Cybernetic Transhuman Ecology: Guidelines | Dissertation in Architecture | Arham Jain

Page 1

CYBERNETIC TRANSHUMAN ECOLOGY:

GUIDELINES

Guide: Prof. Himanshu Sanghani, Prof. Shanu Agarwal

Mentors: Dr. Purva Mujumdar, Ar. Prerana Hazarika

Coordinator: Ar. Prerana Hazarika

DISSERTATION IN ARCHITECTURE

2023-2024

Submitted by:

ARHAM JAIN

200BARCH017/SAA/B.Arch./2020-2025

SCHOOL OF ART AND ARCHITECTURE

SUSHANT

UNIVERSITY

BONAFIDE CERTIFICATE

This dissertation is submitted by Arham Jain, student of fourth year, 7th semester, B.Arch session

2023-24, at School of Art and Architecture as partial requirement fortheFive yearB.Arch degree course at Sushant University, Gurugram.

Originality of the information and opinion expressed in the dissertation are of the author and do not reflect those of the guide, mentor, coordinator or the institution.

Name of the student: Arham Jain

Roll no.: 200BARCH017

Signature:

Signature of Mentor

Dr. Purva Mujumdar

Name of Guide: Prof. Himanshu Sanghani

Signature:

Signature of Coordinator

Asst. Prof Prerana Hazarika

2 Dissertation | Cybernetic Transhuman Ecology: Guidelines | 2023

ACKNOWLEDGEMENTS

I extend my heartfelt gratitude to Dr. Purva Mujumdar & Ar. Prerana Hazarika, whose unwavering guidance and expertise played a pivotal role in shaping the trajectory of my research journey. Their insightful feedback and constructive criticism were instrumental in refining the nuances of my dissertation. I am indebted to Ms. Shanu Agarwal for their continual support and mentorship. Their wealthof knowledgeand dedicationto fostering academic excellencehaveleft an indelible mark on my intellectual growth.

Special thanks are due to Professor and Dean Col. V. K. Malik and the esteemed faculty of the Department of Art and Architecture at Sushant for creating an enriching academic environment. Their collective encouragement and commitment to academic rigor have been instrumental in the successful completion of my research.

A heartfelt acknowledgment is reserved for my guide, Professor Himanshu Sanghani, whose patience and encouragement were a constant source of motivation. His willingness to address my queries and provide timely guidance played a pivotal role in keeping me on course during the intricate phases of my dissertation.

My profound gratitude extends to all my professors, whose teachings and insights have broadened my intellectual horizons. The stimulating and supportive learning environment at this esteemed institution has been crucial in shaping my academic perspective.

Finally, my sincere appreciation goes to my family and friends for their unwavering love and support. Their encouragement served as a constant motivator, and I am deeply thankful for their understanding during the demanding phases of my research. Without their support, this dissertation would not have been possible. I express my gratitude to all those who have contributed to my academic journey, shaping it into a rewarding and fulfilling experience. Thank you.

School of Art & Architecture, Sushant University Gurugram

3 Dissertation | Cybernetic Transhuman Ecology: Guidelines | 2023

ABSTRACT

In projecting towards the year 2300, this dissertation unfolds a visionary narrative at the confluence of cybernetic transhuman ecology, propelled by the pressing factors of overpopulation and the redefined environmental landscape. Rooted in the tenets of new materialism, the research charts a course through uncharted territories, offering guidelines that outline a harmonious interplay between humanity, technology, and the environment.

The urgency of addressing overpopulation serves as the catalyst for exploring revolutionary environmental possibilities. With a departure from conventional paradigms, the study embraces the transformative capacities of cybernetics, envisioning an ecological framework where humans and technology coalesce synergistically. The guidelines articulated herein set the stage for an avant-garde understanding of environmental sustainability, transcending the limitations of traditional approaches.

Centraltothisexplorationistheadoptionofanewmaterialist perspective,whichexpandsbeyond the confines of anthropocentrism. This paradigm shift becomes a cornerstone for redefining humanity's relationship with theenvironment, weavinga narrative wherethe boundaries between the natural and the artificial blur into a seamless tapestry of coexistence.

As the dissertation unfolds, the parameters of these guidelines become intricately entwined with the notion of utopia. The envisioned future, shaped by cybernetic transhuman ecology, encapsulatesautopianethoswherethesymbiosisofhumansandtechnology fostersasustainable, thriving ecosystem. The guidelines proposed serve not only as a roadmap for environmental stewardship but also as a blueprint for constructing a utopian world where innovation, harmony, and coexistence reign supreme.

Keywords: New Materialism, Overpopulation, Utopian Parameters, Transhumanism, Cybernetics, Guidelines

4 Dissertation | Cybernetic Transhuman Ecology: Guidelines | 2023
5 Dissertation | Cybernetic Transhuman Ecology: Guidelines | 2023 TABLE OF CONTENTS Bonafide Certificate ..................................................................................................................... 2 Acknowledgement 3 Abstract ....................................................................................................................................... 4 Table of Contents 5 List of Tables/Illustrations/Figures 8 List of terms 10 Chapter 1: Introduction 11 Chapter 2: Research Outline ..................................................................................................... 13 2.1: Aim of the study 13 2.2: Objectives of the study......................................................................................................... 13 2.3: Context of the study 13 2.4: Research Questions............................................................................................................. 13 2.5: Significance of study 14 2.6: Delimitation of the study ..................................................................................................... 14 2.7: Scope and Limitations 14 Chapter 3: Literature Review 15 3.1: The Philosophical Foundations of New materialist cybernetic transhuman architecture 15 3.1.1: New Materialism 15 3.1.2: Transhumanism 17 3.1.3: Cybernetics ...............................................................................................................20 3.1.4: New Materialist Cybernetic Transhumanist Architecture 21 3.2: The Design and Implementation of New Materialist Transhumanist Architecture ............22 3.3: The Impact of New Materialist Transhumanist Architecture 23
6 Dissertation | Cybernetic Transhuman Ecology: Guidelines | 2023 3.3.1: Human-technology-nature interaction 23 3.3.2: Nature Integration ....................................................................................................23 3.3.3: Equitable and Inclusive Communities 23 3.3.4: The ethical implications ............................................................................................25 3.3.5: Architecture Typologies 25 3.3.6: Biophilic Design........................................................................................................27 3.4: Overpopulation 27 3.4.1: Current Overpopulation Status ................................................................................27 3.4.2: Factors Leading to Overpopulation 28 3.4.3: Aspects Affected by Overpopulation .........................................................................29 3.4.4: Maintaining Population Equilibrium 29 3.4.5: Analysis & Conclusion of Overpopulation Projections ...........................................30 3.4.6: Architectural Changes 30 3.4.7: Architecture in 2300 .................................................................................................32 3.5: Data collection of population Growth 33 3.5.1: Predicted Status 2300 33 3.5.2 Methodology of Calculation and Prediction 36 3.6: Reformed Environment Possibilities 38 3.6.1: Dystopian .................................................................................................................38 3.6.2: Utopian 38 3.6.3: Interstellar Expansion ..............................................................................................39 3.6.4: Cybernetics 39 3.7: Cybernetics in Transhuman Ecology ..................................................................................39 3.7.1: Parameters 40 3.7.2: Population Strategy ..................................................................................................40 3.8: Built & Digital Environment of Cybernetics in Transhuman Ecology 40 3.8.1: Social Reform ...........................................................................................................40 3.8.2: Parameters 41 3.8.3: Ideal Sectoral Design ...............................................................................................41
7 Dissertation | Cybernetic Transhuman Ecology: Guidelines | 2023 3.9: Case Preparation 41 Chapter 4: Research Methodology ............................................................................................43 4.1: Research Methodology Paradigm 43 4.2: Research Instrument ....................................................................................................44 4.3: Methodology & problem formulation 44 Chapter 5: Evaluation 45 5.1: Analysis .......................................................................................................................45 5.2: Guidelines 45 Chapter 6: Recapitulation 47 6.1: Summary ......................................................................................................................47 6.2: Conclusion 47 Bibliography 49

LIST OF FIGURES (IMAGES & ILLUSTRATIONS)

Figure 1: Hyperbolic Crochet Coral Reef with a newmaterialist perspective by people and matter to create beauty; Source: Smithsonian’s National Museum, 2010

