AdditiveManufacturingUsingBioFilamentsDerivedfromCellulosicinPaper Waste
Elang Caesano, Andy Maulana Latif, Muhammad Danendra Zydean M., Muhammad Luthfi Ardien, Radhiasa Alfadlilah
Abstract
3D printing, or additive manufacturing, has revolutionized production by reducing material waste and enabling precise, customized products. However, the early use of non-biodegradable materials like PLA and ABS has led to environmental concerns,including the accumulation of plastics and potential harm to wildlife. Although 3D printing is more material-efficient than traditional manufacturing, the environmental impact of the materials used remains significant. Transitioning to biodegradable and recycled materials is a key development in sustainable manufacturing practices This shift representsacritical move towards eco-friendly production methods, highlighting the need for ongoing innovation to improve the environmental sustainability of 3D printingtechnology
1. INTRODUCTION
1.1.Contextualization
3D printing, also known as additive manufacturing, has made significant impacts on the manufacturing industryinrecentyears Thetechnology offers advantages such as reducing industrial asset burdens, improving material usage efficiency, simplifying product customization, and speeding up production processes by up to ten times However, the initial use of non-biodegradable materials like PVA, PCL, PBS, PBAT, and PTT has raised environmental concerns These materials are derived from petroleum-based sources that don’t break down naturally in the environment, contributingtolong-term waste accumulation in landfills and potentially leaching harmful chemicals into soil and water ecosystems.
The excessive use of these materials adds to the growing global plastic waste problem, threatening wildlife, increasing greenhouse gas emissions, and further straining waste management systems Despite these concerns, 3D printing technology itself holds potential for reducing post-production waste Unlike traditional manufacturing processes, which often involve subtractive methods (eg, cutting, milling, drilling) that generate excess material waste, 3D printing is an additive process where material is only used where needed This leads to more efficientuseof raw materials, often resulting inzeroorminimalwaste duringproduction.
Additionally, 3D printing allows for the recycling of certain plastic materials and the repurposing of production waste intonewrawmaterial for future prints. As technology advances, thereisalso increasing interest in using bio-based or recycled filaments, further reducing the overall environmental footprint of additive manufacturing This shift toward more sustainable materials and processes positions 3D printing as a potential key player in the move towards greenermanufacturingpractices
1.2.PotentialProblems
Despite the environmental benefits of biofilaments such as PLA, there are significant limitations in terms of their mechanical performance, especially when compared to conventional manufacturing materials One of the primary challenges is the reduced strength and durability of 3D-printed objects using biofilaments, particularly cellulose-based materials Research indicates that the mechanical properties of these materials, including tensile strength, impact resistance, and elasticity, are often inferior to those of traditionally manufactured parts
The root ofthisissueliesinthelayer-by-layer additive manufacturing process used in 3D printing Unlike injection molding or other subtractive manufacturing methods where materials are formed as a continuous solid, 3D printing builds objects layerby layer This creates weak points between layers, known as interlayer bonding. In the case of biofilaments like cellulose-based materials, the adhesion between these layers is often insufficient, leading to lower structural integrity As a result, printed objects may be more prone to cracking, deformation, or failure when subjectedtostress
