Morph-Portfolio by Yi Wu

Page 1


01

WALL OF ECHOES

- A Riff on History and Renewal

Acadamic project

Selected in Birkenhead2040 Exihibition held by Wirral Coucil ,UK

Spring 2023

12 week Individual work

Instructor: Mr Ronny Ford

Ronny.Ford@liverpool.ac.uk

Refine at Spring 2024

Refine Critique: Jacob Chang

Site:Birkenhead,UK

Birkenhead, a steeped in industrial history with remnants like docks and oil tanks, showcasing a diverse city language. The city has endured significant impacts from both World Wars, leaving behind a legacy of war relics that narrate its transformation, particularly after World War II. This pivotal moment marked a decline in vitality, with high unemployment and poverty rates plaguing the area. In 2023, the Wirral council initiated the “Birkenhead 2040” plan, aiming to regenerate the city and restore its former glory.

In my design approach, I explore the intersection of three distinct elements: the industrial heritage, the unique urban

façades, and the cultural echoes of jazz music found within the community. Through on-site research, I identified the presence of musicians, including those who rely on street performance, as a vibrant expression of local identity. By employing machine learning techniques, I extracted the 2D language of the city, translating it into a 3D architectural language. This design aims to create a landmark that serves as a focal point where the impoverished area intersects with future development, forming an open district that allows buskers to perform and teach, while also serving as a space for a developmental exhibition accessible to the public.

@generated with cooperation of midjourney

TRACES

FRAGMENTS

a famous edition of misty, a well-known jazz standard, played by Wes Montgomery & Wyton Kelly Trio,"Smokin at the Half Note",1965. I created a collage blending the melody, drum beats, chords, ambient conversation, and fragments of the city.

Brass: saxphone
saxphone
JAZZ

MACHINE LEARNING of Resilience and Rhythm

I utilized machine learning to analyze the formal languages of fragments in the city. Right picture is multiple mixture of urban façades and the string of double bass.

MATERIAL I extracted distinct geometric elements from the results obtained through machine learning, identifying three fundamental shapes: curves, straight lines, and circles. These shapes were then given material properties, transforming the abstract forms into tangible design components.

TRANSLATION I translated the extracted elements into a 2D architectural language, then applied spatial operations such as extruding, offsetting, and twisting to transform them into 2.5D forms. These operations allowed the design to permeate inward, shaping the architectural space.

MASSING
From the bar, the viewer looks towards the lively performance area, where a huge glowing energy column emerges from the soaring space above, reflecting the vibrant atmosphere, while above, beer cans reflect the vibrant atmosphere.
In the gallery's resting area, featuring exhibits of war and industrial elements, a vibrant vamp of cultural energy emanates from the nearby bar, with the contemporary city's façade vividly reflected in the distant windows.

02

BILLOWING WAVE

-The spider web of Interaction

Independent project

Winter 2024

6 weeks Individual work

Advicer: Guoyu Wang

gw327@cornell.edu

Site:Hong Kong

"you have a variety of scientific names for us,though we call ourselves differently in our branches of a tree,having agreed to show good will of co-existence by not swwping us away…… We have lived on earth for more than 360 million years,while some of you humans have only been here for 200 thousand years."

An open letter for incertebrate rights,spider/webs&Tomas Saraceno

This design is inspired by tomas's exhibition in Beijing. In this day of anthropocentrism, how to start from the perspective of a spider?

After the flooding, spiders represented by the Linyphiidae fly high into the air using “ballooning”, which is driven by the wind. Thousands of spiders take off at the same time, spreading their webs over the entire field in a billowing

wave.After finding a new habitat, Linyphiidae weave sheet web, which is irregular but interacts with the wind and has good structural properties. Vibrations are the language of communication between spiders at high altitudes where webs are strewn about. They hunt, court, and even defend themselves through vibration.

Starting from this phenomenon, I envisioned that in a future of rising sea levels, choosing Hong Kong, a city dotted with Linyphiidae, when the ground is inundated by floodwaters and the city's necessary public spaces turn to the air, how will the new sheltered buildings at this time interact with the environment or interact with people?

@generated with cooperation of midjourney

UPCOMING FLOOD" a radical prediction of sea level rise

SPIDER AFTER FLOOD

Some spiders will escape from the flood by ballooning to higher ground through the wind after the flood

WEB STRUCTURE

I chose Linyphiidae's sheet web as a research entry point. This spider is random but interacts strongly with the environment.The structure is categorized into support, bowl and traction points, and the type of filament is categorized into viscous (trapping), non-viscous, and structural filaments.

The tensor types can be divided to sticky tensors(ST),non-sticky tensors (TT). Some non-sticky tensors support the structure of the web.

COMMUNICATION

The spider communicates through the vibrations of its web, and the organs it uses to feel the vibrations are located on its legs. For example, spiders can sense the location and condition of their prey through the vibrations of the web, or defend themselves through the sounds coming from the web.

