

ROTARY DISTRICT 5030
OPERATIONS & FINANCIAL STATUS REPORT
TOM LEONIDAS, CONFERENCE CO-CHAIR
FEBRUARY 1, 2026

FOREWORD
The following report goes beyond logistics; it marks a shift in how we see the District Conference. With membership declining, the district governor emphasized rebuilding club growth. The conference was planned as a strategic investment for the District’s future, not just a routine and transactional event.
In today’s landscape, the conference must serve as one of our most powerful tools for growth. Its value lies in its quality and execution, which signal the vibrancy and professionalism of our organization to both our members and the community at large. While the event is certainly a time for current Rotarians to celebrate our shared impact, its true strategic "long tail" is the story it creates. Accounts and images from the conference will be utilized to develop a narrative highlighting the benefits of Rotary membership, which can effectively contribute to both member retention and organizational growth.
To appeal to a younger demographic and build a sustainable pipeline of leadership, we must show, not just tell, that Rotary is a dynamic, modern, and high-value organization. By capturing the energy of this conference, we provide the District with the visual and narrative proof necessary to demonstrate that "Igniting Your Rotary Spirit" is a professional and personal imperative.
We have documented our conference planning, including finance team requests, to clarify budget decisions. Gathering planning details, finance committee requests for detail, testimonials, photos, and videos builds a useful library for future successful conferences.
Finally, Appendix 8 in the report provides a comprehensive Lessons Learned section. This serves as a vital self-critique designed to capture real-time improvements and insights from the journey. By documenting our successes and hurdles with transparency, we ensure that the knowledge gained during this cycle remains a permanent asset for the District, offering a clear roadmap for future committees to build upon our progress and continue the trajectory of excellence
We submit this report not just as a record of what is transpiring or what has passed, but as a documented template for what is possible when we view the conference as a strategic engine for District-wide growth. Success of a conference is optimized by selecting an attractive and easily accessible venue, organizing an engaging agenda, promoting effectively, managing operations efficiently, and exercising financial prudence.
HOW TO NAVIGATE THIS REPORT
This is an electronic based PDF report. To help you find information quickly and efficiently, this report includes the following interactive features:
• Interactive Table of Contents: Each item in the Table of Contents is a clickable link. Simply click on a section title or page number to jump directly to 그 part of the report.
• Direct Page Navigation: If your PDF viewer supports it, you can use the "Bookmarks" or "Document Outline" tab on the side of your screen to browse sections without scrolling.
• Searchable Text: Use the Ctrl+F (Windows) or Cmd+F (Mac) function to search for specific keywords, such as "PolioPlus," "Walla Walla," or "Registrations."
In addition to the standard PDF format, this report is available as an interactive, published flipbook for a more dynamic viewing experience. You can access the digital version and navigate through the conference details by visiting https://tinyurl.com/wwdcreport.
This document is a ‘living’ document and will be periodically updated to reflect changes and additions given the fluid nature of planning a large scale event. The electronic flipbook version of this document is intended to reflect the current document as revised.
ONE PAGE EXECUTIVE FINANCIAL SUMMARY
This report in its entirety provides a unified financial overview to support conference and budget planning, fulfilling fiduciary and standard of care responsibilities. The document contains essential reporting, budget concepts, and source data; readers can review it fully or in part as needed. For those who only desire a quick reference, an Executive Financial Summary appears on the next page.
EXECUTIVE FINANCIAL SUMMARY
The 2026 District Conference is financially stable and is currently projected to end with a projected net surplus of +\~$11,000 based on current revenue, expense levels, and conservative assumptions.
FINANCIAL POSITION
▪ Cash balance: $96,822.54
▪ Estimated revenue: $129K (registrations, sponsorships, golf, misc.)
▪ Estimated expenses: $118K
▪ Projected surplus: \~$11K
KEY REVENUE DRIVERS
▪ Registrations: $77,710.62 collected; $93K expected at 300+ attendees.
▪ Sponsorships: $27K secured (stronger than forecast).
▪ Contingent income (not counted): Alaska tickets, hotel stay, 20% Dunham wine rebate.
KEY EXPENSE DRIVERS
▪ Facilities & meals: $79,627; F\&B trending high at $72K (vs. $40K minimum).
▪ Programs: Low due to waived/discounted honorariums (+\~$3,300 paid).
▪ Contingent travel: Airfare $2,400; ground $500 (high end estimates).
RISK OUTLOOK
▪ Hotel liability: Eliminated (block sold out).
▪ F & B: Only major remaining risk; active cost reductions underway.
