Scomberomorus regalis)

Wahoo (Acanthocybium solandri)

Great barracuda (Sphyraena barracuda)

Dolphin (Coryphaena hippurus) Wahoo (Acanthocybium solandri)

Dolphin (Coryphaena hippurus) Wahoo (Acanthocybium solandri)

1.1 Guidance from the Caribbean Council

At the December 2021 Caribbean Council meeting, pelagic species new to management were discussed by constituents and Council members.

The Puerto Rico District Advisory Panel (DAP) Chair presented a summary from the October 2021 DAP meeting discussing compatible state and federal regulations. The Puerto Rico DAP recommended that the Caribbean Council consider establishing size and bag limits for recreational fishing in federal waters similar to the regulations in place in Puerto Rico state waters (Table 1.2), but that the bag limits in federal waters for dolphin be set at fewer fish per day than allowed in state waters.

Generic Framework Amendment

Spiny Lobster Reference Points

Chapter 1. Introduction

Table 1.2. Recreational size limits and bag limits for pelagic species in Puerto Rico state waters.

Regulation Recreational Limit

Size limit

Bag limit

King mackerel - 20” fork length minimum

Cero mackerel - 16” fork length minimum

Dolphin - 10 per fisher/day or 30 per vessel/day, whichever is less.

Wahoo, King mackerel, Cero mackerel - 5 of each species per fisher/day or 10 animals vessel/day, whichever is less.

Source: Puerto Rico Fishing Regulations 2010 (#7949), Department of Natural and Environmental Resources

Following a presentation from the Beyond Our Shores Foundation Director on the Dolphinfish Research Program, Caribbean Council members discussed concerns about the potential overharvesting of juvenile dolphinfish in the region due to the continuous influx of Sargassum. The Chair of the St. Thomas and St. John DAP commented that the St. Thomas and St. John Fishery Advisory Committee (FAC), a U.S. Virgin Islands (USVI) territorial committee, previously recommended size and bag limits for dolphin and wahoo for recreational fishing regulations, which the FAC planned to propose for consideration from both state and federal managers. It was noted that the St. Croix FAC had similar discussions for dolphin and wahoo size limits. Currently, there are no commercial or recreational size limits, commercial trip limits, or recreational bag limits for pelagic species in USVI state or federal waters.

To begin addressing these issues, the Caribbean Council directed staff to develop a white paper for size limits for dolphin, wahoo, and mackerels 1 and recreational bag limits for dolphin and wahoo.

1.2 Description of the U.S. Caribbean Pelagic Fisheries

Pelagic and coastal pelagic species are targeted by commercial and recreational fishermen in both Puerto Rico and the USVI. The new island-based FMPs manage a select number of pelagic species.

Puerto Rico

In Puerto Rico, commercial fishermen primarily use hook-and-line gear, specifically handlines, to target coastal migratory species such as dolphin, wahoo, cero mackerel, and king mackerel (Agar and Shivlani 2016). About 59% of the fishermen using hook-and-line gear stated they primarily fish in Commonwealth waters (<9 nautical miles), 39% fish in both federal and Commonwealth waters, and <2% fish solely in federal waters (9-200 nautical miles) (Agar and Shivlani 2016). Between 1983 and 2002, pelagics (tuna, dorado, wahoo, marlin, sailfish and

1 King and Cero mackerel are only managed in U.S. Caribbean federal waters under the Puerto Rico Fishery Management Plan.

Generic Framework Amendment

Spiny Lobster Reference Points

Chapter 1. Introduction

swordfish) comprised approximately 7.6% of the total commercial landings (Salas et al. 2011).

Of the pelagic species reported in the most recent Fisheries of the United States Report (NMFS 2021), dolphinfish accounted for 8% of the total landings for finfish species in Puerto Rico. In Puerto Rico, there are two-dolphinfish seasons: October through March for the northern stock and March to June for the southern stock (Rodríguez-Ferrer et al. 2006).

Currently, few data are available for recreational fishing activities in Puerto Rico. The National Marine Fisheries Service (NMFS) implemented its Marine Recreational Fisheries Sampling Survey Program in Puerto Rico in 2000, but the program was suspended in 2017 and has not resumed to date. During 2000-2017, the annual recreational landings estimated by the Marine Recreational Information Program for dolphin, wahoo, great barracuda and tripletail were greater than the commercial landings (Figure 1). For blackfin tuna, little tunny, king mackerel, and cero mackerel, recreational and commercial annual landings during the same period were closer in number (Figure 2).

A comparison of commercial and recreational fishing in Puerto Rico from 2000-2003, found that commercial fishermen landed more dolphin by weight, but smaller sized fish (414-1100 mm fork length) than both the recreational fishermen (700 - 1100 mm FL) and tournament fishermen (800 - 1149 mm FL) (Rodríguez-Ferrer et al. 2006).

Figure 1.1. Annual recreational (black bars) and commercial (gray bars) landings for dolphin, wahoo, great barracuda, and tripletail in Puerto Rico from 2000-2017.

Figure 1.2. Annual recreational (black bars) and commercial (gray bars) landings for blackfin tuna, little tunny, king mackerel, and cero mackerel in Puerto Rico from 2000-2017.

In Puerto Rico, tournaments are an important part of the recreational fishing activities. Before regulations (i.e., bag limits) for dolphinfish were implemented by Puerto Rico in 2005, catches of 50 or more fish per boat per day were observed, with high numbers of immature fish and females landed. Following the 2005 bag limits regulations, the tournaments encouraged fishermen to land bigger fish, which reduced the tendency to land immature fish. Dolphinfish, great barracuda, wahoo, and tunas are the most often observed bycatch species during the tournaments. Rodríguez-Ferrer et al. (2007) evaluated data collected from fishing tournaments in Puerto Rico from 2000 to 2006, which included size information on landed dolphin (100-1525 mm), wahoo (570-1640 mm), mackerel (652-790 mm), and great barracuda (136-1420 mm).

Generic Framework Amendment Chapter 1. Introduction

Spiny Lobster Reference Points

U.S. Virgin Islands

The USVI commercial fisheries in St. Thomas and St. John and in St. Croix are small scale, artisanal fisheries that primarily catch benthic, coastal pelagic, and deep-water pelagic fish as well as spiny lobster and queen conch (Kojis et al. 2017). The fisheries are operated almost exclusively from small boats and the fishermen market the daily catch themselves. The shelf surrounding St. Croix is smaller than the shelf around St. Thomas and St. John, so deeper water is closer to shore and, therefore, pelagic fish are more accessible to the island’s small boat fishery.

Dolphinfish and wahoo are harvested by about a quarter of fishermen on St. Thomas and St. John and more than half of the fishermen on St. Croix (Kojis et al. 2017). Most commercial fishermen fish year-round, but a few fish seasonally: October to November for dolphinfish, kingfish, tuna, wahoo in St. Thomas and St. John, and November to May for dolphinfish and other migratory pelagic fish in St. Croix (Kojis et al. 2017). In the USVI, dolphin landings have a primary peak in the spring and a secondary peak in the fall and wahoo landings have a single peak in fall/winter (Toller et al. 2005). In 2019, dolphinfish accounted for 6% of the total commercial landings in the USVI and wahoo for 3% (NMFS 2021). Annual commercial landings of dolphin and wahoo are generally greater in St. Croix than in St. Thomas and St. John (Figures 1.3 and 1.4).

Figure 1.3. Annual dolphin (black bars) and wahoo (gray bars) commercial landings in St. Thomas and St. John from 2000-2020.

Figure 1.4. Annual dolphin (black bars) and wahoo (gray bars) commercial landings in St. Croix from 2000-2020.

As in Puerto Rico, information on recreational fishing in the USVI is very limited. Most data are collected from fishing tournaments or special projects (García-Moliner et al. 2002). A survey of recreational fishermen found that three broad types of fishing occur in the USVI: (1) big game fishing on large vessels (>9 meters) that primarily target billfish; (2) private boat fishing conducted on smaller boats that target reef fish and offshore pelagic fish; and (3) fishing from shore (e.g., beach, pier, dock), which primarily targets reef fish (Kojis and Tobias 2016). Most recreational fishing is done using hook-and-line fishing gear types such as plastic spool (Yo-Yo reel) or rod and reel. On St. Thomas and St. John, a higher number of fishermen participated in offshore and inshore trolling (65% and 61%, respectively) than on St. Croix (55% and 42%, respectively). These methods are primarily used to catch tuna, mackerel, dolphinfish and jacks.

Dolphin, wahoo, and billfish tournaments occur during the spring and summer migrations of pelagic species. Fourteen percent of the USVI recreational fishermen surveyed participated in fishing tournaments (22% from St. Thomas and St. John and 6% from St. Croix) (Kojis and Tobias 2016). Toller et al. (2005) identified five types of sportfishing tournaments in the USVI: shore-based handline, boat-based handline, offshore coastal pelagic, offshore pelagic, and marlin. Of those tournaments, landings from 2000 to 2005 on St. Thomas were dominated by dolphin, barracuda, and wahoo (Toller et al. 2005). On St. Croix, tournament landings during the same period were dominated by dolphin and wahoo. A greater number, weight and diversity of coastal pelagics were landed in St. Thomas tournaments than in St. Croix tournaments (Toller et al. 2005). An average of 12.9 boats that participated in offshore pelagic tournaments in St. Thomas (range 5 to 27) and 11.4 boats in St. Croix (range 7 to 20). Both fishing effort and catch rates were highly variable within and among years.

Generic Framework Amendment Chapter 1. Introduction Spiny Lobster Reference Points

In the USVI, declines in reef fish stocks prompted managers to encourage commercial fishermen to shift fishing effort towards seasonal stocks (i.e. dolphin, wahoo, and tuna) (Toller et al. 2005). If USVI reef fish stocks should continue to decline, it can be predicted that commercial effort will progressively shift towards pelagic resources. Therefore, managers must be aware of the potential for conflict between commercial and recreational fishermen over the shared resources.

1.3 Federal Management of Pelagic Species in the Southeast Region

In 1983, the Caribbean Council developed a Draft Fishery Management Plan for coastal migratory pelagic species (CCMP FMP) and an associated environmental impact statement (CFMC 1983). The species considered under the CCMP FMP included cero mackerel, king mackerel, great barracuda, dolphin, wahoo, almaco jack, bar jack, greater amberjack, horse-eye jack, yellow jack, blue runner, and rainbow runner. The Draft FMP was submitted in April 1983 at the 46th Caribbean Council meeting but was withdrawn in December 1983 (48th CFMC meeting). As such, the CCMP FMP was never formalized.

In February 2001, under the guidance of NMFS and NOAA General Counsel, the Caribbean Council, Gulf of Mexico Fishery Management Council (Gulf Council), and South Atlantic Fishery Management Council (South Atlantic Council) met in a joint session and approved a Dolphin Wahoo FMP for submission to the Secretary of Commerce for formal review. However, prior to submission and prompted by litigation, it was determined that the joint FMP did not meet mandates of the Sustainable Fisheries Act relative to Essential Fish Habitat. The Councils, NMFS and NOAA General Counsel worked to revise the FMP, but were advised by NOAA General Counsel that the litigation would require the Gulf and Caribbean Councils to incorporate bycatch measures in the FMP rather than deferring implementation through the proposed framework procedures. In July 2002, the South Atlantic Council requested the Secretary of Commerce approve their withdrawal from a joint Dolphin and Wahoo FMP with the Caribbean and Gulf Councils and approve the Dolphin and Wahoo FMP of the Atlantic (SAFMC 2003).

Of the pelagic species new to federal management in the U.S. Caribbean under the island-based FMPs (Table 1.1), dolphin, pompano dolphin, and wahoo are managed by the South Atlantic Council under the Dolphin and Wahoo FMP (SAFMC 2003), and king mackerel is managed jointly by the Gulf Council and South Atlantic Fishery Council under the FMP for the Coastal Migratory Pelagic of the Gulf of Mexico and Atlantic Region (GMFMC and SAFMC 1985). A summary of the rationale for certain management measures for these species, including size limits, recreational bag limits, and commercial trip limits, are described below and current regulations for the species are listed in Table 1.3.

The size limits considered for dolphin were based on life history information coupled with size distribution of dolphinfish in both the commercial (by gear type) and

Generic Framework Amendment Chapter 1. Introduction Spiny Lobster Reference Points

recreational (by fishing mode) landings data from the South Atlantic region (SAFMC 2003). A size limit was established in hopes of preventing the catch of smaller fish, discouraging waste by overharvest and discards, and imparting a conservation ethic to both sectors of the fishery. One complicating factor noted was the presence of pompano dolphin in the catch, which seldom grow larger than 16 inches.

