Planificar Y Gestionar Ciudades Sostenibles

Page 1


PLANIFICAR Y GESTIONAR CIUDADES SOSTENIBLES

PRIMER CONGRESO DE INGENIERÍA

URBANA CPIC

ORGANIZADO POR EL CONSEJO PROFESIONAL DE INGENIERÍA CIVIL

PLANIFICAR Y GESTIONAR CIUDADES SOSTENIBLES

PRIMER CONGRESO DE INGENIERÍA URBANA CPIC

Organizado por el CONSEJO PROFESIONAL DE INGENIERÍA CIVIL

Una publicación del CONSEJO PROFESIONAL DE INGENIERÍA CIVIL

Redacción y corrección de textos: Arq. Gustavo Di Costa

Diseño Gráfico:

Graciela Gallo / Lautaro Lupi www.willayestudio.com.ar

Ilustración de tapa: RICA (Ricardo Nuñez) ricanu@gmail.com https://creadordeideas.wordpress.com

Hecho el depósito que marca la ley 11.723

Impreso en Argentina / Printed in Argentina

Abril de 2017

Un considerable esfuerzo en tiempo, dedicación y capacidad profesional ha sido aplicado a la redacción de este libro. Se ha respetado textualmente los contenidos de cada ponencia originalmente presentados en el Congreso de Ingeniería Urbana (CIU) por cada uno de sus autores. El lector acepta y comprende que no se ha expresado ni está implícita ninguna garantía de los autores ni del CPIC sobre los resultados de aplicar las consideraciones incluidas en el texto. El lector reconoce explícitamente que asume la responsabilidad de las aplicaciones inspiradas en el contenido de este libro y que debe verificar la realidad y seguridad de las mismas.

Esta publicación ha sido elaborada por el Consejo Profesional de Ingeniería Civil (CPIC), en el marco de su estrategia de divulgación de temáticas de interés para su matrícula y la sociedad en su conjunto.

El Consejo Profesional de Ingeniería Civil, a través de sus distintas Comisiones de Estudio, brinda oportunidades y espacios de formación para los profesionales de la ingeniería civil y técnicos de todo el país. Las publicaciones producidas por el CPIC pueden ser solicitadas en forma gratuita vía correo electrónico a correo@cpic.org.ar, en su Sede Central de Adolfo Alsina 424, 1º piso, ciudad de Buenos Aires, o telefónicamente, al 011 4334-0086.

La reproducción total o parcial de esta obra, por cualquier medio, requerirá autorización expresa del editor. Queda hecho el depósito que establece la Ley Nº 11.723.

Planificar y gestionar ciudades sostenibles : Primer Congreso de Ingeniería Urbana CPIC, organizado por el Consejo Profesional de Ingeniería Civil / Jorge Kornitz ... [et al.] ; compilado por Gustavo Di Costa ; coordinación general de Luis E. Perri. - 1a ed adaptada. - Ciudad Autónoma de Buenos Aires : Consejo Profesional de Ingeniería Civil, 2017.

236 p. ; 28 x 20 cm.

ISBN 978-987-95422-9-3

1. Ingeniería. I. Kornitz, Jorge II. Di Costa, Gustavo, comp. III. Perri, Luis E., coord. CDD 624

AGRADECIMIENTOS

Deseo, en nombre del CONSEJO PROFESIONAL DE INGENIERÍA CIVIL (CPIC) y propio, brindar un profundo agradecimiento a todos aquellos quienes, directa o indirectamente, aportaron su tiempo y calidad profesional para la organización del Primer Congreso de Ingeniería Urbana (CIU).

Sin nombres propios -siempre existe el riesgo de omitir alguno-, quiero manifestar mi gratitud a todos los representantes de las Instituciones que participaron del evento. Sin ellos el CIU no habría sido posible. A todos, muchas gracias.

El CPIC, institución de jurisdicción nacional, trabaja permanentemente para brindar nuevas herramientas tendientes a lograr una óptima capacitación y divulgación de los temas que hacen al ejercicio profesional actual de la ingeniería civil, en beneficio de sus matriculados y de la sociedad en su conjunto.

Las problemáticas de las ciudades modernas conforman uno de los puntos más acuciantes dentro de la formación permanente de un ingeniero civil. Es por ello que nuestro Consejo creó oportunamente la primera Maestría en Planificación y Gestión de la Ingeniería Urbana, conjuntamente con la Facultad de Ingeniería de la Universidad de Buenos Aires (FIUBA) y la Universidad Tecnológica Nacional (UTN) Regional Buenos Aires. Dicha Maestría continúa sumando, año tras año, cohortes que adquieren conocimientos y habilidades las cuales -sin dudas- elevan el nivel de su trabajo.

Para finalizar, brindo mi retribución a los redactores, diseñadores y demás profesionales que aportaron sus capacidades para que este libro conforme el corolario de la primera edición del CIU y sirva de consulta respecto del estado del arte en la temática. Apreciamos su dedicación en este proyecto.

Ing. Civil Roberto Policichio

Marzo de 2017

ÍNDICE

PRÓLOGO. Necesidad de difusión de la ingeniería urbana ........................................................... 7

PRESENTACIÓN. Ingeniería Civil y Urbanismo: Protagonismo y participación ........................8

INTRODUCCIÓN. Formación permanente en temas de Ingeniería Urbana ..............................9

RESEÑA. Planificar y gestionar ciudades sostenibles ...................................................................11

MÓDULO I: SUSTENTABILIDAD EN LAS CIUDADES ............................................................17

“Daylighting”: Enseñanzas de la recuperación de un arroyo entubado en Seúl

Implementación de dispositivos tendientes al impacto hidrológico cero

La sostenibilidad ambiental y los conflictos que intervienen y afectan la generación y ejecución de proyectos urbanos

Subsuelo y sustentabilidad urbana: Desafíos y oportunidades en Santiago de Chile

Principios de sustentabilidad en la planificación de ciudades

MÓDULO II: TRANSPORTE, VIVIENDA Y DESARROLLO URBANO ....................................65

Evaluación del Impacto Acústico por incremento de la velocidad de circulación en la Avenida

Del Libertador de la ciudad de Buenos Aires

Atributos del tranvía

Planificación de infraestructura de servicios para el desarrollo de una zona logística y tecnológica:

Emplazamiento: Provincia de San Luis en las inmediaciones de su aeropuerto

Agua Potable, un recurso vital y escaso: Sistemas duales para su distribución sustentable

Análisis del fenómeno urbano para ciudades medias

Pavimentos urbanos sustentables: Modelo de catalogación para la gestión preventiva y correctiva

MÓDULO III: RECURSOS HÍDRICOS E INUNDACIONES....................................................119

El Desarrollo Urbano Actual y las Pautas de Diseño de los Desagües Pluviales en el Sur de la Provincia de Santa Fe, Argentina

El desarrollo urbano y el incremento del riesgo de inundación en la ciudad de Gualeguaychú

Evaluación comparativa de la escorrentía en diferentes situaciones hidrogeomorfológicas en la subcuenca

Nueva Ciudad del Arroyo las Tunas

Impacto hidrológico cero en la ciudad de Resistencia, Chaco, Argentina

Refuncionalización hídrica y ambiental del Lago Soldati, ciudad de Buenos Aires, Argentina

BIBLIOGRAFÍA Y FUENTES

PRÓLOGO

Necesidad de difusión de la ingeniería urbana

El Primer Congreso de Ingeniería Urbana organizado por el Consejo Profesional de Ingeniería Civil (CPIC), que tengo el orgullo de presidir, presenta como lema “Planificar y gestionar ciudades sostenibles”.

Con esta acción, el CPIC intenta, una vez más, evidenciar la importancia de contar con una adecuada política de planificación y gestión en el desarrollo urbano, tarea en la cual los ingenieros civiles tenemos mucho para brindar. Al mismo tiempo, esperamos que las autoridades comprendan la importancia de contar con nuestro conocimiento técnico para resolver muchos de los problemas concretos generados por la propia dinámica de las ciudades.

Entendemos que el Estado debe incorporar en sus programas de gobierno aquellos proyectos que conforman las obras imprescindibles para paliar -y de ser posible eliminar- los efectos provocados, tanto por fenómenos naturales como por sucesos de variada índole, responsables de afectar la calidad de vida de las personas.

Resulta válido consultar a la ingeniería civil y otras disciplinas afines para escuchar su voz y traducirla en la concreción de obras fundamentales. De llevarse a cabo esas consultas, se lograría elevar el estándar de desempeño de nuestras sociedades, alcanzando el tan preciado confort sostenible, garantizando calidad ambiental y eficiencia en la administración de los recursos -tanto naturales, como artificiales y humanos-.

Las obras urbanas, muchas de ellas de poca o nula visibilidad para la mayoría de las personas, se tornarían evidentes al aportar óptimas condiciones para el cotidiano funcionamiento de una urbe, dada su eficacia y oportuna materialización.

Nos corresponde a los ingenieros civiles la responsabilidad de difundir nuestros conocimientos,

de bregar sin descanso por compartir saberes y experiencias e incrementarlos con nuevas habilidades a efectos de documentar ampliamente, tanto a los colegas como a los profesionales de ciencias y tecnologías vinculadas a nuestro quehacer. De esta manera, la sociedad podrá disfrutar de las creaciones que la ingeniería civil está en condiciones de ofrecer.

