

Introduction to Math
General Strategies
Guesstimate
Common Mistakes
Target Numbers
Plug In
Backsolve
Using Techniques
Math Fundamentals
Heart of Algebra
Passport to Advanced Math
Graphing
![]()


General Strategies
Guesstimate
Common Mistakes
Target Numbers
Plug In
Backsolve
Using Techniques
Math Fundamentals
Graphing

SATmathisnotexactlythesameasthemathyoudoinschool.Yes,alotofyouroldfavoriteswillshowuphere (ratios,two-variableequations,thePythagoreanTheorem,andmanymore!)butthequestionsarealittlebit different.Inschool,youlearncontent.Theyteachyousomethingandthentestyouonit.TheSATisareasoning test.Thatmeansit'slessaboutspecificrulesandmethodsthanaboutproblemsolving.Forexample,inschool, theyteachyoualgebraandthentestyouonhowwellyouusealgebra.OntheSAT,theygiveyouaproblemandask youtosolveitanywayyoucan.Thatcouldmeanalgebraoritcouldmeanarithmeticorgeometry.Onanygiven problem,there'snoonewaythat's"therightway"todoit.AlmosteveryproblemontheSATcanbedone severaldifferentways.Now,somewaysarefasterorsaferthanothers,soourjobistoshowyouthebestwaytodo agivenproblem.
Throughoutthenextfewchapters,we'llbetalkingabouttwotypesofthings:contentandtechniques.Contentis theliteralstuffyouneedtoknow(likethePythagoreanTheorem*).Techniquesaremethodsfordoinglotsof differentkindsofproblems(likePlugIn).Bothareequallyimportant.However,alotofthecontentyou'll alreadybefamiliarwithfromyouradventuresinschooliit'sthetechniquesthatwillbenewforyou,sothat's whereweshouldconcentrate.

YouwillseetwomathsectionsontheSAT:
Module1:
Module2:
CalculatorOK
70 minutes
Somegeneralcommentsabouttheformat:
Questions
22questions:
20operationalquestions and2pretestquestions
22questions:
20operationalquestions and2pretestquestions
44 Questions
-CalculatorsareallowedthroughouttheMathsection.AsingleMathsectionreplacestheseparatelytimed no-calculatorandcalculator-allowedportionsofthepaperandpencilSATSuiteMathTests.Thischange allowstheMathsectiontomoreaccuratelyreflecthowcalculatorsareusedinschoolsandinthereal world.Italsoeasestestadministrationbyeliminatingseparatelytimedtestportionswithdifferentrules. Studentsmaycontinuetousetheirownapprovedcalculatorontestdayortakeadvantageofthegraphing calculatorbuiltdirectlyintothetestingapplication.Youmayusemostfour-function,scientificorgraphing calculators.Youwon'thavetoclearthememoryfromyourcalculator.
-AccordingtoCollegeBoardguidelines,youmaynotuse:
•cellphone,smartphone,orlaptopcalculators;
•calculatorsthatcanaccesstheInternet,havewireless,Bluetooth,cellular,audio/videorecording andplaying,camera,oranyothersmartphonetypefeature;
•modelsthathavetypewriter-likekeypad,pen-input,orstylus;
•modelsthatuseelectricaloutlets,makenoise,orhaveapapertape;
•calculatorsthataretoobigtofitonyourdesk,inthetestingroom,orinthetestingcenter;
•everythingelseisfine,though.

-Questionswithineachsectionareorderedbydifficulty.Thefirstquestionsare easy,thelastquestionsarehardandthetestisadaptivemeaningthesecond modulewilladjusttoyourperformanceonthefirstmodule.
-Eachsectionbeginswithmultiple-choicequestionsandendswithgrid-ins.
-Allfiguresaredrawntoscaleunlessotherwiseindicated.
TheStudent-ProducedResponseQuestions(called"grid-ins"forshortaretheonlyquestionsontheSATthat arenotmultiple-choice.Here,youwillbeexpectedtocomeupwithyourownanswerandfillitintothegrid provided(thustheterm"grid-in").
Wedon'thaveanyspecifictechniquesorstrategiesforthegrid-insotherthanthosewehaveforalltheother mathquestions.Thecontentandstyleofthesequestionswillbejustliketherestofthesection;themath itselfisnodifferent.However,theymayseemabitweirdtothoseofyouwhoareunfamiliarwiththetest. Herearesomemiscellaneousnotesaboutthegrid-ins:
-Asmentionedabove,mathsectionsareorderedbydifficulty.However,gridinsareorderedbydifficultyseparately.Soonsection3,question#15(the lastmultiplechoicequestion)willbehard,whilequestion#16(thefirst grid-in)willbeeasy.
-Noticethatthegridhastwoelementstoit:spacesatthetoptowriteinyouranswer, andbubblesatthebottomtofillin(justlikewhenyoufilloutyournameatthe beginning).Youmustfillinthebubbles.Thespacesatthetoparenotscoredby themachine.Theyareonlythereforyourbenefitsoyoucaneasilyreadyour answerandcanfillinthebubblesmoreeasily.Ifyouwriteintheboxesbut don'tfillinthebubbles,themachinewillreaditasablank.*.*
-Youcanputyouranswerinanycolumn.Itdoesn'tmatterhowyoupositionit(tothe rightorleft).
-Noticethatthereisnonegativesymbolinthegrid-therewillneverbeanegative answeronthegrid-ins.Ifyougetanegativeanswer,youmessedup.Tryagain.
-Ifyouranswerisadecimal,youmustbeasaccurateaspossiblewhengriddingin youranswer.Forexample,iftherightansweris2/3(which,asadecimal,is.66666 repeating),.666wouldbeokay,and.667wouldbeokay,but.6and.66arenotokay.

Takethedecimalasfarasspaceallows.(Ofcourse,youcouldalsojustenter2/3and avoidthewholeissue).
-Youdonothavetoreducetothelowestpossiblefraction.Iftherightansweris2/3,an answerof4/6willstillgiveyoucredit.Ofcourse,ifyougetafractionthatdoesn'tfit intofourspaces,like10/15,thenyouwillhavetoreduce(orconverttoadecimal).
Youwillwanttohaveacalculator.Butyoudon'thavetogooutandbuyafancycalculatorjustfortheSAT.A simplescientificwilldo.Frankly,mostofyourcalculatorusewillbesimpleaddingandmultiplying,soa cheap-afour-functiondrug-storecalculatorthat'smissingthe7-keywillbefine.*
Now,ifyoualreadyhaveafancygraphingcalculator,youmayseesomequestionsonwhichagraphing calculatorcanhelpyou.Beingabletographequationsorlookupvaluesinatablecansaveyousometime-if youknowhowtouseit.Butifyoudon'thaveone,orifyouhaveonebutbarelyknowhowtoturniton,don't sweatit.You'llbefine.
Sometimesaquestionwillaskyoutounderstandsomedeepmathconcept,butacalculatorcanallowyouto doitbybruteforce.
Therewilloftenbesituationswhereyougetananswerthatisn'toneofthechoices.

Usually,thatwillbebecauseyoudidsomethingwrong(ithappens).Butsometimesyouranswerisright,but thecorrectchoiceexpressesthatanswerinadifferentform.
OneofthegreatbenefitsofhavingacalculatoristheabilitytomanipulateUglyNumbers.Forexample,sayyou didaquestionandgotJwasyouranswer.Buthereareyourchoices:
A. 2✓5
B.4✓5
C. 5✓2
D.10✓2
Agh,youknowthere'ssomewaytosimplifyJwintooneoftheseterms,butyouforgotexactlyhow.Don't worryaboutit!JustpunchJwintoyourcalculatortogetabout4.47.Nowpunchoutallthechoicesandsee whichonecomesouttothesamething.It'schoiceA!
Therearealotofdifferentscenarioswhenyoumightwanttodosomethinglikethis-whenyougetradicalsin thedenominator,forexample.Don'tbeafraidtousethecalculatortoyourbenefit.

MathquestionsontheSATaresortedintofourcontentcategories.Youwillgetsubscoresfor . threeofthese categoriesbutnotthefourth.
Algebra
AdvancedMath
ProblemSolvingandData
Analysis
AdditionalTopicsinMath(no subscore)
Thesequestionsarethemostcommontype(thoughthemainthreetypesarefairlyevenlydistributed),and havetheseconddumbestname.Themainthemeofthesequestionsisalgebraoflinearequations.Theseare simpleexpressionsthathavenoexponentsandcanberepresentedasastraightlineinagraph.
- Writing,solving,andunderstandinglinearequations
- Writing,solving,andunderstandinglinearinequalities
-Graphinglines
-Solvingsystemsof2linearequations
Thesequestionsinvolvehigher-orderalgebraandhavethedumbestname.
-Writing,solving,andunderstandingquadraticequations
- Writing,solving,andunderstandingexponentialfunctions
- Manipulatingpolynomials
- Rationalfunctionsandlongdivision
- Graphingparabolas
-Functionnotation

Thesequestionsfallintotwogeneralcontentareas:
-Proportions:fractions,ratios,unitconversions,percentages
-Statistics:datavisualization,tables,scatterplots,probability,averages
Thisistheonlycategorythatdoesn'tgiveyouasubscore,andit'sbyfarthesmallest,withonly6totalquestions onthetest.Thesequestionsfallintothreegeneralcontentareas:
-Geometry:angles,triangles,circles,area,volume
-Trigonometry
-Imaginaryandcomplexnumbers

We'llstartwithtwoquickandeasythingsyoucandotohelporganizeyourtime1 bemore efficient,andcutdownoncarelessmistakes:
1. Circle the Question
2. Show Your Work
Circle the Question
Thistakesalloftwosecondstodobutcansignificantlyhelpyou.
-Itcanhelpreducethenumberofcarelessmistakesyoumake(moreaboutthisinthe nextsection).
-Itwillhelpyouunderstandhowtodotheproblem.Byfocusingonthethingyou're tryingtofindratherthanthethingstheygiveyou,it'seasiertothinkaboutwhatyou needinordertofindit.
Dothisoneveryproblem.Noexceptions.
You'reprobablytiredofhearingmathteacherstotellyouto"Showyourworld"Wel11 toobad.
SHOW YOUR WORK!

SATproblemsarecomplicated.Youcan'tholdeverystepinyourheadatonce.Andyouknowwhat?Youdon't haveto!Ifyouwritestuffdown,youdon'thavetoremembereverything.
Andthesequestionsaredesignedtofoolyou.Manystudents'biggestproblemisn'tthattheydon'tknowenough math-it'sthatthey'remissingquestionsthatthey�lreadyknowhowtodo1 becausetheymakecareless,stupid mistakes.
Seriously,we'renotkiddingaround.Justwritestuffdown.
Let'slookatasampleproblemtoseehowthisworks:
6. PointsA1 B, C, and D lie on a line in that order. The length ofAB is 8, and the length of CD is 7. Point C is the midpoint of segment 8D. What is the length of segment AD? A} 7 B} 14 C} 15
22

Firstthingtodo:Focusonthequestion.Notthewholeproblem1 smartguy;justunderline thethingthatthey'reaskingyoutofind.
PointsA1 B, C, and D lie on a line in that order. The length ofAB is 8, and the length of CD is 7. Point C is the midpoint ofsegment __
BD. What is the length of segment AD?
PointsA, 8, C, and D lie on a line in that order. The length ofAB is 8, and the length of CD is 7. Point C is the midpoint ofsegment BD. Wtiat is the length of segment AD?
Okay1 nowwhat?
SATquestionsarecomplicated.There'softenalotgoingonwithinaquestion1 andit'seasytotakeyoureyeoff theball.Theremightbesomuchinformationthatyou'renotsurewhattodowithit.Ifyou'renotsurehowtoget started1 askyourselftwoquestions:
1.WhatdoIwant?Thatis,whatisthequestionaskingmefor?
2.WhatdoIknow?Thatis,whatinformationdoestheproblemgiveme? Thenyourgoalistoconnectthesequestions.Lookatwhatyouwantandworkbackwardstosee whatyouneedinordertogetit.Orusewhatyoualreadyknowandseewhatelsethattellsyou.
Whatyouwant:Thelengthof AD. That'swhywecircledthequestion-tofindoutwhatwewant.
Whatyouknow:AB=81 CD=7,CismidpointofBD. Writedownwhatyouknow.Thisquestionisaboutaline,butnofigureisgiven.Sodrawthefigure.
Firstdrawthepointsinorder:
Thenlabelthelengthsyou'regiven:

AndsinceCisthemidpointofBD,BC=CD: •
8
A7 7

ADisthewholelength,sowehaveeverythingweneed:AD=8 + 7 + 7=22.
1hisisanadditiontoourruleaboutshowingyourwork:ifageometryproblemdoesntalreadyhaveapicture, DRAWAPICTURE!Itdoesn'thavetobeperfect;evenaroughsketchcanhelpyouunderstandtheproblem andcatchcarelessmistakes.
Noticethatwedidn'tknowwhereweweregoingwhenwestarted.Wejustplayedwiththestuffweknewuntilwe gotwhatweneeded.Thepointhereistonotbescared.1here'salwayssomethingthatyouknow,andsomething thatyoucanfigureout.Ifyouworkforwardfromwhatyouknoworbackwardsfromwhatyouwant,chancesare youcanconnecttheminthemiddle.Evenifyou'renotsurewhereyou'regoing,themoreyouwritedown,the easieritwillbetomakeaconnection.
AsaruleoftheSAT,allfiguresaredrawntoscaleunlessotherwiseindicated.Soiftheproblemdoesn'tsay "notdrawntoscale",youcanassumethatitisdrawntoscale.Ifit'sdrawntoscale,youcanusethepictureto guessthevaluesyouneed.
1akealookatthisproblem:

29. In the figure above, c is equal to 5 less than twice b. What is the value of a+ b?
A) 60 B) 100 C) 135 D) 185
They'reaskingusfora+b.Solet'stakealookatthoseangles.Anglea isprettybig.Let'ssay...120?130?Let'ssay130.

-Anglebissmaller,maybeSOor60.Let'ssay60.
-Soa+bmustbeabout130+60orabout 190.Soouranswershouldbeprettyclose to190.
-Hmm,190isn'tachoice,but185is!That'sprettydarnclose.We'lltakeit.Theanswer isD).
Lookhoweasythatwas!Wedidn'tdoadarntllingotherthanjustlookingatthepicture.Igot#29inall of10secondsandallIdidwasaddtwonumbers.
1. That's all well and good, but how do I know that's right? I Just made up those numbers could have been wrong.
That'strue,butyoudidn'trandomlymakeupthosenumbersyoumeasuredtheanglesintheproblem,the anglestheygiveyou.
Seriousl}'ijustlookattheotherchoicestheygiveyou.A)60?Coulda+_bbe60?Angleaisobtus�!Anglea alonehastobebiggerthan90!SoA)isoutrightaway.B)isstilltoosmall-angleaisstillprobablybigger than100,andwhenyouaddbtothemix,there'snowaythetwoofthemcomeoutthatsmall.C)stilllooks toosmall.
Andhere'sthething:ifyoudothisproblemalgebraicallytherearewaysyoucanmessitupthatwillmake youpickoneofthosewronganswers.Ifyouaddinsteadofsubtractorforgettodistributeacrossparentheses, youcould�hinkthatA)isaplausibleanswerbecauseofyourflawedalgebra.Butifyoulookatthepicture,it justdoesn'tmakesense.
2. Okay, I see that. But what's the real math way to do this problem?
Areyoukidding?Thisisrealmath.There'snothingmathematicallyillegitimateaboutdoingthis.Inmath,asin allthesciences,therearetwowaysofsolvinganyproblem:analytically,byusingpurelogicanddeducing (that'salgebra),orempirically,bygatheringevidenceandmeasuring(that'sGuesstimate).
Sayyouhaveadining-roomtableandyouwanttofigureouthowtallitis.Well,onewayIcouldfigureoutthe heightofthetableistoconstructalinefrommyeyetothetopofthetableandalinefrommyeyetothe bottomofthetable,measuretheangleofdeclination,andusethelawofcosinestofindthethirdsideofthe triangle.ORICOULDSIMPLY GETARULERANDMEASUREIT!


Hereareyourchoicesforhowtallthetableis:
A)2.5inches
B)3feet
C)60yards
D)7.8miles
ButhowdoIknowthetableisn't7.8milestall?Becauseit'sinmylivingroom.
1hisconcept,bytheway,istheentirepointofthexy-coordinateplane.Graphingisawaytovisualizethe relationshipbetweenvariables.Questionsinvolvingthecoordinateplaneoftenrequireyoutomakeconclusions basedonpictures.Sogetusedtoit
Ofcoursenot!Youcanusethisonjustaboutanyproblemthathasapicture,aslongasit'sdrawntoscale.Takea lookatthisone:

0 p

27. In the figure above, STis a chord and OP connects the centers of the two circles with equal radii. If ST= 4 and OP= 4✓ , what is the radius of circle O?
A) 2
B) 2✓
C) 4 D) 4✓
H!hatdowewant?1heradiusof0.Hmm,wedon'thavearadiusthere.Solet'sdrawonein.Justdrawaline fromthecentertoanywhereontheside.


Sothatristhelengthwe'relookingfor.Let'scomparethattothelinesweknow.Well1 itdefinitelylookssmaller thanOP,whichweknowis4✓3 (orabout6.92).SoD)isout.Goodsofar.
WealsoknowthatSTis4,solet'scomparertoST.Hey,theylookthesame.Maybe r=4.Waitaminute-they'reexactlythesame!HowdoIknow?Measurethem.Takeapieceofpaper(tryyour answersheet)andlaythesideofthepaperagainstrandmarkoffitslength.Thenlaythatpaperyoumarkedoff againstST.Whatdoyoufind?They'rethesame!We'redone!Sotheradiusis4.SotheanswerisC).
Attheveryleast,ifwegopurelybyoureyes,weknowrightawaythattheradiusshouldbecloseto41 soonlyB) andC)makesense(2✓3isabout3.46,whichisclose).Ifweactuallymeasureitout1 wecanseethattheradiusis exactly4.Perfect.
4. Does Guesstimate always work?
Unfortunately,Guesstimateisn'talwaysgoingtoworkasbeautifullyasitdidonthesequestions.
-Ifthefiguresaysit'snotdrawntoscale,youcan'tGuestimate.Thenthepicture doesnothavetoactuallymeasurethewayitlooks.Thetwofiguresbelowdepict thesameshape,buttheoneontheleftisnotdrawntoscale,whiletheoneonthe rightis. 7 2□
Note:Figurenotdrawntoscale.

-Ifthechoicesaretooclosetogetherthere'snothingIcando.If,in#29above,my choiceswere175,1801 185,190,Ican'teliminateanything.I'mnotthatgoodofa guesser.
Guesstimatewon't workondrawingsof 3-Dfiguresbecause they'redrawnwith perspective.You maybeableto visualizethembut youcan'tmeasure them.
You'realsonotalwaysgoingtobeabletozeroinontherightanswerlikethis.However,youcanofteneliminate something,evenifit'sonlyonechoice.Andonceyoueliminatesomething,youroddsofgettingtheproblem increase.Evenifyoucan'tfigureoutanyothersolution1 youcanguessfromwhat'sleft.
Soanytimeyouseeaproblemwithadiagramthat'sdrawntoscale,tryGuesstimatefirst.Beforeyoudoanything else,trytogetaballparkfigureforthethingthey'reaskingfor.

ThepeoplewhomaketheSATaren'tchumps.Theyknowhowhighschoolkidsthink.Moreimportantly,they knowhowhighschoolkidsmessup.Therefore,whentheywritethetesttheyintentionallyincludewronganswer choicesthatkidswhomakecertaincommonmistakeswillchoose.However,onceyouknowwhatthesemistakes areandhowtoavoidthem,youwillbemuchlesslikelytomakethem.
Takealookatthisquestion:
8. A certain bookstore gets a shipment of 24 copies of a new book and sells 18 of them. What percentage of the books was NOT sold?
A) 75%
B) 67%
C) 33%
D) 25%
Okay,so18over24is0.75,whichis75%.That'schoiceA),right?
WRONG!That'sthenumberofbooksthatweresold;thequestionisaskingforthosethatwerenotsold. TheyevenputitinCAPITALLETTERS!Payattention!
WecallchoiceAtheRTFQchoice."RTF(Ystandsfor"Readthefullquestion:'It'swhathappenswhenallof yourmathwascorrect,butyoudidn'tsolveforthethingtheywereaskingfor.
RTFQchoicesshowupalloverthetest.Theycouldshowuponquestion#60oronquestion
#1.Itisaveryeasymistaketomake.Butit'salsoaveryeasymistaketoavoid:justreadthe question.Takeanextratwosecondstomakesurethatthenumberyou'rechoosingisthenumberthey want.
Infact,we'vealreadygivenyoutwowaystohelpcutdownonRTFQmistakes:CircletheQuestionandShow YourWork.Bothofthesethingswillsignificantlyhelpyoukeeptrackofwhatyou'redoing.
Alotofpeopledon'tputenoughweightonthesemistakesonpracticetests."Oh;Iknewhowtodothatone," theysay."Ijustwrotedownthewronganswer:'What?That'ssomuchworse!Ifyoudon'tknowhowtodothe math,fine.We'llteachyouhowtodomath.Butyoudon't

knowhowtowritedownwhatthey'reaskingfor?Youarethrowingawaypointsbymissingquestionsthatyou alreadyknowhowtodo.Remember:eachmathquestionisworth10 points.IfyoumakejustthreeRTFQmistakes,that's30pointsyou'vetossedoutthe,window.Thesethingsadd up.
Here'saharderone.Giveitashot,andmakesureyourealeverywordofthequestion.
A= {1, 2, 3}
B= {3, 5, 7}
23. If a is a number selected from the setA and b is a number selected from set 8, how many different values for a+ bare possible?
A) 6
B) 78
C) 9
Fool's Gold
Takealookatthisproblem:
30. Scott drives to Bob's house at a speed of 30 miles per hour and drives back at � speed of 50 miles per hour. If he takes the same rou�e bQth w,ays, what was his average speed, in miles per hour, for the whole trip?
A) 37.5
B) 40
C) 42.5
D) ltcannot be determined from the information given.
Wewanttheaveragespeedforthetrip.Histwospeedsare30andSO.Sotheaverageis 30+SOdividedbytwo.That's40.ChoiceB).
Wow,thatwaseasy.Hmm.Alittletooeasy.
Waitaminute.Thisisquestionnumber30outof30.Questionsareorderedbydifficulty.Thatmeansthisis thehardestquestiononthetest.There'snowaythatthehardestquestion onthetestcanbedonepyjusttakingtheaverageoftwonumbersthattheygiveme!Thatcan'tpossiblyberight.