A recreational bag limit for dolphin was established to reduce the practice of harvesting large quantities or entire schools of small, immature dolphin (SAFMC 2003).

Unrestricted bag limits could result in localized depletion. The South Atlantic Council concluded that the recreational bag limit would cap dolphin harvest without excessively reducing the catch. The South Atlantic Council realized that some level of release mortality could occur, but thought that there would be a greater tendency to stop fishing when the bag limit is attained.

A commercial trip limit for dolphin of 4,000 pounds whole weight when 75% of the annual catch limit is met was established to regulate and cap commercial harvest of dolphin, insure highly efficient gear are not employed in the dolphin portion of the dolphin and wahoo fishery, and prevent a rapid increase in commercial landings, which could shift allocation from the recreational sector to the commercial sector (SAFMC 2016a). The South Atlantic Council felt that not implementing trip limits could result in additional effort and gear being introduced into the dolphin portion of the fishery, unrestrained commercial harvest, and the potential for overfishing.

A size limit was not established for wahoo, which would allow for harvest of fish prior to spawning. However, the majority of testimony at public hearings indicated there would be a problem with releasing wahoo safely and the associated hooking/gaffing mortality would likely outweigh the intended benefit.

A commercial trip limit for wahoo was established to cap harvest and prevent expansion (SAFMC 2003). It was noted by the South Atlantic Council that not establishing a commercial trip limit would leave harvest for wahoo unrestrained and a significant increase in harvest could occur if fishermen targeted wahoo with some type of highly efficient gear.

A recreational bag limit for wahoo was established to reduce the potential for excessive harvest and impart a conservation ethic to fishermen (SAFMC 2003). Public testimony and landings data suggested that catching more than two wahoo per recreational trip was uncommon. The South Atlantic Council felt that not establishing a bag limit could result in overfishing if there is no cap on total allowable catch and effort were to expand.

A recreational bag limit for king mackerel was established to limit future catch to a predefined level (GMFMC and SAFMC 1985).

A size limit for king mackerel was established to facilitate enforcement of the same size limit for Spanish mackerel (GMFMC and SAFMC 1990). It was noted that undersized Spanish mackerel are taken in a directed fishery and since the species may be confused for the other due to their similar appearance, having the same size limit for both species would benefit the Spanish mackerel stocks. It was also noted that release mortality for small fish of both species is believed to be low.

Table 1.3. Summary of management measures for pelagic species in federal waters managed by the South Atlantic (SA) and Gulf of Mexico (GoM) Fishery Management Councils.

Mgmt.

Measure

Size limit

Trip limit (commercial) and Bag limit (recreational)

Dolphin - 20” minimum FL off FL, GA, and SC. No size restrictions in NC.

Wahoo – none

King mackerel SA – 24” FL

King mackerel GoM – 24” FL

Dolphin - None if the vessel has a federal commercial permit for dolphin or wahoo. (Once 75% of the Atlantic dolphin ACL is reached, the trip limit is 4,000 lb (1,814 kg), round weight). For commercially permitted vessels fishing north of 39°N. that do not have a federal commercial vessel dolphin or wahoo permit, the trip limit is 200 lb combined.

Wahoo - 500 lb (head and tail intact)

(If a notice is filed to close commercial harvest, then sale prohibited and bag limit [2] applies)

King mackerel SA – see 50 CFR 622.385(a)(1) for limits per zone

King mackerel GoM – see 50 CFR 622.385(a)(2) for limits per zone

Dolphin - 20” minimum FL off the east coast of FL, GA, and SC; No size restrictions north of the SC/NC border through Maine.

Wahoo – none

King mackerel SA – 24” FL

King mackerel GoM –24” FL

Dolphin - Bag limit of 10 dolphin and 2 wahoo per person/day, with a limit of 60 dolphin per boat/day (headboats are excluded from the boat limit)*.

Wahoo - 2 per person/day

King mackerel SA – 3 per person (GA:NY) and 2 per person (FL)

King mackerel GoM – 3 per person

* The bag limit for dolphin was revised under Amendment 10 to the Fishery Management Plan for the Dolphin and Wahoo Fishery of the Atlantic (87 FR 19011; effective date May 2, 2022).

Framework Amendment

Chapter 1. Introduction Spiny Lobster Reference Points

2. Discussion of Management Measures for Pelagic Stocks

The Caribbean Fishery Management Council (Caribbean Council) has expressed interest in setting size and bag limits for dolphin and wahoo in federal waters off Puerto Rico, St. Thomas and St, John, and St, Croix. At this time, the Caribbean Council could determine if they would want to establish size limits or quota limits (i.e., a trip limit for the commercial sector or a bag limit for the recreational sector) for additional pelagic species new to federal management under the island-based fishery management plans (FMP). Additionally, the Caribbean Council could revise the accountability measure (AM) provision for pelagic stocks and stock complexes to include size limits, bag limits, or trip limits as the responsive action that the Council and the National Marine Fisheries Service (NMFS) could take when the AM has been triggered (i.e., when landings exceed the annual catch target).

If requested by the Caribbean Council, staff could begin work on an Options Paper for the desired management options. Below are some examples of options that could be included in an Options paper for a future meeting.

2.1 Management Measure 1 - Size limits

Establishing size limits for the pelagic species new to management would allow the Caribbean Council to restrict the landing of fish below a certain size, reducing the amount of fish harvested before they have a chance to reproduce. If desired, size limit options could be recommended based on available life history information (e.g., size at first maturity) and landings and length data, where available.

Size limits could potentially increase stock biomass by preventing the harvest of fish below the optimum size identified for successful reproduction. This measure could be wasteful if undersized fish cannot be returned to the water alive. It also may be difficult for fishermen to redirect effort toward larger sized fish. Size limits may be undesirable if there is a higher incidence of ciguatera in larger sized fish or if there is a lack of commercial demand for larger individuals.

For this management measure, the Caribbean Council could consider:

- establishing a minimum size limit for pelagic species for the commercial sector.

- establishing a minimum size limit for pelagic species for the recreational sector.

- whether to specify the same recreational size limit set for state waters for king mackerel (20” fork length) or cero mackerel (16” fork length) in federal waters off Puerto Rico.

2. Proposed Actions and Alternatives

Table 2.1. Selection matrix for considering minimum size limits for pelagic species under each island-based FMP.

FMP

Puerto Rico

FMP Dolphin Pompano dolphin Wahoo

King mackerel*

Cero mackerel*

Little tunny

Blackfin tuna

Tripletail Great barracuda

St. Thomas and St. John FMP Dolphin Wahoo

St. Croix FMP Dolphin Wahoo

*Recreational size limit specified in state waters. See Table 1.2.

2.2 Management Measure 2 - Quota Limits

Establishing recreational bag or commercial trip limits for the pelagic species new to management would allow the Caribbean Council to limit the amount of fish removed from the fishery and reduce the harvest of smaller fish, especially for species that occur in large schools. Commercial trip limits could limit catch if highly efficient gear are employed in the fishery and both commercial trip limits and recreational bag limits could assist in preventing localized depletion.

For this management measure, the Caribbean Council could consider:

- establishing a trip limit for pelagic species for the commercial sector.

- establishing a bag limit for pelagic species for the recreational sector.

- whether to specify the same recreational bag limit set for state waters for dolphin (10 per person per day; 30 per vessel per day), and for wahoo, king mackerel, and cero mackerel (5 of each species per fisher per day; 10 animals per vessel per day) in federal waters off Puerto Rico.

Generic Framework Amendment Chapter 2. Proposed Actions and Alternatives

Spiny Lobster Reference

Table 2.2. Selection matrix for considering quota limits for pelagic species under each islandbased FMP.

FMP Species Commercial trip limit Recreational bag limit Rationale

Puerto Rico FMP Dolphin Pompano dolphin Wahoo

King mackerel*

Cero mackerel*

Little tunny

Blackfin tuna

Tripletail Great barracuda

St. Thomas and St. John FMP Dolphin Wahoo

St. Croix FMP Dolphin Wahoo

*Recreational bag limit specified in state waters. See Table 2.

Generic Framework Amendment Chapter 2. Proposed Actions and Alternatives

Spiny Lobster Reference Points

3. References

Agar, J. and M. Shivlani. 2016. Socio-economic study of the hook and line fishery in the Commonwealth of Puerto Rico (2014). NOAA Technical Memorandum NMFS-SEFSC-700. 34 p. doi:10.7289/V5/TM-SEFSC-700

CFMC (Caribbean Fishery Management Council). 1983. Draft fishery management plan, draft environmental impact statement, and regulatory analysis for the coastal migratory pelagic resources. Caribbean Fishery Management Council, San Juan, Puerto Rico.

García-Moliner, G., I. Mateo, S. Maidment-Caseau, W.J. Tobías, and B. Kojis. 2002. Recreational Chartered Fishing Activity 307-317 in the US Caribbean. Available at: https://aquadocs.org/bitstream/handle/1834/29448/gcfi_53-28.pdf?sequence=1

Kojis B.L. and W.J. Tobias. 2016. Survey of boat-based recreational fishers in the US Virgin Islands. Proceedings of the 13th International Coral Reef Symposium, Honolulu: 170-183. Available at: http://coralreefs.org/wp-content/uploads/2019/01/Session-21-Kojis-Tobias.pdf

Kojis, B., N. Quinn, and J. Agar. 2017. Census of licensed fishers of the U.S. Virgin Islands (2016). NOAA Technical Memorandum NMFS-SEFSC-715, 160 p. doi:10.7289/V5/TMSEFSC-715. Available at: https://repository.library.noaa.gov/view/noaa/16210.

National Marine Fisheries Service (2021) Fisheries of the United States, 2019. U.S. Department of Commerce, NOAA Current Fishery Statistics No. 2019 Available at: https://www.fisheries.noaa.gov/resource/document/fisheries-united-states-2019

Rodríguez-Ferrer, G., Y. Rodríguez-Ferrer, D. Matos-Caraballo, and C. Lilyestrom. 2006. Comparison of Dolphinfish (Coryphaena hippurus) Commercial and Recreational Fisheries in Puerto Rico during 2000-2003. 57th Gulf and Caribbean Fisheries Institute. Available at: https://aquadocs.org/bitstream/handle/1834/29780/gcfi_57-23.pdf?sequence=1&isAllowed=y

Rodríguez-Ferrer, G., Y. Rodríguez-Ferrer, and C. Lilyestrom. 2007. Evaluation of Statistical Data from Fishing Tournaments in Puerto Rico Collected from 2000 - 2006. Proceedings of the 60th Gulf and Caribbean Fisheries Institute. Punta Cana, Dominican Republic. Available at: https://nsgl.gso.uri.edu/flsgp/flsgpw07001/data/papers/058.pdf

Salas, S., R. Chuenpagdee, A. Charles, and J.C. Seijo. 2011. Coastal Fisheries of Latin America and the Caribbean. FAO Fisheries and Aquaculture Technical Paper. No. 544. 1-13, 285-315 pp. Available at: https://caribbeanfmc.com/pdfs/Coastal%20fisheries%20Latin%20America%20%20Caribbean.pdf

Generic Framework Amendment Chapter 9. References Spiny Lobster Reference Points

Shivlani, M. and R. Koeneke. 2011. Spatial Characterization of Artisanal Fisheries in Puerto Rico: Geographic Information Systems (GIS) Approach for Assessing the Regional Effort and Landings. Proceedings of the 63rd Gulf and Caribbean Fisheries Institute November 1 -5, 2010 San Juan, Puerto Rico. Available at: https://core.ac.uk/reader/33719260

Toller, W., C. O’Sullivan, and R. Gomez. 2005. U.S. Virgin Islands Recreational Fishery Assessment Project: Survey of Fishing Tournaments in the U.S. Virgin Islands, October 1, 2000 to September 30, 2005. 54 pg.

Generic Framework Amendment Chapter 9. References

Spiny Lobster Reference Points

Appendix A. Management Measures for Pelagic Stocks and Stock Complexes in the

Island-based Fishery Management Plans

(FMP)

A1. Puerto Rico Annual Catch Limits (ACL) for Pelagic Stocks and Stock Complexes

In the Puerto Rico management area, recreational and commercial landings data were used to establish separate ACLs for the pelagic stocks and stock complexes for the commercial and recreational fishing sectors (Table A1). For the pelagic stocks and stocks complexes, optimum yield equates to the total (recreational + commercial) ACL when data from both sectors are available. If landings for one sector are not available for comparison to the ACL, the ACL for the sector with available data would be the applicable ACL for the stock or stock complex.

