MyIEM Jurutera E-Bulletin - August 2024

Page 1


JURUTERA

The Monthly Bulletin of The Institution of Engineers, Malaysia

AUGUST

2024

COVER STORY

Ships Classification and Sustainable Maritime Technology

Sustainable Maritime Technology

FEATURE

Reducing Hull Resistance Using Air Injection

FORUM

Soft Launch of 2nd Malaysia Maritime Industry International Conference 2024

Introductory Rate for New Advertisers

3,200/page

3,200/page

The publisher reserves the right to edit, revise or reject any advertisement deemed unsuitable or inappropriate. •

This one-time-only special rate o er is for new advertisers.

Space availability is subject to booking on a first-come-first-served basis.

Clients will provide ready-to-print artwork in PDF format with 300dpi.

Full page: 210mm x 297mm, 3mm extra bleed sizes for 4-sided.

Advertising space must be utilised before 31 December 2024.

*Please note that the above rate will be subjected to 8% SST. For overseas advertisers, an additional 25% will be charged.

Rate shown above excludes 15% advertising agency commission.

Payment term: Full advance payment.

Artwork submission deadline is on (or before) the 1st week of the prior month of publication.

After the material deadline, no cancellation or alteration to the advertisement will be entertained.

Any cancellation after signing the advertising order will result in a 50% penalty charge.

Name of Company: Address: Tel:

Publica�on month/s:

Company’s Stamp & Authorised Signature

JURUTERA has an estimated readership of 200,000 professionals. Our esteemed readership consists of certified engineers, decision making corporate leaders, CEOs, government officials, project directors, entrepreneurs, project consultants, engineering consulting firms and companies involved with engineering products and services. Circulation & Readership Profile

(s):

Date

MAJLIS BAGI SESI 2024/2025

(IEM COUNCIL SESSION 2024/2025)

Yang Dipertua / President

Ir. Prof. Dr Jeffrey Chiang Choong Luin

Timbalan Yang Dipertua / Deputy President

Ir. Yau Chau Fong

Naib Yang Dipertua / Vice Presidents

Ir. Dr Siti Hawa binti Hamzah, Ir. Fam Yew Hin, Ir. Chen Harn Shean, Ir. Ts. Prof. Dr David Chuah Joon Huang, Y.Bhg. Dato’ Ir. Wan Nazari bin Wan Jusoh, Ir. Dr Bernard Lim Kee Weng, YBhg. Dato’ Ir. Nor Hisham bin Mohd Ghazalli

Setiausaha Kehormat / Honorary Secretary

Ir. Ts. Prof. Dr Tan Chee Fai

Bendahari Kehormat / Honorary Treasurer

Ir. Dr Siow Chun Lim

Bekas Yang Dipertua Terakhir / Immediate Past President Dato’ Ir. Prof. Dr Norlida binti Buniyamin

Bekas Yang Dipertua / Past Presidents

Y.Bhg. Academician Tan Sri Dato’ Ir. Prof. Dr Chuah Hean Teik, Y.Bhg. Dato’ Paduka Ir. (Dr) Hj. Keizrul bin Abdullah, Y.Bhg. Dato’ Ir. Lim Chow Hock, Ir. Dr Tan Yean Chin, Ir. Ong Ching Loon

Wakil Awam / Civil Representative

Ir. Tu Yong Eng

Wakil Mekanikal / Mechanical Representative Ir. Ng Yong Kong

Wakil Elektrik / Electrical Representative

Ir. Mohd. Aman bin Hj. Idris

Wakil Struktur / Structural Representative

Ir. Dr Tan Kuang Leong

Wakil Kimia / Chemical Representative

Ir. Kim Kek Seong

Wakil Lain-Lain Displin / Representative to Other Disciplines

Ir. Assoc. Prof. Dr Wong Yew Hoong

Wakil Multimedia dan ICT / ICT and Multimedia Representative Ir. Assoc. Prof. Dr Lai Khin Wee

Wakil Jurutera Wanita / Women Engineers Representative Ir. Ts. Assoc. Prof. Dr Syuhaida binti Ismail

Wakil Bahagian Jurutera Siswazah / Young Engineers Section Representatives

Mr. Muhammad Ashiq Marecan bin Hamid Marecan, Grad. IEM, Mr. Lim Yiren, Grad. IEM, Mr. Darshan a/l Balasubramaniam, Grad. IEM, Mr. Chuah Pei Lim, Grad. IEM, Ms. Ong Ye Shian, Grad. IEM Ahli - Ahli Majlis / Council Members Ir. Rusnida binti Talib, Ir. Prof. Dr Lau Hieng Ho, Ir. Muhammad Azmi bin Ayub, Ir. Arul Hisham bin Abdul Rahim, Ir. Razmahwata bin Mohd Razalli, Ir. Simon Yeong Chin Chow, Ir. Dr Chan Seong Phun, Ir. Yam Teong Sian, Ir. Kwok Yew Hoe, Ir. Dr Lee Choo Yong, Ir. Sharifah Azlina binti Raja Kamal Pasmah, Ir. Ts. Dr Wan Syakirah binti Wan Abdullah, Ir. Dr Mui Kai Yin, Ir. Shamil bin Abu Hassan, Ir. Ts. Wan Rizaluddin Abdullah bin Wan Ali, Ir. Dr Lam Wei Haur, Ir. Dr Angelia Liew San Chuin, Ir. Prof. Dr Zuhaina binti Zakaria, Ir. Begum Irdawati binti Dowlad Rahuman, Ir. Chong Chee Yen, Ir. Khoo Chee Min, Ir. Abdul Razak bin Yakob, Ir. Dr Chan Swee Huat, Ir. Alex Looi Tink Huey, Ir. Sukhairul Nizam bin Abdul Razak, Y.Bhg. Dato’ Ir. Ting Chek Choon (casual vacancy for YBhg. Dato’ Ir. Nor Hisham bin Mohd Ghazalli) Ahli - Ahli Majlis Jemputan / Council Members by Invitation

YBhg. Dato’ Ir. Ts. Abdul Razib bin Dawood, Ir. Gopal Narian Kutty, Ir. Oon Chee Kheng

Pengerusi Cawangan / Branch Chairman

1. Pulau Pinang: Ir. Chan Wah Cheong

2. Selatan: Ir. David Puen Ming Shen

3. Perak: Ir. Assoc. Prof. Dr Nursyarizal bin Mohd Nor 4. Pahang: Ir. Ab Rahman bin Hashim

5. Kedah-Perlis: Ir. Roshasmawi bin Abdul Wahab

6. Negeri Sembilan: Ir. Dr Oh Seong Por 7. Kelantan: Ir. Abrizan bin Abdul Kadir

8. Terengganu: Ir. Mazlan bin Che Ku Ahmad

9. Melaka: Ir. Lim Su Hian

10. Sarawak: Ir. Sim Hui Kheng, Stephanie

11. Sabah: Ir. Mohd Yaakob bin Jaafar

12. Miri: Ir. Meheron Selowara Joo

AHLI JAWATANKUASA INFORMASI DAN PENERBITAN / STANDING COMMITTEE ON INFORMATION AND PUBLICATIONS 2024/2025

Pengerusi / Chairman: Ir. Fam Yew Hin

Naib Pengerusi / Vice Chairman: Ir. Alex Looi Tink Huey

Setiausaha / Secretary: Ir. Ts. Assoc. Prof. Dr Hum Yan Chai Ketua Pengarang / Chief Editor: Ir. Fam Yew Hin Pengarang Prinsipal Buletin / Principal Bulletin Editor: Ir. Alex Looi Tink Huey Pengarang Prinsipal Jurnal / Principal Journal Editor: Ir. Ts. Prof. Dr Teo Fang Yenn Pengerusi Laman Web / Chairman Webportal: Ir. Dr Hasril bin Hasini Pengerusi Pusat Sumber / Resource Centre Chairman: Ir. Razmahwata bin Mohd Razalli Ahli-Ahli / Committee Members: Ir. Ong Guan Hock, Ir. Lee Chang Quan, Ir. Lau Tai Onn, Ir. Dr Oh Seong Por, Ir. Yee Thien Seng, Ir. Dr Lee Choo Yong, Ir. Ts. Dr Tan Kim Seah, Ir. Assoc. Prof. Dr Lee Tin Sin, Ir. Tu Yong Eng, Ir. Dr Bhuvendhraa Rudrusamy, Ir. Rusnida binti Talib, Ir. Dr Nor Ilia Anisa binti Aris, Ir. Ts. Wong Chee Fui, Ir. Dr Moey Lip Kean, Ir. Abdul Azim bin Abdul Rahman, Ir. Dr Aidil bin Chee Tahir, Ir. Kwok Yew Hoe, Ir. Begum Irdawati binti Dowlad Rahuman, Ir. Dr Sara Lee Kit Yee, Dr Sudharshan N. Raman, Grad. IEM, Ms. Michelle Lau Chui Chui, Grad. IEM, Mr. Chuah Pei Lim, Grad. IEM, Mr. Muhd. Afiq Irfan bin Zaharudin, Grad. IEM

LEMBAGA PENGARANG / EDITORIAL BOARD 2024/2025 Ketua Pengarang / Chief Editor: Ir. Fam Yew Hin Pengarang Prinsipal Buletin / Principal Bulletin Editor: Ir. Alex Looi Tink Huey Ahli-Ahli / Committee Members: Ir. Lau Tai Onn, Ir. Ong Guan Hock, Ir. Yee Thien Seng, Ir. Dr Oh Seong Por, Ir. Ts. Prof. Dr Teo Fang Yenn, Dr Sudharshan N. Raman, Ir. Tu Yong Eng, Ir. Lee Chang Quan, Ir. Dr Lee Choo Yong, Ir. Ts. Dr Tan Kim Seah, Ms. Michelle Lau Chui Chui, Grad. IEM Secretariat: Janet Lim, Nurul Aida binti Mustafa, Nur Illyarnie binti Rosman

THE INSTITUTION OF ENGINEERS, MALAYSIA

Bangunan Ingenieur, Lots 60 & 62, Jalan 52/4, P.O. Box 223, (Jalan Sultan), 46720 Petaling Jaya, Selangor Darul Ehsan. Tel: 603-7890 0130 Fax: 603-7957 7678

E-mail: sec@iem.org.my Homepage: http://www.myiem.org.my

Robotics Technology for Sustaining Marine Ecosystems in Malaysia and Surrounding Regions

Eco-Friendly Horizons: Electrification of Maritime Transport

World’s First Geographic Information System to Advance Distribution Management System Modelling Integration

Soft Launch of 2nd Malaysia Maritime Industry International Conference 2024

IEM Negeri Sembilan Award & Appreciation Night

Engineering Renewal: The Green Transformation of Battersea Power Station

Upcoming Bulletin Issues Theme 2024: September: Leading the Charge: Empowering Engineers for Project Success October: Alternative Energy: Powering a Safer Future

DIMENSION PUBLISHING SDN. BHD. [ 199701034233 (449732-T) ]

Level 18-01, PJX-HM Shah Tower, No. 16A, Persiaran Barat, 46050 Petaling Jaya, Selangor Darul Ehsan, Malaysia. Tel: +(603) 7493 1049 Fax: +(603) 7493 1047

E-mail: info@dimensionpublishing.com Website: www.dimensionpublishing.com

CHAIRMAN

ROBERT MEBRUER

CEO/PUBLISHER

SHIRLEY THAM ● shirley@dimensionpublishing.com

HEAD OF MARKETING & BUSINESS DEVELOPMENT

JOSEPH HOW ● joseph@dimensionpublishing.com

PRODUCTION EDITOR

TAN BEE HONG ● bee@dimensionpublishing.com

CONTRIBUTING WRITERS

PUTRI ZANINA ● putri@dimensionpublishing.com

HANNA SHEIKH MOKHTAR ● hanna@dimensionpublishing.com

SENIOR GRAPHIC DESIGNER

SOFIA HANIS ● sofia@dimensionpublishing.com

GRAPHIC DESIGNER

NICOLE THENG ● nicole@dimensionpublishing.com

ADVERTISING CONSULTANTS

THAM CHOON KIT ● ckit@dimensionpublishing.com

ACCOUNTS CUM ADMIN EXECUTIVE

YEN YIN ● yenyin@dimensionpublishing.com

For advertisement placements and subscriptions, please contact:

DIMENSION PUBLISHING SDN. BHD. [ 199701034233 (449732-T) ]

Level 18-01, PJX-HM Shah Tower, No.16A, Persiaran Barat, 46050 Petaling Jaya, Selangor Darul Ehsan, Malaysia.

Tel: +(603) 7493 1049 Fax: +(603) 7493 1047

E-mail: info@dimensionpublishing.com

Subscription Department E-mail: info@dimensionpublishing.com

JURUTERA is published and printed monthly by Dimension Publishing Sdn. Bhd.

JURUTERA MONTHLY CIRCULATION: OVER 50,000 MEMBERS

Submission or placement of articles in JURUTERA could be made to the:Chief Editor THE INSTITUTION OF ENGINEERS, MALAYSIA (IEM) Bangunan Ingenieur, Lots 60 & 62, Jalan 52/4, P.O. Box 223 (Jalan Sultan), 46720 Petaling Jaya, Selangor. Tel: +(603) 7890 0130 Fax: +(603) 7957 7678

E-mail: pub@iem.org.my or sec@iem.org.my IEM Website: http://www.myiem.org.my

© 2024, The Institution of Engineers, Malaysia (IEM) and Dimension Publishing Sdn. Bhd.

PUBLICATION DISCLAIMER

The publication has been compiled by both IEM and Dimension with great care and they disclaim any duty to investigate any products, process, services, designs and the like which may be described in this publication. The appearance of any information in this publication does not necessarily constitute endorsement by IEM and Dimension. There is no guarantee that the information in this publication is free from errors. IEM and Dimension do not necessarily agree with the statement or the opinion expresssed in this publication.

COPYRIGHT

JURUTERA Bulletin of IEM is the official magazine of The Institution of Engineers, Malaysia (IEM) and is published by Dimension Publishing Sdn. Bhd. The Institution and the Publisher retain the copyright over all materials published in the magazine.

and the Publisher.

COVERNote

Sustainable Maritime Technology

In today’s interconnected world, the demand for sustainable maritime technology has become increasingly urgent as we balance global trade and environmental stewardship. Innovations such as energy-efficient vessels, alternative fuels, advanced waste management and ecofriendly port infrastructure propel maritime industries while safeguarding oceans and marine ecosystems. These advancements not only boost operational efficiency and profitability but also mitigate carbon footprints and preserve marine biodiversity.

Sustainable maritime technology aligns economic progress with environmental preservation by prompting a reassessing of practices, pollution mitigation, resources conservation and resilience against climate change impacts. The theme for this month’s JURUTERA is Sustainable Maritime Technology. It underscores the need for environmental stewardship in the maritime industry, focusing on energy efficiency, renewable energy integration and sustainable materials in shipbuilding. It also emphasises the importance of innovative waste management and cutting-edge digital technologies to reduce the environmental footprint of the maritime sector.

We feature an exclusive interview with YBhg. Dato’ Abdul Jamil Murshid from Ships Classification Malaysia (SCM), shedding light on the practical challenges and opportunities of implementing sustainable technologies in the maritime sector. By promoting research, development and adoption of these innovations, we aim to drive the maritime industry towards a greener future, enhancing regulatory compliance, operational efficiency and the nation’s overall competitiveness.

