





























Being the largest mining school in Africa, we stand proudly among the top 11 mining schools worldwide.



















































![]()






























Being the largest mining school in Africa, we stand proudly among the top 11 mining schools worldwide.




















































As the largest mining engineering school in Africa, with more than 50 mining engineers graduating annually, the school is strategically positioned to supply world-class talent to the global mining industry and to play a leading role in advancing sustainable mining.
Recognised as one of the world’s best mining engineering schools, ranking 11th worldwide, the School of Mining Engineering at the University of the Witwatersrand (Wits) continues to set the benchmark for excellence in mining education. With capacity for approximately 750 students, including 550 undergraduate and 200 postgraduate students, the school is supported by a dedicated team of 23 academic staff members and 12 technical and administrative staff.
With roots dating back to 1896 in Kimberley, where the school was established to support South Africa’s diamond rush, the school has stood at the forefront of mining education for well over a century
Today, building on this remarkable legacy, Wits Mining is now driving a new era of mining education through a reimagined undergraduate curriculum, postgraduate programmes and short courses that embrace advanced technologies and intelligent systems, including artificial intelligence, machine learning, automation, digitalisation and data-driven innovation.
The school stands at the forefront of developing internationally recognised graduates and researchers who are ready to address the mining industry’s most pressing demands. By combining academic excellence, innovation and practical relevance, the school is cultivating the expertise and leadership needed to advance mining into a future that is smarter, safer, and firml grounded in sustainability.



w w w.wits.ac.za/miningeng/
OFFICE BEARERS AND COUNCIL FOR THE 2025/2026 SESSION
President G.R. Lane
President Elect
T.M. Mmola
Senior Vice President
M.H. Solomon
Junior Vice President
S.J. Ntsoelengoe
Incoming Junior Vice President
M.C. Munroe
Immediate Past President
E. Matinde
Honorary Treasurer
W.C. Joughin
Ordinary Members on Council
W. Broodryk M.A. Mello
A.D. Coetzee K. Mosebi
Z. Fakhraei M.J. Mothomogolo
B. Genc S.M. Naik
F. Lake G. Njowa
K.M. Letsoalo S.M. Rupprecht
S.B. Madolo A.T. van Zyl
Co-opted Council Members
K.W. Banda
M.L. Wertz
Past Presidents Serving on Council
N.A. Barcza W.C. Joughin
R.D. Beck C. Musingwini
Z. Botha J.L. Porter
V.G. Duke M.H. Rogers
I.J. Geldenhuys G.L. Smith
R.T. Jones
M.L. Wertz – TP Mining Chairperson
W. Broodryk – TP Metallurgy Chairperson
C.T. Chijara – YPC Chairperson
T.S. Ndlela – YPC Vice Chairperson
Branch Chairpersons
Botswana K. Mosebi
DRC Vacant
Johannesburg A. Hefer
Limpopo M.S. Zulu
Namibia T. Aipanda
Northern Cape Vacant
North West T. Nsimbi
Pretoria P.G.H. Pistorius
Western Cape M.H. Solomon
Zambia N.M. Kazembe
Zimbabwe L. Shamu
Zululand Vacant
*Deceased
* W. Bettel (1894–1895)
* A.F. Crosse (1895–1896)
* W.R. Feldtmann (1896–1897)
* C. Butters (1897–1898)
* J. Loevy (1898–1899)
* J.R. Williams (1899–1903)
* S.H. Pearce (1903–1904)
* W.A. Caldecott (1904–1905)
* W. Cullen (1905–1906)
* E.H. Johnson (1906–1907)
* J. Yates (1907–1908)
* R.G. Bevington (1908–1909)
* A. McA. Johnston (1909–1910)
* J. Moir (1910–1911)
* C.B. Saner (1911–1912)
* W.R. Dowling (1912–1913)
* A. Richardson (1913–1914)
* G.H. Stanley (1914–1915)
* J.E. Thomas (1915–1916)
* J.A. Wilkinson (1916–1917)
* G. Hildick-Smith (1917–1918)
* H.S. Meyer (1918–1919)
* J. Gray (1919–1920)
* J. Chilton (1920–1921)
* F. Wartenweiler (1921–1922)
* G.A. Watermeyer (1922–1923)
* F.W. Watson (1923–1924)
* C.J. Gray (1924–1925)
* H.A. White (1925–1926)
* H.R. Adam (1926–1927)
* Sir Robert Kotze (1927–1928)
* J.A. Woodburn (1928–1929)
* H. Pirow (1929–1930)
* J. Henderson (1930–1931)
* A. King (1931–1932)
* V. Nimmo-Dewar (1932–1933)
* P.N. Lategan (1933–1934)
* E.C. Ranson (1934–1935)
* R.A. Flugge-De-Smidt (1935–1936)
* T.K. Prentice (1936–1937)
* R.S.G. Stokes (1937–1938)
* P.E. Hall (1938–1939)
* E.H.A. Joseph (1939–1940)
* J.H. Dobson (1940–1941)
* Theo Meyer (1941–1942)
* John V. Muller (1942–1943)
* C. Biccard Jeppe (1943–1944)
* P.J. Louis Bok (1944–1945)
* J.T. McIntyre (1945–1946)
* M. Falcon (1946–1947)
* A. Clemens (1947–1948)
* F.G. Hill (1948–1949)
* O.A.E. Jackson (1949–1950)
* W.E. Gooday (1950–1951)
* C.J. Irving (1951–1952)
* D.D. Stitt (1952–1953)
* M.C.G. Meyer (1953–1954)
* L.A. Bushell (1954–1955)
* H. Britten (1955–1956)
* Wm. Bleloch (1956–1957)
* H. Simon (1957–1958)
* M. Barcza (1958–1959)
* R.J. Adamson (1959–1960)
* W.S. Findlay (1960–1961)
* D.G. Maxwell (1961–1962)
* J. de V. Lambrechts (1962–1963)
* J.F. Reid (1963–1964)
* D.M. Jamieson (1964–1965)
* H.E. Cross (1965–1966)
* D. Gordon Jones (1966–1967)
* P. Lambooy (1967–1968)
* R.C.J. Goode (1968–1969)
* J.K.E. Douglas (1969–1970)
* V.C. Robinson (1970–1971)
* D.D. Howat (1971–1972)
* J.P. Hugo (1972–1973)
* P.W.J. van Rensburg (1973–1974)
* R.P. Plewman (1974–1975)
* R.E. Robinson (1975–1976)
* M.D.G. Salamon (1976–1977)
* P.A. Von Wielligh (1977–1978)
* M.G. Atmore (1978–1979)
* D.A. Viljoen (1979–1980)
* P.R. Jochens (1980–1981)
* G.Y. Nisbet (1981–1982)
A.N. Brown (1982–1983)
* R.P. King (1983–1984)
J.D. Austin (1984–1985)
* H.E. James (1985–1986)
H. Wagner (1986–1987)
* B.C. Alberts (1987–1988)
* C.E. Fivaz (1988–1989)
* O.K.H. Steffen (1989–1990)
* H.G. Mosenthal (1990–1991)
R.D. Beck (1991–1992)
* J.P. Hoffman (1992–1993)
* H. Scott-Russell (1993–1994)
J.A. Cruise (1994–1995)
D.A.J. Ross-Watt (1995–1996)
N.A. Barcza (1996–1997)
* R.P. Mohring (1997–1998)
J.R. Dixon (1998–1999)
M.H. Rogers (1999–2000)
L.A. Cramer (2000–2001)
* A.A.B. Douglas (2001–2002)
* S.J. Ramokgopa (2002-2003)
T.R. Stacey (2003–2004)
F.M.G. Egerton (2004–2005)
W.H. van Niekerk (2005–2006)
R.P.H. Willis (2006–2007)
R.G.B. Pickering (2007–2008)
A.M. Garbers-Craig (2008–2009)
J.C. Ngoma (2009–2010)
G.V.R. Landman (2010–2011)
J.N. van der Merwe (2011–2012)
G.L. Smith (2012–2013)
M. Dworzanowski (2013–2014)
J.L. Porter (2014–2015)
R.T. Jones (2015–2016)
C. Musingwini (2016–2017)
S. Ndlovu (2017–2018)
A.S. Macfarlane (2018–2019)
M.I. Mthenjane (2019–2020)
V.G. Duke (2020–2021)
I.J. Geldenhuys (2021–2022)
Z. Botha (2022-2023)
W.C. Joughin (2023-2024)
E. Matinde (2024-2025)
Editorial Board
S.O. Bada
P. den Hoed
I.M. Dikgwatlhe
M. Erwee
B. Genc
A.J. Kinghorn
D.E.P. Klenam
D.F. Malan
D. Morris
P.N. Neingo
S.S. Nyoni
M. Onifade
M. Phasha
P. Pistorius
P. Radcliffe
N. Rampersad
Q.G. Reynolds
I. Robinson
S.M. Rupprecht
Past President’s serving on the Editorial Board
R.D. Beck
R.T. Jones
W.C. Joughin
C. Musingwini
T.R. Stacey
S. Ndlovu*
*International Advisory Board member International Advisory Board members
R. Dimitrakopolous
R. Mitra
A.J.S. Spearing
E. Topal
D. Tudor
F. Uahengo
D. Vogt
Editor/Chairperson of the Editorial Board
R.M.S. Falcon
Typeset and Published by
The Southern African Institute of Mining and Metallurgy
PostNet Suite #212 Private Bag X31 Saxonwold, 2132
E-mail: journal@saimm.co.za
Printed by Camera Press, Johannesburg
Advertising Representative
Barbara Spence
Avenue Advertising

Journal Comment: Can the mining sector absorb its new talent at present? by F. Uahengo
President’s Corner: Strengthening the professional pipeline for the future of the minerals industry by G.R. Lane v
Technical note: Mud rushes and water inflows in underground mines. A call to arms to save lives by K.L. Morton 141
THE INSTITUTE, AS A BODY, IS NOT RESPONSIBLE FOR THE STATEMENTS AND OPINIONS ADVANCED IN ANY OF ITS PUBLICATIONS.
Copyright© 2026 by The Southern African Institute of Mining and Metallurgy. All rights reserved. Multiple copying of the contents of this publication or parts thereof without permission is in breach of copyright, but permission is hereby given for the copying of titles and abstracts of papers and names of authors. Permission to copy illustrations and short extracts from the text of individual contributions is usually given upon written application to the Institute, provided that the source (and where appropriate, the copyright) is acknowledged. Apart from any fair dealing for the purposes of review or criticism under The Copyright Act no. 98, 1978, Section 12, of the Republic of South Africa, a single copy of an article may be supplied by a library for the purposes of research or private study. No part of this publication may be reproduced, stored in a retrieval system, or transmitted in any form or by any means without the prior permission of the publishers. Multiple copying of the contents of the publication without permission is always illegal. U.S. Copyright Law applicable to users In the U.S.A. The appearance of the statement of copyright at the bottom of the first page of an article appearing in this journal indicates that the copyright holder consents to the making of copies of the article for personal or internal use. This consent is given on condition that the copier pays the stated fee for each copy of a paper beyond that permitted by Section 107 or 108 of the U.S. Copyright Law. The fee is to be paid through the Copyright Clearance Center, Inc., Operations Center, P.O. Box 765, Schenectady, New York 12301, U.S.A. This consent does not extend to other kinds of copying, such as copying for general distribution, for advertising or promotional purposes, for creating new collective works, or for resale.
Honorary Legal Advisers
M H Attorneys
Auditors
Genesis Chartered Accountants
Secretaries
The Southern African Institute of Mining and Metallurgy 7th Floor, Rosebank Towers, 19 Biermann Avenue, Rosebank, 2196
PostNet Suite #212, Private Bag X31, Saxonwold, 2132 E-mail: journal@saimm.co.za
Telephone (011) 463-7940 . E-mail: barbara@avenue.co.za ISSN 2225-6253 (print) . ISSN 2411-9717 (online)



Technical note: Mud rushes and water inflows in underground mines. A call to arms to save lives by
K.L. Morton
PROFESSIONAL TECHNICAL AND SCIENTIFIC PAPERS
Improving grade estimation using machine learning: A comparative study of ordinary kriging against machine learning algorithms by A. Akpabio, R.C.A. Minnitt 143
This study presents a rigorous comparison between ordinary kriging and commonly used machine learning algorithms for spatial interpolation of platinum grade estimates in a complex ore body within the Bushveld Igneous Complex. The study underscores the critical importance of spatially aware validation in resource estimation, and it highlights that machine learning models constrained to spatial coordinates behave as interpolators rather than true learners of geological variability. Recommendations are provided for future work incorporating geological information to enhance predictive robustness.
A review of current practices of survey control in sinking shafts in Southern African operations by E. Vascotto, S.M. Rupprecht, H.C. Grobler ........................................................................
This paper reviews and synthesises current survey control methodologies employed during shaft sinking operations. By documenting both established and emerging practices, this review aims to preserve critical institutional knowledge, support consistent survey standards, and provide guidance for accurate spatial control throughout the shaft sinking lifecycle.
Investigation of the effect of mechanical, drillability, abrasiveness, and excavatability properties of Zonguldak Basin coal surrounding rocks on grindability by C. Aldı, O. Yaralı .............................................................................................. 167
The primary parameter linked to more economical excavation of tunnels in underground mining activities was believed to be the grindability of rocks. In this study, the Hardgrove Grindability Index and Bond Work Index tests were used to establish the grindability of 7 different coal environment rocks from the Zonguldak Basin, Uzulmez Region. Significant relationships were found between the grindability of the rocks and other parameters.
Comparison of the Committee for Mineral Reserves International Reporting Standards Template-based mineral reporting codes with implications for mine planning in mineral development projects by M. Burnett, C. Musingwini, C.C. Birch, G. Njowa
The Committee for Mineral Reserves International Reporting Standards fosters alignment of national and regional mineral reporting codes. However, differences persist in the way mine planning results are reported. Previous studies have focused on comparing mineral reporting codes. This paper updates and extends such comparisons by exploring how similarities or differences in reporting should influence the mine planning process. It also recommends some principle and process changes to assist mine planning professionals to improve consistency and comparability in reporting mine planning results.
Attainable region analysis for batch/continuous reductive column leaching of oxidised cobalt-bearing ore by M.B. Kime
This study applies attainable region analysis to optimise cobalt recovery from oxidised ores via reductive leaching with sulphur dioxide and sulphuric acid. The results revealed that increasing recirculation ratios improves cobalt yield while reducing sulphur dioxide losses, with attainable efficiencies exceeding 90% cobalt recovery and < 20% sulphur dioxide loss. The study proposes practical reactor network configurations and attainable region methodology in minerals engineering.
Preparation, characterisation, and application of spent tyre-derived activated carbon chars for total organic carbon removal from wastewater by M.R. Mulaudzi, R.H. Matjie, K. Mphahlele, J.R. Bunt, X. Goso, P.O. Osifo, K. Premlall
This study investigates the transformation of pyrolytic spent tyre-derived char and crumb rubber into high-performance activated carbon chars for industrial wastewater remediation. These findings validate waste tyres as a viable, low-cost precursor for industrialgrade adsorbents, offering a sustainable circular economy route for tyre valorisation and reduced industrial disposal costs. Future research will focus on kinetic modelling and the recovery of zinc from spent tyre-derived activated carbon char residues.
The effect of retention time in mineral sands recovery by F. Bornman
Current spirals in mineral sands extraction are deemed inadequate to efficiently extract the valuable minerals. A new spiral was developed with the aim of extracting the total heavy minerals in the order of 4.0% - 6.0% and the economic heavy minerals in the range 1.0% - 2.2% from the feed. An important measurable factor in the gravity concentration of mineral sands is recovery. The paper quantifies the effect of residence time on recovery.
175
193


Can the mining sector absorb its new talent at present?
“Four to six years spent drowning in theory, clutching at the few pockets of practical experience offered along the way. Then comes that electrifying moment of tense but hopeful, where you’re convinced that all the late nights, group projects, and exam battles will finally pay off. That the knowledge you earned will soon translate into real work… and fuller pockets.
But reality has a way of interrupting the fantasy. Suddenly, every vacancy is ‘already filled’, despite yesterday’s headline insisting that several mines are desperate for skilled personnel.”
This is the crossroads where many young graduates find themselves, not just in the mining sector, but across industries. Degrees in hand, ambition in heart, only to discover a job market that seems to be playing a completely different game.
The mining industry is facing a striking paradox: companies struggle to find skilled mid career professionals, yet new graduates cannot land their first job. The shortage is not in numbers, but in experience. As automation and digitalisation transform mining, technical roles now demand operators who can handle real time data, automated systems, and AI supported processes. Tasks that once formed the essential training ground like routine inspections, sampling, and basic equipment checks, are increasingly absorbed by technology. This raises a tough question: Are universities evolving at the same pace as the industry they serve? And can they do it without a strong education-industry-government alliance?
At the same time, a large cohort of experienced engineers and operators is heading into retirement, taking decades of hard earned, site based knowledge with them. Graduates, even the brightest, cannot instantly fill these high stakes roles that require “experience density” built on years of hands-on exposure. And another honest question arises: Are young professionals prepared for remote mining realities, or does the pull of urban life quietly narrow the talent pipeline?
So where did the skills gap truly emerge? Did the industry fail to train enough successors early on, or did the people it trained drift away halfway through their careers? Whatever the cause, the result is the same; a widening disconnect between what mining needs and what new talent is equipped to offer.
To close this gap, the industry must rethink its early career pathways. This means deeper, more intentional collaboration with universities, curricula that reflect the digital mine of today, not yesterday, consistently funded graduate programmes, and strong mentorship structures to transfer critical knowledge before it vanishes. These commitments must persist even through market downturns. In parallel, refreshing the industry’s public image, and offering more flexible work models where possible, could help attract and retain the next generation.
With enrolment rising again in mining and metallurgical programmes, the opportunity is right in front of us. Now the sector must act decisively to align its evolving needs with the skills of graduates and the expectations of the workforce of the future. Only then can mining secure the talent pipeline it desperately needs.
F. Uahengo


AStrengthening the professional pipeline for the future of the minerals industry
t the recent SAIMM Banquet and Awards Evening, I had the opportunity to share an update on the evolving SAIMM value proposition and strategy, one that is directly focused on addressing the challenges and constraints facing our industry.
The event was a full house, with over 350 industry leaders in attendance, alongside more than 40 students representing the next generation entering our profession.
I had the privilege of sponsoring a table of students for the evening, which, going forward, is something I will be challenging companies and individuals across our industry to support.
What stood out for me was the impact that a single evening can have.
For many of these students, it was their first opportunity to engage directly with industry leaders and to meet leaders like Ms Mogaleadi Seabela, President of Women in Mining South Africa, Ms Connie Chijara, Chairperson of the SAIMM Young Professionals Council, and the incredible innovator Mr Tebogo Kale, Chairperson of the Southern African Coal Processing Society. The occasion offered these students a glimpse of what is possible in their own careers. It showed them that exposure matters.
It builds confidence.
It creates aspiration.
And it connects students to the professional community they are about to enter.
This is how the professional pipeline starts, not only in lecture halls, but through meaningful engagement with the industry itself. It is a simple but powerful example of how we can all contribute.
“The future of our industry will not be constrained by the minerals in the ground, but by the depth of professional capability required to develop them.”
It was from this perspective that I shared a broader reflection on the state of our professional pipeline and the role that SAIMM can play in strengthening it.
An emerging capability challenge
I have spent the last six months actively engaging with industry leaders, heads of academia and research institutions, and other key stakeholders. Across the industry, there is a growing concern that the depth of experienced and competent professionals is becoming a constraint.
We have an ageing cohort of experienced technical professionals, while at the same time the complexity of our industry continues to increase. Modern mining and metallurgy require a broad range of multidisciplinary capabilities, from mining and metallurgical engineering through to environmental, mechanical, mechatronics, electrical and industrial disciplines, as well as data science, automation, and systems thinking.
At the same time, we continue to produce graduates.
This highlights an important reality: The challenge we face is not simply one of numbers, it is a skills mismatch.
Graduates are entering the system, but the pathways that once developed them into capable, industry-ready professionals are fragmented and inconsistent. The structured progression from graduate to experienced professional is no longer clearly defined or consistently supported.
A fragmented professional ecosystem
When viewed across the full journey, from students entering university, to graduates, to candidate professionals, to registered professionals and to industry leaders, it becomes clear that we are dealing with a fragmented ecosystem.
Universities are facing funding pressures and challenges in attracting and retaining academic capability. Industry training pathways vary significantly. Workplace learning opportunities are inconsistent. And the institutions that play a role in this system—universities, industry bodies, regulators, and training organisations—often operate independently rather than as part of a coordinated whole.
The result is a system where graduates may struggle to enter the industry, while at the same time the industry experiences a shortage of experienced professionals.
“This is not simply a pipeline problem. It is an ecosystem problem.”
Professional registration and industry expectations
Overlaying this challenge is the increasing importance of professional registration.
The Engineering Council of South Africa’s Identification of Engineering Work (IDoEW) has gazetted the requirement that identified engineering work must be performed by registered professionals, including key activities within our industry, aligning with global engineering best practice.
I have written about this in more detail in a previous President’s Corner article, but the implication is clear:
If we do not develop a sufficient pipeline of professionals progressing towards registration, we will create a constraint in the industry’s ability to operate and grow.
This further reinforces the need for a coordinated and functioning professional ecosystem.
The question we have been asking is simple: What role should SAIMM play in addressing this challenge?
The answer that is emerging is that SAIMM is uniquely positioned to function as a steward of the professional ecosystem. We sit at the intersection of industry, universities, and professionals. We have access to industry leaders, we support technical knowledge sharing, and we engage across the full professional pipeline, from students through to industry leaders.
This is not a departure from our traditional role, but an evolution of it.
Strengthening the foundations –
A key step in this journey has been the establishment of MEESA, with SAIMM as the industry facilitator.
This initiative brings together the heads of mining schools across our universities and creates a platform for structured collaboration between academia and industry. This is just the beginning, as it will extend to include metallurgy and other disciplines as we learn and expand the initiative.
The importance of this cannot be overstated.
For the first time, we have a coordinated structure that enables alignment on curriculum, industry requirements, funding challenges, student throughput, and the broader development of future professionals.
This is a critical foundation in rebuilding the professional pipeline.
Building the ecosystem
Alongside this, we have initiated the SAIMM Academy, which focuses on strengthening learning pathways from graduation through to professional competence. The objective is not to reinvent what already exists, but to coordinate and integrate the capabilities that are already present across universities, industry, and service providers.
Our continuous professional development (CPD) structures are being strengthened to support mentoring, coaching, and progression towards professional registration.
The SAIMM Young Professionals Council continues to play a critical role in representing early-career professionals and strengthening the transition from university into industry.
And our technical programme remains central to knowledge sharing and professional development across the industry.
Importantly, we are also strengthening our internal operating model. For example, every SAIMM meeting now has a clear purpose, defined outcomes, and a structured agenda aligned to achieving those outcomes. This focus on operating discipline is essential if we are to deliver consistently and effectively.
A system that must be built together
This is not something that SAIMM can deliver alone.
Building a strong professional pipeline requires alignment across universities, industry, regulators, and professional bodies. It requires industry to take an active role in developing professionals, not only within their organisations, but across the broader ecosystem.
It requires experienced professionals to contribute through mentoring, coaching, and knowledge sharing.
And it requires young professionals to take ownership of their own development.
Rethinking the value model
As we continue to develop this value proposition, we will also need to consider how it is funded.
If we are to build an integrated ecosystem that supports professional development across the full pipeline, we will need to explore alternative funding models that better align with delivering value to the industry.
This may include greater industry participation, new partnership models, and mechanisms that enable broader access to development opportunities.
The objective is simple: To create a system that delivers real value while strengthening the long-term capability of the profession. Looking ahead
The opportunity for our minerals industry is significant. Global demand for critical minerals continues to grow, and Southern Africa is well positioned to respond.
But realising this opportunity will depend on our ability to develop and sustain a pipeline of capable professionals.
This is the challenge before us.
And it is one that requires collective leadership.
I am reminded again of the students who joined us at the SAIMM Banquet and Awards Evening.
For many, that evening was their first real connection to the professional community they are entering. What we do next, as an industry, as professionals, and as SAIMM, will determine whether those students become the capable, experienced professionals our industry will depend on in the future.
“What we do next will determine whether today’s students become the capable professionals our industry depends on.”
SAIMM will continue to play its role as the home of the professional.
I encourage all members to get involved and contribute.
Because the future of our industry will be determined not only by the resources we have, but by the people who develop them.
G.R. Lane President, SAIMM
Affiliation:
1KLM Consulting Services, Groundwater Consulting, South Africa
Correspondence to: K.L. Morton
Email: kmorton@klmcs.co.za
Dates:
Published: March 2026
How to cite:
K.L. Morton. 2026. Technical note: Mud rushes and water inflows in underground mines. A call to arms to save lives Journal of the Southern African Institute of Mining and Metallurgy, vol. 126, no. 3, pp. 141–142
DOI ID: https://doi.org/10.17159/2411-9717/KLM/2026
by K.L. Morton1
Abstract
This technical note reviews the status quo of mud rushes and flooding, which have claimed the lives of many people in underground mines in South Africa and globally. Given that the causes are well known and can be managed, the note calls for the development of a national and global standard on flood and mud rush prevention in order to save lives.
Background and review
Mud rushes and flooding have claimed the lives of many people underground, yet it can be managed and prevented.
Mud rushes and water inflows have been documented since the 1800s. In 1815, Heaton Colliery in the Northeast of the United Kingdom faced an inflow that killed 75 men and boys, wiping out the village’s entire male population. The inflow resulted from flooded, abandoned workings that burst into the active mine down the only shaft. Due to this disaster, mining regulations were drawn up to ensure that all mines would, from then on going forward, have an escape way. It is a truism that safety in mining advances on the graves of the fallen. Every time there is a major disaster, mine safety and regulations are improved to save lives. However, even with the application of the regulation requiring second shafts or escape ways, there have been over 86 flooding and mud rush disasters worldwide, resulting in the deaths of over 1 800 miners underground (Vutukuri, Singh, 1995; Butcher et al., 2000; Butcher et al., 2005; Morton et al., 2026; WMC, 2003).
In recent times, there have been several disasters in Southern Africa, including the Mufulira copper mine inrush in Zambia during1970, killing 89, Vaal Reefs gold mine No 5-shaft inrush in 1990, killing 21, Wesselton diamond mine Kimberley mud rush in 1992, killing 4, and now recently on 17 February 2026, the mud rush at Ekapa diamond mine Kimberley, killing 5 people. Internationally, an 800 000-tonne mud rush occurred at Freeport McMoran’s copper and gold Grasberg Mine in Indonesia on 8 September 2025, killing 7. Grasberg has a history of mud rushes and collapsed ground with 28 fatalities recorded in 2013.
The Southern African Institute of Mining and Metallurgy (SAIMM) has a solid track record of reporting on mud rushes with published papers detailing methods of control (Butcher et al., 2005; Holder et al., 2013; Hilton et al., 2012; Morton, 2021), and the Safety in Mines and Research Advisory Committee (SIMRAC) booklet on methods of combating mudrushes in diamond and base metal mines by Butcher, Joughin, and Stacey (2000). Despite these publications, mud rushes are still considered inevitable, and fatalities continue to occur.
Water inflows and mud events are predictable; using modern automated monitoring methods combined with a better understanding of the role of water, risk can be mitigated (Morton, 2008; Morton et al., 2008). There is now an opportunity to create an international standard for the prevention of inflows and mud rushes.
In 2019, the Brumadinho tailings failure in Brazil, which killed 270 people, spurred international investors to create the Global Industry Standard for Tailings Management (GISTM). The GISTM was funded by the International Council on Mining and Metals (ICMM, representing major mining companies), the United Nations Environmental Programme (UNEP), and Principles for Responsible Investment (PRI), representing institutional investors. The initiative was heavily driven by the Investor Mining and Tailings Safety Initiative, led by the Church of England Pensions Board and the Swedish National Pension Funds’ Council on Ethics, which brought together over 100 institutional investors with over USD25 trillion in assets under management to ensure the project was funded and implemented.
The GISTM has revolutionised the way in which Tailings Storage Facilities (TSF) are managed worldwide, has increased safety, and has enabled insurance companies to evaluate risks for each mine; thus, driving incentives to implement the standard. The Global Tailings Management Institute (GTMI) has been established in Johannesburg. It is an independent, non-profit organisation to oversee and drive the implementation of the GISTM. Its primary mission is to ensure “zero harm” to people and the environment from tailings facilities by holding mining companies accountable to the standard.
The recent Grasberg and Ekapa incidents have created a similar outcry from investors who would like to see better management of mud and water to prevent fatalities and injuries underground.
The work done in Southern Africa on combatting mud rushes and inflows can be expanded and developed using modern monitoring techniques to increase safety in mining. Early guidelines are available that can be improved on and amalgamated into a global standard (Butcher et al., 2000; Hilton et al., 2012; Morton, 2021). Figure 1 shows the anatomy of an imminent mud rush event in a kimberlite mine, which details the location of the contributing factors for a mud rush.
The causes of mud rushes are well known and comprise three contributing factors:
➤ Presence of mud-forming materials (‘slippery’ rock or fines).
➤ Head of water (phreatic surface above a specific maximum level).
➤ Triggers including:
Overdraw
Seismic event (natural or man-made)
Increase in head of water (natural or man-made).
Each of these can be monitored and controlled. The dominant factor (which can be controlled) is the weight of water (head) that drives a mud rush. This can be reduced by accurate management of the water drainage through a mine and monitored using a 3D distribution of pore pressure using monitoring devices that can be plotted in real time (Morton et al., 2008). Figure 2 shows the head distribution in a hypothetical mine being drained by small diameter drillholes and an improved, best practice water table, which can be achieved with a circular drainage gallery that lowers the head below the extraction level.
When water levels are maintained below the extraction level there is little risk of mud rush.
Structural geological mapping and modelling can be used to plot the routes that water can take to reach underground (Morton, Millsteed, 2023). Monitoring of the head distribution of water around block caves can be used to understand, and then reduce the water pressure, which drives mud rushes. The distribution of water can be managed by accurate diversion of stormwater and drainage of country rock surrounding the mining area. Flood control can be improved using satellite rainfall prediction techniques, satellite mapping, and catchment monitoring to design systems that prevent the inrush of water to underground mines.

mines. A call to arms to save lives

The time is ripe to call for a global standard on flood and mud rush prevention. A similar strategy as used by the GISTM would enable the guideline to be developed very quickly and then implemented timeously to save lives and reduce risk.
Butcher, R.J., Stacey, T.R., Joughin, W.C. 2005. Mud rushes and methods of combating them. Journal of the Southern African Institute of Mining and Metallurgy, vol. 105, pp. 817–824.
Butcher, R., Joughin, W., Stacey, T.R. 2000. A booklet on methods of combatting mudrushes in diamond and base metal mines. Johannesburg: Safety in Mines Research Advisory Committee (SIMRAC), 35 pp.
Du Toit, C. 2005. Mud rush accident at Dutoitspan mine, 14 January 2005: Mining method recommendations to reduce/minimise risk of further mud rushes. Internal report. De Beers, South Africa.
Hilton, G., Holder, A., Rogers, A.J., Bartlett, P.J., Keyter, G.J. 2012. Mudrush mitigation on Kimberley’s old scraper drift block caves. In: Proceedings of the 2nd Southern Hemisphere International Rock Mechanics Symposium (SHIRMS 2012), Sun City, South Africa.
Holder, A., Rogers, A.J., Bartlett, P.J., Keyter, G.J. 2013. Review of mud rush mitigation on Kimberley’s old scraper drift block caves. Journal of the Southern African Institute of Mining and Metallurgy, 113 (July), pp.529–537.
Morton, K.L. 2026. Summary of incidents of mud and flood fatalities in underground mines since 1815. In preparation.
Morton, K.L., Millsteed, B.D. 2023. Structural logging and modelling for use in simulation of inflows in mines hosted in hard rock and well-indurated rock masses. In: Proceedings of the International Mine Water Association Conference, Newport, Wales, April 2023.
Morton, K.L. 2021. Accurate diamond mine water control: A historical perspective and guidelines for modern deep underground diamond mines. In: Proceedings of the SAIMM Diamond Conference 2021
Morton, K.L., Muresan, M.C., Ramsden, F. 2008. Importance of pore pressure monitoring in slope stability in surface mining. In: Proceedings of the International Symposium on Slope Stability, Johannesburg: Southern African Institute of Mining and Metallurgy
Morton, K.L. 2008. The hydrogeology of kimberlite mines with specific reference to Finsch Mine. PhD thesis. Imperial College London.
Vutukuri, V.S., Singh, R.N. 1995. Mine inundation: Case histories. Mine Water and the Environment, 14(Annual Issue, Paper 9), pp.107–130.
WMC. 2003. Major hazard audit protocol: Inrushes and subsidence. SAFMHAP-09 Rev. 2, DOCS No. 57103. Australia. u
Affiliation:
1School of Mining Engineering, University of the Witwatersrand, South Africa
Correspondence to:
R.C.A. Minnitt
Email:
Richard.Minnitt@wits.ac.za
Dates:
Received: 20 Feb. 2025
Revised: 25 Sept. 2025
Accepted: 19 Dec. 2025
Published: March 2026
How to cite:
Akpabio, A., Minnitt, R.C.A. 2026. Improving grade estimation using machine learning: A comparative study of ordinary kriging against machine learning algorithms. Journal of the Southern African Institute of Mining and Metallurgy, vol. 126, no. 3, pp. 143–156
DOI ID:
https://doi.org/10.17159/2411-9717/3664/2026
ORCiD:
A. Akpabio
https://orcid.org/0009-0004-1667-8614
R.C.A. Minnitt
https://orcid.org/0000-0002-0267-8152
by A. Akpabio1, R.C.A. Minnitt1
Abstract
This study presents a rigorous comparison between ordinary kriging and commonly used machine learning algorithms, those being, linear regression, support vector regression, decision trees, random forests (RF), and k-nearest neighbours for spatial interpolation of platinum grade estimates in a complex ore body within the Bushveld Igneous Complex. Using only X and Y coordinates as predictors, both ordinary kriging and machine learning models were evaluated at point and block supports under traditional and spatial block cross validation frameworks. While naive validation results suggested superior performance for k-nearest neighbour and random forest (R² = 0.92 and 0.86, respectively), these were revealed to be overly optimistic under spatial dependence. Spatial block cross validation results demonstrated substantial declines in model performance, with R² often falling below zero, particularly for decision trees and k-nearest neighbour, indicating strong overfitting and limited generalisability. Ordinary kriging exhibited more stable, albeit modest, performance under spatial validation, reflecting its strength in geostatistical interpolation when contextual geological variables are unavailable. The study underscores the critical importance of spatially aware validation in resource estimation and highlights that machine learning models constrained to spatial coordinates behave as interpolators rather than true learners of geological variability. Recommendations are provided for future work incorporating geological information to enhance predictive robustness.
Keywords machine learning, ordinary kriging, grade estimation, geostatistics, platinum group elements, spatial block cross validation
Introduction
The life of a mining project is typically assessed during feasibility studies well before production (Sinclair, Blackwell, 2002). Because mining is capital-intensive, reliable estimation of grades and tonnages are essential to technical and economic decision-making, alongside mine planning, scheduling, and processing capacity considerations (Deutsch, Rossi, 2014). Within this context, ordinary kriging (OK) remains a cornerstone. It exploits spatial autocorrelation via variogram modelling and provides linearunbiased point predictions with quantifiable estimation variance. Comparative studies, however, show mixed outcomes. For example, in platinum group element (PGE) deposits, OK and simple kriging can perform differently across grade ranges (Mpanza, 2015), while for strongly skewed gold, nonlinear disjunctive kriging outperformed OK. For moderately skewed copper, performances were similar and implementation choices were decisive (Hekmatnejad et al., 2017). These findings imply that an algorithm’s performance is data and implementation dependent, especially in geologically complex settings such as the Bushveld Igneous Complex, where sharp grade fluctuations, variable seam thickness, and structural disruptions complicate modelling.
At the same time, there is growing interest in the use of machine learning (ML) for grade and resource estimation (Dumakor-Dupey, Arya, 2021). With claims that kriging requires substantial expert input, particularly in variogram modelling and parameter selection, ML models are increasingly being adopted because: (1) they can capture complex features, (2) they do not rely on assumptions about the spatial distribution of grades, and (3) they require comparatively less expert knowledge (Erten et al., 2021).
A recent systematic review and comparative study by Mahboob et al. (2022), documents the increasing use of ML models, often reporting competitive or superior accuracy to inversedistance/kriging baselines in specific cases. The study highlights inconsistencies across deposits, data regimes, and evaluation protocols. The first key lesson is that, how models are validated, strongly conditions the conclusions drawn about their relative performance.
This introduces the adoption of spatially-aware cross validation, so that the cross validated error(s) better reflects prediction at new locations rather than near-replicates of the training data (Roberts et al., 2017). Framing the study around spatial validation clarifies both the methodological choices made and how the results were interpreted.
A second lesson from Mahboob, et al. (2022), is the importance of feature engineering. Many successful ML applications integrate geological, structural, geochemical, geophysical, and spatial predictor variables to capture nonlinear relationships beyond pure spatial interpolation. In contrast, using only spatial coordinates (X, Y, [Z]) effectively constrains ML models to act as interpolators, which is conceptually closer to kriging than to ‘learning’ geological features.
In this study, predictor variables for PGE grade were restricted to only X and Y coordinates because they are consistently available across the domain and representative of common earlystage datasets, allowing ML models to be framed explicitly as nonparametric spatial interpolators. This design choice is deliberate but limiting.
Against this backdrop, the study objective was to provide a transparent, side-by-side evaluation of OK and several widely used ML algorithms: Linear regression (LR), support vector machines (SVR), decision trees (DT), random forests (RF), and k-nearest neighbour (kNN), at point and block supports.
The study was conducted on a platinum deposit, Project X, located in the eastern limb of the Bushveld Igneous Complex. Confidentiality of the site location is preserved by rotation and translation of the 570 borehole data of which the relative positions are shown in Figure 1. The estimation domain in the X direction ranges from 56837 m to 64759 m, in the Y direction ranges from −185780 m to −178136 m, in the Z direction ranges from 289 m to 1102 m. The average borehole spacing is 324 m.

Cross validation (CV) is a fundamental technique for model evaluation and selection, traditionally relying on random splits of data into training and validation sets. Traditional cross validation like leave-one-out or random k-fold partitions the data into training and test sets under the implicit assumption that samples are independent and identically distributed (Roberts et al., 2017). When this assumption holds, it yields approximately unbiased estimates of generalisation error and supports fair model comparison. In spatial datasets, however, observations that are geographically close (as can be seen in Figure 1) tend to be autocorrelated. Randomly assigning nearby points to different folds creates train-test leakage where information from the test point can inadvertently influence the model through its spatially close neighbours in the training set, leading to optimistic error estimates and potentially biased model selection (Roberts et al., 2017).
Spatial cross-validation modifies the resampling scheme to respect spatial dependence by withholding contiguous blocks of space or buffered neighbourhoods rather than individual points. Common designs include spatially blocked k-fold, leave-locationout, and buffered CV that excludes training samples within a chosen distance of each test location (Wang et al., 2023). Block or buffer sizes are typically set in relation to the spatial autocorrelation range inferred from variograms or correlograms, and block orientation or shape can be aligned with known anisotropy so that folds are separated along the dominant direction of continuity (Stock, 2025). These designs reduce leakage and produce error estimates that better reflect the intended use case, which is, predicting at new locations rather than at points adjacent to the training data. A practical trade-off is that overly large or misaligned blocks can induce unintended extrapolation between folds and thus conservative errors; consequently, fold geometry should be tuned to the prediction task and the measured correlation scale.
Research methodology
OK, ML implementation and validation
Both the ML and OK workflows were implemented using opensource Python libraries. Ordinary kriging (OK) estimation employed the GeostatsPy package, which integrates GSLIB (Deutsch, Journel, 1998) functions into Python. Developed by Pyrcz et al. (2021), GeostatsPy facilitates spatial modelling workflows. Two modules were used: GeostatsPy.geostats, which reimplements GSLIB functions for variogram analysis, data transformation, and spatial estimation; and geostatspy. GSLIB, which provides simple wrappers for visualisation and numerical tools. Using GeostatsPy, OK was applied to mineral grades based on the spatial coordinates of sample points for both point and block estimates.
Machine learning (ML) models were implemented with Scikit-learn, an open-source library offering efficient tools for data preprocessing, analysis, and modelling. Built on NumPy, SciPy, and Matplotlib, Scikit-learn provides a consistent interface for the algorithms used in this study. Predictions were made by splitting the dataset into training and testing subsets and applying Scikit-learn’s prediction framework.
Block estimation followed the microblocking approach of Nwalia et al. (2024), which predicts values at fine scales (microblocks) and aggregates them into larger blocks (macroblocks). Model performance for both OK and ML was evaluated using R², RMSE, and MAE, each offering complementary insights into prediction error.

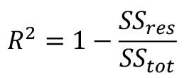
Each metric offers a different perspective on the error between the predicted values by a model and the actual values observed in the data. The formulations and explanations for each are as follows: R2 measures the proportion of the variance in the dependent variable that is predictable from the independent variable(s).

[1]
SSres is the sum of squares of residuals (the differences between observed and predicted values), and SStot is the total sum of squares (the differences between observed values and the mean of observed values). R-squared values range from 0 to 1, where a higher value indicates a better fit to the data.

[2]
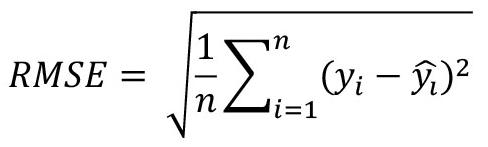
RMSE is the square root of MSE. It measures the standard deviation of the residuals or predictions errors. By taking the square root of MSE, RMSE converts the error metric back to the same unit as the target variable, making interpretation easier. Like MSE, RMSE penalises larger errors more heavily.

[3]
MAE calculates the average of the absolute errors between the predicted values and the actual values. Unlike RMSE, MAE gives a linear weight to all errors, which means it is less influenced by the occasional, but very large errors. It is a straightforward measure of average error magnitude. Scatterplots, histograms of residuals, and swath plots provided useful visual summaries of results obtained from the analyses.
Variogram modelling
Experimental variograms were computed after cell-declustering and normal-score transformation. Guided by the average data spacing, lags of 200 m (tolerance 100 m), 25 lags, bandwidth 100 m, and azimuth tolerance 22.5° were adopted. Directional variograms at 0°, 45°, 90°, and 135° indicated geometric anisotropy with a preferred continuity along a NW-SE direction (135°). Thereafter, a nested spherical model with a nugget of 0.10 and three structures of which the partial sills were 0.15, 0.65, and 0.10 (unit total sill on the transformed scale). Major/minor ranges for the three structures were approximately 200/200 m, 1000/800 m, and 5000/4500 m, respectively, all oriented at 135° (as shown in Figures 2 and 3).