Table A.1. Annual catch limits for the commercial sector, recreational sector, and combined total for the pelagic stocks and stock complexes managed under the Puerto Rico FMP. Values are in pounds (lb) whole weight. Indicator stocks are marked in bold text.

dolphin, pompano dolphin)

If there is a discrepancy between this document and the regulations in the U.S. Code of Federal Regulations (https://www.ecfr.gov/current/title-50/chapter-VI/part-622?toc=1), the regulations take precedence.

Generic Framework Amendment Chapter 9. References Spiny Lobster Reference Points

A2. Puerto Rico Accountability Measures (AM) for Pelagic Stocks and Stock Complexes

For the pelagic stocks and stock complexes managed under the Puerto Rico FMP, an AM-based season length reduction in the event of an ACL overage would not be applied. Instead, the Council would establish an annual catch target (ACT) 2 as a percentage of the ACL that would serve as the AM trigger.

The Council set the ACTs for the pelagic stocks/stock complexes at 90% of the respective ACL (Table A2). An AM would be triggered if the sector landings, as available, exceed the sector ACT for that stock/stock complex. If landings for one sector are not available for comparison to the ACT, the ACT for the sector with available data would be the applicable ACT for the stock or stock complex.

Landings from the following years would be used to evaluate an exceedance of the ACT: A single year of applicable landings, using landings from 2018; then a single year of applicable landings, using landings from 2019; then a two-year average of applicable landings from 2019 and the subsequent year (2019-2020); then a three-year average of applicable landings from those two years and the subsequent year (2019-2021); and thereafter a progressive running three-year average (2020-2022, 2021-2023, etc.). The Regional Administrator in consultation with the Council may deviate from the specific time sequences based on data availability. 3

If an AM is triggered, the Council in consultation with the SEFSC would assess whether corrective action is needed.

Table A.2. Annual catch targets for pelagic stocks/stock complexes in the Puerto Rico FMP by sector (commercial and recreational). Values are in pounds (lb) whole weight. Indicator stocks are marked in bold text. Where an indicator stock is used, the indicator information applies to the complex as a whole.

2 The ACT is a level of catch set to account for management uncertainty in controlling catch at or below the ACL.

3 The RA may update the years specified for triggering an AM, beginning with landings from the most recent year available. If the island-based FMPs take effect in 2022, the most recent year of available landings likely would be 2020.

Generic Framework Amendment Chapter 9. References Spiny Lobster Reference Points

complex (little tunny, blackfin tuna)

Mackerel complex (cero mackerel, king mackerel)

Wahoo

If there is a discrepancy between this document and the regulations in the U.S. Code of Federal Regulations (https://www.ecfr.gov/current/title-50/chapter-VI/part-622?toc=1), the regulations take precedence.

Generic Framework Amendment Chapter 9. References

Spiny Lobster Reference Points

A3. St. Thomas and St. John ACLs and AMs for Pelagic Stocks

In the St. Thomas and St. John management area, only commercial landings data are collected for Council-managed fish (reef fish and pelagics). However, the ACL and the AM (discussed below) governs all harvest, whether commercial or recreational. The ACL is based on available commercial landings information, whether reported as landed from federal or territorial waters.

For the pelagic stocks, an AM-based season length reduction in the event of an ACL overage would not be applied. Instead, the Council would establish an ACT as a percentage of the ACL that would serve as the AM trigger. The Council set the ACTs for the pelagic stocks at 90% of the respective ACL (Table A3). An AM would be triggered if the commercial landings exceed the ACT for the stock.

Landings from the following years would be used to evaluate an exceedance of the ACT:

A single year of applicable landings, using landings from 2018; then a single year of applicable landings, using landings from 2019; then a two-year average of applicable landings from 2019 and the subsequent year (2019-2020); then a three-year average of applicable landings from those two years and the subsequent year (2019-2021); and thereafter a progressive running three-year average (2020-2022, 2021-2023, etc.). The Regional Administrator in consultation with the Council may deviate from the specific time sequences based on data availability.

If an AM is triggered, the Council in consultation with the SEFSC would assess whether corrective action is needed.

Table A.3. Annual catch limit and annual catch target for pelagic stocks managed under the St. Thomas and St. John FMP. Values are in pounds (lb) whole weight.

If there is a discrepancy between this document and the regulations in the U.S. Code of Federal Regulations (https://www.ecfr.gov/current/title-50/chapter-VI/part-622?toc=1), the regulations take precedence.

A4. St. Croix ACLs and AMs for Pelagic Stocks

In the St. Croix management area, only commercial landings data are collected for Councilmanaged fish (reef fish and pelagics). However, the ACL and the AM (discussed below) governs all harvest, whether commercial or recreational. The ACL is based on available commercial landings information, whether reported as landed from federal or territorial waters.

For the pelagic stocks, an AM-based season length reduction in the event of an ACL overage would not be applied. Instead, the Council would establish an ACT as a percentage of the ACL that would serve as the AM trigger. The Council set the ACTs for the pelagic stocks at 90% of the respective ACL (Table A4). An AM would be triggered if the commercial landings exceed the ACT for the stock.

Landings from the following years would be used to evaluate an exceedance of the ACT:

A single year of applicable landings, using landings from 2018; then a single year of applicable landings, using landings from 2019; then a two-year average of applicable landings from 2019 and the subsequent year (2019-2020); then a three-year average of applicable landings from those two years and the subsequent year (2019-2021); and thereafter a progressive running three-year average (2020-2022, 2021-2023, etc.). The Regional Administrator in consultation with the Council may deviate from the specific time sequences based on data availability.

If an AM is triggered, the Council in consultation with the SEFSC would assess whether corrective action is needed.

Table A.4. Annual catch limit and annual catch target for pelagic stocks managed under the St. Croix FMP. Values are in pounds (lb) whole weight.

If there is a discrepancy between this document and the regulations in the U.S. Code of Federal Regulations (https://www.ecfr.gov/current/title-50/chapter-VI/part-622?toc=1), the regulations take precedence.

Generic Framework Amendment

9. References Spiny Lobster Reference Points

Trawl Gear and Other Net Gear in Federal Waters

off Puerto Rico, St. Thomas and St. John, and St. Croix

Draft Options/Decision Paper

178th Caribbean Fishery Management Council Regular Meeting

April 19-20, 2022

Overview

Issues Addressed in this Options/Decision Paper

➢ Consider a potential prohibition on the use of bottom trawl gear and certain net gear in U.S. Caribbean federal waters as a precautionary approach to prevent negative impacts on the seabed (e.g., bottom trawling: destruction of coral habitat and sponge habitat), and on target and non-target species (i.e., bycatch).

➢ Certain bottom tending gear (i.e., pots, traps, bottom longlines, gillnets or trammel nets) prohibited in Council-managed seasonally closed areas (Marine Managed Areas – as defined in the Options paper). There are no specific prohibitions on the use of trawl gear in these or other areas, with the exception of the Hind Bank MCD.

➢ Gillnets and trammel nets have been prohibited for the harvest of reef fish and spiny lobster since 2005. Gillnets are allowed for the harvest of other species (e.g., baitfish) in federal waters but they must be tended at all times.

➢ There are no federal regulations regarding the use of gillnets or trammel nets for the harvest of Council-managed pelagic species, which are new to management under the island-based FMPs.

Overview

Council Motions at 176th Meeting (Dec 2021):

Motion 1: Prohibit the use of trawling gear from within the marine protected areas (i.e., Council MMAs) of the U.S. Caribbean EEZ.

Motion 2: Request staff to develop an options paper to prohibit the use of gillnets, trammel nets, trawl nets, drift nets, and purse seines for harvesting fish in the U.S. Caribbean EEZ.

Overview

Trawls

50 CFR 600.10 defines trawl as a cone or funnel-shaped net that is towed through the waters, and can include a pair trawl that is towed simultaneously by two boats.

Bottom Trawling: fishing practice that herds and captures the target species by towing a net along the ocean floor (NMFS). Examples: otter trawls, beam trawls, towed dredges.

Mid-water Trawling (pelagic trawl): large net towed through the water column

• Authorized gear type for use in the non-FMP commercial fisheries under each of the St. Croix, St. Thomas and St. John, and Puerto Rico FMPs.

• No evidence trawl gear is or has been used for fishing in federal waters of the U.S. Caribbean (except exploratory fishing/research).

• Puerto Rico territorial fishing regulations prohibit the use of trawl gear and drift nets in its jurisdictional waters.

• USVI do not have specific regulations prohibiting the use of trawl gear in their territorial waters.

Overview

Trawls (Cont.)

• In 2004 (EFH Amendment/FEIS), CFMC recommended taking action to ban the use of trawls in the EEZ.

• Rationale: Not used by commercial fishermen at the time but recognized a potential for future use. Direct impact to corals; adverse fishing impacts on sensitive and important habitat. No action was taken at the time.

• Reasons for CFMC current interest in prohibiting trawl use in Council MMAs and/or U.S.

Caribbean EEZ:

(1) trawls have the potential to damage coral habitat including deep-water corals, also sponge habitat and deep-water sponges (Discussion at CFMC Meeting, Dec 2021);

(2) trawls can entangle protected species;

(3) trawls can damage Caribbean habitats designated as essential fish habitat (EFH) and habitat areas of particular concern for managed species under the MSA.

(4) Economic considerations related to the use of trawling gear (e.g., damage or loss of gear) as well as implications for the bycatch of managed and unmanaged species.

Overview

Trawls (Cont.)

• Interest in potential implications (if any) that continuing to allow trawling for non-FMP species as an authorized gear type in the EEZ (including in Council MMAs) may have on the whether the existing Council MMAs qualify as conservation areas under Executive Order (E.O.) 14008.

• E.O. 14008 establishes a goal of conserving at least 30 percent of the lands and waters in the United States by 2030.

• Efforts are underway to determine how much of the lands and waters already qualify as conserved. For example, the Council Coordination Committee has established a subcommittee on area-based management to review MMAs to assess the level of protection they provide.

• The Council has been interested in whether areas it has protected will or could meet any conservation standards developed to implement the E.O.

Overview

Gillnets and Trammel Nets (drift nets): Nets that hang vertically in the water column without being anchored to the bottom

• Authorized gear type for the commercial harvest of managed and non-managed pelagic species and the commercial harvest of non-FMP species in each of the island management areas (50 CFR 600.10),

• Trammel nets are not authorized gear types for any U.S. Caribbean fisheries.

Purse Seines: large wall of netting deployed around an entire area or school of fish.

• Not an authorized gear type for any U.S. Caribbean fisheries.

For purse seines and trammel nets (and other non-authorized gear), a person could petition the Council to use these gear types. At that time, the Council and NMFS could take action whether to allow or prohibit the use of the gear.

50 CFR 600.725(v): A person or vessel is prohibited from engaging in fishing or employing fishing gear when such fishing gear is prohibited or restricted by regulation under an FMP or other applicable law. However, after December 1, 1999, an individual fisherman may notify the appropriate Council, or the Director, in the case of Atlantic highly migratory species, of the intent to use a gear or participate in a fishery not already on the list. Ninety days after such notification, the individual may use the gear or participate in that fishery unless regulatory action is taken to prohibit the use of the gear or participate in the fishery (e.g., through emergency or interim regulations).

Overview

Net Fishery Issues/Characteristics for the CFMC to consider:

• The use of certain nets to catch baitfish (e.g., cast nets, surface gillnets [single-walled, tended at all times]).

- The use of surface gillnets to harvest flying fish from federal waters (particularly in St. Croix)

• Reporting and monitoring needs

• Compatibility (or lack of) of regulations with territorial waters (e.g., gillnet use is allowed in Puerto Rico waters)

• Need for any HMS exceptions

• Management of pelagic migratory species in other regions (e.g., dolphinfish in the South Atlantic), which are transboundary shared resources (i.e., migratory nature of pelagic species)

• Regulations that already protect EFH in the U.S. Caribbean

Action:

Prohibition on the Use of Trawl Gear, Gillnets, Trammel Nets, and Purse

Seines in the U.S. Caribbean EEZ

Option 1. No action. Retain the authorized gear types for commercial and recreational harvest in federal waters off St. Croix, St. Thomas and St. John, and Puerto Rico.

Option 2. Prohibit the use of trawling gear in federal waters off St. Croix, St. Thomas and St. John, and Puerto Rico.

Sub-option 2a. For all fishing in CFMC seasonally closed areas/marine managed areas (MMA) in federal waters off St. Croix, St. Thomas and St. John, and Puerto Rico.

Sub-Option 2b. For all fishing in federal waters off St. Croix, St. Thomas and St. John, and Puerto Rico.

Action: Prohibition on the Use of Trawl Gear, Gillnets, Trammel Nets, and Purse

Seines in the U.S. Caribbean EEZ (Cont.)

