Influencia Politécnica | Edición 2023

Page 1

QUÍMICA VERDE

SÍNTESIS VERDE: El futuro de la nanotecnología sostenible

Pág. 12

USO DE HERRAMIENTAS DIGITALES

Pág. 4

MICROALGAS

EDICIÓN

El oro verde de la actualidad

Pág. 15

NEARSHORING:

Una estrategia post pandemia

Pág. 22

INFLUENCIA POLITÉCNICA
2023

DIRECTORIO

Dr. Arturo Mazari Espín

Rector de la Universidad Politécnica del Estado de Morelos

Mtra. Norma Ángelica Zavala Ramírez Secretaria Académica de la Universidad Politécnica del Estado de Morelos

Dra. Victoria Bustos Terrones Directora Académica de la Ingeniería en Tecnología Ambiental y de la Ingeniería en Biotecnología

Mtro. Aáron Martínez García Director Académico de la Licenciatura en Administración y Gestión Empresarial

Dr. Miguel Ángel Ruíz Jaimes

Director Académico de la Ingeniería en Tecnologías de la Información y de la Ingeniería en Electrónica y Telecomunicaciones

Mtro. Daniel Miranda Cajigal Director Académico de la Ingeniería Financiera

Mtra. Lilia Pegueros Osorio Directora Académica de la Ingeniería Industrial

Mtra. Leticia Gabriela Uribe Posada Directora de Vinculación

Contáctanos:

nzavala@upemor.edu.mx

Influencia Politécnica, es una publicación producida y editada por la Universidad Politécnica del Estado de Morelos (Upemor), Boulevard Cuauhnáhuac #566, Col. Lomas del Texcal, C.P. 62550, Jiutepec , Morelos.

Tel: (777) 229-3522 | www.upemor.edu. mx

El Comité Editorial es responsable de la orientación general, así como de los articulos normados. Los artículos son responsabilidad del autor. Es una publicación con fines de difusión académica, cultural, cientifica y tecnológica. Queda prohibida la reproducción total o parcial de los contenidos e imágenes de la publicación sin previa autorización.

USO DE HERRAMIENTAS DIGITALES .

Pág. 4 .

GAMIFICACIÓN FINANCIERA .

Pág. 6 .

SÍNTESIS VERDE .

El futuro de la nanotecnología sostenible.

Pág. 12 .

MICROALGAS . El oro verde de la actualidad .

Pág. 15 .

QUÍMICA VERDE .

La clave para el desarrollo sostenible.

Pág. 20 .

NEARSHORING: . Una estrategia post pandemia .

Pág. 22 .

Estudio de la variación de la .

CALIDAD DEL AGUA .

Pág. 24 .

EL CICLO DEL AGUA .

Pág. 30 .

LOS INDICADORES DEL COMERCIO EXTERIOR . (Parte II) .

Pág. 34 .

ÍNDICE

INFLUENCIA POLITÉCNICA

Ante la pandemia del virus SARS-CoV-2, agente causante de la COVID 19, que ha causado perjuicio a nivel global en distintos escenarios se han tenido que implementar estrategias que contrarresten los efectos. Tal es el caso de la educación, un ámbito que se ha enfrentado a un sinnúmero de retos en la búsqueda de mejores estrategias de enseñanza virtual.

Los docentes de la licenciatura en Ingeniería Industrial de la Universidad Politécnica del Estado de Morelos han sabido afrontar los retos que significa la educación a distancia haciendo un adecuado uso de las TIC’s en aquellas materias que requieren la realización de prácticas en laboratorios, las cuales son un área de oportunidad para poner en práctica el uso de software académico. Algunos ejemplos de las herramientas digitales empleadas en el área de Ingeniería Industrial son las siguientes:

AUTODESK TINKERCAD

Tinkercad es un software libre online que incluye herramientas de la compañía Autodesk, que permite a todos sus usuarios crear modelos 3D, circuitos eléctricos, así como la generación de cursos educativos. Las asignaturas en las cuales se utiliza este software son Fundamentos de Ingeniería Electrónica y Electricidad y Magnetismo.

Con el uso de Autodesk los estudiantes son capaces de comprender el funcionamiento de elementos básicos (resistencias eléctricas, baterías, diodos LED, etc.) y la generación de circuitos eléctricos en un entorno virtual que se asemeja a la realidad ya que pueden plasmar en un protoboard virtual el esquemático asignado de cualquier circuito.

Usos de Tinkercad Fuente: Dr. Ramón Cabello Clase en línea utilizando Tinkercad Fuente: Noemí Ramírez
USO
4 INFLUENCIA POLITÉCNICA
DIGITALES EN INGENIERÍA

USO DE HERRAMIENTAS DIGITALES

PARA FORTALECER LAS CLASES VIRTUALES ANTE LA COVID-19

Es un software libre de matemáticas dinámicas para todas las áreas de las matemáticas escolares que reúne geometría, álgebra, estadística y cálculo. Este software es utilizado en Cálculo diferencial, Investigación de Operaciones y Ecuaciones Diferenciales; materias que representan un reto para los estudiantes dada la complejidad de las mismas, por lo cual con este software se busca proveerlos de herramientas que les permitan comprobar algunos de los algoritmos estudiados en los cursos, el uso de Geogebra ha reducido la monotonía del enfoque analítico de las matemáticas y ha facilitado la comprensión de los conceptos.

utilizados en la materia de Metrología (vernier, micrómetro, goniómetro, etc.), además, permiten al docente explicar de manera clara la forma de realizar mediciones precisas y al estudiante le brindan la oportunidad de realizar lecturas exactas con cada uno de los instrumentos.

SIMULADORES DE INSTRUMENTOS DE MEDICIÓN

Este tipo de simuladores son muy útiles para los estudiantes que no han tenido la oportunidad de conocer físicamente los instrumentos de medición

Las herramientas digitales mencionadas son un ejemplo de las utilizadas en Ingeniería Industrial para lograr el aprendizaje esperado en los estudiantes, es sabido que la educación a distancia ha significado un gran reto, sin embargo; los docentes de la UPEMOR continúan incursionando en estrategias de enseñanza que favorezcan el aprendizaje a distancia.

GEOGEBRA
Uso de la herramienta en clase de cálculo Fuente: Silvia Melbi Gaona Jiménez Vernier digital Fuente: Edson Giovanni Rodríguez Gómez Secatibe runtum earum sincilla velenimus auta
INGENIERÍA INDUSTRIAL
Nohema Pérez España
5 INFLUENCIA POLITÉCNICA

GAMIFICACIÓN FINANCIERA

Alicia Herrera Campos
6 INFLUENCIA POLITÉCNICA
Daniel Miranda Cajigal

En México aún falta conocimiento entre la ciudadanía en materia de educación financiera, lo cual, genera un contraste con el aumento en el interés por aprender temas enfocados en finanzas e inversiones. Por lo cual, deja claro que existe una distancia considerable entre las herramientas de enseñanza y su efectividad entre las y los usuarios o posibles usuarias y usuarios de servicios financieros, por lo tanto, una opción para contribuir a la alfabetización financiera, es la estructuración de estrategias.

Las estrategias definen cómo llevar a cabo el proceso didáctico y aclaran cómo orientar el desarrollo de las acciones para lograr la meta de aprendizaje. En el campo de la educación, las estrategias didácticas se consideran procedimientos para orientar el aprendizaje, se plasman en las planificaciones de un periodo de tiempo para lograr la obtención del conocimiento del estudiante, en este sentido la gamificación es enfocada a la rama financiera.

En la educación superior, las estrategias didácticas están especificadas dentro de las planificaciones de las asignaturas, en ellas se muestran diferentes estrategias didácticas para el aprendizaje tales como lluvia de ideas, mapa mental, ilustraciones, debates entre otras, un concepto recientemente adoptado es la gamificación como estrategia didáctica, que está cada vez más presente en distintos ámbitos educativos.

La gamificación es la aplicación de principios y elementos propios del juego en contextos ajenos al juego (Deterding et al., 2011). Tiene por objetivo atraer la atención de las y los usuarios y motivarlos a ejecutar determinadas acciones (Zichermann y Cunningham, 2011). Básicamente, es una técnica de aprendizaje que traslada el ámbito de los juegos al ámbito educativo profesional con el fin de obtener mejores resultados, adquirir nuevos conocimientos, mejorar alguna habilidad, entre otros.

En el sector de las finanzas, las instituciones como los bancos, han acercado a las y los usuarios a sus servicios financieros a través de simuladores, por ejemplo, el simulador bursátil que algunas emplean,

permiten a las y los usuarios aprender a formar un portafolio de inversión, a estudiar el comportamiento de la bolsa de valores, e interesarse en invertir de manera real en diversos instrumentos financieros.

En el ámbito académico, se emplean éste tipo de herramientas para apoyar al aprendizaje, para poder ejemplificar en finanzas el mercado de corros que existía anteriormente en el sector bursátil, se emplea el juego de la marca Montecarlo “Brokers” el cual permite explicar el movimiento y posicionamiento de las órdenes de acciones de compra – venta de manera didáctica y lúdica, esto puede apoyar la comprensión en un tema introductorio de la bolsa de valores, sobre todo para el primer ciclo de formación.

Otro ejemplo, es el conocer la valuación de propiedades, la generación de plusvalía, rendimientos y conocer bajo qué condiciones una propiedad se puede depreciar.

Para tratar ese tema de una manera más dinámica, se puede usar el juego ya famoso con el nombre de “Monopoly” sin embargo ésta versión trae una variante.

7 INFLUENCIA POLITÉCNICA
Juego Brokers. Fuente: www.montecarlo.com.mx

Es la versión del banco electrónico, ya que trae una terminal la cual permitirá un mejor control de los activos del juego, donde las y los participantes pueden aumentar su riqueza o irse a la bancarrota; éste juego contribuye a conocer mejor la administración de activos, la generación de valor y rentabilidad.

En la carrera de ingeniería financiera, se adquirió un simulador de negocios que permitirá a las y los estudiantes poner en prácticas sus habilidades para la gestión de riesgos y recursos.

