Sandhills Equine Monthly

Page 1


Beyond the Finish

Sandhills Equestrians take on the Thoroughbred Makeover

Navigating the Walthour Moss Foundation

Foxhunting Thouroughbreds

Sugar | Communication| Lefreda Williams

Welcome to your dream equestrian oasis,

a stunning 10-acre property that seamlessly blends sophistication, sustainability, and state-of-the-art technology. This meticulously designed horse farm offers an unparalleled experience for both horse and rider, featuring an open floor layout home with an enclosed, heated endless pool that boasts green, sustainable, and modular technological features. Dive into luxury and eco-conscious living in this thoughtfully appointed retreat. Whether you’re a competitive rider, a casual trail enthusiast, or simply someone who appreciates the equestrian lifestyle, this property offers a unique blend of convenience, luxury, and natural beauty that’s hard to find elsewhere.

• 3 Stall Barn offering a wash stall, laundry room, tack room, business office, and an additional unit with a theraplate.

• 11 fields each equipped with turnout sheds, electricity, and water. Big Ass Fans® and misters in each turnout.

• 100 x 200 covered arena with GGT footing, professional dressage mirrors and shadowless LED lighting.

• prime location adjacent to the Walthour-Moss Foundation.

• open floor layout home.

• heated endless pool.

• Seperate appartment for income.

E quin e Sandhills

Publisher BIC R Media, LLC

Editor: Cassidy Oeltjen

Layout and Design

Ines Ritter

Contributors

Mary Kate Murphy

Cassidy Oeltjen

Veronica Green-Gott

Dr Tom Schell

Erika Bressler-Davis

Montana Canter

Lisa Miyamoto

Jason Jackson

Ines Ritter

Advertising & Subscriptions info@sandhillseqm.com

General Inquiries info@sandhillseqm.com

Cover

Nicole Zardus and Grady McGalliard with Winston C and Bold Quest

Photo: Lisa Miyamoto

Follow us on www.sandhillseqm.com

Sandhills Equine Monthly

owned by BIC R Media LLC 360 Fairway Dr Southern Pines, NC 28387

No part of this publication may be reproduced without the expressed written consent of the Publisher

The Sandhills Equine Monthly Magazine and BIC R Media LLC do not neccessassrily endorse the views of their contributors or advertisers.

Hello Sandhills Equine Enthusiasts

I feel like I open many of these letter with an ode to the current weather. And personally, I don’t think anywhere can beat a cool Fall day in the Sandhills.

It’s perfect for a jaunt around the Walthour-Moss Foundation, and in this month’s issue, we happen to have all the secrets to enjoying all the Foundation has to offer!

And what better way to enjoy it than looking through the ears of a Thoroughbred - a breed that has helped shape not only the Sandhills, but much of American culture.

And we also say goodbye to the woman who also shaped the Sandhills. With her determination, vision, and work ethic, Lefreda William’s vision helped build our horse country as it’s known today.

As always, be sure to follow us on our social media pages and website for lots of online exclusive content and amazing contests.

Cheers!

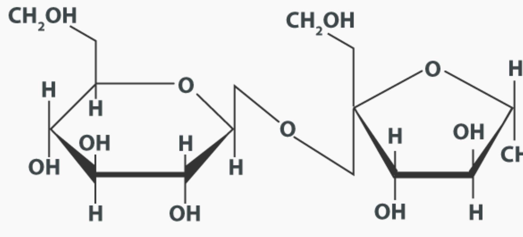
Sugar! and the Equine Diet

Sugar.

It is all around us and over time, our addiction to it has grown tremendously. This is the same situation in the horse and over my 30 years of clinical practice, I have seen it and along with it, the tremendous growth of many health conditions in the horse, especially metabolic syndrome. Not unlike human medicine. Sugar is all around us and naturally present in many foods and herbs, but do all sugars truly ‘hurt’ us and our horses?

I remember years ago reading a case study on a person with metabolic syndrome and cardiovascular disease. They had reached their point of poor health and obesity because of a ‘junk’ diet, creating ill effects over many years. They were advised to change their diet, which they tried to do, but in the act of changing it, they steered clear of many foods like green vegetables and many fruits, because they were told to

avoid sugar. Now, this is a common conception among many people, not just with themselves but with their horses. This is especially true when it comes to the current management of metabolic syndrome horses, which has not changed in philosophy since my graduation many years ago.

There is ‘sugar’ in almost every food. Scratch that. Sugar is present in every food! Now, the thing here is that sugar comes in many forms, shapes, and sizes. To keep things simple, we have two main forms, being ‘simple’ or ‘complex’ sugars. If you eat a cookie, you are eating simple sugars, meaning that the glucose or sugar molecule present in that food is in its simplest form, thus readily absorbed by the body and quickly utilized, stirring up insulin levels. This is why in a diabetic crisis with low blood sugar, we would often feed the dog Karo syrup or

pancake syrup. Simple sugars that are readily available and quickly absorbed. Great in a diabetic crisis, but not so great especially in higher quantities and frequency.

Continual intake of high levels of simple sugars, often in the form of glucose or fructose, lead to health problems on many levels. First, as mentioned, they are quickly absorbed and stimulate energy production, but the high levels of sugar also stimulate insulin release. Over time, the constant push for insulin may exhaust the system, OR, create a state where the insulin is no longer responsive. A ‘crying wolf’ situation. Second, these simple sugars alter the gut microbiome negatively, creating an overabundance of ‘bad’ or harmful bacteria in relation to the ‘good’ bacteria.

Dr. Tom Schell, D.V.M., CVCH, CHN

Dr. Tom Schell is a private veterinary practitioner in North Carolina focusing on various areas of specialty in the horse. He is a graduate of The Ohio State University with over 23 years of private practice experience in various aspects of equine medicine and surgery. His main area of focus in research is the process of inflammation, how it impacts overall health, digestion, degenerative conditions, and the immune response. He currently resides in North Carolina, operates a private equine rehabilitation facility, and frequently consults with horse owners around the United States and abroad. Dr. Schell is also the author of “Seeing the Whole Horse”.

This is the bottom line crisis in both human and veterinary medicine. We are consuming too many blasted simple sugars from- cookies to cereal, to sweeteners, soda pop, and enhanced coffee.

In our horses, we have migrated to very poor quality hay, void of true nutrition all for the sake of believing we must feed low NSC forages. We are feeding grains when there is no need for a grain, and those grains are loaded with simple sugars or carbohydrates, in addition to the molasses or other flavoring added. Then, we are dumping vitaminmineral supplements into them that are flavored artificially and usually loaded with sugars. Not much different than a fortified breakfast of Frosted Flakes in all honesty. Further, we add more of these synthetic supplements to our horses, maybe a coat conditioner, a hoof conditioner, or maybe even a ration balancer on top of what we are already giving them. All sugars! Plain and simple!