En ese sentido, el Consejo Profesional de Ingeniería Civil, de jurisdicción nacional, aporta como capital técnico, además de este Primer Congreso de Ingeniería Urbana, su Maestría en Planificación y Gestión de la Ingeniería Urbana, proyecto que demandó cerca de dos años de trabajo mancomunado entre nuestro Consejo, la Universidad Tecnológica Nacional y la Facultad de Ingeniería de la Universidad de Buenos Aires. Dicha Maestría se encuentra en marcha. Un considerable número de profesionales la ha cursado y se encuentra cursando a fin de ampliar sus conocimientos.

Debemos generar una verdadera “Agenda de resoluciones urbanas”. Dicha agenda podrá nutrirse con el aporte de profesionales altamente calificadoscon los cuales nuestro país cuenta en cantidad y calidad suficiente-, junto a los recursos económicos y financieros necesarios para que las obras se cumplan en tiempo y forma.

El presente texto constituye una síntesis de temas tratados, entre muchos otros, los cuales pueden formar parte de la mencionada agenda de resoluciones urbanas. El CPIC profundizará su análisis en futuras ediciones de este Congreso.

Ing. Civil Roberto Policichio

Presidente del Consejo Profesional de Ingeniería Civil Marzo de 2017

PRESENTACIÓN

Ingeniería Civil y Urbanismo: Protagonismo y participación

El nuevo siglo evidencia un incremento en las tendencias individualistas de la sociedad, acción que se percibe como una carencia en los vehículos de interacción con aquellas instituciones, cuyo objetivo radica, precisamente, en colaborar con un eficiente desempeño profesional.

En este contexto, el Consejo Profesional de Ingeniería Civil (CPIC) llevó a cabo la organización del Primer Congreso de Ingeniería Urbana, atento a las demandas evidenciadas por nuestra sociedad sobre temas de infraestructura.

El evento se llevó a cabo durante los días 13 y 14 de octubre de 2016 y en el mismo se desarrollaron exposiciones magistrales de reconocidos especialistas en la materia, presentaciones de funcionarios públicos nacionales, provinciales y municipales, con el objetivo de fomentar el diálogo y debate sobre la gestión cotidiana de la Ingeniería Urbana.

Se incluyeron en el encuentro diversas investigaciones de profesionales y centros de estudios en torno a los siguientes ejes temáticos: “Vivienda y Desarrollo Urbano”; “Sustentabilidad en las Ciudades”; “Transportes” y “Recursos Hídricos e Inundaciones”, aspectos todos dignos de un profundo análisis con vistas a su pertinente solución.

Este Congreso, cuyo acertado lema era “Planificar y gestionar ciudades sustentables”, concitó la atención de más de 400 asistentes, 60 panelistas -tanto internacionales como de diversas provincias argentinas-, quienes reflexionaron sobre un objetivo común: Mejorar permanentemente la calidad de vida de nuestros ciudadanos.

Uno de los aspectos que más satisfacción me brindó fue apreciar entre el Auditorio del Centro Argentino de Ingenieros a un gran número de estudiantes de la carrera de ingeniería civil y disciplinas afines. Son esos jóvenes quienes con su actitud de formación, siembran la esperanza de un futuro mejor para todos.

Ello no hace más que motivarnos para que realizaciones como este Congreso, la Maestría en Planificación y Gestión de la Ingeniería Urbana, así como los permanentes ciclos de charlas, conferencias y capacitaciones, aborden las problemáticas de las ciudades a través de acciones concretas y relevantes.

Nuestro país cuenta con instituciones, como los Consejos Profesionales, receptoras de las contribuciones científicas y técnicas que los ingenieros civiles y afines podemos llevar a cabo con desprendimiento, donando horas que pudieron destinarse al descanso, a la atención familiar, e inclusive, tiempo laboral, como aporte al bien común.

Dicha colaboración, en el caso de nuestros matriculados, incrementa, sin lugar a dudas, la visibilidad institucional, brindando atendibles ejemplos a la sociedad, conjuntamente con un mayor reconocimiento sobre lo que la ingeniería hace -y puede hacer- para mejorar la calidad de vida de la población.

El presente texto conforma una síntesis de las principales ponencias y trabajos expuestos, siendo intención del CPIC que sirva como fuente calificada de consulta para profesionales del sector y toda la sociedad.

Continuaremos trabajando juntos para lograr una mayor participación y exposición de nuestra profesión. Será para el beneficio y provecho de la Argentina y sus habitantes.

Ing. Civil Jorge Kornitz Presidente Honorario del Consejo Profesional de Ingeniería Civil. Marzo de 2017

INTRODUCCIÓN

Formación permanente en temas de Ingeniería Urbana

Entendemos que la concreción del presente Congreso de Ingeniería Urbana, iniciativa del Consejo Profesional de Ingeniería Civil (CPIC), conjuntamente con su Maestría en Planificación y Gestión de la Ingeniería Urbana, completan un vacío el cual se percibe claramente en los ámbitos vinculados con las temáticas de nuestras ciudades, debido a la escasa participación de la ingeniería en los mismos.

De esta manera, creemos cumplir con un deber de nuestra profesión poniendo a disposición de la sociedad el bagaje técnico-científico de la ingeniería urbana, como aporte para la construcción de mejores condiciones de vida para nuestra sociedad. Los Ingenieros Civiles, en Construcción, Viales, Hidráulicos, y otros profesionales con formaciones equivalentes, graduados en Universidades Nacionales argentinas, poseen una sólida base tecnológico-científica necesaria para concebir, diseñar y ejecutar todos aquellos elementos que conforman el hábitat urbano.

Por su formación están dotados de habilidades técnicas para, complementadas con otras

disciplinas, poder liderar equipos de planificación y gestión de proyectos que intervengan profundamente en la infraestructura de las ciudades.

¿Quiénes mejor que ellos para dimensionar redes de servicios, analizar condiciones del suelo, verificar situaciones hidrológicas, en fin, participar en forma protagónica de proyectos transformadores, aportando desde la solidez de su formación tecnológica, soluciones eficaces y eficientes a la problemática urbana?

La creación y puesta en marcha de este Congreso demandó de recursos y la participación de una serie de profesionales, pero entendemos que el mencionado esfuerzo valió la pena ya que estamos firmemente convencidos respecto de este proyecto, que ya es una realidad, dado que el mismo asume como objetivo introducir a los ingenieros civiles en una temática abarcativa respecto de las problemáticas de nuestras ciudades.

El programa del Congreso presentó como propuesta el estudio de los sistemas de infraestructura, de

forma tal que se puedan integrar los sectores del transporte, saneamiento, medio ambiente, industria, edificación y urbanismo.

A su vez, hizo hincapié en el desarrollo de una perspectiva estratégica, superadora de la coyuntura, capaz de permitir diseñar proyectos innovadores y evaluar alternativas.

Una lamentable realidad, fácilmente verificable, es la escasa participación de los ingenieros civiles y técnicos en aquellos ámbitos de gestión donde se planifica, ordena y deciden intervenciones de escala urbana, cuyos efectos, una vez implementados, inciden notablemente en la vida de los ciudadanos.

Resulta gravoso para nuestra sociedad no aprovechar el enorme potencial que significan dichas capacidades. Por ello, resulta necesario complementarlas con otros conocimientos que les permitan a los profesionales, comprender acabadamente, gracias a una concepción integradora, los complejos procesos que intervienen en la conformación del hecho urbano.

La presente Primera edición del Congreso de Ingeniería Urbana, conjuntamente con la Maestría

mencionada, la cual es llevada a cabo por el CPIC, la Facultad de Ingeniería de la Universidad de Buenos Aires y la Universidad Tecnológica Nacional, aportan espacios de formación y reflexión tendientes a revertir el mencionado contexto. Por todo lo expresado, el Consejo Profesional de Ingeniería Civil asume, como un deber insoslayable, la ampliación de las formaciones ingenieriles que proporcionan las carreras de grado, con la incorporación de temáticas provenientes de otras disciplinas.

De esta forma, se ampliará el campo de intervención de los ingenieros civiles hacia ámbitos en los cuales, hasta ahora, sólo eran convocados excepcionalmente.

Ing. Civil Norberto Walter Pazos Presidente Honorario del Consejo Profesional de Ingeniería Civil

Ing. en Const. Silvio Antonio Bressan Vicepresidente del Consejo Profesional de Ingeniería Civil

Marzo de 2017

RESEÑA

Planificar y gestionar ciudades sostenibles

Entre los días 13 y 14 de octubre del año 2016, se llevó a cabo en la sede del Centro Argentino de Ingenieros, ubicada en la calle Cerrito 1250 de la ciudad autónoma de Buenos Aires, el PRIMER CONGRESO DE INGENIERÍA URBANA (CIU) CPIC 2016, el cual fuera organizado integralmente por el Consejo Profesional de Ingeniería Civil (CPIC).