El simulador permite enfrentarse a diferentes escenarios, que van de desde administrar un negocio ambulante de comida rápida, hasta ser el CEO de una gran empresa, pueden iniciar desde cero una empresa o negocio, tomar decisiones financieras, de producción, de costos, de inversión, entre otras.

También permite realizar la compra de acciones de empresas ficticias que cotizan en la bolsa de valores del mismo simulador, destinar dinero para compra de maquinaria, la contratación de personal, la adquisición de nuevas empresas y propiedades, verificar los trámites que se necesitan para la apertura de otros negocios, todo esto con el objetivo de aprender administrar el riesgo como futuras y futuros Ingenieros Financieros.

Los esfuerzos de empresas, particulares y del Sector Financiero por elaborar materiales y simuladores que permiten la incorporación de esta estrategia para el aprendizaje financiero, estimulan la creatividad y el interés por desarrollar materiales propios, tanto en docentes como en estudiantes y así propiciar un aprendizaje ágil y efectivo.

La estrategia de gamificación representa una oportunidad para que tanto estudiantes y docentes la incorporen dentro del aula, realizando el proceso de enseñanza-aprendizaje de una manera distinta, dado

Juego Monopoly Banco Electrónico. Fuente: www. products.hasbro.com/es-mx
8 INFLUENCIA POLITÉCNICA
Simulador de Negocios Fuente: KU 12.0 Business Simulator

que pueden aplicarla tanto docentes como estudiantes.

Como ejemplo de la aplicación de la gamificación financiera, se pone en contexto el caso de Ingeniería Financiera de la Universidad Politécnica del Estado de Morelos, en la cual la aplicación de esta estrategia se ha realizado con éxito, en materias básicas como Introducción a las Finanzas, así como en materias avanzadas como Tecnología Aplicada a Mercados Financieros, con el fin de asimilar conceptos estructurales de estas asignaturas.

Con la llegada de las clases en línea a consecuencia de las restricciones sanitarias por la pandemia del SARS-COV2, la dinámica de clase tuvo que adoptar estrategias que permitieran realizar el aprendizaje de una manera más dinámica, en este sentido la gamificación fue una pieza fundamental.

En el caso del programa de la asignatura Tecnología Aplicada a Mercados Financieros, la unidad I indica que las y los estudiantes deberán desarrollar la siguiente competencia “Comprender la terminología de las nuevas herramientas financieras”, dado que implica el comprender conceptos estructurales de tecnología, se optó por no utilizar una estrategia expositiva y utilizar la gamificación para construir un juego que fomentará la sana competencia y la comprensión de los conceptos.

La dinámica se trabajó de la siguiente manera:

1. Fue proporcionado a las y los estudiantes los conceptos relevantes de esta materia referentes a la tecnología como Contratos Inteligentes, Nube, Blockchain, Criptomonedas, AI, P2P entre otros.

2. Se construyó el material en la herramienta Word Wall Games. Este contenía 30 reactivos en modo de cuestionario de opción múltiple con interacción de sonidos de selva y el cual se configuró a 5 minutos de duración.

Juego Conceptos FINTECH Fuente: wordwall.net. Elaboración Propia
9 INFLUENCIA POLITÉCNICA
Simulador de Negocios Fuente: KU 12.0 Business Simulator

3. En clase, se realizó una competencia contra tiempo de 5 minutos, donde las y los estudiantes contestarían 30 reactivos. Al finalizar la competencia se otorgaron los puntajes, siendo una sorpresa que todos obtuvieron un puntaje aprobatorio.

4. A la semana siguiente de la actividad, se aplicó la evaluación de conocimientos de la unidad de aprendizaje, misma que tuvo resultados satisfactorios, dado que ningún estudiante reprobó.

5. Al finalizar la unidad I, estudiantes de esta clase expresaron que estaban muy contentas y contentos con la actividad, dado que era una manera diferente de asimilar los conceptos, ya que más que memorizarlos

Con el fin de reafirmar los aprendizajes estructurales que las y los estudiantes utilizarán a lo largo de su carrera y su vida profesional, se les solicitó como proyecto final, realizar por equipo un juego que involucrara todos los aprendizajes del cuatrimestre, de una manera interactiva y divertida.

En cuanto a la aplicación de la gamificación en esta asignatura por la parte docente a través del juego mencionado, el resultado fue satisfactorio, ya que en las unidades posteriores los conceptos estructurales estaban bien definidos y fue más fácil su aplicación.

Respecto a la construcción de juegos por parte de las y los estudiantes, se cita el caso de la asignatura de Introducción a las Finanzas, el objetivo de esta asignatura implica “Identificar los conceptos relacionados con las finanzas para establecer una visión clara de su importancia y optimizar los resultados de la empresa en la toma de decisiones financieras.”, en esta materia una de las aplicaciones de la gamificación fue en el proyecto final.

Como muestra se citan 2 proyectos finales de la asignatura, el primero titulado ¡YO PERDÍ!, el cual es una variante de un conocido concurso, este juego consistió en que el equipo evaluaría a sus compañeras y compañeros con preguntas acerca de los temas vistos de una manera divertida y didáctica.

En cada categoría se contempló un tema diferente sobre los aprendizajes de Introducción a las Finanzas, como fundamentos y evolución de las finanzas, información financiera, introducción al AFM entre otros.

Juego Yo.Perdí Fuente: Elaboración propia, estudiantes Ingeniería Financiera. Juego Conceptos FINTECH Fuente: wordwall.net. Elaboración Propia
10 INFLUENCIA POLITÉCNICA
Juego Yo.Perdí Fuente: Elaboración propia, estudiantes Ingeniería Financiera.

FINANCIAL SHAKERS:

Este juego consiste en desarrollar habilidades de compra de propiedades, tiene como propósito que las y los participantes aprendan sobre bases financieras, como conceptos de introducción a las finanzas, línea del tiempo de finanzas e introducción al conocimiento de información financiera, entre más conocimientos de finanzas se tenga, se tendrán mayores posibilidades de comprar propiedades.

En total se desarrollaron 12 juegos orientados al mismo fin, el de tener un proceso de aprendizaje significativo en el estudio de las finanzas a través de la gamificación. La sesión de presentación de proyectos se llevó a cabo con una retroalimentación positiva por parte de las y los estudiantes y reconocieron que fue una técnica efectiva para la asimilación de conocimientos.

Se concluye que la gamificación incide positivamente en el proceso de aprendizaje financiero ya que permite a las y los estudiantes estimular la motivación, en particular gracias a la interacción positiva entre docente-estudiante.

Juego Financial Shakers
11 INFLUENCIA POLITÉCNICA
Juego Financial Shakers

SÍNTESIS

VERDE:

El futuro de la nanotecnología sostenible.

¿Sabías que es posible obtener partículas de tamaño nanométrico utilizando alguna de las secciones de una planta?. En muchas partes del mundo hay investigadores dedicados a la búsqueda de novedosos métodos para la obtención de materiales, que por su estructura tan pequeña presentan propiedades extraordinarias. Una partícula nanométrica o nanopartícula, es todo aquel material solido que posea un tamaño entre uno y cien nanómetros en al menos una de sus dimensiones, es decir, las partículas pueden presentar diferentes formas: partículas, películas, tubos o fibras, etc. (Prasad, 2020).

¿No lo imaginas? Déjame explicarte, un grano de arroz normal mide cerca de 5 milímetros, ¡esto es equivalente a ni más ni menos que 5 millones de nanómetros!

Los nanomateriales han adquirido una gran relevancia durante los últimos años, gracias a que sus propiedades fisicoquímicas se potencializan con la escala nanométrica y por lo tanto sus aplicaciones también se incrementan, siendo posible utilizarlas en la industria química, farmacéutica, textil, en electrónica, elaboración de cosméticos, en las áreas de la salud y cuidado ambiental, entre muchas otras.

12 INFLUENCIA POLITÉCNICA
Erick Miranda Martínez José Luis Rivera Corona Victoria Bustos Terrones

En la búsqueda de métodos más eficientes y económicos, una de las tendencias que ha ido en aumento es la utilización de plantas, mediante un proceso que se conoce como química verde o química sostenible, ya que tiene como objetivo principal, evitar o disminuir el uso y generación de residuos que dañen el ambiente.

La razón por la que algunas plantas pueden ser utilizadas para sintetizar materiales es la presencia de metabolitos en su estructura que actúan como agentes reductores o antioxidantes. Estos metabolitos suelen ser terpenoides, polifenoles y alcaloides, entre otros; y pueden estar presentes en las hojas, las flores, el tallo, las raíces y los frutos de las plantas.

Por otro lado, la moringa (figura 1), conocida científicamente como Moringa oleifera, es una especie caducifolia de crecimiento rápido, que se cultiva principalmente con fines ornamentales, en muchas partes de México. El estado de Morelos es uno de los que posee mejores condiciones para la producción de moringa gracias a su clima, su localización geográfica y sus condiciones ambientales (Cabrera-Carrion et al. 2017). Gracias a sus propiedades nutricionales y terapéuticos (FAO, 2020), todo el árbol de moringa puede ser aprovechado para diferentes usos, desde alimenticios y medicinales, material con aplicación medioambiental en el tratamiento de aguas residuales a través de la síntesis de materiales y hasta como forraje en la ganadería.

En el laboratorio de investigación de la maestría en Ciencias en Biotecnología de la UPEMOR se realiza la síntesis verde de nanopartículas de dióxido de titanio (TiO2), material con propiedades fotocatalíticas entre otras, que se utilizará en el tratamiento de aguas contaminadas con compuestos orgánicos ecalcitrantes de origen farmacéutico, que por sus características no son eliminados con los tratamientos convencionales y que, al ser descargados en cuerpos de agua, afectan gravemente la vida del ecosistema.

Figura 2. Obtención del extracto vegetal.
13 INFLUENCIA POLITÉCNICA
Figura 1 – Moringa oleifera.

La primera etapa en la síntesis verde del TiO2, es la obtención del extracto acuoso a partir de hojas de moringa, el cual se utiliza para la disolución del precursor, isopropóxido de titanio (figura 2).

