The Olavian 2019

Page 1

Olavian Editor:David Craig

OldOlavian Editor:JohnBrown

AssistantEditor: Zarya Mekathotti

122
Vol.
2019
Toucan taken by James Kempton, an Old Olavian and PhD student at Wadham College, Oxford
Contents Contents Headteacher’s Introduction Editorial Headteacher’s Report2019 Staff 2019 Students’ Work Prize Day Sixth Form News 2019 Leavers’ Destinations International Trips &Duke of Edinburgh Mathematics &Computing Science English &Drama Chapel Music ModernForeign Languages Humanities Sports Art, Design& Technology Old Olavian 3 4 5 6 10 19 43 53 59 65 77 85 93 99 103 109 121 139 145 153

From the Headteacher

Westarted the academic year on ahigh note after an outstanding set of public examinationresults. At Advanced Level, 93% of grades were at A* to Band it was particularlyimpressivethat nearly athirdofthe grades were at A*. At GCSE,underthe newgrading system, 89% of grades were at 9to7,with 45% of the grades at 9.

Ofsted also paid us avisit on 6and 7February2019. It was immenselypleasing foreveryoneconnected with St.Olave’sGrammar School that the current overall effectiveness of the school remained outstanding. Inspectors looked in detail at howsuccessful leaders are in proactivelyestablishing an environment that supports pupils emotional, physical and mental well-being The school’s work in this area has been transformed. It is best summedupbypupils and students: withoutfail, theyfeel very well supported and listened to.Parents arealso highlypositive. Their views echoed with one another,sharing comments suchas‘bigger focus on wellbeing’, ‘emphasis on pastoralcare’ and ‘changehas been so positive’.I knowour communitywilltake great pride in this resounding endorsement of the excellencewhich characterises our very special school.

4–Olavian 2019

Students still find time to engageinanimpressive range of activities outside the classroom. ActivitiesWeeks have seen studentsvisit France,Germany,Greece and Belgium as well as various sites and places of interest around Londonand the South East. Studentshavealso found time to pursue WorldChallengeexpeditions in Croatia,a research trip to Malawi and asenior rugby tour to South Africa. Alongside these trips, we have celebrated Diwali, Black HistoryMonth and World MentalHealth Day. Theschool has also welcomed visitors from La MartiniereinCalcutta and exchange students from Lille.

Allthese events, activities and achievementsreflect the hardwork, talent and determinationofour students alongside the supportofparents, governors and a committed and dedicated staff.Itisa pleasuretoread about allthe studentendeavours, and ensurethey aredocumented as partofthe ‘Olavian’magazine. Congratulations to everyone involved in thischapter of the lifeofthe school. Together we makeSt. Olave’sa trulywonderful school.

Editorial

Myroleaseditor of the school magazine closes with this issue.Inthe taskofediting and lay-outI have beenassisted by ZaryaMekathotti,one of the very many brilliantstudents in this school to perform this task. In thisrespect she has been utterly brilliant.

Oneknows that the end of the road is nighwhen one is invited to an exit interview: etenebris lux. WasI to turntoAeneid BookVIfor inspiration? WasI to depart through the GateofHornorthrough the Gate of Ivory? Though my terminus has been reached, the careers of my colleagues and the wonderful students havea long wayyet to go. This magazine embraces the diversity of the school,its emphasis on pastoral care allied with academicsuccess, and the width and depthoflearning in its manyfacets.

Reflecting on my ownschool days,when trains were still steam driven and the thought of going anyfurther than Devon or Cornwallfor afamilyholidaywould havebeen unthinkable,tosee the rangeofdestinations reached and enjoyed by our pupils hereisstaggering.European travel seems almost commonplace and nowwehavepupils jetting to Florida, going on WorldChallengetours to Central America, rugbytours to South Africaand individual studentscompeting on the worldstage, and an exchangewith agirls’schoolinIndia.

Ihope present students willenjoyreading this and realise howmuchtheyhaveparticipated to the general well-being of the school. No onehas been omitted in anysense deliberately.Thehope too is that alumnaeand alumni willalso enjoyreading about the achievements and activitiesoftheir former school.

Editor -TheOlavian

David Craig,Esq St.Olave’s& St.Saviour’sGrammar School, GoddingtonLane, Orpington, Kent BR6 9SH

dcraig@saintolaves.net

Editor-TheOld Olavian

John MBrown, Esq 60 TheLawns, Rolleston-on-Dove, Burton-on-Trent, StaffordshireDE139DB

johnmbrown60@gmail.com

Olavian 2014 –5

HEADTEACHER’S REPORT 2019

External Examinations

ALevel results areonceagain outstanding,and consistent with performances in previous years. 93% of the grades secured by Olavians were A* to Bwith almost athird of allqualifications beingatA*. In additiontosome exceptional individual results, 40 studentssecured 3or moreA*grades.

At GCSE, our Year 11 students achievedanother excellent set of results. Thesesuperbresults are testament to our talented students, dedicated teachers and supportiveparents. With 89% at grades 9–7and 71% at grades 9/8, students haverisen magnificentlyto the challengeofGCSEs, and this hardworking group haveimproved on the outstandingresults of last year.33 studentsobtained ten or moreGCSEs at grades 9or8. Five studentsgained grade9inevery subject, as well as top grades in the Higher Project Qualificationand Free Standing Maths Unit. These performances placed us in TheTimes as 2ndbest Mixed school forA Leveland 4 th best Boys’State school forGCSE.

Ofsted

This inspectioninFebruarywas conductedunder Section8ofthe EducationAct 2005 and in accordance with Ofsted’s published procedures forinspecting schools with no formal designation. Theinspection was carried out as aresult of Ofsted’s risk assessment procedures. Inspectors scrutinised awiderange of informationrelatingtosafeguarding and child protectionarrangements, including school policies and the single central recordofpre-employment checks. Inspectors gathered arange of first-hand evidence by meeting pupils from each year group,students in the Sixth Form,staff working at the school,including both teaching and supportstaff,representatives from the Parents’Association,subject leaders and pastoral leaders. Inspectors held meetings with the governing body,senior leaders, the local authorityschool improvement partner and arepresentativefromthe Diocese of Rochester. Inspectors also considered the 169 replies to Parent View, Ofsted’s online questionnairefor parents and carers. Having considered the evidence,the inspectors were of the opinionthat at this time safeguarding is effectiveand the current overalleffectiveness of the school remains outstanding

Environment

Moneyfromthe Foundation, VoluntaryFund,School Reserves, LCVAPand Parents’ Associationhas allowed the following improvementstotake place over the last academic year:

•Refurbishment of the SmallHall, including new dining tables

•New quadand outside learning space by ADTand Science

•Refurbishment of stairwell and areas leading to the chapel

•Visitor’s toilet by the RichardsonRoom

•Improved lighting in corridors around school

•Roofrepairs

•Repainting of the external areas of the school

•New skylightand ceiling lights in foyer

•Painting of the ArtRooms

SchoolBadge

We havebeen working on the redesign of the school badge, whichisfoundonour letterheads, website, notices, signs and school blazers. We very much want to honour the cherished past historyofSt. Olave’s

6–Olavian
2019

Grammar School, whichcomes through the school blazer badge, but havereflected on whether the current crest is too complex,and the detail has been lost over time Theproposed newbadge incorporates the crown and axe, whichpreviouslyfeaturedonthe school blazers up until the Second WorldWar,and asimilar versionis currentlyused on our sports kit and by the OldOlavians. We believe the badge, shown below, maintainsour links to the past, but shows the school is looking forwardto the future.

•Badge accuratelyrepresents the purple,black and white; the school colours.

• Thegoldcrown and axeretain our linkswith our heritageaswellasStSaviour’s

•1571 is the date we were given our Royal Charter

• Theinsertionofthe school namestrengthens the identityofthe school badge.

• Theretentionofthe cross symbols supports that we areaChurch of England school.

• Theuse of the wording ‘GrammarSchool’to reinforce our academic strengths.

• Theinclusionoftwo white rings representing Ofor Olave’saswellasOfor Orpington.

• Theinner and outer circular white borders represent the twoO’s of OldOlavians.

International Summer Trips

TheSenior RugbyTeam touredSouth Africainthe summer,winning oneout of their four games.Thegroup also spent time visiting NelsonMandela’s house in Soweto,Knysna Elephant Park,CangoCaves,Bakabung GameLodge, Wilderness Lagoon in CapeTownand climbedTable Mountain, taking in some breath-taking views. Thegroup also visited LesediCultural Village to learnmoreabout the tribes of South Africa, dined at the world-famous CarnivoreRestaurant wherethey were servedthe likes of crocodile and ostrich, before ending the tourwith an excellent performanceagainst Harlequins RugbyClubunder floodlights

Year 9students travelled to Croatia to take partina ‘World Challenge’ expedition. Thestudentsclimbed up into the mountains of the PaklenicaNational Park, staying in atraditional mountain hut wherethe only way to replenish supplieswas by using mules. Thehighlight of the trip was swimming in and kayaking along the Zrmanja River surroundedbyforests coveredin electric

blue dragon flies beforereaching the final campsite fora well-deservedmeal

Sixth Form studentsalso tookpartinatwo-week expeditionwithin Malawi organised by Operation Wallacea. Students visited LilongweResearchCentre, outsideLilongwecity,LiwondeNationalParkandNkhata Bay, on the shores of Lake Malawi. Students studied human-wildlifeconflictand its effects on biodiversity, tookpartin acultural exchangewith the local people in the Lilongweareathrough an environmental education workshop and learnt to divein Lake Malawi, whichhas agreater diversityoffish than anyother lake on Earth.

Wellbeing Week

Theaim of Wellbeing Week was to enable students across the school to consider mental health and the importance of looking after one’swellbeing The week has been designedtohighlightthe manyissues concerning mental health that relate to students within school. Our first event was across-curricular Wellbeing Dayfor Year 9.TheUpfront TheatreCompanypresented their ‘InHarm’s Way’productionand students spentthe daydeveloping an understanding of wellbeing from the perspectiveofdifferent departments. We were also delighted to welcome back both Jennifer Langleyand Alicia Drummond. Jennifer,a chartered accountant and author who workscloselywith the Charlie Waller Memorial Trust, presented to Year 10. Shefocused her attentiononraising awareness of mental health and the emotional resilience of young people.Her focus was: ‘Self-Esteem and When it allgoesWrong’. Alicia Drummondtalked to Year 11 during the dayand then to both students and parents in the evening on ‘Anxiety.’ Her presentationwas proceeded by HeadofYear, Mr Haines, who started the evening off discussing ‘What makes us happy”.PSHE,Assemblies and tutor time were used as aforumfor discussions on the themeofmental health and the second editionofthe Wellbeing Journal was also available.Students involved havedonea superb job in putting this journal together and our thanks go to Amaar,Hannahand Jake (Year 13) in particular forall of the hardworkthat went into this project.

Black History Month Show

Congratulations to everyone involved in October’s Black HistoryMonth Show!Itwas aneclectic mix of acts from poetryreadings to rapping,tap dancingto gospel singing and agreat deal in between. We hada wonderful audience and alively, supportiveatmosphere. Thefocus ofthe showwas to celebrate the contribution of black artists to British culture, but it also celebrated the warmth, creativityand diversityofour students, with

Olavian 2019 –7

manyofthe acts created and performed by the students themselves.

Diwali@Olave’’s

Over twohundred people attended the Diwali celebrationin November and were treated to asparkling and memorable evening.Aswellasthe fundraising aspect of the evening,celebrating this important Hindu and Sikh festival helps to build the communityatSt. Olave’sbyenabling everyone to socialise together.Itwas pleasing to see people from alldifferent cultures attend the eveningand join in the dancing.Everything from redcarpet to registration, welcome drinks and bar,hall decoration, cultural program and catering,was excellent. Thesuccess of this event would not havebeen possible without the supportofthe organising team,performers and other volunteers.

Cultural Evening

CulturalEvening 2018was held in Novemberwhereour cultural diversitywas celebrated through music, dance and food from aroundthe world. Thestunning acts included the IndianDancegroup,‘Desi Girls’; Antonio’s mesmerising piano,‘Colourful Clouds Chasingthe Moon’;and Ben playing guitar and singing the traditional Welsh hymn,‘Gwahoddiad’.Also featuring was Eugene, aformer student, who playeda beautiful duet with Jenniferintheirown medley between piano and violin. Thefoodisalwaysahighlight of Cultural Eveningand this year did not fail to deliver.Guests were spoiled forchoicewith delectable food from severalcuisines available Thank youtoevery parent who graciously donated food and made the event possible.Gratitude is extended to allthe sponsors including BoyGeorge, who kindly donated the first copyofhis newalbum‘Life’, signed by himself,for auction. Awarmcongratulations to the CulturalEvening Committee,led by Harshdeep, fororganisingthis successful event where allprofits went to their chosen charity, CAFOD.

Charity

This year students decided to raise moneytosupport the chosen charities: ‘JAGSFoundation’and ‘ECHO’. Festival was fullofentertainment, enjoyment and, of course,teachers participating in populargame- shows. Overall, along with Cabaret, it looks as though we shall haveraised £9,868 -afantastic achievement, an even greater sum than the last twoyears! Individual form groups allran stalls including ‘AnEscape Room’,‘Santa’s Grotto’and ‘A Christmas ConfectionaryEmporium’; congratulations to 10K forraising £362 by continuing the great BBQ tradition, alongside ‘Splat the Rat’.

Parents’ Association

Manythanks to the Parents’ Asociationfor their generosityinfunding twoiPads forour Computing Department. These havebeen put to good use by Year 13 Computer Science students to help them understand superpositionphenomena used in Quantum Computers, enablingthem to visualisehow qubit canbeboth 1,0 and allthe states in between at the same time.Likewise,the newripple tank forour Physics Department has proved extremelypopular with students, providingthem with concrete evidence of some complex wavephenomena. Using water waves to demonstrate willprovidethe basis forthe students to extend their understanding to examplesusing wavetypes suchaselectromagnetic waves or sound.

Duke of Edinburgh’s Award

This Easter our GoldDuke of Edinburgh’s Awardteams tackled the wilderness in Wales. 29 students tookonthe very wetand wild Black Mountains, dealing with rain, snowand sleet as well as some very sunnyconditions. OurDuke of Edinburgh’s consultants,WCC,stated that these were the best teamsthe school hadproduced in the eight years theyhad been associated with the school.

8–Olavian 2019
Olavian 2019 –9

Chairman of the Governors

TheVen.DrPaulWright, FRSA

Foundation Governors

Appointed by the LordBishop of Rochester:

TheRevdH.P.C. Broadbent, M.A., Dip.Theol.

S. Ganatra,B.Sc.,M.Sc.

Appointed by the Rochester Diocesan BoardofEducation:

TheVen.DrPaulWright, FRSA

TheRevdR.T.Parker-McGee,M.A., B.A.

Appointed by the Chapter of SouthwarkCathedral:

N. Grenside

Appointed by the St Olave’s and St Saviour’s Schools Foundation:

Dr D. Ryall.Ph.D.,B.A

H. McAleer, M.A., M.Eng.

Staffing 2018 -2019

Appointed by the Dulwich Estate:

A. Fabian, M.A.(Oxon)

–Olavian 2019

\

Appointed by the London Borough of Bromley:

S.L. Carr

Elected Parent Governors:

S. Bandi, B.Sc., M.A

B. Nunn, MCIPD

Elected Staff Governor:

C.A. Benham, B.A., P.G.C.E

Co-optedGovernor:

M.F.Sullivan, B.A.

A. Boyd,M.A., M.Eng., A.C.A.

S. Chaudhary, M.A., B.Ed.

Clerk to the Governors

R. Walters,M.A.(Cantab), A.C.A

SeniorLeadershipTeam

Headteacher

A. Rees, B.Sc.

10

Assistant Staff

D.M.G. Craig,B.A., M.Phil., Bristol University& King’sCollege, LondonUniversity

N. Maltman, M.A., PembrokeCollege, Cambridge

S.L. Beston, M.A., St Catherine’s College, Oxford

P.E. Holland, B.Ed.(Hons), Brunel University

A.M.Kenward, B.A.(Ed.) (Hons), Universityof Exeter

D. Bowden, B.A., UniversityofLancaster

C.E.Marwood, B.Sc.,TheOpen University; L.R.A.M., Dip.R.A.M.

M.F.Sullivan, B.A., Westfield College, London University

S.K. Wilcox, B.A., Goldsmiths’College, London University

Dr.J.Bradley,B.Sc., Ph.D.King’s College&Royal Free School of Medicine,LondonUniversity

C. Johnson, B.Sc., UniversityofNottingham

G.C. Gardiner,M.A., Newnham College, Cambridge

J.S. Penny, B.Sc., Royal HollowayCollege, London University

J.A. Greenwood, B.Sc., UniversityofBradford

K.A. Hodges, M.Eng., St.Catherine’s College, Oxford

M.G. Price,M.A.,TrinityCollege, Cambridge

P. Vasileva, B.Sc., UniversityofSussex

V.E. Watson, B.A., UniversityofSussex

L.D.Espejo,Esq., M.A., UniversityofSt. Andrews

E.A.Goodman, B.A., UniversityofYork

R.E. Hawley, B.A., Middlesex University

A. Wilkie,M.A., B.A., UniversityofWarwick& Goldsmiths’College, LondonUniversity

T.A. McCurrach, M.Math, Magdalen College, Oxford

J.M. Munday, M.A., Cambridge

H. McPartland, B.Sc., Bristol University

A. Lake,B.A., UniversityofNottingham

J.B. Davis, Esq., B.Sc.(Cardiff)

W. Haines, B.A. (Hons), M.Sc., Manchester

M. Lawrence,B.A.(Hons) (Cantab),M.Eng (Cantab) M.A. (Cantab)

Dr J.N. Stewart, B.Sc.(Hons), UniversityofGlasgow, Ph.D., Heriot-Watt

A.K.J.Carroll, M.A.(Cantab), M.A.(London)

P.J. Doorbar,B.A., Warwick, M.A., School of Oriental and African Studies

D. Farr,B.A., UCL

S. Lands, B.A. (Hons), Ravensbourne Collegeof Design and Communication

J. Morrell, B.Sc., Reading

R. Beach,B.Sc., Leeds

J. Clift, B.A., Durham

S. Difford, B.Sc., London

S. Holleran, M.Eng.,London

M.C.M.Twose,M.Eng., Nottingham

C.A. Benham, B.A., LondonSchool of Economics

P. Bassett, B.Sc., Exeter

S. Esswood, B.Sc., York

S. Kemal, B.A. (Hons), UniversityofKent

A. Mowll, M.Sc., Oxford

M. Perks, B.Sc., Exeter

Dr M. Fox, M.Phys. (Hons), Oxford,D.Phil., Oxford

K. Bishop,B.Sc., M.Sc., UniversityofBologna

Dr M. Ashford, M.Math, D.Phil., Oxford

R. Boyden, B.A., UniversityofSurrey

Dr J. Carpenter, B.A., Cambridge, D.Phil., Oxford, M.Sci., Imperial College, London

N. Clegg,B.A., M.Sci., Cambridge

Dr S. Corlett, B.Sc., Ph.D., UniversityofLiverpool

S. Dodd, B.A., M.A., Oxford,M.Sc., King’sCollege, London

L. Gibbons, B.Sc., Loughborough

A. Jewson, B.Eng., Bristol

E. Pourjam,B.Sc., Sharif UniversityofTechnology, M.Sc.,Tehran

H. Reardon, B.Mus. (Hons), Birmingham Conservatoire, M.Mus., Guildhall School of Music and Drama

S. Senaratne,B.Sc., Royal HollowayCollege, LondonUniversity

R. Zeshan, B.Sc., National UniversityofComputer and Emerging Sciences-FAST,Lahore

N. Chambers, B.Sc., Sussex

A. Clark, B.A., Plymouth

B. Hall, HND, LondonCollegeofCommunication

M. Wearn, B.A., Leicester

S. Mahadevan, B.A. Hons, MSt, Oxford,

L. Probodziak, B.A., M.A., Somerville College, Oxford

C.Thomas, B.Sc., Goldsmiths’College, London University, M.Ed., King’s College

Olavian 2019 –11
12 –Olavian 2019

Valete -July 2019

TheabidingmemoryofJames isthatofamanastridearange of bicycles whosepassion forvelopedic activities left most of us astounded. He thought nothing of riding ridiculous numbers of miles, sleeping in the wild and then pronouncing this euphoric. He also enjoyedwalking and camping.

He seemedalso to wear the same black suit to school dailywhichwas somewhatperplexing.James willalso be remembered forbeing a first-rate mathematics teacher. He has severalincarnations at this school,mathsteacher, HeadofMaths and member of SLT.He was particularly successful in the task of preparing the timetable.Heleft brieflytoteach in aschool in Snodlandbut returned to the very great benefitofthe school.

Aman of enormous dedicationand commitment to the school’s extra-curricular activities, aman too who participatedfully in the Christian Fellowship weekends and supporting children in their progress. We allwish him well forthe future.

Neil Maltmanand his wife Liz joined the staff at atime when therewerestillveryfew computersinthe schooland twoonlyinthe staff room

the team whohas set entrance tests and stood firm when he saw injusticeand disparity. He is without doubt one of the most superlativecolleagues we could wish to have. Therehas always been somethingimmensely reassuring about Neil’s presence on the manyschool trips that he has both organised and attended. Should thereeverhave been amoment’s crisis it was always splendid thatNeil was at hand.

Neil is Christian and formanyyears gaveexcellent school assemblies and organised the Christian Fellowship weekendatCarrotyWoodinTonbridge. So manyofour pupils havebenefitted from the guidanceofthis brilliant man. He is seriouslycleverbut wears his brilliance lightly. Never onetoboast or brag abouthis talents,he has always used them forthe benefitofothers.Therewill be very manypupils from this school who willowe their success in mathematics entirelytothiswhollywonderful man.

Stephen Dodd is avery brilliant man and an outstandingteacher.After a long career in industryand retraining as achemistry teacher at Bennett Memorial in TunbridgeWells,he joined the school’s chemistry department, adepartment blessed with largenumbers of students at Alevel.

Thedepartment is deservedlyregarded as brilliant not only by the school staff but also the boys.Itisinno smallmeasurethat Stephen contributed to its on-going success.We wish him the very bestinhis newpost at his Alma Mater,Colfe’s

Dedicated staff who arrived early on Saturdaymornings to takesports teamswould invariably find the Maltmans working ferociously at writing schemes of work,lesson preparationand devisingthe very best ways to convey theirsubject.

Generations of pupils at this school willrecallNeilasthe best of mathsteachers.They willalso rememberhim as a HeadofDepartment of outstanding abilityand aman of incredible integrity. Formanyyears he has beenpartof

What awholly wonderful woman!This is my perception of Jane and it is oneshared by allcolleagues. Jane is that ‘raraavis’who could do many jobs allatthe same time and manyofthe types of jobs that meremortals would dislike doing.She could organise reunions forthe OOsof whomshe was extremely

Olavian 2019 –13
James Davis Neil Maltman

fond whilst at the sametime booking tickets fortrips to London, Greece,and France among other places. She always impressed by her strongviews, her immaculate appearance and charm. Shewas not shyin expressinga judgement and could be refreshinglyfrank. This school and its pupils willbeverygrateful to Jane forputting together behind the scenes so manytrips, some of which she herself attended, and willmiss her greatly.

Loiuse Gibbons joined the Geography Department forbrief time beforeherself going on maternityleave. Loiuse was very effectivein allaspects of teaching in the department and willbe much missed.

Nicola Chambers joined the mathematics department after acareer in hedgefund management.She made an impact on the school immediatelythrough her excellent command of mathematics, her superlative classroommanagement and the extrahelp she was always prepared to givethe pupils to supporttheirlearning.

Her stayatthe schoolwas somewhat brief but we naturally wish this very good teacher aglorious time in her year travelling.

Mr Hallcame brieflytothe artdepartment where he was inconspicuous but highly effective. He nowleaves the school to train to be achurch leader

Samhas been abrilliant part of the team at St.Olave’s, not only beinganexcellent classroomteacher but a woman who has participated in manyschool trips associated with science and history.

As old-fashioned as it may sound but Jamie should be described as ‘verygood bloke’. This excellent young man joined the school for ayearwherehe helped out in avarietyofdepartments and did the job with utter brilliance.

Shemadesurethat in keepingwith the ethos of the school she made awholehearted commitment to overseas trips. Often to be found on the history trip to WW1 battle sitesshe became thoroughlyengaged once she was on the move,going over the top at Ypres or visiting the underground mines, but she hada remarkable quality much admired by her colleagues forprofound sleep on the coaches. Her humour,joyouslaughter and brilliant sense of sartorial elegance willbemuchmissed. She leaves to take up apost at King ‘s College, Wimbledon.

He devoted himself to helping with the rugbybut as with manyofthe staff at the school could turnhis hand to most things and taught agreat dealofKS3 mathematics. Withoutany exaggerationhis companionship,humour, acumen and intelligencewillbemuchmissed. He now movesontotake up apost in London as alawyer

Theschool willverymiss the extraordinarilytalented Dr Foxwho has departed for work in the USA. He taught at the school with utter brilliance and was noted for beingable to make the most complex understandable He was something of a Renaissance man with interests in allmatters Italian, local politics and history

This tall,elegant and suavegentlemanaccompanied many

14
–Olavian 2019
Louise Gibbons Barney Hall JamieBarnett Nicola Chambers Samantha Esswood Michael Fox

historytrips, notablytothe WW1battle sites wherehe was the most engaging colleague and wit.His knowledge of nearly everything seemedtohaveincredible depth and am surethat he willbring this acumen to bear in his work overseas.

AndrewMowll

Andrew Mowell has sadly movedontoDulwich College. Andrew is a brilliantmathematician and possessed of acharming senseofhumour

Timwas aremarkably brilliant mathematics teacher hereatthe school beforeleavingtoestablishhis ownsoftwarecompany. He was like many fine teachers wholly dedicated to his task and supported manyofthe pupils especiallythose doing the Oxbridgemathematics entrance papers.

In additiontowhichhespent agreat deal of time with the chess teams and the Christian fellowship.Hewill also be much missed forhis intriguing dress sense

Atalltimesincommonwithmanymembersofthestaffat the school he gaveenormousamounts of his time to help students with extra-curricular activities suchaschess, mathematics challenges, footballand even Formula One racing.Inthe commonroomhewas greatlyappreciated forhis charm, mathematical acumen and sagacity.

–15
Olavian 2019
16 –Olavian 2019

Salvete -September2019

Assistant Headteacher (Director of Sixth Form)

Mr MatthewBirtchnell was educated at Chatham Grammar School forBoys and went on to the University of Exeter wherehegained aBAinFrench/German. He completedhis PGCE and MA in Educationat CanterburyChrist Church University.Matthew’s current experience includes Careers Fair leadership, organisationofseminarsand visiting speakers, Mock European Council, European Commission Translation Competition, Sixth Form pastoral care,university choices and UCAS applications.

Matthewis fluent in Frenchand German,with an intermediateknowledgeofSpanish. He is aqualified Duke of Edinburgh Expeditionand Camp Leader and has wide ranging experienceinthe organisationand leadership of trips and exchangevisits.

TeacherofClassics

Dr Alessandra Abbattista waseducated at the Liceo Classico De Sanctis, Italy, beforemoving on to the UniversityofBologna whereshe gained aBAin Classics –Philologyand an MA in Philology, Tradition and Classical Literature. Alessandracompleted her PhDinClassicsand Associate Fellowshipof Higher Educationatthe UniversityofRoehampton and her PGCE at the UniversityofBuckingham.She has deliveredpresentationsatnational and international conferences, has organised grants forClassics and interdisciplinaryworkshops and has published her own works. Sheis fluentinItalian and is able to read both Frenchand Spanish.

Part-time TeacherofChemistry

Mrs Elizabeth Maltman was educated at Southend High School forGirls and went on to the Universityof Hullwhereshe gaineda BSc in Chemistrywith Physics. Elizabeth has vast experience as apastoralleader for residential camps and within achurchenvironment. Sheis also askilled costumemaker forDrama productions.

Teacher of Biology

Mr Francis Afframwas educated at the Universityof Ghana wherehegained aBA in Science. He completed his PGCE at the Universityof London. In his current roles as Lead Teacher of Science and Form Tutor,Francis has experience in running STEM Club activities, managing teaching,learning and assessment,coaching and mentoring and providing pastoral support.

Teacher of Computing

Mr SebastianKingwas educated at King’s School Rochester and went on to Queen MaryUniversityof Londonwherehegained a BScinComputerScience He completed his PGCE at King’sCollegeLondon. Sebastianholds aGrade 7 Public Speaking LAMDA qualification, has experience of Teaching English as a Foreign Languageand an interest in music.

Olavian 2019 –17

Teacher of English

Miss Holly Smith joinsusas an NQT.Holly was educated at Bullers Wood School and went on to the University of Bristolwhere she gained aBAinEnglish. Holly is passionate aboutdance and has qualified at the highest ISTDlevels in Ballet, Tap, ModernDance and Jazz Shealso holds aLevel 3 Certificate in Vocational Graded ExaminationinDance and Intermediate Tap. Holly has experience of Duke of Edinburgh and WorldChallengeexpeditions and is akeen advocate of adventureand travel.

Teacher of Mathematics

Mrs Joseline Eugene was educated in India and gained aFirstClassMathematics Degree at the Bharathiyar UniversityProvidence Collegefor Women in India. Joseline’s experience includes running aKS3 Mathematics Club,conducting fundraising activities and Debates and Public Speaking forKS3 students in India. Joseline is a fluent Frenchspeaker and has verbal and written knowledgeofboth Hindi and Kanada.

Teacher of Mathematics

Mr Ajibola Fasoranti was educated in Nigeriaand went on to gain aBSc in Agricultural Engineering at the UniversityofIfe Nigeria. He also holds aDegree in Civil Engineering from the UniversityofNewcastle and aDegree in Secondary Mathematics from the UniversityofGreenwich.

Ajibola is avolunteer Sunday School Teacher and alsoorganises extratuitionuptoA Levelfor the younger church attendees. He is fluentin Yoruba.

TeacherofMathematics

Mr Jacob Savagewas educated at St Olave’s Grammar School and went on to the Universityof Warwickwherehegained a BScin Physics. Jacob has a keen interest in Computer Science,has experience as aTeacher of Computing and has been involved with Robotics Competitions.

KS3 Mathematics Co-ordinator

Mr Eric Roye was educated at Christ the King Sixth Form Collegeand went on to gain aBSc in Mathematical Sciences from Kingston University. Eric completed his PGCEunder the School Direct Training Scheme.He is an examiner forEdexcel and averykeen rugbyplayer.

Part-timeTeacherofMathematics

Mr RobertMasters was educatedatHarveyGrammar School in Folkestone and went on to the Universityof Reading wherehegained a BScinMathematics.Robert was Headmaster at TheJudd School from 2004 –2017 and is currentlya part-time Teacher of Mathematics at ArdinglyCollege.

18 –Olavian 2019

Students’ Work

Extractfrom Notebook of aReturntoMy NativeLand

Aimé Césaire

Leaving… I’darriveplain and young in this countryof mine

and I’dsay to this countrywhose silt embeds itself in my flesh:‘I’ve wandered alongwhile and I’m returning to the deserted ugliness of your wounds.’

Students’ Work

Andlook, I’mhere!

Again this hobbling lifebeforeme- not this life, this death, this death

withoutsense or pity, this deathinwhich greatness is a sorryfailure- the dazzling littleness of this death, this deathlimping from littleness

to littleness -these shovelfulsofrapacityoverthe conquistador;these shovelfuls

I’dcometothis countryofmine and I’dsay to it: ‘Kiss me without fear…And if

Ionlyknowhow to speak,it’sfor youthat Ispeak.’

Andagain I’dsay to it:

‘Mymouth willbethe mouthofmouthless suffering, my voice,the liberties of those shut up in despair.’

of flunkies over the great savage; these shovelfuls of little souls over the triple-souled Carib

Andall these futile deaths, absurdities under the splutter of my openconscience,tragic futilities lit by this lone sea-sparkle and me

alone,anabrupt early-morning scenewherethe apocalypse of monstersparades, then, keeled over,is quiet.

Warm electionofashes, of ruins and collapses.

Andonthe way, I’dsay to myself:

‘One morething! One,for the love of God justone:I don’thavethe right to calculate lifebymysootyhandspan; to reduce myself to this ellipsoidal

‘And my body,especially,aswellasmysoul -careful not to cross your arms in the sterile attitude of aspectator, forlifeis not ashow, asea of sorrowsisnot aproscenium, ashrieking man is not adancing bear…’

little nothing tremblingfour fingers above the line,I,a man, to thus capsize

creation,including myself between latitude and longitude!’

At the close of the early morning,male thirstand obstinate desire.

20
–Olavian 2019

Look at me,cut off from cool oases of fraternity.

This modest nothing of hardsplinters

This too-certain horizon quivers like ajailor.Yourlast triumph, tenacious

crow of Treason.

What is mine,these fewthousand death-stricken who go round in circles in the calabash

of an island and what is mine too,the archipelagoarched like the uneasy desiretodeny

oneself,like amaternal anxiety to protect the more delicate subtletywhichseparates oneAmerica

from the other.And its flanks whichsecrete the good liqueur of aGulf Stream forEurope,and oneoftwo slopes of incandescence

between whichthe Equator walks the tightrope towards Africa. Andmy non-fence isle,its clear daring,standing at the back

of this Polynesia, in frontofit, Guadeloupecracked into twobyits dorsal line and as impoverished as us, Haiti whereblackness is standing

up forthe first time and saying that it believesinits humanity and the funnylittle tail of Florida where they’re rounding off the strangling of ablack

man,and Africacaterpillaring titanically towards the Hispanic foot of Europe,its

nuditywhereDeath reaps in largewindrows.

(Extract)Cahier d’un retour au pays natal d’AiméCésaire

Partir j’arriverais lisse et jeune danscepays

mien et je dirais àcepaysdontle limonentredansla compositiondemachair :«J’ai longtemps erréetje reviens vers la hideurdésertées de vosplaies ».

Je viendrais àcepaysmien et je lui dirais :« Embrassezmoi sans crainte... Et si je ne sais que parler, c’est pour vous que je parlerais ».

Et je lui dirai encore:

«Mabouche seralabouche des malheurs qui n’ontpoint de bouche,mavoix, la liberté de celles qui s’affaissent au cachot du désespoir.»

Et venant je me dirais àmoi même:

«Et surtout moncorps aussi bien que monâme,gardezvous de vous croiser les bras en l’attitude sterile du spectateur,car la vie n’est pas un spectacle,carune merde douleurs n’est pas un proscenium, carun hommequi crie n’est pas un ours qui danse »

AndI saytomyself Bordeaux and Nantes and Liverpool and NewYorkand SanFrancisco

Notanookofthis worldwithout my fingerprint

Andmyheelbone on the skyscrapers’ shoulders and my muck

in the sparkle of gems! Whocan brag of havingmore than I?

Et voici que je suis venu !

De nouveau cette vie clopinante devant moi, nonpas cette vie,cette mort,cette mortsans sens ni piété, cette mortoùlagrandeur piteusement échoue,l’éclatant petitesse de cette mort, cette mortqui clopine de petitesses en petitesses ;ces pelletées de petitesavidités sur le conquistador;ces pelletées de petits

larbins sur le grand sauvage, ces pelletées de petites âmes sur le Caraïbe aux trois âmes, et toutes ces morts futiles

Olavian 2019 –21

absurdités sous l’éclaboussement de ma conscience ouverte

tragiquesfutilités éclairée de cette seulenoctiluque et moi seul, brusque scène de ce petit matin

où fait le beau l’apocalypse des monstres puis, chavirée, se tait

chaude électiondecendres, de ruines et d’affaissements

Haïti où la négritude se mit debout pour la premièrefois et dit qu’ellecroyait àson humanité et la comique petite queue de la Floride où d’un nègres’achèvela strangulation, et l’Afrique gigantesquement chenillant jusqu’au pied hispanique de l’Europe,sanudité où la Mortfauche àlarges andains.

-Encoreune objection!une seule,mais de grâceune seule :jen’ai pas le droit de calculer la vie àmon

empan fuligineux ;demeréduireà ce petit rien ellipsoïdal qui tremble àquatredoigts au-dessus de la

ligne,moi homme,d’ainsi bouleverser la création, que je me comprenne entrelatitudeetlongitude !

Et je me dis Bordeaux et Nantes et Liverpool et New York et SanFrancisco

pas un boutdecemonde qui ne porte monempreinte digitale

et moncalcanéum sur le dos des gratte-ciel et ma crasse

dans le scintillement des gemmes !

Quipeut se vanter d’avoir mieux que moi?

Au bout du petit matin, la mâle soif et l’entêté désir, me voici divisé des oasis fraîches de la fraternité

Translator’sNote

ce rien pudiquefrise d’échardes dures

cet horizon trop sûr tressaille comme un geôlier

Tondernier triomphe,corbeau tenace de la Trahison.

Ce qui est àmoi, ces quelques milliers de mortiférés qui tournent en rond dans la calebasse d’une île et

ce qui est àmoi aussi, l’archipel arqué comme le désir inquiet de se nier,ondirait une anxiété maternelle

pour protéger la ténuité plus délicate qui séparel’une de l’autreAmérique ;etses flancs qui sécrètent

pour l’Europe la bonne liqueur d’un Gulf Stream, et l’un des deux versants d’incandescence entrequoi

l’Equateurfunambule vers l’Afrique.Etmon île non-clôture,saclaire audace debout àl’arrièredecette

polynésie,devant elle,laGuadeloupe fendue en deux de sa raie dorsale et de mêmemisère que nous,

Cahierd’un retours au paynatal is agreat literary experiment -a raw, lyricalmosaic drawingona staggering rangeoftonetoconvey the disorientating natureofcolonialism.I chose thisrather long extract to best showoff its protean nature, which,however, is held together by an underlyinganger.Its complexityis difficult to translate,but deeplyrewarding because its ownfreedom implicitlyallowsthe translator their own. Ihaveplayedfreelywith the structureofthe stanzas for avarietyofpoetic effects. Sometimes structureenhances meaning; death limpsfromlittleness to littleness over three lines,and oneAmericaisvisually separated from another.Itisalso aformoffurther commentary; Florida rounds off the ‘strangling of ablack/man’; his humanity is an afterthought to his race.I havealso leftout, out of personal preference and forthe isolatedcoherenceof the extractrespectively,the first line of the first stanza and the last line of the last. As forthe languageitself, Ihavecreated apun wherethereisnoneinthe French; whereCésaireliterally says:‘my voice,the liberty of those sunk in the dungeonofdespair,’ Itranslated ‘myvoice, the liberty of those shut up/ in despair,’ emphasising the double meaning with the line break.Of course,I was also alerttodouble meanings Césaireprobablydid intend; forexample,I translate ‘flanc’as‘flank’ rather than the geographical ‘slope,’ashehumanisesthe landscape with theverb‘secretes.’Themostchallengingwordwasprobably mortiféré,whichfusesthe adjectives for‘murderous’with ‘plague-stricken’; Itranslated it as ‘death-stricken.’Itisa darklystriking creation,reminding us that death is not an absolute but awasting malady.Like the rest of the poem, it flauntsCésaire’s philosophical genius.

22
–Olavian 2019

“An exploration of the themes of Xenia and Kleos in OdysseyI”

When examining xenia in OdysseyI,itis apt to consider the morespecificmythological theme of theoxeny (or theoxenia): wheremortal pietyand virtue is revealed through human extensionofhospitalitytoanapparent modest stranger (xenos), who is in fact adisguised deity(theos), as this is the case with Athene-Mentes. Notonlydoesthe concept of theoxeny hold gravitas in the divine scope –asthe gods havecapacitytoreward or punish based upontheir reception(seen in the art work ‘Jupiter and Mercurius in the House of Philemon and Baucis’bythe workshop of Rubens, where the two villagers willing to entertain arerewarded, as the rest of the demeispunished)-but on the anthropomorphic level, as onewho exhibits ‘guest-friendship’isnot only seen to adheretodivinelaw,but that of civil customand social generosity.Duetothis,xenia becomes the vessel of audienceinsight intothe respectivemoral compasses of the parties involved.

Rather than make apoor or half-hearted attempt at welcoming the guest, ‘the insolentSuitors’ (where Homer’s elected adjectiveisindicativeofboth exaggerated egoand reckless ethical abandon) simply desert their social obligationand allowAthene-Mentes to ‘bekept standingatthe gates’, as theyengagein

further disfavourable and quasi- debaucherous acts, suchas‘carving meatinlavish portions’ –anherald to the cautionofthe ‘Hyperion’ proleptic marker from the proem, to set alarmbells ringing in the ears of the avid listener.One could go as far as to assertthat this abnegationofxenia, in terms of theoxeny,borders upon the most debasing Greek sin of all: hubris.Thepossibility that the visitor could be amasquerading godeitherdoes not occur to or does not concern the ‘dissolute mob’–thus implying the group’s narcissistic belief of itself has become so falselyinflated that it has broken free of even deificreigns. Homerprogresses to juxtapose this displaywith that of Telemachus,toa chiaroscuro-esque effect (as Aristotle said, drama comes out of reversal). This character is described to go ‘straight up to his visitor’, wherethe striking adjectiveprovides asense of urgencyand purpose,along with dedicationtothe cause. Additionally,the subtle changein linguistics –from, earlier,‘astranger’to, here, ‘his visitor’– introducesaless othering synonym, coupled with apossessivepronoun, to evidence the truth in Telemachus’ ‘cordial greetings’: ‘Welcome,friend!’ (once more, notice the compounding shiftofthe object noun selectedtouse yetmoreconvivial terminology). Telemachus’ statement ‘You cantellus what has brought youherewhen youhavehad some food’ is again key, as it is simultaneouslyindicativeofinherent moral goodness, due to it establishing the proper order of xenia (the structureofthe scene: greet,feed,wash then question), and provides adeeper contrast to the Suitors, in its respectable mentionoffood. Further,the episode detailingTelemachus’receptionis highlyelaboratedwherethatofthe Suitors, reflecting their attention paid to hospitality, is remarkablybrief.Detail is assertiblya direct marker of both value and quantity, implying the content is extensive,and should not be rushed or skipped over,consequentlyhighlighting the magnitude of xenia, thus the moral upstanding of the sonasopposedtothe Suitors.

However, it would be awild oversight to claim that bookI’s characterisationofTelemachus is of asolely exemplary nature; rather,Homer utilises xenia to illustrate Telemachus’ potentiality, whichremains yetto be whollyactualised (to adopt the terminologyemployed by Aristotle in ‘TheMetaphysics’) . Throughout the inherentlydidactic work of abard, morallessons are ubiquitous (as summarizedbyAristophanes, in ‘Frogs’, through the line “Smallchildren havetheir teachers –but we,the poets, arethe teachers of men!”) and onecould assertthatthe greatest lessons in ‘OdysseyI’are exercised uponthe audience through their surrogate figureof Telemachus, in his kleos-centric bildungsroman. Across the book, the great kleos of Odysseus precedes the man as potentlyasthe stockepithetsthat describe him as ‘heroic’, ‘admirable’and ‘resourceful’fromthe outset of the proem (wherestructural primacy equates to acertain primacy in conceptualvalue). This notionisconfirmed

Olavian
–23
2019

by Zeus in his declaration“He is not only the wisest man alivebut generous in his offerings”, made powerful due to its superlativeformat andindicative– thuscertain –mood use This reputationis so influential in fact, that Telemachus, despite neverhaving met his father,issure of Odysseus’prowess within and command over the local social hierarchy. One cansee this pellucidly through the claim “One glimpse of him in Ithaca,and they’dprayfor afaster pair of legs rather than gold”- whichemphasises Odysseus’ redoubtable repute,inits implicationthata chancetoescapethisformidableopponentout-valuesany material object (wherevisual-wealth was of extraordinary regardinthe Homeric world, being an index of timē -asisdeduced from Alcinous’ palace whenthe bard brings his audience to Phaeacia [bookVII]). From this standpoint, it seems shocking that Telemachus begins to doubt in his ownlineage –both in fact and desire; in his depressivestate,the youth even claims, “ifonlyI were the sonofsomelucky man overtaken by old ageamong his ownbelongings!”, thusshirking the grandeur of the paternal kleos he has lived uponthus far,for want of fiscalcomfort.Further,one could assertthat Telemachus exhibits cowardice in his fancifullust foracontrarylife and ironic,conditional reliance uponthe incorporeal and intangible kleos of asaviour figure‘whose white bones’he believesto‘lie strewnin the rain somewhere’(aphysically undignified –and borderline bathetic -state to contrast the immaterial upstanding of Odysseus’ reputation). Through this overarching contradiction, Homer creates asubstantial tensionbetween the immaturity and possibilityofTelemachus, who not only has his “great”father’s blood within him, but potential to attain his ownkleos, currentlylying latent. As such, Athene seeks to realise this through her re-introductionof‘the paradigm of Aegisthus’ in the imperativecommand “You… must be as braveasOrestes”, that followsher rhetorical question“Have younot heardwhataname Orestes made forhimself in the world[arguablyboth the mortal and divine,asboth collections understand and revere such‘Orestes references.’] …?”.This anecdote is of extreme value in anyanalysis of the theme of kleos –anidea evident from the repeated incidence of the leitmotif,seen at the startand at the end of the book,in a ring-structurethat not only servesasadoubleemphasis, but allows the paradigm to both preface and conclude, looming over and lingering after Though broadlythe inverted motif of Odysseus’ return, the kleos of Orestes is not only an epitome of influential reputation, but a profoundexamplumtoTelemachus. This is clear in the physical realm: as Orestes returned to killhis father’s usurper and thus become the dominant male –‘alpha’of the house so too should Telemachus killthe Suitors. (A masculine character developmentmarker seen in manyClassical works, suchasOedipusRex,though far moremacabre in this example incidence,asOedipus assumes his father’s household supremacy through this man’s slaughter and the participationinsexual relations

with the widow). Themessagealso pervades into the psychological realm as the kleos of Orestes galvanizes Telemachus into fulfilling the council of Athene: “You arenolongera child: youmust put childish thoughts away”(adopting elements Aristotelian syllogisticlogicin its rhetorical form,inutilising amajor factual premise to leadtoathus moreforceful conclusion, both of which arestrengthened by the use of direct address). By the close of the book, Telemachus has evolvedfrom‘sitting disconsolate among the Suitors’ to declaring “I am master in this house”:a statement to whichPenelope’s subsequentobliging obedience demonstrates aresponse of both faith and pride (nota benne: avast majority of feminine figures in ‘Odyssey’,Penelope included, possess levels of autonomy that appear to subvert the patriarchal hierarchy, thus hereher willing submissionis particularly potent). From this triumphant closure, one canbeconfident that Athene’s claim “futuregenerations

24
–Olavian 2019

willsing [Telemachus’] praises” is trulyprophetic, as he embarks on not only ageographical journey, but oneof character –and kleos –maturation.

As such, it canbeasserted that the themes of xenia and kleos arewoven in acomplexityakin to that of Penelope’s interminably incomplete shroud; both concepts reciprocally depend oneanother to form the frustrating depictionofayouth reverberating with internalised heroic potential, yettobeexhumed. Telemachus’ glowingdisplay of xenia illuminateshim as acharacter of remarkable innate morality- in contrast to the squalid Suitors- but his unrealised kleos is outshone by that of his father,whichservesasafurther subtle prolepsis to the timē that he mayattain, enthused by that of his counterpart, Orestes.

Symmetry in Physics

Abstract

Symmetryinour universe goes beyond the aesthetic. It is afundamental propertythat canbeapplied to allareas of the subject. Indeed, the early 20th century mathematician Noether has shown that the presenceof acontinuous symmetryinasystem necessarily leads to a conservedquantity. Furthermore, her theorem provides amathematical method whichallowsus to determine exactlywhichconservationlaw arises from an observed symmetry, and vice versa. Symmetryalso is akey assumption of the StandardModel of particle physics and the theories it underpins, and is hypothesised to offer solutions to some of its main unsolvedproblems.

We will first discuss what is meant by symmetryina physical context, and we willthen examinehow Noether linked the presence of these symmetries to conservation laws.

1- The Origins of Symmetry

First we must explicitlymake an important distinction. That is between the discrete and continuous symmetry. Adiscrete symmetryis granular, like the rotational symmetryofa square or areflectionina mirror. A continuouslysymmetryis‘smooth’like the rotational symmetryofacircle.To saythat asystem is continuously symmetric under acertain translationis to saythat the forany magnitudeofthe translation,the system willbehavein the sameway.For example an electrical circuit assembled on oneside of the room willgivethe samereadings and whenitismoved to the other side of the room Therehas been atranslation in space and yetthe behaviour of the system is unchanged. Thereare other translations we cancheckfor symmetry in too When we repeated the experiment on the other side of the room,itwas at adifferent time of day, and yetthe

experiment behaved in the sameway Thus the system is also symmetric under time translation. We cancombine the scenarios into onebyimagining aballrolling along asmoothsurface.Its directionand speed do not change, and allthe while it is being translated in both space and time.Sowecan see that these twoexpressions of symmetryserve as afundamentalformulationof Newton’s first law of motion. Combined together,this is known as ‘spacetime invariance’.

This is what makes these types of symmetrysoimportant forphysics. It would be futile to write equations that describe the worldwhichwecannot saywith confidence willworknext week, or indeed at allinAustralia. The emergenceofsymmetryis also astatement about a wider pattern in the universe; that of predictable and repeating patterns out of apparent randomness at a microscopic level. Theemergence of conservationlaws from symmetry(whichwewillexaminecloselyinpart 2) is also extremely useful forsolving physics problems that would otherwise involvelongcalculationofforces andactions. Forexample,the maximum velocityofa pendulumbob canbecalculated simply from its vertical starting elevationfromthe equilibrium position. The approach of dealing with problems in terms of energy rather than forces is onethat willbeuseful to us when we examine Lagrangain Mechanics.

2-Noether’s Theorem and Lagrangian Mechanics. Noether was the first to explicitly connectacontinuous symmetries to aspecific conservedquantityina physical system.Her theorem shows that asystem with translational symmetryinspace willhaveconserved momentum, and likewise asystem with symmetryin time willhaveconservedenergy.

Noether’s theorem states that if the Lagrangian describing asystem acting on the principle of least action is unchanged under aco-ordinate transformation, there willbea corresponding conservationlaw.

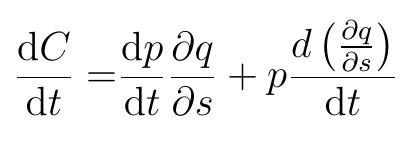
Lagrangian mechanics is away of doing physics that deals in terms of energy rather thanforces.Soto consider the symmetryofa system, we should consider its energy.Ifthe energyofasystem does not change under atransformation, it is symmetric.TheLagrangian is given by;

Olavian 2019 –25

Where T is the total kinetic energyand V is the potential energy. To keep things simple,wewilllimit ourselvesto

averystraightforwardand onedimensional system;that of aballfalling under gravity. So the Lagrangian canbe expressed as

Theaction S is given by the integral of the Lagrangian over atime period P

symmetryargument –if therewerenogravitational field (perhaps we arein space), then movingthe translating the ballinspace would not changeits potential energy, and since thereisnoforce acting uponit its speed and hencekineticenergy would be constant. So we cansee from our energydefinitionofsymmetry that this scenario describes avalid symmetryand hence conservationlaw. This is aspecificcase of Noether’s theorem

Forthe general case,let us define momentum p as

If this seems odd, youcan checkthe units, recalling that

In order to minimisethe sizeofthe actionwemust minimise this expression.This is equivalent to saying we

must limit the transfer of potential energyinto kinetic energy(recalling 2.1) so as to keep Lsmall; in other wordsnaturetakes the easiest path. As aconsequence of minimisingthe actionS,the Euler-Lagrangeequation, must be satisfied

Reminding ourselves of equation(2.2),we canthenwrite

the Lagrangian has units of joules.We willalso generalise co-ordinateh(t)with aco-ordinate qonthe continuous functions –this is important if we want to showthat the symmetryholds forany magnitude of translation. So the conservedquantityCwillbeaproduct of the momentum and the rate of changeofthe co-ordinate on the continuous functions

Thetermonthe right hand side is clearly the rate of

To saythat Cisconservedwemust show its time derivativeis0.Using the product rule; Simplifying,

changeofthe falling object’smomentum. So we cansee that if the termonthe leftwere0;i.e.iftherewereno gravitational field,the momentumwouldbeconstant –itwould be conserved. We canuse this to justify our

Referring to the Euler-LagrangeEquation(2.4) and the definitionofmomentum (2.6) we canthenfurther write

This is equivalent to the sum of the rate of changeof each of the variables in the Lagrangian (co-ordinates q and v) with respect to the continuous parameters

So by our definitionofsymmetry-that the Lagrangian does not changebased on atranslationins-wecan say that the right hand side must be equal to 0. Therefore dC/dt =0;hence quantityC is conservedand the momentum does not change.

–Olavian 2019

26

It is important to note the co-ordinate qdoes not haveto be of aspecialdimension; it could be atimeoranangle Themechanics of the theorem arethe same.

PerhapsanevenmoreinterestingconsequenceofNoether’s theoremisits abilitytopredict when conservationlaws willnot hold.Whengeneral relativitywas first described in 1915, it was clear that energyconservationwas not a fundamental propertyofthe universe Theenergyofa photonisgiven by E=hf ,sored-shifted photons appear to violateenergyconservation. Redshiftiscaused by the expansionofthe space throughwhichthe radiationfrom distant objectstravels, meaningthat the system does not havetime translationsymmetry.Noether’s theorem provides the link between time translationsymmetry to energy conservation. Indeed in Einstein’s universe, energyconservation and the classical mechanics it underpins is only valid as aspecialand approximate case of non-expanding and uniformspacetime.If oneassumes that the symmetrymustexist, Noether’stheorem canbe used in reverse to derivea conservedquantityofenergy known as known as the Landau-LifshitzPseudotensor which corrects forthe lossestoredshiftbyincluding the increasing potential energy of the universe as it expands.

TheShifting Sands of Europe’s Population Bulgaria gives acold welcome to newcomers. Germany embraces them. ShouldBulgarians take the German approach?

Rustymachinery, boarded up schools and ricketyhouses allbut engulfed by forest. These arethe scenes that silentlygreet anyvisitortorural Bulgaria. Since the end of communism in 1990 Bulgaria has lost over two millioninhabitants unsustainable fora countryofjust nine millionpeople. Theyouth has leftvillages in their thousandstoseek opportunity in urban areas. Villages areleftwith an olderpopulation, with fewschools or services, whichpushes moreyoung people out, creating adownwards spiral.

However, it isn’t only ruraldecline that is an issue,the whole countryisshrinking.In2007 Bulgariajoined the EU and manycould leaveinstantlytoworkelsewhere, thanks to the freedom of movementprovided by its accession. Bulgaria is the poorest country in the EU so it is often attractivefor migrant workers to send money home wheretheir familieswillhavefar higher spending power, or simplyfor the whole familytoleave.

Many move to countries suchasGermany,wherethe populationgrowthwould be negativewithout migrants moving in. Thereare nowover330,000 Bulgarians livinginGermany, up from 54,000in2008 Themain addition to the German populationthough arethe 1.6

millionasylum seekers who havearrived in Germany since 2014 Thegovernmenthavegonetogreat lengths to train immigrants, as often theycannotjoin the workforcedue to limited skillsets or limited knowledge of German. In April2018, 55% of the recipients of unemployment benefits hada “migrant background”and in 2017the Federal Office forMigrationand Refugees announced that 340,000 people hadbeen enrolled in German languagecourses.Thereare manygovernmental agencies and charities whichpromote integration, often embracing modern technologyand doing this via an app or website,suchasthe official government app “Ankommen”meaning “Arrival”whichisavailable in German, English, French, Persian and Arabic.

Theenlightened migrant policyhas turned out to be beneficial. Manyapprenticeshipsused to go unfilled but newlyarrived migrantsare filling these places in their thousands, giving German businesses ahugeboost. In fact, 400,000 asylum seekers arenow working or in job trainingand of those,44,000are apprentices.

ThenativeGerman populationisalso ageing and last year over 21% of the German populationwereover65and this shareisonlyrising,along with the associated costs of healthcareand pensions. However, these migrants are much younger and go some wayto filling the void in the workforce, even if theyare less skilled than the average German.

It looks as if the Germans havedealt with the migrant crisis humanelyand effectively. Butthe Bulgarian can’t affordtofollowthe German model as theyare still crippled after decades of Communist rule.Bulgaria is facingcorruption,povertyand highunemploymentsoan influx of refugees could havedireconsequences forthe economy in the shortrun.Evenifitcould be beneficial in the long runasinGermany, it takes millions of Euros to gettothat point.