Figure 2: Creation of new relational understandings between human and materials through Afrofuture tradition; Source: Nick Cave Soundsuits

Figure 3: Bentham and Foucault Panopticon; Source: The Guardian

Figure 4: An Internet Panopticon; Source: Alicia Kubista

Figure 5: Largest Internet DE-CIX Frankfurt Source: Heinrich Holtgreve

Figure 6: View of Les Immatériaux, Centre Pompidou, Paris, 198; Source: Curating and Ethics

Figure 7: New Materialism to Architecture; Source: Author

Figure 8: Fig. 8: Endless Connections; Source: Domaine de Boisbuchet, 2021

Figure 9: Connecting Transhumanism; Source: Author

Figure 10: Factors Causing Overpopulation; Source: Author

Figure 11: Hong Kong Micro Housing 2014; Source: Medium

Figure 12: The 24 configurations of Chang’s apartment; Source: Edge Design Institute

Figure 13: Render of Mars Science City project; Source: Bjarke Ingles

Figure 14: World population forecast to 2300; Source: United Nations World Population 2300

Figure 15: World population according to different United Nations scenarios 2300; Source: United Nations World Population 2300

Figure 16: Historical estimation of world population; Source: United Nations World Population 2300

Figure 17: Evolution of the population of the world according to different scenarios 2000-2300; Source: United Nations World Population 2300

Figure 18: Frequency histogram of ratios in Table 2; Source: United Nations World Population 2300

8 Dissertation | Cybernetic Transhuman Ecology: Guidelines | 2023
9 Dissertation | Cybernetic Transhuman Ecology: Guidelines | 2023
Figure 19: Ratios of projected population in years 2100, 2200, and 2300 to (actual or projected) Populations 100, 200, or 300 years earlier, according to the low, medium, high, and constantfertility scenarios (in millions); Source: United Nations World Population 2300 Figure 20: Methodology Distribution of research topic; Source: Author

LIST OF TERMS

Anthropocene | The current geological epoch, in which human activities have become the dominant force shaping the planet.

Biomimicry | An approach to innovation that draws inspiration from nature's designs, processes, and systems to create solutions for human challenges.

Cybernetics | The interdisciplinary study of communication and control in living organisms and machines, emphasizing feedback loops.

Cyborg Architecture | Architecture that is designed to accommodate and support the needs of cyborgs and other posthuman beings.

Ecology | The study of the relationships between living organisms and their environment, including the impact of human activity.

Equitable Architecture | Architecture that is designed to be accessible and inclusive to all people, regardless of their abilities or socioeconomic status.

Human-Technology-Nature Interaction (HTNI) | An approach to design that seeks to promote a harmonious relationship between humans, technology, and nature.

New Materialism | A philosophical movement that emphasizes the interconnectedness of all things, including humans and the non-human world.

Sustainable Architecture | Architecture that is designed to minimize environmental impact and promote human well-being.

Symbiotic Coexistence | A mutually beneficial relationship between different species or entities, emphasizing harmony and cooperation.

Transhumanism | A philosophical movement that seeks to enhance human capabilities through technology.

10 Dissertation | Cybernetic Transhuman Ecology: Guidelines | 2023

Chapter 1: Introduction

In the nascent epoch of the 23rd century, the trajectory of human civilization finds itself at the nexus of imperative transformation, necessitating a profound revaluation of our intrinsic connection with the environment. The urgency to delineate a trajectory toward a cybernetic transhuman ecology is underscored by the convergence of epoch-defining factors, with overpopulation serving as a vanguard for reimagined environmental possibilities.

The conceptualization of a future steeped in new materialism is no longer confined to anthropocentric paradigms. It propounds a paradigm shift that reveres the agency and vitality of material entities, instigating a holistic comprehension of existence. In the crucible of contemporary challenges, overpopulation emerges as a relentless impetus, compelling a foray into novel solutions that transcend the terrestrial boundaries. The vista of our environmental aspirations expands to encompass dystopian contemplations, interstellar expansion, and the assimilation of cybernetic constructs into the very fabric of our existence.

Within this evolving narrative, cybernetics ascends as the lynchpin, steering the course toward a bifurcated realm of existence a-built environment in seamless symbiosis with its digital counterpart. In the crucible of this symbiotic interplay, social reformation blossoms, ushering in the era of cyborgs and the establishment of ideal sectoral designs. Herein lies the quintessence: the delineation of parameters for this paradigmatic shift, crafting guidelines to govern the intricate tripartite dance between humans, technology, and nature.

This dissertation embarks on an odyssey into uncharted intellectual terrain, proposing guidelines that navigate the intricate labyrinth of the cybernetic transhuman ecology. The articulated parameters encompass the intricate orchestration of Human-Technology-Nature interaction, ensuring a delicate equilibrium that transcends the conventional binary perspectives. Nature integration assumes a foundational role, becoming the cornerstone upon which, the built and digital environments harmonize with the natural world. Equitable and inclusive communities occupy the central stage, embodying a recognition of diversity in all its manifestations.

Ethical considerations emerge as the bedrock, shaping the very essence of this new paradigm. As we delve into Architecture Typologies, a rich tapestry of possibilities unfurls, showcasing the potential for harmonious spaces that transcend the limitations of traditional categorizations, blurring the boundaries between the organic and the artificial.

11 Dissertation | Cybernetic Transhuman Ecology: Guidelines | 2023

In this intellectual expedition, we transcend the conventional role of architects; we become architects of the future, visionaries crafting the blueprint for a transcendental epoch. The cybernetic and the transhuman converge, environmental stewardship transcends planetary confines, and the guidelines delineated become the pillars of a redefined existence.

12 Dissertation | Cybernetic Transhuman Ecology: Guidelines | 2023

Chapter 2: Research Outline

2.1: Aim of the study

This study aims to envision and prescribe guidelines for a cybernetic transhuman ecology in 2300, fostering harmonious coexistence among humans, cyborgs, and nature, with a focus on diverse spatial possibilities.

2.2: Objectives of the study

● Draw the principle of New Materialist Cybernetic Transhumanist Architecture

● Explore and compare the potential benefits and risks various of New Materialist Cybernetic Transhumanist Architecture for humans, cyborgs and the nature

● To extract critical benefits and prepare a matrix for design process

● Develop a set of recommendations for the design and implementation of the new model

2.3: Context of the study

The study is situated at the intersection of environmental science, transhumanism, cybernetics, and architecture. It responds to the pressing challenges of the 21st century, particularly overpopulation and the need forinnovativeenvironmental solutions. The context extends beyond terrestrial concerns, delving into the realms of speculative futurism, where human existence transcends planetary confines.

2.4: Research Questions

● How can the proposed guidelines for cybernetic transhuman ecology effectively address the challenges posed by overpopulation and contribute to reformed environmental possibilities in the year 2300?

● How might the integration of cyborgs into social structures and the development of ideal sectoral designs impact social reformation in the proposed cybernetic transhuman ecology?

13 Dissertation | Cybernetic Transhuman Ecology: Guidelines | 2023

2.5: Significance of the study

This study's significance lies in envisioning cybernetic transhuman ecology as a revolutionary paradigm for architecture and design in 2300. Offering guidelines for coexisting human-cyborgnature environments, it addresses overpopulation challenges and redefines the design/architecture world. Pioneering transformative approaches, it sets a precedent for sustainable,inclusive,andharmoniousspatial configurations,inspiringashift towardresponsible and forward-thinking design practices.

2.6: Delimitation of the study

This study delimits its scope to specific aspects due to constraints in accessing comprehensive resources. Limitations include a focus on the design of buildings and communities, the use of materials and technologies, the human-cyborg relationship and its ethical considerations and the development of new technologies.

This study will not examine the following aspects:

● The social and political implications of transhumanism

● The long-term future of humanity

2.8: Scope and Limitations

This study is limited by the following factors:

• The field of new materialist cybernetic transhuman architecture is new and emerging, and there is a limited body of research on this topic.

• The study will focus on a limited number of case studies, and the findings may not be generalizable to all new materialist transhumanist architecture projects.

14 Dissertation | Cybernetic Transhuman Ecology: Guidelines | 2023

Chapter 3: Literature Review

3.1: The Philosophical Foundations of New Materialist Transhumanist Architecture

3.1.1: New Materialism

New materialism and transhumanism are two philosophical movements that are closely aligned. New materialism emphasizes theinterconnectedness of all things,including humans andthe nonhuman world.

