
Universidad Bicentenaria de Aragua
Vicerrectorado académico
Facultad de ingeniería en sistemas CREATED Táchira
![]()

Universidad Bicentenaria de Aragua
Vicerrectorado académico
Facultad de ingeniería en sistemas CREATED Táchira

Autor: Antony Jesús Chacón Gelviz
C.I: 30569638
Auditoría de sistemas II
Tutor: Douglas Eduardo Uribe Fernandez 18 de febrero de 2025
Análisis del impacto de la computación cuántica en la informática moderna, destacando sus principios, algoritmos y aplicaciones. Explora cómo esta tecnología revoluciona el procesamiento de datos, superando las limitaciones de los sistemas clásicos y abriendo nuevas posibilidades en criptografía, inteligencia artificial y optimización de procesos.

Derechos de autor 2024 equipo editorial del e-book
Editor en jefe:
Antony Jesús Chacón Gelviz
C.I: 30569638
Equipo editorial del e-book:
Editor en jefe
Antony Jesús Chacón Gelviz
Docente:
Douglas Eduardo Uribe Fernandez
Correo electrónico para información: Chaconantonyjesús@gmail.com
Carrera en curso:
Ingeniería de sistemas
Sección: T1
Fecha de publicación 18 de febrero de 2025
La computación cuántica representa una de las innovaciones más disruptivas en el campo de la informática, basada en principios fundamentales de la mecánica cuántica, como la superposición y el entrelazamiento. A diferencia de los sistemas clásicos, donde la información se codifica en bits con valores de 0 o 1, las computadoras cuánticas utilizan qubits, que pueden existir en múltiples estados simultáneamente. Esta capacidad permite realizar cálculos de manera exponencialmente más eficiente en comparación con los sistemas tradicionales, facilitando la resolución de problemas complejos en áreas como la criptografía, la simulación de moléculas y la optimización de algoritmos.
Uno de los mayores avances en este campo ha sido el desarrollo de algoritmos específicamente diseñados para aprovechar las ventajas de la computación cuántica Entre ellos destacan el algoritmo de Shor, que permite factorizar números grandes de manera eficiente, desafiando la seguridad de sistemas criptográficos actuales, y el algoritmo de Grover, que optimiza búsquedas en bases de datos de gran tamaño, acelerando procesos que en la computación clásica requerirían tiempos significativamente mayores. Además, la implementación de compuertas lógicas cuánticas, como la compuerta NOT cuántica, Hadamard y CNOT, desempeña un papel crucial en la manipulación y procesamiento de información en estos sistemas.
Gracias a estos avances, los superordenadores cuánticos han comenzado a superar las limitaciones de la informática tradicional, abriendo un nuevo panorama en la ciencia y la tecnología Sin embargo, aún existen desafíos técnicos y teóricos que deben resolverse para hacer de la computación cuántica una tecnología plenamente funcional y accesible
¿Qué
Se define como una rama de la informática, la cual se basa en los principios de la superposición de la materia y el entrelazamiento cuántico, que por su desarrollo e implementación a permitido la creación de nuevas tecnologías computacionales distintas y más avanzadas a las tradicionales. Esta nueva tecnología permite un mayor almacenamiento de estados por unidad de información, siendo un factor fundamental para el uso de algoritmos mucho más funcionales a niveles numéricos, donde se encuentran el Shor y Temple cuántico
Un ejemplo de su implementación se encuentran en las nuevas maquinas computacionales, conocidas como superordenadores; donde la mecánica cuántica juegas un papel fundamental para superar las limitaciones de la informática tradicional.
Principios:
Superposición cuántica: es el principio que permite a un qubit (unidad básica de información cuántica) existir en múltiples estados al mismo tiempo. Se diferencia de un bit clásico, que solo puede estar en 0 o 1, cuando un qubit puede estar en una combinación de 0 y 1 de manera simultánea hasta que es medido, momento en el que colapsa a uno de esos dos valores
Qubits: También llamado bit cuántico, es la unidad básica de información que utilizan las computadoras cuánticas para codificar los datos y así comprenderlo mejor como equivalente cuántico al bit tradicional.
Entrelazamiento: Es un fenómeno cuántico en el cual, dos o más partículas se correlacionan, donde su estado cuántico de cada una no pueda ser descrito de manera independiente, aun cuando estas se encuentren a grandes distancias una de la otra; siendo esta una característica crucial en la mecánica cuántica y uso fundamental en las tecnologías cuánticas.
Algoritmo Shor: Creado por Peter Shor en 1994, el cual fue desarrollado para factorizar números enteros grandes de manera eficiente. En términos generales, este algoritmo se divide en dos:
Parte clásica (Preparación y verificación): Se debe elegir un número aleatorio (a) que sea menor al número N que se desea factorizar, luego se verifica si ese número ya es un factor por medio del Mínimo Común Divisor.
Parte cuántica (búsqueda del período): Por medio de un ordenador cuántico se puede calcular el período de una función matemática relacionado con a y N El período se define como un patrón que se repite cuando se elevan los números a diferentes potencias Utilizando el período obtenido, se pueden calcular los factores primos de N
Los algoritmos clásicos tardan mucho más tiempo en factorizar números grandes, por lo que, el algoritmo de Shor tiene gran relevancia en esta área, haciendo el mismo proceso en horas o minutos utilizando solamente un computador cuántico. Ademas, los sistemas de seguridad como RSA dependen de la dificultad de factorizar números grandes, los cuales pueden ser rotos utilizando un computador cuántico y el algoritmo de Shor