Lookatitthisway:
1.WeknowforafactthatSATMathTestquestionsareorderedbydifficulty.
2.Aquestion'sdifficultyisdeterminedbylookingatthepercentageofstudentswhogetitright.
3.MostkidsprobablyhadthesameinstinctIdid:taketheaverageofthespeeds.
4.ButIknowthatmostkidsgetitwrong.That1swhyit�number30.
5.Therefore,takingtheaverageof30and50iswrong.Ifitwereright,mostkidswouldgetitright.Soit wouldn'tbenumber30.
6.Therefore,Icaneliminateit.
WecallthisaFool'sGoldchoice.It'swhenahardquestionhasachoicethat'ssoeasyandsoobviousthatitcan't possiblyberight.Weknowthequestionmustbeharderthanthis.Itmustbeatrap.
Soifyouseeaneasychoiceonahardquestion-eliminateit.Youknowmostpeopleget itwrong.Sotheobviousanswercan'tberight.Sometimesweseestudentswhoevenrecognizeachoiceasa Fool'sGoldchoice,andthenpickitanywaybecausetheycan'tthinkofanyotherwayofdoingtheproblem.They windupchoosingtheonechoicethattheyknowiswrong.That'smadness.Utter,uttermadness.
Let'sgobackandtakeanotherlookatthat#30above.WeeliminatedB)asFool'sGold.Hmm.Butifthat'snot right,howelsewouldyoudotheproblem?Allittellsusisthetwospeeds;wedon'tknowthedistancetraveledor thetimeittook.Somaybethereisntenoughinformation.That'sChoiceD).Right?
Wrong!"Cannotbedetermined"isaclassicFool'sGoldchoice.Number30isnotgoingtobeaseasyas,"Well, uhh,theydon'ttellmeanything,soIguessIdunno:'Don'tbeaquitter.
Sowe ' veeliminatedB)andD).Worst-casescenario,wecanguessfromthetworemainingchoices.Remember,no matterwhat,wemustpicksomething.Wemustneverleaveanythingblank.
Sohowdowedoactuallydothis?Thereasonyoucan'tjusttaketheaverageof30and50isbecausethoseare alreadyrates.Inordertofindtheaveragespeedforatrip,youhavetotaketherateofthetotaldistanceoverthe totaltime.Hmm.Ifweknewthedistancetraveled,wecouldfindthetimeittook,butwedon'tknoweither.But theanswercan'tbeD)-that'stooeasy.Soitprobablydoesn'tmatterwhatthedistanceis.Youprobablygetthe sameanswernomatterwhat.

Solet'smakeupavalueforthedistance.Let'ssayit's150milesfromScott'shousetoBob'shouse.Sinced=rt, wecanusethedistancetofindthetimeeachlegofScott'striptook:
ToBob's:150=30t1
5hours=t1
FromBob's:150=50t2
3hours=t2
SoScott'striptook5hoursonewayand3hoursbackforatotalof8hours.Histotaldistancetraveledis 300 miles(twotrips,150each).So: AverageSpeed=
That'sChoiceA)!Weredone!Wait,butweonlygotA)afterusinganumberwemadeup.Howdoweknowwe won'tgetadifferentanswerifwechoseanothernumber?Well,tryit.Makethedistance300milesandseewhat youget.

Thisisoneofthemostpowerfulstrategiesthatwehave,somuchsothatitgetsitsownsection.Ifyouignore everythingelsewesay,atleastpayattentiontothis.
Oneofthebiggestproblemsthatstudentshaveonthetestistiming.You'vegotafiniteamountoftimetodo alotofquestions.Asaresult,moststudentsfeelrushedtryingtofinishthetest.Rememberthatthequestions arearrangedinorderofdifficulty-number1iseasy,number22ishard.Sokidsrushthroughtheearly questionsandmakealotofcarelessmistakes:theyaddinsteadofsubtract,theysolveforxinsteadofy,they misreadthequestion,etc.Thentheyspendalotoftimeonthehardonesandgetthosewrongtoo-because they'rereallyhard.
Buthere'sthething:theeasyquestionsareworththesamenumberofpointsasthehardones(mostly,at least;we’lltalkabouthowModule2isweighteddifferentlyinamoment).Thesolutionisincrediblysimple: DON'TDOTHEWHOLETEST.Youdon'thavetogeteveryquestioninordertogetthescorethatyou want.Thebiggestproblemmostkidshaveisn'tthattheydon'tknowenoughmath;it'sthatthey'remissing questionsthattheyalreadyknowhowtodo.
Whatdoesthismeanforyou?Itmeansthatbysettingatargetnumberofquestionsyoufocuson,andfocusing onlyonthosequestions,youendupgettingmorepointsoverallonthetestandthereforebringingyourscore up.Thinkaboutitthisway:ifIfocusonall44questionsbetweenthe2modulesbutonlyget20ofthem correct,I’mworseoffthanifIfocusedon30questionsbetweenthe2modulesandgot25ofthemcorrect. Ultimately,accuracyismoreimportantthanvolume.
Withthatsaid,theintroductionofadaptivetestinginthemodulesdoesmeanthateachquestionisweighted differentlyinthesecondmodule.Howthisworksisfairlysimple:onthefirstmodule,youhave22questions toanswer.Ifyouanswerabout16ormorecorrectly,yoursecondmodulewillincludeahigherpercentageof “difficult” questions.Ifyouanswerfewerthan16correctlyonthefirstmodule,yoursecondmodulewill includeahigherpercentageof “ easy ” questions.Yourfinalscoreisinpartdeterminedbythelevelofdifficulty ofyoursecondmodule.
Now,Iknowwhatyou’rethinking.Ihearthosewheelsturninginyourbrain. “Isitbettertoshootfortheeasier moduletotrytopickupmorepointsthere?” No.Letmesayitagain.NO.Thereasonforthisisthatifyou taketheeasiermoduleinModule2,yourmaximumscoreontheMathportionoftheSATisabouta600.If youtakethehardermoduleinModule2,yourmaximumscoreis800.Whatthismeansisthatthesecond moduleisweigheddifferentlydependingonthedifficulty,sothehigherscoreyouwant,themoreyouwantto reachthatmore “difficult” module.
Still,TargetScoresarehelpfulbecausenotallofusareshootingforan800ontheMathsectionoftheSAT. Fewofuscanevenachieveit,butregardlessofthat,evenfewerofusneedit.

Okay,you ’redoingfewerproblems,buthowdoyouknowyou ’lldobetteronthoseproblemsthanyouweredoingbefore?Because nowyou'vegotfewerquestions-inthesameamountoftime,soyoucanspendmoretimeoneachquestion.Themoretimeyou spendonaquestion,themoreconfidentyoucanbeofyouranswer.Thosecarelesserrorsyoufixwilltranslateintoahigherscore.
PeopletendtothinkaboutSATscoresinthewrongcontext.Peopletendtothinkofthemlikefigureskatingscores-there'sa perfecttenandthenpointsdeductedforyourflaws.*Instead,thinkofthemlikebasketballscores-you'rejusttryingtogetasmany pointsaspossible.Assuch,yourshootingpercentageismuchmoreimportantthanthenumberofshotsyoutake.
Thisstrategyisamazing.Youcangetascoreincreasebyliterallydoinglesswork.Youcangetahigherscorenotbylearningnew thingsbutbynailingallthethingsyoualreadyknowhowtodo.It'smiraculous.

1. Why are you.making me do this? What, you think I'm too dumb to get #30?
Let'ssaythisrightupfront:we'renotsayingyou'retoodumbtoget#30.Wefirmlybelievethatanyonecould get#30ifgivenenoughtimeforit.'Ibisisn'taboutskippingquestionsthataretoohardforyou.The goalhereissimplytodofewerquestions.That'sit.Soifwe'redoingfewerquestions,we'renotgoingto skiptheeasyones;we'regoingtoskipthehardones.That'sjustcommonsense. Yes,ifyoudidthewholetest,youmightgetnumber#28.Butwhyworryabout#28whenyou'restill missing#3?Weknowyoucanget#3.That'sthegoalhere-tonailalltheeasyquestions.Whyworry aboutthehardst1;1ffwhenyou'restillmissingpointsontheeasystuff?Let'sgetthosedownpatbeforewe doanythingelse.
2. I finished my target numbers, but I've still got some time left. Should I move on to more questions?
NO!Ifyoufinishyourtargetnumbersandstillhavetime,gobackandcheckyourwork.Again,thepoint hereistomakesurethatyou'reassharpascanbeontheeasyquestions.Ifyouhavetimeleftover,don't keepgoing,anddon'tstareblanklyatthewallforfiveminutes.Gobackandcheckyourwork.

3. I stuck to my target questions, but there·were still some hard ones In there, so I left them blank too.·1s that okay?
NO!Neverleaveanythingblank!Firstofall)there'snopenaltyforguessing.Secondly)thegoalhereisn'tto "skiphardquestions".We'retellingyouexactlyhowmanyquestionsyouneedtodotogetagoodscore increase.Thatmeansyouhavetodoallthequestionswithinyourtargetnumbers.
Yes)therewillstillbesomehardonesinthere.Theyaren'tallaseasyas#2.Butthat'swhywehavesevenmore chaptersaboutMath!Youdidn'tthinkwe'djuststophere,didyou?There'salotmorewehavetogothrough,and we'regoingtoshowyousomegreattechniquesthatwillhelpyouwiththosehardquestionsthatarewithinyour targetnumbers.
4. I'm supposed to stop at #24, but I don't know how to do it. But I think I can do #26. Can I skip #24 and do #26 instead?
Theveryfactthatyou'reaskingthisquestionmeansyou'vethoughtabouttwoquestions.Thattakestime,time youcould'vespentcheckingyourworkontheeasyquestions.Again,thepointhereistiming-wewantyouto spendtimemakingsureyougettheeasyquestions.WedoNOTwantyoutospendtimeontryingtofigureout whichquestionstodo.Wewantyourgameplantobesetbeforeyougotothetest.
Now,wedorealizethatthereisawidevarietyofquestiontypesonthet�st,andsomepeoplereallyarebetterat sometypesthanothers.Maybe#24isaweirdtrigonometryquestion,but#26isagraphingquestionandyou're reallygoodatgraphing.Orit'saquestionthatcanbereallyeasywithatechniquelikePlugIn.Thatseemsokay. Butbecareful:itmayonlylooklikeyoucando#26.Itmightbemorecomplicatedthanitseems.Maybethere'sa trickyoudidn'tsee.Maybethere'saFool'sGoldchoice.Whoknows?Butyouknowwhatwedoknow?Thatyou knowhowtodo.#2.Ifyou'vedoneeverythingyoucanon#24andstillcan'teveneliminateonechoice,GO BACKANDCHECKNUMBERTWO!!!Donotmoveon.Yes,theremaybequestionsbeyondyourtarget numbersthatyouarecapableofdoing.Butthegoalofthistechniqueistomakesureyougettheeasy questions.Thequestionspastyourtargetnumbersarenotthere.Theydonotexist.

5. So those questions I skip, I should Just leave them blank? NO.FILLINRANDOMANSWERS.NEVERLEAVEANYTHINGBLANK.Youdon'tlosepointsfor wronganswers,sothere'snothingtolosebyguessingrandomly.Youshouldnotattemptthosequestions,but youshouldfillinrandombubblesforthoseyouskip,justincaseyoupickupsomepointsbychance.
6. I nailed my target numbers on this practice test. Can I do more on the next one?
Firstofall,ifyounailedallyourtargetnumbers,congratulations.Youprobablyhavea100-pointincreasein yourmathscore.Fantastic.Butforthenextpracticetest,keepthesamenumbers.Wewanttoseeyoudoit again.Oncemighthavebeenafluke-maybeyouwereinthezonethatdayorjusthappenedtogetalotof questiontypesthatyou'rereallygoodat.Ifyounailallyourtargetnumberstwiceinarow,thenwecanstartto talkaboutraisingthem.
Butthenagain,youmightnotwanttoraisethem.Ifyoureallydonailyourtargetnumbers,Ithinkyou'llbe pleasantlysurprisedbywhatthatdoesforyourscore.Youmightbehappywhereyouare.
7. I work really slowly and I never finish the test. What should I do?
Weweregoingtotellyounottofinishthetestanyway.Congratulations!You'reonestepaheadofus.Areyou psychic?.·
Again,thegoalhereistobeaccurateonthequestionsthatyoudo.Ifyou'renotquitemakingitthroughallof yourtargetnumbers,that'sokay-aslongasyou'vegotahighshootingpercentageontheonesyoudogetto. Plus,oncewegettoworkonthenutsandboltsofthemath,youshouldbeabletogetthroughthoseeasy problemsmuchfaster.
8. How do I split up my time between multiple-choice questions and gridins?
Rememberthateachsectioncontainsmultiple-choicequestionsfirstandgrid-insattheend.Rememberalso thatthesepartsareorganizedseparatelybydifficulty-insection3,number15(thelastmultiple-choice)will beahardquestion,while16(thefirstgrid-in)willbeeasy.It'sprobablyagoodideatoskipafewquestions fromeachpart.Ifyou'resupposedtoskipSquestionsinsection3,don'tjustskipallSgridins,becausethere areprobablysomeeasyonesinthere.
Onthetableweincludedsuggestionsforhowtosplityourtimebetweenthemultiple-

choiceandgrid-inquestions.Forexample,•ifyou'restartingwitha500and.goingfor a670,you'dskip6questionsinsection3.Youcansplitthatupasskipping4multiplechoiceand2grid-ins,thus you'ddoquestions1-11and16-18.
Butthisisjustasuggestion.Thetotalnumberofquestionsansweredandskippedismoreimportantthanhow youdividethattotaloverthe-questiontypes.
9.1 have extended/unlimited time for the SAT. Do I still have to do this?
Hmm...areyoustillmakingcarelessmistakes,evenwithextratime?Thenyes.Yesyoudo.
10.Do I have to do this on the real test too?
What?Ofcourseyoudo!Isthataseriousquestion?Whywouldwetellyoutodothisonlyonpracticetests? Forfun?Youthinkwe'rejustmessingwithyou?Everythingwetellyoutodointhisbookissomethingyou shoulddoontherealtest.
11. Should I do this on the Reading and Writing as well?
Notexactly.Thereasonwedothisforthemathisquestionsarenumberedbydifficulty,soweknowthe firstquestionsaretheeasyquestions.Studentsmakecarelesserrorsonearlyquestions,questionstheyknow howtodo.QuestionsontheReadingandWritingtests,however,arenotorderedbydifficulty,sothere'sno guaranteethatskippingthelastquestionsmeansskippingthehardquestions.
Ontheotherhand,timingcertainlycanbeanissueontheothertests.Rememberthatthesameprinciple applieseverywhere:it'smoreimportanttobeaccurateonthequestionsyoudothantodoalotof questions.Soifyouarehavingtroublefinishingtheothertests,takeheart.Youcanstillgetagoodscorethere withoutansweringallthequestions,aslongasyou'reaccurateonthequestionsyoudo.

Thetechniquesarewaysofdoingproblems.Theycanbeusedorijustaboutanytypeofproblem:onhard problemsoreasyproblems,arithmeticoralgebra,withtrianglesorcircles,anywhere.Theyarepowerful,versatile, andvery,veryeasy.
We'regoingtoshowyoutwotechniquesforSATMathproblems:PlugInandBacksolve.Togethertheycanbe usedonabout40%ofthemathproblemsontheSAT.That'salot. Whileeachhasitsquirksandrelativestrengths,theyallhavethesamefundamentalprinciple-theyturn abstractproblemsintoconcreteproblems.Thegoalistoturneverythingintoarithmetic,togetridofvague unknowns,intangibleideas,andlongequationsandmakeeveryproblemintosimplestuffyoucanpunchinto yourcalculator.
Let'stakealookatthisproblem:
9. Bob has 4 dollars more0than Lisa does. If Lisa has x dollars, how much would Bob have if he doubled his money?
A) x+4
B) 2x
C) 2x+4
D) 2x+8
Noticethatthisquestionisanumber9-nottoohard,butnottooeasy,justinthemiddleofthepack.We·can seewhattheywanttistodohere.Theygiveusawordproblemandexpectustotranslatefromsentencesinto mathematicalexpressions.Idon'twanttodothat.
Takealookattheanswerchoiceshere.Theyallhavex'sinthem,andxisavariable.Thatmeansitcanstandfor anynumber.Let'ssaytheanswerturnedouttobechoiceA).Well,iftheanswerisA),thenthat'stheanswer. That'showmuchmoneyBobhas:x+4dollars.Soitwillalwaysbex+4,nomatterwhatxis.IfxisS,ifxis10,if xis953,234,124.5255,theanswerwouldalwaysbeA).

Solet'spickanx.Iftheanswercomesoutthesamenomatterwhatnumberxis,wecanchooseanyvalueforx thatwelikeandwe'llalwaysgetthesamething.
ThisisPlugIn.Ithasthreesteps.
1. Pick a number.
Whatshouldwechoose?Somethingsmall,somethingmanageable,preferablysomethingthatisn'talreadyinthe problem(toavoidcon�usion).Try toavoidweirdnumbersthathavespecialpropertieslikeO,1,negatives,or fractions.Justaniceeasycountingnumber.Ilike3.Let'ssayxis3.
Onceyouchooseanumber,makesureyouwriteitdownandputaboxaroundit1soyourememberthat'sthe numberyoumadeup.

2. Do the problem with your number. Readtheproblemagain,butinsteadofx,use3.
9. Bob has 4 dollars more than Lisadoes. If Lisa has 3 dollars, how much would Bob have if he doubled his money?
Lisahasxdollars,sonowwe'llsayLisahas3dollars.Bobhas4-more,soBobhas7dollars.SoifBob doubledhismoney,he'dhave14dollars.That'souranswer:14Onceyouhaveananswer,circleit.
0Wait,but14isn'tananswerchoice.Ah1 onemorestep:
3. Putthe numbers Into the choices.
Ouranswerisn'tachoice,butallthechoiceshavex's.Aha!Wehaveanxnow.Let'sput3inforxinthechoices andseewhichonecomesoutto14.
OnlyD)works.That'souranswer.Wegottheproblembyaddingone-digitnumbers.

Thinkoftheproblemasalittlefunction,aseriesofsteps.IfIputinthisnumber,Igetoutthatnumber.WhenI putin3,Igot14.Therightanswerchoiceshouldgivemethesamefunction.WhenIputin3,Ishouldgetout 14.
Don'tbelieveme?Tryadifferentnumberfor x. .You shouldstillgetD)asyouranswer.
1. Do I have to test every choice?
Yes,justtobesafe.Itispossiblethattwoanswerchoicesbothgiveyoutheansweryou'relookingfor.Thiscould happenifyouchooseanumberwithspecialproperties(like1)oranumberthatwasalreadyintheproblem. Oritcouldhappenpurelybychance.Soyoushouldcheckallthechoicestomakesuretherearen'ttwochoices thatwork.
2. So what do I do if I get two choices that work out?
Firstofall,eliminateeverythingelse.Youknowit'sgoingtobeoneofthosetwo.Worstcasescenario,guessone;you'vegota50-50chance.
Butbeforeyouguess,whynottryadifferentnumber?Iftwochoiceswork,it's probablybecauseyouhappenedtopickaweirdnumber.Pick�differentoneandtest thechoicesthatareleft.Trydifferentkindofnumber.Ifyoupickedasmallone before,tryabigonenow,andviceversa.
Ifyoukeepgettingthesametwoanswers,tryaweirdnumber,like0,1,afraction,ora negative.Thesenumbershavespecialproperties,sotheycanhelpyounoticescenarios thatyoumightmissotherwise.
3. Why do I have to do this? That seemed like a lot of work for a #9.
Firstofall,we'redemonstratingthetechniqueonaneasierproblemsoyoucanseehowitworks.Theproblems onlygetharderfromhere,yetPlugInisstilllittlemorethanaddingone-digitnumbers.Heck,wealreadysawa Plug-Inquestion-theFool'sGoldexampleaboutScottdrivingtoBob'shouse.Trydoingthatsuckerwith algebra.Itain'tpretty.
Second,PlugInmayseemweirdbecauseit'snewforyou.Themoreyoudoit,themoreyou'11getthehangofit. Prettysoon,you'llbeabletochurnoutproblemsinafractionofthetime.

Third,algebraicmethodsarefraughtwithpossiblecarelessmistakes-evenon#9.
Let'strysomealgebraonthat#9justfor'kicks.Bobhas4morethanLisa,.soBobhas x+4.Multiplyitbytwo,you get2x+4right?That'sC),right?Ofcoursenot.It'snot 2x + 4iit's2(x + 4).Thatcomesoutto2x + 8whichis D),justlikewegotwithPlugIn.Asbrilliantasweallarewithalgebra,it'sreallyeasytomakeasmallstupid mistakelikeforgettingtheparentheses.ButwithPlugIn,you'remuchlesslikelytorn,akethatmistakebecause you'reworkingwithconcretenumbers.Youunderstandwhatallthesetermsrepresentithey'renotjustabstract lettersonthepage.C)isnomoretemptingthananyotherwrongchoiceiit'sjustanotherchoicethatdoesn'tcome outto14.
The�eareotherwaysyoucanmess·thisup,too.Ify�uforgettodoubleBob'smoney,yougetA).Ifyoudouble Lisa'smoneyinsteadofBob's1 yougetB).NoneofthesemistakesarelikelywithPlugInbecauseallyou'redoingis simplearithmetic.
Soit'snotjustthatPlugInisfasteroreasierthanalgebra;it'salsosaferthanalgebra.You'remuchlesslikelyto makean·RTFQorFool'sGoldmistakewithPlugIn.
Aswe ' veah-eadyseen,havingavariableintheanswerchoicesisthefirstsignofaPlugInproblem.Butitalsoworks whenthereismorethanonevariable.
SometimesyoucanPlugInforeachvariableindependently: 15. How many hours are there ind days and hhours?
A) 24h+d
B) h+24d
C) 24(h + d)
D) h+24
Becausethere'snorelationshipbetweenhanddhere,wecancomeupwithtotallydifferent numbersforeachofthem.Tomakethingseasy,l�t'sused=1andh=3.Onedayhas24hours,plus3givesa totalof27hours.Whichchoicematches27?

A)24h+d B) h+24d C)
24(h+d)
h+d
24(3)+1=73X 3+24(1)=27✓ 24(3+1)=96X
D) 24 243+ 1 -X
Ontheotherhand,sometimestheproblemwillgiveyousomerestrictionsonthevariables.Inthesecases,you canPlugInfo�onevariable,andthenusethatvaluetofigureouttheothervariable:
14. Ifx + 5 is 3 less than y, then x- 2 is how much less than y?
A) 6 B) 7 C) 8 D) 10
Herewehavetwovariables,butthistime,ifwepickanx,wecanusethatnumbertofindy.Let'ssayx= 4. Read thebeginningoftheproblemwithournumberforx:"If4+Sis3lessthany.".4+S=9.Thatmeans"9is3less thany;'soyis3morethan9Soy=12.Pickinganxallowedustofindy.
We'renotdoneyet.Thequestionasks" x-2ishowmuchlessthany?"4-2=2.So2ishowmuchlessthan12?
2is10lessthan12.That'schoiceD).
NoticealsothatwecouldstillusePlugIneventhoughthereweren'tanyvariablesintheanswerchoices.

Takealookatthisproblem.It'sagrid-inquestion,sotherearenoanswerchoices:
33. Larry cuts a piece of paper into two equal pieces. He takes one of those pieces and cuts it into three equal pieces. The area of one of the smallest pieces iswhat fraction of the area of the original piece of paper?
There'snovariableanywhereintheproblemortheanswerchoices,sowecan'tusePlugIn,right?
Wrong!Eventhoughnovariablewasexplicitlymentioned,thereisanimplicitvariable-thearea.There'snowayforus tofindtheareaoftheoriginalpieceofpaper,right?Itdoesn'ttellusthelengthorwidthoranynumbersatall(wedon't evenknowwhetherit'sarectangle!),butwe'restillexpectedtogetananswer.Soitmustnotmatterwhatthestartingarea is-we'llgetthesameanswernomatterwherewestart.There'snoactualletter,butwecouldassignitavariableifwe wanted.
Let'snot.Let'ssaytheoriginalpiecehasanareaof12.
-Hecutsitintotwopieces,soeachhasanareaof6.(12 7 6=2)
-Hecutsoneofthoseintothreepieces,soeachofthesmallerpieceshasanareaof2. (673=2)
-Soeachsmallerpieceis2-or�oftheoriginal. 126
WealreadysawaproblemwithimplicitvariablesintheFool'sGoldsection.Rememberthis?
30. Scott drives to Bob's house at a speed of 30 miles perhour and drives back at a speed of 50 miles perhour. If he takes the same route both ways, what washis average speed, in miles perhour, for the whole trip?
A) 37.5
B) 40
C) 42.5
D) It cannot be determined from the information given

Eventhoughtherearenovariablesatall,thedistanceisanimplicitvariable.Wecanmake upavalueforthedistanceanddotheproblemwiththatnumber.That'sPlugIn.
Takealookatthisproblem: z y �Figurenotdrawntoscale.