▪ Registrations 262 to date; hitting 300+ remains main financial variable.
OUTLOOK
Strong sponsorships, updated detailed and conservative budgeting, minimized printing costs, competitive speaker fees, and firm governance oversight keep the conference on a path to a positive, self sustaining financial outcome
Registration target: Hitting 300+ attendees remains the biggest variable. Current: 262 registrants from 41 clubs.
WHY THE FINANCIAL OUTLOOK IS STRONG
• Strong sponsorship base cushions fixed costs.
• Early registration and hotel sellout reduce exposure.
• Conservative budgeting for travel, logistics, and contingent items.
• Digital-first strategy significantly cuts printing and materials costs.
• Clear governance oversight via District Finance Committee enhances financial discipline.
GOVERNANCE FRAMEWORK
MISSION AND STEWARDSHIP
The 2026 Rotary District 5030 Conference Operations & Financial Status Report serves to provide transparent, responsible oversight and clear accountability for this year’s event. As CoChairs, we are committed to offering timely, accurate updates on conference planning, risks, finances, and strategy. This report is also intended to provide a framework to capture specific requests for reporting in this conference and be available as a template for future use by others in planning large-scale events.
OPERATIONAL OBJECTIVES AND FINANCIAL INTEGRITY
The Conference Committee fulfills its fiduciary duty within the duty of care1 by acting responsibly to improve the conference and safeguard district assets and reputation. This report and its attachments provide an overview of operational readiness, financial integrity, program planning, stakeholder engagement, and contractual commitments. It demonstrates our dedication to responsible financial management, data-driven decisions, and resource allocation to deliver a valuable, sustainable conference aligned with district goals.
GOVERNANCE AND ACCOUNTABILITY
As part of our governance approach, this document also serves as a record of the systems, controls, and evaluation measures employed to safeguard District resources, uphold fiduciary responsibility, and maintain open communication with all stakeholders. Through this level of reporting, we affirm that transparency and accountability remain central to the way the conference committee conducts its work.
DISTRICT 5030 FINANCE COMMITTEE OVERSIGHT
The District 5030 Finance Committee (DFC) oversees finances by reviewing conference operations and providing strategic feedback. This report and its attachments form a unified financial record and document financial assumptions of budgets as part of the Duty of Care. Formal DFC approval is recommended for the entire document, including budgets and attachments. This ensures all financial strategies and projections are officially recorded in meeting minutes, promoting transparency and accountability.
EXECUTIVE OVERVIEW
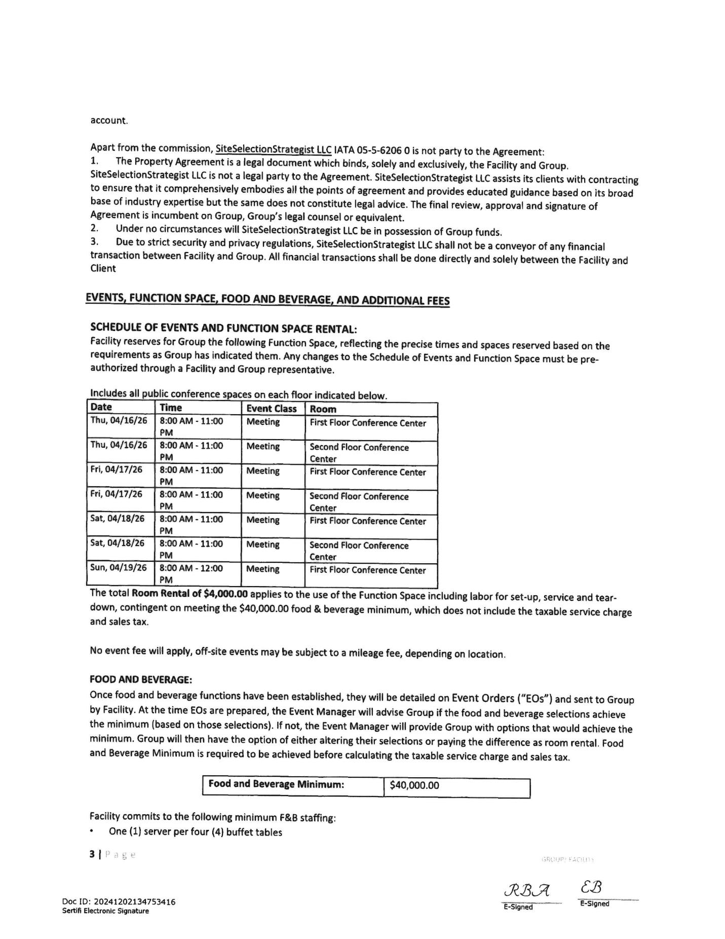
The District 5030 Conference is scheduled to occur on April 16 – 19, 2026 at the historic Marcus Whitman Hotel in Walla Walla, Washington. The conference is a strategic investment in district vitality, prioritizing an exceptional experience that fosters networking, club engagement, and leadership to drive long-term growth and success of the district. This mission is yielding significant results, with 41 of 58 clubs represented and 262 attendees
1 Duty of Care is the obligation to act with the watchfulness, attention, caution, and prudence that a reasonable person in similar circumstances would exercise to avoid causing foreseeable harm to its organization
approaching our 300+ capacity goal. Supported by $27,000 in sponsorships and $77,710.62 in registration revenue to date, we are optimizing every dollar to mitigate rising hospitality industry costs toward a desired goal for a self-sustaining event. With a $96,822.54 balance and all hotel contractual minimums met, we remain focused on delivering a premier experience that maximizes the return on investment The conference is on track to be operationally successful and cashflow positive.