The characterisation of kriging as a minimum variance estimator is valid only when the neighbourhood is appropriately defined (Vann et al., 2003), underscoring the importance of quantitative kriging neighbourhood analysis (QKNA). QKNA identifies the optimal combination of estimation parameters, namely: block size, number of informing samples, search range, and discretisation points, which minimise conditional bias (Chanderman et al., 2017). Performance is assessed using kriging efficiency (KE), which measures how well estimates reproduce local grades, and the slope of regression (SLOR), which indicates smoothing effects between estimated and true grades. A grid search exhaustively evaluates all possible combinations within a predefined set of parameter values (Fgure 4).
A custom function namely, grid_search_kriging (see Appendix A1), was developed to optimise ordinary kriging (OK) parameters based on the geostatspy.geostats.kb2d function, which was modified to handle a three-structure variogram model. For South African deposits, measured resources are typically defined using drillholes spaced 250 m – 300 m apart (Zientek et al., 2014). Accordingly, a 250 m × 250 m block model was adopted, with its origin aligned to the minimum X and Y boundary coordinates.
Due to computational constraints, the grid search parameters (Figure 4) were set up to balance efficiency and coverage ranging from conservative configurations to broader ones. A limited number of discretisation points was used to maintain computational efficiency while attempting to adequately capture spatial variability.
ML and hyperparameters
Sci-kit learn has the GridSearchCV function that, like any grid search strategy, exhaustively considers all parameter combinations
Table 1
ML Hyperparameter search space
Algorithm Hyperparameter (pipeline key)
SVR (RBF, γ='scale')
Random forest
kNN
Decision tree
Grid values
C 0.1, 1, 10
epsilon 0.1, 0.4, 0.8, 1.0
n_estimators 50, 100, 150, 200
max_depth 3, 10, 20
min_samples_split 2, 3, 4, 5, 6, 7, 8, 9, 10
criterion squared_error
knn__n_neighbours 3, 5, 7, 9
knn__weights uniform, distance
knn__metric euclidean, manhattan
max_depth 3, 30, 50
min_samples_split 2, 5, 10
criterion squared_error
min_samples_leaf 1, 5, 10, 15, 20
max_leaf_nodes 10, 50, 100, 200
provided in a grid. Table 1 depicts a conservative hyperparameter search that was adopted to reduce computational demand. Given that the predictors comprised only spatial coordinates, increasing model hyperparameters would not alleviate the under-variation revealed by spatial cross-validation unless additional spatial or geological predictors were introduced.
Minimal preprocessing was applied to preserve the spatial characteristics of the data. The features consisted solely of X and Y coordinates, with no engineered or derived variables. Missing value imputation (median-based) was implemented as an optional step but remained disabled, as there were no missing values. Feature scaling using standardisation was applied only to kNN and LR models, while DT and RF were trained on raw coordinates. This approach ensured consistency and interpretability in comparing ML estimators with ordinary kriging. Linear regression is included as a baseline and has no tuneable hyperparameters in this setup.
Validation framework
Traditional CV (leave-one-out and random k CV)
Leave-one-out cross-validation (LOOCV) was first applied to evaluate the accuracy of the OK model by sequentially withholding each observation as a validation sample and averaging the resulting prediction errors. For the ML models, k-fold cross-validation was used, where the dataset was partitioned into 5 folds; each fold was validated once, while the model was trained on the remaining k–1 folds.
Both LOOCV and random k-fold CV assume independent and identically distributed data, an assumption that is violated with spatial datasets. This spatial dependence can cause information leakage and overly optimistic accuracy estimates making it reasonable to make use of traditional CV for point estimation. Results traditionally CV were retained as naïve baselines to illustrate the optimism introduced by ignoring spatial dependence. Following the guidance of Roberts et al. (2017), Stock (2025), and Wang et al. (2023), this study implemented spatial block cross-validation (SBCV) to ensure independence between training and testing through spatial partitioning.

Spatial block cross validation
In this study, k-fold spatial block cross-validation (SBCV) was performed with k = 5, where each fold comprised multiple noncontiguous spatial blocks assigned in a round-robin manner. Guided by the nested spherical variogram model, anisotropic blocks of 1000 m x 800 m (representing 65% of the partial sill) were oriented along the direction of major continuity (Figure 5).
An 800 m buffer was applied around each test fold and any training sample whose nearest test sample lay within this distance was removed. This buffer radius is approximately equal to the minor direction range of the dominant structure, beyond which the semi variance is close to the sill and the remaining correlation is weak. This is depicted in Figure 6 where training and test samples were well balanced, with approximately 160 – 220 training points and 100 test points per fold. Each test cluster (orange) is located within one or more spatial blocks, while the surrounding training samples (blue) form a halo separated by the 800 m exclusion buffer (indicated by the circles), ensuring spatial independence between training and validation data.
For block estimation, prior to cross-validation, an evaluation grid of centroids was generated to define the spatial prediction support for both kriging and machine learning models. As shown in Figure 7, the blue points represent grid centroids used as prediction locations, while the orange points show the distribution of observed samples. This grid ensured that predictions for both OK and ML were made over an equivalent spatial framework, allowing for direct comparison of model performance at consistent support.
The evaluation grid was then partitioned into spatial folds using the same anisotropic block geometry and orientation. In Figure 8, each colour denotes a distinct fold containing multiple dispersed blocks, ensuring that every portion of the domain was represented in both training and validation phases across the five iterations of cross-validation.
This SBCV framework was implemented identically for both OK and ML to guarantee methodological parity. In OK, predictions were made at block centroids corresponding to the evaluation grid, while ML algorithms were trained and validated using the same spatial folds and exclusion buffers. This approach was to ensure that both methods were evaluated under the same spatial independence assumptions, i.e., block geometry, and variogram guided anisotropy, providing a fair and directly comparable validation of their predictive performance.







Results and discussion
Naïve validation
Table 2 summarises the validation metrics for all models under the naive CV scheme. All models predict a mean grade very close to the true mean (5.76 g/t). The kNN model stands out with the lowest errors (RMSE = 0.644, MAE = 0.211) and highest R² (0.92). The RF model also performs very well (RMSE = 0.846, R² = 0.86). The OK and DT models achieve intermediate performance (OK: RMSE = 0.996, R² = 0.76; DT: RMSE = 1.180, R² = 0.72). In contrast, SVR and LR have much larger errors and lower R² (SVR: RMSE = 1.709, R² = 0.40; LR: RMSE = 2.061, R² = 0.12). These results indicate that kNN and RF provide the most accurate point estimates under naive validation, while LR and SVR perform poorly.
It is important to recognise that, because nearby samples tend to be similar, LOOCV and random k-fold splits allow spatially proximate points to appear in both training and test sets, effectively leaking spatial information. This violates the independence assumption and implies that results obtained are overly optimistic (Roberts et al., 2017). It can further be inferred that naive CV results therefore represent the best case scenario under spatial information leakage; true generalisation performance in unsampled areas is likely to be substantially worse.
Table 2
Summary results for comparative metrics of estimated grade and errors
Influence of model characteristics on naive validation performance
Each algorithm learns spatial structure in a distinct way, and this influences the extent to which conventional validation overestimates model accuracy:
➤ LR assumes a global linear relationship between spatial coordinates and grade, because it cannot capture local spatial variation. Its low complexity prevents it from overfitting to local spatial clusters, so the degree of performance inflation under naïve validation is minimal.
➤ SVR incorporates nonlinear mapping via a radial basis function (RBF) kernel, enabling it to represent smooth spatial trends. Its moderate performance (R² = 0.40) arises from capturing continuous spatial patterns, yet its kernel structure allows partial memorisation of local relationships when nearby samples appear in both training and test folds. Consequently, SVR results under naïve CV are modestly optimistic.
➤ DT models partition the input space into discrete spatial regions based on threshold splits in X and Y. This inherently local structure leads to strong apparent accuracy (R² = 0.72) under naïve validation because nearby training and test samples fall within the same or adjacent partitions. However, such models generalise poorly when validation regions are spatially separated.
➤ RF, an ensemble of decision trees, captures complex nonlinear and local spatial dependencies by averaging across multiple decision structures. Under naïve validation, RF achieves very high apparent accuracy (R² = 0.86), largely because it benefits from repeated exposure to spatially correlated train–test pairs. The ensemble averaging smooths local noise but cannot eliminate spatial leakage, making its naïve performance among the most inflated.
➤ The kNN, which predicts grades as the average of nearby samples, shows the highest apparent accuracy under naïve validation (R² = 0.92). This is a direct consequence of its design; it exploits spatial autocorrelation explicitly. When test points lie within the neighbourhood of training samples, predictions are almost exact. However, kNN cannot extrapolate beyond the spatial domain of its neighbours. Its inflated accuracy under naïve validation is therefore almost entirely attributable to information leakage.
➤ OK models spatial dependence explicitly through the variogram and yields moderately high accuracy (R² = 0.76) under LOOCV. Although LOOCV introduces minor spatial dependence between test and training samples, kriging’s variogram-based weighting limits overfitting compared to purely distance-based ML models.
Evidence of overfitting
The swath plots seen in Figure 9 illustrate the predicted versus observed PGE grade variation along a NW–SE direction at 200 m intervals. For ML models, particularly kNN, DT, SVR, and RF, the predicted curves reproduce the observed grade fluctuations almost exactly, indicating an overly tight fit to local spatial variations, rather than generalised trends. This behaviour reflects overfitting due to spatial information leakage under naïve validation, where spatially proximate samples appear in both training and testing subsets. The DT model exhibits abrupt fluctuations consistent with its piecewise structure, while SVR shows slightly smoother behaviour, yet still mirrors short-range oscillations. A well-generalising model would smooth local noise while preserving broad spatial trends, thus, the high apparent accuracy of these models primarily reflects their exploitation of spatial autocorrelation, rather than true predictive capability.
cross validation
Point estimation
All six algorithms exhibited strong sensitivity to the spatial structure imposed by the 800 m buffered SBCV, with model performance varying markedly between folds. A consistent pattern in R² in Fold 4 emerged across all ML methods and OK.
For DT, error metrics shown in Figure 10 varied substantially across folds, with RMSE ranging from 1.72 to 2.60 and MAE from 1.46 to 2.10, indicating strong sensitivity to spatial location. R² values were negative in four of the five folds (ranging from -0.89 to 0.32). Plots in Figure 11 show that predicted values were tightly clustered around the mid-range of the grade distribution, leading to systematic underestimation of high grades and overestimation of low grades. Residuals were widely dispersed, with large errors occurring throughout the domain.





The kNN model demonstrated moderate predictive performance across the spatial cross-validation folds, with error magnitudes comparable to those observed for DT, but showing slightly more stability. Similar to DT, kNN produced mixed R² scores across folds, with fold 4 attaining a positive value (0.30), but the majority falling below zero, resulting in an overall average of -0.26 (Figure 12). In Figure 13, the residual histogram displays
a roughly symmetric but slightly right-skewed distribution, and the residuals-versus-predicted plot shows larger positive residuals occurring at higher predicted grades.
RF achieved the most favourable performance of the treebased models, though similar limitations persisted under spatial cross-validation. In Figure 14, it can be observed that fold-level RMSE ranged from 1.74 to 2.39, and MAE varied between 1.47




and 1.90, with Fold 4 again yielding the strongest performance. R² values spanned 0.57 to 0.30, reflecting partial, but inconsistent, ability to reproduce spatial variability. Scatterplots and residual diagnostics in Figure 15 further reveal the model’s tendency to regress predictions toward 5 g/t – 7 g/t, capturing general trends but like residuals, which remained broadly symmetric and persistently underestimated higher grade values.
SVR produced results broadly consistent with the other ML algorithms. As with the other models, in Figure 16, Fold 4 consistently yielded the strongest performance, achieving both
the lowest errors and the only clearly positive R². Overall, looking at Figure 17, SVR performs moderately well for central grade values but struggles to reproduce variability at the higher end of the distribution, in line with patterns observed across the other machine-learning approaches.
Model performance of LR across the spatial folds remained relatively weak and broadly consistent with the trends observed for the other ML algorithms (Figures 18 and 19). The R² values fluctuated considerably, from slightly positive in Fold 4 to moderately negative in the remaining folds. Overall, LR produced




stable, but comparatively low predictive accuracy, reinforcing the broader pattern across all algorithms that spatially informed CV imposes a more stringent and realistic assessment of model generalisation.
OK exhibited moderate variability in predictive performance across the spatial folds. RMSE values ranged from 1.95 g/t to 2.40g/t. The R² values fluctuated around zero, spanning from
-0.29 to 0.17, with Fold 4 having the best performance (Figure 20). Residuals followed an approximately symmetric distribution, centred slightly above zero, with no strong systematic patterns when plotted against predicted values (Figure 21). OK achieved performance comparable to the ML algorithms in magnitude of error, but with similarly constrained ability to reproduce the full variability of the assay grades under strict spatial validation.




Block estimation
Both the OK and ML block estimation workflows operate on the same spatial support, ensuring that their predictions are directly comparable. Each method uses an evaluation grid composed of 250 m × 250 m blocks, with the ML grid explicitly aligned to the OK block-model origin and geometry. Although OK applies microdiscretisation (2 × 4) to integrate the block estimate, while ML predicts directly at the block centroid, both approaches ultimately generate estimates for an equivalent block volume, making the results support-consistent.
With the DT model across the five SBCV folds, RMSE ranged from about 1.87 to 2.04, with a marked degradation in Fold 5
(Figure 22). Fold-level R² values varied from weakly positive in Fold 1 (0.14), to strongly negative in Fold 5 (-1.34). The per-fold predicted-versus-observed block plots in Figure 23 shows that DT is tending to compress block means toward a narrow grade band and failing to reproduce extremes, particularly in the poorest fold.
The kNN model performed similarly to, but slightly worse than, the DT model under SBCV. Fold-level RMSE values ranged from about 1.90–1.95 in the better folds (1, 3, and 4) to 2.61 and 2.82 in Folds 2 and 5, with corresponding MAE values increasing from 1.3–1.6 to just over 2.0 (Figure 22). Only Fold 1 achieved a modest positive R² (0.22); Folds 2 and 5 produced strongly negative R² (around –1.2), indicating severe overfitting to local training patterns that do not generalise to withheld blocks (Figure 24).



The RF model predictive strength is modest relative to DT and kNN. Test-fold RMSE values ranged narrowly between 1.83 and 1.99, and MAE values between 1.42 and 1.63, indicating stable, but not strongly accurate block predictions (Figure 25). The model exhibited mixed directional accuracy, with Fold 1 yielding positive R² (Fold 1 0.18), while the remaining folds were negative. This behaviour suggests that while RF occasionally captured meaningful block-scale trends, it struggled to generalise consistently under the spatially constrained training conditions imposed by SBCV.
With SVR, RMSE values across the five folds ranging from approximately 1.64 to 1.99 and MAE values were stable, indicating consistent absolute deviations in predicted block means (Figure 26). The fold-wise R² values fluctuated around zero, reflecting limited predictive strength.
RMSE across folds in LR, have values ranging from approximately 1.76 to 1.98, while MAE values remained within a narrower band of 1.41 to 1.53 (Figure 27), comparable in magnitude to the other ML models. R² values fluctuate around zero, with onefold 1 showing a slightly positive coefficient and others showing marginally negative scores, excluding Fold 3.
OK RMSE and MAE values remain relatively stable across folds, as shown in Fgure 28. Unlike the ML models with R², Fold 1 emerges as the poorest performer together with Fold 3, whilst the best performance was in Fold 4 followed by Fold 5 and then 2.
The contrast of the evaluation results in Table 3 across traditional CV and SBCV mimics real-world applications where predictions are made in new unmapped locations. When assessed under SBCV, all models exhibited a dramatic drop in performance. The R² of SVR declined from 0.92 under naïve CV to -0.06 under point SBCV, and marginally improved to 0.01 under block SBCV. RF showed a similar trend, with R² dropping from 0.86 to -0.17 (point) and -0.05 (block). The kNN and DT experienced the most severe deterioration, reflecting their strong reliance on localised spatial structure. Despite OK`s results also following this trend, its variogram-based approach offers a more spatially coherent prediction framework, though limited in this study by the spatial context held out from the optimisation parameters. The improvement under block SBCV may be due to the fact that, when residuals average out over spatial blocks, the error structure of LR looks less severe.
The failure of LR across all settings highlights a central issue, that is, the exclusive use of spatial coordinates as predictors. All machine learning models functioned as interpolators, attempting to reconstruct the spatial signal without any geochemical or geological features to inform contextual variation. While models such as SVR and RF can learn smooth functions from data, their generalisation capacity is restricted in the absence of explanatory variables that
Table 3
Naïve and spatial block CV evaluation results Model


capture underlying spatial processes. Kriging’s performance suggests greater resilience under strict spatial validation, highlighting its suitability for interpolation tasks when only location data is available.
In Figure 9, it could be observed that under naïve CV, the predicted PGE grades closely followed observed trends, with minimal lag or attenuation. Under SBCV in Figure 29, predictions across all models became markedly smoother and less responsive to high-frequency spatial variation. The amplitude of predicted values was dampened, with extreme values either under or overestimated depending on model bias. In this instance, DT and kNN, in particular, produced overly simplified or noisy estimates that failed to reflect underlying grade trends. RF, while more stable, showed a reduced dynamic range and consistent underestimation of peaks. SVR predictions were the smoothest but frequently misaligned with observed values, especially in transitional zones. These patterns confirm that SBCV exposes models’ inability to reproduce sharp spatial features when deprived of nearby data, again emphasising the limitation of relying solely on coordinate-based interpolation. For point estimation, Fold 4 consistently yields the best R² across all machine learning (ML) models. This suggests that
Fold 4 likely corresponds to a spatial region with smoother grade variability, more consistent sampling density, or higher alignment with the training data’s feature distribution. For block estimation, the performance peak shifts predominantly to Fold 1 across most ML models. This inversion suggests that Fold 1 encompasses spatial blocks that are more homogeneously sampled or better represented in the training data distribution when cross-validation is spatially blocked. On the other hand, OK continued to perform best on Fold 4, again due to its ability to explicitly incorporate spatial autocorrelation and its reliance on a variogram model. This is unlike ML models that inferred spatial structure only implicitly through coordinate inputs. The folds demonstrate the effectiveness of SBCV in mimicking real-world prediction tasks for grade estimation. However, they also highlight a challenge when training and test sets differ significantly in grade distribution. In this study, model performance declined.
Conclusion
This study presented a comparative evaluation of OK and a suite of ML algorithms for grade predictions using a platinum deposit dataset from the Bushveld Igneous Complex. By employing both
traditional and SBCV frameworks, the analysis highlighted the substantial impact of spatial autocorrelation on model performance and the tendency of traditional CV to produce over-optimistic estimates due to spatial information leakage.
Under naïve CV, ML models such as kNN and RF showed high apparent accuracy, but their performance declined sharply under SBCV, revealing limited generalisation when predicting at spatially independent locations. OK, while not immune to degradation under SBCV, demonstrated relatively stable and interpretable behaviour, owing to its explicit treatment of spatial structure through variogram modelling. Among the ML methods, SVR and RF exhibited the most resilience under spatial validation, though still failing to match OK’s coherence at block support.
A critical limitation of this study lies in the use of only spatial coordinates as predictor variables. This design choice constrained all ML algorithms to operate as nonparametric interpolators, limiting their capacity to learn and extrapolate from geological context. As such, the conclusions drawn here relate specifically to interpolation strategies in early-stage or data-constrained scenarios. Additionally, model tuning and validation were carried out under a fixed variogram and buffer structure.
With this study as a baseline, future research will explore the integration of richer (complex) geological, geochemical, and geophysical predictor variables to enhance model expressiveness and predictive accuracy. The study further highlighted that claims of superiority between kriging or ML based models should never be stated in absolute terms. The incorporation of domain-specific knowledge through feature engineering, hybrid kriging-ML frameworks, and advanced deep learning architectures, holds more promise for improving estimation in complex ore bodies. Furthermore, sensitivity analysis on buffer sizes, fold geometries, and variogram configurations in SBCV would aid in developing robust and generalisable validation frameworks. Finally, extending comparisons to conditional simulation or uncertainty-aware models could offer deeper insights into risk and resource classification in geostatistical modelling.
References
Chanderman, L., Dohm, C. & Minnitt, R., 2017. 3D geological modelling and resource estimation for a gold deposit in Mali. The Journal of the Southern African Institute of Mining and Metallurgy, vol. 117, pp. 189–197.
Deutsch, C., Journel, A. 1998. GSLIB: Geostatistical Software Library and User`s Guide. 2nd ed. s.l.:Oxford University Press.
Deutsch, C., Rossi, M. 2014. Mineral Resource Estimation. Berlin: Springer.
Dumakor-Dupey, N.K., Arya, S., 2021. Machine learning—A review of applications in mineral resource estimation. Energies, vol. 14, no. 14, pp. 1–29.
Erten, E. G., Yavuz, M., Deutsch, C.V. 2021. Grade estimation by a machine learning model. Applied Earth Science, vol. 130, no. 1, pp. 57–66.
Hekmatnejad, A., Emery, X., Alipour-Shahsavari, M. 2017. Comparing linear and non-linear kriging for grade predictions and ore/waste classification in mineral deposit. International Journal of Mining, Reclamation and Environment, vol. 33, no. 4, pp. 247–264.
Mahboob, M., Celik, T., Genc, B. 2022. Review of machine learningbased Mineral. The Journal of the Southern African Institute of Mining and Metallurgy, vol. 122, no. 11, pp. 655–664.
Mpanza, M. 2015. Wits wiredspace. [Online] Available at: https://wiredspace.wits.ac.za/items/951f024c-f64f-46ee-9be6027443550b76/full [Accessed 12 November 2022].
Nwalia, G., Zhang, S., Bourdeau, J., Frimmel, H. 2024. Spatial Interpolation Using Machine Learning: From Patterns. Natural Resources Research, vol. 33, pp. 129–161.
Pyrcz, M. et al. 2021. PyPI. [Online] Available at: https://pypi.org/project/geostatspy/ [Accessed 3 December 2023].
Roberts, D. et al. 2017. Cross‐validation strategies for data with temporal, spatial, hierarchical or phylogenetic structure. Ecography, vol. 40, no. 8, pp. 913–929.
Sinclair, A., Blackwell, G. 2002. Applied Mineral Inventory Estimation. s.l.:Cambridge University Press.
Stock, A. 2025. Choosing blocks for spatial cross-validation: lessons from a marine remote sensing case study. Frontiers in Remote Sensing, vol. 6, pp. 1–14
Vann, J., Jackson, S., Bertoli, O. 2003. Quantitative Kriging Neighbourhood Analysis for Mining Geologist - A Description of the Method With Worked Case Examples. Bendigo. Australasian Institute of Mining and Metallurgy, pp. 1–10.
Wang, Y., Khodadadzadeh, M., Zurita-Milla, R. 2023. Spatial+: A new cross-validation method to evaluate geospatial machine. International Journal of Applied Earth Observation and Geoinformation, vol. 121. u
Appendix A 1




Appendix A 1: Source code of the grid_search_kriging function
Appendix A 2: Project code repository https://drive.google.com/drive/folders/1bd07hBcjGWfCchkdMnlLD5hEtmdTbGI0?usp=sharing
Affiliation:
1University of Johannesburg, Gauteng, South Africa
Correspondence to:
S.M. Rupprecht
Email: rupprecht.steven@gmail.com
Dates:
Received: 16 Feb. 2025
Revised: 14 Nov. 2025
Accepted: 13 Feb. 2026
Published: March 2026
How to cite:
Vascotto, E., Rupprecht, S.M., Grobler, H.C. 2026. A review of current practices of survey control in sinking shafts in Southern African operations. Journal of the Southern African Institute of Mining and Metallurgy, vol. 126, no. 3, pp. 157–166
DOI ID:
https://doi.org/10.17159/2411-9717/3672/2026
ORCiD:
S.M. Rupprecht
https://orcid.org/0000-0003-2462-2819
H.C. Grobler
https://orcid.org/0000-0002-4729-5753
by E. Vascotto1, S.M. Rupprecht1, H.C. Grobler1
Abstract
Shaft sinking survey practices in Southern African mining operations have been refined over many decades to meet the stringent accuracy, safety, and productivity demands of deep vertical excavation. However, much of this specialised knowledge remains poorly documented, and the decline in new shaft sinking projects presents a risk that these proven practices may be lost to future generations of mine surveyors. This paper reviews and synthesises current survey control methodologies employed during shaft sinking operations, with particular emphasis on the establishment and maintenance of surface and underground control networks, shaft verticality control, and elevation transfer. Traditional techniques, such as plumb-wire plumbing systems, steady brackets, and calibrated steel shaft tapes, are discussed in detail, alongside quality control principles and common sources of error affecting coordinate transfer. The paper further examines the integration of modern technologies, including total station resections and LiDARbased laser scanning, highlighting their benefits, limitations, and practical constraints in active shaft environments. By documenting both established and emerging practices, this review aims to preserve critical institutional knowledge, support consistent survey standards, and provide guidance for accurate spatial control throughout the shaft sinking lifecycle.
Keywords
shaft sinking, mine survey control, vertical alignment, LiDAR technology, geodetic networks
Introduction
Shaft sinking practices in Southern Africa are well established. Contractors and mining houses have refined the standards and procedures used in the spatial control of shaft sinking, construction, and infrastructure development over the past decades. These procedures are not always documented well, and as the number of sinking operations decline, there is a significant risk that this hard won knowledge may be lost to new generations. This paper summarises current shaft sinking survey practice, and although it does not claim to be a complete summary of the science, it reflects current practices and future developments.
Shaft sinking involves excavating vertical shafts in the earth's subsurface, typically for mining or construction purposes. Shaft sinking is a costly and time consuming operation. Time schedules and sinking progress are usually linked to contractor performance contracts and individual performance bonuses. The hazards in vertical shaft sinking are numerous and can be considered high-risk.
To ensure a streamlined sinking process, surveying the shaft regularly and accurately is essential. The aforementioned factors mean that a surveyor will be expected to perform work at specifically scheduled times with only a limited time to perform the work while at the same time requiring the highest levels of repeatable accuracy in the establishment and extension of survey control (Zagibalov et al., 2015) for sinking, construction and level establishment. Time lost due to work taking too long or having to be repeated can amount to significant financial losses.
Shaft sinking surveying typically involves establishing a control network on the surface, measuring the initial position and orientation of the shaft, and conducting regular surveys to monitor any changes in position or orientation. It also involves monitoring the stability of the ground around the shaft and measuring the size and shape of the excavation. It consists of establishing a control point at the surface, measuring the initial position and orientation of the shaft, and conducting regular surveys to monitor any changes in position or orientation. Another critical aspect of shaft surveying is measuring the excavation's size and shape, typically done using a scanner or laser profiler, which can generate a threedimensional excavation model. The model can monitor the excavation's progress and ensure it is carried out according to the design specifications.
The functions performed and techniques employed in shaft surveying
Contractors and mining houses have refined the standards and procedures used in the spatial control of shaft sinking, construction and infrastructure development over the past decades. The following primary procedures are required during sinking operations. The techniques employed in shaft surveying include:
➤ Geodetic control. This technique establishes a precise measurement reference framework. It involves using global positioning systems (GPS), total stations, and other surveying instruments to establish control points with known coordinates. These control points are the foundation for all subsequent measurements and calculations in shaft surveying.
➤ Control of verticality. The principle of verticality is crucial in shaft surveying to ensure the shaft is accurately aligned along the vertical axis. It involves measuring the deviation from the plumb line at various shaft depths, typically using plumb bobs, electronic inclinometers, or laser-based instruments. Ensuring verticality can address issues such as shaft convergence or deviation.
➤ Elevation control. Precise levelling determines the relative heights or elevations of different points within the shaft. Precise levelling instruments and multiple observations, using automatic or digital levels and shaft tapes, measure the differences in height between reference points. This allows for the creation of accurate vertical profiles and cross-sections of the shaft. The elevation of all underground excavations is transferred from surface benchmarks using these methods.
➤ The establishment of underground survey networks. On each level using surveying techniques, including traversing and resections. Traversing involves measuring horizontal angles and distances between points within the shaft. Traversing enables the creation of accurate plans and maps of the shaft, including identifying key features such as shaft stations, equipment locations, and access points. This is essential to accurately position the development infrastructure to the orebody model to ensure compliance with the mine design.
➤ Laser scanning. Light detection and ranging (LiDAR) technology is increasingly used in shaft surveying to capture detailed three-dimensional (3D) data of the shaft interior. Laser scanners emit laser beams that measure the distance to various surfaces, creating a point cloud representation of the shaft. This data can be used for precise measurements, visualisation, and analysis, including detecting deformations or structural issues. Laser scanning produces point cloud data that can be used for excavation over- and underbreak, design compliance, and mapping geotechnical structures in the excavations.
➤ Survey data. Whether obtained through traditional surveying methods or laser scanning, need to be processed and analysed. This involves applying mathematical calculations, coordinate transformations, and specialised software to create accurate plans, profiles, and digital shaft models. Data analysis helps identify discrepancies, deviations, or potential safety hazards.
➤ Quality control. Principles are essential to ensuring the accuracy and reliability of the survey measurements. These include regular calibration and maintenance of survey instruments, adherence to standardised procedures, and cross-checking measurements to validate consistency.
Survey control must be brought in from the national survey system and continuously maintained, upgraded, and cross-validated. The survey control on site, generally through a global positioning satellite (GPS) network, will be brought into the shaft sinking area from trigonometrical beacons and GPS surveying. Where the network has been established by GPS, global navigation satellite systems (GNSS), the coordinate system employed, the projection, ellipsoid, scale factor, datum planes, and vectors must be saved in a calibration file. It must also refer to the beacons used or excluded. The calibration file and any changes made to the file must be documented and stored onsite and offsite, as well as a hard copy.
Prior to sinking, the geology and ground structure is determined through exploration boreholes. The shaft will be positioned so as to not sterilise the orebody or create unforeseen complications during the sinking process. The accuracy of boreholes should be confirmed through down-hole surveys (Bennett, Livingstone-Blevins, 2015) with suitably calibrated instrumentation. In most cases, modern shaft sinking will include shaft lining. The use of lining requires that all survey control in the shaft be of a high standard of accuracy. In most cases, the surveyor will be responsible for accurately measuring and reporting progress for the payment of contractors, measured from the controls established by the surveyor. Minor errors in establishing control in the shaft can have significant consequences when survey networks are transferred underground on different levels. The error limit for mine orientations in South Africa is 2 minutes of arc (DMR, 2011). To meet this standard, several factors will influence the accuracy of the survey, and as a result, care must be taken in transferring coordinates through shaft plumbing methods. In some cases, too much attention was given to the transfer of coordinates onto a level while the plumbing procedure was not given adequate attention.
A network of site beacons should be established with mine beacons constructed of solid concrete pillars approximately 1.3 m tall. A permanently fixed, brass or stainless steel, UNC 5/8 – 11 or metric threaded adaptor, which will enable the threading of a survey instrument onto the beacon, is recommended. The location of beacons should, as far as possible, be determined in such a way that it will not be obstructed by construction at a later stage. It must be kept in mind that shaft sinking is a capital-intensive, longterm investment, and all structures and survey networks should be planned in such a manner as to provide a service for the life of the operation. The mine surveyor will be responsible for staking out the shaft positions and surface infrastructure. At this point, a gyro baseline check should be performed to verify the accuracy of the azimuth determined by GPS prior to sinking activities commencing. Bennett and Livingstone-Blevins (2015) noted the need to transform the mine survey coordinate system to a local engineering survey system due to construction requirements. In such cases, the engineering team must consider and verify scale factors and swing to ensure compliance and accuracy.
The accurate orthometric elevations of benchmarks must be confirmed by a closed levelling traverse, preferably with a precise level and adjusted by least squares, if required. This elevation will be transferred down the shaft and used as the reference line for all construction in the shaft, which will be transferred to the underground levels.
Surface network for the shaft collar reference line
A reference line is established across the shaft collar position. Some recommend LiDAR to ensure that this reference line is staked
out parallel to the intended axis of the winding engine axis and a second line perpendicular to this line. Beacons must be placed and constructed so as to not be obstructed or damaged during the sinking process. These beacons will be used as the reference network for all construction in the area (Subbotin et al., 2003). It is prudent to ensure that external sightlines to reference beacons are visible to replace beacons that will inevitably be removed or damaged. It must be remembered that winder houses, headgear, and other shaft infrastructure will inevitably obstruct clear sight lines on the bank area. A line of beacons should ensure redundancy on either side of the shaft collar. It is recommended that a minimum of two, preferably three, beacons be spaced on each side of the line. Some sites prefer plinths or short pillars to prevent damage and ensure visibility. Each beacon must be distinctly marked and numbered. Figure 1 indicates the external survey network to establish shaft beacon reference lines.
Contract agreements typically predetermine the required accuracy level for all survey work and will be site-specific. The normal MHSA limits of error for a Class “A” survey will not be adequate for engineering construction in the shaft. The standard of accuracy of 2 mm for surface control networks and 3 mm for construction surveys, as quoted by Bennett and Livingstone-Blev (2015), appears to be an example of the industry norm. It is essential to realise that the accuracy of the survey equipment used on site will directly influence the achievable accuracy of the project and the achievable accuracy should be communicated to the project team.
Once the centre of the shaft is located and the corners are marked off, survey pegs should be installed that allow the centre to be located using wire strings crossing over it. It is essential to monitor any changes in the position and orientation of the shaft over time. This can be done by conducting regular surveys of the shaft using the same instrument used for the initial study. Sinking operations can commence at an approximate depth of 15 m – 20 m once the shaft collar is constructed and set in concrete. Once the shaft collar and sub-bank floor have been established, four survey pegs are installed on the sub-bank floor close to the shaft collar or on the shaft collar if there's no sub-bank.
After the overburden has been removed, the barrel has been concreted and positioned, the shaft plumbing steady brackets and tape brackets are ready to be installed. The position of plumbing brackets must be verified, based on the shaft construction design and site requirements, and staked out very accurately. Plumb wires


are used to transfer the survey network underground (Subbotin et al., 2003) and ensure the verticality of the shaft sinking process. Several synchronised electric plumb bob winches (Figure 1) are surveyed around the shaft perimeter. Freely hanging 30 kg to 40 kg plumb bobs used to reduce the amplitude of the swinging wires are suspended on 1.6 mm high tensile carbon steel wire, colloquially known as “piano wire”. The number of winches depends on the shaft diameter and design. It is typically between four and seven but can be up to ten or more. The accurate positioning of these points is important as all measurements in the shaft are made to the plumb wires, and these wires are used to transfer the survey network underground (Grobler, 2022).
Plumb bob lines mark out the shaft outline to control the verticality of the shaft barrel during the sinking and all construction activities. Plumb wires are the only way the surface survey network is transferred into the underground workings. Plumb bob lines are hung at pre-prescribed points along the shaft's perimeter according to the shaft's engineering design. Shaft brackets are welded on the collar set frame, and tiny holes are drilled to allow the plumbing wires to pass through. To fix the positioning of the plumb bob lines, a mark on the required supports (obtained from the calculation of the joins) is drawn. At least three marks on the metal plates are scribed on the plumb lines' positions around the perimeter of the shaft. A small hole is drilled through the plate to accommodate the plumb line at the intersection of the drawn lines. Once all the holes have been drilled, the plumb lines are inserted through them and brought to the position where the first set of fixed supports will be installed.
The surveyor establishes the first set of steady brackets installed at collar level (on collar set), ready for sinking (reference point for sink). Plumb bob lines are installed on the perimeter of the shaft in predetermined locations and fastened by special clamps anchored to the shaft lining called "steady brackets" (Figure 2). These clamps are protected against objects that could knock against or fall on them by a heavy gauge steel bracket called a skid plate. The brackets are sometimes fastened onto the lining on the perimeter of the shaft using nut boxes cast in the lining or drilled in fixed anchors in unlined shafts.
When equipping the shaft, all permanent accessories such as guides, pipes, ventilation ducts, loading boxes, and accessories for the lifting equipment are aligned using plumb lines. Plumb bobs are used to maintain verticality and alignment of the shaft, pipework (concrete slick lines, services), and the position of the curb for the
concrete lining. Steady brackets are installed at 100 m to 150 m intervals below the first set to ensure alignment from plumb bob (static) wires.
Steady brackets (plumbing brackets)
Steady brackets are used to fix the plumb-wires' position and, if extended regularly, can account for airflow, vibration, spiral deformation, and convergence effects. A steady bracket is a bracket designed to allow the plumb wire to maintain its position and, at the same time, allow the wire and plumb bobs to be raised and lowered without losing their position. The steady bracket has a hole of around 30 mm diameter in the centre and a wire positioning bracket and lock nut to fix the position of the plumb wire (Figure 3). The locknut allows the plumb wire to pass through the nut for raising and lowering purposes without moving in the x or y plane. Steady brackets are planned for and installed in pre-calculated positions in the shaft lining. A numbering sequence for the steady brackets and plumb wires is determined by the site requirements. It is expected to number the steady brackets in a clockwise direction from the first bracket closets to the north (N) orientation. Steady brackets are extended based on site-specific requirements, but should be extended regularly to reduce excessive swing before being fixed again.
In some instances, a cylinder of a slightly larger diameter than the shaft plumb bob is bolted a short distance below the steady bracket, and the plumb bob is inserted in the cylinder filled with oil to dampen the effect (JCI, 1990).
The bracket consists of a hole with a second slotted section that can be slipped over the wire. Once the position of the wire has been determined by measuring the swing, the position is bolted, and the bracket is welded or brazed into position. This allows the wire to move through the bracket without being affected by swinging and cannot be moved (Kirby, 1952).
Brackets restrict the plumb bob movement around the suspension point as the wires tend to oscillate in turbulence from airflow, gravity, blasting, and the movement of shaft conveyances. Catch baskets are placed underneath plumb bobs in case they come loose, and shaft ventilation is ideally switched off during the outset, as this affects the movement of the wires.
Adjustment bolts, nuts, and spring washers are placed on the plumb line bracket before the plumb lines are attached and left to hang free by the fixed brackets. Steady brackets are fastened to the lining using the designed fixtures inserted onto the concrete lining, then moved horizontally until the plumb lines hang in the centre of the fixed brackets and are tightened.