Why? Because if you were to just taste those synthetic ingredients by themselves, it would make you pucker in more than one area of your body! They are very bitter in the synthetic form and thus, to sell you something your horse will eat, they have to add tons of flavoring and sugars in their simple form to ‘sweeten’ the deal. In truth, you are creating more harm in your horse than you are helping. This situation creates the metabolic problem and furthermore, disrupts the gut microbiome that I try to discuss constantly in the horse.

When we move away from these simple sugars to the more complex variety, funny things happen. First, that apple is not as sweet as a Snicker’s Bar. Why, because the sugar molecules are different. There are simple sugars in many fruits, but there are also complex sugars and many, many phytochemicals that alter the pathway of these sugars and benefit health. These complex

sugars or carbohydrate molecules do not generally create harm in the gut, but more so aid in balancing it. They also do not create the spike in insulin. This is why I am so often perplexed by a person that claims they can’t eat an apple or a bowl of green spinach ‘because they contain sugar.’ A total misunderstanding.

our horse, versus packaged vitaminmineral supplements. This is how we literally turn around a metabolic horse and reverse the symptoms. But first, one must STOP doing what they are doing. Stop the supplements you are feeding. Stop the junk hay. Stop the lazy lifestyle. It is amazing to me in many consultations, where owners claim they can’t stop the supplements

Does the sugar content in your horses diet cause more harm than good?

As we move to more complex carbohydrates, we enter the world of polysaccharides, which are very complex chains of sugar or glucose molecules. These polysaccharides, being complex, are very slow to be absorbed and thus, have other tremendous benefits to the body and health of your horse. They can contribute to energy production, like simple sugars, but more so these complex beauties impact health from the gut microbiome to immune function, and even impact inflammation. They are incredible substances!

It is these polysaccharides or more complex carbohydrates that we are after, which boost health and can be utilized for energy production, albeit in a slower fashion. These are the substances we get when we utilize whole foods in

they are using because either they have bought 6 months worth and need to use them up, OR, the barn manager refuses to stop because it is a regimen for ALL horses. Makes me shake my head sometimes.

So, here we have the sugar misconception and it creates a lot of confusion for some reason. Sugar in one form, being the simple form, can have very damaging effects on the body of your horse. However, sugar in the complex form, being polysaccharides, can have tremendous benefits! In fact, switching from one form to the other can actually reverse the damage created by the prior!

P erformance Lin e

We are Equine Industry Innovators who create performance products to improve your horse’s training & show experience. Just like you, we are riders, competitors, and equine enthusiasts. EHI originated and is located and operated right in the heart of the Sandhills, NC!

Your performance is our passion!

Constructing a Strong Foundation:

Using the PORTL game to improve how you communicate with your horse

How many of us can say we are excellent communicators?

Communication involves an intricate process of expressing thoughts, picking up on the feedback and understanding level of those we are ‘talking’ to, listening, understanding, teaching, gaining trust and fine tuning it all to make sure we are clearly being understood.

When talking about communication between humans, that seems simple enough: we speak, (many times) the same language; we hear; we have been raised with much of the same cultural upbringings; and we have mostly been

taught with similar baseline education. Yet, communication is a struggle.

If we factor in communicating with a horse, who doesn’t ‘speak’ our language, didn’t attend basic math in grade school, and never was told not to steal other people’s toys, it’s a wonder we’ve been able to train them at all!

Let’s first look at what ‘training’ involves. There is gaining the trust of the horse so they will view us as someone who is worth listening to. There is presenting basic tasks to master, and then building on those tasks as understanding and strength increase. There is listening, understanding where there might be road blocks and rebuilding those foundations.

Cassidy Oeltjen

Simple enough?

Behavior analysts Mary Hunter and Dr. Jesús Rosales-Ruiz have been looking at why people and animals behave the way they do and how people can be better teachers and trainers. They have developed a tabletop game called PORTL (Portable Operant Research and Teaching Lab) that provides an interactive environment for learning about behavior and is played using a collection of small objects, a clicker to select behavior, and small blocks as reinforcers.

The basic premise is that two people cannot communicate through words, but have a task that needs completed. They then have to break it down into

Cassidy is the owner of C-Horse Equestrian. Specializing in teaching adult amateurs, she has a passion for education and developing different ways for equestrians to access learning information. She has achieved her Bronze Medal in dressage, competed to the Intermediate Level in eventing, and has placings in USHJA International Derbies. She current resides in Mamers, North Carolina.

small steps using reinforcements to build to the ultimate larger task.

This game brings to light just how hard non-verbal communication can be. It highlights the need for teacher/ learner responsibility shift, and how important allowing deconstruction is to finding the missing link and rebuilding.

So why am I

talking

about a

communication

game between two people?

Even though it is a non-verbal game, the assumption is that the two players are at least familiar with the same human tendencies, and are ‘training’ one another. Yet, the need for understanding, empathy, and putting frustrations aside is abundantly apparent. As the teacher, resisting the urge to yell “just put the &*(#W@& toy on top of the bottle” is irrationally hard. As the student, wiping the table clear and taking a break for a nap and snack seems like a much more appealing option.

Sound familiar to training a horse?

Nothing is more frustrating than when we think we’ve explained an entire task well, but our horse finds a hole. For instance, we’ve methodically introduced cross country jumping. They are brave over logs, coups, fields and forests. They’ve navigated ditches, water, banks and terrain. But we get to a show and they get lost in the task, stopping at a simple log. Ugh!

But we aren’t going to yell “just get over the BLEEPING log!” and they aren’t going to exit stage left and refuse to play.

Instead, we are going to look at where our process has a weak foundation.

Maybe we find that the horse lost its confidence with a crowded warm-up, or maybe staying overnight at a show for the first time triggered some ulcers that we need to address.

When thinking of training horses in relation to the game of PORTL, it becomes very clear that we don’t always know just how far a task can be broken down. Many times, horses allow us to skip important steps, whether because they innately try so hard, or because they are athletically gifted. But if we stop to think about all the components necessary for even the most basic skills, it may seem daunting, yet totally manageable, all in the same breath.

Let’s look at trailer loading. Assuming the horse has no prior negative history, they still have a lot of natural instincts to overcome.

• They need to understand pressure and how to move away from it in a positive way.

• They need to be comfortable with their feet on unstable surfaces.

• They need to be ok going into a squeeze environment.

• They need to go, but also stop on command (not just blindly go into the trailer).