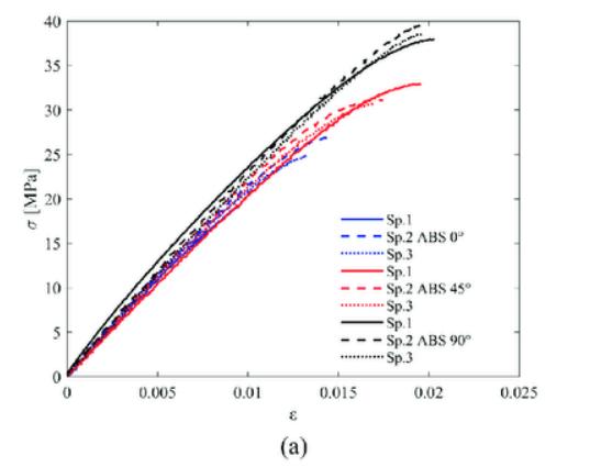
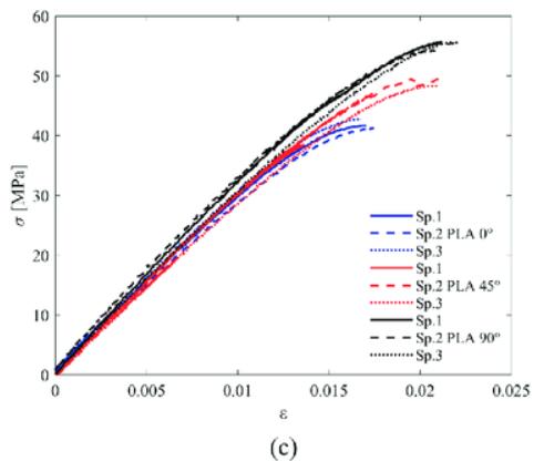
Additionally, biofilaments like PLA tend to have lower thermal resistance compared to traditional plastics like ABS (Acrylonitrile Butadiene Styrene) PLA can soften or warp at temperatures above 60°C, limiting its use in applications where heatresistanceis critical. Similarly,theimpactresistanceofbiofilaments is generally lower, making them less suitable for applications that require materials capable of withstanding high mechanical stress or shocks. These factors illustrate the limitations of PLA when compared to more durable materials like ABS For a clearer understanding of these differences, the graph
comparisons below illustrate the engineering stress-strain behavior of both PLA and ABS, highlighting the mechanical performance gap between thetwomaterials


Fig 1 Engineering Stress-Strain curves at several raster angles for: a) ABS ; c) PLA
Furthermore, biofilaments often exhibit poor flexibility and limited elongation at break, reducing their effectiveness for products thatrequireadegreeof flexibility or stretch This rigidity can make itdifficult to use biofilaments in parts requiring mechanical bending or dynamic movement Moreover, in certain applications, the surface finish and dimensional accuracy of biofilament prints cansufferduetofactors suchasprintspeed,cooling,andthecompositionofthe materialitself
In summary, while biofilaments like PLA present an eco-friendly alternative, the limitations in terms ofstrength,thermalresistance,impactresistance, and flexibility pose significant challenges These factors must be addressed through material innovation and improved 3D printing techniques to make biofilaments more viable for a broader range of industrialandhigh-performanceapplications
1.3.CurrentSolutionAboutFilaments
One solution developed to address the environmental impact of 3D printing is the use of biofilament Biofilament is made from renewable resources such as cornstarch, sugarcane, or algae, which are more environmentally friendly compared to petroleum-based filaments. In additiontotheirreduced environmental footprint, biofilaments offer high print quality and are oftenmorecost-effective Forexample, PLA(PolylacticAcid)isawidelyusedbiofilamentthat is biodegradable, easy to print with, and highly accessible Below is a comparison of PLA with other filament types, highlighting its advantages in both performanceandprice.

Fig.2 Comparisons of PLA with other filament types
Through deeper research into the mechanical properties and processing techniques of cellulose, biofilament can be optimized to have strength and performance comparable to, or even exceeding,thatof conventionally manufactured materials By incorporating sustainable manufacturing principles, such as energy-efficient processing, reduced material waste, and the use of renewable resources, it is expected that biofilament production can be both environmentally friendly and technically advanced Improved processing techniques, particularly focusing on enhancing interlayer bonding and material consistency, should lead to filaments with better mechanical properties This integration of sustainable practices will ensure that the production of high-performance biofilaments not only meets industrial standards but also reduces the overall environmental impact, aligning with global efforts to promotegreenermanufacturingsolutions.