To facilitate accurate measurements, steady brackets can be provided with fixed measuring ‘stubs’ from which the oscillation of the plumb wire can be accurately and repeatedly measured. Steady brackets at most operations seem to be extended once for every two tape bracket extensions. The length of the shaft tapes will determine the maximum extension lengths and should be extended for a reasonable period before the maximum length of the tapes (normally 100 m) is reached.
Measurements of the plumb wire swing are made, and the readings are averaged to determine the wire's final position. This process is repeated for every plumb wire at that level.
Two methods exist:
• A straight mathematical average of the swing readings on the scale (Equation 1) or; [1]

The cross-measurements must agree with the calculated ‘join distance’ between the wires, as determined from the coordinates of the original shaft design, and the final wire positions on the surface. If the measurements do not agree, the process must be repeated until the measurements agree to within 2 mm, 0.05% of the distance (IMSSA, 2001) or whatever site standard is required. The defective plumb line is identified by examining the differences (greater or lesser than needed). For example, if all the distances between the lines from 1 to 8 are correct, but the distances of the number 9 line do not match, the line needs to be inspected and adjusted. Wires must be checked for fouling and abnormalities by measuring the interwire distances before making any observations. Once clarified, the plumb bob line is released from the adjusting nuts on the steady bracket, allowed to oscillate freely, and re-adjusted. The measurements between all the lines are retaken and recorded. The interwire distances are measured and recorded (Figure 5) and should agree with the join distance between the wires.
Standard taping procedures, such as checking for sag, must be followed meticulously. If a specific error on one of the plumb wires

is noted, the wire must be inspected for damage, re-swung and the measurements repeated. Only once all the wires have been verified will the brackets be fastened with lock nuts into the final position, and finally, a skid plate will be installed over the bracket.
The curb ring form is checked for alignment to the vertical wires and checked for level. Care must be taken to ensure no movement occurs during the concrete pour, as the sudden addition of concrete may cause the ring to shift out of alignment. The surveyor will check the alignment of the curb ring when a lift is poured. These operations are time-sensitive, and the surveyor will be on call-out for this operation. The surveyor checks that the plumb wires do not foul and that the tape brackets are correct and undamaged. The surveyor must allow for any sagging that may occur during the concrete's pouring.
A setup near the shaft centre using the software application, using all the shaft wires for orientation, is made with a total station mounted on a bracket specifically designed for this purpose. The set-up position is determined from observations and reflectorless measurements of the free-swinging wires in the shaft to determine the calculated position of the instrument using a resection. Several combinations of resection observations are made to determine the reliability of each wire in the survey. The onboard free station or resection software can identify any wires that do not meet the level of accuracy. If a wire is identified as causing an error in the resection position, this wire is considered unreliable and removed from the resection observations. Once the instrument's position has been determined to the required accuracy, the final wire positions for the steady brackets are staked out (Shaft Sinkers, nd). Wire positions are staked out from the shaft coordinates and bolted and welded into a steady bracket to fix the position of each wire. A final check of the position of each wire is made and compared to the staked-out values. Any deviations are corrected, and the final wire positions are surveyed. This method of positioning shaft wires is deemed far more accurate than conventional observations of shaft wire ‘swing’ to determine the shaft wire position.
Once the shaft collar and sub bank floor have been established, the first tape brackets can be installed. The plumb wires provide horizontal coordinate transfer into the shaft; as long as the lines remain plumb and unaffected by external influences, the position of the plumb wires on the surface should translate to the same
spatial position at the shaft bottom. The transfer of the ‘z’, vertical control provides the elevation component of the survey. This is facilitated through the installation of tape brackets. Tape brackets are installed below the collar of the shaft before sinking commences. The position of the tape brackets is determined by the shaft design and layout, but will typically be equal in number and close to the steady brackets. Each tape bracket is observed and levelled using levelling techniques and checked by a total station survey. A tape bracket is a bracket with an adjustable threaded screw that can be locked in position with a locking nut. The tape bracket provides a zero position attachment point for a shaft tape. Specialised, calibrated, and zeroed steel tapes are hooked onto the tape brackets, and everything installed on a required elevation is measured from the recordings.
The tape bracket closest to true North is numbered 1 for orientation purposes, and all other tape brackets are numbered clockwise. Usually, the tape brackets are positioned at the same elevation as the steady brackets but not too close to each other because the tape may get entangled with the plumb wires.
The tape bracket is usually installed in the shaft lining nut boxes. The elevation of the tape brackets will be referenced to the national survey grid and transferred from a benchmark. The elevation of the tape brackets will be referenced to a height above mean seal level (AMSL); site construction may refer to a depth below collar (BC). A minimum of three tape brackets is recommended (IMSSA, 2001), and distances between the tapes should not exceed 0.01% of the length of the tape. Current survey tolerances for steady brackets appear to be in the region of ±2.5 mm, based on at least three independent tapes.
The level is set up, and at least two points with known elevation are observed to calculate a mean collimation elevation. The first tape brackets are levelled in by observing a suspended shaft tape at the surface collimation and at a shaft bracket close to the first tape bracket position. The elevation of the tape brackets can be calculated and verified from multiple observations.
When the shaft lining reaches the position for the next set of tape brackets, the surveyor notifies the shaft foreman to install nut boxes for tape brackets in the ring 45 m below the previous set, which is the distance between any two sets of tape brackets when 60 m steel tapes are used. Typically, the daily advances of the shaft bottom and that of the lining are plotted on a longitudinal section of the shaft in the shaft foreman's office, on which are also shown the planned positions of all the tape brackets, enabling the shaft foreman to plan when the next set shall be installed. The exact

sequence time for the installation of the next set must be carefully planned. On a 6 m lift, the next curb ring will be set at 51 m. Once the barrel is brought down from the 45 m lift, the nut boxes for the tape brackets are exposed, and the new set can be installed. Missing this sequence will prevent the next curb ring of being set up, as only one more setting can be done from the previous tape bracket, because the curb ring falls at the 57 m mark. This demonstrates how important it is for the new set to be readily installed to set the elevation of the next curb ring.
After the stage is locked, the new tape brackets are bolted to the lining (Figure 6), and the tape hooks are inserted into the brackets. The hooks are roughly adjusted to the required elevation using the tapes hanging from the previous set, and the locking nuts are hand tightened. The surveyor then bolts the bracket for the dumpy level or laser plate onto the lining at a suitable height to read the tapes from the previous set and obtain a mean collimation elevation to adjust the new set to the correct elevation (Figure 6).
The extension of tape brackets is site-specific, best practice recommends installation when a distance of half the length of the shaft tapes used, is reached. A special bracket for a level is sometimes provided on the sinking stage in place of a conventional tripod.
All the tapes from the previous set must be read and recorded to ensure no hooks have been damaged and to eliminate any possible errors. When the required measurement to adjust the new hooks has been calculated, a shaft tape is hung at each new bracket, and the hook is adjusted up or down by turning the lock nuts until it is on the correct elevation.
Selection of shaft tapes and the extension of elevation down the shaft
It is interesting to note that, with all the technological developments in the field of surveying, the primary control in a deep vertical shaft remains the steel tape. Shaft tapes should be of high-quality steel and will be checked and certified for temperature and tension accuracy. If steel tapes are used in shaft construction, each tape must be supplied with a calibration and standardisation certificate. Each tape will have a standard coefficient of expansion at a specific temperature and a standard tension. Care must be taken so that the tapes are not stretched by weights exceeding their capacity, twisted or bent, or damaged during deployment in the shaft.
Shaft tapes are checked regularly for calibration accuracy against the master tape and surface baseline that the mine surveyor maintains with the necessary tension (weights) applied to each tape, which should not exceed 1.5 mm. The results of each tape comparison are recorded and used to install the following set of tape brackets. Unlike normal surveying tapes, the zero position of the shaft tape is the internal diameter of the ring of the tape. This means that when the tape is suspended from the hook, the zero position is on the inside of the hook of the tape bracket.
Tape tensioning weights (IMSSA, 2001) or bobs are sometimes used to correct for the stretch component of the tape by weighing the tape to conform to the standard pull of the tape (typically around 70 N) (Equation 2). Bannister and Baker (1989) discuss the elongation of steel tapes.
[2]
Where:
Ts Standardised tension
G Gravitational acceleration
X Length of suspended weights
A Cross sectional area of tape
E Modulus of elasticity
M Attached mass
M Mass of tape per unit
L Length of tape
As steel tapes are used in this vertical environment, the tension applied to the tape becomes part of the adjustment that needs to be considered by the surveyor. Steel tapes in the shaft sinking environment can introduce errors if not carefully standardised (Ritson, 1989).
Some studies have been done by Fourie (1951) and Gibbs (1952) on the required amount of weight to be added to the tape to measure correctly in a vertical shaft to prevent the ‘creep’ of distances caused by tape tension. Hooke’s law provides a formula to calculate the correction for pull on a tape; in the case of a vertical shaft, this pull will be compounded by the weight of the tape and tape case (Equation 3).

where:
Fm Measured pull
Fs Standard pull
L Measured length
A Cross sectional area of the tape
E Modulus
[3]
Fourie (1951) developed a formula correction for tension that includes the weight of the tape below the measuring point plus the weight of the tape case plus half the weight of the tape above the point (Equation 4):

where:
ws Weight to be suspended
wstd Standard weight of tape
wb Weight of tape box
wbz Weight of the tape below the point measured
waz Weight of the tape above the point measured
[4]
From Fourie’s (1951) work, the weight added to the tapes varies between 2.1 kg for 7.6 m to 2.6 kg for 76 m measured. In most modern applications, shaft surveyors assume the weight of the tape is sufficient for its suspension. An additional check uses multiple tapes and tape brackets extended simultaneously during construction.
Factors that affect the accuracy of shaft plumbing and the transfer of coordinates
The error (Equation 5) in the network established on an underground level will depend on (Chrzanowski, 1967; Schofield, 1984):
➤ The error in the surface control survey network.
➤ Errors transferred during the placement of the shaft plumbing wires es.
➤ Errors introduced by the verticality of the plumbing wires at each steady bracket ep
➤ Errors introduced in the transfer of the network from the wires to the level eu

Any errors introduced during the shaft plumbing operation will influence the accuracy of the coordinates transfer. The shaft plumbing operations, specifically how the verticality of the plumbwires is affected is described by Chrzanowski (1967) and Schofield (1984) in terms of:
➤ Airflow in the shaft barrel.
➤ The pendulous motion of the wires.
➤ Spiral deflection of the plumb-wire.
Chrzanowski (1967) observed that the most common mistakes occur in the incorrect selection of shaft plumbing wire and insufficient plumb bob weights.
Other methods of plumbing
Optical and laser plumbing methods are possible but have, in practice, proved difficult in a working shaft environment due to:
• Bad visibility due to ventilation, dust and water vapour.
• Unpredictable refraction of sight lines.
• Shaft plumbing by optical means requires access to the shaft barrel, which increases the risk to the observer and the equipment.
Optical alignment in good visibility (Subbotin et al., 2003) can be achieved using a nadir plummet (Janisch, 1966) placed on a fixed structure or a moveable platform on a steel construction in the shaft. Testing this instrument in three deep-level Free State gold mines, Janisch found that alignment over distances of up to 610 m was possible in ideal conditions. However, under realistic conditions, the accuracy declined rapidly from 180 m. It was found that air turbulence assisted in reducing any potential effects of refraction on the measurements (Janisch, 1966). The instrument was not deemed to be practical in wet shafts. Optical plummets must be checked for accurate alignment by aligning the crosshairs with a mark and rotating the instrument 360 degrees. If the plummet is in adjustment, the crosshairs will still coincide with the mark. In the case of a laser plummet, the red dot should remain in the same position. If it appears that the laser dot rotates with the instrument in a circular movement that deviates more than 1 mm from the aligned position, than the instrument may be off-level or misaligned. Richardus (1984) describes the successful use of optical
plummets in transferring bearings in a tunnelling project, claiming that points can be aligned to 0.1 mm to a fixed point.
Basson (1971) listed three significant constraints for using a laser in a vertical shaft and the resultant abandonment of this technique in a deep shaft:
• The increased diameter of the beam over the length of the shaft increased to a size unpractical for use (150 mm) and was poorly defined.
• Continuous movement of the beam caused by vibrations in the steelwork, which in turn was caused by the movement of compressed air and water columns.
• The foot screw adjustments on the laser were too coarse to allow for accurate alignment and adjustment (Basson, 1971).
Walter and Doogan (1971) also highlighted the following:
• A drop in voltage during use can result in a weaker beam.
• There is a deviation from direction and grade of 100 mm over a horizontal distance of 1.6 km.
In addition to monitoring the position and orientation of the shaft, it is also essential to monitor the stability of the ground around the shaft. This can be done by installing monitoring equipment such as inclinometers or extensometers in the ground around the shaft. These instruments measure the deformation of the ground over time, which can be used to detect any movement or instability. Verticality and levels are controlled from surveys in plumb bob lines suspended from a set of winches fixed to the shaft collar, whilst elevations are transferred from the benchmark on the surface down the shaft using shaft tapes suspended from surveys in tape brackets. Overbreak and underbreak are measured from the edge of the curb ring once aligned with tapes and plumb bob lines suspended from brackets above.
Janisch (1966) refers to using a nadir plummet to monitor geological deformation in a goldmine shaft to determine trends in horizontal displacement. These measurements are affected by refraction, temperature, and the length of sight.
The accuracy of the transfer of coordinates into a new station requires a very accurate survey that needs to be verified with gyro theodolite to ensure that the orientation of the reference baseline (bearing) is transferred accurately into the new level. It is imperative to install a gyro baseline that is as close to the shaft wires as possible.
Laser scanning or LiDAR technology is increasingly used in shaft surveying to capture detailed 3D data of the shaft interior. Laser scanners emit laser beams that measure the distance to various surfaces, creating a point cloud representation of the shaft. The objects' shape, position, and spatial locations are recorded by millions of points, each with latitude, longitude, and elevation (X, Y, and Z) coordinates. Van der Merwe and Anderson (2013) detail the use of laser scanning to determine over- and underbreak. Accurate positioning and levelling of the shuttering are necessary to minimise concrete wastage and provide a smooth concrete barrel with the least air resistance for ventilation and an accurate foundation for shaft construction and equipping.
The functionality of scanners differs between scanners, but generally, scanners have a 360° horizontal field of vision and 270° on the vertical axis. The accuracy of a LiDAR system primarily depends on the equipment's angular resolution (Gridnev et al., 2015) and the distance to the surveyed object.
The integrity of a laser scan is compromised with movement, thus, scanning from the stage or kibble is not viable, and a specially designed bracket fixed to lining mountings in the shaft lining must be made available for the laser scanner. In some cases, a laser scanner can be mounted on the conveyance (Gridnev et al., 2015) and scans can be made while the conveyance moves. Due to uncontrolled risks such as water, strong air currents can force water into the laser scanner and damage it beyond repair. Water droplets covering the laser emitter or receiving lens will compromise the accuracy of the point cloud. The shaft collar will cast a bright spot on vertical measurements with resultant losses of data in that axis.
In a case study on a platinum mine by Van der Merwe and Anderson (2013), areas of interest within a sinking shaft were surveyed, and the scans were positioned during post-processing. The survey team surveyed a network of targets with a total station to assist in the orientation of the laser scan. Combining the georeferenced targets with the targets identified in the point cloud made an accurate comparison of the target-to-target points against the total station possible. The 3D meshed model could then be compared with the computer-aided design (CAD) design of the shaft to identify over- and underbreak and deviation from the vertical. The authors compared the survey with traditional methods of elevating the set of six bunton plates cast into the concrete lining of the shaft using a dumpy level, which takes approximately one to two hours to complete, with limited information obtained. The trial scan took approximately 20 minutes, and the optimised time envisaged was seven minutes. During this time, vast amounts of data about the bunton plates and information regarding shaft alignment can be captured (Van der Merwe, Anderson, 2013). Gridnev et al. (2015) provide a case study on the practical application of LiDAR in shaft breakaway orientation and the transfer of coordinates and elevation into a new underground level. In an ideal monitoring system, the system should be mounted to the hoist cage or skip (Figure 7), requiring neiter additional staff (automatic), nor disturb the regular shaft operation or require extra measuring time (Althaus et al., 2007).
Shaft sinking remains one of the most technically demanding and high-risk activities in underground mining, requiring exceptionally accurate and reliable survey control to ensure safe construction, correct alignment, and long-term operational integrity. This paper reviewed current shaft sinking survey practices used in Southern

African mining operations, focusing on the establishment, maintenance, and transfer of survey control from surface to depth. The review highlighted the critical role of surface geodetic control networks, accurate shaft collar referencing, and the rigorous transfer of horizontal and vertical control through plumbing wires and calibrated steel shaft tapes. Detailed attention was given to the use of steady brackets and tape brackets, which form the backbone of traditional shaft surveying and remain the most reliable means of transferring coordinates and elevations through deep vertical shafts. The sources of error affecting shaft plumbing such as airflow, pendulous motion, spiral deformation, tape tension, and calibration were discussed, together with quality control procedures required to mitigate these risks.
In addition to conventional methods, the paper examined modern surveying technologies increasingly applied in shaft sinking, including total station resections and LiDAR-based laser scanning. These technologies provide significant advantages in terms of data density, speed, and improved monitoring of overbreak, underbreak, and structural deformation. However, their application is constrained by practical considerations such as movement, environmental conditions, equipment vulnerability, and the need for accurate reference control established by traditional methods. By documenting both established and emerging practices, this paper provides a comprehensive overview of the current state of shaft sinking survey control, capturing critical operational knowledge that is often transferred informally within industry.
The accurate spatial control of shaft sinking operations is fundamental to the success, safety, and longevity of underground mining projects. Errors introduced during the establishment or transfer of survey control can propagate throughout a mine’s life, leading to costly remedial work, unplanned breakthroughs, and compromised infrastructure. As demonstrated in this review, the importance of rigorous survey control during the sinking phase cannot be overstated.
Despite advances in surveying instrumentation and data processing, traditional methods based on plumb wires, steady brackets, and calibrated shaft tapes remain the most robust, cost-effective, and reliable means of transferring control through deep vertical shafts. These techniques, when properly applied and supported by strict quality control procedures, continue to achieve the high levels of accuracy required for shaft construction and equipping. Modern technologies such as total station resections and LiDAR scanning should be viewed as complementary tools that enhance verification, monitoring, and documentation, rather than as replacements for proven methods.
A key finding of this review is the risk associated with the loss of institutional knowledge as shaft sinking projects become less frequent. Much of the expertise required for accurate shaft surveying is experiential and site-specific, underscoring the need for thorough documentation, training, and standardisation. Capturing and formalising these practices are essential to ensure continuity of skills and maintain industry standards.
This paper contributes to preserving and consolidating shaft sinking survey knowledge and provides a reference for mine surveyors, engineers, and contractors involved in vertical shaft development. Future work will address the methodologies for transferring survey control from the shaft into newly established underground levels, further completing the documentation of this critical phase of mine development.
References
Althaus, P., Benecke, N., Kalz, U., Niese, J., Schultheiss, V. 2007. Surveying Mine Shafts - Modern Inertial Measurement Mwethods. World Coal, pp. 33–38.
Bannister, A., Baker, R. 1989. Solving problems in surveying. Wiley and Sons.
Basson, G.J. 1971. Attempted use of a laser beam. Journal of the Institute of Mine Surveyors of South Africa, vol. XVI, no. 4, p. 73.
Bennett, C., Livingstone-Blevins, M. 2015. Mine Surveying: The transition from surface to underground. Geomatics Indaba Proceedings, pp. pp. 55–68. Johannesburg. Retrieved from https://www.ee.co.za/wp-content/uploads/2015/08/ColinBenett.pdf
Černota, P., Staňková, H., Pospíšil, J., Novosad, M., Mučková, J. 2014. Connecting surveys and orientation measurements in Csa2 and Mir5 shafts. Journal of the Polish Mineral Engineering Society, pp. 69–76. (This refernce being Černota is not in the body copy)
Chrzanowski, A. 1967. An accuracy analysis of mine orientation, conference paper 5/29. In H. S. Williams (Ed.). Third South African National Survey Conference, pp. 78–98. Johannesburg: CONSAS.
Chrzanowski, A. 1967. An accuracy anaylis of mine orientation, conference paper 5/29. In H. S. Williams (Ed.), Third South African National Survey Conference, pp. 78–98. Johannesburg: CONSAS.
DMR. 2011. Mine Health and Safety Act No 29 of 1996 Government Gazette, 27 May 2011. Pretoria: The Department of Mineral Resources of South Africa.
Fleetwood, B.R. 1976. Notes on equipping of the upcast compartment, No. 3 Shaft, Loraine Gold Mines, Limited. Association of mine Managers of South Africa, pp. 25–32. (This reference being Fleetwood is not in the body copy)
Fourie, J.C. 1951. Correction for pull in vertical measurements. Journal of the Institute of Mine Surveyors of South Africa, vol. 6, no. 5, pp. 109–110.
Gibbs, J.A. 1952. A new approach to vertical measurements. Journal of the Institute of Mine Surveyors of South Africa, vol. 7 no. 2, pp. 70–71.
Gridnev, S.O., Okhotin, A.L., Volokhov, A.V. 2015. Underground levels orientation at mine works by means of laser scanniong system. In H. Dai (Ed.). Proceedings of 2015 International academic forum for Mine Surveying in China, pp. 298–304. Beijing: International Society of Mine Surveying.
Grobler, H.C. 2022. Subsurface Surveying. In P. Darling, International Society for Mining, Metallurgy, and Exploration
(SME) Underground Mining Engineering Handbook, (Society for Mining, Metallurgy, and Exploration (SME) Underground Mining). International Society for Mining, Metallurgy, and Exploration (SME).
IMSSA. 2001. Technical procedures and guidelines for Mine Surveying. Institute of Mine Surveyors of South Africa.
Janisch, P. 1966. Optical plumbing in vertical shafts. Journal of the Institute of Mine Surveyors of South Africa, vol. XIV no 4.
Janisch, P.R. 1966. Optical plumbing in vertical shafts. Journal of the Institute of Mine Surveyors of South Africa, vol. XIV no. 4, pp. 142–152.
JCI. 1990. Survey Guidelines: Gold surveying for shaft sinking operations Q01. Johannesburg: Johannesburg Consolidated Investment Company Limited, Technical Services Division.
Kirby, R. 1952. Procedure adopted for transferring a bearing underground. Journal of the Institute of Mine Surveyors of South Africa, vol. 7, no. 3.
Richardus, P. 1984. Project surveying, Second Edition. Rotterdam: Balkema.
Ritson, T. P. 1989. Surveying for Mine Surveyors. Johannesburg: Institute of Mine Surveyors of South Africa.
Schofield, W. 1984. Engineering surveying 1, third edition Butterworths.
Shaft Sinkers. nd. Shaft Sinking: Installation of steady brackets
Subbotin, A.I., Gritskov, V.V., Kozachenko, M.G., Konyakhina, O.A., Alekseev, A.B., Nikiforov, S. E., Zhukov, G.I. 2003. RD 07-60303 Instructions for the production of Markshader works 2003 Regulatory documents of the Gosgortekhnadzor of Russia.
Van der Merwe, J., Andersen, D.C. 2013. March 2013. Applications and benefits of 3D laser scanning for the mining industry, pp213. The Journal of The Southern African Institute of Mining and Metallurgy, vol. 113, p. 213.
Walter, B., Doogan, J.P. 1971. The use of a laser beam for the control of direction and grade in underground development on West Driefontein GM co Ltd. Journal of the Institute of Mine Surveyors of South Africa, vol. XVI, no. 2 no. 7, pp. 28–33.
Wolf, P.R., Ghilani, C.D. 1997. Adjustment Computations. John Wiley and Sons. (This reference being Wolf is not in the body copy)
Zagibalov, A.V., Okhotin, A.L., Danchenko, O.V. 2015. Error estimation of polygon traverses by means of mathematical modelling methods. Proceedings of 2015 International academic forum for Mine Surveying in China, pp. 305–311. Beijing: International Society of Mine Surveying. u














The Southern African Institute of Mining and Metallurgy (SAIMM) invites you to a transformative event that reimagines the future of diversity and inclusion in the minerals industry.
Join us as we re-imagine the revitalised Diversity and Inclusion Committee, with a dynamic programme designed to spark dialogue, foster collaboration, and celebrate inclusive excellence.
The purpose of this event is to re-imagine the Diversity and Inclusion Committee of SAIMM, aiming to:
• Increase awareness of diversity and inclusion across the sector
• Engage members in meaningful dialogue and action
• Foster a culture of belonging and equity within SAIMM and the broader industry

Where to From Now?
Date: 12 May 2026
Venue: Southern Sun Rosebank
ECSA and SACNASP Validated CPD ActivityCredits = 0.1 per hour attended
• Encourage Awareness: Launch initiatives and educate members on the value of Diversity and Inclusion.
• Drive Engagement: Involve members through workshops and committee participation.
• Create Safe Forums: Enable open discussion of Diversity and Inclusion issues.
• Celebrate Excellence: Recognize successful Diversity and Inclusion practices and inspire adoption.
The Diversity and Inclusion Committee is central to building a welcoming, inclusive culture in the minerals industry.
This launch event sets the foundation for long-term commitment, innovation, and transformation.


Affiliation:
1Department of Mining and Mineral Extraction, Caycuma Vocational School, Zonguldak Bulent Ecevit University, Zonguldak, Turkey
2Department of Mining Engineering, Faculty of Engineering, Zonguldak Bulent Ecevit University, Zonguldak, Turkey
Correspondence to:
C. Aldı
Email: cagrialdi67@gmail.com
Dates:
Received: 25 Feb. 2025
Revised: 29 Jan. 2025
Accepted: 6 Feb. 2026
Published: March 2026
How to cite:
Aldı, C., Yaralı, O. 2026. Investigation of the effect of mechanical, drillability, abrasiveness, and excavatability properties of Zonguldak Basin coal surrounding rocks on grindability. Journal of the Southern African Institute of Mining and Metallurgy, vol. 126, no. 3, pp. 167–174
DOI ID:
https://doi.org/10.17159/2411-9717/3678/2026
ORCiD:
C. Aldı
https://orcid.org/0000-0003-4029-0527
O. Yaralı
https://orcid.org/0000-0003-4965-0330
mechanical, drillability,
and excavatability
by C. Aldı1, O. Yaralı2
Abstract
For the more economical excavation of tunnels in underground mining activities, the selection of mechanised excavation machines (such as roadheaders, electro-hydraulic drills, etc.) and the analysis of performance prediction that can be used in estimating machine energy consumption have been subjects of research from past to present. One of the parameters to be considered in studies examining these methods, is the grinding process. The success of increasing efficiency in grinding is expressed by a reduction in energy consumption. The goal of a grinding process is to maximise the grinding amount at the appropriate grinding size while minimising the energy consumption per tonne of the fragmented material. Today, the depletion of high-grade ore deposits has largely directed the mining industry towards low-grade but large reserve ore deposits. This shift has particularly increased the importance of the grinding process, as it is dependent on particle liberation. Grinding is a critical step in reducing the mineral to the appropriate size, and energy consumption poses a significant challenge in this process. As a result, researchers have conducted various studies focusing on energy efficiency and cost optimisation in this field. In this study, the grindability of 7 different coal environment rocks (sandstone, siltstone) from the Zonguldak Basin, Uzulmez Region was investigated. For this, Hardgrove Grindability Index and Bond Work Index tests were conducted. While determining the relationships between grindability and other parameters, the results obtained from the Hardgrove Grindability Index (HGI) test were used. The energy values found in the Bond Work Index (BWI) test were used to evaluate the excavatability of the rocks. Additionally, tests for strength, hardness, drillability, and abrasiveness were conducted to observe the impact of other parameters on grindability. Considering the results obtained from the experiments, significant relationships were found between the grindability of the rocks and other parameters.
Keywords
Hardgrove Grindability Index; Bond Work Index; Zonguldak Basin; drillability, abrasiveness, excavatability
In recent years, the rapid depletion of easily extractable ores that could be economically produced using open-pit mining methods has directed the mining industry toward underground mining methods. In operations where high-cost underground mining methods are used, excavation activities during both the tunneling phase to access the ore and the processing phase of the extracted ore constitute a significant portion of the project costs. These costs include both the equipment and labour expenses related to excavation processes and the technological infrastructure and safety measures required for these operations. This contributes to a better understanding of the economic and technical challenges of the mining sector.
In mining operations, crushing, and particularly grinding processes in the ore preparation stage, are often the most expensive factors. Only a very small percentage (0.1% – 2%) of the energy spent in the size reduction process is used efficiently; a large portion is lost as friction, noise, and heat by the crushing and grinding equipment (Ozdag, 1992). Approximately half of the energy used in ore preparation plants is consumed in grinding processes (Yildiz, 1999).
The majority of studies in the literature to date have focused on the grindability of coal. In recent years, grindability indices have also begun to be applied to other types of rocks. However, no study has been conducted on the grindability of coal-surrounding rocks in this context. The difference of this study from similar ones is that it aims to demonstrate that grindability is also applicable to coal-surrounding rocks and to reveal the effects of other parameters on the grindability of these rocks.
Ozkahraman (2005), identified very high correlation coefficients between the rock fragility (S20), a key parameter of the drillability index (DRI) test commonly used for determining rock drillability, and Bond grindability parameters (BWI and Gbg).
Ozer and Cabuk (2007), in their study using four different limestone and two different chromite samples, investigated the relationships between Bond Work Index (BWI) and rock parameters. Based on the results obtained by determining the Bond Work Index and mechanical strength values of the samples, they stated that Shore hardness, point load index, and uniaxial compressive strength values provided the strongest relationships with the Bond Work Index.
Aras et al., (2020) used rock properties such as Schmidt hardness, uniaxial compressive strength, indirect tensile strength, point load strength index, ultrasonic velocity, and density in artificial neural networks to predict Bond Work Index (BWI) values.
In recent years, some researchers have utilised the Hardgrove Grindability Index (HGI) test as a simple and practical alternative for determining rock grindability and Bond parameters. Bond (1954; 1961) examined the relationships between HGI and Bond in his studies on coals. Hease et al. (1975) and McIntyre and Plitt (1980), separately adapted Bond’s approach, developed for coal, to limestone and other brittle materials. A similar model was proposed for bauxite types by Csoke et al. (2004). Hower et al. (1992) demonstrated the relationship between HGI and Bond for carbonate-origin rocks.
Musci et al. (2008) explored relatively fast alternative methods for determining Bond Work Index using a universal Hardgrove mill for brittle materials. The HGI test method, while widely used for analysing the grindability of coal samples, has also gained importance in recent years as a practical and easily applicable method for determining the grindability of rock samples (Swain, Rao 2009; Abdelhaffez, 2012).
Swain and Rao (2009), in their study on rocks, found a very strong linear relationship (R2 = 0.99) between the Bond Work Index (BWI) values they calculated using HGI values and the BWI values obtained from experimental studies. These researchers demonstrated that the grindability of rocks can be easily determined using.
HGI, a practical test method. Especially when reviewing the studies conducted, it can be seen that the HGI test method has become increasingly important and offers ease of application in determining rock grindability.
Sakiz (2021a), in his study on 14 different rock samples, demonstrated that the drillability index (DRI) parameter could be practically predicted using the HGI property of the rock. However, he emphasised that the number of rocks studied should be increased, and rocks should also be evaluated based on their origin to propose a more reliable classification suggestion and prediction model. Additionally, he underlined the need to examine the precision of intervals for grindability classification.
Sakiz (2021b), in his study on seven different andesite rocks, examined the relationship between abrasiveness and grindability and found that the rock’s wear characteristics could be easily determined using the Hardgrove Grindability Index (HGI) when considering three widely used wear test methods (Cerchar, Norwegian, Schizamek). However, he stated that the predictive models developed to determine rock abrasiveness based on the Hardgrove Grindability Index were limited by the wear value ranges of the rocks examined. He emphasised that to develop more reliable predictive models, the number of rocks studied should be increased, and different rock origins should be considered.

This study focuses on determining the factors affecting the grindability of coal surrounding rocks in the Zonguldak Basin, which is a subject of significant importance in the fields of rock mechanics and excavation efficiency. To assess grindability, the Hardgrove Grindability Index (HGI) test was applied as the primary experimental method. Additionally, although the Bond Work Index (BWI) test is conventionally used to evaluate grindability, it was employed in this study to assess rock excavatability, due to its ability to express energy consumption in units of kWh/t. This quantitative energy value allows for interpretation in terms of specific energy requirements during excavation. From a mechanical perspective, uniaxial compressive strength (UCS), Brazilian tensile strength (BTS), and the Equotip hardness index were conducted to evaluate the strength and hardness characteristics of the rocks. Moreover, the Drilling Rate Index (DRI) and Cerchar Abrasivity Index (CAI) were included, as they are essential indicators for determining excavation efficiency. By combining these parameters under the local geological conditions of the Zonguldak Basin and establishing correlations through statistical analysis, the study presents a comprehensive and original approach to evaluating the interrelationship between grindability and excavation-related properties. This multidisciplinary methodology aims to address the interconnectedness of mechanical behaviour, energy consumption, and rock-tool interaction, contributing a novel perspective to the literature.
Experiments were conducted on 7 different sedimentaryorigin sandstone and siltstone rocks collected from the Zonguldak Basin, Uzulmez Region. The samples, prepared according to the appropriate standards, are shown in Figure 1. First, the densities (d) of the rocks were determined. The strength values of the rocks were determined through uniaxial compressive strength (UCS) and Brazilian tensile strength (BTS) tests. The method proposed by ISRM (1981) was followed for the uniaxial compressive strength (UCS) test, while the method suggested by ISRM (1978), was used for the Brazilian tensile strength (BTS) test. The hydraulic press used in the experiments is shown in Figure 2.
The drillability of the rocks was determined using S20 brittleness and SJ miniature drilling tests, and the drilling rate indices (DRI) were calculated using the chart shown in Figure 3. The equipment used in the drillability tests is shown in Figures 4 and 5. The appearance of a rock sample after the SJ test is shown in Figure 6.
The Hardgrove Grindability Index (HGI) test was conducted to determine the grindability of the rocks, and the results were compared with the strength, drillability, abrasiveness, and excavatability values of the rocks. The Hardgrove grindability is a



measure of the mass of material that passes below 75 microns under a specific feed size and quantity, using a standardised laboratory mill for a specified number of revolutions.
The laboratory mill developed by Hardgrove (1932) features a grinding chamber consisting of a fixed steel container. Inside this chamber are eight rotating steel balls, each with a diameter of 25.4 mm. Additionally, a total load of 29 kg is applied on the grinding ring, and the device rotates at a speed of 20 revolutions per minute for a total of 60 revolutions. The sample used for the test consists of 50 grams of material sized between 1.18 mm and 0.6 mm. After the test, the amount of material that passes below 75 μm is weighed, and the Hardgrove Index value is obtained from a calibration chart appropriate for the specific material. The Hardgrove Grindability



Index is calculated using Equation 1. The Hardgrove mill used in the test is shown in Figure 7.

Here;
HGI: Hardgrove Grindability Index,
D: The amount of rock that passed through the 200 mesh screen.
To determine the abrasiveness values of the rocks, Cerchar Abrasiveness Index (CAI) tests were conducted. The method proposed by Alber et al., (2013) was taken into consideration in the experiments. The testing apparatus used in the experiments is shown in Figure 8, the imaging system using a computer-assisted microscope is shown in Figure 9, and the measurements obtained from the imaging system are shown in Figure 10. Additionally, the appearance of the rocks after the experiments is shown in Figure 11.
The standard Bond Work Index (BWI) test is a closed-circuit dry grinding and screening process conducted under fully controlled and fixed conditions. This test is performed using a special ball mill known as the Bond mill. The internal dimensions of the mill are 305 mm x 205 mm, it contains no lifters, and all internal corners are rounded. For charging purposes, there is a 102 mm x 204 mm lid on the outer shell. The mill operates at a fixed speed of 70 revolutions per minute (rpm) and is equipped with a revolution counter. The ball charge of the mill consists of 20.125 kg of steel balls (Deniz, 1996).




The test sample is composed of material crushed to a size of -3.36 mm. Approximately 8 kg to 10 kg of this sample is prepared for testing. For convenience, the sample is generally divided into 500 g – 600 g portions, which are practically determined for the work index calculated for 106 µm particle size. Since the material is relatively fine, dry screening is difficult; therefore, the work index is typically determined for 106 µm. A volume of 700 cm³ of the sample is compacted and used for testing. This volume represents the initial charge in the mill and is maintained throughout the test. For the initial grinding cycle, the mill is operated to obtain the product passing the test sieve and falling below the target particle size, typically using 100 to 150 revolutions. The material is then sieved, and the coarse fraction (above the test size) is returned to the mill for the second grinding cycle. Simultaneously, the amount of
material passing the test size is weighed, and an equivalent amount from the fresh feed is added to the mill, maintaining the 700 cm³ charge. The quantity of material below the test size present in the original feed is subtracted to calculate the net ground material. This value is divided by the number of revolutions during that cycle to obtain the grindability value (Gbg). Based on a circulating load of 250%, this Gbg value is used to determine the required number of revolutions for the next grinding cycle. The cumulative product weight from the batch test equals 1/3.5 (or 28.57%) of the original ore charge.
The closed-circuit test procedure typically continues until steady-state conditions are achieved, usually within 6 to 8 grinding cycles. To confirm equilibrium, an additional 3 cycles are conducted, and the average of the grindability values from these last three cycles is taken. Likewise, the products from these last three cycles are combined, mixed, and a sample is taken for sieve analysis. Then, the Bond Work Index value (in kWh/tonne) is calculated using Equation 2. The Bond ball mill is shown in Figure 12. [2]

Here;
BWI: Bond Work Index (kWh/t),
P1: screen aperture of the test (µm),
Gbg: Bond's standard ball mill grindability value (g/dv),
P: screen aperture through which 80% of the final product passes (µm),
F: screen aperture through which 80% of the fed material passes (µm).
Although the Bond Work Index (BWI) test is primarily a method used to determine the grindability of rocks, in this study it has been employed to evaluate the excavatability of rocks. This is because the energy value obtained from the test represents the energy required to grind the rock. During excavation, one of the mechanisms that occurs after the cutting tool penetrates the rock, is grinding, which also consumes energy. From this perspective, it can be understood that the energy value obtained from the BWI test can also be utilised to assess the excavatability of rocks.
To determine the hardness of the rocks, a highly useful and portable Equotip hardness tester, developed for metals and powered by an electronic battery, is utilised. Depending on the tip width and the applied impact energy, this device is classified into types C, D, DC, DL, E, G, and S. The D type hardness tester, which features a tungsten carbide tip with a diameter of 3 mm and is used to measure the hardness of the rocks in this study, is shown in Figure 13.
Another important parameter of rock properties is brittleness. Brittleness is one of the key mechanical properties of rocks and also plays a significant role in excavation mechanics. When rocks


are examined from the perspective of excavation mechanics, they exhibit two types of excavation profiles: brittle and ductile. Although a precise definition of brittleness has not been established, it can generally be determined through the uniaxial compressive strength and indirect tensile strength of the rocks, and various brittleness criteria have been proposed (Copur et al., 2003). The literature recognises four fundamental brittleness criteria. B1 and B2 were proposed by Hucka and Das (1974). Altindag (2002) introduced the B3 brittleness criterion in his study. Yarali and Soyer (2011) discovered the B4 brittleness criterion through their research. The equations related to these criteria are presented in the following (Equations 3 to 6).




Table 1 Experimental
In this experimental study, a database was prepared using the Hardgrove Grindability Index (HGI), Bond Work Index (BWI), Drilling Rate Index (DRI), Cerchar Abrasiveness Index (CAI), Uniaxial Compressive Strength (UCS), Brazilian Tensile Strength (BTS), and Equotip Hardness Index (ESD) tests. The results obtained from the experiments are presented in Table 1. The rocks used in the experiments were obtained from the Uzulmez Region of the Zonguldak Basin. The standards adhered to in the experiments and the recommended methods are shown in Table 2. The relationships between the parameters were determined using simple regression analysis. In examining the relationships between the parameters, the relationships between HGI, as the standard parameter, and the other parameters were considered to be the most significant and are presented below. The interrelationships among the other parameters were not investigated in as much detail as many are infrequently used and are therefore of less relevance in the current case. For this reason, their relationships were not presented graphically, and R² values were not tabulated.
The relationship between the Hardgrove Grindability Index (HGI), which is used to evaluate the grindability of rocks, and the Bond Work Index (BWI), used to assess excavatability, has been examined (Figure 14). Upon reviewing the graph, a high negative exponential relationship between the two parameters was observed. It is understood that the easier it is to grind the rocks, the less energy is required for grinding. Based on this, it can be concluded that the energy values obtained from the Bond Work Index (BWI) tests can be utilised in future studies for evaluating the excavatability of coal-surrounding rocks in the Zonguldak Basin. Similar results have been obtained in previous studies (Bond, 1954; Bond, 1961; Hease et al., 1975; McIntyre, Plitt 1980; Hower et al., 1992; Csoke et al., 2004; Musci et al., 2008; Swain, Rao 2009; Abdelhaffez, 2012).
Table 2
Recommended methods in experiments
Uniaxial compressive strength (UCS) ISRM (1979) 108 54 5
Brazilian tensile strength (BTS) ISRM (1978) 27 54 10
Cerchar Abrasivity Index (CAI) ISRM (2014) 27 54 5-7
Brittleness test (S20) Dahl (2003) Sieve size 3
Sievers miniature drillability test (SJ) Dahl (2003) 27 54 5-7
Equotip Hardness Index (ESD) Su (2017) 27 54 22
Hardgrove Grindability Index (HGI) ASTM (1993) Sieve size 3
Bond Work Index (BWI) Bond (1961) Sieve size 3-10



The relationships between rock grindability and strength tests (UCS, BTS) have been examined (Figures 15 and 16). Upon analysing the graphs, a significant relationship was found between the uniaxial compressive strength (UCS) of the rocks and their grindability (HGI). Strong relationships were observed between grindability (HGI) and indirect tensile strength (BTS). The results indicate that, as the strength of the rocks increases, it becomes more difficult to grind the rock. Similar results have been reported in previous studies (Ozer, Cabuk 2007; Aras et al., 2020).
In this study, the relationships between the grindability and abrasiveness of the rocks were examined (Figure 17). The graph shows a negative relationship between the grindability of the rocks and their abrasiveness. It can be understood from the graph that the higher the abrasiveness of the rocks, the more difficult it is to grind them. In his study, Sakiz (2021b) found similar results.
The relationships between the grindability and hardness of rocks have been examined (Figure 18). Upon examining the graph, a strong negative relationship between the grindability and hardness of the rocks was found. The higher the hardness of the rock, the more difficult it is to grind. Similar results have been reported in previous studies (Ozer, Cabuk 2007; Aras et al., 2020).
The relationships between the grindability of rocks and the two testing methods used to determine the drilling rate index (DRI)



and drillability (S20, SJ) have been examined. Looking at the results between the S20, which is an indicator of percussion drilling, and HGI, there is a linear increasingly high relationship between HGI and S20 (Figure 19). The higher the fragility of the rock (S20), the easier it is to grind the rock. A similar high relationship has also been identified between SJ, which indicates rotary drilling, and HGI (Figure 20). A linear high relationship has been obtained between the grindability of the rocks and the drilling rate index (DRI) (Figure 21). Not as expected, the easier it is to drill the rock, the easier it is to grind it as well. Similar results have been obtained in previous studies (Ozer and Cabuk 2007; Aras et al., 2020).
Finally, the relationships between the grindability of rocks and their brittleness were examined (Figures 22 to 25). Significant relationships were found between the brittleness measures B1 and B2 used to determine the brittleness of the rocks and their grindability (HGI) (R2 = 0.75 – 0.76). Negative high relationships were obtained between the brittleness values B3 and B4 and HGI. The higher the brittleness characteristic of the rocks, the easier their grindability becomes.
The brittleness level of rocks refers to their tendency to fracture without undergoing significant deformation under external loads, and it is one of the fundamental indicators of their mechanical behaviour. Brittle rocks exhibit sudden failure once they reach their elastic limit, without entering a phase of plastic deformation. This



characteristic allows such rocks to be fragmented more easily with lower energy input. Therefore, brittle rocks generally exhibit higher grindability, as the fracture mechanism becomes more active during the grinding process. In this context, a positive relationship can be established between the brittleness properties of rocks and their grindability. The mechanical behaviour of rocks is influenced by several factors, including mineralogy, texture, fracture density, and the nature of the binding phases. When examining the graphs, the influence of mechanical behaviours can be clearly observed.
In this study, the relationships between the grindability of coalsurrounding rocks in the Zonguldak Basin and other experimental parameters were investigated for the first time within the context of local geological conditions. Upon reviewing the results, it was understood that the Hardgrove Grindability Index, which has been used primarily to determine the grindability of coal in the past, can also be used to determine the grindability of other rocks. Additionally, the energy value obtained from the Bond Work Index test, which has also been used in the past to evaluate the grindability of rocks, was utilised in this study to determine the excavatability of the rocks. As expected, negative relationships were obtained between the Hardgrove Grindability Index (HGI) and the Bond Work Index (BWI). The easier the rock is to grind, the less energy