Source: Smithsonian’s National Museum of Natural History in Washington, D.C., 2010

The advent of new materialism in the arena of philosophy was followed by the decline of materialism in contemporary theory and the weariness of once-popular materialist theories like structural Marxism or existential phenomenology, as well as significant challenges to the ontological and epistemological tenets that have underpinned contemporary theories of the material world from poststructuralists (Diana Coole and Samantha Frost, 2010). The most fundamental question that new materialism addressed was about the nature of matter and what position humans acquired in their relation with matter.

15 Dissertation | Cybernetic Transhuman Ecology: Guidelines | 2023
Figure 1: Hyperbolic Crochet Coral Reef with a new materialist perspective by people and matter to create beauty.

Source: Nick Cave Soundsuits

New materialism entails paying attention to changes in the ways that humans currently produce, reproduce, and consume our material surroundings in addition to paying attention to advancements in the natural sciences. It requires awareness of current changes in the biosphere and ecosystem, as well as in the global economic systems and technological advancements. Furthermore, new materialism challenges the conventional notion that humans can master nature by stressing matters’ non-inert, active, self-transformation, and self-organizational nature.

While new materialism reviews the human connection to matter and nature, such a review is guided by “a post humanist sense of material agency and a limitation of humans' agentic efficacy” (Diana Coole and Samantha Frost, 2010). The different biotechnological and scientific developments such as genetic modification or the idea of a cyborg streamlines the thinking of new materialists to recognize the interaction of human life and matter on interfaces and planes like never before.

16 Dissertation | Cybernetic Transhuman Ecology: Guidelines | 2023
Figure 2:. Creation of new relational understandings between human and materials through Afrofuture tradition.

3.1.2: Transhumanism

Transhumanisminall itsfacetsisindeedachallengetotraditional dualisticthinking.It represents a paradigm shift that was decisively initiated by Darwin and Nietzsche and whose effectiveness becomes clear when we consider the emergence of numerous new scientific disciplines where evolutionary theory plays a central role, including evolutionary biology, evolutionary aesthetics, evolutionary economics, evolutionary game theory, evolutionary economic geography, and evolutionary epistemology, among others.

The concept of the panopticon has an exciting philosophical history from Bentham and Foucault to the present day, where it has developed an unprecedented significance following the emergence of the digital world. The challenges associated with it naturally go far beyond the topics noted there. The same applies of course to all of the topics addressed in these reflections.

Source: The Guardian

Source: Alicia Kubista

Much could and should still be said here, and, with the rapid progress of digitization processes, the relevance of this consideration is constantly increasing in importance. Escaping the internet panopticon is no longer a realistic option for the citizens of technologically advanced states. We will all necessarily become prisoners of this system. How to deal with this is an enormous challenge that urgently requires further thought. Based on what we search for on the internet, what we write in our emails, and which websites we visit, highly specific psychological personalityprofilescanbecreated.UsingGPSdatagatheredbysmartphones,navigationdevices, and public surveillance cameras with facial recognition, our movement patterns can be reconstructed. Biometric data, genetic analyses, fitness apps, and the digital storage of our medical history provide an enormous spectrum of information about our physiological traits. Personality profiles, physiological characteristics, and movement patterns are available as digital data and are transmitted over the Internet. The largest internet hub in the world is called DE-CIX and is located in Frankfurt.

17 Dissertation | Cybernetic Transhuman Ecology: Guidelines | 2023
Fig 3. Bentham and Foucault Panopticon Fig. 4. An Internet Panopticon

Source: Heinrich Holtgreve

Whoever can get all of this information using such a node might even accurately predict a person’s actions. The possible consequences for numerous areas of our lives are so complex that they cannot yet be estimated.

Architecture might have to cross-infect humans and nonhumans for symbiotic creativity that would yield new materials whose potential to self-organize would create flows of heterogeneous spatial temporalities and variations. This heterogeneity, a pursued abstraction related to the ‘other’, could be achieved by fading in and out material trajectories.

Source: Curating and Ethics

18 Dissertation | Cybernetic Transhuman Ecology: Guidelines | 2023
Fig 5. Largest Internet DE-CIX Frankfurt Fig. 6: View of Les Immatériaux, Centre Pompidou, Paris, 198

New materials, or what Robin Mackay (following Lyotard) would call les immatériaux, ‘have nothing to do with the dematerialization or the disappearance of materials into the spiritual or the virtual’, but with materials whose properties we can invent even if they do not exist.

Mackay carries on proposing speculations on anonymous materials, employing high throughput computation to embed desired properties at the quantum level. However, to embed certain characteristics and qualities of matter in computation we need a passage through the abstract. With this statement, he forces an update and urges for a bridge between the affective (empirical) and the rational (abstract): “The immaterial materials suffer from their invisibility but it is here that a culture is fashioned through images, sounds, and words. Legitimization of these materials allows them a proper place. But this already entails a kind of destabilization of the human and an admission to inhabit a culture that is no longer ours, it’s no longer human.”

Source: Author

19 Dissertation | Cybernetic Transhuman Ecology: Guidelines | 2023
Fig. 7: New Materialism to Architecture

3.1.3: Cybernetics

In the intricate tapestry of contemporary architectural discourse, the infusion of cybernetic transhumanism into the realms of the built and digital environments beckons an exploration of profound philosophical foundations. At the heart of this endeavour lies the quest to redefine the essence of existence, space, and interaction within the broader context of new materialist cybernetic transhuman architecture. This exploration delves into the dynamic interplay between the tangible and intangible, the material and immaterial. The built environment becomes a canvas, an embodied manifestation of human-technology-nature entanglements. Here, the traditional boundaries between human, machine, and nature blur, giving rise to a transhuman condition where architectural entities transcend conventional definitions.

Consider the built environment as a locus of embodied philosophy. Its materiality becomes an expressive language, communicating not only aesthetic intentions but also encapsulating the symbiotic relationships inherent in cybernetic transhumanism. Architectural elements cease to be mere physical entities; they morph into nodes within a larger network of information, energy, and consciousness. The incorporation of cybernetic principles introduces a philosophical underpinningthat echoes the tenets offeedback loops and self-regulation. Thebuilt environment, in its cybernetic essence, mirrors the adaptive nature of living organisms. Spaces respond to stimuli, evolving in real-time to accommodate the ever-changing needs of inhabitants. This dynamism engenders a dialogical relationship between the architectural and the human, fostering a continuous feedback loop that redefines the boundaries of agency and control.

Simultaneously, the unbuilt digital environment unfolds as a realm where the ethereal and speculative aspects of philosophy find resonance. In this virtual domain, the boundaries of physicality dissolve, giving way to an abstract canvas where cybernetic transhumanism materializes in coded algorithms and virtual interactions. Here, philosophy intertwines with the algorithms, shaping the very fabric of this digital expanse.

At its core, the digital environment becomes a testament to the extension of humancognition into the realms of the non-human. The philosophy that underlies this extension is rooted in posthumanist thought, challenging the anthropocentric perspectives that have historically dominated architectural discourse. The unbuilt digital environment invites contemplation on the nature of consciousness,agency,andexistenceinaspaceunboundbytheconstraintsofthephysical world. This philosophical exploration transcends the overt narratives of technology and design. It grapples with the ontology of architecture in the age of cybernetic transhumanism, questioning the nature of reality itself. The built and digital environments converge not as dichotomous entities but as interwoven threads in the grand tapestry of a post-human architectural philosophy.

20 Dissertation | Cybernetic Transhuman Ecology: Guidelines | 2023

Source: Domaine de Boisbuchet, 2021

In the hands of architects and theorists navigating these uncharted philosophical waters, the challenge is to evoke the sublime from the abstract. The built environment becomes a living philosophy, a testament to the coalescence of materiality and information. Simultaneously, the unbuilt digital realm emerges as a thought experiment, pushing the boundaries of what architecture can be and, more fundamentally, what it means to exist in a cybernetic transhuman future.