15. In the figure above, if y = 90-x, what is z in terms ofx?
A) 90+x
B) 90-x
C)180+x
D) 180-x
Geometrycanbescaryforalotofkids,andwe'lltalkalotmoreaboutitinalaterchapter.Butlook:we'vegot variablesintheanswerchoices!ThatmeanswecanPlugInfor x, justlikeanyothernormalproblem.
Let'ssayx= 30.Weknowy=90-x, soy=60.
Wecantellfromthepicturethatzandymakeastraightline;thatmeansz +y=180.Since y= 60, weknowz= 120.Sowhenx=30, z=120.Put30inforxintheanswerchoicesand seewhichgivesyou120:
A) 90+x
B) 90-x
C)180 +x
D)180-x

90 + 30=120✓
90-30=60X
180 + 30=210X
180-30=150X
Don'tbescaredoffbyfigures.Ifyou'reconfused,don'tworry:we'lltalkaboutgeometryrulessoonenough.But atitsheart,thisproblemisnodifferentthananyotherPlugIn.Assoonasyouseeallthosevariablesinthe choices,youknowyoucanPlugIn.
AndkeepinmindthatGeometryPlugInscomeinallthesameflavorsthatwe'vealreadyseen:theremaybe explicitvariablesorimplicitvariables;sometimesyoupluginfordifferentvariablesseparately,sometimesyou pluginforoneandfigureouttheothers(aswejustdidin#10).


Takealookatthisone.
17. Gerry's age is 5 more than three times Carol's age. Ifthe sum oftheir ages is 45, how old is Carol?
A) 10
B) 12
C) 14
D) 16
Here,wecan'tjustmakeupanumberforCarol'sagebecausethat'sthewholepointofthequestion.Thevalue doesmatter-there'sonlyonenumberthatworksforCarol'sage.SoPlugInisout.
However)likewedidwithPlugIn)wecanstillturnthisintoasimplearithmeticproblem.Butinsteadofpicking randomnumbers)let'susethenumbersintheanswerchoices.Weknowoneofthese4numbersisCarol'sage)so let'strythemuntilwefindonethatworks.
That'sBacksolve.Italsohasthreesteps.
1. Pick a choiceand make H theanswer.
It'softenbesttopickeitherB)orC).Whentherearenumbersintheanswerslikethis)theyalwaysputthe choicesinorder.SoifwetrychoiceC)anditdoesn'twork)wecanfigureoutifitwastoosmallortoobigand eliminatetwoanswerchoicesinonefellswoop.
Okay.Solet'ssaythatC)istheanswer.C)is14.Sowhatdoesthatmean?What's14?Well,14istheanswerto thequestion.Inthiscase,thequestionis"howoldisCarol?"ThatmeansifC)isright,thenCarolis14.
2. Dothe problem and see if it fits.
Whatelsedoweknow?WeknowthatGerry'sageis5morethanthreetimesCarol'sage.Again)we'resaying Carolis14,so:
C)Carol=14.
3X14=42
42+5=47=Gerry.
"Gerry'sageis5morethan3times14:' SoifCarolis14,thenGerryis47.

HowdoIknowifC)istherightanswer,then?Well,whatelsedoestheproblemtellus?Theiragesshouldaddup to45.Dothey?Ofcoursenot.Gerry'sagealoneisbiggerthan45.SoC)istoobig.
3. If it fails, figure out if you need a bigger or smaller number and repeat. Well,C)wasdefinitelytoobig,sowe'llneedasmallernumber.Sowe'llmoveontoB):
B)Carol=12.
12x3+5==41=Gerry.
12+41=53X
Stilltoobig.Theiragesshouldaddupto45.Let'smoveontoA):
A)Carol=10.
10x3+5=35=Gerry.
10+35=45✓
Bingo!A)isouranswer.
Thatwasawordproblem.JustlikewesawbeforewhenwewerediscussingPlugIn,thisproblemdidn'thaveany explicitvariablesmentioned,butitdidhaveimplicitvariables.TherewerenoactuallettersassignedtoCarolor Gerry'sage,butwecouldstillputnumbersinforthemallthesame.That'soneofthestrengthsofthese techniques.Wedon'tneedtoworryaboutvariables;wecanworkdirectlywiththeunderlyingconceptsinthe problem.ButBacksolveworksjustaswellwhenthereareexplicitvariables.Observe:
21. Ifj + k = 9 andj2 +jk = 36 then k = A) 3 B) 4 C) 5 D) 6
Anytimeaproblemasksforthevalueofavariable,wecanBacksolve.Justputthenumbersinthechoicesinfor thevariableandseeifitworks.
We'llstartwithC),that's5.They'reaskingfork,sowe'llsayk=5.Okay,fine.Weknowthatj+k= 9.Sincek= S,j= 4. Sofar,sogood.Nowlet'sputjandkintothatgiantequationandseeifitcomesoutto36.
j2 +jk = 42+4(5) = 16+20 = 36✓

Itworks!SinceC)worked,Idon'tevenhavetolookatanythingelse.TheanswerisC).I'mdone!
Let'stakeaminutetothinkabouthowtodothisproblemwithalgebra.Firstofall,youcouldsolveoneequation forj,andthensubstitute_thatintotheotherequation.Ugh.Iguesswecoulddothat,butit'salotofworkand easytomessup.Backsolveismuchquickerandeasier.Now,ifyou'vegotareallygoodeye,youmightnoticethis:
j + k=9andj2 +jk=36
j(j + k)=j1 +jk
j(9) =36
j=4
We'regiventwoequations.
Thesecondequationisjustthefirstequationtimesa.
Sowecanjustsubstitutethevaluesweknow,
Andouransweris4.That'sB). Waitaminute:4?B)?Didn'twegetC)?Isn'tC)S?Aha!j=4;they'reaskingusfork.RTFQJSoevenifwe're reallycleverwithouralgebra,thealgebraeasilyleadstoanRTFQYou'remuchlesslikelytomakean RTFQmistakewithBacksolvebecauseyou'reworkingdirectlyfromthequestion.YoupickC),andthenmake C)theanswertothequestion.
Sotherearebasicallytwoalgebraicwaysofdoingthisproblem.Oneisslowandpainful.Theotheralmost inevitablyleadsyoutoanRTFQmistake.LikePlugIn,Backsolveisfaster,easier,andsaferthanalgebra..
1. If the first choice I try works, should I try the other choices tobe safe?
No.UnlikePlugIn,withBacksolvethere'snowaythatmorethanonechoicewillworkout.Onceyoufinda choicethatworks,stop.That'syouranswer.
2. What if I'm not sure whether I want a higher or lower number?
Thenjustpickone!Don'tgocrazytryingtodeducewhichwaytogo.PartofthepointofBacksolveistowork quicklyandmethodically.IfC)failsandyou'renotsurewhetheryoushouldgotoB)orD),justpickone. You'rejustdoingsimplemathhere.Theworst-casescenarioisthatyougothewrongwayandwinduphaving totestallfourchoices.Butreally,that'snotverymuchwork.Andyouknowthateventuallyyou'llfindthe answer.


It'sonethingtounderstandhowthesetechniqueswork.It'sanothertobeabletousethemandusethem effectivelyinareal-testsituation.It'sincrediblydifficulttochangeyourhabits.Thesetechniquesarea fundamentallydifferentapproachthanwhatyou'reusedtodoing inschool.Therefore,youhavetomakeaconsciousefforttousethemonyourpracticetests.Everytimeyoudoa problem,yourfirstthoughtshouldbe"CanIuseatechniquehere?"Evenifyouseeanotherwayofdoingthe problem.Evenifyouthi'nkthatotherwayisbetterthanthetechnique.Youmusttrytousethetechniques everychanceyouget.
Wecanalreadyhearyoucomplaining,buttrustus:it'sforyourowngood.Clearly,youroldwaysofdoing problemsaren'tworkingforyou-iftheywere,youwouldn'tbereadingthisnow.Youroldmethodshavegotten youthescoreyouhavenow.Ifyouwantadifferentscore,youhavetotrydifferentthings.
Ofcourse,youcan'tusethetechniquesoneverysingleproblemyousee.Andsometimes,therewillbeproblems wherethealgebraisn'tsobadandyoucangettheproblemwithoutthetechniques.But here'sthething:you'renotqualifiedtomakethatcallyet.Thetechniquesarestillnewforyou,soyoudon'tknow whetherornotthey'rethebestmethodonthisorthatproblem.Theonlyw�yyoucanbecomequalifiedisto trytou�ethetechniqueseverytimeyoupossiblycan.
Thisisnodifferentfromanytimeyoulearnsomethingnew.Insportsorinmusic,theonlywaytogetgoodat somethingistodoitathousandtimesinarowThemoreyoupractice,thebetteryoubecome.
Aswe ' veseenalready,thetechniquescanturnareallyhardproblemintoareallyeasyproblem.Buttechniques can'tbeusedoneveryquestion.Therewillbesomelegitimatelytoughquestionsthatcan'tbedonewithPlugIn orBacksolve.Luckily,alotofthosetoughquestionswillbepastyourtargetnumbers,soyou'llneverseethem. Butit'snotunusualforthelastquestioninyourtargetnumberstobealegitimatelytoughnon-technique question.Therefore,ifthelastquestioninyourassignedsetisnotatechniquequestion,andyousee aquestionpastyourtargetnumbersthat'sobviouslyatechniquequestion,youmaydothetechniquequestion insteadofoneofyourtargetquestions.
Thisexceptionisonlyfortechniquequestions.Ifyouseeanon-techniqueproblem-evenifyouthinkyoucan doit-it'snotworthyourtime.Rememberthatoneofthedangersoftheharderquestionsisthepossibilityofa Fool'sGoldchoice,awrongchoicethatlookslikeaneasyanswer.Butwe ' vealreadyseenthatusingthe techniquesactuallyreducesyourchancesofmakingthosemistakes.

Andthisdoesn'tmeanyoucandoalltechniquequestionspastyourtargetnumber�.Remember:thegoaloftarget numbersisdofewerquestions.Yourfirstgoalshouldstillbetodoyourtargetquestionsandonlyyourtarget questions.Butattheendofthesection,ifyounoticeaPlugInpastyourassignment,it'sokaytoswapitwith01:eof yourassignedquestions.
Sohowcanyoutellifyoucanuseatechniqueonaproblem?Gladyouasked.
Thisbearsrepeating.It'squiteremarkable,butasimpleactlikecirclingthequestion-thatis,thethingthey're �ctuallyasking'youtosolvefor�candowondersforyourperformance.
WealreadysawhowitcanhelpyouavoidRTFQmistakes.Circlingthequestionhelpsyourememberwhatthepoint oftheproblemis,andwillclearyourmindoneverythingyou do.Butmoreimportantly,itcanhelpyoudecidewhichtechnique,ifany,isapplicableonaquestion.
Here'sageneralruleofthumb:
If the question asks for a VALUE, try Backsolve. If the question asks for a RELATIONSHIP, try Plug In.
Whileitmayseemliketheyaskyouaboutamilliondifferentthingsonthetest,theyactuallyrepeatthesamekinds ofquestionoverandoveragain.Themorequestionsyoudo,theeasieritistospotthetechniques.
Let'srecapsomecommoncharacteristicsoftheThreeFundamentalTechniques:


Themathtechniques-PlugInandBacksolve-canbeappliedtoalotofdifferent problems.However,thetechniqueswon'tworkoneveryproblem.Weneedtotalkabout content-theactualrulesofmathyouhavetoknowontheSAT.
Let'sbeginatthebeginning,asoneshould.Thischapterdealswiththenutsandboltsthat makeupthebasicrulesofmath.Muchofthecontentinthischapterisn'tdirectlytested somuchasitunderliesmanyoftheharderconceptswe'llseedowntheroad.Youcan't solveequationsdealingwithcomplicatedmulti-variablerationalfunctionsunlessyou knowalittlesomethingaboutfractions.
Sincewe'retalkingaboutthebasicshere,muchofthiswillprobablynotbenewtoyou. Therefore,youmaybetemptedtoskipoverthispart."Thisissoboring!Whydowehave totalkaboutfractions?Wedidthisin,like,seventhgrade!Ihateyou!"
Ah,butit'sbecausethisisstuffwe'veseenbeforethatwemustmakesureweknowitwell. Remember:moststudents'problemisn'tthattheydon'tknowenoughmath;it'sthat they'remissingquestionsthattheyalreadyknowhowtodo.Therefore,we'vegottomake sureweknowallthisstuffbackwardsandforwards.
ScientificNotation:Becausedecimalnumbersarebasedonpowersoften(hundreds,tens,tenths, hundredths,etc),youcanexpressanynumberasadecimalmultipliedbyapoweroften.Sothenumber 43,500becomes4.35x 104 , and0.00S24becomes5.24x 10-3. Thisisjustawaytomakeiteasiertowritereally bigorreallysmallnumbers.Insteadof8,000,000,000wewrite8.0x 109 •
Youdon'thavetoknowmuchaboutthisnotation.SATquestionsmayaskyoutomanipulate

numbersinthisform,butusuallythat'seasytodoonyourcalculator.Justrememberthattheexponentnextto the"10"hasthebiggesteffectonthevalueofthenumber:2x109ismuch, muchbiggerthan9x102
PrimeFactors
Aswesaidabove,integerscanbebrokendownintofactors,andaprimenumberisonethat can'tbebrokendownintofactors.Therefore,aprimefactorisafactorthatcan'tbebrokendownintosmaller factors.Anynumberthatisn'tprimecanbereducedtoauniquesetof primefactors.Andallthatnumber'sfactorsarejustdifferentcombinationsofitsprime factors.
- What are the prime factors of 12?
Allwehavetodoisbreak12upintoanyfactors,thenkeepsplittingupthefactorsuntilwecan'tanymore.
-Weknow3x4=12,so3and4arefactorsof12.
-3isprime,soitcan'tgoanyfurther.
-4isnotprime,sowecanbreakitupinto2and2.
-2isprime,soitcan'tgoanyfurther.

-Sotheprimefactorsof12are3,2,and2.(Becausewefoundtwo2's,welistbothof theminourlistofprimefactors.)
Ifwehadstartedwithadifferentpairoffactors-say,2and6-we'dstill getthesamesetofprimefactors.Allthefactorsof12canbeproducedby multiplyingtheprimefactorstogether:
Thebranchingdiagramshownheremakesiteasytofindtheprimefactorsofanyinteger. Splitupthenumberintoanyfactors.Ifoneofthefactorsisprime,circleit.Otherwise,keep factoring.Ithelpstostartwithasmallprimenumbersontheleft,soyouonlyhavetoexpand thetreeontherightbranch.Thediagramtotherightshowsthattheprimefactorsof180are 2,2,S,3,and3.

Afractionisnothingmorethanonenumberdividedbyanother.Assuch,toconvertafractiontoadecimal,just dividethenumbers.Thetopnumberiscalledthenumeratorithebottomnumberiscalledthedenominator.
3 -=3-i-4=0.75
Youmustknowhowtoadd,subtract,multiplyanddividefractions.
Toaddorsubtractfractions,youmustfindacommondenominator.Thisjustmeansthatyoucan'taddor subtractfractionsthathavedifferentnumbersonthebottom.
3 2 3x3 4x298 1 ---=-----=---=-
433x44x3121212
Tomultiplyfractions,youdon'thavetodoanypreparation.Justmultiplystraightacross:topxtop;bottomx bottom.
23(2 X3)61 -x--------
94(9 X4)366
Noticethatouranswercouldbereducedbecausethetopandbottomhadacommonfactor.Wealsocould havetakenoutthecommonfactorsbeforewemultiplied:
1 1 ,2'31'3..1111 -x-=-x---x-=---9ft''9...232(3x2)6 2 3
Todividefractions,youmusttakethereciprocalofthesecondfraction,andthenmultiply."Reciprocal"just meanstoflipthefractionover.
323,Y313 - : ---X---X-=105Nl.2224 2
Acompoundfractionisoneinwhichthenumeratorand/ordenominatorcontainfractions.Thisisequivalent todividingfractions.Remember:fractionsjustmean"divide".
4 1/3 1/2 - =- : -=-X-=11122 32313
Ifyoueverwanttocombineafractionwithawholenumber,rememberthatanywhole

numbercanbewrittenasafractionwithanumeratorof1:
Whenmultiplyingawholenumberbyafraction,thismeansthatthewholenumbercanmultiplystraightacross tothenumeratorandcancanceloutdirectlywiththedenominatorofthefraction:


Whenaddingorsubtracting,it'sbesttowriteinthedenominatorof1underthewholenumbertohelpfind thelowestcommondenominator.
Whenthenumeratorislargerthanthedenominatorlikethis,wecallthatanimproperfraction.Amixednumber containsawholenumberandafraction.
(Mixednumber) 4
(Improperfraction)
Manipulatingfractionsisalostart.Withtheadventofcalculators,alotofproblemsthatusedtorequire knowledgeoffractionscannowbedonequicklywithdecimals,sincefractionscanbeeasilyconvertedto decimalsonyourcalculator.
That'sfine.We'reallfordoingproblemsquickly.Butdon'tforgetaboutfractions.Often,usingfractions effectivelycanactuallymakeaproblemfasterthantypingtheproblemoutonyourcalculator.
-Firstofall,sometimesyou'renotallowedtouseacalculator,remember?
-Secondly,somefractionsbecomerepeatingdecimals,sothecalculatorwillgive approximateanswers-thiscanbedeadlyifyouhavealongcomputation.
-Third 1 youmustbecarefulofparentheses.Ifyoutrytodo(1/3)-:-(1/2)bytypingin "1-:-3-:-1-:-2'�you'llgetitwrong.Youmusttype"(1-:-3)-:-(1-:-2)':
-Fourth,usingfractionsisofteneasierthanitseemsbecauseyoucanoftencancelout commonfactors1 thusturninghardmathintoeasymath.

Aratioisjustarelationshipbetweentwoormorequantities.Ratiosare_usuallyexpressedasfractions1 butthere aremanywaysofdescribingthem.Allofthefollowingmeanthesamething:
Theratioofboystogirlsis2:3.
Theratioofboystogirlsis� 3 .
Takealookatthisproblem:
Theratioofboystogirlsis2to3.
Therearetwoboysforeverythreegirls.
- A recipe calls for 3 cups of sugar for every 7 cups of flour. If Bill uses 28 cups of flour, how many cups of sugar should he use?
Youcansetthisupastwofractionsequaltoeachother1 thensolvetheequationbycrossmultiplying thetermsacrosstheequalssign.
xsugar3 sugar28flour 7flour

7x=28 X 3
7x=84
x= 12
Theonlytrickythingaboutratiosisthatyoumustmakesureyourunitsmatch.
- A certain park contains only maple and elm trees in a ratio of 2 to 3, respectively. If there are a total of 40 trees, how many maple trees are there in the park?
Youmaybetemptedtosetuptheratiolikethis:
X xmaple2maple 40totaltrees3elm
Butlook:theunitsinthedenominatorsdon'tmatch.Theleftratiois"maple"to"totaltrees"1

buttherightratiois"maple"to"elm".That'sbad.
Luckily,wecanfixtherightratiorathereasily-justadd.Ifthereare2mapletreesand3elmtrees,then thereare5totaltrees.Sothereare2mapletreesforevery5totaltrees; ✓xmaple2maple
40totaltrees5totaltrees
Nowwecancross-multiply:
5x=2x40
5x=80
x= 16
Toavoidmismatchingunits,always writethefractionwiththequantity you'relookingforFIRST.Thenset upasecondfractionwithmatching units.
Onceagain,circlingthequestionwillhelpyouonratioproblems.Here,thequestionis"Ifthereareatotalof40 trees,howmanymapletreesarethereinthepark?"Thattellsustheratiowe'relookingforis"maple"to"total trees'�soweshouldsetupourfractionsusingthoseunits.
Ratiosliketheonesabovearealsocalleddirectproportions.Itjustmeansthatonequantitydividedbythe otheralwayscomesouttothesamenumber,sowecansettwofractionsequaltoeachother.Sayingone quantity"variesdirectly"withtheothermeansthesamething.
DirectProportionx=cy X -=c y

Inadirectproportion,thevariablesgointhesamedirection:asthevalueofxgoesup, thevalueofyalsogoesup.*Forexample1 considerthedirectproportion.=-=!: y 2
X yx/y=0.5
121+2=0.5
242 + 4=0.5
363+6=0.5
Asxincreases(1,2,3,...), yalsoincreases(2,4,6,...)
Ontheotherhand,youmayalsoencounter"inverseproportions':Thatmeansthatonequantitymultipliedby theotheralwayscomesouttothesamenumber,sowecansettwoproductsequaltoeachother.
InverseProportionxy= C


Inaninverseproportion,thevariablesgoinoppositedirections:asthevalueofxgoesup, thevalueofygoesdown.Forexample,considertheinverseproportionxy=12. X y 112 26 34 xy=-12
1 X 12=12
2 X 6=12
3 X 4=12
Asxincreases(1,2,3,...), ydecreases(12,6,4,...)

OneofthemorecommonquestiontypesontheSATinvolveconversionofunits.Forexample:
- How many inches are in 3 feet? (1 foot= 12 inches)
Thisoneisprettyeasy.Mostofyoucanprobablyintuitivelyseewejustmultiply3by12toget36.
Butwecouldalsowritethisasmultiplicationoffractions:
3feetx(12--lfootinches)=36mches
Thatmayseemlikeunnecessarysetuphere1 butitshowsuswhywemultiplyby12instead ofdividingby12.Whenwetalkedaboutmultiplyingfractions1 wesawthatwecancancel outcommonfactorsacrossthetopandbottomofafraction:
Unitscanbecancelledoutjustlikenumberscan.The"feet"inthefirstnumbercancelsoutthe"feet"inthe denominatorofthesecond:
-

Thisbecomesimportantwhenwewanttodomorecomplicatedconversions:
- How many seconds are there in 2 days? 1day1hour2daysx(-24h-ours)x(60---minutes)x(60seconds1.mmute)=2x24x60x60seconds=172,800seconds
Setupthefractionssothattheunitsyoudon'twantgetcancelledout.Dothatbymakingsurethoseunits appearbothinthetopofonefractionandinthebottomofanother. Thesameprincipleappliestoquestionsaboutrates:

- If Molly can bake 3 pies in 2 hours, how many pies can she make in 10 hours?
Thiskindofquestioncanbesetuplikearatio,aswesawearlier: 3piesxpies2 hours10hours
Butifwetakethisequationandmultiplybothsidesby10hours,we'llseeit'sthesamesortofproblemas aunitconversion:
10�sx(;_;:;s)=xpies=5 x3pies= 15pies
It'seasyenoughtosolvethisparticularquestionbycross-multiplyingtheratio.Butratequestionscan getmorecomplicated:
- Janelle is using a copy machine to make books for her class. Each book contains 120 pages, and the machine �an copy 100 pages per minute. How many hours will it take her to make 300 books?
That'salotofrates.Herearealltheratesweknow: lminute lbook 120pages l00pages
Let'sfocusonthequestionitself: 60 u min lhourtes
- How many hours will it take her to make 300 books?
Basicallywewanttoconvert300booksintohours.Sowe'llstartwith300booksandwe'lladdonrates untilwegettohours.
Doweknowanyratesthatuse"books"?Yes,1bookhas120pages:
300_.!)66ks X }20;:IS lb
Don'tdoitoutyet.Let'sfindalltheratesfirst.Nowthebookscanceloutandwe'releftwithpages.Dowehave anyratesthatuse"pages"?Yes,100pagesin1minute.


Thepagesca°:celoutandwe'releftwithminutes.Nowwejusthavetoconvertminutesto hours:
300Jx{oksx 120p�x �x 1hour 1� lOOpa� 60¥
We'releftwithhours.That'swhatwewant!Great!Nowthattheunitsarestraight,let'signoretheunitsand trytocanceloutsomecommonfactorsinthenumbers:
Itmaytoughtoseehowtosetupthatonebigexpressionatthebeginning.Butwedon'thavetobeabletoseethe end;wecanjustaddonratesandkeepconvertinguntilwegettotheunitswewant.