EDITOR’SNote

Celebrating Innovation & Independence

As we approach Malaysia’s National Day, the parallels between our nation’s independence and the engineering community’s innovative drive become clear. Both are driven by a vision for a brighter future, a commitment to overcoming challenges, and an unwavering pursuit of excellence.

Take green technology, for example. This movement exemplifies our collective effort to combat climate change. Engineers are at the forefront, creating renewable energy systems that are both efficient and environmentally friendly. Solar farms, bioenergy, and green hydrogen are now vital components of our energy grid. Moreover, artificial intelligence is revolutionising engineering problem-solving. AI enables predictive maintenance in manufacturing, optimises supply chain logistics, and enhances urban planning through smart city initiatives. This fusion of AI and engineering heralds an era where efficiency and innovation go hand in hand.

In the spirit of National Day, let’s draw inspiration from the visionary leaders who paved the way for our independence. JURUTERA remains your dedicated companion on this journey, committed to bringing you the latest insights, trends, and breakthroughs in engineering. Here’s to celebrating our achievements, embracing current opportunities, and forging a future where Malaysian engineering shines globally.

Selamat Menyambut Hari Kemerdekaan, and happy reading!

Ships Classification and Sustainable Maritime Technology

Interviewee:

Dato’ Abdul Jamil Murshid

Managing Director Ships Classification (M) Sdn. Bhd.

Dato’ Abdul Jamil Murshid sheds light on ship certification requirements which help ensure safe shipping operations as well as promote advancements in technology and innovations in the maritime industry to make it safer and sustainable for all.

Ships Classification (M) Sdn. Bhd. is dedicated to the promotion of safety of life at sea, maritime security, pollution prevention and the provision of seafarer welfare through the implementation of various international conventions to which Malaysia is a signatory state.

An ISO9001 QMS certification and R.O. Code compliant company, SCM’s classification activities largely involve Malaysian-registered ships. Its core activity is the classification of ships and implementation of international and national regulations on behalf of the Malaysian government. Its headquarters is in Selangor. Established three decades ago in 1994 and recognised by the Marine Department of Malaysia for its ships classification function, SCM has offices in Peninsular Malaysia, Sabah and Sarawak.

Dato’ Abdul Jamil Murshid, the Managing Director of SCM, says the broad services of SCM cover survey and inspection of ships, plan

approval and new building, audit and certification, statutory audit as well as consultancy and advisory services. Its classification service involves comprehensive verification services which provide assurance that the requirements based on rules and standards are met during ship design/ construction and are maintained throughout operation.

SCM’s audit and certification include class and type approval certification for components of ships, compliance to International Safety Management (ISM) Code, International Ship & Port Facility Security (ISPS) Code & Maritime Labour Convention (MLC) 2006ILO. As for Approval for Plan/New Building, there are compliance requirements with regards to new building and hull constructions as well as ship construction supervision, drawings approval, tonnage and load line calculation and verification of the Energy Efficiency Design Index (EEDI) and Energy Efficiency Existing Ship Index (EEXI).

EEDI is a mandatory measure that promotes the use of energy efficient (or less polluting) equipment and engines in new ships. The International Maritime Organisation (IMO) adopted EEDI as a mandatory measure in 2011. Dato’ Abdul Jamil says SCM also verifies the EEXI which indicates the energy efficiency of a ship compared to a baseline. EEXI is compared to a required Energy Efficiency Existing Ship Index based on an applicable reduction factor expressed as a percentage relative to the EEDI baseline. It must be calculated for ships of 400 GT and above operating internationally, according to the different values set for ship types and size categories. The calculated attained EEXI value for each individual ship must be below the required EEXI, to ensure that it meets a minimum energy efficiency standard.

Reducing Carbon Emissions by Maritime Industry

Dato’ Abdul Jamil says EEXI is one of the measures observed internationally as part of efforts by the maritime industry to help reduce carbon emissions into the atmosphere. Acting to cut emissions from ships supports the United Nations Sustainable Development Goal (UNSDG) 13, which is to take urgent action to combat climate change and its impacts. This is in line with the 2015 Paris Agreement to cut greenhouse gas (GHG) emissions which cause global warming. He adds that international trade ships above 5000 gross tonnage (GT) require SEEMP III and Carbon Intensity Indicator (CII) ratings which determine the annual reduction factor needed to ensure continuous improvement of their operational carbon intensity within a specific rating level. The actual annual operational CII achieved must be documented and verified against the required annual operational CII, which enables the operational carbon intensity rating to be determined.

Dato’ Abdul Jamil says the UN has set the target to achieve 0 GHG carbon emissions by 2050 and that Malaysia is taking measures in phases to support this, including undertaking ships compliant to EEXI and CII.

Of course, complying with EEXI, CII and other measures will add to the burden for shipowners as it will mean an increase in cost as they have to invest in and buy the necessary equipment. “

SCM also finds it challenging to ensure that shipowners comply with the requirements,” he says, adding that another area of concern is getting shipowners to use new or alternative fuels which also means an increase in operational costs. However, SCM will continue to monitor the progress in this area as the use of such fuels is crucial for the decarbonisation of the shipping sector.

Dato’ Abdul Jamil further explains that the introduction of the mandatory EEXI and CII comes under the framework of the initial IMO strategy for Reduction of GHG Emissions from Ships, adopted in 2018, which sets out measures for the short, mid and long-term periods.

“SCM is guided by the requirements of EEDI and SEEMP and we must comply. In 2023, we had EEXI and CII by virtue of the requirements by IMO, which the authorities in Malaysia and the rest of the world must enforce. International sea-going ships above 500 GT are required to declare the amount of fuel consumed annually. This data is fed into the IMO database and used to verify the Carbon Intensity Index of the vessels,” says Dato’ Abdul Jamil.

SEEMP stands for Ship Energy Efficiency Management Plan which is a ship-specific plan to improve its energy efficiency. All ships of 400 GT and above that are engaged in international voyages must develop and keep on board their SEEMP I II II, as set out in the guidelines issued by IMO. Flag state refers to the flag of a ship, which represents its nationality (which means the ship is under the control of the registered country). Based on the flag, the ship must comply with the international and maritime law of the registered country in the open seas and it can be used in the event of any ocean conflict.

“The IMO implementation is mandatory and the IMO will know which countries are not complying via its audit based on statutory requirements. From the audit, IMO can produce a list of corrective actions that must be carried out. We assist Malaysian ships to attain EEDI and SEEMP certifications. We verify the EEXI value and advise ship owners

on what actions to take if the value does not comply with the required EEXI,” says Dato’ Abdul Jamil.

Compliance & Collaboration

Going into more detail about the work carried out by the IMO and how it is relevant to SCM, Dato’ Abdul Jamil says IMO makes changes depending on two instances. “First, when accidents happen, IMO takes action to prevent such accidents from happening again and ensures that there is no loss of life or property. Second, concerning new innovations, for example those that come about to meet the requirement to reduce GHG emissions, the industry must comply with the requirements although compliance is challenging to ship owners because it involves cost. Previously, they could use any fuel, but no longer. SCM will advise them on such new requirements and the Marine Department has authorised us to implement and ensure compliance.”

Commenting on assessment of compliance, Dato’ Abdul Jamil explains that there are two aspects of enforcement regime: Firstly, flag state control that makes it mandatory under IMO for ships to be insured and seaworthy. Secondly, when ships visit foreign ports, the inspectors from these Marine Departments will come onboard for inspections. This makes it important for Malaysian ships to comply because if they fail to do so, their ships may be detained. This will affect sailing time, resulting in delays or failure to deliver goods. Detained ships will have to rectify the faults and this takes time. Ships that are regularly detained are put on the blacklist under the port state control region.

“At SCM, we keep ourselves updated on what is happening and we get feedback on how many Malaysian vessels have been detained and why. If it involves class deficiency, it can affect our credibility so we have to make sure that our ships classification is intact and to ensure Malaysian ship owners are aware of our requirements. We provide information on the latest requirements and we remind ship

owners of these as well as the importance of having qualified crew members and superintendents who will comply with all rules and regulations. By effectively enforcing regulation, we ensure our ships are not detained or targeted in local and foreign ports,” he says.

“Every year, we hold meetings with ship owners, especially those from Sabah and Sarawak. We hold courses for them, with a focus on seaworthiness and engaging qualified crew members. Since most of them do not go to foreign ports and are subjected only to inspections by our Marine Department, they tend to take such matters lightly, so it is challenging for us in terms of ensuring compliance.”

To ensure compliance with ship certification requirements, Dato’ Abdul Jamil stresses that it is important for ship owners, operators and ports to collaborate in order to promote safe ship operation.

“Our Marine Department is in charge of the safety of our waters. Port authorities are in charge of port operations. There must be collaboration and interaction.”

In terms of collaboration involving the International Ship & Port Facility Security Code (ISPS), IMO has extended its requirements from sea to land. Under the code, vessels must be maintained to certain standards and security measures must be put in place in order to prevent unauthorised people, such as terrorists, coming to ports. Where certification requirements are involved, there must be collaboration between all stakeholders, such as ship owners, operators and port authorities, to ensure safety requirements are met.

Dato’ Abdul Jamil Murshid Managing Director, Ships Classification (M) Sdn. Bhd.

Dato’ Abdul Jamil Murshid obtained his Certificate of Competency Class 1 Marine Engineer from Australia and had served as Chief Engineer on board various ships. He joined the Marine Department Peninsular Malaysia in 1980 and went into early retirement in 2004. He joined Ships Classification Malaysia in 2005 as its Managing Director. He also served as a consultant with the International Maritime Organisation on Safety of Ships Non-Convention for the ASEAN REGION and as chairman of University Malaysia Terengganu Jaya Sdn. Bhd. He is a member of the Board of University Malaysia Terengganu, Adjunct Professor with UNIKL MIMET and is Industry Technical Advisor with UNIKL MIMET.

Compliance with International Maritime Treaties

Another mandatory requirement of IMO is SOLAS Chapter IX –Management for the Safe Operation of Ships. SOLAS or the International Convention for the Safety of Life at Sea, is one of the most important international maritime treaties with regards to merchant ships. Its scope revolves around setting the minimum safety standards and measures in the construction, equipment and operation of vessels. SOLAS is one of the core pillars of IMO, along with the International Convention for the Prevention of Pollution from Ships (MARPOL).

“Our ships must comply with anything to do with safety as spelt out under SOLAS. This applies to ships of convention sizes. For non-convention sizes, SCM will ensure compliance to our own local non-convention rules,” says Dato’ Abdul Jamil.

SOLAS has 15 chapters, from General Provisions, Construction & Fire Prevention and Fire Detection & Fire Extinction to Verification of Compliance and Safety Measures for Ships Operating in Polar Waters. Chapter IX is of particular importance as it covers the management for the safe operation of ships. SOLAS (1974) provides a comprehensive description of all that is required in merchant vessels, in order to be fully compliant in terms of the management of safe operations or safety management.

In addition to complying to SOLAS, Dato’ Abdul Jamil says SCM observes statutory audits, such as International Safety Management (ISM) audit, International Ship & Port Facility Security (ISPS) audit, Marine Facility Security Assessment (MFSA) and Marine Facility Security Plan (MFSP).

Asia Classification Society Fortifying and protecting the interests of countries in Asia necessitates the formation of the Asian Classification Society (ACS). Dato’ Abdul Jamil says SCM is a member of ACS. Other members are Indonesia, China, India, Korea, Japan and Vietnam. ACS has also accepted United Arab Emirates as a member, as the reach and influence of ACS has grown. The roles of ACS are primarily to promote ship safety at sea, protect marine environment and co-operation with other partners in the maritime community. It also promotes R&D and has R&D capabilities to develop its own rules and regulations and to meet other requirements set by IMO. In addition, ACS provides technical contribution to government organisations and the maritime

industry with the aim of ensuring ship safety at sea and to protect the marine environment, particularly in Asia.

According to Dato’ Abdul Jamil, ACS is gaining recognition and has received applications from other countries which want to join as members. “They must meet certain criteria, and ACS has rejected applications that do not meet these criteria. We are following what is being done by IMO and we keep abreast with what is happening in the region and in the world. We complement the services of other international classification bodies instead of competing with them,” he says, adding that it is important for Malaysia to be in ACS.

One of the newest development in ACS is the developing of rules for the use of electric vessels in domestic waters. This augurs well with Malaysia’s initiative to promote lesser reliance on the use of fossil fuel-powered vehicles, not only on land but also at sea. This is part and parcel of our decarbonisation efforts.

“Additionally, if there’s any new development in IMO, we will also discuss it in ACS. Next year, Malaysia will host the ACS Asian Conference. ACS holds an annual conference/ seminar and, with Kuala Lumpur hosting the event next year, SCM will also play a key role,” says Dato’ Abdul Jamil.

Innovation & Sustainable Technology

Dato’ Abdul Jamil recalls the time when the Covid-19 pandemic spread globally from 2020; movements were limited but vessels continued to go around the world transporting goods, which meant they still needed to be inspected.

“That was the time when we needed to innovate the way we carried out our work. For instance, we conducted ‘remote surveys’ using cameras and possibly drones instead of doing physical inspections. Many of these innovations continue till today as we find the use of drones to be more effective and accurate, such as pinpointing rust, cracks and other faults. It is also safer and it is SCM’s purview to certify the safety of vessels of all classes at all times,” he says. Indeed, drone applications have become increasingly significant, including in ship inspections, marine life monitoring, search & rescue operations and environmental assessments. Drones can provide real-time data on ocean currents, water quality and weather conditions, facilitating accurate and efficient decision-making. This information is essential for improving navigational safety, optimising shipping routes and reducing environmental impact.

Additionally, the surge of digital technologies augurs well for the maritime sector which is increasingly focused on reducing its environmental impact. Dato’ Abdul Jamil notes that there are some innovations in the maritime industry which enhance its sustainability and efficiency. Digital platforms for ship and cargo tracking, as well as the implementation of digital communication and collaboration tools are now widely used in the industry.

Asia Classification Society 31st Executive Committee Meeting at Busan, South Korea
Dato’ Abdul Jamil Murshid (centre) with committee members of Marine Engineering & Naval Architecture Technical Division (MNATD), Ir. Roznan Abdul Rashid (right) and Ir. Ts. Abdul Malik Hussein Abdul Jalil (left)
During the interview session

But other innovative solutions also stand out to make shipping faster, safer, more efficient and greener, including robotics technology, big data & analytics, Internet of Things (IoT), Advanced Monitoring System (AMS), Artificial & Augmented Intelligence, autonomous ships and green shipping.

Green shipping is relevant in relation to supporting the UN’s sustainability goal of reducing GHG emissions into the atmosphere. The maritime industry can reduce its environmental impact by implementing green shipping solutions, such as using alternative fuels (LNG, biofuels, hydrogen and ammonia) and energy-efficient technologies in machinery and onboard vessels. In addition, technological solutions that improve energy efficiency, both in machinery (such as propulsion systems) and onboard vessels (including lighting and other appliances) are being explored.

Since about a year ago, Dato’ Abdul Jamil says, the shipping industry has undergone a significant regulatory change with the

introduction of EEXI measurement, which is mandatory for each ship, as part of the yearly assessment of the CII. Both aim at promoting more sustainable and energy-efficient practices. Various advancements, such as in ship design, the use of environmentally friendly materials and the development of improved hull coatings to improved biofouling control technologies can all help reduce fuel consumption and pollutant emissions, contributing to green shipping.