OPERATIONS & PROGRAM DELIVERY
CONFERENCE PROGRAM
The Rotary District 5030 Conference is delivering an impactful and high-value program that has already generated exceptional registration momentum and a strong financial foundation for the year. By blending world-class keynote speakers with unique fellowship opportunities in Walla Walla, the conference has become a primary draw for members, resulting in record early-bird enrollment and robust revenue. The conference program book can be viewed at this link to the Experience Guide A preview of the conference agenda can be viewed at https://tinyurl.com/wwdcpreview
ENTERTAINMENT PROGRAM
The committee is in exploratory discussions for a Saturday evening entertainment segment featuring 30-minutes of musical entertainment from the young artist band The Residency2 , an organization affiliated with platinum sponsor BloodworksNW. This fun and energetic mission-oriented performance promotes blood donation and youth empowerment through a versatile repertoire including hip-hop and blues. Should both parties agree to move forward, BloodworksNW has agreed to underwrite all associated costs, rendering the entertainment a donated service and budget neutral
SPEAKER COMMITMENTS
Under the leadership of Shari Storm, the conference has secured a high-caliber lineup of nationally recognized keynote speakers. Through strategic outreach, non-Rotarian speakers have significantly reduced or waived their standard speaker honorariums. Table 1 details the speaker lineup along with honorarium and lodging support commitments To minimize extra lodging costs, speaker accommodations will prioritize utilizing the eight complimentary room nights earned through our contract with the Marcus Whitman Hotel. An estimate of $3,300 is included in the proforma budget for honorariums
Table 1: Speaker Support Commitments
2 See Appendix 4 for more information about The Residency
Speaker Honorarium Lodging Support
Krystal Zellmer
Urs Koenig
$1,500 2 nights
$300 2 nights
Chris Davis, MD Waived Self-funding
Shari Storm n/a Self-funding
Cassie Howder n/a 1 night
Jeff Gross n/a Self-funding
Libby Wagner Waived 1 night
Dave Drummond n/a Self-funding
Bev Reed n/a 1 – 2 nights
Ty Reed Waived 1 night
Wyn Spiller n/a 2 nights
Carl Roer Waived 1 night
Dave Spicer n/a Self-funding
Susanna Southworth n/a Self-funding
Lisa Edwards n/a Self-funding
Andrea Suarez n/a Self-funding
DIGITAL CONFERENCE
This conference is designed as a primarily digital event, leveraging a modern delivery model to maximize efficiency and reach. Our strategy centers on a robust digital marketing campaign and a dedicated conference app, which serves as the central hub for all program schedules, speaker information, and attendee engagement. By prioritizing these digital platforms, we have successfully minimized traditional printing requirements. Physical collateral will be limited to essential items such as attendee badges, a concise Welcome + Quickstart Guide3, and necessary venue signage, allowing for a significantly reduced environmental footprint and a streamlined production budget.
RISK MANAGEMENT
While the risk calculus remains low, the conference leadership team is actively managing operational contingencies to ensure a seamless event. Table 2 below outlines our proactive monitoring and mitigation strategies for primary risk areas
3 See Appendix 4
Table 2: Risk Mitigation Summary
Risk Category Status Mitigation / Notes
Lodging Liability Eliminated
Food & Beverage Active
General Risk Low
The hotel is officially sold out; the district is no longer at risk for room block commitments.
Costs are currently projected at $72,000, exceeding the $40,000 budget (which was the contract minimum). Efforts are underway to optimize the menu, eliminate unnecessary receptions and reduce this variance.