1.4.OverallGoalsandMethodology
The primary goal of this research is to advance sustainable manufacturing by exploring the processing of cellulose waste into eco-friendly biofilaments for 3D printing This research aims to minimize the environmental footprint of the manufacturing industry by reducing reliance on non-renewable materials and promoting the use of waste-derived,biodegradablefilaments
2. THEORYANDDEFINITION
2.1.PreviousSolution
In recent years, 3D printing has played a role in the development of the manufacturing industry According to Mekari Talenta, 3D printing has had impacts such as saving the burden of industrial assets; increasing the effectiveness of material use; making it easier tocustomizegoods;andreducingthedurationof makingproductsupto10times
3D printing requires filament as the material of the product to be made However, in thebeginning, the materials used were non-biodegradable materials such as PVA, PCL, PBS, PBAT, PTT, and so on. 3D printing waste is not such a big problem and the technology itself can be used to combat the growing amount of post-production waste (Cruz Sanchez et al 2017). To reduce the use of non-recyclable materials, theconceptofsustainablemanufacturingisnecessary The solution is that we use biodegradable materials to make 3D printing filaments called biofilaments In this paper, we focus on cellulose materials from paper industry waste However, the waste from the industry must have cellulose content. One type of high-cellulose paper is HVS paper, where the used condition has a cellulose content of 6484%
Other types are kraft, corrugated paper, and uncoated woodfreepaper.
2.2.RelevancytotheCurrentResearch
The relevance and similarity of the above summary with our research is that it discusses the processing of waste polymer materials for 3D printing filaments According to the journal (Engineered Science. 2022), filament materials for 3D printing that are naturally biodegradable are starch, chitosan, cellulose, and protein This research focuses on the processing of cellulose waste into 3D printing filaments; performance, and applications of the cellulosefilaments
We also maximize sustainable manufacturing into cellulose-based biofilament 3D printing, starting from power consumption, personal safety, personal health, environmental friendliness, and most importantlywastemanagement.
2.3.ProblemGap
To support this research, more surveys and studies should be conducted. However, we found the problems in (Cellulose 25, 4275–4301 (2018), where the 3D printed cellulose material properties, such as strength are generally inferior compared to their counterparts obtained by conventional manufacture processesduetotheinsufficientinterlayerbonding
Another gap problem is whether it ispossible to use paper industry waste in the manufacture of cellulose-based3Dfilaments?Aslongasthewastestill containscellulosefibers,itcanbereprocessed
2.4.BasicTheory
Sustainable manufacturing is a method that prioritizes reducing environmental harm. It employs cutting-edge technologies to process materials in an efficient manner The approach aims to decrease energy usage and reduce greenhouse gas emissions Furthermore, it focuses on minimizing waste and encouraging the use of recyclable materials This strategy aligns with both economic and ecological objectives.
3D printing, also known as additive manufacturing, is a process of creating three-dimensional objects from a digital file by successively adding material layer by layer. This technology allows for the production of complex geometries that are often impossible to achieve with traditionalmanufacturingmethods"(Berman,2012).
3D printing filament is the material used by 3D printers to create three-dimensional objects According to a CNN report, these filaments are typically made from thermoplastic materials that melt when heated andsolidifyuponcooling Commontypes
of 3D printing filamentsincludePLA(polylacticacid), which is derived from renewable resources like cornstarch and is biodegradable, and ABS (acrylonitrile butadiene styrene),knownforitsstrength and durability The choice of filament affects the final product's properties, such as flexibility, strength, and texture, making it crucial to select the appropriate materialforspecificapplications
3D printing biofilament is a filament used in 3D printing that comes from biological sources and is intended to be more eco-friendly As highlighted in a BBC report, biofilaments are usually produced from renewable resources like cornstarch, sugarcane, or algae, making them biodegradable and less damaging to the environment compared to traditional petroleum-based filaments. A common example is PLA (polylactic acid), which provides high print quality and ease of use while also reducing the environmental impact of 3D printing. Utilizing biofilaments is partofalargertrendtowardsustainable manufacturing practices, aiming to decrease wasteand reducedependenceonfossilfuels
Cellulose is the most common organic compound on Earth Cellulose is the main structural component of the wall of green plants Cellulose is secreted by some types of bacteria to form biofilms. Cellulose cannot be digestedbyhumans,itcanonlybe digested by animals that have the enzyme cellulase In wood, there is 40% cellulose content Cellulose is widelyusedinthepaperindustry.