Bynow,weshouldallatleastbefamiliarwithpercents.Thesimplestwaytodopercentsisbypuredivision.
8 is what percent of 32?
Allyoudoisdivide1 thenmultiplyby100:
8 -=0.25 32 0.25X100=25%
Doyouwanttoknowasecret?Percentsarereallynothingmorethanglorifiedratios.Percentliterallymeans "outofonehundred':Soyou'rejustconvertingaratiointoanotherratiooutof100.Thisproblemisthesame thingascross-multiplying:
8X -=32100
"8outof32"isthesamethingas"25outof100'�or25"percent':
Ofcourse1 percentproblemsontheSATcangetmorecomplicatedthanthat.We'vedevisedthefollowing tableforpercentproblems:
Wheneveryouseeoneofthewordsintheleftcolumn1 writethecorrespondingsymbolintherightcolumn.If youseeanumber1 justwrit�thenumber.Forexample:
12 is 40% ofwhat number?
becomes40 12=-xn 100
Youknow,alotofstudentsfreakoutaboutwordproblems.Butreally,thelanguageweusetodescribe problemsisexactlythesamestuffasallthesignsandsymbolsweuseinequations.Soaslongasyoucan speakEnglish1 youcanwriteequations;thewordsmeanexactlywhatyouthinktheymean.

Theadvantageofusingthetableisthatitmakespercentproblemsautomaticandrobotic.Yoticangodirectlyfrom wordstoanequationwithoutthinkingaboutanything.
Thereareothersimilarwaysofdoingpercentproblems(someofyoumayknowthe"is-overof"method),butthis tableisparticularly�ffectiveonharderSATproblems.Takealookatthisproblem:
- If 25 percent of 12 percent ofs is 18, s = ?
Thiscanbereallynastywithotherwaysofdoingpercents.Butwiththetable,wedon'tcare.Doitrobotically; whenyouseeaword,writeitssymbol.Sothisquestionbecomes:
25 12 -x-xs=18
100 100
Nowwehaveaone-variableequationandwecansolvefors.Wedidn'thavetothinkaboutathing.Theequation camealmostinstantly.
Here'sanothertoughie: 1 - Ifx is 2 percent of 600, x = ?
Oh,wellhalfof600is300.Right?
WRONG!Itdoesn'tsayxishalfof600;itsaysxisone-halfpercentof600.Thatis,halfofonepercent.RTFQJ
Withthetable,wedon'tmakethismistakebecausewejustwritewhatwesee:
X= x600 100
Becausewearen'tthinkingabouttheproblem-we'rejustautomaticallywritingdownwhatweread-we're muchlesslikelytomaketheRTFQ

Apercentincreaseordecreasejustmeans:
The amount of the change is what percent of the original amount?
Or:
- Joe made 150 dollars last week and 180 dollars this week. What was the percent increa�e in hi� p�y?
Inthisproblem,theamountofthechangeis30(that's180-150)andtheoriginalamountis150.Sothe questionis"30iswhatpercentof150?"Nowwecanjustusethetabletosetup anequation:
30=�xl50 100
Youcanalsothinkofpercentchangeasjustthechangedividedbytheoriginal.
301 20 0 -=-=0.2==201/o 150 5 100
Thereareseveraldifferentwaysofexpressingapercentincrease.Inthisproblem,we'resayingJoereceived 20%morethanthepastweek.Butforsomeproblems,itmaybeusefultowriteapercentincreaseinadecimal expressionintermsoftheoriginal.
Here,there'sa20%increaseovertheoriginal,whichweseecanalsobewrittenasthedecimal0.2.That20% wasaddedtotheoriginalamount,sothenewpriceis120%oftheoriginal,or1.2timestheoriginal.Inthis form,insteadofusingthechange,we'resaying:
The newamountIswhatpercentoftheoriginalamount.
180=�xl50 100 or 180 =�=1.2=120 150 5 100 or 120%

Exponentstellyouhowmanytimestomultiplyanumberortermbyitself.Thenumberthatisbeingmultipliedis calledthe"base".Givinganumberanexponentisalsocalledtakingittothat"power".
Hereareafewdefinitionsandpropertiesofexponentstoremember:
- Anexponenttellsyouhowmanytimestomultiplyanumberbyitself.
52 = 5 X 5 h4 = h X h X h X h
-Anegativebasetakentoanevenexponentwillbecomepositive. Anegativebasetakentoanoddexponentwillstaynegative.
(-2)2=(-2) X (-2)=4 (-2) 3 =(-2) X (-2) X (-2)=-8
-Whentakingapositivefractiontoapower,theresultissmallerthantheoriginal number.
-Anegativeexponentisthesameasthereciprocalofthebasewithapositive exponent(thatis,1dividedbythenumberwithapositiveexponent). -31 X =X3

-Anynumbertothezeropowerequalsone. x0=1
-Arootistheinverse(theopposite)ofitscorrespondingpower.Asquarerootisthe inverseofasquare,acuberootistheinverseofacube,thefourthrootistheinverse ofthefourthpower,etc.Thatmeansthatdoingbothatthesametimewillcancel themout. J;x..Jx=x N=x


-Afractionalexponentisthesameasaroot. I x2 = ✓x




Onexponentproblems,it'sespeciallyimportanttopayattentiontowhat'sinsideandoutsidetheparentheses.
Ifanexponentisnexttoparentheses,itappliestotheentireexpressioninsidethe parentheses.
Iftherearenoparentheses,theexponentappliesonlytothenumberorvariableright
(ab)2 :Bothaandbaresquared. nexttoit.
Onlybissquared,nota. Onlyxissquared.
-(2x)2 :2xissquared.Thisequals-4x2 •
(-2x)2 :-2andxarebothsquared.This equals4x2 •
Thereareafewrulesfordealingwithexponentialnumbersthatyoushouldknow:
1. To multiply exponential numbers with the same base, add the exponents.
25 X 23=25+3=28
2. To divide exponential numberswith the same base, subtractthe exponents.
�=2S-3 =22 23
3. To raise an exponential number to another exponent, multiply the exponents.
(25)3=25x3=215
Notethatforthese rules,thebasedoes notchange.
WARNING:Youcanaddvariableswiththesameexponent,butyoucannotaddbaseswithdifferentexponents:
OK: 2x2 +7x2 = 9x2
WARNING:Alltheserulesonlyapplytoexponentialnumberswiththesamebase.Ifyou'regivenexponential numbersindifferentbases,trytogettheminthesamebase.

Ifanequationhasvariablesinitsexponents,youcanusuallysettheexponentsequaltoeachother.
If 2 a+10 = 2 30 , then a= ?
Bothsidesoftheequationhavethesamebase,sowecanjustsettheexponentsequaltoeachother:
a+ 10=3a 10= 2a S=a
Ifwe'regivennumbersthatdon'thavethesamebase,weshouldtrytoputtheminthesamebase:

If 3 x = 9 5 , then x = ?
'Wecan'tjustsetxequalto5becauseonebaseis3andtheotheris9.Butlook:9isapowerof3. Ifwerewrite9as32 , we'llhavethesamebaseonbothsides. x= 10


Theabsolutevalueofanumberisitsnumericalvaluewithoutitssign.Thatmeansthatnegativenumbersbecome positiveandpositivenumbersstaypositive.
1s1=s I-SI=s
Whenyouwanttocomputeexpressionswithabsolutevalue,dowhateverisinsidethelinesfirst,thenstripaway anynegativesbetweenthelines:Let'slookatanexample:
110-81-15-111
110-s1-1s-111
=121- l-61
=2-6 =-4
a variableTakealookatthis:
lxl =7
First,dothestuffinsidethelines.
Now,stripawaythenegativesinsidethelines,so-6 becomes6.
Thevariablexisinsidetheabsolutevaluelines,anditsabsolutevalueis7.Therearetwopossiblesolutions:
-Etherx=7andtheabsolutevaluekeepsitpositive7,
-orx=-7andtheabsolutevaluestripsitsnegativetomakeitpositive7.
Thekeytoabsolutevalueproblemsis:DON'TFORGETABOUTTHENEGATIVES.
- If In -121 =7, what is one possible value ofn?
If In -121=7,thenwehavetwooptions:
12 =7 n- or n-12=-7
n= 19 n=S
It'ssometimeshelpfultothinkofabsolutevalueasdistance:Theabsolutevalueofadifference

givesthedistancebetweenthetwopoints.Thatis:
IPointA-PointBI=distancebetweenpoints
Asimplesubtractionwillalwaystellusthedistance.Ifwewanttofindthedistancebetween19and12,we'd subtract19-12.ButifwewantthedistancebetweenSand12,subtractingS-12givesus-7,andwe generallydon'tliketousenegativedistances.Thenicethingabouttheabsolutevalueisthatitgivesusthe distanceineitherdirection.
Intheproblemabove,theexpression"In-12I=7"means"pointnisadistanceof7awayfrom12".Thatis,nis either7morethan12or7lessthan12.

Soanytimeyouhaveaproblemthatasksyouforarangelikethis,justrememberthisexpression:
!variable-midpointI<halfthetotalrange


Thischapterdiscusses.thebasicsofwhatwegenerallycallalgebra:solvingequations,substitutingvalues,andall sortsofotherfunstufflikethat.Ofcourse,intherealworldthere'salotmoretoalgebrathanwhat'sinthis chapter.We'llseesomemorecomplicatedproblemsinthenextchapter.Butagoodgroundinginthebasicsof algebraisnecessarytomoveontothenimblerbits.
Whilethischapterwillshowyouhowtosolvevarioustypesofalgebraproblems,don'tforgettheMath Techniques!PlugInandBacksolvewerecreatedtohelpyouavoidalgebra.OverhalfoftheHeartofAlgebra problemscanbedonewithtechniques,morethananyotherquestiontype.Sotheyshouldalwaysbeinyour mind,andyourheart.
Obviously,problemsthatareswimminginvariablesaregoodcandidatesforbothtechniques.Ifaquestionhas variablesinthechoices,itdoesn'tmatterwhattheirvaluesare,sowecanusePlugIn.Ifaquestionasksyoufor thevalueofavariable,youcanuseBacksolveandtestthechoicesforthatvariable.
Youwillstillneedtolearnsomealgebra;thetechniqueswon'tworkoneveryquestion,andonsomeproblems techniquesarepossiblebutalgebraisfaster.Inthischapterwe'regoingtoemphasizealgebraicsolutionsover techniquesolutions.Butdon'tforgetthatthetechniquesareheretohelpyou.

Mostoftheexamplesabovewereexpressions,notequations.Thatjustmeansthattheyhavenoequalssign.Buta lotofalgebrainvolvesequations.Whenanequationhasonevariableinit,therewillusuallybeonlyonevaluefor thevariablethatmakestheequationtrue.
- If 3x+ 5 =23, x =?
Youcansolveanequationbygettingthevariablebyitselfononesideoftheequation.Thatmeans wehavetomoveallthestuffnextthextotheothersideoftheequalssign.Youcandothisbydoingthe oppositeofanythingyouseetobothsidesoftheequation:
3x+5=23
3x+S-5=23-5
3x= 18
3x 18 33 x=6
Tomove"+5'�subtract5frombothsides.
Tomove"x3'�dividebothsidesby3.
This,myfriend,istheheartofalgebra:togetxbyitself,dotheoppositeofanythingyouseetobothsides.We'll seemorecomplicatedconcepts,ofcourse,butthisisprettymuchit.Sometimesanequationmayseemmore complicated,butjustremembertodotheoppositetogetridofsomething:
.Jx-3 - If ---=4,x=? 2
.Jx-3 =4
.Jx-3 =8
x-3 =64
Toremove"-;-2",multiplybothsidesby2.
Toremovethesquareroot,squarebothsides. Toremove"-3'�add3tobothsides. x=67

Howdoyouknowwhichoperationstodofirst?Thinkofanequationasapackagewithmanylayersofribbons, wrappingpaper,andboxes,andthevariableisyourbirthdaypresentinsidethepackage.*Tounwrapthe package,you'vegottostartwiththeoutermostribbon,thenthewrappingpaper,thentheboxunderneath. Eachlayeryouremoveiscoveringallthelayersbelowit.
Whensolvinganequation,startwiththeoperationsthatapplyto�verythingelseonthatsideof theequation.Inthefirstequationabove,3x+5,the"x3"onlyappliestothex)not the5.Butthe"+5"appliestoeverythingbeforeit,sowestartthere.Inthesecondequationabove,thesquare rootonlyappliestothe"x-3'�nottothe2.The"+2"appliestoeverythingelseonthatside,sowestartthere.
x in terms ofy
Noteveryalgebraproblemwilljustdealwithnumbers.Observe:
- Ify = Sx + 3, what is x in terms of y?
Rightnow,theequationgives"yintermsofx".Thatmeanstheequationdefinesyand usesx'sinitsdefinition:yisbyitselfononesideoftheequation,anditsvalueis5x+ 3.Butwewant"xintermsofy':Thatmeansthatwewanttogetxbyitselfononeside oftheequationandnothingbuty'sandnumbersontheotherside.Wedothisexactly thesamewaywesolvedforxabove.Butnowinsteadofanumber,ouranswerwill haveabunchofy's.
y=5x+3
y-3=5x+3-3
y-3 = Sx
y-3 5x = 5 5

Subtract3frombothsides.
DividebothsidesbyS.
Manyquestionsthat askfor"xintermsof y"canbedonewith PlugIn.
Studentsoftengetconfusedabouthowtodealwithfractionsinalgebraproblems.Evenifyouhavenotrouble dealingwithfractionsthathavenumbers,theycansuddenlybecomedifficultwhentheyhavelettersinstead. Solet'stakeaminutetotalkaboutthedifferentwaystheycanshowup.

,First,afractionmayshowupasthecoefficientofavariable.Forexample: 2 x= 10 2 -x=lO 3 2x=1QX3 2x=30 x=l5

Afasterwaytodoitistoseethatitsimplymeansxtimes2/3.Tosolvef�rx,wecandothe oppositeanddivideby2/3.Dividingbyafractionisthesamethingas.multiplyingbythe reciprocal.So: 2 -x=lO 3 x=5x3 x = 15

Thesameprinciplesholdtruewhetherthefractioncontainsvariablesornumbers: ab=dc



Okay,sowhatdoyoudoifthevariableisinthedenominatorinsteadofthenumerator?
Whenavariableismultipliedbyafractionlikethis,youcanthinkofthevariableasbeinginthenumerator ofthefraction.Thatway,youcanseehowtobreakdownthestepstosolveit. x 18=6, x=?
Wewanttogetthevariableintothenumeratortosolveit.Howdowedothat?Let'sdothesamething!If somethingisonthebottom,multiplytogetittothetop.
� x=6.

18=6x 3=x
Thisprocesshasalotincommonwithcross-multiplying,amethodwesawwhenweweresolvingratio questionsintheFundamentalschapter.Ifweimaginethat6isactually6/1,wecanseethisisjusttwo fractionsmultipliedtogether:

Whentwofractionsaresetequal,wecancrossmultiplytosolve.Infact,wecaneventakeashortcut. Thetopofonesideandthebottomoftheothercanswitchplaces:
Allthesesituationssofarhaveinvolvedonlymultiplyinganddividing.Thingscangettrickierwhenaddition andsubtractionareinvolved.
Thefirstthingtokeepinmindistobecarefulwhensimplifyingfractions.Rememberthatwecancrossout commonfactorsfromthetopandbottomofafraction: 3x10 3x5
Butyoucanonlydothiswithmultipiication.Takealookatthisexpression: 2x+6 6
Itisverytemptingtotrytocanceloutthe6inthedenominatorwiththe6onthenumerator,leavingus with 2x.Thatisnotallowed.Whynot?Becausethe6onthebottomisbeingdividedintothesixonthe topandthe2x.Ifyoucancelitout,the2xdoesn'tgetthatsweetdivision.
Youcansplititupintotwofractions,eachdividedby6.Thenyoucansimplifyeachfraction:

Splittingthisfractionintotwofractionsissimplytheoppositeofwhatwenormallydowhenweadd fractions:
Noticethatinthealgebraproblemabove,wedividedeachofthetermsin2x+6by2.Wecouldalso pulloutthat2firstbyfactoringthenumerator.Thenthenumeratorwillbetheproductoftwothings: 2and(x+3).Soyoucandividethe2outofthetopandthebottom:

Notethatyoucanonlysplitupnumeratorsthisway,notdenominators.So -.
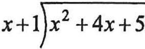
x+3
CANNOTbesplitinto 2-+2.. Denominatorsmustremaintogether.There'snowayyou X cansimplify-x+3
Okay,sowhatdoyoudoifyouhavevariablesinthedenominatorandyouwanttoaddfractions?
3 4 - -+- =? X y
Rememberwhenweaddedfractionsbefore?Wejusthavetofindacommondenominator.Asbefore,the easiestwaytofindoneistomultiplythetwodenominatorstogether.Inthiscase,that'sxy.Sowe'llchange eachfractiontohaveaxyonthebottom:

Finally,rememberthatyoucantreatanentirenumeratorordenominatorasasingleunit.Observe:
- If Y =5, what is yin terms ofx?
Togetyintermsofx,weneedtogetybyitself.Todothat,wesimplymultiplybothsidesbyxtogety=Sx. Fine.Butwhataboutthis: 3x+20
- If___ y =5, �hatis yin terms ofx?
Aswesaw,wecannotsplitthedenominatortomaketwofractions.Butwecantreat thatwholedenominator,"3x+20•:asoneentityandcrossmultiplyitjustlikewedidbefore.
y=5(3x+20)
y=lSx+100

Oftenquestionswillaskyoutowriteyourownequationsorexpressions.Youmaynotevenhavetosolvethem; they'rejusttestingyouifyouknowhowtosetthemup.
- Ifxis 3 less than twice y, what is xin terms of y?
HerewejusthavetoreadthequestionandtranslatetheEnglishwordsintomathematicalexpressionor algebraicequations.Let'stryit: Words
Therefore:"xisthreelessthantwicey"meansx=2y-3.
Translationproblemscanoftenbedonewithtechniques.Inproblemslikethis,it'softenmucheasiertousereal numbersandbypasstheequationsaltogether.WesawatonofquestionslikethisintheMathTechniques chapter,remember?
Bob has 4 dollars more than Lisa does. If Lisa hasx dollars, how much would Bob have if he doubled his money?
14. Ifx+ 5 is 3 less than y, then x-2 is how much less than y?
TI1ere'saspecialsubsetoftranslationquestionsinvolvinglinearequations.Alinear equationisanequationthatcanbedrawnasalineonthexy-coordinateplane.In algebraictermsthatmeans:
•Ithastwovariables,usuallyxandy.(Ifit'sanexpressioninsteadofanequation,itwilloftenhavejust onevariable.)
•Neithervariableistakentoanypowerotherthan1.Thatis,theydonothaveanyexponents1 norare eitheroneinadenominatorofafraction.
WeseethatthistypeoffunctionshowupatonontheSAT;that'swhattheHeartofAlgebracategoryisallabout. Butit'snotenoughjusttobeabletoevaluateorsolvethem.Wehavetounderstandhowtheywork.Forexample:

- There are too many goats in the basement. Dad pays you a flat fee of $200 (for being brave enough to go down there at all) plus $50 for every goat you catch. Write an expression for the total amount of money you'll get if you catchxgoats.
Apaymentsituationisaclassiccontextforalinearfunction.There'saflatfeethatyougetnomatterwhat youdo,andaratethat'sdependentonhowwellyoudo(howmanyhoursyouwork,howmanythingsyou sell,howmanygoatsyoucatch,etc.)
Let'sPlugIntoseehowthisworks.Sayx=3,soyoucatch3goats.You'llget$200plus3times$50.
200 + 50X3=200 + 150=350.
Nowlet'ssayx=10,soyoucatch10goats.You'llgetthat$200plus10times$50.
200 + 50X10=200 + 500=700.
Followingthatpattern,foreveryxgoatsyoucatch,youget
200+50x
That'sanexpression,notanequation.Ifwewantanequation,we'lljustsetitequaltosomething:
y=200+50x
Theyrepresentsthetotalmoneyyougetforeveryxgoatsyoucatch.
Thisisbasicallyhowalllinearfunctionswork.There'sanumberyoumultiplybyavariablethat'sthe rate-andanumberyouaddtoorsubtractfromit-that'sthestartingpoint.
- The equation g = 350 - 6h shows how many goats are remaining in the basement after you work for h hours. How many goats do you catch each hour?
Whatdoyouthinkthesenumbersrepresent?Likebefore,there'sanumberbyitselfandanumberwitha variable.Likebefore,theyrepresentastartingpointandarate.Thestartingpointisthenumberbyitself.The rateisthenumbermultipliedbythevariable-inthiscase,howlongyouwork.Thefinalanswer,g,isin termsofgoats.Therefore,

• 350mustbetheinitialnumberofgoats,and
• 6 mustbethenumberofgoatsperhouryoucatch..
Thekeytothissortofquestionisthatyoumustunderstandthemeaningoftheequation,andwhateachterm represents.Butbecausetheseequationssooftentakethesamelinearform1 themoreyouseethemtheeasierit'll betopickup.

Sofarwe'vebeendealingwithasingleequationatatime,butsomeproblemsmaygiveyoumultipleequations withmultiplevariables.Thereareseveralwaystodealwiththem:
Oftenthemoststraightforwardwaytosolvetheseproblemsis substitution. Forexample:
- Ifa= 3x-6, and Sx+ a= 10, thenx= ?
We'regiventwoequationswithtwovariables, xanda. Noticethatthefirstequationhas aononeside oftheequationbyitself.Since"a"isequivalentto"3x-6",wecansubstitute "3x-6"intothesecondequationwhereverweseean"a".
Sx+a= 10
Sx+(3x-6)= 10
Bx-6 =10
Bx= 16 x=2
Tryanother:
- Whenx+ y= 4, what is the valu� of S(x+ y) - 6?
Itmightseemlikewehavetosolveforxoryindividually,bµtwedon't.Thefirstequationgivesavaluefor" x + y",andthesecondequationalsocontains" x +y".Sowecansubstitute4forthatwholeexpression:
S(x+y)-6 =5(4)-6=20-6 = 14
Ifaproblemhastwoormorevariablesinit, don'tforgetthetechniques. Beingabletosolveintricatealgebra problemsisagoodskilltohave,butPlugInandBacksolvecanhelpturncomplicatedproblemsintosimple ones.
Othertimes,itmaybeeasiertoaddorsubtracttheequationsdirectly.Observe:
Sx+2y= 10
6x-2y=23
34. According to the system ofequations above, what is the value ofx?

