
“Architects have to dream. We have to search for our atlantises, to be explorers, adventurers, and yet to build responsibly and well.”
-Renzo Piano


![]()

“Architects have to dream. We have to search for our atlantises, to be explorers, adventurers, and yet to build responsibly and well.”
-Renzo Piano


My passion for architecture stems from a lifelong love of painting, construction, and a desire to create spaces that are both beautiful and functional. This curiosity for exploration led me to study different languages and cultures, fueling my continuous learning. My academic foundation in math and physics helped me see architecture as an interdisciplinary field where creativity meets precision, shaping my approach to design. Studying abroad has been transformative, teaching me resilience and adaptability, especially during my time in the U.S., where I gained insights into Native American traditions and sustainable design. As an architectural designer, I combine creativity, technical expertise, and collaboration, with advanced skills in Revit, Rhino, CAD, and rendering, and a commitment to delivering exceptional results.

Mobile: (520) 0877-543
E-mail: sheydamaadelat@gmail.com sheydam@arizona.edu
LinkedIn: www.linkedin.com/in/sheyda-maadelat
Instagram: www.instagram.com/shey_art_architecture_diary


Persian (Native)a
English (Advanced-IELTS score 7.0)
Turkish (Advanced)
Arabic (Intermediate)
French (Intermediate B1)
Spanish (Elementary A2)
Skills and Competencies: Data-driven design | Concept development and Design Automation | Parametric
Modeling | Communication | Teamwork | Leadership | Problem-Solving | Time Management | Adaptability |
Creativity | Attention to Detail | Critical Thinking | Conflict Resolution | Interpersonal Skills| Organization|
Emotional Intelligence| Work Ethic
Design Skills: AutoCad | Revit | Rhino | Grasshopper | Sketch-Up
Graphic Skills: Adobe Photoshop | Adobe InDesign | Adobe Illustrator | BlueBeam Revu
Rendering Skills: Lumion | Enscape | Twinmotion
Fabrication Skills: 3D Printing | Laser Cutting
Other Skills: Microsoft Office | Canva | Miro

University of Arizona | School of Architecture | Fall 2021-Spring 2024 (Class of 2024) | Tucson | Arizona | USA
M.Arch (Master of Architecture)
Azad University of Tehran South Branch | College of Art and Architecture | Fall 2016-Spring 2021 | Tehran | Iran
B.S (Bachelor of Science in Architectural Engineering)


Traveling
Hiking
Visiting Art Galleries and Museums
Pilatese
Photography Cooking
Baking
Volunteering
Engaging in Play Activities with animals
Reading
Sketching
Painting
Fashion Design
Engaging in Play Activities with Children

Graduate Teaching Assistant | University of Arizona, CAPLA | January 2024-May 2024
ARC 242 Techne II (Rhino, Grasshopper, Digital Fabrication, AdobeCloud Programs) . Spring 2024 . Instructor Susannah Dickinson
Graduate Assistant | University of Arizona, CAPLA | December 2023
Assisted Eduardo Guerrero in compiling and creating a booklet showcasing the student works for the 510F|Studio Winter 2023 . Instructor Eduardo Guerrero
Graduate Teaching Assistant | University of Arizona, CAPLA | August 2023-December 2023
ARC 441 Contract Documents (Revit, BlueBeam Revu) . Fall 2023 Instructor Laura Carr and Savannah McDonald
Graduate Assistant | University of Arizona, CAPLA | June 2023-July 2023
ARC 599 Independent Study (Assisted Laura Carr in compiling and creating a booklet showcasing the award-winning student works f or the AIA Arizona Community Design Competition) . Summer 2023 . Instructor Laura Carr