Cellulose 3Dfilamentisamaterialusedin3D printing technology, which consists of cellulose combined with other polymers, such as polylacticacid (PLA) These filaments have biodegradable and environmentally friendly properties, making them an attractive option compared to nonbiodegradable materials
3. METHODOLOGY
3.1.LiteratureReview
Recycled paper waste generally has a lower cellulose content compared to virgin paper, which impacts its suitability for applications requiring high cellulose integrity, such as biofilament 3D printing Cellulose, being a biopolymer, plays a crucial role as the primary structural component in biofilament production During the recycling process, cellulose fibers undergo mechanical degradation, reducing their length, bonding capacity, and overall integrity. This degradation limits the concentration of high-quality cellulose available in recycled paper, which is critical for maintaining the mechanical properties and printabilityofbiofilaments
In this section, the processing phase of the biofilament, beginning with the selection of recycled paper waste and continuing through to the production of a ready-to-use biofilament, will be explained The process includes several critical steps: selecting suitable waste material, extracting and enhancing the cellulose content, blending with nanocelluloseorother additives, and processing the material into a biofilament suitable for 3D printing. Each phase will discuss and highlight the methods used to optimize cellulose quality and ensure the material meets the requirements for efficient filament extrusion and h

BioFilament
3.2.WasteSelection
Selecting the right paperwastethathasahigh cellulose content iscrucialforoptimizingtherecycling process, improving the quality ofthefinalbiofilament, and promoting sustainable manufacturing practices. Cellulose, the primary structural component in paper, plays a key role in determining the mechanical properties and overall performance of biofilament. By focusing on waste with a high cellulose concentration, the recycling process becomes more efficient, reduces the need for additionalchemicalprocessing,andyields ahigher-qualityendproduct.
Incorporating high-cellulose paper waste into the production ofbiofilamentnotonlyensuressuperior material properties but also supports sustainable manufacturing by reducing reliance onvirgincellulose sources and minimizing environmental impact By recycling cellulose-rich paper grades, such as kraft paper, office paper, and cardboard, manufacturers contribute to a circular economy, where resources are reused and waste is minimized Furthermore, using uncoated, unbleached, and minimallyprocessedpapers with fewer synthetic additives not only enhances the purity of the recycled pulp but also decreases energy consumption and reduces the environmental footprint of the recycling process, further aligning with sustainablemanufacturinggoals
3.3.RecyclingProcess
This process involves breaking down discarded cellulose-based materials, such as paper or cardboard, into their fundamental molecules. These
molecules can then be recombined to produce new cellulose-based materials, includingbiofilamentfor3D printing In the context of biofilament production, chemical recycling is particularly useful for handling filament waste that consists of various cellulose sources.Bydisassemblingwasteintoitsbasiccellulose components, this method enables the creation offresh, high-qualitycellulose-basedfilament,thusreducingthe environmental impact of 3D printing and improving thesustainabilityoftheprocess
- Shredding
Shredding involves using a shredder to break down large items or materials, including plastic filament waste, into smaller, more manageable particles Thisprocessisessential for waste management and recycling as it reduces the volumeofmaterials,makingthem easier to transport and handle Smaller particles are also more efficiently processed during subsequent recycling stages, contributing to the creation of high-quality biofilament
- Melting
