




website at www.xypex.com.au or



![]()





website at www.xypex.com.au or



Number 03, MARCH 2017 IEM Registered on 1 May 1959
MAJLIS BAGI SESI 2016/2017 (IEM COUNCIL SESSION 2016/2017)
YANG DIPERTUA / PRESIDENT
Ir. Tan Yean Chin
TIMBALAN YANG DIPERTUA / DEPUTY PRESIDENT
Ir. David Lai Kong Phooi
NAIB YANG DIPERTUA / VICE PRESIDENTS
Ir. Prof. Dr Ruslan bin Hassan, Ir. Lai Sze Ching, Ir. Lee Boon Chong,
Ir. Prof. Dr Jefrey Chiang Choong Luin, Ir. Assoc. Prof. Dr Norlida bt Buniyamin, Ir. Ellias Bin Saidin, Ir. Ong Ching Loon
SETIAUSAHA KEHORMAT / HONORARY SECRETARY
Ir. Yam Teong Sian
BENDAHARI KEHORMAT / HONORARY TREASURER
Dr Wang Hong Kok
BEKAS YANG DIPERTUA TERAKHIR / IMMEDIATE PAST PRESIDENT
Y.Bhg. Dato’ Ir. Lim Chow Hock
BEKAS YANG DIPERTUA / PAST PRESIDENTS
Y.Bhg. Academician Tan Sri Dato’ Ir. (Dr) Hj. Ahmad Zaidee bin Laidin, Y.Bhg. Dato’ Ir. Dr
Gue See Sew, Y.Bhg. Dato’ Paduka Ir. Keizrul bin Abdullah, Y.Bhg. Academician Dato’ Ir. Prof. Dr Chuah Hean Teik, Ir. Choo Kok Beng
WAKIL AWAM / CIVIL REPRESENTATIVE
Ir. Prof. Dr Mohd. Zamin bin Jumaat
WAKIL MEKANIKAL / MECHANICAL REPRESENTATIVE
Ir. Dr Kannan M. Munisamy
WAKIL ELEKTRIK / ELECTRICAL REPRESENTATIVE
Y.Bhg. Dato’ Ir. Dr Ali Askar bin Sher Mohamad
WAKIL STRUKTUR / STRUCTURAL REPRESENTATIVE
Ir. Hooi Wing Chuen
WAKIL KIMIA / CHEMICAL REPRESENTATIVE
Ir. Prof. Dr Thomas Choong Shean Yaw
WAKIL LAIN-LAIN DISPLIN / REPRESENTATIVE TO OTHER DISCIPLINES
Ir. Roznan bin Abdul Rashid
WAKIL MULTIMEDIA DAN ICT / ICT AND MULTIMEDIA REPRESENTATIVE
Mr. Abdul Fatah bin Mohd. Yaim
AHLI MAJLIS / COUNCIL MEMBERS
Ir. Gary Lim Eng Hwa, Y.Bhg Dato’ Ir. Hj. Noor Azmi bin Jaafar, Ir. Dr Aminuddin bin Mohd Baki, Ir. Mohd Radzi bin Salleh, Ir. Ong Sang Woh, Ir. Mohd Khir bin Muhammad, Y.Bhg Dato’ Ir. Hj. Hanapi Bin Mohammad Noor, Ir. Dr Ahmad Anuar bin Othman, Ir. Ishak bin Abdul Rahman, Ir. Chong Pick Eng (PE Chong), Ir. Ng Yong Kong, Ir. Tejinder Singh, Ir. Sreedaran a/l Raman, Ir. Roger Wong Chin Weng, Ir. Assoc. Prof Dr. Ahmad Kamil bin Arshad, Ir. Dr Tan Kuang Leong, Ir. Hoo Choon Sean, Y.Bhg. Lt. Jen. Dato’ Wira Ir. Ismail bin Samion (Ret. RMAF), Ir. Hj. Anuar bin Yahya, Ir. Mah Way Sheng, Ir. Gunasagaran a/l Kristnan, Ir. Chen Harn Shean, Ir. Mohd Aman bin Hj. Idris, Ir. Gopal Narian Kuty, Ir. Yap Soon Hoe, Ir. Santhakumaran a/l Erusan
AHLI MAJLIS JEMPUTAN/INVITED COUNCIL MEMBERS
Y.Bhg. Datuk Ir. Adanan bin Mohamed Hussain, Y.Bhg Dato’ Ir. Ahmad ‘Asri bin Abdul Hamid, Y.Bhg. Dato’ Ir. Low Keng Kok
PENGERUSI CAWANGAN / BRANCH CHAIRMAN
1. Pulau Pinang: Ir. Ting Chek Choon
2. Selatan: Ir. Mohd Khir Muhammad
3. Perak: Ir. Lau Win Sang
4. Kedah-Perlis: Ir. Prof. Dr Rezuwan bin Kamaruddin
5. Negeri Sembilan: Y. Bhg. Dato’ Ir. Zainurin bin Karman
6. Kelantan: Ir. Hj. Mohd Zaim bin Abd. Hamid
7. Terengganu: Ir. Atemin bin Sulong
8. Melaka: Ir. Dr Tan Chee Fai
9. Sarawak: Ir. Vincent Tang Chok Khing
10. Sabah: Ir. Hj. Yahiya bin Awang Kahar
11. Miri: Ir. Paul Chiew Lik Ing
12. Pahang: Y. Bhg. Dato’ Ir. Hj. Abdul Jalil bin Hj. Mohamed
AHLI JAWATANKUASA INFORMASI DAN PENERBITAN / STANDING COMMITTEE ON INFORMATION AND PUBLICATIONS 2016/2017
Pengerusi/Chairman: Ir. Prof. Dr Ruslan Hassan Naib Pengerusi/Vice Chairman: Ir. Mohd. Khir Muhammad Seiausaha/Secretary: Ir. Lau Tai Onn
Ketua Pengarang/Chief Editor: Ir. Prof. Dr Ruslan Hassan Pengarang Bulein/Bullein Editor: Ir. Mohd. Khir Muhammad Pengarang Prinsipal Jurnal/Principal Journal Editor: Ir. Prof. Dr Ruslan Hassan Pengerusi Perpustakaan/Library Chairman: Ir. C.M.M. Aboobucker Ahli-Ahli/Commitee Members: Y.Bhg. Datuk Ir. Prof. Dr Ow Chee Sheng, Dr Wang Hong Kok, Ir. Santha Kumaran a/l Erusan, Mr. Abdul Fatah bin Mohd. Yaim, Ir. Chin Mee Poon, Ir. Yee Thien Seng, Ir. Ong Guan Hock, Ir. Dr Oh Seong Por, Ir. Tejinder Singh, Michelle Lau Chui Chui
LEMBAGA PENGARANG/EDITORIAL BOARD 2016/2017
Ketua Pengarang/Chief Editor: Ir. Prof. Dr Ruslan Hassan Pengarang Bulein/Bullein Editor: Ir. Mohd. Khir Muhammad Pengarang Jurnal/Journal Editor: Ir. Prof. Dr Ruslan Hassan Ahli-ahli/Commitee Members: Ir. Ong Guan Hock, Ir. Lau Tai Onn, Ir. Yee Thien Seng, Dr Wang Hong Kok
Secretariats: Janet Lim, May Lee
THE INSTITUTION OF ENGINEERS, MALAYSIA Bangunan Ingenieur, Lots 60 & 62, Jalan 52/4, P.O. Box 223, (Jalan Sultan), 46720 Petaling Jaya, Selangor Darul Ehsan. Tel: 603-7968 4001/4002 Fax: 603-7957 7678 E-mail: sec@iem.org.my Homepage: htp://www.myiem.org.my

COVER NOTE Sustainable Water Resources Management and Development 5
6 - 12
COVER STORY
Strengthening Malaysia’s Water Resource Management
14 - 26
FEATURE ARTICLES
NAWABS for Better River Basin Management ......14
Review of Changes in the Second Edition of MSMA - On-Site Detention Computation .............18
Blockchain & Distributed Ledger Technologies: Malaysia’s Position ...............................................25
FORUMS
Technical Visit to the Pantai 2 Sewage Treatment Plant Project Site ...............................30
Urban Engineering Development Special Interest Group (UEDSIG): Connecting Engineers to Society ........................32
Technical Visit to Amcorp Perting 6MW Mini Hydropower Plant ................................................37
Technical Seminar On Jump on Eurocode Wave ...................................................41
GLOBE TREKKING Going Dutch for Tulips 45
47 - 48
29 - 43 PINK PAGE Professional Interview 46 BLUE PAGE Membership List
Ultimate R.C. Integrated
Half-day Seminar on “ESTEEM 10 Preview (Seismic Modal Response Spectrum Analysis and Design According to EC8 Malaysia NA) and ESTEEM 9.5 Feature Highlights” CPD HOURS Pending Approval from


Date #1 : 30th March 2017 (Thursday) Time : 8:30am-1:00pm
Venue : Grandis Hotel @ Suria Sabah Shopping Mall, Jalan Tun Fuad Stephens, Kota Kinabalu.
Date #2 : 4th April 2017 (Tuesday) Time : 8:30am-1:00pm
Venue : Four Points by Sheraton @ Tower 3, PFCC, Bandar Puteri, Puchong, Selangor.
Synopsis
Code of practice for seismic design in Malaysia has been well developed for mandatory compliance by professional engineers. However, manual seismic design is slow and requires expertise knowledge. Theory and concept of seismic engineering for building structures has been much researched and developed for computer programming. ESTEEM as a pioneer in 1994 for the integrated total solution of reinforced concrete building design has borne fruits of software development on Seismic Modal Response Spectrum Analysis, Design and Detailing. This seminar will be on the preview of ESTEEM 10 (seismic dynamic) and feature highlights of ESTEEM 9.5. The preview ESTEEM 10 features will be mainly on modal analysis and response spectrum with regards to the requirements of EC8 – MalaysiaAnnex. Benchmarking of the modal response spectrum analysis will be presented.
Speaker : Ir. John Tiong
Tentative Programme
08:30am - 09:00am Registration
11:45am - 12:30pm ESTEEM 9.5 (New Release) feature 09:00am - 10:30am Theory, concept & bench-marking of Seismic highlights & demonstration Modal Response SpectrumAnalysis
12:30pm - 01:00pm Question &Answer
10:30am - 11:00am Tea Break 01:00pm End of Seminar and Lunch
11:00am - 11:45am Applications and demonstration of Seismic Modal Response SpectrumAnalysis, design and detailing
Registration Fees (per person)
RM 120.00 (included GST)
RM 100.00 (Included GST) for early bird who registered & paid 2 weeks before the seminar date.



DIMENSION PUBLISHING SDN. BHD. (449732-T)
Level 18-01-03, PJX-HM Shah Tower, No. 16A, Persiaran Barat, 46050 Petaling Jaya, Selangor Darul Ehsan, Malaysia.
Tel: +(603) 7493 1049 Fax: +(603) 7493 1047
E-mail: info@dimensionpublishing.com Website: www.dimensionpublishing.com
Chairman
ROBERT MEBRUER
CEO/Publisher
PATRICK LEUNG
General Manager
SHIRLEY THAM shirley@dimensionpublishing.com
Head of Markeing & Business Development
JOSEPH HOW joseph@dimensionpublishing.com
Editor
TAN BEE HONG bee@dimensionpublishing.com
Contribuing Writers
PUTRI ZANINA & ZOE PHOON putri@dimensionpublishing.com zoe@dimensionpublishing.com
Senior Graphic Designer
SUMATHI MANOKARAN sumathi@dimensionpublishing.com
Graphic Designer
NABEELA AHMAD beela@dimensionpublishing.com
Adverising Consultants
THAM CHOON KIT ckit@dimensionpublishing.com
Accounts cum Admin Execuive
YEN YIN yenyin@dimensionpublishing.com
For adverisement placements and subscripions, please contact:
DIMENSION PUBLISHING SDN. BHD. (449732-T)
Level 18-01-03, PJX-HM Shah Tower, No.16A, Persiaran Barat, 46050 Petaling Jaya, Selangor Darul Ehsan, Malaysia. Tel: +(603) 7493 1049 Fax: +(603) 7493 1047
E-mail: info@dimensionpublishing.com
Subscripion Department
E-mail: info@dimensionpublishing.com
Printed by
HOFFSET PRINTING SDN. BHD. (667106-V) No. 1, Jalan TPK 1/6, Taman Perindustrian Kinrara, 47180 Puchong, Selangor Darul Ehsan, Malaysia. Mailer
PERFECT MAIL SERVICES (648839-P) 14 Jalan TSB 2, Taman Perindustrian Sungai Buloh, Sungai Buloh, Selangor Darul Ehsan, Malaysia. Tel: +(603) 6156 5288
JURUTERA MONTHLY CIRCULATION: 42,000 COPIES
Submission or placement of aricles in JURUTERA could be made to the:Chief Editor
THE INSTITUTION OF ENGINEERS, MALAYSIA (IEM) Bangunan Ingenieur, Lots 60 & 62, Jalan 52/4, P.O. Box 223 (Jalan Sultan), 46720 Petaling Jaya, Selangor. Tel: +(603) 7968 4001/4002 Fax: +(603) 7957 7678 E-mail: pub@iem.org.my or sec@iem.org.my IEM Website: htp://www.myiem.org.my
© 2017, The Insituion of Engineers, Malaysia (IEM) and Dimension Publishing Sdn. Bhd.
PUBLICATION DISCLAIMER
The publicaion has been compiled by both IEM and Dimension with great care and they disclaim any duty to invesigate any products, process, services, designs and the like which may be described in this publicaion. The appearance of any informaion in this publicaion does not necessarily consitute endorsement by IEM and Dimension. There is no guarantee that the informaion in this publicaion is free from errors. IEM and Dimension do not necessarily agree with the statement or the opinion expresssed in this publicaion.
COPYRIGHT
JURUTERA Bullein of IEM is the oicial magazine of The Insituion of Engineers, Malaysia (IEM) and is published by Dimension Publishing Sdn. Bhd. The Insituion and the Publisher retain the copyright over all materials published in the magazine.
of

by Ir. Dr Wong Wai Sam Chairman, WRTD Water Resources Technical Division
espite the apparent abundance of water resources in our country,westillindareasofwaterstressaswellasareasthat are lood prone. This is due to the vagaries of rainfall, which is unevenly distributed. Thus, there is a need for water resources to be prudently managed so that there will be suficient water of the desired quality to meet the escalating demand of a population that is growing in tandem with the country’s expanding economy.
It is clear that water resources are, and will continue to be, the catalyst for social well-being and economic development in Malaysia and that sustainability of water resources is an important issue.
The Department of Irrigation & Drainage or Jabatan Pengairan & Saliran (JPS) Malaysia, under the Ministry of Natural Resources and Environment, has been tasked with carrying out the technical functions of water resources management and development.
Its major responsibility areas are atmospheric, surface, coastal waters and groundwater, from source to sea. This month, JURUTERA interviews the Director General of JPS, Dato’ Sri Ir. Haji Zulkeli Hassan who tells us more about the department’s mission and highlights the various challenges in managing and developing a sustainable water resource in our country. We also feature two articles, NAWABS Improved River Management and Review on MSMA On-Site Detention computation.
WRTD plays a role in enhancing the technical aspect of managing and developing water resources in Malaysia. We have plans for a series of technical talks, courses, seminars and local site visits as well technical visits to counterpart organisations abroad to learn and exchange technical know-how.
All these will beneit IEM members and the public as well as enhance our knowledge on how to better manage and develop one of Nature’s most important gifts, water, in the most sustainable manner for future generations to enjoy.
We welcome any comments/feedback from the readers in general in response to the articles published in the JURUTERA bulletin. Please post your comments to: sec@iem.org.my
Thank you.
Editorial Board