However, as Dato’ Abdul Jamil notes earlier, the use of new technologies and tools remains challenging for the shipping industry, particularly small and mediumsized enterprises (SMEs), as digital transformation requires costly resources.

“Malaysia does not have financing mechanisms and incentives to spur industry players to implement green practices. There used to be a shipbuilding fund previously but not anymore. However, there is training incentive, such as that provided through IKMAL, an association that

looks after the welfare of seafarers,” says Dato’ Abdul Jamil, who was the past President of IKMAL (Ikhtisas Kelautan Malaysia or Association of Malaysia’s Maritime Professionals). He stresses on the importance of regulations to keep pace with changes in the industry and to ensure that policies in force do not impede innovation while still maintaining safety and security standards. This requires close collaboration between all industry players, including international and national policymakers, private and public professionals as well as technology developers.

There is an urgent need to beef up technical expertise when it comes to implementing emerging technologies, as well as understanding and assessing the implications of safety and security. Concerned parties, from those in government and port authorities to shipping companies, must support and promote marine science technology development and knowledge sharing as this will help the maritime sector to achieve a more sustainable and resilient future.

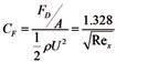
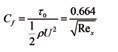
Reducing Hull Resistance Using Air Injection

Reducing hull resistance involves employing various techniques to minimise the force opposing a vessel’s movement through water. Primarily, the resistance is caused by friction and pressure differences between the hull and the surrounding water, affecting speed, fuel efficiency and overall performance. Air injection, also known as air lubrication or air-assisted propulsion, can significantly improve vessel efficiency and performance. However, on-board treatment systems may be costly to install and operate.

This study is related to the boundary layer. As shown in Figure 1, the boundary layer can be divided into two regions: Laminar and turbulent. The boundary layer refers to the fluid layer adjacent to the model’s surface. Due to its contact with the model surface, this layer displays flow properties different from fluid farther away from the model. The layer close to the wall of the model is a viscous sublayer. By introducing air bubbles or a layer of air along the hull surface, the boundary layer is modified, reducing friction between the hull and water. As a result, the effective surface area in contact with the water is reduced, leading to lower frictional resistance.

Air lubrication techniques, such as Micro Bubbles Drag Reduction (MBDR), Air Layer Drag Reduction (ALDR) and Air Cavity Drag Reduction (ACDR)/Partial Cavity Drag Reduction (PCDR) have been proven to reduce resistance.

MBDR uses very small bubbles compared to the boundary layer thickness, generated through air injection via a porous plate, electrolysis, or air film. It uses less energy but is less effective at low speeds due to buoyancy and requires many air injection points on the hull. Bubbles may migrate from the near-wall region and deform in turbulent flow.

The continuous air injection will transform the bubbles into an air layer known as ALDR and which covers more area at the bottom of the hull. This technique uses nozzles

or holes to inject sufficient air into the near-wall region of a turbulent boundary layer, achieving up to 80% drag reduction as shown in Figure 3. However, it requires more energy to produce the air layer.

The ACDR/PCDR technique utilises a cavity on the hull bottom where the air is injected from the inside of the hull. The advantage is that the requirement of pressurised air is minimised with a proper cavity closure design. It also has a high rate of drag reduction and attains higher energy saving compared to ALDR. However, costs are incurred as modification of the bottom of the hull is needed.

The air layer thickness can be calculated using Equation 1. According to Elbing et al., (2013), the appropriate value of tAL is between 4 mm and 8 mm. In addition, larger air flux is required to maintain the air layer for rough surface

where:

QAir : Volume flow rate of the injected air

BAir : Width of test model

VInflow : Inflow speed or vessel speed

tAL : Air layer thickness

Table 1 shows the summary of the research findings on air lubrication and ballast water management system as the International Maritime Organisation (IMO) has

Figure 1: Boundary layer
Figure 2: Air lubrication techniques (Mäkiharju and Ceccio, 2012)
Figure 3: Changes of drag reduction rate in MBDR and ALDR modes (Elbing et al., 2013)

implemented standards (D1 and D2) to address the transfer of marine organisms through ballast water, causing marine pollution. The IMO has also proposed a 2020 sulphur limit (<0.5%) on exhaust emissions and aims to halve greenhouse gas emissions by 2050.

Research Findings on Air Lubrication

Feng et al. (2022)

Hao et al. (2019)

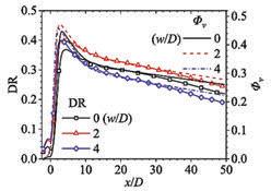
Studied the effect of exit geometry of blowing air using the ALDR technique with the modified Nekomimi exit. They found that the centre width of the Nekomimi exit significantly affected drag reduction, with a width-to-diameter ratio of 2 (w/D = 2), providing the highest overall frictional drag reduction as shown in Figures 4 and 5.

Conducted experimental tests on air layer formation under a flat plate in a towing tank. They found that completely covering the bottom cavity with the air layer led to the best drag reduction, achieving up to 90% reduction without considering the added resistance of the cavity as shown in Figures 6 and 7.

Ballast-Free Ship Concepts

Michale (2004) and Godey et al. (2012)

Arai et al. (2010)

Improved the concept of ballast-free ships, proposing the use of elliptical pipes and valves to reduce buoyancy. However, this concept may increase hull resistance due to flow disruption and additional wetted surface area.

Suggested positioning water inlets and outlets as appendages under the hull, which may also increase resistance.

Figure 6: (a) Sketch of the test model (b) Operating principle of the frictional resistance sensor

Table 1: Research findings on air lubrication and ballast water management system
Figure 4: Schematics of (a) the Nekomimi section and (b) the entire computational domain
(a)
(b)
Figure 5: Laterally averaged drag reduction and volume fraction at various w/D
(a)
(b)

Proposed Concept: Air-Injected Ballast Free System

The current concept involves two longitudinal structural tunnels on each side of the centreline, extending from the bow to the stern. The inlet plenum, located at the tip of the bulb, serves to bring seawater into these tunnels, functioning similarly to an aqueduct in a conventional system.

Seawater is pumped into the tunnels by main ballast pumps, filling the ballast tanks on the port and starboard sides when the ship is in full or partial ballast condition. The seawater is then discharged through outlet plenums located at the bottom of the ship at the end of each ballast tank, as shown in Figure 8. After the process, all valves in the tunnels are closed and the seawater is emptied by the main ballast pumps inside the tunnels and ballast tanks.

The air-injected pressure system is installed at the outlet plenum, above the water outlet and in the middle of the ballast tank height. This location aims to increase the flow of ballast water through the plenum and to minimise the time for water exchange, ensuring a constant flow of fresh ballast seawater. Additionally, the injected air reduces hull resistance by creating an air layer that decreases friction between the hull and water.

Methodology

The ANSYS CFX solver was used to solve Reynoldaveraged Navier-Stokes (RANS) equations in numerical computation. This code was able to simulate efficiently the viscous effect on the flow and free surface effects related to the drag viscous component (Ali, 2017). The components of Navier-Stokes equation were modified to suit the turbulence equation, where u, v and w are represented as , and respectively.

Where:

fi : Acceleration due to volumetric force

μ : Density of fluid

ρ : Viscosity of fluid

ρ

ut

: Partial derivative of pressure at components axis

: Partial derivative of velocity per rate time

: Partial derivative of velocity u at components axis v

z : Partial derivative of velocity v at components axis

wx , wy , wz : Partial derivative of velocity w at components axis

According to Elkafas et al., (2019), the Shear Stress Transport (SST) is the best turbulence model as it gives the best results for maritime engineering applications. Taking this into account, the SST turbulence model was chosen for the CFD assessment in the current research.

Results & Discussion

Figure 9 illustrates the differences in hull resistance between a ballast-free system and an air-injected ballast-free system. The ballast-free system alone will not reduce the total LNG hull resistance but will actually increase the bare hull resistance. Conversely, the air injection configurations significantly reduce the bare hull resistance, ranging from 19% to 46% at model scale. At lower speeds (Fr=0.17 to Fr=0.19), the 0.25 bar injection shows a high reduction in resistance. However, at higher speeds, the effectiveness of this configuration diminishes as the effect of the bubbles on the hull surface is reduced. At Fr=0.20, all injection configurations yield similar resistance results. At higher speeds, the 0.5 bar and 0.75 bar injections achieve the maximum resistance reduction of about 46%.

Figure 9: The percentage of relative increase for the total resistance from the bare hull

Figure 7: Experimental configuration for generation of air layer under flat plate in the towing tank
Figure 8: LNG Model with Air-Injected Ballast Free System

In conclusion, higher injection pressures at higher hull speeds result in greater resistance reduction. The 0.25 bar air injection configuration is not suitable for higher speeds on the LNG hull as it does not effectively reduce hull resistance. Therefore, while the ballast-free system alone increases hull resistance, adding air injection significantly reduces resistance, with higher pressures being more effective at higher speeds.

The injection of 0.25 bar indicates that the optimum resistance reduction occurs at the operating model speed, with a water area fraction ranging from 0.418 to 0.425, as shown in Figure 10. This suggests that at Fr=0.19, the 0.5 bar and 0.75 bar injections introduce excessive air, diminishing the resistance reduction effect. The bubbles accumulate, forming larger air cavities, which struggle to maintain surface tension. This factor leads to bubble collapse, disturbing the boundary layer and increasing wake, thereby creating drag on the hull.

For this LNG hull, a 14% increase in air area fraction results in about a 5% reduction in resistance reduction at Fr=0.19. In contrast, at higher speeds of Fr=0.21 and Fr=0.22 with higher air injection pressures, a more effective bubble layer covers the hull surface, resulting in higher resistance reduction. Thus, it can be concluded

that the selection of air injection amount and model speed significantly influences resistance outcomes.

Powering Estimates for Air Injection Free Ballast LNG Vessel

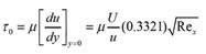
The powering of the full-scale air injection free ballast LNG vessel can be estimated as shown in Table 2. Using shear stress and skin friction formulas (Equations 6, 7 and 8), the estimated skin friction is calculated. Note that dynamic viscosity (μ) is defined as μ=ρv. This estimation provides valuable insights and guidance for specific situations. The table serves as a useful tool for decision-making and forecasting. From the table, an assumed ratio of skin friction reduction due to the air layer is considered the same for both model and full-scale conditions. The estimated effective power for a full-scale vessel with air injection is 15,032.78 kW. Assuming 7% of the input power is used for air injection, the net reduction in effective power is 12.2%.

The resistance simulation was performed with and without air injection pressure on the ballast-free system of the LNG hull. The research yields the following conclusions: 1. The ballast-free system increased the total resistance of the bare hull by an average of 34.21% due to the added frictional resistance in the ballast tanks and pipes.

Shear
Table 2: Estimated powering for full scale using air injection free ballast LNG vessel
Figure 10: Water area fraction on the bottom LNG hull surface

2. For the ballast-free system, resistance is expected to be higher at lower speeds and lower at higher speeds.

3. Using air injection at the outlet of the ballast-free system reduced total resistance by an average of 37.64%. The formation of an air layer on the bottom of the LNG hull reduces frictional resistance between the hull and water, thereby reducing total hull resistance.

4. The most effective air injection pressure at low speed is 0.25 bar, while at higher speeds, 0.5 bar and 0.75 bar are more effective. Each air injection pressure has its optimum resistance reduction point.

REFERENCES

[1] Arai, M., Suzuki, K., Kora, K. Ship Buoyancy Control System. US Patent: 2010/0018448 A1 (2010).

[2] Arifah binti Ali. “Effects of fin stabilizer configurations on SEMI SWATH resistance,” PhD Thesis. Universiti Teknologi Malaysia, Skudai. (2017).

[3] Elkafas, A. G., Elgohary, M., Zeid, A. E. “Numerical study on the hydrodynamic drag force of a container ship model,” Alexandria Engineering Journal. Vol 58 (3), pp 849-859 (2019).

[4] Feng, Y. Y., Zheng, Z., Liu, H. P., & Zhou, Y. (2022). Effect of exit geometry of blowing air on friction drag of an underwater plate. Ocean Engineering, 257, 111719.

[5] Godey, A., Misra, S. C., Sha, O. P. “Development of a Ballast Free Ship Design,” International Journal of Innovative Research and Development. Vol 1, Issue 10 (2012).

[6] Hao, W. U., Yongpeng, O. U., & Qing, Y. E. (2019). Experimental study of air layer drag reduction on a flat plate and bottom hull of a ship with cavity. Ocean Engineering, 183, 236-248.

[7] Janssen, L. J. J., Sillen C. W. M. P., Barendrecht, E., Van Stralen, S. J. D. “Bubble Behaviour during Oxygen and Hydrogen Evolution at Transparent Electrodes in KOH Solution,” Electrochim Acta. 29(5), pp 633– 642 (1984).

[8] Kotinis, M. “Development and Investigation of the Ballast-Free Ship Concept,” Ph.D. Dissertation. Department of Naval Architecture and Marine Engineering, University of Michigan (2005).

[9] Mäkiharju, S., & Ceccio, S. L. (2012). Air lubrication drag reduction on great lakes ships. Technical Report.

[10] Sayyaadi, H. and Nematollahi, M. “Determination of optimum injection flow rate to achieve maximum micro bubble drag reduction in ships; an experimental approach,” Scientia Iranica (Mechanical Engineering). Vol 20(3), pp 535-541 (2013).

[11] Skudarnov, P. V. and Lin, C. X. “Density Ratio and Turbulence Intensity Effects in Microbubble Drag Reduction Phenomenon,” ASME Fluids Engineering Division Summer Meeting and Exhibition. pp 17–22 (2006).

Prepared by:

Prof. Dr Adi Maimun Abdul Malik

Member of the Royal Institution of Naval Architects, Society of Naval Architects & Marine Engineers and IEM. His research is in marine technology and innovative solutions in ship design and marine engineering.

Dr Norul Hidayah Kadir

A respected academician and researcher in civil and environmental engineering, she is a member of IEM, Environmental Management & Research Association of Malaysia and International Water Association.

Robotics Technology for Sustaining Marine Ecosystems in Malaysia and Surrounding Regions

As environmental challenges like pollution, climate change and biodiversity loss intensify in this ecologically rich yet vulnerable region, innovative solutions are crucial for effective monitoring and conservation. This article delves into the latest robotic systems for marine and freshwater environments, highlighting their capabilities in real-time data collection, habitat mapping and pollutant detection. Key topics include autonomous underwater vehicles (AUVs), remotely operated vehicles (ROVs) and autonomous surface vessels (ASVs) for comprehensive assessments, alongside the integration of artificial intelligence (AI) to enhance data accuracy and decision-making.

hazards (in normal font) and met-ocean variables (in bold font) which are relevant for coastal marine hazards and their monitoring [HFR: high-frequency radar; HAB: harmful algae bloom]1

Need for Advanced Environmental Monitoring

Environmental challenges in South-East Asia’s aquatic ecosystems are multifaceted and escalating. Effective monitoring is essential for managing these challenges (see Figure 2).

1. Pollution: Industrial discharges, agricultural runoff and plastic waste are major pollutants affecting water quality in rivers, lakes and coastal areas. Monitoring these pollutants is critical for protecting public health and biodiversity.

2. Climate Change: Rising sea levels, ocean acidification and changing weather patterns are profoundly affecting marine and freshwater ecosystems. Continuous monitoring helps in understanding these impacts and developing mitigation strategies.