Melting entailsheatingdiscardedfilamenttoa high temperature until it becomes a liquid, allowing impurities and contaminants to be removed The molten filament is then cooled and solidified to form new filament suitable for 3D printing This technique preserves the plastic's quality, making it suitable for repeated use, and helps reduce the environmental impact of 3D printing by recycling filament waste and conserving valuableresources
- Re-extrusion
Re-extrusion is a recycling method where shredded filament waste is melted and then formed into new filament through a die This process creates a consistent and high-quality filament from waste materials, reducing the need for new filament production By recycling spent filament in this manner, re-extrusion helps decrease the environmental impact of 3D printing and supports more sustainablemanufacturingpractices
- Grinding
Grinding involves using a machine to reduce spent filament into fine particles These ground particles can be used as raw material for producing new filament or for other applications, such as injection molding or 3D printing with recycled materials Grinding ensures uniform particle size andconsistency, which is crucial for producing high-quality recycledbiofilament
3.4.Testing&Validation
Testing and validation are critical steps in the recycling process to ensure that the quality of the biofilamentproducedmeetsthenecessarystandardsfor 3D printing applications. After recycling processes such as shredding, melting, or re-extrusion, the recycled material undergoes rigorous testing for mechanical properties, including tensile strength, elasticity, and durability This ensuresthattherecycled biofilament performs as effectively as virgin material Additional tests may assess the thermal stability, biodegradability, and consistency of the filament to ensure it can withstand the heat of 3D printing while maintaining structural integrity Quality control measures, such as checking for impurities and verifying the uniformity of the filament diameter, further validate the recycled filament's suitability for manufacturing. Testing and validation are essential to guarantee that the final recycled product meets environmental and performance standards, promoting bothsustainabilityandreliabilityin3Dprinting
For biofilament 3D printing, the cellulose must have sufficient molecular weight and strength to support the extrusion process and ensure the printed structures possess adequate tensile properties. The lower cellulose content in recycled paper results in weaker and shorter fibers, which may not form filaments with the required mechanical stability Additionally, the presence of non-cellulosic materials (eg, lignin, hemicellulose, fillers) and contaminants from the recycling process can further hinder the productionofhigh-qualitybiofilaments.
3.5.Applicable3DPrintingMethod

Fig 4 FDM and DIW Method of 3D Printing
Extrusion based methods are the most used 3D printing methods for biofilaments Usually, short natural fibers are mixed with polymer pellets and extruded to obtain a biocomposite filament for FDM FDM can also be used for 3D printing thermoplastic composites with long natural fibers Micro/nano
cellulose fibers have been widely used as reinforcements in FDM as they have proven to improve mechanicalproper-tiesoftheprintedsamples
On the other hand, DIW, an extrusion-based 3D printing method, also referred to as liquid deposition modeling, direct paste writing or paste extrusion, is mostly used for printing gels/inks Cellulose-based suspensions with shear-thinning behavior have been 3D printed using DIW method for applications including biomedical and tissue engineering Rheological characteristics of cellulose-based colloidal suspen- sions play an important role in 3D printing. Stability of viscous behaviour with respect to temperature is vital to prevent viscousflowinkandcollapseoftheprintedmaterial
4. FINANCIALANALYSIS
The conversion of paper waste into bio-filament for 3D printing presents a promising avenue for sustainable material production This analysis delves into the economic aspects of this process, considering both capital expenditures (CAPEX)andoperationalexpenditures(OPEX).