Option 3. Prohibit the use of gillnets (type of drift net) in federal waters off St. Croix, St. Thomas and St. John, and Puerto Rico:

Sub-Option 3a. For all fishing.

Sub-Option 3b. For all fishing except for baitfish (as defined in regulations).

**Gillnets used for harvesting baitfish (i.e., bait nets) would need to be defined to be excluded.

Council also to decide if an exception would apply to all sectors or not.

Option 4. Prohibit the use of trammel nets (type of drift net) for all fishing in federal waters off St. Croix, St. Thomas and St. John, and Puerto Rico.

Option 5. Prohibit the use of purse seines for all fishing in federal waters off St. Croix, St. Thomas and St. John, and Puerto Rico.

Option 1:

• Would retain all trawl and drift net gear types authorized for harvest of all commercial and recreational species under each of the St. Croix, St. Thomas and St. John, and Puerto Rico fisheries, including bottom and mid-water trawls, and gillnets.

Gear Type

Trawl Gear

Gillnets

*Trammel Nets

*Purse Seines

Authorized Fisheries (PR, STT, STX)

Commercial Non-FMP

Notes

Species Not Used. Banned in PR waters

Commercial Pelagic Species

Commercial Non-FMP

Species

Commercial Non-FMP

Pelagic Species

Not Authorized

Not allowed for CFMC Reef

Fish, Spiny Lobster, MMAs.

Allowed in Puerto Rico waters

Not Allowed in USVI waters

Specific gillnets used for baitfish allowed

Not Authorized Not Used

Option 2: Prohibit the use of trawling gear in federal waters off St. Croix, St. Thomas and St. John, and Puerto Rico.

• Broad prohibition on the use of all trawl gear (i.e., bottom and midwater trawl) for harvest of all commercial and recreational species (i.e., managed and non-managed) applicable only in Council-managed seasonally closed areas/MMAs (Sub-Option 2a) or throughout the EEZs of Puerto Rico, St. Croix, and St. Thomas and St. John (SubOption 2b).

• By taking this action, the Council would prevent negative potential ecological and biological and physical effects from the use of trawl gear in the future (e.g., habitat destruction, bycatch) in Council MMAs (Sub-Option 2a) or throughout the whole EEZ (Sub-Option 2b).

Option 3: Prohibit the use of gillnets in federal waters off St. Croix, St. Thomas and St. John, and Puerto Rico.

• Broad prohibition on the use of gillnets for fishing for all commercial and recreational species (i.e., managed and non-managed) (Sub-Option 3a) or for all fishing with the exception on the use of gillnet for the harvest of baitfish (Sub-Option 3b).

• Would require the Council to clearly define baitfish and specify the type of gillnet used for harvesting baitfish as well as if the exception would apply to both the commercial and recreational sector.

• Minimal use of gillnets for pelagics and non-FMP species (depth, distance from coast, preference for other gear).

• By taking this action, the Council would prevent negative ecological and biological effects from the use of gillnets (e.g., prevention of bycatch of undersized individuals, protected species, other target and non-target species).

• Allowing the use of certain types of gillnets used for catching baitfish commercially and/or recreationally would allow fishermen to continue using these specific bait nets in federal waters (Sub-Option 3b).

Option 4

- Would prohibit the use of trammel nets for all fishing in the EEZ off Puerto Rico, St. Thomas and St. John, and St. Croix.

- Trammel nets are already prohibited for fishing for Council-managed reef fish and spiny lobster in federal waters of all three island management areas and are also banned in Council MMAs.

Option 5

- Would prohibit the use of purse seines for all fishing in the EEZ off Puerto Rico, St. Thomas and St. John, and St. Croix.

- Purse seines are not used in federal and territorial waters of the U.S. Caribbean. None of these gear types are listed as an authorized gear type under any U.S. Caribbean fisheries in federal regulations at 50 CFR 600.10.

Option 4 and Option 5 would specifically prohibit the use of these gear types, therefore it would not be possible for a fishermen to request the use of the gear as would otherwise be allowed under federal regulations for gears that are not included in the NMFS authorized gear list.

Next Steps

Council to decide if moving forward with action:

If yes,

a. Indicate if any changes are needed to the scope of the action and/or alternatives

b. Identify information requirements and sources

c. Creation of IPT for development of amendment

Additional Slides

Bait Nets Regulations in PR and USVI Waters

In the USVI, the only type of gillnet allowed are single-wall surface gillnets targeting baitfish.

• Nets may not be more than 1,800 ft in length as measured by the float line, and may not be used within 20 ft of the bottom.

• Mesh size may not be smaller than 0.75-inch square or 1.5-inch stretch.

• Only one bait net is permitted per boat and all other prohibited nets may not be possessed onboard vessels in territorial waters.

• St. Croix baitfish species caught: ballyhoo, gar, flying fish, round Jack, and big eye scad.

• Approx. number of fishers that use these nets: 3

In Puerto Rico, this fishery uses bottom and surface gillnets (trasmallo or filete) and trammel nets

(mallorquín) consisting of a trammel with three net cloths tied to a line of buoys.

• Gillnets or trammel nets cannot have mesh size greater than 6 inches (as measured from knot to knot of extension).

• For trammel nets, the outer cloths may not have a mesh larger than 6 inches (from knot to knot). Additionally, trammel nets used for bait fishing may not be more than a quarter 0.25 inch (knot-toknot opening).

• DRNA Regulation 7949, permits the use of gillnets and trammel nets, except in inner water and rivers mouths. Additionally, it prohibits the use of gillnets and trammel nets in conjunction with diving equipment (“Scuba”), except by written authorization from the Secretary for the capture of lionfish7 .

See: https://www.fisheries.noaa.gov/national/marine-mammalprotection/caribbean-gillnet-fishery-mmpa-list-fisheries

(Source: C.

Bait net in St. Croix – Fisherman Jose Alberto Sánchez
Farchette)

DAP – STT/STJ

CHAIRMAN REPORT

MPA’s | APC’s | SSC MEETING

DAP Meeting was

• Attendees:

• Julian Magras

• Christy Berry

• Joshua Quetel

• Winston Ledee

• Ruth Gomez

• Collin Butler

• Shirley Ledee

• Gregory Ledee

• Jessica Petersen

• Daryl Bryan

• Gilbert Laban

• Elizabeth Kadison

held on March 22, 2022

• Absent

• USVI Government DFW

• STT|STJ Liaison

• STT|STJ Enforcement

• Federal Enforcement

• PEW Charitable Trust

APC’s Area’s of Particular Concern

• Issues / Questions:

• What law created the APC and how these were defined and established?

• What is the purpose of an APC?

• Were the fishers or public involved?

• Dates when each APC were established and with what objective(s).

• Reports | Studies conducted or ongoing needs to be presented to the DAP’s.

VI Coral Reef National Monument

- Anchoring Prohibited

- All Fishing Prohibited

- Just Bait Fish & Blue Runner (Hardnose) fishing permitted at Hurricane Hole and Cabritte Horn Point with license from National Park

* DAP Committee has requested to see results of studies that have been completed and reported.

Concerns/Issues

- Studies have proven corals are more healthy outside Monument than inside.

- Lionfish / Seagrass / Groupers

- Enforcement

- Studies / Reports

* Another issue is a Marina has just been approved within the monument.

VI National Park

- Commercial Fishing Prohibited

- Some Recreational Fishing Permitted

Concerns / Issues

- Lionfish | Seagrass

- Studies | Reports

- Boating Activity

- National Park Service (they do a lot of patrolling) in-shore

* Request of reports within Park.

South East St. Thomas Marine and Wildlife Sanctuaries

also known as St. Thomas East END Reserve (STEER)

- No Commercial Fishing

- Bait Fishing by cast net only with permit from DPNR

Concerns | Issues

- Boat Activity***

- No Pump Out Station***

- No Enforcement

- Lots of Illegal Activity

- Lionfish | Seagrass

- Anchoring | Partying etc.

* Request of study/reports that have taken place and what is the plan to correct the issues and violations within the sanctuaries.

Grammanik Bank Seasonal Closure

St. Thomas February 1 to April 30

- Protection of spawning of several species of groupers/ snappers/ queen trigger fish etc.

- No fishing permitted from February 1st to Aprill 30th annual

- No Bottom Gear Allowed Year Round

Concerns / Issues / Comments

- Lionfish

- Large Groupers

- Studies | Reports

- Closed for 18 yrs

- Protection of many species

Grammanik Bank Seasonal Closure

St. Thomas February 1 to April 30

Continued…

• Reports needs to be presented to DAP-STT/STJ, SSC and CFMC

• Issue with PR boats poaching in and around bank.

• Large number of Nassau Grouper sited and actual visual of spawning taking place.

Hind Bank MCD

- Closed year round 14 Square Miles

- All fishing and anchoring prohibited within 14 square mile closure

Issues | Concerns

- Lionfish | Groupers

- Studies | Reports

- Enforcement only during spawning season

- Protection of all species

* Sarah Heidmann would like to give a presentation at the December CFMC Meeting on the work done over the past 10yrs.

SSC Comments

1. SEAMAP report I think moving forward fishermen involvement in this study would make a big difference.

2. More money needs to be allocated to Life History Collection so SEDAR assessments can have a better outcome

3. Fishermen are onboard in getting the samples needed to help with assessments example otoliths.

4. Deep water snappers study to take place in USVI with stakeholders involvement.

5. MER study that took place in PR was presented. The outcome was sketchy because of the roll the expansion factors have to play.

6. Other issues we see is that the MER project hasn’t received final blessing as yet from SEFSSC. Discussion to move forward in USVI have concerns with the fishers. We don’t use expansion factors.

7. Fishers in USVI are working with Virginia Shervette providing fish samples needed to complete assessments.

Conclusion

- MPA’s and APC’s reports needs to be presented to committees.

- Presentation to be given at December CFMC meeting if approved on 10 year study of the MCD.

- Government agencies who sit on DAP’s need to start attending meeting. Also PEW and Liaison representative.

- Liaison for STT|STJ needs to get involved with fishermen and host workshops. Proud to hear all what's happening in PR.

- We also see a conflict of interest with MER consultants being pushed by Todd Gedamke as the senior Founder of this company. He shouldn’t be a member of the SSC pushing this company.

- We also see a conflict of interest with Sennai Habtes being the Chairman of the TAP. When he became Chairman. Mr. Habtes was at UVI now he’s Chief of Fisheries for DFW in a decisionmaking role. That can sway the outcomes of the conceptual models.

- Last but very important is money being approved for Virginia Shervette to close Life History gaps.

SSC Report to the Caribbean Fishery Management Council

April 2022

SSC Met April 12-13 Issues Discussed

• Integrative analyses and visualization of SEAMAP-Caribbean data

• SEFSC Caribbean Branch

• SEFSC Research Inventory Update

• SEDAR-Stock Assessment Matrix

• SERO/NOAA Fisheries-Updated OFLs/ABCs spiny lobster 2024-26

• National SSC update (SCS7)

• Lobster Selectivity Study update

Issues Discussed

• Ecosystem-Based Fishery Management

• Technical Advisory Panel (EBFM TAP) Update

• Lenfest overview

• Plan to Meld Conceptual Models

• Island-Based FMPs and Amendments Update

• CFMC 5-year Strategic Plan

• Puerto Rico Port Sampling and Catch Validation Project

• Life history Update

Issues Discussed

• Ecosystem-Based Fishery Management

• Technical Advisory Panel (EBFM TAP) Update

• Lenfest overview

• Plan to Meld Conceptual Models

• Island-Based FMPs and Amendments Update

• CFMC 5-year Strategic Plan

• Puerto Rico Port Sampling and Catch Validation Project

• Life history Update

Issues Discussed

• Ecosystem-Based Fishery Management

• Technical Advisory Panel (EBFM TAP) Update

• Lenfest overview

• Plan to Meld Conceptual Models

• Island-Based FMPs and Amendments Update

• CFMC 5-year Strategic Plan

• Puerto Rico Port Sampling and Catch Validation Project

• Life history Update

• SSC Research Plan Recommendations

Puerto Rico Port Sampling and Catch Validation Project

• Incorporation of digital methods

• Estimation of catch – 24 species = 87% of catch

• Application of expansion factors

• Some species match raw data (e.g., spiny lobster)

• Others match expanded data (e.g., conch)

• Unexpected landings: e.g., common octopus (#9), slipper lobster (#27)

• Some species not targeted well (rare, landings outside sampling time/site), E.g., yellowtail snapper

• Some species are just confusing

Puerto Rico Port Sampling and Catch Validation Project Applications and Next Steps

• Full data set needs to be analyzed !