To make things worse,Bulgarians reactverybadly to migrants, with outright xenophobia and protest, often based on islamaphobic sentiment. Thedeputyprime ministerValeriSimeonovrecentlyproclaimed the nationas“oneofthe most well defended countries from

Olavian 2019 –27

Europe’s immigrant influx”. He was referring to anewly constructed160-mile fence along the Turkish border TheUNHCRreport on the treatmentofasylum seekers suggests that therehas been improvement but border guards arestilloften incompetent and detentioncentres squalid, despite the majorityofthe budget forasylum seekers coming from the EU.

So Bulgarians in general, especially compared to Germans, sadlydon’t want to welcome refugees. What’s more, refugees don’twant to stay. Even Bulgarians find lifedifficult in their owncountryand of courseitis even harder forasylum seekers,sotheyleaveassoonas possible,usually with the aim of reaching Germanyor another WesternEuropeancountry, putting even more burden on already overcrowded areas.

However, at least the system is nowwell figured out in Germanyand people are flockingtherein their millions, even from within the EU,asBulgaria’s government knowall too well,but this initiallyexpensivedecision is beginning to payoff.Ifonlytherewas the moneyand publicsupporttofollowthe German model in Bulgaria.

The Linguistic Labyrinth

WhyisEnglish so hardtolearn?

TheEnglishlanguage: it is the most commonlyused languagein the world,with more than 450 millionpeople

considering themselvesnatives across the worldand an additional 600-650 millioncitizens use English as an additional languagefor communication. Nowadays,this linguistic code formsthe basis of allglobal affairs, and thereare very fewcountries wheresigns aren’t written in English.Infact, thereare countries suchasthose based in Scandinavia that canspeak our languagebetter than us. English is deemed so important, that it becomes partofa compulsorycurriculumin foreign countries, to ensurechildren canbuild more financially stable futures.

Unfortunately, the British often take forgranted the structureand requirements of the English languageand areina fortunate positiontopossess the natural ability to discernthe various quirks of English.Eventhough English is so popular,with so manypeople being able to speakit, do we just assume that English is easy? Or can we pin it down to the relativelygreater number of hours other countries invest into their national curriculumsto incorporate this language? Thefactofthe matter remains that English is not so easy at all,it is more difficult to learn than manyothers and the following reasons willprove howmucheffortlearning anylanguageis, especially the English Language.

Themost commoncomplaintlanguagelearnersmake aboutEnglish is that the spelling of wordsoften have little or nothing to do with the pronunciation. It’s easy enough to teach someone howtowrite the letter “a”and sayit, but when letters become applied in words, the scenecompletelychanges.Forexample,“a”is pronounced in three different ways in wordslike “hat”, “hate”and “father”and in the word “oak”, it isn’t pronounced at all. Theway English is pronounced almost resembles the various tones in Mandarin that is oneofthe hardestskills forforeign speakers to grasp ThesimilaritytoMandarin is impressivein this sense,becausefor Englishspeakers, Mandarin is in CategoryV of difficulty, requiring 2200 hours to learn.Whilst in English “Laugh”ispronounced “larf”,the similar sounding “half”isnot written “haugh”. The“l” in “half”, aresilent letters sprinkled throughout English words. Afavourite of Englishlanguageteachers who

wanttoamuse their students, containstongue twisters suchas:

Itake it youalready know of tough and bough and cough and dough? Others maystumble,but not you on hiccough, thorough, slough and through.

What amind boggle.Evidently, thereare so many different ways of pronouncing these wordsthat for foreign speakers theywouldn’tknowwhichone to choose whereas other European languages make it evident as to howtopronounce awordwith the various

28 –Olavian 2019

accents,guidingaspeakertowards the rough directionof pronunciation. English just doesn’t do this

English is also ahighlyillogicallanguagethat is littered with contradictions. If “overlook” and “oversee” have oppositemeanings, whydoes“look” and “see”havethe samemeaning? If teachers taught, whydidn’tpreachers “praught”? As nativespeakers, we rarely stop to think about just howconfusing English is and it takes us years to learnthese quirks, whereas with other European languages, at least thereseems to be ageneral rule applied to most verbs, and even if not, the irregularities canbeidentified and learnt,whereas these contradictions pop-up alloverthe place in English.

Theorder of wordsis often quite misleading too.Native English-speakers intuitively knowwhatorder to put wordsin, and unfortunately, “itjust sounds right”is not good enough forforeign speakers to understand. Forexample,weoften use morethan oneadjectiveto describe anoun, but whichorder do theygoin? When describing abookinEnglish,we could say“an interesting little book”,not a“little interesting book”.Eventhough both phrases follow adjective-adjective-noun structures, onemakessense and the other soundswrong.It’stough as it is forforeign speakers to changethe structurecode everytimetheyare translating, and unfortunately, the wayEnglish worksjust doesn’t facilitate their needs. One exceptionisGerman, with English belonging to the same Proto-Germanic family, theyhaveashared structureand word order that canbe shifted about in response to the needs of the sentence, just like the one listedabove.InGerman, it is “ein interessantes kleines Buch”,whichisthe same arrangement as in English, whereas Frenchclearly deviates on its ownpath with “unpetit livre intéressant”,placing the adjectiveafter the noun.

Unlike manyother languages, the English syntax enjoys amultitudeofhomophones, wordsthat sounds the samebut havedifferent meanings or spellings.“A bandageis wound around awound” and “I decided to desert my dessertinthe desert” aretwo examples of just howdifficult it could be forforeign speakers to untangle the meanings in asentence. Of course,overtimeasthe knowledgeofvocabularyexpands,learnerscandistinguish and recognize the differences in meaning.However, pronunciationis stillanissue,suchthat the use of different wordswith the same or different pronunciation canbecome rather discombobulating.Languagesthat comprise homophones include Mandarin and Russian, both of whomfeature in the high-leveldifficultycategory of languagelearning

In conclusion, the evidence really suggests that English canbe adevilishlyconvolutedlanguage,featuring similar characteristics to some of the world’shardest linguistic

codes. From pronunciationtogrammatical order,any English learner willencounter strangeuses of words, even fluent speakers. Of course,whilst some languages shareroots, and thus havelinguistic connections, English shouldn’t be taken forgranted by anyone,and natives should respect just howchallenging it is to foreign speakers, who do not possess the intrinsic ability to discriminatethe oddities of our language.

Is the production of biomassaccelerating climate change?

Environmental organisations condemn the EU forits actions

Acase was filed on Monday4thMarch 2019 with the European UnionGeneral CourtinLuxembourg suggestingthat the European Unionisincreasing the rate of climate changeand damaging forests all over the world. Thecase, whichaims to end subsidies forbiomass energyand stop wood burning counting towards meeting renewable energy targets, has been brought forwardbyalargenumber of environmental organisations that believe the REDIIwillultimately contribute to further forest devastationand undoubtedly impact the amount of greenhouse gas emissions by not counting carbon dioxide emissions from burning wood fuels. Twocontinentsand six countries area partofthe lawsuit including: Estonia,Ireland Romania,France,The USA and Slovakia. Allofthese places suggesting that theyand manyother countries arebeing impacted by the productionofbiomass.

What is biomass energy?Biomass is biological material obtainedfromliving or recentlyliving plantand animal matter whichcan eventually be burned to produce energy. Theorganicmatter contains stored energyfrom the sun whichduring photosynthesis allows the plants to convertwater and carbon dioxide into oxygen and sugars. It is considered to be averyversatile materialand canbe used to produce heat forhot water and space, electricity, acombinationofheat and electricityina CHP(Combined Heat and Power) plant or aliquid fuel, suchasbiodiesel, whichcan be usedtopowervehicles or produce heat. Notonlycan it be usedfor awide variety of sources but it is also considered as arenewable fuel as long as theyare sustainable

Thereare four different types of biomass:

•Biodiesel- afuel made by chemically reacting alcohol with animal fats or vegetable oils (most commonly made from soybean oil) that canbe blended with petroleum diesel

•Agricultural products and wood- Wood accounts for

Olavian 2019 –29

approximately 44 percent of biomass energyand can be usedina varietyofforms suchaslogs, chips and sawdust. Similarly,agricultural wasteproducts such as fruit pits canbeused

•Biogas and landfill gas- methane gas is produced as waste decayswhichcan then be collected by landfills and used as afuel. It is often also producedusing energyfromagricultural and human wastes. Biogas digesters arecontainerslined with either steel or bricks whichwaste is put into to produce methane gas.This canthen be used forcooking or to produce electricity.

•Solid waste-powerplants burnwastefor energy whichcan then be used to generate electricity

and further harming our environment. This is because according to these non-governmental organisations the EU haveignored basic scientificevidencesuggesting that burningwood(whilst seeming to be moreappealing than using fossil fuels) is adding more carbon dioxide into the atmosphereincomparisontoburning coalper unit of energyproduced. Similarly,althoughthe process of biomass suggests newtrees willbegrown,toabsorb excess carbon dioxide,itisobvious thattrees cannot grow and appear as quicklyasold trees beingcut down, creating aglobal carbon impact.

Theidea behind biomass being arenewable energy resource is because it gains energyneeded from the sun throughphotosynthesis and as aresult is consideredto be carbon neutral.As trees areharvested forbiomass and replanted,at the same time wood is being burned,the new trees willabsorbthe carbon (whichisproducedbythe burning trees through combustion) ultimatelymeaning that no morecarbonisadded into the atmosphere. Biomass was also consideredtobea renewable energy resource in the European Union’s Renewable Energy Directive(REDII) This initiative, set up by the European Union, suggests thatby2030 the target for overallrenewableenergyconsumptionhas been raised to 32 percent and that member states,by2030, must have fuel suppliers use aminimum of 14 percent of energy consumed on road and rail transportasrenewable

TheLawsuit

However, ultimately, this is wherethe disagreement lies Duetobiomass beingconsidered ‘carbonneutral’aspart of REDII, manyenvironmentalorganisationsviewthis as contributing largelytoincreased carbon emissions

Thelawsuit is suggesting that by the EU using biomass as arenewable energyresource theyare undoubtedly ignoring the Treatyonthe Functioning of the European Union (an environmental objective) whichclaims to ensure “protectingand improving the qualityofthe environment, protecting human health”and “combatting climate change”.Manybelieve this is being ignored especially researchers and scientists including Duncan Brackwhosuggests“thisisnotsensible”andconsequently, if not reviewed, burning trees forbiomass could leadto accelerated harmtocommunities, livelihoods and health and devastatingly,the environment.

Thefutureofclimate change

Notonlyisitimportant that this case is taken further but itiscrucialthatscienceiscontinuallybeingacknowledged whenmakingpolitical decisions whichwillimpact both people and the environment. Recentlyclimate change has made headlines in the news with the BBC airing an hourlong film with David Attenborough labelled “Climate Change-the facts”whichinvolvedhighlighting the basic scientificevidence and howwemightreduce further global warming.Similarly,manyprotestshave takenplace,includingthe extinctionrebellion, involving manyyoung people whichhas led to increased media coverage on the topic.Along with Greta Thunberg who has been spreadingthe importance of urgent actionthat needstotakeplace globally.Itisclear that through the increase of scientificresearch and knowledgethe time has come whereunions, governments and organisations cannolongerhide from evidence that economic activities and processesare having adetrimental impact on our environment. They cannolongeruse treaties or

30
2019
–Olavian

agreements to slightlylower emissions and gradually makea changewithout compromising the economy Ultimately, climate changeisaccelerating on alarger scale than expected and it is not just acknowledgment which is going to stop it. Actionneeds to take place and unlessthe EU arewilling to respond withpositive changes our environmentmay be destroyed forgood.

Spain’s forgottendictator

Theinitial success but eventual downfallofMiguel Primo

TheSpaniardssay that their countryhas arevolutionof some sortevery fortyyears or so.Ithas nowbeen four decades since the current constitution was passedin 1978. This broughtanend to the rule of the Falangists under Franco,who hadimposed afour-decadeFascist dictatorship sincevictoryinthe civil war in 1939 This itself was the culminationofa tumultuousforty years forSpain,a tragicdecline of aglorious empire, the catalystbeing defeat in the Spanish-American Warin1898. Since that loss, frustrations pent up by political instabilityand lack of leadership,namelythe “Tragic Week”of1909, whereCatalonia was awash with Anarcho- Syndicalistuprising,and the pseudodemocratic turno system of government, hadcaused manytolose faith with the Spanishpolitical class. With the loss of its territoryinMorocco during the Second Rif War, Spain desperatelyneededchange, and anew

leader after the assassinationofPrime ministerEduardo Dato by Catalan tradeunionists. Theman theychose hada distinguished militarycareer; the man who could make Spain great again:MiguelPrimo de Rivera,Spain’s forgotten dictator.

In his battles against the Berbers, Primo de Rivera displayedcourageand initiative;healso recognised that war in Morocco was unsustainable if Spain's unemployment and strikes were not dealt with.With the supportofthe military and KingAlfonso XIII,Primode Riverastaged acoup,on13th September1923.

He addressed the public, with typically florid rhetoric, to explain and gather supportfor his dictatorship:“Gentlemen, the current situationis easy and opportune,whichwillsuffice formetotake and gather the thoughts and feelingsofthe past days, in whichthe Spanishpeople willendorse with great applause,to establishthe idea of whatwewant the future of Spain to be,a people respected fortheir love of peace and progress, of humanitarian spirit, and always proudly thinkingofa future thatwillmake Spain worthy of her glorious past.”

He suspended the constitution, to the ireofmany politicians who hadurged the King to stand by his democratically-elected representatives. He claimed he would only be dictator forninetydays, but led the countryfor morethanseven years, and provided the framework fora political legacy in the form of his party,UniónPatriótica.Primo de Riveraimmediately sought to end the Rif Warbyagreeing ajoint plan of military actionwith France. Thenew military administrationwas popularamong those on the right -Primo de Riveradaren’t rufflethe feathers of the landowning class throughagrarian reform -but was divisiveamong the left. He tackled the crippling unemployment in his countrythrough an enormous undertakingofpublic investment. Spain hadrelatively fewcarsatthe beginning of his tenure- by its end it had oneofthe mostdeveloped road networksinEurope The Barcelona metroopened in 1924, and acampaign for the irrigationand electrificationofrural Spain began. He drew support from Jose Ortega yGasset and other socialist thinkers, owing to the governmentrolein collectivebargainingfor workers.

However, others on the left, suchasessayist Miguel de Unamuno,denounced the regime.Primo de Riveraimposed iron-hardpress censorship and closed intellectualassociations. He also banned Basque and Catalan expressions of culture, even traditional dances.

Beyond the dictatorship,this was aperiod marked by a splendid flourishing of culture in Spain. The first radio broadcasts were made,LuisBuñuelbroke newground

Olavian 2019 –31

in cinematography,the Generationof‘27 literary movement blossomed with Federico Garcia Lorcaand playwright Juan RamónJiménez, Salvador Dali began to exhibit his work and Pablo Picasso and Juan Gris founded Cubism.Thelongstanding telecommunications monopolyTelefonica, petroleumcompanyCampsa, and tobacco firm Tabacalera, were allestablished in this decadeand each made alastingcultural impact.

Eventually,however,Primo de Riveralost the support of first the public, then the army,then finally the King.Heresigned on 26th January1930. Inflation due to his bombastic public worksprojects, as well as the international Great Depression, culminated in his demise.Republicans hadhad enough and declared asocialist SpanishSecond Republic in 1931. Primo de Rivera’sson,José Antonio,founded the Falangist movement, whichfought against the Republic in the Spanish Civil War. Thecomparativelyterrifying regime of Franco made the Spanishlookfondlyuponthe days of MiguelPrimo de Rivera.

Fortyyears have passed since the newconstitution and with the far-right on the rise again in Spain, the country must choose its destiny. Thequestionis: will theyremember the lessons of history?

How and whydid the Supermarine Spitfire evolve from Specification F.7/30tothe Mk. 24?

SpecificationF.7/30: Fighter capable of at least 250 mphand armed with four machine guns. -Air Ministry, October 1931 [12]

SpecificationF.7/30 was released by the British Air Ministryatthe end of 1931 as adirectivetoindustryto submit proposals fora modern fighter with ahigh top speed and considerable armament. From this relatively vague sentence, eight designs were put forwardtothe Air Ministry from the leading companiesofthe day, includingHawker,Gloster,and asmallsubsidiary of Vickers-Armstrongcalled Supermarine.Under the guiding hand of its chief designer,R.J.Mitchell, Supermarine submitted the Type 224, with agull-wing design and aRolls-RoyceGoshawk engine forpower. TheType224 prototypewas predictedtohaveatop speed of 245 mphand to be able to climb to 15,000 ft in 6.6 minutes,but the maiden flightonthe 19 th February 1934 yielded disappointing results. Atop speed of only 228 mphand a9.5 min climb did not impress, and it was the Gloster Gladiator Biplane that won the contract [1]. Despite this, Mitchellhad been in talks with the Air Ministryabout amodificationofthe 224,designated the Type 300, with eightgunsand anew wing shape The Air Ministryaccepted this proposal and reserveda name

forthis newdesign -Spitfire.

Under this newworking title,Mitchelland his team gottoworkbuilding the Type 300. Supermarine had enjoyedgreat success in the post-war seaplane races of the late 20s and early 30s and hadwon the prestigious Schneider Seaplane Trophy severaltimes. Its finalentry, the S.6B,was Mitchell’s attempt to ‘perfect the design of the racing seaplane’.Itwas arefinement of the S.6 and featured minor aerodynamic changes to the floats and innovativecooling solutions whichincreased performance significantlyagainst its predecessor. The S.6B was designed with the help of the National Physics Laboratory, oneofthe first aircrafttobetested at full scale in awind tunnel. Thefocus on drag reduction, cooling,and squeezing moreperformance out of the Rolls- RoyceRengine alllaid the foundations forthe Spitfire project.Mitchelldescribed the S.6B as a‘flying radiator’[1] ,suchwas the importance of cooling.After winning the Schneider Trophy in September 1931,the S.6B brokethe worldair speed recordjust weeks later, reachingaspeed of 407.5 mph[2] TheType300 hada lot to liveupto.

Themostdistinctive featureofthe Type 300 was the elliptical wing, first used in the S.4Racing Seaplane but nowupdated and refined. Theshapeallowedfor the armament (8 × 0.303inM1919Browning machine guns, 4per wing) and the retractable undercarriage(necessary forhigh-speed fighters) to be fully incorporated within the wings, massivelyreducing drag and allowing fora higher top speed. Furthermore, the all-newRolls-Royce PV-XIIV-12 engine was selected forthe Type 300 [2] and although the PV-XIIsuffered from cooling issues to beginwith, these subsidedwhenthe evaporativesystem was eventually replaced with aducted ethylene-glycolbaseddesign. Theaddition of suchasystem to the PV-XIIallowedfor many of the planes it powered1to makeuse of the newlydiscoveredMereditheffect 2. In February1936, the first prototypeofthe Type 300 flew, having been allocated serial number K5054 and renamed

32
–Olavian 2019

the Spitfire.After the first fewtest flights, the refining process began,and this would not end until the last Mk. 24 rolled off the productionline in 1946. TheSpitfire really did evolve,changing to respond to its operating environments, counterparts, rivals, and the needs of the Allied war effort.What beganwith K5054 was ajourney fewplanes haveevertaken,and the lessonslearnt from this iterativedesign areequally applicable todayasthey were over 70 years ago.

Following airworthiness trials, K5054, no longer the Type 300 but not quite the Mk. I, was found to have an oversensitiverudderand adisappointing top speed of 330 mph. Ground resonance testing at the Royal AircraftEstablishment identified excessivewing flutter, and a380 mphspeed limit was imposed accordingly. Smallmodifications yielded atop speed of 335 mph,and with anew propeller added on 15 th May1936, K5054 reached 348 mph, outclassing allcompetitors and briefly making it the fastestmilitary aircraftinthe world[9].

K5054 was deliveredtoRAF Martlesham Heath on the 26 th May, and SpecificationF.16/36 was issued on the 3rd June,formallyordering productionofthe Supermarine Spitfire Mk. I, nowalmost unrecognisable from the humble beginnings of Type 224,tobegin.

TheevolutionofK5054 nowbegan in earnest. Mitchell haddesigned the Spitfire to produce very little drag force,using cutting-edgetechnologysuchascountersunk rivets (whichsat flush to the airframe)designed by Supermarine’s Chief Aerodynamicist,BeverlyShenstone 3. However, the Air Ministrywas concerned that this technique was too time-consuming and costlyasthe subcontractors building the wings hadlittle experience building metalhigh-speed airframes. It would have been cheaper and quicker to use dome-headed rivets, but Mitchellwas insistent that countersunkwas the way to go if minimal drag was to be achieved. To test this, K5054 was coveredin split-peas, and the resultswere used to determine where dome-headed rivets could be used without affecting performance [4] .K5054’s final major contributiontothe developmentprocess came in 1937 after an engine failureresulted in awheels-up landing.K5054’sPV-XII, nowknown as the RollsRoyceMerlin engine,was refitted with aprototype triple ejector exhaust to fully makeuse of the Meredith effect. Tests on the 19th September revealed that the newsystem producedanadditional 70 pounds of thrust (311.5N), pushing the top speedupto360 mph[9] .

From hereon, K5054 continued as atestbed, primarily forthe Rolls-RoyceMerlin engine and forthe gun cooling system until, on the 4thSeptember 1939, the dayafter Britain declared war on Germany, K5054 was lost at the hands of Flight Lieutenant G. S. White,who suffered fatal neckinjuries from his safetyharness upon afailed landing [3] .Thewar had begun,and it was time

forK5054 to pass on the mantle

“Theellipse wassimply the shape that allowedusthe thinnest possible wingwith room inside to carrythe necessary structureand the thingswewanted to cram in. Anditlooked nice.” -Beverly Shenstone [9]

Thefeaturethat makes the Spitfire so iconic is the elliptical wing,anunusualdesignbornout of necessity. An elliptical wingisthe most efficient design foran untwistedwing as it creates the lowest amount of induced drag 4[5] .TheSpitfire’s wing is actually asemielliptical design with the wing twisted so that the centre of pressurealigns with the main spar,whichprevents the wings from rotating during flight. In order to reduce wavedragathighspeeds, the wings havea changing thickness-to-chordratio 5. Thethickness of awing is the maximum vertical separationbetween the top and bottom, and the chordisanimaginarystraight line joining the leading and trailing edges of awing.Atthe root of the Spitfire’s wing,the thickness-to-chordratio was13%, and at the tip,9.4%. Thechanging thicknessto-chordratio combined with the twisted wing creates a washout, atypeofwing design that deliberatelyreduces the liftdistributionacrossawing in order to ensurethat at stallspeeds, the root of the wing stalls 6beforethe tip,allowing foraileron control to remain during the stall7 . Thewing hadadihedralof6º, with an angle of incidence at the root of +2°, decreasing to -½°atthe tip Thewing designcontinued to evolve throughout the war with later markspitfireshavingpointed wingtips,or some low-level fighters using clippedwings. Originally, the leading edgeofthe wing was meant to house the condensers forthe PX-VII’sevaporativecoolingsystem, but as this hadbeen replaced, Supermarine used this space forfuel tanks,a featurepatented in 1938 [2].

Thesemi-elliptical shape provided an incrediblystable platformfromwhichtofire guns, but therewere numerous problems with the early Spitfiresand their armaments. TheM1919Browning machine gun had been selectedasthe RAF’snew standardin1934 [6] , and although it functioned perfectlyonthe ground and at lowaltitude,athighaltitudesthe gun was pronetofreeze and jam.Byredirecting some of the excess heat from the radiators into the wings,this problem was mitigated.The guns were also coveredwith redfabric patches to prevent dirtand moisturegetting into the barrel until theywere fired.TheM1919 also suffered from aperformance issue Pilots of the Mk. Icomplainedthat the M1919 was not effectiveattakingout enemyaircraft,with combat reports showingthat, on average, 4,500rounds were needed to shoot down oneaircraft. TheBrowning (if it worked) hada 1,000 round per minute rate of fire, and with eight guns, it would take aminimum of 34 seconds 8to down an aircraft. Despiteinherent weaknessesin some German designs 9, thiswas simplytoo long to maintain

Olavian 2019 –33

combat lethality. In June 1939 Supermarine installed oneHispano cannoninto each wing,and despite awful reliability, the Hispano armed Mk. Ib 10 Spitfire came into service in June 1940 with No.19Squadron11. By August Supermarine hadperfectedthe design with two Hispanosand four M1919s. TheMkIbwas the first of manyvariations uponthe originaldesign [11] . These variations willbedetailed below.

“Ifanybodyevertells youanything about an aeroplane which is so bloody complicated youcan’t understand it, take it from me:it’s all balls”-R.J.MitchelltoJ.Quill,March 1936[10]

Thefollowing is abrief rundown of allofthe major designs and variations of the Supermarine Spitfire from 1938 to 1946 [11] :

Mk I- Thefirst productionSpitfire, the Mk. Iwas poweredbya Merlin III with 1,030 hp and apotential maximum speed of 367 mph12 Thereweretwo variants, the Ia and Ib,with differing armaments, and it was the markthat mainlyfought alongside the Hawker Hurricane in the Battle of Britain. In total 1,566 models were built.

TheSpitfire Photo-Reconnaissance (PR) Mk.III was amodified Ia model with an added camera. They had allthe armament removedand extra fuel tanksadded, extending the rangegreatly. ThePRMk. IV used the Merlin 45 engine in the Mk.Iaairframe.229 were built. ThePRMk. VIIused aIa airframebut did not have extrafuel tanks, allowing forthree cameras and allthe weapons to be retained.

Beforethe war brokeout, twoMk. Iaswereset aside to tryand break the worldair speed record, but even with extensivemodifications to the airframe and wings, the attempt fell shortofthe Messerschmitt 209. One of these ‘Speed’Spitfireswas retrofittedasahigh-speed reconnaissance aircraft.

Mk. II - TheMk. II was the first productionSpitfire to use the PV-XIIengine and the newethylene-glycol system. Built at the Castle Bromwichfactory, and with the same armament variantsasthe Mk. I, 750 Mk. IIa and 170 Mk. IIbmodels were built.

Mk. V- This wasthe most numerous markofSpitfire. TheV hada strengthened fuselageand used several marks of Merlin Engine,specificallythe 45,46,50,55,or 56 models. Therewerethree armaments configurations. TheVacame with 8M1919machine guns, the Vb with 4machinegunsand twocannons, and the Vc with four 20mm cannons. TheMk. Vwas the first to be able to accommodate adroptank or to be used as abomber Introduced in 1941,it was also the first model to be used outsideofBritain. Other variations included aclipped

wing 13 model and amodelwith adust filter attached. 94 Mk Vaswerebuilt, compared with 3,923 of the Vb and 2,447 of the Vc. TheMk. XIII was aPRvariant of the Mk.V,using aMerlin 32 and beingunique in its armament -fourM1919machine guns in the ‘d’ armament. Only18XIIIswerebuilt, and theywerethe only marktouse the ‘d’configuration.

In 1945,after the fallofFrance,three Mk Vs were converted to a floatplane model,inpreparationfor war with Japan in thePacific.This nevercametobe,and only three models were ever converted.

Supermarine Seafire - TheSupermarine Seafire program ranalongsidethe Spitfire,and it primarilyinvolved naval conversions of Mk. VSpitfiresinto carrier-borne versions, adding tail hooks and slinging points for catapult launches from the decks of the Royal Navy’s carriers, suchasHMS Victorious. Various marks of Spitfire were converted to Seafire standard, and the type impressed, particularlyinthe Pacifictheatreagainst Imperial Japanese Kamikazepilots. Versions of the Seafire continuedtoserve with the Fleet Air Armwell into the Korean War, beforebeing slowlyphased out by jet-propelled naval fighters, suchasthe de Havilland Vampire.

Mk.VI - TheSpitfire Mk.VI was designed forcombat at extreme altitudes and featured longer wingsand pointed wing tips 14 and apressurised cockpit. TheMk. VI was producedinthe ‘b’armament, and used aMerlin 47 engine,producing1,415 hp These adaptations meant that the Mk. VI hada slightlystaggering service ceiling of 40,000feet! 15 Atotal of 100 Mk. VIs were built.

Mk. VII- TheMarkVII was an extensionofthe VI, takingthe principles that worked and adding the revolutionarytwo-stagesupercharged Merlin 61 engine, producing 1,660 hp TheRAF expected the Luftwaffeto use high-altitude bombers to attack Britain, so abetter high-altitude interceptor was necessary TheMerlin 61 surprised pilots with its performance at altitude.Earlier Merlins hadbegun to lose powerabove 20,000feet, yetthe 61 would continue to perform well above this altitude.Itwas around this time that Rolls-Royceadded pressurecarburettors to the Merlin engine,allowing steep nose dives. 16 TheVII kept the pointed wings but added apointed tail finand aretractabletailwheel. A newradiator design also helped push the service ceiling to 44,000 feet. 140 Mk. VIIs were built.

Mk. VIII - TheMarkVIII tookthe best aspects of all the previous marks and married them into three variants TheFmodel was the standard fighter,the LF was alow altitude Merlin 66 poweredvariant, and the HF used a Merlin 70. Therewereaverylargenumber of differing types of Mk.VIII built,with various wing configurations,

34
–Olavian 2019

engines, and armamentsused in manycombinations. In very general terms, it was an unpressurised Mk. VII, and due to its introductionin1943 17 ,itsaw service allaround the world, includinginNorth Africaand Sicily.It tooka long time to develop and actually entered service after the Mk. IX, but despite this 1,658 were builtby1945. After the war,Supermarine developeda laminar flow wing,and the single prototypeSpitfire with this wingwas amodified Mk.VIII.Ityielded no benefit, and the Mk.23was neverproduced.

Mk.IX- TheGermanFocke-Wulf190 terrified the RAF. It completely outclassedany Spitfire with a singlestageMerlinengine,sothe Mk.IXwas created as astopgap solutiontohold off the assault untilthe Mk.VII and VIII were ready. It involved integrating the Merlin 61 into the Mk. Vairframe, and to Supermarine’s surprise, it was incredibly effective.Itremainedinproductionfar longer than expected,and the Mk IX was the workhorse of FighterCommand’sarsenal during the middle war years. Allthe standardvariants were built, including the clipped wing LF and extendedwing HF versions. Anew armament, the ‘e’type, was introduced with the IX, featuring twocannons and twoheavy .50 calibre machine guns, providing ahugeperformance upgrade. TheIXabsolutelyruled the skies at medium and high altitudes, but the 190 stillhad the edgeatlow altitudes, and alater ‘long-nose’ model matched the IX, but it was met by the superior VIIs and VIIIswhichbynow hadentered service.Allied air superioritybeganwith the Spitfire Mk.IXand aided by the American P-38 Lightning and P-51 Mustang,would continue until the end of the war.5,665 Mk IXs were produced, and later in the war,someweremodified into two-seatertraining variants,called the T9 Spitfire. Ihavebeen lucky enough to work on oneT9Spitfire,MJ627,whichnow flies passengers from Biggin HillAirport. Mk.X and Mk XI - These were high-altitude photo-reconnaissance versions based on the Mk.VII,the principle difference beingthe Xfeatured apressurised cabin and the XI did not. 16 Mk. XSpitfireswerebuilt and 471 Mk. XIs were builtand included tropical equipment as standard. 18

Mk.XII - TheMk. XIIwas adedicated low-level interceptor designed to counter the FW 190, and it was the first Spitfire to use the upgraded Rolls-Royce Griffon engine, with 1,735 hp TheXII was the first major changetothe clean lines of the Spitfire, with the airframe needing to be 3feetlongertoaccommodate the Griffon,aswellashavingtwo unsightlybulges above the exhaust blocks. AllXIIshad clipped wings, pointed tail fins,and the ‘b’armament. TheRAF nowhad complete air superiorityoverthe FW 190,with 100 Mk.XIIs produced.

Mk.XIV - TheMk. XIV did to the Griffon what the VIIdid to the Merlin.It added atwo-stagesupercharger

to the Griffon,increasing the performance to afrankly bonkers2,050 hp This newpower necessitated changes to the airframe,whichwas strengthened accordingly,and alargetail finwas added to increase yaw stability.It came in the standardand clipped wing configurations, with ‘c’ or ‘e’typearmament. It was also the first markofSpitfire to featurethe teardrop canopy, whichincreased visibility by allowingpilots to lookbehind them. Notall Mk. XIVs featured this canopy,but the clippedwing teardrop canopyMk. XIIisone of the moststunningSpitfires visually.957 Mk. XIVs were produced.19 TheMk. XIX was aPRversionofthe XIV,with ateardrop canopyand extrafuel tanks in the wings. 20

Supermarine Spiteful -By1942, Supermarine’s engineers hadrealised that at high speeds 21 the elliptical wing of the Spitfire suffered from harmfulvibrations. TheSpiteful featured abrand newwing design and a powerful Griffon Engine, but it was not readyuntil the war was ending.Only19wereevermade,and the project was eventually shut down in 1945.

Mk. XVI- Very similartothe Mk. IX,the XVI usedthe American-built versionofthe Merlin engine,built under license by Packardand known as the Merlin 266.Many hadteardrop canopies, and most used the ‘e’armament. 1,054 were produced.

Mk. XVIII - TheXVIII featured an airframe purposebuilt forthe two-stage Griffon,but by this stageofthe war air superiorityhad been won.Almost allMk.XVIIIs

were used as photo-reconnaissance models.300 units were built.

Mk. 21 and Mk. 22 -Withthe end of the War, the Air Ministryswapped from Roman numerals to Arabic ones,and with the war over Supermarine’s engineershad the time and moneytomakea newdesign.Acompletely newwingdesign with blunt tips heralded the end of the ellipticalwing, and althoughmostMk. 21s used a Griffon 61/64,afew were fitted with the 85 model.These Spitfiresfeatured twocontra-rotating propellers to tryto

Olavian 2019 –35

fully convertthe 2,375 hp of the 85 into thrust. 122 Mk. 21s were producedin total. TheMk. 22 was identical to the 21 savefor ateardrop canopyand ashorter rear fuselage. 272 were produced.

Mk. 24 - Thelast productionSpitfire. It featured alarge tail finand avariationofthe ‘c’armament with cannons that did not protrude from the wing.Only54wereever built.

TheSpitfire experiment almost seems to havecome to adisappointingend, with the Mk. 24 practically unrecognisablefromthe humblebeginningsofthe fighter imagined by SpecificationF.7/30, but it is worth havingathink about just howimpressive this change is. From aplane that struggledtomake228 mphand tooknigh on ten minutes to climb 15,000 feet to the mightyMk. 24, amachinewith atop recorded speed of 454 mphand that could climb to 30,000feetineight minutes. Compared to the Mk. Ia it was twice as heavy, morethan twice as powerful, and it was testament to the amazing iterativedesign process started by Mitchellin 1931,and although he passed awayin1937,the Spitfire always remained his project,and Iamsurethat he would havesmiledathow his inventionhad grown.TheSpitfire managedtocapturethe imaginationofthe British Public with its smoothlines and amazing performance,and for many,it stillremainsaniconofthe war,a symbol of hope when hopeseemed lost.Although manySpitfiresare lost to time,those that still flytodayare atestament to the amazing ingenuityofthe designers and engineers, and to the braveryofall those who fought in the skies above Europe and beyond.

References:

1.Anderson,J.(2018). TheGrand Designers.Cambridge UniversityPress, p.132

2. Andrews, C. and Morgan, E. (1989).Supermarine aircraftsince 1914. 2nd ed. London: Putnam, p.207.

3. Aviation-safety.net. (1939). Accident Supermarine SpitfireType 300 prototypeK5054,04 Sep1939.[online]

Available at: https://aviation-safety.net/wikibase/75481 [Accessed 26 Aug. 2019].

4. Biggin HillHeritageHanger.(n.d.). Whywas the Spitfire so Successful? |Fly aSpitfire.[online] Available at: https://flyaspitfire.com/why-was-the-spitfire-so successful [Accessed 26 Aug. 2019].

5.Clancy,J.(2006).Aerodynamics.Sterling BookHouse

6. Imperial WarMuseum. (n.d.). .303 Browning Machine GunMkII*.[online] Available at: https:// www.iwm.org.uk/collections/item/object/30034660

[Accessed 26 Aug. 2019].

7. Meredith, F. (1936). Cooling of AircraftEngines. With Special Reference To Ethylene Glycol Radiators Enclosed In Ducts. H.M.StationeryOffice.

8. Pilot’s Notes forSpitfire IX, XI & XVI. (n.d.). 3rded. H. M. StationaryOffice

9. Price,A.(2002). TheSpitfire Story. 2nd ed.

10. Quill, J. (1983). Spitfire.London: Arrow,p.102.

11. Spitfire Association. (n.d.). Spitfire Marks. [online] Available at: https://spitfireassociation.com.au/spitfiremarks/ [Accessed 26 Aug. 2019].

12. TheNational Archives, Kew. (1931). AIRCRAFT: Fighter (Code B, 5/6): Single-seaterday and night fighter:specificationF7/30 | TheNational Archives. [online] Available at: https://discovery.nationalarchives. gov.uk/details/r/C2630339 [Accessed 25 Aug. 2019].

ImageReferences

1. Spitfire Association. (n.d.). Spitfire Marks. [online] Available at: https://spitfireassociation.com.au/spitfiremarks/ [Accessed 26 Aug. 2019].

Footnotes:

1. Thesuccessofthe PV-XII, or Merlin, Engine,was remarkable.Itwas used in the majorityofSpitfires, the Hawker Hurricaneand, built under license,the North American P-51 Mustang. It wasalso used in multiengine bombers,with four Merlin engines in the iconic Avro Lancaster.Ittruly was aversatile design.

2. Largepistonengines hadatendencytoget very hot whenoperating at high speeds forlongperiods of time This could easilyleadtomechanical issues,so finding innovativecooling solutions was amust.Largeair intakes forcoolingwereeffectiveyetcreatedlargeamountofdrag, reducing the aircraft’stop speed. In 1936 the engineer F.W. Meredith realised that through careful design the drag caused by aradiator could be offset if the waste fluid were forced backwards, thus creating thrust. Air flows into the duct whereit is heated by aradiator containinga hot fluid, in the PV-XII’scase,ethylene-glycol.Theair is acting as acoolant,so heats up,increasingits volume.The air meetsdragresistance from the radiator surface and is compressed by the forwards motionofthe aircraft, in a process called the ram-air effect.This hot, pressurised air is accelerated out of an exhaust duct, and the reaction forceprovides asmallforwardthrust. Ethylene glycol

36
–Olavian 2019

was particularly effectiveasithad amuchhigher specific heat capacitythanwater,allowing the air to reacha higher temperature, thus increasing the forwardthrust. Meredith realised that if the generated thrust exceeded the aerodynamic drag of the duct,itwould contribute anet forwardthrust to the airplane [7]. Rolls-Royce and Mitchellwerekeen to use this in the design,and it allowedthe Spitfire to haveexceptional cooling ability with no net loss in thrust. TheMeredith effect inspired early research into ramjets, with the Spitfire’s cooling system almost resembling aramjet.Inthis sense,the Spitfire was actually ajet poweredaircraft!

3.Akey principle of this drag reductionwas forthe wings to haveanincredibly thin cross-section. Countersunk rivets in the wing allowedfor asignificantlythinner wing than many of the spitfire’s counterparts, giving it a greater top speed.

4. Drag on awingarising from the development of lift

5. This was necessarydue to the effect detailed by Bernoulli’s principle over curves.As the wing approaches the speed of sound, the local air flow canbe accelerated to supersonic speeds, creatingashockwaveand large amounts of drag. Theidea of the ‘sound barrier’stems from this principle.Inorder to reducewavedrag, awing should havethe minimum possible curvaturewhile still generating the required amountoflift. This leads to a wing design that is thin and wide,with alow thicknessto-chordratio,suchasthe elliptical wing of the Spitfire [5].

6. Stallisthe reductionin liftgenerated by awing as the angle of attack increases. In light, subsonic aircraftsuch as the Spitfire, astallwillcause the aircrafttodescend and pitchdown, as the wing is no longer producing enough lifttosupportthe aircraft’sweight [5].

7.This design actually has an incredible side effect.Asthe roots of the wingstalltheybegin to vibrate,something that the pilot canfeel. These vibrations actasawarning to the pilot that theyare at the edgeoftheir operational capability,and that theyshould returntosafer flight. Todaystallwarningsystems involvecomplexgyroscopes and computers, but none arequite as practical as the Spitfire’s. This was oneofthe manyreasons that new pilots quicklyfelt comfortable in the Spitfire [8].

8. (4500 ÷60=33.75)

9. TheHeinkel He 70 Blitz hadelements made out of a flammable magnesium alloycalled Elektron,which burns easilyand is difficult to extinguish. Thenon-selfsealing wing fuel tankswould also go up in flames with ease.A single light machine gun round was said to be enough to set aHe70onfire.

10. As opposedtothe Browning Mk. Ia.

11. TheHispano was so unreliable that 19 Squadron requested the Mk. Ib be replaced with Mk. Ias from an operational training squadron.

12. With allthe armour plating attached the actual top speed was more like 345 mph.

13. Theclippedwingwas designed out of necessity. Planes using aclipped wing had ahigher rate of roll and as suchbetter low-levelmanoeuvrability, vital for interceptors and bombers.

14.Thesegaveimproved liftinthe thin air

15. Thesame height that commercial aircraftcruise at today.

16. Beforethis,fuel was forced out of the carburettor by the negativeg causedbyasteep dive.TheMesserschmitt Bf.109E used afuel injectionsystem meaningit could simplydivetoescape pursuit by aSpitfire Theaddition of the Bendix pressure carburettor in 1942 finallyaddressed this performancegap

17. By 1943 WorldWar II was trulya ‘World’war

18. After coming into service,several Mk. XIs were selected forhigh-speed diving trials at Farnborough to investigate the handling of aircraftclose to the speed of sound. In April1944, Mk. XI EN409, flownbySqdrn LdrAnthony F. Martindale,suffered engine failure during ahigh speed divewhen the propeller came off This put EN409 intoanuncontrolled Mach 0.92 dive (706 mph)! As various components fell off of the front of the plane,itbecame tail heavy and climbed back to altitude.Martindale blacked out under the 11 gloading, but whenhe came to he found himself at around40,000 ft with the originally straight wingsnow slightlyswept back.Hesuccessfully glided the aircraft20miles back to the airfield and was awarded the Air ForceCross for his efforts.This is the fastest recorded speed in apistonengined aircraft.

19. TheSpitfire Mk. XIV was oneofonlyahandful of Allied aircraftthat could keep up with the V1 Flying Bomb.Mk. XIV pilots were known to ‘tip-up’the V1 by flying alongsideand putting their wing under the wing of the bomb,thus causing it to tumble out of control and miss its target.

20. AMk. XIX reached the highest recorded altitudefor aspitfire in February1952.AHongKong-basedSpitfire of 81 Sqdrn, flownbyFlt Lt EdwardCyrilPowles reached arecorded altitude of 51,550 ft beforelosing control and entering an uncontrolled dive. FltLtPowles

Olavian 2019 –37

regained control around3,000 ft and landed the aircraft safely.

To what extentare microplastics the most dangerous pollutant to marine life?

Pollutionisa major problem facing societytoday, and marine pollutionisa significant partofthat, onereason being that oceanscover 70% of the Earth’s surface and hold 97% of the water on Earth.Microplastics (fragments of plastic 0.05-0.5cmindiameter) in particular,pose alargethreat, due to their dispersed and damaging impacts on marine lifeacrossthe globe Thereishowever debateastowhichpollutant posesthe greatest threat, because the impacts canbelessened if mitigationis successful, pollutants canberemoved from the ocean, and their flow intothe oceancan be lessened. This meansthat the greatest threats to marine lifeare those pollutants that areharmful to life, cannot be removed from the ocean and havelargescale impacts.While there areincreasing concerns about the future impact of rising carbon dioxide levels in the atmosphereand oceans, this study willconclude that the most dangerous pollutant to marine lifeismicroplastics.

The firstpollutant thatwillbecovered is plastics. This encompasses both plastics in amoregeneral wayand specificallymicroplastics. Of the plastic in the oceans, around 20% is from ocean industry, but 80% comes from land (from landfill,being washeddownthe drain directly (microbeads and other cosmetic products)orthrough industrial leakage). Thereare manykinds of plastic forexample PVC, silicone,nylon and PET(in water bottles). Thecolouring of these plastics often means that animals willingest them and the carcinogens they carry. Microplastics arefragmentsofplastics formed underUVbreakdown or directlyfromcosmetics and clothes. Themain issue associated with microplastics is bioaccumulation, especially in the higher trophic levels. Thereisalso direct toxicityofmicroplastics as chemicals adheretotheir surface due to their high surface area to volume ratio forexample flameretardants whichinhibit respiration. Thethirdmajor pollutant is carbon dioxide whichdissolves in oceans to form weak carbonic acid. Oceans absorb30% of anthropogenic carbon emissions, with the current pH changeat0.11 pH units. This pollutantaffects calcifying organismslike molluscs and coral whose shelland skeletonisdissolved respectively. Industrial pollutionand dumping is also amajor issue with agricultural runoff from intense farming, the tourism industry, untreatedsewageand oil. Allpollute oceansinvarying but localised ways from algal blooms forming oxygen depleted deadzones to oil covered seabirds.Overall,it is clear that allthe pollutants arevery

dangerous, but plastics, microplastics and carbon dioxide arethe most widespreadintheirimpacts.

To evaluate the impacts of the pollutants across the whole ocean, the case study of the PacificOcean which covers athirdofthe Earth’s surface willbeused.Many species in the PacificOcean havedeclinedsince the industrial revolution, and the Great PacificGarbage Patch(an accumulationofplastic in the ocean) has also formed since then due to ocean currents. Thereare estimatedtobe1 trillionpieces of plastic within the garbagepatch, with microplasticsveryabundant in the middlelinkedtoincreased exposuretoUVofthe plastic in the middle of the patch. 30% of species havebeen entangled in plastic and 44% haveingested it. When surveyed, 35% of planktivorous mesopelagic fish caught in the NorthPacificgyrehad microplastic in their gut. Thenext majorpollutant, carbon dioxide,has alarge impactonthe PacificOcean due to the presence of coral reefsinthe NorthWestand the South. In 2016,30% of coral died during a9 month excessivewarmperiod, howeveritishardtosay whetherthis is due to the direct impactofcarbondioxide or whetherthis is due to ocean warming.This death of coral willhavea knockoneffect and does havethe powertodestabilise the entireocean ecosystem. Industrial waste and dumping has alarge impactonthe PacificOcean too,asthereisa 22,000km2 oxygen depleted deadzonepresent.Thetourism industry is also highly damaging,especiallyaround Hawaii,where thereare levels of oxybenzone(achemical in sunscreen) 70x higher than the safelevel and very high levels of oestrone (in untreated sewage) whichaffects the gene expressioninvertebrates. TheDAPLpipeline has had 5majorleaks recently, although this has lowimpacts as mostmarine lifecan swim awaytoavoid the dangerthe oil poses. Overall, it is clear that while allthe pollutants aredangerous, industrial pollutionislocalised and not abundant, howeverplastics, microplastics and carbon

38 –Olavian 2019
Figure 1(The Ocean Cleanup (The Great Pacific Garbage Patch), 2018) shows the abundance of microplastics throughout the great pacific garbage patch.

dioxide arewidespreadand abundant.

Thestorysofar is bleak, howeverthereare ways to reduce the impacts of these pollutants.Ifpeople reduce consumption,then companieswillreducethe production of allthe pollutants;but this is not enough on its own. Political acts on anational and global levelare also needed.To mitigate against the futureimpacts of plastics plastic alternatives canbefound–the companybiome bioplastics haveproduced acompletelycompostable and biodegradable hot drinks cup made of potato and corn starch as well as cellulose.Toreducethe impacts of carbon dioxide,renewableenergymustbeprovidedbycompanies and caps must be enacted. On an individual level, home insulationcan be effective. Like carbon dioxide,the futureimpacts of industrial waste canbemanaged in this waytoo.Removing pollutants already in the oceanis difficult but canbedonein 2wayscurrentlyfor plastic Thecompany TheOceanCleanup is testinga 600m long floater on the Great PacificGarbagePatch, and if rolled out to alloceangyresystemscould remove 90% of plastic from our oceans by 2040. However, the downside is that this system cannot remove microplastics There is also afungus that secretes enzymes whichbreak the intermolecular bonds using mycelia, whichisespecially useful forPET. Thereare howevertemperatureand pH limits to their effectiveness whichcould limit their use in oceans. Overall, it is clear that the widespread abundant impacts of plasticscan be limited, along with carbon dioxide and industrial pollutants, while microplastic pollutioncannot be.

Overall, it is clear to acertain extent that allthe pollutants that humans areputting into our oceans havegrave impacts on the marine lifeinhabiting them.However, some pollutants like oil, agricultural runoff,sunscreen and sewagehavelocalised impacts and thereforedonot pose suchawidespreaddangerto marine life. Microplastics, plastics and carbon dioxide havewidespreadimpacts across the whole ocean, so theirimpacts arenot localised and arethereforelikely moresevere. Other formsofpollutanthavesolutions, like carbon dioxidethat causes ocean acidificationand largeplastics. This means that despite the fact that their effects areverydamaging and widespread, thereare ways in whichthe effects canbeprevented. This means that overallthese pollutants pose less danger to marine lifein oceans. Microplastics aretoo smalltobeextracted from the oceaninthe sameway that larger pieces of plastic can,so theypose agreater threat.This means that overall, microplastics arethe mostdangerous known pollutant to marine life. They areharmful to marine life, cannot yetberemovedorremediated and arewidespreadand abundant in the oceans. However, threshold effects may raise the impact of pollutants studied here, forexample atipping point foroceanpHchangesthatcauses a massextinctionevent. Theocean is in astate of rapid

change, so it is unclear whichpollutantisgoing to act the fastest and do the most damage.What is clear is that, as asociety, we must acttoprevent pollutionworsening beforeitistoo late

‘Separating humanfrom physical geography makes less sense now than ever,sinceno “human” geography concerns humans alone’.Discuss. Whilst the Oxford Dictionarydefines geography as, “Thestudyofthe physical features of the earth and its atmosphere, and of human activityasitaffects and is affected by these”(Oxford Dictionaries |English, 2018) This approach to separate the twostrands has become somewhat outdated because the modernway of thinking is to integrate solutions to the processes. Forexample, in the broadestterms, anyprocesses that happen at the coast affect humans because humans choose to interact with these beautifullandscapes.Additionally,any policies humans implement against populationgrowth forexample willhaveaneffect on the ecosystem they liveinharmony with whichcannot be ignored. This in the simplest terms shows that thereshould not be aline drawn.

Traditionally human geography involves the study of the relationships between people,place and their environment whereas physical geography insteadfocuses on spatial processes

Geography is aspatial scienceand if we ignorethe space we livein, we willbepretending we areignorant, which is not true in the modern world. Government policies that we implement cannolongerbesolelyfocussed on the impacts theywillhaveonpeople,insteadthey must also consider the impactonthe environment we livein. Some policies havebeen implemented on alarge populationwherethe impacts of it on the environment were not considered. China’s1979 onechild policyhas hada largeimpact on the people of China,but this does not tellthe fullstoryofthe impacts of the policy. At that time,a quarter of the world’spopulationwereon atiny7%ofthe world’sland, and therewas ayouthful populationwith twothirds under the ageof30.Thepolicy resulted in the ratio of men to women and old to young being dramatically distorted. Families wanted males to be able to care forthem in old age, and females born would hold this obligationtotheir newhusbands’family. In some circumstances females who were bornwereleft to die. Thegovernment of Chinaproject that the policy has prevented 250 millionto300 millionbirths,however the policyitself was not the only reasonfor this. This policyhas hadanimpact on Chinese culture, but it has also hadanimpact on howpeople live.Thevast numbers of the elderly has meant that the care forthis population has hadtoberethought fornew solutions. These solutions must take into accountphysical geography

Olavian 2019 –39

of space issues, because expansionofurban facilities must go somewhere, and those places must not further damageChina’salready fragile ecosystems whichhas been damaged by projectslike the ThreeGorges Dam This was aproject whichput manyspecies including the Chinese River Dolphin on the brink of extinction. Additionally,the dam flooded 632 squarekilometres of land, displacing thousands of towns and villages and affecting around1.3 millionpeople

Beforethe recent increase in the rate of globalisation, decisions about what was going to happen were made on asmalllocal scale,and solelyabout howdecisions would affect the people who livethere. This also meant that therewas not as much of alink between physical and human geography as therewas not afocus on the widerlandscape,rather oneonthe local impacts on people,and maybesomeofthe local wildlife. For example,onthe Holderness Coast, beforeanintegrated approach was taken forthe whole coastal system, therewas coastal management in place like agroyne at Mappleton whichactually harmed the biodiversity downdrift. When globalisationbought technological improvement and therewas acommunicationnetwork between everyone very rapidly,this was not allowedto happen and insteadanintegrated approach whichtook into account allphysical and human processes that have an impactonthe landscape and the places we livein. Todaythe morecommonapproach takes into account both people and the place and made aplan based upon allthis information. However, beforethis canbedone, afullunderstandingofprocesses and systems must be gained.Negative feedback systems come into the contextofglobalisationbecause the global system can actbylessening the effects of changes within the system. Withoutthis understanding of systems, therecan be no wayfor people to progress further with globalisation. Overall, globalisationhas alloweddecisions to be made involving people and the landscape,and decisions should continue to be made in this way.

Globalisationhas also massivelyimpacted disaster mitigation. Communicationtechnologyhas advanced; from letterstotelephone cables under the Atlantic Ocean to the internet today. Beforethe internet, therewas no wayfor people across the globe to rapidly communicate and thereforerapidlywarnone another if adisasterwas imminent. With globalisation, the monitoring stations alloverthe worldthat collect seismological data cannow be connected. Prior to the Boxing daytsunami in 2004 whichkilled 250,000 due to the 15m wavereaching the countries around the Indian Ocean, theywerenot connected.However, nowtheyare whichallowsfor the monitoring that is done to savelives by warning them of when theycan expect atsunamiand when they should move to higher ground. This only came with the inventionofthe internet allowingrapid communications.

However, in the case of ahazard, the resilience of the system is averyimportant issue,because the waythat the system canrecoverfromthe effects adisaster will dictate the economic and social status of the countryfor many years to come.Ifa country cannot recover, it will always be in debt with the possibilityofmanypeople stillliving in temporaryhousingwhereas if the system springs back recovers, the place willdobetter in terms of the economy This shows that to understand howpeople and hazards caninteractand understanding of system resilience must be taught and the only waythat it could be done is by separatinggeography out into strands, perhaps even further separate it than the twonames physical and human.However, thereisastronglink between physical and human processesbecause people areaffected by them so we must use human engineering to help to mitigate.

Climate changeisaglobal issue,and thus affects people as well as allthe organisms that liveonEarth. This means that climate changemust be seen as an issue affecting the whole of earth and asolutionmust be found with compromises appropriate to everyone inhabiting our planet. This has come into playrecently, because allthe countries in the worldagreed to sign the ParisAgreement in 2015, whichaims to keep global temperaturerise below 2oC by the end of this century,with the even better aim to keep it below1.5oC. Previously, people hadexploitedthe environment fortheir ownaims. This was especially prevalent in the UK during the Industrial Revolutionbecausetherehas been a30% increase in carbon dioxide in the atmospheresince that time.Waste was disposed of in an unsustainableway,and coal use in industryresulted in smog and soot covering the city. This wasasbad forthe environmentasitwas badfor people,but only the people were thought about. In this case,people damaged the environment on alargescale and very rapidly.Since then, LIDCsand EDCs have undergoneindustrialisationtosimilar effects. China for example havebeen doing this recentlyand havevery seriously damaged the environment. China todayis the world’sleading manufacturing country, producing 50% of industrial goods. This has meant that theyhave becomeone ofthe world’sleaders in emissions. In terms of air pollutionin Beijingasof2013, therehad been many days wheresafelevels of air pollutionhad been surpassed into unsafelevels above 300ppm. However, with climate changeapositivefeedback system has been shown to be an issue because achangefor example in carbon dioxide levels in the atmospherehavecreated asnowballeffect, pulling the system further from its equilibrium, especially in the case of carbon dioxide whichisinthe atmospherefor 100 years beforeitcan be stored in oceans or ice. This shows that averyextensive knowledgeofsystems is needed, and the only wayto achieve this is by aseparationofstrandsofstudy,which canbebought together once the pointofunderstanding

40
–Olavian 2019

has been reached. Overall,asolutionmust be found,and that human geography and the wantofgrowthcannot be separated from the landscape we livein.