25—Relationship between HGI and B4
is required to grind it (R2 = 0.86). The Bond Work Index (BWI) test can be used in future similar studies to evaluate the excavatability of rocks. When examining the relationships between the grindability of rocks and strength tests, a particularly high relationship was found between HGI and uniaxial compressive strength (UCS) and Brazilian tensile strength (BTS) (R2 = 0.92-0.95). Again, as expected, strong negative relationships were found between grindability and abrasiveness, as well as hardness, respectively (R2 = 0.95 – 0.77). The higher the abrasiveness and hardness of the rocks, the harder they are to grind. High positive relationships were found between the grindability (HGI) and brittleness (S20) of the rocks (R2 = 0.96). The easier it is for rocks to break, the easier they can be ground. A high positive relationship was found between grindability (HGI) and the Drilling Rate Index (DRI). The easier the rock is to drill, the easier it is to grind (R2 = 0.93). Finally, the relationships between the grindability of rocks and their brittleness were examined. Significant relationships were obtained between the brittleness values (B1, B2, B3, B4) and HGI (R2 = 0.75 – 0.75 – 0.96 – 0.93).
All of the rocks used in this study are of sedimentary origin and belong to the coal-surrounding rocks of the Zonguldak Basin. In the basin, samples of other rock types (igneous and metamorphic) around the coal are not available in quantities sufficient for use in experimental studies. In future studies, comparisons should be made with studies conducted on igneous and metamorphic rocks from different regions using similar methods. Additionally, the effect of petrographic properties on grindability should also be considered in future research. The combined effect of other parameters on grindability should be examined using multiple
regression analysis. However, due to the limited number of rock samples in this specific study, it was not possible to perform multiple regression analysis. Therefore, the relationships were evaluated using simple regression analysis. Increasing the number of rock types in future studies will enhance the reliability of the results and allow for the application of multiple regression analysis. A larger sample size will also lead to statistically more meaningful results.
Acknowledgments
The results presented in this paper are based on experimental studies. We would like to thank Dr Haşim Duru, Assistant Professor, Dr Utku Sakiz, Research Assistant, and Dr Barış Akkaya, Research Assistant, for their invaluable assistance in the experimental work.
Conflicts of Interest
The authors declare that they have no conflicts of interest.
References
Abdelhaffez, G.S. 2012. Correlation Between Bond Work Index and Mechanical Properties of Some Saudi Ores, vol. 40, no. 1, pp. 271–280.
Alber, M., Yaralı, O., Dahl, F., Bruland, A., Käsling, H., Michalakopoulos, T.N., Cardu, M., Hagan, P., Aydin, H., Ozarslan, A. 2013. ISRM suggested method for determining the abrasivity of rock by the Cerchar abrasivity test, Rock Mechanics and Rock Engineering, vol. 47, pp. 261–266.
Altindag, R. 2002. The evaluation of rock brittleness concept on rotary blasthole drills. Journal of the South African Institute of Mining and Metallurgy, vol. 102, pp. 61–66.
Aras, A., Ozsen, H., Dursun, A.E. 2020. Using Artificial Neural Networks for the Prediction of Bond Work Index from Rock Mechanics Properties, Mineral Processing and Extractive Metallurgy Review, vol. 41, no. 3, pp. 145–152.
ASTM. 1993. Standard Test Method for the Hardgrove Grindability Index (HGI) of Petroleum Coke, Des. D5003 – 19.
Bond, F.C. 1954. Crushing and Grinding Calculations, CIM Bulletin, vol. 47, no. 507, pp. 466–472.
Bond, F.C. 1961. Crushing and Grinding Calculations I-II, Br. Chem. Eng., pp. 1–14.
Csoke, B., Hatvani, Z., Papanastassiou, D., Solymár, K. 2004. Investigation of Grindability of Diasporic Bauxites in Dry, Aqueous and Alkaline Media as well as After High Pressure Crushing, Int. J. Miner. Process. 74.
Dahl, F. 2003. DRI Standards, NTNU, Angleggsdrift, Trondheim. pp. 21 Deniz, V. 1996. Bond Öğütülebilirliği ve İş İndeksi ile Statik ve Dinamik Parametreler Arasındaki İlişkiler, Doktora Tezi, Osmangazi Üniversitesi.
Hardgrove, R.M. 1932. Grindability of coal. Transactions of the American Society of Mechanical Engineers, vol. 54, no. 3, pp. 37-44.
Hower, J.C., Barron, L.S., Moshier, S.O. 1992. Application of the Hardgrove Grindability Index in Carbonate Characterization, Miner. Metall. Process.,vol. 9, no. 3, pp. 146–150.
Hucka, V., Das, B. 1974. Brittleness determination of rocks by different methods. International Journal of Rock Mechanics and Mining Science & Geomechanical Abstract, vol. 11, pp. 389–392.
ISRM. 1978a. Suggested method for determining tensile strength of rock materials. International Journal of Rock Mechanics and Mining Sciences and Geomechanics Abstracts, vol. 15, pp. 99–103.
ISRM. 1978b. Suggested Methods for determining hardness and abrasiveness of rocks. International Journal of Rock Mechanics and Mining Sciences and Geomechanics Abstracts, vol. 15, pp. 89–97.
ISRM. 1979a. Suggested method for determining water content, porosity, density, absorption and related properties and swelling and slake-durability index properties. International Journal of Rock Mechanics and Mining Sciences & Geomechanics Abstracts,vol. 16, no. 2, pp. 141–156.
ISRM. 1979b. Suggested Method for determining the uniaxial compressive strength and deformability of rock. International Journal of Rock Mechanics and Mining Sciences And Geomechanics Abstracts, vol. 16, p. 135.
ISRM. 1981. ISRM Suggested Methods: Rock Characterization, Testing and Monitoring, ed. E. T. Brown, Pergamon Press, London, 211 p.
ISRM. 2014. ISRM Suggested Method for Determining the Abrasivity of Rock by the CERCHAR Abrasivity Test, The ISRM Suggested Methods for Rock Characterization, Testing and Monitoring: 20072014, pp. 101–106.
McIntyre, L., Plitt, A. 1980. The Interrelation Between Bond And Hardgrove Grindabilities, CIM Bulletin, vol. 73, no. 818, pp. 149–154.
Ozdag, H. 1992. Cevher Hazırlama-l. Anadolu Üniversitesi. Müh.Mim. Fak. Yayım. No: 107. Eskişehir, 151 s.
Ozer, U., Cabuk, E. 2007. Relationship between bond work index and rock parameters. Istanbul University the Journal of Engineering Faculty’s Earth Sciences Review, vol. 20, no. 1, pp. 43–49.
Ozkahraman, H.T. 2005. A Meaningful Expression Between Bond Work Index. Grindability Index and Friability Value, vol. 18, pp. 1057–1059.
Sakiz, U. 2021a. Kayaçların Mekanik ve Delinebilirlik Özellikleri ile Öğütülebilirliği Arasındaki İlişkilerin İncelenmesi. El-Cezeri, vol. 8, no. 2, pp. 728–740.
Sakiz, U. 2021b. Andezit Kayaçların Aşınma Davranışlarının Hardgrove İndeks (HGI) Deney Yöntemiyle Tahmini, International Conferences on Engineering and Natural Sciences, 9 s. Su, O. 2017. Kayaçlarda geri sıçrama mekanizmalı sertlik ölçme yöntemlerinin karşılaştırılması ve Equotip sertlik ölçerle delme hızının tahmini. Türkiye 25. Uluslararrası Madencilik Kongresi Bildiriler Kitabı, IMCET2017, 11-14 Nisan, Antalya, Türkiye, pp. 191-198.
Swain, R., Rao, R.B. 2009. Alternative Approaches for Determination of Bond Work Index on Soft and Friable Partially Laterised Khondalite Rocks of Bauxite Mine Waste Materials, Journal of Minerals and Materials Characterization and Engineering, vol. 8, no. 9, pp. 729–743.
Yarali, O., Soyer, E. 2011. The effect of mechanical rock properties and brittleness on drillability, Scientific Research and Essays, vol. 6, no. 5, pp. 1077–1088.
Yildiz, N. 1999. Öğütme Teorisi, Uygulaması Değirmenler ve Sınıflandırıcılar, ISBN: 975-9677-0-3, Kozan Ofset Matbacılık, Ankara, 217 pp. u
Affiliation:
1AMC Mining Consultants, United Kingdom
2School of Mining Engineering, University of the Witwatersrand South Africa
3Strategy and Transactions, Ernst & Young Advisory Services Limited, South Africa
Correspondence to:
C.C. Birch
Email: clinton.birch@wits.ac.za
Dates:
Received: 25 Mar. 2025
Revised: 5 Feb. 2026
Accepted: 20 Feb. 2026
Published: March 2026
How to cite:
Burnett, M., Musingwini, C., Birch, C.C., Njowa, G. 2026. Comparison of the Committee for Mineral Reserves International Reporting Standards Template-based mineral reporting codes with implications for mine planning in mineral development projects. Journal of the Southern African Institute of Mining and Metallurgy, vol. 126, no. 3, pp. 175–192
DOI ID:
https://doi.org/10.17159/2411-9717/3702/2026
ORCiD:
M. Burnett
https://orcid.org/0000-0003-1224-2341
C. Musingwini
https://orcid.org/0000-0002-5150-4749
C.C. Birch
https://orcid.org/0000-0002-3689-5462
G. Njowa
https://orcid.org/0009-0008-9650-1470
by M. Burnett1, C. Musingwini2, C.C. Birch2, G. Njowa3
Abstract
From 2022 to 2040, the global demand for mineral commodities is projected to increase by fourfold to six-fold, largely due to traditional drivers such as population growth and urbanisation compounded by the adoption of decarbonisation technologies that are more mineral intensive than fossil fuel technologies. To meet this projected demand, companies operating in the minerals industry should accelerate the development of mineral projects. Since most of the companies generally operate in multiple geographical, regulatory or legislative jurisdictions, it is critical that the information on Mineral Resources and Mineral Reserves they report on in the public domain should be comparable and consistent across different jurisdictions. The Committee for Mineral Reserves International Reporting Standards fosters alignment of national and regional mineral reporting codes through an internationally accepted template that creates common technical understanding of definitions, classification, estimation processes and the Public Reporting of Exploration Results, Mineral Resources, and Mineral Reserves. The Committee for Mineral Reserves International Reporting Standards Template-based codes guide reporting at respective national and regional levels. Since mine planning is critical in the conversion of mineral resources to mineral reserves, a shared technical understanding should aid comparability of mine planning results. However, differences persist in the way mine planning results are reported. Unlike most previous studies, which have primarily focused on comparing mineral reporting codes, this paper updates and extends such comparisons by exploring how similarities or differences in reporting should influence the mine planning process. It also recommends some principle and process changes to assist mine planning professionals to improve consistency and comparability in reporting mine planning results.
Keywords
CRIRSCO, national reporting codes, mine planning, Competent Person (CP), Competent Person’s Report (CPR), Public Reporting
The International Energy Agency (2022) estimated in 2022 that to meet the global targets outlined in the 2016 Paris Agreement, the demand for mineral commodities essential for clean energy technologies, could increase four-fold by 2040. Alternatively, in a more accelerated energy transition scenario aiming for net-zero greenhouse gas emissions by 2050, demand could increase up to six-fold compared to 2022. This surge would be driven by the growing need for minerals required for energy transition applications, including electric vehicles, solar panels, and data centres supporting artificial intelligence systems. This projected growth in mineral demand is largely due to traditional drivers such as population growth and urbanisation, compounded by the implementation of decarbonisation technologies that are more mineral intensive than fossil fuel technologies. Therefore, it is critical for mineral industry companies to expedite mineral development projects to meet the anticipated increase in the demand for minerals (Govreau, 2022). However, in trying to fulfil the projected demand through expedited mineral resources and mineral reserves management, it is also important to satisfy various stakeholder expectations of companies operating in the minerals industry. Such stakeholders include customers, financiers, regulators, local communities, native and indigenous peoples, non-governmental organisations and social groups as well as employees, management and shareholders. Stakeholder expectations impose some emerging constraints such as the rising global demand for environmental, social, and governance (ESG) compliance and stewardship to ensure acceptable development and continued operation of mining projects (Sides, Allington, 2024). Typically, mineral industry companies operate mineral development

projects at various stages across multiple geographical jurisdictions. However, they must navigate these constraints to secure and maintain their social license to operate.
The various stages of mineral development projects include exploration, technical studies such as scoping studies (SS), prefeasibility studies (PFS), feasibility studies (FS), and engineering and construction works. If successfully actioned and implemented, the result will be the profitable extraction of raw materials or minerals that will be used in the mid- and down-stream stages of the mineral value chain. The evaluation of exploration results typically ends with the declaration and reporting of mineral resources. Subsequently, various technical studies such as SS, PFS, and FS, that are undertaken during mine planning aim to determine optimal ways for extracting the mineral resources. The technical studies culminate in the declaration and reporting of Mineral Reserves, thus, guiding multi-million (or sometimes billion) dollar investment decisions on project advancement. Therefore, mine planning is an important process that is undertaken when converting mineral resources to mineral reserves, which are then reported in Public Reports. Figure 1 is a snapshot of the global distribution of mineral development projects, at various stages of development, as of 2022.
Globally, there are several national and regional mineral reporting codes that guide Public Reporting at national and regional levels. For example, at a regional level some mining companies operating in the European Union (EU) countries report mineral information using the Pan-European Reserves and Resources Reporting Committee (PERC) Standard. It must be noted though, that in the EU it is a company decision to report using the PERC Standard because it is a standard and not a regulatory requirement and the Financial Conduct Authority (FCA) does not specify the code or standard to use, provided it is recognised by CRIRSCO (Sides, Allington, 2024). However, the Critical Raw Materials Act (CRMA), which is a European Commission (EC) legislation, requires the use of the United Nations Framework Classification for Resources (UNFC) (Lepley, 2024).
Companies operating in the minerals industry often operate in multiple geographical, regulatory or legislative jurisdictions, which have different jurisdiction-specific requirements. This requires consistency in the Public Reporting of information on Mineral Resources and Mineral Reserves so that meaningful comparisons

can be made across different jurisdictions. The challenge to standardise the reporting process so that there is common technical understanding across different regulatory jurisdictions led to the establishment of a global committee in 1994, known as the Committee for Mineral Reserves International Reporting Standards (CRIRSCO). A broad mandate for CRIRSCO is to ensure the alignment of national and regional minerals reporting codes. To achieve this goal, CRIRSCO published a template (the Template) in 2006, which was later updated in May 2013 (Sides, Allington, 2024). At the time of writing this paper, the most current version of the Template had been published in 2019, and that version is also referred to as the International Reporting Template (IRT) (CRIRSCO, 2019; 2024). The Template has gained global acceptance and propelled, inter alia, by the increasing globalisation of investors on different stock exchanges, securities exchanges and equity investors, including royalty and streaming companies. As part of their duty of care, stock and security exchanges must protect their investors by putting systems in place to ensure that the information published by companies listed on those exchanges is, as far as possible, not misleading or false (Njowa et al., 2014). Figure 2 schematically illustrates the CRIRSCO approach to categorising Mineral Resources and Mineral Reserves. Each country under the CRIRSCO umbrella must use the same definitions for comparability in reporting. For example, the definition of an Inferred Mineral Resource in one code must have the same definition in one of the other CRIRSCO Template-based codes, although only the additional guidance may vary, i.e., additional text added to assist and guide the reader as to what additional detail, if any, is required in that respective reporting jurisdiction.
Unlike previous studies, such as those by Camisani-Calzolari (2004) and Rupprecht (2017a), which primarily focus on comparing mineral reporting codes, this paper updates these comparisons and explores how reporting similarities and differences should inform the mine planning process. This approach aims to promote more consistent and comparable reporting of mine planning results. With this extension, considerations are made regarding how the CRIRSCO Template-based mineral reporting codes can be utilised for better alignment in the Public Reporting of mine planning results.
At a national level, mineral resources and mineral reserves have long been viewed as each country’s mineral endowment that is normally assigned to the custodianship of governments on behalf of the country’s citizenry. The mineral endowment is an attraction for international investment that contributes towards
driving the economic growth of the respective country endowed with such mineral resources. For any company operating in the minerals industry, mineral resources and mineral reserves are among the most significant assets, if not the most critical (IASB, 2010; Njowa, Musingwini, 2018). They serve as the lifeblood and foundation of a mining company, determining its future economic viability (Deloitte, 2023). However, if these resources are not reported appropriately, this can mislead investors into making incorrect investment decisions and such reporting fails to comply with ethical and governance expectations of investors. Cases of misleading reporting and associated consequences of such practices were instrumental in driving the development of the CRIRSCO Template. These scandals exposed the dangers and risks associated with a lack of accountability, incompetency, or misleading reports due to the absence of a guiding framework for consistent and comparable Public Reporting of mineral assets. These scandals include the much-publicised Poseidon nickel bubble as well as the Bre-X scandal (Camisani-Calzolari, 2004; Rupprecht, 2017a; Sides, Allington, 2024).
The Poseidon nickel bubble was a stock market bubble that unfolded between 1969 and 1970, driven by speculation around the Australian exploration company Poseidon NL. The company's share price soared after it announced that drilling had uncovered highgrade nickel ore. However, the ore was later found to be of much lower quality, leading to a sharp decline in the stock's value.
Similarly, the Bre-X scandal was a mining fraud that occurred between 1995 and 1997, involving the Canadian company Bre-X Minerals Ltd. The company's stock price surged after it claimed to have discovered a substantial gold deposit at the Busang mine in Indonesia. However, the gold samples were later revealed to be fraudulent, causing the stock to collapse.
To prevent the occurrence of similar scandals in the future, statutory and professional bodies in some leading mineralrich countries collaboratively developed, together with their respective stock exchanges, standards and codes for guiding the Public Reporting of mineral assets (Njowa et al., 2014). The guidance includes the use of standardised definitions as well as recommendations on the minimum level of experience that the Competent Person (CP) must possess (Njowa et al., 2014). However, it is important to note that neither the CRIRSCO Template nor any of the CRIRSCO Template-based codes prescribe how to estimate, or provide methods to use for the classification of Mineral Resources and Mineral Reserves.