Dato’ Sri Ir. Hj. Zulkeli Hassan is Director General of the Department of Irrigation & Drainage or Jabatan Pengairan & Saliran (JPS), Ministry of Natural Resources and Environment, Malaysia.
Dato’SriIr.Hj.ZulkeliHassan,theDirectorGeneral of the Department of Irrigation & Drainage or Jabatan Pengairan dan Saliran (JPS), reveals some in-depth plans to better manage our water resources as well as to mitigate the occurrences of loods in the country as part of integrated efforts to achieve “Water Security Is National Security”.
It is indeed ironical that while some parts of Malaysia experience flooding, other areas are hit, at the same time, by drought that forces the imposition of water rationing.
Addressing this issue has become a priority for the Department of Irrigation & Drainage or Jabatan Pengairan dan Saliran (JPS), the government department that manages and regulates the country’s water resources. On a bigger scale, JPS is moving towards achieving water security and sustainability. According to its Director General, Dato’ Sri Ir. Hj. Zulkefli Hassan, ensuring water security will contribute towards national security.
In this exclusive interview, he shares with JURUTERA the means to achieve water security and sustainability, as well as the importance of having the various states adopt the new Water Resources Act proposed by JPS and the establishment of a new national entity in a bold move to integrate and fortify the management of the country’s water resources.
This move is guided by the Government’s 2050 National Transformation (TN50) roadmap for Malaysia to become “a top 20 country in the world by 2050”, with clear-cut economic, social, cultural and environmental targets which it aims to achieve by 2050.
Q. In December 2014, the east coast states of Kelantan, Terengganu and Pahang were hit by extraordinary loods, resulting in the evacuation of some 400,000 people. What were the main causes of the lood?
Dato’ Sri Ir. Hj. Zulkeli: The floods in 2014 have been recorded as the worst flood disaster in the country. Several states, especially Kelantan, Pahang and Terengganu, were seriously affected. This was caused mainly by the north-east monsoon which brought big amounts of rain for days. The water saturated the ground and took time to recede. The rain fell for more than 10 days over wide areas of Kelantan, Terengganu and Pahang, especially at the cornerstone of the three states above Gunung Gagau, which recorded over 1,000mm of rain during this period.
More than 400,000 victims were displaced. The floods cost the nation over RM2 billion in infrastructure damages and billions more in property damages, compensation and productivity losses.
Another reason was the effect of tidal seawater. Flooding occurred when high tide and heavy rainfall happened at the same time. As a result, it took the drainage systems, whether natural rivers or drainage trenches, a long time to drain the water into the sea.
There were also several other factors which contributed to the floods. Debris and rubbish in the drainage systems blocked the runoff flow and, as a result, the level of water in the drainage systems rose and flooded the surrounding areas. The existing drainage system was also unable to accommodate the increase in runoff due to heavy rainfall as water poured down in high intensity within a short time.
Q. Does JPS have an overall master plan to mitigate lood in the affected states? What are the main projects to be implemented to address this issue in Kelantan, Terengganu and Pahang and what is the cost involved?
Dato’ Sri Ir. Hj. Zulkeli: One of the efforts taken by JPS is through the implementation of development projects in which 70% of the total allocation approved under the 11th Malaysia Plan for JPS will focus on the preparation and implementation of flood mitigation plans.
Through the Ministry of Natural Resources and Environment, JPS has also applied for a development expenditure budget of RM36 billion to develop a total solutionandalong-termfloodmitigationplan,includingthe construction of flood gates and walls. These are expected to reduce the risks of flooding over the next 20 years and the cost will be justified by having fewer flood risks across the country.
Several flood mitigation projects have been done and more will be implemented. About 50,236 residents within an area of 28.5 sq. km. in the city of Kota Bharu, are protected from flood through the implementation of the Sungai Kelantan Flood Mitigation Plan (Phase 1).


Under the 11th Malaysia Plan, RM572 million was approved for projects under the Integrated River Basin Development Project (IRBDP) for Sungai Kelantan, which began in 2016. It is expected to be completed in 2020. This programmehasthreemainobjectives:FloodMitigationPlan for Kelantan, Living River and Stormwater Management.
RM300 million has also been allocated for IRBDP for Sungai Golok to cover the flood mitigation works through bund construction as well as the upgrading of the drainage system and construction of the control gate structure.
In Terengganu, a total of RM15 million was allocated for the upgrading of the existing flood drainage system, the construction of log boom/trap and bunds as well as beautification of the river corridor, which were completed in September 2016. RM300 million also has been approved for IRBDP for Sungai Kemaman to construct the proposed floodway, river bund, river improvement works and stormwater management. Four new projects have also been approved under the 2nd Rolling Plan, which includes three proposals under the Flood Mitigation Project in various areas: Gong Kiat Flood Mitigation Project, Guntung Luar Flood Mitigation Project and Kuala Terengganu (UMT) Flood Mitigation Project.
The Federal Government also allocated RM527 million for the flood mitigation programme in Pahang under the

We are pleased to inform that IEM will be holding the 58th Annual Dinner and Awards Night 2017 on 15 April 2017. Dimension Publishing has been appointed to put together the Annual Dinner Programme Book which will be circulated to all 1,200 guests on that night at One World Hotel, Petaling Jaya
It is an annual event organised by IEM to present awards to winners of projects and at the same time to announce the new committee for year 2017/2018. Special guests of honour will be invited to oficiate the event.
We are now calling for interested advertisers to book their preferred advertising position in this programme book. Below please ind the advertising rates for your immediate action and reply. We hope to hear from you soon before the closing date on 17 March 2017






ANNUAL DINNER AWARDS NIGHT &
2016 Programme Book
Book Size: 210mm(W) x 285mm(H). Please provide extra 6mm for bleed area on all 4 sides
Printing Speciications : 230gsm art card (Cover), 105gsm art paper (Text), 4C + 4C, Staple binding, UV varnish on Cover
Quantity: 1,200 copies
Advertisement Format : High resolution PDF ile, with crop marks, bleed area, text being outlined
Deadlines : : 17 March 2017 (Fri) (Ad Booking) 24 March 2017 (Fri) (Artwork Submission)
Kindly tick in the relevant bracket. IEM reserves the right to edit, revise or reject any advertisement deemed unsuitable or inappropriate. The inal print-ready artwork to be furnished by advertisers.
Inside Front Cover (IFC)3,500 ( SOLD )
Inside Back Cover (IBC)3,200 ( SOLD ) Page 1 3,000 ( SOLD
Presidents
Facing Inside Back Cover2,800 ( ) Run-On-Page (ROP)1,900 ( )
Double Page Spread (DPS)4,500 ( )
Remarks:
• Space availability is subject to booking on irst-come-irst-served basis
Company logo will be appeared in the Acknowledgement Page in both IEM Dinner Programme Book (1,200 copies) and JURUTERA May 2017 (42,000 copies)
• Advertising rate is subject to 6% GST. Please take note that the advertising rates shown above exclude the 6% GST
• Prices shown above exclude 15% Advertising Agency commission
• Any cancellation after signing the Advertising Contract shall result in a 50% penalty charge
• Payment term: 14 days upon invoicing
Name of Company:
Company Stamp & Authorized Signature:
Date:
Contact Person(s):
Email Address:
For advertising enquiries, please contact:
PUBLISHING SDN. BHD. (449732-T) Level 18-01-03, PJX-HM Shah Tower, No. 16A, Persiaran Barat, 46050 Petaling Jaya, Selangor. Tel: +603 7493 1049 Fax: +603 7493 1047 Email: info@dimensionpublishing.com www.dimensionpublishing.com
IRBDP for Sg. Kuantan. This will overcome the frequency of flooding and improve the water quality in Kuantan and the surrounding areas. The approval of that provision includes RM445 million for the Kuantan City Flood Mitigation Plan. Also allocated are RM32 million for Living River and RM50 million for Stormwater purposes.
Q. What are the obstacles that JPS faces in its effortstoresolveloodingissuesinthecountry?
Dato’ Sri Ir. Hj. Zulkeli: There is growing recognition that flood disasters have been adversely affecting the sustainability of development and that flood issues need to be addressed in the context of Integrated Water Resources Management (IWRM) concept by an Integrated River Basin Management (IRBM) approach especially in flood management.
IWRM is a process that promotes the co-ordinated development and management of water, land and related resources in order to maximise economic and social welfare in an equitable manner without compromising the sustainability of vital ecosystems.
IRBM is the process of co-ordinating conservation, management and development of water, land and related resources across sectors within a given river basin, in order to maximise the economic and social benefits derived from water resources in an equitable manner while preserving and, where necessary, restoring freshwater ecosystems.
As to why we have yet to solve the flooding issues, we must first determine the types of flooding. Our obligation is to mitigate monsoonal river floods (excess flood flow overtopping river banks). Providing structural measures is expensive and has certain protection limits (known as Average Recurrence Interval or ARI). Besides, regular and proper inspection and maintenance of surface and sub-surface drainage seem to be a significant long-term financial investment to prevent the occurrence of flash floods. The yearly budget for inspection and maintenance will not be compromised so as to sustain the proper function of the drainage system and the river.
Furthermore, the human factor also plays an important part when we talk about the causes of flooding. Bad habits such as the indiscriminate dumping of rubbish and other solid wastes or the conversion of crucial flood plains and swamps into housing and other types of developments as well as the uncontrolled development of water catchment areas, will inevitably result in floods, sooner or later.
Q. Apart from physical projects, does JPS plan to develop comprehensive early warning and lood forecasting systems so that people can be better prepared?
Dato’ Sri Ir. Hj. Zulkeli: We cannot avoid floods totally but we can minimise its impact. The public must understand that man can only do so much to provide protection from floods. If a storm of an unusually huge intensity is expected, one that is beyond the protection level that a flood
mitigation project can offer, the only solution is evacuation if we are to minimise losses and damage to property.
As a way forward, JPS has taken the initiative for a better system to give an earlier warning to the public and related agencies. Currently in the development stage, the system is expected to be fully operational in Kelantan, Pahang and Terengganu next year (2018). The Flood Warning Forecasting Project or Projek Ramalan dan Amaran Banjir Negara (PRAB) was approved by the Government in the 11th Malaysia Plan.
The projects will improve the lead time of warning from the current six hours to two days before flooding occurs. The forecast will show catastrophic flooding characteristics which are beyond the current river capacity. This flood forecasting and warning programme complements structural measures in case of an upcoming massive storm that the structures cannot cope with.
Q. Has global climate change inluenced looding trends in Malaysia?
Dato’ Sri Ir. Hj. Zulkeli: Floods can be categorised into flash floods and monsoon floods. Climate change has also contributed to the uncertainty of flood intensities and extreme circumstances of a weather phenomenon. Flooding can occur due to various factors such as heavy rainfall, high tide, obstruction in drainage systems, shallow river problems and unusual water flow due to heavy rain as well as mudslides that may occur as a result of the change in land use. The duration of a flood and the time needed for the flood waters to recede, depend on the condition of the river or the surrounding topography. This may take several hours or days.
Q. There were incidences when certain parts of the country were hit by loods while simultaneously, other areas experienced water shortage and water rationing. Why does this happen and how can we address the issue?
Dato’ Sri Ir. Hj. Zulkeli: We have seen changes in rainfall pattern and trends particularly in cities, perhaps due to the “urban heat island” effect. These can also be seen in rural areas where changes in land use may affect the hydrological cycle dynamics which translate to frequency and intensity of rains possibly moving away from water catchment areas. If this is true, it will affect the availability of water and other aspects of water security as a result of low rainfall in some catchment areas affecting water storage.
In the National Water Resources Council (NWRC), we are proposed to apply non-structural measures as an alternative to structural measures. Mitigation and nonstructural measures tend to be potentially more efficient as these offer more sustainable and long-term solutions to water-related problems. These measures should be enhanced, particularly to ensure future sustainability.
Non-structuralmeasuresinvolvethe useofknowledge, and the practice or agreement to reduce risks and impacts, in particular through policies and laws as well as raising public awareness through training and education. As far as water sustainability is concerned, nonstructural measures in water management deal with the compliance and enforcement of the relevant Acts and guidelines such as the Urban Stormwater Management Manual (MSMA).
Groundwater can also be one of our water resources but it shall remain an alternative resource as the country has abundant surface water all year round. In order to sustain the quantity of groundwater, the hydrological groundwater recharge process must be done. This recharge is the primary mechanism for aquifer replenishment which ensures future sources of groundwater for commercial and residential use as well as to maintain future water resources sustainability.
The NWRC has agreed to the following measures concerning water resources issues:
• Groundwater exploration as a source of raw water for treatment plants during period of drought.
• Inter Basin Water Transfer to assist states facing water stress.
• Implementation of National Water Balance Study (NAWABS) as a management tool for water resource assessment.
Q. In the 11th Malaysia Plan, JPS was given an allocation to develop NAWABS. Can you explain how this system will help the country manage its water resources?
Dato’ Sri Ir. Hj. Zulkeli: In order to strengthen our water resources security, a holistic approach has been taken through the development of NAWABS, which will serve as a Decision Management Support System in water resources management. NAWABS will be used as the management tool for earlier forecasts and warnings anticipated during the water crisis/dry period. It will be the centre for decision-making for flood and drought management in the country.
The water balance model and Decision Management Support System (DMSS) cover seven major river basins: Kedah, Muda, Bernam, Melaka, Klang, Kelantan and Batang Saribas (Sarawak). The model will provide Water Resource Forecast two months in advance and issue warnings two weeks in advance to water managers in each basin.
The model outputs are Water Accounting, Water Alternative, Water Availability, Water Prioritisation and Demand Management Options, Water Allocation, Water Storing and Releasing during High and Low Flows, Water Quality (salinity, sediment transport and turbidity), Water Resources Index (WRI), Drought Index (DI) and Water Auditing.
Dato’ Sri Ir. Hj. Zulkeli: Malaysia has to face the consequences of heavy rainfalls that often result in floods. It is not surprising that, on average, there are some 150 flood events of various severities every year. There were some big ones but most were local flash floods that lasted less than a day.
On the other hand, different parts of the country may also experience drought every year. These dry episodes are also part of the natural weather cycle and are prevalent in some parts of the country such as Perlis and the northern part of Kedah. These areas exhibit climatic characteristics similar to that of southern Thailand which has a distinct dry spell. Drought has a longer onset period but its effects are longer and can be devastating. Many developed countries in the temperate zone are more concerned over the impact of drought rather than flood.
Three other main aspects that influence the sustainability of water resources management are water quality, pollution and the characteristics of usage. In 2015, the Department of Environment monitored 477 rivers. Of these, 276 rivers (58%) were found clean, 168 rivers (35%) slightly polluted and 33 rivers (7%), polluted. Most of the polluted rivers are in urban areas with a high pollution load originating from multiple sources such as wastewater plants, industries and commercial premises, as well as a small base flow volume due to the large percentage of paved areas.
Excessive use of water for paddy irrigation is another cause for concern. Farmers lack awareness of water conservation and major paddy schemes show an irrigation efficiency of less than 50%. This issue needs to be addressed as irrigation is the biggest user of water resources in the country. Even a small saving from this section will translate into a big saving of water resources for other uses.
Q. Theresponsibilityofmanagingthecountry’s water resources rests with JPS. What is its vision to effectively regulate and manage water resources to achieve a more sustainable development with minimum impact to the environment?
Dato’ Sri Ir. Hj. Zulkeli: As mentioned earlier, we have proposed, in the NWRC, to apply non-structural measures as an alternative to structural measures. I have also touched on the Urban Stormwater Management Manual (MSMA), which is actually about controlling the runoff from development through a control-at-source approach as opposed to the rapid-disposal approach. Land use changes from rural to urban industrial areas cause local runoff impacts on receiving water flow, quality and ecology.
A potential and preferred approach to stormwater management is the storage-oriented approach. This

Our esteemed readership consists of ceriied engineers, decision making corporate leaders, CEOs, government oicials, project directors, entrepreneurs, project consultants, engineering consuling irms and companies involved with engineering products and services.
JURUTERA is circulated to more than 42,000 registered members of The Insituion of Engineers, Malaysia (IEM), with an esimated readership of 168,000 professionals.
Our business partners can be assured that their products and services will be given the circulaion and exposure it deserves, thus maintaining a sustained adverising presence to our core readers of decision-making engineers and technical experts. Our website ofers an even wider market reach, with added internaional presence, aided by our internaional ailiaion with oicial engineering bodies all over the world. Our online and oline adverising features such as banner adverising, aricle sponsorship and direct e-mail announcements have proven to be successful markeing strategies that will set the businesses of our partners apart from their compeiion.