Algoritmo de Grover: Fue creado por Lov Grover en 1996, el cual esta diseñado para realizar búsquedas no estructuradas (como el hallar un elemento en especifico que este en una base de datos desordenada), siendo mucho más rápido que un algoritmo clásico.

Si llegáramos a utilizar algoritmos clásicos para la búsqueda de un elemento en especifico en una base de datos con N elementos, se tendría que buscar N/2 elementos (esto se conoce como búsqueda lineal); el algoritmo de Grover por medio de sus propiedades cuánticas como la superposición e interferencia, solamente necesitaría aproximadamente estos pasos:
Inicialización: Se crean superposiciones cuánticas, lo que permitirá explorar todos los elementos que se encuentren en la base de datos.
Marcado de la solución: Se aplica una función que marque el elemento correcto.
Amplificación de amplitud: Este permite aumentar la probabilidad de encontrar el elemento deseado, mediante el proceso llamado difusión.
Medición: Cuando se mida el sistema el elemento correcto aparece con una alta probabilidad
La importancia que radica el algoritmo de Grover, es que presenta una mayor velocidad en las búsquedas de gran tamaño, siendo esta la mayor diferencia con los algoritmos clásicos. Del mismo modo, este permite romper ciertos sistemas criptográficos como el SHA-256, ya que este acelera la búsqueda de colisiones (cuando dos entradas producen el mismo resultado hash.


¿Como los qubits pueden realizar cálculos de manera simultanea?
Los qubits tienen la capacidad de realizar grandes cálculos de manera simultanea y rápida, debido a la presencia de dos propiedades fundamentales en la mecánica cuántica, la superposición y entrelazamiento; siendo estos los factores que los diferencian a los bits clásicos, proporcionándoles una capacidad de procesamiento mucho mayor en ciertos problemas
La superposición le permite a una cantidad N de qubits representar en un sistema 2 estados de manera simultanea, donde el procesamiento múltiple combinado de datos se realiza en paralelo. Mientras que el entrelazamiento representa un fenómeno donde dos o más qubits se correlacionan de tal manera que el estado de un qubit está intrínsecamente vinculado al estado del otro, independientemente de la distancia entre ellos Esta interdependencia permite que la manipulación de un qubit afecte inmediatamente a los demás, optimizando la propagación de información en cálculos complejos.
Por medio de estas propiedades se obtiene que los computadores cuánticos exploren todas las combinaciones posibles de manera simultanea gracias al algoritmo de Shor o de Grover (dependiendo de la búsqueda y propósito. Esta capacidad de búsqueda en paralelo hace a los computadores cuánticos mucho más eficientes en problemas de procesamiento masivo (simulación de moléculas, optimización de rutas o criptografía.