4.1. Analysis of Expenditure, Production, and OperationalCosts
Initial investments (CAPEX) include equipment costs for pulpers, extruders, and drying equipment, which can range from $10,000 to $50,000 depending on production scale (Díaz et al., 2021). Facility setup costs, encompassing construction and utilities, can vary significantly but may range from $50,000 to $200,000 (Larsen et al., 2020). The initial cost of acquiring waste paper for processing is estimated at $100 per ton (Environmental Protection Agency, 2021). In total, CAPEX can range from $60,100 to $250,100, depending on the specific needs oftheoperation
Ongoing costs (OPEX) associated with running the facility include labor, utilities, maintenance,andrawmaterialpurchases Annuallabor costs can range from$30,000to$70,000dependingon staffinglevelsandwages(Huangetal.,2021).Monthly utility costs can average $1,000 to $3,000, leading to annual costs of $12,000 to $36,000 (Ghosh et al, 2018) Regularequipmentmaintenancecancost$5,000 to $15,000 annually (Korhonen, 2019). The ongoing cost of raw materials, waste paper in this case, is estimated at $100 per ton (Environmental Protection Agency, 2021). TotalOPEXcanrangefrom$57,000to $121,000 annually, depending onoperationalscaleand efficiency
4.2. Analysis of Revenue Sources, Trends, and Predictions
The primary revenue sourceforproducing3D printing bio-filament is the sale of the final product. Partnerships with 3D printingcompaniesorworkshops can also generate additional income Given the growing 3Dprintingmarketandtheincreasingdemand for sustainable materials, there is significant potential for growth in the bio-filament market (Wang et al, 2021)
4.3. Analysis of Margin, ReturnonInvestment,and Break-EvenPoint
Assuming a selling price of $10 per kg and production costs ranging from $5 to $10 per kg, the gross margin could be between 50%and100% Foran initial investment (CAPEX) of $60,100 to $250,100 and an annual revenue of $200,000, the return on investment (RoI)couldrangefrom80%to200%inthe firstyear,dependingonoperationalefficiency
To break even, considering OPEX of$57,000 to $121,000 annually, sales of approximately 5,700 kg to12,100kgoffilamentwouldberequired
4.4.Liquidity,Solvency,andProfitabilityRatios
Financial ratios provide insights into the financial health of the business Aliquidityratioof15 is generally considered good, indicating the ability to cover short-term liabilities Asolvencyratioexceeding 20% suggests theabilitytomeetlong-termobligations The estimatednetincomemargincouldbearound20% to30%,basedonsellingpriceversuscosts.
4.5. Analysis of Revenue & Expenses, Cash Flow, andSensitivity
The conversion of waste paper into bio-filament for 3D printing presents a promising avenue for sustainable material production, driven by the increasing demand for biodegradable materials in various sectors The market for bioplasticsisprojected to grow significantly, with estimates suggesting a compound annual growth rate (CAGR) of approximately 12% from 2021 to 2028 (MarketsandMarkets, 2021) This trend stems from rising consumer awareness regarding environmental issues and the necessity for biodegradable materials, particularly in the packaging and manufacturing industries
The primary revenue sourceforproducing3D printing bio-filament is the sale of the final product Partnerships with 3D printing companies, educational institutions, and makerspaces can also generate additional income Furthermore, selling excess waste paper asarawmaterialtootherindustriescandiversify income sources and enhance financial sustainability (Bottaro,2020)
Government incentives for recycling initiatives can provide financial support, facilitating investment in more efficient production technologies and expansion ofoperations(EnvironmentalProtection Agency, 2021) The intersection of advancing green technology trends, growing market demand, and supportive regulatory frameworks positions the bio-filament industry as a promising revenue-generating venture in the arena of sustainable manufacturing
The conversion of waste paper into bio-filament for 3D printing presents a promising economic opportunity. While theinitialinvestmentcan be significant, the potential for high returns and the growing demand for sustainable materials make this ventureattractive.Carefulfinancialplanning,including assessingmarketconditions,operationalefficiency,and riskfactors,isessentialforsuccessfulimplementation
5. MARKETANALYSIS