No other large-scale risk factors have been identified at this time.
Insurance Coverages. A certificate of insurance from Rotary International’s designated insurer is being provided to the Marcus Whitman Hotel and the Walla Walla Country Club.4
YOUTH PROTECTION
To ensure youth protection, all Interactors must complete an electronic registration with verified signatures from a parent or legal guardian. An adult chaperone is required. The form includes waivers for liability, media release, and medical authorization. Registration is only complete once all signatures are confirmed, in compliance with District and Rotary International safety standards.5
RETURN ON INVESTMENT OPTIMIZATION
To maximize member value, we have implemented aggressive cost-optimization strategies to mitigate rising hospitality expenses beyond our reasonable control and optimize return on investment. As itemized in Table 3 below, the team is reviewing options to allow us to maintain the value of networking and quality of the conference.
Table 3: Return on Investment Optimization Strategies
Strategy Rationale
Open the District Governor’s dinner to all and charge $100+ per person.
This event is invitation-only, and its costs cannot be covered by standard conference registration fees.
Replace served hors d’oeuvres with grazing tables at all receptions Optimizes budget while maintaining the value of the networking experience.
4 Refer to Appendix 5 for copy of Certificate of Insurance
5 Refer to Appendix 5 for specific waivers
Strategy
Eliminate desserts at all functions
All breakfasts as continental style rather than plated
Rationale
Recognizing trend that typically a lot of waste and leftovers.
Optimize food and beverage budget
The planning team has already implemented several cost-saving measures, including securing keynote speakers with waived or reduced fees, moving to no-host bars, and leaving Saturday lunch to attendees. Additionally, we are using a digital app to eliminate printing costs.
PRE-CONFERENCE PLANNING TRIPS
Two of three pre-conference site visits are complete. The hotel contract provides for certain numbers of complimentary pre-conference site trip visits. Provisional budget items for hotel and transportation costs are included in the proforma budget to cover anticipated hotel costs not covered by the contract, as well as miscellaneous transportation costs.
AUDIENCE & PARTNER ENGAGEMENT
REGISTRATION PERFORMANCE
Our steady registration rate, averaging 32 per month as shown in Figure 1, results from a focused marketing campaign. The planning team's disciplined communication and targeted outreach have led to consistent engagement and enrollment.
Figure 1: Registration Velocity by Month

We are currently entering the final push for attendance. While momentum is steady, we are focused on closing the gap to reach our attendance goals.
Our Path to Goal: We aim for 300+ registrations by engaging the three Rotary District 5080 clubs. To finalize, we'll send targeted District 5030 email blasts in January and March to
convert undecided members and motivate registrants to recruit others. Registration closes on March 31, 2026, allowing time for packet preparation and delivery.
ENGAGEMENT INSIGHTS
The strong participation rates across District 5030 underscore a vibrant and growing demand for a premier District Conference experience. With an impressive 70% of clubs and nearly 80% of District Leadership already engaged, it is clear that our community prioritizes the highquality fellowship and professional development that is provided by a district conference As outlined in Table 4, below, conference engagement is strong and diverse.
Table 4: Registration Demographics
SPONSORSHIP COMMITMENTS
Secured sponsorships summarized in Table 5 below have exceeded projections, reflecting strong partner commitment to the conference.
Table 5: Sponsorship Commitments
6 Percentages are based on current totals derived from DacDb and district website
7 Curt Bailey, CEO of BloodworksNW, and his wife will attend the conference.
Sponsor Name
Malaria Partners International
Columbia Hospitality
Site Selections, LLC
State Farm Insurance
OurMayberry
Tenhulzen Housing
Total
$1,500 In process
$1,000 Paid
$1,000 Paid
$1,000 Paid
$1,000 In process
$500 Paid
$27,000
Alaska Airlines has donated two round-trip tickets for travel within the continental United States and Hawaii, and the Marcus Whitman Hotel has contributed a two-night stay gift certificate. A decision is pending on how to best use these items, so they are excluded from the current proforma budget revenue sources.
WINERY PARTNERSHIPS
The conference secured four winery partners that will offer free tastings and up to 20% discount on purchases made by conference attendees during the period of April 16 – 19, 2026. These include the following:
▪ Dossier Wine Collective
▪ Five Star Cellars
▪ Wandering Wolf Wine Cellars
▪ Dunham Cellars8
YOUTH PARTICIPATION
To support the professional development and engagement of our youth leaders, the conference is pleased to offer complimentary registration to all Rotaractors and Interactors. While we are excited to facilitate their attendance through this waiver of registration fees, the conference is not providing financial assistance for travel, local transportation, or lodging expenses. Furthermore, all Interactors must be accompanied by an adult chaperone; these chaperones are required to cover the full cost of their own registration in addition to their personal travel and accommodation expenses. It is currently anticipated to have less than five total combined youth participants.