For adverising enquiries, please contact:

for
album
interview with
left) Captain (R) Ir. Haji Anuar bin Haji Yahya, JPS Director of Coastal Zone Management Division, IEM Council Member and Co-opted Committee Member of Water Resources Technical Division (WRTD) of IEM, Ir. Dr Wong Wai Sam, Chairman of WRTD, IEM, Dato’ Sri Ir. Hj. Zulkeli bin Hassan, JPS Director General, Ir. Ellias Saidin, IEM Vice President (2016/2018), IEM Council Member and Committee Member of WRTD and Dato’ Ir. Hj. Azmi bin Hj. Ismail, JPS Director of Corporate Division.
provides for the temporary storage of stormwater runoff at or near its point of origin, with subsequent slow release to the downstream stormwater system or receiving water (detention) or infiltration into the surrounding soil (retention). Detentionandretentionfacilitiescanreducethefrequency and extent of downstream flooding.
As far as water resources are concerned, only 15% of our surface runoff is stored while 85% flows unregulated into the sea. What we must do is to increase the storage from 15% to 50%. This will reduce surface runoff and peak discharge into the rivers, hence reducing the risks of flood. Storing water also can be an alternative solution to water scarcity during the drought.
This is one of the solutions to vary our water sources. Others include inter/intra basin water transfer, groundwater exploration, increased water storage capacity, underground storage of water, tapping rainwater and constructing low head barrage.
More importantly, we need a legal enforcement “vehicle” to cover all aspects of managing our water resources. In this regard, we have proposed a new Water Resources Act, which will be tabled in Parliament in November, 2017. It will cover all water-related laws and will serve as the road map to strengthen water resource management in the country. It is a comprehensive Act which, once implemented with the support and commitment of the state governments, will ensure several crucial key steps to create uniformity in our approach in managing water resources. This will also make us more focused on the main job of managing national water resources.
We need a strong commitment from all stakeholders, especially state governments and their co-operation. For this, we have gone round to all the various states to explain the importance of working together and accepting the proposed Act. In this case, I will ensure that all JPS State Directors will persuade and give some advice particularly to state governments to accept the new Act.
JPS has also proposed to the Government the establishment of a new identity to integrate and fortify the managementofthecountry’swaterresourcesandtomove the agenda of achieving water security. This encompasses
human safety, economic security, food security, hydro-power security and the resilience to deal with the impact of climate change. The name and other details for this new identity are still being finalised.
Its formation is a bold move under the Malaysian Government’s 2050 National Transformation (TN50) roadmap to become “a top 20 country in the world by 2050”, with clearcut economic, social, cultural and environmental targets.
Q. In the global context, lood defence has dominated lood management in the past decades and recently, scientists are promoting “Flood Resilience” and “Flood Adaptation” as the preferred concepts in managing lood. Where does Malaysia stand currently and do you think we are ready for it?
Dato’ Sri Ir. Hj. Zulkeli: Malaysia has been applying the concept of Living With Flood in terms of agreeing with the promoted approach of Flood Resilience and Flood Adaptation. Living With Flood is one of the Integrated Flood Management approaches for effective and efficient flood mitigation management. It uses flood plains efficiently as well as minimises damage to property and the loss of life through the following principles:
• Employ a basin approach.
• Treat floods as part of the water cycle.
• Integrate land and water management.
• Adopt a mix of strategies based on risk management approaches.
• Enable co-operation between different agencies.
• Ensure a participatory approach.
Q. Flood Management Budget Appraisal is a systematic process adopted by most developed countries. For instance, the United Kingdom has applied Flood and Coastal Defence Appraisal Guidance FCDPG3. This is a transparent system that justiies the worthiness of the lood budget spending in accordance with the cost-beneit scores based on the merits of economic, social and environmental factors. What appraisal system has JPS adopted? Will it be an eficient method to help us achieve developed nation status?
Dato’ Sri Ir. Hj. Zulkeli: On 24 November, 2009, the National Development Planning Committee (NDPC) decided that Value Management must be implemented in Federal Government Projects that are worth RM50 million and above. The Value Management process includes the process of Value Assessment on the concept design of the project, which will be led by the Economic Planning Unit. It is then followed by Value Engineering laboratory in order to optimise costs, alternatives and to determine the best method of implementation. This is to maximise value for money, improve the effectiveness of the project and finalise the design based on the scope of the project.

















Our country is blessed with one of the most abundant sources of water on the planet. Lying just north of the equator, its tropical climate delivers an average annual precipitation of 2,940mm.

The annual average rainfall varies between Peninsular Malaysia (2,490mm) and the states of Sarawak (3,640mm) and Sabah (2,560mm). Rainfall is concentrated around the two monsoon periods, North-East Monsoon from November to March and South-West Monsoon from May to September.
As shown in Figure 1, the total annual runoff is estimated at 494 billion m3, compared to an existing water demand of 14.7 billion m3 and the projected total demand of 18.2 billion m3 by 2050 (Source: National Water Resource Study, 2011). The total available water storage is 12 billion m3, with the net supplied by direct river abstractions.
But despite this apparent abundance of water, the supply is not evenly distributed, neither spatially nor temporally. In recent years, due to development pressures, water mismanagement and climate change, the water supply situation has changed “from one of relative abundance to one of relative scarcity” (Zakaria 2013: p.123). In response the Malaysian Government, in February 2012, formulated and endorsed the National Water Resources Policy (NWRP).
The National Water Balance System (NAWABS) is born directly from the vision of the NWRP. It is proposed as a comprehensive river basin management instrument that will facilitate a coordinated planning approach to water
resources development as well as provide river basin management with a means to more effectively operate the river basin in the short- to medium-term. The Malaysia Drainage and Irrigation Department is the implementing agency for NAWABS and has selected the water-stressed Muda River basin in Kedah as the irst to be incorporated into the new system.
NAWABS provides a framework for sharing knowledge, understanding river system behaviour, evaluating alternativedevelopmentsandoperationalmanagement schemes. It will also support informed decision-making from a river basin and inter-state planning perspective with the shared objective of developing water resources in a cooperative manner, sharing socio-economic benefits, and promoting efficient water utilisation.
The system will be built around a comprehensive Decision Support System framework that will be customised specifically to support the NAWABS operational objectives, with further local customisations for each river basin, as needed.
The developed models and NAWABS DSS will be used to assess existing water balance and future scenarios, as well as an operational system for real time decision making and water accounting.
Real time inputs will include rainfall, river levels and flows, pumped extractions and structure operations. Short-term forecasts will be based on available weather forecast data from the Malaysian Meteorological Department, while longer-term assessments, including uncertainty, will be based on ensemble climate forecasts from NOAA’s NCEP datasets.
Model results will be processed and aggregated to provide information on 9 key outputs:
1. Water accounting – river basin inlows and outlows.
2. Wateravailability–lowsandriverlevelsatkeydemandpoints.
3. Water quality – key water quality parameters.
4. Water storages – available dam storages and timing and volume of dam releases.
5. Water and drought resources index – calculation of indices to gauge the current and forecast state of the river basin.
6. Water audits – accounts of all water movements in the river basin.
7. Water allocation.
8. Alternative demand options.
9. Water priorities.
Sungai Muda is the largest river in Kedah (Figure 2). The water resources in the basin have been developed over the past several decades and are used for irrigation and as potable water for Kedah and Penang. Sungai Muda has a catchment area of 4,210 sq. km. The upper tributaries drain mountainous areas where elevations reach a maximum of 1,860m asl. The lower reach of Sg. Muda catchment, comprising about 45% of the total area, is generally lat with an elevation ranging from a minimum 2.5m at the river mouth to about 70m in hilly areas to the east.

Management of water resources in the catchment has multiple stakeholders, including DID Kedah, MADA, SADA, PBA and others. Both the long-term sustainability of water resources in the basin, as well as short-term operational considerations are important to ensure the equitable distribution of water to all users during periods of excess as well as water stress.
Key considerations include:
• Multiple stakeholders have different priorities.
• Water resources in the basin are now deemed to be limited.
• Key hydraulic infrastructure in the basin is managed by different authorities, and their operations need to be coordinated.
• Future changes in land use and climate will affect the supply and demand for water.
• The groundwater resource potential has yet to be fully explored.
The uncertainty of the total water resource in the basin and the lack of modern river management tools hinder fully-informed decision making. This, combined with the water shortages commonly experienced in the basin, has resulted in DID proposing the Muda Basin as the irst to be implemented with the NAWABS system.
The NAWABS implementation in the Sungai Muda Basin will comprise two main stages:
a) An initial water balance study where the main modelling will be developed to quantify the overall resource availability and assess existing and future demands, including environmental demands.
b) Incorporation of the developed models with a MIKE Customised DSS framework and linking to real time and forecast data sources, to provide an operational water management tool for the river basin managers.
The National Water Resource study provides a solid foundation for the current project to build on. The Water Balance Study will be based on a validation and update of the previous work and provide a quantitative assessment of:
• Existing and future sources of supply, including surface water, groundwater, dams and inter-basin transfers.
• Existing and future demands, including surface water and groundwater abstractions as well as environmental lows.
• An examination of the priorities for water delivery and how demands can be managed in times of water stress.
• Potential surplus/deicits, now and in the future, under different development and demand management scenario, allowing for climate change impacts.
• Infrastructure operations, now and in the future, to meet all needs, including necessary additional development of water resources.
The Water Balance Study will be supported by a number of sub-studies such as:
• Demand Management Study – investigating current water use eficiencies and how demands are inluenced by economic, climate and other factors (should include comprehensive assessment of all water demands).
• Water Resources Conservation Plan – investigating how land use and water supply/demand are linked. Recommend land use map (with catchment protected areas).
• Environmental low study – to determine environmental low requirements.
Web Portal
Maps and tables
Results presenta on
Data Acquisi on
Data retrieval scheduling
Data storage
Data quality checking
• Water, energy, food nexus study – to determine the relationships between food, energy and water in the basin and to determine the water footprint.
The Water Balance Study requires a whole catchment approach, one that considers not just surface water resources but also groundwater resources. The MIKE SHE model specified in the TOR, provides a suitable platform on which to undertake this assessment. While there is suficient information for surface water modelling, hydrogeological data is sparse and additional data is likely to be required.
Water allocation and prioritising various water users, as well as an assessment of the potential for shortages and surpluses, will be investigated using the MIKE HYDRO BASIN model. Once established, the model can be run using longterm rainfall or runoff time series to assess water availability and to ine tune allocations and priority of use.
Water quality is also an issue. The quantiication of nonpoint and point source pollution loads to the river system and movement of these in the river channels will be handled through the water quality extension of the MIKE HYDRO BASIN model.
The models will underpin the overall water balance assessment which will include recommendations for managing existing operations as well as future water developments,includingpossiblegroundwaterexploitation, if this option is viable.
Models require good quality data with adequate spatial coverage. It is envisaged that substantial relevant data exists within JPS and the stakeholder organisations. Early stakeholder consultations are important to initiate awareness of the project and to determine what relevant data may be available. It is understood that JPS will initiate these workshops.
Technical User Interfaces (Windows)
System administra on Configura on
DSS Tools
Raster processing
Timeseries processing
Mul Criteria Analysis
Op miza on
Job scheduling
Alerts and no fica ons
Sta s cs
Spreadsheets
Numerical Models Tools and Scripts
Analy cal Framework
The DMSS will provide water managers with the ability to undertake long-term planning investigations, as well as support short-term and medium-term operations. The developed MIKE SHE and MIKE HYDRO BASIN models will be incorporated into the DMSS and will form the basis for decision making. The outputs from the operational models will be used to generate a set of indicators which will be used in a multi-criteria analysis tool to aid in decision-making. The Sungai Muda NAWABS DMSS will be designed to operate on a range of timescales, utilising different spatial and temporal inputs appropriate to each subject scenario. The overall worklows of the DMSS are shown in Figure 3.
The National Water Balance System for Malaysia is the implementation of an Integrated Water Resource Management (IWRM) framework that supports the objectives of the national water resources policy.
Embedded in a solid scientiic foundation and understanding of basin scale processes, it will provide decision makers with an improved understanding of the overall water availability within the target river basin and allow for the formulation of improved plans and policies for water resource developments and allocations.
The operational system will enable river basin managers to better balance supply and demands, through an improved assessment of the future low conditions and the ability to assess the risk of various operational strategies.
The Sungai Muda river basin has been selected as the irst basin to be incorporated in NAWABS. The developed system will have the ability to be scaled and expanded to other river basins in the future.
Authors' Biodata
Dr Asnor Muizan Ishak, is a Senior Principal Assistant Director and Subject Matter Expert for Hydrology and Water Resources Division, Jabatan Pengairan dan Saliran Malaysia (JPS).
Dato’ Dr Md. Nasir Md. Noh, is currently the Deputy Director General 1 in Jabatan Pengairan dan Saliran Malaysia (JPS).
Dato’ Ir. Mohd Azmi Ismail, is currently the Director of Corporate Division, Jabatan Pengairan dan Saliran Malaysia (JPS). He is also, the Deputy Chairman of WRTD.
Title: Evening Talk on Comparison of Malaysian Practice (BS) Versus EC7 on the Design of Driven Pile and Bored Pile Foundations under Axial Compression Load
14 March 2017
Organisedby :GeotechnicalEngineeringTechnicalDivision Time :5.30p.m.-7.30p.m.
CPD/PDP :2
Title: Technical Visit to Subang Jaya Medical Centre’s Healthcare Technologies & Biomedical Engineering Facilities
15 March 2017
Organisedby :ElectricalEngineeringTechnicalDivision Time :9.00a.m.-1.00p.m.
CPD/PDP :3.5
Title: 1-Day Course on “Design Considerations of Fibre Optic Networks for Engineers”
16 March 2017
Organisedby :EngineeringEducationTechnicalDivision Time :9.00a.m.-5.30p.m.
CPD/PDP :5.5
Title: 1-Day Seminar on Road Safety Audit (RSA) & Trafic Management Plan (TMP) During Construction
16 March 2017
Organisedby :HighwayandTransportationEngineeringTechnicalDivision Time :9.00a.m.-5.25p.m.
CPD/PDP :6.5
Title: 1-Day Seminar on Cast Resin Transformers (Kristal Ballroom 1, Level 1, West Wing, Hilton Hotel, Petaling Jaya, Selangor) 22 March 2017
Organisedby :ElectricalEngineeringTechnicalDivision Time :8.30a.m.-5.30p.m.
CPD/PDP :6.5
Title: 2-Day Course on “Business Communication for Success” 22-23 March 2017
Organisedby :Oil,GasandMiningEngineeringTechnicalDivision Time :9.00a.m.-5.00p.m.
CPD/PDP :12
Kindly note that the scheduled events below are subject to change. Please visit the IEM website at www.myiem.org.my for more information on the upcoming events.