3. Biodiversity Loss: Overfishing, deforestation and habitat destruction are leading to significant declines in species diversity. Monitoring biodiversity is essential for conservation efforts and sustainable management of natural resources.

Alignment with UN Sustainable Development Goals6

The United Nations Sustainable Development Goals (SDGs) provide the framework for addressing global challenges, including those related to the environment. Robotic technologies in environmental monitoring can contribute significantly to several SDGs:

The marine and freshwater ecosystems of Malaysia and its neighbouring countries are among the most biodiverse on the planet. These ecosystems provide critical services, from supporting fisheries to maintaining water quality and offering tourism opportunities. However, they are increasingly threatened by pollution, climate change, overfishing and habitat destruction. This article explores how robotics can enhance environmental monitoring and conservation efforts in Malaysia and its surrounding regions. Figure 1 shows the schematic representation (non-exhaustive) of typical coastal zone,

Goal 6. Clean Water & Sanitation: By monitoring water quality and detecting pollutants and robotic systems can help ensure the availability and sustainable management of water and sanitation for all.

Goal 13. Climate Action: Robotics play a critical role in monitoring the impacts of climate change on aquatic ecosystems, aiding in the development of effective adaptation and mitigation strategies.

Figure 1: Example of typical coastal marine hazards and their monitoring system1
Figure 2: Impact of pollution, climate change and biodiversity loss on aquatic ecosystems 2

Goal 14. Life Below Water: By assessing the health of marine ecosystems, detecting pollution and monitoring biodiversity, robotic technologies support the conservation and sustainable use of oceans, seas and marine resources.

Goal 15. Life on Land: Monitoring inland water ecosystems, including rivers and lakes, helps protect terrestrial ecosystems and manage forests sustainably.

Robotic Technologies in Environmental Monitoring

Robotic technologies offer significant advantages for environmental monitoring, providing precise, comprehensive and real-time data. Key robotic systems include AUVs, ROVs and ASVs3-5 (see Figure 2).

1. Autonomous Underwater Vehicles (AUVs): AUVs are ideal for exploring our coral reefs, such as those in the Coral Triangle and other underwater habitats. Equipped with sensors for measuring water quality, temperature, salinity and other parameters, AUVs can perform systematic surveys and map underwater environments in detail.

2. Remotely Operated Vehicles (ROVs): ROVs are used extensively for underwater inspections and interventions. In the context of South-East Asia, ROVs can be deployed for tasks such as inspecting the health of coral reefs, assessing damage from trawling or illegal fishing and investigating underwater archaeological sites.

3. Autonomous Surface Vessels (ASVs): ASVs are valuable for monitoring coastal waters, estuaries and large inland water bodies such as Lake Kenyir. These can collect data on water quality, map underwater topography and track marine life movement.

Capabilities and Applications

Robotic systems enhance environmental monitoring through several key capabilities:

1. Real-Time Data Collection: Robots provide continuous, real-time data that is crucial for detecting and responding to environmental changes promptly. For instance, they can monitor sudden changes in water quality due to pollution spills or algal blooms.

2. Habitat Mapping: Robotic systems can create detailed maps of habitats such as coral reefs, mangroves and seagrass beds which are abundant in Malaysia and the broader South-East Asian region. These maps are essential for assessing habitat health and planning conservation efforts.

3. Pollutant Detection: Robots equipped with chemical sensors can detect pollutants such as heavy metals, nitrates and microplastics as well as help identify sources

of pollution and assess the impact on ecosystems.

4. Biodiversity Assessment: Advanced imaging systems and machine learning algorithms enable robots to identify and count species, assess population health and detect invasive species, supporting biodiversity conservation efforts.

Integration of Artificial Intelligence (AI)

AI significantly enhances the capabilities of robotic systems in environmental monitoring. AI applications include7:

1. Data Processing and Analysis: AI algorithms can analyse large datasets collected by robots, identifying patterns and anomalies. This is especially useful for monitoring long-term environmental changes and assessing ecosystem health.

2. Predictive Modelling: AI can develop models to predict environmental changes and their impacts, aiding in proactive management and conservation strategies.

3. Autonomous Decision-Making: AI enables robots to operate autonomously, making real-time decisions based on data. This is critical for tasks such as detecting and containing pollution or navigating complex underwater environments.

Interdisciplinary Collaboration

The successful application of robotics in environmental monitoring relies on collaboration among various disciplines. In Malaysia and the surrounding region, robotics engineers, marine biologists and environmental scientists can work together to design, deploy and interpret data from robotic systems. This interdisciplinary approach ensures that robots are equipped with the necessary sensors and capabilities to address specific environmental challenges.

Future Directions

The field of robotic environmental monitoring in SouthEast Asia is rapidly evolving, with several promising developments8:

1. Advanced Sensors: New sensor technologies will enhance the capabilities of robotic systems, enabling more precise and comprehensive data collection. These sensors may include advanced chemical detectors, DNA sequencers and high-resolution imaging systems.

2. Improved Autonomy: Advances in AI and machine learning will enable robots to operate with greater autonomy, reducing the need for human intervention and increasing the efficiency of monitoring efforts.

3. Enhanced Connectivity: Improved communication technologies will enable real-time data sharing between robots and researchers, facilitating more coordinated and effective monitoring efforts.

4. Integration with Other Technologies: Robotic systems will increasingly be integrated with other technologies, such as satellite remote sensing and Internet of Things (IoT) devices, providing a more holistic view of environmental conditions.

Figure 3: From left: Example of ROV, AUV and ASV

Conclusion

Robotic technologies have immense potential to revolutionise environmental monitoring and conservation efforts in Malaysia and its surrounding regions. By providing high-resolution, real-time data, these systems enable more effective management of marine and inland water ecosystems. The integration of AI further enhances the capabilities of robots, allowing for more accurate data analysis and decision-making. Successful case studies demonstrate the practical applications of these technologies, highlighting their impact on environmental monitoring.

Moving forward, interdisciplinary collaboration and continued technological advancements will be essential for leveraging the full potential of robotics in sustaining aquatic ecosystems. Through these efforts, we can deepen our understanding of these vital environments and develop proactive strategies to protect them for future generations, in alignment with the UN SDGs.

REFERENCES

[1] A. Melet, P. Teatini, G. Le Cozannet, C. Jamet, A. Conversi, J. Benveniste & R. Almar, “Earth Observations for Monitoring Marine Coastal Hazards and Their Drivers”, Surveys in Geophysics (2020) 41:1489–1534 https://doi.org/10.1007/s10712-020-09594-5

[2] https://ocean-climate.org/en/awareness/the-decline-of-marine-biodiversity/

[3] Yuh, J. (2000). Design and control of autonomous underwater robots: A survey. Autonomous Robots, 8(1), 7-24.

[4] Manley, J. E. (2008). Unmanned surface vehicles, 15 years of development. In OCEANS 2008 (pp. 1-4). IEEE.

[5] Bellingham, J. G., & Rajan, K. (2007). Robotics in remote and hostile environments. Science, 318(5853), 1098-1102

[6] United Nations. (2020). The Sustainable Development Goals Report 2020

[7] Frazier, M., & Wikle, C. K. (2013). Case studies of spatial-temporal models for monitoring and understanding ecological dynamics. Ecological Processes, 2(1), 1-17

[8] Tunnicliffe, V., Metaxas, A., Le Bris, N., Ramirez-Llodra, E., Levin, L. A., & Tyler, P. A. (2016). Deep-sea mining: A global challenge to sustainable and equitable management of marine resources. Marine Policy, 74, 125-128

Prepared by:

Ir. Ts. Prof. Dr Mohd Rizal Arshad, FASc Specialises in Robotics and Industrial Automation, Measurement and Instrumentation Techniques, Biomedical Electronics and Intelligent System. His primary area of expertise is underwater system technology, including marine robotics and sensing methods.

Eco-Friendly Horizons: Electrification of Maritime Transport

The maritime industry, a cornerstone of global transportation and trade, faces growing scrutiny over its environmental impact, particularly from traditional marine propulsion systems. As concerns over greenhouse gas emissions and air pollution intensify, the push for sustainable and eco-friendly shipping solutions has gained momentum1,3,4. This has led to the rapid adoption of electrification in ships and boats, marking a significant shift in the industry’s approach to sustainability 2

This article provides a comprehensive overview of the global trends and impacts of ship and boat electrification as of 2024, highlighting technological advancements, environmental benefits and economic implications driving this transformation.

By transitioning from traditional fossil fuel-powered propulsion systems to electric or hybrid-electric systems, ships and boats can drastically reduce their carbon footprint and emissions of harmful pollutants such as nitrogen oxides, sulphur oxides and particulate matter 2 The adoption of electric propulsion systems will also lead to improved air quality in port cities and coastal regions, ultimately enhancing the health and well-being of surrounding communities 5

Ocean surface movements are primary sources of natural sound in the ocean (Figure 1). Human and natural activities generate various sound frequencies in marine environments. Noise levels related to sea state are consistent from 1 kHz to 100 kHz. Wind is the main factor influencing ambient noise from below 1 Hz to 100 kHz, absent human-made and biological sounds. Human activities can increase underwater sound levels by over 20 dB in the 10 Hz to 10 kHz range.

Sounds from vessels and machinery can impact marine life by interfering with hearing ranges, masking acoustic information and affecting behaviour. Chronic noise exposure in fish larvae can lead to reduced physical condition and decreased predator evasion abilities, potentially impacting survival rates and population dynamics. Thus, the environmental benefits of electrification extend beyond reducing emissions.

Electric and hybrid-electric vessels can also contribute to the preservation of marine ecosystems by minimising the risk of oil spills and other forms of water pollution associated with traditional fuel-based propulsion systems1,2,6. Additionally, the reduced noise and vibration levels of electric propulsion systems can have positive effects on marine wildlife, particularly sensitive species such as whales and dolphins 7

Environmental Sustainability & Life

Underwater Well-Being

The maritime industry has been under increasing pressure to reduce its environmental impact, particularly in terms of greenhouse gas emissions and air pollution 2 The electrification of ships and boats has emerged as a promising solution to address these concerns, offering significant environmental and health benefits.

Global Economic Actions

The transition to electrification in the maritime industry has significant economic implications, both in terms of operational costs and long-term investment. While the initial capital costs of electric and hybrid-electric propulsion systems may be higher than that of traditional fossil fuel-powered systems, the operational cost savings from reduced fuel consumption and maintenance can offset these upfront expenses over the lifetime of the vessel. To illustrate this, Table 1 shows the results of the Cost-Benefit Analysis prediction for 2019-2025 in the U.S., noting that negative values represent costs, and positive values represent benefits. It can be observed that if the waterborne shipping electrification is executed, the fuel cost net benefit at port shipping operation will be -US$53.76 billion, with the cumulative net benefits (considering all other costs, e.g. vessel retrofit, social costs of local air pollutants and so on) amounting up to -US$2.04 billion. Though the cumulative net benefit does not look encouraging, it is offset by social costs due to lower air pollutant emissions.

Figure 1: Sound frequencies generated by anthropogenic/human activities19

In the long-term, a significant positive net benefit up to US$101.67 billion can be observed in the second scenario, a significantly positive impact despite the increased fuel and infrastructure costs. While electrifying ports alone may not be cost-effective, extending electrification to the entire Emission Control Area (ECA) can yield substantial net benefits, primarily due to reduced social costs from air pollution. Further details on the discussion of the data can be observed in the works of K. Gillingham & P. Huang13

Globally, governments are implementing incentives and subsidies for clean technology adoption in the maritime sector, enhancing the economic viability of electrification 2,9,10,11. Policymakers are promoting sustainable shipping through emissions trading schemes and tax incentives for electric and hybrid-electric propulsion systems. The EU aims to reduce maritime greenhouse gas emissions by 55% by 2030 compared to 1990 levels 2 , implementing policies and funding programmes to support this goal. Table 2 summarises government incentives and subsidies in the UK, China, the US, Singapore and Japan for promoting clean maritime technologies, detailing programmes, funding mechanisms and policy targets. China is investing significantly in electric and hybridelectric vessels for commercial and recreational use15

Technological Advances, Challenges & Solutions

Ship and boat electrification has been driven by rapid technological advancements in battery technology, electric motors and power electronics, largely spurred on by the motoring industry. Improvements in battery energy density, charging capabilities and performances have made electric propulsion viable for a wider range

Table 2: Government incentives and subsidies for the adoption of clean technologies in the maritime sector in the UK, China, US, Singapore and Japan

Country Incentives and Subsidies

£33 million in funding for 33 clean maritime technology projects through the Clean Maritime Demonstration Competition (CMDC4)

Total CMDC funding of £128 million to support the maritime industry’s net zero emissions goal

United Kingdom14

China

Additional £34 million for the 4th round of CMDC, bringing the total to £129 million

CMDC funding has leveraged over £45 million in private investment

Launched the Zero Emission Vessels & Infrastructure (ZEVI) competition and the Clean Maritime Research Hub

Subsidies15 for the construction of shore power facilities and retrofitting of vessels with emission reduction technologies

Target is 70% of ships in coastal ports to be equipped with shore power by 2025

Established emissions control areas (ECAs) in key port regions, requiring the use of cleaner fuels or shore power while berthing

Funding through the Maritime Administration (MARAD) for the development and demonstration of clean technologies, such as the Advanced Maritime Emissions Control System (AMECS) project

United States16

Singapore17

Japan18

Regulations by the Environmental Protection Agency (EPA) to reduce emissions from ships, including the use of low-sulfur fuels and the installation of exhaust gas cleaning systems

Incentive programmes and regulations implemented by several US states, such as California and New York

Maritime Singapore Green Initiative (MSGI) provides incentives for the adoption of clean technologies and emission reduction

Green Ship programme offers incentives for energy-efficient technologies and alternative fuels

Green Port programme provides incentives for the use of shore power and emission reduction while berthing

The Maritime & Port Authority of Singapore (MPA) Green Energy Programme funding the development and demonstration of clean technologies

J-Credit Scheme allows companies to earn credits for greenhouse gas emission reductions through the adoption of clean technologies in the maritime sector

Funding through the Japan Ship Machinery & Equipment Association (JSMEA) for the development and demonstration of clean technologies

The target of 50% of domestic shipping fleet equipped with energy-efficient technologies by 2030

Table 1: Cumulative Net Present Values of the Effect of Waterborne

Table 3: Electric ship implementation to reduce dependency on fossil-fuel road-based transport 20

Ship Name/ Type Year Location

E-Ship 1 2010 Germany Flettner rotors

Electric Cargo Ship 2017

All-Electric Ferry 2020 (expected)

Guangzhou, China

Gothenburg, Sweden

Electric Inland Vessels In development Netherlands/ Belgium

Yara Birkeland 2022 (expected) Norway

All-electric propulsion

All-electric propulsion

All-electric, autonomous

Autonomous, all-electric

of maritime applications, from recreational boats to large vessels. Advancements in electric motor design and power electronics have improved the efficiency and reliability of electric propulsion systems, often matching or surpassing that of traditional diesel engines 1,3,4,8

Advanced control systems and optimisation algorithms have enhanced the overall efficiency and integration of electric and hybrid-electric propulsion, reducing fuel consumption and emissions. These technological breakthroughs are crucial in driving maritime electrification adoption and are expected to continue playing a key role in the sector’s transformation.