GOLF TOURNAMENT
Participation in the planned pre-conference golf tournament has exceeded expectations for both options as outlined in Table 6, below. Golf is a self-supporting outside conference
8 Dunham Cellars is donating 20% of all sales to Rotarians back to District 5030 or supporting a local Rotary project.
activity. A separate registration fee of $115 per person has been assessed and cost is $110 per person.
Table 6: Golf Tournament Participation
DISTRICT GOVERNOR DINNER
The traditional district governor dinner is planned for Thursday, April 16, 2026, at the Walla Walla Country Club. All conference attendees are welcome to join, but a separate registration fee of $100 to $125 per person will be charged, based on 40 attendees.9
HOTEL GUARANTEES & CREDITS
R
EVENUE GUARANTEES
Contractual risk has been eliminated as indicated in Table 7, below.
Table 7: Contractual Guarantee Performance
Room Revenue
Food & Beverage Minimum
Room Rental Revenue
EARNED CREDITS
$56, 889 Achieved; hotel block is sold out.
$40,000 Exceeded; last quote is $72K.
$4,000 Achieved
The District 5030 Conference has earned eight complimentary room nights, resulting in a $1,703.83 credit (inclusive of taxes and fees) applied to the Master Account. This approach simplifies reconciliation by avoiding individual room tracking. Supported by sponsorship revenues, this credit helps offset lodging costs to maintain a fiscally lean program while maximizing the impact of external partnerships.
COMPENSATED ROOM NIGHTS
Eight complimentary rooms were earned under our contract, mainly used for VIPs and speakers, resulting in a deficit of 13 rooms that the conference may partially cover. The
9 40 registrants are expected to arrive on 4/16/26 per hotel registration list.
proforma budget includes an estimated liability of $3,512 for these extra rooms and related taxes and fees.10
FINANCIAL PERFORMANCE & LIABILITIES
REGISTRATION REVENUES
Table 8: Registration Revenue Summary11
PROFORMA BUDGET RECONCILIATION
Table 8 shows the February 2026 proforma budget with an estimated $12,000 surplus, exceeding earlier forecasts. This is due to reaching the 300-attendee goal, obtaining two extra sponsorships in January, introducing a registration fee for the District Governor’s dinner, and reducing adjusted expenses mainly in food and beverage.
Table 9: Budget Summary
10 See Appendix 6 for detailed breakdown.
11 See appendix for supporting source documents.
CURRENT FINANCIALS
▪ Financials including Net Income and Balance Sheet reports as of 12/31/25 are attached herewith.
▪ Checking account balance as of 1/13/2026: $96,822.54
CONTINGENT INCOME
In addition to standard registration revenue, the conference's financial position may be bolstered by several Contingent Income Sources. These include the live or silent auction of high-value donated items, specifically two round-trip Alaska Airlines tickets and a twonight stay at the Marcus Whitman Hotel, as well as a generous rebate of 20% of wine sales proceeds generated by Rotarians through our wine partner, Dunham Cellars. Please note that these figures are currently categorized as contingent and are therefore not included in the proforma budget. To maintain conservative fiscal projections, this revenue will be reconciled and added to the actual income total only during the final closing out of the conference financials
Income From Donated Items
Based on our auctioneer’s advice, the airline tickets and hotel stay are better suited for a raffle. By Washington state law, net raffle proceeds must go directly to beneficiaries which makes income receive from these items as pass-through funds. If these items are to be raffled, it will be done as an unlicensed raffle in compliance with Revised Code of Washington (RCW) 9.45.0315 and 9.45.032113 The conference committee is currently evaluating the viability of a raffle for these items.
District Contribution to Foundation Reception
The district foundation budget will contribute up to $5,000 for this reception and will be a pass-through expense to the conference. The conference will pay this expense directly and seek reimbursement via itemized receipts. If estimated costs exceed the allocation after negotiations with the Marcus Whitman, the district will be notified and given the option to either adjust the event, increase funding, or cancel.