• They need to be ok with unfamiliar noises.

• They need to be comfortable with things touching different areas of their body.

Breaking it down even further

• They need to trust that a handler isn’t going to ask them to do something bad.

• They need to accept that all these tools happen in different environments/locations.

And that list doesn’t even include rebuilding any bad experiences they may have had!

So when someone says they have a horse that won’t go on the trailer, which of the building blocks has failed? And does it even have to do with the trailer itself?

And because ALL communication with our horse is non-verbal, there are always physical foundations we have to take into account.

• How physically well are they? (stomach, feet, aches and pains, diet)

• How is their living environment? (too much stall time, not appropriate pasture mates)

• Do we have appropriate equipment? (saddle/bridle/bit fit, boots, saddle pads)

I know this seems like a lot. But just as building a house would seem like a daunting task to me, plenty of building professionals can (after years of practice) systematically knock out the steps to build houses of different shapes and sizes without even looking anything up on YouTube! And they know how important it is to have specialized professional contacts for the tasks where they may not be proficient.

It’s our job to build our horse’s skillhouse ‘from the ground up’ using the best materials and processes within our ability.

For more information on expanding your skills as a communicator, visit the homepage for PORTL at: www.behaviorexplorer.com

2024 Halloween Horse

This werewolf-inspired Halloween Horse is posed as if he’s calling to the sky, or perhaps, to the beautifully eerie wolves on both of his sides!

Claw marks and hints of the full moon complete his transformative look. When the light of the moon is hidden behind the clouds Beowulf will still stand out, as all of his white markings glow in the dark!

A glossy Halloween limited edition, he features “Beowulf” on his belly.

Find yours at M and M Tack in Raleigh or visit www.mmtackshop.com

Meet the Correct Connect Double Neck Strap

This fully adjustable Neck Strap snaps onto both of the saddle D rings to conform to FEI rules and can be customized to fit the horse and rider. The neck strap's rolled leather "handle" sits above the neck strap for an easy hold and can be extended up to 16 inches. An extra long 22 inch strap is also available and sold separately. We think this is a product that should be part of every tack trunk.

Find it at: www.ridecorrectconnect.com

Functional wafers are specially formulated with ingredients that boost overall equine health. They are made to support common issues your horse may face such as digestive health, coat and skin condition, and hoof integrity. Intentionally designed as a healthier snack or reward — something both you and your horse will feel good about.

NEW TO HORSES

Thoroughbreds a breed like no other!

Thoroughbreds are a unique and special breed of horse that has captured the hearts of equestrians worldwide. Known for their speed, agility, and graceful appearance, these horses have a long and storied history that sets them apart from other breeds.

Breed specifics

Thoroughbreds are best known for their boldness on the racetrack. In fact, they are the breed of choice for horse racing due to their exceptional speed and endurance. Their lean build, strong muscles, and deep chest allow them to reach impressive speeds, making them a force to be reckoned with in horse racing. Thoroughbreds are often called "hot-blooded" horses, reflecting their spirited and energetic nature.

A short history

One of the key differences between Thoroughbreds and other horse breeds is their lineage. Thoroughbreds can trace their ancestry back to three foundation sires: the Byerly Turk, the Darley Arabian, and the Godolphin Arabian. These three stallions were imported to England in the 17th and 18th centuries and are responsible for the genetic makeup of all modern Thoroughbreds. This selective breeding has resulted in a breed that excels

in speed and agility, making them stand out from other horse breeds.

In addition to their athletic abilities, Thoroughbreds are also known for their elegant and refined appearance. They typically stand between 15 and 17 hands high and have a slim, athletic build. Their distinctive features include a long, sloping shoulder, a strong and muscular hindquarters, and a deep chest. Their refined head and expressive eyes give them a regal and majestic appearance that is truly captivating.

Godolphin Arabian (c. 1724–1753). The Godolphin Arabian was buried within the stable block at Wandlebury, England.

While Thoroughbreds are renowned for their success on the racetrack, they are also versatile and excel in other equestrian disciplines. Many Thoroughbreds have successful careers in show jumping, dressage, eventing, Fox hunting, and even as pleasure horses. Their intelligence, willingness to please, and natural athleticism make them wellsuited for various equestrian activities.

In conclusion, Thoroughbreds are a breed like no other, with a rich history and exceptional abilities that set them apart from other horse breeds. Their speed, agility, and elegant appearance make them a favorite among equestrians, and their versatility allows them to excel in various disciplines. Whether galloping down the racetrack or gracefully navigating a show jumping course, Thoroughbreds continue to capture the hearts of new equestrians and seasoned riders alike. front 2 colors

Winter Annual Forage arthage arm

Superior Range and Pasture Blend

RYE PLUS is a mixture of annual rye grain and rye grass that provides a quick fall green up and extended grazing season. Rye Plus establishes in 30-45 days, thus providing excellent fall through winter grazing for horses and other livestock. We also stock a large selection of fall annual and perennial pasture seeds to meet the needs of every farm.

Seabiscuit (May 23,1933 – May 17,1947) is arguably the most popular racehorse of all time.
Thouroughbreds can excel in various diciplines, outside of the race track.

For Every Paw, a Hoof Print: A History of the Moore County Hounds & the Thoroughbreds that Shaped the Hunt

Imagine walking through the misty sandhills of North Carolina on an early morning in late November. The air has that unmistakably Autumn feel to it– crisp and refreshing. Far off in the distance, you hear it. The baying of hounds. Before long, you hear the pounding of powerful hooves. A coyote shoots past you. Before you know it, a pack of hounds comes charging out of the trees followed by 20 sleek and gleaming Thoroughbreds. To your startled eyes, it looks like an English painting from the early 1900s come to life.

If you’re in the Walthour-Moss Foundation or in the Sandhill Game Lands, chances are high you just encountered the Moore County Hounds. Having recently celebrated

their 110th anniversary, the Moore County Hounds is the oldest recognized pack of foxhounds in North Carolina. Cameron Sadler is the Field Master, a role she’s filled for over two decades.

Sadler spends her days caring for the horses and foxhounds of the hunt, alongside her husband, Lincoln Sadler, who, as the Huntsman, specializes in training the hounds. “When we are in the woods hunting, especially at the Walthour-Moss Foundation, everybody likes to know if we are in their area, so they can be safe and not be in the way of the hunt,” Sadler said. “And so communication and organization are two critical aspects in the role of a Master. It also includes, for me, leading the first flight. So as most hunts, we hunt three times a week, we would have

three different groups of people out hunting: first flight, second flight, and hilltopping. First flight tries to keep up with the Huntsman and the hounds.”