This paper reviews the design of On-Site Detention (OSD) using the irst and second editions of MSMA, referred to herein as MSMA (2000) and MSMA (2011) respectively. MSMA is the acronym for Manual Saliran Mesra Alam (Urban Stormwater Management Manual for Malaysia), 2000 and 2011, published by the Department of Irrigation & Drainage or Jabatan Pengairan & Saliran (JPS).
The review was based on case studies in Kuala Lumpur, involving an industrial lot and a low density residential development. The magnitudes of the Permissible Site Discharge (PSD) and the Site Storage Requirement (SSR) are computed by the following three approaches and the differences compared using:
• The Swinburne Method in MSMA (2000), where a set of formulas for PSD and SSR are used to compute their values.
• The Approximate Swinburne Method in MSMA (2011) where a set of approximation tables are used to determine the PSD and SSR values.
• The rainfall and discharge data from MSMA (2011), but instead of computing the PSD and SSR using the Approximate Swinburne Method in MSMA (2011), the formulas from the Swinburne Method in MSMA (2000) are used. This is referred to as the Exact Swinburne Method (ESM).
1. OSD Sizing in MSMA (2000)
In MSMA (2000), the method of estimating Permissible Site Discharge (PSD) and Site Storage Requirement (SSR) is based on the Swinburne Method, developed at the Swinburne University of Technology in Melbourne, Australia. The method uses the Rational Method to calculate site lows and utilises a non-dimensional triangular site hydrograph based on the triangular design storm method as shown in Diagram 1.

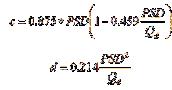
The PSD is the maximum allowable post-development discharge from a site for the selected discharge design storm and is estimated on the basis that lows within the downstream stormwater drainage system will not be increased. The Permissible Site Discharge (PSD) for the site in l/s is given by (Equation 19.1 of MSMA, 2000):

The factors a and b are different for above-ground and below-ground storages due to differences in storage geometry and outlow characteristics. For above-ground storage:

For below-ground storage: where

t c is peak low time of concentration from the top of the catchment to a designated outlet or point of concern (min).
t cs is peak low time of concentration from the top of the catchment to the development site (min).
Q a is the peak post-development low from the site for the discharge design storm with a duration equal to t c (l/s).
Q p is the peak pre-development low from the site for the discharge design storm with a duration equal to t c (l/s).
The SSR is the total amount of storage required to ensure that the required PSD is not exceeded and that the OSD facility does not overlow during the storage design storm ARI. The storage design storm for estimating the SSR is 10 -year ARI.
The Site Storage Requirement (SSR) for the site in m3 is calculated using the formula:

The factors c and d are different for above-ground and below-ground storages due to differences in storage geometry and outlow characteristics. For above-ground storage:

For below-ground storage: where

td = selected storm duration (min).
Qd = the peak post-development low from the site for a storm duration equal to td (l/s).
The steps involved in OSD design in MSMA (2011) are as follows:
1. Select the region from Figure 5.A1 (MSMA, 2011) which divides the peninsula into 5 design regions.
2. Determine project area, terrain steepness, and percentage imperviousness.
3. Determine from Table 5.A1 (MSMA, 2011) the maximum permissible site discharge (PSD) and minimum Site Storage Requirement (SSR) values in accordance with the ive regions in Peninsular Malaysia.
4. Then determine, from Table 5.A2 (MSMA, 2011), the maximum permissible site discharge (PSD), minimum Site Storage Requirement (SSR) and inlet values in accordance with the major towns in the peninsula.
5. Adopt smaller PSD value from Table 5.A1 and 5.A2 for subsequent sizing of outlet pipe.
6. Finally, determine the OSD volume, inlet size and outlet size for 5 different regions in the peninsula from Table 5.A3.
1. On-Site Detention for Industrial Land-Use in Kuala Lumpur
This case study concerns the design of a below-ground, on-site detention (OSD) facility based on the guidelines described in MSMA (2000) and MSMA (2011) for a proposed factory lot near SK Taman Maluri, Kuala Lumpur (Figure 1).


The proposed development of 0.35 hectare consists of a factory lot in an industrial area. Based on Table 4.1 of the manual, the design ARI for minor system discharge for industrial area is 5 years. The design ARI for OSD storage is 10 years according to MSMA (2000). The design rainfall is based on Chapter 13 of the Manual. The design storm for Kuala Lumpur is used in the calculation.
For the purpose of hydrological calculation, it is estimated that70% oftheareas may be considered as impervious. The remaining 30% is assumed pervious. For small catchments of up to 0.4 hectare in area, it is acceptable to use the minimum times of concentration of t c = 10 min (factory site outlet) and tcs = 5 min (roof and property drainage) as given in Table 14.3 of MSMA (2000).
The peak discharge for ARI = 5 years, is computed using the Rational Method:

where
Q y is the year ARI peak discharge (m3/s).
C is the dimensionless runoff coeficient.
yIt is the average intensity of the design rainstorm of duration equal to the time of concentration tc and of ARI of y year (mm/hr).
Ais the drainage area (ha).
Typically, the critical storm duration that produces the largest required storage volume is different from the time of concentration used for peak low estimation. Therefore, storage volumes must be determined for a range of storm durations to ind the maximum storage required.
The SSR values for t c = 5 to 20 min are plotted as shown in Figure 2. It can be seen that the maximum SSR is 64.3 m3 for a storm duration of 10 min.

In this section, an OSD is designed using MSMA (2011) for the same site as in the previous section. The project area is located in Kuala Lumpur. From Figure 5.A1 which divides the peninsula into 5 design regions, the project area is located in Region 1 - West Coast. The project area is 0.35 ha. The terrain is mild. The % imperviousness is 70 per cent. Table 5.A1 gives the maximum permissible site discharge (PSD) and minimum Site Storage Requirement (SSR) values in accordance with the ive regions. For the project area, SSR = 151.3 m3. Table 5.A2 gives the maximum permissible site discharge (PSD), minimum Site Storage Requirement (SSR) and inlet values in accordance with the major towns in the peninsula. For the project area, PSD = 0.026m3/s. Adopt the PSD value which is the lower from Table 5.A1 and 5.A2 = 0.026 m3/s. Adopt the SSR that is the larger from Table 5.A1 and 5.A2 = 151.3m3
The design rainfall is based on MSMA (2011) for Station No. 4 (SK Taman Maluri). The design ARI for minor system discharge is 10 years for industry as shown in Table 1.1 (MSMA, 2011) and the design ARI for OSD storage is also 10 years according to the manual. The pervious and impervious ratios and the times of concentration adopted are similar to those for MSMA (2000).
In MSMA (2011), the peak discharge is related to the rainfall intensity and catchment area via the Rational Method below:
where
Q is the peak low (m3/s).

C is the runoff coeficient given in Table 2.5 of MSMA(2011).
I is the average rainfall intensity (mm/hr).
Ais the drainage area (ha). SSR
TheSSRfort c = 5 to 35 mins are plotted as shown in Figure 3. It can be seen that the maximum SSR is 73.2 m3 for a storm duration of 25 mins.

Storm Duration (min)
Plot of SSR vs Storm Duration
CASE STUDY OF ON-SITE DETENTION FOR LOW DENSITY RESIDENTIAL LAND-USE IN KUALA LUMPUR
This case study concerns the design of a below-ground, on-site detention (OSD) facility using the guidelines described in MSMA (2000) and MSMA (2011) for a low density residential development near SK Taman Maluri, Kuala Lumpur. Based on Table 4.1 of the manual, the design ARI for minor system for low density residential is 2 years. The design ARI for OSD storage is 10 years according to MSMA (2000). The design rainfall is based on Chapter 13 of the Manual. The design storm for Kuala Lumpur is used in the calculation. It is estimated that 70% of the areas may be considered as impervious and 30% impervious. The times of concentration adopted are as follows: tc = 10 mins and t cs = 5 mins.
The SSR values for tc = 5 to 20 mins are plotted as shown in Figure 2. It can be seen that the maximum SSR is 69.7 m3 for a storm duration of 10 mins.

Storm Duration (min)
Plot of SSR vs Storm Duration
The computation for OSD for low density residential development is identical to that for industrial land-use presented in the previous section, as MSMA (2011)doesnotdifferentiatebetweenthetypesofland-useinitscomputation. Hence the same results apply here.
The design rainfall is based on MSMA (2011) for Station No. 4 (SK Taman Maluri). The design ARI for minor system discharge is 5 years for bungalows as shown in Table 1.1 (MSMA, 2011) and the design ARI for OSD storage is 10 years according to the manual. The same pervious and impervious ratios and times of concentration are adopted as before.
The SSR values for t c = 5 to 35 mins are plotted as shown Figure 5. It can be seen that the maximum SSR is 49.8 m3 for a storm duration of 20 mins.



The results of the case studies are evaluated in this section:
1. The approach in MSMA (2011) is based on the Approximate Swinburne Method which is based on approximation tables and not formulas as in the irst edition (MSMA, 2000).
2. The result of PSD and SSR for industrial land-use in Kuala Lumpur are summarised in Table 1 for both editions of MSMA. It can be seen that MSMA (2011) gives PSD and SSR of about 0.15 and 2.35 times, respectively, of MSMA (2000).
3. The ESM Method gives PSD and SSR of 0.49 and 1.14 times, respectively, of MSMA (2000) for the site in Kuala Lumpur as shown in Table 1.
4. The result of PSD and SSR for low density residential land-use in Kuala Lumpur are summarised in Table 2. It can be seen that MSMA (2011) gives PSD and SSR of about 0.21 and 2.17 times, respectively, of MSMA (2000).
5. The ESM Method gives PSD and SSR of 0.6 and 0.71 times, respectively, of MSMA (2000) for the same site in Kuala Lumpur as shown in Table 2.
6. The results showed that the ESM Method gives a higher estimate of the PSD but a lower estimate of the SSR by using the formulas in Swinburne Method (instead of the Approximate Swinburne Method in MSMA, 2011) and the rainfall and discharge data from MSMA (2011).
7. MSMA (2011) has serious limitations as it cannot be applied outside the 17 major towns in Peninsular Malaysia as listed in Table 5.A2 which gives the maximum permissible site discharge (PSD), minimum Site Storage Requirement (SSR) and inlet values.








8. MSMA (2011) cannot be applied to East Malaysia as Figure 5.A.1 and Table 5.A2 only include major towns in the peninsula.
9. MSMA (2011) does not differentiate between the types of land-usage in its computation of PSD and SSR. Although Table 5.A1 and Table 5.A2 allow varying degree of impervious area, but this is given as a percentage of the project area and does not include areas outside the project area. For example, a factory lot and a bungalow lot may have the same degrees of imperviousness within the project area e.g., 30% in the case studies, but different imperviousness outside. The green ields and playgrounds outside the bungalow lot would signiicantly increase the permeability of the area. Therefore it is not reasonable to assume the same SSR requirements for industrial and bungalow lots.
10. The ESM Method gives more realistic estimate of SSR than MSMA (2011) as it considers different types of landusage through the coeficient of runoff in the Rational Formula used to compute the peak discharge and this accountsforthedecreaseinsurfacerunoffforlandswith higher permeability, thus reducing the SSR requirement.
11. The ESM Method may be used outside the 17 major towns in West Malaysia as well as any towns in East Malaysia using local rainfall data.
Below are the conclusions from the study carried out in this paper:
1. Reviewed in this paper is the design of On-Site Detention (OSD) using the irst and second editions of MSMA. The result shows that for industrial land-use in Kuala Lumpur, the Site Storage Requirement (SSR) using MSMA (2011) is 2.35 times the MSMA (2000) estimate.
2. For low density residential land-use in Kuala Lumpur, the SSR using MSMA (2011) is 2.17 times the MSMA (2000) estimate. The difference is due to the Approximate Swinburne Method used in MSMA (2011), which gives very conservative estimates using approximation tables.
3. The results in the case studies showed that the SSR’s estimated using MSMA (2011) for industry lot and low density residential areas are more than double that of MSMA (2000). This over-estimation has far-reaching impact on the entire construction industry and is likely to result in escalating costs.
4. To address the problem of high SSR values associated with the use of MSMA (2011), the Swinburne Method formulas are applied instead of the approximation method in MSMA (2011) using the storm and discharge data of MSMA (2011) to compute the PSD and SSR. The Method is known as the Exact Swinburne Method (ESM).
5. Using this method the SSR using the ESM Method is about 1.14 times that using MSMA (2000) for industrial land-use in Kuala Lumpur. For low density residential land-use in Kuala Lumpur, the ESM Method gives lower estimate of the SSR than MSMA (2000), by about 0.72 times the latter.
6. The ESM Method gives more realistic estimate of SSR than MSMA (2011) as it considers different types of landusage through the coeficient of runoff in the Rational Formula used to compute the peak discharge and this accounts for the decrease in surface runoff for lands with higher permeability, thus reducing the SSR requirement.
7. The main advantage of ESM Method is it may be used outside the 17 major towns in West Malaysia as well as any towns in East Malaysia using local rainfall data.
[1] Drainage & Irrigation Department (1975) Urban Drainage Design Standards and Procedures for Peninsular Malaysia. Planning and Design Procedure No. 1. Ministry of Agriculture, Malaysia.
[2] Drainage and Irrigation Department (1976) Flood Estimation for UrbanAreas in Peninsular Malaysia. Hydrological Procedure No. 16. Ministry of Agriculture, Malaysia.
[3] Drainage and Irrigation Department (2000) “Urban Stormwater Management Manual for Malaysia” Ministry of Agriculture, Malaysia.
[4] Drainage and Irrigation Department (2010) “Review and Updated the Hydrological Procedure NO. 1- Estimation of Design Rainstorm in Peninsular Malaysia” December, Prepared by NAHRIM.
[5] Drainage and Irrigation Department (2011) “Urban Stormwater Management Manual for Malaysia” (Manual Saliran Mesra Alam Malaysia), Second edition.
Ir. Dr Quek Keng Hong has a PhD and a Master’s degree in water resources from the University of NSW, Australia. A consulting engineer who specialises in urban drainage and hydrology, he has conducted many training workshops and seminars on MSMA. He is a committee member of the Water Resources Technical Division (WRTD).
Title: The Yin and Yang of Strategic Thinking for Decision Making 13 May 2017
Organisedby :WomenEngineersSection Time :9.00a.m.-11.00a.m.
CPD/PDP :2
Title: 1-Day Seminar on “Solid State Lighting” 24 May 2017
Organisedby :EducationEngineeringTechnical Division Time :9.00a.m.-5.30p.m.
CPD/PDP :6
Title: 2-Day Course on “Water Quality” 19-20 April 2017
Organisedby :WaterResourcesTechnicalDivision Time :9.00a.m.-5.00p.m.
CPD/PDP :Applying
Kindly note that the scheduled events below are subject to change. Please visit the IEM website at www.myiem.org. my for more information on the upcoming events.