3.1.4: New Materialist Cybernetic Transhumanist Architecture

Human beings, on the issue of their presence and survival, have been limited by various biological andecological factors. Transhumanism,inits attempt tomove awayfrom theinhibited survival of the human species, bases its study on the possible impact of the development of science and technology for “human enhancement” and to overcome the limits of a human (Blanco-Wells, 2021). Although transhumanism and new materialism both aim to redefine how humans interact with the material world, new materialism frequently challenges anthropocentric viewpoints by emphasizing the linkages and interdependencies that exist between humans and the environment. There are, nevertheless, points when the two converge, particularly when talking about how technology affects people's lives. The emphasis has been on investigating how

21 Dissertation | Cybernetic Transhuman Ecology: Guidelines | 2023
Fig. 8: Endless Connections

new materialist viewpoints might impact the philosophical foundations and ethical issues of transhumanist endeavors, calling for a more thorough comprehension of the effects of technological interventions on the interdependent web of existence.

3.2: The Design and Implementation of New Materialist Cybernetic Transhumanist Architecture

New Materialist Cybernetic Transhumanist Architecture prioritizes sustainability and resilience by employing eco-friendly materials like wood, bamboo, and recycled resources, aligning with the principles of climate change resilience (Voyatzaki, 2018). The focus extends to energy efficiency through solar panels and geothermal energy, alongside resource-efficient designs that seamlessly integrate natural elements. In parallel, the architectural philosophy emphasizes equity and inclusivity, manifested in inaccessible spaces with ramps and elevators for diverse abilities, affordable housing solutions, and a culturally inclusive design approach. The intricate interplay of human-technology-nature interaction is a key tenet, fostering connections with nature and promoting sustainable technology use. Additionally, the incorporation of smart technologies, including intelligent thermostats and lighting systems, further enhances the efficiency and sustainability of buildings and spaces designed within the framework of New Materialist Cybernetic Transhumanist Architecture.

Source: Author

22 Dissertation | Cybernetic Transhuman Ecology: Guidelines | 2023
Fig. 8: Connecting Transhumanism

3.3: The Impact of New Materialist Cybernetic Transhumanist Architecture

3.3.1: Human-technology-nature interaction

New materialist transhumanist architecture has the potential to revolutionize the way we interact with technology and nature. By designing spaces that are sustainable, equitable, adaptable, resilient, and integrated with nature, new materialist Cybernetic transhumanist architecture can help us to create a more harmonious relationship between humans, technology, and the natural world. One of the key principles of new materialist transhumanist architecture is humantechnology-nature interaction.

Transhumanism seeks the establishment of aworld ofmodifiedandenhancedhumanliving those dealswithsurvival,lifelongevity,etc.Theenhancement ofhumanswillingtobecyborgsthrough developing biotechnology will be the main feature or characteristic of the trans-human world. It is interesting how an author mentions that while a cyborg or a human with machine enhancement maylook uglyorapprehensivetopeopleat present,there are people whofindbeauty init (Karina Tsui 2020).Thetrans-humanworldwouldappreciatethebeautyandchoiceofhumansandwould look for solutions to maintain close and constant contact between humans and cyborgs.

The necessity of constant interaction is necessitated by the assumption of how humans would see cyborgs among them (can be explained through human reaction to certain disabled people with advanced biotechnic prosthetic limbs). There could be shared spaces where humans and cyborgs can collaborate using augmented reality interfaces/meeting spaces, promoting a seamless exchange of ideas. It is well known and considered how an exchange of information helps in a proper understanding & acceptance of difference and distinction. The ease of interaction with Augmented Reality Interfaces would enhance the communication between humans and cyborgs. Moreover, the interface would allow people to be present in the augmented reality in their physical form, human or cyborg, thus facilitating acceptance and mutual respect.

The promotion of the exchange of ideas and positive interaction would not just be limited to virtual interfaces but also public architectural installations that respond to the presence and actions of both humans and cyborgs, creating a sense of shared experience.

3.3.2: Nature Integration

The integration of nature in a transhuman society would likely involve a harmonious blend of technological innovation and ecological consciousness, aiming to provide both the benefits of advanced technology and a connection to the natural world, even as humanity undergoes transformative changes. The element of drawing away from only an anthropocentric approach as

23 Dissertation | Cybernetic Transhuman Ecology: Guidelines | 2023

present in post-humanism is also a factor that allows transhuman ecology to look towards the connection of humans to nature and cyborgs.

3.3.2.1: Biosphere Habitats

The thought of connecting transhumanism with nature brings forth the idea of biosphere habitats i.e., living spaces that exist within enclosed ecosystems, providing a controlled environment while fostering a deep connection to nature. While such a connection is envisioned, there is also an idea of reducing the negative through the intervention of science and technology (Lauren Adele Holt, 2021). The trans-human world would engage in a techno-adaptive approach where certain elements of the biosphere would be controlled to reduce the impact of negative externalities on the trans-humans.

The biosphere habitats would reflect techno-adaptivity with the introduction of bio-domes where nature would be present in the most appreciative and connective form, free from the impact of global warming and rising temperatures that the trans-human world would face.

3.3.2.2: Green Tech Infrastructure

To counter the environmental degradation in the trans-human world, ways would have to be thought of for a green-tech approach to tackle extreme environmental situations. There would be architectural features that actively contribute to ecological balance, such as buildings covered in photosynthetic materials and vertical farms integrated into city structures.

The presence of Urban Biodiversity Corridors (UBC) would create pathways for both humans and cyborgs to move through nature. Architecture and urban design serve as powerful instruments for constructing verdant pathways that facilitate a wholesome and eco-friendly engagement between people and nature, broadening consciousness (Camilla Ghisleni, 2023) The trans-human world would enhance these corridors that would feature bioengineered habitats that support diverse flora and fauna. Using advanced genetic modifications, these habitats might host plants and organisms designed for resilience, adaptability, and coexistence with technological advancements.

3.3.3: Equitable and Inclusive Communities

24 Dissertation | Cybernetic Transhuman Ecology: Guidelines | 2023

New materialism, transhumanism, and humanism are three philosophical movements that can inform the design of equitable and inclusive communities (Braidotti, 2013). New materialism emphasizes the interconnectedness of all things, including humans and the non-human world. Transhumanism emphasizes the importance of using technology to enhance human capabilities. Humanism emphasizes the importance of the human body and the embodied experience. These philosophical perspectives can help us to design spaces that are inclusive of all beings, regardless of their species, abilities, or physical embodiment. New materialism, for example, can help us to design spaces that are integrated with nature and that respect the needs of all living things.

Transhumanism can help us to design spaces that are accessible and welcoming to cyborgs and other transhuman beings. Humanism can help us to design spaces that are accessible and inclusiveforpeoplewithdisabilitiesandotherpeoplewhomayhavedifferent needsandabilities.

3.3.4: The ethical implications

Voytaz's work on new materialism emphasizes the interconnectedness of all things, including humansandthenon-humanworld.Thisperspectiveisimportant forthinkingabouthowtoensure that New Materialist Transhumanist Architecture is designed and implemented in a way that respects the rights and well-being of all beings, including humans, animals, and theenvironment.

Gumbrecht's work on humanism emphasizes the importance of the human body and the embodied experience. This perspective is important for thinking about how to ensure that New Materialist Transhumanist Architecture is designed and implemented in a way that respects the humanbody and the embodied experience, and that does not leadto a dehumanizing or alienating built environment.

3.3.5: Architectural Typologies

The interconnection between new materialism and transhumanism becomes more relevant with the consideration of the spaces and structures that will accommodate the humans of tomorrow. While the deviation of transhumanism from an anthropocentric understanding is not as substantial as posthumanism, the architecture of a transhuman world would strive to be an inclusive space with considerations of nature and machines to a significant extent. The following are the features of the architecture of a transhuman world: -

3.3.5.1: Organic Megastructures

25 Dissertation | Cybernetic Transhuman Ecology: Guidelines | 2023

“Organic Megastructure” refers to a speculative architectural or structural idea that draws inspiration from biological forms, processes, or systems. It involves the creation of massive, interconnected structures that mimic or are inspired by the organization, growth, and adaptability found in natural organisms.

The “organic” in such megastructures refers to their emulation of certain specific functions and characteristics of living systems while serving various purposes as habitats, workspaces, and recreational areas. The ideas of such megastructures would be drawn through biomimicry that involves taking inspiration from animal architecture, which is currently practiced as well (Ellen Heikkilä, 2022). Biomimicry is essential in respect of structures as other elements drive the construction of structures apart from the potential for intelligence and logical thinking, characteristics that humans uniquely possess. An inspiration from a honeycomb serving as a living, procreating, and storage facility at once for constructing a megastructure, would be a reality of the transhuman world.