Hereit'snoteasytosubstitutebecausewe'dhavetodoalittlebitofmaneuveringthegeteitherquestioninterms ofasinglevariable.Ugh.Butlook!Noticethattheywrotethetwoequationssothatthex'sandy'slineup.That's notanaccident.Theydidthattohelpyou:Andlook:oneequationhasa2yandtheotherhasa-2y.Ifweaddthe equationsthe2y'swillcancelout.
5x+2y= 10
+
6x-2y=23
llx=33 x=3
Systemsdon'talwaysworkoutsobeautifully.Sometimesyouhavetoworkforit:
2x-7y= 15
4x-2y= 18
35. According to the system ofequations above, what is the value ofx?
Nowwecan'tjustaddorsubtracttheequationsbecauseneithervariablewillcancelout.However, wecanchangeoneoftheequationssothattheywilLLet'smultiplythefirstequationby2:
2(2x-7y)=2(15)
4x-14y=30
Nowbothequationsstartwith4x.Lasttime,onetermwaspositiveandtheothernegative,so addingthemmadethemcancelout.Thistime,sincebothtermsarepositive,let'ssubtractthem.
4x-14y=30
[4x-2v= 18 . -12y=12 ] y=-1
Butwait!Don'tstop!We'renotdoneyet.That'sy.Wewantx.RTFQButgettingxiseasynow.Justputy=lintoeitherequationandsolveforx.
2x-7(-1)=15
2x+7=15
2x=8 x=4
4x-2(-1)=18
4x+2=18
4x=16 x=4
Whensolvingasystem,weoftengivevaluesofbothvariablestogetherasanorderedpair(x,y). Sothesolutiontothisproblemis(4, -1). Ifasystemcontainstwolinearequations,

therewillbeonepairofvalues-andonlyonepair-thatsolvethesystem:-onevalueforxandoneforythat togetherworkinbothequations.Youcanthinkofthetwoequationsasstraightlinesinthexy-coordinateplane. Theywillcrossatonepoint,andthatpoint (x1y)willbethesolutiontothesystem.(We'lltalkmoreaboutthecoordinateplanesoonenough...)
However,notalllinescross.Lookatthissystem:
2x-3y= 16
4x-6y= 32
Okay,let'sjustmultiplythefirstequationby21 andweget:
4x-6y=32
4x-6y=32
Hey,waitaminute.Thesecondequationisthefirstequationmultipliedbytwo.Thesearethesame equation.It'snottwolines;it'sthesameline,writtentwice.Soanypairofvaluesthatworkforthesecond equationwillalsoworkforthefirstequation.Sothereareinfinitely manysolutions.
Similarly,lookatthissystem:
3x+ y= 10
6x+2y= 14
Let'smultiplythefirstequationbytwosothey'scancelout:
6x+2y=20
- 6x+2y= 14
0=6

Takealookatthisproblem:
- If4x - 3y = 13 and x+ 2y= 3, then Sx-y = ?
Therearesomeverypainfulwaystodothiswithnormalalgebra.Youcouldtrytosolveoneequation(orx,then substituteyouranswerinforxintheotherequation,solvefory,thenputybackintothefirstequationandsolve forx,thenstickxandyintotheexpressionthey'reaskingforandyou'redone:

Ugh.Imean,wecoulddoit,butitisn'tfun.Noonewantsthat.
Waitaminute-takeanotherlookatthisquestion.
- If4x- 3y= 13 and x + 2y= 3, then Sx-y= ?
They'renotaskingyouforxoryindividually;they'reaskingforanexpression:Sx-y.Insteadofsolvingfor xory,let'strytosolvedirectlyforSx-y.
Tomakeiteasier,let'swritetheequationsontopofeachothersothexandyvalueslineup:
4x-3y= 13 + X . + 2v= 3
5x-y=16

Inequalitiesworkjustlikeequationsforthemostpart.Youcansolveforvariablesjustlikeyoudowithequations. Theonlydifferenceisthatifyoumultiplyordividebyanegativenu�ber,youhavetoflipaieinequality.
Permitustodemonstrate:
7-3x> 16
7-3x;_7 > 16-7
-3x>9
-3x 9 -<-3 -3
x<-3
(-Watchouthere.Thisiswherethesignflips.
Morecomplicatedinequalityquestions-particularlythoseinvolvingmultiplevariables-areoftendifficultto solvewithalgebraicmanipulation.Don'tforget:techniqueslikePlugInandBacksolveareheretohelp!


Phew!Sowejustdidalotofalgebrainthelastchapter.Butwhatifwedid...morealgebra?Wouldyouliketodo morealgebra?Ofcourseyouwould.
ThestupidlynamedPassporttoAdvancedMathquestionsarebasicallyjustFancyAlgebraquestions.You're goingtoseealotofvariablesandequationsjustlikewe'vealreadyseen.Thebiggestdifferenceisthatthis chapterwillhaveequationsandexpressionsthatarenotlinear.Thatmeansyou'llseesomeexponents,some polynomials,somequadraticequations,andtonsoffunstufflikethat.(You'llalsoseesomegraphingonthese questions,butwe'llsavethatforaseparatechapter.)
We'regoingtotalkalotaboutalgebraicmethodshere,butpleaserememberthatalotofproblemsthatseem liketheyneedalgebracanalsobedonewithourmathtechniques,PluginandBacksolve.Don'tforgetabout thetechniques!!
Lookatthis:
52
Whatdoesthatmean?Duh.Obviously:
52=5X5
Thelittle"2"tellsustomultiplythebignumbertimesitself.Weallknowthat. Similarly:
72 =7x7 {-23)2 =={-23)x{-23)
y2=yxy
D2 =DxD
PASSPORT TO ADVANCED MATH (donkey)2 =(donkey) x (donkey)

Thisshouldnotbenewstoyou.Anytimeyouseealittle"2"nexttoanything,multiplyitbyitself.
That'safunction.It'sasymbol(the"2")witharuleattachedtoit(multiplybyself).Everythingwedoinmathisa kindoffunction:asymbolwitharuleattachedtoit.
Wecanmakeupourownfunctions.Butinsteadofusingasymbollikethelittle2,we'llusetheletterf:
j(x) = 2x + S
Thexhereisjustaplaceholder;it'savariablethatstandsforanynumber,anexampleofhowtousethe function.Justasthelittle"2"meant"multiplythenumberbyitself':thefheremeans"multiplyby2andadds•:
Thatmeans: and: therefore: so: also: aswellas plusthis: thistoo: ergo: thus: whynot: onemore:
f(2)=2(2) + S
f(3)=2(3) + S
f(l8) =2(18) + S
J(1979):::::2(1979)+S
j(y) =2y + S
J(q) =2(q) + S
j(g(k)) =2(g(k)) + S
J(omg)=2(omg) + S
j(n) =2(n) + S
j(x2 + 1) =2(x2 + 1) + 5
J(©) =2(©) + S
f(flu.ffybabypandabear)= 2(jlu.ffybabypandabear)+5
Getthepoint?"f(x)"doesn'tmean"multiplyfbyx".Thefisn'tavariable;it'sthenameofafunction.Whatever youseenexttothef,stickitinforxin2x+5.
Wecandoalotwithfunctions,butitallcomesdowntosubstitution:
Take whatever you see inside the parentheses and stick it In for x.
- If/(x) = 3x + 4 and g(x) = x2 what is the value of/(g(3))?
We'regiventwofunctions,f(x)andg(x),andwehaveequationsforboth.Thismayseemscary, butitworksexactlythesamewaythepreviousproblemsdid.

Remember:takewhateveryouseefosidetheparenthesesandstickitinforx.Here,"g(3)"is insidetheparenthesesnexttof,so"g(3)"willgoinforxintheequationforJ(x):
f(g(3))=3 X g(3)+4
Thatdoesn'thelp:whatdoesg(3)mean?Ah,that'sjustadifferentfunction.Wecanput3inforxintheequation forg(x):
g(3)=(3/=9.
Nowwe 'llsubstitute9backintothefirstfunction:
f(g(3))=j(9)=3 X 9+4=27+4=31
Notethattheorderisimportant:dothefunctioninsidetheparenthesesfirst.Here,gwasinsidethe parenthesesforf,sowedidgfirst.Ifthequestionhadaskedfor g(f(3))1 we'dfirstput3intotheequationforf, thenputtheresultintotheequationforg
g(r(3))=(r(3))2
.f{3)=3 X 3+4=9+4=13.
g(r(3))=g(13)
g(13)=132 =169
- If/(x, y)= 2x + 3y- xy, what is the value of/(5,-1)?
Thisfunctionhas two variablesinsidetheparentheses,butitalsohastwovariablesintheequation.Whenever weseetwonumbersinsidetheparentheses,we 'llmakethefirstnumberequaltoxandthesecondequaltoy.
j(5,-1)=2(5)+3(-1)-(5)(-1)=10+(-3)-(-5)=10-3+5=12

Apolynomialisanymathematicalexpressionwithtermsthatareaddedorsubtractedtogether.Thesetermswill usuallycontainvariablestakentodifferentpowersmultipliedbyanumbercalleditscoefficient.Apolynomial containingtwotermsisabinomial.
Inthefollowingexpressions,allthetermscontainthesamevariabletakentothesamepower,sotheycanbe combineddirectlyintooneterm:
5+7=12
Sy+7y=12y Sx2 + 7x2=12x2
Butinthefollowingexpressions,thetermsarealldifferent,sotheycan'tbecombinedintooneterm:
Sx+7 Sx+7y

Tosimplifyalongpolynomialwithalotofdifferentterms,findanytermsthathavethesamecombinationof variablesandpowers:
x2 + 4x + 2xy + 7x2 - IOx+5 + 9xy-1
8x2 + 4x + 2xy-lOx + S + 9xy-l
8x2 -6x + 2xy + S + 9xy-l
8x2 -6x + llxy + 5-1
8x2-6x+llxy+4
Addthetermscontainingx 2 •
Subtractthetermscontainingx.
Addthetermscontainingxy.
Subtractthetermswithnovariables.

Takealookatthis:
6(x+ S)
Herewehaveanumbermultipliedbyanentirebinomial.Todothis,justmultiply6byeachterminsidethe parentheses.Wesometimescallthisdistributingthe6insidetheparentheses.
6(x + 5) =6xx+6x5 =6x+30
Great.Sometimeswewanttomultiplytwo'binomialstogether:
· (x + 5 )(x + 4) = ?
Justlikewedidabove,wewanttomultiplyeachterminthefirstbinomialwitheachterminthesecond.To helpyoukeeptrackoftheterms,remembertheacronym"FOIL''.Multiply:
Firsttwoterms xxx
Outsideterms xx 4
Insideterms Sxx
Lastterms 5x4
Thenaddthemalltogetherandcombinesimilarterms:
=x1 + 4x + Sx+ 20=x2 + 9x+20

FOILinvolvesmultiplyingtwobinomialstogetalargerpolynomial.ButsomeSATproblemsmightwantyouto gotheotherway.Lookatthisexpression:
2x+6
Noticethateachterminthisexpressionisamultipleoftwo.Wecan"pullout"thattwoandputitofftotheside:
2x+6 =(2xx)+(2x3)=2(x+3)
Wecallthisprocessfactoring.It'stheoppositeofdistributing.Inthiscase,2wasafactorofeachterm,sowe "factoredout"the2.Wecandothesamethingwithvariables:
x1 -3x =(xxx)-(3xx) =x(x-3)
Whatifwewanttofactorapolynomialintotwobinomials?Lookatthisexpression: - What is the factored form of x2 +·1x +·12?
Weknowthattheremustbetwobinomialsthatmultiplytogethertomakethatexpression:
(?+?)(?+?)
Thefirsttermhere,x1 ,wastheresultofthefirsttwotermsofthebinomialsmultipliedtogether.Soeach ofthebinomialsmuststartwithanx:
(x+?)(x+?)
Thelastterm,12,wastheresultofthelasttwotermsofthebinomialsmultipliedtogether.Soweknowthe productofourlasttwonumbersis12.Thatcouldbe1and12,2and61 or3and4.
Themiddleterm,7x,wastheresultofeachofthelasttermsmultipliedbyxandthenaddedtogether.Sowe alsoknowthesumofthelasttwonumbersmustbe7.Whattwonumbershaveaproductof12andasumof7? Only3and4fitbothrequirements.
(x+3)(x+4) =x1+4x+3x+12=x1+7x+12

Thiscanbeeasierwhenyouhaveanswerchoices: - 2x- 15? 2 12. Which of the followin� expressions is equivalent tox
A) (x -2)(x + 1)
B) (x -3)(x+S)
C) (x+3)(x-5)
!)) (x-3)( x-5)
OneoptionhereisBacksolve:It'softeneasiertoFOILthantofactor,soFOILoutthe answerchoicesandseewhichoneequalsthepolynomialwewant: X =x2 -x-2 = = x2 +2x-15 X =x2 - 2x-1S ✓
A) (x-2)(x+l)
B)(x-3)(x+5)
C) (�+3)(x-S)
D) (x-3)(x-5)
x2+x-2x-2 x 2 +5x-3x-15 x2Sx + 3x-1S x2-Sx-3x +15 = x2 - Bx+ 15 X
Evenbetter,youcouldPlugInanumberforx.Sayx=6.
A)(6-2)(6+1)
B)(6-3)(6+5)
C) (6+3)(6-5)
(6)2-2(6)-15 = 36-12-15 =9 = (4)(7)=28 X = (3)(11) = 11 X = (9)(1) =9 ✓
D)(6-3)(6-5) = (3)(1)=3 X
(Notethatwepickedabiggishnumberheresothatmostofthechoicescameoutpositive.Butifyou startwithx=O,youcaneliminateA)andD)veryquickly.
Trythisproblem:
(x+y)(x-y) = ?
Bothbinomialscontainthesameterms,exceptonebinomialisasumandtheotherisadifference.To dothis,wecanjustFOILaswedidbefore:
(x+y)(x-y) = x2-xy+xy-y =x2-y2


When you seetwosquaressubtractedfromeachother, youcan easilyfactorthe expression. For example:
X.2 - 64 =?
Bothtermsherearesquares,sowecanimmediatelyfactoritintothesumanddifference of theirroots: =(x+S)(x-8)

Sofarwe'vebeenmultiplyingpolynomials,butwecandividepolynomials,too. x+3· ----=? x2+x-6
Whatdowedo?Rememberthatafractioncanbereducedwhenthetopandbottomhaveacommonterm: 22xl1 -=--=82x44
Thesameconceptappliestopolynomials.Let'sfactorthedenominatorandseeifwecan crossoutsometermscommontothetopandbottom.
Whenfactoring,ourultimategoaliscancelingoutterms.Dontfactorblindly:tryto factoroutthetermthat'sinthenumerator.Inthisproblem,wewanttocancelout"x+3'� sowe'lltrytoget"x+ 3"onthebottom.Thebottomendsin"-6":whattimes3gives-6? -2.Sotheothertermwillbe"x-2".Nowx + 3cancelsoutonthetopandbottom: x+3 x 2 +x-6 x+3 =---(x+3)(x-2)

PLEASENOTE:wheneveraprobleminvolvesdivisionbyabinomial,therewillbesomevaluesofxthatarenot allowed.Asarule,youcanneverdivideanythingbyzero.Anyvaluesthatmakethedenominatorzerowillnot beallowed.Thefancymathwayofsayingthatistosaytheexpressionisundefinedforthatvalueofx.Inthe problemabove,thedenominatoriszerowhenx+ 3 = 0orwhenx-2 = 0.Sotheexpressionisundefinedwhen
x= -3andwhenx= 2.
Butwhatifyouwanttodividebyapolynomialthatisn'tafactorofthenumerator?Canwedoanything?Yes!We canuselongdivision!
Let'stakearefresheronhowtodolongdivisionwithintegers.Let'stry172+S:

1.Howmanytimesdoes5gointo17?3times.
2.Multiply3x5toget15.Subtract15from 17toget2.
3.Bringdownthe2toget22.Howmany timesdoes5gointo22?4times.
4.Multiply4x5toget20.Subtract20from 22toget2.That'sasfarasyoucango,so yourremainderis2.
So172+5is34witharemainderof2.Butifwepunchthatoutonthecalculatorweget34.4That's because".4"isthesamethingas2/5: 172 5 170+2 = 1702 =-+5 5 2 =34+5
5
Basically,wesplitup172intoanumberthatwasdivisibleby5,plusabitthatgotturnedintoafraction.
Wecandothesamethingwithpolynomials!Let'slookatthisone: 3x-S --=? x+2
Here,x+2isnotafactorof3x-5.Solet'sfindsomethingthatdoeshavex+2asafactor.
I.Setitupaswedidbefore.Focusonthe firstterm.Howmanyx'sgointo3x?

2.Multiplyxby3toget3x. 3 x+2)3x-5

3.Multiply3byx+2andlineitup.
4.Subtracttogetaremainder·of-11
Youdon'thavetodothissoformally.Justthink:whatdoIhavetomultiply"x+2"byinordertogetananswer thatstartswith"3x"?Multiplyby3!Whichgetsyou3x + 6.Inotherwords: 3x-5 x+2 = (3x+6)-11 = 3x+6 + -11 =3(x+2)+-11 =311 x+2x+2x+2x+2x+2 x+2
Let'stryaharderone:
x2+4x+5 ----=? x+l
We'llstartthesameway:
1.Setitupaswedidbefore.Focusonthe firstterm.Howmanyx'sgointox2?
2.Multiplyxbyxtogetx2 •


3.Multiplyxbyx+landlineuptheresult. Subtract.
4.Bringdownthe"+S".Howmanyx'sgo into3x?
5.Multiply3byx+landlineuptheresult. Subtract.Ourremainderis2.

Likeinthelastone,think"whatcanImultiply"x+l"byinordertoget"x2+4x"atthestartof mypolynomial.Inotherwords:
Ifallthisscaresyou,don'tworry.Thiskindofdivisionisveryrareonthetest.Qµestionsthatdorequireitwill usuallybeharderquestionsattheendofasection,sochancesareyourTargetNumberswillhaveyou skippingthemanyway.(Ofcourse,don'tforgetthatwhenthereareanswerchoices,problemslikethiscan becomesupereasywithPlugIn.)

Allthepolynomialproblemswe'veseensofarhavebeenexpressions,notequations.Thatmeansalmostany valueofxwillmakeitwork.Butwemightalsoseepolynomialsinvolvedinequations,whereonlycertainvalues ofxwillmaketheequationtrue.
Anyequationintheform

isaquadraticequation-apolynomialcontainingonesquaredvariable,usuallysetequalto zero.Sohowdowesolveit?
- For w,hat values ofx does x2 + 7x +12 = O?
Well,wealreadyfactoredthisexpressionbefore,solet'sdoitagain:
x2+7x+ 12=(x+3)(x+4)=0
Rememberthatzerohasaspecialproperty:anythingtimeszeroisequaltozero.Ifweknowab=0,thenwe knoweitheraorb(orboth)mustequalzero.Sinceweknowthat(x+3)times(x+4)equalszero,weknow thatoneorbothofthosetermsmustequalzero;
x+3=0 x=-3
Sooursolutionsare-3and-4.** or or
x+4=0 x=-4
Notethatyoumustsetaquadraticequationequaltozerotosolveit.
- Forwhat values ofx does x2 - 3x + 2 = 20?

Herewehave20ontherightside.That'snogoodiwewantOthere.Sowe'lljustsubtract20frombothsides beforewefactor:
x2-3x+2-20=20-20
x2-3x-l8 = 0
(x-6)(x+3) = 0
x-6=0orx+3=0
x=6· orx=-3
Notallquadraticequationscanbehappilyfactored.Sometimesthesolutionsarenotintegers.Inyourmath classatschool,youmayhavebeenexposedtothequadraticformula.Thisisaspecialformulayoucanuseto findthesolutionsforaquadraticequation.Youcanuseitforanyquadraticequation,butit'sespeciallyusefulfor polynomialsthatcan'tbefactoredintohappyintegers.
Fortheequationax2+bx+c=01 thesolutionforxis:
- What are the solutions forx2 + 2x-9 = O? =21 andc = -9.Let'sstick'eminthe bx+c,wherea=l,b
Theequationisintheformax2+ formulaandseewhatcomes out:

Thatmeanstherearetwosolutions:-1+✓10 and-1-✓10 .
Noticethatwegottwosolutionsthere.That'sbecauseofthenumberunderthesquarerootsign,calledthe disLTiminant.
discriminant=b2 - 4ac
Theformulaasksyoutobothaddandsubtracttherootofthediscriminant.Ifthediscrirninant_ispositive, like10intheexampleabove,therootwillcomeouttoapositivenuII1-ber1 andyou'llgettwodifferentresults.
Butwhatifthediscriminantiszero?Thentherootwillcomeouttozero.Thenyou'llonlyget

oneresultbecauseaddingzeroandsubtractingzerogiveyouthesameanswer. Whatifthediscriminantcomesoutnegative?Thenyou'llhavetotakethesquarerootofanegative,butyou're notallowedtodothat.Inthatcasetheresimplyisnorealsolutfon.Therefore:
-Ifthediscriminantispositive,yougettwosolutions.
-Ifthediscriminantiszero,yougetonesolution.
-Ifthediscriminantisnegative,yougetnosolution.
Ifallthisscaresyou,don'tworry.Youdon'thavetoworryaboutittoomuch.Therewillbesomequestionsthat requireyoutoknowthequadraticformula.However,suchquestionsarerare.Mostofthetimeyoushouldbe abletodoanyprobleminvolvingquadraticsbyfactoringorwithPlugInandBacksolve.**Furthermore, questionsthatdorequireitwillusuallybeharderquestionsattheendofasection,sochancesareyourTarget Numberswillhaveyouskippingitanyway.

We'veseenlotsofexamplesofequationsthathaveexponents.Butalltheoneswe ' veseenhavehadvariablesin thebaseofthenumber.Intheequationy=x2 , x?-isanexponentialnumber,xisthebase,and2istheexponent.
However,wecanalsomakefunctionsthathavevariablesintheexponents.Thesearecalledexponentialgrowth functions.Theyshowupmostfrequentlywhenyouwanttoapplyapercentmultipletimesinarow.Observe:
- Each year thepopulation ofgoats in the basementgrows by 20%. If the goat population starts at 125 goats, approximately how many goats will there be after 3 years?
Let'sjustdoitout.After1year,thepopulationwillgrowby20%.
1year: 125+20 X (125)100 =125+
0.2(125)
=125x(l+0.2) =125X(1.2).= 150
That's125plus20%of125.
Wecanre-writethisbyfactoringout125.
150goatsafter1year
Tofindthenexttwoyears,repeattheprocess.Thetrickwithquestionslikethisisthatyouhavetore-calculate thepercenteveryyearusingthenewtotalforthepreviousyear.Sowhenwe'recalculatingyear2,we'llstartwith 150insteadof125.
2years:
3years: 20
150+100 X (150)
=150x(l.2) =180
180x(l.2) =216
That'safter2years.Onemore:
That'safter3years.
Butlookwhatwedid:togettoyearthree,westartedwith125andmultipliedby1.2threetimes.Looking backwardsfromyear3:
216 =(180)x1.2
After3years
That's2yearstimes 1.2 = ([150] x1.2)x1.2w ... hichinturnwas1yeartimes1.2...

= ( [ 125x1.2]x1.2)x�2whichinturnwasthestartingvaluetimes1.2. =125x(1.2)3 Sowehavethestartingvaluetimesthreel.2's.
Ifthat'swhatwedidafterthreeyears1 wecangeneralizeitintoanequationforxyears:
G(x) =125X(1.2)xwherexisthenumberofyearspassed1 and125isthestartingvalue.
Wecanfurthergeneralizethatintoanequationforanykindofexponentialgrowth:

where:
- G(x) isthetotalquantityaftergrowth -a -r isthestartingtotal isthepercentgrowthratewithrespectto1(e.g.20%growthis1.21 while20%decreaseis0.8) - x isthetimepassed
Thismayseemintimidating1 butmostexponentialquestionswon'taskyoutodoalotofwork.Moreoftenthan not1 theysimplyaskyoutounderstandwhattheparts.Themoretimeyouspendwiththisequation1 themore you'llgettoknowhim1 maybeevenlovehim.



GraphiI?,gquestionswillshowupalloverthetest.Algebraquestions,dataquestions,evengeometryquestions mayinvolvethecoordinateplane.Sowe'regoingtobringallthoseconceptstogetherinoneplaceheresowecan seehowtheyconnect.
It'sokaytohategraphing.We'renotheretojudgeyou.Butweareheretohelpyouunderstandafewofthebasic principlesbehindtheseproblems.Aswesawinalltheotherchapters,MathTestquestionsaskthesamethings overapd _overagain,soalittlebitofknowledgecangoalongway.
1hisisthexy-coordinateplane(or"xygrid'�or"coordinateplane"orwhateveryouwanttocallit).
Alotofyouprobablyknowyourwayaround thisguy,butherearesomedefinitionsforthose whoareconfused:
Thex-axisisthehorizontalline;ittellsyouthe xvalueofapoint.Valuesofxarepositivetothe rightandnegativetotheleft.
They-axisistheverticalline;ittellsyouthey valueofapoint.Valuesofyarepositiveatthe topandnegativeatthebottom.
Thetwoaxesdividethecoordinateplaneintofourquadrants,oftenlabeledwithRomannumerals.Thesignof thex-andy-valueofapointwilldeterminewhichquadrantthepointliesin.