As well as asolutiontoclimate change, asolutionto the impacts that climate changehas already hadmust be found and must take into account both people and their landscape,ona morelocal level. If asolutionwas to replantmanytrees that willabsorbalot of carbon dioxidefor growth,the impacts on the environment must be considered, and an appropriate place must be chosen, on aglobal scale because climate changeis aglobal issue. Another solutioninvolves the switchtobiofuel to reduce emissions of carbon dioxide,because biofuel is seen as carbon neutral. However, land must be found to grow this sugar cane forcombustionand this land would most likelybe found from agricultural land. This would mean an increased strain on the agricultural land, or moreland would be destroyedin favour of monoculturetocope with the increased demand. This once again emphasises that solutions must be fully considered fortheir impact across the whole of geography,and not just howthey would affect humans.

In conclusion,the worldtodayis aworld that has become moreintegrated, moreawareand moreinterconnected in ways that havenever beforebeen possible,meaning that the spatial processesand the interactions with people and their landscape havebecome interlinked. This meansthat global solutions, taking into account all organisms on Earth must be found to ensurethat the worldcontinues in its current state.Globalisationhas facilitated this path, and it is globalisationwith allthe newinfrastructureand technological advancements that willmake it possible to solve issues like climate change and come with sustainable policies forthe future,forboth humans and animalswith whomweshareour planet

How immigration has benefitedthe UK

From the media to other formsofrepresentationofthe United Kingdom, the UK has constantlybeen judged as acountrywho was always unfavourable of immigration despite 15% of the populationbeing foreign-born. Recently, this viewofthe UK has been emphasised due to the vote to leavethe EU meaning stricter border controls. Although thisimageofBritain seemed to last forthe pastfew decades, moreand moreevidence supports the idea that the UK has been impacted more positivelysince mass immigrations after worldwar 2. This was when the countrywas sought after by many nationalities forseveral different reasons including push and pullfactors like refugeand job prospects. Thephenomenon of globalisationhas meantthe world is becoming increasinglyinterconnected as aresultof increased tradeand cultural exchange.

Between 2001 and 2011,70% of the population

increase was due to foreign-bornimmigrationwhich was asignificant increase from previous years; mainly due to the UK givingoff the idea of having multifold of opportunities. From manyperspectives, this would largelybe seen as adisadvantagetothe UK due to fears of overpopulationand the impacts this would then have on the economy.Nonetheless,the decline of the booming UK economy highlywelcomesmoreimmigrationinto the country. As migrants normally areprepared to take on lowerpaid and lowskilled jobs, this would make sure that the primaryand secondarysector of the economy would stillfunction. This is important, as if thereisno primarysector then we would be dependentonother countries to feed ourselves.This could thusleadtoweaker powerovertrade and control of the prices of necessary goods and services. Theprimarysector enables us to be independent and thus provides stability,as well as fueling the secondarysector.Ontop of this,immigrants bring in newskills whichcan be adopted by the current workforce that increases the productivityoflabour. Therefore, leading to higher GDP in the UK as the multipliereffect is then taken on This is where firmsuponreceiving higher revenue,are able to payworkersmoremoney whichmeansmoredisposable income forhouseholds; used to consumemoreproducts whichamounts to more GDP forthe UK. Consequently, benefitting the country economically as well as socially as tradelinks canalso be improved with moreimmigration.

Considerableamounts of cultural interactionbetween ethnically British people and foreign-born citizens has meant aricher and morediverse British culture. This has meantthat since the early 20th century, people who were brought up in the UK were given awider perspectiveoflifeand were surrounded by newskills and ideas that theymay not haveexperienced if not for immigration. When children arebrought up in primary schools theywillbeinteracting with other children from avarietyofdifferent backgroundsand ethnicities. With this disparate rangeofcultures, children become more open and accepting of other cultures and ideas that may benefitthem in the future. Newlanguages and styles of etiquette canbepicked up- broadening horizons. Furthermore, the welcoming of newcultures also brings about competitiveness in students whichcan greatly aid the number of people in apopulationwho attends university, whichlater contributes to amorediligent work force. During 2018 the proportionofpupils who attended universitywas already at arecordhigh of 37.4% across the UK- an almost 6.5% increase from the previous decade- after a5.8% rise in immigration throughout the same decade. Reinforcing the idea that immigrationbringsnumerous assets to the UK as there arelikelytobemoreexpertise in the country now,as well as improvedconcepts of other nations.

Other aspects of immigrationthat benefits the UK

Olavian 2019 –41

includes the livelihoods of the residents. Theculture that is brought into the countryrangesfromthe types of food and fashiontomediasuchasTVshows and music. Forexample,the thriving Italian, Chinese and Indian restaurants to namejust afew havenow been taken by stormacross the UK allowing British people to enjoya varietyofdifferent cuisines. By embracing the different cultural dishes,practices and individual needs of all families,asense of belonging is created foreveryone.This enables children to celebrate their ownuniqueness and impart the importance of acceptance and equalityatan early age.Thesteady rise of popular music genres around the worldhas also made major changes to the music scene of the UK; especially the breakthrough of K-pop in recent times.Manyofthese songs havehelped people, particularly teenagers, in becoming more confident and satisfied with themselves, with some even stating that “k-pop has made them realise what theywanted to aspiretointhe future”. This brings on manybeneficial characteristics to the British populationasyoungadults findmoreinterests in life, boosting livelihoods and the ranking of the UK in the WorldHappiness Report, wheremigration is said to be an increasingfactor in the happinessofa population. Therefore, resulting in residents leading amoresatisfied lifestyleaspeople are generally havebetter mentalhealth, therebysuggesting the benefits immigrationbrings to the UK.

Overall, the concept of immigrationand globalisation allows forcountries to be more open towards each other whichimproves both livingstandards and how happypeople become Theincrease in livingstandards due to economic growth, means households arethen able to enjoyawider varietyoffood, entertainment and culturein the UK alldue to immigrationand howit has influencedthissociety.

42 –Olavian 2019

Prize Day

Prize Day

PrizeDay Speech by the Headmaster

Chairman, Mrs Langley, governors, Ladies and Gentlemen, it is apleasuretowelcome youtothis celebrationofthe achievements of our senior students as we reflect on another excellentyear.

As youknowOfsted paid us avisit in February. It was immenselypleasing foreveryoneconnectedwith the schoolthattheoveralleffectivenessremainedoutstanding. Theschool’s work in establishing an environment that supportspupils’ wellbeing has been transformed.Itwas best summed up by students whowithout fail feel very well supported and listened to.Whatisalso obvious is that students’differences arecelebrated,not just through events,suchasDiwali, CulturalEveningand Black History Month but forthe first timeinthe school’s history whenour LGBTQ+ society flew the Pride flag at the frontofthe school. Thesecond Wellbeing Week highlighted once again the needfor our communityto lookafter their mental health. It has been pleasing to be able to welcome our wellbeing dog,Shelby. His impact already has been noticeable,and Ihavestarted lookingat adding dog biscuits on my weeklyshop.

With this outstanding outcome behind us we can nowlookontonew priorities suchasencouraging and supporting gifted children from disadvantaged backgroundsand hardtoreach places to visit the school and takeour entrance test. Ihavebeen pleased to visit primaryheads encouraging them to speaktoclever disadvantaged studentsabout applying fora place at our school. Another initiativeistoworkwith the scouts and bring the scout hut back to lifetobeused by them, the school and the local community. This is something whichI knowwillshowweare reaching out to people close to the school and slowlyrebuilding trust.

Working with the communityissomething which continues to be important and it was apleasure to welcome 240 primaryschool studentslast summer from six local schools to take partina series of mathsand science challenges, whichincluded students propelling rockets over 50 metres on the TopField

Ourstudents arealso awareofthe need to reachout further than the school communityand in this respect, Iwas delightedwhenour students chose to donate their £10K charitymoney from Festival to ‘EchoUK’ and the ‘TheJAGSFoundation’.

Ihope that tonight’sprize-winnerswillcontinue to

pursue that aspirationand build on the great legacy of this wonderful school,astheyembarkonlifewith optimism and excitement forthe futureina newand changing world.

OurYear13leavers again produced remarkable Alevel results confirming St Olave’spositionasthe 2nd best state school with mixed Sixth Form.93% of grades were at A*/B and 40 students gained 3A*s and 9gained4 A*s.

GCSE results were no less impressiveand with 89% of grades at 9to7.With 33 students gaining grades 9 and 8inevery subject and 5gainingtop grades in every subject,wehavegreat confidenceina strongSixth Form intake this autumn. Such results haveclearly not gone unnoticed by prospectiveparentswhere applications for Year 7places havereached 1311 this year

Thanks to contributions from the VoluntaryFundand the Foundation,the varietyofsportsand co-curricular activities continues to flourish,enabling our students to realise the best versions of themselves, beyond academic performance.Alongside these contributions, the PA has astonishingly raisedover£220,000 since 2015 to supportthe school, whichhas recentlyincluded tablet technologyfor departments, anew garden and outside learning space and refurbishment of the SmallHall.

Themuch-anticipated South AfricaTourlived up to allexpectations forour seniorrugby squad. Some tough matches and some amazinglocations, suchas NelsonMandela’s home,sunrises whilst on safariand the beautiful Table Mountain, helped to make this an unforgettable experience

Ourstudents regularlygoabove and beyond the examinationspecification,and this again was highlighted through the academicjournals,suchasthe MFL European Journal, Medics’ Journal, ‘dTail’producedby the DT department and TheHumdinger produced by the Humanities Faculty

From the impressivenumber of students gaining top awards in the Lingusitics,Maths and Science Olympiads, we also hadinComputing,Linus Luuachieving 1st place in the Bebras Senior Challenge. Congratulations to the school team who were crowned National Champions in the VEXRobotics Competition forthe second time running.

Forthose wishingtodevelop or showcase their musical

44 –Olavian 2019

talents, therewereample opportunities, with asparkling Christmas concert, aprofessional productionofGuys and Dolls that would rival manyWestEnd shows,afoottapping JazzNight and a fine Spring Concert. Sachin Balaji,aregularperformer,took first prizeinthe Norman Trotman competition. Andfor royal performances, our Wakeham Choristers of the Queen’s Chapelofthe Savoywerehonoured to sing forthe Queen and the Royal Victorian Order at St.George’s Chapel, Windsor very soonafter singingbeautifully at Commemoration. Ourchoristers were exemplaryin their contributionto this memorable occasion.Talented artistsweremuchon displaywith Year 11 and Sixth Form students putting on twoinspiring exhibitions showcasing the fantastic work theyhaveput together.Teams competed in the Chartwell DebatingCompetitionaswellavast number of students completingaLAMDAqualificationinPublic Speaking and Acting.Noneofour activitieswould flourish so effectivelywithout the valued supportand commitment from the staff,for which Ithank them greatly. Indeed, the time theygenerouslygivehas enabled arangeof local and international trips to take place and enrichthe students’broadand balanced curriculum.

Despite thickfog,thigh deep snowand enough rain to drownin on the Gold DoE Expeditioninthe Brecon Beacons, the group overcame the challengeand passed with flying colours.This year saw exchanges with Kolkata, Lille and Starnberg,anEconomicstriptoBerlin,aYear9 Science trip to the KennedySpace Centreand aGerman Trip,also to Berlin. TheSixth Form Greece trip tookin the sites of Nikaeopolis and the seat of Zeus at Dodona; others flew to Malawi foraconservationproject with OperationWallacea and those keener on sportjetted off to Innsbruck forthe annual ski trip

Allthe experiences mentioned, whichallowsour students to be challenged,inspired and enthralled,would not be possible without the generous supportofparents, governors and OldOlavians.

Iwillnow finish by going slightlyoff on atangent. We area fast-paced school and we arecelebrating alot born out of that today.

However, sometimes we go too fast to appreciate things aroundus –occasionally we need to pause–whether we areatthe top of ahillorin the middle of amad term– perhapsweall need to stop and lookaround. And perhaps we allneed to thinkalittle moreabouthow much goes on at St Olave’sand if we arenot careful, we maymiss it.

Aman sat at aSubwayStationinWashingtonDCand started to playthe violin; it was acold Januarymorning. He playedsix Bach pieces forabout 45 minutes.During that time,since it was rush hour,itwas calculated that

thousands of people went through the station, most of them on their waytowork.

Threeminutes went by and amiddle-aged man noticed therewas amusician playing.Heslowedhis pace and stopped fora fewseconds and then hurried up to meet his schedule.A minute later,the violinist received his first dollar tip; awoman threw the moneyinthe tilland without stopping continued to walk.Clearly,she was late forwork.

Theone whopaid the most attentionwas athree year old boy. Finally,the mother pushed hard, and the child continued to walk turning his headall the time. This actionwas repeated by severalother children. All the parents, without exception,forced them to move on.Inthe 45 minutes the musician played, only 6 people stopped and stayedfor awhile.About 20 gave him moneybut continued to walk their normal pace.He collected $32. When he finished playing and silence tookover, no onenoticed it. No oneapplauded, nor was thereany recognition.

No oneknewthis but the violinist was JoshuaBell, one of the best musicians in the world. He hadplayedone of the most intricate pieces ever written with aviolin worth $3.5 million.Twodaysbeforehis playing in the subway, Joshua Bellsold out at atheatreinBostonwith the seats averaging over $100 dollars.

One of the possible conclusions from this experience could be; if we do not haveamoment to stop and listen to oneofthe best musiciansinthe worldplaying the best music ever written, howmanyother things arewe missing? Likewise,being partofthis wonderful school with so much going on as Ihavetouched upontonight, cansometimesmean we miss manyofthings our wonderful young people do,supported by our amazing staff.Wemust not stop telling each of the young men and women in this school howveryspecial theyare.

Dr Wright, Itruly believe these young people have earned theirprizesinanother highlysuccessful year.I also want us to recognise that thereare manyoftheir friends who arenot hereasprize winnerstonight but who also work hard, giveoftheir best and achieve in manydifferent ways;theytoo deserve our praise in their absence.Congratulations to youall

Olavian 2019 –45

PrizeDay Speech by Director Of Sixth Form,David Budds

Chairman, Mrs Langley, governors, colleagues,proud parents, Olavian Prizewinners. As youhaveheard it has been an excellent year academically forthe Sixth Form with aremarkablyimpressiveset of results at A-Level. Whilst the aggregates areclearlysuperb, they areonlyeverthe sum of the incredible efforts,aspirations and academic excellenceofindividual students. And those results themselvestellonlyafractionofthe story of the brilliance and commitment our pupils bring,and the incredibly diverse rangeofwaysinwhichtheyexcel. To each of our prizewinners,your school is proud of you and we canonlyimagine the pride whichyourfamilies willfeel thisevening.

In additiontotheirstrongA-Level results, 46 Year 13 students completed theirExtended Project Qualification in 2019, 9ofwhomscored fullmarks, and 28 of whom –welloverhalf– achievedanA*. Topics were diverse and challenging,ranging from “Why don’twehavea theoryofQuantumgravityyet?” to “how did Victorian censorship reflect the spirit of the age?” via “Towhat extent cangametheorybeused to model society?” and manyother remarkable and fascinating topics besides, and students shone in theirfascinating and erudite presentations.

Other academic achievementsbeyondthe mainstream A-Level curriculumwereabundant, with onehighlight includingthe school’s performance in the British Physics Olympiad, forwhichone ofour Captains of School, ManavBabel, was invitedtothe Royal Societytoreceive an award foratop ten place nationally in this prestigious competition. Meanwhile,backinthe realms of A-Level, Mr Rees was delighted to receivea letter this summer confirming that SofiaCotterellhad achievedthe highest marknationally in A-Level RS. These achievements offer just twosmallglimpses into the hugeamountof remarkable studentachievements whichoccur within and beyond the mainstream curriculum,and thereare yet manymoreacademicaccolades whichIcould enumerate herehad we but worldenough and time.

In sport, TheYear13leavers arecharacterised by their leadership –theyhavebeen tremendous sporting role models forthe younger years. Therehavebeen some incredible personal achievements in awide rangeof disciplines, and staff havebeen happyand privileged to givefreelyoftheir time outside of school to work with these studentsand givethem opportunities outside of the curriculum.

Drama and Musichavecontinued to flourish at the school with onenotable highlight forour senior students being this year’s fantastic productionofGuysand Dolls, with MatthewPageand Lizzie Caisley in prominent

roles,and involving manyofour other leavers in avariety of ways,both performing and behindthe scenes.

Ourstudentsremain compassionate,diligent and dedicated in their approach to charitable fundraising.You havealready heardaboutFestivaland Cabaret from Mr Rees, and our annual CulturalEveninginNovember,as well as being awonderful celebrationofthe diversityof our student body,also raised severalthousand pounds for the “Catholic Agencyfor Overseas Development”; my thanks go to the Committeemembers who organised each of these highlysuccessful and worthwhile events, and in particular to Harshdeep Gulati forhis outstanding dedicationand leadership in chairing the Cultural Evening committee thisyear

TheSixth Form provides students with manyleadership opportunities.161 students tookupprefect positionsand the Senior Prefect Team of Manav Babel,Srishti Suresh, James Blackwood, Skai Campbell, Hai Duong, Oliver Farrell, SerenFord, PriyankaPatel and JessyeTuhave achieveda stunning amount this year,whilst remaining committed to their studies.They,together with the Sixth Form Association,havedrivenforwardseveral initiatives whichwillbeofgreat benefittofutureOlavians,from streamlining our sign out system, to improving the catering provisionavailable to allpupils to working on policyamendments whichshape and develop the positive and inclusivecultureofthe school. Senior Prefects, and Prefects of alltypes, your school is very greatlyindebted to you; youare exemplaryOlaviansand leaveapowerful and inspiring legacy to your successors.

This year group could scarcelyhavemademeprouder as theirDirectorofSixth Form,and Iamsurethat opinion would be firmly endorsed by the rest of the teaching staff hereatSt Olave’swho havebeen privileged to work with you. As ayear group,you define and personify the ethos of the school and make it what it is and what it ought to be –aplace wherebrilliantyoung men and women can flourish, and learnwith confidence to shine and illuminatethe wider worldwith theirbrilliance for agreater good. Icould not havehoped fora finer year group to be my last as Director of Sixth Form.Inall respects forme, youare the ultimate.

Thankyou.You have set afantastic example forthe new Year 13 to follow;you havebeen an absolute credit to the school and to your parents. Youwillgoontobright and brilliant things in your lives beyond the school, and we lookforwardtosharing news of your futuretriumphsin the place whereyou are cherished and in whichyou will livelonginthe memoryasanoutstandingyeargroup On behalf of allofyourteachers,I thank youall foryour commitment and your brilliance and wish youevery possible success and happiness forthe future.

46 –Olavian 2019

Prize Day Speech by Head Of Year 9, Michael Perks

Good evening all;chairman,the venerable Dr Wright, Worshipful Mayor, parents, students, guests and colleagues.

What arollercoaster of 2years. Highsand lows, with manychallenges that the boys havehad to over come in preparationtoachievingsuchwonderful GCSE results.

Ishall startthis evening by takingeveryoneback approximately2years ago,when ItookoverasHeadof Year 10. My first ever year group,inmyfirst ever year group assembly.I openedthe assembly with avideo clip,asall good assemblies shouldalwaysinclude,before finishing the assembly with oneofmyfavourite phrases and quotes of alltime:

‘Hardworkbeats talent whentalent its willing to work hard.’

NowIwas aware, having taught at St Olave’sfor a year by this stageand throughthe schools glowing reputation,that our boys and girls arenaturally incredibly talented, wonderfully gifted with academic curiosityand questioning; but Iwasn’t overly convinced on howhard the boys were willing to work

Would theysimplyrelyontheir natural abilities?And simply see howfar this would take them?

Well the answer quicklybecame very clear

So in total, of ayeargroup 128 pupils, theycollectively achieved, alongsidebalancing time fortheir academic studies:

•39Music Grades or equivalent awards

•42sportingachievements,eitherthroughrepresenting the school or at local clubs or competitions

•23Drama or public speaking awards

•65extracurricular academic achievements and recognitions

•26Duke ofEdinburgh awards

and afurther 36 other awards,whetheritbeing achieving the HPQ, contributions to environmental societyor winningawards forVEX robotics.

So,inYear 11 we had:

•20pupils who havecompetedin regional events.

•10National events.

•And 5Internationally -all of who competed at the WorldVEX robotics championship,through winning the UK Nationals.

And, extraordinarily, thereare countless moreIcould havementioned and Ihaven’t even mentioned the science and mathsdepartments.

Allthese wonderful achievementsthatshouldn’t be taken likelynor underestimated in howhardthese boys haveworked over the pastcoupleofyears.

What makes me immenselyproud,as their HeadOfYear isthat the vast majority of Year 11 pupils contributed, in some capacity,towards these achievements and statistics.

So to allthose Year 11’sheretonight, celebratingthis wonderful evening, firstlyremember howspecial you areasanindividual and as an Olavian.Continue to not shyawayfromadversity or hardwork. Keep true to yourself and remember in 10, 20, 30 years time,when youare all, hopefully,helping to makechange in our world. Remember back allthe wonderful memories and friendshipsyou developed along the way,and please keep in touch, because youwillalwaysbemy first ever year group and the Year 11 class of 2018-19.

So my parting message:

1. Youare allextremelytalented and intelligent in your ownway.

2. Don’tunder estimate the value of hardworkand determinationoverthe next coupleofmonths

3. Youare not and willnever be alone whilst youare apartofthis school or an Olavian.Therewillalways be someone theretohelp you.

Olavian 2019 –47

Special Prizes

Giles Pilcher Prizefor Public Service (Awarded byTheOld Olavians’Lodge)

Manav Babel, Srishti Rentala

Graphics Prize AbhayGupta

Design Prize

JosephFolkes

Susan Owen Medalfor Drama MatthewPage

L.W.WhitePrizeforSportingActivities Arnav Barry

TheHeadteacher’s Fund Prizes

Chambers Prizefor Leadership

TheAnthonyJarvis Shield

TheWoodardBoardPrize

MichaelPugh Prizefor Public Speaking

James Blackwood, Skai Campbell, Hai Duong, Oliver Farrell, SerenFord, Priyanka Patel, JessyeTu

James Harms

Harshdeep Gulati

Molayoninuoluwa

Ogunde

Tony Chen

TheRenshaw Shield forDebating Jacinta Chiang

Headteacher’s Prizefor Poetry Victoria Akinleye

TheKemalCup forPoetry Jake Egelnick

O.O.LodgePrize forContribution to School Life

TheMedicalFund

Shaun Sanu

Chizute Ogbedeh

CathedralParishPrizeforVoluntaryService Ifeoluwakiisi

Adejuyigbe

LeslieSandersPrizeforEnglishLiterature

FrenchPrize

Isabelle Giles

Kendra-Jean

Nwamadi

A.W.Walker Prizefor German Emma Jones

Matthew Holmes Prizefor Classics

TheAshleyPrize forHistory

Antiquarian SocietyPrize fora HistoryProject

TheAlan H.SainsburyMemorial Prize forHistory

GeographyPrize

Economics Prize

Harry Little Prizefor Mathematics

Paul SladePrize forPhysics

Kayleigh Hoang

James Blackwood

SofiaCotterill

Rayvanth Zama

EmilyPlumpton

JessyeTu

Thomas Halton

Manav Babel

Brian Ruth Memorial Prizefor Physics JessyeTu

Gnaanachelvan Prizefor Biology

BiologyProject Prize

George Dyson Prizefor Chemistry

Chemistry Experimental Skills Prize

Computing Prize

Phyllis Packer Prize

forPractical Musicianship

An OldOlavianPrize forMusic

TheHeadteacher’s Prizefor

Mathematics and Music

Religious Studies Prize

ArtPrize

SerenFord

Chizute Ogbedeh

Conor Donohoe

Lucile Oster

ZacharyGassem

Sachin Balaji

James Harms

Maximilien Mackie

SofiaCotterill

Jake Egelnick

I.W.KirkPrize forSportsmanship Hai Duong

SeniorVictor Ludorum

Ben ReadTrophy

JosephFolkes

Louis McLean

Douglas Keeble Prizefor Fives Jiayang Li

Gordon James ChristiePrize for Cricket Luxan Sureshan, Bravin Vijayaakanthan

Prizes forAchievement in Public Examination

H.G. Abel Prizes forA-Level

Joshua Abu Manav Babel

Mehar Bijral Eszter Britz

Elizabeth CaisleyShouvik Chakraborty

Antonio Cheong MatthewCole

SofiaCotterillAaron D’Mello

Lauren Duncan Samuel Eldridge

Oliver FarrellDejan Fernandes

SerenFordSwastik Gupta

Felix Haslam AkshayKarthikeyan

Raji LalliJennifer Lu

Sophie LumsdonMaximilien Mackie

Tabassum Malik Elisabeth Mateola

Anijan Nirmalan Chizute Ogbedeh

Molayoninuoluwa Ogunde Eromosele Ojeabulu

Priyanka Patel EmilyPlumpton

Serena QiaoSrishti Rentala

Owen Somhorst Kapenajah Sribaskaran

SarahStephen Calvin Su

Punitha Sundaram BritneySung

Abramsachin Thayaparan Ivan Tregear

JessyeTu

ForG.C.S.E.

Alan Anil ArunabhBagchi

Arvin Boraghi Rashid Bossong

SolomonFinn EdwardFoxhall

Samuel Gee Ishan Kalia

Ekaksh LalAlessandroLauriMenta

Jonah McDonald Srikar Namireddy

Aditya Palaniappan AmeyaParchure

Vishaal Prashar Dominic Qu

TimurRakhimovJoshua Selfridge

Daniel Shergold Ravindu Siriwardana

William Song Rohan Tse

Odysseas Tsirkas

48 –Olavian 2019

LowerVIFormPrizes

Awarded by the Parents’ Association for“enthusiasm, commi ment and imagination in the use of the LowerSixth year ”

Joshua Aderanti Manas Chawla

Abigail ClarkGeorgeGuest

RaymondGuo Finn Horden

Andrea Ize-IyamuZarya Mekathotti

Anujah Mohananthan Laschar Williams

Form Prizes

Grants and Awards

Governors Awards

JeffreyAkintolu Basketball

SerenFord, Charlotte Jones, Chizute Ogbedeh, BritneySung BiologyOlympiad

Jamie Cooper Bowls

Yani Djelil, Irfan Zaman

Teodor Wator

Sachin Balaji, JosephFolkes, Maximilien Mackie, Kenji Seanor, Rohan Selva-Radov

GeorgeGuest Physics AS Challenge

Korede Sanusi Rugby

Luke Douglas, Christopher Lee, Jiayang Li, NamNguyen

Sophie

Bata-Madden, Gregoire

Dastros-Pitei, Amro Fadel, James Hayes, Kayleigh Hoang, Nadiya Ivahnenko, William Laver, Chrysoula Prachalia, Shaun Sanu, FrederickSkerrett, Oliver Wright-Jones, Eleanor Yuen

RichardCottrell, Amro Fadel, Mahmoud Farrag, William Guest, TarakGupta Drebes, JosephMadden, Elijah-Joseph OsarumenObayagbonna, Joel Ulens

UK SpaceDesign Competition

VEXRobotics

Olavian 2019 –49
11H Reece Osemwegie Kajan Subakannan 11J Samuel Gee Joshua Selfridge 11K EdwardCameron Benjamin Moseley 11L HenryDavies Arun Kaushik 11M Rufus Finn Amaan Peerbhai 11N Arunshan Paramasamy Ishkaar Ujoodia 10J HarveyBelchamber Alex Vatajelu 10K Ayomiposi Awoyemi Derin Burke 10L Yash Karlekar Oluwapelumi Oloyede 10M Nikhil Doosa MatthewTodorov 10N Steven Coker Kathir Saravanan 9J Thomas Higgins GeorgeO’Connor 9K Adam Channon Nathan Daniel 9K Morgan Cartwright Kenan Kagan 9M Sebastian Garnham-Jong Donovan O’Dea 9N Vedant Kothiwale Rakesh Velmurugan
Cycling
Korfball
Music
Swimming

St. Olave’s School Award

Kenan Kagan, Genesis Nsenga, Eric Sui, Michael TweneboaKoduah Jr, Bravin

Vijayaakanthan

Silver

Manav Babel Gold

Grants forOutwardBound,Traveland GapYear projects

TheJames Burdett Prizefor GapYearTravel:

Emma Jones To participate in volunteer conservationworkincluding research into the environment.To work with children in the local community prior to reading VeterinaryScience at University.

Lulu Kwan Travel across four continents to broaden historical, cultural and architectural knowledge.To volunteer with the International Citizen Service,with Bo CharityFoundationinHongKong and teach English at JCCEnglish Camp in South Korea.

ThePottoHicksAward

JosephFolkes

AbhayGupta

TarunKrishna

Travelling to Helsinki to attend the Design Festival to help preparefor futureproduct design shows and experience the minimalist Nordic cultureprior to commencing studies at University.

TheRushbrooke Memorial

FizaaHalani Travel to Europe exploring places of historical interest to broaden understanding of Classics, architectural knowledgeand different cultures, as well as taking partin marine conservationand global health volunteering programmes.

Secretan Award

Elizabeth CaisleyTravelling to Spain to experience drama in different locations, broaden cultural knowledgeand further enhance linguistic skills before reading Medicine at University.

GridleyAward

Skai CampbellTravelling to Malaga utilising linguistic skills, to exploredifferent culturethrough film, photography and to develop technical artistic skills and broaden knowledgeofMalaga’s artscene beforereading Biologyat University.

TheWitton/Newmarch Award

Jude Collins Travelling to WesternEurope from Paristhrough Munich, Amsterdam and Berlin to broaden understanding of the historypolitics of the areas prior to commencing studies at University.

Kayleigh Hoang Travelling to Italytobroaden knowledgeofClassical Civilisation, Religionand the Ancient World, visiting places of historical interest including churches and museums beforecommencing studies in Classical CivilisationatUniversity.

Michael Jian Travelling to Europe visiting places of historical, architectural and cultural interest in Paris, Munich, Amsterdam and Berlin, as well as observing differences in environmental awareness, prior to reading DentistryatUniversity.

Anis StainsburyTravelling across France,visiting places of historical interest to broaden knowledgeofFrench cultureand advance conversational skills beforereading Medicine at University.

Selina YanTravelling to Europe to broaden architectural and artistic knowledge and to experience different cultures visiting Amsterdam, Berlin, Prague, Budapest, Lake Bled and Lake Como prior to reading Architecture at University.

TheWar Memorial Scholarship

Antonio Cheong

SerenFord

Jiawen Guo

Matti Mitropoulos

Travelling to China to expand knowledgeofengineering, architecture, other cultures and the lifestyleofpeople in foreign countries, utilising linguistic skills and visiting specificplaces of architectural interest suchasthe ThreeGorges Dam.

Davis Award

Jake EgelnickTravelling across Europe to enrich understanding of the journeys undertaken by some of the great authors and characters in literature to broaden cultural and historical knowledge, prior to reading English LiteratureatUniversity.

Lennie Award

Hannah AffanyToparticipate in volunteer wildlife conservationand rescue work abroadprior to reading Medicine at University.

50 –Olavian 2019

Amaar ChowdhuryTravelling to Italyvisiting Milan, Venice,Rome, Naples to visit places of historical interest and experience newcultures prior to reading English Literatureat University.

Full Colours 2019

Senior Colours

SeniorPrefects

Manav Babel, James Blackwood, Skai Campbell, Hai Duong, Oliver Farrell, SerenFord, Priyanka Patel, Srishti Rentala, JessyeTu

Contribution to School Life Rishita-Mahmuda Ahmed, Skai Campbell, Jacinta Chiang, Jude Collins, Samuel Eldridge, SerenFord, Harshdeep Gulati, AbhayGupta, James Harms, TarunKrishna, William Laver, Jennifer Lu,Sophie Lumsdon, Orisela Malaj,Jonathan McCabe,Nathan Nowbuth, Molayoninuoluwa Ogunde,Riya Parikh, JessicaSanthiapillai, Shaun Sanu, Abigail Sheba, Oliver Wright-Jones, HalleyZhu

Art Jude Collins, Jake Egelnick, AbhayGupta

Badminton Mehar Bijral

Basketball Joshua Abu, Nicholas Czepliewicz

Cross Country JosephFolkes,Irfan Zaman

Drama Elizabeth Caisley, Danielle Fatunla, Osarumwense Ogbeide, MatthewPage

Fives

Sachin Balaji, Swastik Gupta, Michael Li, Louis McLean

Football Kieran Bayne-Douglas, Matthew Page

Music

Sachin Balaji, Antonio Cheong, ArchibaldGrant, James Harms, Maximilien Mackie,Matthew Page

Netball Elspeth Forsdick, AbbyWard

Rugby Hai Duong, Joshua Gayle, Sam Jolly,Mario Lambrette,Louis McLean

Swimming

Luke Douglas, Felix Haslam, Ya-Bo Jian, Christopher Lee

Other Clubs &Societies Muhammed Abdur Rafey, Dylan Abeelack,Oluwatomisin Adesanya, Dione Adofo,Hannah Affany, RishitaMahmuda Ahmed, Hyunki Ahn,EmmanuelBakare, Julia Begley,James Blackwood, Jesutofunmi Buraimoh, Shouvik Chakraborty, Karanjot Chhatwal, Amaar Chowdhury, Brooke Clements,Jude Collins, Fergus Costard,SofiaCotterill, Abbie Davidson, Abigail DufeuJake Egelnick, Danielle Fatunla,Dejan Fernandes, JosephFolkes,PhoebeFoster, Harshdeep Gulati,AbhayGupta, Swastik Gupta,Kayleigh Hoang, TarunKrishna,WilliamLaver, KirandeepNagra, Chizute Ogbedeh, Osarumwense Ogbeide, Molayoninuoluwa Ogunde, EromoseleOjeabulu,Lucile Oster, PriyankaPatel,Sophie Ryall,Shaun Sanu,RobertSidey, Owen Somhorst, Kapenajah Sribaskaran, Yuan KaiSun,MaciejSzczyrba, IvanTregar,Jessye Tu, LauraWatson, Oliver Wright-Jones, Kevin Wu,SelinaYan, Melisa Yurdakal,Rayvanth Zama

IntermediateColours

Athletics

Luke Abrams

Cricket

Saket Agrawal, Alan Anil, Milan Chibber, HarryJones, Arun Kaushik, Ishkaar Ujoodia

Cross Country Luke Abrams

Drama

Ben Davies, Jonah McDonald, Joshua Williams-Ward

Olavian 2019 –51

Fives

IsaacAdebekun, Cameron Bailey, Yoann Bleunven, TimothyByrne, EdwardCameron, Mila Chibber, IsaacJochim, Vishaal Prashar, Ishkaar Ujoodia

Cross Country Ananjan Ganguli

Drama

Pearse Barry, Adam Channon, JosephDavies, Shaun Pasari, Prithish Rajarethinam

Fives

Music

ArunabhBagchi, EdwardCameron, HenryFox, AshleySolano Hernandez, William Song

Rugby

Swimming

Ciaran Corcoran, Samuel Leung, DanielShergold

Jamaal Francis Srikar Namireddy

Tennis IsaacJochim, Kofi Winney

Music

Franklin Baron, Caleb Boy, Genesis Nsenga, Ethan NancekivellSmith, Abhishek Sundararaman

Nathan Choy, JosephDavies, Hans Loges, Genesis Nsenga, Ademofeoluwa Olaiya, Kenji Seanor, Rohan Selva-Radov, Joshua Señoron, Eric Sui

Other Clubs

JosephBarradell, Noah Cassidy, Aditya Chaurasia, Rishi Desai, Samuel Gee, Ishan Kalia, Linus Luu, Amaan Peerbhai, Daniel Shergold, Joel Ulens

Rugby Niccolo Albarosa, Emmanuel Phillips, ElliotWright

Swimming Noah Saunders

TableTennis Aydin Saju

Junior Colours

Athletics Ananjan Ganguli

Cricket

AmeyaAthawale, Daniel Kenward, Ayush Singh

Other Clubs

Virujan Arudchchelvan, Nathan Daniel, JosephFisher, Kaylan Ruparellia, Moosa Saghir, Kavin Sivarajah

52 –Olavian 2019

VI Form News

This willbethe final suchintroductionwhich I canprovide for TheOlavian as Director of Sixth Form.Eachyearthe chance to offer an encomium to the collectiveendeavour of our magnificentsenior students has proven averygreat challengeindeed,and moreso with each passing year as our Sixth Formers build on the initiatives, systemsand innovations of those who have gonebefore. If the broadarc of historyisprogressive, neverhas thisbeen truer than in the microcosm of the Olavian Sixth Form,leavingthis parting panegyric the most problematic. That said, the challengeremains proportionate to the privilege,and whata privilege it has been to leadthis incarnation of the Sixth Form formy final year in post; what aprivilegeitremainstowrite about them

It is tempting, in offering asummaryoftheir manyand varied achievements in 2018-2019, to representthese most purple of pupilsvia the most purple of prose.Todo so though risks maskingunhelpfully and unnecessarily the manywaysinwhichtheyexcel,and it thereforeseems more fitting to follow the Orwellian edict of simplicity in writing.Atany rate,I shalltry.

OurSixth Formers continue to personify the Olavian ethos and set the best possible standardsfor allthose in younger year groups –and each year of the last six in whichI havebeen fortunate enough to work with them, theyhaveuppedthe ante.Yes,theyare academically brilliant, innovative, hard-working,mentallysupple and allofthe other things whichenabled them to come to Saint Olave’sinthe first place -but their high ability and the deservedly high ambitionwhich goes with it is ever tempered by good grace, generosity, kindness and a deeplyfeltsense of social conscience.

Bluntly speaking, theyare good and fine young people who givethe lie to the oft-advertised assumptions about the youth of todaybeing thoughtless, feckless or weak. Ever industrious,ever thoughtful,ever hopeful,our Sixth Form havebeen an inspirationtostaff and to younger peers alike. This year,the prefect teamshavesurpassed themselvesindedicationtotheir diverse tasks,nurturing and mentoring younger pupils as Form Prefects,offering support and buddying as Academic Prefects and giving the bestand friendliest possible welcome to newSixth Formers and members of the public as Ambassador Prefects.All of this exemplarybehaviour has been modelled at the highest possiblelevel by aSenior Prefect Team whose brilliance was whollyproportionate to their unassuminghumility,courtesy and personal charmand

wit. Manav Babel, SrishtiRentala,JamesBlackwood, Skai Campbell, Hai Duong, Oliver Farrell, SerenFord, Priyanka Patel and JessyeTuhavebeen inspiring student leaders,and deserving of the profound gratitude of the school community

Sixth Formers haveled the wayinsupporting and enablinggreat acts of charity, with Harshdeep Gulati in particularlayingdowna splendid benchmark in his dedicatedleadershipofthe Cultural Evening team, who raised severalthousand pounds in supportofCAFOD.

Clubs, Societies and allmanner of extensionand enrichmentopportunities proliferate under selfsustaining student-leadership structures implemented andrefinedbytheSixthForm.TheSixthFormAssociation has worked tirelessly to improvethe qualityoflifeand facilities on offer forseniorstudents. Oneofthe greatest areas of developmentfor this year though has beenthe involvement of senior students in capturing,sharing, publicising and acting on student voice initiatives. They havebeen in the vanguardofstudentcouncils and the emerging student parliament. They havebeenproactive partisansfor positivechangeina varietyofareas, from enhancing equalityand inclusivity, to driving forward the school’s ecological agendathrough to developing the offering and pricing options forthe school’s catering

Did Imentiontheydid allthis whilst stillachieving outstandingA-Level results and moving on to some of the mostprestigious courses and highereducation institutes in the UK?Orthat it seems each year more and morerecent OldOlavians volunteer their services to returnand supportcurrent Olavians via guest speaker slots at clubs and societies or via the UCAS buddies initiative?

Each passingcohortofSixth Formers Ihavewelcomed forthe last six years has begunwitha warninginthe form of Shelley’sOzymandiasintheir inaugural assembly,and Ihaveenjoined them allnot to leavefruitless monuments to blind ambitionintheir wake. Each year group has risen to the challengeofthis and leftthe school abetter, happierand richer place as theypass through,refining old practices and institutions as necessary, creating new ones wherewarranted, and creating successionstrategies to leavethings shipshape and ripe forbeingsustained and developed by their successors.Thereisnosand-sunk broken statue or fading pedestal on which to carvea motto to the Sixth Form,but each year,theyhaveboth been and bequeathed the livinglegacy whose motto may

54 –Olavian 2019 VI Form News

rightlybesummarised as: Look on our works, ye many,and aspire!

Valete,o discipuli; semper superior sperans. Youhave been, are, and willevercontinue to be magnificent.

SeniorPrefect Team 2019 –2020

Eighteen outstandingyoungmen and women were put through adauntingprocess involving studentvotes, staff votes, an interviewwith the current team and then with myself and the Director of Sixth Form.Theheadteacher was extremelyimpressed by the highqualityofall of those on this final shortlist. Warmest congratulations to jointCaptainsofSchool: SarahEl-Toukhyand Amro Fadel, with Vice Captains: Victoria Akinleye,Lily Kemp,Joel Kovoor,MatthewPerry,Chrysoula Prachalia, Kudakwashe Rusenzaand Mutian Xu.

Prize Giving

We celebrated our seniorstudents’ successes with the annual PrizeGiving whereitisalwaysagreat pleasureto congratulateour prizewinnersand their parents. Prizes were awarded by TheWorshipful MayorofBromley, Councillor Kim Botting and the address was given by Chair of Governors, TheVenerable Dr Paul Wright. It was fascinating to hear Dr Wright sharehis reflections on the HenryFordquotation: ‘Ifyou always do what youalwaysdid, youwillalwaysget what youalwaysgot.’ Thankyou to Maximilian Mackie forthe superlative musical interlude

Young Olavians Day

Theannual Young Olavians Day fixtures this year ended in atie with results as follows: current Olavians won the Netball25:9 and Fives15:9. TheYoungOlavianswon Rugby20:22 and Football6:3. Outcomes aside,this was aday of fine sportsmanship and camaraderie.Itwas also good to catchupwith manyofour recentleavers as they prepared to go off to university.

Diwali

Over 200 people were treated to asparklingand memorable evening. As well as the fund-raising aspect, celebrating this important Hindu and Sikh festival helpstobuild the communityatSt. Olave’sbyenabling everyone to socialisetogether.Itwas fantastic to see people from alldifferent cultures attend the evening and join in the dancing. Everything from redcarpet to registration, welcome drinks and bar,halldecoration, cultural programme and catering,was excellent.

Cabaret

Aglittering cavalcadeoftalent showcased polished acts from soloists, ensembles, instrumentalists and vocalists. With the hardworkofthe Cabaret Committee, the atmospheric Great Halllooked almost as well presented as the black tie audience.

Remembrance

Manyofour OldOlavians fought in both worldwars and other conflicts. This year we remembered our comrades in awhole school service.Wreaths were laid by OldOlavian Graham Milne and School CaptainSrishti Rentala.Asthis year marked onehundred years since the end of WorldWar One,weremembered those whose lives were cut short, those who lived on with physical and mentalinjuries and gavethanks to God fortheir willingness to fight forour freedom. ‘Atthe going down of the sun and in the morning we willremember them.’

Blackland Farm

Year 12 students, accompanied by their Form Tutorsand Ambassador Pastoral Prefects, travelled to Blackland Farm,set in the rolling hills of the Sussex countryside Theteam-building daywas filled with interesting group activities suchashigh ropes,abseiling,climbingand puzzles wherecommunicationand teamwork were essentialfor success.Theday culminated with the annual egg towerdrop, whereeggs, carried and protectedall daybyeachgroup,werelaunched from ahightowerin aparachute made of paper.Few eggs survived the fall! Congratulations go to Mr Cleggand his Form 12S for accumulating the most points throughout the day.

Sixth Form Opening Evening

Around 1,200 prospectivestudents and their parents attendedthe Sixth Form Open Evening forexternal applicants. Thank youtothe Sixth Form student volunteers who engaged our visitors with charmand courtesy,sharing informationwith them and helping them to find their wayaround the site.

Independent Learning Conference

Year 12s were given an intensivecourse on Independent Learning by TheLifeSkills Company. This involved an activemorning considering reading forthe gist, notetaking,time management and self-presentation skills. Thecompanywillreturninthe summertermtoprovide them with amorning on InterviewSkills.

Interview Preparation Day

114 Year 13 pupils from St Olave’sand three partner schools met with acoalitionof20specialist interviewers, including Olavian staff (past and present), staff from partner schools, alumni and parents. Allparticipants benefited from an informativekeynote presentationfrom Mr Budds, our Director of Sixth Form,and from access

Olavian 2019 –55

to the school’s detailed and broad-ranging interview resource bank. They were then put through arigorous programmeofone-to-oneuniversity-styleinterviews.

Senior ResearchEvening

Ourannual Senior ResearchEvening tookplace once again to help inspirepupils in the Upper and Middle School at the startofthe academic year.A podium of eight studentspeakers (current Year 12s and 2018 Leavers) presented on their research findings fortheir Higher and Extended ProjectQualifications from the summer exam series.Thetopics on offer were diverse and fascinating,including: Post-Traumatic Stress Disorder in the armies of Ancient Greece and Rome; Cosmic Horror in the WorksofH.P.Lovecraft; Is it technologicallyand ethically feasible to colonise Mars? What arethe Effects of Anti-Russian LanguagePolicy on Ethnic Russians in Estonia?

Meetand Greet Evening

‘New’and ‘Old’parents and students across Year 12 received awarmwelcome at aMeet and Greet evening whereover100 parents and students mingled with the Senior Leadership Team at an informal event hosted by the Parents’ Associationand the school. Parents and students hadthe opportunitytochat,meet and sayhello as aband of Sixth Formers entertainedus with an eclectic mix of music,beginning with Carlos Santana and ending with severalimprovisatory numbers; allsubtly delivered in the background,including aChopin Nocturne played by anew student. Parents and studentsenjoyedaround ofspeed dating or ‘human bingo’,with great prizes being won by some of the lucky participants. Drinks, canapés and cakes were servedbythe PA and other Sixth Form parent volunteers

Travel Awards

Over the summer, three of our leavers,PoppyKemp, NatashaHollinsandShavonD’Souzawereabletousethe WarMemorial Scholarship Grant given to them by the school to visit various museums across Europe,including the Anne Frank Museum in Amsterdam,the Old-New Synagogue in Prague,the Jewish Museum in Berlin and Mozart’s House in Vienna. In their application, they indicated theyhoped the grant would greatlyenrich theirunderstandingofEuropean culture, provide useful segues into futurescholarship,but,crucially,strengthen the value of their friendship by discovering and exploring each other’s interests together They feel these aims were achievedlargelydue to the school’s generous award.

Generating Genius University Programme

Congratulations to EmilyEmiruwho applied to be apartofthe 2019 Generating Genius University Programme.Emily was oneof28successful candidates from 160 applicants across 15 Boroughs of London. TheGenerating GeniusProgramme is foryoung people who areunder-represented in higher education, particularly in STEM subjects. Theprogrammeworks closelywith universities and businessestohelp deliver hands-onworkshops; work experience placements;trips to universities; career advice from professionals in the STEM world.

Sixth Form Congratulations Evening

TherewasarealbuzzofexcitementattheCongratulations Evening forpotentialSixthFormers,fromother schools,towhomwe haveoffered conditional places forSeptember 2019. Around 140 prospectivestudents were invitedtothe event, whichincluded auniversity Freshers’ Fair,astheylooked at the various stalls and signed up formembership of our Clubs and Societies. Thenew students were also given tips on howtosettle in from our incoming and outgoingSchool Captains.

56 –Olavian 2019

Leavers’ Ball 2019

2019 –57
Olavian
58 –Olavian 2019

Leavers’ Destinations

Name Destination Course

Abdur-Rafey,Muhammed Nottingham Economics

Abeelack,Dylan Nottingham Medicine

Abraham, Nidhi Nottingham Economics

Abu, Joshua Cambridge, Corpus Christi Engineering

Adesanya, Oluwatomisin WarwickMechanical Engineering

Adigun, Ridthwan UniversityCollegeLondonMedicine

Adofo, Dione AstonOptometry

Affany, Hannah Applying 2020

Agyepong,SenaNottingham Mathematics

Ahmed, Rishita-Mahmuda Applying 2020

Ahn, Hyunki WarwickLaw

Akinleye,David Queen Mary's University, LondonEconomics

Akinleye,SamuelWarwick

Ananth, KrishnyApplying2020

Civil Engineering

Appleton, EmilyLeeds Civil and Structural Engineering

Ayinbode,Shakirah East Anglia Business Finance and Management

Babel, Manav Oxford,LadyMargaret HallPhysics

Bailey, AlexandraApplying2020

Bakare, Emmanuel SouthamptonAeronautics and Astronautics

Balaji, Sachin LondonSchool of Economics Economics

Barrie,Faatimah WarwickPsychology

Barry, Arnav LondonSchool of Economics Economics

Baxter,AnnaSheffield Biomedical Science

Bayne-Douglas, Kieran Loughborough Economics

Begley, Julia Manchester Geography with International Study

Bekoe,Joel CoventryEconomics

Bhide,Sonali WarwickDiscrete Mathematics

Bijral, Mehar UniversityCollegeLondonMedicine

Blackwood, James Cambridge, GirtonHistoryand Politics

Braithwaite,William UniversityCollegeLondonMedicine

Britz, Eszter Imperial Medicine

Buraimoh, Jesutofunmi WarwickComputer Science

Bury, Samuel York Chemistry

Caisley, Elizabeth Cardiff Medicine

Cam, EmilyKing's College, LondonMathematics

Campbell, Skai Oxford,St. Anne's Biology

Chakraborty,Shouvik HullYorkMedical School Medicine

Chandler,EdwardImperial Medicine

Olavian 2019 –59

Chandrakanthan, Vithunya Bristol Chemistry

Chen,Tony Applying 2020

Cheong,Antonio WarwickLaw

Chew, Antony Cambridge,TrinityHallHistoryand Politics

Chhatwal, Karanjot Imperial Medicine

Chiang,Jacinta LondonSchool of Economics Geography

ChokWing, William Lancaster Mechanical Engineering

Chowdhury, Amaar Manchester English Literature

Clements, Brooke WarwickLaw

Cole,MatthewCambridge, Emmanuel Medicine

Collins, Jude Manchester Politics and ModernHistory

Costard, Fergus Kent Law

Cotterill, Sofia Oxford, Brasenose Philosophy, Politics and Economics

Czepliewicz, Nicholas King's College, LondonEconomics

Daniel, Nebiy Applying 2020

Davidson, Abbie Durham Physics

D'Costa, Elena WarwickEconomics

Defraine,Jacques Swansea Mechanical Engineering

D'Mello,Aaron Bath Economics

Donohoe,Conor Bath Chemical Engineering

Douglas, Luke Loughborough Civil Engineering

Dufeu, Abigail Durham Biological Sciences

Duncan, Lauren Bristol Economics

Duong, Hai WarwickPhysics

Dwimoh, Benjamin Oxford FoundationBuilt Environment

Egelnick, Jake Manchester English Literature

Eldridge, Samuel WarwickMathematics

Endeley, Nene East Anglia Medicine

Ewen, Charlotte Queen Mary's University, LondonDentistry

Farrell, Oliver Bristol Biochemistry

Fatunla, Danielle Manchester Medicine

Fedorova, Maria Manchester Dentistry

Fennelly,Oliver Apprenticeship

Ferguson, Remo Durham Classics

Fernandes, Dejan Imperial Mechanical Engineering

Fihosy,JosephWarwickPhysics

Finn, Marcus Nottingham Mathematical Physics

Fisher,Elizabeth Applying 2020

Fleet, Benjamin Lancaster Medicine and Surgery

Folkes, JosephImperial Design Engineering

Ford,Seren Oxford,Queen's Biochemistry

Forsdick, Elspeth Bristol Chemistry

Forster,Benedict Cardiff Medical Pharmacology

Foster,Phoebe Applying 2020

60 –Olavian 2019

Ganguli, Dominic Nottingham

Economics and Philosophy

Gassem, ZacharyWarwickComputer Science

Gayle, Joshua Leeds

Gebbett, MarkNottingham

Classical Civilisation

Product Design and Manufacture

Giles, Isabelle WarwickEnglish Literature

Grant, Archibald Applying 2020

Griffiths, Alexander Durham Biosciences

Gulati, Harshdeep LondonSchool of Economics

Psychological and Behavioural Science

Guo, Jiawen UniversityCollegeLondonHistory

Gupta, AbhayLoughborough

Gupta, Sejal Kent

Product Design Engineering

Computer Science Artificial Intelligence

Gupta, Swastik LondonSchool of Economics Economics

Halani, FizaaApplying 2020

Hall, Joshua Applying 2020

Halton,Thomas Oxford,St. Anne's Mathematics

Harms, James Manchester Music

Haslam, Felix WarwickEconomics

Healy,Tara Nottingham

VeterinaryMedicine

Heba, Fahamida Imperial Medicine

Hefferon,Mia Leeds

Banking and Finance

Ho,Eddie WarwickEconomics

Hoang,Kayleigh St.Andrew's Classical Studies

Jackson, Daniel SouthamptonMedicine

Jian, Ya-Bo King's College, LondonDentistry

Jolly,Sam Exeter

Politics, Philosophy and Economics

Jones, Charlotte WarwickBiological Sciences

Jones, Emma Applying 2020

Jordan, Jonathan Nottingham

Politics and Economics

Kannan, Sanjana SouthamptonBiomedical Sciences

Karimi, Viyana Imperial Medicine

Karthikeyan, AkshayEdinburgh Medicine

KC,Aakash WarwickComputer Science

Khan, Muhammed Imperial Medicine

Kilmister,Chloe Manchester Science

Kothari, Shalin UniversityCollegeLondonEconomics

Krishna,TarunApplying 2020

Kumar,Anika Applying 2020

Kwan, Lulu Applying 2020

Lalli,Raji Queen Mary's University, LondonMedicine

Lam, JasonBath

Civil Engineering

Lamberti, Ben WarwickPhysics

Lambrette,Mario Exeter Biological Sciences

Olavian 2019 –61

Laver, William SouthamptonAeronautics and Astronautics

Lee, Christopher Bath Chemical Engineering

Leung,Kirstie City, UniversityofLondonOptometry

Lewington, Emma-Jane Durham Classical Civilisation

Li, Jiayang Applying 2020

Li, John Bath Natural Sciences

Li, Sophia Durham Finance

Liddemore,Thomas Leeds Physics

Liew, JiaWen SouthamptonElectronic Engineering with Artificial Intelligence

Linton, Lauren Birmingham Medicine

Lu,Jennifer Cambridge, King's Natural Sciences

Lumsdon, Sophie Cambridge, PembrokeEconomics

Mackie,Maximilien WarwickMathematics

Mahoro, Beatrice Manchester

Politics, Philosophy and Economics

Malaj,Orisela Loughborough Mechanical Engineering

Malik,Tabassum Imperial Chemistry

Marshall, Dominic Applying 2020

Martine,Cameron Applying 2020

Mateola, Elisabeth East Anglia Medicine

McCabe,Jonathan SouthamptonAeronautics and Astronautics

McFeat, Michael WarwickEngineering

McKeone,JackManchester History

McLean, Louis Applying 2020

Mellis, Samuel Edinburgh International Relations and International Law

Mitropoulos, Matti Imperial Mechanical Engineering

Mohan, Priyaangha Applying 2020

Moldrich, Ellis Sheffield

Aerospace Engineering

Muk, Oliver Imperial Biochemistry

Munwar,Fizah King's College, LondonPharmacy

Mushtaq, HumzaBristol

Nagra, Kirandeep LondonSchool of Economics

Dentistry

Politics and Philosophy

Nawaz, Danyal Loughborough Economics

Nawaz, Saarah SouthamptonComputer Science with Industrial Studies

Nguyen, Vinh Applying 2020

Nichols, Max Nottingham

Nirmalan, Anijan Imperial

Politics and International Relations

Mathematics/Mathematical Physics

Nowbuth, Nathan Bath Economics

Nwamadi, Kendra-Jean Cardiff Medicine

Nze, Christian Loughborough

Obwoya, Rhianna Applying 2020

Aeronautical Engineering

O'Driscoll, Daniel WarwickBiomedical Science

62 –Olavian 2019

Ofori, SolomonBirmingham Biomedical Science

Ogbedeh, Chizute Cambridge, Jesus Medicine

Ogbeide,Osarumwense UniversityCollegeLondonMedicine

Ogbemudia, AlexandraBirmingham Medicine

Ogunde,Molayoninuoluwa Applying 2020

Ojeabulu, Eromosele Oxford,St. Anne's Mathematics

Oliver,Natasha Durham Psychology

Oster,Lucile Imperial Chemistry

Page,MatthewBirmingham Ancient History

Parchure, Rohini UniversityCollegeLondonMedicine

Parikh, Riya St.George's, UniversityofLondonBiomedical Science

Patel, Priyanka Cambridge, PembrokeEngineering

Plumpton, EmilyExeter Biological Sciences

Polevoi, Zechariah Applying 2020

Pratheepan, Shachin WarwickMathematics and Physics

Qiao, Serena Cambridge, PembrokeNatural Sciences

Rajan, Keerthanan Imperial Chemical Engineering

Reece,JessicaManchester Economics

Rentala, Srishti Oxford,Keble Medicine

Richmand, RandlynLeicester Accounting and Finance

Ruhomauly, Adam Nottingham Economics

Ryall, Sophie Birmingham Liberal Arts and Sciences

Santhiapillai, JessicaDurham Liberal Arts

Sanu, Shaun Bath Integrated Design Engineering

Sheba, Abigail Leicester Law

Shrestha, Ujan Bath Economics

Sidey, RobertApplying 2020

Simmers, Adam Manchester Geography

Smith, LilyBristol Archaeologyand Anthropology

Somhorst, Owen Oxford,Wadham Biochemistry

Soni, Manas UniversityCollegeLondonMedicine

Soomal,Tejinder LondonSchool of Economics Economics

Sribaskaran, Kapenajah Imperial Medicine

Stainsbury, Anis Newcastle Biomedical Sciences

Stephen, SarahImperial Medicine

SturtridgeHughes, Billy Applying 2020

Su,Calvin Durham Physics

Su,Danielle King's College, LondonBiochemistry

Sun, Yuan KaiManchester Management

Sundaram, Punitha Applying 2020

Sung,BritneyCambridge,TrinityMedicine

Szczyrba, Maciej WarwickBiological Sciences

Talukder,Aurita Essex Genetics

Thayaparan, Aaronsanchith Imperial Chemical Engineering

Olavian 2019 –63

Thayaparan, Abramsachin Imperial Chemical Engineering

Theaker,Samuel Cardiff Chemistry

Tofan, Miruna Nottingham Medicine

Tregear,Ivan Imperial Mechanical Engineering

Tripathi, Aadya LondonSchool of Economics Economics

Tse, Aaron Applying 2020

Tu,JessyeCambridge, Magdalene Engineering

Vimaleswaran,Thilagshan Nottingham Trent Forensic Science

Waldron,Jane Bristol VeterinaryScience

Wang,HarryApplying2020

Ward,AbbyEdinburgh Biological Sciences

Watson, LauraOxfordGeography

Wen, Zeyan UniversityCollegeLondonPhilosophy,Politics and Economics

Wilkinson, GusLeeds Banking and Finance

Wong,Phillip Applying 2020

Wright-Jones, Oliver WarwickComputer Systems Engineering

Wu,Kevin Universityofthe Arts, LondonFashionPhotography

Yan, Selina Applying 2020

Yurdakul, Melisa Applying 2020

Zama, Rayvanth Oxford,Jesus History

Zaman, Irfan Nottingham Chemical Engineering

Zhu, HalleySheffield Materials Science and Engineering

Zomah,Tarick UniversityCollegeLondonEngineering (Mechanical)

64 –Olavian 2019

International Trips & Duke Of Edinburgh

International Trips & Duke Of Edinburgh

With the DofEyearcoming to an end,we haveseen ahugenumber of students both enrolling and completing whole awards and also the varioussections to their awards. In allcases this has taken agreat deal of time and effortand oneweshould applaud.