3.3.5.2: Adaptive Modular Designs

Adaption to the needs of the inhabitants and tailoring a response accordingly is the factor around which the architecture of the transhuman future would revolve.

Architectural elements would adapt and reconfigure based on the needs of the inhabitants, fostering a dynamic and responsive living environment. Adaptive modular designs within a transhumanist context involve creating customizable and flexible structures that can evolve alongside the changing needs and abilities of individuals in a technologically enhanced future. These designs aim to accommodate and integrate various technological advancements and augmentations that could redefine human capabilities, allowing spaces to adapt to diverse preferences, physical alterations, and evolving functionalities.

3.3.5.3: Floating Bio-Cities

Floating bio-cities refer to sustainable, floating urban environments designed with ecological principles in mind and are self-sufficient, incorporating elements like renewable energy sources, waste management systems, and ecosystems that support biodiversity. They could feature modular structures and adaptable designs to accommodate changes in population, environmental conditions, and technological advancements. A 2013 book “A Transhumanist Wager”, written

26 Dissertation | Cybernetic Transhuman Ecology: Guidelines | 2023

by Zoltan Istvan talks of a floating city made by the protagonist for the establishment of a transhuman-inspired world (Istvan, 2013).

Floating bio-cities might be envisioned as hubs where transhumanist technologies are seamlessly integrated into the urban fabric. These cities could incorporate advanced medical facilities, bioenhancement labs, and infrastructure that supports the needs of individuals seeking to enhance their physical or cognitive abilities.

The ideas regarding floating bio-cities which are well-thought-out with modalities exist but with the belief of their existence in the future. Designers have proposed floating urban centres that have the potential for iterative transformations, adjusting in response to seasonal variations or fluctuations in population (Cosgrave, 2017).

3.3.6: Biophilic Design

The idea of Biophilic design is ofinterconnectedness and closeness to natureand the surrounding environment. The biophilic design depicts why certain buildings excel in their connection to nature,leadingto variousadvantagesinliving,working, educational,recreational,andhealthcare settings (Weijie Zhong et. al., 2021).

Biophilic design principles could be reinterpreted to accommodate not just biological needs but also the expanded sensory capacities or altered preferences of trans-human beings. Spaces might be designedtosimulatenatural environmentsorharness bio-inspiredelementsto providesensory stimuli that resonate with enhanced perceptions.

These spaces infused with nature would incorporate natural elements such as living walls, water features, and abundant greenery to enhance well-being and connection to the environment.

3.4: Overpopulation

3.4.1: Current Overpopulation Status

Overpopulation is a recurring topic in discussions about future changes and predictions. Literature and science fiction sources suggest that the majority of the population may face challenges in accessing basic living necessities and adequate hygiene conditions for survival.

Every individual, irrespective of legal status, has a legitimate right to Earth's resources that sustain life. However, with the global population reaching 8 billion, even if everyone were to

27 Dissertation | Cybernetic Transhuman Ecology: Guidelines | 2023

adopt a relatively modest material standard of living, similar to that currently observed in Papua New Guinea, it would still strain Earth's ecological capacity. Shockingly, on a global scale, the "average person" consumes over 50% beyond the sustainable threshold, while in the United States of America, the "average person" consumes five times more than the sustainable yield of Earth's resources.

The term "overpopulation" is often associated with an unrealistic image of resource scarcity. In reality, it signifies a situation in which the world population surpasses the Earth's capacity to produce sufficient resources for all. According to experts, this has been the case since 1970, with each subsequent year exacerbating the problem. To address this unsustainable situation, it is crucial to understand the factors leading to overpopulation and overconsumption of resources and goods, as well as to analyse their broader impacts on the planet.

3.4.2: Factors Leading to Overpopulation

Source: Author

Currently, the Earth accommodates a population exceeding 7.8 billion people. Projections by the United Nations estimate that by 2100, this figure could reach 10.8 billion, assuming a consistent decline in fertility rates in various countries. Interestingly, if there is additional progress in

28 Dissertation | Cybernetic Transhuman Ecology: Guidelines | 2023
Figure 9: Factors Causing Overpopulation

women's reproductive autonomy, leading to a more substantial drop in fertility than anticipated by the United Nations, the 2100 population might be a comparatively lower 7.3 billion. At present, the global population continues to grow significantly, adding approximately 80 million people annually, while simultaneously depleting crucial non-renewable resources. Various factors contribute to these unsustainable patterns, encompassing decreasing mortality rates, underutilization of contraception, and a lack of educational opportunities for girls.

3.4.3: Aspects Affected by Overpopulation

The increasing global population logically anticipates additional pressure on resources, intensifying demands for necessities such as food, water, housing, energy, healthcare, and transportation. This heightened consumption not only exacerbates resource scarcity, impacting theavailabilityofvitalresourcesbut alsocontributestoecological degradation.Asthepopulation grows, the strain on ecosystems leads to increased environmental degradation, deforestation, habitat loss, and pollution, resulting in biodiversity loss and negatively affecting the overall health of the planet.

Rapid urbanization, stressing infrastructure, transportation systems, and public services with challenges associated with urban sprawl, including housing shortages, traffic congestion, and waste management issues, become more pronounced.

The social and economic repercussions of high population density are also evident, giving rise to increased competition for jobs, education, and healthcare. This can contribute to social inequality and strain social services, further complicating the overall societal landscape.

Additionally, the environmental impact of overpopulation is closely linked to climate change. The associated factors, such as increased carbon emissions, deforestation, and heightened resource consumption, contribute to climate-related challenges that extend globally. The cumulative effect of these aspects not only elevates the likelihood of conflicts but also augments the risk of large-scale disasters, including pandemics.

3.4.4: Maintaining Population Equilibrium

The concept of returning to equilibrium is a valid notion, provided it is understood that it is not driven by a natural mechanism maintaining constant balance. It is not an inherent stabilizing force in the biological nature of the species but rather a socially constructed capacity of societies

29 Dissertation | Cybernetic Transhuman Ecology: Guidelines | 2023

to assess the cumulative impact of individual behaviours and respond accordingly. The idea of a final return to equilibrium holds value as a regulatory concept, in the Kantian sense, prompting us to raise the issue ourselves if we seek solid reasons to act (United Nations, 2020).

3.4.5: Analysis and Conclusion of Overpopulation Projections

Critics argue that projections for 2300 are merely extending the time scale beyond 2050 and contribute minimally to our understanding of the future. Key conclusions from the research on overpopulation are as follows (United Nations, 2003, pp. 1-7):

(a) The world population is expected to rise from 6.1 billion to 8.9 billion from 2000 to 2050, reaching 9 billion by 2300.

(b) Three scenarios yield significant variations, with the low scenario projecting a population of only 2.3 billion in 2300.

(c) Most of the increase in the world's population will come from less developed regions.

(d) There will be substantial shifts in the regional composition of the world's population, with Africa constituting a larger share and Europe a smaller one.

(e) India's population is projected to surpass China's in the future.

(f) According to the medium scenario, almost all projected world population growth between 2000 and 2100 will occur in individuals aged 15 years and above (United Nations, 2003, p. 18).

(g) Dependency ratios will increase.

3.4.6: Architectural changes due to overpopulation

3.4.6.1: Physical Transformation of Spatial Configurations

In the evolution of housing and settlement patterns, significant alterations to spatial configurations have occurred, influencing the physical form and usability of spaces.

Residential spaces have undergone notable changes over the past three centuries, driven by factors such as the availability of construction materials, advancements in architecture and technology, the development of indoor plumbing and heating, variations in family size, and improvements in general living standards. These changes have, in turn, shaped family relationships.

30 Dissertation | Cybernetic Transhuman Ecology: Guidelines | 2023

19th Century:

The initial half of the century witnessed the emergenceof row housing in urban areas. Urban row houses became narrower and deeper over time, adapting to the pressure for efficient land use. Compartments within houses were created to serve different functions during the 19th century, marking the inception of bedrooms as separate spaces.

20th Century:

Homes continued to grow physically larger, while household sizes decreased. Factors such as the proliferation of cars, government incentives, and abundant cheap land fuelled the popularity of homeownership.Thesizeofhousesincreased,andthenumberofpeopleperhouseholddecreased by 50% between 1881 and 1991. The advent of more private middle-class bedrooms, equipped with amenities like television, personal bathrooms, and telephones, altered the concept of living spaces.