Figure 3 illustrates the national reporting codes or standards that currently exist worldwide and are aligned with the CRIRSCO Template, at the time of writing this paper. Additional countries are in the process of applying to CRIRSCO, and it is anticipated that the application of the CRIRSCO Template definitions will become mandatory for either national reporting purposes or will be required by all stock exchange regulators.
Despite there being adequate high-level commonality among the various national and regional mineral reporting codes due to their alignment with the CRIRSCO Template, there are subtle, but important differences that can be identified due to jurisdictionspecific requirements, which impact comparable and consistent reporting. The country-specific requirements are the result of:
➤ Cultural and social contexts
➤ Legislative and regulatory requirements
➤ Historical legacies
➤ Loss in meaning due to language translations to and from English.
In addition, the CRIRSCO Template and various national and regional mineral reporting codes have undergone revisions or updates since their inception (Table 1). What can be observed from these changes is that:
➤ As national mineral reporting codes develop, they become increasingly detailed as they tend to provide more guidance, explanations and checklists.
➤ Generally, the revisions are driven by changes in the legislative or regulatory environments as a reaction to fraudulent and other sub-standard practices that may have impacted investors and government revenues.
➤ Generally, as understanding in using these codes has increased, industry leading practice has also evolved and been adopted by CRIRSCO member countries.
➤ Requirements for the social license to operate have meant that civil society concerns are making an impact on what and how exploration and mining companies should report into the public domain. A recent example is the ESG reporting requirement, which exploration and mining companies should now report on as part of their published annual reports so that they can demonstrate their ESG compliance and stewardship.
➤ The reporting codes do not stipulate the estimation methodologies to be applied in estimating mineral resources and mineral reserves, hence inconsistencies will always arise depending on the estimation and classification approaches followed.
➤ The reporting codes cater for Public Reporting purposes, yet reports can be prepared for reasons other than solely for Public Reporting. Therefore, the reports may contain different levels of detail or emphasis depending on their intended purpose, hence independent reviews are indispensable in trying to minimise inconsistency in reported information or any possibility of information that can be deemed misleading. One of the achievements of CRIRSCO has been in promoting international mineral reporting, leading practice through standardising definitions for terms used in the reporting of exploration results, mineral resources and mineral reserves (or ore reserves). This standardisation provides high-level assurance to investors who invest across different geographies that there is reporting commonality as the CRIRSCO Template currently provides 16 standard definitions that are used in all the related
Table 1
CRIRSCO Template-based mineral reporting codes with summary attributes
Country or Region Language
Australia English Code
Australasian Code for Reporting of Exploration Results, MineralResources and Ore Reserves (JORC)
Brazil Portugese, English Guide Commission Brasileira de Recursos e Reservas Guide for Reporting Exploration Information, Mineral Resources and Mineral Reserves (CBRR)
Canadian Institute of Mining, Metallurgy and Petroleum (CIM)
Canada English, French Code
Chile Spanish, English Code
Standards for Mineral Resources and Mineral Reserves
Code for Reporting Mineral Prospects, Resources and Reserves (Code CH 20.235, CC)
Colombia Spanish, English Code Colombian Standard for the Public Reporting of Exploration Results, Mineral Resources and Mineral Reserves (ECRR)
Europe
English, Summary Guide in German, Swedish, Finnish, Portuguese, French, Spanish and Italian Standard
India English Code
Indonesia Bahasa, English Code
Kazakhstan Kazak, English Code
Mongolia Mongolian, English Code
Russia Russian, English Code
South Africa English Code
Türkiye Turkish, English Code
Pan European Reserves and Resources Reporting Committee (PERC)
Mineral industry Code (IMIC), For Reporting Exploration Results, Mineral Resources and Mineral Reserves
Komite (Bersama) Cadangan Mineral Indonesia (KCMI), Exploration Results, Mineral Resources and Mineral Reserves Indonesian Joint Committee for Mineral Reserves
Code for the Public Reporting of Exploration Results, Mineral Resources and Mineral Reserves (KAZRC)
Mongolian Code for the Public Reporting of Exploration Results, Mineral Resources and Mineral Reserves (The MRC Code)
Code for the Public Reporting of Exploration Results, Mineral Resources, Mineral Reserves (NAEN)
South African Code for the Reporting of Exploration Results, Mineral Resources and Mineral Reserves (SAMREC)
National Public Reporting of Exploration Results, Mineral Resources andMineral Reserves Code of Türkiye (The UMREK Code)
Mineral
and Mineral Reserves (The SME Guide)
Reporting Template for the public reporting of
Reserves (CRIRSCO
Note: JORC - Joint Ore Reserve Committee; SAMESG - South African Guideline for the Reporting of Environmental, Social and Governance Parameters
/
The NI 43-101 incorporates the CIM Standard through direct cross-referencing. The Toronto Stock Exchange (TSX) and TSX Venture Exchange (TSX-V) recognise the NI 43-101.
Guidance)
1955 of 2019, Resolution 514 of May 29, 2023, Mineral Resources and Reserves
https:// comisioncolombianarecursosy reservas.com/
mpigm/
codes. For example, reference to an Inferred Mineral Resource Report for a hard rock lithium mineral property in Western Australia should have a similar meaning when applied to a hard rock lithium mineral property in Africa, provided that both mineral properties report under CRIRSCO affiliated codes. The commonality of definition allows global investors to compare different mineral properties and choose which property is the preferred investment option when comparing it on a like-for-like technical basis.
Table 1 summarises the 14 mineral reporting codes that fall under the umbrella of the CRIRSCO Template and the dates when the original codes were introduced, together with dates of latest versions, at the time of writing this paper. The mineral reporting codes have used the CRIRSCO Template as a common reference but with additional adjustments that cater for requirements peculiar to a country or region. In the different jurisdictions, national and regional mineral reporting codes may either have legislative or regulatory authority, or merely serve just as guideline documents. However, they all adhere to the same fundamental definitions, guidelines, and terminologies outlined in the CRIRSCO Template for the reporting of exploration results, mineral resources and mineral reserves. However, outside the ambit of the CRIRSCO Template-based codes there are other standards pertaining to mineral reporting but are not the focus of this paper. These include the:
➤ United Nations Framework Classification for Resources (UNFC), which is a universal standard that can be used
Table 2
for the sustainable management of all energy and mineral resource endowments to address needs of different stakeholders, such as in policy formulation, capital allocation, and corporate business processes (Hokka et al., 2020).
➤ Pan African Public Reporting Standard for Minerals and Energy Resources (PARC), which was developed under the auspices of the African Minerals Development Centre (AMDC) as part of a process to coordinate and oversee a continent-wide implementation of the Africa Mining Vision. The PARC Standard seeks to enhance processes for certification of competence in the minerals industry in Africa and harmonise policies and regulatory frameworks relating to the reporting of mineral endowments at a continental level (AMDC, 2023).
➤ National Instrument 43-101 (NI 43-101), which is a regulatory instrument in Canada to ensure compliance with listing requirements for companies listed on the Toronto Stock Exchange (TSX) and TSX Venture Exchange (TSX-V).
➤ SK-1300, which is a regulatory instrument in the United States of America (USA) to comply with Regulation S-K [17 CFR 229.1301 - 229.1305] as required by the New York Stock Exchange (NYSE) and US Securities and Exchange Commission (SEC).
According to CRIRSCO (2024), the Template seeks among other things to:
➤ Integrate the minimum standards that should be adopted in national and regional mineral reporting codes and standards.
A Comparative summaryof scope coverage among the national and regional mineral reporting codes (Sources: Home websites as listed in Table 1
Code/Standard/Template Key Applicability with Inclusions and Exclusions or Key Code Stipulation Purpose
JORC
CBRR Brazil)
CIM Definition Standards for Mineral Resources and Mineral Reserves
Applies to "all solid minerals, including diamonds, other gemstones, industrial minerals and coal". The ASX, ASIC and NSX require compliance with the code as stated in Table 1.
Applies to "all solid mineral raw materials" for which "Public Reporting of Exploration Information, Mineral Resources and Mineral Reserves is required by any relevant regulatory authority" . Its applicability excludes water, oil and gas resources.
Applicable to all solid minerals, including precious stones and industrial minerals. The standard excludes hydrocarbon or maritime resources.
CH 20.235,CC Applicable to all solid minerals, including precious stones and industrial minerals.
ECRR Regulatory authorities require application of the code for the Public Reporting of Exploration Results, Mineral Resources and Mineral Reserves relating to "all solid minerals, including emeralds and other gemstones, coal, industrial minerals, stone and aggregates"
PERC
IMIC
KCMI
The PERC Reporting Standard applies to all solid mineral raw materials for which Public Reporting is required by any relevant regulatory authority.
The IMIC is applicable to "all solid mineral raw materials" and, in addition, also applies to:
• "Oil shales, oil sands and other energy minerals extracted by mining";
• "Metallic or non-metallic minerals extracted by solution mining methods".
Applies to any mineral defined as "any substance, extracted for its economic value, occurring naturally in or on the Earth, in or underwater or in tailings, residues or stockpiles, having been formed by or subjected to a geological process but excludes, water, oil and gas" .
KAZRC Applicable to solid minerals only.
MRC Applies to "all solid minerals, including diamonds, other gemstones, industrial minerals, stone and aggregates, and coal" for which Public Reporting is required by relevant regulatory authorities.
NAEN Applicable to all solid minerals for which Public Reporting is required by relevant regulatory authorities.
SAMREC Applies to "all solid minerals, including diamonds, other gemstones, industrial minerals, stone and aggregates, and coal" for which Public Reporting is required by relevant regulatory authorities.
UMREK
SME Guide
CRIRSCO
Applies to any mineral defined as "any substance, extracted for its economic value, occurring naturally in or on the Earth, in or underwater or in tailings, residues or stockpiles, having been formed by or subjected to a geological process but excludes, water, oil and gas"
Applies to any "Mineral Deposit (including coal, diamonds, industrial minerals, and mineral products obtained through in situ recovery methods) is defined herein as an accumulation of mineral(s) of potential economic interest within estimated geological boundaries".
The Template is applicable to all solid mineral raw materials for which Public Reporting is required by any relevant regulatory authority.
The Code/Standard/Template sets out the minimum requirements, recommendations and guidelines for the Public Reporting of Exploration Results, Mineral Resources and Mineral Reserves (or Ore Reserves
The Template is advisory only, and where a national and/or regional code or standard exists, the code or standard will take precedence. It provides minimum standards for adoption in national and/or regional reporting codes and standards for the Public Reporting of Exploration Targets, Exploration Results, Mineral Resources or Mineral Reserves.
➤ Provide recommendations and interpretive guidelines for disseminating and promoting effective and well-tested leading practices for Public Reporting.
➤ Follow a global trend towards more stringent corporate governance and regulation, considering the global amplification of ESG compliance and stewardship expected from companies operating in the minerals industry. Therefore, this paper sought to compare the CRIRSCO Template-based mineral reporting codes, to highlight their similarities and differences and infer implications for mine planning processes in mineral development projects. The comparison can assist in fostering better comparability in the reporting of mine planning results and in recommending some principle and process changes that can enhance comparability of mine planning results.
Comparison of CRIRSCO Template-based mineral reporting codes
This paper utilised the CRIRSCO Template guidelines to compare how well the national and regional mineral reporting codes align with international leading practice when publicly reporting Exploration Results, Mineral Resources and Mineral Reserves. The comparison considered the degree of alignment with the CRIRSCO Template, deviations from the Template, and similarities or differences among the codes. The relevant comparison categories based on the overall architecture of the CRIRSCO Template included scope, terms and definitions, competence and qualifications of a CP and recognised professional organisations (RPOs), principles and guidelines, and Public Reporting requirements. The codes being evaluated are those listed previously in Table 1.
The scope of each national and regional mineral reporting code addresses the required minimum standards for the Public Reporting of solid minerals classified as metallic and non-metallic minerals (Table 2). Therefore, water or geothermal energy resources and non-solid energy minerals, such as oil and gas resources, have been excluded and are not considered in the comparisons made in this paper. Under the CRIRSCO Template, it has been globally accepted that it covers solid minerals, and includes, but is not limited to, diamonds, coal, gemstones, industrial minerals, sand, stone, and aggregates. In addition, oil shales, oil sands, or other energy minerals extracted by mining, as well as metallic and nonmetallic minerals extracted using solution mining methods, are also included.
The national and regional mineral reporting codes are similar in scope in the following areas:
➤ They all cover solid minerals only but have some differences in definitions and guidelines to account for local circumstances and conditions. For example, in India, where oil shales are mined, the scope includes guidance on oil shales.
➤ They utilise the same definitions for the reporting of Exploration Results, Mineral Resources, and Mineral Reserves, including classifications.
➤ They are not explicit on how to define and report uncertainty inherent in mineral resource estimation and classification, which subsequently impacts how mine planning will be executed, since mine planning is undertaken on declared mineral resources. The uncertainty creates risks associated with the mine planning process.
Generic terms and definitions including equivalents
The language of communication within CRIRSCO is English. If the native language is not English, then the national and regional mineral reporting code should be available in both English and the respective native language of communication. The language translations to and from English can impact the reporting terminology, as meaning may be lost despite best efforts to ensure accurate translation. Therefore, it is important to compare terms and definitions to ensure common technical understanding, which is important for:
➤ Recognising the international nature of mining and mining investments.
➤ Comparing technical aspects of exploration and mining projects on a ‘like-for-like’ basis (e.g., in terms of risk, uncertainty, and opportunity).
➤ Effective communication.
➤ Education and training in the reporting of Mineral Resources and Mineral Reserves.
The CRIRSCO Template has 16 standard definitions that must be used in all CRIRSCO member national reporting codes. Table 3 provides commentary on where key terms and definitions are found in the various CRIRSCO reporting codes. These key terms and definitions ensure commonality in technical understanding. It should be noted that the national and regional codes utilise the generic terms and definitions from the CRIRSCO Template but include additional requirements peculiar to their respective jurisdictions. For example, the national reporting codes in Brazil, Chile, and the USA have added guidance on expected ranges of accuracy in estimates of capital and operating cost in technical studies.
The standardisation of the generic terms and equivalents across the national and regional mineral reporting codes has ensured that CRIRSCO can promote industry leading practice in the international Public Reporting of Exploration Results, Mineral Resources and Mineral Reserves. For example, CRIRSCO, (2014) noted that its existence “recognises the truly global nature of the minerals industry and the agreed need for international consensus on reporting standards”.
Competence is one of the key requirements that must be satisfied in the reporting of Exploration Results, Mineral Resources and Reserves. The estimation, classification, and reporting of Mineral Resources and Mineral Reserves must be done by a CP who possesses necessary qualifications, training, and experience in the estimation and reporting of Exploration Results, Mineral Resources and Mineral Reserves. Requisite qualifications and minimum experience for a CP are requirements common to all the mineral reporting codes, although there are minor differences in the term used for a CP (note that in the JORC code the acronym CP is also reserved for a Chartered Professional). The minimum experience differs across codes (Table 4). For example, a CP is referred to as a Qualified Professional (QP) in Brazil, Qualified Person (QP) in Canada, Qualified Competent Person (QCP) in Chile, Registered Competent Person (RCP) in India, and Competent Person Indonesia (CPI) in Indonesia.
The CRIRSCO Template stipulates that CPs must possess “a minimum of five years’ relevant experience in the style of mineralisation or type of deposit under consideration and the activity”, which a CP is undertaking (CRIRSCO, 2019). The
Table 3
A comparative summary indicating where key generic terms and definitions with equivalents are found within the various national and regional mineral CRIRSCO reporting codes (Sources: Home websites as listed in Table 1)
Country or Region Key Comment on Generic Terms and Equivalents or Key Code Stipulation
Australia Appendix 1 defines Generic Terms and Equivalents.
Brazil Appendix 1 defines 15 Generic Terms and Equivalents.Table 2 states the "Study Accuracy Ranges for Capital and Operating Cost Estimates".
Canada Definitions are contained in the CIM Definition Standards, NI 43-101 Standards for Disclosure for Mineral Projects and the CIM Best Practice Guidelines.
Chili Appendix 2 defines "Study Accuracy Ranges for Capital and Operating Cost Estimates". Appendix 3 contains 19 definitions, each with their English and Equivalent Spanish Generic Term.
Colombia Eleven (11) generic terms are defined in the Glossary.
Europe Appendix 10 defines 38 Generic terms and their generalized meanings.
India Appendix 1 defines 11 Generic Terms and Equivalents. Appendix 4 defines 26 Acronyms.
Indonesia Appendix 1 defines nine Generic Terms and Equivalents.
Kazahstan Table 2 provides a guideline for the ranges of accuracy in estimates expected in Technical Studies. Appendix 1 defines 17 "Code Terms and Equivalents" (note that they are not in alphabetical order).
Mongolia Appendix 1 defines 14 Generic Terms and Equivalents (note that they are not in alphabetical order).
Russia Appendix 1 defines 12 Generic Terms and Equivalents (note that they are not in alphabetical order).
South Africa Twenty-seven (27) Terms and Equivalents are defined in the Glossary.
Türkiye Appendix 11 provides a list of 88 technical terms in English and their Turkish equivalents, the definitions or descriptions are found in the Code. Appendix 12 defines 15 Acronyms.
USA (SME Guide)
Table 2 provides the "Study Accuracy Ranges for Capital and Operating Cost Estimates" , based on the Third Edition of the Mining Engineering Handbook (2011) . Appendix B provides a glossary of 126 terms.
CRIRSCO Appendix 1 defines 12 Generic Terms and Equivalents.
CRIRSCO Template-based reporting codes generally require five years of relevant experience. However, some countries have modified this requirement. For example, Brazil, Colombia, and India mandate ten years of professional experience in the mining industry, with at least five years being relevant experience. Meanwhile, Türkiye and the USA have adjusted the requirement to seven years of relevant experience. These differences bring into question whether the minimum number of years can be interpreted as a meaningful measure of competence, based on a CP’s curriculum vitae. Table 4 summarises requirements for competence and registration for a CP across the different CRIRSCO affiliated codes.
In a recent global study by Waltho et al. (2022), the Australian Securities and Investments Commission (ASIC) highlighted the issue of ‘relevant experience’ as being interpreted differently by individual CPs worldwide. This concept remains misunderstood, to such an extent that: “Relevance also needed to be extended beyond experience with different styles of mineralisation and be clearer on requiring Competent Persons to report within their field of expertise (e.g., geologists should not assess non-geological modifying factors which could be more appropriately addressed by a mining engineer, metallurgist or other professional)” (Waltho et al., 2022). In the same perspective, other professionals should do the same by only assessing modifying factors appropriate to their respective field of expertise.
The national and regional mineral reporting codes have subtle differences in the following areas when defining competence:
➤ Registration with a statutory body or membership of a professional body that has disciplinary powers.
➤ Licensing.
➤ Relevant education and training in the reporting of Exploration Results, Mineral Resources and Mineral Reserves.
The codes are similar in that there is a requirement for professional registration or membership of a professional body that has disciplinary powers. Reciprocity relationships between countries, through the recognised overseas professional organisations (ROPO) framework, though not always guaranteed, may allow CPs to be recognised across different jurisdictions (Njowa et al., 2014). However, in relation to rules for defining a Qualified Person, Waltho et al. (2022) noted that the disclosure requirements in the USA differed from other CRIRSCO Templatebased codes in the way they define Qualified Persons and how the ROPO principle is articulated.
Given the preceding observations, it can be noted that the interpretation and application of the requirement on competence remain a challenge. As a result, different jurisdictions have applied various interim solutions to mitigate or address this issue.
Guiding principles and additional guidance
Transparency, materiality, and competence in the CRIRSCO Template, are the core principles that guide the estimation and reporting of Exploration Results, Mineral Resources and Mineral Reserves. The CRIRSCO Template-based codes uphold these three principles (Njowa et al., 2014). It should be noted that the Canadian Institute of Mining, Metallurgy and Petroleum (CIM) Definition Standards, including the associated NI 43-101, do not explicitly mention the three core principles. However, the three core principles implicitly apply since the CIM Definitions Standards comply with the CRIRSCO Template.
Table 5 outlines how each of the codes directly addresses these principles on an ‘if not, why not’ basis, including their implications for the CP. A fundamental reason for the ‘If not, why not' requirement is to deter ambiguity and selectivity in reporting; hence, improve 'transparency' and 'materiality' of Public Reports and build more confidence in the Public Reports. The ‘If not, why not’ requirement also assists CPs in including all aspects that a reasonable stakeholder, investor, and professional advisor would reasonably expect to find in a Public Report. This reporting requirement also assists CPs in providing details pertaining to all relevant risks and uncertainty. Table 5 also indicates where a code does not explicitly address the three core principles and how that is addressed through other provisions.
Each item under the Checklist appended as a table with the title ‘Table 1’ to the national and regional codes has been considered using the ‘if not, why not’ basis and any material year-on-year variance is to be explained in a Competent Person’s Report (CPR) or Qualified Competent Person’s Report (QCPR). It should be noted that very few of the CRIRSCO codes have opted to exclude the ‘if not, why not’, basis for reporting. These include codes from Canada, Chile, Kazakhstan, Mongolia, Russia, and the USA. The Checklist appended to the codes as ‘Table 1’ is a comprehensive checklist of several technical aspects that must be considered to declare Exploration Results, Mineral Resources, or Mineral Reserves in that specific jurisdiction. In this regard, Lomberg and Rupprecht (2017a,) argued that: “The use of the checklist for every declaration is considered best practice and if completed properly it can provide
Table 4
A comparison of competence and registration requirements for CPs (Sources: Home websites as listed in Table 1)
Country or Region Code/Standard/ Template Term used for Competent Person
Australia JORC Competent Person
Brazil CBRR Qualified Professional
Canada CIM Definition Standards for Mineral Resources and Mineral Reserves
Qualified Person A minimum of five-years’ relevant experience
Chile CH 20.235, CC Qualified Competent Person
Colombia ECRR Competent Person
A minimum of ten (10) years of professional experience in the mining industry, and a minimum of five (5) years of relevant experience
Resources and Reserves N/A No international professional bodies recognised by the commission.
Specified Qualifications and/ or Experience as per Code Stipulation
A minimum of five-years’ relevant experience
"At least 10 (ten) years of professional experience, a minimum of five years of relevant experience in the style of mineralisation and type of deposit under consideration and in the activity which that person is undertaking, including at least 3 (three) years in a Position of Responsibility"
Refer to: NI 43-101 Standards of Disclosure for Mineral Projects, Form 43-101F1 Technical Report and Related Consequential Arrangements.
Must be "registered in the Public Registry of Qualified Competent Persons, with a University degree that dates back at least 10 years in one of the specialties associated to the mining business and a minimum of five years’ relevant experience" .
Registered in the Colombian Commission of Mineral
Registration Requirement as Specified in Cod RPO
Member or Fellow of the Australasian Institute of Mining and Metallurgy, or of the Australian Institute of Geoscientists
Registered with the Brazilian Commission of Resources and Reserves (CBRR)
Additional Comments with any Code Stipulation
Member of a recognised RPO Aligned to the CRIRSCO Template
Member of arecognised RPO
Member of a recognised RPO Aligned to the CRIRSCO Template
Registered in the Public Registry of Qualified Competent Persons
Member of a recognised RPO
"The term 'Position of Responsibility' means that the individual was depended on for significant participation, management and decision-making relevant to their respective area of technical competency. Position of responsibility does not necessarily imply a managerial, hierarchical position or corporate interest. Managerial, hierarchical position or corporate interest cannot be automatically recognised as 'Position of Responsibility'".
Certificate of Qualified Person standing issued by the Mining Commission "to act as a Qualified Competent Person in the" preparation of the respective document.
Europe PERC Competent Person A minimum of five years’ relevant experience RPO as Recognised by PERC RPO as recognised by PERC Aligned to the CRIRSCO Template
India IMIC Registered Competent Person
Indonesia KCMI Competent Person Indonesia
A minimum of ten years professional experience, which includes five years relevant experience
A minimum of five-years’ relevant experience
Kazakhstan KAZRC Competent Person A minimum of five years’ relevant experience
Mongoli MRC Competent Person A minimum of five years’ relevant experience
"A Member of a Professional Organisation headquartered in India and approved by the National Committee for Reporting Mineral Resources and Reserves in India (NACRI)".
Member of and registered as a Competent Person Indonesia (CPI) with the Association of Indonesian Geologists (IAGI) or CPI with the Association of Indonesian Mining Professionals (PERHAPI).
Registered with the Public Society of Independent Experts of the Subsurface Resources (PONEN).
Member or Fellow with the Registered Professional certification of the Mongolian Professional Institute of Geosciences and Mining.
Russia NAEN Competent Person A minimum of five years’ relevant experience A member of the Russian Society of Subsoil Use Experts (OERN)
A person who is registered with the South African Council for Natural Scientific Professions (SACNASP), Engineering Council of South Africa (ECSA), or South African Geomatics Council (SAGC), or is a Member or Fellow of the Southern African Institute of Mining and Metallurgy (SAIMM), Geological Society of South Africa (GSSA) or Institute of Mine Surveyors of Southern Africa (IMSSA).
Professional Member of the Association of Geosciences, Mining and Metallurgy Professionals (YERMAM).
Member of a recognised RPO Annual exam to be taken and passed.
Member of a recognised RPO Documentation must be completed in Bahasa.
Member of a recognised RPO Aligned to the CRIRSCO Template
Member of a recognised RPO Aligned to the CRIRSCO Template
Member of a recognised RPO Aligned to the CRIRSCO Template
Member of a recognised RPO
professional bodies must have disciplinary powers over their members and have continuous professional development requirements.
The professional bodies must have disciplinary powers over their members and have continuous professional development requirements "and that has been certified by UMREK with a Certificate of Competence" . USA
minimum of seven years’
experience A registered member of the Society for Mining, Metallurgy & Exploration (SME).
National Reporting Organisation (NRO) will name the appropriate membership class and name of Professional Organisation (PO) and other Recognised Professional Organisation (RPOs).
Member of a recognised RPO The professional bodies must have disciplinary powers over their members and have continuous professional development requirements.
The professional bodies must have disciplinary powers over their members and have continuous professional development requirements.
Table 5
A comparison of guiding principles among the national and regional mineral reporting codes (Sources: Home websites as listed in Table 1)
Country or Region Code or Standard Guiding Principles Statement on 'If not, why not'
Australia JORC Transparency, Materiality, Competence
Brazil CBRR Transparency, Materiality, Competence
Table 1 in the code must be complied with based on the 'if not, why not' principle for Public Reporting of significant projects.
"For significant projects, the reporting of all criteria in Sections 1 and 2 of 'Table 1' on an 'if not, why not' basis is required" .
Canada CIM Definition Standards for Mineral Resources and Mineral Reserves Not specifically mentioned Not specifically stated
Chile CH 20.235, CC Transparency, Materiality, Competence. Furthermore, the QCP must demonstrate knowledge, experience and judgement Not specifically stated
Colombia ECRR Transparency, Materiality, Competence, Impartiality
Europe PERC
Transparency, Materiality, Competence, Accountability
An 'if not, why not' basis applies to the Checklist in 'Table 1' as well as to the content "within Public Reporting for significant projects" .
The 'if not, why not' basis applies to all aspects of PERC reporting.
Principle Key Commentray or Code Stipulation on adherence with “if not, why not” Principle
Be aware of requirements of ASX, ASIC and NZX
"If only one Qualified Professional signs the Mineral Resource or Mineral Reserve documentation, that person is responsible and accountable for whole of the documentation" .
Must read NI 43-101 in conjunction with CSA and CIM requirements, guidance and best practice notes. Public Reports, specifically Technical Reports, are subject to review by the regulator. Each QP should accept responsibility for his or her particular contribution. The QP determines materiality.
The responsibility of the QCP in charge should be absolute. Appendix 2 (Rules of Conduct and Guidelines) must be complied with.
Key Commentary or Code Stipulation on Public Reporting and the CP Additional Comments
Disclose the CP’s name and state if they are a full-time employee of the company for which the Public Report has been prepared. Any potential conflict of interest must also be disclosed. The CP must provide written consent for the Public Report to be published.
Additional requirements are defined in terms of stock exchange listing rules.
India IMIC Transparency, Materiality and Competence
The 'if not, why not' principle is applicable when reporting using IMIC
Indonesia KCMI Transparency, Materiality, Competence The 'if not, why not' principle applies
If there is doubt about what should be reported, it is better to err on the side of providing too much information rather than too little.
The CP must recognise "that they are responsible for ensuring that activities comply with the legal and regulatory requirements relevant to such Public Reporting" .
"When an Indian Stock Exchange listed company with overseas interests wishes to report Exploration Results, Mineral Resource or Mineral Reserve estimates prepared by a person who is not a member of a PO or RPO, it is necessary for the company to nominate a Registered Competent Person or Persons recognized by NACRI to take responsibility for the Exploration Results, Mineral Resource or Mineral Reserve estimate".
"When a company with overseas interests wishes to report Exploration Results, Mineral Resource or Mineral Reserve estimates prepared by a person who is not a member of the IAGI, PERHAPI, or an RPO, it is necessary for the company to nominate a Competent Person or Competent Persons to take responsibility for the Exploration Results, Mineral Resource or Mineral Reserve estimate. The Competent Person or Competent Persons undertaking this activity should understand that they are accepting full responsibility for the estimate and supporting documentation".
The QP must be named along with their qualification, professional and corporate affiliations and relevant experience. Written consent must be provided by the QP for a Public Report to be published.
Prior, written consent, is not needed for annual resource and reserve declaration purposes.
Disclose the QCP's name in the Public Report and state if they are a full-time employee of the company for which the Public Report has been prepared. If not, the QCP’s employer must be named.
The CP is to be named in a Public Report along with their "qualifications, professional and corporative affiliation(s), relevant experience and state whether the Competent Person is a full-time employee of the company, and if not, the name of the Competent Person’s employer".
The CP is to be named in a Public Report along with their "qualifications, professional and corporative affiliation(s), relevant experience and state whether the Competent Person is a full-time employee of the company, and if not, the name of the Competent Person’s employer" . Written permission from the CP is required prior to the release of any documentation.
Disclose the CP's name in a Public Report along with their "qualifications, professional and corporative affiliation(s), relevant experience and state whether the Competent Person is a full-time employee of the company, and if not, the name of the Competent Person’s employer. The Registered Competent Person’s Consent Form(s), or other evidence of the Registered Competent Person’s written consent, should be retained by the company and the Registered Competent Person to ensure that the written consent can be promptly provided if required".
Where there is a clear division of responsibility within a team, each Competent Person Indonesia and his or her contribution, should be identified and responsibility accepted for that particular contribution. If only one CPI signs the Mineral Resource or Mineral Reserve documentation, then under the Code, that person is responsible and accountable for entire documentation relating to the Public Report.
Aligned to the CRIRSCO Template with no additional requirements.
CP can be sued in their personal capacity.
Certificate of good professional standing of Qualified Person issued by the Mining Commission to act as a Qualified Competent Person is required in the preparation of the respective document.
"A Competent Person is a minerals industry professional (geologist, engineering geologist, mining engineer or mining and extractive metallurgy engineer) registered in the Colombian Commission of Mineral Resources and Reserves" .
If the CP is "relying on a report, opinion or statement of another expert who is not a Competent Person, disclose the date, title and author of the report, opinion or statement, the qualifications of the other expert and why it is reasonable for the Competent Person to rely on the other expert, any significant risks and any steps the Competent Person took to verify the information provided" .
Aligned to the CRIRSCO Template with no additional requirements.
Aligned to the CRIRSCO Template with no additional requirements.
South Africa SAMREC Transparency, Materiality, Competence The 'If not, why not' principle applies
Be aware of the Johannesburg Stock Exchange (JSE) listing requirements and the need for the crossreferencing of a CPR. Public Reports are subject to review by the JSE Readers Panel.
"It is recognised that companies can be required to issue reports into more than one regulatory jurisdiction, with compliance standards that may differ from this Code. It is recommended that such reports include a statement alerting the reader to this situation" .
"Reports which are required by State regulations, using the Mongolian Government classification system, are not considered as Public Reports within the scope of the Code" .
The 'If not, why not' principle is not covered in the current version of the NAEN Code.
"By reporting Exploration Results, Mineral Resources and/or Mineral Reserves in terms of the guidelines of the Code or where reference is made to the Code, whether reported publicly or not, the Competent Person takes full responsibility for the declaration. In these instances, a report detailing all aspects of the work shall be prepared that should be available, if requested. The report cannot be reasonably withheld and should be made available within a timeframe relevant to the immediate situation"
If the CP is "relying on a report, opinion or statement of another expert who is not a Competent Person, disclose the date, title and author of the report, opinion or statement, the qualifications of the other expert and why it is reasonable for the Competent Person to rely on the other expert, any significant risks and any steps the Competent Person took to verify the information provided. State the full name, registration number and name of the professional body or RPO, for all the Competent Person(s) and Technical Specialists. State the relevant experience of the Competent Person(s), Technical Specialists and other key technical staff who prepared and are responsible for the Public Report" .
Table 5 (Continued)
A comparison of guiding principles among the national and regional mineral reporting codes (Sources: Home websites as listed in Table 1)
Country or Region Code or Standard Guiding Principles Statement on 'If not, why not' Principle Key Commentray or Code Stipulation on adherence with “if not, why not” Principle
Key Commentary or Code Stipulation on Public Reporting and the CP
UMREK
Transparency, Materiality, Competence
The 'If not, why not' principle applies
"A site visit to or inspection of the mineral property being evaluated should be undertaken by the Competent Person(s) and appropriate member(s) of the team. In cases where a site visit does not occur, the reasons and its insignificance must be specified" .
"Any other relationship between the Competent Person and the company must be disclosed. In the case where the Competent Person or Competent Person’s immediate family hold shares, bonds or rights of purchase and franchise documents issued by the company and where there is a direct or indirect relationship between the company and the Competent Person, this relationship must be disclosed. Such a statement must be included in the section where the Competent Person provides their written consent" .
Additional Comments
In the case of "a Borsa Istanbul (BIST) registered company receiving financing in Türkiye, and having foreign interests and reports on foreign Exploration Targets, Exploration Results, Mineral Resource estimates or Mineral Reserve estimations prepared for a foreign project by a person not meeting the requirements set forth in Article 3.6, the company must commission a Competent Person or Persons that are members of a Recognized Professional Organization to take responsibility for the Exploration Results, Mineral Resource estimates or Mineral Reserve estimates. The Competent Person or Persons undertaking this responsibility need to be aware of their full responsibility regarding the report and supporting documents submitted in line with the Istanbul Stock Exchange (BIST) and Banking Credit Legislation rules, and they should not regard this action as a 'rubberstamping' exercise and should make all required assessments expected of them" .
CRIRSCO International Template Transparency, Materiality, Competence An 'if not, why not' basis applies
Table 6
The SME Guide does not constitute legal advice nor guidance. The SME disclaims "responsibility for the adequacy of disclosures made in accordance with the SME Guide under these or any other laws and any liabilities arising therefrom" . Be aware of other relevant requirements and legislation in the USA, including the SK-1300, Sarbanes-Oxley and Dodd-Franks.
"If only one Qualified Professional signs the Mineral Resource or Mineral Reserve documentation, that person is responsible and accountable for whole of the documentation" .
"A Competent Person should have visited the property that is the subject of the Public Report within at most the past 18 months if accessible and/or have visited sample preparation facilities, analytical laboratories, and metallurgical testing laboratories as appropriate, before initial disclosure of Exploration Information, Mineral Resources or Mineral Reserves" .
The principle of "‘If not, why not’ means that each item listed in the relevant section of 'Table 1' must be discussed, otherwise the Competent Person must explain why it has been omitted".
"When estimates of foreign Exploration Information, Mineral Resources and Mineral Reserves, are prepared by a person who is not a Registered Member of the SME or someone having the appropriate membership designation in a RPO as listed in Appendix A, the company should nominate a Competent Person to take responsibility for the Exploration Information, Mineral Resources, or Mineral Reserves estimate. The Competent Person(s) undertaking this activity should appreciate that they are accepting full responsibility for the estimate and supporting documentation and should not treat the procedure merely as a 'rubberstamping' exercise" .
This is the standard template with the minimum standards informing standards for all the other codes.
Comparison of additional guidance among the national and regional mineral reporting codes (Sources: Home websites as listed in Table 1)
Country or Region Comments
Australia
Brazil
Canada
Reporting of "Mineralized Fill, Remnants, Pillars, Low-grade Mineralization, Stockpiles, Dumps and Tailings"
Separate coal reporting guidelines (Australian Guidelines for the Estimation and Classification of Coal Resources) are available and must be used.
Reporting of "Coal Resources and Reserves, Reporting of Diamond Exploration Results, Mineral Resources and Ore Reserves". Lithium Brine guidelines are available and must be used.
Reporting of "Industrial Minerals Exploration Results, Mineral Resources and Ore Reserves".
Reporting of "Metal Equivalents"
Reporting of "In-Situ or In-Ground Valuations"
Reporting of "Mineralized Fill, Remnants, Pillars, Low-grade Mineralization, Stockpiles, Dumps and Tailings"
Reporting of "Industrial Minerals Exploration Results, Mineral Resources and Mineral Reserves".
Reporting of "Diamond and Other Gemstone Exploration Results, Mineral Resources and Mineral Reserves" .
Reporting of "Coal Exploration Results, Coal Resources and Coal Reserves".
Reporting of "Unconventional energy resources".
Reporting of Coal Reserves.
None
This Code requires that Public Reports must discuss the environmental, social performance and governance (ESG) and health and safety context and aspects of the project or operation that could materially affect the project during development and operations and after closure.
Must refer to 'Best-Practice' Guidelines.
Reporting of Industrial Minerals. A comprehensive Lithium Brine reporting standard is available.
Reporting of Diamonds and Gemstones.
Chile Non-Metallic deposits.
Colombia
None
This code does not consider hydrocarbons or maritime resources Artificial Deposits.
Reporting of "Mineralized Fill, Pillars, Low-grade Mineralization, Stockpiles, Dumps and Tailings".
Reporting of "Exploration Results, Resources and Reserves for Coal".
Reporting of "Exploration Results, Mineral Resources and Mineral Reserves for Emeralds and other gemstones".
Reporting of "Exploration Results, Mineral Resources and Mineral Reserves for Industrial Minerals and Construction Raw Materials" .
Reporting of "Metal Equivalents".
Reporting of "Unconventional energy resources".
the Competent Person with assurance that no technical inputs or practices have been omitted. It also provides users with confidence that the declaration is fully compliant and can be relied upon”. Most of the national and regional mineral reporting codes have included a requirement to report against the ‘Table 1’ Checklist on an 'if not, why not' basis for maiden declarations or when a material change has occurred for a mineral project or mining operation that would have a material impact on the project or the parent company. Where aspects of the Checklist of ‘Table 1’ have not been included in the
Application of all the modifying factors grants viability and feasibility to a mining project, now backed by the Extractive Industries Transparency Initiative (EITI), Corporate Social Responsibility and Shared Value.
Public Report, the CP should explain why those aspects have been omitted.
Table 5 provides some guiding principles contained in the national and regional mineral reporting codes and Table 6 indicates some aspects of additional guidance where these are specified in some of the codes.
Table 6 Comparison of additional guidance among the national and regional mineral reporting codes (Sources: Home websites as listed in Table 1)
Table 6 (Continued)
Comparison of additional guidance among the national and regional mineral reporting codes (Sources: Home websites as listed in Table 1)
Country or Region Key Items or Additional Code Stipulation on Specific Reporting Guidelines
As Appendices
Reporting of "Mineralized Fill, Pillars, Low-grade Mineralization, Leach Pads, Stockpiles, Dumps and Tailings".
Reporting of "Coal Exploration Results, Coal Resources and CoalReserves".
Reporting of "Exploration Results, Mineral Resources and Mineral Reserves for Diamonds and other gemstones".
Reporting of "Exploration Results, Mineral Resources and Mineral Reserves for Industrial Minerals, Cement Feed Materials and Construction Raw Materials".
Europe
India
Indonesia
Reporting of "Exploration Results, Mineral Resources and Mineral Reserves for Dimension Stone, Ornamental and Decorative Stone".
Reporting of "Exploration Results, Mineral Resources and Mineral Reserves for Oil Shales, Oil Sands, and other energy minerals
Reporting of "Exploration Results, Mineral Resources and Mineral Reserves for metallic and non-metallic minerals extracted by solution mining methods" .
"Disclosure of estimates of mining waste and other waste material of potential economic value" .
Reporting of Mineralized Fill, Pillars, Low-grade Mineralization, Stockpiles, Dumps and Tailings.
Reporting of Coal Exploration Results, Resources and Reserves.
Reporting of Diamond and Other Gemstone Exploration Results, Mineral Resources and Mineral Reserves
Reporting of Industrial Minerals Exploration Results, Mineral Resources and Mineral Reserves
Reporting of Mineralised fill, pillars, low grade mineralisation, stockpiles, dumps and tailings.
Reporting of Coal Resources and Coal Reserves.
Reporting of Diamond Exploration Results, Mineral Resources and Mineral Reserves.
Reporting of Industrial Minerals Exploration Results, Mineral Resources and Mineral Reserves.
Kazakhstan As Appendices:
Reporting of "Metal Equivalents" .
Reporting of "Mineralized Fill, Pillars, Low-grade Mineralization, Stockpiles, Dumps and Tailings".
Reporting of "Coal Exploration Results, Mineral Resources and Mineral Reserves" .
Reporting of "Diamond and Other Gemstone Exploration Results, Mineral Resources and Mineral Reserves"
Reporting of "Industrial Minerals, Cement Feed Materials and Mineral Reserves".
Reporting of "Exploration Results, Mineral Resources and Mineral Reserves for Dimensional, Decorative, or Ornamental Stone" .
Reporting of Coal Exploration Results, Resources and Reserves.
Reporting of Diamond and Other Gemstone Exploration Results, Mineral Resources and Mineral Reserves.
Mongolia
Reporting of Industrial Minerals Exploration Results, Mineral Resources and Mineral Reserves.
Reporting of Unconventional energy resources.
Reporting of Metal Equivalents.
Russia Specific points on: Reporting of Exploration Results, Mineral Resources and Mineral Reserves for Technogenic Minerals, Coal Diamonds and Industrial Minerals; however, not as detailed as in other codes or the CRIRSCO Template.
Reporting of Coal Exploration Results, Coal Resources and Coal Reserves.
Reporting of Diamond Exploration Results, Diamond Resources and Diamond Reserves.
South Africa
Reporting of Exploration Results, Mineral Resources and Mineral Reserves for Industrial Minerals.
Reporting of Metal Equivalents.
In the Code: Reporting of Metal Equivalents, Commodity pricing and marketing.
As Appendices: Reporting of Mineralized Fill, Pillars, Low-grade Mineralization, Stockpiles, Dumps and Tailings.
Reporting of Coal Exploration Results, Resources and Reserves.
Türkiye
USA (SME) Guide)
Reporting of "Exploration Results, Mineral Resources and Mineral Reserves for Industrial Minerals, Cement Feed Materials and Construction Raw Materials (Aggregates) .
Reporting of "Exploration Results, Mineral Resources and Mineral Reserves for Dimension Stone, Ornamental and Decorative Stone".
Reporting of "Exploration Results, Mineral Resources and Mineral Reserves for metallic and non-metallic minerals extracted by solution mining methods".
Reporting of "Exploration Results, Mineral Resources and Mineral Reserves for Oil Shales, Oil Sands, and other energy minerals extracted by mining methods".
Commodity Pricing and Marketing.
Mineral title and Permitting Requirements.
Environmental, Social, and Health and Safety Considerations.
Mineralized Fill, Pillars, Low-grade Mineralization, Stockpiles, Dumps and Tailings.
Exploration Information for Coal, Coal Resources and Coal Reserves.
Exploration Information, Mineral Resources and Mineral Reserves for Industrial Minerals.
Exploration Information, Mineral Resources and Mineral Reserves for Diamonds.
Exploration Information for In-Situ Recovery (ISR), ISR Resources and ISR Reserves.
Reporting of Metal Equivalents.
Commodity Pricing and Marketing.
Mineral title and Permitting Requirements.
Sustainability Considerations
Reporting of Mineralized Fill, Pillars, Low-grade Mineralization, Stockpiles, Dumps and Tailings.
Reporting of Exploration Information for Coal, Coal Resources and Coal Reserves.
Reporting of Diamonds and other Gemstones Exploration Results , Mineral Resources and Mineral Reserves
Reporting of Exploration Information, Mineral Resources and Mineral Reserves for Industrial Minerals, Cement Feed Materials and Contruction Raw Materials
Reporting of Exploration Information, Mineral Resources and Mineral Reserves for Dimension Stone, Ornamental and Decorative Stove
Comments
Includes specific requirements for Metal Equivalents and combined grades, commodity pricing and marketing, permitting and legal requirements, and ESG.
National coal reporting guidelines must be used in conjunction with IMIC (https://coal.nic.in/)
Diamonds: Supplementary guidelines are available in the SAMREC Code under the Reporting of Diamond Exploration Results, Diamond resources and Diamond Reserves (and other Gemstones, where relevant).
"Where the 'Unconventional Energy' resource is a solid mineral, then the MRC Code is to be applied for the Reporting of Exploration Results, Mineral Resources and Mineral Reserves".
Additional guidance by means of a Table, for coal diamonds and industrial minerals and Dimension Stone is provided in the relevant Appendices.
Provides Appendix 1 being the generic terms and equivalents that are commonly used in the industry
When reporting coal reserves, a clear distinction must be made between quantity of coal that has been taken into account by the State balance (“Russian Reserves” are quantity of coal in seam with no adjustments for dilution with waste rock layers) and saleable product (“Russian Industrial Coal Reserves” sometimes described as recoverable or run-of-mine, mining and processing losses have been included).
Specific coal (SANS) and Diamond Reporting Guidelines
Coal: Due to the effects on planning for land use, the administrative management (ETKB, TKI, EUAS and others) may need to have inventory coal estimations that are not limited by short- and mid-term economic issues. The UMREK Code does not govern these issues.
Diamonds: Other industry guidelines (Precious Metals and Precious Stones Market, Ministry of Development Mining Specialised Commission Reports, etc) on the estimation and reporting of diamond resources and reserves may be useful but will not under any circumstances override the provisions and intentions of the UMREK Code.
None
Industrial Minerals are specifically listed. Also listed are the uses and products derived from Cement Feed Materials and Construction Raw Materials (Aggregates). Attenuation factors for quality of Cement, Industrial Raw Materials, Aggregates and Dimension Stone are specifically defined.
None
A "Mineral Deposit (including coal, diamonds, industrial minerals, and mineral products obtained through in situ recovery methods)" and oil and gas resources are excluded from this document.
The is the general template that is used as the base by all the National Reporting Organisations as they develop their own codes. It covers all the minimum requirements/standards.
Additional guidance has been included in the national and regional mineral reporting codes that fall under the CRIRSCO Template, aimed at providing guidance to the CP and readers of Public Reports. For example, with respect to guidance on commodity prices and metal equivalents, the CIM has a leading practice document for metal prices, hence, discrepancies exist despite the codes having the same definitions and guidance. If additional guidance across codes is not carefully adopted, some differences in interpretation and variations in disclosure can cause misinterpretation of reported results.
It is important that the reporting of Exploration Results, Mineral Resources and Mineral Reserves, whether in the public domain or as per industry leading practice, should foster common technical understanding, regardless of differences that may arise due to jurisdiction-specific requirements. Table 7 outlines how the different codes address the issue of Public Reporting. All CRIRSCO Template-based codes specify that a minimum of a PFS or FS should be completed as part of the process of estimating and declaring Mineral Reserves (or Ore Reserves), while some jurisdictions specify that a mine planning output in the form of a life of mine (LOM) plan and production schedule should also be included when declaring Mineral Reserves.
Implications of similarities and differences in reporting codes to reporting of mine planning results
Links between mine planning and mineral reporting codes
The Checklist of ‘Table 1’ in the codes assists as a reference framework when developing mine plans. Kapageridis (2007) demonstrated how to use mineral reporting code guidelines to
Table 7
estimate Mineral Resources and Mineral Reserves using a software package. Generally, the mine planning process is linked to mineral reporting codes for several reasons which include:
➤ Mining company Chief Executive Officers (CEOs) make public pronouncements on issues such as production guidance that are primarily informed by outputs from the mine planning process. These outputs are generated following guidance from mineral reporting codes, thus highlighting the link between mine planning and Public Reports.
➤ Regulatory authorities typically require applications for mining licenses or mining rights at the mineral development stage to be accompanied by appropriate mine plans. These plans indicate how the part of the Mineral Resource, which will be extracted as Mineral Reserves are taken through the process of conversion from Mineral Resources to Mineral Reserves following guidance from CRIRSCO affiliated reporting codes.
➤ Compliance with the listing requirements of a stock exchange is required when companies want to list, or remain listed on the respective stock exchange. Companies that want to list must comply with reporting requirements set out in the mineral reporting code recognised by the respective stock exchange that they want to list on. However, unlisted companies do not need to comply with listing requirements on stock exchanges, so their mineral reporting does not need to be code-compliant, and this exacerbates inconsistencies in mineral reporting.
➤ During mergers and acquisitions, due diligence is conducted on the respective mining companies that are party to the transactions. This includes performing due diligence on mine plans and publicly reported Mineral Resources and Mineral
Comparative summary of Public Reporting among the different national and regional mineral codes (Sources: Home websites as listed in Table 1)
Country or Region Report Name
Key Comments or Key Code Stipulation
Australia Independent Geologists Report (IGR); Independent Technical Report (ITR) Must have a complete JORC 'Table 1' attached. Be aw are of additional VALMIN and ASX/ASIC requirements. Public documents w ill be review ed by relevant regulators.
Brazil Qualified Persons Report (QPR) "For entities issuing concise or similar annual reports, or other summary reports, inclusion of material information relating to Exploration Results, Mineral Resources and Mineral Reserves is recommended. In cases where summary information is presented, it should be clearly stated it is a summary, and a reference attached giving the source and location of the Guide-compliant Public Reports or Public Reporting on which the summary is based".
Canada Technical Report
Provisional Economic Assessment (PEA)
Must completely be in the NI 43-101 format. Public documents w ill be review ed by the relevant regulators.
Chile Qualified Competent Persons Report (QCPR) Reports and documentation must be well organized and archived such that competence is clearly demonstrated. The QCP should be registered with the Mining Commission.
Colombia Competent Person’s Report (CPR)
Europe Competent Person’s Report (London Stock Exchange – LSE; Alternative Investment Market - AIM)
India Registered Competent Person Report (RCPR) - Public Report
Indonesia Technical Report
Kazakhstan Competent Person’s Report (CPR)
Mongolia Competent Person’s Report (CPR)
CRIRSCO terminology and guidance is used.
"In cases where summary information is presented, the Public Report must clearly state that the information is a summary. A reference must be provided, giving the source and location of the PERC Reporting Standard-compliant Public Report(s) or Public Reporting on which the summary is based".
CRIRSCO terminology and guidance is used.
CRIRSCO terminology and guidance is used. A complete 'Table 1' is not required.
CRIRSCO terminology and guidance is used. "The list of terms used should be given in the Public Report".
"Reports which are required by State regulations, using the Mongolian Government classification system, are not considered as Public Reports within the scope of the Code. To facilitate converting to the Mongolian classification categories of Resources and Reserves, which are used in Mongolian State reporting into the Code categories, a Competent Person may use the Guidelines on Alignment of Mongolian State Minerals Reporting Standards and the Code as background material to give an indicative mapping of the Mongolian and the MRC Code classification systems".
Russia GKZ terminology for reports w ill be encountered e.g., TIO (Technical Study) Reports w hich are required by State regulations are generally not published and are not considered as Public Reports w ithin the scope of the NAEN Code.
South Africa Competent Person’s Report (CPR)
Türkiye Competent Person’s Report (CPR)
USA (SME Guide) Competent Person’s Report (CPR); Technical Summary Report (TRS)
CPRs (and other public documents) w ill be review ed by the JSE Readers Panel.
"Of particular concern should be postings made using social media where it may be inferred that the information being released comprises a Public Report. Companies may also prepare and submit reports to other institutions and organizations other than aforementioned ones, or other regulatory jurisdictions. Therefore, in such circumstances, an explanation should be added to the report. To avoid confusion and to the extent possible, companies are encouraged to prepare reports that are in accordance with the UMREK Code".
The SME Guide "does not constitute legal advice or guidance. Users of the Guide are cautioned to obtain legal advice as to the disclosure requirements of state and federal securities laws and corresponding foreign laws when offering, selling, or purchasing securities or other investment interests in mining properties".
CRIRSCO Competent Person’s Report (CPR); Qualified Persons Report (QPR) CRIRSCO terminology and guidance is used, as the basis or minimum standard for all the other codes.
Reserves, which should have been reported, or must be evaluated, following the guidelines of the respective mineral reporting code.
➤ For operating mines, Mineral Resources and Mineral Reserves are depleted annually and ongoing exploration must be undertaken to replace the depleting Mineral Resources for later conversion to Mineral Reserves. This is reflected in the company’s published annual reports, that are prepared as part of the company’s annual reporting cycle, wherein Mineral Resources and Mineral Reserves are declared or reported following requirements specified in the applicable mineral reporting codes.
The preceding sections have outlined some key similarities or differences among the different national and regional mineral reporting codes. When Mineral Resources have been reported, the subsequent process of mine planning is impacted by the subtle, but important differences arising from jurisdiction-specific requirements, which impact comparable and consistent reporting.
The various national and regional mineral reporting codes are not prescriptive in how the information used in estimating Mineral Resources should be collected and analysed. Some of the issues related to the estimation of in situ Mineral Resources include the following:
➤ Data limitations, for example, widely spaced data points that limit available geological information, incomplete or poorquality sampling, and poor-quality assaying techniques that affect accuracy of estimations.
➤ Geological complexity, for example, irregular shapes and variable grade distributions that reduce the reliability of resource estimations.
➤ Differences in the assumptions made by the CP conducting the estimation(s), based on their previous experiences and qualifications. There is no standardised approach to estimating Mineral Resources, hence, the selection of the estimation method, input parameters, and even the cut-off grades chosen can introduce biases and influence the reliability of the results and subsequent mine planning process.
➤ Different software used for the estimations can give different results, depending on the architecture of the software, thus, impacting on the subsequent mine planning results.
To investigate the effect of these, the Australasian Institute of Mining and Metallurgy (AusIMM) Parker Challenge was initiated (K2fly, 2023; AusIMM, 2023), which was initially sponsored by Rio Tinto in 2023 and subsequently by Barrick in 2025. The instruction to entries into the 2023 challenge was to: “develop a classified and reportable mineral resource estimate from the supplied data. The estimate will be used to inform long-term mine planning and investment decisions” (K2fly, 2023). The entries were reviewed to consider the differences in estimation approaches, the range of outcomes and the differences in classification decisions using the same copper (Cu) dataset. In total, 29 submissions compiled by either individuals or teams, who estimated and classified the resource, were made. The results highlighted differences in how different CPs arrived at different resource estimates using the same dataset. These differences directly impact the subsequent process of mine planning and the reported mine planning results.
The estimated metal volumes between the different submissions were quite varied (Dunham, 2023a). For example, when considering estimates classified at the Measured and Indicated levels of confidence, the reported Cu grades ranged from 0.59% to 1.13%,
whilst the total ore tonnage ranged from 180,000 Kt to 1,900,000 Kt. The average estimated Cu metal content was estimated to be 5,930 Kt, whilst the difference between the lowest and highest was close to 10,000 Kt (from 2,000 Kt to 11,340 Kt). The lowest metal content estimates were 66% below the average, whilst the highest estimates were 91% above the average, and these results were after excluding outliers that could distort the results (Dunham, 2023a). The variability displayed in the estimated grades and volumes can lead to significantly different mine plans as well as economic outcomes. The similarities and differences already discussed in this paper affect how mine planning results are reported in the public domain. As noted from the AusIMM Parker Challenge, despite the existence of mineral reporting codes, comparable reporting of mine planning results remains a challenge. This discrepancy may be ascribed to how different CPs interpret the reporting code requirements, the assumptions that they make as well as the way in which they interpret the available data. This is why this paper seeks to highlight how the subsequent process of mine planning will be impacted by the similarities and differences in reported Mineral Resources estimates. To outline how the similarities and differences impact the mine planning process the same comparison categories already discussed in this paper were utilised. These categories are scope, terms and definitions, competence, and qualifications of a CP and RPOs, principles and guidelines and Public Reporting requirements.
Mine planning is undertaken to evaluate mineral industry development projects and producing mineral properties. The scope of each of the codes limits their application to solid minerals on which mine planning is undertaken. The scope implication is that there is clear guidance to mine planning in the type of mineral on which mine planning and design is undertaken. However, the scope is not explicit on how to define and report uncertainty inherent in the estimation and reporting processes, resulting in risk, which creates differences in reported mine planning results and the way the results are reported. Therefore, the mine planning process must consider the uncertainty that exists in the Mineral Resource estimates on which it is undertaken and seek to minimise risk from additional uncertainty arising from subjectivity in assumptions that must be made by the CPs for other mine planning input parameters. Therefore, mine planning results should reflect the existence of uncertainty.
The various reporting codes do not prescribe how the CP should classify an in situ Mineral Resource into each of the Measured, Indicated, and Inferred Resources categories. Classification is based on understanding and evaluating the uncertainties related to the in situ estimations and considering the risks associated with the uncertainties. Whilst the various codes give broad guidelines for classifying Mineral Resources into the three categories, these should ideally provide clear guidance for classification methodologies because clustering of data does not necessarily equate to accuracy (K2fly, 2023; Dunham, 2023b). Despite the importance of estimating Mineral Resources reliably, since the process has a knock-on effect on mine planning, the methods used to assess uncertainty in Mineral Resource estimates are applied inconsistently across the mining industry. This is because the parameters used in the process are often subjectively chosen by the CP responsible for the report (Owusu, Dagdelen, 2024).
Considering the results of the Parker Challenge, there is variation in both the estimation and classification of Mineral Resources that significantly impact reported results (Dunham, 2023a). A recent study of 45 technical reports published on the System for Electronic Document Analysis and Retrieval (SEDAR+) has shown that CPs provide reasons for choosing their classification parameters (Owusu, Dagdelen, 2024). The study from the SEDAR+ platform further assumes these are acceptable as per the CIM leading practice guidelines for public disclosures but acknowledges that the impact of applying different assumptions by CPs to the same dataset can result in discrepancies regarding grades, tonnages, and metal contents. These can result in misleading public disclosures and affect project outcomes. The study emphasises the need for a uniform classification framework with specific parameter ranges tailored to different deposit types, based on available geological and geometallurgical data. Such a framework would reduce the impact of individual CP assumptions, thus, improving investor confidence in mining projects (Owusu, Dagdelen, 2024). If such discrepancies in Mineral Resource estimates can be minimised, this will in turn positively impact mine planning results.
The tools and skills used in estimating in situ Mineral Resources are different compared to those required for converting the in situ Mineral Resources into Mineral Reserves. Geologists tend to dominate the resource estimation space. However, a review of bachelor geology curriculum at a range of universities from the USA, Europe, South Africa, and Australasia show that although statistics is a common subject, geo-spatial data science and geostatistics are rare (Keystone, 2024a). Even MSc degrees in Geology and programmes focused on mining and geological engineering tend to have geo-spatial data science as an elective, rather than as a core subject (Keystone, 2024b). Therefore, the education and training of geology graduates should incorporate geo-spatial data science and geostatistics which are tools that assist in reducing uncertainty that creeps into the mine planning process.
The process of converting Mineral Resources into Mineral Reserves is a function of applying modifying factors, which are generally grouped under the following broad categories:
➤ Mining technical factors;
➤ Mineral processing and metallurgical factors;
➤ Environmental factors;
➤ Location and infrastructure considerations;
➤ Market and economic factors;
➤ Legal considerations including land tenure, and third-party ownership;
➤ Social considerations; and
➤ Governmental and regulatory requirements.
The modifying factors are associated with uncertainty and introduce risk into the Mineral Reserve estimation process. Therefore, an understanding of the risk associated with mine planning decisions requires the mine planning CP to decide how to classify Mineral Reserves into either the Proven or Probable category. The CP must ensure that the inputs used are realistic and not overly optimistic or overly conservative. It is advisable that technical specialists support the CP in verifying the accuracy of these inputs and identifying potential risks. Key factors to consider include ramp-up schedules, development rates, mining loss and dilution estimates (such as run-of-mine grades), metallurgical recovery rates, price assumptions, operating and capital costs,
and identification of risks (Rupprecht, 2023). These observations indicate that a single CP is unlikely to have the necessary range of skills to cover both the Mineral Resources as well as Mineral Reserve components, as also confirmed by the Waltho et al. (2022) study. In addition, an independent review of the assumptions, process and procedures followed will assist in mitigating the risk so that a more reliable estimation and reporting of Mineral Reserves can be achieved.
A key issue raised by the Parker Challenge is the level of experience. Perhaps, the issue is that less experienced estimators are more likely to rely on procedures of estimation than having many reference points to calibrate and benchmark outcomes. Importantly, experience is not simply a time-related issue, although that may play a part, but that the breadth and depth of experience of geostatistics applied to very different geological mineralisation styles and modes is important (Hutton, 2024). The more experience someone is, the less likely they are to classify a resource at the Measured level of confidence (Hutton, 2024). On the other hand, less experienced individuals are more likely to classify a resource as ‘Inferred’ due to limited confidence arising from limited experience (Hutton, 2024). Also, resource estimates are more consistent as the classification level increases and when a resource is more certain, there is less guesswork, leading to fewer personal biases and, therefore, less variation in the estimates (Dunham, 2023b).
Without explicit knowledge of the mineralisation style and an adequate description of how the estimator decided on how to estimate a deposit with due recognition for domains, estimations are more likely to lack credibility. As Harry Parker stated, “In general, an ounce of geology is worth a pound of geostatistics; this may be disappointing to geostatisticians with no geological background; tough” (Searston, Smith and Verly, 2020). An estimation hypothesis should be the beginning of all estimations, as are geological and structural models to underpin the thesis. The foregoing observations highlight how uncertainty and risk in the Mineral Resource estimation and reporting process will impact the reliability of the subsequent mine planning process.
Based on the three principles of transparency, materiality and competence, it is important to note that since there are different purposes or reasons for preparing Public Reports, the level of detail and focus or emphasis of a report will depend on its intended purpose. Therefore, it is important to have independent reviews since CPs generally must determine the contents of a report so that the report is appropriate for its use, unless the report is prepared following a prescribed format such as the one provided by NI 43-101. This has a direct bearing on the principle of materiality enshrined in the codes. Another challenge is related to the poor application of ‘Reasonable Prospects of Eventual Economic Extraction (RPEEE)’ for Mineral Resource Classification at the date of declaration. Therefore, it is important to include a discounted cash flow (DCF) analysis to demonstrate that Mineral Reserves are ‘economically mineable’ at the date of declaration and the cut-off grade used must be realistic not optimistic. This indicates that mine planning assumptions directly impact Mineral Reserves which must be reported according to mineral reporting codes (Rupprecht 2017b).
Implications of Public Reporting requirements to mine planning Mineral development projects and operating mines inherently contain significant risks associated with the process of estimating
and declaring Mineral Resources and Mineral Reserves, although these must be reliably estimated, consistently reported and competently managed (Deloitte, 2023). However, while Public Reporting codes acknowledge the risk in mineral reporting, they generally stipulate deterministic reporting of estimates (Mullins et al., 2023). The uncertainty associated with reported resource and reserve estimates, introduces inconsistencies in reporting such as those noted among mines from different mining companies mining the same or similar type of mineral deposit regarding how Mineral Resource cut-off grades are applied. For example, SibanyeStillwater applies a generic resource cut-off grade of 400 cmg/t for its Kloof and Driefontein operations (Sibanye-Stillwater, 2023). A financial cut-off grade and all the modifying factors are then taken into consideration when declaring the Mineral Reserve. However, Harmony, which mines gold reefs that are like those mined by Sibanye-Stillwater, calculates a financial cut-off grade using the current metal prices and cost structures for its Witwatersrand gold mines. This financial cut-off grade is applied as the mineral resource cut-off grade and is effectively the reserve cut-off grade too (Harmony, 2023). How mines interpret the requirement to justify the Mineral Resource requirement for RPEEE at the date of declaration is open to interpretation and the codes are not clear on which approach would be considered more appropriate in a case such as this one. What is important is that the cut-off grade used is realistic.
It is also noted that some companies only report the Mineral Resources including the Mineral Reserves, whilst others present the Mineral Resources including Mineral Reserves and then as a separate table, the Mineral Resources excluding the Mineral Reserves. These variations indicate the different interpretations of ‘inclusive vs. exclusive’ reporting of Mineral Resources and Mineral Reserves. From the schematic illustration for categorising Mineral Resources and Mineral Reserves (Figure 2) in the CRIRSCO Template, it should be clear that Mineral Reserves are a subset of Mineral Resources with the modifying factors applied. With some companies reporting Mineral Resources excluding Mineral Reserves, it indicates that there are different interpretations to what should be a clearly defined CRIRSCO concept.
The language that a CPR should be written in should be aimed at investors and their advisors, rather than subject experts like geologists and mining engineers. It is noted that technical reports containing complex language, sales pitches, and unrealistic or misleading statements are a common phenomenon in recent years (Rupprecht, 2023).
Whilst inadequate reporting of ESG considerations has been highlighted as a problem, there is often duplication between what the various reporting codes require and what the regulators require (Rupprecht, 2023). Environmental impact assessments already require extensive social and environmental reporting and CRIRSCO runs the risks of competing with these other established guidelines. Therefore, it is important for timeous and appropriate incorporation of these parallel guidelines into the CRIRISCO reporting frameworks, so that mine planning results are aligned with relevant contemporary developments.
Some recommendations on principle and process changes to mine planning related to mineral reporting codes
Given the inconsistencies that exist in the estimation and Public Reporting of Exploration Results, Mineral Resources and Mineral Reserves, despite the existence of mineral reporting codes, some principle and process changes may assist in further minimising the
frequency and magnitude of the inconsistencies. Some principle and process changes are the following:
➤ LRegulatory authorities should make compliance with mineral reporting codes mandatory, whether a mining company is or not listed on a stock exchange as this will foster awareness of the need to align with the CRIRSCO Template for comparable and consistent reporting of Exploration Results, Mineral Resources and Mineral Reserves.
➤ LTo avoid inconsistencies emanating from the different interpretations of the ‘inclusive vs. exclusive’ reporting, it should be preferable to report Mineral Resources inclusive of Mineral Reserves and then report Mineral Reserves separately so that it is clear from the ‘if not, why not’ basis that certain portions of Mineral Resources were not converted into Mineral Reserves during the mine planning process.
➤ LIt is important to minimise the ‘fear’ of CPs being sued especially for discrepancies relating to reported Mineral Resources and Mineral Reserves, despite inclusion of disclaimers allowed for by the mineral reporting codes since investors can exercise their right to come after the CPs. It is recommended that codes mandate independent technical reviews of mine planning process controls and procedures before a company declares its Mineral Resources and Reserves estimates. This recommendation will minimise unintended consequences to mine planning CPs and reduce their ‘fear’ and this will also resonate with the Mineral Resources and Mineral Reserves governance framework recommended by Deloitte (2023).
➤ LBased on the arguments presented by Waltho et al. (2022), the definition of a CP’s relevant experience should be limited to their area of expertise. When converting Mineral Resources to Mineral Reserves, geologists should desist from assessing non-geological modifying factors since mining engineers, metallurgists or other specialists can more appropriately evaluate such factors (Waltho et al., 2022). Similarly, other professionals should avoid assessing modifying factors beyond their own expertise. This change requires clear recognition that the Mineral Reserve estimation should be undertaken as a team effort comprising multidisciplinary technical specialists within a well-structured Mineral Resource Management organisational structure.
Generally, for ensuring international comparability, any committee responsible for developing or updating a national and regional mineral reporting code must collaborate with other members of CRIRSCO so that the respective code is compatible with the CRIRSCO Template and other CRIRSCO Template-based codes (CRIRSCO, 2019; 2024). However, no single code can cover all accepted industry practices, eliminate risks inherent in Mineral Resources estimation and reporting thereof, nor assist with all possible unforeseen situations that are encountered in the estimation and reporting of Exploration Results, Mineral Resources and Mineral Reserves. Consequently, there will invariably be challenges associated with consistent and comparable estimation and reporting of Mineral Resources and Mineral Reserves. Therefore, the CRIRSCO Template exists to provide guidance on the best current knowledge regarding reporting practices, thus, fostering more comparable mineral reporting with minimised risk. CPs must exercise competency and diligence when applying a national or regional mineral reporting code by carefully
balancing industry leading practices and a mineral deposit’s unique circumstances and characteristics. Although codes are in place, it does not remove the need for CPs to be able to defend their work before their peers as they must take responsibility for their findings and interpretations. Therefore, there is strong emphasis on the implementation of a safety net that requires independent technical reviews before results are publicly reported.
The CRIRSCO Template has been recently updated considering leading practice in the world. However, there remains some unresolved issues that practitioners would need to make a choice and make disclosures based on the selected option, for example, the reporting of Mineral Resources inclusively or exclusively of Mineral Reserves. There is no right or wrong way of reporting, hence CRIRSCO decided to leave the Template open to both options. The issue of licensing and registration of CPs into a centralised database has been left to CRIRSCO member countries to address considering peculiar circumstances specific to their different jurisdictions. The effort required for CPs to comply with the updated CRIRSCO Template must not be underestimated, but the minerals industry should see changes to the Template improving understanding and communication to facilitate the accelerated development of mineral projects to meet the projected global demand for mineral commodities.
By analysing the different CRIRSCO Template-based mineral reporting codes, this paper contributed to the important area of Public Reporting of Exploration Results, Mineral Resources and Mineral Reserves. Additionally, the comparison of the codes was made with implications to mine planning so that there can be an improvement in consistency in mine planning processes across different jurisdictions and operations, hence foster comparable conversion of Mineral Resources to Mineral Reserves among the mine planning fraternity. An issue associated with consistency in the application of the reporting codes is centered on ethical and governance compliance expected within ESG frameworks. It is assumed that, to meet ethical and governance expectations within an ESG framework, the reporting requirements must promote ethical reporting. Their comprehensive checklists are intended to reinforce ethical practices and help prevent future scandals. However, reporting codes do not entirely prevent false or misleading reporting, as loopholes exist within the requirements. Variations in the interpretation of these requirements can lead to inconsistencies. Therefore, principle and process recommendations such as those presented in this paper can help minimise these discrepancies, hence assist the mine planning fraternity in undertaking the important role of converting Mineral Resources to Mineral Reserves.
Credit authorship contribution statement
Mark Burnett conceptualised the research study and designed the research methodology; Mark Burnett, Cuthbert Musingwini, Godknows Njowa and Clinton Birch conducted the literature review, analysed the CRIRSCO Template-based codes, evaluated mine planning implications and participated in compiling both the original draft paper and the final submitted version of the paper.
Declaration of conflict of interest
The Authors declare that there is no conflict of interest in the production of this work.
Funding declaration
Not applicable.
Ethical compliance considerations
The work reported in this paper did not make use of any human or animal participants, hence did not require ethical clearance. However, care was taken to conduct the work ethically.
Declaration of generative AI and AI-assisted technologies
The authors utilised Grammarly and ChatGPT to review grammar and readability only.
References
African Minerals Development Centre (AMDC) 2023. The Pan African Public Reporting Standard for Minerals and Energy Resources. Available at: https://au.int/sites/default/files/ documents/43674-doc-PARC_EN.pdf [Accessed: 19 February 2025].
Australasian Institute of Mining and Metallurgy (AusIMM). 2023. The Parker Challenge. Available at: https://www.ausimm.com/ conferences-and-events/mineral-resource-estimation/theparker-challenge/ [Accessed: 17 September 2024].
Camisani-Calzolari, F.A., 2004. National and international codes for reporting mineral resources and reserves: Their relevance, future and comparison. The Journal of the Southern African Institute of Mining and Metallurgy, vol. 104, no. 5, pp. 297–305. Committee for Mineral Reserves International Reporting Standards (CRIRSCO), 2014, Terms of Reference updated October 2014, pp 2. Available at: https://crirsco.com/wp-content/ uploads/2024/04/crirsco_terms_of_reference_20141126.pdf. [Accessed: 17 September 2024].
Committee for Mineral Reserves International Reporting Standards (CRIRSCO), 2019. International Reporting Template for the Public Reporting of Exploration Targets, Exploration Results, Mineral Resources and Mineral Reserves. November 2019, p. 11. Committee for Mineral Reserves International Reporting Standards (CRIRSCO), 2024, International Reporting Template for the Public Reporting of Exploration Targets, Exploration Results, Mineral Resources and Mineral Reserves. Available at: https://crirsco.com/wp-content/uploads/woocommerce_ uploads/2024/06/CRIRSCO_International_Reporting_ Template_June2024_Update_Approved_for_Release_20240627dl8515.pdf [Accessed: 10 July 2024].
Deloitte 2023. The importance of reliable Mineral Resources and Reserves reporting: The bottom line for investors. Available at: https://www.deloitte.com/content/dam/assets-zone1/za/en/ docs/services/consulting/2023/za-POV-Resources-Doc-LSwith-bleed.pdf [Accessed: 10 July 2024].
Dunham, S. 2023a. Parker Challenge thoughts (the first bit). Available at: https://www.linkedin.com/pulse/parker-challengethoughts-first-bit-scott-dunham/?trackingId=0rAuxsI%2BS5qs oq6fT5Ao5g%3D%3D [Accessed: 17 September 2024].
Dunham, S. 2023b. The Parker Challenge (ii). The interaction of uncertainty and classification. Available at: https://www. linkedin.com/pulse/parker-challenge-ii-interaction-uncertaintyscott-dunham/?trackingId=BhRPVd%2FlQyiIgH%2Fb%2BJL0L Q%3D%3D [Accessed: 17 September 2024].
European Federation of Geologists, 2019. CRIRSCO virtual meeting. Available at: https://eurogeologists.eu/crirsco-virtualmeeting/ [Accessed: 17 March 2024].
Govreau, J., 2022. Mining industry embraces decarbonization sea change in 2022: Capex for mining projects continues to grow. Engineering and Mining Journal (E&MJ), January 2022, pp. 18–24.
Harmony Gold Mining Company Limited. 2023. Mineral Resources and Mineral Reserves report. Johannesburg. Available at: https://www.har.co.za/23/download/HAR-RR23.pdf [Accessed 20 April 2024].
Hokka, J., Eilu, P., Ahtola, T., Kivinen, M., Konnunaho, J., Kuusela, J., Lintinen, P., Törmänen, T. 2020. Application of the UNFC resource code in Finland practical guidelines. Geological Survey of Finland.
Hutton, C. 2024. Estimating ore deposits. A CEO’s insights. (Discussion document). Unpublished.
International Accounting Standards Board (IASB) (2010). Discussion Paper: Extractive Activities (DP/2010/1). London, United Kingdom, 183p.
International Energy Agency, 2022. The Role of Critical Minerals in Clean Energy Transitions. Available at: https://iea.blob.core. windows.net/assets/ffd2a83b-8c30-4e9d-980a-52b6d9a86fdc/ TheRoleofCriticalMineralsinCleanEnergyTransitions.pdf [Accessed: 17 March 2024].
Kapageridis, I. 2007. Implementation of reporting code guidelines for mineral resources and mineral reserves using a general mine planning package, in 3rd International Conference on Sustainable Development Indicators in the Minerals Industry, June 2007, Milos Island, Greece, pp. 1–6.
K2fly. 2023. A Guide to the Parker Challenge. Available at: https:// www.scribd.com/document/744448056/A-Guide-To-TheParker-Challenge [Accessed: 17 September 2024].
Keystone. 2024a. Best Bachelor Degrees in Natural Sciences Earth Science Geology 2024. Available at: https://www. bachelorstudies.com/bachelor/geology [Accessed: 17 September 2024].
Keystone. 2024b. Best Masters of Science (MSc) in Natural Sciences Geographic Sciences 2024. Available at: https://www. masterstudies.com/msc/geographic-sciences [Accessed: 17 September 2024].
Lepley, B. 2024. Understanding the European Commission's new Critical Raw Materials Act (CRMA). Available at: https://www. slrconsulting.com/afr/insights/understanding-the-europeancommission-s-critical-raw-materials-act-crma/ [Accessed: 19 February 2025].
Lomberg, K., Rupprecht, S.M. 2017. The 2016 SAMREC Code. The Journal of the Southern African Institute of Mining and Metallurgy, vol. 117, no. 12, pp. 1095–1100.
Mullins, M.P., Carey, C.G., Hodson, D. 2003. Mineral resource risk assessment in BHP Billiton capital investment process,
in Proceedings of Application of Computers and Operations Research in the Minerals Industries, South African Institute of Mining and Metallurgy, pp. 217–222. Available at: https:// www.saimm.co.za/Conferences/Apcom2003/217-Mullins.pdf [Accessed: 17 September 2024].
Njowa, G., Musingwini, C. 2018. A framework for interfacing mineral asset valuation and financial reporting. Resources Policy, vol. 56, (June 2018), pp. 3–15.
Njowa, G., Clay, A.N., Musingwini, C. 2014. A perspective on global harmonisation of major national mineral asset valuation codes. Resources Policy, vol. 39, (March 2014), pp. 1–14.
Owusu, S., Dagdelen, K. 2024. Impact of Competent Persons’ judgements in Mineral Resources classification. The Journal of the Southern African Institute of Mining and Metallurgy, vol. 124, no. 7, pp. 371–382.
Rupprecht, S.M. 2017a. Good reporting practices, The Journal of the Southern African Institute of Mining and Metallurgy, vol. 117, no. 12, pp. 1105–1111.
Rupprecht, S.M. 2017b. Mine planning and its relevance to the SAMCODES, in Proceedings of the 7th International Platinum Conference, Polokwane, South Africa, 18-19 October 2017, The Southern African Institute of Mining and Metallurgy, pp. 341–350.
Rupprecht, S.M. 2023. The Competent Person. Available at: https:// www.saimm.co.za/journal-comments/973-the-competentperson [Accessed: 17 September 2024].
Searston, S., Smith, L.B., Verly, G. 2020. Farewell to Harry M. Parker (1946–2019). Mathematical Geosciences, vol. 52, no. 4, pp. 447–450. DOI: 10.1007/s11004-020-09865-2. [Accessed: 17 September 2024].
Sibanye-Stillwater. 2023. Mineral Resources and Mineral Reserves report. Johannesburg. Available at: https://www. sibanyestillwater.com/business/reserves-and-resources/ [Accessed: 17 September 2024].
Sides, E., Allington, R. 2024. Mineral Reporting Standards: PERC’s Role in CRIRSCO and Its Relevance to the European Mining Sector. Earth Science, Systems and Society, vol. 4 (March 2024), pp. 1–19. Available at: https://www.lyellcollection.org/doi/ full/10.3389/esss.2024.10080. The Geological Society of London. [Accessed: 17 September 2024].
Waltho, A., Stoker, P.. Ténière, P. 2022. JORC Competent Person –A baseline review in a global context, June 2022. Australasian Institute of Mining and Metallurgy and the Australian Institute of Geoscientists, p. 3 Available at: https://www.ausimm.com/ globalassets/downloads/jorc-competent-person---a-baselinereview-in-a-global-context-june-2022-final.pdf [Accessed: 17 September 2024]. u