Orientado especialmente a ingenieros civiles, estudiantes y profesionales de carreras afines de todo el país y organizado por el Consejo Profesional de Ingeniería Civil (CPIC), se llevó a cabo el Primer Congreso de Ingeniería Urbana (CIU) CPIC 2016.

El evento se dio cita durante los días 13 y 14 de octubre de 2016 y en el mismo se desarrollaron exposiciones magistrales de reconocidos especialistas en la materia, presentaciones de funcionarios públicos nacionales, provinciales y municipales, con el objetivo de fomentar el diálogo y debate sobre la gestión cotidiana de la Ingeniería Urbana y la comunicación de investigaciones de profesionales y centros de estudios en torno a los siguientes ejes temáticos: Vivienda y Desarrollo urbano; Sustentabilidad en las ciudades; Transportes y Recursos hídricos e Inundaciones.

Convencidos de la imperiosa necesidad de planificación de nuestro país, el CPIC propició tanto la Maestría en Planificación y Gestión de la Ingeniería Urbana como el presente Congreso, augurando que la voluntad, el trabajo y las acciones en conjunto, promueven la formación y el liderazgo de los futuros planificadores.

A través del Congreso, el Consejo Profesional de Ingeniería Civil constituyó un foro de debate sobre la contribución de la ingeniería civil en el desarrollo de ciudades sostenibles. Se dice que la construcción es la industria del bienestar humano y nadie duda que haya sido capaz de contribuir al mejoramiento de las condiciones de habitabilidad.

A partir de la Revolución Industrial, las ciudades comenzaron a tomar protagonismo, creciendo en función del desarrollo de sus actividades productivas y generando constantes migraciones.

En la actualidad, resulta impostergable lograr una utilización más equilibrada de los recursos, reducir la polución, optimizar el transporte, planificar y gestionar redes de infraestructuras y servicios las cuales satisfagan las necesidades presentes y futuras de los conglomerados urbanos, encontrando su sustentabilidad económica, energética y social.

El Congreso puso de manifiesto el rol que le cabe a la ingeniería urbana al conciliar los diversos intereses, desde el punto de vista económico, social y cultural, teniendo en cuenta las posibilidades y limitaciones impuestas por el medio ambiente, de modo de preservar a los habitantes y la infraestructura de sus ciudades, de las consecuencias no deseadas de los fenómenos naturales.

La ingeniería urbana aporta el estudio de las características de los emplazamientos, analiza y desarrolla soluciones ingenieriles para resolver necesidades de movilidad, hábitat y calidad ambiental.

Se trata de lograr armonizar el crecimiento, socialmente aceptado, con el medio ambiente.

La variedad y complejidad de los factores intervinientes en el diseño, planificación y gestión de la infraestructura urbana, sumada a su importancia para el desarrollo, obliga a formalizar un abordaje interdisciplinario, donde los ingenieros civiles cuentan con la capacidad de ser organizadores del proceso.

El objetivo es claro: Mejorar permanentemente la calidad de vida de los ciudadanos.

Ejes temáticos del Congreso

La complejidad de la vida en las ciudades, impulsada por la evolución de las fuerzas productivas, obliga a adoptar diferentes caminos e instrumentos para lograr una cabal comprensión de sus causas y efectos. Resulta imprescindible intervenir con instrumentos planificadores, en la adaptación de la infraestructura a las mutantes demandas de la sociedad.

Para lograrlo, deben manejarse con profesionalidad las herramientas que brinda la ingeniería urbana. Así se aborda un abanico de disciplinas enmarcadas en lo específicamente ingenieril, en las ciencias sociales, en la economía, en la ecología, en la historia.

Con ese enfoque multidisciplinario se intenta contemplar la variada gama de intereses y conflictos para confluir en las mejores soluciones.

Bajo el lema "Planificar y gestionar ciudades sostenibles” el Congreso desarrolló paneles, conferencias y presentaciones de los mejores trabajos, de acuerdo con la siguiente categorización, incluyendo como eje transversal a la sustentabilidad en las soluciones para la infraestructura urbana:

1. VIVIENDA y DESARROLLO URBANO: La cuestión del hábitat como elemento de inclusión social. Incorporar la vivienda al tejido urbano desde un enfoque interdisciplinario. Generación y difusión de normas y códigos, tecnologías, utilización y ocupación del suelo urbano.

2. SUSTENTABILIDAD EN LAS CIUDADES: La sustentabilidad como fenómeno que atraviesa transversalmente todas las disciplinas de la ingeniería. Abordar la sustentabilidad ambiental, económica y social.

3. TRANSPORTE: Redes de transporte y su interconectividad. Vínculo con los sistemas productivos y función social del transporte. Impacto ambiental de los medios de transporte urbano.

4. RECURSOS HÍDRICOS E INUNDACIONES: Las ciudades se emplazan en cuencas, por lo

tanto, su estudio y la relación con los cauces naturales es fundamental para prevenir riesgos de inundación. La provisión de agua potable y el saneamiento resultan todavía muy deficientes, siendo imprescindible para toda actividad humana.

Detalles de las presentaciones

El acto de apertura del Congreso, llevado a cabo el jueves 13 de octubre de 2016, contó con las participaciones del Ing. Ernesto Selzer, Presidente de la Comisión Organizadora del Congreso; el Ing. Jorge Abramian, Ex Presidente del CPIC; el Ing. Roberto Policichio, Presidente del CPIC y el Ing. Guillermo Krantzer, Secretario de Gestión de la Planificación Urbana del Ministerio de Transporte de la Nación.

Luego se llevó a cabo el panel "Hábitat y Vivienda”, el cual contó con conceptos de la Prof. Dra. Cynthia Goytia, Directora de la Maestría en Economía Urbana de la Universidad Torcuato Di Tella; Raúl Zavalia, Director Ejecutivo de la Fundación Pro Vivienda Social y el Dr. Iván Kerr, Subsecretario de Vivienda y Desarrollo Urbano. Todos fueron moderados por el Ing. Civil Norberto Pazos.

Los citados profesionales concluyeron: "La atención tradicional del déficit por los últimos gobiernos tuvo poca consideración del impacto urbanístico sobre las poblaciones ya consolidadas en las cuales se asentaban las nuevas soluciones habitacionales. La falta de políticas expresas sobre el diseño urbanohumano de las ciudades (densificación vs. expansión) fueron deteriorando la calidad de vida de las mismas. En consecuencia, atender el déficit habitacional no debe ignorar los efectos de una falta de planificación territorial y la solución sincrónica de las principales carencias de infraestructura". Seguidamente, se llevó a cabo el panel "Ciudades sustentables”, el cual fuera moderado por la Arq. Raquel Perahia. Del mismo, participaron Adrián Delfederico, ex-Jefe del Departamento de Control de Transporte de la Municipalidad de Córdoba; el Dr. Christian Navntoft, experto en energías alternativas;

el Arq. Dardo Becerra, Subsecretario de Arquitectura, Obras y Servicios de la Suprema Corte de la provincia de Buenos Aires y Presidente de la Asociación Argentina de Planificadores Urbanos y Regionales; y el Ing. Miguel H. Núñez, Coordinador Técnico del Consejo Empresario Argentino para el Desarrollo Sostenible (CEADS).

El panel expresó: "Somos espectadores y protagonistas de cambios vertiginosos responsables de nuevas condiciones sociales, culturales y económicas manifestadas en las ciudades. A la complejidad del territorio y los procesos de urbanización que han puesto en crisis los modelos de desarrollo adoptados, se suman los efectos del cambio climático. Ello plantea la necesidad de incorporar a la agenda pública de los gobiernos, formas sustentables de planificación y gestión”. El panel expuso el concepto de sustentabilidad en las ciudades en un sentido amplio y abarcador. Se preguntó: ¿Cómo deberían confluir los diferentes intereses económicos, sociales y políticos para lograr consensos sobre una habitabilidad capaz de perdurar en el tiempo?

Luego del almuerzo, se formalizó la presentación de trabajos en el marco del módulo "Sustentabilidad en las ciudades”, explicitándose "Daylighting: Enseñanzas de la recuperación de un arroyo entubado en Seúl”; “Implementación de

dispositivos tendientes al impacto hidrológico cero”; “La sostenibilidad ambiental y los conflictos que intervienen y afectan la generación y ejecución de proyectos urbanos”; “Subsuelo y sustentabilidad urbana: Desafíos y oportunidades en Santiago de Chile”; “Principios de sustentabilidad en la planificación de ciudades” y “Desarrollo de tecnologías en hidrología urbana”. Los trabajos expuestos fueron moderados por el Ing. Claudio Rissetto.

Continuó el tema "Proyectos de Desarrollo en la Infraestructura Urbana”, a cargo de la Lic. Angie Palacios, Ejecutiva de la Vicepresidencia de Infraestructura, CAF-Banco de Desarrollo de América Latina; la Dra. Francisca Rojas, especialista en Desarrollo Urbano y Vivienda del Banco Interamericano de Desarrollo (BID); la Dra. Verónica Raffo, especialista Sénior en Infraestructura del Banco Mundial, actuando nuevamente como moderador el Ing. Claudio Rissetto.