21st Century:

In this century, the example of micro-housing in Hong Kong exemplifies how high population density can lead people to prioritize location over available space, resulting in compact households within parking lot spaces. These tiny units, constituting about 7% of all construction at their peak in 2019, offer basic living arrangements and are marketed as "affordable homes."

Source: Medium

31 Dissertation | Cybernetic Transhuman Ecology: Guidelines | 2023
Figure 10: Hong Kong Micro Housing 2014

Source: Edge Design Institute

Hong Kong's densely populated and least affordable status contributes to the demand for such micro-housing. A housing shortage caused home prices to surge by 187% from 2010 to 2019, with average home prices exceeding US$1.3 million in a city where the minimum wage is significantly lower.

22nd Century:

Buyers in the 22nd century expressed a common desire for more living space. While the median size of respondents' recent homes is 1,770 square feet, the desired space is around 2,071 square feet. Parcel sizes for new homes have decreased, but the demand for larger homes is rising. Homebuyers lean towards one-story homes, yet builders respond to the need for more living space by constructing more two-story homes, enabling growth in interior space without expanding a home's footprint.

3.4.7: Architecture Predicted in 2300

Envisaging the architectural landscape of 2300 sparks consideration of alternative living solutions. Underground living gains prominence, leveraging the potential of vertical expansion.

32 Dissertation | Cybernetic Transhuman Ecology: Guidelines | 2023
Figure 11: The 24 configurations of Chang’s apartment.

Simultaneously, the notion of settling on Mars or in outer atmospheres, often explored in science fiction, emerges as a technological possibility.

An example of this futuristic vision is the Mars Science City project by the Bjarke Ingles Group, initiated after the United Arab Emirates' announcement in 2017. These USD 140 million researches city aims to be a "viable and realistic model" for simulating human life on Mars. The Mars Science City's 1.9 million-square-foot domed structure will be the largest space simulation city, accommodating researchers and visitors. Its programs include cutting-edge laboratories for food, energy, and water studies, expansive landscapes for agricultural testing, and a museum celebrating space achievements while educating visitors on the city's research.

Source: Bjarke Ingles

These architectural initiatives epitomize humanity's futuristic foray beyond Earth's boundaries. Mars Science City, in particular, signifies our adaptability, blending scientific innovation with architecturalcreativitytoaddress challengesand possibilities inthe cosmos. Theseventuresoffer a glimpse into potential landscapes that may define our future beyond 2300, showcasing the intricate convergence of science, technology, and imagination.

3.5: Data collection of population growth

3.5.1: Prediction of population growth in 2300

33 Dissertation | Cybernetic Transhuman Ecology: Guidelines | 2023
Figure 12: Render of Mars Science City project

Source: United Nations World Population 2300

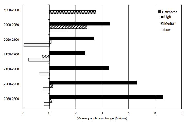
The high scenario appears feasiblemainly for a minority of underdeveloped nations that have not yet embarked on the affluence progress or where that transition might face delays. The certainty of all nations achieving extremely low fertility is uncertain, as some have remained at a theoretically transient and unstable level between 2 and 3 children for an extended period, such as the semi-developed nations of Uruguay and Argentina since the 1950s. There is no compelling reason for them to continue as the sole examples. Conversely, a Total Fertility Rate (TFR) rising to 2.35 seems implausible for Europe and most of the remaining low-fertility developed world. In this high scenario, additional affluent nations join the existing list of China and IndiaBangladesh, including Brazil, Pakistan, Nigeria, and the United States of America. The populations of Yemen and Vietnam, which were 18 million and 78 million respectively in 2000, rise to exceed 400 million by 2300 (United Nations, 2020).

On the other hand, the low scenario seems more fitting for at least some European nations, particularly those experiencing fertility levels described as 'lowest-low,' typically defined as TFR=1.3 orlower (Kohler and Billari, 2002),currentlycommoninSouthern and EasternEurope. A TFR of 1.85 is somewhat higher than that used in most long-term projections in such low-

34 Dissertation | Cybernetic Transhuman Ecology: Guidelines | 2023
Figure 13 : World population forecast to 2300

fertility areas, though the long-term' in demographic terms rarely extends beyond 50 years. In a rare longer-term European projection, the TFR in the United Kingdom is not expected to surpass 1.75 (Shaw, 2001), although this projection is deemed conservative. Chinese populations, both overseas and within China itself, also appear likely candidates for sustained extremely low fertility, as do some other Asian populations.

The zero-growth scenario is an unusual concept that introduces the only form of feedback in the entire set. Here, the TFR follows the medium scenario until 50 years after the replacement is achieved, after which the number of births and, consequently, the TFR is adjusted to match the number of deaths to eliminate natural increase. The illustrative purpose of this scenario is somewhat unclear, relying on a precise feedback mechanism. In the very long run, as survival tends to infinity, fertility tends to zero so that at immortality, the TFR equals zero. However, no such trend is evident in the data. This scenario results in a steady population of 8.3 billion from 2175 to 2300, slightly less than that of the medium scenario.

Source: United Nations World Population 2300

According to the figure, the world is likely to follow the "high scenario" for a few decades, although the "middle scenario" has the highest probability based on past trends. In the high scenario, fertility declines more slowly than anticipated, and the global population reaches 10.6 billion in 2050 (compared to 8.9 billion in the medium scenario). It is worth noting that fertility

35 Dissertation | Cybernetic Transhuman Ecology: Guidelines | 2023
Figure 14: World population according to different United Nations scenarios 2300

declines appear to have slowed in some countries during the 1990s, and they are close to stalling in Bangladesh, Indonesia, Colombia, the Dominican Republic, Peru, and Turkey (Bongaarts, 2002, pp. BP, 14-6). For major populations like India, the United Nations projects future fertility trends at the national level to raise awareness of the repercussions of high fertility rates (Dyson, 2004, p. 76). In conclusion, the 1994 revision of world population prospects by the United Nations medium variant projections placed the global population at 9.8 billion in 2050.

Considering the current growth, the world reached the 8 billion marks in 2022 (United Nations, 2020).

3.5.2: Methodology of Calculation and Prediction

Source: United Nations World Population 2300

Source: United Nations World Population 2300

36 Dissertation | Cybernetic Transhuman Ecology: Guidelines | 2023
Figure 15: Evolution of the population of the world according to different scenarios 2000-2300 Figure 16: Frequency histogram of ratios in Table 2

Source: United Nations World Population 2300

Source: United Nations World Population 2300

37 Dissertation | Cybernetic Transhuman Ecology: Guidelines | 2023
Figure 17: Historical estimation of world population Figure 18: Ratios of projected population in years 2100, 2200, and 2300 to (actual or projected) Populations 100, 200, or 300 years earlier, according to the low, medium, high, and constantfertility scenarios (in millions)

3.6: Reformed Environment Possibilities

The environment, at present, is at serious risk of degradation and harm on account of human presence and actions. The above-mentioned detailed discussion on overpopulation highlights the peril that the present world faces and what the world will face in the future, obviously at a much worse rate. There can be several possibilities based on the recourse that humans take through technical and scientific development.

3.6.1. Dystopian

Inadystopianfuture,i.e.,aworldwithcontinuousandexcessivedegradationofnatural resources and the environment by humans for the needs of an ever-increasing and uncontrollable population, the survival of the human species becomes more and more unsustainable. The concern would be with the overconsumption of environmental resources and the consequent impact of climate change (Clyde Haberman, 2015). Anovel named “Make Room! Make Room!” by Harry Harrison, based on a murder mystery in an overpopulated dystopian world, situates the discussion on overpopulation around ‘space’ and ‘number’.

Other literature that revolves around a dystopian future based on overpopulation is referred to as Demodystopia (a dystopia caused by the fear of rising demos) and environmental implications when the human population is not controlled is the central theme of all such literature (Andreu Domingo, 2008). Dystopian imaginations frequently function as warning tales about the significance of sustainable population management and conscientious resource use.

3.6.2. Utopian

The history of mankind has proved time and again that it has overcome many such challenges that threaten its survival. Clyde Haberman, in his article, talks of the grit of human beings and how they find their way out of tough spots (Clyde Haberman, 2015). Belief in this idea brings forth a utopian world where scientific development and genetic modifications coupled with intense family & population planning will lead to reductions in the population to bring it to an optimum level.