Blockchain & Distributed Ledger Technologies is the latest subject of intense discussion and debate in many economies. Some countries plan to implement this in various sectors of the government, society and economy. Dubai for example, plans to have all its documents on Blockchain by 2020 as part of its Smart Cities implementation plans.
The term Blockchain is used generically, to cover “Blockchain and Distributed Ledger Technologies” (which are often quoted together) though there is a subtle distinction between the two.
So what exactly is Blockchain? Imagine two entities (e.g. banks) which need to update their user account balances when there is a request to transfer money from one customer to another. They need to spend a tremendous (and costly) amount of time and effort to coordinate, synchronise, message and check to ensure that each transaction happens exactly as it should.
Typically, the money being transferred is held by the originator until the recipient conirms that it has been received, With Blockchain, a single ledger of transaction entries that both parties have access to, one can simplify the coordination and validation efforts because there is always a single version of records, not two disparate databases.
“The Blockchain today is what the World Wide Web (www) was in 1992. Blockchain will impact all aspects of societyjustasthewwwhasbeenimpactedandengrained in today’s economy, government and society, but within a shorter timeframe….”
The above quote is paraphrased from talks by several speakers in conferences and events in USA, Europe and elsewhere; videos on these events are also available on YouTube. Its signiicance is also alluded to in books, articles and reports from various sources and the message has intensiied in the past 18 months.
This vision is profound and to ignore it and its implications, will be detrimental to the country. Just take a step back and take a look at where we are today, with the applications and functions available on the Internet and how these have covered all aspects of economic, government and social activities, in varying degrees of assimilation and critical use in different countries. Could we, 25 years ago in 1992 or even several years after that, have seen, imagined or envisioned what we have today? Did the general public at that time, foresee what we could do today with social media like Facebook and navigation applications like Waze or taxi hiring services like Uber?
As with anything new, there are at least two viewpoints. In the early 1990s, there were the visionaries and hopefuls who saw and evangelised the potential of the Internet. There were also the naysayers, who viewed it as a passing fad, like CASE (Computer Aided Software Engineering) technologies that were much talked about and had actual product offerings used by entities, in the 1980s.
The impact of the Internet today is forceful and has proved the naysayers wrong. It is an irony that there are still people who may not have heard or know about the www or the Internet although these are actually a part of their daily lives and things like social media, electronic banking and commerce, Internet of Things and smart cities are taken for granted.
In the same way, it may be that in the near future, we won’t even be talking about Blockchain as it will already be part and parcel of our daily activities, in our interaction with the government, commercial entities and social networks. In fact, governments and commercial entities may be redeined and reengineered with completely new roles based on Blockchain. What those roles may be will be left to our imagination.
Central to the disruption potential of Blockchain is the notion of “Trust”. Up to now, we MUST rely on speciic entities to fulill the ‘middleman role’ of ‘Trust’, whether this is Government services or the commercial entities such as banks, securities companies and other services sectors. However the Blockchain technology decouples the need for Trust to be centralised and concentrated at such institutions as it can be distributed across the established infrastructure provided by the Internet and other established technologies.
As a country, the choices before us are simple: To lead, to follow or be left behind. Unlike other technologies which can be implemented in isolation in companies and in countries, the interconnectedness of economies will naturally require countries to follow the leading countries implementing Blockchain to ensure they are still in the game to participate competitively in international trade and commerce. In plain layman’s language, if we lag behind, we will follow what other countries have established, their technologies and their processes in order
for us to engage commercially with them. Just imagine this: If one of our neighbouring countries has taken a signiicant lead in Blockchain, we will, eventually, have to follow that country’s rules or be left out in the cold.
The Internet and www success stories today in governments, economies and society at large, provide ample examples of lessons learnt, critical success factors, challenges of implementation, change management and the upsides and the downsides (misuse, security breaches, threats and vulnerabilities).
Smarter countries learning from the Internet, are not just watching Blockchain to “happen”. From news reports, many countries are, in fact, actively discussing, proactively planning or making irm plans for the wide use of Blockchain. For example, as mentioned earlier, Dubai plans to have all its documents on Blockchain by 2020 as part of its Smart Cities plans.
Malaysia just cannot sit back and watch while all these are happening.
Blockchain has the potential to be used in very diverse areas as shown in the following table:
General
Financial Transactions
Public Records
Identification
Private Records
Attestation
Physical Asset Keys
Intangible Assets
Escrow transactions, bonded contracts, third-party arbitration, multiparty signature transactions
Stock, private equity, crowdfunding, bonds, mutual funds, derivatives, annuities, pensions
Land and property titles, vehicle registrations, business licences, marriage certificates, death certificates
Driving licences, identity cards, passports, voter registrations
IOUs, loans, contracts, bets, signatures, wills, trusts, escrows
Proof of insurance, proof of ownership, notarised documents
Home, hotel rooms, rental cars, car access
Patents, trademarks, copyrights, reservations, domain names
Source: Blockchain - Blueprint for a New Economy by Melanie Swan (Oreilly 2015)
A more elaborate list of more than 80 areas where Blockchain can be potentially used, is available in the following link http://bit.ly/swanblock.
Blockchain has been below the radar of many jurisdictions. Recently, however, it caught the watchful eye of governments and regulators in several countries. While the technology is in various stages of development and implementation as well as the varied value-add options provided or to be provided by vendors, many countries already see the need to set Standards for some aspects of Blockchain.
These standards will include, among others, governance, auditability and traceability, risk management, security and privacy implementation. The International Organisation for Standardisation, ISO, has formed a new Technical Standards Committee, ISO/TC 307 on “Blockchain & Electronic Distributed Ledger Technologies” in the last quarter of 2016. Malaysia, represented by the Department of Standards Malaysia, is one of 16 countries participating in this committee, while 17 other countries will watch the developments as observing members.
It is expected that key Blockchain players and interested parties in Malaysia will participate in these Standards development activities at the ISO level through the local mirror committee TC/G/15, under the Department of Standards Malaysia. These players should include solution providers, regulators, trade associations and industry or the user community. Active participation will ensure we have the voice to inluence the direction of Standards related to Blockchain and, at the very least, protect the interests of sovereignnationslikeMalaysiaandsimilarsizedeconomies.
Malaysia has to get its act together to make things happen or we will be left watching what happens. Even worse, we still be wondering what has happened. A national policy and strategic plan to address and capitalise on the potential of Blockchain in Malaysia is very necessary.
[1] Blockchain Revolution by Don Tapscott and Alex Tapscott – Penguin 2016.
[2] Blockchain – Blueprint for a New Economy by Melanie Swan – Oreilly 2015.
[3] Distributed Ledger Technology – Beyond Blockchain – A report by the UK Chief Scientiic Advisor – December 2015.
[4] The Future of Financial Infrastructure – An ambitious look at how Blockchain can reshape inancial services by World Economic Forum – August 2016.
[5] Understanding Blockchain Technology and What it Means to Your Business by DBS Singapore – Feb 2016.
[6] Smart Dubai Director Sees Blockchain as Key to Connected Cities by Pete Rizzo – http://www.coindesk.com/smart–dubai–blockchain–connected–cities/ May 2016.
[7] Dubai wants all government documents on Blockchain by 2020 by Michael Del Castillo – http://www.coindesk.com/dubai–government–documents–blockchain–strategy–2020/Oct 2016.
[8] If you understand Google Docs, you can understand Blockchain by William Mougayar – http://www.coindesk.com/understand–google–docs–can–understand–blockchain/ Sep 2016.
Author's Biodata
Abdul Fattah bin Mohd. Yatim, is the Expert, National Technical Committee for Blockchain and Electronic Distributed Ledger Technologies, Department of Standards Malaysia. He is an IEM Council Member and actively serving the ICT Special Interest Group. He is also a Professional Member of the Organisation of Islamic Cooperation-Computer Emergency Response Team (OIC-CERT). He has more than 38 years of experience in the government, corporate and private sectors and is currently a consultant in ICT and related areas. The author has given brieings on Blockchain to the senior management of several Malaysian Government agencies and other platforms.
Editor's note: The author will be a speaker at the Kuala Lumpur Blockchain Conference on 8-9 April, 2017 (http://bloktex.com/speaker/abdul-fattahmohd-yatim/).








We are pleased to announce that the IEM will be fully implementing the Enhanced Professional Interview (PI) with effect from 1 July, 2018. Using the competency proiles for professional engineers as the basis for assessment, the Enhanced PI measures the outcome of practical training and development for independent practice. This is in line with the global move in engineering communities worldwide towards an outcome-based competence assessment for international recognition.
The main beneits of the Enhanced PI are as follows:
• It is a competence-based and evidence-based assessment; it will provide applicants with a more objectiveandmorebalancedassessmentbyminimising the subjective judgement of individuals.
• The revised application form in the enhanced PI will be equally friendly to all professional engineering practices rather than focus on engineering consultancy practices.
• The Training & Experience Report will have a prescribed format for PI applicants to provide the required evidence for speciic competencies. This will allow them to put up a better report compared to the conventional version which does not provide speciic guidance.
To prepare for this move, IEM has been conducting training and awareness programmes since 2015. IEM will continue to provide training for potential applicants to prepare them for the full switch-over to the Enhanced PI next year.
All graduates planning to sit for the IEM Professional Interview may download information or guidelines from the IEM website at http://www.myiem.org.my or call the IEM Secretariat at 03-7968 4007. A hard copy can also be obtained at the IEM Secretariat ofice in Petaling Jaya, Selangor.
In the transition to a full switch-over to the Enhanced PI, all newapplicantsandre-sitcandidatesoftheConventional PI must take note of the following:
• IEM will completely replace the Conventional PI with the Enhanced PI with effect from 1 JULY, 2018.
• IEM will NOT ACCEPT new applications through the Conventional PI with effect from 1 JANUARY, 2018, in order to allow time to process applications and to conduct interviews well before 1 JULY, 2018
• New applicants of the Conventional PI must ensure that they submit applications to the IEM Secretariat before NOON on SATURDAY, 30 DECEMBER, 2017. After this deadline, they will have to submit fresh applications under Enhanced PI.
• IEM will NO LONGER ACCEPT re-sit applications for the Conventional PI with effect from 31 DECEMBER, 2019
• Re-sit candidates of the Conventional PI will have to submit fresh applications under the Enhanced PI if they fail to meet the above deadline.
To ensure a smooth passage to achieving Corporate Membership of IEM, new applicants are strongly encouraged to apply for Enhanced PI now.
Standing Committee on Examinations and Qualiications.


The IEM Disaster Risk Reduction Advisory Board (DRRAB), under the IEM Standing Committee on Professional Practice (PPC), is compiling a list ofvolunteersinterestedtojoin theAdvisory Board team.
CALLING FOR EXPERTS!! Are
PURPOSE AND ROLE OF THE ADVISORY BOARD:
1. This Advisory Board function is to focus on disaster preparedness, mitigation and planning for a community scale or larger. The type of disaster includes natural, catastrophic ire, biological and chemical disasters.
2. The Advisory Board will advise on the mitigation of, prepare for, respond to, and recover from large-scale disasters. This will include drafting standards and procedures, education, high level advocacy and consultation to ensure the preparedness and best practices of our national disaster recovery work.
3. The Advisory Board will be the focal point of technical expertise on disaster preparedness within IEM.
4. Topics involve Floods, Haze and Wild Fires, Landslides and Rockslides, Earthquake, Coastal Erosion, Land Subsidence, Tsunami, Catastrophic Chemical Release**, etc.
* - these are taken as large catastrophic events. Smaller ires or chemical control measures would be the interest of other committees (Fire Advisory Board and/or Technical Divisions i.e. Chemical Engineering Technical Division).
Kindly ill-in the attached form along with a short brief on your past involvement in the industry and your interest, to IEM Secretariat at nurul@iem.org.my or contact 03-79684006.
Thank you.
Ir. Loo Chee Kin Chairman
IEM Disaster Risk Reduction Advisory Board (DRRAB)
Name:







reported by

On 23 February, 2016, the Water Resources Technical Division (WRTD) organised a technical visit for 68 IEM members and non-members, to Pantai 2 Sewage Treatment Plant Project Site in Kuala Lumpur with the following objectives:
• To visit the construction site of the Pantai 2 Sewage Treatment Plant Project, which is one of the biggest regional sewage treatment plants in Malaysia.
• To gain knowledge and understanding on the latest technology and project planning approach for sewerage facilities in Malaysia.
• To understand the components, process low and operational aspects of the completed facilities. The visit was arranged in collaboration with Jabatan Perkhidmatan Pembetungan (JPP), the implementation agency under the Ministry of Energy, Green Technology & Water Malaysia (KeTTHA) for the project. The participants were welcomed by En. Mohd Daneal bin Halim, Penolong Pengarah Sektor Konsultansi & Khidmat Teknikal, JPP.
The visit started with a brieing session by Ir. Izzami Zuddin bin Abdul Rani representing Kumpulan Ikhtisas Projek (M)
Sdn. Bhd., the Project Management Consultant (PMC) appointed by JPP. Then participants were brought to the sewage treatment plant to see the actual construction, components and operations of the treatment plant.
Pantai 2 Sewage Treatment Plant (Pantai 2 STP) is a part of the Pantai Regional Sewage Treatment Plant (Pantai STP) which provides sewage treatment services for the Pantai catchment area covering 6,700 hectares, comprising Bandar Baru Sentul, Sentul Raya, Bangsar, recreational area of Bukit Kiara and part of commercial areas in Kuala Lumpur, Old Klang Road and Petaling Jaya.
Pantai 2 STP is a project under the 10th Malaysian Plan and is implemented by KeTTHA through JPP. The aim of the project is to upgrade the existing aerated lagoon system which has a capacity of 550,00 population equivalent (123,750m3/day) into a mechanised system of 1.42million population equivalent (320,000m3/day) to increase the overall capacity of Pantai STP to 1.80million population equivalent (405,000 m3/day).