5.1.MarketSize&Segmentation

The global 3D printing market size was USD 2068 billion in 2023, accountedforUSD2461billion in 2024, and is expected to reach around USD 117.78 billion by 2033, expanding at a CAGR of 19% from 2024to2033


Table 1 List of Geography Segmentation in Every Continent
With a valuation of USD 37618 million, the North American3Dprintingfilamentmarketsharewas approximately 35.17% of the global market in 2023. This is mostly due to the region's significant concentration of market leadersinthesector,including Stratasys, 3D Systems, and Proto Labs These companies have strengthened their positions in the market, encouraging creativity and driving up demand forfilaments
Furthermore, North America's advanced technology ecosystem and well-established infrastructure support the 3D printing industry, facilitating the efficient manufacture and transport of filaments and giving North American businesses a competitive edge Furthermore, the region's strong R&D capacities and dedication to sustainability are solidifying its position as the industry leader for filaments
Asia-Pacific is expected to grow atthefastest rate throughout the projection period because of the growing use of 3D printing technology in sectors including aerospace, automotive, manufacturing, and healthcare These sectors are realizing the advantages of 3D printing filaments for low-cost production, productcustomisation,andprototyping
In addition, the Asia-Pacific region's abundance of 3D printer suppliers and manufacturers has aided in the market's expansion by making a wide range of premium filaments easily accessible Furthermore, the region's 3D printing filament market is expanding quickly due to high supply chain efficiencyandtechnologicalimprovements

The market is divided into plastics, metals, ceramics, and other categories based on type Because of its affordability and versatility, plastics accounted for the highest portion of the 3D printing filament marketin2023,withashareof593%
Furthermore, plastic filaments are simple to use, which makes them perfect for both novice and expert users Due to its accessibility, plastic filament demand has increased dramatically, propelling the market'soverallexpansion.

The automotive industry commanded a substantial 31% of the market in 2023, establishingits dominance. The industry's persistent efforts todevelop stronger, lighter, and safer car components are responsible for their popularity Innovations that demonstrate the industry's dedication to this technology are those such as Tesla's Model-Y, which uses 3D printing for essential parts The need for strong, affordable, and creative designs is what drives the market for 3D printing filaments intheautomotive industry
With a sizable ~27% of the market share in 2023, the aerospace and defense sector is another important user of 3D printing filaments The necessity for high-strength, lightweight components that minimize fuel use and environmental effect is driving this industry's expansion. In addition to being more affordable, the use of 3D printing in the production of intricate elements, including as engine parts and cabin interiors, promotes more design flexibility and quick prototyping
With a remarkable CAGR of almost26%,the medicalanddentalindustryisanticipatedtoexperience the greatest increase. The increasing need for plastic filaments for prosthetics and implants, especially in light of the COVID-19 pandemic, has highlighted the important role and versatility of 3D printing in the healthcare industry Custom implants and surgical instruments are using more biocompatible materials, such as PCL and PLLA, which reflects the industry's drive towards accuracy in treatment and personalized medicine
The market for 3D printing filament is also greatly impacted by the consumer goods and construction industries 3D printinghasthepotentialto completely transform the building industry by providing quick and affordable alternatives for producing intricate architectural models and structural components On the other hand, a wider range of products, from customized gadgets to domestic items, are made possible by technology in the consumer goodssector
3D printing is being used by other industries, such as electronics and industrial manufacturing, to createprototypes,spareparts,andcustomdesigns This broad acceptance across industries demonstrates the revolutionary potential of 3D printing and its role in propellingmarketexpansioninthefuture
6.CONCLUSION