She describes fox hunting as a magical experience that has kept her coming back all these years later. “I love the outdoors, the camaraderie, and the hounds and horses together. It's a sort of magical combination with all those things.”

It also gives her a chance to ride her beloved Off-the-Track Thoroughbreds. “I don't have enough positive things to say about Thoroughbreds. They're just my absolute favorite. I have always enjoyed that process of taking a horse just off the track and getting them going for fox hunting,” Sadler

said. “I love the idea that they can get a second career here. And I love showing them the next thing they're going to do. All the Thoroughbreds that I've had, thankfully, they're just kind. They have this wonderful sort of willingness to learn and desire to please.”

Fox hunting and Thoroughbreds run in Sadler’s blood. One of Sadler’s ancestors, John Tayloe III, bred one of the first great Thoroughbred racehorses in America in the 1800s. Named Sir Archy, the stallion was a champion four-mile racehorse and is credited as essentially establishing the breed of the American Thoroughbred by the National Museum of Racing. In more recent years, Sadler’s Great Aunt and Uncle brought Thoroughbreds and fox hunting together by establishing the Walthour-Moss Foundation.

“My great aunt and uncle established the Walthour-Moss Foundation, which is the large property behind us, where we hunt

at least once a week,” Sadler said. “They had Thoroughbreds as well. She actually had a breeding operation and fox hunted and competed in show jumping. She always had Thoroughbreds, and that's definitely how I started riding them. I've had Thoroughbreds ever since I moved off of ponies as a young teenager.”

Together, Sadler and her husband own 10 off-the-track Thoroughbreds, the majority of which they ride in the first flight with the Moore County Hounds. “They are all off-the-track. They’ve raced at some point and and usually they come back to me for a second career through my connections in the racing world,” Sadler said. “[The trainers] know that I'll give those horses a great next career. I am very, very, very fortunate that I have a couple of trainers who actually will call me and say, ‘Hey, I've got a horse that wants to retire,

and I think it'd make a nice fox hunter.’ Most of ours come directly from the trainers that are sending the horse to retirement either because it's no longer fast enough to compete, or in some cases, I'd say probably at least 40 or 50 percent are rehab horses, so they have had an injury. They come to me and I rehab them.”

According to Sadler, fox hunting and racing often go hand-in-hand. Being a first flight horse involves galloping at top speeds while jumping solid obstacles. At its most basic, riding in the first flight has a lot in common with pointto-point racing and steeplechasing. “People who train racehorses actually bring their horses out to hunt as part of their training, especially the steeplechase people, not so much the flat race people,” Sadler said. “People who are steeplechasing want their horses to be bold and able to gallop at a solid obstacle. Hunting is a great way to

Cameron Sadler and Mike Mike
Photo: CanterClix
Thouroughbred Stallion "Sir Archy"

keep them fit and used to riding with a group of people that are moving along rapidly.”

The huntmasters and whippers-in of the Moore County Hounds all ride Thoroughbreds on their grueling three to four hour, 12 to 15 mile hunts where horses can get up to speeds of over 20 miles an hour. Why is it that many fox hunters use Off-the-Track Thoroughbreds? Sadler has three reasons: stimulus, stamina, and selfpreservation.

For a sport that requires horses to be calm in the middle of a pack of baying hounds and resounding horns, Thoroughbreds who have been exposed to all the excitement of the racetrack tend to do well. “So my number one criteria for a fox hunter is that they're calm when life is not. Thoroughbreds who have raced have been exposed to a lot of stimulus. So hunting is a sport where there's a lot of stimulus, there's a lot of other riders, there's the hounds. There can also be wildlife coming right at you, wherever you are,” Sadler said. “The fact that they've done their racing career, in my humble opinion, sets them up to have a really great brain for taking in all that stimulus.”

If you haven’t picked up on this yet, fox hunting is not a particularly easygoing sport. Horse and rider must be brave and bold to solid fences on variable terrain. In North Carolina, horses have to be able to keep their feet over hills and through sandy surfaces. Sadler says Thoroughbreds, in her experience, are up to the task.

“Second is they seem to have a great sense of self preservation,” Sadler said. “They're careful. When we are galloping through the woods and you're turning tight corners, they naturally want to switch their leads and maintain their balance. They're really handy and clever.”

Fox hunters cherish Thoroughbreds for the same reason as eventers. When you need your horse to dig deep and push on, instead of running out of gas, you want a Thoroughbred. “Number three is that they just can go and go and go. I couldn't say that they are never tired, but they have incredible endurance. They're bred for stamina.,” Sadler said. “Fox hunting requires a lot of fitness. And I particularly love Thoroughbreds. That is our horse breed of choice for hunting, my husband and I.”

For those who are looking for their next hunt horse, Sadler cautions that Thoroughbreds may not be for everyone. “Know where you want to ride and how often you're going to ride. Put that in an equation to figure out what's going to work for you,” Sadler said. “It doesn't mean you couldn't have a Thoroughbred if you're working. It means you need to make sure someone's taking care of getting that horse ridden. Understand your abilities and know what you're capable of and what you want to do with regard to fox hunting. So if you want to be walking all the time in the third flight, then that might be a different horse than a Thoroughbred, or it might be an older Thoroughbred that's ready to do that pace.”

But, if you’re looking for a horse that’s ready to tackle any obstacle that comes their way at a bold gallop, consider giving an Off-the-Track Thoroughbred a second career and, as Sadler says, “For anybody who’s keen, give hunting a go.”

Private, picturesque horse farm on 15+ acres including a well maintained cottage, stunning new barn, lush pastures, pond and open field for riding or carriage driving. There are multiple storage buildings for extra storage needs. This property is located 12 miles from Southern Pines, 5 miles from the Carolina Horse Park, and approximately 28 miles from Fort Liberty. $825,000

3BR/2BA/ 2,549 sq. ft.

$1,450,000

Unique opportunity in the heart of Horse Country! Privately gated 16 acres complete with fenced paddocks and fields, a 4 stall barn, and a detached 4 car garage with upstairs storage. The shedrow style barn has paddock access from stalls, an interior wash/grooming stall, full bath and 440 sqft lounge with full kitchen, fireplace and enclosed patio.

Born in the Series Sandhills

Riding Dreams and Custom Colors: The Story of Equi-Prism

As a young rider, I often found myself lost in daydreams about competing at (the event formerly known as) Rolex. This was back in the eighties, a time when the equestrian world felt like a magical realm. My goal was to ride there by the age of fifteen, giving me three years to train my mom's quirky-colored horse—an animal she rode only occasionally. His coat, reminiscent of dirt, could change shades, becoming darker after a good roll but mostly maintaining a neutral beige hue.