• Better target distribution/effort of port samplers

• Application of species-specific expansion factors

• Continued targeted, prioritized sampling

• Provide species composition (to split aggregate landings data)

• Provide length-frequency data (mortality, relation to maturity)

• Verify expansion factors

• All at reduced effort and cost

• Incorporation of digital methods

Life History Update

Age, growth, longevity, maturation, spawning

• Groupers

• Red hind, Coney

• Snappers

• Mutton, Blackfin, Queen, Silk

• Hogfish

• Parrotfishes

• Stoplight, Queen, Redtail, Redband, Princess

• White Grunt

Life History Update

• Otolith ageing techniques have been well validated

• Data collection and processing good when there is funding

• Most species are being done on an ad-hoc/opportunity basis

• Are potential gear-selectivity issues

• need more targeted sampling

• Gut samples are stored when available – diet composition

• Opportunistic gonad/gut sampling suffers from poor icing

Life History Update

• Otolith ageing techniques have been well validated

• Data collection and processing good when there is funding

• Most species are being done on an ad-hoc/opportunity basis

• Are potential gear-selectivity issues

• need more targeted sampling

• Gut samples are stored when available – diet composition

• Opportunistic gonad/gut sampling suffers from poor icing

• Targeted work needs to be linked with priority species and funding

Research Recommendations

• Last formal attempt by the SSC was in 2014

• Had 2 hours to discuss

• Discussion was weighted by

• The 2014 plan

• Presentations on port sampling and life-history

• New developments

• EBFM, (h)(2) flexibilities*, e-Reporting, Digital tools, etc.

• Produced a bullet list of research priorities as starting point

• No discussion or formal ranking, not necessarily inclusive

*for setting OFLs/ABCs/ACLs when catch data are insufficient

Research Recommendations

Improve Landings Data

• Analyze the MER report of PR landings

o improve port sampling

o expansion factor estimation and application

o length composition

• Improve landings data collection via digital tools

• Evaluate digital formats for reporting and validate vs paper reporting

• Initiate a MER-style study of landings in the USVI

Research Recommendations

Collection of biological data for life-history/population parameters

• Improve biological data collection via digital tools

• Timely prioritization of collection by species (using e.g., IBFMPs, SEDAR)

o Review and formalize stock prioritization process

Effort estimation

• Develop alternate methods for estimating efforts

Research Recommendations

EBFM

• Evaluate effectiveness and impacts of closed areas

• Develop habitat maps from existing NOS multibeam/lidar data

• Review of status of spawning aggregations within closed areas

• To evaluate the closed season relative to the spawning seasons

• Investigate the functional ecology of our habitats

• Construct an electronic species habitat database

Research Recommendations

Prepare for (h)(2) flexibilities

• Simulations to test alternate ACLs for (h) (2) flexibility

• How to incorporate uncertainty into defining ABCs from OFLs

• Collect life history information

Monitoring and Surveys

• Monitoring program of fish populations in closed areas

• Cooperative fisheries-based surveys

• Train and delegate to fishers’ fisheries monitoring activities

Research Recommendations

Socio-Economic data for management

• Determine the economic values of fisheries that can be used in assessing benefits and costs of alternative management measures

• Periodic systematic collection of data to provide a baseline and comparative basis for social impact assessments

• Research to assess and integrate Local Ecological Knowledge into decision-making

Facilitate the above with: MOU between the Council, SEFSC and territories for monitoring

April 19, 2022

SEFSC Caribbean Branch Update

Caribbean Fisheries Branch Work

• Stockassessments

• Strategicplanning

• Caribbeanresearchinventory

• Portsamplingdesign

• Gearselectivitystudies

• Datatriage

Stock Assessments

SEDAR

80

U.S. Caribbean

Queen Triggerfish

Operational Assessments

CFMC Public Meeting - December 7, 2021

Adyan Rios, SEFSC SFD Caribbean Fisheries Branch

2022 Roadmap ��

SEDAR 80 Project Schedule

Terminal year: 2019

Lead Analyst: Nancie Cummings

Data Contact: Adyan Rios

Data inputs ��

x3 Island Platforms

● Commercial Logbook Landings

● Commercial Logbook Indices

● Trip Interview Program Lengths

● Region-Specific Life History

● Socio-econ. & Fishing Behavior

● Fishery Ind. RVC Indices

❏ Life History TWG 1/28

❏ Indices Final TWG 2/28

❏ Selectivity TWG 2/283/2

❏ Analytical Products 3/4

❏ Reports to SEDAR 7/1

❏ Reports to Council 7/8

FY22 SEFSC Milestone ��

First CFB assessment attempted using Stock Synthesis & indices and robust local life history

Spiny Lobster Update Assessment OFL/ABC/ACL

Status

• An update assessment for 2022 will be presented for the Fall SSC meeting.

• The update will bring length and landings data streams to the most recent complete year of data.

• Terminal year of updated data streams 2021 for USVI, TBD year PR

• An operational SEDAR assessment is on the calendar for 2024.

• This will revisit the life history assumptions and look into additional data sources for inclusion in the models

Future Assessments

• 2023 assessments –

• 2024 assessments – Spiny Lobster all islands

Yellowtail Snapper
St. Thomas/St. John, Puerto Rico
Stoplight Parrotfish St. Croix

Strategic Planning

Caribbean Strategic Planning Project

Goal

• Develop a strategic plan for data collection, analytical best practices, and outreach/education in the US Caribbean to support stock assessments

Principal investigators

• Kevin McCarthy, Skyler Sagarese, Shannon Cass-Calay, Nancie Cummings, Christian Jones, Vivian Matter, Kate Overly, Adyan Rios, Steven Smith

Caribbean Strategic Planning Project

Three-year, collaborative project

Fundamental step towards improved stock assessment

• Identify data gaps through the Caribbean Projects Inventory and Data Triage

• Prioritize, coordinate, and optimize data collection strategies

• Improve processes; for example data delivery systems and analyses

Caribbean Strategic Planning workshop

• Quality Management and Continuous Improvement tools (QM/CI)

• May 16 - 19, 2022

• Establish working groups

Caribbean Research Inventory

Purpose of Caribbean Research Inventory

• Data accessibility/availability in US Caribbean

• Building centralized repository

• Searchable annotated bibliography

• Identify existing data sources

• Identify data gaps

• Focus areas for data collection

Current Status

• 542 projects

• 1,244 documents

Caribbean Research Inventory

• Upload to ODM

• Dynamic data warehouse for SEFSC datasets

• Management History, HMS Pelagic Logbook History, Morphometric Conversions

Current Status

• Formatting – in progress

• Searchable fields

• Output design

• Testers – upcoming

• Perform searches

• Provide feedback

• Add non-NOAA research – future

• Data sources

• Funding sources

• Assess data usability – future

• SEFSC Strategic Planning workshop, May 2022

Other Projects in Progress

Additional Projects – Ongoing

Puerto Rico Survey Design Project – port sampling to provide estimates of landings and size composition, ongoing, focused on specific portions of the commercial fishery (e.g., yellowtail snapper, deep water snapper, Vieques)

US Virgin Islands Survey Design Project – port sampling to provide estimates of landings and size composition, ongoing

FIS funded AI project for port sampling efficiency – improve port sampling efficiency

Puerto Rico Lobster Trap Selectivity Project – size composition of lobsters caught in traps to inform assessment models

US Virgin Islands Lobster Trap Selectivity Projects – size composition of lobsters caught in traps to inform assessment models

Additional Projects – Ongoing

FIS funded AI project for port sampling efficiency – improve port sampling

efficiency

Puerto Rico Lobster shallow water Life History Project – life history

information

Puerto Rico lobster recruit survey – abundance of pre-recruit lobsters Management History database – database of management actions

Puerto Rico Electronic Logbook data – migrate from Shellcatch cloud database

Puerto Rico Correction Factor Calculation – automate calculation to reduce

DNER staff burden

Caribbean Data Triage

Assessment Prioritization Data Triage

Overview

The Magnuson-Stevens Reauthorization Act calls for the best scientific information available to manage U.S. commercial and recreational fisheries.

Stock Assessments Provide Scientific Advice For Sound Fisheries Management

Preliminary information

St. Thomas/St. John

Preliminary information

Preliminary information

Considering Management Measures for Pelagic Species

178th Caribbean Fishery Management Council Meeting

April 2022

Island-based Fishery Management Plans (FMP)

• Approved by the Secretary of Commerce

• National Marine Fisheries Service has prepared a proposed rule to implement the FMPs

• FMPs included pelagic species new to federal management

• Established annual catch limits;

• Established accountability measures (AM), which specified an annual catch target as the AM trigger (i.e., what landings are compared to).

Pelagic species managed under the island FMPs

Puerto Rico

Dolphin (Coryphaena hippurus)

Pompano dolphin (C. equiselis)

Little tunny (Euthynnus alletteratus)

Blackfin tuna (Thunnus atlanticus)

King mackerel (Scomberomorus cavalla)

Cero mackerel (S. regalis)

Wahoo (Acanthocybium solandri)

Great barracuda (Sphyraena barracuda)

Tripletail (Lobotes surinamensis)

St. Thomas and St. John

Dolphin (Coryphaena hippurus)

Wahoo (Acanthocybium solandri)

St. Croix

Dolphin (Coryphaena hippurus)

Wahoo (Acanthocybium solandri)

Discussion of Pelagic Species at the December 2021 Caribbean Council Meeting

• Puerto Rico District Advisory Panel recommended the Council consider establishing size and bag limits for recreational fishing of pelagic species similar to regulations for Puerto Rico state waters.

Mgmt. measure

Size limit

Bag limit

Recreational Limit in Puerto Rico State Waters

King mackerel - 20” fork length minimum

Cero mackerel - 16” fork length minimum

Dolphin - 10 per fisher/day or 30 per vessel/day, whichever is less.

Wahoo, King mackerel, Cero mackerel - 5 of each species per fisher/day or 10 animals vessel/day, whichever is less.

• Council discussed concerns about potential overharvest of juvenile dolphinfish associated with fishing on influxes of Sargassum mats.

Discussion of Pelagic Species at the December 2021 Caribbean Council Meeting

• The St . Thomas and St. John DAP Chair commented that the St . Thomas/St . John Fishery Advisory Committee previously recommended size and bag limits for dolphin and wahoo for recreational fishing regulations.

• The FAC planned to propose those recommendations for consideration from both state and federal managers.*

• The St. Croix FAC had similar discussions for dolphin and wahoo size limits.

* No commercial or recreational size limit, commercial trip limit, or recreational bag limit regulations are specified for dolphin or wahoo in U.S. Virgin Islands state or federal waters.

Guidance from the Council at the December 2021 Caribbean Council Meeting

• The Council directed staff to develop a white paper for size limits for dolphin, wahoo, and mackerels* and recreational bag limits for dolphin and wahoo.

• White paper included in briefing book.

*King mackerel and cero mackerel are only managed in federal waters under the Puerto Rico FMP.

Landings of Pelagic Species - Puerto Rico

Landings of Pelagic Species – U.S. Virgin Islands

St. Thomas/St. John St. Croix

Management Measures for Pelagic Stocks

• At this meeting, the Council could determine which management measures to develop (commercial or recreational size limits, commercial trip limits, recreational bag limits) and for which pelagic species.

• The Council could also revise the accountability measure (AM) provision for pelagic stocks/stock complexes to include size limits, bag limits, or trip limits as the responsive action that the Council and NMFS take when the AM has been triggered (i.e., when landings exceed the annual catch target).

• Staff could begin work on an Options Paper.

Management Measures – Size Limits

• Establishing minimum size limits would allow the Council to restrict the harvest of fish below a certain size, reducing the amount of fish harvested before they can reproduce.

• Size limit options could be recommended based on available life history information (e.g., size at first maturity) and landings and length data, where available.

• For this management measure, the Council could consider:

• establishing a minimum size limit for the commercial sector;

• establishing a minimum size limit for the recreational sector;

• whether to specify compatible recreational size limits for king mackerel (20” fork length) or cero mackerel (16” fork length) in federal waters off Puerto Rico.

Management Measures – Quota Limits

• Establishing recreational bag or commercial trip limits would allow the Council to limit the amount of fish removed and reduce the harvest of smaller fish, especially for schooling species.

• Commercial trip limits could limit catch if highly efficient gear are employed in the fishery;

• Commercial trip limits and recreational bag limits could reduce localized depletion.

• For this management measure, the Council could consider:

• establishing a trip limit for the commercial sector;

• establishing a bag limit for the recreational sector;

• whether to specify compatible recreational bag limits for dolphin (10 per person per day; 30 per vessel per day), and for wahoo, king mackerel, and cero mackerel (5 of each species per fisher per day; 10 animals per vessel per day) in federal waters off Puerto Rico.