A continuación, se presentó el panel "Residuos y Efluentes urbanos”, el cual contó con el Ing. Marcelo Rosso, Gerente de Nuevas Tecnologías y Control Ambiental del la Coordinación Ecológica Área Metropolitana Sociedad del Estado (CEAMSE) y el Ing. Juan M. Koutoudjian, especialista en efluentes urbanos; moderados por el Dr. Ing. Alejandro Sarubbi.

Somos espectadores y protagonistas de cambios vertiginosos responsables de nuevas condiciones sociales, culturales y económicas manifestadas en las ciudades. A la complejidad del territorio y los procesos de urbanización que han puesto en crisis los modelos de desarrollo adoptados, se suman los efectos del cambio climático. Ello plantea la necesidad de incorporar a la agenda pública de los gobiernos, formas sustentables de planificación y gestión.

Entre los conceptos tratados se acordó: "El continuo incremento de los problemas asociados con la gestión de los residuos sólidos urbanos, confirma una oportunidad de planificación contemplando los impactos socio-ambientales que los actuales sistemas de recolección, tratamiento y disposición de residuos provocan. Simultáneamente, nos encontramos con el desafío de repensar soluciones y políticas sobre el aprovechamiento de la biomasa, sus líquidos lixiviados y biogases, para conformar ciudades con energías alternativas, minimización de impactos urbanos (transporte, emisiones, tierras rellenadas) con creación de espacios de desarrollo social y cultural (repensar el territorio con bioparques, reactores de transformación de los residuos)”.

La jornada concluyó con la Conferencia Magistral sobre "Infraestructura y Desarrollo” en la cual se llevó a cabo un repaso histórico sobre la evolución de la ciudad y la urbanística, desde la revolución industrial hasta nuestros días, subrayando el importante papel que ha jugado la ingeniería en todo el proceso, así como el destacado rol a desempeñar dentro de la revolución tecnológica en la cual nos encontramos inmersos”.

La misma estuvo a cargo del Ing. Juan Antonio Santamera, Presidente del Colegio de Ingenieros de Caminos, Canales y Puertos de España.

Segunda jornada del Congreso

El primer panel presentado el viernes 14 de octubre de 2016 fue "La Problemática del Transporte Urbano”, moderado por el Ing. Pablo Belenky, Director Ejecutivo del Órgano de Control de Concesiones Viales (OCCOVI) y contando como panelistas con el Arq. Martín Blas Orduna, Subsecretario de Movilidad Urbana de la Secretaría de Planificación de Transporte del Ministerio de Transporte de la Nación; el Ing. Ricardo Gattoni, asesor técnico del Administrador General de la Dirección Nacional de Vialidad; el Ing. Sergio Oscar Raño, especialista en Seguridad Vial de la Dirección Nacional de Vialidad; el Ing. Jorge Abramian,

especialista en puertos y el Ing. José Ante, especialista en infraestructura aeronáutica a cargo del Organismo Regulador del Sistema Nacional de Aeropuertos. En ese panel se trataron las diferentes modalidades del transporte, vial, ferroviario, aéreo, marítimo, así como la complejidad que representa su articulación. Los mencionados especialistas, de probada experiencia, explicaron cómo se diseña el sistema de transporte urbano en la búsqueda de una planificación integradora.

La mesa concluyó: "El proceso de urbanización resulta imparable. En el mundo existen más personas viviendo en ciudades que en áreas rurales. En la Argentina, la urbanización supera el 90% de la población. El paradigma de nuestra era es "la ciudad global”, surgida a partir de los efectos de la globalización y del constante crecimiento de la urbanización. La existencia de esas ciudades provoca un efecto directo y tangible en los asuntos mundiales, tanto en el medio socio-económico como en su influencia en términos de cultura y política. Actualmente, las ciudades compiten por "ser globales”. En las raíces del "ser global” se observa en forma preponderante contar con un avanzado sistema de transporte dentro de la ciudad y con otras ciudades; además de, entre distintas propiedades, ser centro de una gran conurbación y poseer una población en el área metropolitana suficientemente extensa”.

A continuación, se desarrolló el panel "Sustentabilidad económica de las ciudades”. En el mismo se realizó un pormenorizado análisis del impacto de la revolución tecnológica sobre la configuración, funcionamiento y sustentabilidad de la ciudad. Se enfatizó -en particular- sobre la transformación urbana que acompaña el paso del fordismo al toyotismo, las exigencias planteadas por la transición de la competitividad individual a la sistémica, la transformación de la disputa hegemónica de los países del siglo XX a las regiones integradas del siglo XXI, el surgimiento de nuevas potencias emergentes y los efectos del cambio climático y la nueva matriz energética. Participó el Dr. Oscar Tangelson, ex secretario de Política

Económica de la Nación, siendo moderadora la Dra. Ana Feldman.

Tras el almuerzo de camaradería, concitó la atención de los asistentes el panel "Recursos Hídricos e Inundaciones”, el cual sentenció: "Las inundaciones con afectación de zonas urbanas, resultan fenómenos cada vez más frecuentes, los cuales impactan severamente en todo el ecosistema degradando la calidad de vida de la población, especialmente, aquella de menores recursos.

Argentina se encuentra tristemente ubicada, en el puesto 14 respecto de los países en riesgo de sufrir graves inundaciones rurales y urbanas, con pérdidas millonarias cercanas al 1.1% del PBI, según un estudio del Banco Mundial. El fenómeno requiere un importante trabajo transdisciplinario, iniciando un conocimiento cabal y profundo de la cuenca hidrográfica, sus características topográficas y geomorfológicas, sus componentes sociales y la situación general de la infraestructura urbanística, hidráulica y vial que la compone.

Del mismo modo, el crecimiento poblacional con concentración de sectores de menores recursos alrededor de las ciudades, requiere de una adecuada dosis de buena ingeniería hidráulica, estructural, financiera y constructiva, para otorgar acceso al agua potable y un saneamiento que permita un desarrollo cultural y humano como base para combatir la pobreza”.

Participaron el Ing. Rodolfo Aradas, especialista en hidráulica; el Ing. Pablo Bereciartua, Subsecretario de Recursos Hídricos de la Nación y el Ing. Luis María Calvo, titular de la firma Hidroestructuras, siendo moderados por el Ing. Adolfo Guitelman.

Luego del coffee break, reabrió el evento el panel "Política Comunal e Ingeniería Urbana”, responsabilidad del Ing. Omar Gastaldi, Secretario de Planeamiento e Infraestructura de la ciudad de Córdoba; la Arq. Mirta Levin, Directora General de Metropolitana, Unidad de Planificación y Gestión Estratégica, Ente de Coordinación Metropolitana

(ECOM) de Rosario y el Dr. Juan Ignacio Ustarroz, Intendente de Mercedes, con moderación del Ing. Ernesto Selzer. Se concluyó: "La conducción política debe, necesariamente, sustentar sus decisiones y acciones de gobierno en el conocimiento pleno de la realidad administrada. Para ello, puede contar con el apoyo de profesionales capaces de desarrollar instrumentos eficaces para la gestión y planificación urbanística. La correcta previsión y encauzamiento del desarrollo de las plantas urbanas y la gestión eficiente de la infraestructura, permitirá anticipar problemas de diferentes tipos y resolver variados conflictos de intereses”. Por todo ello, revistió gran importancia la reflexión sobre los vínculos entre la política y la ingeniería urbana, de modo de incentivar la sinergia entre ambas miradas.

Como cierre de las dos intensas jornadas, los ingenieros civiles Roberto Policichio y Jorge Abramian, actual presidente y presidente saliente del CPIC, respectivamente, destacaron el porqué del Congreso: "La urbanización generó nuevos desafíos y problemas para la ingeniería, donde se yuxtaponen relaciones económicas, ambientales, sociales y cambios demográficos desordenados”.

Además, destacaron la importancia de la educación continua de las ramas de la ingeniería para el desarrollo y crecimiento del país. "Se reciben 400 ingenieros por año, repartidos entre 24 provincias, lo cual es un ritmo insuficiente para el presente, y especialmente, para un futuro donde las demandas sobre ingeniería resultarán acuciantes. Existen tres limitaciones para que pueda crecer la Argentina: La energía, la logística -infraestructura de transporte-, y la más importante, la fuerza laboral -desde los oficios hasta los niveles universitarios-”.

Ambos ratificaron que el planteo de diversidad de temáticas y disciplinas, así como el valioso intercambio de experiencias internacionales y locales, ha enriquecido enormemente al contenido de este primer Congreso de Ingeniería Urbana, construyendo un espacio de reflexión el cual augura convertirse en imprescindible y con una continuidad sostenida hacia los próximos años.

SUSTENTABILIDAD EN LAS CIUDADES

CURADOR: ING. CIVIL CLAUDIO RISSETTO

Módulo 1

“Daylighting”: Enseñanzas de la recuperación de un arroyo entubado en Seúl

Email:

El presente trabajo describe el proceso de restauración de 6 kilómetros del arroyo entubado Cheonggyecheon, devolviéndolo al aire libre y constituyéndolo en el eje de un parque de 40 hectáreas en Seúl (Corea del Sur).