Es importante que sepas, que las condiciones de síntesis deben ser suaves, es decir, bajas revoluciones de agitación y temperatura no mayor a 60°C, para no afectar la estabilidad química de los metabolitos. Después de permitir la evaporación total del solvente, el sólido preparado, se coloca en una cápsula de porcelana para someterlo a un tratamiento térmico, que consiste en llevar el material a una temperatura de 550°C.

Este procedimiento nos permite obtener nanopartículas de dióxido de titanio (figura 3) de cerca de 15 nanómetros de diámetro (Bahri et al., 2021) y con una estructura cristalina que le confiere propiedades especiales para su aplicación en el tratamiento de aguas contaminadas con especies químicas de baja o escasa biodegradabilidad, como lo son los llamados contaminantes emergentes: antibióticos, analgésicos, antipiréticos, anti convulsionantes, productos de aseo personal, agroquímicos, colorantes, entre otros (Primo & García, 2013).

Los avances en la ciencia y la tecnología a partir de la química verde, han sido grandiosos, sin embargo, aún queda mucho por probar y descubrir. Las aplicaciones de los nanomateriales y la nanotecnología apenas empiezan a ser exploradas, y las posibilidades son casi infinitas.

Bahri, S., Harun, Z., Hubadillah, S., Salleh, N., Rosman, N., Kamaruddin, N., Azhar, N., Sazali, N., Ahmad, R., Basri, H. (2021). Review on recent advance biosynthesis of TiO2 nanoparticles from plant-mediated materials: characterization, mechanism and application. Advanced Manufacturing and Materials Centre (AMMC).

Cabrera-Carrion, J., Jaramillo-Jaramillo, C., Dutan-Torres, F., CunCarrion, J., Garcia, A. Rojas, L. (2017). Variación del contenido de alcaloides, fenoles, flavonoides y taninos en Moringa oleifera Lam. en función de su edad y altura. Planta Piloto de Farmacia, Unidad Académica de Ciencias Químicas y de la Salud, Universidad Técnica de Machala, Ecuador.

Inamuddin Abdullah M. Asiri. 2020. Applications of Nanotechnology for Green Synthesis. Chemistry Department, King Abdulaziz University, Jeddah, Saudi Arabia, Department of Applied Chemistry. Aligarh Muslim University. Aligarh. India. Springer.

Moringa. Food and Agriculture Organization of the United Nations. 2020.

Primo, A., Garcia. H. Solar Photocatalysis for Environment Remediation. Instituto Universitario de Tecnología Química CSIC-UPV, Universidad Politécnica de Valencia, 46022 Valencia, Spain.

Figura 3. Nanopartículas de TiO2. Referencias
14 INFLUENCIA POLITÉCNICA

El oro verde de la actualidad MICROALGAS

Actualmente a nivel mundial el calentamiento global representa un gran problema para la humanidad y el desarrollo de diferentes especies animales y vegetales. La mayor influencia humana ha sido la emisión de gases de efecto invernadero, como el dióxido de carbono, metano y óxidos de nitrógeno.

Es el resultado, entre otras cosas, del empleo y dependencia excesiva de los combustibles fósiles, un consumo y desecho indiscriminado de productos que ayudan a elevar el número de residuos no degradables en el ambiente, lo que contamina espacios de agua, aire y suelo. Por lo anterior es necesaria la búsqueda de nuevas alternativas que sean más limpias y amigables con el ambiente.

Una de ellas es la generación de biocombustibles, que ayudarán a reemplazar a los combustibles fósiles y con ello disminuir la cantidad de contaminantes que se vierten al ambiente. Otra alternativa es la obtención de productos biodegradables de uso común, lo que permitirá su fácil asimilación con el entorno. También se busca limpiar ambientes contaminados como suelos y agua (biorremediación) haciendo uso de herramientas biotecnológicas y empleando microorganismos. Entre los que se encuentran las microalgas, las cuales pueden ser una alternativa para mitigar el impacto ambiental generado por el uso de combustibles fósiles.

15 INFLUENCIA POLITÉCNICA

¿SABÍAS QUÉ?

Las concentraciones de dióxido de carbono (CO) al ambiente han aumentado hasta un 40% desde 1970 a 2010.

Se estima que para el año 2300, el CO2 atmosférico alcanzará un máximo de 1900 a 2000 ppm, 5 veces mayor que el actual.

Las microalgas pueden transformar grandes cantidades de CO2 en oxígeno.

Las algas aportan a la atmósfera más del 50% del oxígeno que respiramos.

Gases de efecto invernadero causado por el uso de combustibles fósiles. 16 INFLUENCIA POLITÉCNICA

UN PODEROSO

Las microalgas son microorganismos fotosintéticos y autótrofos, es decir que utilizan la luz solar y dióxido de carbono para fabricar su propio alimento. Pueden medir desde 0.2 a 2 μm hasta tamaños de 100 μm o más.

La distribución de las microalgas es muy amplia, pueden encontrarse en numerosos medios, por ejemplo, aguas dulces, saladas y también en aguas residuales, ya sea municipales, industriales o agrícolas. Son capaces de sintetizar valiosos compuestos, como carbohidratos, lípidos, proteínas, pigmentos, etc., dichos compuestos forman lo que se conoce como biomasa algal. La producción de dicha biomasa denota cierta ventaja para la obtención de productos de interés biotecnológico.

ALIADO VERDE ¡MICROALGAS EN ACCIÓN!

Poseen la capacidad de eliminar o biotransformar contaminantes de un medio líquido o gaseoso. Estos compuestos contaminantes son captados por

biopelículas que sean una alternativa para sustituir plásticos originados de la industria petroquímica; además de que son útiles como herramienta para la biorremediación, es decir, pueden ayudar a limpiar suelos o aguas contaminadas.

Para la producción de biocombustibles se utilizan los lípidos de la biomasa para crear biodiesel o se pueden utilizar los carbohidratos para generar bioetanol.

Algo importante a destacar es que las microalgas pueden crecer en aguas residuales; de esta manera metabolizan los componentes químicos del agua y remueven los contaminantes.

También las microalgas pueden acumular ciertos polímeros que pueden utilizarse para la fabricación de bioplásticos.

Sin duda alguna, las microalgas son una gran alternativa para combatir los problemas ambientales.

17 INFLUENCIA POLITÉCNICA
Las microalgas tienen diversas aplicaciones: Biocombustibles, bioplásticos y biorremediación.

COLABORACIÓN UPEMOR - UNAM

En el laboratorio de Investigación de Tecnología Ambiental de la Universidad Politécnica del Estado de Morelos (UPEMOR) y en colaboración con el Instituto de Energías Renovables (IER-UNAM), se trabajó con proyectos que involucraron el cultivo de microalgas en aguas residuales de diferentes orígenes. Se utilizaron diferentes tipos de biorreactores con diferentes condiciones de operación, con el fin de remover contaminantes de las aguas residuales con ayuda de las algas y así utilizar estos compuestos extraídos como materia prima para el desarrollo de bioetanol, que será utilizado como biocombustible. Todo esto con el fin de contribuir a reducir el impacto ambiental causado por diferentes contaminantes. Se agradece la colaboración de los egresados IBT. Isabel Sánchez Contreras, IBT. Guadalupe Patlán Juárez, IBT. Emir Fernando Anguiano Pimienta, Tania Joselyn Guzmán Román y Juan Andrés Nava Román, quienes contribuyeron en el desarrollo de esta investigación.

Referencias

Arias, Dulce María, Joan García, y Enrica Uggetti. 2019. “Production of polymers by cyanobacteria grown in wastewater: current status, challenges and future perspectives”. New Biotechnology 55 (September 2019): 46–57. https://doi.org/10.1016/j. nbt.2019.09.001.

Markou, Giorgos, y Elias Nerantzis. 2013. “Microalgae for highvalue compounds and biofuels production: A review with focus on cultivation under stress conditions”. Biotechnology Advances 31(8): 1532–42. http://dx.doi.org/10.1016/j.biotechadv.2013.07.011.

Wilhelm, Christian, y Torsten Jakob. 2011. “From photons to biomass and biofuels: Evaluation of different strategies for the improvement of algal biotechnology based on comparative energy balances”. Applied Microbiology and Biotechnology 92(5): 909–19.

Egresados de la carrera de Ingeniería en Biotecnología involucrados en el proyecto de cultivo de microalgas.
18 INFLUENCIA POLITÉCNICA

QUÍMICA VERDE

la clave para el desarrollo sostenible

Hoy en día, la Ingeniería en Tecnología Ambiental y la Ingeniería en Biotecnología, son licenciaturas de gran impacto e interés en diversas áreas de aplicación como son: el saneamiento de aguas residuales, remediación de suelos y barrancas, disminución y control de gases de efecto invernadero, procesos y alternativas para el control de plagas, generación de biofertilizantes, y de último momento, el desarrollo de materiales y productos para frenar y combatir la pandemia originada por el SARS-CoV-2.

El desarrollo de tecnologías, materiales y procesos para aplicaciones ambientales y biotecnológicas tiene como objetivos principales: aprovechar recursos naturales de forma sustentable, la responsabilidad ambiental para el control y generación de residuos en sus procesos y el desarrollo a bajo costo de la tecnología a implementar. Por ello el método de síntesis por química verde ha tenido un nuevo enfoque en la elaboración de materiales. Es un método sustentable para la elaboración de materiales, teniendo un control en los procesos, costos

y consumo de energía. Dicho método de síntesis se sustenta en los doce principios de la química verde siendo alguno de ellos la eficiencia energética, la reducción en la generación de residuos tóxicos, la prevención en los procesos de síntesis, el uso de materias primas renovables, el diseño de materiales biodegradables y no tóxicos, síntesis con bajo nivel de peligrosidad, prevención y cuidado al medio ambiente, sustitución y

20 INFLUENCIA POLITÉCNICA
Claudia Karina Zagal Padilla Victoria Bustos Terrones Sergio Alberto Gamboa Sánchez

reducción de solventes tóxicos, entre otros. Dentro de los trabajos desarrollados con química verde en nuestro grupo se encuentra la síntesis de ZnO con extracto de perejil, en el cual, variando la cantidad de perejil para la elaboración del extracto, se favorece la obtención de materiales con conductividad tipo p o n del ZnO. Mejorando con ello las propiedades ópticas y eléctricas del material (semiconductor). Así mismo hemos comprobado que al usar diferentes extractos vegetales se favorece la presencia de diferentes morfologías como es el caso del trabajo titulado: “Electrochemical characterization of a plasmonic effect ethanol sensor based on twodimensional ZnO synthesized by green chemistry”, en el cual se reporta la síntesis de ZnO bidimensional empleando extracto de café. En dicha investigación, la morfología bidimensional del material hizo posible la obtención de mayor área superficial para llevar a cabo reacciones electroquímicas asistidas con efecto plasmónico, mismas que favorecen a la selectividad de reacciones para determinar la concentración de etanol en un medio líquido.