Although electrification of ships offers significant environmental and economic benefits, it’s not without challenges. A primary issue is the limited energy density of current battery technologies, restricting the range and payload capacity of electric and hybrid-electric vessels 2 Despite this, the development of all-electric ships continues. Table 3 illustrates the significant progress in green shipping technology in the past decade, showcasing five key projects across various countries. From windassisted E-Ship 1 in Germany (2010) to fully electric vessels in China, Sweden, the Netherlands and Norway, these innovations demonstrate the global push toward reducing maritime emissions. The projects vary from inland electric cargo ships to larger ocean-going vessels, indicating adaptability across different maritime needs. All aim to significantly reduce or eliminate direct emissions, with some offering substantial fuel savings or the potential to replace thousands of diesel vehicles.

One major challenge is developing comprehensive charging infrastructure for maritime electrification, including high-power charging stations at ports and wireless charging technologies. Koumentakos 20 presents a flexible charging concept for electric ships, involving a

Length: 130m

Beam: 22.5m

Max speed: 17.5knots

Engine output: 3.5 MW 4 Flettner rotors (27m high, 4m diameter)

Length: 70.5m

Battery capacity: 2.4 MWh

Charging time: 2 hours

Range: 80km per charge

Details not reported

Length: 52m (first vessel)

Battery: 6m long lithium

Range: 15 hours

Cargo capacity: 400 tons

Length: 70m

Width: 14m

Battery capacity: 7.5-9 MWh

Cargo: 120 containers

35% fuel consumption reduction

Zero direct emissions, lower operating costs

Part of low-emission city initiative

Vessel-based transport shall replace 20,000 diesel vans annually

Zero direct emissions, vesselbased transport shall replace diesel trucks

large onboard battery system chargeable during voyages via solar panels or at port facilities. This system separates power production from energy storage, offering versatile charging options. The battery capacity is designed to cover a significant portion of energy needs for a typical voyage.

For example, the Nissos Mykonos ferry case study shows a 56.844 MWh battery system can potentially cover 25.4% of the total energy or 101.6% of the electricity needs of the ship for a seven-hour trip. This reduces traditional fuel reliance and allows more efficient energy management, especially as ships often operate below maximum power, potentially increasing the journey proportion covered by stored electrical energy.

Conclusion

Electrification of ships and boats is reshaping the maritime industry, driven by the need for sustainability and reduced environmental impact. Recent advancements in battery technology, electric motors and power electronics have made electric propulsion systems more feasible and efficient. These improvements, along with the integration of renewable energy and robust charging infrastructure, are accelerating the adoption of electric and hybrid-electric vessels.

Environmental benefits are significant, including reduced greenhouse gas emissions, air pollution and noise pollution; these improve the health of communities in port cities and coastal areas. Electrification also offers potential long-term savings and increased operational efficiency, making it a viable investment despite higher initial costs.

Challenges such as battery energy density and charging infrastructure are being addressed through ongoing research and innovation. Solutions include lightweight materials, advanced battery chemistry

and renewable energy integration. Government and industry collaboration is vital for developing supportive infrastructure and policies which will ensure the success of electrification of maritime transport to ensure greener operations. Indeed, the electrification of ships and boats is a practical, economically sound and essential step towards a sustainable maritime industry. With continued technological advancements and supportive policies, the maritime sector is poised for a cleaner and greener future.

REFERENCES

[1] J. Emblemsvåg, “The Electrification of the Marine Industry,” IEEE Power Energy, vol. 5, no. 3, pp. 4-9, 2017.

[2] G. Koumentakos, “Developments in Electric and Green Marine Ships,” MDPI, vol. 2, no. 4, p. 34, 2019.

[3] R. Geertsma et al., “Design and control of hybrid power and propulsion systems for smart ships: A review,” Elsevier, vol. 194, pp. 30-54, 2017.

[4] C. Nuchturee et al., “Energy efficiency of integrated electric propulsion for ships – A review,” Elsevier, vol. 134, p. 110145, 2020.

[5] X. Pan et al., “More Environmental Sustainability Routing and Energy Management for All Electric Ships,” Frontiers, vol. 9, 2022.

[6] A. Vicenzutti et al., “Environmental and operative impact of the electrification of a double-ended ferry,” 2020.

[7] R. Ammar and I. Seddiek, “Evaluation of the environmental and economic impacts of electric propulsion systems onboard ships,” Springer, vol. 28, no. 28, pp. 37851-37866, 2021.

[8] T. McCoy and J. Amy, “The state-of-the-art of integrated electric power and propulsion systems and technologies on ships,” 2009.

[9] M. Tsikouras et al., “An Introductory Guide in Marine Propulsion and Green Shipping,” vol. 178, no. 25, pp. 11-13, 2019.

[10] J. Campillo et al., “Sustainable Boat Transportation Throughout Electrification of Propulsion Systems: Challenges and Opportunities,” 2019.

[11] S. Anwar et al., “Towards Ferry Electrification in the Maritime Sector,” MDPI, vol. 13, no. 24, p. 6506, 2020.

[12] A. Salisa et al., “Modeling and Simulation of an Energy Management System for Plug-in Hybrid Electric Recreational Boat,” IOP, vol. 1068, no. 1, p. 012013, 2021.

[13] K. Gillingham and P. Huang, “Long-Run Environmental and Economic Impacts of Electrifying Waterborne Shipping in the United States,” Environ. Sci. Tech., vol. 54, no. 16, pp. 9824-9833, 2020.

[14] “UK government clean maritime funding,” ship-technology.com, 2023.

[15] “Hidden Harbors: China’s State-backed Shipping Industry,” csis.org, 2023.

[16] M. Carter and Y. Daniel, “United States Department of Transportation Annual Modal Research Plans FY 2023,” Maritime Administration, 2023.

[17] “Maritime Singapore Green Initiative,” mpa.gov.sg, 2024.

[18] L. Daniel et al., “Analysis of the marine equipment industry and its challenges,” OECD, 2022.

[19] A. Chahouri et al., “Recent progress in marine noise pollution: A review,” Elsevier, vol. 291, p. 132983, 2022.

[20] A.G. Koumentakos. “Developments in Electric and Green Marine Ships”. Applied System Innovation. 2019; 2(4):34

Prepared by:

Assoc. Prof. Dr Ahmad Faisal Mohamad Ayob

With the Faculty of Ocean Engineering & Technology at UMT, he specialises in mechanical engineering and naval architecture.

DEEPEST CONDOLENCES

On behalf of The Institution of Engineers, Malaysia (IEM), we would like to express our deepest condolence to the bereaved family of Allahyarham Tan Sri (Dr) Ir. Jamilus bin Md Hussin (F 13828)

on his passing dated 28 June 2024. We at IEM, honour his contribution to the IEM as IEM Fellow and Council Member for Sessions 2007/2008 and 2008/2009.

Hari Merdeka MALAYSIA INDEPENDENCE DAY 31 AUGUST

World’s First Geographic Information System to Advance Distribution Management System Modelling Integration

The main objectives of the Advanced Distribution Management System (ADMS) are to deliver three major functions to the TNB Distribution System Operator (DSO) for managing the mission-critical management of the medium voltage distribution network, specifically 33kV and below. This network comprises two major operational regions under the purview of the Distribution Network Division.

The main components of these functions consist of Supervisory Control and Data Acquisition (SCADA), Distribution Management System (DMS) and Outage Management System (OMS). These functionalities provide the foundation of an ADMS system required to enable the TNB Distribution Network to manage the changing energy landscape with the following capabilities:

Distribution Network. Through extensive design processes, the adopted architecture for implementation follows the diagram shown in Figure 1.

Common Information Model Standards (IEC 61968, IEC 61970)

Information Technology/Operational Technology (IT/OT) integration between Geographic Information System (GIS) and ADMS, using Common Information Model (CIM) facilitates the seamless exchange of data and improved operational efficiency in electric utilities. CIM XML refers to the XML format used to represent the Common Information Model, a standard developed by the International Electrotechnical Commission (IEC). The CIM standards, particularly IEC 61970 and IEC 61968, are crucial for ensuring interoperability in the electric power industry.

IEC 61970 provides a set of standards for the integration of energy management system (EMS) applications. Meanwhile, IEC 61968 focuses on the integration of distribution management systems (DMS) and related systems used in the daily operations of electric utilities and is an extension of CIM as defined in IEC 61970.

GIS - ADMS Integration Using CIM

Data Modelling and Representation: Both GIS and ADMS use CIM to model their respective data (Figure 2). CIM defines the structure and relationships of the data, such as the connectivity and attributes of the network components. Data Exchange via CIM XML: CIM XML is used as the format for exchanging data between GIS and ADMS. It ensures that both systems interpret the data in the same way. GIS data (such as asset locations and connectivity) is exported in CIM XML format and imported into the ADMS.

Integration Process: Data Extraction. GIS extracts data about network assets and their geographic coordinates.

ADMS Architecture

TNB has implemented the highly sought-after ADMS system provided by a well-established industry leader. This system, used across the globe, is designed, developed and deployed to replace the current DMS system in the TNB

• Transformation: The extracted data is transformed into CIM XML format. This involves mapping the GIS data structures to the corresponding CIM classes and attributes.

• Data Load: The CIM XML data is imported into the ADMS which interprets this data to update its network model with accurate spatial and connectivity information.

• Components of a power system are represented in CIM series of standards, where the most relevant are IEC 61970-301 and IEC 61968-11. Additionally, CIM can be adapted to include extensions intended to model specific power system elements or their characteristics. CIM Profile selects an integration context or use case. CIM Profile can be serialised in the Resource Description Framework (RDF) Schema (RDFS) format. Power system components of interest, that are available in some proprietary data model, can be exported into CIM XML (RDF/XML) file format. This CIM XML file should be completely compliant with the defined CIM profile to satisfy the business context or integration use case.

Adoption of CIM Standard in TNB for GIS – ADMS Integration

GIS-ADMS integration utilises CIM IEC 61968 and IEC 61970, which defines interfaces for all the major elements of an interface architecture for DMS and is meant to be implemented with middleware services that broker messages among interconnected systems applications. It defines message types and formats for exchanging information between different systems in a utility.

Figure 3 shows the integration process between GIS and ADMS in network modelling for the distribution network.

GIS Network Model Development Under Common Information Model

The Distribution Network division of TNB has successfully mapped electrical assets and networks across the nation using GIS (Figure 4). This system enables the network topology to be viewed in a more modern and advanced manner and will be used as the single source of data to build the network model in ADMS.

With GIS, distribution networks and assets are captured on site, digitised, validated and published within the GIS system. The data model used in the system is mapped according to ADMS data requirements standards, following the CIM profile to ensure smooth operation. Additionally, this data will be exported into text files using the GIS Adapter so ADMS can import it into the system to ensure that a consistent data model is used in both systems, thus reducing data conflicts in the future.

Network Model Import and Promotion in ADMS

The network view is utilised for the presentation and interaction with network elements, with each element or device having a unique electrical ID in the Network Model. The exported CIM XML file from GIS will be imported into ADMS using the ADMS importer, promoting the model into ADMS Production. The following types of views will be generated within the ADMS software: Geographic View, Substation View, Internal View and Composite View.

Figure 2: Schematic view of network data in GIS and ADMS system
Figure 3: GIS to ADMS Network Model Build Process
Figure 4: Geographic view of network data in GIS and ADMS system
Figure 1: ADMS Architecture

a. Geographic View (Geo-schematic view): This view represents real geocoordinates and is generated automatically by the ADMS importer according to GIS exports

Conclusion

The ADMS project consists of SCADA, DMS and OMS components, with several prerequisites for GIS-ADMS integration. First, the IEC CIM for GIS and ADMS standardises the conversion of GIS-based asset topology into files for ADMS Network Model Build Applications. This requires IT/OT infrastructure for transferring and processing model information, enabling network visibility and controllability. Next, developing CIM-based extracts in both systems is essential for SCADA topology controllability in ADMS. Ensuring model integrity of these extracts is challenging, necessitating robust business processes to manage them before establishing the ADMSGIS ecosystem.

REFERENCES

[1] ADMS 3.8 - EcoStruxure ADMS CIM Profile Implementation Guide, Technical Specification (Schneider Electric)

[2] IEC 61970-401:2022 Standards - Energy management system application programme interface (EMS-API) - Part 401: Profile framework

[3] TNB GIS - ADMS CIM XML Network Model Design

b. Substation View: This view presents a graphical diagram of a distribution substation, including information regarding devices within the substation

Prepared by:

Ir. Ts. Prof. (Adj.) Zahari Dollah Head of Asset Management Department, Distribution Network, TNB

Mohd Shamsuri Mohd Ghazalli Project Leader (MASREP), Distribution Network, TNB

Rahimah Uzir Team Member (Advance Distribution Management System), Distribution Network, TNB

Rohaya Ahmad Subject Matter Expert Geographic Information System (GIS) Distribution Network, TNB

c. Internal View: This view represents the interior view of a feeder object. It will be autogenerated by clicking on the Feeder Object, with each feeder object opened in its own document window tab
d. Composite View: This view presents schematic network views displaying only a single feeder. It is created by ADMS tools using an auto-generation method based on the electrical connectivity model

Soft Launch of 2nd Malaysia Maritime Industry International Conference 2024

The soft launch of the 2nd Malaysia Maritime Industry International Conference (MMIIC) was held at the Armada Hotel in Petaling Jaya on 7 May 2024. This is the prelude to the main conference which will be held on 8-9 October 2024 at the Maritime Technology Academy @ Polytechnic Bagan Datuk. With the theme, Sustainability in Maritime Engineering, MMIIC is organised by the Marine Engineering & Naval Architecture Technical Division (MNATD) of The Institution of Engineers, Malaysia (IEM).

The event started with an opening speech by Y. Bhg. First Admiral (Retired) Dato’ Ir. Hj. Ahmad Murad Hj. Omar, advisor to the Organising Committee of MMIIC 2024. This was followed by a welcome speech by IEM President Ir. Prof. Dr Jeffrey Chiang Choong Luin while the keynote address was delivered by Polytechnic Deputy Director Ts. Hairi Haizri Che Amat.

The soft launch had the following key objectives:

• Generate Buzz: Create early interest and excitement about the upcoming conference.

It was designed to achieve the following:

• Raise Awareness: To inform target audiences, including engineers, maritime industry professionals, academics and policymakers about the conference.

• Generate Interest: To highlight the relevance, importance and potential impact of the conference on sustainable practices within the maritime industry.

• Foster Collaboration: To engage key stakeholders to promote partnerships and support for the conference. The 54 participants who attended included academicians, industry representatives, society members and government agencies. The diverse attendance underscored the broad interest and support for the upcoming conference.

Ir. Ts. Abdul Malik Hussein, the Organising Chairman of MMIIC 2024, introduced the main theme which emphasised the application of practices and principles to minimise environmental impact while promoting long-term economic viability and social responsibility.

The main theme addressed the unique challenges faced by the maritime industry in balancing economic growth with environmental conservation. The sub-themes for the conference included:

• Re-alignment of Shipbuilding & Shiprepair (SBSR) in View of Future Challenges

• Green Port Operations

• Deployment of AI and New Technologies

• Introduce the Conference Theme: To present the theme, objectives and highlights to key stakeholders, sponsors and potential attendees.

• Showcase Preparations: To demonstrate initial preparations and gather feedback for further refinement.

• Engage Stakeholders: To foster collaborations and support from key stakeholders, including sponsors, partners and potential speakers.