El cambio de paradigma, de una ciudad antes percibida como gris, industrial, de cemento y dividida por la autopista y el camino que cubrían al arroyo, hacia otra en la cual se apuesta a un revitalizado curso de agua y su espacio verde adyacente integrando las márgenes del río y, también, zonas otrora postergadas, logró posicionar a Seúl como una metrópolis orientada hacia las necesidades de sus habitantes y el medioambiente. Las principales características del proyecto fueron consensuadas entre el Estado metropolitano, la ciudadanía, institutos de investigación y las empresas contratistas, para minimizar los inconvenientes y armonizar los usos y espacios en el área céntrica involucrada. El proyecto comprendió la demolición de la canalización, de una avenida de 10 carriles y una autopista elevada, de 4; dichas estructuras se habían construido entre 1958 y 1977, sepultando 600 años de servicio del arroyo a la comunidad.

Análisis del área de estudio

El arroyo Cheonggyecheon es un curso de agua que discurre de Oeste a Este, en la ciudad de Seúl, en Corea del Sur. La etimología del arroyo, en el idioma oficial de Corea (Hangul) proviene de la unión de dos palabras: “cheong”, que significa “agua clara” y “gaecheon”, “valle” o “abrir un curso”. Es por ello que, de modo literal, fue bautizado “valle de agua clara” [4]. El curso de agua en cuestión nace en 3 cadenas montañosas, al NE, S y N de la ciudad y desemboca en el río más importante del país (Han), a través de un tributario de éste (Figura Nº 1).

La longitud del arroyo es de 11 kilómetros, con anchos variables entre 20 y 85 m. El Cheonggyecheon tiene un curso sumamente variable, llegando a desbordar fácilmente y ser impetuoso durante la temporada de lluvias (principalmente en los meses de julio y agosto, épocas de Monzón de verano) y de escasa profundidad y caudal en las estaciones secas. La superficie original de la cuenca es de 51 km2 y posee 14 afluentes [3, 4].

Figura Nº 1

Breve reseña histórica

La historia escrita del arroyo comenzó en 1394, año en el que Seúl pasó a ser la capital del Imperio de Corea (Dinastía Joseon).

Entre 1407 y 1412, se registraron las primeras tareas de dragado y construcción de terraplenes, para prevenir y aliviar las inundaciones y desbordes, frecuentes durante las épocas lluviosas. Ya entrado el Siglo XV (1441) fueron realizadas las primeras mediciones de altura de agua y se regularizó su utilización como sistema cloacal. Es a partir de este año que la calidad de vida en el entorno del arroyo inició un proceso de deterioro el cual, con la excepción de 2 breves períodos, no se detendría hasta siglos más tarde.

En 1760 se materializaron importantes trabajos de dragado, rectificación del arroyo y estabilización de márgenes, mediante la construcción de un canal de taludes de piedra, cuya ejecución movilizó a miles de obreros. De manera ininterrumpida y durante el período 17611909 se llevaron a cabo mantenimientos bianuales [3, 4]. Históricamente, el río fue un punto de encuentro para los habitantes: Puentes peatonales de piedra vinculaban ambas márgenes, favoreciendo el intercambio comercial y las relaciones sociales; era común la realización de numerosas celebraciones, manifestaciones artísticas y festivales en sus orillas. Asimismo, se empleaba como área de lavado de ropa y para usos recreativos varios.

Hacia fines del Siglo XIX y principios del XX, el Cheonggyecheon presentaba una serie de problemas, derivados del establecimiento de un número creciente de habitantes en sus proximidades, como parte de una importante migración hacia la capital del país. Podemos enumerar entre estos: Inundaciones, enfermedades y falta de instalaciones sanitarias, resultando la zona tristemente célebre por poseer la mayor tasa de mortandad en Seúl.

En 1910 Corea fue anexada por el Imperio Japonés, resultando su capital la base de operaciones colonial del país invasor. El dominio de Japón se extendió hasta el

fin de la Segunda Guerra Mundial. Durante este período, el arroyo pasó a dividir netamente dos sectores de Seúl: El Norte, elegido por los invasores japoneses para la residencia de sus compatriotas de nivel socioeconómico alto y el área Sur, en contraste, poblada por una mayoría coreana y pobre. Para todos los habitantes por igual se fijó la prohibición de construir viviendas en las márgenes.

Desde 1918 a 1926 se efectuaron trabajos de dragado en el arroyo y se construyeron desagües y cloacas. Se continuaron ininterrumpidamente las tareas de mantenimiento hasta el fin de la ocupación nipona [4].

Con la recuperación de la independencia del país, sobrevino la dificultosa formación de un gobierno autónomo en Corea (1945 a 1949), lo cual trajo aparejado un descuido casi total de los trabajos en el Cheonggyecheon.

Luego de 5 años de no realizarse tareas de importancia, en 1949 y 1950 se retomaron el dragado, reparación, construcción de cloacas y mantenimiento en todo el curso del arroyo.

Entre 1950 y 1953, la Guerra de Corea paralizó por completo los trabajos en el Cheonggyecheon y, prácticamente, cualquier otro tipo de obra civil en el país. La ciudad de Seúl pasó de tener 1,7 millones a 600.000 habitantes, en el primer año del conflicto, y los recursos humanos y materiales disponibles se emplearon para la causa bélica.

Con la finalización de la guerra civil, se produjo el mayor deterioro del curso. Gran cantidad de surcoreanos y refugiados de Corea del Norte se establecieron en asentamientos compuestos por precarias viviendas de madera en ambas márgenes del arroyo, utilizándolo como fuente de agua potable pero, asimismo, como vertedero de todo tipo de desperdicios. Hasta el año 1955 eran tan usuales las víctimas por inundaciones, como por los incendios que se desataban en las cabañas y resultaban difíciles de controlar. Las enfermedades respiratorias e infecciosas, principalmente aquellas cuyos vectores eran roedores e insectos, fueron

favorecidas por el hacinamiento y las pésimas condiciones de higiene del arroyo contaminado y estaban a la orden del día [3, 4].

Esta situación, una vez organizado el sistema de gobierno en Corea del Sur, fue considerada de resolución prioritaria. La decisión de las nuevas autoridades fue cubrir un arroyo penosamente insalubre, producto de años de abandono y desidia, para eliminar los peligros que generaba a la comunidad.

Cambio de paradigma en el uso del arroyo:

La construcción del entubamiento y el camino Cheonggyecheon

Si bien durante la ocupación japonesa se dieron los primeros intentos, a escala reducida, de cubrir tramos del Cheonggyecheon, no fue hasta el año 1926 en que se trazó el primer plan para cubrir el arroyo. En su momento, los trabajos no prosperaron, dado que se dudó de la capacidad de drenaje en épocas de inundación y debido al elevado costo.

Una vez finalizada la Guerra Civil, con la formación del nuevo gobierno de Corea del Sur, se fijaron nuevas prioridades y se planificaron obras para el curso de agua. Es así que en 1955 se realizaron las primeras tareas en casi cuatro décadas, destinadas a cubrir el arroyo. Efectivamente, en ese año se logran completar los primeros 140 m de conducto de hormigón armado, aguas abajo del puente Gwanggyo.

Las obras, que comenzaron en 1958 y finalizaron en 1977, determinaron el entubamiento y desaparición del arroyo bajo un camino de 10 carriles, más una autopista elevada, de 4, cuya construcción involucró a 240.000 obreros.

Entre 1958 y 1961 se ejecutó el Tramo 1 de cobertura (2,4 kilómetros de longitud, con un ancho de 16 a 54 metros, Figura Nº 2), entre los puentes Gwanggyo y Ogansu. Esto se efectuó mediante conjuntos de pilotines hincados en el lecho, cuyos cabezales soportaban

pilares, en los que apoyaban vigas y, finalmente, la losa superior y las capas de pavimento.

Figura Nº 2

Trabajos de entubamiento, año 1959 [4]

La construcción de la autopista elevada, se materializó entre 1967 y 1971, desarrollándose en una extensión de 5,7 kilómetros de longitud, 16 metros de ancho y 4 carriles. Hormigón pretensado y vigas de acero fueron sus componentes principales. En el período 1965-1977 se avanzó en el Tramo 2 del entubamiento. Se cubrió una longitud de 3,6 Km, con anchos de 45 a 80 m, entre los puentes Ogansu y Majang, siguiendo un procedimiento constructivo análogo al del primer tramo. Se agregó un sistema de drenaje y conductos cloacales para toda la extensión del camino. De este modo, en 1977, 600 años de servicio del arroyo Cheonggyechon a Seúl y sus habitantes, desaparecieron de la historia [3, 4].

Aparición del problema: Apogeo y decadencia del camino Cheonggyecheon

La reciente autopista, la avenida y las nuevas construcciones circundantes se erigieron en un símbolo del poder de Seúl entre las décadas del 1970 y 1990, siendo un notable ícono de modernidad de la nueva capital, destinada a sobresalir entre sus pares de Asia.