La virtud de este método de síntesis, es el uso de agentes reductores basados en extractos vegetales con alto contenido en carotenoides, cumarinas, componentes fenólicos, hidratos de carbono, flavonoides y alcaloides. Algunos extractos estudiados son el de Pongamia Pinnanta,

Referencias

Nerium oleander conocido como laurel de flor, Pectina de manzana, extracto de piel de limón12, Nephelium lappaceum L (rambután), etc. Con el uso de los extractos mencionados anteriormente, se han reportado materiales con mejores propiedades fisicoquímicas, los cuales han sido utilizados en la fabricación de celdas solares de puntos cuánticos, fotocatalizadores para degradar tintes y compuestos contaminantes, sustitutos de antibióticos, etc,.

Actualmente, el grupo de trabajo de Ingeniería en Tecnología Ambiental e Ingeniería en Biotecnología de la Universidad Politécnica del Estado de Morelos en colaboración con el Instituto de Energía Renovables de la UNAM, está trabajando en el desarrollo de materiales sintetizados por el método de química verde con el fin de obtener materiales funcionales para aplicaciones en sensores no invasivos, reducción de CO2 atmosférico, remoción de metales pesados, antibióticos e inhibidores de bacterias y virus como el multi nombrado SARSCoV-2. De esta forma nuestra investigación está comprometida con el cuidado del medio ambiente y con el futuro de las nuevas generaciones de materiales.

1. Anastas, P. T., Kirchhoff, M. M. & Williamson, T. C. Catalysis as a foundational pillar of green chemistry. Appl. Catal. A Gen. 221, 3–13 (2001).

2. Anastas, P. & Eghbali, N. Green Chemistry: Principles and Practice. Chem. Soc. Rev. 39, 301–312 (2010).

3. Bandeira, M., Giovanela, M., Roesch-Ely, M., Devine, D. M. & da Silva Crespo, J. Green synthesis of zinc oxide nanoparticles: A review of the synthesis methodology and mechanism of formation. Sustain. Chem. Pharm. 15, 100223 (2020).

4. Salem, S. S. & Fouda, A. Green Synthesis of Metallic Nanoparticles and Their Prospective Biotechnological Applications: an Overview. Biol. Trace Elem. Res. 199, 344–370 (2021).

5. Zagal-Padilla, C. K., García-Sandoval, J. & Gamboa, S. A. A feasible and low-cost green route to prepare ZnO with n or p-type conductivity by changing the parsley extract concentration. J. Alloys Compd. 891, 162087 (2022).

6. Zagal-Padilla, C. K., Diaz-Gómez, C. & Gamboa, S. A. Electrochemical characterization of a plasmonic effect ethanol sensor based on twodimensional ZnO synthesized by green chemistry. Mater. Sci. Semicond. Process. 137, (2022).

7. Aideé, L., Salinas, B., Teresa, M. & González, G. Biosíntesis de nanopartículas de ZnS utilizando cepas de hongos. Ingenierías X, 22 (2007).

8. Loizzo, M. R. et al. Evaluation of Citrus aurantifolia peel and leaves extracts for their chemical composition, antioxidant and anti-cholinesterase activities. J. Sci. Food Agric. 92, 2960–2967 (2012).

9. Sundrarajan, M., Ambika, S. & Bharathi, K. Plant-extract mediated synthesis of ZnO nanoparticles using Pongamia pinnata and their activity against pathogenic bacteria. Adv. Powder Technol. 26, 1294–1299 (2015).

10. Lakshmeesha, T. R. et al. Reactivity of crystalline ZnO superstructures against fungi and bacterial pathogens: Synthesized using Nerium oleander leaf extract. Cryst. Growth Des. 14, 4068–4079 (2014).

11. Wang, A. J. et al. Apple pectin-mediated green synthesis of hollow double-caged peanut-like ZnO hierarchical superstructures and photocatalytic applications. Crystengcomm 14, 256–263 (2012).

12. Çoak, H. & Karakose, E. Green synthesis and characterization of nanostructured ZnO thin films using Citrus aurantifolia (lemon) peel extract by spin-coating method. J. Alloys Compd. 690, 658–662 (2017).

13. Karnan, T. & Selvakumar, S. A. S. Biosynthesis of ZnO nanoparticles using rambutan (Nephelium lappaceumL.) peel extract and their photocatalytic activity on methyl orange dye. J. Mol. Struct. 1125, 358–365 (2016).

Inamuddin Abdullah M. Asiri. 2020. Applications of Nanotechnology for Green Synthesis. Chemistry Department, King Abdulaziz University,

Saudi Arabia, Department

Aligarh. India. Springer. Moringa. Food and Agriculture Organization of the United Nations. 2020. Primo, A., Garcia. H. Solar Photocatalysis for Environment Remediation. Instituto Universitario de Tecnología Química CSIC-UPV, Universidad Politécnica de Valencia, 46022 Valencia, Spain.

Jeddah, of Applied Chemistry. Aligarh Muslim University.
21 INFLUENCIA POLITÉCNICA

EL NEARSHORING Una estrategia de recuperación post pandemia en América Latina

Alejandro

La región más afectada por la pandemia de COVID-19 es América Latina. Antes de esta situación el panorama no le era favorable, venía registrando un débil desempeño con un bajo crecimiento y escaso progreso en los indicadores sociales.

La mayoría de los países ha tomado medidas para contener la propagación, con poco éxito; teniendo como consecuencia cierre de negocios y el colapso de algunos sectores clave como el turismo. El desempleo ha aumentado y podría seguirlo haciendo en los próximos meses.

La contracción pronosticada para Latinoamérica, de acuerdo a la Comisión Económica para América Latina y el Caribe (ONU, 2023), es del 1.3%. Si se considera por subregiones, correspondería solamente un 1% para América del Sur, un 3% para América Central y un 3.3% para el Caribe. En el caso de México es de una tasa de 1.1%.

Sin embargo, los resultados registrados en el sector comercial y financiero, han sido mejores de lo pronosticado. Otro aspecto favorable ha sido el gran número de estímulos que han instrumentado algunos gobiernos. La mitad de los programas con mayor impacto social del mundo, fueron otorgados a América Latina y el Caribe.

Derivado de lo anterior, (Banco Mundial, 2022) señaló “Tras el fuerte repunte registrado en 2021,

la economía mundial está entrando en una pronunciada desaceleración en medio de las nuevas amenazas derivadas de las variantes de la COVID19 y el aumento de la inflación, la deuda y la desigualdad de ingresos, lo que podría poner en peligro la recuperación de las economías emergentes y en desarrollo, según la edición más reciente del informe Perspectivas económicas mundiales, que publica el Banco Mundial. Se espera que el crecimiento mundial se desacelere notablemente, del 5,5 % en 2021 al 4,1 % en 2022 y al 3,2 % en 2023, a medida que la demanda reprimida se disipe y vaya disminuyendo el nivel de apoyo fiscal y monetario en todo el mundo.”

En materia fiscal, los retos de la región están lejos de ser superados y la brecha con los países desarrollados sigue incrementándose. Los niveles de informalidad son de los más altos del planeta, lo que dificulta la conducción de los apoyos -subvenciones salariales y aplazamiento de pago de impuestos- a las empresas y hogares. El desafío puede resolverse a través de propuestas urgentes de políticas públicas efectivas.

Para atender esta situación, la organización denominada “Líderes empresariales de las Américas” se reunió con el presidente del Banco Interamericano de Desarrollo (BID), Mauricio Claver-Carone, para determinar la cooperación de los sectores público y privado para aprovechar las oportunidades de la integración, inversión extranjera directa y el nearshoring, para fomentar la recuperación económica de América Latina y el Caribe. En un panel moderado por Fabrizio Opertti, gerente del Sector de Integración y Comercio del BID,

María del Rocío Ventura Aquino Alejandra Fernández Hernández Reyes Velázquez
22 INFLUENCIA POLITÉCNICA

los participantes analizaron el papel de la inversión extranjera directa en el contexto afectado por la crisis sanitaria. También describieron los factores estratégicos que consideran las empresas para determinar la ubicación más favorable para el desarrollo de sus operaciones de cadenas de suministro global. El “Diálogo empresarial de las Américas” (ABD) es una iniciativa liderada por el sector privado y facilitada por el BID, está compuesto por asociaciones del sector privado y más de 380 empresas del hemisferio. Fue creado en 2014 para promover un diálogo público-privado sobre las prioridades, desafíos y oportunidades para el crecimiento económico y el desarrollo de las Américas. (Banco Mundial, 2020)

El presidente del BID y las empresas miembros del ABD (en especial las que forman parte de los sectores de manufactura, servicios globales y de inversiones institucionales), analizaron tanto el tipo de políticas de gobierno, así como los incentivos que podrían impulsar la capacidad productiva de las mismas para fortalecer las cadenas de suministro de Latinoamérica y el Caribe. El presidente de este organismo supranacional, hizo énfasis en la cooperación que puede existir entre el sector público y el privado (en los aspectos de inversiones, infraestructura e integración), como una estrategia clave que facilitará el camino para las empresas atraídas por la “deslocalización” de su actividad productiva. Lo anterior tendría incidencia en variables macroeconómicas como el crecimiento y el empleo que ayudarían a la mejoría de la economía del área.