Allstudents havetocomplete anumberofsections: Bronze and Silver need to complete Skills, Physical, Volunteering and the Expeditionsections, with Gold students adding the Residential section to the list. They allhavevarious time scales in whichtocomplete the sections whichare designed to be used to both help in the communityaswellasadding to their ownpersonal skills base.Itisthereforenosurprise whythe Awardis so highlyrecognisedbyemployers and universitiesalike.

This year we haveseen the students out on atotal of 8 expeditions from West Sussex to NorthWales, covering anything from 30km aday to amoremodest 15km in everything from blistering heat to wetand miserable Wales and Sevenoaks! Theacademic year started with the Year 11 Bronze AssessedExpedition marching throughKent towards school over twodays. This was followed by the first Bronze Practice Expeditionwith Year 10 walking out to West Kingsdown in the dark, moreakin to anighthike,beforereturningtoschool the following daytrooping through Otford and Kockholt in thereteams. October half-termsaw Year 12 Silver Assessed group striding out across Kent, Surrey and Sussex beforeheading to Wadhurst fora relaxing train ride back to Orpington. With awell-deserved break forstudentsand staff alike we started the second half of the DofEExpeditionseasonatEasterwith the Year 13 studentsundertakingtheirPractise Expeditionon the Black Mountains, South Wales. Here the weather always brings us acombinationofsun, heavyrainand

blusterychillywinds to test both the equipment and the mettle of our DofEteams. Therethen followed in quick successionthe Year 10 Bronze Assessed(1st batch) and Year 10 Bronze Practice (2nd batch) in Kent, and Year 11 Silver Practice Expedition. Finally,the academic year was rounded off with the Year 13 Gold Assessed ExpeditioninSnowdonia, NorthWales. Again the weathernever ceases to amazewith usually glorious weatheruntil we march up to the top of Snowdonon the last daytoarrivewithgreyskies, heavyrainand near zero visibility at the top Theadded bonus to this expeditionisthe wild camping in the remote parts of the Welsh mountains, close to natureand the historyofthis wonderful principality.

DofEisalwaysverypopularatStOlave’s:thisyearsaw104 Year 10 students signing up forthe Bronze Award,32 for Silver and 28 forGold. Oursuccess rate forcompletion of the Awardisaround 75%,with 10 achieving the Gold Awardthis year which is atremendous achievement considering howtime consuming it is in additiontothe students’schoolworkload.

As always,without the help of adedicated group of staff TheDukeofEdinburgh’s Awardwould not be possible. Iwould like to thankMrs Andrews, Mrs Attwood,Dr Carpenter,MrCarroll, Ms Difford, Mr Jewson, Mrs Wellsand Ms Wilkie fortheir help on the expeditions, and especially Mrs Rogers in Finance forher work behind the scenes in dealingwith the mountain of paperwork involved.

66 –Olavian 2019

Gold,Silverand BronzeDofE Expeditions

2019 –67
Olavian
68 –Olavian 2019

World Challenge Croatia Trip

Continuing with the write-upofthe summer trips, Year 10 student, Noah Saunders, reflects on his trip to Croatia this summer with WorldChallenge: “After extensivepreparationand alongjourney,wearrived at Split airportin Croatia. Following abrief driveand a quickstop to pickupsomeessentials forour next few meals, we reached our campsite wherewewould stayfor the nextcouple of nights. Whilst setting up our tents and preparing to cook, rain started to descend upon us. Thankfully, through the downpour,wewereable to provide ourselveswith some delicious spaghetti and managed to getsomerest forthe busy dayahead.Thenext day, we were allalittle tired, stillrather unaccustomed to our newbeds, yeteager to ventureout to sea and start kayaking.We did not havetowait long; following abrief safetydiscussionwepaired up and set out to explore the crystal clear watersofthe Adriatic coastline.After kayakingfor awhile,wewereallowedtoenjoythe cool water and haveaquickswim beforesettingoff again to anearby beach forlunch.Thefollowingday,wegathered some kit and smallrucksacksfor the day’sactivity:a hike in PaklenicaNational Park.Although our feet ached, distracting ourselveswith conversation, we walkedfor over twohours to amountain hut whereweate a filling lunchbeforeheading back down at amuchfasterpace,

assisted by the nowmostlydescending landscape.After acquiring some morefoodand packing up our kit once back at the campsite,weheaded off to the next location about thirty minutes awaybycar whereweset up and rested forthe night preparing forthe riverjourneywhich would take us down the sparkling Zrmanja riverfor the next twodays. It was extremelyenjoyable foreveryone involved. Eventually,wearrived at our final campsite wherewe enjoyedacoolingswim and lotsoffoodfrom the nearby restaurant.Thenext day,we said our goodbyes to our WorldChallengeleader and guide beforeheading home after averytiring,yet enjoyable trip.”

How FoodConnects Us

Ameal is oneofthe most powerful, connectiveforces on the Earth. Whether it be breakfast, lunchordinner -people around the worldare seated together as they relax, sharethoughts and cherish memories whilst savouring both the food and the unityatthe table.From the Last Supper to the millions of instagram food posts online,foodisasimportant to humans expressivelyas it is nutritionally.Asdifferent each recipe,tradition and palette canbe,food connects us morethan we maythink

What’s your idea of the mosticonic ‘British’meal? Fish and chips?Teaand crumpets?ThefullEnglish breakfast?

2019 –69
Olavian

Actually,noneofthe ingredients used in these foods originated here! The fish,whilst beingfarmed nowin Britain,came from foreign waters.Thepotatoesfromthe chips were first cultivated in Peru Themilkused in the tea came from cows (and other cattle)whose roots are in the Middle East -also wherewheat forthe crumpet’s flour came from Thetea leaves themselves, as well as the chickenswhichlaid the eggs made it herefromdeepin the jungles of Asia. Even the sugar was harvested from either Polish sugar beets or sugar cane in Papua New Guinea.

It’s clear that we areconnected around the globe by the originsofour food -eachcountryuses an average of 2⁄3 of food, originating elsewhere. The figuretothe right shows food connections between areas of the world based on food origins- demonstrating our complicated dependence on global forces suchastrade and colonization.However,this isn’t to saythat fish and chips aren’t British, curryisn’t Indianorthat noodles aren’t Chinese.For humans themselvesoriginated within a smallsectionofsoutheastern Africa, but we stillidentify with thousands of ethnicgroups and nationalities.

Just like us,the worldoffoodisdiverse and complex.But no matter howdifferent we maybe- food shows us that we aremoreconnected than we aredivided.So next time yousit to enjoya meal, rememberthe vast journeythat it tookthrough lands and timesofchangetoget to the table.And realise that the deliciousfoodonyourplate is the result of severalcorners of the globe coming together in harmony

BharathsriSivasritharan 10M

South African Culturethrough the Ages

i. Brief historyofcultures presentinSouth Africa

Africa’ssouthern-most country, South Africa, is oneof the most diverse countries in the world.In addition to the

indigenous black peoples of South Africa, colonialism and immigrationhavebrought in white Europeans and peoplefromSouth Asiaand the FarEast.South Africahas 11 official languages, and recognises 8more. These languages include Afrikaans, English, Xhosa and Zulu. South African cultureisnot homogenous and cannotbeeasily defined;rather, it is amelting pot of different cultures which take predominanceindifferent geographical regions around the country.

ii. Zulu Culture

With apopulationofaround 11 million, the Zulus arelargest of allSouth African tribes. Residing predominantlyinthe KwaZulu-Natal area in eastern South Africa, Zulu culture is arguablythe mostwellknown tribal culture,thanks to the numerous Hollywood films suchasZuluand Zulu Dawnwhichdocument and dramatise the various Anglo-Zulu wars that tookplace throughout the period spanning 1899-1902. Although known infamouslyfor the ferocityoftheir spear and shield-bearing warriors, the Zulu people arealso skilled craftsmenand women,who areknown fortheir elaborate beadworkand basketry.

Zulu beliefsare based on the presence of ancestral spirits, and as suchtheyreveredreamsastheybelieve this to be the medium by whichtheir ancestorscontact them. Zulus also believe in the presence of adivine being, although the extent to whichthis deityisinvolvedin human affairs is very narrow

Duetothe arid sub-Saharan climate,the Zulu diet is limited to acertain rangeofmeats and vegetables. The conditions and climate meanthat farming and grazing cattle,sheep,and goats is problematic; instead, grains suchasmaizeand wheyformthe main component of their nourishment. Zulu women also use maizeand sorghumtoproduce their ownbeer whichisthe staple drink in the community(alongside water).

Thefront apron worn by Zulu men is made of various animals’ skin,and is tightlywoven together Theback apron is formed of calf skin, and its length symbolises marital status. Headbandsare worn by married men.

Unmarried women willonlyweara grass-sewn skirt laced withbeads, while married women willcover their entirebodyand wear beads formed in apatternthat only her husband understands.Zuluwomen wear intricately wovenhats that aresewninto their hair. These last for months without falling out, and span ametrewide

iii. Xhosa Culture

TheXhosa tribe mainly reside in the EasternCape Actually consisting of five different tribes as one, there arearound 8millionXhosas in South Africa, with NelsonMandela being anotable member of the tribe.

70
2019
–Olavian

Duetothe Zulu expansionunder Shaka in the early to mid-1800s, the Xhosas haveverysimilar beliefsand foods to the Zulus.

TheXhosa cultureis most well-knownfor itscomplex dress code,whichindicates peoples’ social status. Xhosa hats indicate the seniorityofthe wearer,and dresses of women indicate their marriagestatus.

Religiously,the Xhosasare very similar to the Zulu tribe. Their beliefsare ancestral-based, with ancestral-worship ritualscommonyear-round. TheXhosashaveastrong traditionoforalstories, with tales of great heroes being passed down by word of mouth from generationto generation.

Similar to Zulu cuisine,Xhosacuisine is formed mainly of vegetablessuchaspumpkin and maize; however, the Xhosa tribe is situated in an area with lush fieldsofgrass, so the males in the tribe arecattle farmers Thus, beef plays alarger role in the Xhosa diet than it does in the Zulu one.

iv.Boer culture

TheBoer people of South Africaare descendants of the Dutchsettlers who began entering South Africathrough modernday Cape Town from the mid-1600s TheBoers were initially farmers, however, after “the Great Trek” in 1835, theybecame known fortheir desiretowander Resourcefulness, independent spirit and hardiness are other traits that Boers aretraditionally associated with.

TheBoers brought with them cities and roads, moving awayfromtribal civilisationand towarda metropolitan country. Manytraditional buildings in South Africa nowadays,suchasCityHalls andgovernment buildings, havefacades that aredirectly inspired from Boer architecture.

TheBoers alsointroducedChristianitytoSouth Africa, and this has growninto the mostwidelypracticed religioninthe country, with almost 80% of the South African populationconsisting of Christians.

Boer cuisineconsistsprimarilyofgamemeat and vegetables. TheBoers grew wheat farms and farmed cattle on largescales, exporting both to countries around the world. In contrast to the cloudy,low alcohol beer that the indigenous people drank, the Boers brewed their ownbeer.Nowadays,someofthese breweries have evolvedinto larger corporations that produce beerssuch as Castle Lager.

v. British Culture

When the British colonised South Africain1902, theybrought with them slaves mainlyfromIndia and Malaysia. TheBritish also brought their ownsoldiers to fight in wars suchasthe Anglo-Boer and Anglo-Zulu Wars. These people changed South African culture drastically,introducing traditional British activities like cricket, and British dress and food.

British cuisine consisted of food taken from around the world, introduced by its various other colonies. When the Brits settled in South Africa, tea, coffee and hot chocolate were already staples in theirdiet, and spices from Asia were widelyused in their cooking These British diets changed local cuisine, and the food that slaves made from Asia were infused into the local cuisine

After the colonisationofSouth Africa, British redcoats were not an uncommon sight in cities. These redcoats were partofthe army and were used to enforce the British rule and stop uprisings. Westernclothes such as trousers were also introduced to South Africabythe British, whereas beforethe Dutchsettlers hadmainly worn dungarees.

vi. Post-Apartheid culture

Theimpact of Apartheidcan stillbeseen in South Africa today,and although it was abolished in 1994,thereisstill underlying sentiment that canbeseen most prevalently by the starkinequalities in wealth and income.Overhalf of South Africa’spopulationlivebelowthe povertyline, and 50% of those people areblack.Less than onepercent of the people in povertyare white

Olavian 2019 –71

However, South Africans areproud to showtheir heritage, and the annual HeritageDay celebrates the mix of cultures present in the country. South Africa’s acceptance of allcultures is evidenced by its national anthem, whichconsistsof5 different languages.

Diverse,accepting,and proud arewords commonly used to accuratelydescribe South African sentiment towards culture,and this is eloquentlysummarised in the country’snickname:the RainbowNation.

11N

International Ambassador Task Countries and Cultures

Thereare manydifferent countries in this wide world. Each and everycountryhas its own, unique culture. What do Imean by culture? Search it up on Google, and it’lltellyou this –‘Theartsand other manifestations of human intellectual achievement regarded collectively.’ However,Idon’t think that culturecan be understood by an over-complicated, black and white definition which has clear limitations.Cultureiscolourful.Culturehas no bounds at all. Cultureiswhatbindscountries together.

whichunifies us and helpsustoknowour fellow human beings better.Itshould neverbeusedasa basis for creating differences between countries. Unfortunately, however, thathas happened.Many, manytimes.

Division

Moreoften than not, wars havebrokenout between countries, since theyhavehad differing opinions on who theyshould worship,a difference in attitude and different customs. Afamous exampleisthat of the war between the terrorist organizationIslamic State and the rest of the world. They areripping countries apartand decimating hundreds of innocent people This is already horrific. What makes the issue even moreastounding is the fact that theyblame their religionfor their actions. Iknowplenty of Muslimsand none of them havetold me that youmust fight a‘holy war’, or ajihad, and kill humansinorder to receivesalvation.

However, this is only amodernexample. Religious wars date back to as early as 1095, in aset of 3warswhich lasted fornearly 2000 years, until 1295.These wars were known as the Crusades. IslamvsChristianity. Yetagain, 2religionswhichcould be livinginharmony fighting against each other

Furthermore, famousepic poems havebeen written thousands of years beforethe Crusades.Poems like the IliadbyHomer (about aman called Aeneaswho encounters awar between cultures) and the Indian epic Mahabharata (about 2conflictingroyal families waging war against each other) –whichisthe longest epic in literature– allexploreideologies of war;asa result of different attitudes and beliefs. It servestoshowhow prevalent war was in people’s mindssucha long time ago.

Conclusion

What is Culture?

Ithink thatthis diagramsums up beautifully what is meantbyculture. Things suchasfood, artand music serve to tie people from different countries together. Forexample,you’llalwayssee British people in Indian restaurants. Why? Because theylovethe food from a different culture. Yousee people from allaround the worldinart galleries.Why? Becausetheyenjoyadmiring artwhichisdifferent and morediverse than their own. Youhear about people in places as far awayfromEngland as Japanlistening to Englishmusic. Why? Because they enjoymusic from different cultures. Cultureisa force

As Ihavesaid over and over again, cultureshould be something that unites us,and strengthens us.As youhave seen, with culture comes so manybenefits –goodfood, languages, music and what not? That is the reasonwhy so many moreschools should engage in culture-sharing activities,suchasschool exchanges, events to celebrate cultureand educationabout different cultures; so that morepeople knowhow important it is in our lives.

72
–Olavian 2019
Rupankar Majumdar,StOlavesGrammarSchool

Clubs and Societies

LGBTQ+ Society

This has been the first year of the LGBTQ+ Society at St.Olave’sand it has beena very successful oneas we havegrown from nothing to apositionwherewe arefundraising,campaigning and,most importantly, holding varied weeklymeetings.With the occasional aid of cake,wehavediscussed,among other things, RuPaul’s Drag Race (featuring some impromptu performances), queerbaiting and LGBTQ+ history,including watching some of the critically acclaimed 1990 film Parisis Burning.Aswellasthis, we were also very grateful to OldOlavian Alex Martin who returned to sharehis experiencesoflifeasanLGBTQ+personatuniversity.

We began outward-facing campaigning from the outset and havedelivered assemblies on tacklinghomophobia to Years 10 and 11 and the Sixth Form.InFebruary, forLGBTHistory Month,wedelivereda whole school assembly, covering abroad rangeofqueer history, from bisexualityinAncientChinatomarriageequalityinthis decade. ForPride Month and the surrounding period, we led some varied celebrations, including raising the Pride Flag to coincide with the 50thanniversaryofthe StonewallRiotsonJune28th.Wealso produceda video detailing the background to Pride whichwas shown to the loweryears.

We were also able to fundraise forthe charityJust Like Us through selling theirRainbowRibbons and we raised asubstantial sum of moneyand we saw ribbons being worn with pride across the school from Year 7toYear12. Just Like Us hadalso supported us earlier in the year by providing twoambassadors to runsessions and resources that we used in our sessions and our campaigning.We would also like to thank Mrs Maxwelland Ms Hawley and allofour supporters fortheir help through the year and we lookforward to ahappyand successful 2020.

Mental Well Being

Theschoolrecognises the vital importanceofcaringfor the mental well being of the students. In additiontothe pastoralcaregiven by Form Tutors, HeadsOfYear, the wholeschool Pastoral Team and the Chaplaincy, the school nowhas the services of Shelbythe dog.Ithas been recognised that canine friends canreliveanxietyand act as an inter-locutor forsome. Shelbyactually belongs to Mrs Maxwell. This very friendly and sympathetic, non-judgmental dog has already done agreat deal of service and has already contributed indirectlytothe fitnessofsomeofthe students who exercise him around the school’s cross-countrycircuit.

Olavian 2019 –73

Parents’ Association

Thank youtothe PA whohavehelped purchasea new table tennis table,whichstudents havebeen enjoying.

Since2015, the PA haveraised over £220,000 which they havegenerouslydonated to the School to support an astonishing varietyofDepartmentsand initiatives, allofwhichhaveimproved the qualityoflifefor pupils substantially. One recentexampleis thetabletsand thedatacollectionequipment donatedtothe Physics Department which have provided students withfantastic opportunitiestoexperience data collectionasit would happen at UniversityorinIndustry. These haveenabled

students to carryout an investigationintoNewton’s Second LawofMotion. Thedataloggercalculatesthe acceleration between the lightgates, by comparing the velocitiesatlight gates 1and 2, and the time between these measurements. This is communicated by acontrol tablet via Bluetooth, and thetabletinstantlydisplays the results.Ascanbeseenonthetabletdisplay,theacceleration increases linearly as the applied forceincreases. As the mass of thetrolley remains constant,thisdemonstrates Newton’s Second Law.

74 –Olavian 2019

Environmental Society

ThankstoEnvironmentalSocietyand agenerous donationfrom TheSolar Centre, we haveinstalled some environmentally-friendly solar-poweredlightingonour newADT sheds. They willenable stored materials to be accessed safelyand easilyatany time,thanks to the powerful LEDs and batterytostoreelectricityfor when itisneeded

LanguagesSociety

Sixth Form students havepresented avarietyof interesting,well-researched and engagingtalks, aproject led by Year 12 student and LanguagePrefect, Jacob Gaskell. SidneyWoolf-Hoylespoke on ‘Theevolution of the English Languageand its relationtocolonisation’, Anantha Anilkumar on ‘Creole and the Francophonie’, Shrinidhi Prakash on ‘Language, genderand sexism’and Jacob Gaskellon‘Thedifferencesbetween Frenchspoken in Quebec and France’.Thetalks were well attended and generated livelydiscussionaboutlanguage.

Classics Society

TheClassics Departmentreturned to Greece with a small and highlyenthusiastic group of Classicists visiting severalnew sites this year on the Classics Trip to Greece: Nikaeopolis, the NecromantionatEfrya, Thermon, Kassopi and the seat of Zeus' divinationatDodona. Within school, the Societyhas looked at the godMars and Roman naval warfare. What was most impressive was the high attendance at the weeklymeetings.

Olavian 2019 –75
76 –Olavian 2019

Mathematics &Computing

Faculty of Mathematics & Computing

This was anotherbusy year forthe Facultyof Mathematicsand Computing.Webenefitted from alargeinvestmentbythe schooltoremodel IT3, resulting in astate of the artfacility, suitable forthe advancedcomputer science being done by our senior students.Inaddition, we were extremelygrateful forthe giftofiPads and Apple TV infrastructure, allowingusto greatlymodernise our practice in the classroom.This has also been possible because of the willingness of faculty members to upskilland innovate their practice

Extra-curricular activities during the year included the usual Senior,Intermediate and Junior Maths Challenges, Senior Team Challenge, alldrivenforward by the unrelentingefforts of Mr Maltman, as well as the Year 10 Maths Feast competitionheld at Saint Olave’s in February. Mr Mowlland Ms Vasileva established the MathsinMotionclub, wherestudentsdesign and race their ownvirtual F1 cars around varioustracksacrossthe world.Mr Bassett continued his outreachworkwithlocal primaryschools. Thefactthatseveral newpartnerships havebeen set up recentlyisa testament to the dedication of Mr Bassett.

In November, allofyear11travelled to the Savoy Theatre to watchpresentations by Matt Parker,Hugh Hunt and Ben Sparks on topics suchasthe biggest mathematical mistakes in history, including those by McDonalds and Pepsi, the scienceofspinningobjects, includinghow to turnobjects in outer space and howto throw aboomerang,and the importance of probability in contexts suchaspoker and finding someoneata party with the same birthdayasyou

Year 13 preformed phenomenally in their ALevel examinations,with80%gainingAorA*forMathematics, 100% of candidatesgaininga Borabove forComputer Science. Year 11 achievedequally well,with 88% of students gaininglevels8 or 9and 98% gaining 7orabove.

At various pointsthroughoutthe year,wecongratulated Dr Ashfordfor the completionofhis NQTyear, we said farewelltoMrDavis, Mr McCurrach, Mr Mowll, Ms Chambers and Mr Maltman. After almost30years of service,MrMaltman retired to pursue other passions. As word spreadofhis departure, we heard from ahuge number of former students whohad benefitted from his guidance and expertise.I thinkwecan allagree that this is the end of an era.We willmiss our colleague and friend

and wish him the very best fora happyand productive retirement.

Senior Mathematical Challenge

Five Year13 pupilstookpartintheUKMTMathematics Olympiadfor GirlsinOctober This achallengingthreehourpaper and the participants hadtoanswerbrain teasers about number theoryand geometry, as well as counting problems. Congratulations go to Sonali Bhide, Priyanka Patel and JessyeTuwho gained Distinctions.

This year’s Senior Mathematical Challengesaw arecord number of 511 OlaviansfromYears 11 to 13 undertake achallenging set of 25 problems. This hugecohort achievedanother impressiveset of results with 58 Gold, 142 Silver and 173 Bronze certificates being attained. Four students,George Guest (Year 12),Linus Luu,Jamie Davies and Ishan Kalia (allinYear11) allqualified for the prestigious British Mathematical OlympiadRound 1.The first two,plus JessyeTuand Shachin Pratheepan of Year 13, aretobecongratulated uponachieving best-inyear results. Congratulations also to LinusLuu,George Guest, Ivan Leung and Thomas Haltonwho qualified forthe Senior MathsTeamChallenge,whichtakes place in February.Theteam recoveredfromanearly mistaketo win the Regional Final at Ravens Wood School with an impressivescore of 167/182.

MathsInspiration Day

Year 11 travelled to the Savoy Theatretowatch presentations by Matt Parker,HughHuntand Ben Sparks on topicssuchasthe biggest mathematical mistakes in history, the scienceofspinningobjects, including howtoturnobjects in outer space and howto throw aboomerang,and the importance of probability in contextssuchaspoker and finding someone at aparty with the same birthdayasyou

Mathematics Competition

Year 7mathematicians participated in aproblem solving competitionatOrpington’s ExploreLearning Tuition Centre. Shaun, David, Yashmanthand Aarav performed admirablyagainst some moreexperiencedpupils at other schools They tackled aseries of four fiendish problems involving dice,posedbyNRICH and Cambridge

78 –Olavian 2019

University. After scoring fullmarks forteamwork skills, theyqualified forthe second round.

Computer Science in Action Day

KS5Computer Science students attended the Computer Science in ActionDay at Emmanuel Centre. Five renowned speakers, Tushar Sharma -expertin augmented realityand machine learning,PaulCurzon

-Professor of Computer Science at Queen Mary UniversityofLondon, NigelShadbolt -Chairman and Co-Founder of the OpenData Institute,Mandy Chessell-IBM Distinguished Engineerand Jamie Anderson-CybersecurityEngineer and expertindigital forensics, revealed computer scienceatits very best and tookour students to the cutting edgeinfields such as computer vision, softwaredevelopment, algorithms, pureprogramming and computer systems. It was an eyeopening experience forour students to see howthe futureisrevolutionised by the advancement in computer science and technology

BritishMathematical Olympiad

Forthe first time in manyyears twoOlavians,Linus Luu and GeorgeGuest, qualified forthe prestigious second round of the BritishMathematical Olympiad.Faced with four fearsomeproblemswith whichtograpple in three and ahalf hours, both students perseveredimpressively. Special congratulations go to Linus who managed to solve twoofthe problems perfectly, placing him in the top 30 nationally,a trulyremarkable achievement for sucha young mathematician.

Intermediate Maths Challenge

Over 370 studentsfromYears 9to11participated in this year’s Intermediate Mathematical Challengewith impressiveresults attained by allyears. Recordnumbers of 135 Gold and 114 Silver,aswellas70Bronze certificates,were achieved,with an amazing129 students qualifying forthe follow-onround of the Intermediate Kangaroo competition. In addition, acreditable 14 students qualified forthe prestigious Intermediate Mathematical Olympiad. Congratulations go to the students achieving best-in-year scores, JosephFisher and Kenji Seanor (Year 9),Velian Velikovand Hieronim

Lecybyl(Year 10) plus Linus Luu(Year 11).

Senior Mathematical Challenge

Almost 60 Olavians from Years 11 to 13 qualified forthe follow-onrounds to the Senior Mathematical Challenge. Four students undertookthe British Mathematical OlympiadRound 1paper,with allmanaging to solve at least twoofthe six fiendish problems. Congratulations go to GeorgeGuest (Year 12) plus LinusLuu andIshan Kalia (Year 11) who achievedCertificates of Distinction. In addition, George and Linus havequalified forthe British Mathematics OlympiadRound 2paper.A remarkable 49 students also participatedin the Senior Kangaroowith arecord13achieving aCertificate of Merit, placing them in the upper echelons of achievers in this select cohort. Special mentionshould be made of MatthewPerry forhis best-in-school score.

Maths Feast

14 teams of four Year 10 students from eight different schools, including twoteamsfromSt. Olave’s, tookpart in Maths Feast, amulti-round competitionorganised by the AdvancedMathematicsSupportProgramme (AMSP). Ourboyswerejust pipped into 2nd and 3rd place by an outstanding team from TrinitySchool.

Intermediate Mathematical Olympiad and Kangaroo Competitions

Arecordnumber of Olavians from Years 9to11qualified forthis year’s follow-onrounds to the Intermediate Mathematical Challenge. TheOlympiad papers consist of six challenging problems. Thevast majorityofthe twelve qualifiers solvedatleast twoofthe problems, but this year’s outstandingperformers were Linus Luuin Year 11 and Velian VelikovinYear10who both achieved national top 50 scores and hence received amedalplus abookprize

In the Kangaroocompetition, forwhichSt Olave’shad an incredible onehundred and twenty-six qualifiers,a newrecordofforty-five achievedcertificates of merit placing them in the top quarter of scores nationally Congratulations go to Joel Ulens (Year 11),Griffin Keemer (Year 10) and HarryChen (Year 9) who

Olavian 2019 –79

achievedbest-in year results,the last of these achieving an amazing maximum score. As ever,these results reflect the strength of Olavians’ problem-solving capabilities plus their enjoyment of amathematical challenge.

Year 5Maths and Science Day–26th June 2019

On Wednesday26th June,StOlave’swelcomed 240 Year 5pupils representing sevenlocal primary schools fora dayofmathematical and scientific games and challenges. Thestudents were treated to amasterclass in making (and firing!) rockets by the science department, as well as learning aboutchromatographyand genetics. The pupils also enjoyedabustling carousel of mathematics activitiesand acompetitive ‘snakes and ladders’ problem solving competition.

After an actionpacked day, HolyInnocents School were declared worthy winners aheadofPerry Hallwho finished in averycommendable second place.Visiting staff were very complementaryofthe activities and of the enthusiasm of the Sixth Form helpers. We look forwardtowelcoming the next cohortofbudding mathematicians and scientistsnext year.

problem solvingplus across number.Unfortunately aminorconfusionled to amoresignificant loss of points in the thirdshuttle problem-solving round, and although the team achievedthe highest scoreinthe final Relayround, theywerejust beaten into 2nd place. Congratulations to the reserve team of Srij Bera, Joseph Fisher,Ben Joshua Yipand Debangshu Saha who also put in acommendable performance, finishing joint 2nd overallwith their Olavian peers.

Junior Mathematical Challenge

Olavians from Years 7and 8produced anotherstrongset of results in this year’s Junior Mathematical Challenge, anational competitioncomprising aset of 25 multiple choice problems of increasing complexity.Well over 90% of entrants achievedaCertificate,including105 Gold,88 Silver and 42 Bronze Certificates. Congratulations go to RayKeemerofYear8 and Aryaa Saravanakumar ofYear 7 who achievedbest-in-year results.They,along with eight others, qualified forthe prestigious Junior Mathematical Olympiadfollow-onround. In addition, an amazing 63 qualified forthe Junior Kangaroo Challenge. Thehigh proportionofverycapable problem-solvers continues to be an impressivefeatureofOlavian students.

UKMT OlympiadInitial Training Camp

Year 11 student, Ishan Kalia, was invited to aUKMT OlympiadInitialTraining Camp atTheQueen’s College, Oxford

Junior Mathematical Olympiad

UKMT

St.Olave’shosted the Regional Final of the UKMT Team Maths Challengefor 33 local schools TheSt. Olave’steam of Samuel Iranloye,Daniel Shahrabi Atari, Ojas Tiwariand Yash Joshi from Years 9and 8, performed creditablyinthe first tworounds of group

Theten Olavians who qualified forthis prestigious follow-onroundall managed to solve at least twoofthe six demanding and unusual problems. Theoutstanding resultswereachievedbyBenjamin Joshua Yip, Kanishq Manocha and Joshua MeadofYear8 who achieved certificates of Distinctionplus abronzemedal placing them in the top 200 in the country.

80 –Olavian 2019

Department of Computing

Ithas beenanothersuccessful year in the Computing Departmentwithanothersetofoutstandingresults.The numbers of students choosing to study Computer science subject at both keystage4 and keystage5 has continued to increase.Wehavealso seen ariseinthe numberof girls choosing to study Computerscience at Alevel.Our first set of results in the newOCR Alevel Computer science specificationhavebeen immenselyoutstanding ForA levelComputer Science,the percentageof students achieving A*-B has risen to 100%. OurGCSE Computer science results havebeen equally impressive with 91% of students studying GCSEComputer science achievedgrade 9to7 with 78% achievedgrade 9to8. This makes the increase in the percentageofstudents achieving grade9 in Computer scienceto61% higher compared to last year.Withsuchspectacular results St Olave’sGrammar schoolstandstop -1st forthe Alevel Computer science results and 2nd forGCSEComputer science results amongst allBass schools.Thedepartment has continued to go from strength to strengthwithfull dedication,extensiveknowledge,talent and hardworkof both staff and students

TheComputing department continued to provide opportunities forstudentstoextend theirlearning beyond the classroom. Theparticipationofstudents in extracurricular clubs and competitionshas been aphenomenal partoftheir learning. Forinstance, the Computer science in actionday trip provided opportunities forKs5 students to develop their project ideasfor Alevel Computing coursework. Olavian Students havehad numerous opportunities to develop theircapability, creativity, design, problem solving, teamwork and computational thinking skills by participating in external competitions. Students in Yr 7 -11 haveimproved their codingand programmingskills by attendingthe weeklycomputing lunchtime clinics. More enthusiastic computer scientists havefurther advanced their knowledgebyparticipationinthe Cyber Discovery challenge, anationwide programme backed by HM government to introduce studentstoethical hacking and cybersecurity. Yr8havedemonstrated their considerable abilityand enthusiasm forthe subject through impressive participationinthe activities arranged forthem during the Computing Activity week. Thedepartment has continued its involvement in the Perse CodingTeamChallenge-organised by the Perse School Cambridge. St Olave’sGrammar school ranks high and amongst the top 10 performing schools nationally in the Perse Coding Challenge2019. We continued to enter allstudentsstudying Computer

science in the UK Bebras Computational Thinking Challenge- organised by the Oxford University.We have hadhugesuccesses in allthese competitions and some details of theseextraordinarysuccesses areincludedin the following pages.

TheComputing department has seen the departureof twoexperiencedstaff members,MrTimothyMcCurrach and Mr James Davis. In Septemberdepartment welcomesa newstaff member, Mr Sebastian King,who after successfully completinghis PGCEplacementwith Kings nowjoins us as afull-timemember teaching both Maths and Computing.

UK BebrasComputationalThinking Challenge

Ourstudents’results in the UK Bebras Computational Thinking Challenge2018 haveplaced us among the best in the country, and our top scorers gotinvitation for the second stage, held in the Department of Computer Science at the UniversityofOxfordinFebruary2019. Ouroutstanding results include 127 Distinctions and 120 Merits whichisphenomenal.Special congratulations went to SamCampbell, HarryChen, JosephFisher, Adam Steer,Aaditya Deshmukh, Hieronim Lecybyl, Linus Luuand William Guest who gotaninvitation from the universityofOxfordfor the second stage of Uk Bebraschallenge. Theevent also includedacademic lectures and the chance to exploreanOxfordCollege, and an awards ceremony

National Success in the UK Bebras Second stage

Students from St Olave’sGrammar Schoolwere finalists in computational thinkingchallengeatthe Department of ComputerScience at the UniversityofOxford. Talentedstudents Linus Luu, Aaditya Deshmukh, HieronymLecybyl,and William Guest from St Olave’s Grammar School were invited to the Department of Computer Science at the UniversityofOxfordonthe weekend of 2–3 Februaryas finalists in aUK-wide competition– TheUKBebrasComputational Thinking Challenge.

Olavian 2019 –81

Reaching the finals of the Senior and Elite agegroups is an impressiveachievement, as atotal of 25,957 students entered the first round forthese twoage groups(14–16 and 16–18). Linus,Aaditya Hieronymand William were among the top 60 highest achieving students invited to the final round in each of their respectiveage groups and were presented with their finalist’s certificates at aprizegivingceremony at HertfordCollege. Linus received specialcongratulations forachieving the highest score among all finalists and being awarded amedal for first place in the Senior Challenge.

Computer Science in Action Trip

On 27th of Nov2018 KS5Computer sciencestudents attended the Computer ScienceinActionday trip in Emmanuel CentreLondon. Five renowned speakers (namelyTushar Sharma-expert in augmented realityand machine learning,PaulCurzon-Professor of computer science at Queen MaryUniversityofLondon, Nigel Shadbolt-Chairmanand Co-Founder of the open Data institute,Mandy Chessell- IBMDistinguishedEngineer and Jamie Anderson- CybersecurityEngineer and expertindigital forensics)revealed computer science at its very best and tookour students to the cutting edgein fields suchasComputer vision, softwaredevelopment, algorithms, pureprogramming and computersystems. It was an eyeopener trip forour students to see howthe

futureisrevolutionised by the advancement in Computer science and technology.

National Success in CyberDiscovery

Francois Pohinyear11triumphed in the Cyber Discovery Challengebycompletingfourstages: Assess, Game,Essentials and Elite The first stage, Assess, has 13 problems(and ahidden 14th). These starteasy,but the difficultyquicklyramps up.ItcoversCryptography and webapplications. Francois not only succeeded in the Gamephase by completing 150+ problems on cryptography, using Linux, Python, forensics,web applicationsand morebut movedontoEssentials phase by completingadvancedcybersecuritytopics, that go well beyond the GCSE content.He completed the exam and gotinvited to the Elite stage,aresidential camp with further courses on ethical hacking by professionals.

ATalk on Data Science and Machine Learning by professionals fromDelta Capita

St Olave’sGrammar school Computer science and Maths societiesheld atalk on Machine Learning and Data Science forsixth form students on 24th of September 2019.Weinvited professionals from Delta Capita, achallenger business and technologyconsulting firm,totalk to our students aboutcareers available

82 –Olavian
2019

in the field of data science and machine learning. Students were enthused to learnaboutmachine learning frameworkssuchasTensor flow,PyTorch,Keras and Caffe. Therewerediscussions on supervised machine learning algorithmssuchaslinear regressionand how neural networksuse gradient descenttotake iterative steps to find minimum of afunction.Yr13 student,Zarya Mekathotti also talked about her enriching internship experiencewith Delta Capita.Below aresomepictures taken during the session.

ComputingClinic– Marty the Robot

In Computing clinic, KS3students enjoyedcodingtime with Marty the robot. Marty travelled alongway to come and visit us. He started his tour with St Olave’s Grammar school Orpingtonand willbemoving on to visit aschool is Norwichbeforemoving to Cambridge. Marty is aproper walking Robot with legs and feet,with 9servo motors and built in sensors. In Computing clinic students were enthused to learningcoding using robotics and engineering withMarty.

2019 –83
Olavian
84 –Olavian 2019

Science

The Faculty of Science

InScience we would like to see ourselvesasa true learning communityand we allstrivetocommunicate this love of learning to our students.We activelypromote opportunitiesfor out of school learning and make apoint of mentioning interesting developments and newideas to students. 2018-19 was yetanother very busyyearfor the Science Faculty, and once again our studentsroseto allthe challenges thrownatthemthroughoutthe year

Thepublic examinationresults achievedbyYears 11 and 13 were outstanding,with students producing record breakingperformances areas.Acrossall 3Sciences Year 11 achieveda cumulative98% 9-7 grades, and over 90% of allGCSE Science grades were either 8or9 At ALevel,94% of allBiology,Chemistryand Physics grades were A*, AorB.Wonderful results allround. Congratulations to allour students on those outstanding achievements. We areveryfortunate to be abletoteach sucha motivated and inquisitivecohortofstudents. We lookforward to welcoming our new6th Form students and wish allthose studentsembarking on University courses or careers allthe best forthe future.

Students also excelled in National Competitions and Olympiads, proving themselvescapable of competing with the rest of the country. Iamamazedthat so many of our students actually volunteertosit suchrigorous tests of their scientificknowledge, resilienceand ability to adapt their understanding to complex situations.Their motivationand desiretoovercomeridiculouslydifficult problemsisinspirational

However, academic success is only onepartofthe work of the Faculty, with manyclubs and societies thriving in the department. Thequalityofpresentations given at clubs suchasNatural Sciences Society, Physics and Engineering Society, Medics Societyand Chemistry Societyisastonishing,asisthe breadth of topics covered. LowerSchool studentshavetheir ownclubs (Crest Club,Junior Natural Sciences Society, Junior Chemistry Society) whichencouragethem to tryout experiments that go above and beyond the curriculum. Examples of the enthusiasmofthe students were illustrated by twoofour Year 8studentspresentinganassemblyto commemorate the 150 th anniversaryofthe periodic table,and our Year 7studentsrising to the challenge of producing acommemorativeposter.Year12Science prefects (with some others) deliveredlessonstoYear5 students as partofthe annual Year 5Maths and Science Dayand also visited St Paul’s Cray Primary school to help with the Science week activities.

Manytrips havebeen runbythe department, including the BiologyField trip to Suffolk,the Year 13 Physics trip to CERN in Geneva, the Year 9triptoFlorida (including NASA), OperationWallaceatoMalawi, outings to subjectspecifictalks in London,and the usual Activityweektrips to the Natural HistoryMuseum and Royal Observatory. Year 10 participated in aone-day Outbreak activitylooking at control of an epidemic, run by PhDstudents from UCL.

Allofthese additional competitions, societies and trips areonlypossible because of the dedicationofthe staff in organisingand runningthe activities.All of thisinan academic year thatfeatured an Ofsted Inspectionand an extensiveInternal Reviewofthe Science Faculty(which was very complimentary).Thestudentsare very lucky to be taughtbysucha talented and committedteam (and it is very much ateam effort). Iwould like to takethis opportunitytothanktoall the teachers and technicians in the Science Facultyfor their good humour,dedication and consistentlygoing above and beyond expectations.

After havingnostaff turnoverin2018, we havetohad sayfarewellto4 staff in 2019 as theypursuea variety of exciting opportunities. Ourthanks go to Mr Dodd, MissEsswood, Dr Foxand Mr Holleran forthe huge contributions that theyhavemadetothe Chemistry, Biology, and Physics Departments and to the Science Faculty. We lookforward to hearing about their achievements in their nowroles. We lookforward to working with our newstaff,and Iamsurethattheywill makeequally impressivecontributions.

Anotherhugethank youisdue to the Parents Association fortheir continued support of the Faculty. As youwill see in some of the following articles,their generosity has allowedthe purchase of equipmentthat we would otherwise havebeen unable to afford. Allofthese gifts from the PA willenhance the teaching and learning within the Science Faculty, giving our students many invaluable experiences.

This is avery excitingtime forScience,with fascinating projects leading to newdevelopments in manydifferent areas. Maybeone (or more) of our current students will go on to win aNobel Prize,develop arevolutionarycure, or even be the first person to set foot on Mars.

Ilookforward to another successful year.

86 –Olavian
2019

CERN

44 Year 13 students and four staff travelled to Geneva to visit the home of the LargeHadronCollider at CERN They tookpartinaguided tour of the accelerator control rooms, the AMScontrol room,and the magnet manufacturing facility.This really brought the Physics of magnetic fields, electric fields and elementaryparticles to life,showingthe students real worldapplicationofthe concepts theystudy in class. In the evening theyenjoyed atraditional Swiss fondue dinner with an accompanying Oompah Band. Beforereturning on Sunday, they ascended Mont Salève in acable cartotake in the views of Lake Geneva.

of avibrationgenerator,whichgenerates waves on the surface of water This is illuminated by alight source,and projected via amirror onto adiffuse screen. If required the patterncan be frozen by strobing the light source. Thephotographs demonstrate double slit interference and diffractionaround an edge. Using waterwaves to demonstrate willprovidethe basis forthe students to extend their understanding to examples using wavetypes suchaselectromagnetic waves or sound. ThePhysics departmentwouldoncelike to thank the PA fortheir generosity.

PA FundedData Loggers

These images showYear12students carrying out an investigationinto Newton’s Second LawofMotion.The studentshaveattached the dynamics trolleytoahanging mass. Theweight of this mass provides the resultant forcerequired to accelerate the mass.Lightgates register when the black card on the dynamicstrolley passes through, and cancalculate the averagevelocityifthe length of the black card is known (in this case 10cm). Thedata logger calculates the accelerationbetween the light gates, by comparing the velocitiesatlightgates 1

PA Funded Ripple Tank

Thenew ripple tank that was donated to the Physics Department by the PA has proved extremelypopular with students,and provided them with concrete evidence of some complexwavephenomena. Thedevice consists

and 2, and the time between these measurement. This is communicated by acontrol tabletvia Bluetooth, and the tablet instantlydisplays the reults. As canbeseen on the tablet display, the accelerationincreases linearly as the applied forceincreases. As the mass of the trolley remains constant, this demonstrates Newton’s Second Law. Both the tabletsand the data collection equipment were kindly donated by the PA,and haveprovided the studentswith fantastic opportunities to experience data collectionas it would happen at UniversityorIndustry.

Outbreak Day

AllYear10forms attended aworkshopdelivered by 10 PhDstudents from the LondonSchool of Hygieneand Tropical Medicine,whichispartofthe Universityof London. Students participatedinan“epidemic game”, whichaimedtodemonstrate the different roles in fighting an epidemic, in this case ahypothetical malaria

Olavian 2019 –87

outbreak in London. This included the epidemiologist, microbiologist, publichealth professional, statistician, mathematical modeller and clinician. Acarousel of activitiesallowedthe students to develop their understandingofthese roles, including oneactivitywith livemosquitoes (although the mosquitoes were in an enclosedbox). Ourvisitors were very impressed with the willingness of the studentstoparticipate,and their backgroundknowledge.

Society. Theafternoonwas rounded off by afascinating lecturebyProfessor Zarnecki, whoworked on several high profile space missions (Giotto,Rosetta, CassiniHuygens, Hubble SpaceTelescope).

AS Physics Challenge

Year 12 students achievedrecord results in the AS Physics Challenge. Thepaper was extremelychallenging but, once again, our Olavian Physicists applied themselves superbly.GeorgeGuest achieveda GoldAward, making him oneofthe top Physics studentsinthe country Silver Awards were gained by Charlie Anderton, Joseph Madden, JosiahBegley, James Hayes, ZaryaMekathotti, Deborah Bakare,Michael Sun, Nicholas Munroand Vishal Dhayalan. Manymorestudents gained Bronze Awards. Well done to allthe studentswho were brave enough to attempt this fiendishlydifficult exam.

Senior Physics Challenge

Congratulations to Nicholas Munroonachieving a DiamondAward, placing him in the top 60 students entering thisyear’s competition.

British Physics Olympiad CongratulationstoourYear13Physicists,whoonceagain excelled in the British Physics Olympiad. Thequestion papers areincrediblytough, testingthe problem solving abilities of the participants, and going well beyond the bounds of the A-Level curriculum.Almost 2000students tookpartacrossEngland and Wales,with afurther 1000inChinaentering forthe first time.Any award in this gruelling examinationisahugeachievement, in fact, only 10% of the 3000 participantsscored over 50% of the total marks available.10StOlave’sstudents (a recordtotal) showedthe determination, knowledge and resilience required to gainaclassification. Bronze awards were gained by SamEldridge,Joshua Abu,Abbie Davidson,Hai Duong, Alex Lamberti and Calvin Su. Silver awards went to PriyankaPatel, Irfan Zaman and JessyeTu. However, special mentionhas to go to Manav Babel who became only the 3rdStOlave’sstudent in the last6years to gain aGoldAward, atruly phenomenal result, and also became the first student forseveral years to progress to the next stage.Well done to allthe students whoparticipated, forall of them this is avaluable step in developing skills that enable an understanding of the broadlandscape of afantastic subject.

AS Physics Olympiad

Manav Babel attendedapresentationceremony at TheRoyal Societyin Londonfor hisexceptional performance in the AS Physics Olympiad. Manav was oneofthe finalists in the selectionprocess forthe British Team forthe International Astrophysics and Astronomy Olympiad, placing him in the top 10 studentsinthe country.Manav was presented with his prizebyProfessor John Zarnecki, President of TheRoyal Astronomical

British Physics Olympiad GCSEChallenge

Year 11 Physicists achievedaveryimpressivehaul of awards in the extremelydifficultBritish Physics OlympiadGCSEChallenge. Last year our students scored 3Goldand 5SilverAwards. Thecurrent Year 11 easilyoutperformed this with aphenomenal 5Gold and 16 Silver Awards. Golds went to Joshua Selfridge, Linus Luu, Charles Callow, James Davies and Rishi Tandon. Silver Awards were achievedbyRashid Bossong,Anton Amosso,Ameya Parchure, Arvin Boraghi, Ansh Batura, Alessandro LauriMehta, Daniel Pereira, Nikita Lewis, Joseph Barradell, Joel Ulens, Shreyas Bharadwaj,Ishan Kalia, Jonah McDonald, Benjamin Moseley, Arunabh Bagchiand Aditya Palaniappan. Manymoreshould also be congratulated on their Bronze Awards and Commendations.

British Physics Olympiad Year 10 Challenge

Year 10 Olavian students competed in the British Physics OlympiadYear10Challenge against over 10,000 of the mostablePhysics students in England and Wales. St Olave’sstudents excelled with aphenomenal69Gold Awards, 24 Silver and 18 Bronze.For comparison, the previous St Olave’srecordfor Gold Awards was 46! Special mentionshould be given to Kiran Pearce, Velian Velikov, ShreyChoudhary, ThanmayMangala Sachidananda, BharathsriSivasritharan and Neil Tripathi as theyachieved90% or better in averytough examination, putting them in the top 2% of Physics studentsin the country.We hopethat thiswillencourage the students to undertake the morechallenging Year 11 Physics Olympiadpapernextyear. Congratulations to allthe students who tookpartinthe Year 10 Challenge.

88
–Olavian 2019

Natural History Museum

Year 7enjoyedtheir annual trip to the Natural History Museum,as partofthe Science departmentcontribution to ActivityWeek1.Journeying thereontrain and tubeis always hectic, and our students showedgoodsense and courtesy (being complementedbyacouple of members of the publicfor their behaviour en route!). In addition to the old favourites (Dinosaur gallery, Earthquake simulator etc), therewereseveral newattractions forthe students to observe and participate in.Thestar attraction was the Blue Whale whichhas replaced Dippythe Diplodocus in the HintzeHall. The‘Museum of the Moon’featuredavisitingartwork whichinvolved a6 metre diameter spherical reconstructionofthe Moon, formed usingNASAimagerybythe artist Luke Jerram. This was arareopportunitytoviewthe ‘DarkSide’ofthe Moon in detail.This exhibitionopenedonthe 17 th May, so our visitwas timely. Ourstudents also participated as apilot group foranactivitybased around the Wildlife Garden, an amazing area of greenery among the roads and buildings of South Kensington. Ourstudentswere acredit to the school and impressed the Natural History Museumstaff with their knowledge, curiosityand enthusiasm.

speed theywouldbeable to travel between planets using avarietyoftransport options. Students also tookpart in an Observational Astronomyworkshopin which theydiscussed what theycould learnfromthe night sky Students watched aplanetarium showinwhichthey explored the galaxy They were extremelylucky to be the only group watching the planetarium show, and once the showhad endedhad the opportunitytotalk to the astronomer running the show. Students asked excellent questions, showing their enthusiasm and understanding, and hadsomehigh leveldiscussions with the astronomer It was great to see howintellectually curious our students were and to see them engaging with newinformation with suchanimation.

Year 5Maths and ScienceDay

It was abusy dayin the Science labs at Saint Olave’son Wednesday26th of June. Over 200 studentsfromlocal primaryschools spent the daytaking partin Maths and Science activities. In the Science Department pupils made and launched rockets, solvedaforensic puzzle using chemical tests and investigated the development of chicken embryos. They were ablyled and assisted by our fantastic Year 12 students who were patient and inspiring throughout the day. Manyprimaryteachers commented on the value of daytotheir students who continue to talk about the experience in the following weeks. Teachers also commented that the experience of being in the lab and usingequipmentenabled them to enrichtheir Science teaching by drawing parallels and challenging students to namepreviouslyunseen equipment. Arewarding and enjoyable dayfor all!

Biology in Action Conference

Year12Biologystudentsenjoyedadayofstimulatingtalks at the Emmanuel CentreinWestminster.Particularly notable were presentationsonrecent developments in Astrobiology, and on experiments at Everest Base Camp whichhavechangedthe ways doctors treat patients in intensivecareunits.

Year 9Activity Days

Year 9had their usual varietyofactivities on their Science dayin Activity Week 2.During the daythey firedrockets usingcompressed air as alauncher.One group brokethe school recordbyachieving over 60 metres, although it is suspected that theyhad the pressureslightlyhigher than theyshouldhave. Thestudentsstudied chemical reactions involving rhubarbin the Chemistrylabs, and the final activitywas the ever populartalk on reptiles, where the boys were given the opportunitytohandle some beautiful (and maybenot so beautiful) animals.

Year 9Royal Observatory Trip

Year 9had afantastic dayatthe Royal Observatorythis year They were able to showoff their Mathematicsskills in asessionentitled Mathsinthe Milky Wayin which theyhad to work out distances between planets and the

Medics Journal

Congratulations to Year 13 student, Phoebe Foster, foreditingthe newMedics Journal. Theoutstanding essays written by students included ‘Stem Cells and their potential’and ‘DentistryinAncient Europe’, as well as some superbartwork and photographs. Thepast year has also seen the growth of the Society’smedia account, wherewider reading,polls, Societynewsand medical opportunities havebeen uploaded weeklyfor all members to enjoy.

Chemistry Olympiad

Sixth Form Chemists haveoutdone themselvesthis year and gained 5Gold, 12 Silver and 29 Bronze medals in the 2019 ChemistryOlympiad, runbythe Royal SocietyofChemistry. Atotal of 108 chemists took

Olavian 2019 –89

part. TheOlympiad paper is very demanding and each markgained is acause forcelebration, so well done to all participants. Particular congratulations go to the Gold medallists: BritneySung, Anijan Nirmalan, Jennifer Lu, SerenFordand Conor Donohoe.

KennedySpace Centre

Year 9students travelled to Orlando,accompanied by Miss Esswood,Miss Hawley, Mrs Senaratne and Miss Chambers. Thegroup spent time at Kennedy Space CentrewheretheywaitedpatientlyfortheSpaceXFalcon Heavy rocket to launchthe Arabsat 6A communications satellite.Unfortunately, on the daytheyvisited, the rocket did not launchdue to technical problems. Time was also spent visiting the various attractions and theme parks, includinga daysnorkelling with Manatees in the MexicanGulf.

arewitches and bats vampires, and howthe researchers attempt to combat this through education.