INTERNATIONAL CONFERENCE 2026
Foundations of Competitiveness and Sustainability


The South African metallurgical industry is facing significant obstacles: Rising production costs, the closure of key service providers like refractory suppliers, and increasing pressure globally for the industry to transform. To face these challenges, it is important for different areas of the industry to work together.
26-28 MAY 2026
CSIR INTERNATIONAL CONVENTION CENTRE, PRETORIA, SOUTH AFRICA

25 May 2026 – Workshops 26-28 May 2026 – Conference 29 May 2026 – Technical Visits
ECSA and SACNASP Validated CPD Activity Credits = 0.1 per hour attended
• Pyrometallurgy in SA Under Pressure – What Next?
• Tapped In – The Future of Sustainable Furnace Tapping
• Quo Vadis, Refractories?
• To Be Confirmed
The Southern African Institute of Mining and Metallurgy (SAIMM) invites you to the 2026 Pyrometallurgy International Conference, taking place from 25 to 29 May 2026. The conference will bring together professionals and experts from the fields of pyrometallurgy, furnace tapping, and refractories under the theme: Foundations of Competitiveness and Sustainability. This theme challenges us to collaborate in finding answers to the difficult questions we are faced with and to develop sustainable solutions to safeguard the future of our industry. We are confident that through collaborative research, innovative technology development and operational excellence, we can transform the industry and secure a greener future for the next generation of pyrometallurgists.
By integrating these three key focus areas, we aim to create a platform for strategic thinkers, policymakers, researchers, and economic influencers to share insights, challenge assumptions, and collaborate on practical solutions for the future of the industry.
• Professionals and researchers focused on pyrometallurgy, furnace tapping and refractories
• Industry leaders
• Academics
• Students
DAY 1: WORKSHOPS
• The Future of Pyrometallurgy in South Africa
CALL FOR PAPERS, PRESENTATIONS AND POSTERS
Papers, presentations or posters are invited on any topic related to the conference and can be submitted to any of the three Symposia.
Prospective authors are invited to submit titles and abstracts of their papers in English. The abstracts should be no longer than 500 words and submitted via the SAIMM Abstract Portal.
Acceptance of papers for publication in the SAIMM Journal will be subject to peer review by the Conference Committee and SAIMM Publications Committee pre-conference.
The conference will include a student poster session where students will be given an opportunity to prepare a poster and a 5 minute presentation on their research projects. Students are requested to indicate during the submission that their abstract is for the student poster session. The best student poster will be offered an award.
• Abstract submission deadline: 17 October 2025
• Paper submission deadline: 9 February 2026
• Workshops: 25 May 2026
• Conference: 26-28 May 2026
• Technical Visits: 29 May 2026
• Advanced Tapping and Refractories Gugu Charlie, Conferences and Events Coordinator FOR FURTHER INFORMATION, CONTACT: E-mail: gugu@saimm.co.za Tel: +27 11 538 0238 Web: www.saimm.co.za
Affiliation:
1Council for Minerals Processing - ConsMines, South Africa
Correspondence to:
M.-B. Kime
Email: meschackime@gmail.com
Dates:
Received: 4 May 2025
Revised: 12 Oct. 2025
Accepted: 28 Jan. 2026
Published: March 2026
How to cite:
Kime, M.-B. 2026. Attainable region analysis for batch/continuous reductive column leaching of oxidised cobalt-bearing ore.
Journal of the Southern African Institute of Mining and Metallurgy, vol. 126, no. 3, pp. 193–200
DOI ID:
https://doi.org/10.17159/2411-9717/3721/2026
ORCiD:
M.-B. Kime
https://orcid.org/0000-0003-4380-807X
by M.-B. Kime1
Abstract
This study applies attainable region analysis to optimise cobalt recovery from oxidised ores via reductive leaching with sulphur dioxide and sulphuric acid. The attainable region framework enables systematic visualisation of trade-offs between cobalt yield and sulphur dioxide loss, guiding reactor network design beyond conventional mass balance modelling. Experimental column leaching trials, supported by validation runs, were conducted under controlled flow and reagent conditions. Kinetic parameters for cobalt dissolution and sulphur dioxide consumption were used to simulate reactor trajectories and construct attainable region envelopes.
To ensure hydrodynamic realism, residence time distribution tests confirmed partial plug flow behaviour with dispersion effects, justifying the use of hybrid reactor models in the attainable region simulations. The results revealed that increasing recirculation ratios improves cobalt yield while reducing sulphur dioxide losses, with attainable efficiencies exceeding 90% cobalt recovery and < 20% sulphur dioxide loss.
Importantly, the study proposes practical reactor network configurations for future implementation, including staged percolation columns with intermediate mixing zones, oscillatory flow reactors, and modular fluidised bed systems. These designs offer scalable pathways to translate attainable region-based optimisations into industrial practice. Compared to traditional modelling, attainable region analysis provides a geometric decision support tool that captures multi-objective trade-offs and reactor interactions, offering novel insights for continuous leaching system design.
This work advances the application of attainable region methodology in minerals engineering by bridging theoretical optimisation with practical reactor design, supporting sustainable cobalt recovery from both primary ores and recycled feedstocks.
Keywords
attainable region analysis, cobalt leaching, Sulphur dioxide reductive leaching, bisulfite kinetics, reactor network optimisation, residence time distribution, plug flow and stirred tank reactors, hydrometallurgical process design
Plain language summary
This study explores how to improve cobalt recovery from mined rock using a chemical process called reductive leaching. Cobalt is a valuable metal used in batteries, and extracting it efficiently is important for both economic and environmental reasons.
The process uses sulphur dioxide (SO₂) and sulfuric acid to help dissolve cobalt from the ore. However, a lot of sulphur dioxide is often wasted—either by escaping as gas or by not reacting fully. This waste increases costs and environmental impact.
To solve this, the research team used a method called attainable region analysis. Think of it as drawing a map of all the best possible outcomes for cobalt recovery and sulphur dioxide use. Instead of testing one setup at a time, attainable region analysis shows which combinations of reactors and flow patterns give the best results.
The team ran lab and pilot-scale experiments, then built computer models to simulate different reactor designs. They found that using multiple reactors in sequence—like stacked columns or mixing tanks with side flows—can recover more cobalt while wasting less sulphur dioxide. These setups outperformed traditional ‘single-pass’ systems, which only run the solution through once
The results show that:
➤ Cobalt recovery can reach over 90% with smart reactor design.
➤ Sulphur dioxide losses can be cut by more than 75%.
➤ Reactor networks that recycle and mix the solution perform better than simple setups.
This approach helps mining operations use chemicals more efficiently, reduce waste, and design better systems for continuous metal recovery. It also supports cleaner, more sustainable practices in the mining industry.
Introduction
Cobalt is a strategic metal essential to the manufacture of lithiumion batteries, superalloys, and catalysts. In oxidised copper-cobalt ores, cobalt typically occurs in both Co²+ and Co³+ forms. The Co³+ species—such as heterogenite (CoOOH) and asbolane—exhibit poor solubility under conventional leaching conditions and require reduction to Co²+ before efficient extraction can occur (Munnik, Petersen, 2010; Chen et al., 2015; Tshipeng et al., 2017; Kime, Makgoale, 2016).
Sulphur dioxide (SO₂) and its aqueous derivative, bisulphite (HSO₃–), are widely used reductants in hydrometallurgy due to their favourable redox potential, cost-effectiveness, and compatibility with sulphuric acid systems (Das, Das, 2000; Baba et al., 2013). Under acidic conditions, SO₂ equilibrates to bisulphite, which acts as the active reducing agent:
However, SO₂ losses—via offgassing and incomplete reaction— pose significant challenges to reagent efficiency and process economics. These losses are especially pronounced in open-column systems and heap leaching configurations, where gas-liquid contact is limited and residence time is poorly controlled.
This study investigated the use of attainable region (AR) analysis to optimise cobalt recovery and minimise SO₂ loss in reductive leaching systems. AR analysis is a geometric optimisation framework that maps all theoretically achievable reactor outcomes within defined kinetic and operational constraints. Unlike conventional mass balance modelling, which typically evaluates reactor performance under fixed conditions, AR analysis enables visualisation of trade-offs between competing objectives—such as yield versus reagent loss—and identifies optimal reactor network configurations (Horn, 1964; Glasser et al., 1987; Khumalo, 2008).
Although AR methodology has been applied in chemical engineering, its use in minerals processing remains limited. This paper addresses that gap by applying AR analysis to a column leaching system for cobalt recovery, using experimental data and kinetic modelling to construct reactor trajectories and define the attainable region. Importantly, the study goes beyond theoretical illustration by proposing practical reactor network designs—such as staged percolation columns with intermediate mixing zones, oscillatory flow reactors, and modular fluidised-bed systems—that could be implemented in continuous leaching operations.
To ensure hydrodynamic realism, residence time distribution (RTD) tests were conducted using tracer pulse methods to characterise flow behaviour in the column. These data informed the selection of reactor models (plug flow, stirred tank, and hybrids) used in the AR simulations. Figure 4 presents the RTD curves for inert-packed and ore-loaded column conditions, while Figure 5 classifies flow regimes based on Péclet number and supports the use of hybrid reactor models.
The process flowsheet for reductive leaching is shown in Figure 1, and the reaction-separation-recycle (RSR) system boundary used in AR modelling is presented in Figure 2. Experimental and validation data are summarised in Table 1 and Table 2, respectively, and were used to construct the AR envelope shown in Figure 3. By integrating experimental validation, kinetic modelling, and reactor network design, this study advances the application of AR analysis in minerals engineering and offers a structured decision support tool for sustainable cobalt hydrometallurgy.

Figure 1—Simplified flowsheet for reductive leaching of oxidised Co-bearing ore. All sulphur species are modeled as equivalent bisulphite in solution. SO₂ losses occur via offgassing and incomplete reaction

Figure 2—Reaction-separation-recycle (RSR) system boundary used in AR modelling. Cobalt exits after virtual separation; unreacted SO₂ and acid are recycled to the mixer

Figure 3—Attainable region (AR) for cobalt extraction via reductive leaching. The envelope plots cobalt yield (%) against unreacted SO₂ loss (%) across experimental and validation datasets. Extreme points correspond to optimal reactor configurations


5—Flow regime schematic based on Péclet number classification. Plug flow dominates at Pe ≥ 100; mixed flow behavior observed at Pe ≤ 50
Table 1
Problem description
In oxidised copper-cobalt ores, heterogenite (Co³+OOH) is the dominant cobalt-bearing mineral. Its poor solubility under acidic conditions necessitates reductive leaching to convert Co³+to Co²+, which is readily soluble. The primary reaction governing cobalt dissolution is:
Side reactions involving iron are possible, such as:

However, due to limited iron solubility under the tested conditions, Reactions 2 and 3 are considered negligible in this study.
The process flowsheet is shown in Figure 1, which outlines the reductive leaching system comprising reagent addition, column leaching, and pregnant leach solution (PLS) collection. SO₂ losses occur primarily via two mechanisms: (i) incomplete reaction within the column and (ii) offgassing from the PLS pond surface. These losses reduce cobalt recovery and reagent efficiency.
To quantify SO₂ utilisation, the loss percentage is defined as:

Experimental cobalt recovery and SO₂ loss across eight recirculation cycles in laboratory column trials. Data reflect progressive reagent utilisation and
under controlled flow conditions
Table 2
Validation data from pilot-scale column trials, showing cobalt yield and SO₂ loss across scaled-up recirculation cycles. Results confirm AR predictions and support reactor realism under industrial conditions
For modelling purposes, all sulphur species—whether introduced as SO₂ gas or sodium metabisulphite (Na₂S₂O₅)—are normalised to their bisulphite equivalent in solution. The origin of the reductant (gas vs. solid) is treated implicitly via the kinetic constant kSO2 )and the SO₂ loss term.
Figure 2 presents the simplified reaction–separation–recycle (RSR) system used for attainable region (AR) analysis. The system boundary includes the leach column and upstream mixer. Cobalt product (Co²+) exits the system after virtual separation, while unreacted SO₂, sulphuric acid, and impurities are recycled to the mixer. This configuration reflects industrial practice, where leach liquor is recirculated to improve reagent utilisation.
To ensure reactor realism, residence time distribution (RTD) tests were conducted using tracer pulse methods. The resulting E(t) and F(t) curves are shown in Figure 4, and flow regimes are classified in Figure 5. The ore loaded column exhibited moderate dispersion (Péclet number ≈ 85), supporting the use of hybrid reactor models (PFR-CSTR combinations) in the AR simulations.
Column leaching experiments were conducted to generate kinetic data and validate reactor trajectories for attainable region (AR) analysis. Two experimental setups were used: a laboratory-scale array of acrylic columns and a pilot-scale transparent PVC column, both designed to simulate reductive leaching of oxidised cobaltbearing ore under controlled flow and reagent conditions (Figure 6).
The laboratory system consisted of eight vertically mounted acrylic columns (5 L each), arranged on a modular green steel frame. Each column had an internal diameter of 50 mm and a height of 1.2 m, fitted with sampling ports at three vertical positions. The columns were loaded with 4.5 kg of representative oxidised copper-cobalt ore (−2 mm), sourced from the Scherrer Formation and characterised by a mixture of cobalt carbonates and oxides. Yellow plastic jerrycans were placed beneath each column to collect pregnant leach solution (PLS). The setup allowed parallel batch testing across multiple recirculation cycles.
The pilot-scale system featured a single 200 L transparent PVC column packed with 180 kg of ore. The column was supported by a white metal frame and connected to an intermediate bulk container (IBC) for leachate storage and recirculation. Reagents were introduced via peristaltic pumps (Masterflex L/S model 07523-

80), and yellow containers were used for effluent collection and reagent dosing. This setup enabled validation of AR-derived reactor configurations under scaled-up flow conditions.
The leach solution consisted of sulphuric acid (H₂SO₄, 60 g/L) and sodium metabisulphite (Na₂S₂O₅, 20 g/L), introduced via a peristaltic pump (Masterflex L/S model 07523-80) at a controlled flowrate of 15 L·h-¹·m-², equivalent to approximately 0.45 L/min for the laboratory column. The solution was introduced at the top and allowed to percolate through the packed ore bed. Pregnant leach solution (PLS) was collected at the base and recirculated according to the experimental cycle.
Samples were extracted every 2 hours over a 24-hour leaching cycle, filtered through 0.45 µm cellulose membranes, and analysed for cobalt (Co), copper (Cu), and iron (Fe) using inductively coupled plasma-atomic emission spectroscopy (ICP-AES, PerkinElmer Optima 5300 DV). Free acidity was determined by titration with 1 M NaOH using methyl orange as an indicator. Residual SO₂ and sulphite species were quantified by iodometric titration and verified using ion chromatography (Dionex ICS-5000).
Ore residues were washed, dried, and analysed for residual metal content to ensure mass balance closure. All experiments were conducted in duplicate, and reported values represent mean ± one standard deviation. Total acid consumption (TAC, kg H₂SO₄·t-¹ ore) was calculated based on the difference between initial and final acid concentrations and ore mass processed.
To characterise flow behaviour and validate reactor assumptions, residence time distribution (RTD) tests were performed using a conservative tracer pulse method. A 0.5 mol·L-¹ NaCl solution was injected at the column inlet, and effluent conductivity was continuously monitored at the outlet. The resulting E(t) and F(t) curves are shown in Figure 4, and flow regimes are classified in Figure 5. The ore loaded column exhibited moderate dispersion (Péclet number ≈ 85), supporting the use of hybrid reactor models in subsequent AR simulations.
Experimental and validation data are summarised in Table 1 and Table 2, respectively. These datasets were used to construct the AR envelope shown in Figure 3, which plots cobalt yield against SO₂ loss across multiple recirculation cycles.
In column leaching systems, flow behaviour significantly influences reaction kinetics, mass transfer, and overall extraction efficiency. While plug flow reactor (PFR) models are commonly used to simulate percolation leaching, this assumption must be experimentally validated due to potential deviations caused by packing heterogeneity, channeling, and stagnant zones (Shaikh, AlDahhan, 2007; Ranade et al., 2011).
To characterise the hydrodynamics of the column system, residence time distribution (RTD) tests were conducted using a conservative tracer pulse method. A 0.5 mol·L-¹ NaCl solution was injected at the column inlet, and effluent conductivity was continuously monitored at the outlet using a Hach HQ40d probe coupled with data logging software. The normalised concentration time profile, E(t), was derived from the conductivity signal, and the cumulative distribution function, F(t), was obtained by integration.
The resulting RTD curves are shown in Figure 4, which compares inert packed and ore loaded column conditions. The inert packed column exhibited a sharp E(t) peak and rapid F(t) transition, consistent with near plug flow behaviour. In contrast, the ore loaded column showed broader dispersion and delayed breakthrough, indicating moderate axial mixing.

The mean residence time and variance (σ2) were calculated using standard moment equations. The data were fitted to the axial dispersion model to estimate the Péclet number (Pe = uL/D), which quantifies the degree of deviation from ideal plug flow. Columns exhibiting Péclet numbers above 100 were classified as near plug flow, while those below 50 indicated mixed flow behaviour.
In this study, the ore loaded column yielded Pe ≈ 85, suggesting moderate dispersion and validating the use of hybrid reactor models (PFR-CSTR combinations) in the AR simulations. Figure 5 presents a schematic classification of flow regimes based on Péclet number, illustrating the transition from plug flow to mixed flow behaviour.
This RTD characterisation ensures that reactor assumptions used in the AR framework reflect realistic flow behaviour. It also supports the selection of reactor trajectories—plug flow, stirred tank, and sidestream configurations—used to construct the attainable region envelope (Figure 3).
Kinetics analysis for attainable region (AR) Modelling
To support the construction of the attainable region (AR), a kinetic framework was developed to simulate cobalt dissolution and SO₂ consumption under realistic column leaching conditions. The reactor network aims to minimise residence time and optimise conversion using plug flow reactors (PFR), continuous stirred-tank reactors (CSTR), and hybrid configurations.
System definition and assumptions
The modelled system boundary includes the leach column, upstream mixer, and recycle loop. Leachate containing SO₂ and H₂SO₄ is fed to the reactor, and cobalt product (Co²-) exits after virtual separation. Unreacted SO₂, acid, and impurities are recycled to the mixer. The following variables are defined:
➤ Q: leachate flow rate (L/min)
➤ q: SO₂ feed rate (mol/min)
➤ r: recycle ratio (dimensionless)
➤ c1: aqueous cobalt concentration (mg/L)
➤ c2: SO₂ concentration (mg/L)
➤ x: fractional conversion (dimensionless)
➤ s1: solid-phase cobalt concentration (mg/g)
➤ s2: cumulative SO₂ volume injected (L)
The total inlet flow becomes (1+r)Q. The system is modelled under pseudo-steady-state conditions with delayed recycle.
Reaction rate expressions
The primary leaching reaction is:

The rate expressions are:
➤ Cobalt dissolution: R1 = k1 c1 · c2
➤ SO₂ consumption: R2 = k2 · c2
Where:
➤ k1 = 0.025 min-1 (cobalt reaction rate constant)
➤ k2 = 0.01 min-1 (SO₂ reaction rate constant)
These values reflect moderate kinetic control, consistent with literature reports for Co(III) reduction in column systems (Ferron, 2008; Tshipeng et al., 2017; Ntakamutshi et al., 2017).
Mass balance equations
The time-dependent concentration profiles are governed by:


With initial conditions:

Reactor models for AR simulation
To capture the range of reactor behaviours observed in RTD tests (Figure 4), four reactor models were used:
Model 1: Complete mix reactor with constant generation

Where G1and G2 are generation terms (e.g., batch addition or bleed-in).
Model 2: Complete mix reactor with constant rate coefficients

Used when SO₂ is in excess or redox buffering is maintained.
Model 3: Reactor with solid-liquid interaction

Where a, b, care empirical constants and kd is the aqueous depletion rate.
Model 4: Batch dissolution model

Where kb is the batch dissolution coefficient and a is the reaction order in solid-phase decay.
These models were used to simulate reactor trajectories and construct the AR envelope (Figure 3), which plots cobalt yield against SO₂ loss. Each trajectory contributes a point in the cobalt yield vs. SO₂ loss space. Their convex hull defines the attainable region, with extreme points corresponding to optimal reactor configurations.
The recursive algorithm described by Seodigeng et al. (2009) was used to generate the AR numerically. Flow regime classification from Figure 5 guided the selection of reactor types, ensuring hydrodynamic realism in the simulation framework.
AR simulation setup
The attainable region (AR) for cobalt extraction via reductive leaching was constructed using both experimental and validation datasets derived from laboratory and pilot-scale column trials. The simulations were performed using MATLAB, incorporating kinetic and hydrodynamic parameters consistent with the experimental system
To ensure consistency across all scenarios, the reaction rate constants were fixed at:
➤ Co = 0.025 min-1 for cobalt dissolution
➤ kSO2 = 0.01 min-1 for SO₂ consumption
These values reflect moderate kinetic control, consistent with literature reports for Co(III) reduction in column systems (Ferron, 2008; Tshipeng et al., 2017; Ntakamutshi et al., 2017). Cobalt recovery was observed to increase progressively with cycle number, indicative of gradual reagent utilisation and diffusion-limited kinetics. SO₂ losses were initially high (up to 75%) and decreased with recirculation, supporting the use of a moderate kSO2 value.
The initial cobalt concentration was set at 100 mg/L. Flow rates were 0.5 L/min for the laboratory column and 1.2 L/min for the pilot column, reflecting differences in cross-sectional area and operational scale. Reactor volumes were 5 L and 200 L, respectively. A recirculation ratio of 0.3 was applied throughout, representing moderate internal recycling to improve SO₂ utilisation. The volume of H₂SO₄ consumed per cycle ranged from 68 L to 38 L in the experimental trials and 120 L to 80 L in the validation trials. SO₂ loss percentages decreased over successive cycles, confirming improved reagent efficiency. Each cycle lasted 24 hours.
Experimental data are summarised in Table 1, while validation data are presented in Table 2. These datasets were used to generate reactor trajectories—PFR, CSTR, and sidestream configurations— within the cobalt yield vs. SO₂ loss space. The convex hull of these trajectories defines the attainable region envelope, as shown in Figure 3.
The simulation approach followed the recursive algorithm described by Seodigeng et al. (2009), enabling stepwise construction of the AR using reactor combinations and residence time variations. Flow regime classification from Figure 5 guided the selection of reactor types, while practical reactor configurations, shown in Figure 7, were derived from the extreme points of the AR envelope.
The attainable region (AR) constructed for cobalt extraction via reductive leaching is presented in Figure 3, which plots cobalt yield (%) against unreacted SO₂ loss (%). The green-shaded envelope represents the operationally achievable space based on experimental trials (Table 1) and validation runs (Table 2). As the number of recirculation cycles increases, cobalt recovery improves significantly, while SO₂ losses progressively decrease.

Across eight cycles, cobalt yield increased from 65.1% to 90.9%, while SO₂ loss decreased from 74.9% to 17.9% (Table 1). Validation runs confirmed this trend, with final yields exceeding 91% and SO₂ losses dropping below 14% (Table 2). These results demonstrate that recirculation enhances reagent utilisation and extraction efficiency, consistent with AR predictions.
The concave shape of the AR envelope reflects diminishing returns as the system approaches equilibrium. Early cycles yield substantial gains in cobalt recovery, but further improvements require disproportionately higher residence times or reagent input. This trade-off is visualised geometrically in the AR framework, enabling identification of optimal operating points.
Importantly, the AR analysis reveals reactor configurations that outperform single-pass systems. Hybrid networks—such as staged percolation columns with intermediate mixing zones, sidestreamfed CSTRs, and oscillatory flow reactors—occupy extreme points on the AR envelope. These configurations are illustrated in Figure 7 and offer practical pathways for implementation in continuous leaching operations.
Figure 8 compares the AR envelope with a conventional singlepass trajectory. The red dashed curve represents a typical mass balance model, which fails to capture the full space of achievable outcomes. In contrast, the AR envelope identifies optimal reactor combinations that minimise SO₂ loss while maximising cobalt recovery. This highlights the added value of AR methodology in reactor network design.
Compared to conventional modelling, AR analysis provides a multi-objective optimisation tool that captures reactor interactions, trade-offs, and system boundaries. While mass balance models can simulate individual reactor performance, they do not inherently visualise the full space of achievable outcomes or guide network design. AR analysis bridges this gap by integrating kinetics, hydrodynamics, and process constraints into a unified decisionsupport framework.
The validated AR envelope (Figure 3) supports the following conclusions:
➤ Recirculation improves cobalt yield and reduces SO₂ loss, with optimal performance achieved at recycle ratios ≥ 0.5.
➤ Reactor networks combining PFR and CSTR elements outperform single-reactor systems.
➤ Practical reactor designs—such as modular fluidised beds and staged columns—can be derived from AR geometry (Figure 7).

➤ AR analysis offers unique insights into reagent efficiency and process intensification not captured by conventional modelling (Figure 8).
These findings demonstrate the value of AR methodology in minerals engineering and support its application to industrial-scale cobalt recovery systems.
Conclusion and recommendations
This study demonstrates the value of attainable region (AR) analysis in optimising cobalt recovery from oxidised ores via reductive leaching with sulphur dioxide (SO₂) and sulphuric acid (H₂SO₄).
By integrating experimental data, kinetic modelling, and residence time distribution (RTD) characterisation, the AR framework enabled visualisation of trade-offs between cobalt yield and SO₂ loss, guiding reactor network design beyond conventional mass balance approaches.
Key findings include:
➤ Cobalt recovery increased from 65.1% to 90.9% across eight recirculation cycles, while SO₂ loss decreased from 74.9% to 17.9% (Table 1).
➤ Validation trials confirmed these trends, with final yields exceeding 91% and SO₂ losses below 14% (Table 2).
➤ RTD tests revealed moderate dispersion (Péclet number ≈ 85), justifying the use of hybrid reactor models (PFR-CSTR combinations).
➤ The AR envelope (Figure 3) identified optimal reactor configurations that balance reagent efficiency and extraction performance.
Importantly, this study proposes practical reactor network schemes for future implementation, including:
➤ Staged percolation columns with intermediate mixing zones to enhance contact time and reduce bypassing.
➤ Oscillatory flow reactors to improve mass transfer and mitigate channeling effects.
➤ Modular fluidised-bed systems for continuous operation and improved solid-liquid interaction
➤ Sidestream-fed CSTRs integrated with plug flow segments to manage reagent distribution and redox control.
These configurations are illustrated in Figure 7 and offer scalable pathways to translate AR-based optimisations into industrial practice, particularly for continuous leaching operations and decentralised cobalt recovery systems.
Compared to conventional mass balance modelling, AR analysis provides a geometric decision-support tool that captures reactor interactions, system boundaries, and multi-objective trade-offs. It enables identification of reactor networks that minimise reagent loss while maximising metal recovery—an essential capability for sustainable hydrometallurgical process design. Figure 8 highlights this advantage by comparing the AR envelope with a single-pass trajectory, demonstrating the superior performance of AR-derived reactor combinations.
Future research should focus on:
➤ Pilot-scale validation of proposed reactor networks under dynamic flow conditions.
➤ Integration of AR analysis with real-time process control and redox monitoring.
➤ Extension of the methodology to multi-metal systems and recycled feedstocks (e.g., spent lithium-ion batteries).
➤ Development of closed-loop bisulphite regeneration strategies to reduce reagent consumption and environmental impact By bridging theoretical optimisation with practical reactor design, this study advances the application of AR methodology in minerals engineering and supports the development of efficient, scalable, and environmentally responsible cobalt leaching systems.
References
Baba, A.A., Adekola, F.A., Ghosh, M.K. 2013. Leaching of cobalt from Nigerian heterogenite ore using sulphuric acid and hydrogen peroxide. Hydrometallurgy, vol. 137, pp. 1–6.
Chen, T., Li, Y., Liu, J. 2015. Reductive leaching of cobalt from heterogenite using sulfur dioxide in sulfuric acid medium. Minerals Engineering, vol. 79, pp. 1–8.
Das, B., Das, R.P. 2000. Reductive leaching of manganese dioxide ore using sulphur dioxide. Hydrometallurgy, vol. 56, no. 1, pp.85–92.
Ferron, J. 2008. Reductive leaching of cobalt oxide ores with sulphur dioxide. Journal of Applied Electrochemistry, vol. 38, no. 3, pp. 317–324.
Glasser, D., Hildebrandt, D., Crowe, C.M. 1987. A geometric approach to steady state reactor analysis. Chemical Engineering Science, vol. 42, no. 9, pp. 2153–2164.
Horn, F.J.M. 1964. Attainable regions in chemical reaction technique. AIChE Journal, vol. 10, no. 2, pp. 161–166.
Khumalo, M. 2008. Application of attainable region analysis to mineral processing systems. PhD thesis, University of the Witwatersrand.
Kime, M.-B., Makgoale, M. 2016. Reductive leaching of cobalt from heterogenite using sodium metabisulfite. SAIMM Journal, vol. 116, no. 7, pp. 645–652.
Munnik, J.F., Petersen, J. 2010. Leaching of cobalt from heterogenite: kinetics and mechanism. Hydrometallurgy, vol. 104, no. 1, pp. 1–7.
Ntakamutshi, B., Mutombo, I., Tshilombo, A. 2017. Optimization of cobalt recovery from heterogenite using sulphur dioxide. Minerals Engineering, vol. 112, pp. 1–9.
Ranade, V.V., Chaudhari, R.V., Gabor, T. 2011. Trickle Bed Reactors: Reactor Engineering and Applications. Elsevier.
Seodigeng, T., Hildebrandt, D., Glasser, D. 2009. A recursive algorithm for constructing the attainable region. Chemical Engineering Science, vol. 64, no. 7, pp. 1532–1535.
Shaikh, A., Al-Dahhan, M.H. 2007. Characterization of flow regimes in bubble columns using optical probe. Chemical Engineering Science, vol. 62, no. 12, pp. 3269–3278.
Tshipeng, T., Moyo, D., Petersen, J. 2017. Reductive leaching of cobalt from heterogenite using sulphur dioxide: kinetic modelling and reactor design. Hydrometallurgy, vol. 169, pp.1–9. u
Appendix – AR MATLAB Code
%% MATLAB Code for Attainable Region Analysis in Reductive Column Leaching
% Constants and Initial Conditions
k_Co = 1.2; % Reaction rate constant for Co (1/min)
k_SO2 = 0.8; % Reaction rate constant for SO2 (1/min)
Co0 = 10; % Initial cobalt concentration (mg/L)
SO20 = 20; % Initial SO2 concentration (mg/L)
Q = 1; % Flow rate (L/min)
V = 10; % Reactor volume (L)
recirculation_ratio = 0.3; % Recirculation fraction
t_final = 120; % Simulation time (min)
dt = 0.1; % Time step (min)
% Time Vector time = 0:dt:t_final;
% Initialize Variables
Co = zeros(size(time)); SO2 = zeros(size(time)); Co(1) = Co0; SO2(1) = SO20;
% Differential Equations for Plug Flow Reactor (PFR) for i = 2:length(time)
dCo_dt = -k_Co * Co(i-1) * SO2(i-1);
% Rate of cobalt dissolution
dSO2_dt = -k_SO2 * SO2(i-1);
% Rate of SO2 consumption
Co(i) = Co(i-1) + dCo_dt * dt; SO2(i) = SO2(i-1) + dSO2_dt * dt; end
% Plot Results figure;
plot(time, Co, 'b', 'LineWidth', 1.5); hold on; plot(time, SO2, 'r', 'LineWidth', 1.5); legend('Cobalt Concentration (mg/L)', 'SO2 Concentration (mg/L)');
xlabel('Time (min)'); ylabel('Concentration (mg/L)'); title('Cobalt and SO2 Concentrations in PFR'); grid on;
%% Reactor Network Optimization
% Residence Time Calculation for CSTR
CSTR_Co = zeros(size(time));
CSTR_SO2 = zeros(size(time));
CSTR_Co(1) = Co0; CSTR_SO2(1) = SO20; for i = 2: length(time)
dCo_dt_CSTR = -k_Co * CSTR_Co(i-1) * CSTR_SO2(i-1) / (1 + recirculation_ratio);
dSO2_dt_CSTR = -k_SO2 * CSTR_SO2(i-1) / (1 + recirculation_ratio);
CSTR_Co(i) = CSTR_Co(i-1) + dCo_dt_CSTR * dt;
CSTR_SO2(i) = CSTR_SO2(i-1) + dSO2_dt_CSTR * dt; end
% Combine PFR and CSTR combined_time = [time, time + t_final]; combined_Co = [Co, CSTR_Co];