El nearshoring se define como una estrategia de externalización en la que una organización transfiere parte de su cadena productiva a terceros que, aunque no estén ubicados en el país de origen, estén localizados en lugares cercanos, con una zona horaria semejante. Lo anterior, les permite reducir costos y riesgos significativos, además de normas fitosanitarias y para aranceles que fueron un gran obstáculo en las operaciones de comercio internacional durante la pandemia. (Reuters, 2021).

De acuerdo con Claver-Carone, el “nearshoring” contribuye más que las inversiones nuevas. En lo que toca al sector de las Pequeñas Y Medianas Empresas (PYMES) en América Latina, les da la oportunidad de participar en las cadenas de suministro nuevas, al contar con financiamiento para tal efecto.

Otras variables se ven favorecidas, como en el caso de la mejoría en la remuneración de algunos empleos específicos (además del desarrollo de capital humano especializado), la transferencia de tecnología y capital, y gracias al incremento potencial de las exportaciones, mayor productividad y crecimiento económico podrían esperarse. Las cadenas globales de valor se han visto seriamente afectadas por esta pandemia y las empresas multinacionales están haciendo esfuerzos importantes para mejorar la resiliencia de sus cadenas de suministro, lo que podría representar una oportunidad para las PYMES latinoamericanas que se localizan más cerca que sus proveedores actuales.

Lo contrario al nearshoring es el offshoring o deslocalización, que había sido una estrategia efectiva en la reducción de costos y aumento de la competitividad de las empresas. Se trata de la prestación de un servicio o producción de un insumo en un lugar distante al que se encuentra el cliente, pero que por tratarse de una ventaja comparativa del país en donde se realiza, representa un costo menor para la entidad económica. (CEPAL, 2010)

Informes del BID mencionan que los países latinoamericanos y del Caribe pueden beneficiarse de las oportunidades del nearshoring, convirtiéndose en proveedores de textiles, conductores eléctricos y servicios de Estados Unidos.

Referencias Bibliográficas

Banco Mundial. (20 de diciembre de 2020). Obtenido de Banco Mundial: https://www.bancomundial.org

Banco Mundial. (11 de 01 de 2022). Banco Mundial. Obtenido de BIRF - AIF: https://www.bancomundial.org/es/news/press-release/2022/01/11/global-recovery-economicsdebt-commodity-inequality

CEPAL. (2010). La inversión extranjera directa en América Latina y el Caribe. En G. Gereffi, M. Castillo, & K. Fernández-Stark, Inversión Extranjera Directa 2010 (págs. 179-211). Buenos Aires, Argentina: CEPAL.

Bastas, A. & Liyanage, K. (2018). Sustainable supply chain quality management: A systematic review. Journal of Cleaner Production. Vol. 181. Calatayud, A., Bedoya, F. and Mejia, V., (2021). Cadenas de suministro en la era post-COVID: mejor logística para capitalizar los beneficios del nearshoring y la reconfiguración global – Movilidad, IADB.

López A., Ruíz-Arranz M. (2020). ALC-POST COVID-19, Retos y oportunidades. CID: Departamento de países de Centro América, Haití, México, Panamá y República Dominicana. Vicepresidencia de países: Banco Interamericano de Desarrollo.

ONU. (29 de marzo de 2023). Organización de las Naciones Unidas. Obtenido de Comisión Económica para América Latina y el Caribe: https://www.cepal.org/es/articulos/2023-2023-crecimiento-sera-mas-lento-america-latinacaribe-asi-es-como-se-puede-revertir#:~:text=En%20la%20CEPAL%2(Comisi%C3%B3n%20 Econ%C3%B3mica,ser%C3%A1%20del%201%2C3%25.

Reuters, T. (2021). THOMSON REUTERS. Obtenido de THOMSON REUTERS México: https://www.thomsonreutersmexico.com/es-mx/soluciones-de-comercio-exterior/blogcomercio-exterior/nearshoring-la-solucion-actual-para-el-comercio-exterior.

23 INFLUENCIA POLITÉCNICA

CALIDAD DEL AGUA

Estudio de la variación de la de un acuífero ubicado área urbana de Morelos

EnMéxico, cada día aumenta el número de acuíferos con problemas de contaminación, debido a las actividades antropogénicas. Todos estos problemas no son tan visibles, de ahí la trascendencia de mantener el monitoreo de los acuíferos. Uno de los acuíferos más importantes del estado de Morelos es el de Cuernavaca, con una extensión de 820 km2. A este acuífero se le evaluó la calidad del agua en 4 pozos de muestreo. Se realizó un análisis espacial y estacional. Como resultado, se observó que la variación respecto al tiempo es constante. La variación estacional de la calidad del agua fue mayor en el pozo 2, debido a su ubicación urbana y al suelo permeable. La evaluación espacial de la calidad del agua que se evaluó mediante una modelación de los parámetros, la cual confirmó que la mayor contaminación se encuentra también en el pozo 2. El Índice de Calidad del Agua (ICA) mostró que las actividades humanas han contribuido a la contaminación de los cuerpos de agua; los pozos se encuentran con una calidad buena a excelente. Por lo tanto, se concluyó que el agua es buena para uso agrícola o recreativo.

La contaminación de las aguas subterráneas representa un grave problema ambiental, y en algunos casos puede ser difícilmente remediable debido a las características fisicoquímicas que presentan los contaminantes generados por las actividades humanas (McGill et al. 2019). El hecho de que se encuentren en el subsuelo hace que la contaminación no sea de forma inmediata, pero una vez que llega al cuerpo subterráneo, es complicado y costoso hacer la remediación correspondiente (Nikolenko et al. 2019). Los recursos de agua subterránea son cruciales para el suministro de agua potable en entornos rurales y urbanos. Sin embargo, la ocurrencia de contaminantes geogénicos y antropogénicos restringe la disponibilidad de agua potable de buena calidad en algunas regiones (MontoyaLopera et al. 2019).

24 INFLUENCIA POLITÉCNICA

La calidad del agua subterránea puede verse afectada por diversos factores como los usos del suelo, la agricultura, la calidad del agua de los ríos y lagos, entre otros (Han et al. 2020; Li et al. 2020). La presencia de agentes externos en un cuerpo de agua puede provocar riesgos por diversos factores. Estos sistemas acuáticos son amenazados por el aporte de sustancias contaminantes como plaguicidas, fertilizantes, organismos patógenos y otros, debido al incremento de actividades antropogénicas en las áreas adyacentes que alteran las condiciones naturales de los ecosistemas (Ramos-Leal et al. 2018). Los cuerpos de agua subterráneos juegan un papel importante, por lo que el monitoreo de la calidad del agua de sus principales fuentes de abastecimiento es vital. Llevar a cabo un monitoreo de los acuíferos puede mitigar estos impactos, además, de coadyuvar en la gestión sostenible de los recursos hídricos para proporcionar una solución para la futura planificación y gestión de los recursos hídricos los responsables de la administración de estos recursos. Además, determinar la química del agua subterránea y las variaciones de su calidad son esenciales para una gestión y protección eficaces del agua (Alemayehu et al. 2017).

La calidad del líquido en los cuerpos de agua subterránea depende en gran medida de los parámetros físicos, químicos y biológicos y de su interacción entre sí (He et al. 2020), parámetros que deben evaluarse antes de decidir el uso específico que se le dará al agua (Korkanc et al. 2017, Kulshreshtha et al. 2018). Los diversos parámetros fisicoquímicos y biológicos están relacionados entre sí y la calidad general del agua depende de la desviación del rango permitido (Chang et al. 2020, Li et al. 2020).

México cuenta con 653 acuíferos, de los cuales, 105 están en déficit, es decir que la extracción de agua excede a la recarga. También, algunos presentan intrusión marina, que es el proceso en el cual el agua del mar fluye hacia el subsuelo continental mezclándose con el agua dulce de los acuíferos y salinizandolos, en esta situación se encuentran 18 acuíferos (CONAGUA, 2021).

Otro problema es el agua subterránea salobre, se presenta cuando el agua deja de ser dulce, es decir, se va salinizando a consecuencia del uso agrícola de los suelos. La calidad del agua se ha visto afectada también, por el uso de fertilizantes y pesticidas empleados en la agricultura o contaminantes derivados de desechos industriales. Esta situación del agua subterránea no es tan visible, de ahí la trascendencia de mantener un monitoreo de los acuíferos tanto en cantidad como en calidad, con el fin de preservar este recurso tan importante (McGill et al. 2019). Por esto, el presente estudio evaluó la calidad del agua del acuífero Cuernavaca el cual se encuentra en zona urbana.

Área de estudio

El acuífero Cuernavaca se encuentra en el estado de Morelos y pertenece al Organismo de Cuenca del Balsas. La Figura 1 muestra la representación geográfica del acuífero de Cuernavaca, delimitando la zona que lo comprende y los puntos de muestreo en los pozos. La Tabla 1 presenta la ubicación de cada pozo de muestreo. Este acuífero se localiza en la porción noroccidental del Estado de Morelos, y cubre una superficie aproximada de 820 km². Este acuífero abarca los municipios de Cuernavaca, Huitzilac y Jiutepec y casi la totalidad de Emiliano Zapata y Temixco; parcialmente los municipios de Miacatlán, Xochitepec y Tepoztlán. Su altitud fluctúa entre 1,100 y 3,000 metros sobre el nivel del mar.

Figura 1. Zona geográfica del acuífero de Cuernavaca
25 INFLUENCIA POLITÉCNICA

Metodología

Evaluación de calidad del agua

La comisión nacional del agua en México, es el órgano encargado del monitoreo de los acuíferos. Esta comisión proporcionó la información histórica de los parámetros de calidad del agua que abarca el periodo de 2012 a 2019. Los parámetros de calidad del agua se obtuvieron semestralmente en 6 puntos estratégicos de muestreo del acuífero. Los parámetros de calidad del agua utilizados son; pH, Dureza total, Calcio, Magnesio, Nitratos, Cloruros, Sulfatos, Fluoruros, Alcalinidad total y Sólidos Disueltos totales. Los datos de calidad del agua fueron analizados mediante el software Stahtgraphics. Se realizó un análisis estadístico para conocer la desviación estándar y el coeficiente de variación.

parámetros involucrados son; pH, sólidos disueltos totales, dureza total, calcio, magnesio, nitratos, cloruros, sulfatos, fluoruros y alcalinidad total. La determinación del ICA se realizó mediante las ecuaciones 1-3 como se muestra en la Tabla 2 (Saikrishna et al.2020; Elsayed et al.2020).