Unlike my peers, who were enamored with the latest fashion trends, my obsession lay in discovering what “my colors” would be. As a teenager, I was fortunate to serve as an outrider at Rolex for several years, stationed near the road and tracks, and steeplechase course. Watching iconic riders gallop

past on what seemed like majestic dragons was an exhilarating experience. This era was filled with legends I idolized, including Bruce Davidson Sr., J. Michael Plumb, Phyllis Dawson, and Kim Severson, wearing their iconic colors. Just catching a glimpse of them was enough to fuel my dreams.

Many events in the equestrian world feature athletes known for their distinct ‘colors,’ similar to how jockeys sport their racing silks or race car drivers display their sponsors. This concept of personal branding through color is powerful; it leaves a lasting impression on young minds. The idea of ‘your colors’ resonates deeply, forging connections between riders and their supporters.

In the beautiful Sandhills of North Carolina, we are incredibly fortunate to

have a mother-daughter duo dedicated to making our equestrian dreams a reality: Equi-Prism. Located in Reidsville, this company specializes in custom equestrian products that infuse personality into our riding experiences. I recently had the privilege of meeting Morgan Boyer while competing at the Five Points Horse Trials. Morgan is coowner, and the daughter portion of the magnificent mother/daughter team. Even as she rushed to tack up and head out to compete, on cross country, Morgan graciously took the time to chat with me, embodying the spirit of a true equestrian.

While hanging out by her stall, I marveled at their stunning custom products. The stall fronts, tack box covers, and tack drapes caught my eye immediately. Each piece exuded professionalism while displaying

Morgan’s signature color combination of light blue, tan, and brown. It was evident that every item was crafted with love and attention to detail.

Though I did not get to meet Jammie Thompson, Morgan's mother and co-owner, I managed to steal a few moments on the phone with her. The free time for both Morgan and Jammie are scarce, yet our conversation revealed their incredible dedication to their craft. Together, they own and operate Blue Line Farm, an active eventing show barn that houses over thirty-five horses, including boarders, training, and sales horses.

Learning about Equi-Prism has been a delightful journey. Founded in May 2018, the business still operates from Jammie’s three-bedroom house, which also serves as the home of Blue Line Farm. One significant take away from my chat with Jammie was the multitude of roles they juggle daily. It is evident, from their reputation and my own

research, that these women excel in every endeavor. What began as a simple quest for the perfect colors has now made Morgan’s “colors” synonymous with both her name and Blue Line Farm.

When I inquired about their most popular items, I learned that bucket hangers and stall guards are among the practical pieces, but the pinny holders have quickly become the fan favorite. Neck straps are another customizable item gaining traction, providing safety while adding a touch of style. Additionally, they offer fully customizable covers for the ever-popular Stanley/DeWalt/Husky hybrid tool/ tack box. These rolling toolboxes have become a more manageable alternative to the heavy custom tack boxes that can be cumbersome. Now, instead of feeling underwhelmed by your rolling toolbox, you can customize a cover that boasts your farm’s name, or logos in any color combination. You can proudly boast your team’s personality for way less than a custom tack box would cost.

As the colder months approach and blankets come out of storage, customized blanket tags become essential. These tags are incredibly helpful, especially when they include specific colors, horse names, or anything else that simplifies blanket season. Imagine the ease of finding your horse’s blanket among a sea of similar ones, thanks to a personalized tag!

You might assume they have a larger staff given their ability to provide handcrafted products and excellent customer service, but Equi-Prism is primarily run by Jammie, Morgan, and one parttime employee. Being such a small team does not hinder their ability to deliver high-quality products - in fact, it enhances their individualized touch and dedication to their customers. Not only do they provide meticulously crafted items, but they also ensure that each product is tested thoroughly by top riders like Boyd Martin and Doug Payne before being released to the public. This commitment to quality

reflects their understanding of the demands faced by competitive riders and their desire to offer products that can withstand the rigors of the sport.

The user-friendly website makes shopping for custom equestrian gear a breeze. Whether you are looking for a specific item or just browsing for inspiration, the site is designed to facilitate a seamless experience. Jammie is also quick to respond to inquiries, making communication straightforward and efficient. If you find yourself struggling with logo design or creative ideas, the Equi-Prism team is more than happy to assist, ensuring that your vision comes to life.

Equi-Prism embodies the spirit of equestrians supporting one another, providing not only products but also fostering a sense of community among riders. Their

story is one of passion, resilience, and a commitment to excellence— qualities that resonate deeply in the equestrian world.

As I reflect on my own journey and the dreams I held as a young rider, it is inspiring to see how businesses like Equi-Prism are helping the next generation of equestrians express their individuality. The importance of ‘your colors’ transcends mere aesthetics; it creates a sense of identity and belonging in a sport that is rich in tradition and camaraderie.

As riders, we often develop deep emotional connections with our gear. Each piece—whether it is a saddle, bridle, or a simple blanket—tells a story. These items accompany us through our triumphs and challenges, becoming part of our equestrian journey. When we don our custom gear from Equi-Prism, we not only

display our individuality but also carry with us the spirit of our horses, the hours spent in training, and the dreams we hold dear.

The equestrian community is unique in its supportive nature, where friendships are forged through shared experiences and mutual respect. Events like the Five Points Horse Trials serve as gathering places where riders, trainers, and enthusiasts come together, cheering each other on and celebrating each other's successes. The camaraderie among equestrians is palpable, creating an environment where everyone is encouraged to pursue their passion, regardless of their skill level.

Equi-Prism plays a vital role in this community, helping riders express their identities while fostering connections with one another. With each custom product, they empower riders to take pride in their appearance and feel confident in their abilities. It is not just about the colors we wear; it is about the stories we create and the bonds we form along the way.

In conclusion, Equi-Prism is more than just a custom product provider; it is a testament to the dreams and aspirations of riders everywhere. Whether you are a seasoned competitor or a young enthusiast, having the right gear that reflects your personality can make all the difference. So, as we prepare for the upcoming riding season, let us celebrate the uniqueness that each rider brings to the arena and the vibrant colors that unite us all.

Deborah for a complimentary consultation 910-691-1666 or 910-691-7099 Email dwilson@artistic-kitchens.com Artistic Kitchens and Baths will customize cabinets for your

We can design cabinets to fit your space and maximize your storage. We make renovating your home in the NC Sandhills easy!

Beyond the Finish

Three Sandhills Riders Take On

Thoroughbred Makeover

Bridget Fruh and Quidditch
Photo: Courtesy of Cameron Sadler

The finish line of a Thoroughbred’s last race is just the beginning of the rest of that horse’s life. While a distinguished few will remain part of the racing industry as stallions and broodmares, the majority of retired racehorses go on to careers in sport or pleasure riding.