Defencing

Eating Courship

PARAMETRIC EXTRACTION

of Linyphiidae's sheet web
cite:Spider Webs -Behavior, Function, and evolution Eberhard(2019)

Picture sources: writings.stephenwolfram.com

The spider's sheet web returns to the original silk at each point of weaving, and the original thread is pulled to become two segments, as in Stephen wolfram's mathematical mode {{1, 2}, {1, 3}}--{{1, 2}, {2, 3}, {3, 4}, {2, 4}}--{{1, 2}, {3, 4}, {2, 4}, {2, 5}, {3, 5}, {4, 5}}

GENERATION OF WEB IMPACTED BY WIND

w = pre_generated_points[random_point_index] random_point_index += 1 id_to_point[next_id] = w w_id = next_id next_id += 1

new_relations = {(x, z), (x, w_id), (y, w_id), (z, w_id)} current_relations.discard(r1) current_relations.discard(r2) current_relations.update(new_relations) matched = True

VIBRATION TEST

Spring steel is used as a building material selected for its loadbearing and vibration characteristics.

d=0.3mm, A= 0.0707mm2

0.7mm, A= 0.385mm2

1.0mm, A=0.785mm2

Spider webs are oriented parallel to the direction of the wind to minimize the forces on the web and to facilitate the capture of prey.

INTERACT WITH PEOPLE

Spiders generally form centers of preference where it is easiest to catch prey, where the density of spider silk is higher.

The center of preference is due to a higher density of spider silk, which causes the point to sink. This sinking is more conducive to sound conduction and trapping path guidance.

Web music concert Web "rock" climbing Web walking vibration

@generated with cooperation of midjourney

NEXTSCAPE

- MR SHOPPING STREET

Acadamic project

Winter 2022

8 weeks Individual work

Instructor:Ying Sun

suny_kangaroo@zstu.edu.cn

Refine at Autumn 2024

Refine Critique: Ercument Gorgul

Site:Hangzhou, China

With the rapid advancement of technology and the shift toward O2O (Online to Offline) consumption, traditional commercial streets have gradually lost their social and interactive functions, becoming inefficient spaces for engagement. At the same time, the widespread use of big data has disrupted the concept of "neighborhood proximity," further distancing people from meaningful social interactions. Against this backdrop, this project aims to reimagine the commercial street by creating a space that bridges the gap between the physical and virtual worlds.

This project envisions a new type of commercial street that integrates dynamic modular architecture with Mixed Reality

(MR) technology to create a consumption and social space that caters to both physical and virtual needs. The design enables the commercial street to dynamically adapt to realtime data (such as crowd flow and activity heatmaps) while leveraging virtual interfaces to provide immersive interactive experiences, blending commerce, social engagement, and entertainment.

This project was completed in 2022, right in the middle of the metaverse's ups and downs. The reason I chose this selection also aims to explore where architects should be in the wake of technological advances.

Residential Area

Tech Companies

Exsistenting Shopping Street

Formation of blocks according to the site Determine the plaza based on the crowd Setting up the Interaction Box

HISTORY

The meta-universe brought AR and VR together for the first time, creating the concept of MR. The lack of arithmetic power, overemphasis on virtual space, and the lack of unified planning led to the meta-universe receiving less and less attention.

Development of VR glasses

Development of AR forms the future of Mix Reality

STRATEGY&OUTLINE OF SCOPE

Blending

of AR&VR mode of XR Shopping Street

Mode1:virtual projection

Mode2:Virtual Building Facade Mode3:Users Interface

THE POSSIBLE MR WORLD

Scene1: Get Mistry Coupon by browsing the street

Multiple Mystery Objects are arranged in the field with different ranges of sphere colliders built in.When a person walks in, the ui is triggered and you click OKAY to get the coupon.

Scene2 : Leave or Open an Letter from other customers

The venue gathers a message center where anyone can upload a message. The message center contains a hook in the cube, which changes color when it collides with the hand sphere colliders, and plays audio or displays the message after it is grabbed.

04

PLUG-IN HOUSES

-the new order of Shikumen

Open project

Summer 2024 6 weeks Individual work

Instructor: Yiqing Wang

Site:Shanghai, China

yiqingw@mit.edu

Shikumen is an type of old residence in Shanghai. When modern China was invaded, Shikumen architecture sprang up in the Shanghai colony. The symmetrical center, with stores in front and houses at the back, was the FIRST ORDER of Shikumen.

With the outbreak of World War II, Shanghai's population boomed, and the single-family Shikumen continued to be infused with new people, as residents began to build unlimited additions to the interior of the Shikumen, bringing about a SECOND ORDER of Shikumen with its somewhat fragmented floor plan.

Until the reform and opening up in the 1990s, a large number of Shikumen were consistently demolished to cater for real estate development, and high-rise buildings were erected next to them. This is the THIRD ORDER in which Shikumen is out of place.