Pantai 2 STP consists of an underground facility of sewage treatment system with the above-ground area of 12 hectares being turned into a leisure park as shown in Figures 1 and 2. The underground facility consists of pre-treatment and secondary treatment, while the leisure park provides comprises recreational area, a community hall and sports facilities.
The Pantai 2 STP adopts the new Advanced A2O innovation for its treatment process technology. The system is designed to provide effluent quality in compliance with Standard A of the Environmental Quality (Sewage) Regulations 2009, including nitrogen and phosphorus removal. There are elements of green technology being included in the project components, comprising solar PV, effluent reuse, biogas and rainwater harvesting. Already in operation, the Pantai 2 STP has been receiving sewage flow since the end of 2015. n
Title: Talk on “Strategic” Leadership
26 April 2017
Organisedby :EducationEngineeringTechnicalDivision
Time :5.30p.m.-7.30p.m.
CPD/PDP :2





Kindly note that the scheduled events below are subject to change. Please visit the IEM website at www.myiem.org.my for more information on the upcoming events.
reported by


Urban Engineering Development Special Interest Group (UEDSIG) was the fruit of discussions of three IEM members: Ir. Hoo Choon Sean, Ir. Yap Soon Hoe and Dr Wang Hong Kok.
The formation of this SIG was approved at the 532nd IEM Excomm meeting on 10 October, 2016. UEDSIG serves as a platform for discussing issues on urban planning, economics and housing development relating to engineers.
The gathering on 7 January, 2017, at Auditorium Prof. Chin Fung Kee had two purposes. The irst was a talk by Mr. Ngian Siew Siong, who has 40 years of experience in property development. The second was the election of Protem Committee Members of UEDSIG.
Then Mr. Ngian presented his talk, “My Journey in Building An Award Winning Developer”. He talked about spending 27 years (1985-2012) at Sunway City Berhad where he worked with Tan Sri Dato’ Seri Jeffrey Cheah Fook Ling to expand Sunway’s property arm from having just one employee to becoming an award-winning developer. One of the highlights of the talk was about how Sunway City Berhad recruited, trained and retained bright staff members.
The next item on the agenda was the main event of the day, the election of Protem Committee Members of UEDSIG. The elected members were:
ChairmanDr Wang Hong Kok
Deputy Chairman Ir.Yam Teong Sian
Treasurer/Secretary Ir.Yap Soon Hoe
General Members Ir. Rosham Kadiman bin Samsudin
Ir.Tiong Choong Han
Ir. Ng Sean Lok
Ir. Jagjeet Singh Sidhu
Ir.Tan Tai Nyee
Ir. Mohamad Pauzi bin
Mohammed Kassim
This was chaired by Ir. Prof. Dr Jeffrey Chiang Choong Luin, Chairman of the Standing Committee on Activities.


We are a supplier of high quality geosynthetic products used for soft soil stabilization, slope reinforcement, coastal erosion protection, river bank protection, landfills, drainage, road and railway construction.
Our Products:
NEXTILE NON-WOVENS
NEXFORCE HIGH-STRENGTH WOVENS
NEXGRID GEOGRIDS
We also provide design, specification, bill of quantities, cost estimate and drawings free-of-charge.








Title: 2-Day Course on “Plumbing – Professional Competency Examination (PCE) on the Syllabus of Hydraulics - Design Considerations”
23-24 March 2017
Organisedby :BuildingServicesTechnicalDivision Time :8.45a.m.-5.25p.m.
CPD/PDP :14
Title: Log Book Training Scheme – Guidelines for Mentors
25 March 2017
Organisedby :Sub-CommitteeonIEMLogBookTrainingScheme Time :8.30a.m.-1.00p.m.
CPD/PDP :3.5
Title: 1-Day Workshop on Programming for EngineersJava Programming 25 March 2017
Organisedby :InformationandCommunicationsTechnologySpecial InterestGroup Time :9.00a.m.-5.30p.m.
CPD/PDP :0
Title: 1-Day Course on “One Belt One Road Initiative: Opportunities for Engineers”
29 March 2017
Organisedby :UrbanEngineeringDevelopmentSpecialInterest Group
Time :9.00a.m.-5.00p.m.
CPD/PDP :0
Title: 2-Day Short Course on Ground Improvement and Land Reclamation (Kristal Ballroom, PJ Hilton, Selangor)
10-11 April 2017
Organisedby :GeotechnicalEngineeringTechnicalDivision Time :9.00a.m.-6.30p.m.
CPD/PDP :15.5
Title: Short Course on Ground Improvement and Land Reclamation (The Gurney Resort Hotel & Residences, Penang)
12-13 April 2017
Organisedby :GeotechnicalEngineeringTechnicalDivision Time :9.00a.m.-6.00p.m.
CPD/PDP :15.5
Get in touch with us: Tel: 03-6142 6638 Fax: 03-6142 6693
sales@neusynthetics com
Sales Team:
Izwan (012-568 5611) Gordon (012-355 0872)
Title: Southeast Asian Conference and Exhibition in Tunnelling and Underground Space 2017 (SEACETUS 2017) (Dorsett Grand Subang Hotel, Subang Jaya, Selangor, Malaysia)
18-19 April 2017
Organisedby :TunnellingandUndergroundSpaceEngineering TechnicalDivision
Time :9.00a.m.-5.00p.m.
CPD/PDP :0
Kindly note that the scheduled events below are subject to change. Please visit the IEM website at www.myiem.org.my for more information on the upcoming events.








reported by


It was an early start. At 6.30 a.m., the coach we were in, departed from Bangunan Ingenieur in Petaling Jaya and at 8.15 a.m., we arrived at Bentong Town Mosque. Waiting to meet us at the mosque was Encik Ahmad Said Gajali who took us in 3 four-wheel vehicles to the Amcorp Perting 6MW Mini Hydropower Plant.
POWER STATION DATA
Down water pipe from intake diameter = 1.6 metres. Water low = 180 cubic metres per minute. Water head height = 160 metres. 3 Turbines type Turgo with 2 x 500 mm diameter inlet water pipes. Turbine speed = 724 rpm. Output voltage = 690 volts. Step up to 11 KVolt Output Power = 6 MW total.
THE POWER PLANT
The Sg Perting Mini Hydropower Plant is located at Sungai Perting, Bentong, Pahang. It is an award-winning project









The mini hydro project is located in the Bukit Tinggi forest reserve, at the Chamang Waterfall recreational area. The project utilises the head differential and river low of Sungai Perting to generate electrical energy. The hydropower plant delivers 6 MW of power to TNB via the interconnection point at SSU Kg. Baru under the Renewable Energy Programme.
The electricity generated by the plant will displace part of the electricity generated by the grid dominated by the conventional fossil fuel-ired power plants. This will prevent further environmental pollution caused by the burning of such fuel. In terms of economic sustainability, by using water –a free, sustainable and indigenous resource – to generate renewable energy, this mini hydro project helps lessen the nation’s dependency on depleting fossil fuel especially as prices have risen sharply over the years.













Project

reported by

The Civil & Structural Technical Division (CSETD) and Midas Information Technology and Co. Ltd jointly organised a one-day technical seminar on Jump On The Eurocode Wave on 18 October, 2016. The aim was to increase awareness of the adoption of Eurocode through a sharing session with Eurocode experts and the simpliication of design through Midas Software.
Over 225 participants attended the event which started with a warm welcome by Mr. Aaron Lee, the Master of Ceremony from Midas. The company has been involved in many high proile projects around the world, notably Burj Khalifa, Beijing National Stadium and Young Jong Bridge. It provides a wide range of software solutions, ranging from civil, structure, geotechnical and mechanical and, according to Mr. Lee, Midas has attained 40% market share in Singapore’s analysis software.
CSETD Chairman Ir. Dr Ng Soon Ching then gave the opening speech in which he noted that Malaysia was moving closer towards adopting Eurocode and that there was a need for modelling and design base software to assist the industry. He welcomed two experts, Ir. Adjunct Professor M.C. Hee from Malaysia and Prof. Richard Liew from Singapore, who would be sharing their insights and perspectives on Eurocode design.
The next speaker was Mr. Kapil Dev Bansal, Technical Manager at Midas Singapore. The civil and structural engineer, who has experience in RC and steel structures, undertakes projects involving Eurocodes and ACI. He talked about Midas nGen, a computer-aided engineering (CAE) software that utilised a diverse range of specialty inite element analysis functions as well as modern theories of structural analysis to give accurate and practical results. As the input for Midas nGen is an object-based approach application, it can be used for any type of structure with mixed structural elements and complexity.
Mr. Kapil modelled a simple high rise building from scratch. He explained how Midas nGen provided and generated results for RC and steel. He went through the assignment of the structural elements, automated Eurocode load combination assignment and showed the analysis result. He noted the perils of expected changes in architectural layout and assured design engineers that Midas nGen provided simple and hassle-free changes in the model. With Midas nGen’s intuitive modelling and auto design, he said, engineers would be able to migrate towards Eurocode at a more comfortable pace.
Next was Ir. Adjunct Professor M.C. Hee, a veteran in undertaking projects in complex and high rise buildings.


He was also involved in the drafting of Malaysia’s Eurocode 8. His topic on Eurocode 2, from the consulting engineer’s perspective, emphasised on the need for engineers to understand the fundamentals of structural analysis and design.
The uniied-simpliied approach to structural analysis, emphasised deformations, principle of virtual displacement (PVD), matrixes and others, allows engineers to carry out a quick check on structural analysis. Professor Hee talked briely about simple checks in elemental design calculations. He went on to prove that the results of his hand calculations and the Midas elemental results were similar.
He acknowledged that there was a need for fast and prompt analysis results, so CAE software such as Midas, aids engineers by delivering results eficiently. However, engineers were reminded that they should always check if the software results were reasonable through simple close form hand calculation.
After lunch, the irst speaker was Professor Richard Liew from the Department of Civil & Environmental Engineering, National University of Singapore, who was involved in drafting Eurocode 3 for Singapore. His topic on Steel Design as per Eurocode 3, gave an overview on what to expect when adopting EC3. He made a brief comparison of BS5950 and Eurocode to show the beneits and lexibilities of EC3. However, most checks in EC3 were presented in expressions, so Eurocode is geared towards computerbased designs.
Professor Liew presented a few case studies on structural steel and mixed systems that he had undertaken. High proile projects in Singapore, such as the Marina Bay integrated resort, Art Science Museum, Gardens By The Bay and Jewel at Changi Airport, illustrated the complexity of structural steel design. Due to the architectural complexity, most of the designs required computer-aided software to analyse the structural behaviour. Professor Liew also illustrated the composite structure system which was becoming more common as architecture demands became more complex. Composite steel structures allowed a lighter structure, eficient layout and achieved longer lifespan. He summed up the importance of close form hand calculation and the need to spend more time on global stability checks.
Mr. Hans Kang, Civil and Structural Engineer of technical support for Midas, presented a special feature on Midas nGen and Design+. He showed the audience how to input lateral loads, method of consideration of 1st order and 2nd order effect in Midas nGen, and the automatic load combination input to Eurocode. The special feature in Midas nGen gives further lexibility for engineers to adjust design parameters. Some automated functions in Midas nGen can assist in reducing human error.
Midas nGen loading input can be seamlessly exported into the Midas Design+ element design. With this feature, much of the detailing can be extracted easily and it can be used in many element designs, such as RC beams, columns, staircase, footings, steel connections etc. Mr. Kang ended by sharing how Midas software can help engineers simplify their learning curve towards Eurocode.





The seminar ended with the presentation of appreciation mementos to the speakers. Midas also gave mementos to all the speakers and Ir. Dr Ng gave Midas a token of appreciation for spearheading the seminar.












AIr. Chin Mee Poon
www.facebook.com/chinmeepoon
Chin Mee Poon is a retired civil engineer who derives a great deal of joy and satisfaction from travelling to different parts of the globe, capturing fascinating insights of the places and people he encounters and sharing his experiences with others through his photographs and writing.
fter years of procrastination, my wife and I inally made it to Keukenhof Gardens in The Netherlands. Mention tulips and Holland comes to mind. What better place to appreciate that country’s national lower in the most brilliant and explosive colours than in the largest lower garden in the world?
Spread over 32 hectares, Keukenhof (meaning Kitchen Garden in Dutch) is also known as the Garden of Europe. Located in the small town of Lisse in the South Holland province, it was established in 1949 by the town mayor as an exposition ground for horticulturists in the country and elsewhere in Europe to showcase lower hybrids which would contribute signiicantly to turn The Netherlands into the world’s largest lower exporter.
Keukenhof is actually made up of a few gardens with distinctly different styles, including the historical garden, English landscape garden, nature gardenandJapanesecountrygarden.
After travelling through the Netherlands and Belgium for almost a month, we arrived at the charming town of Leiden in early April 2016. At the central railway station early the following morning, we boarded the irst bus for Keukenhof Gardens, 20km away. The return bus fare was €10 each and admission to the Gardens cost us another €16 each.
We were among the irst to enter the Keukenhof. The garden is planted with 7 million bulb lowers, mainly tulips but there are also daffodils and hyacinths. There are 4 sections, each with a different theme. The overall theme is The Golden Age, referring to an era that has seen trade, arts and sciences lourishing in the country.

Visitors can explore the Gardens freely via 15km of footpaths.
Last year, Keukenhof Gardens was open from 24 March to 16 May and between 800,000 and 1 million visitors were expected during these 8 weeks.
We spent the whole day, about 10 hours, there and were able to see practicallyallthatwasworthseeing.Of the four sections, Juliana and WillemAlexander are extremely beautiful. The latter showcases a vast number of tulip hybrids and lilies as well as other lowers and plants. At the Oranje Nassau Pavilion, different cut lower shows are staged every week. Beatrix Pavilion has a permanent orchid and anthurium show.
There is a windmill on the eastern edge of the Gardens. Visitors can take regular boat trips on the adjacent canals to view the vast bulb ields in the vicinity.
Ironically, tulips are not native to The Netherlands. They were mainly found in the mountains between Turkey and China. In the mid-16th Century, the powerful Sultan Suleiman II of Ottoman Empire illed his palace
gardens with the most beautiful tulips. He gave some tulip bulbs to an Austrian ambassador who, in turn, passed them to a prominent Dutch botanist, Carolus Clusius, who was then living in Vienna. When Clusius went back to the Netherlands and settled in Leiden in 1593, he planted the tulip bulbs in Hortus Botanicus in Leiden, thus introducing tulips to his homeland. The word “tulip” comes from the Persian word, “tulipan”, which means turban.
During the Dutch Golden Age, which roughly spanned the whole of the 17th Century, the unique nature of the tulip, especially the saturated, intense colours of the petals, soon made it a status symbol among the nouveau rich, and contract prices of tulip bulbs went sky high.
At the peak of the tulip madness in 1637, a single bulb could be sold for 10 times the annual income of a skilled craftsman! But of course this couldn’t last and the market collapsed shortly thereafter.Today,theterm,“tulipmania”, isusedtodescribeanyeconomicbubble where asset prices deviate tremendously from intrinsic value.