This utopian world would be addressing any sporadic population rise through social reforms aimed at promoting and enhancing population control techniques. Space constraints would be dealt with state-of-the-art architectural innovation and an approach of moving beyond land i.e.,

38 Dissertation | Cybernetic Transhuman Ecology: Guidelines | 2023

housing and other infrastructure on the water surface. While a utopian world is nearly impossible to achieve, a world with some important features of utopia may exist in the future, strictly dependent on the level of human intervention.

3.6.3 Interstellar Expansion

The future world may also respond to the danger of overpopulation with an acceptance of the uncontrollable nature of population rise, despite continuous and effective interventions determined by the limited effectiveness of scientific and planning efforts. Then the move of the human population could be to partly or fully move to another planet with favorable living conditions.

There have been many studies on the movement of the human population on another planet including the feasibility and desirability of humans settling on Mars (Mikko M. Puumala, 2023). Such a move to a planet within the solar system or maybe even beyond would require high-end scientific capabilities and intensive resource investment to shift huge chunks of the population.

While interstellar expansion is an option available to humankind, the presence and subsequent exploration of a survival-facilitating planet would be key to such a future.

3.6.4 Cybernetics

The study of human-machine interaction, referred to as Cybernetics is based on the idea that many various kinds of systems may be examined using concepts from communications, control, and feedback. Cybernetics is mainly focused on communication and feedback mechanisms. In a trans-human world, Cybernetics would very much be focussed on “the science of control and communications in the animal and machine”, as claimed by Norber Wiener (Mindell, 2000).

The creation of a cyborg, a human with machine parts to address disabilities or even provide enhancements in capabilities and intellectual capacities, would bring in the era of a paradigm shift in the interaction between human life and machines. A trans-human world, moving beyond this paradigm shift, would depend on a communication and feedback mechanism between humans and trans-humans for a more inclusive society and with the acceptance of more biotechnological and cyborg enhancements.

3.7: Cybernetics in Transhuman Ecology

39 Dissertation | Cybernetic Transhuman Ecology: Guidelines | 2023

With the goal of achieving a peaceful coexistence that benefits both parties, cybernetics within transhuman ecology offers chances to use technical advancements for a more knowledgeable, accountable, and integrated relationship between enhanced persons and the natural world.

3.7.1: Parameters

The parameters of cybernetics in a trans-human world would be as followsEnhancement Integration, Symbiotic Interaction, Ethical Frameworks, Environmental Impact, Inclusivity and Accessibility, Interdisciplinary Collaboration, and Continuous Evaluation and Adaptation, among others.

3.7.2: Population Strategy

The trans-human world will approach theissue of population management and reduction through a series of solutions while accounting for the enhanced longevity that cyborg culture provides and also keeping the ethical implications of enhancements in mind. The societal structures in a trans-human ecology might entail specific population control strategies coupled with regulated access to resources and reproductive technologies.

The reality, that social change would still be important to address the issue of population enhancement, would persist. Population policies would have to balance delicate social, ethical, and environmental issues. They would seek to strike a balance between the sustainability and well-being of society and the natural environment, as well as human development and upgrades.

3.8: Built & Digital Environment of Cybernetics in Transhuman Ecology

The built and digital environment in a trans-human world would go through a transformational change through the integration of cybernetics with human enhancements and subsequently increased capabilities.

Transhuman ecology's constructed and digital environments become more dynamic, interactive, and interconnected when cybernetics is incorporated. This results in spaces that combine stateof-the-art technology with naturallyinspired designto improve both ecological sustainability and human pleasure. As discussed before, the communication and feedback mechanism of Cybernetics would be key to the inclusive nature of the trans-human society as well as its acceptance of more enhancements.

3.8.1: Social Reform

40 Dissertation | Cybernetic Transhuman Ecology: Guidelines | 2023

The Social Reforms in a trans-human world would focus majorly on a three-pronged approach of addressing ethical considerations that come with human enhancements, redefined notions of identity and equality & the way legal framework would deal with the trans-human populations. The legal and regulatory framework would need to address issues such as privacy, consent, and liabilities associated with enhanced capabilities. Any social reform would have to be in line with the acceptance of a trans-human population with treatment on par with traditional humans.

3.8.2: Parameters

The parameters of a built and digital environment of cybernetics in Transhuman Ecology would include the following:

Adaptive Architecture, Smart Infrastructure, Biophilic Design Integration, Technological Integration, Cybernetic Connectivity, Ethical and Privacy Protocols, Sustainability Parameters, Accessibility and Inclusivity and Collaborative Innovation Platforms, among others.

3.8.3: Ideal Sectoral Design

As discussed in 3.3. in detail, the Ideal Sectoral Design encompasses various sectors that are intricately integrated and optimized to support the enhanced capabilities and sustainable interactions of individuals.

The paper has discussed how several sectors supporting human existence would be developing and transforming to further accommodate enhanced capabilities. The architecture of a transhuman world would incorporate megastructures seamlessly bound with nature coupled with technologies of smart homes and accessible digital ecosystems. Moreover, another major point of consideration would be parallel advancement in the medical and wellness sector to accommodate the medical needs of an enhanced population. Such parallel advancement in other sectors would be a reality, considering the even-existing trend of an all-round advancement of the human population.

3.9 Case Preparation

In the dystopian landscape of the future, we find ourselves in a world reminiscent of the Love Death + Robots series, where the consequences of overpopulation have reached critical levels. The rich and powerful control access to dwindling resources, imposing strict measures to curb population growth. The state, wielding unparalleled authority, prohibits the existence of "unregistered offspring" as a means of maintaining control.

41 Dissertation | Cybernetic Transhuman Ecology: Guidelines | 2023

Taking inspiration from the Love Death + Robots series and drawing parallels with the socioenvironmental dynamics portrayed in the Black Panther movie, we delve into a case study that explores the emergence of a new materialist cybernetic transhuman ecology. In this scenario, the overpopulation crisis has spurred a paradigm shift in architectural and technological approaches, echoing the themes of these fictional narratives. As societal pressures intensify, architects and thinkers are compelled to envision a future where the built environment transcends conventional boundaries. The architectural response is not merely a physical solution but a philosophical one, rooted in new materialism. This envisions a reality where the interplay between human, technology, and nature is not adversarial but symbiotic.

The case study explores the creation of cybernetic urban spaces that accommodate a harmonious coexistence of humans and machines. Drawing on the advanced technologies seen in the Black Panther movie, where Vibranium empowers Wakanda's technological marvels, the architects in our scenario leverage cutting-edge materials and cybernetic enhancements to redefine the urban landscape. The unbuilt digital environment becomes a playground for experimentation, where virtual spaces mirror and enhance the physical. Augmented reality interfaces seamlessly with the tangible world, fostering a sense of connection between individuals and their surroundings. This digital realm is not an escape from reality but a tool for shaping a more sustainable and inclusive future.

The narrative unfolds as the architects challenge the conventional notions of ethical implications and societal norms. The new materialist approach integrates these challenges into the very fabric of urban design. Concepts such as equitable and inclusive communities, ethical considerations, and innovative architecture typologies become guiding principles rather than mere theoretical constructs.

42 Dissertation | Cybernetic Transhuman Ecology: Guidelines | 2023

Chapter 4: Research & Design Methodology

4.1: Research Methodology Paradigm

research

Source: Author

43 Dissertation | Cybernetic Transhuman Ecology: Guidelines | 2023
Figure 19: Methodology of

4.2: Research Instrument

This study utilizes a diverse range of research instruments, drawing from influential texts such as "Architectural Materialisms" by Maria Voyatzaki and "On Transhumanism" by Stefan Lorenz Sorgner. Foundational works like "The Posthuman" by Rosi Braidotti and "Steps to an Ecology of Mind" by Gregory Bateson provide philosophical underpinnings. Complementing these are contemporary perspectives on population dynamics and future scenarios, sourced from articles by Clyde Haberman and scientific studies on Mars settlements. The exploration extends to media insights,including CNN Style's coverageof transhumanism and BBC's analysisoffloatingcities, enriching the interdisciplinary approach of the research.

4.3: Methodology & problem formulation

Identification of segregation between people of all statuses

1. Economic Disparities: Clear divisions in wealth create segregation, with affluent communities often isolated from economically disadvantaged ones.