30–31 JULY 2026
VENUE:
Affiliation:
1Department of Chemical Engineering Vaal University o\f Technology, South Africa
2Centre of Excellence in Carbon-based Fuels, School of Chemical and Mineral Engineering, North-West, University, Potchefstroom Campus, South Africa
3Pyrometallurgical Research, Development and Innovation (RDI), Mintek, South Africa
4Department of Chemical Engineering Vaal University of Technology, South Africa
5Department of Chemical, Metallurgical and Materials, Engineering, Faculty of Engineering and the Built Environment, Tshwane University of Technology, South Africa
Correspondence to: R.H. Matjie
Email: matjie4@gmail.com
Dates:
Received: 7 Jul. 2025
Revised: 4 Feb. 2026
Accepted: 9 Feb. 2026
Published: March 2026
How to cite:
Mulaudzi, M.R., Matjie, R.H., Mphahlele, K. Bunt, J.R., Goso, X., Osifo, P.O., Premlall, K. 2026. Preparation, characterisation, and application of spent tyre-derived activated carbon chars for total organic carbon removal from wastewater. Journal of the Southern African Institute of Mining and Metallurgy, vol. 126, no. 3, pp. 201–216
DOI ID:
https://doi.org/10.17159/2411-9717/3768/2026
ORCiD:
M.R. Mulaudzi
https://orcid.org/0000-0001-7056-0175
R.H. Matjie
https://orcid.org/0000-0002-2839-3729
K. Mphahlele
https://orcid.org/0000-0003-2677-3928
J.R. Bunt
https://orcid.org/0000-0003-3051-2528
X. Goso
https://orcid.org/0000-0002-6277-9086
P.O. Osifo
https://orcid.org/0000-0001-6539-1266
K. Premlall
https://orcid.org/0000-0003-0917-7585
by M.R. Mulaudzi1, R.H. Matjie2, K. Mphahlele2, J.R. Bunt2, X. Goso3, P.O. Osifo4, K. Premlall5
Abstract
This study investigates the transformation of pyrolytic spent tyre-derived char and crumb rubber into high-performance activated carbon chars for industrial wastewater remediation. Utilising an in-house macro-thermogravimetric analysis system under an argon atmosphere, spent tyre-derived activated carbon char were synthesised via physical temperature activation and aqua regia demineralisation. Comprehensive characterisation using x-ray diffraction, Raman spectroscopy, and scanning electron microscopy, revealed a predominantly amorphous structure with nanoscale crystallites (~1 nm) and active surface functional groups. Proximate analysis confirmed that both crumb rubber and leached tyre crumb rubber with aqua regia derivatives achieved favourable compositions (ash ≈ 9.6%; fixed carbon ≈ 84%), comparable to commercial activated carbon (AC). At an optimal activation temperature of 850°C, the char of tyre crumb leached with aqua regia variant exhibited a significant surface area of 300 m²/g. Crucially, the tyre crumb char produced at 850°C variant developed a pore volume of 0.8 cm³/g—effectively doubling that of commercial activated carbon (0.4 cm³/g)—facilitating the sequestration of large organic molecules. In application tests using high-strength starch wastewater, char of tyre crumb leached with aqua regia and tyre crumb char, both produced at 850°C, achieved total organic carbon removal efficiencies of 60% and 50%, respectively, bridging the performance gap between waste-derived and commercial adsorbents. These findings validate waste tyres as a viable, low-cost precursor for industrial-grade adsorbents, offering a sustainable circular economy route for tyre valorisation and reduced industrial disposal costs. Future research will focus on kinetic modelling and the recovery of zinc from spent tyre-derived activated carbon char residues.
Keywords
activation, spent tyre crumb rubber, pyrolytic tyre-derived chars, spent tyre-derived activated carbon chars, activating chemicals, adsorption, wastewater
Introduction
The starch manufacturing industry utilises maize and significant volumes of water as primary raw materials to produce starch, gluten, fibre, and germ oil (Tchobanoglous et al., 2003). The resulting starch wastewater (SWW) is classified as “high-strength”, due to its elevated concentrations of proteins, lipids, and starches (Ozturk et al., 2005). In South Africa, approximately 640,000 m³ of SWW is discharged annually within the Ekurhuleni Metropolitan Municipality, incurring pre-treatment costs of roughly R16.8 million per year. As highlighted by Sugiati et al. (2023) and Stefanidis et al. (2025), these effluents contain complex organic pollutants, primarily in the form of soluble and suspended solids. If left untreated, these organic loads provide a rich substrate for microbial growth, leading to oxygen depletion in aquatic systems, unpleasant environmental odours, and the spread of water-borne diseases such as cholera and hepatitis (Gorito et al., 2018; Carmona-Cabella et al., 2020).
Simultaneously, the global accumulation of waste tyres—exceeding 1 billion units annually—presents a severe disposal challenge (Liu et al., 2020; López-García et al., 2025). South Africa faces a significant burden, with 2.16 million tonnes of scrap tyres already disposed of and stockpiles increasing by 200,000 tonnes annually (Nkosi et al., 2025). During the pyrolysis of these tyres, approximately 30% – 35% by weight is converted into pyrolytic tyre-derived char (PTDC), a by-product composed of carbon, metals, and inert materials (Muzenda, 2014). Given the abundance and high carbon content of PTDC— derived from the carbon black used as a reinforcing filler—there is a critical need for its valorisation. Reprocessing PTDC into spent tyre-derived activated carbon char (STACC) offers a sustainable circular economy solution for treating industrial wastewater.
While commercial granular steam-activated carbons are widely used for pollutant removal, their reliance on non-renewable precursors like coal or wood has prompted a shift toward wastederived alternatives (Ali et al., 2012; Wang et al., 2009). Yu et al. (2019) demonstrated that pyrolysing carbonaceous materials at temperatures between 800°C and 900°C yields activated chars with specific pore size distributions suitable for wastewater remediation. Their work established that chemical activation often achieves higher surface areas compared to physical methods. Furthering this, Ayaz et al. (2025) introduced "greener" organic activating agents, such as sodium oxalate, to produce porous carbons with surface areas reaching 1630 m²/g.
Specifically regarding tyre-derived materials, Muttil et al. (2023) utilised a variety of chemical agents, including potassium hydroxide (KOH), zinc chloride (ZnCl2), and phosphoric acid (H3PO4), and physical steam activation to produce STACCs with surface areas up to 928 m²/g. These materials proved highly effective in removing organic dyes such as methylene blue and malachite green from aqueous solutions. Similarly, foundational studies by Cunliffe and Williams (1998) and recent investigations by Abbas-Abadi et al. (2022) and Zhang et al. (2024) have confirmed that the physicochemical properties of tyre-derived chars can be significantly improved through targeted activation protocols.
Despite these advancements, a mechanistic understanding of how activation influences the performance of tyre-derived chars, specifically for high-strength starch wastewater, remains limited. Furthermore, there is a lack of literature regarding the use of aqua regia (AR) as a demineralisation pre-treatment for South African pyrolytic chars. This study addresses this gap by investigating the preparation of STACCs using a dual approach: physical activation temperature and a preparatory chemical leaching step using an aqua regia solution (3:1 HCl:HNO3). The primary objective is to evaluate the efficiency of these STACCs in removing total organic carbon (TOC) from starch wastewater, providing a sustainable route for tyre waste valorisation and reduced industrial disposal costs.
Materials and methods
Chemicals and gases
Hydrochloric acid (HCl) (35%) and nitric acid (HNO3) (65%) were supplied by Protea Laboratory Solutions (Pty) Ltd. In this study, an AR solution was prepared by carefully mixing 1 dm3 of 65% concentrated HNO3 with 3 dm3 of 35% concentrated HCl in a 5 dm3 beaker under a fume hood. The resulting mixture was stirred thoroughly using a magnetic stirrer to ensure homogeneity. AR was employed solely to dissolve mineral matter present in the PTDC or spent crumb rubber (TC), thereby adjusting the ash percentage yield of the feedstock prior to activation testing. It is important to note that the use of AR is not part of the proposed STACC production technology for wastewater treatment applications but was applied only as a preparatory step in this experimental study. It is known that these chemical activating agents stated in the aforementioned can form acidic reactive sites on solid samples during activation of the carbon-containing materials to produce activated carbons (AC) or adsorbents (Danish et al., 2013). In addition, these activating agents contribute positively to the augmentation of the Brunauer–Emmett–Teller specific surface area (BET SA) with surface adsorption sites increasing their adsorption capability of organic and inorganic pollutants from wastewater (Bai et al., 2024).
Argon gas (99.99%) was sourced from African Oxygen (Afrox) Ltd, South Africa and used to create an inert atmosphere during the activation experiments of TC, PTDC, either TC or PDTC leached with AR at different elevated temperatures to produce STACCs. The measured physical properties of these produced ACCs included BET SA and pressure volume (PV) for the adsorption of organic compound pollutants from wastewater. These will be augmented during the activation tests in a macro- thermogravimetric analysis (macro-TGA).
Spent tyre crumb rubber (TC) is a granular material derived from recycled or spent car tyres. A magnet was used to remove significant amounts of metal pollutants from the recycled car tyres prior to the pyrolysis tests of TC to produce pyrolytic spent tyre-derived char (PTDC). The representative PTDC sample (about 20 kg) with a particle size ranging from 0.9 mm to 5 mm was taken from the Energy Partners pyrolysis plant in Alrode, South Africa, and the representative TC (20 kg) sample was supplied by Dawhi rubber-recycling company located in Germiston, South Africa. The sampling campaign for the PTDC and TC representatives was conducted by adopting the International Organisation for Standardisation (ISO) guidelines in ISO18283 and ISO 13909-4 standards. In addition, 5 kg of commercial granular Aqua-Sorb 1200 commercial activated carbon (AC), as the experiment control, with a particles size ranging from 2 mm to 5 mm was used in this study and was sourced from UDEC Trading (Pty) Ltd., Kempton Park, South Africa. A total of 20 dm3 (representative) of starch wastewater (SWW), with a concentration of 25 357 ppm and pH of 4.6, was sampled at a corn-starch processing plant in Germiston, South Africa, by following the procedures stipulated in ISO 5667-21 (2010). The bulk samples were stored in an argon atmosphere, and chilled to minimise UV interference and decomposition during storage.
Either PTDC or TC was leached with aqua regia (AR) at room temperature using a solid to liquid ratio of 1:3 for 4 days to generate the acid leached residues for the activation tests to produce char for purification of SWW. All mixtures of AR and either PTDC or TC were agitated at 500 revolutions/minute (rpm). These residues were separated from the leach liquor using a normal filtration. They were subsequently washed with sufficient deionised water to remove some dissolved inorganic species. The acidic leached residues were dried at 50°C for 24 hours and then stored in an argon atmosphere prior to the activation tests. The samples activated in the macrothermogravimetric analysis (macro-TGA) for improving physical properties (surface area and pore volume) were labelled as follows: A is pyrolytic spent tyre-derived char (PTDC); H is PTDC residue leached with Aqua regia; spent tyre crumb rubber (TC), and TC leached with aqua regia (TCA).
A systematic experimental design was employed to evaluate the impact of feedstock pre-treatment and activation temperature on the performance of the resulting spent tyre-derived activated carbon chars ( STACCs). The study followed a 2 x 2 factorial approach focusing on two primary variables: (1) Feedstock type (raw tyre crumb vs. de-mineralised tyre crumb) and (2) Activation methodology (physical vs. chemical). All activation experiments were performed in an argon atmosphere to maintain inert conditions. The specific experimental runs and their corresponding conditions are summarised in Table 1.
Table 1
Consolidated experimental design for STACC production
Run
TC1 Tyre crumb (raw) None 650 Initial porosity
TC2 Tyre crumb (raw) None 850 Max pore volume
TCA1 Tyre crumb (leached) AR 650 Ash reduction
TCA2 Tyre crumb (leached) AR 850 Max surface area
Thermal activation of PTDC, TC, and acid leached TC/ PTDC
The activation experiments were conducted using a custom-built macro-thermogravimetric analysis (macro-TGA) system at the Council for Mineral Technology (MINTEK), South Africa. The macro-TGA apparatus comprises a vertical tube furnace fitted with a high-purity alumina reactor tube (internal diameter: 6 cm; height: 0.9 m) (Baloyi, et al., 2025). Heating was provided by molybdenum disilicide (MoSi₂) elements, ensuring stable and uniform temperature control. The test crucible, also made of alumina, was cylindrical with an internal diameter of 3 cm and a height of 4.5 cm. A schematic representation of the macro-TGA system is presented in Figure 1.
Activation experiments were performed at target temperatures of 450°C, 650°C, and 850°C, which were selected based on literature reports indicating that surface area (SA) and pore volume (PV) increase with temperature up to approximately 850°C, beyond which both parameters decrease significantly (Howaniec, 2016).
Approximately 10 g – 30 g of each sample (A, TC, TCA, or H) was loaded into the crucible located in the sample compartment of the furnace. The system can accommodate sample masses ranging from 10 g to 50 g per experiment. The crucible was mounted on a pedestal connected to a precision thermo-balance for continuous measurement of mass loss.
Temperature and sample weight were recorded every 10 seconds via the data acquisition system. The furnace temperature was ramped to the selected set point (450°C, 650°C, or 850°C) at a rate of 10°C min-¹, following the methodology adopted in previous studies that demonstrated the suitability of these temperatures for producing activated adsorbents (Han, et al., 2023). Upon reaching the final temperature, the samples were held isothermally for 4 hours before being cooled under an argon atmosphere to prevent oxidation.
The selection of 850°C as the upper activation limit was based on the findings of Muttil et al. (2023), who observed that tyrederived carbon structures undergo optimal pore enlargement at this temperature, whereas temperatures exceeding 900°C may cause structural sintering. The activation time of 1 hour was maintained across all runs to ensure complete volatilisation of residual organics without compromising the mechanical integrity of the char particles.
The resultant activated char samples were stored under argon and designated as follows: PTC1 (A activated at 650°C), PTC2 (A activated at 850°C), TC1 (TC activated at 450°C), TC2 (TC activated at 850°C), ARC1 (H activated at 650°C), ARC2 (H activated at 850°C), and TCA2 (TCA activated at 850°C). Representative tyre crumb (TC) and pyrolytic tyre-derived char (PTDC) samples, along with their activated counterparts, were prepared according to the
International Organization for Standardization (ISO) protocols (ISO 18283; ISO 13909-4). These materials were subsequently subjected to various physicochemical and structural analyses.
In this investigation, both the novel activation and adsorption experiments and analytical results were conducted in triplicate, and the error of the replicate tests was determined, based on the standard deviation for tests or analytical results for the samples, and a 95% confidence interval was used to recognise significant changes. Furthermore, the average results for the samples from the different analytical techniques followed in this study are reported. Error bars are shown on all figures. A confidence interval for each product fraction was calculated using Equation 1.

Where:
x refers to the sample mean, σ is the standard deviation and n is the sample size (in this case 3). The tscore = 4.303 for 2 degrees of freedom and a 95% confidence level.
Adsorption experiments were performed in batch mode using a fixed-bed adsorption column with an internal diameter of 40 mm, empty bed of 2.45 cm3, and height of 400 mm packed with chars, with commercial activated carbon (AC) serving as the control material at 23°C (Figure 2). The experimental setup comprised an adsorption tube, a peristaltic pump, and a sample holder (Kuśmierek et al., 2021; Igwegbe et al., 2021; Mohammed et al., 2023; Jiang et al., 2024). Starch wastewater (SWW) was pumped at 3.3 ml/min using a Minibus 3 (Gilson) peristaltic pump through a 3 mm internal diameter delivery tube into the adsorption column, which had a total height of 450 mm and an internal bed volume of 2.45 cm3.


The column was packed with either activated carbon char (ACC) or commercial activated carbon (AC) to compare adsorption performance. A plastic distribution plate with 200 µm perforations was positioned at the top of the column to ensure uniform flow distribution of the influent. At the base, a 2 mm spacing was occupied by filter paper (volume = 2.45 cm³) with a pore size of 50 µm to prevent solid loss. Above this, approximately ±15 g of activated char was loaded, while the top 5% of the column volume was left void to accommodate flow dynamics.
To assess the influence of empty bed contact time (EBCT) on total organic carbon (TOC) removal efficiency using TCA2, the EBCT varied from standard operational conditions to simulated challenge conditions. Under normal operating conditions, the EBCT was maintained at 60 minutes, representing the longterm design value for this treatment system. During challenging conditions—such as bed overflow, clogging, and channel formation—the EBCT was reduced to approximately 30 minutes (Figure 2), while a parallel reference column was maintained at 60 minutes for comparison.
SWW was introduced into the column at a constant flow rate of 3.3 mL/min, corresponding to a hydraulic residence time of 30 minutes. Effluent samples were collected after each adsorption run for subsequent characterisation. Residual SWW was drained, and the remaining liquor was weighed to calculate the adsorption capacity. To characterise the total organic carbon (TOC), the content of samples of SWW and effluent were analysed using a Teledyne-Tekmar TOC Torch analyser.
Uncertainty for total organic carbon removal percentage and equilibrium
The main sources of uncertainty in the determination of total organic carbon (TOC) removal efficiency during adsorption experiments were associated with the measurement of adsorbent mass, solution volume, and the determination of final TOC concentration (Zilli, 2013; Yang et al., 2020). The principal contributors were the weighing accuracy of the analytical balance (15 g ± 1.5 g) and the potential reading error introduced by the
concave meniscus during volumetric measurements of the final solution. Although these uncertainties were relatively small, their combined effect could influence the calculated TOC removal efficiency, particularly in cases involving low adsorbent capacities such as SWW–TOC.
The adsorption performance of the synthesised STACCs was evaluated through batch equilibrium tests. The removal efficiency (RE) and the equilibrium adsorption capacity (qe, mg/g) were calculated using the following mass-balance equations (Equations 2 and 3):


Where C0 and Ce are the initial and equilibrium TOC concentrations, (mg/L) is the volume of the solution (L), and m is the mass of the adsorbent (g).
The proximate analyser (Ultra Furn SVF 11/15/14N for the volatile determination, Ultra Furn SAF 11/1/P4 for the ashing, Ultra Furn UMFSO/1 minimum free space oven for the moisture determination, Ultra Furn UMFSD/1 desiccator for the moisture determination, LECO SC632 for the sulphur determination, and LECO SC832DR for the sulphur determination) and ultimate analyser (Leco TruSpec CHN) characterised the pulverised AC and TC/A/H/TCA and their STACCs using ISO standard methods for coal analyses (Rautenbach et al., 2019) at Bureau Veritas Laboratory, South Africa. Proximate and ultimate results for these samples presented and discussed in this paper are semi-quantitative and must be considered with some care.
A North-West University (NWU) XRF spectrometer (PANalytical Axios Max) determined proportions of inorganic elements in the ashes derived from the produced samples (<75 µm), i.e., AC, PTDC, H, TC, chars from PTDC produced at 450°C, 650°C, and 850°C, ARC1, ARC2, TC1, TC2, and TCA2. The XRF analysis was conducted at the NWU (ASTM D4326-13) (Norrish, Hutton, 1969). Either AMIS or WROXI standards could be used to calibrate an XRF spectrometer at NWU, depending on the specific application. AMIS provides certified reference materials (CRM) for a wide range of natural mineral samples, whereas WROXI is a set of synthetic standards for general oxide analysis.
The quantitative and qualitative XRD analysis methods of AC and A, H, and their chars (<75 µm), were carried out at the XRD Analytical & Consulting Laboratory in Pretoria, South Africa using the Malvern Panalytical Aeris – research – edition XRD equipment equipped with a Co x-ray tube as well as an X’Celerator detector, with Rietveld-based X’Pert HighScore Plus Software and an International Centre for Diffraction Data (ICDD) program (Rietveld, 1969; Speakman, 2012). Silicon powder certified reference materials (CRM), such as those in the NIST SRM 640 series, are widely used to calibrate x-ray diffraction (XRD) equipment and ensure measurement precision. Malvern Panalytical, a supplier of XRD instruments, offers these NIST-certified standards through its online store. Also, the selected TC1, TC2 and TCA2 samples were submitted for the qualitative XRD analysis. Moreover, the AC and STACCs (TC1, A, AC, TCA2, and TC2) were submitted for the determination of their crystallite size, crystalline height, and graphitic carbon content. The Scherrer equation was used to
estimate the crystallite size of carbon using the corresponding full width at half-maximum (FWHM) parameters of the graphite peak on the XRD diffractograms (Scherrer, 1912; Patterson, 1939).
The Raman analysis of the produced chars (ARC1, ARC2) and AC was conducted at the University of Johannesburg, South Africa, using a WITec Alpha 300R Confocal Raman spectrometer, equipped with a 532 nm laser and a 50× objective. The instrument calibration involves spectral calibration using a known standard like silicon or a mercury-argon lamp to accurately map wavelengths to detector pixels (x-axis calibration) and a known silicon peak to set the zero and 520.7 cm-¹ peak positions (y-axis/Raman shift calibration). A detailed description of the equipment and the method used can be found elsewhere (Kapesi, 2018). The Raman spectra obtained were processed using Origin Lab 2019 software. A detailed description of the equipment and the method used can be found in Kapesi (2018).
The surface areas of the selected produced chars were determined by means of nitrogen adsorption experiments using a TriStar II instrument (Micromeritics, USA) ASAP 2010 Analyser at the North-West University to analyse the structural features of adsorbent materials. Initially the samples were degassed at 110°C for a period of 48 hours. After degassing, the char samples were analysed by means of gas adsorption using nitrogen as a sorbent. All of the gas adsorption experiments were conducted at a temperature of -196°C using a saturation pressure (P0) of < 660 mm Hg.
The SEM analysis was conducted at the Council for Scientific and Industrial Research (CSIR) using a piece of double-sided conductive carbon tape on the stub containing the char sample coated with iridium (Ire) for conduction purposes. Microscopy and other image-based measurement systems’ instruments are calibrated twice a year by suppliers using samples with known distances to ensure measurement accuracy. This process compares the instruments’ measurements to a reliable standard and adjusts for any inconsistencies or drift. The sample was viewed using a JeolJSm-6010 analytical SEM connected to InTouch Scope software with magnification setting for final image.
The performance of each char produced in this study was evaluated by analysing the SWW permeate collected during the adsorption experiment. The samples were first filtered using a 0.45 µm filter paper. The TOC was analysed using a TOC analyser (Teledyne-Tekmar TOC Torch analyser) supplied by Ingrain South Africa, which was used to determine the TOC concentration in the SWW permeate. The instrument uses ion chromatography (882 CompactIC Plus fitted with an 863 Compact auto sampler) (Aoyi et al., 2017).
The char compositions of commercial activated carbon and spent tyre crumb rubber in pyrolytic spent tyre-derived char, pyrolytic spent tyre-derived char leached with aqua regia, and spent tyre crumb rubber leached with aqua regia samples
The proximate and ultimate analysis results for samples labelled commercial activated carbon (AC), spent tyre crumb rubber (TC), pyrolytic spent tyre-derived char (A), pyrolytic spent tyre-derived char leached with aqua regia (H), and spent tyre crumb rubber leached with Aqua regia (TCA), along with their corresponding spent tyre-derived activated carbon chars (STACCs), are presented in Table 2. Among all samples tested, commercial activated carbon (AC) exhibited the highest fixed carbon content and the lowest ash yield, outperforming both the raw feedstock materials and their respective STACCs used in the adsorption experiments. The raw char samples TC and TCA displayed the highest volatile matter
(VM) content among all samples analysed. In contrast, the TCA2 sample (produced by leaching spent tyre crumb rubber with aqua regia) exhibited a higher inherent moisture content and lower VM content compared to commercial activated carbon (AC). Notably, STACCs derived from TC and H (specifically TCA, TC2, and ARC1) showed significantly elevated moisture contents, consistent with the trend observed across other STACC samples. This increase in moisture content is attributed to the surface oxidation of rubber in TC and PTDC by nitric acid present in aqua regia, leading to the formation of hydrophilic functional groups such as carbonyl (-COOH) moieties on the char surfaces (Chen, Wu, 2004).
As expected, the pyrolytic tyre-derived chars from the H sample activated at 650°C (ARC1) exhibited relatively higher volatile matter content compared to those activated at 850°C (ARC2 and TCA2). The reduction in volatile matter observed in TCA and H samples at elevated activation temperatures was accompanied by a notable increase in fixed carbon content and ash yield (% AY). These findings are consistent with previously reported data on South African waste tyre-based activated carbon chars (ACC) by Maapola (2019). Additionally, Li et al. (2005) reported high ash yields (ranging from 10.6 wt.% to 14.7 wt.%) in activated carbons derived from Chinese and Canadian waste tyres, produced at varying temperatures (450°C to 650°C) using different reactor systems. The relatively higher ash yield percentage observed in the South African STACCs is attributed to the presence of mineral matter, including remnants of metal wires, sulphonic acid residues, processing oils, and inorganic additives such as Zn, Fe, Ni, Cu, V, S, and SiO₂, commonly found in spent tyre char (TC) samples (Maapola, 2019; Rodriguez et al., 2017).
The ultimate analysis results, presented in Table 1, show that AC contains a lower carbon content compared to all other samples, except for TCA. Additionally, AC exhibited the lowest total sulphur (TS) content among all samples analysed. The relatively high carbon and sulphur contents observed in the spent tyre material, PTDC, and their corresponding STACCs are primarily attributed to the presence of carbon black, sulphonic acids, operating oils, and sulphur compounds inherent in the original tyre char (TC) samples (Rodriguez et al., 2017). Furthermore, during activation, organic vapours released from the TC samples may condense on the surface of the activated chars, thereby contributing to an increase in surface carbon content (Martinez et al., 2013).
It is known that metal species such as Zn/ZnO and Fe/FeO/ Ni/Cu/V present in the char matrix can react with sulphur (S) to form stable metal sulphides, including ZnS, (Zn,Fe)S, and Fe/Ni/ Cu/V sulphides, thereby retaining a portion of the sulphur species within the STACCs (Yaru et al., 2021). In contrast, gaseous sulphurcontaining compounds, such as hydrogen sulphide (H₂S), may volatilise from the TC samples during high-temperature activation, contributing to a reduced total sulphur (TS) content in the resulting STACCs compared to the original TC material. The TS content in tyre-derived samples generally decreases with increasing activation temperature. A comparatively higher nitrogen (N) content observed in the TCA (TC leached with AR) and TCA2 samples is likely due to residual nitric acid or nitrate species adsorbed onto the sample surfaces, as well as nitrogen-containing components originating from operating oils in the original TC (Seng-Eiad, Jitkarnka, 2016). These authors reported the presence of nitrogen-containing functional groups such as C–N bonds from aromatic amines, which possibly contribute to the elevated nitrogen content in the STACCs. Nitric acid may also react with aromatic structures in TC, such as benzene rings, leading to the formation of nitrobenzene groups in
Table 2
Average proximate and ultimate results of AC and TC/A/H/TCA and spent tyrederived ACCs produced at elevated temperatures (wt. %)
Samples
“Daf—dry ash-free basis, adb—air-dried basis, IM—inherent moisture, AY—ash yield, VM—volatile matter, FC—fixed carbon, TS—total sulphur”, “i” — determined by calculation.
AC—commercial activated carbon; TC—tyre crumb rubber; TCA—leached tyre crumb rubber with AR; TC1— tyre crumb char produced at 450 °C; TC2—tyre crumb char produced at 850 °C; TCA2—char of tyre crumb leached with AR produced at 850 °C; A—PTDC; PTC1—char of PTDC produced at 650 °C; PTC2—char of PTDC produced at 850 °C; H—PTDC leached with AR; ARC1—char of leached PTDC with AR produced at 650 °C; ARC2—char of PTDC leached with AR produced at 850 °C.
the activated chars. Both TC and TCA exhibited higher H content relative to the other samples. This is attributed to the presence of unsaturated hydrocarbons (alkenes), sulphonic acids, aromatic compounds, and polycyclic aromatic hydrocarbons (PAHs) from residual oils in the rubber matrix (Maapola, 2019). Furthermore, AC and TCA displayed significant oxygen (O) content when compared to the other samples. The elevated O content in TCA is associated with nitric acid or nitrate residues from AR treatment, as well as the formation of oxygen-containing polar functional groups on the rubber crumb surface during activation (Xiaowe et al., 2017). According to He et al. (2016) nitric acid treatment increases the O content in rubber-derived chars and induces surface polarity by introducing oxygenated functionalities.
The proximate and ultimate analysis results offer valuable insight into the selection of suitable carbon-containing feedstocks for the production of activated carbons, particularly based on their ash yield (%) and carbon content. These characteristics are critical, as they influence both the yield and performance of the resulting activated carbons in various applications, including the adsorption of impurities from wastewater, gold recovery, metallurgical processes (iron, titanium, and steel production), the food manufacturing industry, and gasification technologies. Ash yield and fixed carbon (FC) content are especially pivotal in determining the adsorption behaviour and overall quality of the produced activated carbons (Rambau et al., 2018). According to Zhang et al. (2019) feedstocks with percentage ash yield exceeding 10% typically produce activated carbons with larger surface areas during the activation process. Furthermore, carbonaceous materials with FC contents greater than 32% tend to yield higher quantities of activated carbon upon activation (Daniel et al., 2023).
X-ray fluorescence
Table 3 presents the chemical composition of the ashes derived from control sample AC and samples A, TC, H, and TCA, and their STACCs produced at 450°C, 650°C and 850°C. The proportions of inorganic elements present in the ash samples determined using x-ray fluorescence (XRF) analysis are reported as inorganic elemental oxides. It can be seen that ashes of Sample A are constituted primarily of SiO2 and ZnO. Also, lesser proportions of Fe2O3, K2O, SO3, Al2O3, and CaO were detected along with the traces of MnO, P2O5, TiO2, and NiO in the ash samples of STACCs and AC. Moreover, ARC1 and ARC2 contained lower proportions ZnO, Al2O3, and Cr2O3 along with traces of other inorganic elements. The reduction of the concentrations of these inorganic elements in the ARC1 and ARC2 was due to the dissolution of these inorganic elements from A with AR. On the other hand, the ash composition of AC constituted major proportions of SiO2 and Al2O3 along with minor proportions of Fe2O3, K2O, CaO, MgO, P2O5, TiO2, and traces of NiO, SO3 and Cr2O3, which could be associated with amorphous aluminosilicate phases and quartz present in this sample. The ash of sample ARC1 contained a lower proportion of SiO2 and high proportions of Fe2O3 and Cr2O3 due to the corrosion of the stirrer equipment containing Fe and Cr metals together with AR during leaching. Higher proportions of major inorganic elements including ZnO and SiO2 in the ashes of activated PTDC samples are attributed to the decomposition of organic matter for chars in the PTDC samples based on the loss in ignition determination at elevated temperatures for the XRF analysis. The presence of ZnO, SiO2, S, Mg as well as Fe2O3 in the ashes of spent tyre and their chars is ascribed to inorganic additives (zinc metal or ZnO, SiO2, S; Fe metal, Mg and Si from steel wire) originally contained in TC (Rodriguez et al., 2017; Agblevor et al., 2024). In
Table 3
Average chemical composition of ashes of AC and TC, PTDC, A, and H, and their corresponding STACCs (w/w %)
Inorganic elements
addition, the chemical composition of ashes of these samples are in good agreement with the x-ray diffraction (XRD) results for the A, TC, and their chars. The XRF results are consistent with previous chemical composition data of waste tyre-derived ashes (Maroufi et al., 2017). Furthermore, the recovery of high-value inorganic elements including Zn should be investigated utilising hydrometallurgical methods (acid and base leaching steps).
X-ray diffraction analysis
The XRD results for AC and A, and H and TC samples along with their corresponding STACCs are presented in Tables 4 and 5, and Figure 3 and Figure 4. The AC sample contained the lowest mineral matter (MM) content in relation to all samples analysed. The XRD analysis detected quartz and higher proportions of amorphous contents in all samples analysed. Moreover, the XRD analysis identified sphalerite (ZnS), wurtzite ((Zn,Fe) S, quartz (SiO2), calcite (CaCO3), willemite (Zn2SiO4), cristobalite (SiO2), zincite (Zn,Mn2+)O, bytownite (Ca, Na)[Al,Si)4O8), kalicinite (KHCO3), diopside (CaMgSi2O6), arcanite (K2SO4), chromite (FeCr2O4), microcline (KAlSi3O8), albite intermediate (NaAlSi3O8), and gypsum (CaSO4.2H2O) present in other samples.
The appearances of quartz and amorphous material in samples A, H, and ARC1, and their STACCs are associated with reactive silica, carbon black, rubber, organic additives (antioxidants and aromatic oil) contained in the spent tyre samples (Mavukwana, Celesti, 2022). In addition, the formation of either wurtzite, sphalerite, zincite, or willemite in these samples are ascribed to the interaction of inorganic additives (zinc metal or ZnO, SiO2, sulphur; iron metal, Mn, Mg, and Si from steel wire) originally contained in TC at elevated activation temperatures under inert atmosphere (Maapola, 2019; Rodriguez et al., 2017). Furthermore, Agblevor et al. (2024) stated that wurtzite and sphalerite are formed via the in situ desulphurisation reaction between ZnO and metal sulphides in chars during pyrolysis.
A corrosion product identified such as chromite contained in the ARC1 sample could be due to the reaction between the stirrer equipment and AR at elevated temperature during the activation
tests. Therefore, the high percentage ash yields present in the TC and its TC-derived activated chars are attributed to a significant mineral content in the TC samples detected by XRD (Table 4). These XRD results are consistent with the XRD data previously reported by Lopez et al. (2013).
The x-ray diffraction (XRD) analysis was followed to identify
Table 4
Average XRD results of AC and A, and H and ARC1 (wt. %)
MM= total mineral matter
Table 5
Qualitative XRD results of STACCs
Sample ID Minerals
TC1 Sphalerite, quartz, calcite, bytownite
TC2 Wurtzite, quartz
TCA2 Sphalerite, wurtzite, quartz, calcite, willemite, cristobalite, zincite


both crystalline and amorphous carbons present in the AC and STACCs (PTDC and TC) produced using both physical and chemical activation methods. XRD results (Table 6) indicated that the STACCs prepared at 850°C depict a diffraction peak (002) around 2θ = 29° and peak (100) around 2θ = 52°, which are similar to those of AC (Figure 4). These XRD results are consistent with those reported in literature (Jin et al., 2016). While the TC-derived activated char, which was prepared at 450°C illustrates a diffraction peak (002) with no diffraction peak (100) due to the evolvement of carbon structures during the leaching of TC with AR. Also, the crystal structure of carbon in the analysed solid sample has an insignificant number of atoms arranged to generate a strong diffraction signal from that particular crystal plane; basically, the “100” plane is not apparent (Kittel, 2005). So, this plane is difficult to be detected in the diffraction data. From the diffractograms in Figure 4 it is apparent that both AC and STACCs produced at 850°C display a broad graphitic stacking signal at 2θ = 29° and a broad weak signal at 52°.
The diffraction peaks at 2θ = 29° and 2θ = 52° are linked to the (002) and (100) planes of the graphitic carbon, which are typically amorphous structures in nature (Ali et al., 2022; Ahmed et al., 2023; Bakti et al., 2023). The crystallite size value of either AC or STACCs was calculated by the Scherrer equation to be around 1 (Table 6) (Mphahlele et al., 2023). Based on the XRD results obtained for AC and STACCs containing both crystalline and amorphous carbons,
it is proposed that these samples could be utilised in adsorption processes for removal of organic matter impurities from wastewater.
The scanning electron microscopy (SEM) micrographs of AC and TC, TCA and A, and their STACCs are displayed in Figure 5 The images of non-activated samples remained intact with surface smoothness of TC and TCA particles. Moreover, the SEM micrographs indicate that no formation of sufficient hollow spherical particles resembling “cenospheres” are present in the non-activated samples when matched with those of the STACCs. Furthermore, the pore structure development was not visually observed in all non-activated samples with respect to surface smoothness. While the SEM image of the

and (i) PTC2 at 40000× magnification
TC sample demineralised with AR shows some surface roughness of TCA with cracks and holes. The appearances of the surface roughness, cracks, as well as the holes for TCA could be attributed to the release of volatiles (gases) emanating from either the partial decomposition of mineral matter or organic matter in Sample TC during demineralisation. The surface roughness of TCA may be associated with the exhibition of a higher SA of 300 m2/g during the TCA activation. Strydom et al. (2011) confirmed the distortion of the coal chemical structure, increased surface roughness, disordered crystalline carbon, and high aromatic compounds contents in the coal treated with inorganic acids. Also, the appearances of
cracks and holes on the demineralised coals are ascribed to the volatilisation of H2, CH4, CO2, C2H4, C2H6, C3H4, C3H6, and C4S from coals during either demineralisation or pyrolysis (Strydom et al., 2011).
Interestingly, all STACCs are made up of spherical particles as well as agglomerated spherical particles compared with those of the AC sample (Figure 5). In addition, the SEM micrograph, Figure 5(h) of A produced at 450°C, revealed that a piece remnant of TC, which is not present in ARC2 (prepared at 850°C), was still contained in these STACCs. Visual observation of the SEM image of AC (Figure 5 (a) indicated that all particles, which contained pores in this sample
were ruptured to form irregular shaped particles, which increased in size. These spherical particles containing trapped gases from the decomposition of minerals and organic matter started to rupture at elevated activation temperatures of 650°C and 850°C. Additionally, pores associated with high surface area and increased particle sizes were developed to form roughness in the activated chars after rupturing of the particles. The morphology analysis results of STACCs are consistent with those reported by Nagalakshmi et al. (2015). The amorphous cenospheres or spherical particles can be formed when emitted gases from the decomposition of minerals (either calcium/magnesium sulphate, kaolinite, calcite, dolomite or pyrite) present in the coal char particle inflated the partially melted inorganic mineral matter or the molten solution during combustion (Ranjbar, Kuenzel, 2017). The decomposition temperature of these coal minerals to release gases for inflation of spherical particles occurs at below 1000°C. On cooling, the molten solution produced at < 1000°C to 25°C, small hollow spherical particles (cenospheres) with diameters of 10 μm –1000 μm are formed. Cenospheres mainly comprise of alumino-silicate glasses with K, Na, Fe, Mg, Ca, Ti, and S. Therefore, two spherical particles coalesced with each other to form enlarged spherical particles (large agglomerates) (Ahmed et al., 2023; Ranjbar, Kuenzel, 2017).
Also, according to Tsemane et al. (2019), the < 1.3 g/cm3 coal float fraction-derived char particles containing a high vitrinite content, which is associated with inherent kaolinite softened, swelled, melted, and formed big cakes or agglomerates at 550°C at pressures ranging between 0.87 bar and 30 bar during pyrolysis of caking coal.
The morphology results provide an insight into the physical properties of suitable STACCs for utilisation in the wastewater treatment plant following the adsorption process.
Raman analysis
Figure 6 shows (a) the Raman spectra of AC, ARC1, (b) curve fitting of AC, and (c) curve fitting of ARC2. Figure 6a shows Raman spectra of sample AC being the highest due to a higher amorphous carbon content when compared to ARC1. Both spectrums are made of two relatively broad D-bands and G-bands, with spectra peaking near 1250 cm-1 and the other band peaking up near 1500 cm-1, respectively. The peak position of the D-band is approximately 1350 cm-1, which mainly represents the defect structures in amorphous carbonaceous material and aromatics with 6 or more fused rings, while that of the G-band are approximately 1600 cm-1. This represents the amorphous carbon with smaller aromatic ring structure. Similar Raman spectroscopy results for other waste tyre samples are reported by Kumar and Sharma (2018). The presence of defective carbon structure obtained at higher temperatures correlating with an increased aromatic structure formation, where the crystallisation of sp2 amorphous carbon creates graphic networks as the temperature is raised was shown (Zhang et al., 2018). The wide D and G-band can also be corroborated with the presence of more surface functional groups such as thiophilic carbon, which influences the performance of carbon (Hood et al., 2018). Similar results were achieved by Zhang et al. (2011) using the gasification of steam with coal. These findings are consistent with the XRD results (amorphous phases) (Tables 4 and 5 and Figures 3 and 4) as reported in this study. Figure 6b and Figure 6c show the typical measured Raman spectrum and the four fitted peaks of AC and ARC2 located in the spectral range of 900 cm-1 and 1800 cm-1 deconvoluted using the curve fitting method. The use of the minor bands allows for the reduction of the



Figure 6—Normalised Raman spectra for (a) curve fitting of AC and ARC1, (b) curve fitting of ARC2, (c) curve fitting of ARC2
widths of the main bands. The wide D-bandwidths after spectral devolution indicate the presence of aromatic rings of a wide range of sizes but still far from forming graphite crystals (Li, Hayashi, Li, 2006). The growth in aromatic rings in the samples could be as a result of thermal activation of char over the temperature range. Also, the XRD crystallite size analysis results reveal that the crystallite size of the graphitic/crystalline carbon contained in AC and STACCs is around 1 nm (Table 6 and Figure 4). All other activated samples investigated in this study showed a similar success of peak fitting.
Brunauer-Emmett-Teller surface area and pore volume characteristics
N2 Brunauer-Emmett-Teller surface area (BET) surface area (SA) and pore volume (PV) results for samples labelled AC, TC, A, and their corresponding STACCs are presented in Figure 7 and Table 7. As expected, the commercial control AC sample contains relatively higher SA in relation to all samples and their STACCs produced
in this study. On the other hand, the TCA2 and TC2 samples had the highest PV when compared to all the STACCs, including AC. In addition, the TCA2 and TC2 samples comprised the highest SA, aligned with those of all samples analysed, excluding AC. The high SA results achieved by the STACCs (TCA2, TC2, and ARC1) could be attributed to a significant devolatilisation of volatile compounds from the reactive acidic sites of TCA, TC, and ARC during activation. According to Koreňová et al. (2008), the increase in the SA of tyre char is ascribed to an increase of voids, which takes place when volatiles are released from amorphous material. These SA and PV results obtained for the STACCs (excluding TCA2 and TC2) are similar to data for tyre-derived ACCs reported by Miguel, Fowler and Sollars (1998), Koreňová et al. (2008), and Li et al. (2005).
On the other hand, chars (PTC1, PTC2, ARC1, and ARC2) all showed a decrease in SA values with an increase in temperature from 450°C to 850°C, which indicates collapsing of mesopores during pyrolysis. Additionally, Howaniec (2016) found in their studies that the volume of macropores augmented at elevated temperatures and the SA of micropores decreased with rising temperature. Furthermore, the collapse of pores in materials, which result in low SA of chars can take place due to volatiles decomposition, mineral matter and organic matter transformation, atoms with increased mobility, thermal stress/expansion and contraction, pore size and volume dependence, and hotspot formation during activation of samples at elevated temperatures. Based on the characterisation results obtained in this study, the activated carbons with high contents of BET SA, PV and carbon could be utilised in adsorption processes to recover either high values metallic inorganic elements or impurities from leach liquors and wastewaters.

H, TC, TCA, and their STACCs
Table 7
Average PV of (a) AC, TC, TCA, A and H and their corresponding STACCs
Samples ID
From Table 8 it is clear that the total organic carbon (TOC) content in the starch wastewater (SWW) sample significantly reduced from 25,365 ppm to 4,564 ppm in its effluent after the adsorption experiments of removing organic pollutants from SWW using a packed bed of commercial activated carbon (AC). Effluents generated from the different packed beds in the adsorption column with STACCs comprised higher TOC contents compared to that of the effluent produced from the packed-bed with AC. This implies that the AC adsorbent captured a significant quantity of these SWW organic contaminants (adsorbates) on its surface compared to other adsorbents evaluated in this study. The observed drop in TOC content indicates the successful transfer of organic compounds (adsorbates) from the liquid SWW phase to the surface of the solid AC adsorbent. This AC material with high SA, tailored PV structure, and functionalised surface may trap contaminants efficiently when SWW passes through a packed-bed of this adsorbent. The superior performance of AC is attributed to its high SA, PV structure, and functionalised surface, which enhance its capacity to trap contaminants (Muttil et al., 2023; Kuśmierek et al., 2021; Frikha et al., 2022; Satyam, Patra, 2024; Jiang et al., 2024). The adsorption performance of the prepared STACCs in treating starch wastewater is summarized in Table 8. Based on the mass-balance calculations already described, TCA2 demonstrated a significant adsorption capacity of approximately 120 mg/g (assuming C0 = 2000 mg/L), achieving a 60% removal efficiency. While the commercial AC reached a higher removal efficiency (92%), the performance of TCA2 is particularly noteworthy given its origin as a waste-derived material. The depth of this adsorption is attributed to the high pore volume (0.8 cm3/g), which facilitates the sequestration of complex starch molecules as supported by the SEM analysis discussed in the aforementioned.
Adsorption studies of the capacity of prepared chars Figure 8 presents the TOC removal efficiency in SWW using AC and STACCs (PTC2, ARC2, TC2, and TCA2) with high BET SA, PV values, and low mineral matter content as adsorbents. The highest TOC removal efficiency was achieved by AC due to its highest SA area (865 m2/g), higher PV (0.4 cm3/g), and lowest mineral matter content (5%) (Tables 4 and 8). On the other hand, TCA2
Table 8
TOC contents for SWW and their effluents after using packedbeds with AC and STACCs (ppm)
4818 5325 4057 4564 TCA2-SWW 7607 8621 8114 8114
TC2-SWW 11664 11664 10143 11157
ARC2-SWW 14453 15468 15721 15214
PTC2-SWW 19018 20793 20032 20032
Note: SWW is starch wastewater, AC-SWW is the effluent produced from a packed-bed with the AC during the adsorption test, TCA2-SWW is the effluent produced from a packed-bed with TCA2 during the adsorption test, TC2-SWW is the effluent produced from a packed-bed with TC2 during the adsorption test, ARC2-SWW is the effluent produced from a packed-bed with ARC2 during the adsorption test, and PTC2-SWW is the effluent produced from a packed-bed with PTC2 during the adsorption test.