• Advancing Marine Sustainability Innovations in Naval Architecture, Marine Engineering, and Ocean Science and Technology.

The MMIIC 2024 conference aims to:

• Provide a Platform for Stakeholders: To facilitate dialogue, foster collaboration and provide a forum for exchanging ideas and insights critical to the sustainable growth and development of the maritime sector.

• Continue Previous Success: To build on the success of the inaugural conference in 2022 in Kuala Lumpur, delving into crucial discussions and innovative solutions for a sustainable maritime future.

• Advance Sustainability: To promote collaboration, innovation and knowledge exchange among key stakeholders from government, shipbuilding and ship repair industries, port operators, academia and vocational education. The soft launch successfully laid the groundwork for the main conference, generating significant interest among key stakeholders and potential attendees. The engagement and feedback received will be instrumental in refining and enhancing preparations for MMIIC 2024.

Marine Engineering and Naval Architecture Technical Division
Ts. Hairi Haizri Che Amat delivering his keynote address
Participants at the soft launch

As the conference approaches, the focus remains on promoting sustainability in maritime engineering, aligning with global standards and addressing the critical challenges faced by the industry.

MNATD IEM looks forward to welcoming all stakeholders to the 2nd MMIIC 2024 and to continuing the journey towards a sustainable maritime future.

From left: Y. Bhg. Dato’ Ir. Nor Hisham Mohd Ghazalli (Chairman of Standing Committee on Activities), Ir. Yau Chau Fong (IEM Deputy President), Ir. Prof. Dr Jeffrey Chiang Choong Luin (IEM President), Yang Berusaha Ts Hairi Haizri Che Amat Deputy Director Politeknik Bagan Datuk, YBhg. First Admiral (Retired) Dato’ Ir. Hj. Ahmad Murad Hj. Omar, Advisor and Organising Committee MMIIC2024 and Ir. Ts. Abdul Malik Hussein, Organising Chairman MMIIC2024

Prepared by:

Roznan Abdul Rashid

Upcoming Activities

Virtual Half-Day Course on “A Comparative Analysis in Navigating the Heat: Choosing the Optimal Chilled Water Design for Tropical Environments”

Date : 17 August 2024 (Saturday)

Time : 9.00 a.m. - 1.00 p.m.

Venue : Digital Platform

Approved CPD : 4

Speaker : Ir. Haji Arul Hisham Abdul Rahim

Virtual Half-Day Seminar on BIM in Infrastructure: Basic Family Creation

Date : 20 August 2024 (Tuesday)

Time : 9.00 a.m. - 1.00 p.m.

Venue : Digital Platform

Approved CPD : 4

Speaker : Ts. Ainaa Bisyarah Mohd Yusoff

Our products:

No. 45-3, Jalan PJU 5/20 The Strand, Kota Damansara 47810 Petaling Jaya Selangor Darul Ehsan

Tel : 603 6142 6638

Fax : 603 6142 6693

Email : jasonklc@nehemiah-grp.com

Email : julia@nehemiah-grp.com

Ir.

COST EFFECTIVE & CARBON REDUCTION REINFORCEMENT ALTERNATIVE INNOVATION

STARBARS ARE:

1. GLASS FIBRE REINFORCED POLYMER (GFRP) BARS

2. CHEAPER BY 15% COMPARED TO STEEL

3. CORROSION RESISTANCE

4. 2X HIGHER TENSILE STRENGTH

5. 4X LIGHTER THAN STEEL

6. NON-CONDUCTIVE TO THERMAL AND ELECTRICAL

7. 70% CARBON EMISSION REDUCTION

SMT Technologies, Penang
MINDEF, Johor BaharuSunway Construction, Puchong
Shantawood, Melaka
PKNS, Sepang

IEM Negeri Sembilan Award & Appreciation Night 2024

The Institution of Engineers, Malaysia, Negeri Sembilan Branch (IEMNS) held its biennial Award & Appreciation Night 2024 on 5 July at the d’Tempat Country Club, Bandar Seri Sendayan, Seremban. The guest of honour was Negeri Sembilan Exco member Y.B. Teo Kok Seong. Other distinguished guests were IEM President Ir. Prof. Dr Jeffrey Chiang Choong Luin, Fire and Rescue Department Director Ts. Abdul Khair Osman, DOE Director Hamzah Muhamad and CIDB Director Ts. Nor Hamiza Zahar.

Also present were Deputy Director of Polytechnic Port Dickson Ts. Dr Hj. Engku Shahrulerizal, Universiti Sains Islam Malaysia Dean of Engineering Ir. Prof. Dr Khairi Abd Rahim and Technological Association of Malaysia NS Chairman Ts. Siva Muthusamy.

The 300 guests also included IEM Deputy President Ir. Yau Chau Fong, Ir. Dr Oh Seong Por (DPT), the 13th Chairman of IEMNS, chairmen and members from various IEM branches, engineering consultants, contractors, partners, manufacturers, academicians and representatives of government agencies.

In his welcome speech, IEMNS Chairman Ir. Shahrin Amri Jahari thanked Y.B. Teo and all participants for their presence and contributions. In his speech, Prof. Ir. Dr Chiang stressed on the importance and contributions of engineers in ESG. The event theme, Engineer’s Role in Championing Environment, Social & Governance (ESG) Initiatives, reflects an engineer’s commitment as a professional who strives for sustainable development to protect the planet and who offers people-centric engineering solutions with integrity and inclusivity.

In his keynote address, Y.B. Teo concurred that the theme ESG was both timely and crucial for sustainable development, social responsibility and ethical governance which were aligned to the state’s vision to become a sustainable, resilient and prosperous state. Engineers play a crucial role in shaping the future of Negeri Sembilan, contributing to sustainability and the betterment of mankind. Environmental responsibility calls for engineers to design and implement eco-friendly solutions which have minimal impact on the environment, protect natural resources, promote renewable energy applications and mitigate climate change. On the social front, engineering solutions should address the needs of all segments of society, ensuring inclusivity

and fairness. Strong governance ethics demand that engineers uphold their conduct to the highest integrity and accountability in their practice.

Y.B. Teo also congratulated IEMNS for its 30th anniversary on 20 July 2024 and said the state government valued the contributions of IEMNS in promoting engineering and sharing knowledge. He also invited IEMNS members to engage with Yayasan Kemahiran Negeri Sembilan to train and upgrade the skills of the youth. He said Artificial Intelligence was another important field of focus for future sustainable development.

The highlight of the evening was the presentation of awards to 4 organisations which championed ESG. These were Matrix Concept Holdings Bhd. for its eco-friendly housing project which nurtured the environment and enriched the lives of the community, EK Hitec Corporation Sdn. Bhd. for adopting ecogreen roof manufacturing technology and Telekom Malaysia Bhd. for providing connectivity for societal growth.

There was also a lucky draw prepared by IEMNS organising committee. Ir. Dr Oh Seong Por presented the five grand prizes. During dinner, guests were entertained by a professional live band and singers. The event was widely reported in Sin Chew Press, China Press, Nanyang Press and The Star.

Prepared by:

Ir. Dr Oh Seong Por

Y.B. Teo with IEMNS committee and the Past Chairman, Ir. Dr Chiang, Ir. Yau and the branch chairmen from Penang, Southern, Melaka, Kelantan, Kedah-Perlis, Sarawak, Sabah and Miri
From left: Ts. Dr Engku Shahrulerizal, Ts. Nor Hamiza, Ir. Yau, Ir. Dr Oh, Ts. Abdul Khair, Ts. Shiva and Hamzah Mohamad
IEMNS committee members
Ir. Dr Oh presenting a lucky draw grand prize to the winner
IEMNS Chairman Ir. Shahrin Amri presented the Industry Awards to Matrix Concept Holding Bhd., EK Hitec Corporation Sdn. Bhd. and Telekom Malaysia Bhd.

Engineering Renewal: The Green Transformation of Battersea Power Station

Designed in the 1930s by Sir Giles Gilbert Scott, the Battersea Power Station once supplied one-fifth of London’s electricity needs but ceased operations in 1983. It is distinguished by its Art Deco style and technological innovations like flue-gas washing to reduce pollution.

Reopened in October 2022 as a vibrant shopping and leisure venue, the historical essence of the power station had been preserved, including the meticulous reconstruction of its four chimneys using modern materials to mirror the original aesthetics. Engineers used detailed records and photographs to rebuild these structures to exact specifications.

The redevelopment integrated sustainability, featuring solar panels and energy-efficient systems, exemplifying modern green engineering. During my visit in October 2023, I had

the chance to discover the transformation of the power station from a 40-year-old operational plant into a contemporary hub, complete with an exhibition that narrated its journey. This transformation showcased the role of engineering in repurposing industrial legacies into sustainable developments for future generations.

Professor of Electrical Engineering at Universiti Teknologi MARA, she is a corporate member of IEM’s Women Engineers Section. She also served as Honorary Secretary of IEM for session 2022-2024.

Ir. Prof. Dr Zuhaina binti Zakaria
Model of Battersea Power Plant
Today, the Battersea Power Plant is a shopping mall
Visit to the Green Transformation of Battersea Power Plant

Temuduga Profesional

Kepada Semua Ahli,

Tarikh: 22 Julai 2024

SENARAI CALON-CALON YANG LAYAK MENDUDUKI

TEMUDUGA PROFESIONAL TAHUN 2024

Berikut adalah senarai calon yang layak untuk menduduki Temuduga Profesional bagi tahun 2024.

Mengikut Undang-Undang Kecil IEM, Seksyen 3.8, nama-nama seperti tersenarai berikut diterbitkan sebagai calon-calon yang layak untuk menjadi Ahli Institusi, dengan syarat bahawa mereka lulus Temuduga Profesional tahun 2024. Sekiranya terdapat Ahli Korporat yang mempunyai bantahan terhadap mana-mana calon yang didapati tidak sesuai untuk menduduki Temuduga Profesional, surat bantahan boleh dikemukakan kepada Setiausaha Kehormat, IEM. Surat bantahan hendaklah dikemukakan sebulan dari tarikh penerbitan dikeluarkan.

Ir. Prof. Dr Tan Chee Fai Setiausaha Kehormat, IEM

PERMOHONAN BARU

Nama Kelayakan

KEJURUTERAAN AWAM

JUSTIN NOEL MANIKAM BSc. HONS (UTM) (CIVIL, 2001)

KEJURUTERAAN ELEKTRIKAL

RAYNER GAISAN B.Sc HONS (MISSOURI)(ELECTRICAL, 1994)

KEJURUTERAAN ELEKTRONIK

NOOR SHAHIDA BT MOHD KASIM BE HONS (UITM) (ELECTRICAL, 2006) MSc (UITM)(TELECOMMUNICATION & INFORMATION, 2008) PhD (UKM) (2018)

PERMOHONAN MENJADI AHLI KORPORAT Nama Kelayakan

KEJURUTERAAN AWAM

UMAR RIZA BAHARDEEN BE HONS (USM) (CIVIL, 2018) M. (SWINBURNE)(CONTSRUCTION MANAGEMENT, 2024)

KEJURUTERAAN MEKANIKAL

VOON YEOW HONG BE HONS (UNITEN)(MECHANICAL, 2002)

PERPINDAHAN AHLI

No. Ahli Nama Kelayakan

KEJURUTERAAN AWAM

60607 MOHAMAD AFIQ BIN MOHAMAD SAID BE HONS (UTHM) (CIVIL, 2013)

106163 KELVIN YAP KANG NING ME HONS (SHEFFIELD) (CIVIL, 2018)

126144 YEE TSAI CHOW ME HONS (LIVERPOOL) (CIVIL, 2020)

61886 LAM HOU JAZZ BE HONS (UTAR) (ENVIRONMENTAL, 2015) ME HONS (UTM) (CIVIL, 2019)

99458 CHAI KUM ZHUN BE HONS (LEEDS) (CIVIL, 2017)

84714 CHIA YU HUAT BE HONS (UM)(CIVIL, 2018)

KEJURUTERAAN ELEKTRIKAL

68371 SHAH RIDZWAN BIN SAHROM BE (UTHM) (ELECTRICAL, 2017)

111330 WOO KO MUN BE HONS (SHEFFIELD) (ELECTRICAL, 2006)

51598 MOHD FARHAN BIN MOHD SALIM BE (UiTM) (ELECTRICAL, 2012)

87066 THA KHING SHUM ME HONS (NOTTINGHAM) (CIVIL, 2018)

100667 SOW SEE YEAN BE (UTHM) (ELECTRICAL, 2013)

KEJURUTERAAN MEKANIKAL

93803 MOHD RAFIQ BIN MOHD HANI BE HONS (UNISEL) (MECHANICAL, 2011)

PERPINDAHAN MENJADI AHLI KORPORAT

No. Ahli Nama Kelayakan

KEJURUTERAAN AWAM

18061 ADNAN BIN DERAHMAN BE HONS (UITM)(CIVIL, 1998) MSc. HONS (UITM)(CIVIL, 2008) PhD (UITM) (2012)

64620 FOO KAT QIN BE HONS (KLIUC)(CIVIL, 2012)

33579 MUHAMMAD FAIZ IBRAHIM BE HONS (UITM)(CIVIL, 2008)

92325 YEOH KIAN KHON BE HONS (UTM)(CIVIL, 2014)

46785 HO SU YI BE HONS (KLIUC)(CIVIL, 2010)

KEJURUTERAAN MEKANIKAL

116630 KUA WEE CHENG BE HONS (UM)(MECHANICAL, 2015)

KEJURUTERAAN ELEKTRIKAL

47103 PRAVIN A/L DEVARAJU BE HONS (UNITEN)(ELECTRICAL POWER, 2009) ME HONS (UNITEN) (ELECTRICAL, 2012)

114920 LIM ZE QI BE HONS (LEEDS) (ELECTRONIC & E;ECTRICAL, 2017) MSc (SOUTHAMPTON)(ENERGY & SUSTAINABILITY, 2018)

KEJURUTERAAN KIMIA

94631 ABD RAHIM BIN MAHMUD BE HONS (UTM) (CHEMICAL, 2002)

Pengumuman yang ke-189

Institusi mengucapkan terima kasih kepada semua yang telah memberikan sumbangan kepada tabung Bangunan Wisma IEM. Ahli-ahli IEM dan pembaca yang ingin memberikan sumbangan boleh berbuat demikian dengan memuat turun borang di laman web IEM http://myiem.org.my atau menghubungi secretariat di +603-7890 0130 / 136 untuk maklumat lanjut. Senarai penyumbang untuk bulan Jun 2024 adalah seperti jadual di bawah: No. No. Ahli Nama