Awards
2nd Place in 33rd Annual Low-Income Housing Challenge (Competition) | Bank of America | Spring 202 4
AIA Arizona Award | 2023 Community Design Award | Fall 2023 Scholarships
Albert H. Drachman Memorial Scholarship | University of Arizona, CAPLA | Fall 2022-Spring 2023
Graduate International Student Award | University of Arizona, CAPLA | Fall 2021-Spring 2022 Honor
Ranked within the 10% of students in Bachelor’s Degree | Spring 2021 Membership
Associate AIA (Since May 2024)
ISC (International Student Club) member / Fall 2023

Competitions
33rd Annual Low-Income Housing Challenge | Bank of America | Spring 2024
MICROHOME 6 | Summer 2023
AIA Arizona Community Design Competition | Summer 2023
Third Marathon (Iranians Architecture Center) | Winter 2019
Spring Pavilion Amsterdam (Switch Competitions) | Spring 2019
Podcast
Upcoming podcast episode 17 of “Crossing City Limits”
Co-produced and conducted the interview with Eduardo Guerrero
Episode’s Subject: An interview with architect Nader Tehrani
Conferences
AIA24 Conference - June 2024
AIA State Conference - October 2021
Chromatics Science (Online at Iranians Architecture Center) | Spring 2020 (Color Psychology and Color Theories, Munsell’s theory)
TED X Tehran | Summer 2019
The UArizona Oasis project, developed during the Advanced Design Studio II (ARC 510E) course, draws from in-depth exploration of Native American architecture, culture, and history, enriched by an immersive field trip across Arizona. Through meetings with Native American students, tribal members, and their communities, the project reflects a deep understanding of Indigenous needs and cultural values. Over the summer, I assisted in compiling student work into a booklet, which was submitted to the AIA Design Competition and won the AIA Arizona 2023 Community Design Award.
The UArizona Oasis is designed as a home-away-from-home for Native American students, offering a safe environment to practice their culture and celebrate their heritage. Inspired by the concept of an oasis as a place of refuge and renewal, the design features modular pods that create a balanced mix of public and private spaces, fostering a connection to the natural world. The project is set on the site of the existing Graham-Greenlee and Hopi Hall dorms, which are being redeveloped into a new dormitory and community space for Native American students.
The landscape is reimagined with enhanced walkability, native vegetation, and a rainwater collection system, creating a sustainable and culturally responsive addition to the campus.



This project, along with those of my classmates, was honored with the AIA 2023 Community Design Award.














The Critical Practices Laboratory (CPL) course emphasized integrating real-world challenges with architectural design through research, collaboration, and creative problem-solving. Students tackled projects addressing environmental, cultural, and financial factors, engaging in a full design process from pre-design to post-occupancy evaluation. This experience honed skills in teamwork, performance-driven solutions, and the integration of technical, social, and cultural considerations.
Focusing initially on Chicago’s South Branch, the class developed a comprehensive master plan before splitting into groups. I collaborated with Duola Mi on the Damen Silos project, creating a master plan and conceptual design that explored adaptive reuse and urban renewal strategies for the historic site.
The Damen Silos project envisions transforming the silos into an arts center, fostering community engagement and creative reuse. The design aims to repurpose the silos into a vibrant hub for artistic creation and cultural exchange, offering a unique space where artists and visitors can collaborate, create, and appreciate art. Situated along the South Branch of the Chicago River, the site connects to diverse neighborhoods like Pilsen, Bridgeport, and Chinatown, enhancing its potential as a dynamic community space.






The 2024 Critical Practice Laboratory at CAPLA, in collaboration with community leaders and civic stakeholders, presents a Masterplan for Urban Renewal and Riverfront Restoration along the South Branch of the Chicago River. This proposal aims to revitalize the area by integrating community-driven insights with sustainable design strategies.

The masterplan for the South Branch (Pilsen) is guided by the concepts of Expression, Connectivity, and Cultivation, focusing on Reimagine, Revitalize, and Respect. The project aims to transform the site into a space that celebrates art, history, and industrial heritage while connecting the silos to the broader community. By fostering ties between past and present, the design seeks to cultivate a vibrant community hub that honors the area’s history, environment, and cultural roots.