Thesecond week was spentina divecentreinNkhata Bay, on the shoreofLake Malawi, whichisanAfrican Great Lake and the most biodiverse on the planet.Those who were not qualified at diving participated in aPADI training course which, once completed, allowedus to diveanywhereinthe world. Those whowerequalified tookpartinresearch on the fish species in the lake,the majorityofwhichare different speciesofcichlids. We hadlectures on what makes Lake Malawisodiverse, the geography of the area and anthropologylinked to the Great RiftValley. We visited the local villagemarket to see how fish caught in the lake were beingsold, and monitored howmanyofeachspecies were there, so to prevent overfishing.

Forthe final twonights in the trip,wetravelled to Liwonde National Park where we stayedin bamboo huts inside the parkand could hear animals roaming around us as we slept.Weweretaken on aboat safariwherewe saw manyhippos,varying species of birds,crocodilesand elephants by the water.Wealso went on aland safari wherewe saw acheetah, waterbucks, buffalo,baboons and warthogs.

Notonlydid we gain important scientific knowledge,but the trip taught us about the unique cultureofa beautiful country. Overall, it was an incredible experience and enjoyedbyall of us immensely.

Maisie Sheath

Operationg Wallacea

On the 22 July,agroup comprised of six Year 12 and four Year 13 students travelled to Malawi, southeast Africa, on an OperationWallaceaexpeditionin order to carry out biological research in the country.

Thetripwas split into three parts; we spent the first week in the capital city, Lilongwe, staying in aresearch centre with expertvolunteers. We were given lectures by the researches and then taken on practical work,studying bats, smallrodents, birds, insects and carnivores. We travelled into the cityatnighttoset up bat traps and to trackjackals using radio technology. We visited hyena dens, wokeupat5.00 am to carryout birdsurveys and participated in scat labs where we identified what hyenas hadeaten by analysing hairs found in their scat. Theresearchers hadestablished acommunityoutreach programmetoteach local villagers aboutthe importance of these animals to the environment and to encourage them to reactappropriatelywhen faced with animals that pose athreat, suchashyenas, and we attended one of these meetings. It was particularly interesting to learn about the superstitions surrounding these animals which leadtopeople killing them,suchasthe belief that hyenas

Environmental Society

Recent years haveseen outstanding success for environmental progress within St.Olave’s, atestament to the widespreadchangethat we canbring about when we unite behind acommoncause.In2016, the founding of Environmental Societysaw the rekindling of the desiretotake actionwithin the school community. The societybecamethe steering group forthe Eco-Schools programmeatSt. Olave’s, the largest international network of students and teachers in the world, spanning 67 countries and involving over 19 millionstudents. St.Olave’shad achievedthe Eco-Schools Bronze Awardin2009but it was only last year,in2018,that Environmental Society’scommitment to ameliorating the school’s impact on the local environmentand the wider worldled to the achievement of the Silver Award.

Keen to continue our work on avarietyofprojects and to capitalise on our momentumrather than let another 9years pass, EnvironmentalSocietyhas spent the last 18 months tirelesslydriving towards the pinnacle of the Eco-Schools programme: the Green Flag Award.

90 –Olavian 2019

Ourfocus on the topics of Litter,Waste,and School Grounds has brought some major accomplishments, notable among them the planting of 600 trees on the school site and the reinstatement of our recycling system earlier this year.A dedicated team of Year 7and 8 Eco-Warriors nowvolunteer on aweeklybasis to empty recycling bins, helping to keep the school runsmoothly.

In March,the school installed solar panels on the new ADTsheds, asmallstep towards removing our reliance on fossil fuels. In April, we organised aGreat British Spring Clean of the school grounds,collecting 18kg of litterinasingle lunchtime! We also worked alongside senior leadership to create aLitterPolicy forthe school. In July, we launched our first (Re)LoveOur Stuff event, an Eco-Schools-inspired occasionthat saw the sale of dozens of second-hand textbooks and revisionguides, generouslydonated by GCSE and A- levelstudents after their exams.

Andsoit was that in November2019, adecadeonfrom the initialachievementofthe Bronze Award, St.Olave’s gained the prestigious Green Flag

On top of our Eco-Schoolswork,we havecontinued our cooperationwith Year 10 and 11 Duke of Edinburgh volunteers in the BiologyGarden,growingvegetables, compostingfood waste,and improving the garden’s

biodiversity.Working closelywith the caterers in the canteen, we arehelping the school to become ‘Plastic Clever’,followingthe initiativeset up by the UK charityKids Against Plastic, with the introduction of wooden cutleryand biodegradable food containers among other improvements to the layout of the canteen and the promotionofmoreenvironmentally conscious ways to eat at school.

This allcomes as aresult of the tremendous amount of hardwork, dedication, and time contributed by many people from across the school community, including students of allyears, teaching and supportstaff, governors, and parents, to whomweall oweanimmense debt of gratitude

Looking to the future, EnvironmentalSocietyis, as always,searching forwaystoimprove school lifethrough the advancement of environmentalism with our 2-year Green Flag renewalonthe horizon,alongsidelaunching newand exciting projects on alarger scale.Working with our counterparts in other schools across the borough, we hope to runaclimate conference on Earth Day this academic year,aswellastaking our activism to the council to call formoreambitious climate targets.There has neverbeen abetter time to getinvolved, and playa partin driving significant change.

Olavian 2019 –91
92 –Olavian 2019

English& Drama

The Faculty of English &Drama

We’ve hadanother exciting year in the English and Drama facultywith students embracing the opportunitytobeinvolvedinplays,a musical, poetry and cultural trips in London. Yetagain we havebeen impressedbythe talentsofour students in their writing, creativityand publicspeaking.

We started the year withour second Black History Month showtocelebrate the contributionofblack artists to British culture. It featured fantastic performances from our gospel choir and newlyformedyear12choir as well as solo singers and rappers,a solo tap dance and the afrobeatsdance troupe and awhole host of readings of poetryand novelextracts. We also launched our Black History Month magazinewhichshowcased the intelligence and curiosityofour students. Articles ranged from Afrohaircareto‘being ablack muslim’to the ‘representationofblack bodies on screen’. It was an impressivepublicationand acredit to the contributors. In November we enjoyeda Shakespeare festival in the Chapel, with fantastic performances of ‘Hamlet’ and ‘Twelfth Night’. Later in the year Dylan Evans directed asuperb sixth form productionof ThorntonWilder’s ‘Our Town’. Ourwhole school musical this year was ‘Guysand Dolls’ and it was wonderful to see so many talented students singing and dancing,manyfor the first time! Lamdaisstillgoing strong, giving the students opportunitiestoperform and work towards their Lamda exams.This is becoming ever morepopular and we thank Kate Crane forher hardwork.

In additiontocreatingit, we havealso been to see a rangeoftheatre. Year 7watched ‘Romeo and Juliet’ at TheGlobe,Year9 saw ‘Come From Away’, amusical based on the warmth and hospitalityofpeople in Newfoundland when planes were grounded in the wake of 9/11.Year11watched aproductionof‘Macbeth’and ‘AnInspector Calls’. Oursixth form TheatreSociety went to see ‘Caroline or Change’,‘TheJungle’, ‘Nine Night’and ‘Admissions’. Ms Sullivan also tookstudents to the Royal OperaHouse.Webelieve that thisaccess to worldclass theatreenriches the learning of the students and extends it beyond the confinesofthe curriculum

Allstudents in Year 7, 8and 9competedinthe English inter-housecompetitions. Year 7had the balloondebate –eachstudent chose oneimportant historical figureand persuaded his peersthat his chosen personshould be the last oneleftinthe balloon. Year 8created twists on well-known stories and fictional characters,and Year 9performed monologues.Year9 and 10 students

tookpartinpublic speaking workshops with ‘Speak Out, Speak Up’. We arecommitted to developing the public speaking and presentational skills of our students, believing them to be essential skills forour the future lives of our students

Thewhole of Year 11 tookpartina dayfocussingon improving writing skills forboth fictionand non-fiction Manystudentshaveentered writing competitions including apoetrycompetitiononthe themeof ‘Marbles’, and another to competefor the role of Poet Laureate.Asa consequence we finished 2018 with our first Olavian Poet Laureate Edwin Roberts before welcoming our newPoetLaureatesfor 2019, Ben Davies and Victoria Akinleye who were both appointed following theirfantasticentries whichshowcased their skilland imagination.

TheSixth Form English students enjoyedseeing ‘Twelfth Night’at TheYoungVic,and avisittoHorace Walpole’s faux gothic castle in StrawberryHillfor atour and lecture on ‘TheCastle of Otranto’and the Gothic. Ahighlight of the year is our residential trip to CambridgeUniversity This year we enjoyed lectures on topics ranging from RichardIItoliteratureinthe postwar years, with our students impressingthe Cambridge professors with their questions and ideas. In addition studentsstillfound time to enjoysomepunting in the sunshine,and getting to knowthe area. Icertainly had awonderful time.

FinallywewishMrsMetcalfeallthebestonhermaternity leaveand welcome MissSmith to the department for whatwehope willbeanother excitingyear next year

AlexandraWilkie

S___Head of Faculty

LAMDA

Congratulationstoall our students fortheir fantastic resultsinthe LAMDAexams, achieving 18 Merits and 26 Distinctions in Acting,Verse and Prose Speakingand Public Speaking. Special mentionshould go to those who achievedDistinctionintheir Level ThreeMedal Exams These were Navaneeth Madhavan, Rupankar Majumdar,BharathsriSivasritharan and Michael Liu,

94 –Olavian 2019

who obtained Distinctions forBronzeMedal Public Speaking,NikhilChidipothu, Distinctionfor Silver Medal Public Speaking,and Ruiqi Zhang,Distinction forBronzeMedal Acting.

Cambridge Conference

Seventeen English and Historystudents enjoyeda brief residence at Murray Edwards College, Cambridgefor ataste of universitylife. Therewereinspiring lectures from universityFellows thatincluded ‘Anintroduction to Practical Criticism’fromDrDanielTyler,Trinity Hall, apowerful explorationentitled ’Staging Blood and Violence’byHester Lees-Jeffries, St Catharine’s, and afascinating insight into the ‘Social and Economic Changes in 1980s Britain’fromDrLucyDelap,Murray Edwards. Some of the lecturers hadbeen recommended by Young Olavians who havestudied or arestudying at Cambridgeand it is wonderful to hear howimpressed theyare byour alumni. Thestudentsalso visited the Fitzwilliam Museum to inspirethem and develop their cultural experience.

Young Poet Teacher Trailblazer due to her enthusiasm and excellent teaching of poetry. Teacher Trailblazers receivePoetrySocietymembership,opportunities to receivefreepoetryworkshopsattheirschool and paid commissions to write poetryresources for ThePoetry Societywebsite. Thestudent wrote in their statement aboutMrs Metcalfe: ‘Why I find her inspiring: She always encourages students to write,and is constantly supportiveofany endeavours in literature. With any piece of English, she’s encouraging,insightful and often provides informationonhow we canimproveour writing.I could neverask forabetter teacher,and every lessonisthe highlight of my day’

Year 7Inter-house Balloon Debate

Teams of three students from each Form spoke in role to persuade the panel that their place in the balloonwas safe.Choices of role included Newton,Faraday,Einstein, Martin Luther King and DonaldTrump and the students demonstrated theirformalspeakingskillsincluding impressive well developed detail, rhetorical devices and imaginativeengagement with their audience The individual winner was Shaun Abraham who delivered an impassioned,captivating speechasMichael Faraday. He spoke with confidence and clarity. Theteam prizewent to7Lwho presented on Einstein, Benjamin Franklin and Dwight Eisenhower. Allthree created believable characters, spoke articulatelyand structured theirpieces logically They demonstrated asense of humour and a strongconnectionwith their peers.

Chartwell Public Speaking Competition

TwoOlavian teams competed at the ChartwellPublic Speaking Competition. Victoria Akinleye was awarded aspecial prizefor her ‘impassioned use of imageryand rhetorical devices’in an excellent, well researched speech about changeand social cohesion. TheYear12 team were confident and poised using pause dramatically to hold the audience’s attention in apalpable moment of reflection. TheYear 10 team spoke with ‘clarity, calmly making aconnectionwith their audience’inanerudite, detailed and amusing speechthat impressed the judges. Some memorable lines included awarning against a dull,safe‘steadystreet’and being‘puppets of fortune and change’.Both teams did well and learned agreat deal by moving outside of their comfortzones and taking on a challenge.

ThePoetry Society

CongratulationstoEnglish Teacher,Mrs Metcalfe, who was nominated by oneofour students as aFoyle

English EnrichmentDay

Amusical about 9/11 sounds unlikely, but ‘FromFar Away’isapoignant productionabout what happened to the planes that were grounded following the attack on the Twin Towers in 2001. Year 9students enjoyed this fantastic showwhichtackles allthe problems and prejudices that faced the passengers and people of Gander, the smalltowninNewfoundland, that fatefulday. This emotional drama was both uplifting

Olavian 2019 –95

and cathartic, teaching us aboutempathyand howto break down barriers and build bridges. They also visited the Tate Modernand National Gallerywhereart was used as astimulus forcreativewriting,and offered an opportunity forall to appreciate the cultural experiences on offer in London.

Refugee Week

We were delighted to welcome back ‘Kazzum’who ranan assemblyand workshops forour EnglishAmbassadors in Years 8- 10.These were thought-provoking,designed to encouragestudentstoexplorethe plight, and also the contributionofrefugees to our society. Students were educated aboutthe difference between having refugee status or being an asylum seeker,and about common misconceptions perpetuated by the media. Through creativewriting studentsthen explored ideas about the journeytaken by an asylum seeker,and what it is like when theyarriveintheir newcountry. Students were thoughtful and engaged throughout by this important topic, and created some excellent pieceswhichare displayedin the English classrooms.

Poet Laureate

This year we hadmanyfantastic entries forthe Poet Laureate competition. After whittling it down to a shortlist of nine poets,weheardthe studentsdeliver their poems in frontoftheir peers, includingour 2018 Poet Laureate Edwin Roberts, to ensuretheywouldbe able to cope with the public natureofthe role.Weare delighted to announcethatthis year we havedecided to havetwo Poet Laureates and haveoffered the postto Victoria Akinleye (Year12) and Ben Davies (Year 11).

Junior Debating Society

Therehavebeen anumber of livelydebatesinJunior Debating Societysince the beginning of term.TheLower School students meet everyThursdaylunchtimefor some enthusiastic and thought provoking discussions. Such as: ‘This house believesthe death penaltyisimmoral’.

Guys and Dolls

Last week we returned to the 1950s to enjoythe romantic musical comedy‘Guysand Dolls’.We watched as Nathan Detroit tried to find avenue forhis illegal crap game without letting his disapproving fiancee Adelaide,or Lieutenant Brannigan find out. We saw JoeyBiltmore agree to let him use his garage- if Nathan gavehim a thousand bucks. When highroller SkyMastersoncame into town, Nathan bet him athousand bucks that he couldn’t take the SalvationArmymissionarySarah to Havana, and so the fun continued, ending in amostly happyeverafter.MrPrice and his orchestra filled the hallwith fantastic music as the cast danced and sang their wayfromBroadway, to the sewers, to Havana before finally giving testimony in the save-a-soul missionhouse Theshowwas great fun and proved yet again that Olavian students aresomuchmorethan their exam results!Congratulations to allthe performers, and the techteam, forasuperbproduction, and thank youto everyone who helped makeithappen.

96 –Olavian 2019

Guys and Dolls 2019

Olavian 2019 –97
98 –Olavian 2019
Chapel

Whereoncea schoolchaplain was just avisible Christian presence who gavespiritualguidance, these days theyare also to be found providing valuable supportaimed at pupil wellbeing. Achaplain and their chapel canbea personificationofthe visionand values of aschool and yetchaplaincyisoften called “the hidden ministry”.

What is aschool chaplain?

Achaplain is amember of the clergyattached to aprivate chapel or institutionlike aschool, university, hospital or the military.They provide alistening ear and givespiritual supporttoeveryonethroughoutthe school, including pupils, parents, staff and alumni. They welcome those of allfaithsand none.InmycaseI combine chaplaincy hereatSt. Olave’swith aparish ministryinBromley TheBloxham Project; the last detailed school chaplaincy research,found that “its potential impact on the lives of young people is considerable.Thechaplain’s role nowhas to embrace asocial culture that is amixture of multi-faith or no-faith among pupils, their parents and members of staff.This has produced ashiftinemphasis.”

Thechaplain’s role is nowcrucial to helping to alleviate pressureonyoung people.Our young people areunder an eye-watering amount of pressuretosucceed,and there must be someone in acommunity who canremindthem that theyare valuable just because theyare,that theyare special,uniqueandeachhassomethingwonderfultooffer our world. This meansthat Chaplainsare increasingly involved in pupil wellbeing.It’sa role that changes as the worldchanges and anyone canapproach the Chaplain at anystage, but nobodyiscompelled to speaktothe Chaplain if theydonot want to forany reason.

OuryearlyCommemorationservice allowedusto celebrate,onceagain,the incredible historyofthe school

and to thank God forthose who hadthe visiontoeducate when it was not acommonpractice and involved great personal cost. Bishop SimonofTonbridgereminded us of the need fortruth and howstanding up against lies cansometimes be dangerous but always right. Our seniorprefects did us proud with beautiful and informed reading and the music was quite excellent. ThemoreI lookinto our saint, Olaf,the morewelearnabout his conversionto Christianityand his role as Patron Saint of Norway.A big thank youtoall

Atreehas appearedinthe chapel, not from aliteral seed but from aseed of desiretohavea place whereprayers canbeoffered and asked for. Ourprayertreeisonthe wallwith leaf shaped post it notes forstudents and staff to write aprayerora request, totally anonymousbut a place of expressionsonecessaryfor our young people and staff.

Ourongoing returntoChurch of England values and ethos has allowedour headteacher to work moreclosely with the Diocesan BoardofEducation. Forthe first time our Headteacher was commissioned by the Bishop of Rochester at aspecial service at the beginning of the school year.Ithas set the tone of what St.Olave’s now strives to be,placing students at the centre,remembering we areGod’s crownofcreationand that allneed to be respected and lovedfor who theyare and not whatthey achieve

We marked the centenary of the end of WW1 with a poignant and moving service of remembrance in our Great Hall.We remembered those from this school who hadgiven their lives forour freedom.

Chapel services haveseen astrongincrease in numbers with the Chaplain needingtobuy in considerablymore communionsupplies this schoolyear. We havereaders and servers as well as our choir whichvaries in number week to week but always blesses us with appropriate anthems. Extendedserviceseachtermcontinuetoallow the school community to come together and celebrate with parents and friends. We havehad whole school celebrations of Christmas and Easteraswellasa rousing send off forthe summer.

In our endeavours to link everything to our Church of England status we have, along with the pupils, created the “What is an Olavian”characteristics basing each one in scripture.

100 –Olavian 2019
Chaplaincy

Thesecharacteristics along with our School Prayer and the old traditional school hymn, Olaf To Right The Wrong, havebeen added to our school Hymnbook in a timely2019 revision.

TheChaplaincy has once moreorganised and supervised the Le Chavetois Communityprogramme with forty year 12 students undertaking voluntary work.Wehave hadagoodproportionhelping in primaryand secondary schools as well as afew in hospitals, vets, care homes, charityshops, food bank and communityprojects. Some haveenjoyedtheir

placements so much that theyare continuing.Theadded benefit to them as theymoveonin life, as well as to the communitytheyhaveserved, cannot really be measured but is valuable,appreciated and lifeenhancing to all involved.

Thechaplaincycontinues to offer aplace of sanctuary and safetytothose who need it. Thereisalwaysa listening ear available and the natureofthe role means students canjust drop by or make an appointment. It workswellalongside the counselling offered in school and the promotionofwellbeing,mental health issues and mindfulness.Theprovision, by the Gideon’s, of New Testaments with excellent helps at the fronttoall new Year 7pupils helps with this,giving clear biblical advice in everyday circumstances

It has been aprivilegethis year to work with some students who havedesired Confirmation. Ihavebeen able to offer preparationand then place them into a suitable DeaneryConfirmationService Theschoolwide surveywhichprovidedthe Olavian Characteristics has dovetailed into this allowing aclearlink between our school values and those Christian valuesforthright in Confirmationofone’s faith.Thefaithfulness of staff and parents/carers in prayer on aweeklyand half termlybasis continues to bless and encourage. We haveinvolved the school in “ThyKingdom Come”whereeachstudenthas been offered asmall prayer journal to use during the 11 days between Ascensionand Pentecost to pray fora better worldfor all using the line from the Lord’s Prayer “ThykingdomCome, thywillbedoneonEarth as it is in Heaven”.

Assemblies and Thought forthe Dayhavecovered avast amount of topics from the Olavian Characteristics to forgiveness, image, joyand singing.Eachis based in a biblical context giving dailythemeswithin the weekly topic.Thereisalwaysaprayerlinked to the themewhich is published weeklyonthe website.Duringthe year we havebeen blessed by students picking up themes whichlink into student bodies and provide an invaluable peer perspectivetothe wholeschool. Allour themes and topics tie into the Church of England Visionfor

Educationand sit withinthe four main topics of Hope, Community, Dignity and Wisdom. Parents/carers are able to access these weeklythemes through our website.

Ourschool valuesand ethos areclearlycentredinthe Christianfaithbutare,bytheirverynature,encompassing of allfaiths and none. Thecorebeliefspromote respect, tolerance,trust and dignityfor all along with adesire forall to flourish in everyaspect of their lives. From whateverculture, traditionorbackground students and staff come,thereisawelcome here, adesire to find common ground and to encourageeveryonetofind their place in our world.

Everyblessing, ChapelWeekend

Over 30 studentsand staff headed to CarrotyWood, a Christian ActivityCentrenear Hildenborough, forthe 2018 Chapel Weekend;the theme forthe weekend was ‘Lifeinall its Fullness’. Students tookpartinoutdoor activities, including lowropes,joustingand awide gamebut hadtocurtail the BBQ and bonfire due to the rain. Plentyofindoor space allowedtable tennis, board games, card games, amini indoor challengeOlympics and various brain expanding challenges, provided by Mr Maltman,to take place Thestudents were encouraged to thinkaboutHope,Wisdom,Dignity and Communityas partofafulllife.

Olavian 2019 –101
Reverend Dr Julie Bowen School Chaplain
102 –Olavian 2019

Music

AYear of Music

Wehad another fullcalendar of concerts,events and one-off performances, whereonceagain Olavian musicians hadopportunities to impress audiences with their technical skilland musicality. It was apleasureto include the school’s first bands showcase in the annual programmeand Ihopethat this was the startofwhat willbecome aregular feature.

Our2019 Guys and Dolls revival broughtstageand orchestratogetherfor twoperformances in March The showwas agreat success; the dramaticskills,vocaltalents and ensemble collaborationofall involved demonstrated that Olavians achieve much morethan just excellent academic standards.

TheSavoy choristers’trip to St George’s Chapel Windsor in Maywas also asplendid occasion. Thespecial service at whichtheysang happens once everyfouryears, where the boys areprivileged enoughtosing forHM The Queen, among othermembers of the Royal Familyand honoured guests.Theboys’maturity,asseen in both their musical contributions and their conduct,was impressive and made me proud that we were partofthis experience.

As always,the Mid-Term and end-of-seasonconcerts were enjoyable,high-qualityevents.Theinstrumentaland singingcapabilities of our students continue to be strong and the enthusiasm forsharing sucha diverse rangeof skills with awider audience remains undiminished. The Chamber Choir’s performance of movements of Fauré’s Requiem at the ChristmasConcertwas stunning and abidesinmymemoryasanother personal highlight. Ihope that youwillenjoy reviewing the accounts and photographsfromall of the musical activities over the last year.

Mid-TermConcert

Performing as achamber ensemble,with its director Mr Blewamid the orchestra, the Intermediate Strings started proceedings witha Handel favourite. Highlights included Arunabh’sheart-felt renditionofFauré’s beautiful chanson ‘Après un rêve’and twoaccomplished performances of piano sonatas, Ben taking on the technicalchallengeof Scarlatti’s music and Antonio tacklingBeethoven’ssimilarly virtuosic work.Threekeyboardplayers, three saxophonists,

apianist and adrummer took‘ThePreacher’bySilverand each instrumentalist added their owninventive improvised take on this classic. Srikar,performing from memory, held the atmospherebeautifully in his Einaudi piano solo James brought out the quirky character of Stravinsky’s musicthrough the medium of the clarinet. Lulu’s excellent diction and vocalprojectionhelped her conveyEliza’ssense of joyin‘Icould havedanced allnight’from‘My Fair Lady’. Lesser-known composer Merikanto’s‘Valse Lente’was brought to life by Jamie’s wide rangeofdynamic contrast and well-judged use of rubato.Year7 studentAlfiestunned the audience with his dexterityand matureimprovisation in Berlin’s ‘CheektoCheek’. Both Genesisand Kenji then gaveskilful piano solos of demanding repertoireand Charlotte closed the evening’sentertainmentwith her expressiveand lyrical flute playing

Cabaret

Aglittering cavalcadeoftalentshowcased polished acts from soloists, ensembles, instrumentalistsand vocalists. With the hardworkofthe Cabaret Committee,the atmospheric GreatHalllookedalmost as well presented as theblack tieaudience.Asever, the event raised hundreds of poundsfor our chosen ‘Festival’charities.

TheMinting Cup

Manycongratulations to Rohan (Clarinet),Ben (Piano)and Alfie(Saxophone) who were finalists in TheMinting Cup,Bromley Youth Music Trust’s annual solo competitionfor musiciansinYear9 and below. Seveninstrumentalists performed in the Final from over 100 eligible musicians– four girls and the three St Olave’sboys. Adjudicator,AndrewBarclay,the London Philharmonic Orchestra’sPrincipal Percussionist, commented in his summingupthat he wishedhehad seventrophies so that each of the performers could

104 –Olavian 2019

receiveone following their excellent solo performances. Well done to Alfiewho was awarded the MintingCup for2018.

BYMT Rotary TrotmanFinal

CongratulationstoYear13student, Sachin, on winning the BYMTRotary Trotman Final 2019. To reachthe Final was itself an incredible achievement,against intense competitionfromthe very manytalented musiciansfrom across the Borough.Gaining 1st place in suchanevent is an exceptionally high accolade,well-deservedinSachin’s case foranoutstanding percussionperformance.

JazzBand

TheStOlave’sJazz Bandwerespecial guests at arecent CharityGalaBigBandEveninginaidofCancerResearch UK. Theband playedpieces from their repertoireina varietyofstylesfrombig band funk to BennyGoodman. Thediscerningaudience lovedtheir performanceand demandedanencore of ‘Sing Sing Sing’. Theevening raised over £1,700 forCancerResearch.

BromleyFestival

Ben Joshua Yipwon the Gwen Massey Cup and aGold medal forthe Junior BeethovenClass and aSilvermedal forthe Junior Chopin Class in the BromleyFestival.

Olavian musicians Josephand Maxare members of the BYMTSerioso Quartet who won the StrudwickCup at the BromleyFestival.

OFactor

Theannual House singingcompetition, TheOFactor, saw members of the LowerSchool performing hymns and pop songs, includingclassics from Binghamand Leeke: RickAstley’s‘Nevergonna giveyou up’and John Denver’s‘CountryRoads’, as well as morecontemporary offerings from Harvardand Cure. Firm favourite hymns suchas‘IVow to Thee My Country’and ‘ShineJesus, Shine’rounded off asplendid competition.

JazzNight –Tuesday 7th May

On Tuesdayevening,the annual Jazz Night celebrated the capabilities of student performers from Years 7to 13. Amongthe high-quality entertainment throughout the evening were included adexterous alto sax solo from AlfieBestonand adelicate performance on the vibraphone from Sachin Balaji, both winners of recent competitions at BromleyYouth MusicTrust.Theschool’s big band made an appearance as well of course,with Year 13 leavers James, Matt, Samand Nebiy delivering their finalsolos with the band in classic standards “Sing Sing Sing”and “Spain”. We also enjoyedperformances from various studentled ensembles, including “Celtic Suite”, an Irish-influenced work composed forsax quartet by Gavin Whitlock.

As ever,the concertwelcomed aspecial guest, on this occasionlegendarytrumpet player, Mike Lovatt, currentlyPrincipal in the John WilsonOrchestra and with avast array of recording credits. He dazzled with incredible tone in the gentle “Embraceable you” by Gershwin and joinedthe big band forthe concert’s denouement- “Gonna FlyNow”, better known as the themefrom“Rocky”,whose trumpet partis nothing shortofastronomical!

Manythanks go to Mr Beston, the omnipresent mastermind of allthingsjazzy,aswellasMike Lovatt and pianist JimTreweek.

Summer Mid-TermConcert

This was alovely,relaxed event,showcasing aselectionofsolo and small-ensemble items from Olavians of allages. Once again,pianists in abundance tooktothe stageand impressed the audience with adiverse rangeofpieces, executed with impressivetechnical skill.Amongthem,Kenji and Ademofe gaveparticularly enjoyable renditions of virtuosic music by Chopin. Gautam’s sensitiveinterpretationonthe classical guitarofBach’smusicwasfullofexpressionandverymoving Eric’s performance of the first movement of Kabalevsky’s Violin Concerto was equally remarkable,handling some very demanding music with notable technical skill.

Choristers at St George’s Chapel, Windsor Castle

Directlyafter an enjoyable CommemorationService at SouthwarkCathedral,the Choristers of the Queen’s Chapel of the Savoywereescorted by Royal Household Transport, throughsouthandwestLondontraffic,outintotheBerkshire countryside,through the armed-police guarded King Henry VIII gate,into the grounds of Windsor Castle. Therewe

Olavian 2019 –105

were installed in converted medieval accommodationfor our overnight stay. We were soongreeted by various members of staff from the collegeand given an interesting tour by the Verger of the famous Chapel, the burial site of anumber of former Kings, Queens and royal familymembers. Pizza thenarrivedandwesharedamealtogetherwithOldOlavian Lucy Morrellwho,after her Music degree at Cambridge,has taken up the Organ Scholar post at St George’sChapel and kindly fedusand chaperoned us around forthe twodays.

Thefollowingmorning,wehad an early start,with breakfast at St George’sSchool to meet the resident choristers there. Theboysfromboth schools made their waytothe Chapel to rehearsefortheveryimportantserviceduetotakeplaceinjust afew hours. By 9am,the last notes of the rehearsal rang out from the Chapel and the gates were opened to the honoured, invited guests, allmembers of the Royal Victorian Order, whose loyal service to the Royal Familyhas been formally recognised. Allthe choristers and layclerks assembledin the cloisters at 10:30am to process in to the choir stalls, while the splendid organ sounded grand voluntaries beforeformal proceedings started. Most of the thousand-strongguests hadtaken their seats by this time,certain to be in place for TheQueen’s Procession. Trumpeters of the Band of the Household Cavalrysounded fanfares forHer Majestyand Her Royal Highness the Princess Royal, Grand Master of the Royal Victorian Order,astheytooktheir seats.

This Service of Praise,Remembrance and Dedication reflected uponand celebrated the dutiful work of the membersoftheOrderandincludedbeautifulmusicfromthe combined choir and rousing hymn-singing from allpresent. Theevent takes place everyfour years at St George’s,the only Chapel largeenough to house the number of invitees and participants, though it is the Queen’s Chapel of the Savoy whichis the official chapel of the Royal Victorian Order, hence the inclusionofthe Savoychoristers in the service It was atruespectacletobehold and our choristers were exemplaryin their contributiontothis memorable occasion.

BromleyMusic Festival

Kenji hasbeen really busy with hispiano performance recentlyand we wouldliketosharethe wonderful news with youand school

He enteredthe BromleyMusic FestivalinMarch,the Rochesterand NorthKentMusic Festival in Apriland theBlackheath Music Festival in May, and managed to receive4trophiesand cups as well as 6medallions in total from those festivals.

On 11th May, he performed at the Rochester Championship Concertonceagain andwon 2more Winner’s Cups forbeing the bestpianist and the best junior entrant across the categories

Band-only Concert

Organised entirelybymembers of the Sixth Form,this event featured an impressiveselectionofstudent groups. Weeks of rehearsals behind the scenesinremote practice roomswentinto preparing the acts forthis showcase, supported by an able team behind the lighting and sound desk.Aizenosa, Emily, Aisosa and Mosescompered the evening and welcomed an enthusiastic audience. Thevaried programmecelebrated music from A-list groups suchasthe Red Hot Chilli Peppers, Maroon5, Oasis and Santana and we hope that the night’s feast of popular covers willbethe first of manysimilar events in the future.

106 –Olavian 2019
2019 –107
Olavian
108 –Olavian 2019

Modern

Foreign Languages

The Department of French

The Frenchdepartment has hadanother successful, enriching and exciting year.Students of various year groups visited numerous parts of France.Year10students went to Normandy,wheretheyvisited this beautifulpart of the country and tookpartincultural activitiessuchas bread-making.Year9 Frenchstudentstookpartinthe Frenchexchangewith our partner institutionLaCroix Blanche,Lille,and spent aweekinthe summerwith their penfriends, visiting the Europeanparliament in Brussels, attending awafflemaking demonstrations and aday at the Frenchschoolamong other activities. All year 7students went to Boulognefor aday trip to visit the cathedraland the historic city. Sixth form French students spent in aday at the British Film Institute on the historyofFrench film, and Oxbridgeaspirantsalso attended aday at Brasenose College, Oxford,wherethey attended lectures and tutorials on the artoftranslating Baudelaire’spoetry.

We havebeen delighted with the success our students havehad in twosignificant national competitions.Vikita Vaghelawon HighlyCommended in the Oxford Flash FictionCompetition2019,whereOxfordacademics commended her creativeand accurate writing skills. ShrinidhiPrakashwonfirstprizeintheunder-18category of the Stephen SpenderTranslationCompetition, where entrantswereasked to translate apoem of anylanguage into English. Shrinidhi translated the post-colonial Francophone poem ‘Cahier d’un retour au pays natal’ by AiméCésaireinto apowerfuland emotiveEnglish poem

Finally,Languages Societyhas been successfully runthis year by LanguagePrefect Jacob Gaskell.Insightful,wellresearched and fascinating topicsona varietyofareas havebeen presented, including TheLinguistics of Food, Politics and Language, Creole,Linguistic differences between Frenchspoken in parts of Canada and France, the historyofFrenchHip-Hop, and the oddityand evolutionofthe Frenchnegation.

Finally,languageprefects Jasper Maughan and Raymond Guoare to be commended forediting the Modern Languages European journal, acollectionofbeautifully written articles on various aspects of Europe,including Macron,the Frenchrevolution,Europeanmusic culture among others, and some articles were even in the target language.

Year 7Boulogne Trip22May 2019

Theday started with many groans and grunts about comingtoschoolat5 a.m., whichmeant some of us gettingupat3:00!However,after 30 minutes of anticipation, we were finally on the coach,either dead asleeporsinging at the top of our lungs.Two hours later, we were driving off the train and looking around at the Frenchside of the Eurostar.Wewereall looking forward to what was in frontofus…not the Audi. So,here’show it allwent.

After arrivinginBoulogne and unloading ourselveslike piles of rocks, we stretched our feet and grouped up with our leaders, only to find out that onecoach was half an hourbehind.Anyway, thisdidn’t matter as we were all too ecstaticabout finally being in France.First of all, we hikedupa steep hillinthe town,whichultimatelyleadus to the Basilica,a hugemonumental Church, overlooking the coast and market. Once we reached the end of this arduous walk,we were trulytaken aback by the sheer size and grandeurofthe building.Itwas fantastic! Columns of craftsmanship,ornaments of gold and other precious stones. Even the woodworkhad us allthinking: “Wow! Howdid theymanage that!”

Following on from the Basilica,wetooka shortbreak to tryand sketchthe monument, whichnobody did exceedingly well,aswewereall looking forwardto our next stop: the market! We scurried down the hill, like 4-year-olds running out to break-time.After a brief discussionabout the do’s and don’ts, we were off, spreading out, some going forthe sweetshop,some instructed by their parents to buy cheese and bread, some even buying sunglasses. It was agreat hour spent asking people whereto find certain products, and those who bought ahugeTwixbar for €4werewalking around

110 –Olavian 2019

showing their purchase to everyone theysaw

Next, we wandered slowlydownthe main road,walking alongsidethe seashore, until we finally reached the Sea-lifeCentre, just as our legs started to ache.We made onelast efforttoswing aroundtothe back of the aquarium, beforedropping our bags fora long awaited lunchbreak. This tookwhat felt like another 3 hours, but it really only took45minutes. In this time, however, we managed to decide whichballgames we were playing on the beach.Anyway, we were sooninthe Sea-lifecentre, waiting to see the varietyofmarine life and read fascinating facts about species we didn’t even knowexisted.Wewereevenlucky to witness atalk about the fish there, come up close to sharks and mantarays, while we hadaviewofthe whole aquarium of amazingly coloured tropical fish just afew feet away. Lastly, we saw agreat sea-lionshow, whereweexperienced some tricks like jumping high out of the waterand doing alap of the enclosure.

Oxford French StudyDay 2019

Year 12 Frenchstudents attended the Oxford University FrenchStudyDay held at Brasenose Collegein June Students discussedthe artoftranslating Baudelaire’s InvitationauVoyagewith Frenchtutor Dr Carole Bourne-Taylor,attendedalectureon‘Multilingual identities’ and amockinterview. They also hadatour around the collegeand hadthe opportunitytogain an insight into the applicationprocess forMFL at Oxford. Allstudents who attendedwerehighlypraisedbythe Oxford tutors fortheir insightful and intellectual contributions to discussions.

French Literature Project

Finally,to finish our fun-filled day– beach games. We set up amassiveinterhouse tournamentrematch,for some chocolate prizes. We also set up cricket along the wooden path, so everyone hadsomeoptions as to what to do for90minutes. In the end, we left, gotbackinto our coaches and relaxed as we headed back to school after suchafun-packed day.

Thanks to the generosityofthe PA,wewereable to purchase some Frenchliteraryworks so as to build up amini Frenchlibraryinschool. These consisted of a recent bestseller and Holocaust memoir, Et tu n’es pas revenu (Marceline Loridan-Ivens), agraphic novelset in the IvoryCoast: AyadeYopougon (Marguerite Abouet and Clément Oubrerie), and the famous short story Le Petit Prince by Antoine de Saint-Exupéry. Several studentshavealready benefittedfromthese works: ShrinidhiPrakash (Year 12) has produced apowerful piece of prose entitled L’Exhumation, written in the styleofCamus, inspired by Loridan-Ivens’ work,and Joshua Selfridge(Year 11) has written an insightful and fascinating article analysing the differences between oral and written formsofFrench,based on the graphic novel. We hope to publish these worksinthe near futureina languagejournal, and we also intend to create resources based on the workspurchased foryoungerstudentsin the school

French Exchange

Year 9studentsparticipated in aFrenchExchange with our partner school in Lille,LaCroix Blanche, Bondues. Students hadbeen writing to their partners in French, thus improving their languageskills and their knowledge of Frenchculture. Frenchstudentswerehosted fora week in December by St.Olave’sstudents and attended aday of school with their partners, wheretheygainedan

Olavian 2019 –111

insightinto the British school system.All who tookpart profited from the cultural exchange,and we lookforward to spending aweek in France in May2019, when our students willhavethe chance to visit Lille and Brussels, and exercise their linguistic skills in areal lifecontext.

Lille French Exchange

Year 9Frenchstudents travelled to Lille forthe Frenchexchange in activityweek 1with Mademoiselle Mahadevan and Madame Komuves.Thestudents stayed foraweek with their Frenchexchange partners from our partner school InstitutionLaCroix Blanche, and they enjoyedspeakingFrenchona dailybasis. They took partin numerous activities, includingvisiting Brussels, wheretheyweretaken on aguided tour by asenior civil servant around the European Parliament and attended an interactivesession on the role of the EU,European Politics, and the importance of learning languages. They also travelled to the centreofBrussels wheretheywere able to visit the beautiful central squareand historical buildings, and theyadditionally enjoyedsampling local delicacies in various chocolatiers. Students additionally attended awafflemaking demonstrationinHouplines, went cycling forseveral kilometres with their exchange partners across the Frenchcountryside along an ancient railwayline,and also ordered their meal in Frenchata traditional crêperie in Lille They also attendedlessons entirelyin Frenchatthe partner school, wheretheywere treated to atraditional Frenchbreakfast.They discovered alot about Frenchculture,and completed diaryentries in Frenchdocumenting their visit. Allboyshad improved their Frenchtremendouslybythe end of the week and hadanenjoyable time in France.

Year 9French Exchange

Au mois de mai, quinzeélèvessontallés àLille,pour un échangeavecLaCroix Blanche,ungrand collègeprèsde Lille.Onest partis de St Olave’sle vendredi, à11h50, et on aprisletrain àSt Pancras. On yest resté pour une heure, et on afait les magasins, ou on amangéle déjeuner.LevoyageàLille adurédeux heures,et on aété accueilli par nos correspondants.

On apassé le weekend avec nos correspondants et leurs familles. Quelques élèvesont regardé un matchdefoot, et autres ontfait du bowling.Moi, je suis allé àParis, et j’ai vu tous les monuments: l’ArcdeTriomphe,leLouvre, le Palais de l’Elysée et, bien sûr,laTour Eiffel.

Le lundi, les élèvesanglais sont allés àBruxelles en car, et on ad’abord vu la grande place.Après avoir fait les magasins, on avisité le Parlement Européen,eton adécouvertl’importance des langues dans le monde politique.C’était vraiment inspirant!

Le mercredi, nous sommes allés àl’école avec nos correspondants. On aassisté aux cours, par example, la

In the month of May, fifteen students went to Lille for an exchangewith the institution‘La Croix Blanche’, alargesecondaryschool near Lille.WeleftStOlave’s on Fridayat11.50 and we tookthe train to St Pancras. We stayedtherefor anhour,and we visited shops or ate lunch. ThejourneytoLille lasted 2hours and we were welcomed by our partners.

We spent the weekend with our penfriendsand their families. Some students watched afootballmatchand others went bowling.I went ot Parisand Isaw allthe monuments : TheArc de Triomphe,the Louvre,the Elysée Palace and of course the Eiffel Tower.

On Monday, the English students went to Brusselsby coach, and we firstlysaw the main square. After doing some shopping,we visited the EuropeanParliament,and we discoveredthe imporance of languages in the political world. It was trulyinspiring !

On Wednesday, we went to school with our penfriends. We attended lessons, forexample Science,and Sports. It

112 –Olavian 2019

Physique-Chimie,etl’EPS.C’était très intéressant,passer un jour dans un collègefrançais. Pour le déjeuner,onest rentrécheznos correspondants, parce qu’iln’y apas les cours le mercredi après-midi.Bien que l’école ait été un petit peu ennuyeuse,car c’était difficile de comprendre les profs, l’après-midi, c’étaitgénial!

L’échangeétait incroyable -j‘aibeaucoup appris àpropos de la culture, la langue et les traditions françaises.Je recommanderais absolument cet échange–c’était très utile et amusant aussi.

Au mois de mai, noussommes partis avec enthousiasme de St Olaves pour notrevoyagetant attendu.Dans l’eurostar,laplupartdes gens discutaient ou vérifiaient peut-être leur vocabulaire. Cependant, quand nous sommes arrivés en Lille,unacceuil chaleureux nous attendait. J’ai reconnu immédiatement monami français et je me suis souvenu des momentsque nous avions passé en angleterre.

D’abord, j’étaisunpeu timide,maisaprès quelques jours, j’ai beaucoup aimé parler aux Français. Ilsont parlé plus rapide que j’aurais crumais ‘était utile!

Nous avions une semaine chargée qui comprenaitlavisite du ParlementEuropéen, une visite àRando-rail où nous avonsfait du vélo sur une ligne de chemin de ferancienne et j’ai visité L’institutionCroix blanche.Ici, j’ai trouvéle manque d’uniformeassezétrangemais c’étaitintéressant d’apprendreàpropos de la culturefrançaise.

Maintenant, je crois que je me souviendrai de l’échange français pourlereste de ma vie

French Study Day

23 AS and A-Level Frenchstudents visited the BFI to attend the A-Level FrenchStudy Day, entitled ‘Le Cinéma Français: ContemporaryDramas and the Nouvelle Vague’. Theday was conductedin French by Dr EmilySalines, SeniorLecturerinTeaching and Learning, UniversityofGreenwich. Students were introduced to some famous, but also less known, French filmsand enjoyedbroadeningtheirknowledgeof Frenchculture, film, and language.

French Play

Year 9and 10 studentsweretreated to aliveperformance of the play‘La SalleDes Énigmes’by the Onatti Theatre Company.They hadalready learned something about the playinlessons leading up to the show, and found that it was much easier to understand than theyexpected.There was alot of humour and slapstickcomedy.Students

wasveryinteresting to spend aday in aFrenchschool. Forlunch,wewent back to our penfriends,because there arenolessons on Wednesdayafternoons. Although the school was abit boring,since it was hardtounderstand the teachers,the afternoonwas great!

Theexchange was incredible- Ilearnt alot aboutculture, languageand Frenchtraditions. Iwould absolutely recommend this exchange: it was very useful and fun too

In the month of May, we leftStOlave’swith enthusiasm forour much anticipated trip.Inthe eurostar,most students discussed or checked their vocabulary.However, when we arrived in Lille,a warmwelcome awaited us. Iimmediatelyrecognized my Frenchfriend and I remembered the time we spent in England.

Firstly, Iwas abit shy, but after afew days,I enjoyed speaking to the Frenchstudents.They spoke much faster than Ihad ever expected but it was useful !

We hada packed week whichconsisted of the visit to the European Parliament, avisit to Rando Rail where we went cycling along aformerrailway and Ivisited the institution‘La Croix Blanche.’ Here, Ifoundthe lack of uniformquitestrangebut it was interesting to learn about the Frenchculture.

NowIbelieve that Iwillremember the Frenchexchange forthe rest of my life.

watched as the actors tried to solve the puzzles to get out of theirescape room,and enjoyedthe discussions whichensued. As always,therewas alot of audience participationduring the show.

University French Flash Fiction competition

Congratulations to Vikita Vaghela in Year 12 who won ‘HighlyCommended’inthe sixth form categoryofthe Oxford UniversityFrenchFlashFictionCompetition 2019. Students were asked to write a fictional piecein Frenchofless than 100 words, and Vikita wrote avery creativeand imaginativepiece in beautiful Frenchabout apowerful emotional and physical experience.Her work willbepublished shortlyonthe Oxford UniversityMFL blog

Olavian 2019 –113

MFL European Journal 2019

Year 12 student and LanguagePrefect, Jasper Maughan has successfully edited and compiled acollectionof fascinating articles about various European related issues. Thetopics include politics, history, music, linguistics, international relations and environment,among others. Some articles areevenwritten in the target language, with atranslation written by the authors themselves alongside the original version. Thequalityofwriting is outstanding and credit goes to allthe Sixth Form students who contributed suchexcellent, well researched and engaging pieces.

Normandy Report

A- Bonjour.Pendant la deuxième semaine d’activités l’année dernière, des étudiants de l’année dix sont allés en Normandie pour un voyagefrançais. Nous sommes arrivés au Château de la Baudonnière lundi le huit juillet, et quelle belle vue c’était !Pas vrai, Victor?

V- Bien sûr.C’étaitunbâtiment majestueux avec de la verdurepartout pour des kilomètres.Toute de suite,nous avonsdécouvertqu’il yaurait beaucoup d’activités et que ça serait très amusant. Qu’est-ce que tu pensais des activités au château, Griffin?

G- Personnellement, je les trouvais géniales. En fait il yavait tant àfaire, où est-ce que je devrais commencer ?Ilyavait une course d’orientation, du tir àl’arc, des exercices d’initiativeetune activité spéciale chaque soir

A- Ilsétaient toutes géniales. Mais laquelle était ta préférée…

G- Pour moi, c’était certainement la fabricationdupain. C’était une expérience géniale pour tout le monde,une activité amusante qui amontrénotrecréativité pour tout le monde

V- Je ne suis pas d’accord. Personnellement, l’aéroballe était certainement la meilleure. C’était un jeu nouveau et unique pourtout le monde,presque comme une hybride de trampoline et basket.

A- Je suis avec Victor cettefois. L’aéroballe était une des activités que nous avonstous aimé et que nous voudrions faireplus tard.Tous les étudiants de français ontaimé les activités, et les étudiants qui faisaient le latin ontaimé aussi

G- Bien sûr.Toutlemonde avraiment amélioréen français et si tu étudies le français ou le latin,c’était vraiment un voyagegénialpourtout le monde

V- Tu oublies la meilleuresectionduvoyage. Lessorties au marchédeVilledieu-les-Poêles, le cinématrois cent soixante degrés àArromanches, la Tapisserie de Bayeux.

C’était des momentsimportants danslevoyage.

A- Oui… mais tu oublies la meilleurepartie du voyage !Lasortie quand nous avonspassé tout le mercredi à visiter le Mont Saint Michel.Aprèsune traverséedifficile mais belle,sûrs que nous croisions l’océanAtlantique, nous sommes arrivés àl’Abbaye.

G- Et quellebelle vue c’était !

V- Et bien oui. Aprèsune tour de l’abbaye, nous avons mangéledéjeuner sur une falaise et on apassé le reste de la journée au soleil.

A- Vraiment, ce voyagealaissé beaucoup de souvenirs pour vie pour toutlemonde.Jesuis sûr que nous allons les chérir pours les années àvenir.

Aaditya Deshmukh11K

European Day of Languages (EDOL)

To celebrate EDOL, studentsworkedtogether on a number of different quizzes provided by the organisers. These included questions about Etymology,Language Families, LanguageStatistics in the EU and worldwide, and Alphabets, amongothers.Students were also served European-themed food: German mustard-glazed ham with Sauer Kraut, BeefBourguignonand Crêpes.

LinguisticsOlympiad (UKLO)

In February, 12 students in Y12 participated in the UK Advanced Linguistics Olympiad. Students enjoying solving linguistic problemsand cracking codes based around numerous languages, includingBraille, Mongolian, Ndebele (spoken in parts of South Africa), Gumatj (a languagespoken in NorthernAustralia by around 240 people).Participants also answered questions based on the Cippus Abellanus, adocumentcarved into stone from the 2ndCenturyBCE, dealing with alegal disputebetween the citiesofAbella and Nola in SouthernItaly. Theparticipants found the Olympiad challenging,but very exciting, and the standardexpected was extremelyhigh.All studentsperformed very well; Jacob Gaskellwon aSilverAward, and RaymondGuo and JasperMaughan won Bronze Awards.

Languages Society

Sixth Form students havepresented avarietyof interesting, well-researched and engaging talks, aproject led by Year 12 studentand LanguagePrefect, Jacob Gaskell. SidneyWoolf-Hoylespoke on ‘Theevolution of the English Languageand its relation to colonisation’, Anantha Anilkumar on ‘Creole and the Francophonie’, Shrinidhi Prakash on ‘Language, gender and sexism’and Jacob Gaskellon‘Thedifferences between Frenchspoken in Quebec and France’.Thetalks were well attendedand generated livelydiscussionabout language.

114
–Olavian 2019

Translation Competition

TheMFL Facultywas lucky enough to be selected by the European Commissionthis year to take partintheir prestigious Juvenes Translatores competition. Five of our Year 12 and Year 13 Frenchand German students sat the two-hour translationpaper,along with hundreds of other students across the European Union. Papers willbesubmitted to the Commissionfor grading,and the winners of the competitionwillbeinvited on an all-expenses-paid trip to Brussels in Februaryfor the AwardCeremony

Olavian 2019 –115

The Department of German

The Germandepartment hada typically busy year, packed with trips and competitions.Thesixth form Germanists attended aconference at the British Film Institute in German cinemainNovember,with aspecial focus on the film studied on the ALevel course,‘Das Leben der Anderen’(TheLives of Others). Manyof the Year 12 Germanists -along with twoenthusiastic Year 11s -also attended the German Open Dayatthe UniversityofOxford, where theyattendeda varietyof seminar taster sessions on the modulesoffered, ranging from medieval German poetrytoGerman film studies. Furthermore,both Year 12 and Year 13 Germanists went to Berlin in the Februaryhalf termwith Frau Probodziak and specialguests Frau Cooley and Herr Henley! The group visited allthe main sites, but also dabbled in some bowling,chocolate shopping,and visited a flea market, alongside meeting asurvivor of the East German prison, Hohenschoenhausen.

Lowerdownthe school, Year 8students went on their annual trip to the historical town of Aachen in December to visit the Christmas Market and havea tour of the beautifulcathedral and treasury. Students showed off their knowledgeofclassicswith their German tour guides, identifying figuresfromGreek mythologythat were portrayed on some of the items in the treasury.They also stocked up on traditional German ‘Lebkuchen’and handcrafted Christmas decorations.

Students in Years 8and 9submitted entries to the Oxford German Olympiad, writing a fictional dialogue discussingthe existence of monsters, or producing a posterona fantasyzoo,orchosen monster figurefrom German folklore Threestudents in Year 9actually came runners up in the competitionand were invitedtothe official prizegivingceremony in Oxford

TheYear10students participated in the exchangewith the Starnberg GymnasiuminBavaria, Germany. We travelled out to GermanyinActivities Week 2, after the German partners visited in March and both German and English students hadgonetosee ‘School of Rock’ the musical, in London. OutinStarnberg,wewenton various tours, suchasinthe science museum in Munich, spent time in the German school, visited the beautiful CastleNeuschwanstein (inspirationfor the Disney castle) and relaxed by the picturesque Starnberg lake

Students across Years 7to9 were involved in launching anew pen pal programmewith aschool in aWilhelmshaven, NorthGermany,with allstudents

studying German writing to astudentatthe German school.Theirpen pal maybecome their exchangepartner as we launcha newexchangewith this school.

BritishFilm Institute

Year 12 and 13 studentsvisitedthe BFI fora dayof learning about German cinema. Conducted mainlyin German,students were introduced to the most prevalent social and politicalthemes of German cinema in recent times, with reference to various film clips. Ourstudents were later able to focus in an in-depth wayonthe film theyare studying as partoftheir AS and A-Levelcourse –‘DasLeben der Anderen’(‘TheLives of Others’) This included ascreeningofthe film with an introductionby aprofessional from the BFI, and adiscussion of the film afterwards.

AachenChristmas Market

Thevastmajorityofour Year 8students travelled overnight in Aachen, arriving fullofanticipationfor a well-earned indulgent breakfast buffet. They were then given guided tours of the stunning medieval Cathedral and awe-inspiring Treasury,together witha muchanticipatedvisit to the beautiful Christmasmarket.With their pockets and backpacksstuffed withChristmas goodies and souvenirs, theythenembarked on the long journeybacktothe UK.

OxfordGerman Olympiad

ThreestudentsinYear9 were runnersupinthe Oxford German Olympiad, acompetitionorganised and judged

116 –Olavian 2019

by Oxford University, open to allschoolsinthe country JosephDavies, Tanush Upadhye,and Rohan Chavali submitted ashortdialogue between twoimagined figures discussing the existence of monsters, in German. Theboysand their parents attendedthe PrizeGiving ceremony to receivetheir certificates at the Blackwell HallinOxford. We areextremelyproud of their achievement, and theirshortstoryaboutMonsters will be on displayinthe German department

Oxford University German OpenDay

Year 12 and Year 11 students travelled to Oxford to attend the German Open Dayatthe University.Theday consistedofintroductory sessions into what it entails to study GermanatOxfordUniversity, whyyou might choose this degree,and what arethe requirements to submit an application. After this, students went along to taster seminars that theyhad chosen in advancesuch as the study of German Film, Medieval German Poetry, Translation, Learning German with NativeSpeakers at University, and various periods of German Literature (including Drama).

MFL Play

Years 9and 10 Germanists were treated to alive performanceofthe newplay‘So Eine Nervensäge’.Some hadalready learned something aboutthe playinGerman lessons leading up to the show, and found that it was much easier to understand than theyexpected.Therewas alot of humour and slapstickcomedy.Students watched as the twosisters tricked each other into wearing strange clothes or getting into trouble with their parents, and enjoyedheckling the cast and answering questions in German.