Pointsonthegrapharegivenas(x)y).SopointPis(2,3)J sinceithasanxvalueof2andayvalueof3.Youcantell thexandyvaluesbylookingatwherethepointlieswithrespecttotheaxes.
Theoriginisthepointwheretheaxescross(labeled"O"here)iithasavalueof(0,0).
Beforewegoanyfurther,it'simportanttoemphasizethatgraphsarepictures.Therefore,youcanuseGuesstimate ongraphproblems.Infact)you'dbeastoundedhowmanygraphingproblemscanbe-donejustbylookingatthe picturetheygiveyou.Ifthislinelooksequaltothatline,thentheyareequal.
Infact,Guesstimateisofteneasieroncoordinategeometryquestionsbecausecoordinateshavevaluesyoucanuse asreferences.Onceyoubecomefamiliarwiththecoordinateplane,it'seasytoquicklyglanceatapointandsee"oh, thatpointhasanegativexandaybiggerthan7)soIcaneliminateA)andD):"Don'tforgetGuesstimate.·
Ifyouwanttofindthedistancebetweentwopointsonagraph,justusethePythagoreanTheorem:
- What is the distance in coordinate units between P (2,2)an� Q (6,5)?
Wedon'thaveagoodwayofmeasuringdiagonallineslikethatdirectly.Butwe do haveagoodwayof measuringhorizontalandverticallines.Let'sdrawpointRtomakeatrianglethathasPQasitshypotenuse.We caneasilymeasureitslegsbecauseweknowthecoordinatesofthepoints.
PR=6-2=4QR=5-2=3

Thelegsofthetriangleare3and 4,sowecanusethePythagorean Theoremtofindthehypotenuse:


Ifyouprefer,youcanuseTheDistanceFormula.Thedistance,d,betweenpoints(x1, y1) and(x2,y2)is
S)



or

Notethatthisisexactlythesamethingwejustdid.Thedistanceformulaisnothingmorethanthe PythagoreanTheorem.Anytwopointsonthecoordinategridcanformarighttriangle:(x2- x1)isonelegof thetriangle,(y2-y1)istheotherleg,andthedistancebetweenthepointsisthehypotenuse.
- What is the midpoint of (2,2) and (6,5)?
1hisquestionasksaboutthesamepointswejustlookedat.Tofindthecoordinatesofthemidpointbetween twopoints,taketheaverageofthexsandtheaverageoftheys.
=4.Theaverageofthey-values,2and5,is
2 The + averageofthex-values,2and6,is=35.5.
Sothecoordinatesofthemidpointare(4,3.5).
Agraphonthecoordinateplaneisnothingmorethanapictureofafunction.
Taketheequationy=2x.Wecouldpluginanynumberwelikeforxandwe'llgetavalueforyasaresult.Below wehaveatableofx'sandtheirrespectivey's,alongwithagraphofthosepointsplottedonthegrid.
Wecanseethatthepointswechosestarttomakeastraightline.Ifwefillinallthepossiblex'sandtheir correspondingy's,includingallthenastydecimalnumbers,that'sexactlywhatwe'dget.Thegraphofy=2xisa pictureofallthepossiblesolutionstotheequation-everyxpairedwithitscorrespondingy.


Ratherthandefiningourequationasy = 2x,wecouldcallitf(x) = 2xandsaythaty=j(x)inthegraph.Don'tget boggeddownwithallthedifferentletters.
Themostimportantthingtorememberis:Ifapointliesonthegraphofafunction,thecoordinatesofthat pointwillsatisfythefunction'sequation;Andviceversa.Evenifyoudon'tknowtheequationofthefunction, youcanlearnalotjustfromthepicture.Forexample:
- The figure below shows the graph ofy=/(x). What is the value offt1)?
Ifthey'dgivenyouanequationforf(x),youcouldfindf(l)by substituting"1"for"x"intheformula.Noproblem.Buthere wedon'thaveanequation.Hmm.That's.acrazy,crazylooking function.We'llneverbeabletowriteanequationforit.
Butwedon'tneedanequationbecausewehaveagraphofthe function!Agraphisapictureofthefunction.Everypointon thatsquigglylineisasetofnumbersthatsatisfiesthe equation,whateverthatmaybe.
Wewantthevalueoff(1).Sowejusthavetofindthevalueofywhenx=1.That's3!Thesquiggly linecrossespoint(1,3).Whenx = I,y = 3.SoJ(1) = 3..
Thisisanimportantpoint,soitbearsrepeating:
Ifthepoint(a,b)isonthegraphofj,thenJ(a)=b.IfJ(a) =b,thenthepoint(a,b)isonthegraphoff.

Alotofpeoplegetconfusedbythisnotation,sohere'satricktohelpyouremember.Ifyoudrawinsome parentheses,theequationlooksjustlikeacoordinatepair.So:
f(1)=3 .r((1)=3) becomes f(x) =y _t((x)=y)
Thisfactaboutpointsandfunctionshasaninterestingconsequence:Ifapointonagraphisasolutiontothat function'sequation,thenapointwheretwographsintersectisasolutiontobothfunctions'equations.
Forexample,considerthesefunctions:
y=2x+3
y= x+S
Whenwehavetwoequationstogetherlikethiswecallita "systemofequations':Eachequationhasaninfinitenumber of(x,y) pairsthatmaketheequationtrue.Butthere'sonly onepairthatmakesbothequationstrueatthesametime: (2,7).

Thegraphofeachofthesefunctionsisastraightline.Ifwe drawbothlinesinthesameplane,wecanseethatthetwolinesintersectatthepoint(2,7).Point(2,7)isthe solutionforthesystemofequationsandtheplacewherethetwolinesintersect.
Mostgraphsyou'llseeontheSAThaveequationsthatdescribethem. Butyoucanalsographinequalities.Thegraphofaninequalitylooks justlikethegraphofthecorrespondingequation-alineoracurve ofsomekind-butwithashadedregionaboveorbelowtheline.
Forexample,thefiguretotherightshowsthegraphofy�2x.Notice thatthelinerunningthroughthemiddlelooksexactlyliketheline fory=2xthatwesawearlier,butnowtheregionabovethelineis


shaded.Thatmeansthatallthepointswithintheshadedregionsatisfytheinequality.
Forthisgraph,itshouldbeeasytounderstandwhytheareaabovethegraphisshaded.Thelineshowsallthe pointswhereyequals2x,soallthepointsabovethelinehaveay-valuegreaterthan2x.
Butifyou'renotsurewhichregionyouwanttoshade,youcanalways trysome testpoints. Pickapointabove thegraph,let'ssay(0,2).Nowlet'splugx=0andy=2intotheinequalityy�2xandseeifitworks:

2�0✓Itworks!
Let'scheckapointfromtheothersideoftheline,say(0,-2),justtobesure. -2�2(0)-2�0xThatdoesn'twork!
Aftertryingthosepoints,wecanseewemustshadetheareaabovethegraph.(Hmm...usingrealnumberstotest analgebraicexpression.Haven'twedonethatbefore?Ohyeah!That's. PlugIn!)
Notethatifyouwanttosolvefortheintersectionoftwoinequalities,onlytheregionshadedbybothgraphswillbe thesolution.

RememberwhenwetalkedaboutlinearexpressionsandequationsintheHeartofAlgebrachapter?Youdon't? Jeez,itwasjust,like,twentypagesago.Fine.Gobackandlookagain,thencomebackhere.
Okay,you'reback.Wesaidtheycanbedrawninthecoordinateplaneaslines;andwesaidtheytwounique characteristics:theirrateandtheirstartingpoint.Wecanseethesecharacteristicsintheirgraphs.
1.Theirratecorrespondstoslope:

2.Theirstartingpointcorrespondstoy-intercept:

Thesetwofeaturesareallweneedtouniquelydefineanyline.Thesearethesamefeatureswetalkedaboutwhen wewerewritingequationsforwordproblemsabouthowmuchmoneyyou'regoingtoearn.
Wecanusetheslopeandy-interceptstowriteanequationofaline,calleda"linearequation".Anylinewill haveacorrespondingequationthatcontainsonexandoney withnoexponents.Thereareseveraldifferent wayswecanwritealinearequation.
Themostusefulformofalinearequationistheslope-interceptform: y=mx+b.The "m"standsfortheslope,the"b"standsforthey-intercept,andthe"x"and" y"standforthecoordinatesofany andallpointsontheline.


Asthenameimplies,slope(abbreviated "m" forsomereason)isawaytomeasurethe "steepness"ofaline.Lookingfromlefttoright,apositiveslopegoes.YI2andanegativeslopegoesdown.Asyou canseefromtheexamplesbelow,themorethelinegoesup,thelargeritspositiveslope;themorethelinegoes down,thesmalleritsnegativeslope.

Youcanthinkofslopelikeastaircase:ifltakeonesteptotherightalongthex-axis,slope tellsyouhowmanystepsupordowntotake.Ifm=3,yputake3stepsupforeverystepto theright.Ifm=-1/3,youtakeathirdofastepdownforeverysteptotheright.
Thereare·:manywaystodefineslope,buttheyallmeanthesamething: changeiny changein x nse run
Ifyoulmowtwopointsonaline,youcanfndtheslopeoftheline.Allyouhavetodoistakethedifferen!=eof they'soverthedifferenceinthex's:
Don'tgetboggeddownbyallthoseletters.We'rejustpickingwhichpoint togofirstandwhichtogosecond.Infact,itdoesn'tmatterwhichpoint weusefirstWecouldsaythat (x1,y1) =(6,4)and (x2,y2) =(1,2) and...
...wegetthesamething.
Somethingstorememberwhencalculatingslope:
-Makesureyisontop.Werepeat:makesureYisontop.Youwillnotbegiventhe

formulaforslope.Youhavetorememberit.
-Beconsistentwiththexandy.Youcanstartwitheitherpoint,butyouhavetostart withthesamepointonthetopandthebottom.Intheexampleabove,whenweuse4 firstonthetop,wemustuse6firstonthebottom.
-Parallellineshaveequalslopes.
-Theslopesofperpendicularlinesarethe"negativereciprocals"ofoneanother.Take thefirstslope,makeitnegative,andflipthefractiontogetthesecondslope.


An"intercept"isjustthepointatwhichthelinecrossesoneoftheaxes.Sothex-interceptisthepointat whichthelinecrossesthex-axis.Andthey-interceptisthepointatwhichthelinecrossesthey-axis.
Inthefiguretotheright,thelinehasay-interceptof3,sinceit crossesthey-axisatthepoint(0,3).They-interceptalwayshasan x-valueofzero.
Inthefiguretotheright,thelinehasanx-interceptof2,sinceit crossesthex-axisatthepoint(2,0).Thex-interceptalwayshasa y-valueofzero.
Let'sseethisstuffatwork:


- Line e passes through the points {4,4) and (2,3) . What is the equation of line e?
Tofindtheequationoftheline,weneedtheslopeandthey-intercept.First,sinceweknowtwopoints,wecan findtheslope.


Nowweknow m, soourequationsofarisy=2x+b. Tofind b, let'sjuststickoneofthepoints weknowinforxandy.Thenwecansolveforb.
Soourequationisy=2x+2.Thegraphofthelinecanbeseenbelow.



Aparabolaisthegraphofaquadraticfunction-thatis, anequationcontainingthesquareofxandaywithno exponent.Shownhereisthegraphofy=x2 • Youcansee thatthemarkedpointsfittheequation:theyvalueof eachpointisthesquareofthexvalue:

Thestandardformofanequationofaparabolais y = ax2 +bx+c
wherea, b,andcareconstants.*Fory=x 2 , a=I, b=0,andc=0.
Someofyoumayrecognizethisformaswhat'scalleda"quadraticequation".Someofyoumayalsoknowthat thereisacomplicatedformula(the"quadraticformula")thatyoucanusetosolvequadraticequations.Hmm. Didwetalkaboutthosealready?
Let'stakealookatthedifferentpartsoftheparabolaandhowtheyrelatetotheequation.Thefigurebelow showsthegraphofthefunctiony=x2 - 6x+8.
They-interceptisdeterminedbythevalueofc,thenumberbyitselfwithnovariableintheformulashown above.Inourequation,y=x1 - 6x+81 c=81 sothey-interceptis(0,8).
Justlikeinastraightline,they-interceptisthevalueofywhenx=0.Becausecistheonlytermintheequation thatdoesn'tcomewithanxnexttoit,ifx=0,allthat'sleftisc

Thex-interceptsarethezeroesorsolutions totheequation.Thatis1 theyarethevaluesof xwhen
y=0.Thesearethenumbersyou getwhenyoufactorthequadratic.Here1 our equationcanbefactoredintoy=(x-2) (x-4),sothe x-interceptsare(2,0)and(4,0).
(0, 8) y-intercept y (3,-1) vertex

y=x 2 -6x+8
y= (x-2)(x-4)
y = (x-3)2 -1 X
y=(x+m)(x+n)
thenthesolutionsare-m and-n,andthex-interceptswillbe (-m, 0)and (-n, 0).
Previously,wetalkedaboutquadraticequations.There,wehadanequationequaltozero insteadofequaltoy:therewereonlyoneortwovaluesofxthatsolvedtheequation.Here,wehaveafunction: wecanstickinanyvalueforxandgetoutay.Aquadraticequationisaquadraticfunctioninwhichy=0.An x-interceptisapointonthegraphwherey=0.Soyoucanquicklyfindthesolutionstoaquadraticequationby lookingatitsgraphandfindingtheplaceswhereitcrossesthex-axis.
Thevertexisthepointattheverybottomofthecurve(ortheverytop,ifthecurvepointsdown).Thispointis alsocalledthemaximumorminimumofthecurve.Youcanactuallyrewriteaquadraticfunctionintoanother form:y-k=j(x-h)2where(h,k)isthevertexoftheparabola.



Ifyou'relookingtofindthevertexofaparabola,youcandothatfromtheequation y=ax1+bx+c.Thex-valueofthevertexwillbeequalto-bThenputthatxvaluebackin 2a theoriginalequationtosolvefory.
Noticethatbothparabolasshownabovearesymmetrical.That's becausethesquareofanegativecomesoutpositive.Inthefirst example:y = 4whenx = 2andwhenx=-2.Inthesecond,y = 0when x= 2andwhenx= 4.Allparabolasaresymmetrical,regardlessof whetherthey

Thevalueofa(thenumberinfrontofthex2)intheequationy=ax2+bx+cwilltellyouwhichdirection theparabolawillpoint.Ifaispositive,theparabolawillpointup.Ifaisanegative,theparabolawillpoint down.

Sometimesyoumaywanttographcirclesonthexy-coordinateplane.Theequationofacircleisdefinedas: whereristheradius,and(a,b)isthecenterofthecircle.Ifthecircleiscenteredontheorigin(0,0),the"-a" and"-b"won'tbethere.Forthegrandmajorityofcirclegraphingquestions,allyouneedtoknowisthis equation,soLEARNIT!Let'slookatanexample:


- A circle in the standard (x,y) coordinate plane has center (3,2) and radius 5 coordinate units. What is the equation of the circle?


Usingtheformulaabove,weknowthe equationwillbe(x-3)2+(y-2)2=25
Doestheformofthisequationlook familiar?Itshould.It'sthePythagorean Theoremagain!
Thinkaboutit:whatisacircle?Acircleis definedasthesetofallpointsthatarea certaindistance(theradius)fromasingle point(thecenter).Inthiscase,thecurve willdefi�eallpointsthatareadistanceof 5awayfromthepoint(3,2).Howdowe findthedistancebetweenpoints?Withthedistanceformula: Here, (x1,y1)isthecenterofthecircle,(3,2)and (x2,Yi)isthegeneralpoint(x,y).Thatjustmeans(x,y) referstoanypointthat'sontheactualcircle.Sothedistancebetween(3,2)andanypointonthecircleis5.

Herearesomeexamplesofhowfunctionscanmovedependingonwhatyoudotothem:
-ForanyJ(x), thegraphofJ(x) +cisthegraphoff(x) shiftedc.placesUP.
-Foranyf(x), thegraphoff(x) -cisthegraphoff(x) shiftedcplacesDOWN.
Subtractinganumberfromtheendmeansyou'lllowertheyvaluebythatnumber,sothegraphwillshiftdown. Addingwillincrease they value,sothegraphwillshiftup.Thisistrueofallfunctions,nomatterwhatthe equationlookslike.


Okay,thisnextoneisabitweird,sobearwithus.

y=f(x)+ I y=f(x)
y = f(x)-1

-Foranyf(x), thegraphofJ(x+c)isthegraphofj(x) shiftedcplacestotheLEFT .
-Foranyf(x), thegraph off(x-c)isthegraphofJ(x) shiftedcplacestotheRIGHT.
Before,wewereaddingtoorsubtractingfromtheendofthefunction.Here,we'readdingorsubtractingfrom insidetheparentheses.ThinkofthespaceinsidetheparenthesesasBizarroWorld:addingtothexmovesthe graphtowardthenegatives,subtractingfromthexmovesthegraphtowardthepositives.
Ifyouhaveagraphingcalculator1 youcantrythisoutyourself.Typetheseequationsinto "Y="


Youcanseethatthegraphofthesecondequationlooksjust likethatofthefirstequation,butshiftedtotheleftbyonespace. Thiscanbeconfusing,anditisn'treallythatimportant1 soif you'restillconfused1 justmoveon.Butifyou'recuriousandreally mustknowwhythisistrue,let'sexplain.Takealookatthese:

2
2



Man,that'safunny-lookingfunction.Wecertainlydon'tknowtheequationforit.Butnomatterwhatthe originalequationforf(x)is,weknowthatf(x+2)willmakethegraphshift2placestotheleft.
Tounderstand,let'slookatsomepoints.


y=1(2+2)=/(4)-5 J, J, I\ r y=j(x) I \....I I \ '--o/ t t -----i y=/(4+2)=/(6)=3 2 4 6
f(x + 2) (0,2) j(0+2)=f(2)
Whenxis0inj(x+2),theyvaluewillbethesameasJ(2)inthefirstgraph,whichis1.SoJ(0+2)=1,sothe graphwilltouch(0,1)Whenx=0, y=l
Whenxis2inf(x + 2),theyvaluewillbethesameasJ(4)inthefirstgraph,whichisS.Sof(2+2)=4,sothe graphwilltouch(2,5).Whenx=2,y=S.
SoeverypointinJ(x+2)takesitsyvaluefromthepointtwospacestotheright.ThatmeansJ(x+2)istwospaces totheleftofj(x).


We'realmostattheend.ProblemSolvingandDataAnalysisisthelastcategoryofmathquestionsforwhichyou willgetasubscore,andtheonewiththeleastdumbname.Hereyou'llfindacollectionofdifferentconcepts thatareunitedbyaconnectiontotherealworld.
Mostofthemathwe'vebeendoinghasbeenpuremath.Thatmeanswe'vebeendealingwithequationsthatapply tonumbersintheabstractortheprinciplesofhownumberswork. ButtheSATalsohasalotofstatistics.Thisistherealmofappliedmath,workingwiththerealworldofrealthings. Andtherealworldcontainsdata,whenyou'vegotalotofdifferentnumbersthatyouhavetomakesenseof.
Youwillseeatotalof17ProblemSolvingandDataAnalysisquestionsontheSAT1aboutthesamenumberasthe othertwomaincategories.However1 notethatthesequestionsaredifferentfromtheothercategoriesinthatthey onlyappearonsection4, theCalculator OKsection.Theotherquestiontypesallappearonbothsections.If youhatedataquestions1thisisgoodnews.Itmeansthatyou'llhaveanentiresectionwithnoneofthesequestions. And itmeansyou'llalwaysgettouseyourcalculatoronthem.Ofcourse,theflipsideisthatsection4isgoingto seemlikeit'sheavyondataquestionsbecausethey'llmakeupalmosthalfthesection.

DoyourememberthechaptercalledMathFundamentals?RightafterTechniques,rightbeforeHeartofAlgebra? ThatchapterwaschockfullofconceptsthattheSATclassifiesasProblemSolvingandDataAnalysisconcepts. Thatincludes:
- Ratios -Ratesandunitconversion - Percentages
Alltheseconceptsaredifferentkindsofproportions.Basicallyalmostanyconceptinvolvingfractionsstrictly speaking.belongsinthischapter.Wedecidedtotalkaboutthemearlybecausetheyhaverelevancetosomeofthe conceptswetalkaboutinthealgebrachapters.Sincewetalkedaboutthemthere,we'renotgoi�gtotalkabout themhere.Feelfreetofipbackandreviewthosesections,though,astheymightshowuponsomepractice problemslateron.
Ifyou'reitchingforsomefractionwork,though,don'tworry.We'vegotsomeconceptscomingupinafew pages-averagesandprobability-thatareloadedwithfractionwork

Manydataanalysisproblemswillarrangedataintosomesortofgraphicalrepresentation,beitatable,linegraph, orsomethingelse.OverhalfoftheProblemSolvingandDataRepresentationquestionswillcontainafigureof somekind.Solet'sgettoknowthesefigures.
TablesarethemostcommonwayofpresentingdataontheSAT.Ingeneral,thetestwillhaveaboutasmany tablesasallotherfigurescombined.Youprobablyhavesomeexperiencewithtablesalready.Heck,we'veseena bunchoftheminthisbookalready.Mostofthemarestraightforward.Justmatchuptherowsandthecolumnsto findavalue:
inSpringfieldGardens
- Based on the table above, how many horse chestnut trees in Springfield Gardens are in fair condition?
Tofindout,findthe"Horsechestnut"rowandseewhereitcrossesthe"Fair"column:
Thereare10fairhorsechestnuts.
Aswecanseehere,tableswithmultiplerowsandcolumnslikethiswilloftenshowsubtotalsattheendofa roworcolumn.Inourexampleabove,thereareatotalofsixdifferentgroups:threetypesoftrees(inthe rows)andthreetypesofconditions(inthecolumns).Eachrowor

columnshowsthetotalofalltheitemsinthatcategoryattheend.
Forpinoaktrees1thereare23inGoodcondition,7inFaircondition1and2inPoorcondition.Addthemupto get23+7+2=32totalpinoaktrees.
Theboxintheverybottomright,then,isthetotalofthetotals:itshowsthetotalnumberofalltreesinall conditions.Noticethatit'sboththesumofthecolumntotalsandthesumoftherowtotals,sinceyou'llgetthe samenumberoftotaltreesnomatterhowyoucount.
32Pinoak
35Horsechestnut +20Baldcypress
87Totaltrees
Sometimestableswillcomewithcrazyuglynumbers:
43Goodtrees
21Fairtrees +23Poortrees
87Totaltrees
PopulationofNewShelbyvillein2010
Ageinyears
10.According to the table above, approximately what fraction of residents 55 or older are female?
A) 1/3
B) 1/2
9 2/3
D) 3/4
We'retalkingabout55+resid�nts1 solet'slookatthatcolumnandrou�dtothenearestthousand:

Aha!Thereareabout30,000peopleSSorolder1andabout1S1000ofthemarefemale.That'saboutonehalf.
Sofarwe'vebeendealingwithonlyonetablecellatatime.Butsometimeswemighthavetocombineparts ofthetable.Lookatthisone,stillaboutthesametableofresidentsofNewShelbyville: 11. According to the table above, approximately what fraction of residents 35 or older are female?
A) 1/2
B) 2/4
C) 3/8
D) 3/10
Thistimeit'saskingaboutresidentswhoare.3Sorolder.ThateD.compasses two columns:"3S-S4"and"SSandolder".Sowe'llhavetodealwithboththosecolumns together:
Let'sfocusonthosetwocolumnsandroundthem:
Gender3S-S455orolder Male

Wewantthenumberofwomeninthesetwocolumnsasafractionofthetotalforthesetwo columns.
Totalwomen:15,000+15,000= 301000
Totalresidents: 501000 +301000=:=80,000
Sothefractionofwomenwouldbe30-,-80=3/8.
Takealookatthistable:
- A survey asked 100 students'in school how many goats they own at home. The'results are shown in the table above.
Thisisa frequency table. Thestudycounted100studentsandaskedhowmanygoatstheyhaveathome.
Everystudenthadsomewherefrom0to4goats.Thistableshowshowmanystudentsfallintoeachofthe ownershipcategories.Thatis:
-Therewere8studentswhohad0goats.
-Therewere14studentswhohad1goateach.
-Therewere22studentswhohad2goatseach.
Etcetera.Thisisaconvenientwaytoorganizedatawhenyouhavealotofthesamevaluesoverand overagain.Insteadofwriting"3goats"forty-fivetimes1 youcansummarizeitinthistable.