Los valores del ICA obtenidos se clasificaron en 5 categorías como se muestra en la Tabla 3.

Evaluación espacial de la calidad del agua

Mediante el promedio de los parámetros se obtuvo una distribución del área de interpolación de los parámetros medidos.

Evaluación estacional de la calidad del agua

La evaluación estacional se realizó tomando en cuenta los datos de calidad del agua del periodo 2012 a 2019.

Índice de calidad del agua

Una herramienta eficaz para evaluar la calidad del agua es el Índice de Calidad del Agua (ICA). Este índice es utilizado frecuentemente para determinar la idoneidad del agua del acuífero en estudio. Los

En estas ecuaciones, Wi es el peso relativo, wi es el peso de cada parámetro y n es el número de parámetros. qi = es la clasificación basada en la concentración del parámetro "i-ésimo". ei es la concentración de cada parámetro en cada muestra de agua, vi es el valor ideal del parámetro en agua pura (considere vi = 0 para todos excepto pH, vi = 7 para pH) y bi es el valor estándar (OMS) para cada parámetro. A cada uno de los parámetros de calidad del agua se le han asignado diferentes pesos (Wi) de acuerdo con su importancia relativa en la calidad general del agua. Se ha asignado el peso máximo de '5' por su mayor importancia en la evaluación de la calidad del agua y se ha dado el peso mínimo de '2' por su menor importancia.

Tabla 1. Ubicación de los pozos de muestreo del acuífero en estudio. Tabla 2. Clasificación y valores de los parámetros para la determinación del ICA. Tabla 3. Clasificación del valor del ICA.
26 INFLUENCIA POLITÉCNICA

Resultados

Antes de iniciar las evaluaciones de la calidad del agua, primeramente, se analizaron los parámetros para conocer sus variaciones y el cumplimiento con la normatividad nacional e internacional. Todos los parámetros se encontraron dentro de los límites máximos permisibles por la normatividad nacional.

La Tabla 4. muestra el resumen estadístico de la concentración de los parámetros de calidad del agua del acuífero en estudio. En esta tabla se observa que los Sólidos Disueltos Totales presentan una mayor variación en las muestras. Esto, debido a que los muestreos se realizaron en dos temporadas, en una de ellas, la de lluvias, el agua se filtra mediante el suelo poroso y llega al acuífero alterando este parámetro. El resto de los parámetros presentan una baja variación de su concentración en el agua.

La calidad del agua temporal del acuífero en estudio, presenta una variación constante respecto al tiempo. Para este análisis se evaluaron 10 parámetros de calidad del agua que fueron: alcalinidad total, nitratos, sólidos disueltos totales, pH, cloruros, fluoruros, sulfatos, calcio, magnesio y la dureza total. La Figura 2 presenta la concentración de los diferentes parámetros del agua con respecto al tiempo, en este caso del año 2012 al 2019 para cada punto de muestreo del acuífero Cuernavaca. Como resultado se pudo observar que el pozo de muestreo 1 es el más afectado por la actividad antropogénica del área de estudio. Del año 2012 al 2019 se muestra una tendencia constante.

La calidad espacial del agua del acuífero Cuernavaca se evaluó mediante una representación espacial usando el QGIS; a partir de la ubicación geográfica, se modelaron los mapas de la zona, los cuales están presentados con una variación de color. De acuerdo con el ICA presente en el mapa, será el indicativo para evaluar si se encuentra en concentraciones altas o bajas. Nuevamente, para este análisis se evaluaron

10 parámetros de calidad del agua que fueron: conductividad, carbono orgánico total, nitrógeno total, fósforo total, pH, sólidos disueltos totales, temperatura del agua, dureza total y coliformes fecales.

Tabla 4. Resumen estadístico de los parámetros de calidad del agua utilizados para determinar el ICA. Figura 2. Variación de los parámetros de calidad del agua respecto al tiempo en P1 (-■-), P2 (-●-), P3 (-▲-) y P4 (-▼-).
27 INFLUENCIA POLITÉCNICA

La Figura 3 presenta la concentración detectada para los diferentes parámetros en los 4 pozos, en una evaluación de tiempo del 2012 al 2019 para cada punto de muestreo del acuífero Cuernavaca. En esta figura se puede observar claramente que la mayor afectación de contaminación se encuentra en el pozo 1, debido a que se encuentra en suelo poroso, lo que favorece la permeación de los contaminantes.

Índice de calidad del agua

El ICA se empleó para evaluar el estado de la calidad del agua del acuífero en estudio, cuyo uso es “agua potable” y está relacionado con los estándares de la Organización Mundial de la Salud (WHO, 2008; Hamdi et al. 2018). Para la determinación del ICA se utilizaron 10 parámetros (pH, sólidos disueltos totales, dureza total, calcio, magnesio, nitratos, cloruros, sulfatos, fluoruros y alcalinidad total).

La Figura 4 presenta el ICA en los cuatro puntos de muestreo del acuífero en Cuernavaca. En esta figura se observa que el ICA del PZ1 es de 63.43, el del PZ2 es de 74.87, el del PZ3 es de 29.53 y el ICA del PZ4 fue de 40.41. En estos resultados se destaca que el PZ1 y PZ2 tienen una calidad buena mientras que los PZ3 y PZ4 presentan una calidad excelente. El PZ2 presentó mayor valor del ICA debido a la localización en zona urbana con mayor actividad antropogénica. Sin embargo, a pesar de que algunos parámetros se observaron con una concentración elevada, el agua es buena para uso agrícola o recreativo.

Figura 4. Índices de calidad del agua para cada pozo de muestreo
PZ PZ PZ PZ 28 INFLUENCIA POLITÉCNICA
Figura 3. Concentración espacial de los parámetros (contaminantes) del agua.

Conclusiones

La contaminación de los acuíferos representa un grave problema ambiental que aumenta cada día y algunas veces puede ser difícilmente remediable debido a las características fisicoquímicas que presentan los contaminantes a causa de las actividades antropogénicas. La calidad del agua del acuífero Cuernavaca presenta una variación constante respecto al tiempo. Las concentraciones encontradas muestran la afectación de las actividades antropogénicas en el área de estudio debido a que se encuentra en zona urbana, semiurbana y agrícola. La variación estacional de la calidad del agua mostró una mayor variación en el PZ2, el PZ1 presentó la menor concentración. Así mismo, la evaluación espacial de la calidad del agua que se evaluó mediante una modelación de los parámetros, confirmó que la mayor contaminación se encuentra en el PZ2, y PZ1 se encuentra con unos niveles de concentración más bajos. El Índice de calidad del agua mostró que las actividades humanas han contribuido a la contaminación de los cuerpos de agua, obteniendo que el PZ1 y PZ2 tienen una calidad buena, mientras que los PZ3 y PZ4 presentan una calidad excelente. Por lo tanto, a pesar de que algunos parámetros se observaron con una concentración elevada, el agua es buena para uso agrícola o recreativo.

Referencias

Alemayehu, T., Kebede, S., Liu, L., & Kebede, T. (2017). Basin hydrogeological characterization using remote sensing, hydrogeochemical and isotope methods (the case of baro-akobo, eastern nile, ethiopia). Environmental Earth Sciences, 76(13), 1-17. doi:10.1007/ s12665-017-6773-8

Chang, N., Luo, L., Wang, X.C., Song, J., Han, J., Ao, D. (2020). A novel index for assessing the water quality of urban landscape lakes based on water transparency. Sci. Total Environ. 735, 139351. doi:10.1016/j.scitotenv.2020.139351

CONAGUA, (2020). Sistema Nacional de Información del Agua. Gobierno de México. Disponible en: http://sina.conagua.gob.mx/sina/index.php

Elsayed, G.M., Soussa, H., and Fattouh, E. (2020). Groundwater quality evaluation for drinking and irrigation uses in Dayrout city Upper Egypt. Ain Shams Engineering Journal 12: 327-340. doi:10.1016/j.asej.2020.05.010

Hamdi, M., Zagrarni, M. F., Jerbi, H., Tarhouni, J., (2018). Hydrogeochemical and isotopic investigation and water quality assessment of groundwater in the Sisseb El Alem Nadhour Saouaf aquifer (SANS), northeastern Tunisia. J. Afr. Earth Sci. 141, 148–163. doi:10.1016/j. jafrearsci.2017.11.035

Han, Q., Tong, R., Sun, W., Zhao, Y., Yu, J., Wang, G., Jin, Y. (2020). Anthropogenic influences on the water quality of the baiyangdian lake in north china over the last decade. Sci. Total Environ. 701, 134929. doi:10.1016/j.scitotenv.2019.134929

He, J., Wu, X., Zhang, Y., Zheng, B., Meng, D., Zhou, H., Shao, Z., Deng, W., Lu, L., Qin, Y. (2020). Management of water quality targets based on river-lake water quality response relationships for lake basins – A case study of dianchi lake. Environ. Res. 186, 109479109479. doi:10.1016/j.envres.2020.109479

Korkanç, Y., Kayıkç, S., Korkanç, M. (2017). Evaluation of spatial and temporal water quality in the akkaya dam watershed (nigde, turkey) and management implications. J. Afr. Earth Sci. 129, 481-491. doi:10.1016/j.jafrearsci.2017.01.034

Kulshreshtha, A., Shanmugam, P. (2018). Assessment of trophic state and water quality of coastal-inland lakes based on Fuzzy Inference System. J. Great Lakes Res. 44, 1010-1025. doi. org/10.1016/j.jglr.2018.07.015

Li, B., Wan, R., Yang, G., Wang, S., Wagner, P.D. (2020). Exploring the spatiotemporal water quality variations and their influencing factors in a large floodplain lake in china. Ecol. Indic. 115, 106454. doi:10.1016/j.ecolind.2020.106454

McGill, B. M., Altchenko, Y., Hamilton, S. K., Kenabatho, P. K., Sylvester, S. R., & Villholth, K. G. (2019). Complex interactions between climate change, sanitation, and groundwater quality: A case study from ramotswa, botswana. Hydrogeology Journal, doi:10.1007/s10040018-1901-4.