Berlin Trip

Year 12 and Year 13 Germanists travelled to Berlin with Frau Probodziak who hadplanned avolles Programm, including alargedose of German 20 th CenturyHistory, through visits to the Stasi Prison, Hohenschoenhausen, the Jewish Museum, the DDR (GDR)Museum, the German Reichstag,and the Topographie des Terrors (Topography of Terror). Thetours were in amixtureof German and English to maximise understanding,but also to expand vocabularyand present moreexposure to the German language. To break up the museum visits and tours, students shopped on the famous street, Kudamm, home to the KaDeWeshopping mall. To round off the shopping experience,students also visited the very popular Mauerparkmarket, wheretheyenjoyed an authenticBerlin flea market experience

German Exchange from Stanberg

On the 22nd March,38 excited year 10 students collected their German exchangepartners, who hadtravelled to OrpingtonfromStarnberg, just outside Munich, in Germany.Theboysundertookvarious activities over the

weekend together,with lots of people going sightseeing in London,and manymeeting up formeals and bowling During the week of the 25th, the German studentswere very busy doing yetmoresightseeing with their teachers in London. On the Thursday, the Olave’sboyswent into Londontojoin their partners and watch‘School ofRock’,the musical. Agreat time was hadbyall,and the week was rounded off with half aday in school for the partners, when theycould participate in avarietyof lessons. We areveryexcitedtomake the second leg of the exchangeand go out to BavariainActivities Week Two.

German Olympiad

TanushUpadhye,JosephDavies,and Rohan Chavali in year 9travelled up to Oxford to collect their runnersup prizein the Oxford German OlympiadonTuesday 25th of June Theboysreceivedtheir certificates during the ceremony at the Blackwell HallinOxford. We are extremelyproud of their achievement.

Starnberg German Exchange

Last week during the Activities Week, the year 10 Germanists (plus some Latinists forgoodmeasure) travelled to Starnbergin southernGermany, just outside Munich, forthe returnleg of the German exchange.The week was spentdoinga varietyofexcursions, including to the Allianz Arena, home of the FC Bayern Munich team,the Olympia parkand stadium,Munichcitycentre, the ‘Deutsches Museum’,the Olympic SkiJump training grounds,and the Castle Neuschwanstein.Theboysspent the weekend and evenings with their exchangepartners and host families,and alsospentaday in the German school with their partners. Everyone hadanexcellent time,takinginthe breath takingviews of the Starnberg lake and Alpine lake,and samplingsomeclassic German and Bavarian dishes.

Saturday and Sunday

Am Samstag haben wir um neun UhrinHeathrow Flughafen uns getroffen. Dann sind wir nach München geflogen. Der Flug war nur ein und halb Stunden. Danach sind wir mit dem ZugnachStarnberggefahren. Nachdem haben wir die erste Abend mit der Gastfamilie verbracht. Jemand hat herausgefunden wie groß die Deutscher Häuser sind und viele Leute habenbayerische Spezialitäten gegessen.

Am Sonntag haben wir den ganzen Tagmit unserer Austauschpartnersverbracht. Viele Leute haben die schönes München Stadtbesucht, oderzudas Tollwood Festival gegangen. Dortkann man alles kaufen –Souveniren, Essen (besonders Bratwürste), und es gab ein Konzert.

2019 –117
Olavian

Monday

Am Montag,zum die ersten Mal haben wir uns in der Schule getroffen. Danach fuhren wir mit dem Zugmit unserePartnernzuder Allianz Arena, obwohlEdward vergessen hat, aus dem zug auszusteigen!

In der Allianz Arena haben wir eine Führung gemacht, wo wir die Umkleideräumeund Schulungsräume gesehen haben. Durchein Blickhinterdie Kulissen, haben wir viel Neues und Interessantes gelernt.

Die Reiseleiter warsehr freundlichund extrem hilfreich, und verbesserte die Reise! Am Ende des Tages, sind wir zu dem Seegefahren, und in dem Seegeschwommen.

Wednesday

Der Tagbegann um halb acht in der Schule.Wir sind mit dem ReisebusnachSchwangau gefahren, einem schönen Dorfinder Alpen. Danach,besuchten wir “Museum der Bayarische Könige” und wir hattenein Audiotour über die Geschichte der Familie von Louis II.Nachdem Mittagessenvor dem Seegingen wir zu Schloss Neuschwanstein.Esgab eine tolle Aussicht auf das Schloss von der Brücke aus und wir haben viele Fotos gemacht. Dann gingen wir in das Schloss hinein. Der Reiseleiter zeigte uns das Schlafzimmer des Königs und die schöne Bilder. Wirerfuhren viele Sacheüber den König und sein Leben. Ichdenkedie Wohnzimmer war am schönsten.

NäschterHalt war die SkischanzeinGarmisch

On Monday,we met in schoolfor the first time.Wethen travelled by train with our partners to the AllianzArena, although Edwardforgottoget off the train!

At the Allianz Arena,wehad aguided tour,wherewe saw the changing roomsand training rooms. Through alookbehind the scenes, we learnt alot of newand interesting things.

Thetour guideswereveryfriendly and extremelyhelpful, whichimproved the trip! At the end of the day, we went to and swam in the lake.

Theday began at half 7inthe school.We tooka coach to Schwangau, anice town in the Alps.Then we visited the “MuseumoftheBavarianKings”andwehadanaudiotour aboutthe historyofthe family of Louis II.After lunch in frontofthe lake,wewenttoCastle Neuschwanstein Therewas agreat viewofthe castle from the bridgeand we tooklots of photos. Then we went inside the castle Thetour guide showedusthe bedroomofthe king and the beautiful paintings.We learnt manythingsabout the king and his life. Ithink the living room was the nicest.

Next stop was the ski jumpinGarmischPartenkirchen.

118 –Olavian 2019

Partenkirchen. Wirhatten ein sehr informativen Reiseleterder uns alles über die Winterolympiade erzählte.Die Sprungschanzeist neunundachtzig Jahre alt und ist 125 mhoch.Die Winterolympiade 1936 fand in der GarmischPatenkirchen statt. Der Spitzewar sehr hochund gruselig,aberdie Aussicht war atemberaubend

Der Reisebus brachte uns züruckzum Stanberg und wir gehen mit unsere Austauchpartner.Eswar ein langer Tagund wir waren alle müde.

Wirhatte ein tolles Tage in die Alpen.Danke!

Daksh Mehta

Thursday

Der TagimDeutschen Museum und im München –

Zuerst hat unseren Donnerstag im München angefangen und dortsind wir ins Deutsches Museumgegangen. Während unserer Zeit im Museum habenwir ein Kaffeeausstellung besucht. In dieser Kaffeeausstallung haben wir viele Infos überKaffee gelernt und auchdie teuerste Kaffeemaschine gesehen.

Danachhaben wir aucheiner Blitzvorstellung gesehen und es war sehr spannend (aber auchlaut)! Der Moderator hat viele Experimente ausgestellt, wie eine Fangstangearbeitet.

Dannhaben jeder von uns ein Eis gegessen (vielen DankFrauProbodziak!) und im Park gechillt. Wenn das Wetter besser gewesen wäre, hätten wir mehr Zeit im Park verbracht, aber es hat geregnet und sind wir abgegangen nach dem Münchener Stadtzentrum, um unserer verbleibenden Freizeit dortzuverbringen.

(Wir habenauchden schöne Münchener RathausGlockenspielimMarienplatz gesehen.)

Im Marienplatz haben viele Leute Geschenke gekauft und einigeMenschen haben Geschenke für die Lehrer/ Lehrerinnen, sicherstreckend von eine lebensgroße FlamingoKuscheltier bis Käse

MatthewTodorov

Friday Am Freitag verbrachten die Schüler den Taginder Schuleihrer Austauschpartner –Gymnasium Starnberg. Die Schule beginnt um sieben Uhrvierzig,und endet auchfrüh. Die Meinungen von den Englischen Schülerndarüber waren gemischt. Manche kamen mit dem frühen Aufwachen gar nicht zurecht,andere fanden es schön, dass sie frühernachHausekamen,weilsie sichspäter mit ihren Freunden treffen könnten.Die

We hadaveryinformativetour guide who told us all about the winter Olympics.Theski jumpis98years old and is 125m tall. The1936 Winter Olympics were held in Garmisch Patenkirchen. Thetop was very high and scarybut the viewwas breath-taking.

Thecoach tookus back to the Stanberg and we went with our exchangepartner.Itwas alongday and allof us were tired.

We hada great dayinthe Alps.Thanks!

Theday in the German Museum and in Munich

Ourday started in Munichand we went to the German Museum.Duringour time in the museum, we visited acoffee-installation/exhibition. In the exhibitionwe learnt alot about coffee and also saw the worlds most expensivecoffee machine

Afterwards we saw alightningpresentationand it was very exciting(but alsoloud)! Thepresenter preformed manyexperiments, suchashow alightning rodworks.

Theneachofusateanicecream(thanksFrauProbodziak) and chilled in the park. If the weather was better,we would havespent moretime in the park, but it rained and we lefttogotothe Munichcitycentre, in order to spend our remaining free time there.

(Wealso saw the beautiful MunichCityhallChimein Marienplatz)

Manypeople also bought presents in Marienplatz and afew people bought presents forthe teachers, ranging from alifesized flamingocuddly toytocheese.

OnFridaythe students spentthe dayinStarnberg grammar school with their exchangepartners.Theschool began at twentytoeightinthe morningand ended early as well.Opinions of this were varied, as some people could not stand getting up anyearlier,while others preferred it due to the prompt departure, as it enables youtodomorewith friends. TheGermans also did not need to wear school uniform, whichthe English found strange. Therewere five lessons with twoquarter-hour

Olavian 2019 –119

Deutschen mussten auchkein Schuluniformtragen,und das haben die Engländer seltsam gefunden.Esgab fünf Unterrichtstunden mit zwei Pausen inzwischen, die je fünfzehn Minuten dauerten. Es war gar nicht einfach, alles zu verstehen, aber weil die englischen Schüler die Sprachewährend der Wochebesser kennengelernt haben, könnten sie die Mehrheit des Unterrichts verstehen

NachderSchulehattensiedenAbendfrei.MancheLeute sind nach München gefahren, um Sehenswürdigkeiten zu besichtigen –zum Beispiel, das Residenz Museum, wo die KönigeBayerns gewohnt haben. Anderehaben den Abend in Starnberg verbracht, wo man den Palast der berühmten bayerischen Königin ‘Sisi’sehen kann, oder vielleicht den Sonnenuntergang überdem atemberäubenden Seezum letzten Mal genießen.

Dutch Exchange

We welcomed students and teachers from Helinium Bilingual Collegeinthe Netherlands. Dutchstudents were accompanied by their buddy students from St. Olave’sand this provided an opportunityfor them to exploreeachother’s culture, language, educationsystem and food.

breaks in-between.It was by no meanseasy to understand everything,but owing to the better knowledgeofthe languagethe studentshad gained during the week, they managed to understand the majority of the lessons’ content. After school therewas an evening of free time.Some studentstravelled to Munichtosee attractions suchas the Residence museum, whereBavarian kings used to live. Others spentthe evening in Starnberg,whereyou cansee the palace of the famous Bavarian queen ‘Sisi’, or perhaps enjoythe sunset over the breath-taking lake for the last time

120 –Olavian 2019

Humanities

TheFaculty of Humanities

2018-19 was asuccessful, largelystable year forthe Humanities Faculty. Under the leadershipofJohn Greenwood, the facultycontinuedtoorganise an ever expanding plethoraofextra-curricularventures and trips witha particular focus on the introductionand utilisation of newtechnologyinthe form of iPadsand the use of appsfromthe Office 365 suite. They havebothhelped to develop pedagogywithin the facultyand alongside the facultymagazine,the Humdinger,theyhighlighted the imaginationwhichunderpinsthe faculties success 2019-20 willmarkthe first since Margaret Thatcher wasPrime Ministerthat the facultywillenter anew academicyearwithout David Craig at the helm of the Classics department! While he willbesorelymissed

by students and staff alike,Alexander Carrollisalready filling his considerable shoesand 2019-20willsee the facultycontinue to flourish includinga reviewofthe Humanities Facultywhichitwilltacklewith customary imaginationand diligence

122 –Olavian 2019

TheDepartment of History

“The Government cannot just be consumed by Brexit. Thereissomuchmoretodo.”- Theresa

TheHistorysectioninthe Olavian often begins with a quote and in the year 2018-19 nothing could be more appropriate than something Brexit r/`elated! At the timeofwriting aconclusiontoBrexit stillhas not been found and it looks even less likelythatone satisfactory to amajorityofthe populationwillbeconjured! Only timewilltellhow historians willreflect on oneof the mosttumultuous and confoundingperiods in British history. While the countryatlargeisina state of flux, the arrival of Michael Wearntothe Historydepartment has provided furtherexperienceand stabilitytoits teaching ranks.Under the leadership of JennyCliftthe department diversified in 2018-19broadening horizons forKS3 students by beginning arevampofthe Year 7 and 8curriculums and introducing newtechnologyin the form of iPadstohelp develop newteaching ideas. Thedepartment enjoyedits customarysuccess in public examinations with both GCSE and ALevel students achieving outstanding results and the traditional Year 8 Battlefieldstripwas hugelyrewarding.While politicians continue to trytoplot acourse through avarietyofBrexit related dilemmas the History department willfocus on developing its provisionina rangeofdifferent ways!

Battlefields

Year 8students remembered FC McKenzie,great great uncle of current Olavians, Year 8student,William, and Year 13 student, James,who died on 22 August 1918 and who is buried at DernancourtCemetery. Students visited the BattlefieldsofBelgium and NorthernFrance and hadthe opportunitytopay their respects,not just to relatives, but to the Olavian ‘Fallen’.

Going back some thirty years the school would go annually to Sheffield and Cromford,tostudy the development of the steel industry, and the cotton mills, then move to Manchester to see the use of canals to transport bothraw and finished materials. Alongside this trip thereweretrips To Battle whichgradually morphed from being specificallyhistorywith visits to Deal, Doverand Hastings Castlestosomethingmuch

morecross-curricular. We would go to Herstmonceaux Observatory, sketchthe old harbour in Hastings, collect algaeonthe beach,and reliveDickens in Rochester The Medwaytownprovided us withmuchhistorical material not least climbing up the Norman keep,brass rubbing in the Cathedral or dressing as apilgrims,spotting Dickensian businessesinthe High Street suchasthe ‘TheTaleofTwo Curries’ and being aghast at the prison hulk experience.All the while we stayedinPikeHouse in Battle whichnow has been turned into the boarding house of aprivateschool. Those with even deeper memories willremember acentre we used in Hastings itself whichnow has been demolishedand turned into a housing estate

One constant has been the visittothe WorldWar One Battle sites. On allthese trips the studentshavealways been impeccable in their behaviour.They havevisited the manyand terrible war- graves sites and havebeen moved genuinelybythe enormityofthe number of menonboth sides of the conflictwho havedied.They havevisitedthe Somme,Ypres and the Canadian Warmemorial and theyhavehad the merest sample of the foul conditions of the trenches; the mud, the duckboards, the uniforms and even their LeeEnfieldrifles. Boys havewornthe equipment of the 1914-18 Tommy and allofthis has been brought to lifebythe brilliant guides manyofwhom haveservedinrecenttimes in the armed forces. Some pupils havebeen in apositionto find the headstones of distant relativesand allhaveheardthe last post.

Olavian 2019 –123
DanielEspejo
124 –Olavian 2019
Olavian 2019 –125

The Department of Geography

Ithas been another successful year in Geography where students havebeen able to exploreand experience a rangeoftrips and topics. Students’ knowledge and understanding of the worldhas continued to be pushed and expanded, exploring the conflicts over water in Sudan, the sinking islandsofthe Maldivesand the sustainable cities of China, to name but afew case studies. To supporttheir learning as usual Geography has offered aplethora of field trips to students; visiting the Ashdown Forest, Eynsford, Seaford, Croydon and sites around Orpington. As well as being afantastic dayout, these trips haveenabled students to see what Geographylooks like in the real world, further develop their ownpersonal Geography and work with their classmates in adifferent setting Theinnate curiosity of Olavian Geographers has beendisplayedinthe fantastic piecestheyhavewrittenfor the newhumanities faculty magazine,the Humdinger,suchasonthe Mercator Projection, and theyhaveexamined arange of topics as partoftheir IndependentInvestigations in year 13 includingthe impacts of Park Run, the link between green spaces and mental healthand the influence of tourism on the sustainabilityofUKbeaches. As aresult of the students’hardwork, dedicationand scholarship Geographyonceagainexperienced examinesuccess, with GCSE resultsbeinga highlight with 93.9%of students achievedgrade 9-7 and 50.5% achieving a grade9.Withsuchanenthusiastic and engaged cohort of studentsweare canonlywonder what the future holds forour Geographers!

the classroomand further enrichtheir understandingof coastal geography.

Orpington

Beforehalftermyear10geographers embarked on their human geography fieldworkexploring howways of lifevaryaround Orpington. Thestudents visited a numberofsitesrecording the numberofpedestrians, the environmental quality and observations on housing types and services on each area beforeaskingmembers of the public to complete aquestionnaire to aid their investigations. Studentsthen worked hardinthe afternoontoprocess their data and were able to clearly see howwaysoflifeamongst the local populationvary so much in sucha smallarea.Theboysbehaviour on the trip was exemplary and theywereable to learnthe vital skills theyneeded fortheir GCSE exam.

AshdownForest

In April2019 year 9students embarked on their annual trip to the Ashdown Forest to exploretheir Distinctive Landscapes GCSE topic in the year world. Thankfully this year theywereblessed with fantastic weather which enabled studentstoappreciate the landscape in allits glorywhen drawing a field sketchofthe area. Students then worked diligentlyingroups working the collect data on rivervariables,suchasgradient,width,depth and velocity, so that theycould examine howtheychanged downstream uponreturning to the classroom. Students quicklyreleasedthe flaws in the Bradshaw model when comparing it to their findings and were able to present and interpret their data in detail as partoftheir extensive write up Thestudents were acredit to the school,and we lookforward to taking them on their next trip in year 10!

Activity Week One- VisittoFarningham and Lullingstone

Seaford

In October 2018 year 12 students travelled to Seaford to put theircoasts knowledgeinto practise to answer their ownselected question‘To whatextentiscoastal management at Seafordeffective’.Students started by completing acliff top sketchofthe headlands and bays beforewalking the length of the beach groyne and completing aseries of beach profiles. After ahardday collecting data students were bought averywell-deserved ice cream to enjoyinthe sunshine beforereturning to school.Thenext daystudentsworkedasa team to present and analysethe informationtheycollected and draw logical conclusions. Overall, it was afantastic daywhere students were able to gettoknowone anotheroutside

On Mondayand TuesdayofActivityWeekYear7 pupils travelled to the Kent countryside to observe and gather data fortheir ReligiousStudies and Geography end of year assessment. Pupils walked between the picturesque settlements of Farningham, Lullingstone and Eynsford examining the historyand symbolismofdifferent churches as well as the historic and modern daysiting factors foreacharea.Overall,it was afantastic daywhich allowedstudents to applytheir theoretical knowledgein the real worldand exploresomeamazing newlocations in glorious sunshine

126
–Olavian 2019
Rhiannon Smith Head of Geography
Olavian 2019 –127

TheDepartmentofClassics

In428 BC Euripides composed the tragedy ‘The Hippolytos’. Theprotagonist is the offspring of Theseus and the Queen of the Amazons, Hippolyta. He is also an outsider, enclosed in his worldofthe hunt and his love of horses, and aworshipper of Artemis. Falsely accused by his step-mother Phaedraofanunspeakable crime,heiscursed. Thewretched Hippolytos, driven into exile suffers aterrible and humiliating sparagmos on the coast road out of Troezen. Renderedapartbyhis ownhorses he is delivered just alivetohis remorse-filled father.Thetales of Phaedrahavetheir consequences.

Such atragedy as this has been the essence of my teaching and my colleagues formanyyears at this school: thirty years and three months in fact. When Iarrived the remarkable and brilliantRosemary Lukas was Head of Classics and oneofthe very fewwomen on the staff along with Jean Abdalalhi, the Head of French. Nowfor the better the staffroom has, Isuspect, more women on the staff than men,thoughI am prepared to be corrected on this matter.Wealso havegirls in the Sixth Form who havetransformed the school and makeitwithout doubt outstanding.

Imyself havementored and seen agoodnumber of classicsteachers at the school.Therehavebeen interalios David Hopkins, Greg Cook, SarahLatcham,and not least Alexander Carroll. My nauarchyhas nowended, and Alexander has his hand on the rudder.Hewillbe joined by Dr AlessandraAbbattista. Both arebrilliant classicists and outstanding teachers.Iamdelightedtosee that Alexander has already started to make changes and place his markonthe department.He has beenthe most wonderful colleague and asset to the school. Alessandra Abbattista has taught at university and secondarylevel and brings real Italian flair to the department. Ithink she willbehugelysuccessful here.

Ihavebeenveryfortunate in having taughtsomany superlativestudents over the years and with some prejudice Iremember some especially.Andrew Corstorphinehasbeenuniqueinthathisweddingwasthe first of my students Ihaveattendedand havingattained aFirst at King’sCollege, Cambridgeheisnow on the SLTofTrinitySchool in Croydon.William Dudley and Chris Tudor both achievedFirsts at Brasenose College Oxford and haveremained in contact and on hand for advice.Chris Tudor is the co-founder of the brilliant Massolit on-line resources platform. So successful is it that it is widelyused nationally.Itisnosurprise that someone whoissoastonishinglycleverwould produce

something so helpful. Peter Leigh the very essence of the Renaissanceman has been incredibly supportiveand is nowstudying forhis PhDatColumbia in NewYork after distinguished timeasa choral scholar and organist at NewCollege, Oxford.Manyhavebeen delightful in so manyways. Ben Cole formaking me laugh and being so brilliant at rugby; Max Lewthwaithefor being acomplete genius at Bristol and carrying off aprize for being the best student in the whole universityand if for onemoment youthought that Ihaveonlytaught brilliant boys youwould be whollywrong.I number among the very best classicists Louise McCadam, RachaelApps and KittyPring.Nearlyall my classicists havebeen utterly delightful.

Amongmypast Classicists manydid not read Classics at universitybut havebeen immenselysuccessful. Fintan Calpin achieveda First in English at Oxford and is now awell-known poet; his work is utterly wonderful. Read it! Asher Leeks,who sharesmypassionfor ornithology, teaches in the DepartmentofZoologyatOxfordand is fondly remembered always forhis impressionofZeus while on the Greek Trip.James Kemptonisalso doing his PhDatOxfordwiththe helpofavian raptors. We also stilldiscuss ourbirdsightings and favourite reserves. ThepointisthatgoodLatinistscan do awhole rangeof things and proceedtothe highest level.

Over the manyyears the annual Classicstrips haveplayed ahugepartinmylifebringing great joyand memories both to myself and my wife. We havevisited Sicily, Turkey,Tunisia,Italyand Greece manytimes. We have instituted the alternativecabarets with nights of sketches songs and dance Therange and depth of our students’ abilitiesisastonishing. Forthese trips Ihavetothank my very good friend Craig Giles who suggested we went off fora week in Greece on the cheap.Westayedinvery humblehotels and went everywherebypublic transport but the seed of agoodidea was sown.Thenewer trips are alittle moreupmarket but we owe agreat debt to Craig Ihaveseen sitesofunequalled beauty and interest. I haveprided myself in taking the pupils to some different places each year in Greece suchasRhamnous, Oropos, Brauron and Efyras. Going furtherbackI stillrejoice in Thuburbo Maius in Tunisia,the astonishing Villa Armerina in Sicilyand Smyrna in Turkey.

Iwant to draw attentiontothe incomparable work done by John Greenwood whoseimpeccable leadership of the Humanities Facultyhas beena joytobehold. His sagacity,foresight and wisdomhavebeen amodel to us all

128 –Olavian 2019

especially in times when the trireme was catching crabs. It is colleagues suchasJohnwho have made working at the school so worthwhile.

My best wishes to my friend and colleague Alexander Carroll whose brilliance willmake the department thrive. He is possessed of incredible abilities and charm.He will do averygoodjob indeed.But my greatest thanks goes to the pupils of St.Olave’swho havestudied this subject so assiduouslyand haverealised howjolly good it is.

TheClassics Trip to Greece 2019

This year’s trip was the last taken by myself and my wife. We think we havedonesomethinglike twentytrips with the school and Greece has always been afavourite destinationnot least because good hotels canbefound forreally decent prices and thereare ahugenumber of siteswhichcan be visited.Everyyear we haveseen places whichare newtousand this year was no different.

Thetripfromthe outset was not without its difficulties essentiallybecause we hadacoach driver who seemed to be bent on becoming lost. He was abrilliant driver in that he negotiated mountain paths and very scarybridges but essentially he did not knowwherehe was going.Had it not been forushaving ‘Google Maps’ on our phones, the destinations maynever have been reached and on oneoccasionthe destinationofMessene,myfavourite site,had to be missed because he haddriveninthe wrong direction.

We haveanexpressionin our houseand that is the ‘Rhamnous moment’whichessentially implies coming to anew site whichprovestobe so exceptional it becomes ametaphor fora delightfulsurprise This year we have adouble Rhamnous in the archaeological museum of Nikaiopolis and the brilliant cityofKassiopi.

Letmestart first with Nikaiopolis. This was a victorycityasits namedenotes built by Augustus to commemorate his defeat of the fleet and armies of Antony and Cleopatra. It is just ten minutes north of the cityofPreveza.AtNikaiopolis thereis amassive theatreand Iwas reminded of the passageinAeneid One whenAeneas and the faithful but eminentlydull Achates stand at the top of the hilloverlooking the constructionofCarthage. They see roadsbeing marked out with ploughs,a law court, an odeionand lastlybut by no means least atheatre. Therewereother overlaps herewith the Aeneid, predominantlyinBookFivein the ‘Lusus Troiae’ whereAeneas institutes aboat race to commemorate the passing of his father Anchises and elevate the mood of his men after the horrors of Book Four These games were directlydrawing on boat races that Augustus held at his victorycity.

Theadjacent museum has much memorabilia from the battle not leastthe ‘rostrum’orbattering ramfrom Cleopatra’s ship.Augustus built amassive rostrum at Nikaiopolis with the captured rams from the sea battle of Actiumprotruding from the frontofthe structure. Therewerealso ahugenumber of deitiesnot least one of ‘Athene the orator’, an epithet whichIhad not seen

Olavian 2019 –129
Kassiopi

appended to Athene before.

Thesecond ‘Rhamnous moment’was the 4th centurycity of Kassope.It was immenselydifficult to find and perched very high up in the mountains with aHippodamean town planning system. It hadthe most superbly maintained ‘katagogion’ or hostel and twotheatres. Theviewover the Ambracian gulf was stunning. Thewhole site was awash with the smellsofwild oregano and garlic. The lady at the entrance gateannounced that we were the first English school party she hadeverencountered.

Less attractivewas the wild rush we made for Thermon whichhas an unusual temple in that it is aligned along the North-Southaxis rather than South-East Theonly timeIhaveseen this beforewas at the temple of Apollo at Bassae. Themuseum herewas fullofthe most highly decorated antefixesand the tinytownitself was most attractivebeing built round asmallsquare.

After the visits to the more northerly sites we returned to the morewell-known, namely Delphi, Olympia, Mycenae,Epidauros, Corinth and Athens. Thestudents tooksomething awayfromall these places not least memories of searing heat, or seeing Mr Craig being allowedtohandle ablack figurepot freshlyexcavated from atrenchinfront ofthe tholos or Thymele at Epidauros, visiting Olympia and its Museum when hardlyanyoneelse was present and visiting my friend in the souvenir shop who everyyear launches into a debateabout politics. This year it was about Brexit and the electionofKyriakos Mitsotakis, the newPresident of Greece.

Iwant to end with some caveats formysuccessor and anyone wishing to visit Athens. Entry nowtothe Acropolis is becoming very tedious and very expensive. Once youare at the top youare permanentlybustled by hundreds of other groupsand beingin no position whatsoevertosay what youwould like beforebeing asked to move on and stop blocking the route Theplace is awash with selfie-takers, whistle-blowing guards and accumulated dust. If youwish to see the Parthenontake yourself up to the roof restaurant of agoodhotel such as the Herodian, eat ameal, haveaglassofsomething refreshing and lookatthe site in peace.Ifyou are in Athens go to the Agora, then the NewAcropolis Museum whereyou havethe best collectionofmaterial suchasKritios boyand afterwards haveagoodslab of chocolate cake and coffee in arestaurant overlooking the Acropolis.

Thus formethe trips to Greece with St.Olave’shave come to an end and Ithink Iwillprobablynot go back forsometime because Greece without the pupils would neverquite be the same.I knowthat Iwould be

also rather nervous of negotiatingsomeofthe hairpin bends in some hirecar and the thought of driving in Athens would havemereduced to ajelly.Ultimatelythe Classics Trip is made wonderful by the pupils who are without exceptionextraordinary.How manyteachers cansay that theyhavelistened to Chopin being played by oneoftheir studentsinahotel to the rapt attention of American guests? Howmanyteachers canproudly

130 –Olavian 2019
Nikaipolis Dodoni

and discretelysay that theirpupils knowmorethan most of the tour guides theyoverhear? Formy partIknow that St.Olave’spupils arewithout questionthe bestof individuals.

Classics Society

We returned to Greece witha smalland highly enthusiastic group of Classicists visiting severalnew sites this year on the Classics Trip to Greece: Nikaeopolis, the NecromantionatEfrya, Thermon, Kassopiand the seat of Zeus’ divination at Dodona. Within school, the Societyhas looked at the godMars and Roman naval warfare.

Classics Journal

Congratulations to Editor,MrCraig,and Year 13 Student Editor,Oliver Wright-Jones, on the production of the first St.Olave’sHumanities Department Journal, ‘TheHumdinger’. Itreveals the most exceptional essay writing of the students of the school including past Classicists suchasMax Lewthwaite and, in some cases, the staff within the Faculty.Their writing is very much a product of the Olavian outlookand mentality.

2019 –131
Olavian

The future is not open;we havenoability to changeit; and it is with dismay thatweshould greet this news. So says contemporary philosopherTedHonderich,in his Theory of Determinism.Whathemeans is that, since our minds areultimatelyphysical, theyare subject to the laws of cause and effect just like everyother physical thing.And since everyother physical thing is entirely predictable,soour minds would be entirelypredictable if only we could knoweverything aboutthem. What will be willbeand we can’tdoanything to alter the fact.

IsupposeI ought really thereforetotellyou that what happened in 2018-2019 was entirelyaspredetermined by the laws of nature.One thing led inexorablyto another as it was always destined to do.Human free willplayednorealpartinthe process other than as an illusoryconcept to hoodwink us into thinking we have some credit forwhat tookplace.

So forany reader who has aGod’s-eye-viewofthings and was able to predict withutmost certaintythe exact outcome of everydecisionin2018-2019, youcan skip the next bit: it willonlytellyou what youalready knew.

Foreveryoneelse,the selected highlights areasfollows.

Firstly(and Iput this first because if youhavea short attentionspan and only make it halfway through the article,I wouldn’t want youtomissthe thing of which I’mmost proud), exam boardOCR sent the schoolan email in the summer to saythat ALevel student Sofia Cotterill was the top-performing ALevel Religious Studies studentinthe country. I’mgoing to labour the point alittlefurther. In ALevel RS,students are required to write aseries of nine 40-minute essays, each of whichismarked out of 40 and the standardis fiendishlyhigh. TheStOlave’s Year 13 RS class were a wonderful bunch,ajoy to be with,and anumber of them scored the very rare 40/40 forone or moreoftheir essays. Sofia,though,scored 40/40 forher first essay,then 40/40 forher second essay, then40/40 forher thirdessay, then repeated the feat forevery oneofher nine essays.More than 8,000 students sat the RS exam,some of them from very expensiveand prestigious schools with very small classes and buildings like Hogwartsand teachers with lots of letters after their names, but averyhard-working, polite and unassuming Olavianwas the best

Secondly,the Religious Studies Department passed somethingofa milestone in its history, beingforced to expandfor the firsttime ever from onetotwo Year

The Department of Religious Studies

12 classes, teaching atotal of 40 students.Weare very grateful to the efforts of Mrs RachaelBoyden, whoin joining the department has enabledthis challengetobe met. Fora ReligiousStudies Departmenttobeteaching multiple classes at ALevel is allverydisorientating.I haven’t gotusedtoityet.

Finally,a newdevelopment(althoughifyou areblessed with the aforementioned God-levelofforesight you willhaveseen this coming) was that we tookYear 9toa Hindu temple in ActivityWeek2.Ifever you’re in Neasden, Irecommenda stopatBAPSShri Swaminarayan Mandir.Itisverymuchlike apiece of India, dropped somewhat incongruouslyinto Londonin sight of the WembleyArch. In fact, it would be more accurate to saynot that it is very like apiece of India but rather that it is apiece of India. It is adorned with 26,000 stone hand-carvings made by craftspeople in India and shipped 6,000 miles to the UK, whereuponit was put togetherratherlike agiant jigsaw puzzle.Year 9werelucky enoughtovisit in time forthe morning worshipservice and then spent afascinating fewhours encountering an ancient and rich religious tradition. It has beena gap in the RS curriculum fora fewyears that we haven’t coveredHinduism (a crowded curriculum is partially responsible), so Iwas happytobeable to go some waytoredressingthe balance.Weare also introducingsomelessons on Hinduism into the Year 7 curriculum, whichI am very pleased about.

So at the end of awonderful year and as we looktothe next, should we,asHonderich would haveit, consider with dismaythat our stories are fixedand that we are nought but cogs in aceaseless celestial machine? The 17th Century philosopher John Lockeponderedthis matter of whetherornot, as he put it, “the willbefree.” Is my willfree, or is it driven by the inevitabilityof desire? If so,isitpossible,hewondered, to traceback the sequence of desirestosometruly free desirethat originates the rest?

In the end, Ithink it is probablyaccurate to saythat he did whatweall do in the face of thisquestion. He gave up and decideditreallywasn’t allthatimportant after all. “Thequestionisnot proper,whether the willbefree, but whethera manbefree.”Heargued. In other words, we cannever knowwhether our mindsare free,but we can consider whethera personisfree.

ForLocke,then, “inthis consists freedom:inour being able to actornot to act, accordingasweshallchoose

132 –Olavian 2019

or will.”Our freedom, he suggests, is in beingable to follow our will, whateverthe source of that willmay be

To the extent to whichweare able to do the things we choose to do,weare free; to the extent to whichour wills arefrustrated, we arenot free.Evena prisoner has the freedomtocross the cell; his freedomends when he tries to openthe door.

In the sense suggested by Locke, the RS Departmentis free and optimistic! We arepleased to saythat 20182019 proceeded moreorless in accordance with what we might describe as our unconflictedwill. If Icould have laid out my hopes forthe year beforeitbegan, it would almost certainlyhavelooked prettymuchasit turned out.

Liberation Theologyis amovementwhichattempts to synergise Marxism and Christianityinto asolutionto endemic societal problemsrelated to povertyand social justice,whichit blames largelyonthe Capitalistsystem. Many, suchasPope Benedict XVI (writing as Cardinal Ratzinger) havecriticised it from assimilating so much Marxist doctrine that it cannot be described as truly Christian, arguing that it logically leads into violent class struggle, hierarchydissolutionand materialistic focus on an earthyeschatonwhen the real aim should be spiritual perfection. However, this viewdoesn’t hold since Liberation Theologyborrowssolittle from Marxism that it is difficult to describe the twoasin any waytruly related –rather,itoccupies athirdposition between Communism and Capitalism whichprioritises spiritual rebirth and social equalityovermaterialist focus on capital.

Regardless,onemight argue that Liberation Theologians borrow too much from Marxsimplyinacknowledging his analysis –the logical extrapolationofthat beinghis praxis of class warfare. Karl Marxdescribed the worldas onedivided between atinyminorityofcapital-owning bourgeoisie (capitalists), and the overwhelming majority of the international proletariat, who areexploitedby means of wageslaverytoserve the needs of the capitalists. The1968 Medellin Conference of Catholic bishops in Latin Americaendorsed this perspective, insofar as it demarcated the worldbetween those poor,exploited producer countries in the Global South, and the rich, exploitativeconsumer countries in the GlobalNorth, the latter camp led by the United States whichwas at the time leading the Cold Warcharge against Soviet

communism.GustavoGuttierez supported Marxist analysis in his aboriginal volume of Liberation Theology in 1971,inarguing that “the poor persondoes not exist as an inescapable fact of destiny” –infact, theyare the product of adispassionate system that only benefits a fewatthe top,just as Marxbelieved. José Miranda and Leonardo Boff both agreed on this, accepting Marxist analysis as valid –indeed, Boff went so far as to saythat Christian worldviewdirects onetowards seeing it so Theproblemwith this is the intractable interconnection between Marx’sanalysis and his praxis, whichcannot be simplydigested piecemeal. Foronce oneaccepts that the bourgeoisie areruthless dominators drawing the life out of their lessers, and using perverse mechanisms of false consciousnesstodispel resistance,one islogically drawn to the need foraction; indeed, violent action. For Marxasserts that the capitalists willnever giveuppower without a fight, and thus class war is inevitable as soon as the proletariat see their plight forwhatitreally is.This battle he envisions is greater than the Russian or Chinese revolutions –itisaworld warbetween martialled armies of the different classes, in anigh-onDarwinian struggle forsuperiority.Marxcounts on the sheer numbers of the proletariat to ultimatelywin out so theycan establish an egalitarian utopia in the ashes of the old world. Once oneaccepts his analysis, this corollarypraxis cannot be neatlyparcelled away, whichofcourse leads Liberation Theologydowna dark, bloody path utterly anathema to Christian values. Cardinal Ratzingerargued that violent class war would runcountertothe dignityof humanity, as much as dignityfor the proletariat maybe its aim –this is exemplified in the countless dystopian regimes that haveemerged from the embers of violent revolution, suchasStalinist Russia and Maoist China that boreregimes whichkilled an estimated 100 million people altogether,cast countless moreinto prisoncamps and reducedyet moretomindless drudgeryinthe service of an all-encompassingtotalitarian state. These ends, of course,take no heed from Exodus 20: “donot kill”.But nor,ofcourse,does the class war itself –for these brutalends areonlymet by equally brutal means. To make an enemy of awhole social group is rightly criticised by Ratzinger as incompatible with Genesis 1, in whichnoreservations aremadeinexpressing that humanityis“made inthe imageofGod”, and indeed Leviticus 19: 18 in whichman is commanded to “love your neighbourasyourself”– ironically,Guttierezwould cite this principle (via the medium of its recurrencein the parable of the Good Samaritan) to justify Liberation Theology, when it in fact servesasanarguable debunk. Even if onegoessofar as to label the capitalists as an enemy, in Matthew5:44Jesusorders man to “loveyour enemies”, showing that to accept an analysis from which ruthless retributionagainst class enemies areinevitable is distinctlyun-Christian. Rather,man ought to “turn the other cheek”asper Matthew5:38, because “who lives by the sword, dies by the sword”,according to

Olavian 2019 –133
“Does Liberation Theology borrow too much from Marx?”

Matthew 26. Since violationofall these keyprinciples is intrinsic to Marxist praxis, whichin turnisalogical follow-through on its analysis whichthe Liberation Theologians so enthusiastically scooped up,itseems apt to describe Liberation Theology has borrowed too much from Marxism.

Furthermore, it might also be argued that Liberation Theology is un-Christian in its assault on hierarchies, as expressed in the development of ‘base communities’ through revolutionaryLatin America. Thesewere, in effect, peasant collectives orientedaround the local clergy,who form grassroots powercentres that organised educationand social development independent of any central government. Theclergyinvolved areoften of a law unto themselves, as men of their foremost rank such as Leonardo Boff criticised the hierarchies involved in the Catholic Church as “fundamentalist”. From what it takes of Marxist analysis, whichcriticises allhierarchies as artificial products of the capitalist system,Liberation Theology is clear in its rejectionofhierarchies; its ideal societyevidentlysomeformofworldwide applicationof the base communityprinciple,bywhichitconsiders the international plight of the proletariat willbeultimately relieved. Of course,this comes into extensiveconflict with the established order of the Catholic church,in whichthe Pope is supreme and thereisa network of delegations and jurisdictions that, if followed, leave little room forself-governing base communities. That, as aforementioned, manyLiberation Theologians have spoken out against this arrangement further accentuates this –Leonardo Boff was ultimatelyexiled from the Catholic Churchfor it.Fromthis thereislittle doubt that Liberation Theologyborrowstoo much Marxism to be Catholic specifically, and thereissomeevidence to suggest that the abolitionofhierarchies runs against Christianity too.For example, in Luke 14 Jesus warns “[not to] take the place of honour,for apersonmore distinguishedthanyoumayhavebeeninvited”,indicating that codes of deferenceought to be heeded,rather than subverted as the Liberation Theologianswould havethem.Crucially,Romans 13 callsonmankindto “let everyone be subject to the establishedauthorities”, and Peter 2to“fear God,honour the emperor”, which rather undermines the revolutionarypretensions of the base communities, since theirentirepoint is to offer an alternativetothe established authorities, and indeed any authority figuresone might identify with an ‘emperor’. From this, thereis astrongcase that the resistance to hierarchies intrinsic to Liberation Theologyisatodds with actual Christian teaching,and that consequentlyit borrowstoo much from the Marxist analysis in which suchideas originate

In spite of allthis,Liberation Theologyultimatelydoes not borrow too much from Marxism –for the reason that it does not really borrow anything from Marxism.

Forasmuchasthe Liberation Theologians mayclaim to accept Marxist analysis, theyincorporate suchalibrary of caveats that the end result is acompletely distinct ideologywhichbears no resemblance to orthodox,or even derivativeMarxism.Inturn, this avoids the praxis trap whichwould draw its followers into violent class struggle.For instance,GustavoGuttierez described “structural sin”asthe primaryissue facing society–rather than the structural povertyhighlighted by Marx. This is acritical distinction, since it completelychanges the issue from oneofthe property-based corruptionofthe capitalistclasstoanAugustineancritiqueoftheindustrial capitalist system, epitomised by José Miranda’s account of the fallen natureofmankindasthe problem –not propertyownership per se This is vitalfor transforming the bourgeoisie, who Marxidentifiesasvillains, into victims of sin, just as anyone else is, and is an expression of Christian universalism over Marxist intersectionality. It is asuresign that the root of Liberation Theologyis the Bible,rather than Das Kapital, only strengthened by Leonardo Boff’s argument that onecan only reach the Marxist analysis via aChristian judgement on what is and isn’t amoral state of being.Ofcourse,such aChristian judgementwouldbetaken by Marx as emblematic of false consciousness, since he denounced religionasbut atool of the capitalists to distractthe proletariat with existential wanderings –the “opiate of the masses” –and made its inherent evils keytohis analysis. Yetthe Liberation Theologians claim to have reached his analysis through the Bible,and seek to tackle povertyand class divides by the same avenue.

Hereaninterlude is necessarytobuttress the case for the actualsubstance of Liberation Theology, found in the Bible. It arguesfor a“Good Samaritan Church” that would provide preferential treatmenttothe poor in aid of making the worlda better place,bymeansof base communities. This is, obviously, propped up by the Parable of the Good Samaritan in Luke 10, in which apriest and Levite –two symbols of the establishment in ancient Israel–ignore alanguishing traveller dying by the side of the road,beforeaSamaritan putsaside his historicgrievances with the Jews to savethe man. Guttierez envisioned aChristian communitywhich would actinthe manner of that Samaritan to help the poor and left-behind in aLatin Americacontrolled by despotic and corrupt elites, whichwouldlevel the playing field but avoid actual violent revolution. This is supported in Luke 18, with the Parable of the Rich Man, who cannot go to heaven unless he forfeits his possessions, showing that societymust transcend wants of material ownership in order to getcloser to Jesus. Matthew 19: 24 meanwhile puts it that it is easier to fitacamel through the eyeofaneedle than forarich man to enter heaven, and Matthew24’sParable of the Banquet shows the value in respect forthe needy and poor by sharing one’sriches with them –voluntarily.This

134
–Olavian 2019

certainlyagglomerates into apressurefor dramatic social change,includingredistributivemeasures and devolution of powerthat manywoulddescribe as libertarian socialist, but to describe it as Marxist certainly misrepresents the fundamental forces at play.That the poorare envisioned as astrata to be helped,rather than amonolithic army of the subjugatedthat bestraddles the extra-capitalistworld is one, critical distinction.That help of onegroup,rather than destructionofanother is the extrapolated end-goal betraysthe wholly different process of analysis, derived from God’s paternalismasthe Father of humanity,and the intrinsic hierarchies within even the most simplified Christian basecommunities –for even in those thereare priests who remaintorun theshow. However, perhaps the most fundamental difference between this,Christian analysis and that of Marx is that Liberation Theology ultimatelyascribes no inherent value to material wealth. Therichmanmustforgohispossessionstogetintoheaven because their ownership standsinhis wayofsalvation. Theaid of the Samaritan finds worthonlyinthe spirit of whichitisgiven.This is aspiritualistviewofsociety, and Marxism is anything but spiritualist.Marxism is entirely preoccupied with material wealth, and it is forthat reasonitdetermines that the bourgeoisie must break the capitalist oligopolyonits ownership Theend-state of acommunist societyis utopian purelyfor the capacity of men to owneverything communally,although in practice this would amounttoowning nothing.For Christianity, in which“love of moneyisthe root of all kinds of evil”, and the Liberation Theologians suchas Mirandawho feared aconsumerist mankind bent on the accumulationofwealthasanidolatrous alternative to religion, suchanemptyeschatonisanathema to the KingdomofHeaven. Indeed, Guttierez described the Kingdom as oneaccomplishedbyacts, rather than acquisitioneither on an individual or collectivescale Thus, Liberation Theologyreaches the conclusionthat the capitalists arenot inherentlyevil fortheir ownership of capital, because ownership is meaningless, and that theyare but victims of structural sin like everyone else –thus forming an alternativeanalysis whichbears only passing resemblance to Marx’s

Ontheseaggregatepremisesitisremarkablyunsurprising that the Liberation Theologiansnigh-onuniversally eschewedviolence,rejecting the Marxist praxis as aforementioned. This is because the Marxist praxis is uniquelytailored to its analysis, and that analysis simply doesnot exist in Liberation Theology,nomatterwhatits architects mayclaim.They haveinsteadreached, by their owndevices, aworldviewwhichMarxwould most likely labelthe most advanced end-state of false consciousness –anapproximationtohis critiques of social injustice within society, whichrefrains from his praxis owing to the moral qualms inherent to its religious roots, and so lacking the teeth to actuallydoanything This would be, of course,anextremelyharsh assessment of Liberation

Theology,and is the answer of everyorthodoxideologue to adivergent train of thought. But the fact remains that Marxism and Liberation Theologyare like apair of cars of similar bodyworktothe extent that from a distance theyare almost identical, but that on closer inspectionbear different chassis and engine.Unlike Marxism, Liberation Theology raises no qualm with the state of owning propertyasa rule,promotes the pursuit of religion(obviously) and as aresultdoes not call fora crusade to liberate wealth from concentrated ownership forwider redistribution. This logic is incompatible with Marxism, but entirelycompatible with Christianity. As aforementioned, Liberation Theology is what might be described as ‘libertarian socialist’, in that it promotes decentralised,proactivegovernmentworking primarily towardssocial justice and redistributionofwealth as ameans to articulate said social justice.However, unlike most manifestations of libertarian socialism,it is sufficiently firewalled from actual Marxism to earn distinctionasa thirdpositionin its ownright,outside both Communism and Capitalism,since most of its underlying conclusions aredrawn fromthe Bible and just so happen to havebeen shadowedbyMarxseveral centuries later.Themerits and disadvantages of this third positionare superfluoustothe questionathand: it is oneseparate from Marxism,and forthis reasonwillnot collapse into the destructivepraxis of class strugglethat runs so roughlyajar with the coreofChristianity.

To conclude,Liberation Theology does not borrow too much from Marxtobeconsidered atruly Christian ideology,since it essentiallyextrapolates Christian teachings alone into apractical framework with only rudimentarycomparisons of valuewith Marx.Its choice to forgomaterialism and insteadfocus on structural sin is keytothis, so forging athirdpositioninwhich ajust social order is promoted around Christian base communities, while class warfareisleftonthe shelf, for the good reasonthatitisamonstrous concept which requires the cannibalism of Christian thinking in order to accommodate it. Thelibertarian socialist model that results is oneoutside the Marxist canon, and forall the practical objections onemight raise against it, its ideological underpinningsare not in direct conflictwith Christianity forwant of too much Marx.

Unless you’re Catholic.

Olavian 2019 –135

THE HAJJ PILGRIMAGE:

Smith Travel and co willprovideyou a wondrousand amazing experience on your special Hajj pilgrimage. We promisea cheap and astonishing dealfromLondontoSaudi Arabia in just 6.5 hours in pure luxury. From there,a friendlyMuslim guide willcomeand pick you and your family in acoach. In 30 relaxed minutes, you willreach Mecca.Onthe way ,yourfriendly guidewillexplain allthe elements of going to Mecca and show you somebeautiful cities on the way! As you have to do the other rituals suchassacrificing animals, you willstay at anicehotel and will relax you from the busy atmosphere. When you are finished on your pilgrimage, you will stay on acomfortable flight and willhopefully be happy afterfinishinga oncein-a-lifetime journey Read

THE KE YE VE NT SO F YO UR JOU RN EY:

The first keyevent of your religious expedition is to reach the Mecca airportwith ahappyheartand also shave your hair with utmost care! The second keyevent is to go to Mecca and do the Tawafand Saey.The third keyevent to be spiritually free of sins is to go to mount Arafat. Next, it’sthe hotel and thenyou have to go for the devil stoning and The Eid al-Adha ritual. After you do that, you have to return to the Kaaba for Tawafand Saey.Then, you have to return to the devil stoning.

TRAVEL

What do the keyevents of the journey mean?

• The first one is aruleand you have to shave your head beforeperforming the hajj.Ifyou haven’t ,you can’t say you have done the hajj as you’re not giving the utmost respecttoallah when doing the hajj!

•The second one is starting the hajj and it is believed to demonstrate the unity of the believers in the worship of one god, as they move in harmony togetheraround the Kaaba.

•The third one cannotbeleft out and it marksthe placewhere Adam wasforgiven!

•The 4th and 5th events (devil stoning and animal sacrifice) mean the temptation to disobey god and preserve Ishmael. It symbolises the believers’ submission to God

FA NTAST IC PRI CE S!

This shows allthe steps needed to startand completethe Hajj.

Your favourable guide willtellyou when you startand finish each keyevent or step!

Reviews:

‘Absolutelyamazing! The guide wasextremelynice, and Ihavebeen affected greatlyasSmith Travel and co have fulfilled their deeds and fulfilled aMuslims duty to respect god. Ihavebecome greatlyreligious as Inow go to the mosque from 2days per week to now 4days per week. Allah is great!’

‘I wasbankrupt at the time and Smith Travel and co helped me as Ineeded to go to Mecca and they gave it to me at adiscounted price! Very understanding and religious people’

Smit Patel

To Mr Lake- R.E IPM

ECONOMY CLASS: £640.00 EACH

This is astandard seat but stillhas many good factors as watching movies, comfortable and the awesome view!

‘Pure stress-free’

BUSINESS CLASS: £1900.00 EACH

This will put your mind offwork, offthe noise and put you in a deep,soothingsleep.The merethought of stress will put you off, so watch amovie.

‘PureRelaxation’

FIRSTCLASS: £6500.00 EACH

After completing youronce-in-a-lifetime journey.Lay back and relax on your amazing flight home!

‘PureLuxury’

136 –Olavian
2019
the next page to find out our Keep readingtofind out if it is impo Mecca!
Youwill be flyingona safe seat next to yourrelatives! The2-star coach you will be travellingin.
and relaxation! The4-star coach you will be travellingin.
be flying in your own cabin. The5-star coach you will be travellingin. Fitted with AC’s
Movies,food
Youwill

TheDepartment of Economics

The Economics department has continued to thrive in last academic year.Anexcellent set of results saw studentsachieving98.3% A* -B.Manystudents also continuedtostudyrelated degrees at university. During the academic year the department integratedthe use of iPadsinto its teaching whichopened newways of learningand exploring the subject. Anew trip to Frankfurtwas successfully launched. Ofsted also paid a visit as partoftheir visit to the school.Theleadinspector and his colleague with bothEconomists and theyboth seemed very positiveabout the work in the department.

iPads

Thedepartment invested the £4000 that it won in the Financial Times Competitionin2018 in purchasing iPadstouse in lessons.These arenow helpingtosupport the learning of students. These havebeen particularly effective in delivering presentations and mirroring students work to the board. This adds anew live dimensiontolessons.

Frankfurt

Thedepartment rana successful trip to Frankfurtam Main. Twenty-two students travelled in activityweek twotothe this financial hub.Whilst in Frankfurtthe students attendedtalks at the FrankfurtStock Exchange, TheEuropean Central Bank and TheBundesbank The trip also involved an industrial daywherevisits were made to BASF in Ludwigshafen and Mercedes Benzin

Stuttgart

Political Economy Society

TheSocietywelcomed Mark Williams, Chief Asia Economist at Capital Economics,for atalk on ‘Willthis be the Chinesecentury?’Thetalk considered the impact of emerging economies on the worldeconomy and questioned the determinants and sustainabilityoftheir fast paced growth. At the end of the talk students asked interesting questions, discussing the role of soft-power and fair playinChina’s rise to the top of the global economy

Political Economy Societyhas been incrediblyactive this termand has continued to encourage student engagement with politics and economics. Highlights

from this terminclude external speakers suchasProfessor PaulTambyahfromthe National University of Singapore who talked about international healthcareand author RichardSimmons who gavea talk on Brexit. Poleconis also under newleadership this termasthe outgoing Year 13 Presidentshanded over to the newYear12Presidents, the newteamconsists of Vikram Rajendran as President and TomXuand Sanjana Chanda as Vice Presidents. We areexcited to carryonthe work of the Year 13s in the coming year and allowPolitical Economy Societyto continuetothrive.

Olavian 2019 –137
John Greenwood S___Head of Economics

Careers Talk

This termstudents have hadthe opportunitytoreceive some brilliant career guidance and advice from external speakers, including TimO’CockonEngineering,Catherine Camp on Higherand Degree Apprenticeships, TomStrachanon EconomicsandwehavealsohadarepresentativefromMorgan and Stanley. Each speaker has engaged students withtheir widerange of skillsand knowledge, increasingour students’ awareness of the opportunities and advancementsavailable to them withinthese careers.To addtothe success,students have impressed our speakers with their enthusiasmand thought provoking questioning.

The Financial Times

Theongoing partnership with the FinancialTimes has been of real benefittothe department and the students. Students getfreeaccesstothenewspapernationallyandthedepartment herehas worked withthe newspaper effectivelyona number of areas.One of our Sanjana Chandrawas an FT advocate working to promote the newspaper amongst young readers. Furthermore,theFT has delivered atalk at Political Economy Societyaswellasworkingwithour students as partofa focus group ThestudentsinYear12andYear13enteredandachieved high scores in anewsquiz hostedby TheFinancial Times, winning £4,000 foreducational purposes forthe secondyear

in arow.This moneyhas been invested into an online learning platformtosupportthe teaching of Alevel Economics.

Olavian Economist

ThethirdeditionoftheOlavianEconomistwaspublished in the autumnterm.Thereweremanyinterest interesting articles with the publicationfromboth current and Old Olavians. This edition featured an exclusivearticle with Sadiq Khan MayorofLondon.

138 –Olavian 2019

Sports

SportatSt. Olave’scontinues its traditionofbeing a fundamental partofschool life. This year we have witnessed an incredible amount of extra-curricular activityundertaken by the students both within school and further afieldontrips and tours. As ever we are indebted to the staff who freelygiveoftheir time to support the students in their endeavours, and to the students who make it sucha rewarding experience for all.

Report of St Olaves FirstXVSeason

2018/19

Rugbyhas always beenatthe pinnacle of Olavianpride, and this seasonwas certainlyone to be proud of.A strongpreseasonprogramme led by Mr Perksand Mr Macnamaraprepared the team to come flying out of the blocks, and flyout the blocks theydid Theteam, led by co-captains MarioLambrette and Louis McClean, openedthe campaign with aconvincing 28-7 victory against Wallington Grammar School. Thehefty front rowconsisting of Hai Duong, Alex Griffiths and Tom

The Sports Faculty

Xu maintained apowerfulscrum,whichgaveOlave’s clean ballfor their elusivebacks to work their magic. Indeed,the set piece would provetobea dominant area forOlave’s during the game,whichwould be acommon theme throughout the season.