Compuerta Not cuántica: Es una compuerta similar a la NOT clásica, la cual permite cambiar los estados 0 y 1, actuando como una rotación en el eje X de la esfera de Bloch en π radianes, siendo utilizada para invertir el estado de un qubit.


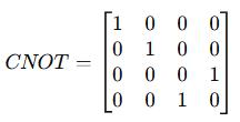
Compuerta lógica CNOT: Es una compuerta que se compone de dos qubits, donde uno actúa como control, mientras el otro como objetivo. Si el qubit de control es 1, se debe invertir el estado del qubit objetivo; siendo principalmente usado para entrelazar qubits; además, de ser parte esencial en la creación de compuertas más complejas como la de Toffoli.


Compuerta lógica Hadamard:
Esta compuerta permite crear una superposición equitativa de los estados 0 y 1 Es fundamental para los algoritmos cuánticos como el de Grover y el de Deutsch-Jozga.


La computación cuántica se perfila como una revolución en la manera en que se procesan los datos y se resuelven problemas complejos, gracias a los principios de la superposición y el entrelazamiento cuántico La capacidad de los qubits para representar múltiples estados de información de forma simultánea permite el desarrollo de algoritmos altamente eficientes, como los de Shor y Grover, que superan con creces las capacidades de los algoritmos clásicos en tareas específicas. Estas innovaciones están generando un impacto significativo en áreas como la seguridad informática, la inteligencia artificial y la simulación de sistemas físicos
Además, la implementación de compuertas lógicas cuánticas ha sido clave para el desarrollo de circuitos cuánticos funcionales, permitiendo la manipulación precisa de la información cuántica. No obstante, aunque los avances han sido prometedores, aún existen desafíos relacionados con la estabilidad de los qubits, la corrección de errores y la escalabilidad de los sistemas cuánticos, aspectos que deben ser superados para consolidar la computación cuántica como una tecnología práctica y comercialmente viable.
En conclusión, la computación cuántica representa un salto significativo en el mundo de la informática, con el potencial de transformar múltiples industrias A medida que la tecnología continúe avanzando, su integración con los sistemas tradicionales podría marcar el inicio de una nueva era en la computación, con aplicaciones que van desde la optimización logística hasta el desarrollo de nuevos materiales y fármacos.
Acevedo, P. (2019). Criptografía post-cuántica. Consultado el 13 de febrero de 2025. Disponible en https://www researchgate net/publication/335233212 Criptografia postcuantica
Bonillo, V. M. (2013). Principios fundamentales de computación cuántica. Consultado el 13 de febrero de 2025. Disponible en https://enginyeriainformatica.cat/wp-content/uploads/2016/05/PRINCIPIOSFUNDAMENTALES-DE-COMPUTACI%C3%93N-CU%C3%81NTICA pdf
Caro, A. D., & Forlese, J. S. (2006). Brevísima Introducción a la Computación Cuántica. Consultado el 13 de febrero de 2025. Disponible en http://software.imdea.org/~julian/docs/Samborski.Forlese.
Gatti, L. N., & García-López, J. (2017). Geometría de estados discretos en computación cuántica Consultado el 13 de febrero de 2025 Disponible en https://www researchgate net/publication/357604696 Breve introduccion a la computacion cuantica fundamentos principios y viabilidad para la s ociedad del presente.
Julián, G. (2019). Computación cuántica: qué es, de dónde viene y qué ha conseguido Consultado el 13 de febrero de 2025 Disponible en https://www xataka com/ordenadores/computacion-cuantica-que-es-dedonde-viene-y-que-ha-conseguido
Miranda, N. D. (2007). Computación cuántica. Miranda, N. D. (2007). Computación cuántica. Consultado el 13 de febrero de 2025 Disponible en https://www.researchgate.net/publication/357604696 Breve introduccion a la computacion cuantica fundamentos principios y viabilidad para la s ociedad del presente