Los sistemas de transporte y la consiguiente accesibilidad ayudaron a desarrollar el área como una zona industrial y comercial de avanzada, en la primera dé-

cada de vida del camino. Desde mediados de la década de 1980, la expansión de la economía de escala de la ciudad provocó un éxodo de las industrias hacia las áreas periféricas, iniciando el proceso de deterioro del sector [2].

Durante los años 1984 y de 1992 a 1999, tanto el camino de 10 carriles, como la autopista elevada y los elementos estructurales del entubamiento del arroyo Cheonggyecheon debieron atravesar diversos trabajos de mantenimiento, los cuales llevaron a rediseñar la red de desagües y cloacas y a reemplazar elementos constructivos severamente dañados u obsoletos.

Entre 1991 y 1992, una evaluación de las estructuras de la autopista determinó necesidades de reparación, que desembocaron en casi 5 años (a partir de agosto de 1994) de reemplazo y refuerzo de vigas de acero, en un tramo de 2 km. Asimismo, las autoridades permitieron solamente la circulación de automóviles, relegando cualquier otro tipo de vehículos a vías alternativas.

Una segunda etapa de inspección, entre 2001 y 2002, reveló la necesidad de efectuar trabajos de reparación adicionales en una sección de casi 4 Km de longitud, con costos que rondaban los 100 millones de dólares, aunque sin brindar garantía de su durabilidad [1].

Durante 2003, momento pico de utilización de la ruta Cheonggyecheon, el mayor tránsito diario fue de 170.000 autos (103.000 circulando por la autopista), de los cuales 2/3 eran tráfico pasante [3].

No obstante el grado de desarrollo facilitado por el nuevo camino desde la década del 1970, las condiciones inducidas por el mismo en su zona de influencia distaban mucho de ser ideales. Como se detallará en los puntos siguientes, la contaminación, la falta de seguridad y la degradación del espacio público en el área, entre otros factores, resultaron ser condiciones cada vez menos toleradas por la población de Seúl, la cual percibía cómo estos problemas empeoraban con el transcurso del tiempo. Asimismo, el mantenimiento de la autopista insumiría cuantiosos recursos fiscales, presupuestados para el quinquenio 2003-2008.

Generación del “Daylighting”: La decisión de cambio y sus ejes de acción

Hacia finales de la década de 1990, comenzó un incipiente movimiento ecologista para devolver a la ciudad el arroyo que había desaparecido de la vista dos décadas atrás. Si bien esta postura de regeneración fue minoritaria en sus comienzos, a medida que avanzaron los años y se evidenciaron los bajos índices de desarrollo y salubridad en la zona del Camino Cheonggyecheon, comenzó a ganar el favor popular y espacio en los medios de comunicación.

Se comenzaba a hablar allí del proceso denominado “Daylighting” (literalmente “pasaje de luz del día”), el cual consiste en retornar a cielo abierto cursos que, por diversas razones, se habían hecho subterráneos. De esta manera, se implementa una solución a los múltiples problemas que estos acarrean, reintegrándolos a condiciones más naturales y abiertas [7, 9].

Haciéndose eco de la demanda generada desde la sociedad para desentubar el arroyo, el empresario

Myung-Bak Lee, candidato a alcalde de Seúl, incluyó en su plataforma de campaña la propuesta de restauración del Cheonggyecheon. Este candidato ganó las elecciones en 2002 e inició el proceso de toma de decisión y ejecución del proyecto a comienzos del siguiente año.

La decisión de avanzar con la puesta en valor de la zona y el “Daylighting” del arroyo fue tripartita, comprendiendo al Gobierno Metropolitano de Seúl, la ciudadanía e Institutos de Investigación, y se basó en los siguientes ejes [1, 4]:

•Medioambiente.

•Seguridad y tránsito.

•Cultura.

•Comercio e industria.

En cuanto a los aspectos medioambientales, se destacan la contaminación del aire y la sonora. La calidad del aire resultaba inferior a la media de Seúl (con casi

el doble de presencia de enfermedades respiratorias en el área, respecto del resto de la ciudad). A su vez, el nivel de ruido excedía los máximos permitidos, según los estándares de áreas comerciales.

De acuerdo a lo indicado en los puntos anteriores, el estado de las estructuras del Camino Cheonggyecheon presentaba numerosas deficiencias, las cuales las convertían en poco seguras para la población de la zona. El estado de las estructuras, tanto en superficie, como subterráneas, requeriría de importantes erogaciones para una reparación integral. Características similares se estaban dando, también, en las viviendas y el entorno.

En lo referente al estado edilicio, para el período 19912000, se evidenció un gran número de departamentos abandonados, en tanto que las viviendas habitadas se hallaban en mal estado de conservación y mantenimiento (un 50% de ellas estaban construidas preponderantemente con materiales inflamables). Asimismo, el área de viviendas mostraba una notable caída de su población, del 66% en el Centro de la ciudad, en un plazo de 20 años.

Respecto al tránsito, se diagnosticaba una subocupación del transporte público, estacionamientos ilegales, falta de cruces para peatones y circulación de motos por las veredas. Casi un 30% de los caminos presentaba Nivel de Servicio (LoS, level of service) “F” [1].

En lo referente a aspectos culturales, el vigoroso y relativamente rápido modo de establecimiento de Corea como potencia económica mundial (proceso denominado “Milagro del Río Han”) trajo aparejados movimientos que pugnaban por la revalorización de la identidad y el patrimonio coreanos, los cuales veían desdibujados por la asimilación apresurada de paradigmas occidentales. La añoranza del viejo arroyo y de los festivales que se realizaban en sus márgenes fue un impulso que los habitantes mayores de 50 años, quienes lo habían conocido, supieron capitalizar para ganar masa crítica y llevar adelante exitosamente sus demandas.

El área comercial e industrial evidenciaba una paulatina declinación, con bajo índice de ocupación del te-

rreno. Hacia el año 2000, existían 38.000 negocios en el área del Cheonggyecheon. Los mismos representaban el 3% de todo Seúl y ese conglomerado había sufrido una fuerte caída del 24% en el período 19912000. Se concentraban en la zona 13 mercados distintos, en los cuales se comercializaban desde alimentos frescos, hasta indumentaria y productos electrónicos [1].

Los sectores industriales más extendidos eran de pequeña escala y de manufacturas poco sofisticadas, careciendo prácticamente de industrias basadas en el conocimiento, electrónica y telecomunicaciones, puntales deseables de los planes de desarrollo del gobierno, ya aplicados exitosamente en el país y en otras zonas de su capital. La interrelación entre el Gobierno Metropolitano de Seúl, los ciudadanos y los Institutos de Investigación, resultó muy provechosa para la planificación de los trabajos a realizar.

Las comisiones tripartitas cubrieron los problemas de tránsito, restauración, planeamiento urbano, obras civiles y alternativas de recuperación del arroyo, convocándose a audiencias públicas más amplias, para introducir el proyecto en la población.

De las sesiones de debate surgieron los conceptos de sustentabilidad, “arroyo urbano con naturaleza” (“Urban stream in nature”) y de lograr “una ciudad amigable y orientada hacia el factor humano y medioambiental”. La capital era percibida por habitantes y extranjeros como “ciudad gris, de cemento”, por lo que la restauración del Cheonggyecheon sería un paso importante para comenzar a revertir dicha imagen [3, 4].

El proceso de discusión de las distintas alternativas dio lugar a dos premisas: Completar el proyecto lo antes posible, para minimizar el impacto a los pobladores y transeúntes, así como las pérdidas a comerciantes, y dotar de calles para vehículos en ambas márgenes, de 2 carriles cada una. Asimismo, el diseño del “nuevo” curso de agua fue consensuado para representar al río en 3 tramos alegóricos, desde aguas arriba: Historia y Tradición; Cultura y Modernidad; y Naturaleza y Futuro.

Proceso de restauración del arroyo

La restauración del arroyo Cheonggyecheon se llevó a cabo en un plazo de 27 meses, entre julio de 2003 y septiembre de 2005. Las obras se dividieron en 3 secciones, contándose con 6 contratistas independientes para realizarlas, coordinados por un comité conjunto de estas empresas, más ingenieros del Gobierno Metropolitano [2, 3, 4]. El costo de las obras ascendió a 386 millones de dólares, para la longitud total de 5,84 kilómetros. Los pasos del proceso de restauración se enumeran a continuación:

1. Demolición:

Estrictamente, los procesos realizados para la demolición de las estructuras se engloban en el concepto de “deconstrucción”. En efecto, los materiales fueron identificados, seleccionados, retirados y reutilizados o reciclados. La autopista elevada fue demolida en 2 meses. Se priorizó el transporte, en su mayoría, la demolición ocurrió de noche, de a tramos lo más grandes posibles y cortados con hilo diamantado y sierras circulares, a fines de minimizar el polvo, el ruido y las molestias al tránsito. Los trabajos se iniciaron en el tablero, prosiguiendo por las vigas y, finalmente, atacando las columnas. Tan sólo tres exponentes de estas dos últimas estructuras fueron conservados en su sitio, a modo de exhibición y memoria para generaciones futuras. Respecto al arroyo entubado, su cobertura fue demolida en 3 meses. Aquí se retiraron primeramente el asfalto y la carpeta estructural (reutilizados como sub-base), con métodos mecánicos casi en su totalidad. Posteriormente, se procedió a deconstruir la mayoría de las vigas y pilares, en el tramo de casi 6 kilómetros. Los sectores no derribados fueron reforzados y pasaron a formar parte de los nuevos sistemas pluviales y cloacales, y como soporte a los taludes. El total de la demolición, incluyendo la autopista, generó 907.000 toneladas de materiales. El 96% del hormigón y el asfalto y el 100% del acero fueron reciclados y reutilizados en las obras de restauración, o bien reservados para otros trabajos en la ciudad [2].