Selection Matrix for Minimum Size Limits

Puerto Rico

Dolphin

Pompano dolphin

Wahoo

King mackerel*

Cero mackerel*

Little tunny

Blackfin tuna

Tripletail

Great barracuda

St. Thomas and

St. John

St. Croix

Dolphin Wahoo

Dolphin Wahoo

*Recreational size limit specified in state waters.

Selection Matrix for Quota Limits

Puerto Rico

Dolphin*

Pompano dolphin

Wahoo*

King mackerel*

Cero mackerel*

Little tunny

Blackfin tuna

Tripletail

Great barracuda

St. Thomas and

St. John

St. Croix

Dolphin Wahoo

Dolphin Wahoo

*Recreational size limit specified in state waters.

Questions

Puerto Rico Fishery Management Plan

Annual Catch Limits for Pelagic Stocks/Stock Complexes

Indicator stock

Puerto Rico Fishery Management Plan Accountability Measures

• For pelagic stocks, the Council established an annual catch target (ACT) as 90% of the ACL to serve as the AM trigger.

• An AM would be triggered if the sector landings, as available, exceed the sector ACT for that stock/stock complex.

• If landings for one sector are not available for comparison to the ACT, the ACT for the sector with available data would be the applicable ACT for the stock or stock complex.

* Indicator stock

St. Thomas/St. John Fishery Management Plan

Annual Catch Limits & Accountability Measures

• The ACL and the AM governs all harvest, whether commercial or recreational.

• The ACL is based on available commercial landings, whether reported as landed from federal or territorial waters.

Pelagic Stock

• For pelagic stocks, the Council established an annual catch target (ACT) as 90% of the ACL to serve as the AM trigger.

• An AM would be triggered if the commercial landings exceed the ACT for the stock.

St. Croix Fishery Management Plan

Annual Catch Limits & Accountability Measures

• The ACL and the AM governs all harvest, whether commercial or recreational.

• The ACL is based on available commercial landings, whether reported as landed from federal or territorial waters.

• For pelagic stocks, the Council established an annual catch target (ACT) as 90% of the ACL to serve as the AM trigger.

• An AM would be triggered if the commercial landings exceed the ACT for the stock.

Presentation Outline

Presentation Objective: Provide a comprehensive update of research associated with the Puerto Rico FAD System.

Outline:

1. Quick Program Statistics (5 mins)

2. Case Study 1: Catch and Effort (15 min)

3. Case Study 2: Vessel Census (7 min)

Case Study 2a: Vessel Detections with Sound (4 min)

Case Study 2b: Vessel and Marine life presence (4 mins)

4. Case Study 3: Tagging Studies (4 mins)

1. Size-frequency tagged at FADs

2. Wahoo vs. Dolphin

5. Acknowledgements and Questions: (2 min)

16 Surface / 6 Subsurface

As of June 2019

2,779 trips up to April 18th, 2022 As of 12.31.2021

31 Satellite Tag Deployments

27 dolphin, 3 wahoo, 1 shark

1 Published 1 in review Fisheries Science 1 in prep

34 Vessels Involved

Quick

Program Statistics - Deployments

Maximum/Minimum longevity = 1249/12 days

Average longevity = 453

Average time to redeployment = 8.8 months

Case Study 1: Catch and Effort:

Vessel Trip Histories

Picture: W. Merten

Database Management & Analysis

Fishing Trips:

PDS Application Program Interface (API) combined with Google’s data warehouse – BigQuery (PostgreSQL)

Trip Catch:

Daily written surveys entered in BQ & joined to trips

Data Cleaning & Analysis:

*SQL (updates/inserts/deletes)

*R with Matplotlib, CARTO for GIS

Preliminary Results

Vessel Fishing Trip Histories: Charter Examples

Vessel Fishing Trip Histories: Charter Examples

Preliminary Results

Vessel Fishing Trip Histories: Charter Examples

Preliminary Results

Vessel Fishing Trip Histories: Charter Examples

Preliminary Results

Vessel Fishing Trip Histories: Charter Examples

Preliminary Results

Vessel Fishing Trip Histories: Charter Examples

Preliminary Results

Vessel Fishing Trip Histories: Charter Examples

Preliminary Results

Vessel Fishing Trip Histories: Commercial Example

Preliminary Results

Vessel Fishing Trip Histories: Commercial Example

Preliminary Results

Vessel Fishing Trip Histories: Commercial Example

Preliminary Results

Vessel Fishing Trip Histories: Commercial Example

Preliminary Results

Vessel Fishing Trip Histories: Commercial Example

Preliminary Results

Vessel Fishing Trip Histories: Commercial Example

Preliminary Results

Vessel Fishing Trip Histories: Recreational Example

Preliminary Results

Vessel Fishing Trip Histories: Recreational Example

Conclusion

• Vessel fishing trip histories provide quantitative estimates of FAD and Non-FAD use on different temporal and spatial scales

• This method can be used to assess FAD use and performance by sector

• VTS systems can die which require daily assessments of device health and status

• Results are only representative of when vessel captains report catch and trip data

• Results can be used to examine other socioeconomic trends in fishing activity

• VTS represents a relatively cost-effective approach to assess FAD fishing activity

• ~$500/device for 2 years of data service (additional costs for data management + analysis)

Case Study

2: Use of video monitoring to quantify spatial and temporal patterns in fishing effort across sectors at moored FADs off Puerto Rico

Wessley Merten1, Roberto Rivera2, RichardAppeldoorn3 , Kelvin Serrano4, Omar Collazo4, Nilda Jimenez4

Published 2018 by the Beyond Our Shores Foundation

Results – Temporal Variation

Found significant differences by time of day and day of week.

Results – Temporal Variation in Vessel Activity

Results – Cost-Benefit Analysis

Conclusion

• Conducted a fishery independent assessment of multi-sector fishing effort using video monitoring

• Video monitoring represents a cost-effective approach to assess in situ fishing activity

• Results serve as baseline estimates of FAD use

• Results are only representative of daytime fishing effort

• Need to match fishery-dependent port surveys with in situ FADCAM data

• Need to increase recording time and automate vessel detection through image recognition

Case Study 2b: Vessel Detection using Sound

Case Study 2b:

Vessel and Marine life Presence with Underwater Cameras

Case Study 3: Tagging Studies

Picture: W. Merten

Frequency of fish tagged and released at Caribbean mFADs

N = 949 24% are less than 20” FL 33.8% are less than 23.5” FL

Wahoo Tagging

Comparisons to Dolphin

Acknowledgements

Funded by the Federal Aid in Sport Fish Restoration (Dingell-Johnson) Program of the United States Fish and Wildlife Service and grants (Grant No: PR-F507F14AF00688 and PR-F19AF01043)

Thanks to Dr. Nilda Jimenez, Damaris Delgado, Kelvin Serrano, Omar Collazo, Johanna Gutierrez, Dr. Craig Lilyestrom, Dr. Richard Appeldoorn

Captain Luis Lagradier (Puerto Rico Sportfishing Charters)

Captain Luis Burgos-Roviera (Caribbean Fishing Academy)

Captain Rafa Terraza (Billfish)

Captain Luis Iglesias (Bill Wraps)

Captain Humberto Morales (Double Hook)

Captain Marcos Hanke (LTP3)

Captain Irving Rivera (La Robalo)

Captain Hector Pesquero (Don Polo)

Captain Cedric Taquin (Menta)

Captain Robi Birriel (Nuri)

Captain Tylor Penfield (Ana Sofia)

Captain Jonathan Prices (Cono Azul)

Captain Kristian Tsotoros (Pinchona)

Captain Bradley Dray (Mireya)

Captain Alex Oben (Seaborn Fishing Charters)

Captain Carlos Andres (Chispa)

Captain Jesus Duran (Lalooli)

Captain Emmanuel Markham (La Calankita)

Captain Milton Char (Phantomas)

Captain Cheo Volvo (Yadimar)

Captain Richard Delizza (Rock Boat)

Captain Julien Brossel (Madatet Lures)

Captain Ron Teke (Colorado Magic)

Captain David Neblett (Hit That)

Captain Hunter Stokes (Painkiller)

Captain Chris Jobes (Pair of Docs)

Captain Rick Perrson (Swamphopper)

Captain Dan Gates (No Name)

ECOSYSTEM BASED TECHNICAL ADVISORY PANEL

(EBFM TAP)

• Caribbean Fishery Management Council (CFMC) – Scientific and Statistical Committee (SSC) Hybrid Meeting

• April 12-13, 2022

• Ecosystem Based Fishery Management (EBFM) Technical Advisory Panel (TAP) Update

• Sennai Habtes

• EBFM TAP Chair

• Bureau Chief, Fisheries

• VI DPNR – Division of Fish & Wildlife

NOAA/NMFS

EBFM POLICY

STATEMENT

• NOAA’s National Marine Fisheries Service (NOAA Fisheries) strongly supports implementation of EcosystemBased Fisheries Management (EBFM) to

• Better inform and enable decisions regarding tradeoffs among and between fisheries (commercial, recreational, and subsistence), aquaculture, protected species, biodiversity, and habitats.

• Recognizing the interconnectedness of these ecosystem components will help maintain resilient and productive ecosystems (including the human communities on which they depend), even as they respond to climate, habitat, ecological, and other environmental changes.

• Background:

• “NOAA strives to adopt an ecosystem-based approach throughout its broad ocean and coastal stewardship, science, and service programs.”

• In 2018, NOAA published an Ecosystem Based Fisheries Management Policy that includes roadmaps for EBFM implementation around the country

• Development of Fishery Ecosystem Plans (FEP) at the council level

The EBFM TAP shall provide the Council ongoing scientific advice on ecosystembased fishery management for fishery management decisions, including recommendations for habitat status, social and economic impacts of management measures, and ecosystembased impacts (stressors) on sustainability of fishing practices

EBFM TAP Charter

LENFEST LOOP TOWRDS FEP

DEVELOPMENT

Articulate a vision – Discussion & previous efforts

Strategic Objectives – How to develop

Assessment of Risk

Prioritize strategic objectives – Develop strategy

Operational objectives – Develop a plan to present options to council

Figure: The Lenfest FEP loop (Essington et al., 2016)

MISSION

The overarching goal of the Fishery Ecosystem Plan (FEP) is to promote ecosystem-based approaches to ensure healthy, resilient and productive marine ecosystems and the fisheries resources dependent upon those ecosystems, within the context of the unique biological, ecological, economic, social and cultural characteristics of those fishery resources and the communities dependent on them.

• Framework that promotes the following goals:

• Increase human community resilience within the context of changing ecosystems;

• Promote ecosystem resilience within the context of changing ecosystems;

• Define present ecosystem status/functionality;

• Understand dynamics of fisheries and ecosystem services;

• Describe key ecosystem linkages;

• Identify research priorities;

• Identify additional ecosystem-essential species in need of conservation and management;

• Understand the risks to the fishery ecosystem and tradeoffs from different management strategies;

• Improve the data and information needed to support marine ecosystem management;

• Prevent overfishing and/or ecosystem overfishing;

• Achieve optimum yield;

• Incorporate ecosystem considerations into stock assessments;

• Bring ecosystem considerations into the decision making process;

• Promote adaptive management policies (Revising MSA, National SSC, CCC).

UPDATES FROM PROJECT PARTNERS & POTENTIAL COLLABORATORS

• Lenfest – JJ Williams (UPR-M),T. Seara (U. New Haven)

• 1) conceptual and quantitative model for US Caribbean within a fisheries context based on stakeholder perceptions and data collected;

• 2) To select and estimate indicators

• 3) identify the main indicators and threats potentially affecting the fisheries systems.

• Ecosystem Indicators SEFSC – M. Karnuskas, K. Montenero

• Identify, acquire, compile, and conduct spatial and temporal analyses of pertinent data needed for development of an ecosystem status report for the U.S. Caribbean region

• Other Potential Data Integration Partner Presentations:

• S. Kotikot & S. Canty – Smithsonian Institute – US Caribbean Mangrove Mapping

• SEFSC Strategic Plan, inventory update – K. McCarthy & R. Eckley (SEFSC)

• Net Gains Alliance – K. Latanich (NGA)

• EBFM Workshop – Ecosystem Status Report Applications

– T. Rankin (NMFS - OHC)

• OEAP – Outreach & Education for EBFM – A. Ortiz

• US Caribbean Sargassum Mapping – W. Hernandez (UPRM)

• CARICOOS Research – J. Morel & A. Rodriguez

WHERE ARE WE NOW?