WejustspentatonoftimetalkingaboutthecoordinateplaneintheGraphingchapter,soyoushouldhavea decentsenseofhowitworksbynow.Butallthosequestionsdealtwithfunctions,linesorcurvesthatdescribe anequation.Butyoucanalsousetheplanetomapdata.


Thegraphshownabovelooksalotlikethekindsofgraphswe'veseenbefore,butthelinelooksdifferent.It's jaggedandblocky..We'reusedtoseeingsinglestraightlinesorsmoothcurves.Thisgraphinsteadshowsa relationshipthatchangesasitprogresses.There'snosingleequationthatdescribesthelineshown,butthe figureitselfbehavesthesameway�IIgraphsdo.Wecanlookuppointsbymatchingupthexandyaxes,andwe canseewhetherthelineincreases,decreases,orstaysthesame.
ThisgraphdescribesatripMashatakesonherbike.Wecansee:
-Shestartsathome(time=0,distancefromhome=0)
-After10minutesshe's4kmawayfromhome.
-After15minutes,she's5kmaway.
-ShestaysSkmawayforthenext10minutes.
-After30minutes,she's6kmaway.
-At40minutes,she's4.5kmaway.She'sstartingtocomebackhome.
-AfterSOminutes,she's3kmaway.
Allofthisjustinvolveslookingatthepictureandmatchinguptheaxes.
Wecanalsoseethevariousrelationshipsinthedata:


-FromOto15minutesherdistanceisincreasing.Notethatitincreasesatahigherrate fromOto10thanfrom10to15.Wecantellbecausethefirstparthasasteeperlinethatis,agreaterslope.
-From15to25minutesherdistancestaysthesame.Sheprobablytookabreak.Maybestoppedforadonut. Gottahavedonutsifyou'reonabikeride .
-From25to30minutesherdistancewasincreasingagain.
-From30toSOminutesherdistancewasdecreasing.Shestartedtoheadbackhome.
Graphsusingthexy-coordinateplanecancomeinallsortsofshapes.Theycanbejaggedlines,wigglylines,points connectedwithlines,orjustgroupsofunconnectedpoints.
Speakingofgroupsofunconnectedpoints,lookatthesetwodatasets:
Thesegraphsarecalledscatterplots.Allthatmeansisthatthegraphshowspointsrepresentingdatathatwe collected.Ifyouhavedatawithtwocharacteristics,youcanputthosecharacteristicsonsomeaxesandshowthat dataonaplaneasajumbleofpoints.
Ineachofthesegraphsabove,wemeasuredtheheightofsometrees.Eachpointhererepresentsonetree.Inthe graphontheleft,wematchedeachtree'sheightwiththenumberofcicadaswefoundinit.Inthegraphonthe right,wematchedeachtree'sheightwiththecircumferenceofitstrunk.
Noticeadifference?Thegraphonthelefthaspointsthatseemrandomlyscatteredaroundthegraph.The graphontheright,however,haspointsthatseemtomakeastraightline.Infact,wecantrytodrawthatline.


Thegraphherehasatrendlineorlineofbestfit.
That'salinethatcloselyapproximatesthebehavior ofthepoints.Thelinedoesn'texactlydescribetheir behavior-youcanseethatnotallthepointsare ontheline.Butitcomesclose.
Whywouldwewantaline?First,inordertosee thatthereisastrongrelationshipbetweenour variables.Youcanseethelinehasapositiveslope. Thatmeansthatastreeheightincreases,trunk circumferencelikewiseincreases.Makessense.


Ofcourse,wesawthatpositiverelationshipwithouttheline.Havingthelinethere,however,allowsustomakea prediction.There'satrendintherateatwhichthecircumferencegrows..Theslopeofthelinetellsushowmany inchesofcircumferenceatreeexpectstogainforeverymeterofheightitgains.Wecanusethattofindthe expectedcircumferenceforanygivenheight.
Thatmaysoundfancy;butwhatwemeanistojustlookatthelineandfindnewpoints.
- According to the line of best fit, a tree that is 60 m tall can be predicted to have what trunk circumference?
Let'sjustfindthe60onthex-axis,followituptotheline,andlookupthevalueoftrunkcircumferenceontheyaxis:

Soatreewithaheightof60mwillhaveacircumferenceof40inches}right?
NO.Atreewithaheightof60mwillprobablyhaveacircumferenceofabout40inches. Rememberthatnotallpointslieexactlyontheline.They'reallprettyclose,sowecanbe


confidentthatthecircumferenceshouldbeprettycloseto40.Butwedontknowforsurethatitwillbeexactly40 in.
Incontrast1 thefirstdatasetwesawshowednorelationshipbetweentreeheightandnumberofcicadas.For example1 onetreethatwas40mtallhadaround7.cicadas1 whileanotherwasalso40mtallbuthad14cicadas.So wecan'tmakeanypredictionsatall.Atreethat's60mtallmighthave5cicadas1 mighthave20.Wedon'tknow.
Mindyou1 wecoulddrawalineofbestftforanycollectionofdata.It'sjustthatwhen thepointsareclosertothelinetherelationshipisstronger1 andthereforewecanbemoreconfidentinour predictions.
Ofcourse1 anincreasinglinearrelationshipisonlyonepossiblerelationship.Herearesome·more:

Bargraphsworkbasicallythesamewayasthexy-coordinateplane.Youhavetwoaxesandyoumatchupthe data.Let'stryone.Let'ssayweleavehomeandstopevery10kmtocounthowmanygoatswesee:

Eachbarcorrespondstoadifferentdistancefromhome,matcheduptoanumberofgoats.Justlikeour scatterplot,butwithbarsinsteadofpoints.Infact,you·canoftenrepresentthesamedataseveraldifferentways. Here'sthesamedataasatableandasascatterplot:

Withabargraphyou'vegotalittlebitmore leewaywithwhattodowiththex-axis.You couldmakeitavaluejustlikewedidabove. Oryoucouldmakethebarsdifferentlabelsfor differentgroups:


Allright,-wetalkedaboutfigures.Nowlet'stalkaboutsomenumbers.Whatcanwedowithallthisdatawe have?
There'safancywordinstatisticscalledcentralityorcentraltendency)whichmeansthevalueatthecenterofa groupofnumbers.Thatis,onenumberthatbestrepresentsawholesetofnumbers.Thereareseveraldifferent waystofindthecenter.TwoinparticularareofinteresttousontheSAT:meanandmedian.
Thisiswhatweusuallymeanwhenwesay"average':Findtheaveragebytakingthesumofthenumbers dividedbythenumberofterms.
- Whatis the average.(arithmetic mean) of7, 18, 4, 9.and
2?Thesumis7+18+4+9+2=40.
ThereareSterms,sotheaverageis40+S=8.
Median
Themedianisthemiddlenumber)whenyouputthetermsinorder.
- What is the median of7, 18, 4, 9 and 2?
Writetheminorder,youget2,4,7)9,18.Theoneinthemiddleis7,sothemedianis7.
Notethatthevalueofthemediandoesn'tchangeifyoumakethehighesttermhigherorthelowesttermlower. Forexample)ifwechangedthesequenceaboveto2,4,7,9,157,themedianwouldstillbe7.
Ifthereareanevennumberofterms,suchthatthereisnoonenumberinthemiddle,themedianistheaverage ofthetwomiddlenumbers.
- Whatis the median of9, 2, 7, 8, 4 and 18?
Writetheminorderandyouget2,4,7,8)9,18.Thetwomiddlenumbersare7and8,sothemedianis7.5.

Wejusttookthesamesetoffivenumbersandgottwodifferentcenters:themeanis8andthemedianis7. What'sthedifferencebetweenmedianandmean?Whybotherhavingdifferentcalculationslikethis?The differenceisthatthemedianisnotaffectedbyextremevalues}whilemeanis.Thismaybeimportant.
Let'ssayyou'reinabookclubwithsomepeoplefromyourneighborhood.Let'slookatthemedianandmeannet worthforev�ryoneinyourbookclub:
Huh.That'sweird.ThereseemstobeadiscrepaIJ.cybetweenthemedianandmean.Youknowwhat?Let'slookat theindividualvaluesforthepeopleinthebookclubtotrytofigureoutthecause:
You
Molly
Nihal
Jeanne
Yehuda
Gary
Steve
$0.00Jamelle
$0.00Audrey
$0.00Ariel
$0.00Colleen
$0.00Isabelle $0.00
$0.00MichaelJordan
$0.00Bob
$650,000,000.00
$0.00
Didyoucatchit?Mostofthemembersofthebookclubarehighschoolkidswhohavenojobs,assets,or money,sothey'reallworthnothing.ExceptforNBAHall-of-FarnerMichaelJordan,whoisalsointhebook clubforsomereasonandisworth$650million.Inthiscase,usingthemeandoesn'tactuallygiveyouanaccurate pictureofthegroupasawhole,becauseonememberisskewingtheaveragebysomuch.Butthemedianonly usestheterminthemiddleandistotallyunaffectedbyhowfarawaytheendpointsare.
Thatdoesn'tmeanthatmedianisalwaysbetter,ofcourse.Weusemeanalot!Incasesthataren'tasextremeas this,weoftendowanttoaccountforallthevalues,includingtheonesatthetopandbottom.There'snoone answerforwhichis"better"iitdependsonwhatyou'retryingtofigureout.


Let'stakeacloserlookatarithmeticmean(whichwe'lljustcall"average"fromhereonout).Weallknowpretty wellhowtotaketheaverageofalistofnumberstheygiveus.Ifyou'regivenalistofnumbers,justaddthemallup anddividebyhowmanythereare.
ButonSATquestionssometimeswedon'tknowwhattheindividualnumbersare.Let'slookatone:
- The average of 5 numbers is 15. Ifthe averag� of 3 of those numbers is 19, what is the averageofthe other two numbers?
Itlookslikewedon'thaveenoughinformation.Sincewedon'tknowtheterms,wecan'taddthemup.Whatdo wedo?
Ah,weknowmorethanwethink.Let'slookagainatthedefinitionofaverage: Average Swnofterms Howmanyterms
Ifwemultiplybothsidesofthisequationbythenumberofterms,weget:
Thisequationisveryimportant.Evenifwedon'tknowtheindividualnumbers,wecanstillworkdirectlywith theirsum.Inourproblem,weknqwwehave5numbersthathaveanaverageof15,sotheirsummustbe5x15= 75.Regardlessofwhattheindividualnumbersare,theymusthaveasumof75,orelsetheywouldn'thavean averageof19.
Wecanfilloutacharttohelpusorganizethisinformation:
5numberswithanaverageof15,sotheirsum is5(15)=75
3'numberswithanaverageof19,sotheirsum is3(19)=57
Thereare2numberswedon'tknow,sotheir summustbe18.
Onceweknowthatthosetwonumbershaveasumof18,wecanfindtheaverage:

Sumofterms 18
Average = ------ = - =9
Howmanyterms 2
Butagain,youonlyneedtodothiswhenyoudon'tknowtheindividualtermsinvolved.Ifyou'regivenalistof numbers,justaddthemupanddividebyhowmanythereare.
Themodeisthenumberthatoccursmostfrequently.
- What is the mode of 5, 2, 7, 2 and 9?
Eachnumberoccursonce,exceptfor2,whichoccurstwice.Sothemodeis2'.·
Standarddeviationmeasureshowfarthedatacollectivelystraysfromthemean.Themorespreadoutthevalues are,thelargerthestandarddeviation.
Let'slookattwosetsofdata.
Cl�ss 1: {1, 2, 3, 3, 3, 3, 3, 3, 4, 5} Class 2: {1, 1, 2, 2, 3, 3, 4, 4, 5, 5}
- Mr. Lundqvist has two math classes, each with 10 students. He asked each student how many pets they own. The two sets above show the results. Which class has a larger standarddeviation?
Forboththesesets,theaverageis3.Bothclasseshadstudentswithasfewas1petandasmanyas5pets.Butfor class1,moststudentswereclusteredaroundtheaverage,whereasforclass2,thedatawasevenlydistributed acrossthevalues(eachvaluehad2students).Sinceclass2wasmorespreadout,class2willhavealargerstandard deviation.
Wouldyouliketoseethisdataasafrequencytable?No?Toobad,hereitis:
Calculatingstandarddeviationcanstarttogetverycomplexveryquickly-we'redippingourtoeintothepool ofCrazyMathhere.ButontheSAT,youwillonlyneedtoknowwhatthetermmeans.Nowletusneverspeak ofitagain.

"Probability"meansexactlywhatitsoundslike:how"probable"isthisevent.Theprobabilityofaneventis definedas:
numberof"winners" totalpossibleevents
Iftheprobabilityofwinningthelotteryis"oneinamillion'�thatjustmeansthere'sonewinningnumberoutofa millionpossiblenumbers.Sinceprobabilitiesarejustglorifiedfractions,youcanthinkofprobabilityasbasically thesamethingasapercentage.Peopletalkthiswayallthetime;whentheweathermansaysthere'sa60% chanceofrain1 that'sthesamethingasaprobabilityof3/5.Somostprobabilityquestionsjustboildownto: whatpartofthewholeisthethingyou'relookingfor?·
- A certainjar with 32 marbles contains only red marbles and blue marbles. If thejar contains 8 red marbles, whatis the probability that a marble chosen from thejar will be blue?
We'relookingfortheprobabilityofchoosingabluemarble.Soallwehavetofindis: bluenumberofbluemarbles totalnumberofmarbles 32
Weknowthereare32totalmarbles,so32willgoonthebottom.Wedon'tknowhowmanybluemarbles thereare,butwedoknowthereare8redmarbles,andthereareonlyredandbluemarbles.Soifwe subtracttheredfromthetotal1 we'llbeleftwiththeblue.
32-8 24 3 --=-=32324
We'redone!Theprobabilityofchoosinga bluemarbleis3/4.
Notethatinsteadofsolvingforthebluemarbles,wecould'vefoundtheprobabilityofchoosinga redmarbleandsubtractedfrom1. red81 --=-=total324 1-..!.=i 44
There'sa1/4chanceofpickingaredmarble ......sothere'sa3/4chanceofpickingablue
Wecanseefromthisthattheprobabilities marble.ofalleventssurroundingagivenproblemmustaddupto1.Justlike allpercentsofawholeaddupto100%,allprobabilitiesaddupto1.
ProbabilityquestionsontheSAToftengetinvolvegettingdatafromtables.Thatmeansyou'llhavetofind andgroupdatajustlikewesawearlierwhenwewerediscussingtables.Infact1 questionswesawlikethis:

10. According to the table above, approximately what fraction of residents 55 or older are female?
...couldjustaseasilyhavebeenphrasedlikethis:
10. According to the tabl� above, what is the probabilit_y that a randomly selecied resident 55 or older will be female? Becauseprobabilityandfractionsareoneandthesame.

Oneofthemainreasonspeoplecollectdataistogetasample.Mostofthetime1 Ican'tcounteverything.There aretoomanythings!Iflhaveaquestionabouttheworld,Ican'tgettotalknowledgeofeverything.ButIcan learnaboutasmallportionoftheworldandassumethattherestoftheworldissimilar.
Weseethisallthetimewithpolling.Let'slookatsomedata: Survey Responses:. Doyousupport Proposition 409?
- The ta�le above shows the results ofa survey of 100 residents of Hartsville. Respondents were asked whether they support Proposition 409. Ifthe city of Hartsville has approximately 20,000 residents, roughly how many total residents can be expected to support Proposition 409?
Wecanseefromth�resultsthat60peopleoutofthe100whorespondedsaidyes,theysupportthe proposition.That's60%.Sowecouldexpectthat60%ofthewholepopulationsupportstheproposition.So
201000X(0.60)= 12,000 residentswouldsupporttheproposition.
Aprojectionisanotherkindofproportion.Wetakeasmallsamplewetaketoberepresentativeofthe wholegroup.Wecanthenprojectthatratioontotheentiregroup.If3/Softhesamplewouldvoteyes1 then 3/5ofthewholecitywillprobablyvoteyes.
MostSATquestionsaboutprojectionwillworkthatway.However1 wehadabigassumptionhere:howdo weknowthatthewholegroupwillbehavelikethesample?Wehavetobesurethatoursample isrepresentativeofthewholetown.Thatis1 thatitbehavesthesamewaythewholetownbehaves.
Firstofall1 samplesizewillmakeadifference.Themorepeopleyouask,themorereliableyoursampleis.I mean1 ifthiswastheresultofmysurvey:

Ican'tusethisdatatoprojectthat100%ofthetownwillvoteyes.Ionlyaskedtwopeople!Thisisnota representativesampleoftheentiretown.Thereareprobablyawiderrangeofopinionsthanthesetwopeople have.
Thatdoesn'tmeanweneedahugesampletobeaccurate.A100-personsampleisaperfectlyfinesamplesizefor ourcity.Buttheremaybeotherproblems.
Secondly,wecanlookforbias.Let'sgetmoreinformationaboutProposition409:
Proposition 409 is a bill to use taxpayer money to install fancy plush seats at Hartsville Stadium, home of the Hartsville Hounds football team.
Huh.That'sanoddbill.Andtellmemoreaboutthissurveywegave.Wherewasthissurveygivenexactly?
100 Hartsville residents were surveyed as they were leaving a Hartsville Hounds game.
Aha!Soallthepeoplewhorespondedtothesurveyhadjustbeentoafootballgame.Sothesepeoplearelikelyto befootballfans.That'simportantbecausethepropositionisaboutfootball.Peoplewhodon'tcareaboutfootball areprobablylesslikelytosupportusingtaxpayermoneyforfootball.Andthosepeoplewerelesslikelytotakethis survey.Sothissurveyisbiasedtowardspeoplewhowouldvoteyes.Soit'snotarepresentativesample.
Ifyouwantasampletoberepresentativeofalargegroup}thenithastobevariedinthesamewaythegroupis.It shouldbearandomsurvey.Ifallpeopleinthesampleshareaparticulartrait}itcouldbebiasedtowardthattrait.
Thelastthingtokeepinmindaboutsamplingisthateverythingwedoisanestimate.Evenifwe'recertainour sampleislargeandunbiased}wecan'tknowdefinitivelyhowall20,000residentsaregoingtovote.Wecanonlyget closetoknowinghowthey'relikelytovote.Thisisjustlikewhenweweretalkingabouttrendlinesinscatterplot graphs:thetrendlineisakindofprojectionthattellsuslikelyvalues.Thatdoesn'tmeanthatit'suselessandwe can'tknow

anythingaboutanything.Wecanstillbeconfidentinourprojection.Wecanevenbeveryconfidentinour projection.Butwewon'tbeabsolutelycertain.
Notethateverythingwe'retalkingabouthereisjustabriefglimpseintotheworldofsamplingandprojection.A quickinternetsearchwillshowyouthatthemathbehindthissortofthingcangetverycomplicatedveryquickly. Therearewaysyoucancalculatehowconfidentyouareinyourprojections,waysyoucanmakeadjustmentsto correctforbias,andmore.
Iassureyou,youwillnothavetoknovyanyofthat.StatisticalquestionsontheSATtendtobeverydirect,only testingyouonwhetheryouunderstandtheunderlyingconcepts,notaskingyoutodoexcessivecomputation. Really,mostprojectionquestionsontheSATarejustglorifiedratios.


ThesmallestportionoftheSATiscalledAdditionalTopicsinMath.Thisinvolvesafewdifferent concepts,butmostlyitmeansonething:GEOMETRY.Geometryisalove-it-or-hateitworld.Some studentscan'tgetenoughofit.Somestudentsfreezeupandwetthemselvesattheverythoughtofit. You'regoingtohavetodosomegeometryontheSAT.
Butluckily,notthatmuch!Thereareonly6questionsonthetestcategorizedasAdditionalTopicsin Math,andusuallyatleastoneofthemisn'tonGeometry,s�we'rereallyonlytalkingabout5questions outof58-that'slessthan10percentofthetest.
We'regoingtoshowyouafewsimplerulesandnotmuchelse.Anyothertheoremsorrulesthatyou mayhaveheardaboutareonlytruebecauseofthestuffinthischapter.Forthemost part,thebasicrulesreallyareallyouneed.Butifyoudoneedamorecomplicatedrule,youcanfigure itoutfromthebasicrules.
Ofcourse,ifyouhaven'thadarigorousgeometryclassinschool!youneedtolearnthebasicrulesreally, reallywell.Butdon'tworry.Allyouneedisthestuffinthischapter.Learnit,andyou'regoodtogoon everygeometryquestionontheSAT.
Afewquickremarksbeforewegetstarted:
Don'tforgetaboutGuesstimate.Ifyouseeaquestionwithapicture,beforeyoudoanythingelse,check thatit'stoscale,guessthevaluethey'reaskingfor,andtheneliminateanyimplausiblechoices.
Inthischapterwe'regoingtobetalkingaboutalotofstraightmathcontent(rulesandformulas).But thatdoesn'tmeanyoushouldforgetaboutthetechniques.AndnotjustGuesstimate,either.Youcan usePlugInandBacksolveongeometryproblems,too.Sostayalert.


We'regoingtotalkaboutalotoflittlerulesandformulasthroughoutthislecture.However,youdon'teven reallyhavetoknowalotofthem.Theytellyou manyofthefactsandformulasyou'llneed.Onthefirstpageof everymathsection,you'llseethis:





T T h h e e num number berof of radians degrees of of arc arc in in a a circle circlei is s 2n 360. Thesumofthemeasuresindegreesoftheanglesofatriangleisl80.
It'sastoundinghowlittlemathyouactuallyhavetoknowonthistest.
Obviously,you'llworkafotmorequicklyifyouknowallthisstuffbyheart.Butifyou'reeverunsureofa formula,takeafewsecondstocheckthefront.Bettersafethansorry.
Whilethenumberofrulesyouneedonthetestisrelativelysmall,itmaystillseemburdensometoyou.Imean, howdoyouknowwhichruletouseonwhichquestion?Wheredoyouevenbegin?
Justlikewesaidintheveryfirstmathchapter,therearetwoquestionstoaskyourself:
1.WhatdoIwant? 2.WhatdoIknow?
Thegoalofeverygeometryproblemistoconnectthesetwoquestions,tciplaywithwhatyouknowinorderto getwhatyouwant.
Takealookatthisproblem:

9. In the figure below, a circle is tangent to two sides of a 12 by 6 re·ctangle. What.is the area of the circle?
1. A) B) C) D) 6n 9n 12n 36n
Whatdowewant?Theareaofthecircle.
TheformulafortheareaofacircleA=1rr2.Tofindthearea,we'llneedtheradiusofthe circle(orthediameter,whichisjustdoubletheradius).
2. Whatdoweknow?Thelengthoftherectangleis12andthewidthis6.
Sotherealkeytothisproblemis:howcanIusethelengthorwidthoftherectangletofind theradiusordiameterofthecircle?
Aha!Thewidthoftherectangleisequaltothediameterofthecircle!HowcanItell?By Guesstimate!Don'tworryabouttheweird"tangent"stuff:theylookequal.