2. Obra nueva: El cauce:

El concepto “curso urbano con naturaleza”, conllevó a un rediseño del cauce que no replicaría su estado

original y que tuvo en cuenta una inundación máxima de 200 años de recurrencia (lluvia de 118 mm/hora). Tal como se indicó anteriormente, fueron creados tres tramos alegóricos denominados: Historia y Tradición; Cultura y Modernidad; y Naturaleza y Futuro. En ellos se propuso un pasaje gradual, desde aguas arriba hacia aguas abajo, comenzando con un paisaje urbano y desembocando en un ambiente más natural. Las tres secciones creadas (S1, S2 y S3, ver Figura Nº 3) poseen características diferenciadas [2, 5]:

•Historia y Tradición (S1), ubicada aguas arriba y con una longitud de 2,04 km. Para la misma, se reconstruyeron 2 puentes del Siglo XV y se programan habitualmente recreaciones de eventos históricos.

•Cultura y Modernidad (S2), tramo intermedio, de 2,1 km, en el cual se edificó un museo y se concentra la realización de festivales y exposiciones artísticas.

•Naturaleza y Futuro (S3), sector aguas abajo, 1,7 km. En el mismo, que posee parámetros de diseño similares a las originales del arroyo, se han reimplantado la mayor cantidad de especies autóctonas, animales y vegetales.

Figura Nº 3

Sección tipo del proyecto (Sector 3: Naturaleza)

Ancho:

De 20 m (aguas arriba, S1) a 113 m (aguas abajo, S3).

Profundidad: 40 cm (promedio).

“ ”

Un importante aporte al patrimonio cultural del país fue la restauración de reliquias históricas, entre las cuales se destaca el puente Gwangtong, construido en 1410.

Dado que el Cheonggyecheon es un arroyo de caudal irregular, para asegurar la profundidad media de diseño, se decidió que la provisión de agua (unos 120.000 m3 por día) se hiciera en su mayoría de manera forzada desde el Río Han (100.000 m3/día). Esto se efectúa mediante una tubería de 11 Km, que transporta el agua a 5 puntos del cauce [2]. La cifra restante se completa con bombeo desde las estaciones de subterráneo.

Los plazos empleados para los distintos rubros de la reconstrucción previamente citados fueron los siguientes:

•Cauce del río, plantas purificadoras y bombeo (16 meses)

•Desagües y drenajes (12 meses)

•Caminos (22 meses): 2 x 2 carriles vehiculares, también senderos y facilidades para peatones y ciclistas

•Puentes (19 meses): 22 en total (5, para peatones)

3. Diseño, ecología del paisaje y calidad ambiental:

Los trabajos de paisajismo abarcaron 25 meses, resultando en un parque de 40 hectáreas, extendidas por el curso del nuevo Cheonggyecheon. Fue notable el aporte ecológico y revitalizador de esta parte del pro-

yecto, replantando flora autóctona y funcionando como polo de atracción de fauna (aves migratorias, insectos, peces), principalmente en el tercio inferior [6]. Asimismo, se tuvieron en cuenta estrictos parámetros (entre ellos, DBO menor a 3 mg/l [1]) para la purificación del agua que alimenta el arroyo. A partir de la finalización de la regeneración, las sucesivas mediciones de calidad del aire han arrojado resultados que mejoraron un 72% los valores registrados en 2003. La última medición obtenida para el presente informe (Noviembre de 2015) es la segunda mejor de los últimos 30 años.

4. Arte y cultura:

Un importante aporte al patrimonio cultural del país fue la restauración de reliquias históricas, entre las cuales se destaca el puente Gwangtong, construido en 1410. El perfil cultural del arroyo devuelto a la vida fue plasmado en la erección de un Museo-Centro Cultural y la realización de numerosos festivales, con el río como eje (Festival de Linternas, entre otros) [4].

La nueva planificación urbana

El “Daylighting” del arroyo (Figura Nº 4) puso en marcha proyectos de planificación urbana que, desde 2005 hasta la fecha, se han desarrollado en las inmediaciones del nuevo curso de agua, con revisiones y ajustes anuales. En efecto, la conexión de ambas márgenes (el barrio de Gangbuk al Norte y el de Gangnam al Sur), separadas 38 años por la autopista, requirió de un enfoque multidisciplinario, cuyos frutos fueron el Plan de Desarrollo para el Centro de Seúl, un sistema de transporte público de alta calidad y la Red Verde (“Green Network”).

El Plan de Desarrollo para el Centro de Seúl comprende la refuncionalización, preservación y/o impulso de distritos existentes y a crearse. Los problemas de tráfico existentes fueron solucionados vía un inteligente enfoque en lo pedestre y el transporte masivo (“trunk and feeder”).

La denominada “Green Network” pretende aumentar los espacios verdes (el futuro “Central Park”) e inte-

grarlos con los ya existentes (el “Seoul Forest”, inaugurado en 2005, entre otros) y con sitios históricos, mediante una serie de “ejes verdes” longitudinales y circulares [4].

Figura Nº 4

Vistas del Cheonggyecheon: Con autopista en actividad, durante la demolición y con el arroyo revitalizado [8]

Algunos aspectos adversos del “Daylighting”

No obstante lo expresado en párrafos anteriores, existe una serie de aspectos de la restauración del arroyo que han recibido cuestionamientos. El más notable de ellos es la provisión de agua, transportada en su mayoría de manera forzada desde el Río Han y adoptada como solución, dado el caudal sumamente irregular del curso.

Bibliografía

[1] Kee, Yeon Hwang (2004). “Restoring Cheonggyecheon stream in the Downtown Seoul”, Seoul Development Institute.

[2] Lee, In-Keun (2006). “Cheong Gye Cheon Restoration Project”, Seoul Metropolitan Government.

[3] Park, Kil-Dong (2007) “Cheongyecheon Restoration Project”, Seoul Metropolitan Government.

[4] Seoul Metropolitan Government (2005). “Back to a future Seoul: Cheong Gye Cheon Restoration Project”.

[5] Sitio web de “Seoul Metropolitan Facilities Management Corporation”: http://www.sisul.or.kr/grobal/cheonggye/eng/WebContent/index.html

A su vez, el proceso de demolición y reconstrucción acarreó pérdidas económicas de comerciantes, las cuales fueron morigeradas mediante un fondo de compensaciones (durante las obras) y la relocalización y/o reconversión de industrias y negocios. La renovación urbana del área trajo aparejadas especulación inmobiliaria y gentrificación. Por último, los ambientalistas más extremos están disconformes con que el arroyo no haya sido restaurado en toda su extensión.

Conclusiones

Transcurrida algo más de una década de la intervención, la mayor de su tipo hasta la fecha, el arroyo representa un paseo obligado para turistas y habitantes permanentes (recibe unos 60.000 visitantes al día [5]), que han visto sustancialmente mejoradas sus condiciones de vida y la integración de zonas otrora postergadas de la ciudad. Las alternativas del proceso de decisión y ejecución de los trabajos crearon procedimientos y acumularon “know how” que pueden ser aplicables en otras situaciones y ciudades. Los beneficios obtenidos fueron y son adecuadamente medidos y se pueden apreciar in situ y en la literatura generada con posterioridad a la concreción del proyecto. El ejemplo del Cheonggyecheon es un valioso antecedente y una inspiración para iniciativas similares de sustentabilidad en el resto del mundo.

[6] Web landscapeperformance.com, "Cheonggyecheon Stream Restoration Project": http://landscapeperformance.org/case-study-briefs/cheonggyecheon-stream-restoration

[7] Web landarchs.com, "10 reasons why cities should daylight rivers": http://landarchs.com/10-reasons-why-cities-should-daylight-rivers/

[8] Blog Urban Design Militia, "As water should flow": https://urbandesignmilitia.wordpress.com/

[9] Sitio web del National Park Service. "Giving new life to streams in rural city centers": https://www.nps.gov/ncrc/rivers/projpg/DAYLIGHT.PDF

Implementación de dispositivos tendientes al impacto hidrológico cero

Autores: Osvaldo Guillermo Mena, Alicia Lilian Gamino, Ángel Florencio

Queizán, Rubén Oscar Fittipaldi, Florencia Carla Palmitano Rodríguez, Paola

Soledad Cedrik, Franco Leonel Gimenez y Juan María Urruspuru

Email: ghidraulica@gmail.com

Con el propósito de reducir los impactos negativos que los procesos de urbanización generan sobre el territorio, el presente trabajo se propone contribuir hacia la progresiva utilización de sistemas de drenaje urbano que tiendan hacia la implementación de dispositivos basados en la premisa del denominado “impacto hidrológico cero”, y que mantengan los escurrimientos superficiales en magnitudes comparables a las que se producían previamente a las impermeabilizaciones provocadas por los cambios de uso del suelo.