2. Educational Access: Disparities in educational opportunities contribute to the segregation of individuals based on access to quality education.

3. Residential Zoning: Zoning policies and housing practices can lead to physical segregation, with certain areas predominantly occupied by specific socio-economic groups.

4. Healthcare Disparities: Unequal access to healthcare services can result in the segregation of communities based on health status and medical resources.

5. Cultural and Social Exclusion: Discrimination and bias in society contribute to the social segregation of individuals based on race, ethnicity, and other cultural factors.

44 Dissertation | Cybernetic Transhuman Ecology: Guidelines | 2023

Chapter 5: Evaluation

5.1: Analysis

In envisioning the Cybernetic Transhuman Ecology model for 2300, a nuanced analysis reveals a holistic approach embracing symbiotic coexistence, technological integration, eco-ethical design, cultural inclusivity, and continuous evolution. The model's success hinges on harmonizing interactions between humans, cyborgs, and nature. This necessitates seamless integration of advanced technologies, ethically balancing artificial intelligence and cybernetic enhancements to enhance human capabilities and environmental efficiency. Eco-ethical design principles underscore the importance of sustainable practices within architectural endeavours

Cultural and social inclusivity within the model demands ongoing evaluation to ensure representation, social cohesion, and adaptability to evolving cultural dynamics. The model's resilience lies in its capacity for continuous evolution, necessitating proactive adaptation to new technologies, societal norms, and sustainability practices. In essence, the cybernetic transhuman ecology model emerges as a visionary framework poised to usher in a utopian future where harmonious coexistence and sustainable progress converge. Each facet of the model plays a pivotal role, and a meticulous analysis is imperative to fine-tune its elements and ensure its success in shaping the future landscape of the 23rd century.

5.2 Guidelines

The cybernetic transhuman ecology model for 2300 adheres to succinct yet impactful guidelines. Symbioticcoexistenceremainsapriority,necessitatingdynamicadaptabilityforharmonyamong humans, cyborgs, and nature. Regular evaluations focus on reducing environmental footprints, enhancing well-being, and fostering inclusivity.

Technological integration mandates ethical considerations and a perpetual alignment with evolving standards. The model's resilience hinges on staying at the forefront of technological advancements, seamlessly incorporating artificial intelligence and cybernetic enhancements. Eco-ethical design principles dictate sustainable practices, emphasizing life cycle assessments in every architectural endeavour

Cultural and social inclusivity forms a vital guideline, requiring continuous evaluation of the model's effectiveness in accommodating diverse human and cyborg experiences. Success is

45 Dissertation | Cybernetic Transhuman Ecology: Guidelines | 2023

measured by fostering social cohesion and adapting to evolving cultural dynamics. Continuous evolution is paramount, demanding regular reviews to fine-tune adaptability to changing conditions and societal norms.

46 Dissertation | Cybernetic Transhuman Ecology: Guidelines | 2023

Chapter 6: Recapitulation

6.1: Summary

The dissertation delves into the paradigm of a new materialist cybernetic transhuman ecology, envisioning the architectural landscape of 2300. Focused on addressing escalating ecological concerns within the Anthropocene, the research is anchored in the principles of cybernetics, transhumanism, and new materialism. With a keen eye on mitigating overpopulation effects, the study foresees a coexistence model among humans, cyborgs, and nature, blending both built and digital environments. By exploring dystopian, interstellar, and utopian possibilities, the dissertation proposes innovative architectural guidelines. These include human-technologynature interaction, nature integration, equitable communities, ethical implications, and varied architecture typologies, aiming to transcend the constraints of traditional design paradigms. The significance lies in propelling the architectural field into uncharted territories, where cybernetic transhumanism becomes a guiding philosophy for creating spaces that are both responsive and transformative. This visionary approach seeks torevolutionize the architectural realm, setting the stage for a future where architecture becomes a catalyst for societal and environmental harmony.

6.2: Conclusion

Our exploration of a new materialist cybernetic transhuman ecology, inspired by the Love Death + Robots series and the socio-environmental dynamics of the Black Panther movie, unveils a visionary approach to the challenges posed by overpopulation. The case study illustrates that the integration of advanced technologies and philosophical underpinnings can redefine the future of architecture and urban living.

Throughthecyberneticlens,thecasestudyenvisionsaharmoniouscoexistencebetweenhumans, technology, and nature. The built environment becomes a canvas for transformative design, embracing augmented reality and cutting-edge materials to create spaces that reflect the principles of equitable communities and ethical considerations. The unbuilt digital environment serves as a dynamic extension, fostering a symbiotic relationship between the tangible and the virtual.

This exploration highlights the potential of architecture not just as a solution to environmental crises but as a catalyst for social and philosophical evolution. The convergence of new

47 Dissertation | Cybernetic Transhuman Ecology: Guidelines | 2023

materialism, cybernetics, and transhumanism provides a framework for transcending traditional boundaries, presenting a future where the architectural landscape becomes a driver of positive change. As we draw inspiration from speculative fiction, we recognize the transformative power of design in shaping a world where innovation, inclusivity, and sustainability coalesce to address the complex challenges of our time.

48 Dissertation | Cybernetic Transhuman Ecology: Guidelines | 2023

BIBLIOGRAPHY

1.Bateson,Gregory.StepstoanEcologyofMind:CollectedEssaysinAnthropology,Psychiatry, Evolution, and Epistemology. University of Chicago Press, 1972.

2. Bostrom, Nick. Enhancing Humanity: A Transhumanist Reader. Oxford University Press, 2005.

3. Braidotti, Rosi. The Posthuman. Polity Press, 2013.

4. Coole, Diana H., and Samantha Frost. New Materialisms: Ontology, Agency, and Politics. Springer, 2010.

5. Cosgrave, Ellie. The future of floating cities – and the realities. BBC, 2017.

6. Deleuze, Gilles, and Félix Guattari. A Thousand Plateaus: Capitalism and Schizophrenia. University of Minnesota Press, 1987.

7. Domingo, Andreu. “Demodystopias’: Prospects of Demographic Hell.” Population and Development Review, 2008.

8. Ghisleni, Camilla. “What Are Green Corridors?”. Arch Daily, 2023.

9. Haraway, Donna J. When Species Meet. University of Minnesota Press, 2008.

10. Haberman, Clyde.“TheUnrealized Horrorsof PopulationExplosion.” The NewYork Times, 2015.

11. Hayles, N. Katherine. How We Became Posthuman: Virtual Bodies in Cybernetics, Literature, and Informatics. University of Chicago Press, 1999.

12. Heikkilä, Ellen. Contemporary Posthumanist Discussions in Architecture: a critical analysis. Aalto University, 2022.

13. Holt, Lauren A. “Why shouldn’t we cut the human-biosphere umbilical cord?”. Futures, 2021.

14. Harris, James. A New Kind of Human: A Brief History of Transhumanism. HarperCollins, 2011.

15. Istvan, Zoltan. A Transhumanist Wager. Self-Published, 2013.

49 Dissertation | Cybernetic Transhuman Ecology: Guidelines | 2023

16. Latour, Bruno. We Have Never Been Modern. Harvard University Press, 1993.

17. Mindell, David A. “Cybernetics Knowledge domains in Engineering systems”. Massachusetts Institute of Technology, 2000.

18. New Materialisms Maria Voyatzaki - Architectural Materialisms, 2018.

19. Puumala, M. M., Sivula, O., & Lehto, K. Moving to Mars: The Feasibility and Desirability of Mars Settlements. Space Policy, 2023.

20. Spuybroek, Lars. The Architecture of Atmospheres: How We Build and Experience Spaces to Think and Feel. Bloomsbury, 2016.

21. Stefan Lorenz Sorgner. On Transhumanism-Penn State University Press (2020).

22. Tsui, Karina. Transhumanism: Meet the cyborgs and biohackers redefining beauty. CNN Style, 2020.

23. Zhong, Weijei. Biophilic design in architecture and its contributions to health, well-being, and sustainability: A critical review. Frontiers of Architectural Research, 2022.

50 Dissertation | Cybernetic Transhuman Ecology: Guidelines | 2023

Turn static files into dynamic content formats.

Create a flipbook
Issuu converts static files into: digital portfolios, online yearbooks, online catalogs, digital photo albums and more. Sign up and create your flipbook.