Thewidthoftherectangleis6,sothediameterofthecircleis6.Sotheradiusis3,andtheareaofthe·circleis91r, whichischoiceB).
Thepointhereisthatyoushouldneverbeabsolutelystuckonageometryquestion.There'salwayssomethingthat youknow,somethingthatyoucanfigureout.Don'tbescaredofthefigures,justputdownwhatyouknowand trytoconnectittowhatyouwant.



- What is the sum of the marked angles in quadrilateralABCD shown to the left?
What?Theydon'ttellusanythingaboutthisthing!Whatevershallwedo?
Fearnot.Wedidn'tlearnanyrulesaboutanglesofquadrilaterals.Butwe do knowthatatrianglehas180° Let'ssplitthisguyupintotriangles!
1hequadrilateralismadeupoftwotriangles.Eachtriangle has180°Sothequadrilateralhas2x180= 360° . That'sit. We'redone!
Someofyoumayhavealreadyknownthattheanglesof anyquadrilateraladdupto360° .Butwecandothiswith anyshape.Drawtrianglesusingonlytheshape'sexisting

vertices.Wecanseethatapentagoncontains3triangles,soitsanglesaddupto:
3X180=540° .
Andahexagoncontains4triangles,soitsanglesaddupto
4 X 180=720° .


Ourpointisnottogetyoutomemorizethenumberofdegreesineverypolygon.1hepointisthatyoudon'thave tomemorizeabunchofruleslikethat.Justknowthefivebasicanglerulesandyoucanfigureoutanythingelse youneedtoknowaboutangles.

Youshouldneverbetotallystuckonaproblemthatdealswithangles,becausethere'salwayssomethingyou know.Moreoftenthannot,justputtingdownwhatyouknowbasedontheseruleswillleadyoutowhatyou're tryingtofind-evenifyoudon'tseewhereyou'regoingwithit."Okay,Ireallydon'tknowhowtofindwhatthey want,butIknowthat'satriangle,soitsanglesaddupto180.AndIknowthat'sastraightline,sothoseangles addupto180..."Etcetera.Justplaywiththeserulesandseewhereittakesyou.
Andremember:whenindoubt,drawtriangles.

Let'sstartwithafewdefinitionsandformulas.NotethatthisisallyouneedtoknowfortheSATaboutperimeter, area,andvolume.Ifyouwanttofindtheareaorvolumeofashapethatisn'tlistedhere(likeapentagon),either:
A)youcanfinditbyusingsomecombinationoftheshapeslistedhere,or B)youdon'tactuallyneedthatarea(you'onlythinkyoudo).
Theperimeterofanyfigureisthesumofthelengthsofalltheoutsideedges.Okay?Okay.


Somenotes:
-Inatriangle,thebaseisjustwhateversidehappenstobelyingflatontheground.The heightisalinefromthetopmostpointofthetriangleextendingperpendiculartothebase.Sometimes that'sjustasideofthetriangle,sometimesit'sinsidethetriangle,sometimesit'soutsidethetriangle.All threeofthefollowingtriangleshaveidenticalareas,becausetheyhavethesamebaseandheight: h



-Theformulasforsquaresandrectanglessaythesamething.Asquareisjusta rectanglewithequalsides,sos=e=w.
-Noticethattheareaofatriartgleishalftheareaofarectangle.Imaginecuttinga rectangleinhalfalongthediagonal;you'dgettworighttriangles.Andforeachtriangle,thebaseand AREA: 1Triangle: A=-bh 2 Rectangle:A=Ew Square: A=s
Parallelogram: A=bh heightareequaltothelengthandwidthoftheoriginal

rectangle.


-Youcanalsousetrianglestofindtheareaofothershapes.Theareaofaparallelogram isbasetimesheight(that'stheheight;nottheside).Youcanseethisbydrawingin twotriangles,aswedobelow.Again,weusetherulesweknowtofigureouttherules wedon't.

Shadedareaproblemsarebestdonebysubtradion.Findtheareaofthewholefigureandtakeawaywhatyou don'tneed.
Takealookatthisone:
--'I� the figure below, a small'square is·inside a larger square. What is the �rea of theshaded region?

Note:Figurenotdrawntoscale.
Itmaybetemptingtotrytofindtheareadirectlybydividinguptheshaded regionintofourrectangles.Butwecan'tfindthoseareasbecausewedon't knowalloftheirdimensions.Plusit'skindoftedious.


Instead,let'sjustfindtheareaofthewholesquareandsubtracttheareaoftheunshaded square. Whatever'sleftwillbetheareaoftheshadedregion
.Aw/10/e=S2 =82 =64
A,mshaded= 5 2 =25
Ashaded=Awlwle-A,mshaded =64-25[= 39]
Wefindthe"surfacearea"byfindingtheareaofthesurface.Thatmeanswehavetofindtheareasofallthe shapesontheoutsideofthebox.Aboxismadeupofabunchofrectangles;we'llfindtheareaoftherectangles andaddthemallup.1hat'sit.
Thisboxhasdimensions12,8,andS.Tofindthesurfacearea,we'lltaketheareasofalltherectanglesonthe outsideandaddthemup.

Wecanseethattherearethreetypesofrectanglesinthisbox: A=12x8=96
=12X5=60
=8X5=4O


BUT,eachofthesesidesshowsuptwiceinthebox(topandbottom,frontandback,sideandside.)
SA=2(A1+A 2 +A)
SA=2(96+60+40) = 2(196)
SA=392
Again,acubeisjustaspecialtypeofbox.Sinceit'smadeupof6squares,we'lljustfindtheareaofonefaceand multiplyby6.Thissquarehasedgesoflength4.
SA= 6(A0)
SA=6(s2) = 6(42)=6(16)
SA=96






A-Justastheareaofarectangleisfoundbymultiplyingitstwodimensions,thevolumeofaboxisfoundby multiplyingitsthreedimensions.
-Justasasquareisarectanglewithequalsides,acubeisaboxwithequalsides.
-Noticethatthevolumeofacylinderworksunderthe sameprincipleasthevolumeofabox.Forabox,the baseisarectangle,soitsareaislengthtimeswidthi getthevolumebymultiplyingthatbytheheight.For acylinder,thebaseisacircle,soitsareaispr2 igetthe volumebymultiplyingthatbytheheight.
=(lw)xhV=(nr2)xii
VOLUME:
Box:V=Ewh
Cylinder:V=m1h
Cone:V=.2._nr 1h 3 h 43 Spere:V=-n 3
Rectangular
Pyramid:V=.!...ewh 3

Circlesareaweebitdifferentfromothershapes,sotheygettheirownsection
A. Definitions
-Whenalineistangenttoacircle,thatmeansittouchesthecircleat exactlyonepoint.Inthefiguretotheright,segmentABistangentto circleOatpointC.Notethatatangentlineisalwaysperpendicular totheradiusofthecircleatthepointofintersection.Here,radius OCisperpendiculartosegmentAB.
-Whenoneshapeisinscribedinsideanothershape, thatmeansitfitsexactlywithinthelargershape,




touchingitsedgesatonepointoneachside.Ifyouencounteraquestioninvolvingcirclesandinscribedshapes, theradiusordiameterofthecirclelikelycorrespondswithakeyelementoftheothershape.Inthefirstfigurehere, tl,iecircle'sdiameteristhesamelengthasthesideofthesquare.Inthesecond,thediameteristhesameasthe diagonalofthesquare.
-Theperimeterofacircleiscalleditscircumference(C).Thecircumferenceisequal tothediametertimes n, whichisthesameastwotimestheradiustimesn (sincethediameterequalstwo radii).
-Notethatthedistanceawheeltravelsinonerevolutionisequaltothecircumference ·.ofthecircle.
-Theareadfacircleisequaltotheradiussquaredtimesn.
FORMULAS:
C=nd=2nr
A=nr2
-n(pronounced"pi")standsforaspecialnumberwhosevalueisapproximately3.14. FormostSATproblems,youdon'thavetocalculatethenumber;youcanjustleaveitasthesymboln.
Inthecircleshownhere1 theradiusis3,so
C=2m- A=m-2
C=2n-(3) A=1r(32) I C= 6,r A=91r I
Awedgeorsliceofacircleisnothingmorethanapartofacircle.Problemsdealingwiththemcanbedonewith simpleratios.Takealookatthiscircle:
Obviously,theshadedsectionisonefourthofthecircle.How canItell?Firstofall,becauseitlookslikeafourthofthecircle (Guesstimate!)
Thatcentralangle, LAOB, is90° .90isonefourthof360.Sothatcentral angleisonefourthofthewholeangle(360).

Let'ssaythecirclehasaradiusof10.SoitsareaislO0rc.Theareaofthesliceisonefourthofthat:25rc Ifthecirclehasaradiusof10,itscircumferenceis20n.ThelengthofminorarcABisonefourthofit: Sn.
Thisisprettyeasytosee.Sincethatsliceisonefourthofthecircle1 everythingaboutthatsliceisonefourthofthe correspondingcharacteristicofthecircle:theangleisonefourthof360,theareaisonefourthofthecircle'sarea, andthearclengthisonefourthofthecircumference.

Thisistrueofallslices.Thesliceshowntotheleftis1/60ofthecircle, sothatangleis1/60of360°,thearcis1/60ofthecircumference,andtheareaofthesliceis1/60ofthewholearea.
Soifyouknowanyonethingaboutaslice,youcanfigureoutwhat fractionofthecircleitis.Onceyouknowwhatfractionofthecircleitis,youcanfind anythingelseaboutthatslice.
Youcansetupanysuchproblemwithaseriesofratios:

TrianglesarethekeytoalotofSATquestions.Infact,ifyou'reconfrontedwithanoddshapeyoudon't understand,trydrawinginatriangle.Trianglesareyourbestfriend.Trustus.
Ifalltheanglesofonetriangleareequaltoallthecorrespondinganglesofasecondtriangle,thentheyare similartriangles.Thatmeansthatalltheirsidesareinthesameratiowitheachother.


Here,.6ABChasallthesameanglesas.6DEF,sotheyaresimilartriangles.AB=7andDE=14,soDE isdoubleAB.Sincethetrianglesaresimilar,eachsideof.6DEFwillbedoublethecorrespondingsideof .6ABC.SoEF= 2(10) = 20,andDF=2(12) = 24.
Whendealingwithsimilartriangles,it'simportanttokeeptrackofwhichsideiswhich.ABwillbe proportionaltoDEbecauseeachofthemisacrossfromthe"z"angle.
Similartrianglesdon'thavetobenexttoeachother.Often thesequestionswillfeatureatriangleinsideofatriangle.Inthe figuretotheleft,ifDEisparalleltoBC,thenLADE=LABC. Therefore.6ABCissimilarto.6ADEbecausealloftheir correspondinganglesareequal.


ThePythagoreanTheoremisawaytofindthethirdsideofarighttriangle.· Thesumofthesquaresofthelegsofarighttriangleisequaltothe squareofthehypotenuse.·


Bytheway,ifyouforgetthePythagoreanTheorem,lookatthefrontofanymath section:theygiveittoyou.Youdon'tevenhavetoactuallyknowit!Thingswill obviouslygomoreswiftlyifyouknowitbyheart(andmanyofyouprobablydo),but evenifyou'reslightlyunsureaboutit,checkthefront.Bettersafethansorry.
Trythisone:
3 - If a right triangle has legs of length 3 and 4, what is the length of the hypotenuse?

32 + 42=x2
9+16=x2
25=x2 5=x
Arighttriangleis atrianglewitha rightangle(a90° angle).Theside oppositetheright angleiscalledthe hypotenuse.The twosidesnextto therightangleare calledlegs.
Someofyoumayhaverecognizedthetriangleintheproblemabove.It'sa"PythagoreanTriple".Becausethe PythagoreanTheoremhasallthose"squares"init,mostrighttrianglesdon'thaveintegervaluesforallthesides. Sothetrianglesthat do haveallintegersshowupalot.The3-4-5isacommonone.Ifyouseeatrianglethathas legs6flength3and4,youknowimmediatelythatthehypotenusemustbeS.
Beonthelookoutformultiplesofthe3-4-5,aswell.Forexample,a6-8-10triangleisjusta3-4-5trianglewith eachsidemultipliedbytwo.They'resimilartriangles:theyhavethesamesideratioswithdifferentvalues.

Thesimilartriangleruletellsusthattriangleswiththesamesetofangleswillhavethesame ratioofdimensions.Therearetwoparticularsetsofanglesthatshowupmorefrequentlythan others.
The Isosceles Right Triangle (45-45-90).
Anisoscelesrighttrianglehastwolegsofequallength,apdtwo45°angles.Thedi�ensionsof thesetrianglesarealwaysinthesameproportion:


Thismeansthatifyouknowthelengthofalegofthetriangle1 youcanimmediatelyfindthehypotenuse-it'sjustthe legmultipliedby✓2 4 7




Whydoweknowallthesetriangleshavethesamedimensions?Theyallhavethesameangles1sothey're similartriangles!
Noticethatweknowallofthesetrianglesare45-45-90eventhoughtheydidn'ttellustheanglesare45°.That's becauseweknoweachhastwoequalsides-andthataloneisenoughtomakethemisosceles.
The 30-60-90 Triangle
Anytrianglewithanglesof30° 1 60° 1 and90°willalwayshavethesamedimensions. It'sthesameconceptasthe45-45-90triangle:iflknowjustafewthingsaboutthe triangle,Icanjustfillinallthevaluesfortherestofthetrianglewithoutdoingalotof calculationsorbotheringwiththe


PythagoreanTheorem.Theyallhavethesameangles,sothey'resimilar�iangles!
Itcanbetoughtorememberallthesedimensions.The45-45-90isabiteasiersincetwoofthesidesarethesame. Butinthe30-60-90sinceeachsidehasadifferentvalueandit'seasytomixupwhereeverythinggoes.Here'satip forrememberingwhichangleandwhichlengthgoeswhere:
-The45-45-90triangleishalfasquare.Thediagonalofthe squarecutstworightanglesinto45°angles.Thetwox'sarethe x sidesofthesquareandthehypotenuseisthediagonal.


-The30-60-90triangleishalfanequilateraltriangle.Aline dividesoneofthe60°anglesintotwo30°angles,andthen cutstheoppositesideinhalfaswell.

Butagain,ifyou'renotsurewheretoputeverything-checkthefrontofthesection.Theygiveyouthis.Youdon't havetorememberit.
Sometimes,itmaynotbeobviousthatatriangleinaproblemis30-60-90or45-45-90.But
noticethatthesetrianglesinvolvetwohappymagicnumbers:✓2and✓.Thesenumbersdon'tshowup veryofteninothersituations.Infact,theyrarelyshowupinothersituations. Soifyou'redoingaproblemandnotice✓3intheanswerchoices,there'saprettygood chancethatthere'sa30-60-90triangleintheproblem.ThesamegoesforJi.i ifyouseeitin theanswers,there'sagoodchancethere'sa45-45-90triangleintheproblem.Ofcourse,this isn'talwaystrue.Butifyou'restuckonaproblem,lookforthesehappymagicnumbers.Theycouldhelpyou spotsomethingyouwouldhavemissedotherwise.


Trigonometrycanbeascarytopic.Someofyoumaynothavedoneanytrigonometryinschoolyet1 . sothiswill allbenew.Buttrigonometryisn'tsobad.Firstofall1 whilesometrigquestionsdoinvolvesometrickyconcepts1 mostofthemjusttestyourknowledgeofthedefinitionsofthebasictrigonometricfunctions.Onceyoulearn those1 youcanknockoutmosttrigonometryquestionswithoutbreakingasweat.Second1 becausetrigonometry questionsaredifficultforstudents1 theytendtoappearattheendofthetest.Thatmeansthatalotof trigonometryquestionswillbepastyourtargetnumbers1 soyouwon'tevenreadthematall.
Whatistrigonometryandwhydoweneedit?Itallbeginswithrighttriangles.
Rememberwhenweweretalkingabout45-45-90triangles?Wesaidthateverytrianglewhoseanglesmeasure45° 1 45° 1 and90°havedimensionsinthesameproportion1 1:1:..fi.



Thesamewastrueofthe30-60-90triangle.Everytrianglewhose anglesmeasure30° 1 60° 1 and90°havesidesintheratio1:.Jj:2.We calltriangleslikethissimilartriangles-iftheiranglesareallthesame measure1 theirsideswillbeinthesameratio.
Ratherthanlookingattheratioofallthreesidesatthesametime1 it's easiertolookattwosidesatatime.Ifarighttrianglehasa45°angle1the ratioofthesideoppositetheangletothesidenexttoitwillbe1:1.Ifarighttrianglehasa60° angle1 theratioofthesideacrossfromittothehypotenusewillbe.Jj:2.
Theseratiosarethewholepointoftrigonometry.Therearethreebasictrigonometryfunctions: sine1 cosine,andtangent(abbreviated"sin'�"cos"1 and"tan").Thesefunctionsdoexactlywhat wejustdid:theytaketheratiosofthesidesofarighttriangleinrelationtoaspecificangle.
Herearethedefinitionsforthesefunctions:

1he symbol "0" is the Greekletter "theta". It's often used to describe angles in trigonometry problems. Note that these functions onlyworkwithright triangles-triangles that contain right angle.
MEMORIZETHESEDEFINITIONS. Many trigonometry questions require nothing more than knowing these three defnitions. You can remember these ratios via the acronym SoHCAHTOA:
Sine = Opposite over Hypotenuse
Cosine = Adjacent overHypotenuse
Tangent= Opposite overAdjacent
Let's look at anexample:
- In .6.ABCto the right, what is the value ofsin A?

We know that sine is equal to the opposite side over the hypotenuse. 1heside oppositeangle A is 4, but we don'tknow the hypotenuse. We can use thePythagoreanTheoremto find it, or we can see that it's a 3-4-5 triangle, so the hypotenuse is S. Therefore, sin A=i. s

Infact,oncewehaveallthelengthsofthesides,it'seasytofindalltheratios:*
Let'stryonethathasanswerchoices:
17. If0° < X < 90° and tan X = � I what is cos x? 8
Thisquestiondoesn'tgiveusafigure,soweshoulddrawone.Itdoesn't havetobetoscale,justdrawatriangleandcalloneanglex.
Tangentisoppositeoveradjacent,sothesideoppositexis5andtheside nexttoxis 8.

Wewantcosx:that'sadjacentoverhypotenuse.Weknowthattheadjacentsideis81 butwe don'tknowthehypotenuse.WecouldusethePythagoreanTheoremtofindit.Butlook..:_all theanswerchoicescontaincombinationsofS,81 and./89.Sothehypotenusemustbe./89. Wedon'thavetodooutthework.Nice!
Thesideadjacenttoxis8,thehypotenus�is./891 socosxis8That'schoiceC).

Thethreebasicfunctionsshowthreeratiosofsidesofarighttriangle.Butthosearenottheonlycombinationsof sides.Wecouldalsoflipthefractionstogetthereciprocalfunctions.Thesearecalledcosecant(csc),secant(sec), andcotangent(cot).
COSECANT:
SECANT:
COTANGENT:
csc0=_I = Hypotenuse =!.... sin0 Opposite y
sec0=_1_= Hypotenuse r
cos0 Adjacent x
cot0=_I = Adjacent =� tan0 Opposite y

y A X C
It'seasytomixtheseupbecausethe"co-"sdon'tmatch:cosecantisthereciprocalofsine,andsecantisthe reciprocalofcosine.
Thereciprocalfunctionsdon'tshowupnearlyasmuchasthebasicfunctions,butyouwillseethemoccasionally, soit'sstillimportanttolearnthem.
Sofarwe'vebeensolvingforlengthsortheratiosoflengths.Butwhatifwewanttosolvefortheangles?
- If0° <x < 90° , and sinx = 0.529, x =?
Wecansolvethatdirectlyforxbyusinginversesine(abbreviatedsin-1).Thisisnotthesamethingasthe reciprocalfunctionsmentionedabove.It'spurelyawaytosolveanequationlikethisfortheangle.Itasks"the sineofwhatanglecomesto0.529?"Youcansolvethisbypunchingitoutonyourcalculator:*
sin X =0.529 x= sin-1(0.529) x:::::32.
Alltrigonometricfunctionshaveinversefunctionslikethis1 whichyoucanusetosolveforan angle.
Neitherthereciprocalfunctionsnortheinversefunctionsarelikelytoshowupoftenonthe SAT.Butit'sworthknowingthatthey'rethere.

Identitiesareequationsthatshowupfrequently(likethe"differenceofsquares"identity)so thatyoucanmemorizetheirformsanddothealgebraquickly.
Therearealotofrulesandidentitiesrelatedtotrigonometryfunctions.Theycanget complicatedandhardtoremember.However1 therearetwoidentitiesthatyoushould remember:
Tius1seasytoprove:
(sin0)2 +(cos0)2 =1
Sometimesthisiswritten"sin2 8+cos2 8= I
Ifaquestionasksyoutoalgebraicallymanipulateanexpressionthatcontainsatrigfunction1chancesareyou'll needoneoftheseidentities.
Therearetwodifferentscalesformeasuringangles:degreesandradians.Radiansareadifferentwayofmeasuring anglesinsteadofdegrees1 usedmostlyinproblemsinvolvingtrigonometry.It'slikethedifferencebetweenmiles andkilometers.Youcanconvertdegreestoradiansusingthisformula:
2nradians=360°

Rememberwhenwesaidthateverypartofthesliceofacirclewasproportionaltoeveryotherpart?That'sthe ideawithradians.Imagineanangleasasliceofacirclewithradius1.Themeasureinradiansisthearclengthof theslice.360°is2nradiansbecause2nisthecircumferenceofthewholecircle.Similarly,nradiansishalfthe circumferenceand180°istheangleofasemicircle,etc.
Forexample,inthecircletotheright,thecentralangleofarc AB measures90° ,whichisequivalentton/2radians.Wecan seethatthesliceisone-fourthofthecircle.Theradiusis11 so thecircumferenceis2n,andthearclengthis2n-;-4orn/2.The measureinradiansisequivalenttothearclengthofasliceofa circlewithradius1.


ThisistheoneconceptinthissectionthathasnothingtodowithGeometry,butsomehowtheygetlumped togetherintotheAdditionalTopicscategory.Youwillnotseemanyquestionsinvolvingimaginarynumberson theSAT1buttheymaypopupeverynowandthen.
Youknowhowsometimesaproblemwillstartbysaying"Forallrealnumbers"?Whydotheysaythat?Arethere anynumbersthataren'treal?
Yesthereare!Imagi�arynumbersarenumbersthatcontaini,definedasi=�Questionsinvolvingimaginary numbersoftengivethedefinitionasi2 =-1,butthat'sthesamething.Usuallyyou'renotallowedtotakethe squarerootofanegative,whichiswhynumbersthatdosoarecalled "imaginary':Butdon'tbescaredbythename!Youcanmanipulateijustlikeyoudoanyvariable.
MostimaginarynumbersontheSATinvolvecomplexnumbers.Acomplexnumberisapolynomialintheform a + bi1 arealnumberplusorminusanimaginarynumber.Let'slookatanexample: (3+2i)(S+3i)=?
ComplexnumbersworklikeanyotherpolynomialandcanbemultipliedusingFOIL: (3+2i)(S+3i) = 3(5)+9i+IOi+6i2 =15+19i+6i2
We'renotdone.Rememberthati2=-1,sowecansubstitute-1inthelastterm: =15+19i+6(-1) = 9+19;
Occasionallyyoumaybeaskedabouthigherpowersofi.Ifyoumultiplyibyitselfa bunchoftimes,you'llseethatthepowersofishowarepeatingpattern: I ., ,...-;1 =v-1=1. i6 =i5xi=ixi=-l