1 57088 Ir. Bertram Anak Thomas

2 14584 Ir. Mazlan bin Abdullah

3 115919 Mr. Nelson Gani Anak Langan

4 21570 Ir. Dr Govindarajan S/O Veerappan

5 14066 Mr. Saiful Adlee bin Othman

6 11705 Ir. Eddy bin Daud

SENARAI PENDERMA KEPADA WISMA DANA BANGUNAN IEM

CONTINUATION FROM JULY 2024 ISSUE

PERMINDAHAN AHLI KEPADA AHLI FELLOW No. Ahli Nama Kelayakan

KEJURUTERAAN AWAM

18741 LAU HIENG HO BE HONS (OXFORD BROOKES UNI.) (CIVIL, 1998) PhD (OXFORD BROOKES UNI.) (2002)

PEMINDAHAN KEPADA AHLI ‘SENIOR’ No. Ahli Nama Kelayakan

KEJURUTERAAN ELEKTRONIK

92136 LEE MENG CHUAN BE HONS (MMU) (ELECTRONICSCOMPUTER, 2006) ME (MMU) (MICROELECTRONICS, 2012) PhD (MMU)(2015)

PEMINDAHAN AHLI KEPADA AHLI KORPORAT No. Ahli Nama Kelayakan

KEJURUTERAAN AWAM

107772 AHMAD FIRDAUS BIN MELAN ZUBIR BE HONS (UTM) (CIVIL, 2015)

27799 HII LING CHEE BE HONS (CURTIN) (CIVIL AND CONSTRUCTION, 2009)

97346 KHOO YIT SHEUN ME HONS (NOTTINGHAM) (CIVIL, 2017)

116687 KHOR WEI HIAN BE HONS (UTM) (CIVIL, 2005)

84092 LEE YUAN JUN BE HONS (UTM) (CIVIL, 2018)

65301 MOHAMAD IKRAM BIN MOHAMED KHAIR BE HONS (UTHM) (CIVIL, 2013)

41248 MOHAMAD RIZDUAN BIN ABDAHIR BSc (ILLINOIS) (CIVIL, 2009) ME (SYDNEY) (GEOTECHNICAL, 2010)

65776 MOHAMMAD RIDHWAN BIN ZULKAFLI BE HONS (UiTM) (CIVIL, 2014)

118181 MOHD FAZRUL SYAMEL BIN HASAN BE HONS (UiTM) (CIVIL, 2018)

88429 NG JEAT YEE BE HONS (UTM) (CIVIL, 2014)

27392 NOOR SHEENA HERAYANI BINTI HARITH BE HONS (USM) (CIVIL, 2008) MSc (USM) (CIVIL, 2011) PhD (UTM) (CIVIL, 2016)

80637 NORRUL AZMI BIN YAHYA BE HONS (UiTM) (CIVIL, 2006) MSc (UiTM) (STURCTURE, 2006) PhD (QUT) (2017)

38791 SHAHRIZAL BIN SAMAT BE HONS (UKM) (CIVIL & STRUCTURAL, 1999)

114687 SUHAFENDI BIN SULONG BE HONS (UiTM) (CIVIL, 2007)

28905 TAN CHEE LEE BE HONS (UPM) (CIVIL, 2007)

53627 TEO LII BINN BE HONS (UKM) (CIVIL & ENVIRONMENTAL, 2013)

102388 WONG PIK YEN BE HONS (UTHM) (CIVIL, 2010)

29483 YEONG JIT MING BE HONS (UPM) (CIVIL, 2008)

KEJURUTERAAN ELEKTRIKAL

116840 AKHMAL HAFIZ BIN ZOLKEPLE BE HONS (QUEENSLAND) (ELECTRICAL, 2016)

28551 KAMAL ASHRAFF BIN MOHAMAD ASHRAY BE HONS (UTEM) (ELECTRICAL (INDUSTRIAL POWER, 2007)

80593 KHAIRUL ANUAR BIN MUDA BE HONS (UTM) (ELECTRICAL, 2014)

48157 LAI LEE WEE BE HONS (IUKL) (ELECTRONICS, 2012) CONVERSION (UNITEN) (2017) 116002 MOHD FAIZUL BIN ISMAIL BE HONS (IIUM) (MECHATRONICS, 2014) CONVERSION (UNITEN) (2018)

116173 MOHD ZULFADLI BIN OTHMAN BE HONS (UNITEN) (ELECTRICAL & ELECTRONICS, 2009)

119237 SOON KOK YEW BE HONS (TARUC) (ELECTRICAL & ELECTRONICS, 2017) MESc (UTAR) (2020)

41290 SUHENDDEN A/L MANOHARA BE HONS (UNITEN) (ELECTRICAL & ELECTRONICS, 2008)

KEJURUTERAAN ELEKTRONIK

22193 HO KOK HOE BE HONS (UTHM) (ELECTRICAL, 2002) MSc (OPEN UNI. MALAYSIA) (ENGINEERING, 2012)

70930 MOHD ZERTY IQRAM BIN KHIDZER BE HONS (UTeM) (CONTROL, INSTRUMENTATION & AUTOMATION, 2007)

102017 MOHD ZULKIFLI BIN ABDULLAH BE HONS (UNIMAS) (ELECTRONICS AND TELECOMMUNICATIONS, 2009)

100691 NGOO SEONG BOON BE HONS (USM) (ELECTRICAL & ELECTRONIC, 1997)

114372 SASHINDRAN A/L VILIAM BE HONS (UTHM) (ELECTRICAL, 2010)

KEJURUTERAAN GEOTEKNIKAL

79212 BRANDON KUEH CHERN YUAN BE HONS (SWINBURNE) (CIVIL, 2016)

81308 THONG CHIA CHIA BE HONS (UNIMAS) (CIVIL, 2012) ME (UNIMAS) (2016)

KEJURUTERAAN KIMIA

65159 HO KAH CHUN BE HONS (TAYLOR'S) (CHEMICAL, 2014) PhD (UKM) (CHEMICAL & PROCESS, 2019)

42242 LOO KHENG HOOI BE HONS (UTAR) (CHEMICAL, 2012) MESc (UTAR) (2019)

KEJURUTERAAN MEKANIKAL

99406 AHMAD NASRULLAH BIN NORAZAMAN BE (UMP) (MECHANICAL WITH AUTOMOTIVE, 2012) ME (UMP) (MECHANICAL, 2016)

113105 AHMAD SYAFIQ HAQIM BIN SARIP BE HONS (UNIMAS) (MECHANICAL & MANUFACTURING, 2013)

114765 FAUZI BIN ASLAN BE HONS (WESTERN AUSTRALIA) (MECHANICAL, 2015)

43743 LOGESAN A/L RAMACHANDRAN BE HONS (UTM) (MECHANICAL, 2003)

109227 LOH WEI KIAT BE HONS (UniMAP) (MECHANICAL, 2019)

60998 MOHD NAZRI BIN MOHIDDIN BE HONS (UTHM) (MECHANICAL, 2013)

51897 ROLF WILLA ANAK PATRICK SANDIN BE HONS (UNIMAS) (MECHANCIAL & MANUFACTURING, 2015)

111853 SHATISWARREN A/L PACHIAPPAN BE HONS (UNITEN) (MECHANICAL, 2019)

KEJURUTERAAN METALLURGI

103096 LIM WUH TERNG BE HONS (UniMAP) (METALLURGY, 2012) MSc (NATIONAL TAIWAN) (GEOSCIENCES, 2015)

KEJURUTERAAN PEMBUATAN

86894 MOHD GADDAFI BIN JOHAN CARDOZA BE HONS (UTeM) (MANUFACTURING (MANUFACTURING MANAGEMENT), 2011)

KEJURUTERAAN SUMBER MINERAL

54546 MOHD SYAZWAN BIN MOHD HALIM BE HONS (USM) (MINERAL RESOURCES, 2010) ME (UniMAP) (ENVIRONMENTAL, 2021)

KEJURUTERAAN TELEKOMUNIKASI

100857 MOHD AZRUL BIN OSMAN BE HONS (MALAYA) (TELECOMMUNICATIONS, 2000)

PEMINDAHAN KEPADA AHLI (MELALUI PEPERIKSAAN PENILAIAN PROFESIONAL)

No. Ahli Nama Kelayakan

KEJURUTERAAN KIMIA

85371 DEBORAH ANNE A/P JOHN PHILIP BE HONS (MANIPAL INTERNATIONAL UNIVERSITY) (CHEMICAL, 2016)

50755 THIEN SEN FONG BE HONS (UMS) (CHEMICAL, 2007) ME (UMS) (CHEMICAL, 2011)

KEJURUTERAAN AWAM

42616 AHMAD FAUZAN BIN AHMAD MALIKI BE (UTHM) (CIVIL, 2011)

15819 BEH CHU CHIP BE (UM) (CIVIL, 1995)

36725 KHAIRIL HAKIM BIN MOHD KHAIRUL BE HONS (UNITEN) (CIVIL, 2009)

87525 LEE JIA HAO BE HONS (IUKL) (CIVIL, 2014) ME (UPM) (STRUCTURAL AND CONSTRUCTIONS, 2019)

59970 LIM ZI JEAT BE HONS (MONASH) (CIVIL, 2009)

19324 LING NGEE LEH, FELIX BE HONS (UTM) (CIVIL, 2001) ME (UTM) (CIVILGEOTECHNICS, 2004) PhD (UTM) (CIVIL, 2016)

50209 MOHAMAD RUSDI BIN MUSA BE (UM) (CIVIL, 2007) ME (UPM) (WATER ENGINEERING, 2013)

43141 MOHD NAZLI BIN ZAKARIA BE HONS (UKM) (CIVIL AND ENVIRONMENTAL, 2009) MBA (UPM) (2015)

30122 SHEIKH AHMAD FARHAN BIN KAMAL HAZARI BE HONS (UNITEN) (CIVIL, 2011)

47827 SIEW SEE YAN BE HONS (USM) (CIVIL, 2012)

105794 TING FANG QING, RICHARD BE HONS (IUKL) (CIVIL, 2018) ME (UPM) (STRUCTURAL AND CONSTRUCTIONS, 2020)

51320 ROSTAM BIN OMAR BE HONS (UTHM) (CIVIL, 2006)

KEJURUTERAAN ELEKTRIKAL

102254 NORADZIM BIN MANAN BE HONS (USM) (ELECTRICAL, 2009)

87410 AMIR FIRDAUS BIN SAID BE HONS (UTP) (ELECTRICAL AND ELECTRONICS, 2009)

121131 MOHD AZRI BIN AZMAN ROSLAN PETRA BE HONS (UTHM) (ELECTRICAL, 2009)

70929 MUHAMAD AZHARUDIN BIN MUSTAFAR BE HONS (UNITEN) (ELECTRICAL POWER, 2010) N/A MOHAMAD FADLI ADLIZAM BIN SARMUJI BE HONS (UTM) (ELECTRICAL, 2014) 93789 NG CHIEN MING BE (NOTHUMBRIA) (ELECTRICAL AND ELECTRONIC, 2013) ME (UM) (POWER SYSTEMS, 2016)

70420 TEO HUA PING, JEFFREY BE (SWINBURNE) (ELECTRICAL AND ELECTRONIC, 2012)

KEJURUTERAAN ELEKTRONIK

36236 MOHD KHAIRUL AZIZAT BIN JOHARI BE (UTM) (ELECTRICALMECHATRONICS, 2010)

75391 VIVEGAN A/L NADARAJAI BE HONS (MULTIMEDIA UNIVERSITY) (ELECTRONICS MAJORING IN TELEKOMMUNICATION, 2005)

KEJURUTERAAN MEKANIKAL

29610 KUMARAN A/L KADIRGAMA BE HONS (UNITEN) (MECHANICAL, 2003) ME (UNITEN) (MECHANICAL, 2006) PhD (UNITEN) (2011)

39958 LEE HING YEW BE HONS (UTHM) (MECHANCIAL, 2005)

81261 LEE MAN DJUN BE HONS (UMS) (MECHANICAL AND MANUFACTURING, 2013) PhD (UMS) (2017)

121219 MUHAMMAD FAIZ FITRI BIN NORMAN BE HONS (UNITEN) (MECHANICAL, 2017)

114951 MUHAMMAD SYAZWAN BIN MOHD ISA BE (STEVENS INSTITUTE OF TECHNOLOGY) (MECHANICAL, 2012)

49290 SIM SEE YOONG BE HONS (UKM) (MANUFACTURING, 2005) ME (UM) (MECHANICAL, 2014)

80271 WONG WEI HOE BE HONS (UTAR) (MECHANICAL, 2017)

PERMOHONAN MENJADI AHLI KORPORAT No. Ahli Nama Kelayakan

KEJURUTERAAN KIMIA

123756 CHAN ZUN MENG BE HONS (VIRGINIA POLYTECHNIC INSTITUTE) (CHEMICAL, 2016)

KEJURUTERAAN AWAM

122786 ASMAWI BIN AHMAD BE HONS (UTM) (CIVIL, 2006)

122781 GAN KAK HOCK BE HONS (UTAR) (CIVIL, 2013)

122787 NORSYAMZARINA BINTI SAMSUDEN BE HONS (UKM) (CIVIL & ENVIRONMENTAL, 2000)

123755 NOOR MAZIANA BINTI MAZLAM BE HONS (UTM) (CIVIL, 2018)

122780 MANIVEL A/L ASIAH BE HONS (USM) (CIVIL, 2000) MOSHRM (OUM) (2017)

123747 MOHD SAUFI BIN MOHD SARIP BE HONS (UiTM) (CIVIL, 2012)

123726 DERRICK CHUNG YIN KUEK BE HONS (SWINBURNE) (CIVIL, 2015)

123725 TING KA SWEE BE HONS (NOTTINGHAM) (CIVIL, 1989)

123750 ROZAIRI BIN MOHD ZIN BE HONS (UiTM) (CIVIL, 2004)

KEJURUTERAAN KOMUNIKASI

123744 JASMAN BIN AGNO BE HONS (IIUM) (COMMUNICATION, 2009)

KEJURUTERAAN ELEKTRIKAL

122790 MOHD SAFIUDDIN BIN MANSOR BE HONS (UiTM) (ELECTRICAL, 2007)

122789 MUHAMMAD FARID BIN ISMAIL BE HONS (UNITEN) (ELECTRICAL POWER, 2011)

122784 MUHAMMAD FIRDAUS BIN ROSLI BE HONS (UNITEN) (ELECTRICAL POWER, 2013)

122783 MUHAMMAD SUFI BIN ABD AZIZ BE HONS (UiTM) (ELECTRICAL, 2013)

123737 MUHAMMAD HILMI BIN ZAINUDDIN BE HONS (UTM) (ELECTRICAL, 2015)

123738 NORFADHILAH BINTI TUKICHAN BE HONS (UTM) (ELECTRICAL, 2014)

123745 MOHAMAD NOOR FAIZAL BIN ABDUL RAHIM BE HONS (UiTM) (ELECTRICAL, 2008)

123728 HASBIBULLAH BIN OMAR BE HONS (UiTM) (ELECTRICAL, 2010)

123729 AGNES PATRICIA A/P GNANASUNDAR BE HONS (UNITEN) (ELECTRICAL POWER, 2009)

123727 ROZIYAANAH BINTI JILIN BE HONS (UTHM) (ELECTRICAL, 2009)

KEJURUTERAAN ELEKTRONIK

122782 NOOR AZWAN BIN SHAIRI BE HONS (UTM) (ELECTRICALTELECOMMUNICATION, 2002) ME (UTM) (ELECTRICAL, 2006) PhD (UTeM) (2015)