HOW WILL THE NEW ORDER LOOK LIKE AS RESIDENTIAL ARCHITECTURE?

The long history has brought many troubles to the renewal: property rights, living space, public-private boundaries, and top-down remodeling often ignores the diverse individuals living in Shikumen. So is it possible to let the residents of Shikumen make their own choices? I used a bottom-up approach in this design, using daylighting, size and ease of renovation (demolition materials) as objectives for multiobjective optimization. Aimming to find the new order, giving the traditional Shikumen flexibility and adaptability for future development.

@generated with cooperation of midjourney

Revolution and invasions spurred the growth of Shikumen residences.

The Xinhai Revolution turned single-family Shikumen houses into multi-family residences.

War surges led to overcrowded Shikumen housing, splitting units into multiple family spaces.

Reforms spurred real estate growth, leading many to leave outdated Shikumen homes.

Shikumen houses have been gradually demolished, but ownership issues complicate redevelopment.

of John Rennie Short in urban resident of old Shikumen

NEW ORDER REQUIRES?

1.Residents can choose the general Shikumen area according to the geographical location they want

the complexity of property rights in Shikumen requires a bottom-up reconstruction order.

2.Residents can be matched bottom-up according to their different requirements for the living environment. ORDER THEORY

A growing population requires a wide range of choices and comfortable, personalized rooms.

Lifestyle Changes Require Reinventing the Public-Private Boundary Within Shikumen

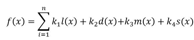
MOO METHODS

l(x)=k*1/daylight hours, d(x)=k*demolished wall length, m(x)=k*1/area, s(x)=k*aspect ratio of all the formed space

VISUALIZATION OF DIVIDED PART

VISUALIZATION

PARETO OPTIMAL SOLUSIONS

The following is the solution after one thousand multi-objective operations with weighted sum method as the optimization method.The optimization results are well converged, uniformly

biased and moderately extensive.Optimized results are predominantly four units,2floors(>3m),l(x)(sunlighthours) becomes a high-impact objective.

PROCESSING

@generated with cooperation of midjourney

05

AROUND THE FIRE -Resort

Hotel Design

Acadamic project

Winter 2023

5 weeks Individual work

Instructor:Ming Du

Site:Hangzhou, China

duming@zstu.edu.cn

Located in Taoyan, Shaoxing, at the southern terminus of the historic Beijing-Hangzhou Grand Canal, this resort hotel design draws inspiration from the region's natural and cultural heritage. Surrounded by the rugged beauty of mountains, Taoyan is a key stop along the BeijingHangzhou trekking line and near the iconic Tianmu Mountain. The area’s rich history is intertwined with Yue kilns, traditionally fired in red brick structures, which serve as a significant cultural reference for the project.

The design captures the essence of trekking—journeys by day and gatherings by night. As trekkers set up tents at sunset, they gather around stoves for warmth, meals, and stories, creating moments of shared connection. This primal act of gathering around fire becomes

the core inspiration for the project, embodying the transformative power of fire as the origin of architecture.

Fire, as both a physical and symbolic element, is dispersed throughout the site, anchoring spaces and shaping interactions. Its light and sound converge to create a spatial rhythm that ties together the built and natural environments. Through a seamless integration of architectural elements and the surrounding landscape, the project reimagines the ancient act of gathering into a contemporary retreat, celebrating both the cultural roots and the human need for connection.

TREKKING AND FIRE

The trek involves people trekking during the day and setting up tents at sunset. In the evening, people gather around the stove for dinner and conversation. I captured this moment as a starting point for my design

The sun converges into fire, thus realizing the most original element of architecture. The fire is dispersed around the house, and the sound and light emitted are gathered in the space.

TYPOLOGY

RENDERING

The site is located in Taoyan, Shaoxing, at the end of the BeijingHangzhou Grand Canal. Taoyan is surrounded by mountains, civilized by the Beijing-Hangzhou trekking line and Tianmu Mountain. The area is rich in Yue kilns, which are fired using red brick kilns.

TECTONIC

I used concrete as the primary loadbearing structure and utilized a terra cotta membrane to achieve the desired architectural effect. The overall construction is cast in place.

The specific material is 30mm thick 1200*600 grain ceramic

SECTION

BULLET THE SKY

-Other Work

Workshop project

Digital Futures2024 10 days Individual work Instructor:Matias del Campo mdelcamp@nyit.edu

Navigating Artificial Intelligence-from Image Generation to to 3D Models,From Theory to Practice.this project idea cames from "the dog house" by Matias.Midjourney ,Z-brush,Rhino,Runway are been used in this project.

/blend
@generated by mid journey(blend)
z-brush
midjourney/runway

Turn static files into dynamic content formats.

Create a flipbook
Issuu converts static files into: digital portfolios, online yearbooks, online catalogs, digital photo albums and more. Sign up and create your flipbook.