Montoya-Lopera, P., Ferrari, L., Levresse, G., Abdullin, F., & Mata, L. (2019). New insights into the geology and tectonics of the san dimas mining district, sierra madre occidental, México. Ore Geology Reviews, 105, 273-294. doi:10.1016/j.oregeorev.2018.12.020

Nikolenko, O., Orban, P., Jurado, A., Morana, C., Jamin, P., Robert, T., Brouyѐre, S. (2019). Dynamics of greenhouse gases in groundwater: Hydrogeological and hydrogeochemical controls. Applied Geochemistry, 105, 31-44. doi:10.1016/j.apgeochem.2019.04.009

Ramos-Leal, J. A., Morán-Ramírez, J., Silva-García, J. T., Fuentes-Rivas, R. M., Cruz-Cárdenas, G., Ochoa-Estrada, S. & Estrada-Godoy, F. (2018). Identification of hydrogeochemical processes in a volcano-sedimentary aquifer of ciénega de chapala in michoacán, mexico. Arabian Journal of Geosciences, 11(15), 1-9. doi:10.1007/s12517-0183760-7

Saikrishna, K., Purushotham, D., Sunitha, V., Reddy, Y.S., Linga, D., and Kumar, B.K. (2020). Data for the Evaluation of Groundwater Quality using Water Quality Index and Regression Analysis in parts of Nalgonda district, Telangana, Southern India. Data in Brief 106235. doi:10.1016/j.dib.2020.106235

World Health Organization (WHO), (2008). Guidelines for Drinking Water Quality, vol. 1. WHO, Geneva recommendations (3rd). third ed. pp. 20.

29 INFLUENCIA POLITÉCNICA

El Ciclo del Agua,

“Una de las principales ventajas de adoptar los principios de la economía circular en el tratamiento de las aguas residuales es que la recuperación de recursos, el reúso del agua y el uso eficiente de la energía pueden ser factores claves para transformar las actividades de saneamiento partiendo de servicios onerosos a servicios auto-sustentables y con un valor agregado”.

Introducción

a) El ciclo del agua

Elagua es esencial para la vida en el planeta. En sus tres formas (sólido, líquido y gas), el agua se vincula a la mayor parte de los sistemas climáticos en la tierra: aire, nubes, océanos, lagos, vegetación, nieve y glaciares. El ciclo del agua muestra el movimiento continuo de esta vital molécula en la tierra y la atmósfera; es un sistema complejo que incluye muy diferentes procesos: el agua en su forma líquida se evapora a su estado gaseoso (vapor), se condensa para formar las nubes y precipita para regresar nuevamente a la tierra en la forma de lluvia y nieve. El agua en sus diferentes fases se mueve a través de la atmósfera (transporte); el agua en forma líquida fluye por la tierra (escorrentía), penetra a la tierra (infiltración y percolación) y a través del ambiente (agua subterránea). El agua subterránea penetra a las plantas (asimilación) y se evapora de las plantas hacia la atmósfera (transpiración). El agua en su forma sólida (hielo y nieve) se puede transformar directamente al estado gaseoso (sublimación); lo opuesto ocurre cuando el vapor de agua se transforma a sólido (deposición). https://www.noaa.gov/ducation/ resource-collections/freshwater/water-cycle.

Los seres humanos somos cien por ciento dependientes del agua para todo. La tomamos de la

naturaleza, la usamos, pero también la contaminamos. Estamos obligados a tratarla para descontaminar y regresar a la naturaleza por lo menos con la misma calidad que tenía cuando la tomamos antes de su uso. Desafortunadamente en muchos casos, esto no es así.

b) Actividades antropogénicas que afectan la calidad del agua.

Las actividades humanas afectan el ciclo natural del agua. La contaminación del agua en el ambiente es la principal causa en todo el planeta de transmisión de enfermedades y muerte. A pesar de la preocupación generalizada de muchas personas e instituciones como la Organización Mundial de la Salud (OMS), gobiernos y muchas instituciones. Se estima que aproximadamente 829,000 personas mueren cada año por enfermedades diarreicas como resultado de una carencia de agua segura para su consumo, falta de saneamiento y falta de higiene de manos. https://www.who.int/news-room/fact-sheets/detail/ drinking-water.

En muchos países, a menudo nos preocupa la contaminación del agua causada por desastres naturales y actividades humanas, así que, es fácil de comprender por qué la contaminación del agua es un grave problema para toda la cadena biológica (organismos) que cohabitan en el ecosistema. Lo cierto es que, el ser humano es también afectado en forma negativa por esta contaminación que en muchos

la economía circular y la influencia de su alteración antropogénica.
30 INFLUENCIA POLITÉCNICA

casos es causada por él mismo. Lamentablemente, estas aguas contaminadas son la fuente de donde tomamos nuestros alimentos del mar, aguas de ríos y en donde nadamos, nos bañamos y jugamos e inclusive de donde tomamos el recurso para la provisión del agua para uso y consumo.

Generalmente el agua de la llave que usamos en nuestros hogares es sometida a varios procesos de tratamiento (potabilización) para eliminar algunos de los contaminantes que pueden ser nocivos para nuestra salud; pero algunos de ellos aún pueden permanecer, cómo metales pesados, compuestos químicos de naturaleza orgánica, microorganismos y compuestos farmacéuticos por mencionar sólo algunos. Algunas personas, dependiendo de la fuente de agua pueden estar expuestas a ciertos niveles de estos contaminantes en forma cotidiana. (https://www.freedrinkingwater.com/water-contamination/ water-contaminants-pollutants-list.htm).

La economía circular

El ciclo del agua en la naturaleza es el mejor ejemplo que se utiliza y adopta como un modelo y base para el concepto de economía circular.

La economía circular (EC) es el concepto en el cual los productos, y materias primas deben permanecer en la economía el mayor tiempo posible, y los desechos no existen, sino que son considerados, no de esa manera, y en su lugar como materias primas secundarias que pueden ser recicladas en otros procesos y reutilizadas (Ghisellini, P., 2016); a diferencia de la economía lineal que se fundamenta en el sistema “tomar-hacerusar–desechar”, en donde el desecho es usualmente la última etapa del ciclo de vida del producto. La economía circular promueve la gestión sustentable de los materiales y la energía, al minimizar la cantidad de desecho generado y su reúso como un material secundario.

Las características de la economía circular se presentan en la tabla 1.

La principal razón para implementar la economía circular en el mundo incluye la disponibilidad limitada de las materias primas y la dependencia de las economías de varios países para la importación de estas materias primas (precios elevados, volatilidad del mercado, conflictos de tipo político, etc.). El enfoque de economía circular se presenta en la figura 1. Ellen Mac Arthur Foundation (2013).

Tabla 1. Características de la economía circular.
31 INFLUENCIA POLITÉCNICA
Figura 1. Diagrama del sistema de economía circular

Las aguas residuales y su tratamiento

Mucha del agua que usamos en nuestros hogares, en la industria y en los servicios debe de ser tratada antes de regresar al medio ambiente una vez que ha sido utilizada. La naturaleza tiene una increíble habilidad para amortiguar y tratar pequeños volúmenes de estas aguas residuales que contienen diversos elementos que generan la contaminación, pero cuando esa capacidad de autodepuración es rebasada, generamos un problema grave de contaminación que mantiene hoy en día a muchos de nuestros cuerpos de agua nacionales muy contaminados.

Las instalaciones para tratar las aguas residuales, denominadas plantas de tratamiento (PTAR), reducen los contaminantes físicos, químicos y biológicos que contienen a niveles aceptables para que puedan regresar a la naturaleza sin causar daño o puedan ser reutilizados para diversos fines.

El principal objetivo del tratamiento de las aguas residuales es el de remover tanto como sea posible los sólidos suspendidos, la materia orgánica, los nutrientes y otros contaminantes específicos antes de que el agua producto de este tratamiento, denominada efluente, sea descargada de regreso al ambiente.

Las plantas de tratamiento de aguas residuales (PTAR) son clave y una parte importante para recuperar la calidad del agua que originalmente fue usada con diferentes objetivos y son una parte importante para lograr una sustentabilidad circular al integrar: la producción sustentable de energía y la recuperación de recursos y el reúso mediante los procesos unitarios utilizados en la PTAR para la eliminación de los contaminantes específicos y generar un efluente inocuo.

Una de las ventajas clave de adoptar los principios de la economía circular en el procesamiento de las aguas

residuales (tratamiento) es la recuperación de los recursos y el reúso pueden transformar el saneamiento de un servicio costoso a un sistema auto-sostenible y como un sistema con un valor agregado (Rodríguez, et. al 2020).

Las plantas de tratamiento de aguas residuales (PTAR) en el presente y en el futuro cercano deberán transformarse a sistemas tecnológicos “ecológicamente sustentables”. Aunque durante los últimos 25 años, ha habido varios intentos en manifestar la necesidad de la recuperación de recursos que contienen las aguas residuales. Ahora la necesidad nos aboca a efectuarlo por la limitación de algunos elementos como el fósforo, que tiene una alta demanda de consumo y la escasez de agua, cada vez mayor; así como la recuperación de energía por mencionar sólo algunos. (https://www.usgs.gov/special-topics/water-science).

La mayoría de las plantas de tratamiento de aguas residuales se han diseñado y construido para satisfacer los requerimientos para cumplir con la calidad del efluente (agua residual tratada). Los requerimientos energéticos no son considerados como un factor principal, aun cuando este es de altísima importancia; ni tampoco se considera el reúso del agua residual tratada para recuperar y optimizar el recurso original; la recuperación de recursos, como el fósforo y la recuperación de energía a partir de la digestión anaerobia de los lodos, así como el uso de tecnologías sostenibles que permitan un ahorro de energía.