For the last decade, the Retired Racehorse Project’s annual Thoroughbred Makeover competition has rallied equestrians from around the country in a competition to put horses recently retired from racing — the greatest domestic supply of sport horse prospects in North America — on the path to a second career. About 350 horses will compete at the Kentucky Horse Park from Oct. 9-12 in a quest to be named what the organization bills as “America’s Most Wanted Thoroughbred.”

Nicole Zardus, who will travel to Kentucky with the 10-year-old Irishbred gelding Winston C, sees dozens of horses each year come through her sales and training program in

Southern Pines. While she specializes in off-the-track Thoroughbreds, she’s worked with her share of warmbloods, draft crosses, and ponies at Huntleigh Sport Horses and acknowledges that demand has moved away from the Thoroughbred.

“The sport of eventing has changed since I was a young rider. We’re more geared towards the short format and horses are a bit fancier on the flat then they used to have to be, so I’ve switched gears toward bringing some warmblood horses up the line. That’s not to say that I would ever leave my Thoroughbreds out of the picture, but there’s been a shift.”

The Retired Racehorse Project was formed by Thoroughbred enthusiasts to change that by showing what horses can achieve fairly soon after retirement. Makeover competitors can aim for a full complement of disciplines, showcasing the breed’s versatility. Competitive trail and dressage divisions are just as popular as eventing, hunter and jumper. Divisions for horses aimed at

barrel racing, ranch work, polo, field hunter and freestyle also draw dozens of competitors. Each horse entered can contest two disciplines.

Not only does the competition draw hundreds of Thoroughbreds to a single venue, it offers over $100,000 in prize money. The winners of each division take home a substantial cash prize and qualify to be considered the overall Thoroughbred Makeover Champion for an award of $10,000.

That might not be much compared to the race winnings of some entrants. The 2024 makeover field has just over 1,000 wins and $38 million in racing purses between them. However Quidditch, owned by Moore County Hounds master Cameron Sadler, did not contribute much to that total. Bred in Kentucky by Godolphin, Quidditch was intended for far more than a seventh-place finish in his only race and $300 in earnings.

A makeover veteran with two field hunter division wins herself, Sadler

Photo: Lisa Miyamoto

has handed the reins over to other riders this year. Bridget Fruh took on Quidditch as her second project horse after a 15-year hiatus from riding. She previously worked for a five-star eventer and competed through Preliminary before college.

“He’s huge, he’s every bit of 17.1, so he’s not everybody’s cup of tea. He’s very intimidating when you stand next to him,” Fruh said. “When I started riding him he was typical off-the-track, he would go but you couldn’t turn him. We’d try to canter and we’d be halfway across the ring before we could make our circle.”

But the laid-back nature that poorly served Quidditch as a racehorse suits him well as a potential foxhunter: out hound walking, he’s perfectly happy bringing up the rear.

Another horse of Sadler’s will round out the local contingent to the makeover. Zardus’ student Grady McGalliard has

taken on the retraining of Bold Quest, a Kentucky-bred 7-year-old who raced both on the flat and over hurdles in his 22-race career. At age 16, Grady has been eventing for four years and currently competes at Training level with her own Hyperlapse, an Irishbred steeplechaser that came through Zardus’ program.

Bold Quest last raced in late 2022 and then mostly sat before coming to Sadler in July. Grady’s success with him in a short time demonstrates that while restarting Thoroughbreds can seem like a daunting task, capable juniors and amateurs can do well with the right horse and an experienced set of eyes on the ground. Grady has spent the early fall season at local hunter/jumper shows and horse trials preparing Quest to compete in the eventing and field hunter divisions in Kentucky.

“He’s been a complete superstar the whole time. We’re definitely a little on the late bus but luckily he’s a

really smart horse and he’s taken to everything really well,” said Grady. “I honestly think that the two years off let him reset so he forgot how to be a racehorse. When we brought him back he wasn’t all ‘go-go-go,’ he’s just been super easy in whatever we wanted to do with him.”

Fruh, an accountant by profession, didn’t feel she’d missed a beat diving back into horses. After her own mare’s soundness ended her career, Fruh started working with Quidditch in January. He quickly showed the breed’s trademark intelligence and enthusiasm for work – traits that helped mitigate a few early setbacks with his feet. This year they’ve competed in many of the Sedgefield and War Horse series competitions at the Carolina Horse Park.

“He has such a fabulous brain,” said Fruh. “You see that a lot, but this guy every day is willing to go out and work and every day he’s like ‘oh I remember

Winston C
Bold Quest

that from yesterday,’ so there hasn’t been any type of struggle where I feel like I’ve been stuck. He comes out every day and his flatwork is better, his jumping is better. It’s all just starting to click.”

Zardus’ Winston C, is one of four multiple graded stakes winners entered in this year’s makeover. Winston started his racing career in Britain before joining the stables of legendary steeplechase trainer Jonathan Sheppard in 2019. His campaign that summer, with two Grade 1 wins at Saratoga, put him at the top of the Eclipse Award voting for champion steeplechaser. Winston raced once again in Ireland and recorded a 2023 work at Fair Hill before retiring with a tendon injury. Through trainer Keri Brion, a consistent source of Zardus’ horses, he found his way to North Carolina to rehab.

“She likes the compact, smaller horses that are going to be a little bit more catlike and they seem to stay pretty sound. But when they’re ready to retire or they have a minor injury she calls me up,” Zardus said. “Winston came to me in July of last year and I probably did not sit on him until February or March.”

Zardus works with up to 10 Thoroughbreds each year. Whether they need weeks of groundwork and hacking to help them realize that life can move at a slower pace, or whether they arrive ready to show, the process with each one is unique. And none more so than for Winston C. He’ll compete in eventing and dressage at the makeover, having let Zardus know in no uncertain terms that field hunting is not his idea of fun.

Working with a seasoned steeplechase horse also poses a challenge; though Winston knew how to jump, fast and flat with no regard for poles that fall down is not ideal for an eventer.

Nicole Zardus and Winston C Photo: Hightime Photography

“Usually with steeplechase horses I have to incorporate a ton of gridwork and footwork because their idea of how to jump is totally different than how sport horses should be jumping,” Zardus said. “He is a little quirky and has some weird idiosyncrasies, he is a horse that very much wears his heart on his sleeve. I never have to guess what he is thinking because he tells me loud and clear how he would like his day to go. But when you get on and you know all his buttons he’s one who would go to the ends of the earth for you.”