Conceptual Models (SSC, DAPs, eNGOs, Coastal businesses, academics, managers, other fishers)

- Melivora Consulting

- ISER Caribe - 25/32 CM’s completed

- In the process of merging terminology across Models

- Model workshops to complete: 7 in PR, 2 in USVI Indicators (from the conceptual models and quantitative data)

- Develop largest scale conceptual model using Similarity Analysis

- Components of melded model will be for ecosystem indicators that can be compared to indicators from Ecosystem Status Report and other available quantitative datasets

WHERE ARE WE NOW?

Lenfest Data Procurement & Assimilation

- Data compiled from existing quantitative fisheries independent and environmental data (SEAMAP – Gold Copy, NCCOS, PRCRMP, TCRMP)

- Multivariate Ordination Approach to derive indicators from CM’s – in development

- Structural equation Modelling – to test CM derived indicators against quantitative datasets – in development

- Identify data gaps between stakeholder and data derived view of the system.

Inventory of EBFM necessary data within US Caribbean Will require operational infrastructure for use in management decisions not currently available

- Identify operational system for use of EBFM data, models, indicators

Conceptual Models Melding

WORKING GROUPS

Members: JJ Cruz Mota, T. Seara, O. Tzadik, M. Duval, S. Stephenson, L. Rivera, R. Appledorn (?), T. Rankin

Outputs: Indicators & Gaps, Model Framework, Appendix of CM’s, Comparative model analysis, Indicator Rankings

Ecosystem Indicators

Members: K. Montenero, S. Regan, JJ Cruz Mota, S. Williams, T. Seara, O. Tzadik, S. Habtes, T. Rankin

Outputs: Suite of ESR Indicators, Data Repository, CM & Quantitative indicators, Process of indicator prioritization, List of ESR & CM indicators

Risk Assessment

Members: S. Habtes, O. Tzadik, K. Montenero, T. Rankin, L. Rivera Garcia, R. Appledorn (?), S. Stephenson

Outputs: Define indicators from the master indicator list, identify drivers and receivers as ecosystem components to develop strategic objectives to inform the council

Data Repository

Members: S. Habtes, O. Tzadik, E. Cruz-Rivera, K. McCarthy, S. Williams, S. Stephenson, CariCOOS (guest speakers)

Outputs: Strategy for developing data management and coordination policies and infrastructure necessary for EBFM operational management in the US Caribbean through CFMC.

Activity

NEXT STEPS

Revise and draft EBFM TAP goals and objectives

Draft FEP goals and objectives

Continue to collect and analyze existing data sets from Lenfest, SeaMap, ESR, etc…

• Expected products = a centralized repository of data (e.g., MBON, Caricoos, etc..); summary analyses of pertinent datasets; potentially peer-reviewed publications

Expected

December 2020

April 2021

April - December 2021

Complete all conceptual models

Meld conceptual models to create island-specific conceptual models

Use the conceptual models & additional products to create island-specific risk assessments for consideration by the SSC, that will be used to inform approaches that will be presented in the FEP.

Use the conceptual models and other products produced by the ESR, EBFM TAP, and by the Lenfest FEP project to identify ecosystem indicators that should be monitored. In addition to inclusion in the FEP, these indicators will be presented to the SSC and the CFMC for consideration to include in EBFM management practices.

June 2022

December 2022

December 2022

December 2022

NEXT STEPS Activity

Develop strategic objectives, prioritize the objectives, and outline a vision for the use of the FEP for consideration in the CFMC processes.

Expected Date of Completion

Mar 2023

Develop operational objectives with concrete action items to be presented in the FEP, for consideration by the CFMC.

Develop performance measures and draft a management strategy that can be used situationally during CFMC decision making, to be presented in the FEP, for consideration by the CFMC.

May 2023

Develop a feedback mechanism for adaptive management to be presented in the FEP, for consideration by the CFMC.

July 2023

July 2023

Develop a draft FEP document

Submit FEP for council approval

August 2023

December 2023

Trawl Gear and Other Net Gear in Federal Waters off Puerto Rico, St. Thomas and St. John, and St. Croix

Draft Options/Decision Paper

For an Amendment to the Puerto Rico, St. Thomas and St. John, and St. Croix

Fishery Management Plans

April 2022

1. Background

At their December 2021 meeting, the Caribbean Fishery Management Council (Council) discussed a potential prohibition on the use of bottom trawl gear in U.S. Caribbean federal waters as a precautionary approach to prevent negative impacts of bottom trawling on the seabed (e.g., destruction of coral habitat and sponge habitat), and on target and non-target species (i.e., bycatch) Trawls are an authorized gear type for use in the non-fisher y management plan (FMP) commercial fisheries under each of the St. Croix, St. Thomas and St. John, and Puerto Rico FMPs. 1 However, there is no evidence that this gear type is or has been used for fishing in federal waters of the U.S. Caribbean, although trawls have been sporadically used in the past for explorator y research (See CFMC Dec 2021 Meeting presentation and Knake and Whiteleather 1944). Moreover, Puerto Rico territorial fishing regulations prohibit the use of trawl gear and drift nets in its jurisdictional waters (See Puerto Rico Fishing Regulations 7949 2010). The U.S. Virgin Islands (USVI) do not have specific regulations prohibiting the use of trawl gear in their territorial waters (USVI Division of Fish and Wildlife Fisher Handbook 2019).

The National Marine Fisheries Service (NMFS) defines bottom trawling as a fishing practice that herds and captures the target species by towing a net along the ocean floor (See NOAA Fisheries Bottom Trawls). There are different types of bottom trawling nets (or techniques) such as otter trawls, beam trawls, towed dredges, and hydraulic dredges (Hickey 2017) and many of these are used and managed in other U.S. regions to capture groundfish, shrimp, and other bottom-associated species. During the December 2021 meeting, the Council also discussed other types of trawling gear and nets that are not used in the sea bottom. 50 CFR 600.10 defines trawl as a cone or funnel-shaped net that is towed through the waters, and can include a pair trawl that is towed simultaneously by two boats. Examples of other trawling gear and nets are the midwater trawl net (i.e., pelagic trawl), which is a large net towed through the water column; drift nets (e.g., gillnets, trammel nets), which hang vertically in the water column without being anchored to the bottom; and purse seines (used in many regions to catch tunas), which consist of a large wall of netting deployed around an entire area or school of fish

The use of certain bottom tending gear (i.e., pots, traps, bottom longlines, gillnets or trammel nets) is currently prohibited year-round in the seven Council-managed seasonally closed areas (also called Marine Managed Areas (MMAs) in this document): Puerto Rico – (1) Bajo de Sico; (2) Abrir La Sierra; (3) Tourmaline; in U.S. Virgin Islands – (4) Grammanik Bank; (5) Mutton Snapper Spawning Aggregation Area; 6) Hind Bank; and (7) Red Hind Spawning Aggregation Area East of St. Croix. There are no specific prohibitions on the use of trawl gear in these or other areas, with the exception of the Hind Bank Marine Conservation District in St. Thomas, where all fishing is prohibited year-round (Appendix A). The use of gillnets and trammel nets has been prohibited for the harvest of reef fish and spiny lobster since 2005 due to the potential for bycatch (CFMC 2005) (50 CFR 622.433(c) and 50 CFR

1 Trawls will continue to be included in the regulations at 50 CFR 600.725(v). The regulations implementing the islandbased FMPs have not yet been proposed for public comment, and thus the specific text included in the gear tables may change, but the authorized gear types will remain the same.

622.452(b) 2 Gillnets are allowed for the harvest of other species (e.g., baitfish [where baitfish refers to species other than managed reef fish]) in federal waters but they must be tended at all times. 3 There are no federal regulations regarding the use of gillnets or trammel nets for the harvest of Council-managed pelagic species, which are new to management under the island-based FMPs (CFMC 2019 a,b,c; See Appendix B of this document for a list of managed pelagic species). The Council has discussed in the past developing an action to restrict harvest of pelagic species with these two gear types. Certain types of nets are regulated by NMFS in the highly migratory species (HMS) fisheries (50 CFR 635.19).

The Council is interested in a potential prohibition on the use of trawls in Council MMAs and/or in the exclusive economic zone (EEZ) off Puerto Rico, St. Thomas and St. John, and St. Croix for several reasons: (1) trawls have the potential to damage coral habitat including deep-water corals, also sponge habitat and deep-water sponges (Discussion at CFMC Meeting, Dec 2021); (2) trawls can entangle protected species; and (3) trawls can damage habitats designated as essential fish habitat (EFH) and habitat areas of particular concern for managed species under the Magnuson-Stevens Fishery Conservation and Management Act (Magnuson-Stevens Act). There are also economic considerations related to the use of trawling gear (e.g., damage or loss of gear) as well as implications for the bycatch of managed and unmanaged species.

Previously, in the 2004 Essential Fish Habitat Generic Amendment to the FMPs of the U.S. Caribbean and associated final environmental impact statement (CFMC 2004), the Council made a recommendation to take action to ban the use of trawls in the EEZ. The Council noted that this gear type was not used by commercial fishermen at the time but recognized a potential for future use. As a rationale for their recommendation, the Council indicated that the complex mosaic of coral on the insular shelf left little space available for trawling that would not have direct impacts on coral. Thus, a prohibition on trawling would prevent use of a gear with high risk of adverse fishing impacts on sensitive and important habitat. These recommendations have not been included in an amendment to date. The Council also recommended that the governments of Puerto Rico and the USVI prohibit all trawling (i.e., pelagic, bottom) in state waters.

The Council is also interested in the potential implications (if any) that continuing to allow trawling for non-FMP species as an authorized gear type in the EEZ (including in Council MMAs) may have on the whether the existing Council MMAs qualify as conservation areas under Executive Order (E.O ) 14008 4 E.O. 14008 establishes a goal of conserving at least 30 percent of the lands and waters in the United States by 2030. Efforts are underway to determine how much of the lands and waters already qualify as conserved. For example, the Council Coordination Committee has established a subcommittee on areabased management to review MMAs to assess the level of protection they provide. The Council has

2 Gillnet means a panel of netting, suspended vertically in the water by floats along the top and weights along the bottom, to entangle fish that attempt to pass through it.

3 See https://www.fisheries.noaa.gov/national/marine-mammal-protection/caribbean-gillnet-fishery-mmpa-list-fisheries

4 E.O. 14008, Tackling the Climate Crisis at Home and Abroad, January 27, 2021.

been interested in whether areas it has protected will or could meet any conservation standards developed to implement the E O

During the December 2021 meeting, the Council passed two motions regarding the use of trawls and other nets in waters under its jurisdiction:

1) Motion 1: Prohibit the use of trawling gear from within the marine protected areas (i.e., Council MMAs) of the U.S. Caribbean EEZ.

2) Motion 2: Request staff to develop an options paper to prohibit the use of gillnets, trammel nets, trawl nets, drift nets, and purse seines for harvesting fish in the U S Caribbean EEZ

While federal regulations at 50 CFR 600.725 list gillnets (type of drift net) and trawl nets only as authorized gear types for certain fisheries (i.e., trawl gear is an authorized gear type for the commercial harvest of non-FMP species in each island management area; gillnets are an authorized gear type for the commercial harvest of managed and non-managed pelagic species and the commercial harvest of nonFMP species in each of the island management areas), purse seines and trammel nets are not authorized gear types for any fishery. However, with respect to purse seines and trammel nets, a person could petition the Council to use these gear types. At that time, the Council and NMFS could take action whether to allow or prohibit the use of the gear. 5

In this options/decision paper, the Council evaluates a prohibition on the use of trawls and certain types of net gear. When developing this action, the Council may want to take into consideration the following characteristics and issues of net fisheries in the U.S. Caribbean islands:

- The use of certain nets to catch baitfish (e.g., cast nets, surface gillnets [single-walled, tended at all times])

- The use of surface gillnets to harvest flying fish from federal waters (particularly in St. Croix)

- Reporting and monitoring needs

- Compatibility (or lack of) of regulations with territorial waters (e.g., gillnet use is allowed in Puerto Rico waters)

- Need for any HMS exceptions

- Management of pelagic migratory species in other regions (e.g., dolphinfish in the South Atlantic), which are transboundary shared resources (i.e., migratory nature of pelagic species)

- Regulations that already protect EFH in the U.S. Caribbean

5 50 CFR 600.725(v): A person or vessel is prohibited from engaging in fishing or employing fishing gear when such fishing gear is prohibited or restricted by regulation under an FMP or other applicable law. However, after December 1, 1999, an individual fisherman may notify the appropriate Council, or the Director, in the case of Atlantic highly migratory species, of the intent to use a gear or participate in a fishery not already on the list. Ninety days after such notification, the individual may use the gear or participate in that fishery unless regulatory action is taken to prohibit the use of the gear or participate in the fishery (e.g., through emergency or interim regulations).