123748 ABDELAZIZ HUSSEIN IZZELDIN HUSSEIN BE HONS (UTP) (ELECTRICAL & ELECTRONICS, 2008)

Keahlian

123757 HALIAN ADI RIZAL BIN AB HALIM BE HONS (UNITEN) (ELECTRICAL & ELECTRONIC, 2003) MPE (WESTERN AUSTRALIA) (2015)

123746 HOR HAN TIN BE HONS (UTAR) (ELECTRICAL & ELECTRONICS, 2012)

123749 RAMESH A/L THANGAVELOO BE HONS (OXFORD BROOKES) (ELECTRONIC, 1996)

KEJURUTERAAN MEKANIKAL

122788 HASZNIL AFIS BIN ALIAS BE HONS (UKM) (MECHANICAL, 2007)

123735 HAFIZA NUR BINTI MARUNI BE HONS (UTeM) (MECHANICAL - STRUCTURE & MATERIAL, 2011)

123734 MOHD ASMU'I BIN HUSSIN BE HONS (IIUM) (MECHANICALAUTOMOTIVE, 2007)

123736 ROSLI BIN YUSOP DIPL.-ING. (FH) (ALBSTADT-SIGMARINGEN) (MECHANICAL, 2006)

123724 AHMAD FIKRI BIN MUSTAFFA BSc (KOREA) (MECHANICAL, 2013) ME (KOREA) (MECHANICAL, 2015) PhD (SUSSEX) (2020)

122785 MIOR AZMAN BIN MEOR SAID BE HONS (UNITEN) (MECHANICAL, 2001) MSc (WASHINGTON) (MECHANICAL, 2005)

PERMOHONAN MENJADI AHLI (MELALUI PEPERIKSAAN PENILAIAN PROFESIONAL)

No. Ahli Nama Kelayakan

KEJURUTERAAN AWAM

123732 MOHD REDZUAN BIN AB RAHMAN BE (UTM) (CIVIL, 2005)

123730 TAN YI HONG BSc (STATE UNIVERSITY BUFFALO) (CIVIL, 2017)

KEJURUTERAAN ELEKTRIKAL

122792 MOKHZANI BIN ABDULLAH BE HONS (UTM) (ELECTRICAL, 2015)

123754 SHAHIRWAN BIN SHARIDAN BE HONS (UKM) (ELECTRICAL AND ELECTRONIC, 2008)

123752 TAN ZHI QUAN BE (UM) (ELECTRICAL, 2015)

KEJURUTERAAN ELEKTRONIK

122791 HARITH DANIAL BIN SHAIK MOHD SHERIFF BE HONS (UMS) (ELECTRONICS AND TELECOMMUNICATION, 2012)

123753 MOHD NATASHAH BIN NORIZAN BE HONS (UniMAP) (ELECTRONIC, 2008) MSc (UKM) (MICROELECTRONICS, 2011) PhD (OSAKA) (2019)

KEJURUTERAAN PEMBUATAN

123751 MOHAMAD 'AFFAN BIN MOHAMOUD BE (RMIT UNIVERSITY) (MANUFACTURING, 2008)

KEJURUTERAAN MEKANIKAL

123731 MOHAMED NAZRIN BIN MD NAZIR BE (UM) (MECHANICAL, 2013)

PEMINDAHAN KEPADA AHLI ‘SENIOR’ No. Ahli Nama Kelayakan

KEJURUTERAAN KIMIA

36692 SHAEH JIANN HAUR BE HONS (UPM)(CHEMICAL, 2012)

KEJURUTERAAN AWAM

52250 KON TAI FOONG, IRWIN BE HONS (UNIMAS) (CIVIL, 2013) MSc (NUS)(GEOTECHNICAL, 2018)

KEJURUTERAAN ELEKTRIKAL

52779 MOHD SHAHIR BIN MOHD SARIF BE HONS (UMP) (ELECTRICAL-POWER SYSTEMS, 2012)

KEJURUTERAAN MEKANIKAL

112208 DHINESHKARAN A/L BALKARAN BE HONS (UNITEN) (MECHANICAL, 2015) ME (MALAYA)(MECHANICAL, 2020)

PERMOHONAN KEPADA AHLI ‘SENIOR GRADUATE’

No. Ahli Nama Kelayakan

KEJURUTERAAN KIMIA

122777 LIM TEK KAUN BE HONS (UMS)(CHEMICAL, 2009)

ME (UMS)(CHEMICAL, 2011)

123657 MOHAMAD FARIS BIN MOHAMED SHAH BE HONS (UTP)(CHEMICAL, 2012)

123307 MOHAMMAD SYAFIQ BIN MOHD YALAN BE HONS (IIUM) (BIOCHEMICALBIOTECHNOLOGY, 2013)

KEJURUTERAAN AWAM

123310 HAIDER HAMAD GHAYEB BSc (UNI. OF BABYLON) (CIVIL, 2003) ME (UTM)(CIVIL-STRUCTURE, 2014) PhD (UM)(STRUCTURAL ENGINEERING & MATERIALS, 2022)

122776 MASHITAH BINTI MOHD MOKHTAR BE HONS (USM) (CIVIL, 2007)

122773 MOHD SHAHIDAN BIN SHARIFFUDDIN BE HONS (UKM) (CIVIL & STRUCTURAL, 2010)

123659 NG CHOON HOW BE HONS (UMP) (CIVIL, 2014)

122774 TAN LI TI BE HONS (KLIUC)(CIVIL, 2010)

122775 PRISCILLA YEOH BEE KIAW BE HONS (UNIMAS)(CIVIL, 2014)

KEJURUTERAAN MEKANIKAL

123305 FOO KOK HOU BE HONS (UTAR) (MECHANICAL, 2010)

122778 LAM KIM WAH BE HONS (UNI. OF ABEERDEN) (MECHANICAL with OIL & GAS STUDIES, 2007)

123309 LOO CHIUN MENG BE HONS (UNI. OF BRADFORD) (MECHANICAL, 2003)

123656 MOHD ALI AR-RIDHA BIN AZLAN BE HONS (UNITEN) (MECHANICAL, 2009)

123658 PRAVIN A/L RAJALINGAM BE HONS (UNITEN) (MECHANICAL, 2007)

123306 ROHAIZAD BIN MOHD ARIFFIN BE HONS (MALAYA) (MECHANICAL, 2006)

121850 SHAHNAZ NORWAWI BSc (PURDUE UNI.) (MECHANICAL, 1999)

123308 YIP KENG HONG BE HONS (UPM) (MECHANICAL, 2001)

KEJURUTERAAN PENGELUARAN

123311 AZWAN BIN ISMAIL BE (OITA UNI.) (PRODUCTION, 2004)

PERMINDAHAN KEPADA AHLI SISWAZAH No. Ahli Nama Kelayakan

KEJURUTERAAN AEROANGKASA

107767 EE YONG HUA CAAM PART - 66 AIRCRAFT MAINTENANCE LICENCE (AEROSPACE, 2011)

KEJURUTERAAN KIMIA

119217 LEE SEAN JUN BE HONS (UTAR) (CHEMICAL, 2023)

107699 LING XIN YING BE HONS (UTAR) (CHEMICAL, 2023)

101951 MAISARAH BINTI ABDULLAH BE HONS (UCSI) (CHEMICAL, 2021)

109724 NG ZHEN XUAN BE HONS (UTAR) (CHEMICAL, 2023)

115115 SHANKARAGANA NAVEENAN BE HONS (UM) (CHEMICAL, 2021)

118391 YONG QINGYU BE HONS (MONASH UNI.) (CHEMICAL, 2022)

KEJURUTERAAN AWAM

92269 AIMI NAZURAH BINTI JAMAIN BE HONS (UMS) (CIVIL, 2019)

44491 AINA BALQIS BINTI ABDULL SAFI BE HONS (UiTM) (CIVIL, 2011)

68881 AMRON BIN ABU BAKAR BE HONS (UiTM) (CIVIL, 2016)

54742 AZIRA BINTI AHMAD BE HONS (UTHM) (CIVIL, 2015)

52115 AZRINA BINTI ABDUL RAHMAN BE HONS (UNIMAS) (CIVIL, 2015)

105947 CHA YAU YANG BE HONS (SEGI UNI.) (CIVIL, 2023)

107422 CHAN FANG JIE BE HONS (SWINBURNE UNI. of TECH. SARAWAK) (CIVIL, 2022)

114891 CHEW CHEE YING BE HONS (SEGI UNI.) (CIVIL, 2023)

86968 CHEW CHIA YEN BE HONS (UTAR) (CIVIL, 2019)

77900 CHIA CHUONG YAN BE HONS (UNIMAS) (CIVIL, 2018)

85255 CHIN WEI AI BE HONS (USM) (CIVIL, 2019)

107419 CHONG ZHUANG PING BE HONS (SWINBURNE UNI. of TECH.) (CIVIL, 2022)

108297 EKIN BIN AROT BE HONS (UMS) (CIVIL, 2019)

111874 EMILY ENG LE YI BE HONS (UTAR) (CIVIL, 2023)

112762 FARN WEI SHENG BE HONS (UCSI UNI.) (CIVIL, 2022)

52134 FAZLIN BINTI MOHAMAD BASRI BE HONS (UNIMAS) (CIVIL, 2015)

99964 HAFIZUL BIN ZAIDAN BE HONS (UTHM) (CIVIL, 2021)

28091 HASAN BIN AMRAN BE HONS (USM) (CIVIL, 2008)

114070 IKWAN SINUSI BE HONS (UNIMAS) (CIVIL, 2022)

109707 JASON TING JING CHENG BE HONS (UTAR) (CIVIL, 2023)

49204 JOUDI JIVINSOL MOOSOM BE HONS (UNITEN) (CIVIL, 2014) MBA (UPM) (CIVIL, 2020)

86974 KHOR BOON SONG

104815 LEE YIP YONG

95999 LIAW ZHEN ZHEN BE HONS (UNI. of TECHNOLOGY SARAWAK) (CIVIL, 2021)

58885 LIM MING LEEP BE HONS (UTHM) (CIVIL, 2016)

96066 LIM YUAN KAI BE HONS (UNIMAP) (CIVIL, 2018)

119642 LOH YONG WEI BE HONS (UTAR) (CIVIL, 2023)

86217 MOHD ASMAWI BIN MD DESA BE HONS (UMP) (CIVIL, 2016)

90244 MOHD SAIFUL NIZAM BIN MOHAMMAD ALI BE HONS (IIUM) (CIVIL, 2019)

100514 MUHAMAD AL-ZAIM BIN OMAR BE HONS (UTHM) (CIVIL, 2020) PhD (UTHM) (CIVIL, 2023)

105466 MUHAMMAD ADIB BIN ZIPRI BE HONS (IUKL) (CIVIL, 2020)

116377 MUHAMMAD NURUL IHSAN BIN MAHYUDDIN BE HONS (USM) (CIVIL, 2022)

97801 NG ENG CHEW BE HONS (SEGI UNI.) (CIVIL, 2023)

107730 NG KEE SIANG BE HONS (UTAR) (CIVIL, 2023)

71403 NUR HAMIZZAH BINTI BAKAR BE HONS (UTHM) (CIVIL, 2015)

69804 NUR IZYAN BINTI WAHAP BE HONS (UNIMAS) (CIVIL, 2017)

52167 NURJANNAH BINTI MOHAMAD SAFIEE BE HONS (UNIMAS) (CIVIL, 2015) ME (UNIMAS) (CIVIL, 2016)

101067 NURSYIQAH BINTI JASMAN BE (UMP) (CIVILENVIRONMENTAL, 2013) ME (UTM) (GEOTECHNICS, 2019)

107707 PANG HUI ER BE HONS (UTAR) (CIVIL, 2023)

69824 SALIHAH BINTI MOHAMAD SALIM BE HONS (UNIMAS) (CIVIL, 2017) 60758 SHADANA GUPTA A/P BALDEV RAJ BE HONS (UTP) (CIVIL, 2015)

73248 SITI NUR HIDAYAH BINTI HARUN BE HONS (UKM) (CIVIL AND ENVIROMENTAL, 2016)

112661 THIAN YUN CHIANG BE HONS (UTM) (CIVIL, 2021) 49856 WAI JUN XIAN BE HONS (INTI INTERNATIONAL UNI.) (CIVIL, 2015)

112576 WONG HON LAM BE HONS (UTAR) (CIVIL, 2023) 107738 YAP WAI YEE BE HONS (UTAR) (CIVIL, 2023) 94578 SARAVANAA A/L GUNASEGERAN BE HONS (MIU) (CIVIL, 2018) 44010 YAP TAT MING BE HONS (UTAR) (CIVIL, 2012)

KEJURUTERAAN ELEKTRIKAL

48753 CHEOK CHUAN HONG BE HONS (UTHM) (ELECTRICAL, 2013) 106915 IRFAN FARHAN BIN ZAINULAKRAMIN BE HONS (UTHM) (ELECTRICAL, 2022) 109722 LEONG RONG CHUAN BE HONS (UTAR) (ELECTRICAL, 2023) 117095 LIM CHEE HUNG BE HONS (UTP) (ELECTRICAL & ELECTRONIC, 2022) 40163 MOHAMAD FARHAN BIN ABD RAZAK BE HONS (UTM) (ELECTRICAL, 2013)

104646 MUHAMMAD ALASYRAAF BIN AHMAD BE HONS (UPNM) (ELECTRICAL AND ELECTRONICSCOMMUNICATIONS, 2020) BE (UNITEN) (ELECTRICAL AND ELECTRONICSCONVERSION PROGRAM) 91166 NAILI IZZATI BINTI ZAMRI BE HONS (UMP) (ELECTRICAL - POWER SYSTEM, 2019) 84699 NOOR AZIZAH BINTI ALWI BE HONS (UTM) (ELECTRICAL, 2018)

70103 THAVENTRAN A/L PANCHANATHAN BE HONS (UTM) (ELECTRICAL, 2017

80445 WONG CHEN FUNG BE HONS (APU) (ELECTRICAL AND ELECTRONIC, 2019)

KEJURUTERAAN PEMBUATAN

64282 DEVAAGAR A/L CHANDRAN BE HONS (UTeM) (MANUFACTURING ENG.MANUFACTURING PROCESS, 2022)

KEJURUTERAAN MEKANIKAL

99695 ASOK KUMAR A/L KUBETHERAN BE HONS (KDU) (MECHANICAL, 2022)

30215 AZRA SYAHIRAH BINTI ABDUL RAHMAN BE HONS (UITM) (MECHANICAL, 2011) ME (UiTM) (ENGINEERING MANAGEMENT, 2017)

54399 BRIAN MICHAEL A/L GEORGE BE HONS (UNITEN) (MECHANICAL, 2014)

45442 CHONG YI YAO BE HONS (USM) (MECHANICAL, 2014)

40382 Dr. SYAZWANA BINTI SAPEE BE (UTM) (MECHANICALAERONAUTICS, 2011) Mphil (UTM) (MECHANICAL, 2017) PhD (UMP) (MECHANICAL, 2023)

63594 KONG YEW JOE BE HONS (UTHM) (MECHANICAL, 2017)

98205 MOHD RAIS BIN RAMLI BE HONS (UTM) (MECHANICALAERONAUTICS, 2020)

66000 MUHAMAD AMEER B. ABD MUTALIF BE HONS (UNISEL) (MECHANICAL, 2015)

49099 MUHAMMAD AKMAL BIN TENGKU SIDEK BE HONS (UiTM) (MECHANICAL, 2015)

82734 MUHAMMAD RAFIUDDIN BIN AZMAN BE HONS (UTHM) (MECHANICAL, 2019)

HONS (UTAR) (CIVIL, 2019)

HONS (USM) (CIVIL, 2021) 103774 LEONG JUAN JIN

HONS (HERIOT-WATT UNI.) (CIVIL, 2021)

Keahlian

Turn static files into dynamic content formats.

Create a flipbook
Issuu converts static files into: digital portfolios, online yearbooks, online catalogs, digital photo albums and more. Sign up and create your flipbook.