Tarikh:13Februari2017
KepadaSemuaAhli,
Berikut adalah senarai calon yang layak untuk menduduki TemudugaProfesionalbagitahun2017.
Mengikut Undang-Undang Kecil IEM, Seksyen 3.8, nama-nama seperi tersenarai berikut diterbitkan sebagai calon-calon yang layak untuk menjadi Ahli Insitusi, dengan syarat bahawa mereka lulusTemudugaProfesionaltahun2017.
Sekiranya terdapat Ahli Korporat yang mempunyai bantahan terhadap mana-mana calon yang didapai idak sesuai untuk menduduki Temuduga Profesional, surat bantahan boleh dikemukakan kepada Seiausaha Kehormat, IEM. Surat bantahan hendaklah dikemukakan sebulan dari tarikh penerbitan dikeluarkan.
Ir. Yam Teong Sian Seiausaha Kehormat, IEM,
PERMOHONAN BARU NamaKelayakan
KEJURUTERAAN AWAM
MAZMAN BIN MOHAMAD BE HONS (USM) (CIVIL, 2006) MSc (USM) (ENVIRONMENTAL, 2007)
KEJURUTERAAN ELEKTRIKAL
NADIAH BINTI MOHAMAD PARIJBE HONS (UNITEN) (ELECTRICAL POWER, 2009)
NOOR AMALIA BINTI IBRAHIMBE HONS (UNITEN) (ELECTRICAL & ELECTRONIC, 2009)
NOOR ASIKIN BT ARIFIN BE HONS (MALAYA) (ELECTRICAL, 2010)
RODNEY TOO WAI KEONGBE HONS (UCSI) (ELECTRICAL & ELECTRONIC, 2013)
TAN WEI HONGBE HONS (MALAYA) (ELECTRICAL, 2009)
KEJURUTERAAN ELEKTRONIK
SULAIMAN WADI HARUNBE (NAGAOKA) (ELECTRICAL & ELECTRONIC SYSTEMS, 1996) MSc (MALAYA) (2001)
KEJURUTERAAN AEROANGKASA
WAN MOHD FAIZAL BIN WAN ABD RAHIM BE HONS (USM) (AEROSPACE, 2006) ME (MALAYA) (MECHANICAL, 2014)
KEJURUTERAAN MEKANIKAL
EDMENT FASHAH BIN AHAMADBE HONS (UiTM) (MECHANICAL, 2008)
HASANUDDIN BIN MOHD IBRAHIMDIPL- ING (FH-OFFENBURG, GERMANY) (MECHANICAL & TECHNOLOGY, 2009)
JUSTIN CHAN TUCK LEONG BE HONS (UNITEN) (MECHANICAL, 2010) MSc (UTM) (ENGINEERING BUSINESS MANAGEMENT, 2016)
MOHD NUH BIN MISKANBE HONS (UiTM) (MECHANICAL, 2005)
SAIFULADILI BIN JAAFARBE HONS (UKM) (MECHANICAL, 2008)
PERPINDAHAN AHLI No. Ahli NamaKelayakan
KEJURUTERAAN AWAM
38571ATIQAH BINTI ZAINALBE HONS (UTM) (CIVIL, 2011)
41527CHUNG JIA JIUNNBE HONS (UMP) (CIVIL, 2011)
42490FONG KIM SUNBE HONS (UTM) (CIVIL, 2000)
53749LIEW CHIUN HSIUNGBE HONS (UTM) (CIVIL, 2011)
25436LIM CHIN SHINBE HONS (MALAYA) (CIVIL, 2004)
52479MOHD MUHIDIN BIN FAHARUDDIN BSc (CALIFORNIA) (CIVIL, 1989)
45309NG BAN KIONGBE HONS (UTHM) (CIVIL, 2010)
16134SAZALI BIN HARUNBSc (WISCONSIN-MILWAUKEE) (CIVIL, 1988)
56546 SHAMREE BIN AHMAD BE HONS (UTM) (CIVIL, 2008)
KEJURUTERAAN ELEKTRIKAL
48855AZREENA BINTI SAADINBE HONS (UiTM) (ELECTRICAL, 2002)
50696 CARLOS JUNG YAN BE HONS (MULTIMEDIA) (ELECTRONICS, 2008)
51309 CHAN JIUNN YEEP BE HONS (MALAYA) (ELECTRICAL, 2009) ME (MALAYA) (POWER SYSTEM, 2013)
47104HUSIN BIN MUSTAFABE HONS (UTM) (ELECTRICAL, 1986)
38760 KHAIRULANWAR BIN MUHAMMAD BE HONS (UTM) (ELECTRICAL)ELECTRICAL, 2008)
80727 KONG SHYANG YAU BE HONS (UNITEN) (ELECTRICAL POWER, 2006)
24093MOHD AZHAN BIN SIDIK BE HONS (MALAYA) (ELECTRICAL, 2005) MEM (UiTM) (2016)
59147MOHD AZHAR BIN MAIZANBE HONS (UPM) (ELECTRICAL & ELECTRONIC, 2006)
79028MUHAMMAD SAUFI BIN KAMARUDIN BE HONS (UTM) (ELECTRICAL, 2003) ME (UTM) (ELECTRICAL-POWER, 2005)
29822RAHIMI BIN BAHAROM BE HONS (UiTM) (ELECTRICAL, 2003) MSc (UiTM) (ELECTRICAL, 2009)
36195 VOON YANN PENG BE HONS (UTM) (ELECTRICAL, 2012)
70643 KANAGARAJ PILLAY A/L PATHNINATHAN PILLAY ME HONS (NOTTINGHAM) (ELECTRICAL, 2010) CONVERSION (UNITEN) (2013)
88321MOHAMAD ABDUL RAHMAN BIN MUZMAR BE HONS (UPM) (ELECTRICAL & ELECTRONIC, 2009) ME (UTM) (ELECTRICAL-POWER, 2016)
KEJURUTERAAN ELEKTRONIK
75279HABIBAH BINTI HASHIM BSc (NOTTINGHAM) (ELECTRICAL, 1983) MSc (CNAA-TEESSIDE) (COMPUTER-AIDED, 1986) PhD (UNITEN) (INFORMATION & COMMUNICATION TECHNOLOGY, 2007)
61989HAZRUL MOHAMED BASRIDIPL-D’ING (BELFORT-MONTBELIARD) (2008) ME (BELFORT-MONTBELIARD) (2010)
31739KASUMAWATI LIASBE HONS (UNIMAS) (ELECTRONICS & TELECOMMUNICATIONS, 2005) ME (UTM) (ELECTRICAL-ELECTRONICS & TELECOMMUNICATIONS, 2008)
49387LIOW CHEE SHINGBE HONS (UMS) (ELECTRICAL & ELECTRONIC, 2006)
60033MOHD NURFITRI BIN MOHD WAHID BE HONS (UPNM) (ELECTRICAL & ELECTRONICCOMMUNICATIONS, 2012)
79370NINA KORLINA BINTI MADZHI BE HONS (UiTM) (ELECTRICAL, 1999) PhD (UiTM) (2012)
64607NUR JULIA NAZIM BINTI BULYA NAZIM BE HONS (UTM) (ELECTRICALTELECOMMUNICATIONS, 2003)
87067NURLAILA BINTI ISMAIL BE HONS (UiTM) (ELECTRICAL, 2005) ME (UiTM) (ELECTRICAL, 2011)
KEJURUTERAAN MEKANIKAL
80651MOHD MARZUKI BIN ABDUL MAJID BE HONS (UTM) (MECHANICAL, 2005)
KEJURUTERAAN PEMBUATAN
43154MOHAMAD BIN MINHAT BE HONS (CARDIFF) (MECHANICAL, 1994) MSc (COVENTRY) (2003) PhD (AUCKLAND) (2010)
KEJURUTERAAN PENGANGKUTAN
43676LIM SIEW HAI BE HONS (UKM) (CIVIL & ENVIRONMENTAL, 2005) MSc (USM) (PROJECT MANAGEMENT, 2008)
KEJURUTERAAN PEMBINAAN
64777YEW BOON KENTBE HONS (PORTSMOUTH) (CIVIL, 2010)
KEJURUTERAAN KIMIA
24787NGU LOCK HEIBE HONS (USM) (CHEMICAL, 2001)
KEJURUTERAAN PERTANIAN
36650MOHAMAD HAIRIE BIN MASROON BE HONS (UPM) (BIOLOGICAL &AGRICULTURAL, 2007)
PERMOHONAN BARU/PEMINDAHAN MENJADI AHLI KORPORAT
KEJURUTERAAN AWAM
JOE PRIMUS KAYAUBE HONS (WARWICK) (CIVIL, 1998)
LEE CHUAN SHINBE HONS (NUS) (CIVIL, 2007)
KEJURUTERAAN MEKANIKAL
CHRISTOPHER LEO PERALTA BE HONS (UNITEN) (MECHANICAL, 2003) ME (UNITEN) (MECHANICAL, 2005)
MOHD ROSDZIMIN ABDUL RAHMANBE HONS (UTM) (MECHANICAL, 2002)
CONTRIBUTIONS TO WISMA IEM BUILDING FUND