with a higher SA (300 m2/g) and a higher PV (0.5 (cm³/g) as well as a lower percentage ash yield accomplished a higher percentage removal efficiency of TOC aligned with those of other STACCs. Furthermore, TCA and TC2 exhibited a higher proportion of PV characteristic, which were developed during activation, than that of AC. There is a difference of 20% removal efficiency of TOC from SWW between TCA2 and AC. This may imply that the developed higher PVs in the STACCs play a more important role rather than the SA during adsorption of TOC in SWW. Therefore, TCA2 with SA (300 m2/g) and PV of 0.8 cm3/g has good adsorption capacity for TOC, favourably comparable with that of AC. These higher SA values of TCA2 that achieved good adsorption efficiencies of organic pollutants are consistent with those reported by Kuśmierek, et al. (2021), Ali et al. (2022) and Mohammed et al. (2023), and Jiang et al. (2024). Additionally, Helleur et al. (2001) stated that the BET SA of pores do not always support the advancement of adsorption capacity of activated carbons, which indicates that the porosity characteristics, rather than the SA, acted a key role in the adsorption capacity of STACCs.
PTC2 had the smallest SA (70 m2/g) and the lowest PV (0.03 cm3/g), which explains the reason why the removal efficiency of TOC was the lowest (Figure 8). However, the ARC2 has proven to be the most effective when it removes almost double (40% for ARC2 vs. 21% for PTC2) the amount of TOC matched with PTC2. TCA2 and TC2 produced from TC material outperformed those of PTDC material in terms of both SA and PV and an excellent adsorption of TOC in SWW. The adsorption results for TOC from SWW using STACCs are in good agreement with those reported by Helleur et al. (2001).
This study successfully demonstrated the technical and environmental viability of transforming waste tyre rubber into highperformance activated carbon chars (STACCs). Characterisation through SEM, XRD, and Raman spectroscopy confirmed that physical activation (temperature) at 850°C, preceded by an aqua regia demineralisation step, yields an amorphous carbon matrix with superior textural properties. Specifically, the prepared TCA2 adsorbent achieved a surface area of 300 m²/g and a pore volume of 0.8 cm³/g—effectively doubling the pore volume of commercial activated carbon (0.4 cm³/g).
These structural attributes directly influenced the treatment of high-strength starch wastewater, where TCA2 achieved a 60% Total Organic Carbon (TOC) removal efficiency. As elucidated in Figure 5, the synergistic adsorption pathways—driven primarily by porefilling and electrostatic interactions—allow these waste-derived chars to target complex organic molecules that typically challenge standard filtration media.
The primary novelty of this investigation lies in the successful conversion of an environmental liability (waste tyres) into a
high-pore-volume adsorbent that rivals commercial standards in treating actual industrial starch effluents. By decoupling the effects of demineralisation and physical activation, this work provides a scalable blueprint for localised circular economy implementation. Ultimately, this research offers a sustainable dual pathway for South African industries, that is, mitigating the ecological burden of tyre stockpiles while significantly reducing the costs associated with industrial wastewater remediation.
Glossary
Abbreviations Definition
PTDC Pyrolytic spent tyre-derived char
STACCs Spent tyre-derived activated carbon chars
TOC Total organic carbon
TC Spent tyre crumb rubber
TC2 TC heated to 850°C (char)
TC1 TC heated to 650°C (char)
TCA TC leached with aqua regia
TCA2 TCA heated to 850°C (char)
AC Commercial activated carbon
SWW Starch wastewater
SS Suspended organic solids
SA Surface area
PV Pore volume
ACC Activated carbon chars
PSD Particle size distribution
Macro-TGA In-house developed macro thermogravimetric analysis system
BET Brunauer-Emmett-Teller
XRD X-ray diffraction
XRF X-ray fluorescence
SEM Scanning electron microscopy
AR Aqua regia
MINTEK Mineral Technology
FWHM Full width at half-maximum
CSIR Council for Scientific and Industrial Research
VM Volatile matter
SCC Spent carbon char/s
TS Total sulphur
SARChI South African Research Chairs Initiative
MM Total mineral matter
NRF National Research Foundation
PAH Polycyclic aromatic hydrocarbons
Daf Dry ash-free basis
Adb Air-dried basis
IM Inherent moisture
AY Ash yield
FC Fixed carbon
PTC2
PTC1
H
ARC1
ARC2
PTDC heated to 850°C (char)
PTDC heated to 650°C (char)
PTDC leached with aqua-regia
ARC heated to 650°C (char)
ARC heated to 850°C (char)
A PTDC
Acknowledgements
This paper was financially supported by the Vaal University of Technology, Department of Chemical Engineering, Vanderbijlpark, South Africa, and the National Research Foundation (NRF), South Africa. The information presented in this paper is based on the research financially supported by the South African Research Chairs Initiative (SARChI) of the Department of Science and Technology and NRF of South Africa (Coal Research Chair Grant No. 86880). Any opinion, finding, conclusion or recommendation expressed in this material is that of the author(s) and the NRF does not accept any liability in this regard. Also, the authors would like to express their appreciation to NRF free-standing bursary MND200715544211/UID: (136078) for the financial contributions. The authors would like to acknowledge Energy Partners, Alrode, South Africa and UDEC trading (Pty) LTD, Kempton Park, Johannesburg, South Africa for provision of PTDC and commercial activated carbon. Also, Roy Mamburu (MINTEK) for making the TGA available. Willem Swanepoel of Bureau Veritas, Dr Gregory Okolo of the North-West University, Nomsa Mavundla of Ingrain SA Germiston mill and Dr Liberty Kapesi for rendering excellent laboratory services.
References
Abbas-Abadi, M.S., Kusenberg, M., Shirazi, H.M., Goshayeshi, B., Van Geem, K.M. 2022. Towards full recyclability of endof-life tyres: Challenges and opportunities. Journal of Cleaner Production vol. 374, pp.134036, https://doi.org/10.1016/j.jclepro.2022.134036
Agblevor, F.A., Hietsoi, O., Jahromi, H., Abdellaoui, H. 2024. Production of low-sulphur fuels from catalytic pyrolysis of waste tyres using formulated red-mud catalyst. Heliyon, vol. 10, e33121. https://doi.org/10.1016/j.heliyon.2024.e33121
Ahmed, B., Arjmandi-Tash, O., Litster, J.D., Smith, R.M. 2023. Mechanistic modelling of spherical agglomeration processes. Powder Technology, vol. 417, pp.118254. https://doi.org/10.1016/j.powtec.2023.118254
Ali, I., Asim, M., Khan, T. 2012. Low cost adsorbents for the removal of organic pollutants from wastewater. Journal of Environmental Management, vol. 113, pp. 170–183, 105205. https://doi.10.1016/j.jenvman.2012.08.028
Ali, U.F.M., Hussin, F., Gopinath, S.C.B., Aroua, M. K., Khamidun, M.H., Jusoh, N., Ibrahim, N., Ahmad, S.F.K. 2022. Advancement in recycling waste tyre activated carbon to potential adsorbents. Environmental Engineering Research, vol. 27, no. 6. pp. 210452. https://doi.org/10.4491/eer.2021.452
Aoyi, O., Onyango, M.S., Apollo, S., Akach, J., Nyembe, N., Oteno, B., Brooms, T. 2017. Anaerobic and photocatalytic treatment of textile and distillery wastewater in integrated fluidized bed reaction. Water Research Commission, Centre for Renewable Energy and Water, Vaal University, WRC Report No. 2388/1/18, ISBN 978-1-4312-0998-9
Ayaz, M., Shah, S.S., Younas, M., Safder, U., Khan, I., Aziz, M.A., Oyama, M., Rice, J.H., Tahir, M.N., Ashraf, M. 2025. Green synthesis of activated carbon from biomass waste of date palm seeds: A sustainable solution for energy storage and environmental impact. Journal of Energy Storage, vol. 110, pp. 115291. https://doi. 10.1016/j.est.2025.115291
Bai, J., Zhang, X., Wang, C., Li, X., Xu, Z., Jing, C., Zhang, T., Jiang, Y. 2024. The adsorption-photocatalytic synergism of LDHsbased nano-composites on the removal of pollutants in aqueous environment: A critical review. Journal of Cleaner Production vol. 436, pp.140705. https://doi. 10.1016/j.jclepro.2024.140705
Bakti, A.I., Mosey, H.I.R., Jumriadi, J. 2023. Characterisation and analysis of activated carbon from coconut shells applied to supercapacitors. Sainstek Jurnal Sains dan Teknologi, vol. 15, pp. 128. https://doi.10.31958/js.v15i2.10605
Baloyi, B.M.V., Chetty, D., Mchabe, D. 2025. Assessing the impact of prereduction parameters on Mn ore from the Kalahari Manganese Field. Journal of the Southern African Institute of Mining and Metallurgy, vol. 125, no. 3, pp. 121–128. https://doi.org/10.17159/2411-9717/770/2025
Carmona-Cabella, M., Garcia, I.L., Saez-Bastante, J., Pinzi, S., Koutinas, A.A., Dorado, M.P. 2020. Food waste from restaurant sector-characterization for biorefinery approach. Bioresource Technology, vol. 301, pp. 122779. https://doi.org/10.1016/j.biortech.2020.122779
Chen, J.P., Wu, S. 2004. Acid/base-treated activated carbons: Characterization of functional groups and metal adsorptive properties. Langmuir, vol. 20, pp. 2233–2242. https://doi.10.1021/la0348463
Cunliffe, A.M., Williams, P.T. 1998. Properties of chars and activated carbons derived from the pyrolysis of used tyres. Environmental Technology, vol. 19, pp. 1177–1190. https://doi.org/10.1080/09593331908616778
Daniel, L.S., Rahman, A., Hamushembe, M.N., Kapolo, P., Uahengo, V., Jonnalagadda, S.B. 2023. The production of activated carbon from Acacia erioloba seedpods via phosphoric acid activation method for the removal of methylene blue from water. Bioresource Technology Reports, vol. 23, pp. 101568. https://doi.org/10.1016/j.biteb.2023.101568
Danish, M., Hashim, R., Mohamad Ibrahim, M.N., Sulaiman, O. 2013. Effect of acidic activating agents on surface area and surface functional groups of activated carbons produced from Acacia Mangium wood. Journal of Analytical and Applied Pyrolysis, vol. 104, pp. 418–425. https://doi.org/10.1016/j.jaap.2013.06.003
Frikha, K., Limousy, L., Pons Claret, J., Vaulot, C., Perez, K.F., Garcia, B.C., Bennici, S. 2022. Potential valorisation of waste tyres as activated carbon-based adsorbent for organic contaminants removal. Materials, vol. 15, pp. 1099. https:// doi.org/10.3390/ma15031099
Gorito, A.M., Ribeiro, A.R., Gomes, C.R., Almeida, M.R., Silva, A.M.T. 2018. Constructed wetland microcosms for the removal of organic micropollutants from freshwater aquaculture effluents. Science of the Total Environ, vol. 644, pp.1171–1180. https://doi. 10.1016/j.scitotenv.2018.06.371
Han, W., Han, D., Chen, H. 2023. Pyrolysis of waste tyres: A review. Polymers, vol. 15, pp.1604. https://doi.org/10.3390/polym15071604
He, L., Ma, Y., Liu, Q., Mu, Y. 2016. Surface modification of crumb rubber and its influence on the mechanical properties of rubbercement concrete. Construction and Building Materials. vol.120, pp. 403–407. https://doi. 10.1016/j.conbuildmat.2016.05.025
Helleur, R., Popovic, N., Ikura, M., Stanciulescu, M., Liu, D. 2001. Characterization and potential applications of pyrolytic char from ablative pyrolysis of used tyres. Journal of Analytical and Applied Pyrolysis. vol. 58, pp. 813–824. https://doi.org/10.1016/S0165-2370(00)00207-2
Hood, Z.D., Yang, X., Li, Y., Naskar, A.K., Chi, M., Paranthaman, M.P. 2018. Conversion of waste tyre Rubber into highvalue-added carbon supports for Electrocatalysis. Journal of Electrochemical Society. vol. 165, pp. 881–888. https://doi. 10.1149/2.1081813jes
Howaniec, N. 2016. Temperature development of porous structure of bituminous coal chars at high pressure. Journal of Sustainable Mining. vol. 15, pp. 120–124. https://doi.org/10.1016/j. jsm.2016.12.002
Igwegbe, C. A., Umembamalu, C. J., Osuagwu, E. U., Oba, S. N., Emembolu, L. N. 2021. Studies on adsorption characteristics of corn cobs activated carbon for the removal of oil and grease from oil refinery desalter effluent in a downflow fixed bed adsorption equipment. European Journal of Sustainable Development Research, vol. 5, no. 1. em0145. https://doi.org/10.29333/ejosdr/9285
Jiang, S., Lyu, Y., Zhang, J., Zhang, X., Yuan, M., Zhang, Z., Jin, G., He, B., Xiong, W., Yi, H. 2024. Continuous adsorption removal of organic pollutants from wastewater in a UiO-66 fixed bed column. Journal of Environmental Chemical Engineering, vol. 12, no. 2, pp. 111951. https://doi.org/10.1016/j.jece.2024.111951
Jin, Y., Tian, K., Wei, L., Zhang, X., Guo, X. 2016. Hierarchical porous microspheres of activated carbon with a high surface area from spores for electrochemical double-layer capacitors. Journal of Materials Chemistry, vol. 4, pp. 15968−15979. https://doi.org/10.1039/C6TA05872H
Kapesi, L. 2018. Promoting carbon nanotube interlinking using ion implantation and high pressures in a diamond Anvil cell. Master’s Dissertation, University of Johannesburg, Johannesburg, South Africa. pp. 19–35.
Kittel, C. 2005. Introduction to solid state physics, 8th ed., ISBN 0-471-41526-X, WIE ISBN 0-471-68057-5, Printed in the United States of America, University of California, Berkeley, John Wiley & Sons, Inc. pp 3-22.
Koreňová, Z., Haydary, J., Annus J., Markoš, J., Jelemenský, L. 2008. Pore structure of pyrolysed scrap tyres. Chemical Papers vol. 62, pp. 86–91. https://doi.org/10.2478/s11696-007-0083-7
Kumar, R., Sharma, A. 2018. Morphologically tailored activated carbon derived from waste tyres as high-performance anode for Li-ion battery. Journal of Applied Electrochemistry. vol. 48, pp. 1–13. https://doi.10.1007/s10800-017-1129-3
Kuśmierek, K., Światkowski, A., Kotkowski, T., Cherbanski, R., Molga, E. 2021. Adsorption on activated carbons from endof-life tyre pyrolysis for environmental applications. Part II. Adsorption from aqueous phase. Journal of Analytical and Applied Pyrolysis, vol.158, pp. 105206, https://doi 10.1016/j.jaap.2021.105206
Li, S.-Q., Yao, Q., Wen, S.-E., Chi, Y., Yan, J.-H. 2005. Properties of pyrolytic chars and activated carbons derived from pilotscale pyrolysis of used tyres. Journal of the Air and Waste Management Association, vol. 55, pp.1315–1326. https://doi.org/10.1080/10473289.2005.10464728
Li, X., Hayashi, J-I., Li, C-Z. 2006. FT-Raman spectroscopic study of the evolution of char structure during the pyrolysis of a Victorian brown coal. Fuel, vol. 85, pp. 1700–1707. https://doi.10.1016/j.fuel.2006.03.008
Liu, L., Zhang, J., Liu, X., Cai, G. 2020. Evaluation of engineering properties and environmental effect of recycled waste tyresand/soil in geotechnical engineering: A Compressive Review. Renewable and Sustainable Energy Reviews, vol. 126, pp. 109831. https://doi.org/10.1016/j.rser.2020.109831
Lopez, A.F., Centeno, T.A., Alguacil, F.J., Lobato, B., Urien, A. 2013. The Grauthermic-tyres process for the recycling of granulated scrap tyres. Journal of Analytical and Applied Pyrolysis, vol. 103, pp. 207–215. https://doi.10.1016/j.jaap.2012.12.007
Maapola, T.T.P. 2019. Evaluation of waste tyre-derived char and crumb as adsorbents for gold recovery from acidic solutions. Master of Chemical Engineering, Stellenbosch University. pp. 5–146.
Maroufi, S., Mayyas, M., Sahajwalla, V. 2017. Nano‐carbons from waste tyre rubber: An insight into structure and morphology. Waste Management, vol. 69, pp. 110–116. https://doi: 10.1016/j.wasman.2017.08.020
Mavukwana, A., Celesti, S. 2022. Recent developments in waste tyre pyrolysis and gasification processes. Chemical Engineering Communication, vol. 209, pp. 485–511. https://doi. 10.1080/00986445.2020.1864624
Merchant, A. A., Petrich, M.A. 1993. Pyrolysis of scrap tyres and conversion of chars to activated carbon. AIChE Journal, vol. 39, pp. 1370–1376. https://doi.org/10.1002/aic.690390814
Miguel, G.S., Fowler, G.D., Sollars, C.J. 1998. Pyrolysis of tyre rubber: Porosity and adsorption characteristics of the pyrolytic chars. Industrial and Engineering Chemistry Research, vol. 37, no. 6, pp. 2430–2435. https://doi.org/10.1021/ie970728x
Mohammed, Z.J, Kadhim, F. Al-Sultani, K.F. 2023. Removal of Organic Pollutants from Wastewater by Column adsorption process using Corncob activated carbons as adsorbents. Journal of University of Babylon for Engineering Sciences, vol. 31, no. 8, pp. 130–144. https://doi.org/10.29196/pjc4s998
Mphahlele, K., Matjie, R.H., Bunt, J.R., Uwaoma, R. C. 2023. Properties and reactivity of two oxidized and unoxidized South African Highveld fine coal rejects and their density-separated fractions. International Journal of Coal Preparation and Utilization, vol. 43, no. 8, pp. 1451–1477. https://doi.org/10.1080/19392699.2023.2221634
Muttil, N., Jagadeesan, S., Chanda, A., Duke, M., Singh, S.K. 2023. Production, types and applications of activated carbon-derived from waste tyres: An Overview. Applied Science, vol. 13, no. 1, p. 257. https://doi.org/10.3390/app13010257
Muzenda, E. 2014. An evaluation of the effectiveness of the Gauteng Provincial Legislature’s Infrastructure Development Portfolio Committee. Unpublished Masters Dissertation. Johannesburg: University of Johannesburg.
Nagalkshmi, T.V., Emmanuel, K.A., Babu, S., Challari, C., Divakar, P.P. 2015. Preparation of mesoporous activated carbon from Jackfruit PPL-1 waste and development of different surface functional groups. International Letters of Chemistry, Physics and Astronomy, vol. 54, pp. 189 –200. https://doi.10.56431/p-957378
Nkosi, N., Muzenda, E., Mamvura, T.A., Belaid, M., Patel, B. 2020. The development of a waste tyre pyrolysis production plant business model for the Gauteng region, South Africa. Processes, 8, 766. Processes, vol. 8, no. 7, pp. 766.
https://doi.org/10.3390/pr8070766
Nkosi, N., Nhubu, T., Mthombeni, N.H. 2025. An inventory analysis of waste tyre generation and management in South Africa. Waste Management, vol. 194, pp. 353–365. https:// doi. 10.1016/j.wasman.2025.01.004
Norrish, K., Hutton, J.T. 1969. An accurate X-ray spectrographic method for the analysis of a wide range of geological samples. Geochimica et Cosmochimica Acta, vol. 33, no. , pp. 431–453. https://doi.org/10.1016/0016-7037(69)90126-4
Ozturk, I., Ersahin, M.E., Tezer, B.H. 2005. Pollution report of Cargill Orhangazi corn processing Factory. Istanbul Technical University, Istanbul, Turkey.
Patterson, A.L. 1939. The Scherrer Formula for X-Ray Particle Size Determination. Physical Review, vol. 56, pp. 978. https://doi.org/10.1103/PhysRev.56.978
Rambau, M.K., Musyoka, M.N., Manyala, N., Ren, J., Langmi, H.W. 2018. Mechanochemical approach in the synthesis of activated carbons from waste tyres and its hydrogen storage applications. Materials Today Proceedings, vol. 5, no. 4, 10505–10513. https://doi. 10.1016/j.matpr.2017.12.382
Ranjbar, N., Kuenzel, C. 2017. Cenospheres: A review. Fuel, vol. 207, pp. 1–12. https://doi.org/10.1016/j.fuel.2017.06.059
Rautenbach, R., Strydom, C.A., Bunt, J.R., Matjie, R.H., Campbell, Q.P., Van Alphen, C. 2019. Mineralogical, chemical, and petrographic properties of selected South African power stations’ feed coals and their corresponding density separated fractions using float-sink and reflux classification methods. International Journal of Coal Preparation and Utilization, vol. 39, no. 8, pp. 421–446. https://doi.10.1080/19392699.2018.1533551
Rietveld, H.M. 1969. A Profile refinement method for nuclear and magnetic structures. Journal of Applied Crystallography, vol. 2, pp. 65–71. https://doi.org/10.1107/S0021889869006558
Rodriguez, O.O., Duque, W.O., Salazar, L.I. 2017. Environmental impact of end-of-life tyre: Life cycle assessment comparison of three scenarios from a case study in Valle Del Cauca, Colombia. Energies, vol. 10, no. 12, p. 2117. https://doi.org/10.3390/en10122117
Satyam, S., Patra, S. 2024. Innovations and challenges in adsorptionbased wastewater remediation: A comprehensive review. Heliyon, vol. 10, no. 9, e29573. https://doi.org/10.1016/j.heliyon.2024.e29573
Scherrer, P. 1912. Determination of the internal structure and size of colloid particles by means of X-rays. In Kolloidchemie Ein Lehrbuch, ed. R. Zsigmondy. Berlin Heidelberg, Berlin, Heidelberg: Springer. pp. 387–409.
Seng-Eiad, S., Jitkarnka, S. 2016. Untreated and HNO3-treated pyrolysis char as catalysts for pyrolysis of waste tyre: In-depth analysis of tyre-derived products and char characterization. Journal of Analytical and Applied Pyrolysis, vol. 122, pp. 151–159. https://doi.10.1016/j.jaap.2016.10.004
Speakman, S.A. 2012. Introduction to PANalytical X’Pert HighScore Plus v3. 0. Massachusetts: MIT Center for Materials Science and Engineering. pp. 1-19.
Stefanidis, S. D., Pachatouridou, E., Heracleous, E., Lappas, A.A., Vasalos, I.A. 2025. Chemical Recycling of End-of-Life Tyres Using Catalytic Pyrolysis: Effects of Catalysts and Process Conditions toward the Production of a Highly Aromatic Pyrolysis Oil. Industrial & Engineering Chemistry, vol. 64, no. 40, pp. 19342–19358. https:// doi.10.1021/acs.iecr.5c02163
Strydom, C.A., Bunt, J.R., Schobert, H.H., Raghoo, M. 2011. Changes to the organic functional groups of an inertinite-rich medium rank bituminous coal during acid treatment processes. Fuel Process Technol., vol. 92, no. 4, pp. 764–770. https://doi:10.1016/j.fuproc.2010.09.008
Sugiati, Y., Nurmayani, S., Nailufhar, L., Tiyana, R., Nata, A.G. 2023. Chemical oxygen demand reduction and pre-treatment method of dairy industry sludge waste for lactic-acid fermentation purpose. AIP Conference Proceedings. 2646, No. 1.030012. https://doi. 10.1063/5.0113175
Tchobanoglous, G., Burton, F.L., Stensel, H.D. 2003. Wastewater engineering treatment and reuse. Fourth Ed. Metcalf and Eddy Inc., Mc-Graw-Hill, ISBN: 0-07- 041878-0, New York, USA.
Tsemane, M.M., Matjie, R.H., Bunt, J.R., Neomagus, H.W.J.P., Strydom, C.A., Waanders, F.B., Van Alphen, C., Uwaoma, R. 2019. Mineralogy and petrology of chars produced by South African caking coals and density-separated fractions during pyrolysis and their effects on caking propensity. Energy & Fuels, vol. 33, no. 8, pp. 7645–7658. https: //doi. 10.1021/acs.energyfuels.9b01275
Wang, T., Tan, S., Liang, C. 2009. Preparation and characterization of activated carbon from wood via microwave-induced ZnCl2 activation. Carbon, vol. 47, no. 7, pp. 1880–1883. https://doi. 10.1016/j.carbon.2009.03.035
Xiaowe, C., Sheng, H., Xiaoyang, G., Wenhui, D. 2017. Crumb waste tyre rubber surface modification by plasma polymerization of ethanol and its application on oil-well cement. Applied Surface Science, vol. 409, pp. 325–342. https://doi.org/10.1016/j.apsusc.2017.03.072
Yang, X., Kleinrahm, R., McLinden, M.O., Richter, M. 2020. Uncertainty analysis of adsorption measurements using commercial gravimetric sorption analyzers with simultaneous density measurement based on a magnetic suspension balance. Adsorption, vol. 26, no.4, pp. 645–659. https://doi.org/10.1007/s10450-020-00236-1
Yaru, S.S., Satope, P.O., Akinola, A.O. 2021. Characterization of char from waste tyre pyrolysis. Saudi Journal of Engineering and Technology, vol. 6, no. 7, pp. 169–177. https://doi. 10.36348/sjet.2021.v06i07.004
Yu, Y., Kil, H-S., Nakabayashi, K., Yoon, S-H., and Miyawaki, J. 2019. Toward development of activated carbons with enhanced effective adsorption amount by control of activation process, Conference: The 4th International Conference on Industrial Mechanical, Electrical, and Chemical Engineering, AIP Conference Proceedings, 2097(1): 020002. https://doi.10.1063/1.5098173
Zhang, P., Li, Y., Cao, Y., Han, L. 2019. Characteristics of tetracycline adsorption by cow manure biochar prepared at different pyrolysis temperatures. Bioresour. Technol, vol. 285, pp. 121348. https://doi.org/10.1016/j.biortech.2019.121348
Zhang, S., Min, Z., Tay, H-I., Asadulla H, M., Li, C-Z. 2011. Effects of volatile–char interactions on the evolution of char structure during the gasification of Victorian brown coal in Steam. Fuel, vol. 90, no. 4, pp. 1529–1535. https:// doi.10.1016/j.fuel.2010.11.010
Zhang, X., Li, H., Cao, Q., Jin, L., Wang, F. 2018. Upgrading pyrolytic residue from waste tyres to commercial carbon black. Waste Management and Research, vol. 36, no. 5, pp. 436–444. https:// doi. 10.1177/0734242X18764292
Zhang, M., QI, Y., Zhang, W., Wang, M., Li, J., Lu, Y., Zhang, S., He, J., Cao, H., Tao, X., Xu, H., Zhang, S. 2024. A review on waste tyres pyrolysis for energy and material recovery from the optimization perspective. Renew. Sustain. Energy Rev., vol. 199, pp. 114531. https://doi.10.1016/j.rser.2024.114531
Zilli, M. 2013. A practical guide to the calculation of uncertainty of measurement. The Open Toxicology Journal, 2013, vol. 6, (Suppl 1, M3), pp. 20–26. u
As the oldest and largest mining school in Africa, Wits Mining combines heritage, academic excellence and industry relevance to develop and produce graduates, researchers and industry leaders equipped to solve mining challenges across the full mining value chain.
More than technical competence, mining today requires professionals who can integrate engineering, data-driven decision-making, sustainability and leadership. In resp onse to this, Wits Mining offers an Intelligence Agealigned curriculum through undergraduate and postgraduate programmes, specialised short courses, and industry-relevant research.
The school’s strategic direction is centred on five priorities: producing skilled graduates with immediate impact, generating relevant and impactful research, strengthening financial sustainability, fostering community engagement, and promoting leadership and administrative excellence. This gives the school a clear platform from which to advance mining education while remaining responsive to the needs of industry and society.
Wits Mining invites industry partners to collaborate in shaping the future of mining Organisations can support the School by providing students with bursaries, offering vacation work opportunities, enrolling employees in short learning and master ’s programmes, and partnering with us as longterm supporters of mining education, research and skills development.
Together, we can build the talent, knowledge and leadership needed for a sustainable mining future.
Why Wits Mining?
A legacy of excellence.
Industry-connected teaching and research. Strong undergraduate and postgraduate pathways
A focus on innovation, relevance and African impact.
Study. Partner. Collaborate.
For academic programmes, postgraduate opportunities and short courses, visit the School’s website at: https://www wits.ac za/miningeng/

Be a part of shaping mining leaders for Africa and the world. Contact any of the following staff members about these opportunities – or any opportunities that may resonate with your needs
Dr Paseka Leeuw
Head of School
Tel: +27 11 717 7420
Email: Paseka Leeuw@wits ac za
Ms Zeenath Adam
School Administration Manager
Tel: +27 11 717 7409
Email: Zeenath.Adam@wits ac za
Ms Matsobane Nong
PR and Marketing Chairperson
Tel: +27 11 717 7424
Email: Matsobane.Nong@wits ac za
Ms Sonja Douman
Secretary to the Head of School
Tel: +27 11 717 7403
Email: Sonja.Douman@wits ac za
F. Bornman1
Affiliation:
1Research and Development Division, Multotec, South Africa
Correspondence to: F. Bornman
Email: faanb@multotec.com
Dates:
Received: 15 Jul. 2025
Published: March 2026
How to cite:
Bornman, F. 2026. The effect of retention time in mineral sands recovery. Journal of the Southern African Institute of Mining and Metallurgy, vol. 126, no. 3, pp. 217–220
DOI ID:
https://doi.org/10.17159/2411-9717/869/2026
ORCiD: F. Bornman
https://orcid.org/0000-0002-6334-3487
This paper is based on a presentation given at the Thirteenth International Heavy Minerals Conference 2025, 18-19 August 2025, Sun City Resort, Rustenburg, South Africa
Abstract
Ore quality is declining, and the current spirals in mineral sands extraction is deemed inadequate to efficiently extract the valuable minerals. A new spiral was developed, the 117HM with the aim to extract the total heavy minerals in the order of 4.0% - 6.0% and the economic heavy minerals in the range 1.0% - 2.2% from the feed. An important measurable in the gravity concentration of mineral sands is recovery. Recovery measures how effectively the separator has extracted the valuable mineral contained in the input stream. The number of turns on the spiral trough influences the residence time of the feed slurry. A further optimisation followed with the development of the twelve-turn 117HM spiral. Four more turns were added for better recovery. The paper quantifies the effect of residence time on recovery.
Keywords
gravity concentration, trough length, heavy mineral sands, recovery
Gravity concentration is a technology with its roots in antiquity and is based on the differential movement of mineral particles in water due to their different specific gravity and hydraulic properties. As with classification separations, the separation is carried out in a fluid, rendering fluid dynamics also an important aspect. Techniques of gravity concentration have been around for millennia. In recent years, mining companies have re-evaluated gravity systems due to the increasing costs of flotation reagents, the relative simplicity of gravity processes, and the fact that they produce comparatively little environmental impact.
Spirals
The spiral is basically a helix wrapped around a central column. It is an open channel in the form of a vertical circular helix, with roughly five loops (Kapur, Meloy, 1999). For a given feed, a spiral’s performance depends on its channel configuration, diameter, height, number of turns, pitch, slope, as well as the trough’s radial profile. Geometrically, the deck of the spiral channel may be visualised as comprising an infinitely large number of axially adjacent non-interacting helical curves. Refer to Figure 1.
The parametric equations of a helix in x-y-z Cartesian coordinates are given by (Kapur, Meloy, 1999):



Where r is radius and u is pitch of the helix of which the height H is given by:

The number of turns T is simply:

Which implies that, for loops to be complete, N should be an even integer.


The principle is that a combination of gravitational and centrifugal forces, acting upon particles of different specific gravities, cause fine heavies and coarse lights to segregate. Figure 2 shows the separation mechanism on the spiral trough.
Literature
Holland-Batt (1995) believed that a basic design problem for both sluices and spirals is to determine the required trough length. Separation continues down the full length of the trough, though at a diminishing rate. Therefore, mineral separations can be revitalised by employing repulpers.
Yashin et al. (1984) have claimed that effective separation is at an end after two turns on mineral spirals. Most modern spirals employ four or five turns and occasionally six or seven turns to achieve the required levels of performance, yet many years ago
spirals with 2 and 3.5 turns were common in Australia (Pullar, 1963). Particles that have already been recovered can be predicted to move out again and be lost, leading to an apparent reduction in recovery as the slurry moves further down the trough.
The definition of efficiency is shown in Equation 6. (HollandBatt, 1995)

It is clear from the relationship that an increase in efficiency (E) translates directly into increased mineral recovery (R) at a fixed mass take (C) when the feed grade (f) is low and is directly proportional to the recovery, even at high feed grades.
The first Humphreys spiral had 4 turns (Thompson, Welker, 1990) but was increased in length to 5 turns comparatively quickly. The question of spiral length has been considered in detail by Yashin et al. (1984). The results for the treatment of ilmenite are shown in Table 1. Ilmenite recovery was measured on spirals of 500 mm and 1000 mm diameter and ranging in length from 1 to 4 turns. A plateau is reached after 3 turns.
Reaveley and Ritchie (1986), compared 5 and 7 turn spirals on rougher duty, treating mineral sand, and concluded that there was a considerable improvement in performance with the seven-turn unit, with equivalent recoveries being attained in much lower mass takes. Apart from a few specialist applications, the spiral manufacturers have abided to 5 or more turns for roughing, cleaning, and scavenging duties.
Studies of mineral spirals have shown that the diminishing rate of separation evident on the lower turns of the trough can be improved by removing finished grade material and redistributing the slurry across the trough. While this can be achieved by fitting sequential shorter troughs on one column with interstage feed boxes and product transfer systems, the introduction of repulpers after the auxiliary splitters achieved the same end in a simple and more costeffective manner. In mineral separations, current spirals equipped with repulpers at appropriate locations can meet the process requirements of providing flexible operation and high upgrading capability at acceptable recoveries.
Operations are sometimes limited by existing infrastructure and equipment must be custom fit into the space available. A basic design problem for spirals is to determine the required trough length. Spiral length is more important for the separation of fine particles of any density than for coarse particles. Spiral length is also more important for the separation of coarse dense particles than for coarse light particles. This suggests the existence of drag forces, coarse-light particles can be carried by the pulp more easily than coarse-dense particles.

Table 2
Wet zircon tailings sample
A five-turn heavy mineral sands spiral was developed and compared to the existing eight-turn spiral. The five-turn was developed due to infrastructure height limitations. The NHM/5 and the NHM/8 have the same profile but differ in the number of turns, with the NHM/5 being a shorter version of the NHM/8 spiral. The results are summarised in Table 2. Wet zircon tailings were run on the five- and eight-turn spiral to compare performance in terms of recovery. The test work was conducted on a single start spiral. The spirals were fed at 1.55−1.63 dry solids per ton. The solids concentration by mass was 33.8%−34.1%. Mouth organ fractions A-C were collected as product. Figure 3 illustrates the mouth organ product box.
Table 2 compares the results of the wet zircon tailings sample processed on the five- and eight-turn spiral. The target solids concentration was 35% by mass. The ZrO2 in the feed was 15.0% for the NHM/5 turn spiral and 14.4% for the NHM/8 turn, respectively.
The ZrO2 recovery on the eight-turn spiral turned out to be 10% higher in comparison to the shorter five-turn spiral.
The 117HM spiral was developed to treat low grade ore. The 117HM is an eight-turn spiral. The aforementioned results were promising in terms of recovery, hence a further extension of the 117HM eight-turn spiral was implemented whereby a twelve-turn spiral was developed. The twelve-turn was then compared to the existing eight-turn spiral. Figure 4 shows the twelve-turn spiral. The twelve-turn spiral has four product off-takes.
A special ten-fraction mouth organ product box was used for the test work. Figure 5 shows the ten-fraction mouth organ product box.


Table 3 shows the results on a heavy minerals sands sample. The feed THM was 8.06%−8.63%. The EHM feed grade was 0.31%. The aim was to run at 45% solids by mass. The planned feed rate was at 2.1 t/h.
Figure 6 shows the grade recovery curve for the 117HM twelveturn spiral. At 10% mass yield the recovery was more than 92%.
Spiral separators have undergone continuous development over the past 40 years. A broad range of spiral separator designs are available for various applications, including different density minerals, varying particle sizes, and a range of feed grades. Depending on the
Table 3
Heavy mineral sands sample

application, each spiral separator model has a unique profile, pitch, and features to ensure it performs efficiently.
Trough length is a basic design problem for both sluices and spirals. Reaveley and Richie (1986), concluded that for mineral sands there was a considerable improvement in performance with a seven-turn unit, with equivalent recoveries being attained in much lower mass takes. Studies have shown the rate of separation can be improved by removing finished grade material and redistributing the slurry across the trough. Spiral length is more important for separating fine particles of any density than for coarse particles. Spiral length is also more important for the separation of coarse dense particles than for coarse light particles.
The test work results show an increase in recovery when there is an increase in residence time. The recovery difference between the NHM/5 and NHM/8 for zircon tailings was ±10%.
The 117HM spiral was developed to treat low grade ore. Further development was done on the spiral by adding more turns and sliding splitters for product off-take. The twelve-turn 117HM also shows better recovery of mineral sands in comparison to the standard eight-turn 117HM. Taking product off and giving the remaining material the opportunity to separate again is benefiting the recovery. The longer trough ensures longer retention time and another opportunity for material to gravity concentrate.
References
Falconer, A. 2003. Gravity separation: old technique/new methods. Physical Separation, vol. 12, no. 1, pp. 31–48.
Kapur, P.C., Meloy, T.P. 1999. Industrial modelling of spirals for optimal configuration and design: spiral geometry, fluid flow and forces on particles. Powder Technology, vol. 102, pp. 244–252.
Holland-Batt, A.B. 1995. The dynamics of sluice and spiral separations. Minerals Engineering, vol. 8, nos. ½, pp. 3–21.
Pullar, S.S. 1963. Metallurgical practice in the beach sands industry. Proc. Aust. Instn. Min. Metall., vol. 205, pp. 77–104.
Pullar, S.S. 1965. Development in separating equipment in the Australian heavy mineral sands industry. In Proceedings of the eighth CMMC, Melbourne, vol. 6, pp. 1343–1357.
Reaveley, B.J., Ritchie, I.C. 1986. The development of high efficiency spiral separators. In Australia: a World Source of Ilmenite, Rutile and Zircon. AusIMM (Perth Branch) Conference, pp. 87–97.
Thompson, J.V., Welker, M. 1990. The Humphreys Companies: Development and application of Humphreys Spiral Concentrator. Skillings’ Mining Review, pp. 4–15.
Yashin, A.V., Aniken, M.F., Skrpko, V.A. 1984. Spiral Separators. Nedra Press (Moscow), Part III, Chapter 6. u
13-14 April 2026 — SANCOT Symposium 2026
Unlocking Africa’s Potential: Advances in Tunnelling in Civil Engineering and Mining
Southern Sun Rosebank
Contact: Gugu Charlie
Tel: 011 538-0238
E-mail: gugu@saimm.co.za
Website: http://www.saimm.co.za
5-7 May 2026 — ALTA 2026 Conference
Innovation in Mining and Metallurgical Processing
Perth Australia
Website: https://www.altamet.com.au/
5-7 May 2026 — Global Resources Innovation Expo
Perth Australia
Website: https://bit.ly/4kWtX1V
25-29 May 2026 — SAIMM Pyrometallurgy International Conference 2026
Foundations of Competitiveness and Sustainability
CSIR International Convention Centre, South Africa
Contact: Gugu Charlie
Tel: 011 538-0238
E-mail: gugu@saimm.co.za
Website: http://www.saimm.co.za
24-25 June 2026 — Global Best Practices in Thickener and Dewatering Operations for Low-Grade and Complex Deposits Conference 2026
Introduce advanced solutions to improve thickener and filtration efficiencies amid changing ores
Southern Sun Rosebank, Johannesburg
Contact: Gugu Charlie
Tel: 011 538-0238
E-mail: gugu@saimm.co.za
Website: http://www.saimm.co.za
7-8 July 2026 — SANIRE Symposium 2026
Balancing Judgement, Technology, and Sustainability in Rock Engineering Practices
Emperors Palace Convention Centre, Kempton Park
Contact: Gugu Charlie Tel: 011 538-0238
E-mail: gugu@saimm.co.za
Website: http://www.saimm.co.za
30-31 July 2026 — Critical Minerals 2026 Conference
From Potential To Prosperity – Building Africa’s Critical Minerals Value Chains Through Collaboration, Innovation and Governance
Royal Majestic Hotel, Rosebank, Johannesburg
Contact: Gugu Charlie Tel: 011 538-0238
E-mail: gugu@saimm.co.za
Website: http://www.saimm.co.za
18-20 August 2026 — CAVING 2026
Ulaanbaatar, Mongolia
Website: https://www.acgcaving.com/
18-21 August 2026 — SAIMM Uranium Conference 2026
Swakopmund Hotel and Entertainment Centre, Swakopmund, Namibia
Contact: Gugu Charlie Tel: 011 538-0238
E-mail: gugu@saimm.co.za
Website: http://www.saimm.co.za
26-27 August 2026 — ESGS Climate Change in Mining Conference 2026
Climate Change in Mining: Risks, Governance, Sustainability, and Environmental Management
Glenburn Lodge, Muldersdrift
Contact: Gugu Charlie Tel: 011 538-0238
E-mail: gugu@saimm.co.za
Website: http://www.saimm.co.za
22-25 September 2026 — XIX International Society for Mine Surveying Congress 2026
Century City, Cape Town
Contact: Gugu Charlie Tel: 011 538-0238
E-mail: gugu@saimm.co.za
Website: http://www.saimm.co.za
29-30 September 2026 — 7TH Young Professionals Conference 2026
Mintek, Randburg, Johannesburg
Contact: Gugu Charlie
Tel: 011 538-0238
E-mail: gugu@saimm.co.za
Website: http://www.saimm.co.za
12-16 October 2026 — 19TH South African Geophysical Association Conference 2026
Lagoon Beach Hotel & Spa, Cape Town
Website: https://sagaconference.co.za/
18-22 October 2026 — XXXII International Mineral Processing Congress 2026
Empowering a future-fit mineral processing industry
Cape Town, South Africa
Contact: Camielah Jardine
Tel: 011 538-0237
E-mail: camielah@saimm.co.za
Website: http://www.saimm.co.za
4-6 November 2026 — Southern African Mine Water Conference 2026
Let’s Connect
Glenburn Lodge, Muldersdrift
Contact: Gugu Charlie
Tel: 011 538-0238
E-mail: gugu@saimm.co.za
Website: http://www.saimm.co.za
The following organizations have been admitted to the Institute as Company Affiliates
acQuire Technology Solutions
AECI Mining Chemicals, a division of AECI Mining Ltd
African Pegmatite
Allied Furnace Consultants
AMIRA International Africa (Pty) Ltd
Anglo American Platinum Corporation
Anglogold Ashanti Ltd
Anton Paar Southern Africa
Arcus Gibb (Pty) Ltd
Becker Mining (Pty) Ltd
Bluhm Burton Engineering Pty Ltd
Caledonia Mining South Africa
CARBOCRAFT (PTY) LTD
CIGroup ACE Pty Ltd
DDP Specialty Products South Africa (Pty) Ltd
Digby Wells and Associates
DQS Pty Ltd
E2 Test
EHL Consulting Engineers (Pty) Ltd
EKATO South Africa
Elbroc Mining Products (Pty) Ltd
Elderberry Trading
Ex Mente Technologies (Pty) Ltd
Exxaro Resources Limited
FLSmidth Minerals (Pty) Ltd
G H H Mining Machines (Pty) Ltd
Geobrugg Southern Africa (Pty) Ltd
Glencore
Gravitas Minerals (Pty) Ltd
Hatch (Pty) Ltd
Herrenknecht AG
Impala Platinum Holdings Limited
IMS Engineering (Pty) Ltd
Ingwenya Mineral Processing
Ivanhoe Mines SA
Kelnir Projects (Pty) Ltd
M84 Geotech Pty Ltd
Malvern Panalytical (Pty) Ltd
Maptek (Pty) Ltd
Mech-Industries (Pty) Ltd
Micromine Africa (Pty) Ltd
Minerals Council of South Africa
MineRP Holding (Pty) Ltd
Mining Projection Concepts (Pty) Ltd
Mintek
MLB Investments CC
Modular Mining Systems Africa (Pty) Ltd
Murray & Roberts Cementation (Pty) Ltd
OPTRON
Paterson & Cooke Consulting Engineers (Pty) Ltd
Pump and Abrasion Technologies (Pty) Ltd
Redpath Mining (South Africa) (Pty) Ltd
Rosond (Pty) Ltd
Roytec Global (Pty) Ltd
Rustenburg Platinum Mines Limited - Union
Sebotka (Pty) Ltd
SENET (Pty) Ltd
Sibanye Gold Limited
Solenis
Sound Mining Solution (Pty) Ltd
SRK Consulting SA (Pty) Ltd
Sulzer Pumps (South Africa) (Pty) Ltd
Tomra (Pty) Ltd
Trans-Caledon Tunnel Authority
Ukwazi Mining Solutions (Pty) Ltd
Weir Minerals Africa
ZUTARI (Pty) Ltd

IMPC
















CAPE TOWN 8001
IMPC 2026 will be hosted by the Southern African Institute of Mining and Metallurgy (SAIMM). The SAIMM has been in existence for 130 years, having been established in 1894 as a ‘learned society’ to support mining and metallurgical professionals during the emergence and growth of the early South African minerals industry.
Mining is of great importance to Africa in general, and particularly to Southern Africa. Africa accounts for a major portion of the world’s mineral reserves and more than half of gold, platinum group metals, cobalt and diamonds. Southern Africa produces over two-thirds of Africa’s mineral exports by value.
IMPC 2026 will be hosted at the Cape Town International Convention Centre (CTICC). Since the inception of the CTICC in 2003, Cape Town has been proudly the number one destination for conferences in Africa, according to the latest International Congress and Convention Association (ICCA) statistics.
Cape Town, the “Mother City”, is the oldest city in South Africa and has a cultural heritage spanning more than 300 years. Cape Town is a modern, cosmopolitan city and is often rated as one of the premier world holiday destinations. The city has a large range of hotels & guest houses and modern transport infrastructure. The city has numerous activities & attractions, including Table Mountain, Robben Island, Cape Point, the Castle, V&A Waterfront, world class beaches, wine farms, nature reserves, scenic drives, hiking, whale watching, shark cage diving and fine dining.
Risks, Governance, Sustainability, and Environmental Management
DATE: 26-27 AUGUST 2026
VENUE: GLENBURN LODGE, MULDERSDRIFT

Building on the success of the inaugural 2025 event, the second ESGS Conference in 2026 will focus on the overarching theme of Climate Change in Mining. The conference will bring together mining leaders, policymakers, financiers, and sustainability experts to explore how the industry can adapt, innovate, and thrive in the face of climate challenges.
Climate Risks for Mining Climate Governance and Finance
Mining faces increasing climate transitional and physical risks. This session will outline policy and regulatory guidance, modelling tools, and assessment approaches to identify the most critical risks and inform adaptation strategies.
Effective climate governance drives responsible action. Aligning with global agreements, meeting lender requirements, and leveraging sustainable finance are key to managing risks and unlocking opportunities. This session will highlight requirements and opportunities for South African mines and mining houses.
Sustainability Environmental Management
For mining to remain sustainable, it must transition to a low-carbon economy and adapt to climate change. This session will explore opportunities from circular economy principles, collective action, innovative technologies, and postmining transitions.
To minimise impact and adapt to climate change while maintaining compliance and social license to operate, mines must embrace environmental management. This session will unpack approaches to water and biodiversity management, systems thinking, and collaborative action.
Topics
Policy & Regulation, Modelling, Transitional Risk, Physical Risk, Building Resilience
Topics
Paris Agreements & Decarbonisation Targets, Lender Requirements, Finance Derisking, Carbon vs Sustainable Finance, MATA, GISTM
FOR FURTHER INFORMATION CONTACT:
Gugu Charlie, Conferences and Events Coordinator gugu@saimm.co.za
Tel: +27 11 538 0238
Topics
Circular Economy, Technology Innovation, Post-Mining Livelihoods & Just Transition, Collective Social Response
Topics: Water Stewardship, Biodiversity, Waste Management (including GISTM), EMS/Systems Thinking, Regional Collaborative Development