12 Other Expenses includes $2,420 for estimated golf tournament costs.
13 Reference the Appendix for these RCW’s
CONTINGENT AND KNOWN FUTURE EXPENSES
Similarly, the conference will incur Contingent Expenses related to variable costs such as air travel, mileage reimbursements, and other logistical requirements. Please note that the figures currently reflected in the proforma budget are preliminary estimates based on projected needs and current market rates. Because these costs are subject to external fluctuations and individual travel choices, they cannot be formally finalized or reconciled until the actual expenses are incurred and documented following the event.
Air Travel Expenses
Speaker travel costs are estimated, with Table 8 outlining routing options via Walla Walla (ALW) or Tri-Cities (PSC) for each out of town speaker and RI representative. Keynoters Krystal Zellmer (Chicago) and Amy Downs (Oklahoma City) have flexible travel choices. RI Director Wyn Spiller is expected to arrive late Friday from Chicago, with expenses tentatively covered by RI and but are included in the proforma budget for completeness until expense responsibility is verified Bev Reed tentatively indicated that her trip would be covered by Rotary but the budget operating assumption includes provision for reimbursement should this not be the case
Table 10: Air Travel Budget & Logistics Assumptions Speaker
Krystal Zellmer Chicago (ORD) Walla Walla (ALW)
$275 - $550 ORD-SEA-ALW
Krystal Zellmer Chicago (ORD) Tri-Cities (PSC) $220 – $475 ORD–DEN/SLC/SEA–PSC
Amy Downs Oklahoma City (OKC Walla Walla (ALW)
$450 - $700 OKC-SEA-ALW
Amy Downs Oklahoma City (OKC) Tri-Cities (PSC) $400 - $600 OKC-PSC-OKC
Bev Reed Spokane (GEG) Walla Walla (ALW) $225 - $525 GEG-SEA-ALW
Bev Reed Spokane (GEG) Tri-Cities (PSC) $230 - $600 GEG-SEA-PSC
Wyn Spiller Chicago (ORD) Walla Walla (ALW)
$500 - $750 ORD-ALW-ORD
Wyn Spiller Chicago (ORD) Tri-Cities (PSC) $450 - $650 ORD-PSC-ORD
The proforma budget estimates airfare at $2,400, reflecting high-end costs.
Ground Transportation Expenses
Ground transportation will be required to facilitate the arrival of out of town speakers and RI representatives from airports to the Marcus Whitman Hotel (MWH) In estimated "worst-case scenario" for ground transit, the total reimbursement budget for all four travelers is estimated at $454.58. Table 9 below provides the assumptions to arrive at a $500 rounded budget item for this potential expense. Assumptions assume worst cast round trip mileage distance derived using Google maps from airport to hotel The budget assumptions allows for Bev Reed to drive to the conference instead of flying. All calculations utilize the official 2026 IRS business mileage reimbursement rate of 72.5 cents per mile, as detailed Table 9 below.
The proforma budget includes $500 for ground transportation
An expense reimbursement policy has been created and will be provided to all committee members for any of their incurred expenses14 . An online form, available at https://tinyurl.com/wwdc26expenses has been deployed for easy submission of itemized expenses along with receipt upload.
KNOWN FUTURE EXPENDITURES
A total of $960 of known future expenses accounts for printing costs for name badges and signage. These are included in the proforma budget and budget detail for these items can be found in Appendix 2 of this report.
FINANCIAL PROJECTIONS
The conference is currently projected to be cashflow positive, with the final net income dependent on the "wildcard" of final registration numbers. The committee continues to work to increase revenues and manage expenses to increase net margin. The numbers shown below have been rounded for clarity.
▪ Estimated Gross Revenue: $129,000
▪ Estimated Total Expenses: $118,000
14 Refer to Appendix 6
Table 11: Ground Transportation Mileage Assumptions
▪ Potential Projected Net Surplus: $11,000
Achieving the higher end of the net income projection is contingent on reaching our target of 300+ registrations. Miscellaneous future estimated expenses are already accounted for within the proforma budget.
CONCLUDING THOUGHTS
Against the backdrop of declining district membership, the 2026 conference serves as a critical strategic response. The early and steady engagement by clubs and members underscores a clear desire for a high-quality, multi-day convening that delivers an exceptional experience. Through smart management and a focused mission, the conference is on track to be successful and deliver high strategic value while remaining fiscally responsible. Critically, by offering a premier forum for shared values around service, this event will serve to revitalize connections essential for membership retention and fuel the district’s long-term growth and success.
ADMINISTRATIVE NOTICES
DISCLAIMER
The information contained in this report is provided to the best of the conference committee’s knowledge based on data, commitments, and financial records available as of the reporting date. All projections, estimates, and assumptions, particularly those related to attendance, sponsorship revenue, and vendor arrangements, and are subject to change as planning progresses and new information becomes available.