RM 3,012,838.91 contributed by IEM Members and Committees
RM 744,332.19 contributed by Private Organisations
TOTAL RM 3,757,171.10 (ANOTHER RM 2,483,470.97 IS NEEDED)
The Insituion would like to thank all contributors for donaing generously towards the IEM Building Fund HELP US TO PROVIDE BETTER SERVICES TO YOU AND TO THE FUTURE GENERATION
(The donaion list to the Wisma IEM Building Fund is published on page 47 & 48)
Note: This is a continuation of the list ‘PERMOHONAN MENJADI AHLI COMPANION’ which was published on page 47 of the February 2017 issue.
PERMOHONAN MENJADI
AHLI KORPORAT
Nama Kelayakan
KEJURUTERAAN AWAM
81315NOR ARBI BINTI MOD ISAB.E.HONS.(UNITEN) (CIVIL, 2007)
81316NOR ELIZA BINTI SELAMAT
KEJURUTERAAN ELEKTRIKAL
81851 CHONG KOK THIONG
B.E.HONS.(UKM)(CIVIL & STRUCTURAL, 2000)
B.E.HONS.(UTM) (ELECTRICAL, 2003)
KEJURUTERAAN ELEKTRONIK
84921 YONG THIAM YUEN
KEJURUTERAAN KIMIA
84918 CHIN YEN WEI @ TAN YEN WEI
KEJURUTERAAN MEKANIKAL
B.E.HONS. (NOTTINGHAM TRENT) (ELECTRICAL & ELECTRONIC, 1997)
B.E.HONS.(UTM) (CHEMICAL, 1998)
84922DR NOORMAZIAH BINTI JAFFERI B.E.(TAKUSHOKU) (MECHANICAL SYSTEMS, 2002) P.HD.(SHEFFIELD)(2008)
81850 ONG TENG CHUAN
KEJURUTERAAN POLIMER
84920 DR AMALINA BINTI MUHAMMAD AFIFI
B.SC.(NATIONAL TAIWAN)(MECHANICAL, 2005)
B.E.(KYOTO INS. OF TECH.)(POLYMER SC. & ENRG., 2000)
M.E.(KYOTO INS. OF TECH.)(POLYMER SC. & ENRG., 2002)
P.HD.(KYOTO INS. OF TECH.)(MATERIALS & LIFE SC., 2010)
PERMOHONAN MENJADI AHLI SISWAZAH
Nama Kelayakan
KEJURUTERAAN AWAM
56636AHMAD FAISAL BIN MOHD GHAZALI
B.E.HONS.(UTM)(CIVIL, 2013)
52770 CHIN JIUN YEE B.E HONS. (CURTIN)(CIVIL & CONSTRUCTION, 2014)
72506DIVIYA SHANKARB.E.HONS.(UKM)(CIVIL & STRUCTURAL, 2015)
28104DR TAN CHEE GHUANB.E HONS.(USM) (CIVIL, 2009) M.SC.(USM) (STRUCTURAL, 2010) P.HD.(USM)(EARTH QUAKE, 2010)
55765ELIJAH DINGB.E HONS.(UNISEL) (CIVIL, 2015)
55968HAFIZAH NADHIRAH BINTI HISHAM
B.E.HONS.(UTHM)(CIVIL, 2015)
34166JENIFFER LOURDSAMYB.E.HONS.(UNITEN) (CIVIL, 2011)
72738KHAIRUL IZHAR BIN KASIM
B.E.HONS.(UNITEN) (CIVIL, 2015)
65892 KOGULAN A/L G. LAKSHMANAN B.E HONS.(UNISEL) (CIVIL, 2014)
42700LAM KAH LEONGB.E.HONS.(UTHM)(CIVIL, 2011)
45613LEE KENG SENGB.E.HONS.(USM)(CIVIL, 2013)
66196 LEE YAO ZONG
45586 LEE YI YONG
27918 MD. YUSHAIRI KAMARUL EFFENDY BIN MOHD YUSOF
56662MIOR MUHAMAD NAZRIN BIN MIOR ISKANDAR SHAH
52292MOHD SHAZUWAN BIN SAIDIN
50256MU'ASWAD IRWAN B. ISHAK
33682MUHAMAD KHAIRI BIN JALIL
47251 MUHAMMAD AL SHAFIE BIN MOHAMAD AZAN
70957MUHAMMAD SAZLLY NAZREEN BIN MAH MOOR
47438NOOR FAIZAH BINTI SANIB.E.HONS.(UTP)(CIVIL, 2014)
44382NOOR IZA BINTI BAHARIB.E.HONS.(UITM)(CIVIL, 2011)
46929 NUR AZZIMAH BINTI ZAMRI
68044NUR SYAFIQAH SHAZIRA BINTI MOHD SHUKOR
B.E.(UMP)(CIVIL, 2012)
B.E.HONS.(UTHM)(CIVIL, 2014)
65864SADIQ B. ROSLIB.E HONS.(UITM)(CIVIL, 2014)
41422 SALIMATUN BINTI ABD MUTTALIB
26989 SHAHRULAFFENDY BIN MAHAT
29489SHAHRUL BAZLI BIN SHAHARUDIN
72505TAN PEI YING
B.E.HONS.(IUKL)(CIVIL, 2015)
B.E.HONS.(USM)(CIVIL, 2013)
B.E.HONS.(UITM)(CIVIL, 2007)
B.E.HONS.(UITM)(CIVILINFRASTUCTURE, 2015)
B.E.HONS.(IUKL)(CIVIL, 2015)
B.E.HONS.(IUKL)(CIVIL, 2013)
B.E.HONS.(UITM)(CIVIL, 2008)
B.E.HONS.(UKM)(CIVIL & STRUCTURAL, 2013)
B.E.HONS.(UTM)(CIVIL, 2014)
33135NAJIHA BINTI NADZRUB.E.HONS.(UITM)(CIVIL, 2009)
B.E.HONS.(UTHM)(CIVIL, 2011)
B.E.HONS.(UITM)(CIVIL, 2006)
B.E.HONS.(UTHM)(CIVIL, 2011)
B.E.HONS.(UKM)(CIVIL & ENVIRONMENTAL, 2014)
50081TAN WEI JING, VANESSAB.E.HONS.(UCSI)(CIVIL, 2013)
30264TENG KAM WENGB.E.HONS.(UNISEL) (CIVIL, 2013)
52774WONG SIAW JYE, JACKSON
51803RAVEVERMA S/O PERIYASAMY B.E.HONS.(UTHM) (MECHANICAL, 2015)
30425 RUZITAAQMAR BINTI MOHD NORDIN B.E HONS.(UITM) (MECHANICAL, 2011) M.E.(UTM) (MECHANICAL, 2014)
25720SUHAIMI BIN HASSANB.E HONS.(UTM) (MECHANICAL, 2005)
58239U JOO HUIB.E.HONS.(UTHM) (MECHANICAL, 2015)
72759 VASUDEVAN A/L RAJANDRAN B.E.HONS.(UNITEN) (MECHANICAL, 2015)
36705YAP ZHENG DAOB.E.HONS.(UPM) (MECHANICAL, 2011)
KEJURUTERAAN AEROANGKASA
B.E.HONS. (CURTIN)(CIVIL & CONSTRUCTION, 2013)
KEJURUTERAAN BIO PERUBATAN
51574 KOH YANG MUN
KEJURUTERAAN ELEKTRIKAL
B.E.HONS.(UTAR)(BIOMEDICAL, 2016)
64705LIM JUN NIANB.E.HONS.(UNITEN) (ELECTRICAL POWER, 2013)
38469MOHD FARID BIN MOHD MARZUKI
48274MUHAMAD SAFWAN BIN MUHAMAD ZAINULDIN
75366 MUHAMMAD AFIF B. ABDULAZIZ
75365MUHAMMAD KHAIRI BIN MAHADZER
B.E.HONS.(UTM) (ELECTRICAL, 2010)
B.E.HONS.(UITM) (ELECTRICAL, 2011)
B.E.HONS.(UITM) (ELECTRICAL, 2015)
B.E.HONS.(UITM) (ELECTRICAL, 2015)
54406SOH CHIN SHINGB.E.HONS.(UNITEN) (ELECTRICAL POWER, 2013)
72336 YANG TIEN MING, ALEXANDER
B.E.HONS.(UTAR) (ELECTRICAL & ELECTRONIC, 2016)
78924ZULHAIMIE BIN BOLOHB.E.HONS.(UTEM) (ELECTRICAL-POWER ELECTRONIC & DRIVE, 2012)
KEJURUTERAAN ELEKTRONIK
34044 ASRAF BIN AHMAD
44936 STEFFI MIT ANAK ANGIE
B.E.HONS.(UITM) (ELECTRICAL, 2009)
B.E HONS.(UTM) (ELECTRICALINSTRUMENTATION & CONTROL, 2011)
KEJURUTERAAN KIMIA
67198BASIL GIRI DAVISB.E.HONS.(UITM) (CHEMICAL & PROCESS, 2014)
23305 MOHD AFFANDI BIN DERMAN
B.E.HONS.(UITM) (CHEMICAL, 2004)
61878TAN JUN HOEB.E.HONS.(UTAR) (CHEMICAL, 2016)
KEJURUTERAAN MEKANIKAL
51373 CHIN JUN YEN, THOMAS B.E.HONS.(UTP) (MECHANICAL, 2015)
54189 CHONG KOK YUNG
B.E.HONS.(UTAR) (MECHANICAL, 2016)
39794FONG MUN KITB.E.HONS.(UTHM) (MECHANICAL, 2010)
42291HO ZHEN HUI, AARON JOHNATHAN
25238 JAYPRASHANTH A/L KARTHIGESAN
B.E.HONS.(UMS) (MECHANICAL, 2011)
B.E.HONS.(UTEM) (MECHANICAL-THERMAL FLUIDS, 2007)
54192KHOR LIN HANB.E.HONS.(UTAR) (MECHANICAL, 2016)
77923LEONG JANN THO JOELB.E.HONS.(UNITEN) (MECHANICAL, 2015)
65037 LOON CHEE YAN, MICHAEL
50385MUHAMAD FAIZAL BIN ABD. RAZAK
B.E.HONS.(TAYLOR'S) (MECHANICAL, 2014)
B.E.HONS.(UITM) (MECHANICAL, 2014)
32917MUHAMMAD HANIFF BIN MUSTAKIM B.E HONS.(UTM) (MECHANICAL, 2009)
71268MUHAMMAD SHAHRIZZAT BIN RAMLI
45472 NG YAN SEAN
50403NORUL SAKINAH BINTI AWANG @ ISMAIL
B.E.HONS.(UTHM) (MECHANICAL, 2015)
B.E.HONS.(USM) (MECHANICAL, 2013)
B.E HONS.(UITM) (MECHANICAL, 2014)
81302DR NURUL MUSFIRAH BINTI MAZLAN B.E.HONS.(USM) (AEROSPACE, 2006) M.SC.(CRANFIELD) (THERMAL POWERAEROSPACE PROPULSION, 2009) P.HD.(CRANFIELD) (ASSESSING/ OPTIMISING BIOFUEL COMBUSTION TECHNOLOGIES FOR REDUCING CIVIL AIRCRAFT EMISSIONS, 2013)
84931 LUQMAN BIN AHMAD ROSDI B.E.HONS.(IIUM) (AEROSPACE, 2015)
KEJURUTERAAN ALAM SEKITAR
81267 LOI LIONG YU B.E.HONS.(MALAYA) (ENVIRONMENTAL, 2011)
KEJURUTERAAN AWAM
81441 ABD TALIB BIN ABU KASSIM ADV. DIP.(ITM)(CIVIL, 1985)
81944AHMAD IMRAN BIN CHE ISMAIL B.E.HONS.(UTM)(CIVIL, 2009)
81500 AHMAD YUSNI BIN JUSOH B.E HONS.(USM)(CIVIL, 2000)
Note: Remaining list of the Permohonan Menjadi Ahli ‘Companion’, Pemindahan Kepada Ahli Siswazah, Permohonan Menjadi Ahli Siswazah, Permohonan Menjadi Ahli ‘Incorporated’, Permohonan Menjadi Ahli ‘Afiliate’, Permohonan Menjadi Ahli ‘Associate’ would be published in the April 2017 issue. For the list of approved “ADMISSION TO THE GRADE OF STUDENT”, please refer to IEM web portal at http:// www.myiem.org.my.
Pengumuman yang ke-101
SENARAI PENDERMA KEPADA WISMA DANA BANGUNAN IEM
Institusi mengucapkan terima kasih kepada semua yang telah memberikan sumbangan kepada tabung Bangunan Wisma IEM. Ahli-ahli IEM dan pembaca yang ingin memberikan sumbangan boleh berbuat demikian dengan memuat turun borang di laman web IEM http://www.iem. org.my atau menghubungi secretariat di +603-7968 4001/5518 untuk maklumat lanjut. Senarai penyumbang untuk bulan Januari 2017 adalah seperti jadual di sebelah:
NO. NO. AHLI NAMA
13902AB. MAJID BIN AZIZ
23452ABD. RAHIM BIN SHAMSUDIN
386341ABDUL HIJAN BIN ABDUL HALIM
427647ABDUL MALEK BIN TALIB
527472ABDUL RASHID BIN HUSSAIN
644107 AHMAD AFZAINIZAM BIN MOKHTAR
780719 AHMAD ATTORELLAH SHARIFUDDIN
829071AHMAD FUAAD BIN AHMAD SABKI
921881AHMAD NAZRY BIN SARNI
1013821AHMAD ROSLAN BIN HAIRUDDIN 11 32805AHMAD ZAMANI MASNIZAM BIN ABDULLAH ZAWAWI
1222781ALI ASKAR BIN SHER MOHAMAD 1317370AMAN SHAH BIN MOHAMAD SHAH
1420675AMINUDIN BIN MOHD. ISA
157980ANNIES BIN MD. ARIFF
1630253 ANUAR BIN ADNAN
174961ASOK KUMAR S/O HARILAL HIRA PATEL
187579AZIZAN BIN MD. SAAD 1921517AZIZULAZMI BIN KAMARUL ZAMAN
2056625AZIZUL HAFSYAM BIN ISHAK 2111425 AZMAN BIN AHMAD 2218156BAHARIN BIN HASHIM
2310801BOEY WEI LUN
248427BONG KUEK POH, FREDERICK
2510911BOON KUAT KHIN @ VOON KUAT KHIN
2617568CHAI SHOON LEONG
2737038 CHAN YEW FAH
2820746 CHANG TAN CHIN
2917978CHEAH CHEE FONG
306409CHEONG CHEE HOONG
3116364CHERYL CECILIA SAROL UDARBE
324325CHIA PIT SHIN, EDWIN
3386288CH'NG DUAN XIAN, AARON
3415356CHOW CHEE HENG
3533707 CHU CHEE YANG
364825 CHUA SONG YANG
377861CHUAH CHENG HOE
3821740CHUNG CHOW PIN
3943878ERRWAN BIN ABDUL RASHID
4022096EZWAN BIN MOKHTAR
4134351 FAUZI BIN AHMAD
427628GAN HOCK SENG
4311047GOH KAE WAN
4438039GOH KHENG WEE
459055GOH KHIR CHAYE
4646865GOH SU KIN
4720197HANI ZAIDA BINTI ISMAIL
4861924HENG INN CHEN
4925557HONG WAI CHIN
50 15357HOO CHEE SIAN
5111252IDRIS BIN ISMAIL
5229100 ISMAIL BIN ALI
5327465ISMAIL BIN HASSAN
5413102ISMAIL BIN MAMAT
5520922ISTAS FAHRURRAZI BIN NUSYIRWAN
5641192JAMA'IATUL-LAILAH BINTI MOHD JAIS
5777560JASBINDER SINGH A/L KEHAR SINGH
5858102 KASDI ANAK PULAI
5920249KHAIRULANWAR BIN HAJI HUSIN
6045868KHAIRUL NIZAM BIN PUNIRAN
6124851KOH PENG CHUN
623110KONG KIN PONG
6320372 LAI YEE KEIN
6414183LAM HUNG MAN
6526936 LAU YING LEE
6610489LEE FATT WAI
6724733LEE LIN KHENG
6823881LEE SHING SHYANG
6981503 LEE YUN PHING
7056819LIM CHEE KIANG
7113215LIM CHEE KOK
7280552LIM CHIANG LING
734314 LIM TAI ENG
749147LOKE KAH KHOOI
7539960LOO WAI CHIAN
7612209 LOOI TUCK CHUNG
7723672LOURDES RAJ A/L DHOMNIC
7824079 MAH YAU SENG
7944123 MARK SEAH @ SEAH HOCK NAM
8030592MASWADY BIN MASKIN
815988MAZELAN BIN MANSOR
8225860MD RAZLI BIN AB RAHIM
8379276MGT. NASARUDDIN BIN MGT. MAZELAN
8413475MOHAMAD SHARIF BIN MOK SOM
8516323 MOHAMED AZMI BIN ABDUL KARIM
8687666MOHAMED NOR FAIZ B MOHAMED NASIR
8713578MOHD AZAHAR BIN DON
8854226MOHD AZUDDIN BIN MOHD HANIFAH
8960690MOHD FAHAMI BIN JAAPAR
9043557MOHD FAUZI BIN OMAR
9136349MOHD KHALID BIN SHUIB
9238714MOHD NASHARUDDIN BIN HASHIM
9319730MOHD REHAT BIN AHMAD @ SALIMAN
9479356MOHD SABRI BIN WAHAB
9512915MOHD SAIFUZZAMAN BIN HOESNI
9617608MOHD ZAHIDI BIN MOHD YAZID
9710764MOHD. HASHIM BIN SHAARI
9819701MOHD. NADZRI BIN MOHAMAD 993190MOHD. ZAKI BIN HAJI MOHD. YUSUFF
10072593MOHYIDDIN BIN SALLEH
10186618 MONITHAA/PANTHONISAMY 1027442 MUHAMAD FUAD BIN ABDULLAH @ YEOH KEAT HIAN
10341502 MUHAMMAD AZAHARI BIN MUSTAPHA
1047943MUHAMMAD BUSHRO BIN MAT JOHOR
10524232MUHAMMAD MUZAMMIL BIN MD. HANIFFA
10633877MULIADY BIN CHE HAMAT
10716339NAZRI BIN HARUN
1086004NEW CHENG SWEE
10917352NG CHNG BOON
110 80574 NG SAYAIK
111 12215 NG YOKE KIM
112 7000NGU MENG HO
113 20356NOOR AZIDY BIN ISHAK
114 5033NOR HASSAN BIN ISMAIL
115 11733NORASHIDAH BINTI MD. DIN
116 13470 NORAZIDAH BTE TAUFEK
117 16805 NORAZLINA BTABDULLAH
118 89452NUR ASIAH IZALIZA BINTI ZAINULLAH
119 10347ONG HOCK GUAN
12038759OOI JI REH
12123886 PALANISAMYA/L THANJAGOUNDAN
12215810PANG KENG LEE 12325681 PHANG SIN YEN 12416912PHUA CHEONG SENG 12514979RAYMON MANGALARAJ 12620933ROZMAN BIN KASMANI 12726970S. VEERAKUMAR A/L S. SUBRAMANIAM
12854557 SARAVANAN A/L KRISHNAN 12916870SAW WOOI KOON
1308915SHAIKH ABDULLAH BIN CHE HUSSAIN
13135559SHARIFAH FATIMAH BINTI TUANKU HJ ABDULLAH 13249224SI GIAN SHEN 13318237SIRAJA BIN BASHORA 13441027SITI RAFIDAH BINTI MOSLIM 1358917SNOORDIN BIN MOHD YUSOF 13666770SOH KWONG CHEAN 13726932SHAFULRIZAL BIN ZAINOL 13849945SUHAIMI BIN JALALUDDIN 13912004SURAINI BIN RAMLI 1408165TAI FONG NG 1417717TAN CHENG MENG 1428113TAN JIT HOO 14313021TAN KHOON KIAN 14412274 TAN KIM TIANG 1455727TAN SIEW KHENG 14625271TAN SOON LIANG 14712433 TAN THONG OOI 14859874TAN WEI KEAT 14916194TAY KU WAH 15014400 TEO JIN ANN 1517537TIONG HONG HEE 15214417TU CHUAN FUK 15343962VOON FOOK HIN 15453091WAN HASSAN BIN WAN MAMAT 1559830WAN MANAN BIN WAN ALI 15636835WAN MOHD FAUZI BIN WAN SULAIMAN 15732678WAN SALLEHUDDIN BIN WAN ZAKIUDDIN 1589368WEE BOON KIONG 15985047WONG MAY SUET 16012051WONG MOK FAR 16119275YAH KEM CHUI 16221275YONG KOK HOONG 16384906 YUSMIR YUSOP 16415913ZAINAL FITHRI BIN MAT ZAHARI 1657719ZULKEPLY BIN ABD. WAHID 16647088ZULKIFLI BIN MOHAMED 16728982ZUNAIDI BIN CHE HASSAN