2. Potential Action and Management Options

Action: Prohibition on the Use of Trawl Gear, Gillnets, Trammel Nets, and Purse Seines in the U.S. Caribbean Exclusive Economic Zone (EEZ)

Option 1. No action. Retain the authorized gear types for commercial and recreational harvest in federal waters off St. Croix, St. Thomas and St. John, and Puerto Rico. Trawl gear is an authorized gear type for the commercial harvest of non-fishery management plan (FMP) species in each island management area. Gillnets are an authorized gear type for the commercial harvest of managed and nonmanaged pelagic species and the commercial harvest of non-FMP species in each of the island management areas. Trammel nets and purse seines are not listed as authorized for any fisheries in the U.S. Caribbean EEZ.

Option 2. Prohibit the use of trawling gear in federal waters off St. Croix, St. Thomas and St. John, and Puerto Rico.

Sub-option 2a. For all fishing in Caribbean Fishery Management Council (Council) seasonally closed areas/marine managed areas (MMA) 6 in federal waters off St. Croix, St. Thomas and St. John, and Puerto Rico.

Sub-Option 2b. For all fishing in federal waters off St. Croix, St. Thomas and St. John, and Puerto Rico.

Option 3. Prohibit the use of gillnets 7 (type of drift net) in federal waters off St. Croix, St. Thomas and St. John, and Puerto Rico:

Sub-Option 3a. For all fishing

Sub-Option 3b. For all fishing except for baitfish (as defined in regulations) 8

Option 4. Prohibit the use of trammel nets (type of drift net) for all fishing in federal waters off St. Croix, St. Thomas and St. John, and Puerto Rico.

Option 5. Prohibit the use of purse seines for all fishing in federal waters off St. Croix, St. Thomas and St. John, and Puerto Rico.

6 CFMC Seasonally Closed Areas/Marine Managed Areas (MMAs) are: in Puerto Rico – (1) Bajo de Sico; (2) Abrir La Sierra; (3) Tourmaline; in U.S. Virgin Islands – (4) Grammanik Bank; (5) Mutton Snapper Spawning Aggregation Area; 6) Hind Bank; and (7) Red Hind Spawning Aggregation Area East of St. Croix.

7 The use of gillnets is already prohibited inside CFMC Seasonally Closed Areas or CFMC MMAs. Gillnets are also prohibited for all fishing for Council-managed reef fish and spiny lobster.

8 Gillnets used for harvesting baitfish (i.e., bait nets) would also need to be defined to be excluded. Council also to decide if an exception would apply to all sectors or not.

Discussion

Option 1 would retain all trawl and drift net gear types authorized for harvest of all commercial and recreational species under each of the St. Croix, St. Thomas and St. John, and Puerto Rico fisheries, including bottom and mid-water trawls, and gillnets. Currently, trawl gear is an authorized gear for the commercial harvest of non-FMP species in St. Croix, St. Thomas and St. John, and Puerto Rico. There is no evidence that the commercial sector uses (or has used) trawl gear (with exceptions noted in Section 1. Background, such as for research and exploratory fishing). Gillnet is an authorized gear type for the commercial harvest of managed and non-managed pelagic fish (non-FMP) and for the commercial harvest of other non-FMP species (e.g., species that are not managed by the Council). Gillnets are used in territorial coastal waters to capture spiny lobster and several species of fish (in Puerto Rico), including baitfish (in both Puerto Rico and the USVI) As mentioned above, federal regulations allow for the use of gillnets for catching non-managed species (e.g., baitfish [ballyhoo, flying fish]), but the gear must be tended at all times, and prohibit the use of gillnets year-round for fishing for spiny lobster and Council-managed reef fish 9 Gillnets are also prohibited to be used in Council-managed seasonally closed areas/MMAs.

Option 2 proposes a broad prohibition on the use of all trawl gear (i.e., bottom and midwater trawl) for harvest of all commercial and recreational species (i.e., managed and non-managed) that could be applicable only in Council-managed seasonally closed areas/MMAs (Sub-Option 2a) or throughout the EEZs of Puerto Rico, St. Croix, and St. Thomas and St. John (Sub-Option 2b). By taking this action, the Council would prevent negative potential ecological and biological and physical effects from the use of trawl gear in the future (e.g., habitat destruction, bycatch) in Council MMAs (Sub-Option 2a) or throughout the whole EEZ (Sub-Option 2b). For example, potential impacts from trawling to coral and sponge habitat are caused by direct contact with bottom tending trawl gear and from impacts to sensitive vertical relief from near-bottom orientation of pelagic trawls.

Option 3 proposes a broad prohibition on the use of gillnets for harvest of all commercial and recreational species (i.e., managed and non-managed) (Sub-Option 3a) or for all fishing with the exception on the use of gillnet for the harvest of baitfish (Sub-Option 3b). Option 3 would require the Council to clearly define baitfish and specify the type of gillnet used for harvesting baitfish as well as if the exception would apply to both the commercial and recreational sector. Currently, gillnet is an authorized gear type for the commercial harvest of managed pelagic fish (See Appendix B) and nonmanaged pelagic fish (e.g., baitfish species [sardines, herring, ballyhoo], non-managed mackerel), and for the commercial harvest of non-FMP species (e.g , other baitfish species) Federal regulations already prohibit the use of gillnets for the harvest of managed reef fish and spiny lobster in all U.S. Caribbean federal waters and prohibit the use of gillnets in all Council MMAs. Although the use of gillnets for the harvest of managed and non-managed pelagic species or other non-managed species in federal waters is

9 Cast nets are authorized for the commercial and recreational harvest of non-FMP species. Cast nets are surface nets typically used to fish for baitfish such as ballyhoo, sardines, and other species. The Council did not include cast nets in the motion to prepare this options paper.

considered to be minimal or unlikely due to depth and distance from the coast of the location of federal waters (at least for Puerto Rico [see Leroy 2007]), by taking this action, the Council would prevent negative ecological and biological effects from the use of gillnets (e.g., prevention of bycatch of undersized individuals, protected species, other target and non-target species). Allowing the use of certain types of gillnets used for catching baitfish commercially and/or recreationally would allow fishermen to continue using these specific bait nets in federal waters (Sub-Option 3b).

Option 4 would prohibit the use of trammel nets and Option 5 would prohibit the use of purse seines for all fishing in the EEZ off Puerto Rico, St. Thomas and St. John, and St. Croix. Trammel nets are already prohibited for fishing for Council-managed reef fish and spiny lobster in federal waters of all three island management areas and are also banned in Council MMAs. Purse seines are not used in federal and territorial waters of the U.S. Caribbean. None of these gear types are listed as an authorized gear under any U.S. Caribbean fisheries in federal regulations at 50 CFR 600.10. Option 4 and Option 5 would specifically prohibit the use of these gear types, therefore it would not be possible for a fishermen to request the use of the gear as would otherwise be allowed under federal regulations for gears that are not included in the authorized gear list.

3. References

Bane, G.W, JR. 1965. Notes on exploratory fishing and the biology of the blackfin tuna around Puerto Rico. Proc. Ninth Int. Game Fish Conf., Runaway Bay, Jamaica, W.L , Nov. 1964, pp. 12-16. (Note)

CFMC (Caribbean Fishery Management Council). 2004. Final environmental impact statement for the generic essential fish habitat amendment to: Spiny lobster Fishery Management Plan (FMP), Queen Conch FMP, Reef Fish FMP, and Coral FMP for the U.S. Caribbean, Vols. I and II. Caribbean Fishery Management Council, San Juan, Puerto Rico.

CFMC (Caribbean Fishery Management Council). 2005. Comprehensive amendment to the fishery management plans (FMPs) of the U.S. Caribbean to address required provisions of the MagnusonStevens Fishery Conservation and Management Act (Sustainable Fisheries Act Amendment). Caribbean Fishery Management Council, San Juan, Puerto Rico. 533 pp + Appendices.

CFMC (Caribbean Fishery Management Council). 2019a Comprehensive Fishery Management Plan for the Puerto Rico Exclusive Economic Zone, environmental assessment, regulatory impact review, and fishery impact statement. Caribbean Fishery Management Council, San Juan, Puerto Rico. 637 pp.

CFMC (Caribbean Fishery Management Council). 2019b Comprehensive Fishery Management Plan for the St. Thomas/ St. John Exclusive Economic Zone, environmental assessment, regulatory impact review, and fishery impact statement. Caribbean Fishery Management Council, San Juan, Puerto Rico. 507 pp.

CFMC (Caribbean Fishery Management Council). 2019c. Comprehensive Fishery Management Plan for the St. Croix Exclusive Economic Zone, environmental assessment, regulatory impact review, and fishery impact statement. Caribbean Fishery Management Council, San Juan, Puerto Rico. 509 pp.

Hickey, H. 2017. Bottom-trawling techniques leave different traces on the seabead. University of Washington News, June 17, 2017. Available at: UWN Bottom Trawling.

Knake, B.O. and R.T. Whiteleather. 1944. Otter trawl net for small fishing boats. Fishery leaflet No. 49 U. S. Department of Interior Fish & Wild life service, Washington D. C. Available at: https://spo.nmfs.noaa.gov/sites/default/files/legacy-pdfs/leaflet49.pdf

LeGore, S. 2007. Bait fisheries serving the marine recreational fisheries of Puerto Rico. Technical Report No. 06-113F. Available at: https://www.drna.pr.gov/wp-content/uploads/2015/05/Baitfish-FinalReport-.pdf

4. Appendices

Appendix A. Seasonally Closed Areas/Marine Managed Areas in the U.S. Caribbean Exclusive Economic Zone

There are seven Caribbean Fishery Management Council seasonally closed areas/marine managed areas in federal waters that prohibit the use of certain gear types within their boundaries.

Area Island Seasonal Closure Year-round Prohibition

Hind Bank Marine Conservation District St. Thomas Year-round

Grammanik Bank St. Thomas

February 1 - April 30

Mutton snapper spawning aggregation area

St. Croix

March 1 - June 30

Lang Bank St. Croix

December 1 - February 28

Fishing for any species and anchoring by fishing vessels are prohibited yearround.

Fishing with pots, traps, bottom longlines, gillnets or trammel nets is prohibited year-round.

Fishing with pots, traps, bottom longlines, gillnets or trammel nets is prohibited year-round.

Fishing with pots, traps, bottom longlines, gillnets or trammel nets is prohibited year-round.

Tourmaline Bank Puerto Rico

December 1 - February 28

Fishing with pots, traps, bottom longlines, gillnets or trammel nets is prohibited year-round.

Abrir La Sierra Puerto Rico

December 1 - February 28

Fishing with pots, traps, bottom longlines, gillnets or trammel nets is prohibited year-round.

Bajo de Sico Puerto Rico

October 1 - March 31

Fishing with pots, traps, bottom longlines, gillnets or trammel nets is prohibited year-round. Anchoring by fishing vessels is prohibited year-round.

Appendix B. List of Managed Pelagic Stocks Included in each of the Islandbased Fishery Management Plans

Puerto Rico Pelagics

*All new to management

• Tripletail: tripletail

• Dolphinfish: dolphin, pompano dolphin

• Mackerels and Tunas (Scombridae): little tunny, blackfin tuna, king mackerel, cero mackerel, wahoo

• Barracudas: great barracuda

St.

Thomas and St. John Pelagics

*All new to management

• Dolphinfish: dolphin

• Mackerels and Tunas (Scombridae): wahoo

St. Croix Pelagics

*All new to management

• Dolphinfish: dolphin

• Mackerels and Tunas (Scombridae): wahoo

January 12 2022

Dr. Clay Porch

Dr. John Walter SEFSC

75 Virginia Beach Dr. Miami, FL 33149

Dear Clay,

The Caribbean Fishery Management Council (CFMC) respectfully requests the assistance of the Southeast Fisheries Science Center (SEFSC) to conduct a spiny lobster assessment update (outside the SEDAR process) in 2022, for OFLs/ABCs for 2024-2026. The CFMC and the SEFSC can work on establishing a timeline for the completion of the update and need to confirm the terminal year for the update, dependent on staff workload and data availability respectively. The assessment should provide OFLs/ABCs for 2022 and later years.

The CFMC has currently included the spiny lobster in the SEDAR Assessment schedule for each, Puerto Rico, St. Thomas/St. John and St. Croix for 2024, but an update in 2022, following the already established data-limited methodology recommended by the scientists is herewith requested. This would also be included in the on-going discussions of the amendments awaiting implementation of the IslandsBased FMPs.

Thank you,

Turn static files into dynamic content formats.

Create a flipbook
Issuu converts static files into: digital portfolios, online yearbooks, online catalogs, digital photo albums and more. Sign up and create your flipbook.