TheFirsts carried this momentum into their next game against Ravens Wood Schoolinthe first roundofthe Natwest Vase,wheretheyground out ahard-fought 11-3 victoryawayfromhome– oneofthe highlights of the season. Anotable performancefromnumber 8 Louis McClean, and the combinedheight and expertise of TomLiddemoreand Arnav Barry in the second row, gavethe team both front-foot balland securityinthe lineout,giving Olave’sthe edgeovertheir opponents Other notablevictories in the season include a30-5 triumph over GravesendGrammarSchooland an emphatic 42-12win against St Dunstan’s College. Unfortunately, the boys fell just shortagainst Langley Park in the Fridaynightlights fixture, losing 8-17, but theyput in aperformance theycan allbeproud of against averystrongside -includinga memorablesolo tryfrom winger Kit Whitaker.

Afew lossesatthe end of the year taintedanotherwise positive15’sseason, which the whole squadcan be proud of Thesevensseason, while unfruitful regarding silverware, saw some great runningrugby and some unbelievableteam tries –whichcan no doubtbecredited to the hours of ‘Fijian touch’ playedintraining.Many thanks to Mr Perksand Mr Macnamarafor creatingsuch an uplifting and tightrugby culture,whichputsthe older boys in good steadtocontinueplaying into university, and thanks to Mr Kenwardfor allofthe behind-thescenes work ensuring the season flowed smoothly. We thank allofour departing year 13 rugbyplayers and wish them allthe best in their further studies.

Rugby

TheYear7playershaveimpressedwiththeirdiligenceand capacitytolearn, beating Wilmingtonand Gravesend along the way. TheU13 havetrained hardand gained some deserving victories, including over Gravesendand St.Dunstan’s. TheYear9 teamshavealso improved and enjoyeda tour to Oxford over half term. TheU15sare adjusting to seniorrugby and lifting in the line-out and continue to develop amorerounded,inclusivegame whichhas resultedinsomeexcellent tries. Thesenior teams havedemonstrated great tenacitythroughout; one of the highlights wasthe closely-fought contest against LangleyParkunder floodlights,while early victories over

140 –Olavian 2019

Wallingtonand Ravens Wood were impressive

Year 8RugbyTour

21 boys travelled to Oxford over half termfor their first experience of touring with St.Olave’s.They playedtheir opening fixtureagainst NewburyRFC losing 43-27, with tries coming from Emmanuel Phillips, Franklin Baron and James Atsu. Theplayers were eager to start well against ChinnorRFC and in ahigh scoring fixture, Year 8were finally beaten 34-29 in the last playofthe game.Thesquaddistinguished themselvesonand off the pitch,with both clubs commending the ‘tourists’fortheir excellent playand the manner in whichtheyconducted themselves.

Rugby 7s

Year 7acquitted themselveswell, beatingColfe’sand Cooper’sCoburnandcoming2nd intheJuddtournament, including awin over Skinner’s. Year 9claimed awin over Ravens Wood and came 4th in our tournament. Year 10 reached the Semi-final of the Kent Cup, beating Skinner’sin the Quarter Final. Thesenior team also impressed reachingthe Semi-finals of the Kent Plate

Under 15 Rugby CongratulationstoYear10student,Korede Sanusi,who has been selected forthe SaracensDevelopment Squad forthe forthcoming season.

Sports’ Day

Competitionwithin the year groups, as well as foran overallwinner,was fierce and it was great to see sporting rivalrybetween the boys upheld in good spirit. Special mentiongoestoNiccolo Albarosa in 9C forwinning the Junior VictorLudorumasthe most successful Year 9 athlete on the day.Also,congratulations to Ruben Smith Chinchonwho brokethe Year 7100m recordinatime of 12.6 seconds.Binghamwon in Years 8and 10, with Curewinning Year 7and HarvardYear9.Welldoneto Bingham who were overallwinnersofthe Sports’ Day trophy

Sports’ Celebration Dinner

Thiswastheidealwaytocelebratethemanyachievements of our students over the last year.Speeches by Elliot Wright, Ishkaar Ujoodia,AbbyWardand Thomas Liddemoreall gaveapicture of the breadth and depth of sporting talent hereatStOlave’s. Guest of Honour , OldOlavian, James Goodman, presented the prizes and gaveaninspiring speechfromhis experiences of playing cricket forKent and England.

Bath Cricket Tour

Over half termthe Year 8cricket squadtravelled to the beautiful cityofBath fora series of fixtures and an opportunitytovisit this historic city.After some practice nets on the first afternoonweplayed ThornburyCCon the Saturday.We batted first and 51 (retired) from Saahil Bansal and 22 from Benjamin Dakshyhelped us to atotal of 143. An excellent gameensued and atight finish –with St.Olave’swinning by 4runs! Afterwards we visited Bath and tookin the architecture, gardensand bowling alley(Mr.McNamarawinning)! Sundaysaw dreadful weather but we aregrateful to Cleeve CC forkeeping the fixtureon. St.Olave’sscored 144 with contributions from Rutwik Meda, SanayPandey(24) and SamSai Pynadath(28) and aquick-fire 16 from 5balls by Aditya Anoop.Aditya’s 3for 5then helpedsecurea13run win beforewetravelled back to Bath to enjoy‘Aladdin’. On the last dayweplayedTrowbridgeCC. Again we batted first and this time scored an impressive 250 with Smayan Yambal hitting 53 (retired), Arjun Javagal (21) batting extremely well.Trowbridge looked into control until Aditya Anoop’s 2in2balls, and DakshGupta’s tight bowling and wicket broketheir innings and St.Olave’s finished the tour unbeaten after three fixtures. This tour was alot of fun and again proved what arewarding and beneficial experience it is tour,with the boys being a real credit to themselves, their families and the school with severaloppositionparents commenting on what a delightful group of players we hadbrought with us.

U15 Cricket

TheU15 Cricket squad has gone from strength to strength this year and the boys havehad averysuccessful season.TheA team won allbar oneoftheir games before reaching the Semi-Finals of the Kent Plate.Their season has included notable wins over Chislehurst &Sidcup and alast ballvictoryoverDartford. TheBteam have performed exceptionally well,producing aCup runthat saw them reachthe Quarter Finals, beating anumber of Ateams.Theboyshavebeen very dedicated and stepped up to playfor the Ateam on multiple occasions. There havebeen lots of individual performances of note,but this has been aseasonfullofteamwork,with adifferent playersteppingupeachweek to ensurethe team played well

Olavian 2019 –141

Reigate U12 Cricket 6s Tournament

HugecongratulationstoourYear7cricketsquadwhowon the maincup competitionatReigate on Monday.This is ahigh profile event with manyofthe top schools in the south east of England competing. Oursquadconsisted of Amogh Bhat,AadiAgarwal, Srithan Chanda, Luke Pulford, Arjum Jadhav,KishonSathananthan and Pranav Devaguptapu.Oursuccess was built on the depth of ability within the squad with everyplayermaking an impact at various points of the tournament– eitherwith vital runs, keywickets or important fielding. The final, against hosts Reigate Grammar School, was atense affair but in true limited overs fashionit was finished with asix whichmeantwelifted the trophy.Welldoneto allofthe squadonthis outstandingachievement.

Athletics

Congratulations to our Junior Athletics teams fortheir endeavours at the BromleySchools Indoor Athletics event. TheYear7team came 2nd overall, with Langley Park just beating them by 6points. TheYear8 team won theirage group,beating LangleyParkbythe same margin. Year 8Athletes travelled to Crystal Palace National Sports Centretocompete in the South East LondonFinals forthe LondonYouth Games. They were representing Bromleyasa result of winning the local round and the whole squaddid themselvesproud, finishing6th in the South East Londonround.

Athletics Report

Last Wednesdayour Year 7and 8athletes travelled to Norman Park forthe BromleyMinors Athletics Championships. Some excellent performances were evident on awet and windyday.For the Year 7some fine individual efforts in trackand field culminatedin the 4x100m relayteam winning theirevent. In Year 8David Ogbedeh won the hurdles, while we were 2nd place in Long Jump,Hurdles, Shot Putand the relay whichsaw St.Olave’swin the Year Group with atotal of 80 points, beating their nearest rivals by 20 points. Overallthe combined juniorathletics team came in 2nd place and shouldbeveryproud of their efforts.

On Thursday4th JulysomeYear9 students delivered sports sessionstoGreen Street Green PrimarySchool pupils in Year 3and 4aspartoftheir Sports Week. A varietyofactivities were undertaken including cricket, tag rugby, footballand basketball. This wasagreat experience forour students who alllearned much from this opportunity,and we aregrateful to GSG forinviting us in.

CrossCountry

Senior Cross Countryrunners competed in the Knole Runin Sevenoaks. In ahighly competitive field our team came 22nd overallwith some excellent individual performances, including JosephFolkes our first past the tape coming 50th .Someofour Cross Countryrunners also competed in the KSAA cross countrywith Ananjan Ganguli coming 9th forthe Juniors, Luke Abrams 20th and Joshua Selfridge33rd forthe Intermediates, and Irfan Zaman 14 th in the Senior competition. Ananjan, Luke and Irfan havebeen asked to compete forKent in Inter-Countycompetitions.

Cyclo-cross Championship

Year 9student,Yani, won Bronze in the Under 14 National Cyclo-cross Championship,helping the team win Gold in the Team Championship.Yani also hada podium finishatthe National Trophy Series in Shrewsbury.

Fives

The2019Men’s Fivesunder 21 Tournament waswon in thrilling stylebyStOlave’sschool pair Prajeeth and Sachin. Thelast time that aschool pair won the competitionwas in 2012.Thepair won four consecutive games that were set at 10-10 or 11-11 to overcome more experiencedopponentsandtakethetitle.Congratulations to both studentsonthis excellentachievement.

TheYear7shavemadea flying start! Averytalented, largesquadhavealready playedand won fixtures against Emanueland Berkhamsted Schools, and the whole squadput in asuperb performance in the U12’sIndividual Tournament at EtonCollege. The Ladies FivesTeamhavebeen busy too,with strong performances in the U18’sIndividual Tournamentand a good school match win from Sophie and Jacinta against St.Bartholomew’sSchool. Matches havebeen played and won against CharterhouseSchool, Westminster, Harrow, Berkhamsted, QE Barnet, Highgate and Eton College. Caleb and GenesisfromYear 9won the U14’s Individual event held at Harrow School, whilst Milan and Ishkaar from Year 10 and Prajeeth (Year 12), played especially well in the adult Midlands Championships held at Repton. Therapidly-improving Year 10 squad haveplayedanimportant role in the adult ThirdDivision team and thereis everysign that St.Olave’swillshape up well forhigh seedings in the National Championships

142 –Olavian 2019

nextTerm.

Netball

TheAteam started the seasonputting in impressive performances to beat Farrington’s 51-9in preparation forthe Kent CountySchools U19 Tournamentatthe end of September.Despite wins against St Dunstan’s and St Edmund’s College, and following closelycontested matches with Benenden and Maidstone Grammar,the A team just missed out on qualificationfor theRegionals. One of the highlightsofthe seasonwas the annual First XV RugbyvsNetballcharityFestival match. Despite asterling and good-humoured performance from the boys,itwas the girls who came away with the victory.To round off the successful season, the Ateam reached the Semi-finalsamongst acompetitive field at the Eltham Collegetournament.

Squash

Ourjunior squash teamscompeted in the Kent Schools Cup performing admirablyin the poolstages,progressing through to the Semi-finals by finishing 2nd in their groups.They made theiropponents work extremelyhard but unfortunatelycould not secureaplace in the Finals. It was atremendous experience forall and theycan be very proud of theirefforts during the day.

Swimming

Theschoolcontinuestoimpressinswimmingandarecent trip to Sevenoaks showcased this. With some excellent performances across the agegroups,the seniorteam won their competition. Thedeparting quartet of Michael Jian, Felix Haslam,Luke Douglasand Christopher Lee canbe very proud of their contribution.

Year 7swimmers travelled to Farrington’sand the senior team competed in the ESSA Finals at the London Aquatic Centre. Year 7performed extremely well, winning severaloftheir races. Oursenior team were ranked 17th nationally in both the Medleyand the FreestyleRelays.

Slalom

OliverTovarlazacompeted in the Under 14 Giant Slalom and SlalomChampionship races at the English Alpine Championship 2019 in Bormio,Italy. In the companyof the best English (and international) skiers he was 41st in Giant Slalomand 31st in Slalom.This is agreat resultfor Oliver as he managed to haveonlya week of training on snowbeforethe championship

Badminton

Congratulations to Year 13, Mehar,who won the Kent Senior BadmintonChampionships,making him the best Singles playerin Kent.This is atremendous achievement, considering he was playing against the best adults in the county.

Fencing

Congratulations to Aneesh on achieving 1st place and aGold medal at TheRoyal StennickU14 Fencing competition.

Tennis

Squash Report

Ourjunior squash teamstravelled to Rodmersham Squash Club to playinthe Kent Schools tournament. TheB team playedreally well against the strongest players from the oppositionand did themselvesproud, just missing out on asemi-final spot.TheAteam won some toughgames in their pool beforebeating Wilmington in their semi-final. The finalagainst Valley School was really close with both teams winning twomatches but Valley claiming the title by winning onemoregame Everyone won at least onematch and this was great experience forboth our veteran performers and several newcomers to the squad

Congratulations to Year 7student,Pranav,who is now ranked 3rdin Great Britain forhis agegroup as aresult of his impressivetennisresults.Pranav has been invited by the Lawn Tennis Associationtoattend further regional development training sessions at the National Tennis Centresituated at Roehampton. His successes include being aSemi-Finalist in the Winter National Tour Finals and SuttonTennis Academy National Tour Competitionand Runner-up in the SuttonTennis Academy NationalTour Doubles and Notts Junior Open National Tour Competitions. Pranav also competed in the 12 and Under HaltonSummerGrade 2(National Level) Tennis Tour Tournament, held at Halton, Buckinghamshire, winning the Tournament without dropping aset in anyofhis matches.

Table Tennis

TheU13 and U16 teamsboth progressed through to the recent South London Finals.TheU16 team were runners up in the Plate Competition, while the U13 players lost

Olavian 2019 –143

to astrongTiffinSchool. Thereis plentyofpromise within the squadsand with continued training we canbe positivefor thefutureofthis sport at St.Olave’s.

Ashford SummerBiathlon

Congratulations to RaphaelHuilleand NamLam who both competed in the AshfordSummerSchool Biathlon on Monday. In difficultconditions both competed extremelywellinboth the swim and the run-in fact, Raphaelplaced 1st in the Year 7and 8and Namcame 4th whichwas acredit to him as he is only in year 7. A tremendous achievementfromboth performers.

Activity Week

Year 9Games Daycomprised afamiliar activityin footballand some less familiar (for most) in terms of Street Dance,Golf Extreme and the Martial Art, Guba Doce Pares. Year 7wereinvolved in aseries of House matches with sports suchasCricket, Tennis,Table Tennis, Racquetball, Softballand Badmintonbeing played.

Ski Championships

The2019 Kent SchoolSki Championships tookplace on adry slopeinChatham.Therewere187 racerstaking partasindividual competitors or school teams across four categories.Well done to Year 7student, Oliver,who hadsomegreat races, finishing10th overall(7th in the first runand 8th in the second) in the SecondarySchool competition. To finish off the day, Oliver won aSilver medal in the Mixed Team Event.

144 –Olavian 2019

Art, Design & Technology

The Department of Art

The Art& DesignDepartment at St.Olave’s has undergonefurther developments this year as we say farewelltoMr. Halland welcome back Ms. Farr from maternityleave. We would like to thank the Parents Associationand allofthe parents and friends who have supported our department and the students so well last year culminating in twooutstandingexhibitions of their work in the summer. Theimproving facilities in the department arealso continuing to make abig impact on the waythe students canexplorethe subject, widening the specialisms on offer to include printmakingaswell as offering adarkroomphotography facility. Alongside these developments,the deployment of anew,high spec, ICT suite Ithe ADTquadisallowing our students to really exploreanalogue and digitalworking practices and howtheycan be meshed together,preparing them betterfor Art& Design work in the 21st Century. A strongfocus this year has been focusing on our KS3 deliveryand howthatfeeds through and informs KS4 and 5and as suchwehavebegun to focus on raising the profile of the Creativesector and the increasing jobs and opportunities it offers by running anumber of morevocationally orientated projects. In the 6th form to help support aspirations within the subject we recently attended an evening event at the RA celebrating the vibrant creativeindustries in this countryand promoting Art& Design education, this evening including atalk and Q&A with Antony Gormleyaswellasa rangeof workshops. Alongsidethis we areseeing alarger uptake in ArtClubthis year and the introduction of athe new Print Club and we intend to put on some exhibitions later in the year to showoff the amazing work theyhave been creating.Wehad asuccessful year at GCSE with 3students achieving the newlevel 9and an outstanding rangeofworkacrosssucha varietyofdisciplines from our students,this diversityofdeliveryand the independent natureofthe projects was particularly praised by the moderator.Ithas been pleasing to welcome amuch larger proportionofour year 11s back to Art& Design foryear12thisautumnthanwehad in the previous year.Our ALevel cohortproduced some outstanding work,using the flexibilityofthe Personal Investigation to create trulyuniqueand outstandingexplorations of personal themes, once more embracing amultidisciplinaryapproach and pushingthe experimental edgeofthe subject across printmaking,animation, digitaland darkroomphotography,painting, collage and sculpture. When we haveGraphic Communication students creatingsculptural installations in response to livedesign briefsfromD&ADweknowthat we are creating young people braveand confidentenough to

take risks to explore their subject. Anumberofstudents from last years 13 cohorthavecontinued to study Art& Design relatedsubjects withKevin Wu taking Fashion Photography at the LondonCollegeofFashion, Rishita Ahmed taking aFoundationinArt &Design at UCA Canterburyprior to taking Architecture in 2020, Kojo Dwimohgoing to Oxford to take Foundation Built Environment and AbhayGupta taking Product Design Engineering at Loughborough. It is especially pleasing to see us building on that trend this year with allofour year 13s bar oneapplying forplaces on Art& Design based courses at suchprestigious establishments as The Bartlett,TheRoyal Drawing School, Glasgow School of Artand Ruskin CollegeOxford. It is notablealso that Nikol Boyadzhieva in year 13 has hadworkselected to be exhibited at TheRoyal Drawing Schools annual exhibitionand has also won aNational Prizefor her work and alongside her talented peers bodes very well forthe year to come

International PhotographyCompetition

OurstudentInternational Ambassadors judged all entries of our International Photography competition, selectingfouroverall winners forthe theme of ‘Culture’: SamMellis, St Olave’sGrammar School, UK (Sunset on Southbank); Leonie Garemanand TirzaKarman, De GoudseWaarden, TheNetherlands (Cheese Market);Member of the KaleidoscopePhotography Club,LaMartiniereSchool forGirls, India (Portrait of aGirlwithLights); Adedokun Adefolahan, Badmus Muqadir;Ismail Abdulhaqq, Anwar Ul-IslamCollege, Nigeria(Students in Hausa Attire).

Art Exhibitions

TheArt Departmentwas ahiveofactivitywith GCSE and Sixth Form Artstudents preparing for, and putting on,two inspiring exhibitions, showcasing the fantastic work theyhavecreatedoverthe past year.Artists hosted friends, familyand staff in ashowofgreat varietyand accomplishment,ranging from immersiveinstallations, skilful paintingsand innovativephotography Thank you to everyone who worked tirelesslybehind the scenes to prepare both shows, especially Mr Clark,HeadofArt, and his colleagues, Mr Halland Ms Farr

146 –Olavian 2019
Alex
S___Head of Art

NCH Art HistoryEssay Competition

CongratulationstoYear 12 student, Shrinidhi Prakash, who submitted an essayaspartofNCH’s ArtHistory Essay Competition.Following her submission,Shrinidhi was invited to attend the PrizeGiving ceremony last WednesdayatNCH’s Londoncampus,whereher essay received a‘HighlyCommended’ prize. Shrinidhi also met other people whose entries hadqualified across the various categories, as well as AC Grayling,philosopher and founder of the institute.

Olavian 2019 –147

Student Artwork

–Olavian
148
2019

TheDepartment of Design & Technology

This has been anotherfantastic year forthe Design and Technologydepartment. Uptake has continued to grow with more and morestudentsopting to take the subjectfor GCSE.Wehaveseenthrough the firstyear of the newspecificationatboth GCSE and ALevel with students taking on the increasedchallengewith determination and enthusiasm.Wewereexcited by the second publicationofthe department journal, dtailwith astudent interviewwith Alice Black,the Co-Director of the Design Museum. In Extra-Curricular projects students havecontinued to take on morechallenges, with our Formula 1teams competing forthe first time in both Beginner and Development Class. We welcomed Y6 students to our VEXIQafterschool sessions, giving them the opportunitytocompete in regional competitions alongside our Y7 teamsand experienced continued success inVEXRobotics with team Download Complete winning the UK National Final.

VEX

Students from Years 9-12 travelled to Hertfordshire to compete in the first VEXEDR Regional of the year.WelldonetoYear9 students Yani, Dennisand William who came 2nd in averyclose Tournament Final.Congratulations to Team DownloadComplete who won 1st place both in theirTournament and the Skills Competition,securing the first spotinthis season’s National Final.

VEX Tournamentinthe Great Hall

TheDTDepartment hosted aVEX Robotics Regional Tournament in TheGreat Hall involving 19 teamsfrom ten schools in the South East.The five judges, including twoOld Olavians, quizzed the teams and assessed their log books throughout the day. Congratulations go to all who tookpartand to Team 7975F from St Olave’swho won the Design and Skills Awards.

VEX Robotics

Team 7975F competedinthe National Final in Telford in March and after 2daysoftough competitionwere pleasedto finish AllianceSelectionasthe 1st Seed Alliance. They continuedtocompete well throughout the rest of the competition, usingtheirdesign, build,

Olavian 2019 –149

skilland tactics to win their divisionand be awarded the Create Award. They won the final gameand became National Champions. Alongside competing in the main tournament, the team also competed in the Skills Competitionin both pre-programmed and driver control,winning 2nd place nationally Theteam havebeen awarded aplace at theWorldChampionships in America this year but havechosen not to attend. Throughout the seasonthe team havewon 5tournaments, havebeen TournamentSkills Champions twice,been awarded the Design Awardattwo tournaments and awarded the Think Award. Team 7975H competed at the STOWE Regional at STOWEschool, winning the Tournament ChampionTrophyand aplace at the National Final.

International SpaceSettlement Design Competition

Following successatthe UK SpaceDesign National Final this March, five members of our SpaceDesign Team were selected to represent the UK at the 25th Annual International SpaceSettlement Design CompetitionatNASA’s KennedySpace Centre. With ateam consistingofschools from the UK, USA,India and Pakistan,the group was tasked with the design of the first urban space settlement on the Earth’s Moon; contained within acrater,the ‘Alaskol’settlement was designedtoprovide aworking and livingenvironment for18,000 residents in the year 2043. With three days and ateam consisting of 60 studentengineers, scientists and designers, students presented a50slide presentation to be judged and questioned by apanel of space industry professionals.Ultimately,our team achieved2nd place in the competition,as well as the BestMale Speaker Award being given to team member,ShayneBeegadhur

UK Space Design Competition

Congratulations to the team who competed in their greatest and toughest regional UK SpaceDesign Competitiontodate They tookonleadership of their 40 strongcompanywith the roles of President going to Nadiya,Vice President of Sales and MarketingtoJames, Vice President of Engineering to Frederick, Headof Human Factors to Gregoireand HeadofAutomotion to Amro,who were joinedbySophie,Chrisa, William, Oliver and Eleanorin their departments.They were also joined by OldOlavian and UKSDCveteran, Shayne Beeghadur,asthe CompanyCEO. Theteam’s thorough research and preparationthis termservedthem well as theyimmersed themselvesintheir RFP, researching, writing and then givinganexcellent presentation. The whole team were able to showoff their skills and should be incrediblyproud of theirwin and place in the National Final in March

F1 In Schools Competition

St.Olave’shosted the South EastRegional F1 in Schools Competitionwith 27 teamstakingpartacross the three

classifications. In the EntryClass, St Olave’sentered twoYear8 teams, ‘Blitz’and ‘Golden Motorsports’. In the racing element, the teams achievedthe fastest and second fastest times forthe 25m track. Theteamswere rewarded fortheirendeavours with ‘Blitz’pickingup the Sponsorship and Marketing Award, placing them 2nd overalland ‘Golden Motorsports’ winning the Entry Class and gaining aVIP place at the National Competition. In the Development Class, our Year 9 team ‘Electron’had consistentlythe fastestcar in the field and also won the BestEngineered Car Award.The team came 2nd overallintheir Class, winning them a place at the National Finals.

IET First Lego LeagueRegional Tournament

Neil Tripathi, Hardiv Harshakumar,Debangshu Saha,

150 –Olavian 2019

Aneesh Raoand Bomi Adenugba teamedupwith students from Skinners, DartfordGrammar,Bickley Park,Townley Grammar and NewsteadWoodSchool to take partinthe IETFirst Lego League Regional Tournament. They won the Best Research Project Awardatthe tournament, held at Stanborough School in Hertfordshire. ‘Team Peake’designed arobot and also built awebsite usingLegoMindstormsev3, demonstratingand performing 17 different missions typically required in space travel. In addition, the team interviewedscientists working on space research projects.

IET Faraday Challenge

36 Year 8students tookpartin the IETFaraday Challenge, working in teams to design and prototype aproduct to solve aproblem set by the IET(The InstitutionofEngineering and Technology). Theteams developed some excellent ideas, presenting these at the end of the daywith great knowledgeand confidence.

Congratulations to Oliver,Tommy,Yash,Aklil,Tony and Alex who were awarded 1st place.

Arkwright Scholarships

Congratulations to Shruti, Adesh, Amro,Frederick, James and Shane who were awarded Arkwright ScholarshipsbyAir Marshal JulianYoungatSavoy Placeduring half term. Ms Lands very proudly attended the event, alongside very supportiveand delighted parents celebratingtheir child’s fantastic achievement. An Arkwright Engineering Scholarship is the most

prestigious scholarship of its type in the UK to inspire and nurtureschool-agestudents to be the country’s futureleaders of the Engineering Profession.

Dtail

Thesecond editionofthe Design and Technology Journal produced exclusivelybycurrent students is now on sale.Itis highlyrecommended to students interested in Engineering,Architectureand Product Design, and contains afascinating interviewwith the co-director of the Design Museum London, Alice Black.Italso includes articles suchas; ‘New Designers’and ‘Apple –King of Design’.

2019 –151
Olavian
–Olavian 2019
152

Old Olavian

154 –Old Olavian –Olavian 2019
Editor’s Notes Chairman’s Report Annual General Meeting One Hundred Not Out Reunion Lunch Memories How would Dr Carrington have fared in the modern world of education? StOGS in Wartime Torquay One Boy’s Blitz Clubs and Societies Old Olavians’ Lodge No 5758 Former Choristers Cricket Club Tour –2019 Old Boys’ Notes 1969 -1976 1986 -1993 In Memoriam 155 156 157 159 159 161 162 163 168 168 168 173 173 174 Chris Harris Chris Harris Bill Hawkes Various OOs Roger Brown Walter Wilkinson George Grant Peter Hudson Graham Milne Lance Giles Colin Woodward Brian Tookey
CONTENTS

Editor’s Notes

So another year has passed us by,a year whichIhope willhavebrought allOlavians, whatevertheir age, morehappiness and fulfilment than disappointment or frustration.

Thehighlight of my year came through my oft-mentioned cricket scoring.I was able to scoretwo WorldCup matches, oneatTrent Bridge, the second at OldTrafford, and it was wonderful to havebeen partofthe tournament which saw England victorious after so manyyears of trying.In additionmycounty, Derbyshire, managed to reachthe t20 Finals Dayfor the first time.Toscorefor my countyata Final was an honour forwhichIhad been longing forafull twentyyears, and the long wait made it seem even more special.

Even though the daywas adisappointment from the result point-of-view,it was stillgood to havebeen associated with the young men who hadworked so hardand playedsowell that theyhad earned themselvestheir ownspecial dayin frontofa fullhouse at Edgbastonon ahot sun-filled day in September

Last year Iasked my readers –I wonder howmanyOlavians actually take the trouble to read what Iwrite –tosend contributions, especially if theywereable to write about their experience of moving with the School from Tooley Street to Orpingtonjust fiftyyears ago. SadlyIreceived nothing on that memorable (?) event. But happilyIhave received contributions from severalmembers, and Iwould recommend them all. GeorgeGrant’s memories of his years living near LondonBridgeStation during the wartime blitz should be compulsoryreading.Itwould be areal eye-opener forthe younger ones among us, and areminder howlucky the majorityofusare to havebeen bornafter therewas any chance of our lives being affected by the bombing and the fear that this must havebrought to residents in Londonand other major cities.

It was with very mixed feelings that Iheardthat Jane Wells was moving on to the proverbial pastures new. Iwas, of course,delighted that she was able to move to anew role, onewhichwillbring her newand welcome experiences, but, from aselfish point of view, Iamverysorrythat she has left. Shecould not havebeen morehelpful and efficient in all that she did on our behalf,both as my editorial guide and as general respondent to allsorts of queries from members. Iamsurethat we allwish her well.Weare very pleased to knowthat she is nowanOld Olavian herself

Olavian 2019 –Old Olavian –155

OldOlavians Chairman’s Report 2019

Last year,asI wrote my report,Iwas looking forwardtothe launchofthe newwebsite.Well,itisup and running (www oldolavians.net) and Iknowmanyofyou haveenjoyed exploring its delights, like the Photo Board, the News and the Reunions/Events. Thereisso much moreand Ihope youwillcontinue to provide feedback to improveyourand others’experience

TheServiceofRemembrance and laying of wreaths, in the year marking 100 years since the end of WorldWar One gavethose present the opportunitytoremember not just OldOlavians, but allwho gavetheir lives or lived on with physical and mental injuries, in allconflicts. Thewreaths were laid at the School WarMemorial by OldOlavian, Graham Milne (1963) and School Captain, Shrishti Rentala.This annual service is oneofthe school assemblies when OldOlavians areverywelcome to attend.

In the busy run-up to Christmas, Iwas lucky to be able to take my seat at the School Christmas Concert, where the musical talent of St Olave’sstudents is showcased. Of course,therewerecarols to sing,and the particular highlights formewerethe Sixth Form Band’s wonderful renditionofBohemian Rhapsody,and the brilliant St Olave’sJazz Band.

AttheSociety’sAGMinMarchwedonatedanother £9,000 to the School. Those in attendance were also apprised of the planned development of the newFivescourts at the school (see the minutes). HowardWiseman (1987) has since passed on the fantastic news that work is due to starton the SouthwayFives project, whichthe Societyhas already donated over £43,000 towards. Iunderstand from Howardthat virtually allofthe £250,000+ raised so far has come from OldOlavians and the Society. These new courts willallow the School and OldOlaviansFives to host competitions and willprovide afacilityfor EtonFives for the communities in South London,with the fullsupportof the EtonFives Association.

TheCommemorationServicein MayatSouthwark

Cathedral was well attended and Iwas introduced to the School Prayer.I do not recall having aSchool Prayer in my days at the School although Imay havesimplyforgotten. I tooknote of it and hereit is:

Eternal God, help us through our dutytoyou to love our neighbour,tocarefor others, to do our best forand in school, to work forthe commongoodofour community, and to care forourselvesasweserve youAmen.

ThePrayerand ‘What is an Olavian’(just Google it) are

Olavian –Olavian 2019

evidence to me that the School is back on the right track, and it is great to see

TheGarden Partyatthe ‘Headmaster’s House’this year, at the end of the summer term, was blessed with good weather again. Everyone therewas in great spirits and looking forwardtoa well-earned summer break.

Theyear was rounded off with not onebut twoReunion lunches. The first at middayinSouth Melbourne.I think this was also the first Reunionlunchoverseas.My thanks to TomParkinson(1959), who offered to organise this event. On the daythree OldOlavians hadlunchinahotel and swapped memories.At least sevenhad expressed an interest and next year Ifully expect theretobemoreattendees.

TheReunions were about three weeks later than usual (meaning Iamfortunate even to be able to include it in my reportasthe editorial deadline is usually about the end of September).

TheReunionatthe School proved to be oneofthe best yet during my termasChairman, with 120 diners.

OurhonoraryPresident and Headteacher,Andy Rees, brought us up to date with the School’s academic achievements, the OFSTED inspection’s confirmationof the School’s status as ‘Outstanding’and the manyextracurricular activities that youwillhavereadabout earlier in this magazine.Hethen proposed the toast to the Society.

In response,our guest, OldOlavian Squadron Leader Mike Ling MBE RAeSRAF (Ret’d), who leftthe school in 1997, entertained us with some memories of school, and film and pictures to accompanythe relating of his career highlights. Notleast of whichduring his wonderful career with the RAFhebecame the longest-serving Red Arrows team member.Mike was supported by alargenumber of his Peer Year,whichhad to be spreadacross twotables.

1997 were not the only year group not to fitonone table

Peer Year 1989 hadtwelvemembers present.‘Father of the House’was SirRoger Sims who leftthe School in 1948, seventy-two years beforethe Senior Prefects who joined us that afternoonwillleave!

If youhaven’t been to aReunionand arethinking of getting atable together,dolet me knowasImay be able to put you in contact with others from your year group

And finally,please remember that allthe school events are usually publicised in the Headmaster’s newsletters, which canbeaccessed via the ‘News’ on our ownwebsite.Please let me knowifyou wish to attend anyofthem and Iwill

156
–Old

arrangetickets.

Ihope to see as manyofyou as possible at the AGM, Commemoration, or our next Reunion.Thedates forthese willbegiven in futureFacebookposts and Newsletters.

Chris Harris (1970-77) chairoldolavians@gmail.com

•Update on SouthwayFives Project from Howard Wiseman. Howardreported that about £270k has been raised and the school has morethan this available in total (about £330k).Thecosts of the work in tenders received were unfortunatelymuchhigher, but Howardhas found alocal builder who could build the fivescourts within the budget available Thework could begin at Easter and take four months. This howeverneeds further approval from anew Board of Governors. Adiscussiontookplace about the VATand procurement position, checks by structural engineers whichHowardadvised were included in the costs and insurance coverfor any faultyworkmanship. Howardwould be having further discussions with the newGovernors. Howardleftthe meeting

Minutes of Last Meeting:These were agreed.

Matters Arising: Thenew website is up and running Potentialityare the hosts, and it is relativelysimple to administer,howeverthe Chairman has yettofind avolunteer tohelp and would welcome anyfeedback that willimprove its attractiontoyounger members.

Chairman’s Report:

MINUTES OF THE ANNUAL GENERAL MEETING OF THE OLDOLAVIANS SOCIETY

20 March 2019

Attending: Committee Members: Chris Harris (1977), Chairman, Paul Ouseley(1977), BillProuse (1977), Rajiv Purwar (1977), Graham Milne (1963)

Others: GeorgeSnelgrove(1964), Ian Giles (1966), Jane Wells(Staff), HowardWiseman (1987)

Apologies: John Brown(1955), Chris Tarry(1971), Tim Franklin (1980), Alvan Sherman (1948), Ian Richards (1975), TimLeonard(1965), RichardNorman(1962), RayFranklin (1965), GeorgeGrant (1951), Mike Roberts (1965), Alasdair Clyne(1974),Teddy McAleer (2015)

•Current positionofOOs Funds with School presented

by Jane Wells

• TheSchool has £3371 leftfromdonations from the OO This is in additiontofunds provided by the benevolent fund in the last four years and the school has substantial funds available forhardship support (see also belowunder Benevolent Fund finance report). Jane leftthe meeting

Membership: 2711 names on database.Weremovedthose wherewehad neither email nor postal address. However, we willkeep the complete recordofnames outside of the website forchecking futurerequests to join only.2369 with an email address. Whilst this is another smallreductionon the number given last year,moreemail addresses havebeen removedastheywerenolongervalid and were bouncing back undelivered. 350 (365) paid £20 or moreentitling them to the magazine,and afurther 237 (253) paid something,giving atotal of 587 (628) –£10,537 (£10,960)

Theabove includes 13 (14) paying sponsorship members, paying £1,415, afallinsubscriptions of £423.

Recent leavers havenot been asked to sign up to a subscription. We haveinthe last 3weeks sent out emails (97) to 2014 leavers that were not already Subscription members. 15 from that year were already.One replyhas been received so far.Itwas suggested the School could do moretoencouragerecent leavers to sign up and it would haveafinancial benefittothe school.

Also consider moreevents attractiveto, or particularly for, young OOs, possibly(recent) year reunions.TheChairman willtalk to the Headmaster about this.

SocietyAdmin: This continues to be managed entirelyby the school’s OO Administrator (Jane Wells). Oursincerest thanks go to Jane.Audit ismanaged by the committee pro

Olavian
2019 –Old Olavian –157
Reunion in Melbourne -L-R Tom Parkinson, Gillen Kirkwood &Rory Manchee

tem, withthanks to Paul (Frank) Askham our honorary auditor

Magazine: Thanks again to John Brown, our editor,who continues to giveorder to our memories of school life, staff,events etc. Contributions canbeemailed to him or emailed/posted to Jane Wells.Thenumber of contributions last year was again mainlythe result of direct requests to attendees following events and John’s notes and, of course, the Cricket Tour report.

Facebook: Managed by the Chairman who would also welcome anyfeedback,sothat we canmake this more useful, and attractivetoour members. Followers 783.

Website: TheCommittee think it looks good; however we havenofeedback so this is welcomed. People are registering,and we believe it is simple.Itwould be useful to flag to young OOs.

LinkedIn Group: This nowhas 402 members and remains aLinkedIn private group whichisimpossible to see unless youare amember TheChairman willtry to arrangealink on the website whichisonlyvisible to members who log in, so that we caninvite people to join.

TheChairman proposed transferring the funds, and any requests formoney to be made available aredealt with by the committee This was also agreed.

TheCommittee discussed better use of cash funds and the Chairman willlookinto this.

£1,986 £1,942

£0 £0

£1,942

Sheet £54,393 £56,335

Thetrustees havedonated £10,000 over the last four years (nil last twoyears) forthe headmaster to be used in cases of hardship.to be used in cases of hardship Theprevious Headmaster hadpreviouslyconfirmed that the funds have made it possible forstudents to take partinactivities and trips that would otherwise be out of their grasp financially. However, Jane Wellsadvised last year that significant amounts arestillunused. Jane has nowbrokenthis down, and when added to funds remaining from the nowdefunct Marshalls Fund, the school stillhas over £55,000 at its disposal. Accordingly, the Chairman proposed to the other trustees that no further funds aremadeavailable at this time.

Obviously, we willconsider anydirect applications. This was agreed.

SocietyAccounts

Total Subscriptions aredown£423 and investment income is up £84.Actual values of the investments continue to rise, up almost another £2,000 on last year

Thelunchwas subsidised from subs to the tune of about £1,000. As the objectives of the Societyare the bringing together of OldOlavians forthe furtherance of personal friendships this seems justified.That amount is roughlythe cost of the six senior prefects,the headmaster,guest speaker and twomembers of staff,who we do not charge, and the subsidy to younger OOs.

Although not shown in the accounts, we stillhaveat12 pairs of cufflinks and 48 OO ties in stock.

TheChairman recommended making £9,000 available to the school including the sponsorship money, in accordance with the current policytomaintain aminimum Accumulated Fund of £25,000.This was agreed.

We havehad adirect request this year and paid £250 to an OldOlavian who is in hospital most of the time Thank you to Graham fordealing with the assessment and visiting the OO Theaccounts were approved.

Functions Report:

Dinner at the RAFwas enjoyedbyall.Chris Sims (1977) was an entertaining speaker.See the Olavian forthe memories of that evening.Wewillbelunching at the School on Saturday5th October,and the guest speaker will be Red 10 -Squadron Leader Mike Ling MBE (199097) –ex-member of Red Arrows, who was unable to fulfil the engagement last year following his recall to the Red Arrows.

Therewas no Forties Reunionthis year.

Thereisanannual SavoyChoir reuniononthe second Sundayin July. This has been added to Facebookand the website.Maybe an attendee willsharetheir experience via the Olavian next year.

Affiliated Club Reports:

Cricket –Ian Giles.Thereisafullreportinthe Olavian but

158
–Old Olavian –Olavian 2019
Finance Report:
2017 2018 Income£16,259 £16,791 Expenditure£18,128 £18,366 Excess of Income/(Expenditure) £(1,869) £(1,575) Balance Sheet £35,663 £34,088
2017
Income
Expenditure
Excess
Balance
2018
of Income/(Expenditure) £1,986

asuccessful summer tour to Devonasusual and six recent school leavers playedwith the team in dailygames.

Rugby– stilldormant

Fives–HowardWiseman has already updated us on the four newcourts at the school (known as the “Southway FivesProject”).TheFives club havehad averygood season, and theyrecentlywon the Barber Cup forthe sixteenth year in arow

Lodgeand Chapter No.5758 –Graham Milne Thelodge is growing and promoting itself but joiners aremainlyfrom outside the school. TheChapter could benefitfromnew members and particularly from the school. TheChairman agreed to put alink on the website

Election of Officers: No-one wished to stand down and the entirecommittee was re-elected unanimously

Other Business: £500 forthe Cricket Club was agreed.

In contacting younger members, the Chairman was in contact with Teddy McAleer,ex-headboy and nowa governor of the school. When discussing making the shopfront(website,Facebookand LinkedIn) more attractive, he suggested we needed to decide what we are selling.Asasite forcontact, we areoutdone by Facebook, Instagram etc. So what areweactually offering youngsters?

Commemorationservice this year is Thursday2nd May.

Remembrance service is on Weds 6th November,8.15 at the School.

OneHundred Not Out

At the ReunionlunchinOctober our chairman announced to awarmround of applause that BillHawkes, who left the school in 1937, would be 100 on 19th November.By the time this editionofour magazine comes out he will already havepassed that milestone.His headmaster was HenryAbel,Dr Carrington’s predecessor.Hewent straight into the employment of SouthernRailwayand was always in the Property Department whichfor years was called the Estate & Rating Dept. He worked in various office locations including Victoria, Waterloo and Kings Cross. John King (1963) persuaded Billtocometoacouple of OldOlavians’ dinners in the 1970s/80s, but he has not been since.

Reunion Lunch Memories

Ourchairman, Chris Harris, persuaded severalOlavians, young and old, who hadattended the reunionlunchto write their impressions of this special annual occasion.

Paul DIMOND,CMG (1955-62) wrote: After thirty years in foreign service overseas, returning to the opportunityofattending an OldOlavian event has felt like ahomecoming,asatthe excellent reunionwith contemporaries in Orpingtonon 5th October.While the bricks and mortar at Orpingtondiffer from TooleyStreet, parts of the old school’s fabric and,most importantly,much of its long traditionofexcellence and styleremain and

indeed havebeen well developed forthe benefitofthe new generation. Andy Rees gaveajustifiablyupbeat reviewof the academic results and sporting successes and our guest Mike Ling gaveusarareglimpse of oneofthe challenging professions mastered by an OldOlavian.

Aparticular privilegewas to meet an outstanding group of current senior students, whose diversity, talent, optimism, focus and hospitalitywerestronglyinevidence during the school tours and at the lunch. Whocould not walk away from the event without quiet pride in the continuing spirit of Olaf’s Song?

This time we hadtosay forusasad bonvoyagetoJane Wellsather farewellevent with us, after so much care and attentionshe has given the OldOlavians over the years. We wish her well in her newactivityand areconfident that we cankeep in touchwith her

John RHASSALL(1954-60) wrote: It was great to see old school friends and to hear Mike Ling telling of his life with and after the Red Arrows.He was so passionate about flying and is very lucky to havedonewhat he obviously lovesdoing as acareer.Myfather used to sayhehad never been so busy in retirement whichisprobablythe same for most Olavians, but it is in retirement formanyofusthat we candowhat we enjoydoing.I envy Mike to havehad a professionhe loveswhile manyofusdon’t.

IanNAYLOR(1982-89)wrote:Thanks fora great Olavian event last Saturday. Muchhad changed and much was still the same thirty years on since Ilast entered our School.

Olavian 2019 –Old Olavian –159

TheGreat Halland the Quad were just as Iremembered them as were manyofthe classrooms in the main block. Muchhad been done to improvethe school –anew Sixth form blockand asports halltoreplace the swimming pool –unfortunatelytoo late forus.

Obviouslythe School has been through some difficult challenges in recent years, but it was great to hear from the relativelynew headastothe massiveprogress that has been achievedin the last twoyears.Thespeaker was inspirational –shame we didn’t havea Flying squadron-leader from our year!

I’mgladIcame back –it was great to meet with contemporaries after so long and Iwillattend again soon.

Stephen RSPENCER(1976-80) wrote: This muchanticipated event was on this occasionin its alternate location, at the school, wherethose attending were spoilt forchoice forpre-prandial entertainment: having the options to watchEngland’s RugbyWorld Cup match versus Argentina (potentially at the Buff Orpingtonpublic house -other public houses were available); to cheer on various school rugbyteams in actionlive; or to support England from the comfortofone’s hotel room,followedby aswiftsharpener in the companyofOrpington’s Brexiteer communityinthe “Harvest Moon”on the High Street.

Naturally choosing the last option, SimonWest and Istalwarts at, and cheerleaders for, the reunion, and the very concept of the reunion-wereable to inspect the current conditionofthe former (and, the Almightywilling,) future ThirdOrpingtonScout hut, on our waytothe Great Hall. We were pleased to hear the Headmaster,MrRees, later confirm in his speechthat efforts areongoing to restore “Thirdsden”toits former glory.

Thespeeches were certainlyahighlight of this year’s reunion.TheHeadmaster’s was notable forbeing frequently interrupted by warmapplause as he announced not just the usualroll-callofacademicachievement,butalsopaidtribute to (among others) the fivesplayers, the communityservice givers, and the magnificent and probablyirreplaceable Jane Wells, who has so ablyand forsolongacted as the face of the school to OOs, and vice versa.Theapplause confirmed that the school has movedon from the recent, well-

documented, blip in its otherwise distinguished historyas aschool of the heartaswellasthe head.

TheGuest of Honour,Squadron Leader Mike Ling MBE FRAeSRAF (Ret’d),who leftthe school in 1997 to join the Royal Air Forcetobecome a fighter pilot, flying instructor and the longest-serving Red Arrowspilot to date,delivered acolourful presentationofthe manyangles from which onecan viewPlanet Earth, in an inspiring reviewofhis distinguished career

Theusual singing of “Olaf to Right the Wrong” was this year transformed by the organ accompaniment of Dr Noël TredinnickFRSCM, whose economy with the school song contrasted with his exuberant renditions of “Gather Us In” and “Jerusalem.”

Looking back on this year’s event, whichSimon and Ihave

160
–Old Olavian –Olavian 2019

attended with almost no exceptions foroverthirty years, so manyother memories spring to mind: the estimable personages of “our”Headmaster,Des Coulson, and his successor Tony Jarvis; discussing what makes St Olave’s unique,withthegreathistoryteacher,AlanEvans;exploring the perils of adapting Jane Austen, with the unforgettable James Loader;the quiet, continued presence of oneofthe funniest and most ribald former Guests of Honour Ihave heard, SirRoger Sims; as well meeting,for the first time since leaving the school, John “Macbeth”Pead(with me, oneofonlythree Olavian oboe players of our generation), and Ian Meek, whose enviable,off-grid lifestyleappears to mean that the only wayyou willevermeet him is by attending afuturereunion!

Allin allthis year’s event was ashining example of just howenjoyable it canbetospend afew hours wallowing in nostalgia, eating excellent food, drinking afew toasts, and reflecting on howyoung or old youlookcompared to your peer group,but it doesn’t matter because we areall Olavians under the skin, and that is on the whole averygoodthing Seeyou next year!

LilyKEMP, current Vice-Captain of School, wrote: TheOld Olavian lunchgavemea fascinating insight into the rich historyofour school. Sitting on atable with OldOlavians who hadleftbetween 1948 and 1992 was trulyawe-inspiring.StOlave’sclearlyhas suchanimpact on people’s lives and people’s mindsets. Thedinner made me realise howproud Iamtobeapartofthe Olavian community. Thehighlight formewas sitting next to Sir Roger Sims, MP forChislehurst from the 1970s to the 1990s. His contributiontogreater society, as well as his engaging anecdotes, opened my eyes to howStOlave’shas helped shape greater British society, as well as the lives of individuals.

TheOld Olavian SocietyChair and organisers presented a trulyfantastic afternoon.

Joel KOVOOR,current Vice-Captain of School, wrote: Personally,I found the OldOlavian lunchexperience truly enjoyable.Fromgiving tours of the school to alumni, to listening to Mr Mike Ling’s insightful speech, as well as sharing entertaining conversations with OldOlavians atthe table,I trulyunderstood howstrongand rich the Olavian cultureis. One example was when the guest speaker showedusapictureofthe wing of aSpitfire,which he was flying,overthe school.Thespeaker remarked that it was onethe proudest moments of his life, and Irealised at that point howdeeplyhe cherished his time at St Olave’s. Over lunchI shared fascinating conversations with the fellow members of my table covering themes suchasmusic and sport. It was also entertaining and insightful to hear some of their experiences as Olavians, suchasvarious trips

theyhad been on

Howwould Dr Carrington have fared in the modern worldofeducation??

Knowing of my long involvement with education, oneor twoOOs haveasked me howDrCarringtonwould have fared in today’sworldofleague tables, academies and fierce competitionbetween schools.

It is agood question.This shortpiece attempts to answer it.

Beforedoing so,itmay be as well to brieflydescribe my experience.Oncoming down from universityI worked forsix-and-a-half years forthe (long since abolished) Inner LondonEducationAuthority,then the largest local educationauthorityinthe countryand successor to the LondonCountyCouncil’s EducationDepartment. Ihad manyopportunities to see state educationatclosehand, but perhaps the most relevant herewas the time Ispent in 1975-76 as Secretaryofthe William Tyndale Schools Inquiry.

TheInquirywas set up by ILEA to resolve abitter dispute between teachers, governors and parents over the running of the junior school in Islington(the adjacent infants school was also included). Theinquiry’sreportbyRobin Auld QC (nowLordJustice Auld) was very critical of the lack of clear lines of accountabilitydisplayedin the evidence to the inquiry.Thereportwas amajor influence on Prime Minister Callaghan’s 1976 speechatRuskin College whichled indirectlytothe mid-80s educational reforms of the Thatcher Government –aNational Curriculum and national tests and standards, leading inexorablytoleague tables –that we havehad ever since

Finally,tobring the storyup to date,the last fewyears of my time as aDTI civil servant were spent promoting business-higher educationlinks before, between 1990 and 2013, having various jobs in higher education, including nearly ten years as Principal/Vice Chancellor of what is nowSolent University. During this period Ibecame reacquainted with the compulsorysector through being Chair of the SouthamptonEducationTrust, Chair of BartonPeverilSixth Form College, Eastleigh and aregular contributor to the Times Educational Supplement.

Nowtocometothe question.

It is notoriouslydifficult to make proper comparisons between different eras: thereare just too manyvariables and too much else willhavechanged. This came home to me when Ivisited the School some years agoatthe invitation of the then Head.Ispent the lunchperiod with some of the sixth form in aroomcontaining anumber of Alan Sorrell’s watercolours of the old building.One showedanumber

Olavian 2019 –Old Olavian –161

of pupils lined up outside the Head’sstudy.Asked what theyweredoing there, Irepliedwithout thinking that they were probablywaiting to be caned! Irealised that it was like explaining Dotheboys Hall.Theeducational worldhas indeed changed, whether forbetter or worse is hardtosay

So if he were to returnnow,and with these caveats, what would Dr Carrington find that was different?

First, thereismuchgreater external control (external to the school, that is) over what is taught in schools. Unfortunately, this has led to amuchnarrowercurriculum than we enjoyedatSTOGS.Noafter-Assemblyconcerts by the LondonSingers, no tying up the school fora term while everyone is involved in some waywith the school play, no elocutionlessons with Miss GilbertRobinson.This has of course led –together with spending cuts that havebeen particularly harsh on sixth forms–tothe downgrading of ‘non-core’ subjects like not only music, drama and artbut even historyand geography.

Therehas also been adecline in state school sport, so that our national sports teams areincreasinglydrawn from the private schools (as areour Oscar winners). Fortunately, STOGSappears to haveescaped the worst of this.

Second, as aconsequence of these curriculum changes and the associated adoptionofnational standards, thereis much greater pressureonthe teaching force.This has taken anumber of forms, well ventilated in the educational press. One aspect of this is that much greater effortnow goes into teacher preparationand training so that teachers in state schools nowrequireaqualificationin teaching

In principle,this is desirable –itisevenbeing attempted in higher education–but it would haveruled out some of the most inspiring and effectiveteachers in our time at STOGS, individuals we allremember and cherish well into our seventies in my case.Therehas been an associated decline in extramural activities: no Saturdaymornings on HampsteadHeath tracing the origins of oneofLondon’s ‘lost’rivers or visiting the Horniman Museum. Third, thereisnow much greater accountability. Increasingly schools and teachers arejudged on their performance as measured in the league tables. Again this is in principle not undesirable.But thereare anumber of problems. Educationisnot only about identifiable attainments: as awise American colleague said, educationisa process masquerading as an outcome Themeasures used in the league tables arefundamentally flawed in various ways,not least in making little or no allowance forthe qualityofthe ‘inputs’: schools with disproportionate numbers of pupils from disadvantaged backgrounds almost invariablyfare worse than others. Nonetheless thereistoo much ‘teaching to the test’. (As the School well knows) the measures are

subject to allsorts of gaming and manipulation, manyof them hardtodetect and certainlyhardfor non-experts like parents and governors to appreciate.Last but not least, heads and other senior staff arehaving to spend time on activities like marketing and fund-raising forwhichthey arenot qualified and whichdivertthem from their central educational role (this is again seen in higher education).

Overall, therecan be little doubt that these reforms havebeen beneficial. Therewas too little accountability or attentiontoperformance in the ‘old’state education system. But –like manyother of the reformsbegun by the Thatcher Government and carried on by their successors –theyhavesimplybeen taken too far,tothe point where the unfairnesses, distortions and inefficiencies aremore noticeable than the benefits. Thereisinfactagreat opportunityfor an incoming administrationtorow back on these policies whilst consolidating on the achievements.

So to returntothe questionofhow Dr Carringtonwould havecoped in today’seducational world: he wouldn’t!

StOGS in Wartime Torquay

Walter GWILKINSON (1940-45) was inspired to write after he hadreadthe article by TedGodleyin the last editionofthe magazine: At the weekend Iwas drinking cocktails in the Headmaster’s room and toasting him who hadgiven me afair old caning there,namelyDrCarrington. This latest visit occurred because Ihad decided just prior to my ninetieth birthdaytogotothe TooleyStreet building to spend acouple of days in what is nowthe splendid Lalit Hotel.

It was agreat experience.Not only was Iwearing my Old Olavian tie but in my luggagewas concealed my school cap, pre-1945, with its metal badgeonlyslightlydamaged by schoolboyhorseplay. This capIshyly fished out, to the delight of the hotel staff who gigglinglyhopped forwardto be photographed in it! Theadapted building,while almost unaltered externally,isbeautifully transformed within, yet retaining school features suchasthe hallwith its choir galleryand the above-mentioned fearful study.

Iwas taken back in time to walking everyschool daydown TooleyStreet from LondonBridgestation. Actually it was moreoften running,because Iwas not agood timekeeper, and so Ihad to grin when reading the Head’scomment on oneofmyreports, “I much appreciate his help with the bell”as the first ring of the daywas often done by oneofmy loyal classmates.This was mostlyinTorquay, since only my last couple of terms were servedinLondon.

Reading in TheOlavian 2018 the fascinating article about

162 –Old
2019
Olavian –Olavian

wartimeTorquaywas areminder of times spent crouched in the corridors of our host,TorquayGrammar School,during air-raid alerts,amoresqualid versionofthe aerial dogfights described by my old schoolmate TedGodley, but then I remember he was afan of the fictional air aceBiggles, and would tryinvain to convert me to this WE Johns creation as we humped our fullsatchels from Chelstontoschool.

TheTorquay-Londoncontrast was vivid: slipping back home to Woolwichtowards the end of the war confronted onewith agreyscene of broken or plastered-overwindows and great gaps in familiar streets. At the Pavilion Theatre on the Torquayseafrontwesang during aspeechday performance the words:

“Now Londontown’safine town and Londonsights are rare

AndLondongirls are fine girls, and brisk’s the Londonair But busilygoesthe worldthere, and crafty growsthe mind

AndLondontownofall towns, I’dgladlyleavebehind.”