4) Sculpture Garden
5) Greenhouse Cafe
6) Storage and Concierge + Maintanance Area
7) Private Parking
8) Housing/Studios
9) Community Garden
10) Private Marina
12) Public Marina
13) Public Parking
Entrance (Public)
Entrance (Private)
Entrance



Longitudinal Section







The OctaOasishome, collaboratively designed by me and Reyhaneh Ashrafi for the MicroHome Competition (Edition 6) by Buildner, is a modular, off-grid microhome created for a young professional couple, with a floor area limited to 25 m². The project is set in the Navajo reservation near Tuba City, addressing key housing challenges faced by the community, including issues related to water management and air conditioning. The design prioritizes sustainability and comfort while fostering a strong sense of community engagement and cultural preservation.
The octagonal shape of the microhome is inspired by the traditional Navajo Hogan, symbolizing unity and connection while efficiently utilizing space and promoting a natural flow within the home. This architectural choice demonstrates a deep understanding of the Navajo people’s cultural and historical ties to the land and their housing practices. OctaOasishome not only serves as a sustainable and innovative living solution but also honors the Navajo community’s heritage, offering a resilient, empowering, and culturally sensitive approach to modern housing that aims to preserve traditions while addressing essential needs.












4.

This project was a collaborative effort with friends at The Iranian Architecture Center, submitted to the Spring Pavilion Amsterdam competition on May 31, 2019. Before sketching and modeling, the team conducted an in-depth study of the site and its surrounding country. The entire process was a true team effort, with each member contributing to the final design.
Our design for the Spring Pavilion in Vondelpark, Amsterdam, near the central lake, embodies the essence of spring by connecting people, nature, and architecture. The pavilion serves as a versatile space for cultural and recreational activities, seamlessly blending with the park’s natural environment. It enhances visual, tactile, and olfactory experiences while prioritizing sustainability and minimal energy use. With a maximum built area of 200 square meters, the structure respects the park’s ecosystem and wildlife. Elevated among the trees, it offers an immersive experience while preserving the habitat of birds and squirrels.




Vondelpark, Amsterdam’s most famous park, spans 47 hectares and is a vibrant green space in the heart of the city. Popular for its scenic beauty, open-air performances, and cultural events, it attracts millions of visitors annually. Amsterdam, known for its picturesque canals and rich history, blends Renaissance and modern architecture. As one of Europe’s greenest cities, it is committed to sustainability, making Vondelpark a symbol of Amsterdam’s dedication to nature and public spaces.








To ensure visitor safety, glass parapets have been thoughtfully designed, allowing for uninterrupted enjoyment of the surrounding views. Creating bird nests contributes to a natural and inviting atmosphere while helping to protect local wildlife. This approach fosters a meaningful connection between humans and nature.



The net hammocks evoke excitement and a sense of dynamic energy, drawing attention to the pavilion and enhancing its vibrant atmosphere.


In this project, no trees were cut, and the natural vegetation of the park remained unharmed. Given the significance of this consideration, the pavilions were carefully designed to integrate with the existing tree locations.







The net hammocks are strategically placed throughout the site, offering a unique experience as they hover above the water, blending excitement with a sense of calm and relief.



Rainwater is channeled through the wooden structure to irrigate the surrounding trees and plants.


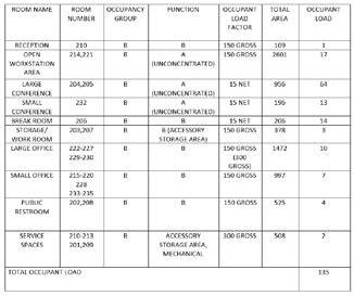
This project was completed as part of the Contract Documents course, where we delved into the intricacies of these documents through various exercises and assignments. We worked on a single project throughout the course, gaining valuable insights into regulations and developing skills in reading and creating contract documents.


































































































































































