Zardus has aimed toward the makeover for several years, but typically her horses sell to new owners before October rolls around. To be eligible, horses must have had a recorded work or racing start within the past two years and cannot have started retraining before December of the prior year.

“Having an event where the Thoroughbred horse can just shine and it’s all about the Thoroughbreds is really good for the breed in general,” she said.

“I love that you go and it’s somewhat of a level playing field, if there’s ever a level playing field in this sport, in that we’re all on the same timeline, none of them were bred for this, and we’re showcasing that they’re so versatile and they have so much heart. Even when they’re done racing these are not throwaway horses, they are really good horses that deserve a chance.”

Bridget Fruh and Quidditch Photo: Montana Canter
Grady McGalliard and Bold Quest Photo: Lisa Miyamoto

Peace in the Pines

Navigating the Walthour-Moss Foundation

Cassidy Oeltjen
Photo : Ines Ritter

As the weather cools off, those traveling down US 1 in Moore County can’t help but notice the gathering of horse trailers located near the May Street intersection. Leisurely trail riders, conditioning endurance riders, and show horses getting out of the ring - all flock to the WalthourMoss Foundation to enjoy the 4,000+ acres of preserved wilderness.

The residents of the farms surrounding reap the benefits of proximity to the land, and realtors add the access as an amenity to available properties. Equestrians seek out rentals to use as a weekend getaway, and trailer-ins have their favorite locations and trails.

But understanding and exploring the thousands of acres can be a little bit daunting, and understanding the written rules and standard practices can be more than a little intimidating.

Before You Go

While the vast acreage means that many times you can ride for hours without seeing another horse, understanding that the land is used by several different groups will save you from being surprised by some unexpected hounds or carriages.

During fox hunting season (October -March), Moore County Hounds use the grounds for their weekly hunts as well as special events. This means that on a given Tuesday, Thursday, or Saturday, there could be a pack of hounds owned by a Masters of Foxhounds Association of North America member hunt that are participating in or training for hunting events under the direct control of a qualified huntsman and staff.

Visiting the Moore County Hounds website (www.moorecountyhounds. com) will provide information about any special events, and the contact information to find out more information about their yearly schedule.

Visiting other online resources will also prove useful to planning ahead. The Walthour-Moss Foundation website (www.walthour-moss.org) and Facebook Group both have information about other events that use the land, plus the rules, maps, emergency information and importantly, the release of liability that needs to be printed, signed and dropped at the designated parking spots, or mailed to the foundation.

Navigation

There are three properties to choose from when deciding on where to ride:

the Main WMF, the North Country, and the Hunter Trials Field. All three locations offer unique opportunities and their own bits of charm.

The main WMF property has numbered “Firelanes” which are wide, easily identifiable, paths cut through woods. They are great markers for finding your way around, and provide lovely spaces to meander through the Pines. As you branch off onto the smaller trailers, you can be rest assured that you will eventually find yourself meeting back up with a firelane.

The North Country doesn’t have as clear of navigational clues, but offers quiet, pristine trails boarded by beautiful farms.

Hunter Trials Field located on Old Mail Rd a quarter mile down off of Youngs Road and offers plenty of fun, inviting jumps from play around with to including small banks and a ditches. Some jumps are located in the open, some scattered in the woods. From this field there are also numerous trails that meander around the farms on that side of Youngs, or you can take the trail that parallels Old Mail Rd to venture across Youngs onto the Foundation.

An interactive map of the area can be accessed on the WMF website. It helps to screenshot the map and also the satellite view overlay before heading out on trail as there are parts where cell service may be sketchy at best.

Throughout the property, trails vary in size from wide carriage paths to single track trails, and while a frequent WMF attendee or someone with a keen sense of direction may not have any trouble navigating the terrain, it is always a good idea to “drop a pin” on your phone before heading out of the parking lot in order to have a beacon to guide you home.

Photo : Ines Ritter
Photo : Ines Ritter

Parking Locations

While the parking just off US 1 and May Street on Equestrian Road is the most obvious ( 226 Equestrian Road, Southern Pines, NC 28387), it also can be the most nerve racking if you’re worried about the close proximity to a busy highway. Luckily, there are several other convenient parking locations!

The Equestrian Road parking offers direct access to Firelane 2 of the main WMF property. At the other end of Firelane 2, where it meets Youngs Road near Calloway Road, there is another smaller parking area, nicknamed the “Mailboxes” ( 2375 Youngs Road, Southern Pines, NC 28387).

North Country offers two, easily accessible parking spots that are quiet and secluded. They are located directly across from one another on Furr Road. Magnolia Hill Parking (728 Furr Road, Vass, NC 28394) is tucked away in the woods and Moor Meadow (733 Furr Road, Vass, NC 28394) is larger and more open.

Parking for the Hunter Trials Field (off Old mail Road) is conveniently located around the field where you’d ride.

Jumping

The Hunter Trials Field obviously has a variety of jumping opportunities, but there are many other options to feel the wind beneath your wings. Scattered throughout the foundations are many single fox-hunting type fences of various sizes. As always, it’s always suggested to check the footing and condition of jumps before taking

them on (any safety hazards or repairs should be reported to the Foundation office).

The ‘Mailboxes’ parking area offers easy access to the line of logs on Firelane 2, where 10-12 logs are dispersed 10-15 strides apart - a perfect warm up for the larger jumps on the paths, or a lovely introduction for a young horse. Firelane 3 also has its own collection of logs in a row with the same inviting feel. These are easiest to access via the Equestrian Road Parking.

Photo: Lei Ryan

Doub’s Field offers the Foundation’s ‘Hidden Gem’ for jumping, featuring a true hunt field experience - hedges, coups, and logs to jumps with a sandy track to gallop around. Accessing Doubs Field can be a bit tricky for the inexperienced Foundation rider, the it’s worth the adventure. Closest parking is at the Mailboxes, taking an immediate right and staying on the perimeter trails heading northeast for about a half a mile.

Must Sees and Hidden Gems

Local upper-level event rider and resident, Heidi Grimm-Powell offered a glimpse into some of her favorite spots around the Foundation.

“One of my favorite places to ride is around Firestone Lake. It’s just so peaceful at the lake and the

surrounding trails with glimpses of the lake all the way around, and several spur trails that take you through lovely forests. The water is really clear and has a nice sandy bottom. You can also reach the back side of the farms in Pine Ridge Equestrian Community, Horse Pen Lane, and Causey Rd, and hack around those. I love meandering through them.”

“The trails around Magnolia Hill are excellent for conditioning with great foot and nice rolling hills and of course fun jumps scattered throughout the woods,” she added.

Access to both of these locations is at the Magnolia Hill Parking off of Furr Road.