The evolution of 3D printing has revolutionized manufacturing, offering unparalleled customization, reduced waste, and localized production. However, the environmental implications of traditional 3D printing materials present a significant challenge To fully realize the potential of this technology in a sustainable manner, the industry must continue to innovate by integrating biodegradable, recycled, and renewable materials into theprocess
Sustainable manufacturing practices in 3D printing not only mitigate environmental impact but also contribute to the circular economy by reducing reliance on virgin resources and minimizing waste. As the technology advances, it is imperative that sustainability remainsattheforefront,ensuringthatthe
benefits of 3D printing can be enjoyed without compromising the health of our planet. With ongoing research and development, the future of 3D printing holds the promise of not only reshaping industries but also doing so in a way that aligns with global sustainability goals, driving a more responsible and eco-friendlyapproachtomanufacturing
7.REFERENCES
[1] Esmaeili, N, Bakare, F O, Skrifvars, M, Afshar, S J, & Åkesson, D (2015) Mechanicalpropertiesfor bio-based thermoset composites madefromlacticacid, glycerol, andviscosefibers. Cellulose,22(1),603–613. https://doiorg/101007/s10570-014-0500-3
[2] Mohan, D., Teong, Z. K., Bakir, A. N., Sajab, M. S, & Kaco, H (2020) Extending cellulose-based polymers application in additive manufacturing technology: A review of recent approaches. Polymers, 12(9) https://doiorg/103390/POLYM12091876
[3] Klar, V, Pere, J, Turpeinen, T, Kärki, P, Orelma, H., & Kuosmanen, P. (2019). Shape fidelity and structure of 3Dprintedhighconsistencynanocellulose Scientific Reports, 9, 3822 https://doi.org/10.1038/s41598-019-40469-x
[4] Ji, A, Zhang, S, Bhagia, S, Yoo, C G, & Ragauskas, A J (2020) 3D printing of biomass-derived composites: Application and characterization approaches RSC Advances, 10(36), 21698–21723 https://doiorg/101039/d0ra03620j
[5] Berman, B (2012) 3-D printing: The new industrial revolution Business Horizons, 55(2), 155-162.https://doi.org/10.1016/j.bushor.2011.11.003
[6] Amrita, Manoj, A, Ch, R, P, ra, & a (2022, January 10) Biodegradable filament for 3D Printing process: A Review. Engineered Science. https://wwwespublishercom/journals/articledetails/616
[7] D'Andrea,D.,Risitano,G.,Raffaele,M.,Cucinotta, F, & Santonocito, D (2022) Damage assessment of different FDM-processed materials adopting infrared thermography Frattura ed Integrità Strutturale, 16, 75-90.https://doi.org/10.3221/IGF-ESIS.62.06
[8] Díaz, E, Rodríguez, C, González, E, & de la Torre, J. (2021). Characterization of biodegradable filaments from processed waste materials for 3D printing Materials, 14(4), 982 https://doi.org/10.3390/ma14040982
[9] Environmental Protection Agency (2021) Understanding paper recycling. https://wwwepagov/sustainable-management-material s/understanding-paper-recycling
[10] Ghosh, P., Maji,R.,&Bera,S.(2018).Production of cellulosenanofibersfrompaperwaste:Anoverview Biomass and Bioenergy, 114, 58-72 https://doi.org/10.1016/j.biombioe.2018.09.020
[11] Huang, Y, Wu, Q, & Yang, Y (2021) Efficient approach for producing cellulosenanofibrilsfrompulp and paper mill waste. Bioresource Technology, 319, 124536 https://doiorg/101016/jbiortech2021124536
[12] Korhonen, S. (2019). The role of additives in 3D printing Journal of Cleaner Production,211,220-226 https://doiorg/101016/jjclepro2019119215
[13] Spišáková, M, et al (2022) Waste Management in a Sustainable Circular Economy as a PartofDesign of Construction Applied Sciences, 12(9), 4553 https://doi.org/10.3390/app12094553
[14]Wang,J,Jiao,Y,&Liu,Y (2021) 3DPrintingof Biodegradable Materials: A Review on Current Technologies and Future Prospects Journal of Materials Research, 36(12), 1522-1538 https://doiorg/101007/s11664-021-09294-4
[15] Bottaro, M (2020) The bioplastics market: Opportunities for waste materials Journal of Waste Management, 15(4), 243-256. https://doiorg/101016/jwasman202010003
[16] Environmental Protection Agency. (2021). Waste materials and their recycling Retrieved from https://wwwepagov/wastemanagement
[17] MarketsandMarkets. (2021). Bioplastics market by type (PLA, PHA, Starch Blends), by application (Packaging, Textiles, Automotive), and by regionGlobal forecast to 2028. Retrieved from https://wwwmarketsandmarketscom/Market-Reports/b ioplastics-market-18014555html