Estos conceptos son medulares y ayudan a cambiar el paradigma y adoptar el enfoque de economía circular. La figura 2 presenta el esquema de recuperación de recursos en una planta de tratamiento de aguas residuales.

32 INFLUENCIA POLITÉCNICA

(aguas superficiales, subterráneas y mares) y el equilibrio en la naturaleza. También es necesario que el ser humano cambie el paradigma del tratamiento de aguas residuales del enfoque de economía lineal a aquel de economía circular y actúe y trabaje en esa dirección. Con este enfoque y éstas actividades no hay

Referencias

-Ellen MacArthur Foundation (2013), “Towards the Circular Economy, vol 2”.

-Ewa Neczaj * and Anna Grosser (2018). Circular Economy in Wastewater Treatment Plant–Challenges and Barriers. MDPI Journal. Proceedings, 2, 614;

-Ghisellini, P.; Cialani, C.; Ulgiati, S. A review on circular economy: The expected transition to a balanced interplay of environmental and economic systems. J. Clean. Prod. 2016, 114, 11–32, doi:10.1016/j jclepro.2015.09.007.

-Rashidi, H.; GhaffarianHoseini, A.; GhaffarianHoseini, A.; Sulaiman, N.M.N.; Tookey, J.; Hashim, N.A.(2015). Application of wastewater treatment in sustainable design of green built environments: A review. Renew. Sustain. Energy Rev. 2015, 49, 845–856,

deben de ser recuperados, la energía debe ser inteligentemente usada y recuperada a partir de la biomasa y el agua residual tratada, 100% reutilizada para ayudar a preservar el recurso. Cada producto generado y recuperado tiene su valor y no se generan desechos.

doi:10.1016/j.rser.2015.04.104.

-Rodriguez, Diego J.; Serrano, Héctor A.; Delgado, Anna; Nolasco, Daniel; Saltiel, Gustavo (2020). From Waste to Resource: Shifting paradigms for smarter wastewater interventions in Latin America and the Caribbean.” World Bank, Washington, DC.

-https://www.who.int/news-room/fact-sheets/detail/drinking-water

-https://www.noaa.gov/ducation/resource-collections/freshwater/water-cycle.

33 INFLUENCIA POLITÉCNICA

Los Indicadores del COMERCIO EXTERIOR en la renegociación del TLCAN

(PARTE II)

II. RESULTADOS

RESUMEN

La renegociación del Tratado de Libre Comercio de América del Norte (TLCAN) propuesta por el presidente Donald Trump en agosto de 2017 generó diversas posturas respecto a la posición que cada país miembro debería asumir en las negociaciones. Partiendo del hecho de que el crecimiento económico es una de las variables clave en todo acuerdo internacional, el presente trabajo analiza la relación que existe entre el crecimiento económico y los indicadores del comercio exterior: balanza comercial, concentración de exportaciones y sesgo doméstico, para cada uno de los países del TLCAN durante el periodo 2001-2016, tal que, en función de ellos, sea posible identificar la postura que a cada socio le convendría adoptar en la renegociación. Las relaciones se determinan a través del uso de modelos de regresión lineal simple de series de tiempo. Los resultados encontrados son heterogéneos, para México la única variable relevante en el crecimiento económico es la concentración, para Canadá ninguna es relevante y para Estados Unidos todas las variables son relevantes.

Como ya se ha explicado, el objetivo principal del presente estudio es determinar las relaciones estadísticas que existen entre algunos indicadores del comercio exterior (balanza comercial, concentración de exportaciones y sesgo doméstico) y el crecimiento económico. Cada una de ellas respecto a cada país miembro del TLCAN, México, Canadá y Estados Unidos. Las variables utilizadas para ello son el Producto Interno Bruto (PIB), las exportaciones y las importaciones de mercancías, expresadas en términos nominales. Las bases de datos fueron extraídas del Centro de Comercio Internacional (CCI) (Centro de Comercio Internacional, 2018).

Leer Parte I en el número anterior.
34 INFLUENCIA POLITÉCNICA
Figura 1. Evolución histórica de los indicadores 2001-2016 Fuente: elaboración propia, con datos del CCI.

Un primer acercamiento al comportamiento de las variables consideradas se observa en la Figura 1. Las variables PIB, exportaciones e importaciones se expresan en logaritmos, puesto que originalmente se encuentran en unidades monetarias con cifras demasiado grandes. Los indicadores del Indice Hirschman-Herfindahl (IHH) y sesgo doméstico se expresan en decimales. Respecto al PIB puede verse que Estados Unidos presenta el mayor valor, seguido de Canadá y México. En los tres países se observa una ligera caída durante la crisis financiera mundial de 2008-2009. Para la balanza comercial, dado que los tres países presentan un déficit comercial en el periodo analizado, se toma el logaritmo del valor absoluto del déficit. Puede verse que, nuevamente, Estados Unidos presenta el mayor déficit de los tres países. Para el IHH, que indica el grado de concentración del destino de las exportaciones, se puede observar que México y Canadá presentan los mayores valores. Estados Unidos es el país con la menor concentración. Por último, respecto al sesgo doméstico se observa que Estados Unidos es quien presenta el mayor sesgo. Para el caso de México y Canadá, desde el inicio hasta el final del periodo, su situación se ha invertido.

Para realizar la estimación estadística de las relaciones de las variables se utilizan las variaciones porcentuales de cada una de ellas. En la Figura 2 se muestra el comportamiento de dichas variaciones.

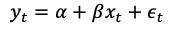
El modelo específico que se va a estimar con cada par de variables supone una relación lineal de la forma

donde la variable yt se refiere a la variación porcentual del PIB y la variable xt corresponde a la variación porcentual del déficit, el IHH y el sesgo doméstico. El término ϵt es el término de error que surge de utilizar el método de Mínimos Cuadrados Ordinarios y cumple con la característica de ser una variable aleatoria independiente e idénticamente distribuida de forma normal con media cero y varianza σ2, ϵt~N(0,σ2).

El primer modelo considera como variable independiente la variación porcentual del déficit comercial, DefMx, para México. Gráficamente se observa una ligera relación positiva entre las variables, Figura 3. El valor del coeficiente es de 0.004495, Tabla 1, sin embargo, el valor del estadístico t es de 0.33, lo que sugiere la no significancia de la relación.

Figura 3. Relación entre la variación porcentual del PIB y la variación porcentual del déficit comercial para México Fuente: elaboración propia con datos de CCI.
35 INFLUENCIA POLITÉCNICA
Figura 2. Variación porcentual de los indicadores 2001-2016 Fuente: elaboración propia, con datos del CCI.

Con respecto a la variación porcentual del IHH, IhhMx, como variable independiente para México, se observa una relación negativa, Figura 4. El resultado de la estimación arroja un coeficiente de -0.050639, Tabla 2. Este resultado se ve reforzado por el valor del estadístico t, de -1.97, que lleva a concluir que la relación es estadísticamente significativa.

Por último, para la variación porcentual del sesgo doméstico, SesMx, como variable independiente, también para México, se observa una ligera relación positiva, Figura 5. El coeficiente es igual a 0.013569, Tabla 3, pero el estadístico t, de 0.57, sugiere que la relación no es significativa.

REFERENCIAS BIBLIOGRÁFICAS

Agosin, M. (2009). Crecimiento y diversificación de exportaciones en economías emergentes. Revista CEPAL.

Arribas, I. (2010). La medición de la integración comercial en una economía globalizada. Fundación BBA.

Centro de Comercio Internacional. (08 de 08 de 2018). Centro de Comercio Internacional. Obtenido de www.intracen.org

Centro de Comercio Interncional. (08 de 08 de 2018). Centro de Comercio Internacional. Obtenido de www.intracen.org

Delfin Ortega, O. (2011). Estructura de las Reglas de Origen del TLCAN: un Análisis Medológico del Valor de Contenido Regional. CIMEXUS.

Durán Lima, J., & Alvarez, M. (2008). Indicadores de comercio exterior y política comercial: mediciones de posición y dinamismo comercial. Colección Documentos de proyectos. Instituto Nacional de Estadística y Geografía. (9 de 8 de 2018). INEGI. Obtenido de INEGI: www.inegi.org.mx

Isidro Luna, V. (2017). Déficit comercial como determinante de la tasa de interés y de los movimientos de capitales en México de 1950 a 2014. Un enfoque heterodoxo. Revista de Economía Crítica.

Munguía Vázquez, G., Becerril Torres, O., & Quiroz Cuenca, S. (2014). Efecto de la apertura comercial en la atracción de Inversión Extranjera Directa. El caso de China, 1980-2012. Análisis Económico, XXIX.

Pacheco, P. (2009). Efectos de la liberalización comercial en el crecimiento económico y la balanza de pagos en América Latina. Investigación Económica, 13-49.

Rangel Hernández, C. (2015). México en el TLCAN, 20 años después y el futuro de la política comercial. Tiempo Económico, X.

Senado de la República. (2017). Hacia la renegociación del Tratado de Libre Comercio de América del Norte (TLCAN): aspectos fundamentales del proceso. Ciudad de México: Centro de Estudios Internacionales Gilberto Bosques.

Tapia, J. (2006). Apertura comercial y eficiencia económica del sector agropecuario de México en el TLCAN. Comercio Exterior, 56.

U.S. Department of Commerce. (08 de 08 de 2018). United States Census Bureau. Obtenido de www.census.gov

Tabla 1
Figura 4. Relación entre la variación porcentual del PIB y la variación porcentual del índice Herfindhal-Hirschman para México Fuente: elaboración propia con datos de CCI.
Continuará … (Parte III)
Figura 5. Relación entre la variación porcentual del PIB y la variación porcentual del sesgo doméstico para México Fuente: elaboración propia, con datos del CCI. Tabla 2
36 INFLUENCIA POLITÉCNICA
Tabla 3

Turn static files into dynamic content formats.

Create a flipbook
Issuu converts static files into: digital portfolios, online yearbooks, online catalogs, digital photo albums and more. Sign up and create your flipbook.
Influencia Politécnica | Edición 2023 by Universidad Politécnica del Estado de Morelos - Issuu