“The Cemetery and the Bench on the Main Foundation, located just off of Firelane 3, offers the opportunity to pay tribute to the many equestrian enthusiasts that have come before and have a legacy of contribution to the Foundation and our entire equestrian community,” Grimm-Powell added. “The view here is stunning and so many wonderful souls will forever watch over us as we ride through.”

Lefreda Williams 1937-2024

"Southern Pines has lost its matriarch"

As the news rippled through our close-knit Sandhills community that Lefreda Williams had passed away, people began tapping away at keyboards, recalling the impact that this force of nature had had on shaping the equestrian industry as a whole, and the personal influences she had on so many.

We’ve all heard the phrase “if you build it, they will come.” But when Lefreda first made her way to Southern Pines, she joined a group of equestrians that already had been drawn to the mild weather and year-round riding opportunities. They were here, and things needed to be built.

First up for Lefreda was putting in the leg-work for establishing an event on the existing Moss Foundation. At the time, the Foundation was a place for the fox hunters to play, so it took some convincing that the event would not only be friendly to the foxes, but also provide a sustainable way to attract others to the area, and help to support the tax-exempt status compliance of the land.

In March 1991, the first Southern Pines Horse Trials was held, establishing the serious eventing community in the area. Lefreda’s resourcefulness meant that she and the others who were involved in producing the event could decide things on the fly without the competitors being none-the-wiser. For 8 years the event enjoyed success, bringing top riders to the area, but in 1997, the organizers were informed that it would be the last year of the horse trials being run at the Foundation.

So, once again, the eventers were here and things needed to be built!

A small but mighty group of determined individuals, including Lefreda, joined forces to develop a vision of what could be among the land of the pines. They identified the property that is now home to the Carolina Horse Park, and in 1998, formed the Sandhills Equestrian Conservatory, later named the Carolina Horse Park Foundation.

While many may have viewed this piece of land as a rough piece of sand, outside the stretches of the Moss Foundation or Weymouth Woods, Lefreda could see the land forming an influential location for international eventing, and she was willing to put in the leg work to make it happen.

For the next 25 years, she would see the sun rise over the cross country course, and set over the field full of trailers that had hauled in horses from around the country. She inspired others with her work ethic, setting the standard for what would become a premier destination for riders of several disciplines.

For those who came to call Southern Pines home, she offered an open invite, uniting a town made up of pieces from around the globe.

As one Facebook poster noted “Southern Pines has lost its matriarch”, and they are correct. She ignited, inspired, and threaded the Sandhills area into a masterpiece that few could have ever imagined.

Event Calendar

OCTOBER NOVEMBER

Oct 2-6

Wed-Sun

NC State Fair

Hunter & Jumper Premiere 'AA' Show

Hunt Horse Complex 4601 Trinity Rd., Raleigh, NC, 27606 www.ncagr.gov

Oct 5-6

Sat-Sun

WHES October HT

Carolina Horse Park, 2814 Montrose Road, Raeford, NC 28376 www.carolinahorsepark.com

Oct 11-13

Fri-Sun

Sandbox Fall Final & Schooling Show

Championship

Pinehurst Harness Track, Beulah Hill Rd, Pinehurst, NC 28374 www.sportingservices.net

Oct 19

Saturday

Triangle Farms Schooling Show

Triangle Farms, 3301 Silver Water Lane, Wake Forest, NC, 27587 www.trianglefarms.com

Oct 20

Sunday

Buckhorn D/CT

Buckhorn Farm, 434 Youngs Rd, Vass, NC 28394 www.BuckhornFarmSP.com

Oct 26

Saturday

HRF Picnics&Ponies D/CT/HT/WD

Heather Ridge Farm, 875 N Horace Walters Rd, Raeford, NC 28376 www.HeatherRidgeFarm.org

Nov 1-3

Fri-Sun

Autumn Leaves

NCDCTA Dressage Championship

Carolina Horse Park, 2814 Montrose Road, Raeford, NC 28376 www.ncdcta.org

Nov 1-3

Fri-Sun

Triangle Farms Indoors 'C' Finale

Hunt Horse Complex, 4601 Trinity Rd., Raleigh, NC, 27606 www.trianglefarms.com

Nov 6-10

Wed-Sun

'Jump for the Children I'

Hunt Horse Complex, 4601 Trinity Rd., Raleigh, NC, 27606 www.trianglefarms.com

Nov 13-17

Fri-Sun

'Jump for the Children II'

Hunt Horse Complex, 4601 Trinity Rd., Raleigh, NC, 27606 www.trianglefarms.com

Nov 27

Saturday

HRF Picnics&Ponies D/CT/HT/WD

Heather Ridge Farm, 875 N Horace Walters Rd, Raeford, NC 28376 www.HeatherRidgeFarm.org

Nov 28

Thursday

Blessing of the Hounds

Southern Pines NC www.moorecountyhounds.com

DECEMBER

Dec 6-8

Fri-Sun

Annual Holiday Classic

Open Horse Show

Hunt Horse Complex, 4601 Trinity Rd., Raleigh, NC, 27606 www.holidayclassicopenhorseshow.com

Dec 7-8

Sat-Sun

Sedgefield at the Park

Winter Classic NCHJA "C" H/J Show

Carolina Horse Park, 2814 Montrose Road, Raeford, NC 28376 www.carolinahorsepark.com

Dec 28-31

Fri-Sun

Raleigh Indoor

Holiday Classic

Hunt Horse Complex, 4601 Trinity Rd., Raleigh, NC, 27606 www.trianglefarms.com

Advertising Index

ABERDEEN SUPPLY COMPANY

AP HASSINGER

ARTISTIC KITCHENS

ASHTEN’S RESTAURANT & BAR

AUDREY WIGGINS REAL ESTATE

BARNWARE/ INDUSTRIAL METAL PRODUCTS

CAROLINA HORSE PARK

CAROLINA POWER & GENERATORS

CARTHAGE FARM SUPPLY

EQUINE HEALTHCARE INTERNATIONAL

HARDY’S EQUIPMENT

JASON JACKSON PHOTOGRAPHY

KNOWLBROOK FARMS, INC.

MABUS FARM AND GENERAL CONTRACTING

PRANCING HORSE/ FARM TOUR

PONY TAILS GO BAR

STACKHOUSE & ELLIS

THE COUNTRY SADDLER

THE SANTANA CENTER

Turn static files into dynamic content formats.

Create a flipbook
Issuu converts static files into: digital portfolios, online yearbooks, online catalogs, digital photo albums and more. Sign up and create your flipbook.
Sandhills Equine Monthly by sandhillseqm - Issuu