Actual results may vary due to factors outside the committee’s reasonable control, including but not limited to vendor pricing changes, participant registration patterns, travel costs, and final contractual adjustments. The committee makes no guarantees regarding projected outcomes and assumes no liability for unforeseen variances that may arise.
CONFIDENTIALITY AND INTENDED USE
This report is intended solely for internal Rotary District 5030 use. It should be interpreted within the context of ongoing planning activities and the fluid nature of large-scale event operations.
APPENDIX OVERVIEW
APPENDIX 1: CORE FINANCIAL STATEMENTS
▪ Balance Sheet (as of 1/31/26)
▪ Income Statement (as of 1/31/26)
▪ Statement of Cashflows (as of 1/31/2026)
▪ Wells Fargo Bank Statement (as of 1/31/26)
APPENDIX 2: BUDGETING AND FORECASTING
▪ Proforma Tracking Budget (dated 2/1/26)
▪ Lodging Expense Liability Estimate
▪ Known Future Expenditures (included in budget)
APPENDIX 3: REVENUE & REGISTRATION DETAIL
▪ OurMayberry Registration Report (as of 1/31/26)
▪ Square Payments Registration Report (as of 1/31/26)
APPENDIX 4: ADMINISTRATIVE & PLANNING
▪ Conference Committee Roster
▪ Conference Welcome and QuickStart Guide (Draft)
▪ Rotary Wine Partnership (passport and guide)
▪ Entertainment: The Residency
APPENDIX 5: LEGAL, COMPLIANCE & RISK MANAGEMENT
▪ Revised Code of Washington (RCW) 9.45.0315 and 9.45.0321
▪ Youth Protection Waivers
▪ Certificate of Insurance
APPENDIX 6: CONFERENCE POLICIES
▪ Conference Policies for Attendees
▪ Conference Policies for Committee Members
APPENDIX 7: HOTEL CONTRACT
APPENDIX 8: LESSONS LEARNED
APPENDIX 1: CORE FINANCIAL STATEMENTS



APPENDIX 2: BUDGETING & FORECASTING
PROFORMA BUDGET ESTIMATE







LODGING EXPENSE LIABILITY ESTIMATE





APPENDIX 4: ADMINISTRATIVE & PLANNING
Conference Leadership & Planning Committee
The successful execution of the 2026 District Conference is driven by a dedicated team of Rotary leaders and volunteers. The following individuals comprise the planning committee, representing a broad spectrum of expertise across our district. Their collective efforts ensure that every operational, financial, and programmatic detail aligns with our strategic goals and commitment to creating a successful conference.
Name Role(s)
Jeff Borek District Governor
Tom Leonidas Co-Chair, Registration, Website
Julie Shott Co-Chair, Activities
Paula DelGuidice Treasurer
Kaj Pedersen Strategic Advisor, Sponsorships
Shari Storm Program and Speaker Coordinator
Jason Richert Audio-Visual Advisor
Cathy Gibson Plenary Advisor
Ann Liberato Contracts Manager, Food & Beverage
Beverly Jacobson Decorations
Josh Sutton Foundation Events
Ezra Teshome Governor’s Dinner Coordinator
Tim Leahy Master of Ceremonies, Auctioneer
Kate Matos Master of Ceremonies
Alan Merry On-site Logistics
Jim Pullin Volunteer Coordinator











APPENDIX 5: LEGAL. COMPLIANCE & RISK MANAGEMENT
Legal Requirements for Raffles


YOUTH PROTECTION WAIVERS
The following waivers are included as an integral part of the Youth Registration form for conference participation.
1. Liability Waiver & Risk Acknowledgment
I, the undersigned, understand that participation in the Rotary District 5030 Conference involves various activities, including sessions, meals, and social gatherings. I hereby release and hold harmless Rotary International, Rotary District 5030, its officers, directors, employees, and volunteers from any and all liability, claims, or causes of action arising out of or related to any loss, damage, or injury that may be sustained while participating in conference activities.
2. Media & Photo Release
I hereby grant Rotary District 5030 the irrevocable right and permission to use photographs, video recordings, or audio recordings of me (or my child) taken during the conference for promotional, educational, or social media purposes. I understand that these materials may be used in digital or print formats without further compensation or notification.
3. Medical Authorization
In the event of an emergency, I authorize the conference organizers to secure necessary medical treatment for the participant if the emergency contact listed on this form cannot be reached.