Even given the miserable state of the capital at that stage youmay think this was an insensitivechoice forachoir of young lads separated from their homes and parents, but no-one was going to argue with Miss Hordern, a magnificent opera-trained lady ‘borrowed’ from Maida Vale High School forGirls evacuated to the girls’Grammar just up the road.Withher powerful personalityshe hadus singing this and, equally forher Devonaudience,‘Drake’s Drum’without awhimper of protest from us. Shenever hadany discipline problems with us, and formylater love of singing Iamforever grateful to Miss Hordern.

Having subsequentlyspent most of my working life in the teaching professionIhaveoften thought back to the performances of various teachers during my pupil years at St Olave’s, and Reg Shackel, our physics teacher, rates prettyhighlywith his avuncular style, given our circumstances then. He it was who tookit uponhimself to post on to us our final exam results, with agooddeal of supportivecomment added. But at the ReunionIattended last year Ihad the honour to be seated among current staff and senior pupils and was so thrilled to be able to converse across aseventy-year gap with ease.Plus ça change… Ileftthat evening with the feeling that StOGS, having turned acorner,was the place fora student of today, male or female,tobe.

OneBoy’s Blitz

Thetide of human events often sweeps us along uncomprehendinglybeforeit, and that was certainlytrue of my experience of the Blitz in the Second WorldWar

One dayinSeptember 1939 countless thousands of British parents did something that would be unthinkable today: theyagreed to send their children off at shortnotice, to an unknown destination, to unknown people,for an undetermined period of time.Fearing that the Nazis would launcha bombing campaign on British cities, the government put into actionPied Piper,a plan forthe mass evacuationofcivilians, mostlychildren from the cities, into the relativesafetyofthe countryside.Inthree days over 1.5 millionchildren were removedfromtheir homes and sent to foster-homes throughout the country. Iwas four years old and, along with my older sister,anunwitting participant in that exodus. That parents were willing to do so at the time speaks of acertain levelofconfidence in the government and the leveloffear stalking the land. However, as time wore on and nothing much seemed to happen by January1940 some 60% of evacuees, myself among them, hadreturned home. This was to provetobe spectacularly badtiming,asinSeptember 1940 the Nazis launched the massivebombing campaign known as the Blitz, against Londonand other British cities. Farfrom being snug and safeinWales, Iwas in Londontowitness and experience this phenomenon. It was to provetobean experience like no other,and remains to this daymymost vivid memoryofthe six years of the Second WorldWar.

One of the first casualties of the Blitz was my attendance at Snowfields school,especially during the early days,when interruptions due to daylight raids were frequent, and teachers were often absent or late arriving due to transport system disruptions. One went to school neverknowing quite what would happen; sometimes the school opened late,sometimes it ended early;interruptions of varying durationwerefrequent and sometimes the school was just closed fora dayortwo.When the siren sounded, we were herded together into alargeroomthat rapidly became extremelyhot, stuffyand claustrophobic. Theonlyrelief being provided was by the largest boypresent who valiantly attempted to create afeeble draught in the stifling room by swinging the classroomdoor to and froasfast as possible

If the resulting largeclasses and the loss of school time was aworrytothe authorities and parents, it was of no concern to me and most of my classmates.We tookthe unscheduled interruptions moreasanot unwelcome respite from our academic labours and ashortened or missed daysimply meantadditionalhoursoffreedomspentsalvagingshrapnel, scrambling over bomb sites, or playing about in the street. Somehow, however, despite allthe exigencies of wartime, the teachers,unsung heroes,manyhauled out of retirement to fill the gaps leftbyyounger staff members serving in the armed forces, stillmanaged to teach us the rudiments of reading,writing and arithmetic. Soon,however, the Blitz tookonamorethreatening and destructiveaspect.

Olavian 2019 –Old Olavian –163

At the time we lived in a flat on top of the old London BridgeRailwayApproach, then the highest point around but nowdwarfedbyits soaring neighbour the Shard. I doubt whether therewas amoretempting target in the kingdomthan that whichthe Approach presented at that time.Directlyacross from us sat LondonBridgestation, the busiest commuter railwaystationinLondon, amajor bus terminus, the Pool of Londonand its rows of towering cranes and, stretching down riverfromTower Bridge, the Londondocks into which floweddailythe lifeblood of the countryoncountless ships.On the northernend of London Bridgestretched the City,the financial heartofthe country, into which flooded dailythe hundreds of thousands of city workers who kept this financial and commercial engine turning.Also,within twohundred metres, layBillingsgate fish market, the distributionpoint for fish to the greater Londonarea, and the Borough fruit and vegetable market whichsupplied most of these commodities to the capital. This was clearly not atarget that the Luftwaffeplanners would overlook.

Like most kids, Isoonlearned that the sirens’ ascending and descending wailing alarmmeant ‘Take cover’,and my younger brother,almost beforehecould walk,uponhearing the siren would crawl under the kitchen table wherehe would sit contentedly until the AllClear sounded.

Thesight of the Junkers, Dorniers and Focker Wulf bombers that menaced the city, and the distinctivedrone of their twin engines soonbecame partofthe familiar sights and sounds of dailylife. At the beginning the raids occurred mostlyduring the daybut,as the Luftwaffe's losses began to mount, seeking the coverofdarkness they changed to night-time raids. Once the raids commenced theycontinued dayafter day, night after night formonths and rapidly became routine as did our response to them. Initially we,like most people,largelyactedasinstructed and tookshelter.A trip to ashelter meant arun through the total blackout then in forcein London. No street lights, vehicle headlights reduced to mereslits and lights in residences blacked out by heavy curtains. At night-time adarkness descended on Londonnot seen since medieval times, an inky blackness reigned, broken only during raids by the flash of the ack-ack guns and the dullred glowof fires.

We hadtwo possible shelters close by,LondonBridge underground stationatthe end of the Approach,ora deep shelter under a field hidden from viewbehind the Approach,both about onehundred yards from our front door.Space in the deep shelter was limited,and often queues forentrance formed early in the evening,necessitating an early commitment forthe complete night beforethe raids began. Arrivelate and yourisked being turned away. In the early days of the Blitz we initially spent severalnights in

the deep shelter,whichIremember only as adimly-lit,cold and clammy refuge, deep enough underground that the sound of the onslaught above was muffled, but wherethe earth stillshuddered if alargebombstruckcloseby.

Howeverwesoonabandoned the deep shelter forthe underground stationtospend nights sleeping on its hard, stuffyand crowded platforms. No morecomfortable than the deep shelter,ithad the advantagethat it remained open throughout the night, so it was possible to come and go throughout the night depending on araid's development. To avoid the disruptionand discomfort of unnecessarynights spent in either shelter we often waited until the siren sounded throughout the night sky, and the droneofthe advancing squadronscould be heard, or even until araid was under waybeforeadecisionwas made whether to seek shelter or not. Sometimes we would flee to the underground, and the raid would pass us by or peter out; on other occasions we would stayathomeand the night would erupt into the volcanic furyofa major raid. However, as the raids wore on,we, like manyothers intolerant of the disturbance of the dailyroutine and increasinglyindifferent to our safety, frequentlychose to wait out the raids at home,sometimes climbing onto the roof,orstanding in the shelter of the frontdoor’s portico to watcharaid’s progress as it playedout overhead.

On the occasions that we tookshelter Iwould often be woken up from adeep sleep,get dressed and stumble downstairs to the frontdoor whereIwould wait with mum and dadasthe waves of bombers approached. Between successivewaves of bombers therewas always abrief gap, when asuitable gap appeared someone would say, “Run” and, with asmallmetal torch in my hand, Iwould run down the Approach as fast as Icould to the underground’s entrance Thedash tookperhaps thirty seconds, through ablackness rent by arelentless explosionoflight and sound. Searchlight beams sweeping the sky,hunting between the clouds and smoke forthe bombers, rolling like the tide across the night sky Theack-ack guns barking, accompanied by the dullcrump of exploding bombs, and the bomb blasts shuddering the earth. As Iran, around me the pinging of hot shrapnel against the pavement like the playing of acelestial xylophone and, above it all, the dull droneofathousand advancing engines throbbing in unison in the darkness.

Once in the tube,I randownthe spiral staircase to the platformlevel, the ringing of my Blakey-shod shoes on the steel stair-treads echoing in my ears. Once at the bottom, Iwaited until the other familymembers arrived. Of the nights spent on the platformIremember little; Isuspect that Icurled up whereIcould, and was soonasleep again. When the long AllClear sounded, often in the very early hours of the morning,wewould climb the spiral staircase

164 –Old
2019
Olavian –Olavian

and emergefromthe tube,tomake our wayhome, up an Approach often strewnwith broken glass and debris. Although the Approach was fortunate in that it avoided anydirect hits, LondonBridgestationfacing us was hit by incendiaries destroying the upper level. Howeverthe rest of the stationwas saved and continued to transport dailyits tens of thousands of workers in and out of the city throughout the war

Theair-raids were numerous and monotonouslysimilar, but onedaylight and onenight-time raid remain vivid in my memory. The first was amassiveSeptember daylight raid aimed at the Surrey docks, the other perhaps the heaviest of the Blitz, anight-time raid that set agooddeal of Bermondseyablaze. Thesirens sounded on aclear day, and soonthe throb of the first waveofadvancing bombers could be heardswelling in the distance Theattack appeared to be close by,but not directlyoverus.We climbed the attic ladder up onto the roof,fromwherelooking east we hada good viewoverthe East End and much of Bermondsey. Iwonder now, whywewould decide to do sucha thing rather than take shelter? Perhaps the sheer excitement was overwhelming,and we were mesmerized; rather like deer trapped in the headlights of an oncoming vehicle,wecould only stand and watch. From the roof youcould see in the distance the advancing waves of bombers sprinkling atoxic dust of incendiaries and high explosives uponthe city. The target appeared to be the Londondocks and the East End .onthe other side of the river.

It was astrangescene: oneortwo barrageballoons hung forlornlyinthe clear sky as the bombers loosed destruction uponthe helpless East End below.Soon therefollowedthe rumbling impact and the sloweruptionofdarkclouds of smoke rising over dockland and the East End. In the sunshine above the burning docks and rising smoke,the fighters of the German escortand the RAFpursued one another, flitting between the wispyclouds in aerial combat, their struggles choreographed by an ever- changing webof white vapour trails in the autumn sky.Which was friend and whichwas foewas impossible to know, with only a silverglint, reflected by the sun occasionally,revealing their presence as theyhunted oneanother between the covering clouds.

Across the riverthat Caesar’s troops hadonce forded, the onslaught continued. It was so close yetseemed so remote; in the distance aspeckslowlydescended earthwards bringing afortunateGerman or RAFpilot back to earth.

It was as unreal to me as the violence of toda’s video games must seem to today’schildren. Iwas too young to know that the writhing trails masked the desperate struggles of young airmen, manyofwhomwould not livetosee the sun set over Londononthat day. Iwas too fresh to lifetohave anyawe or comprehensionofdeath on that September

afternoon.

We stood on the roof and watched the spectacle, forhow long Ica’tremember,perhaps ten, twentyorthirty minutes or simplylongenough to decide that the bombers would not cross the river,and that the Approach was safethat day.

Soon,borne on the breeze,the nose captured the scent of the distant destruction. ‘Thesmells of London’s Imperial trade’ as a fireman recalled them. “Pepper firesloading the air with stinging particles, rum fires, torrents of blazing liquid pouring from warehouse doors and barrels exploding like bombs themselves, cascading white hot flame of paint fires, and rubber firesraising thickblack clouds of toxic smoke.” At the time Ihad no understanding of the tragedy unfolding beforeme, it was to me like apier kaleidoscope show. Somehowthe fact that it was occurring in daylight made it less threatening than the night-raids clothed in darkness that soonbecame our nightlycompanions.

Thesecond raid that remains distinct in my memorywas onewhen we came close to being bombed out ourselves, and almost changed from observers to victims: soonafter the siren sounded and the first bombs began to fall, it was clear that it was going to be an exceptionally heavy raid,but forsomeinexplicable reasonweremained at home.After the raid hadbeen under wayfor awhile,dad who was a fire-watcher decided to climb up onto the roof to viewits progress, and Ifollowedhim. As he didn’t send me back Istayed, standing with him on the flat area behind the parapet surrounding the roof Theattack was concentrated on the other side of the riveronthe usual targets,the docks, bridges, railwayand the East End, but at the time didn’t seem to directlythreaten us on the Approach

Theattack was hitting the East End and the surrounding areas hard. Thenight sky gloweda dullred as, fanned by astiff breeze,the East End and the docks burned. The centuries-old leather tanneries of Bermondseywerenow also aflame Thestenchwas indescribable as the various chemicals employedinthe treatment of the hides were released into the night, intermingling with the others of the conflagration. It was apungent stenchlike none other, and onewhichwillnever quite fade from memory. So Istood with dadwatching the scene unfolding beforeus across the river.

As the night ragedon, we could see from the roof-top the firesslowlyadvancing through Bermondsey, along Crucifix Lane,across MazePond, up St Thomas Street towards the Approach,drivenonrelentlesslyby the wind. What a night it was! The fire brigade was doing its best,.but water was in shortsupply, and as the wind showednosign of slackening,a fire-warden advised that we should pack what we could and getready to leave. Across the forecourtofthe

Olavian 2019 –Old Olavian –165

stationhoses snaked in alldirections as the firemen tried to prevent the advancing firesfromjumping across London BridgeStreet onto the Approach.Itishardtoimagine, nowthat street lights havealmost banished night, the total darkness of the blackout. Such illuminationastherewas came from the flickering firesastheydevoured building after building,while hereand therein the darkness amoving point of light revealed ahuman presence.What aboiling cauldron of sight, sound and stenchitwas. Thedancing flames, the white light of hovering flares, explosions, gun flashes, the sudden glimpse of asilverplane caught in the cone of yellow searchlight beams as theyswept the night sky. Thetinkle of hot shrapnel falling on the darkened citymingled with the steady drumbeat of the guns, and the dullrumble of the falling bombs swelling and fading as succeeding waves of bombers released their cargoupon BermondseyInthe night sky clouds of black smoke rose, partially obscuring the dullglowofthe burning city.

The flames continued their advance, finally leaping across the street, and the last flat on the Approach began to burn. Then, just as we were on the vergeofevacuating,the wind miraculouslydropped. The fire at the end of the Approach was doused and we were reprieved. Thereare no words that Ican put on paper that canrecapturethe totalityof the smells, sounds and sights of that night, but to watch it unfold as ayoung boywas totally mesmerizing.For some days after the raid, as Imademyway along Maze Pond to Snowfields school, allthat remained of that partofBermondseywerethe skeletal outlines of the still smouldering buildings

Oursecond brush with home evacuationwas the result of a raid of no particular severity TheAll Clear hadsounded a shorttime beforeand we were about to getonwith the day’s business,when an air-raid warden came and told us to pack and leaveimmediately. Thereseemed to be no immediate threat, no wailing sirens, no droneofapproaching planes. In response to our perplexed looks, he said simply, “It’sa land-mine,lookout of your top window.” There, on an outstretched signal armonthe train-tracktoCharing Cross,alargeland-mine was hanging by its parachute The shipping in the Pool of Londonwas probablyits intended target but it haddrifted off-course and thereitnow hung like amalevolent plum pudding above the train-tracks. Thewarden said, “Ifitblows, this partofthe Approach willgo.”Sowepackedand left, and spent the time until it was declared safetoreturnsomehours later in the Lyon’s tea house in the Borough High Street. So once again we were spared.

Those sheltering in nearby Stainer’s Street arch on February 17th 1941 were not so lucky. Thearchway, whereshortly beforeIhad attended akids’ Christmas party,received a direct hit, blowing the protectivesteel doors fitted at the

entrances through the archwaykilling sixty-eight and injuring 175. .A fewdayslater,when Ipassed on my way from school,rescuers were stillsearching doggedly through the rubble under agaping hole in the archwayroof.

As the nightlyonslaught of the Blitz petered out, the frequencyand the severity of the raids in the later partof the war diminished to moreofa sporadic nuisance,rather than the direthreat theyhad once posed. Days might pass without the wail of the sirens disturbing the peace, and often when the alarmsounded the intruders proved to be fewin number,ora lone reconnaissance plane scurrying across the sky. TheNazis were in retreat on allfronts,and the threat from the air seemed to haveebbed away, and I suppose we hadbecome complacent. Until oneday in June 1944, the first doodlebug made its appearance over London. When Isaw the first doodlebug or buzz-bomb as theywerealso called, Ican’t remember,but it was an astonishing sight. Iwas walking home up the Borough High Street when suddenlyadistant hum was in the air,and people began to stop and peer at what appeared to be alone aircraftapproaching in the distance.Asitdrewcloser,it became apparent that this was something different: instead of the nowfamiliar engine droneofa Junkers or Heinkel it emitted astrange‘putt-putt’sound, quite unlike anyenemy aircraftthat Iwas familiar with. Then, as it neared, you could see clearly that this was no ordinaryplane,but what appeared to be alargemetal cylinder above whichwas attached asmaller diameter cylinder,fromwhichsquirted a trail of flame.Shortlyafter it hadpassed overheadthe odd ‘putt-putt’sound suddenlystopped, and everyone watched as the strangeobject flew silentlyonnorthwards over the Thames falling slowlyearthwards. Aminute or twolater, the rumble of aheavy explosionfollowedand smoke began to climb into the summer sky

Later,I would find out, that what Iwitnessed that daywas the arrival of aV1, the first of Hitler’s Vergeltungswaffen (Vengeance weapons). TheV1, doodlebug or flying bomb as theywerevariouslycalled was in essence the first operational cruise missile.Overthe coming months I would see manymoreoverLondon, and theyweresoon absorbed into wartime dailylife. It was atense time when oneapproached with its flaming tail and steady puttputting engine,but we soonlearned that, only when the engine died and the doodlebug began its silent glide,did it become an immediate threat. Once it was overhead with the flame from its rocket engine stillburning,you could relax, and watchit fade into the distance awaiting its inevitable decent and explosion. Thedoodlebug carrying almost aton of high explosiveand travelling at almost 400mphprovedchallenging to counter.Barrage balloons and anti-aircraftguns proved to be ineffective, and most of the available fighter aircraftweretoo slowto intercept them, whichinitself was quite hazardous as they

166 –Old Olavian –Olavian 2019

often exploded immediatelyuponbeing hit. Thepreferred technique became forpilots to flyalongside,and use their wing-tips to flip the doodlebugs off-course.Inthe four months following June some 9.000 doodlebugs were launched killing 4,000 and injuring 18,000.people,and continued to strike Londonuntil the Allies overran their launching sites in France in October 1944.

Later,the records sayit was January221945, Iwas to cross paths with Hitler’s other Vergeltungswaffe, the V2. Once again, on adrabLondonwinter’s dayIwas walking up the Borough High Street on my wayhomefromschool. I stopped fora fewminutes at Hielkin’s,the baker’s,tostudy the cream cones and bread-pudding slices in their window beforecontinuing on my wayhome. Ihad just passed the hardwarestoreclose to UnionSt, when therewas aviolent explosion. Even at adistance of some three hundred yards or moreIfelt the blast. Looking back down the Borough High Street Icould see,atthe junctionofthe Borough and Marshalsea Road, acolumn of black smoke beginning to rise in the air.Puzzled passers-bystared at the ascending column of smoke; no alarmhad sounded, and the sky was clear with not aplane in sight. Someone said it seemed to be Moser’s factoryonthe corner across from St George’s church.Moser’s was an engineering company, so perhaps it was an explosionin the factory, whichseemed to be a logical explanation. Moser’s hadnot, however, suffered an internal explosion, but it hadbeen hit by aV2. It struckat 5.15pm, just as the workers were leaving work Thirty-five people lost their lives that day, manyofthem young girls who worked at the factory. Therocketdestroyedmost of the factory, leaving behind abombsite that Ilater passed dailyon my waytoschool.

TheV2was the world’s first long-rangeballistic missile and the first man-made object to enter space.Forty-six feet tall, firedfromamobile launcher,and propelled by aliquid fuel rocket it carried awarheadofalmost aton of high explosives at 3500km/hr.Its speed and short flight-time made anyeffectivedefence impossible.Morethan 1300 of these missiles were launched against Londonkilling 2700 people and injuring 7000 more. Iamlefttowonder what Iwas doing in the vicinityofMoser’s at 5.15pmwhen school finished at 4pm. WasIkept behind at school for some reason,or just dawdling and playing about on my way home? Afew minutes later,and Iperhaps would not be writing this account, but suchare the fortunes of war,a fewmillimetres or seconds oneway or another maybethe difference between lifeand extinction.

However, like most things in life, forsomeeventhe Blitz hadits silverlinings. It was agolden time forkids playing in the streets whichmeant not playing at the end of a driveway,but wandering the neighbourhood unsupervised forhours, returning often only at mealtimes. Acouple

of coats turned anystreet into afootballstadium foran hour or two; cars were fewinnumber,and lorrydrivers seemed not to mind stopping while we cleared the goalposts, replacing them once the lorryhad passed, so that the game could resume Therewas also the pleasureof chasing slow-moving horse and cartsthat youcould hang onto the back of and geta free ride until the driver drove youoff with violent curses, and the granite curbmadea convenient seat fora game of marbles in the gutter or just aplace to sit and watchthe worldpass by.Early on in the war much of Bermondseyand Southwarkhad been turned into amoonscape,pitted with bombsites, manyofwhich remained untouched foryears, even after the war.Some were larger than football fields, with exposed basements, broken walls, and mountains of rubble that could be run around, climbed over,and endlesslyinvestigated. Where camps could be built, stones could be thrown, fireslit, and whereweplayedfor hourswithout an adult in sight. In retrospect we enjoyedawonderful adventureplayground in acitywith probablymoreopen space than hadexisted since the great fire of 1666, and with adegree of freedom unimaginable to today’s five year old.

Another beneficiarywas Mother Nature, who was quick to seizethe opportunitytotake back the land. According to the naturalist RSPFitter,among the first colonists to settle were the commonweeds, fireweed and yellow ragwort, whichinturnattracted the elephant hawk moth and other insects. Soon birds, some not previouslyseen in London,black redstarts and wheatears were nesting among the rubble.Inafew years, Mother Naturehad turned bombsites into wild gardens whereweeds, reeds, fruit bushes and wild flowers flourished,and cabbagewhites and redadmirals flitted among the plantain and dandelions. Thehouse sparrow was everywhere, flocks of starling roosted on buildings nearby,black-headed gulls wheeled squawking overhead, and legions of portlypigeons strutted across the stationforecourt. Thesparrowsand starlings aremostlygone, and even the once ubiquitous pigeonis much reduced in numbers as their post-war habitat has disappeared over the years.

Allthese years later,I am lefttoponder whydid Inever feel personally threatened, nor was Ifearful that my brief life might be abruptlysnuffed out? LargelyIsuspect, because the adults around showednosigns of panic or fear.Ifthey were frightened, and theywould havebeen insane not to havebeen, theynever letmesee it. They always appeared to knowwhat was to be done,and Isimplydid what Iwas told,sublimelyconfident that allwould be well.Ignorance is trulysometimes bliss.

Whydid I, living next to prime targets in Bermondsey, the most heavilybombed locationinBritain, survive the Blitz unscathed while others, apparentlysafeinthe

Olavian 2019 –Old
–167
Olavian

depths of the countryside,fellvictims to bombs randomly jettisoned by aNazi bomber scurrying home? Whocan answer suchimponderables? At five years old, with so little experience of life, the Blitz was to me simplyanew experience,a natural occurring phenomenonin life, akin to the dailyrisingand setting of the sun, the like of whichI hadnever experienced beforeand neverhavesince.Itwas atotally engulfing experience,arching across the night sky, bombarding simultaneouslyall five senses, an immense, exciting cosmic game to whichI was but adiminutiveand astonished onlooker.

Clubs and Societies

Old Olavians’Masonic Lodge No.5758

Ourold school masonic lodgecontinues to flourish. Brian Nicholas, who attended our school whilst it was based in TooleyStreet,has just completed another year as our Master.In2020, Bob Nott, another of TooleyStreet’s former pupils, willcelebrate sixtyyears as amember (and a very distinguished member) since he joined the Lodgein March 1960.

Nowadays,ofcourse,weare an ‘open’Lodge.‘Open’is atermthat really reflects something very important to Freemasonry. We areopen to men of allfaiths, from all parts of the worldand from allwalks of life. Even so, thereisalwaysa feeling of special pleasureinOOLodge when someone associated in some waywith our old school joins us. (A note forour senior girls -Yes, thereare ladies’ masonic lodges too!)

Ourmain vital purpose continues to be fund-raising for others. Ourorganisationactivelysupports ahugerange of charities and good causes. Examples include funds forhospices, medical research,youth organisations and, of course,every appeal that is set up following disasters world-wide.Inthe past we havepurchased or helped to fund lifeboats, the second LondonAir Ambulance helicopter and special equipment needed by hospitals. We havejust completed raising the funds to buy those urgently needed vehicles with long-reach ladders forLondon’s Fire Service –tobeused in rescuing people should firesbreak out in high-rise flats.

If anyreaders of this article feel theywould like to learn moreabout Freemasonryor, indeed, theywant to join us then my contact details are:

Peter GHudson OBE, Hon. SecOld Olavians’ Lodge, 9Downs View Close,Pratts Bottom, Orpington, Kent, BR6 7SU or E-mail me at hudsons91@btinternet.com

Former Choristers

Graham Milne has sent this photographofagroup of old Olavian choristers: he reports that Sunday14th July2019 was Former Choristers’Sundayand the penultimate service forthe Chaplain, who retired at the end of July. His last service hada ‘Packed House’with him just sitting,listening to others doing the work and giving agood resumé of his lifein the Church This was followedbychampagne on the lawn (whereitwas averyhot day!).

Sunday6th October was the first service forthe new Chaplain, Rev. Canon Thomas Woodhouse.Itwas avery good service with afew smallchanges to what we areused to,but only to be expected. After the service we were able to greet his wifeand three of his daughters.

It would be good to see moreofyou former choristers at next year’s service on Sunday, 12th July2020.

Back row -SqLdr Thomas Leyland (Steward), Calab Lee, Christian DeCrue, Tom Dixon ,The Rev. Canon Prof Peter Galloway Middle row -Graham Milne and former Headmaster, Desmond Coulson. Front row -Robert Walker, David Everett (over from Canada) and Ian Clifford.

OldOlavians’South DevonCricket Tour 2019

Well,wedid end up picking just about the wettest week of the summer to tour in, but we only lost twogames out of six to rain and it could havebeen worse.Wewelcomed

168 –Old
Olavian –Olavian 2019
GeorgeGrant (1945-51)

four newtourists who gotastack of runs and everybody hada good time,soon the whole 2019 was another great tour forthe OOs.

After atypically rainydrive down to Devononthe Sunday morning we gottoPaigntonwith the sun breaking through the clouds. Adecent meal and hello to our fellow-tourists in the largeoak-beamed Spinning Wheel pub preceded the game,for whichwewereone playershort. GWoodcock from Paigntonhad very kindly volunteered to playon our side (mostlybecause he wanted to gethis brother out, apparently), and he turned out to be averyuseful addition. We were in the field and he tookthe first over and whipped it down brisklyon agood length and gota wicket with his second ball. Skipper Lance Giles was pressed into opening at the other end, since the OO tour fast bowling cupboard was as bareasanun’s drinks cabinet as per usual at the start of the week, and generated abit of new-ballswing and got awicket too.After eight overs the scorewas 38 fortwo and it was time to startshuffling our fairly scarce bowling resources. Andy BradleyfromKenn, who hadguested for us on acouple of games the year before, was back formore, and came on with the batsmen looking to playall the shots in the book. He struckwith his first ball, abeautifullypitched leg-spinner that beat the forwarddefensiveprod of the batsman to take off-stump,and he struckagain with his fourth ball, when our Woodcockfulfilled his wish and caught out his brother Woodcockatdeep squareleg Andy bowled another batsman in his second over to leave Paigntonreeling at 49 for five off twelve overs.

That was the zenith of our bowling fortunes, however. After twogloriously-flighted and tricksy overs, Andy seemed to panic alittle at howwellit was coming out and lost his length and gothit out of the attack.Ian Giles and DaveColloff revved up their engines and hada pop,but the ballwasn’t swinging much and we didn’t getanother wicket until the twenty-fifthover, by whichtime the score hadreached 153. Newtourist and normally wicketkeeper,James Gillin, hada burst from the bottomend, but was stillstraightening himself out from the ride down in Colloff’s teensy carand felt abit stiff.Hebowled some excellent balls and afew looser ones and gotadeserved wicket beforesummarilytaking himself off.L Giles and Bradleyreturned to moderate success and our Woodcock came back in time to take the wicket of another relationof his (S Woodcock) beforethe home team were allout for 233 in 36.4 of the possible fortyovers.

Thetea was brilliant, just like last year.We’djust about managed arespectable bowling performance,but 233 was on the fringes of what was within our batting grasp and we’d need everyone to be at the top of their form to come close to it. Sadly,things didn’t go our way. James Hubbard hadnot playedsince he was last on tour afew years ago

and seemed on the vergeofsettling down just beforehe gotout; Andy Underhill, another guest from Kenn, gota bit of ashooter to be bowled early,and local OO-friend SimonBurrellgot his padinthe wayofastraight one. Ourcheerful Liverpudlian, Gilly,hit afew nice shots to showwhat he could do and then missed onethat rattled his timbers fornineteen. Pete White hit acouple of fine shots beforedeparting too,whichprecipitated abit of aslide Lance and DaveColloff found themselvesatthe crease with the scoreon 69 foreight from 24 overs. To the everphilosophical Colloff,however, this was water off aduck’s back,and he happened to find himself in good touch. He proceeded to smash three lovely fours and, if he’d had Jack Leachatthe other end, would no doubt havewon us the game.UnfortunatelyLeach was busy elsewhere, and Lance missed with aswing and gotbowled by the last ballthat was bowled beforethe rain started to pour down. Allthe players tookshelter from the cloudburst in the pavilionand most thought that that was it forthe game However, the home skipper was fairly keen to go out there and complete the job,and the OOsthought it would be a bit churlish not to let them do so,considering howsoundly theyhad been winning.After forty-five minutes or so the sun hadcomebackand we agreed to hurryout forone last thrash. Colloff crashed acouple moreboundaries and was then out for27whichpushed the OOs’ scoreupto119. At least we hadmadetriple figures and shown we were men of magnanimous character,and hopefully we willbe able to make abetter showing next year

It was lovely and sunnyatSidmouth the next day, and we found the ground sporting some newtwenty-foot netting on posts along the bottomwallguarding the road and beach beyond. Apparentlythe netting hadalready stopped severalballs from exiting the ground, but we were rather dubious that it would havebeen high enough to stop Sage’s six and ensuing holiday-maker-bonce-collisionfromthe previous year whichhad precipitated its purchase

Home skipper Chapman claimed theywereanunusually young team and we mayaswellbat first in aforty-over game,and theywould trytochase down anything we posted. His opposite number LGiles tried to convince him that atimed game would offer more flexibilityvia a declarationincase oneside was proving amite superior, but Chapman was having none of it. So be it. The Olavian ranks hadbeen bolstered overnight by the arrival of five warriors from ODCUACO– Jamie Batten and Chris Webster hadbrought along three buddies –and we fancied our chances against anyteam Sidmouth could conjureup. Young buckHenryHamiltonopened with Gillin and looked immaculate while facing the tight and cageylines of Graham Mundayin his last seasonat Sidmouth beforeretiring,and it was ashockwhen he was suddenlyout stumped for23. Hubbard(18) hit some nice

Olavian 2019 –Old Olavian –169

runs while not quite settling into his stride,and after 18.2 overs the tourists were arespectable 96 forthree.Chris Webster was joined by newbie Mike Parr and theyquickly set about changing the complexionofthe game.Over the next nine overs theyblazed merryhelltoput on 125 runs beforeWebster retired on 110. Nick Kirby,another newtourist from Petts Wood, who hadbeen on the verge of touring forabout ten years, was the next man in and an excellent bat, and we stillhad plentyofbatting in reserve and things were not looking too rosy forSidmouth’s young team. As Parr continued to smite sixes with gusto,Lance ranabout the place trying to getwordtoChapman that we needed to declareeventhough it was aforty-overgame,but Chapman hadhad to leavethe field to take abusiness call By the time he had finished talking shop the OOswereon 248 off 29 overs. “Ah”,hesaid slowly, “That’s gonesouth rather quickly, hasn’t it? Let’sjust carryonwhile they getthe tea laid out and then we’llthink about it.”Word was passed to Parr to slowitdownabit, but Mike was gripped with bloodlust and in the zone.Hecouldn’t help hitting another six and afour and,as the tea ladies flustered around with baskets of sandwiches, Giles tookanexecutive decisionand waved the batsmen in. Thescorewas 271 for five from 31.2 overs and Parr hadmadeaboisterous 83* and seemed alittle miffed he hadnot been allowedto continue the carnageuntil he hadreached three figures. He is acheerful chap,though, and acouple of strawberry scones soonput it out of his mind.

Since our spearheadJamie Bneeds the scent of napalm in his nostrils to getgeared up foranopening salvo,OO warheadnumber two, DaveColloff,tookthe first over of the second innings. He was partnered at the other end by Nick K, and both of them put in tidy stints and got awicket apiece,both from fine catches in the slips by Webster.Kirby in particular with onewicket fortwelve runs from sevenovers quicklydoused anyhope theremay havebeen of achallenging run-chase.EdNott came on once the shine was off the balland bowled some furiously energetic leg-spin that bounced and spat from the rough. He gotawicket in his first over (a good catchby Batten) and looked areal handful throughout his spell. Lance put in afairly uneventful twirlatthe other end until with his last ballhebowled Chapman for39toleaveSidmouth on 84 for five from twenty-five overs. Oh,itwas uneventful apartfromahumorous incident when Parr demanded he go in at second slip and then proceeded to drop onethat hit him in the chest, whereuponhewas promptlyremoved to midwicket. His place in the cordonwas taken by Nott who almost immediatelytooka catchoff Batten, who had come on to tryhis hand at some off-spin. Webster followed that with twomorecracking catches in the slips off Batten and Hamilton. HH hadalso begun to plyhis spinning trade. He joined the party with an LBW(the victim was Mundayfor nought, who felt obliged rather indignantly

to remind the air nearby of the appeal he hadhad turned down against Henryhimself earlier in the day), and James Hubbardcame on to take the last wicket (caught Kirby) with his left-armspin and Sidmouth were allout for119 in 38.5 overs.

It was agreat shame it hadnot been moreofa contest because practically everyone in the touring side could laylegitimate claims to being an all-rounder,sowehad basically fielded twenty-two players. Thebright side was that the early finish leftmoretime forsocialising afterwards,and we hadagoodchat with the Sidmouth boys and eventually leftthem with everybody looking forward to acloser game next year.DaveColloff was the last to leaveand, after making surehis passengers were allsafely aboard, he gotbehind the wheel of his chariot and tried to put his safetybelt on.Tug.Tug tug! No use,itwas not budging.“Whyare youtrying to put on my safetybelt?” came apolitelydrawled inquiryfrombehind him. Our stalwartumpireSteve Parsons hadbeen reviving himself from his long duties and the tensionofthe daywith several convivial beers and hadmanaged to buckle himself in using the driver’s seatbelt.

Theforecast hadbeen prettygloomy forthe middle of the week, and therewas a fine drizzle in the air as we had breakfast on Tuesdaymorning.Devon seems to be a patchworkofmicroclimates,however,and it’s quite possible that oneplace canbe flooded out while somewherejust up the road doesn’t feel adropall day. SadlySandfordwas oneofthe wetplaces that day, and we gotthe call early on that the game was off due to too much rain overnight. Cricket was not to be entirelydeterred, however, and the OD lads instigated acut-throat game of beach cricket, followedby golf at Starcross. We decided to bring the tour quiz forwardand haveitthat night so that therecould be afocal event in the dayfor everyone to take partin. TerrySmith ranit with agripofironand quizzed us on allsorts of amazing facts from life’svaried tapestry. Sadly no huffs, walkouts or fisticuffsoccurred, but the rest of the quiz was perfect.

Wednesdaymorning was not much better than Tuesday, but the sun was meant to muscle its waythrough later on in the day, so after aspot of lawn bowls (whereJGillin demonstrated his bowls stylewas very similar to his “whack it”batting style) we headed down to Torquay’s ground in reasonable hopes of getting agame in, even if we hadtoreduce the overs alittle Their friendly skipper, DWhittington, was in fullagreement, and we settled on twenty-five overs-a-side and aslightlydelayedstart.

Even though Nott hadhad achance to bat at Sidmouth (he hadfaced oneballbeforethe declaration) we allowedhim to open the innings. Sadlyhe found himself facing afew

170 –Old
–Olavian 2019
Olavian

thunderbolts throwndownbylocal club pro, Tolley,and gotcaught in the slips without troubling the scorer.White (13) and Hamilton(27) tookthe scoreonsteadily. Gillin gotarush of blood alittle early and was stumped to leave the OOson 46 forfour from ten overs. Mike Parr carried on his fine form from Sidmouth and was playing very well, but he kept losing partners at the other end. LGiles hit oneinthe air,and Webster and skipper Sanjay(who’d just arrived from London) found ways to getthemselvesout without scoring at all. DColloff proved to be of more use and stuckaround while Parr strucksomemoreruns. DWhittingtonbrought himself on and Mike tookan immediate liking to his medium-pace.Hecrashed the first four balls forsix and should probablyhavestopped there, but couldn’t resist going fora fullset and gotcaught on the boundaryfor arollicking 59 from thirty-one balls. Evans and Giles Iwereboth bowled and the OOs finished on 138 from 24.3 overs, whichwethought was probablyabout 20 shortofParr.I mean “par”!

Webster and IGiles opened the bowling tightly, Ian bowling DWesternwith his first ballon his wayto excellent figures of onewicket forten runs from his five overs. As the batsmen seemed to be getting the hang of Chris the skipper brought Nottyonfor awhirl. He did well initially too,sending the ball fizzing down and taking awicket in his second over.Number five batsman M Cromptonsettled down quicklythough, and began to look quite comfortable.Chris Evans began with atop-quality wicket maiden beforebeing hit forafew,and LGiles had similar results. In sucha shortgame if anybatsman really gets in it makes allthe difference,and although the tourists hadhad some early success theycould not find away to sustain pressureon the batsmen. Cromptonretired for aquality51 but the next batsman in knewhow to hold a bat too.After twentyovers the OOshad been 123 and Torquaywere106, but, whereas during the final five overs the tourists hadscored fifteen,the home side were only five wickets down (plus oneretiree) and were able to accelerate to reachtheir target with almost twoovers remaining Still, it hadbeen afun game playedin the right spirit. Whittingtonhad staggered his first team stars sensibly with his weaker batsmen, and everyone gotachance to do something.Torquay’sPresident (and long-time OO tour supporter), Ken Jeffery, hadkindly invited us alltobepart of acelebrationevening theywerehaving that night at the club to markhis presidential year,and after listening to the speeches while sipping acouple of refreshing drinks in the sunset we headed off out fordinner under the bright lights of the town.

Thelast twoyears had seen the OOswin at South Devon with scores of 136 and 139, so we were expecting another tight affair this year Thetourists were struggling alittle with availabilityfor the last twogames of the week and it

was nice of home club member JontyTupmantoplayfor usagain, after helping us out last year at Kenn. He was joined by fellow South Devonian,HenryBurningham,who apparentlyhadn’tplayedfor afew years, and James Tyler, who was ayoung cricketer from Exeter who hadanswered the call. Thetourists batted first in aforty-overgame. Tupman, opening the batting,couldn’t repeat the fiftyhe made foruslast year as he was bowled fortwo.Hubbard and IGiles found the going tough on atypically difficult wicket. LGiles (20) stuckaround forabit. Pete White hit alovelyfour beforebeing bowled, and Colloff crept to six beforehewas out lbw. TheOOs were now69for six off twenty-two overs, and even by South Devonstandards things were looking abit bleak. Luckilythe remaining batsmen stepped up to the plate.James Tplayed fluently fortwenty-one very useful runs; Sanjaysmote nineteen, HenryBstrucksixteen not out and James Gillin biffed fifteen (Chris Evans was sadlyrun out fornought to at least earnhimself alittle rubber duckduring the awards that evening) to raise the tourists’ total to 145 from 37.3 overs. Would that be enough this year? One unusual point to note was that the home skipper hadenforced a maximum of four overs per bowler on his unit, so that all ten players apartfromthe keeper hadgot abowl. It had worked out prettywellfor them!

JamesTyler tookthe first over and the wayhe sent the ball down at adecent pace on agood length was awelcome sight. Chris Evans tookhis annual slot as second bowler and put in another top stint of accurate spin. Along with arun out, theygot us off to awonderful start– Tyler one foreight from six overs and Evans onefor twenty-two from eight. Could the rest of the bowlers keep it up? Sticking with spin (thereweren’t manyother options anyway) the skipper brought on Sanjayand newteam-mate Henry B. Sanjay’s first over went forsix, and Henry’swent for nine,and with suchalow total to defend therewereafew nervous looks around. Both bowlers settled down quickly though. Leg-spin is a fiendish thing to attempt if you havenot playedfor awhile,and Henrydid agreat job of landing it while stillretaining enough actionon the ball to beat the bat on occasion. They both gotawicket, but number five bat, Salinda, hadgot his eyein by nowand the scorekept creeping up.Sanjaygot asecond wicket with the last ballofhis spelltoleaveSouth Devonon93for six off twenty-sevenovers. Onlyfour runs an over required, but six wickets down. It looked likelythat things maybe decided on whether Salinda gotout or not. Gileses Iand Lwereentrusted with the last batchofovers. Afew more overs and runs ticked by –onlythirty-three runs needed from eight overs now–beforeLancemanaged aquicker shooter-ish deliverythat hit Salinda on the pads in frontof the stumps. Up went umpireParsons’ finger and Salinda was gonefor 45. Ian followedthat up with awicket, lbw, in the next over,and twomorewickets in consecutiveovers

Olavian 2019 –Old Olavian –171

finished off the innings. South Devonwereall out for 120 from thirty-six overs and the tourists hadwon another nail-biter.Ifithad not been forour three guests we would havenever comeclose, and it was really good of them to turnout forusand to put in suchaneffort, despite Jonty and James both injuring their legs forthe cause while they fielded.

With Brian Cantle sadlyunable to make tour this year,Ray Michael tookonDinner Supremo duties that night and tookusthrough the cricketing feats of the week,dispensing awards forcricketers and tour supporters alike in the style of the Oscars. DaveColloff then gaveout acouple of prizes fornon-cricketing activities in an enchanting bedtime-storyfashion.

Theforecast forFridaywas diabolical, and the actual weather matched it perfectly. Thegame against Kenn was called off early on,bringing the week’s fun to amildly disappointing end, but we stillhad achance to drop in on Teignmouth on the waybackhomeand havea nice stroll around in raincoats and take lunchinthe Ship Inn.

It hadbeen another thoroughlyentertaining tour,inno smallpartdue to the cricketing prowess and unfailing good humour of allfour of our newtourists (well, five including Nick Kirby,and it would be great if he could come formore than onegame!). They hadsettled in so quicklyit was as though theyhad been coming foryears, and we hope to see them back next year.

Manythanks to our ever-dependable umpire, Stephen Parsons, forhis hours on the field, and to everyone who scored during the week, especially RayMichael who did most of it. Morethanks aredue to DaveColloff for handling the unpopular task of asking people formoney wheneveritwas required forsubs. A final thank youto everyone else who came down on tour with us and who helped to make it sucha jolly week –Linda Michael, the whole Hubbardclan (Malcolm,Carole,Clare,Rebeccaand William), Ed and RosemaryDavey,Derek Birmingham (hope the leg’s better next year), Becky Sarjeant, Kathy Staff,Pennie Giles and the Bayliss-Giles quartet (Andy,

Craig,with Masonand Freddie on their first tours too).

If anyone is reading this and thinks theymay like to be therewhen it allhappens again in 2020, just drop me aline or see the OldOlavian CC facebookpage: https://www facebook.com/oldolavianscricketclub/

Lance Giles (1988-95)

Results

SundayvPaignton (40 overs):

Paigntonwon by 114 runs.

Paignton233 allout in 36.4 overs (A Bradley3-47,LGiles 2-32, GWoodcock2-47)

OldOlavians 119 allout in 35.1 overs (D Colloff 27, J Gillin 19)

MondayvSidmouth:

OldOlavianswon by 152 runs.

OldOlavians271 for5dec (C Webster 110 *retired out, MParr 83)

Sidmouth 119 allout (H Hamilton2-9, JBatten 2-12)

172
–Old
Olavian –Olavian
2019

TuesdayvSandford:

Rained off

WednesdayvTorquay(25 overs):

Torquaywon by 4wickets.

OldOlavians 138 allout (M Parr 59, HHamilton27)

Torquay142 for6(IGiles 1-10)

ThuvSouth Devon(40 overs):

OldOlavians wonby25runs.

OldOlavians145 allout (J Tyler 21, LGiles 20, S Ranasinghe 19)

South Devon120 allout (I Giles 2-8, LGiles 2-11, S Ranasinghe 2-33)

Fridayv Kenn:

Rained off

OldBoys’ Notes

Colin CWOODWARD(1969-76) has written to tellof an extraordinarycoincidence when he met afellowOld Olavian in the PitcairnIslands: Of the 10 passengers on a boat trip from FrenchPolynesia to the PitcairnIslands to see the solar eclipse on Oeno early in July2019 and stay on PitcairnI,now retired, hardlyexpected to come across another OO -but therewas one, nowa dual NewZealand national, Ian Griffin(OO 1977-84 and currentlyDirector of the OtagoMuseum in Dunedin).

Theeclipse was in fullcloudcover but staying with the descendants of the Bountymutineers was fascinating and made up in partfor the disappointment.

As aconsolationfor missing the eclipse Ian then went on a trip on NASA’s SOFIA -here’shis informal feedback.Ian wrote the following to friends: Hi, Everyone,Just gotback from an overnight flight on NASA’s SOFIA Observatory. Ihope the attached files make youall suitablyjealous! Therewas an astonishing displayofthe auroraduring our flight this evening! Hope youare allwell. Iwilldump images from the eclipse trip to ashared drivewhen Iget some sleep!

Mā te wā

Hadthe eclipse not been clouded out Colin tells us that he

would haveincluded aphoto of the twoofthem, but that, as it was obscured, that would havebeen abit contrived!

Herefollowthree of the photographs whichIan distributed:

BrianTOOKEY(1986-93)hassentthefollowingthoughts on his later days at StOGS: “I was School Captain formy year.Itwas the first time the positionwas elected by the student body rather than appointed by the Head(Idon’t actually knowifthis is stillthe case; it was an innovation pioneered by Dr Moxon and agreed by Headmaster Mr Coulson). Aslightlyunusual voting system with asingle transferable vote,denied Matt O’Donohue the position, and Iwas installed instead. At the end of the final term, I was asked to giveanaddress to our year and their parents at adinner in the Great Hall. Imadea poor job of the speechand remember thinking that Matt would havedone it better.Looking back,I wish Ihad said something like this: “Ninetyofussit here,onthe vergeofleaving the school after sevenyears and none of us knowwhat will happen when we enter the real world. On our credit side,we’ve achieved the best-everA-levelresults, national semis forthe rugbyteam, produced an inspired production of West Side Story, launched a couple of bands and raised arecordamount forRag week. On the debit side,we’re institutionalized and consumed by petty rivalries, we’reprettyclueless around women and historyis unlikely to treat our fashion of long greasyhair kindly

“Inthe years to come,asthe science,Latin and grammar fades, Ibet we’llstill be able to reciteBaldwin, Boswell, Boundy, Craddock, Cryer, Draper or Bachelor,Booker, Bradburn, Burrows, Chatrath, Chowdhury, Dixey…orBerlin, Besford, Bradshaw, Butcher,Coole,Cunningham…. Andwe’ll remember the everyday events that went on as we grew from boys to men. Andsomyhopefor us is this: we keep up our friendships and,onthe occasions when we bump intoanother member of our year,wetake the chance to go foradrink and retell the stories of howwe survivedand mostly thrived at St Olave’s.”

Olavian 2019 –Old Olavian –173

In Memoriam

Charles COLE (1940-47) died on 30 December 2018 at the ageof89. Fellow-Olavian, Leslie Watmore(194047), has sent the following tribute: This year began forme with the very sadnewsthat my life-long friend Charles Cole haddied in December.I received this news from his wifeAnnette with whomhe hadlived forsomeyears in the South of France.Hejoined the school in Torquayin 1940, as Idid, and very quicklyestablished areputationas anatural linguist and agifted artist. In fact the only school subject at whichhenever excelled was maths whicheluded him allhis life.

We stayedevacuated in Torquaythroughout the War, by whichtime we hadreached the classical Sixth under Mr.Rodgers who was our guide and mentor.Our other close friend was Ian Walker,the athlete who became an international long jumper.Healso was aclassicist and

the most of his years in France and Italywherehebecame fluent in the local languages. My wifeand Ialwaysgreatly enjoyedstaying with him in the various parts of France and Italywherehe happened to be living.Myregret is that, living so far away, Idid not see moreofhim in later years although he neverforgot his beginnings as he showed when he celebrated his eightieth birthdayata lunchwith his extended familyplus my wifeand me in arestaurant close to TowerBridgenear the old school building

John HOLLAND (1941- ) died in hospital on 28th June 2019 –his wife, Pamela, wrote to tellusthe sadnews.

Ronald ROBINSON (1941-47) died in July2018. His wifephoned with this sadnewssix months later in January 2019.

Charles STUART (1939-41 and 44-46) Trains, planes and marathons

We only hearddetails of Charles’sdeath twenty-six years agorecently, but thought that his extraordinarylifeshould be recorded forOlavian posterity. His daughter,Shay Knowles, has written the following tribute:

during our sixth-formyears we hadthe privilege, through Ian’s sister’s business connection, to havefrequent use of a boxinthe AlbertHalltolisten to great orchestral music. Allthree of us gained entrytoOxbridgewhichwas something of ararityfor three Bermondseyboys, so much so that the Borough council recorded this achievement at oneofits meetings and notified the local press. Charles obtained aspecial mentionfor tworeasons, namelyhewas bornin Barham buildings whichhad averypoor reputation at the time (theyare in aturning off TooleyStreet);and, in spite of that humble beginning,hewon amajor scholarship in classics to ClareCollege, Cambridge.

Allthree of us leftschool in 1947 and were conscripted into the army.Charles was posted to what was Italian Somaliland and by the time of his demob he hadreached the rank of captain. Afterwards at Cambridgeheobtained aFirstinthe first tripos and then changed to psychology wherethe maths partofthe syllabus did not suit him. Thereafter,Charles largelylived abroad. He married three times and produced five children. He neverseemed to generate much enthusiasm forhis career,but insteadmade

Charles Stuartwas borninLondontoScottish parents in 1928. After his death in 1993 he was described in an obituarynotice published in TheTimesas“askilled and ardent upholder of British air transportthroughout the past 25 years” who “madeimportant contributions to the management and efficiencyofawide rangeofBritish air services” and in the DailyTelegraphas“adriving forcein the competitiveworld of Britain’s regional airlines” with “charismatic leadership”.

He was evacuated to Torquaywith St Olave’sand remained fond of Torquayall his life. Thefamilyspent acouple of years in Harrogate,but he was delighted to returntoSt Olave’sSixth Form near TowerBridgeatthe end of the war.Hewas aChelsea fan and lovedplaying football.

After militaryservice he attended the LondonSchool of Economics, then astimulating left-wing establishment, gaining aBSc in Economics. He represented the LSE at football, and edited the LSE newspaper.Hesubstituted forafemale delegate on an NUS trip to Exeter University, and when he arrived at the women’s hall, the warden called to anearby student, “What arewetodo with this young man?” Thestudent in questionwas Anne; theymarried in 1951 and hadthree children.

He was with British Rail from 1951 to 1969, starting as a trafficapprentice,ending in the central planning unit for the British Rail Board. As research assistant at the British TransportStaff CollegeatWoking he met airline staff and

174
–Old Olavian –Olavian 2019

this led to his next career

Charles began at asubsidiaryofBritish European Airways BEA and BOAC merged in 1972 forming British Airways,whereheeventually became HeadofPlanning and Pricing with aseat on the Board. He contributed to setting up the Shuttle service (turnupand take off), reorganising BA,planning forsetbacks(oil crises, wing cracks in Tridents) and reshaping IATA (International Air TransportAssociation). Lifewas unpredictable.Hewas on the boardofCyprusAirways and was on the last plane out of Cyprus when the Turkish army invaded in 1974. In 1975 aBA flight from Manchester to Heathrow was hijacked. Thepassengers were allowedoff at Heathrow as the hijacker believedthe plane would flytoParis. It landed at Stansted, whereCharles and severalothers waited with aransom. Unable to use it, theysearched in their pockets forchangetobuy snacks. He and other directors attended the funerals of people who died in the Zagreb air crash in 1976. On impulse he bought aticket forthe first Laker Skytrain in 1977 just beforeit tookoff,sohe was closeted with the press forthe entire flight.

At British Airways,hegot the chance to attend aJohn Ridgwayoutwardbound course. The first morning he hadtochoose awalk or runbeforebreakfast. He chose the run. At first he couldn’t runa hundred yards, but eventually ranone marathonamonth fora year around the world, completing allbut oneofthem (he gotblisters in Bermuda). When the LondonMarathonwas initiated by Chris Brasher in 1981, Charles competed, and he was instrumental in providing flight tickets forelite athletes, thus raising the profile of the race

In 1983,he bought afarminDevon,and retired. However he was soonindemand, becoming chairman and chief executiveofBrymonAirways in Plymouth. He reorganised and refinanced the companyand rebuilt the airport. He was involved in setting up LondonCityAirport(Brymon hadthe shorttake-off and landing -STOL-planes the locationdemanded). He was awarded the Freedomofthe CityofLondonin1988 in recognitionofthis. In 1989 he delivered the Brancker Memorial lectureatthe Chartered Institute of Transport. In 1990, Brymon won the award forthe world’sbest regional airline from the Americanbased magazine ‘International Air TransportWorld’.

In 1990 he leftBrymonand was appointed HeadofSouth West Regional Health Authorityfor twoyears. He was prepared to tackle difficult issues; he felt that, if airline bookings could be flexible and suited to customers, so could hospital appointments. He was involved in other local services; he was Chairman of Plymouth CityAirport, Director of South-West Water,Governor of Plymouth Universityand Governor of East DevonCollege.

At the time of his death –aged64-he was fullofplans to introduce anew airline,Air Bristol. He enjoyedreading, and occasionally wrote bookreviews forthe Western Morning News. He died in bed with aMorse book (finished, we think) at his bedside

Olavian 2019 –Old
–175
Olavian

THEOLD OLAVIANS HONORARYOFFICERS 2019

PRESIDENT

Andrew Rees, Headmaster

TheHeadmaster’s House,StOlave’sGrammar School, GoddingtonLane,Orpington, Kent BR6 9SH Tel: 01689 820101

CHAIRMAN

ChrisHarris, chairoldolavians@gmail.com

COMMITTEEMEMBERS

Graham Milne

Paul Ouseley

BillProuse

Rajiv Purwar

EDITOR OFTHE OLDOLAVIAN

John MBrown, 60 TheLawns, Rolleston-on-Dove,Staffordshire, DE139DB

Tel: 01283 813976 e-mail: johnmbrown60@gmail.com

SECRETARIESOFAFFILIATEDCLUBS AND SOCIETIES

CRICKET CLUB

Lance Giles, c/o 44 Harwood Avenue, Bromley, Kent, BR1 3DU

Tel: 07891 725488 e-mail: lancegiles@hotmail.com

FIVESCLUB

HowardWiseman, 7Genoa Road, Anerley, SE20 8ES Tel: 020 8778 0752

OLDOLAVIANS’LODGE (No. 5758)

Peter GHudson OBE 9Downs View Close,Pratts Bottom Orpington,Kent, BR6 7SU

Tel: 01689 858583 e-mail: hudsons91@btinternet.com

RUGBY CLUB

Phil Grayson, 57, ByrneRoad, Balham,LondonSW127JB Tel: 07971 878750

HOLYOAKROOM

St Olave’sSchool, GoddingtonLane,Orpington, Kent, BR6 9SH

OLDOLAVIANS ADMINISTRATOR

Jane Wells jwells@saintolaves.net

176 –Old
2019
Olavian –Olavian

Turn static files into dynamic content formats.

Create a flipbook
Issuu converts static files into: digital portfolios, online yearbooks, online catalogs, digital photo albums and more. Sign up and create your flipbook.