APPENDIX 8: LESSONS LEARNED
The following table provides a high-level distillation of the strategic and operational insights captured throughout the journey of this conference. By documenting these requirements and successes in real time, this appendix serves as food for thought for future committees to ensure the continued success for District 5030.
Category Observation / Issue
Program & Speakers
While internal Rotarian speakers provide valuable context and institutional inspiration, a program composed solely of internal voices can unintentionally feel insular and may fail to attract a broader, more diverse demographic.
Lesson Learned & Recommendation
To drive district growth and appeal to younger professionals, the conference must bridge the gap between "Rotary Service" and "Professional/Personal Development."
Outside keynoters and diverse breakout speakers provide "educational value" that justifies the registration cost for attendees who are looking to gain new skills or perspectives.
Pricing Strategy
Accessibility & Demographics: If registration fees reflect the "true market cost" of a high-end conference, it may price out a broad demographic of Rotarians.
Lesson: Registration fees must be kept below actual market value to appeal to a broad audience. Use sponsorships as a direct subsidy to bridge the gap between the affordable ticket price and the actual cost of the venue, food, and speakers.
Financial Stability
Financials
Revenue Mix: Over-reliance on registration numbers creates high financial risk and pressure on ticket pricing.
Risk Mgmt
Food & Beverage Costs: The projected F&B cost ($72k) significantly exceeded the minimum ($40k).
Lesson: Sponsorships are the "bedrock" of the budget and must comprise 25%–30% of total projected revenue. This provides the necessary cushion to cover fixed costs (AV, venue) and allows for more flexible registration pricing.
Recommendation: Start with more conservative F&B estimates. Do not use the contractual minimum in the budget. Negotiate menu prices earlier in the cycle to better protect outcomes and keep the perperson cost manageable.
Hotel Attrition: The Marcus Whitman hotel was successfully sold out.
Success Factor: Early promotion and a strong venue choice eliminated the financial risk of "empty room" penalties. Continue selecting "destination" venues that encourage early booking.
Category Observation / Issue
Lesson Learned & Recommendation
Engagement
Club Representation: 41 out of 58 clubs participated.
Fundraising Auction or Raffle
Marketing
Registration Velocity: Steady early registration gave way to a "plateau" that required aggressive final intervention.
Lesson: High participation is a win, but a ~30% gap remains. Recommendation: Analyze why the remaining 17 clubs didn't engage was it distance, cost, or lack of direct outreach?
Auctions are only viable if there the items or packages are reasonable unique and enticing. A silent auction can be considered for run of the mill items. Raffles can also be used but must follow WA State legal requirements.
Lesson: General awareness isn't enough to reach the 300+ target. Recommendation: Use targeted scarcity campaigns (like the "5030 Challenge") and emphasize the "Value Proposition" of external speakers. Highlight "Sold Out" milestones (like the hotel) to create urgency.
Organizational Structure
Committee Efficiency: Large teams early in the cycle can slow down foundational decision-making.
Financial Reporting
Reporting Granularity: A mismatch existed between early high-level reports requested and the deep-dive data required for final budget validation.
Lesson: Keep a "lean and mean" core team (3–5 people) early on to drive strategic results. Recommendation: Only expand into a larger operational team once the "rails" (Venue, Budget, Theme) are set. This maintains velocity and prevents early-stage committee fatigue.
Recommendation: Establish a "Granular Standards Agreement" at the outset to define the specific collateral data required to validate budget assumptions. Use this year’s documentation as a permanent template to ensure necessary supporting data is organized and captured in real time throughout the conference journey. Develop spreadsheet templates to collect data.
Category Observation / Issue
Inventory Control
Independent Commitments: Offers of lodging support were made without checking the current room allotment, risking displacement of key speakers that impact budget.
Lesson Learned & Recommendation
Recommendation: Implement a Master Resource Log and a "Consultation Before Commitment" protocol. Ensure District Leadership has visibility into the Priority Matrix for limited resources like comp rooms.
Speaker Commitments
While the speaker coordinator and conference leadership maintained close communication regarding speaker benefits and logistics, the process relied on ad-hoc approvals. As the conference grows in scale and attracts more external professional speakers, moving from a verbal approval process to a codified written policy will streamline these decisions and ensure consistent treatment of all presenters.
Recommendation: Adopt a formal Speaker Engagement Policy that documents the current successful practices into a standard guideline for the specific conference. This ensures that the "consultation" process between the coordinator and the chair is supported by a clear framework.