El alcance a dar en este caso, se centra en medidas estructurales a nivel predio para mitigar los efectos negativos que una urbanización produce sobre los procesos de transformación lluvia-escorrentía, buscando la sustentabilidad de las ciudades en el aspecto relacionado con las inundaciones.

“ ”

El proceso de urbanización genera demandas de infraestructura e introduce, en el medio natural, modificaciones que lo impactan desde diversos aspectos y provocan la continua necesidad de observación, control y mitigación. Una de las perspectivas desde las cuales puede analizarse el fenómeno es la de los cambios producidos en las proporciones de las distintas componentes del ciclo hidrológico. En un medio rural, una importante proporción del agua originada en las precipitaciones se transforma en agua infiltrada en el subsuelo, que escurre a través de los vacíos de la estructura granular de los mismos.

Se analizan distintas modalidades de reservorios de detención a instalar en un predio, consistentes con el sistema de drenaje del entorno, modelando matemáticamente los funcionamientos esperados, y se selecciona el más adecuado a las características particulares del lugar bajo la premisa de preservar los caudales erogados por el terreno en valores comparables a los que se producían previo a la sucesiva implantación de las mejoras que fueron modificando su estado natural.

Debido a la disposición y características del sistema de detención diseñado como resultado de la evaluación realizada, se obtiene un esquema que permite la implementación de un criterio moderno de manejo de los excedentes pluviométricos que contempla los efectos sobre el entorno con una postura conservacionista e integral.

Introducción y justificación del trabajo

El crecimiento de las ciudades, con diferentes ritmos, se manifiesta en todas las regiones del planeta [10], en consonancia con la creciente tendencia que presentan las poblaciones a agruparse en torno a las zonas urbanas, buscando las ventajas que representa contar con una mayor disponibilidad de fuentes de trabajo y una mejor cobertura en servicios de educación, salud y esparcimiento.

El proceso de urbanización genera demandas de infraestructura e introduce, en el medio natural, modificaciones que lo impactan desde diversos aspectos y provocan la continua necesidad de observación, control y mitigación.

Una de las perspectivas desde la que puede analizarse este fenómeno es el de los cambios que se producen en las proporciones de las distintas componentes del ciclo hidrológico. En un medio rural, una importante proporción del agua originada en las precipitaciones se transforma en agua infiltrada en el subsuelo, que ocupa y escurre a través de los vacíos que presenta la estructura granular de los suelos.

La impermeabilización del suelo mediante techos, calles, veredas y patios incrementa el escurrimiento superficial. Conjuntamente con la urbanización se canalizan y encauzan los escurrimientos, aumentándose la cantidad y velocidad de la escorrentía superficial. Se observa, además que, en la medida en que aumenta el tamaño de los terrenos de una urbanización, disminuye el porcentaje de impermeabilización provocado por aquella [2].

Esto es: El porcentaje de impermeabilización de una superficie es inversamente proporcional al tamaño de los lotes en que esa superficie ha resultado subdividida.

Una vez que las regiones metropolitanas dejan de crecer en su núcleo, comienzan a expandirse hacia la periferia, y se suceden y multiplican los problemas ocasionados por el traslado hacia aguas abajo de los excedentes pluviométricos.

A medida que aumenta el escurrimiento superficial provocado por el crecimiento de la población en la cuenca, también crece el pico de los hidrogramas generados por la lluvia, pudiendo alcanzar este crecimiento una proporción equivalente hasta 7 veces el valor de los caudales pico, correspondientes a la misma zona sin urbanización [12].

Esta problemática, de carácter netamente antrópico, se ve particularmente agravada en el área metropolitana de Buenos Aires y en el Gran La Plata, debido a la variabilidad climática presentada en los últimos tiempos y a las bajas pendientes regionales en las cuales se produce.

Más allá de esas particulares condiciones, el crecimiento de las ciudades provoca un aumento considerable de los escurrimientos pluviales, generando inundaciones diferentes a las que existían en la etapa previa a la urbanización, desafiando reiteradamente la capacidad de los sistemas de drenaje naturales preexistentes.

El desarrollo urbano provoca cambios que, desde el punto de vista hidrológico, se traducen en una modificación importante de los cauces de drenaje, la pérdida de capacidad de infiltración de los suelos, la disminución del almacenamiento superficial y el aumento de contaminantes en el agua.

Resulta impensable detener el proceso de urbanización pero sí, en cambio, cabe plantearse qué tipos de medidas pueden adoptarse para mitigar los perjuicios causados por las inundaciones resultantes.

En este aspecto, se pueden adoptar dos tipos de medidas: Estructurales y no estructurales [11].

Las medidas estructurales son obras de ingeniería destinadas a reducir el posible impacto de las inundaciones, que se proyectan para un evento de diseño, e incluyen un amplio rango de obras de ingeniería civil, como pueden ser los sistemas de drenaje (tales como el conjunto de obras de captación y conducción de los excedentes pluviométricos), las estructuras de protección (terraplenes o muros destinados a preservar al

área urbana en forma directa para impedir que el agua ingrese al sector a defender, entre otros), y las estructuras de retención o detención (como presas, embalses y reservorios).

Las medidas no estructurales incluyen políticas de concientización, reglas de operación y sistemas de alerta temprana, así como mecanismos de participación pública e información a la población, de modo que pueda disminuirse el riesgo existente y los impactos derivados de la inundación. Buscan la reducción de la vulnerabilidad de la población en riesgo a partir del planeamiento y la gestión llevados a cabo antes, durante y después de la catástrofe. Se incluyen aquí la zonificación de las áreas de riesgo y los seguros contra inundaciones.

Las soluciones estructurales más extendidas para mitigar los efectos hidrológicos que trae aparejada la urbanización tienden a evacuar rápidamente los escurrimientos pluviales, reemplazando el sistema natural de drenaje por elementos artificiales como calles, cunetas, canalizaciones y conductos colectores. Las obras resultantes, en general de costos altos, dependiendo de la ubicación en la cuenca del sector a drenar, de la etapa del proceso de urbanización en que se decide construirlas, y del mayor o menor alcance en superficie saneada, presentan la particularidad de tener una vida útil asociada no sólo a su mantenimiento, sino también, a la evolución en el tiempo del propio proceso de urbanización, que puede tornarlas obsoletas en un muy corto plazo. En su dimensionamiento se tienen en cuenta las descargas que produce la cuenca como resultado de la lluvia de diseño que se considera actuando sobre ella, y que generan escurrimientos que arriban en forma más o menos simultánea a los puntos más bajos demandando, para evitar inundaciones, la intervención mediante obras de conducción hacia otros sitios con mayor capacidad para el traslado de esos caudales.

A este concepto tradicional de evacuación rápida de los excedentes pluviométricos generados en las zonas urbanas se viene agregando en el mundo, el uso de prácticas destinadas a controlar y manejar los escurrimientos ocasionados por los procesos de urbanización. Al con-

junto de las medidas adoptadas en esa dirección se las conoce como “Mejores Prácticas de Administración” [3].

Una forma de cortar el tradicional encadenamiento: “Crecimiento de la urbanización - aumento de los caudales superficiales en circulación en la cuenca - incremento de las dimensiones del sistema pluvial de escurrimiento - continuas y crecientes inversiones públicas destinadas al saneamiento de sectores urbanizados”, consiste en atacar el problema por uno de sus puntos débiles, que es el hecho de que las lluvias siempre tienen un instante de finalización. A partir de ese momento, comienza a disponerse de mayor capacidad de conducción en los sistemas existentes.

La propuesta del presente trabajo es agregar dispositivos que permitan aprovechar esa capacidad disponible. Estos dispositivos actúan para modificar la magnitud y simultaneidad de arribos de caudales a los conductos, para que no resulte necesario aumentar sus dimensiones, aun cuando crezca la urbanización de la cuenca de aporte.

Con el propósito de afectar aquella simultaneidad de arribos, se propone intercalar en cada nuevo predio urbanizado, dispositivos de detención los cuales reduzcan los caudales a la salida del mismo, con el fin de llevarlos a valores del orden de los existentes previo al aumento de la impermeabilización, y con un cierto retraso respecto a los que se hubieran producido en la cuenca por el efecto antrópico.

Esta modalidad de intervención encierra en su seno, el concepto de “impacto hidrológico cero”, de aplicación creciente en los últimos tiempos [1], [3], [4], [5] y [8], como una forma ingeniosa de contribuir a la mitigación de los problemas de inundaciones urbanas, mejorando la calidad de vida de la sociedad, de manera que los crecimientos de las urbanizaciones resulten sustentables desde el punto de vista de los caudales generados y de las correspondientes obras de drenaje destinadas a acompañar a ese crecimiento urbano.

Se analizan distintas alternativas de reservorios de detención a instalar en un predio, consistentes con el

sistema público de desagües y las características arquitectónicas del entorno, modelando matemáticamente los funcionamientos esperados, elaborando una herramienta que contribuya a la selección del más adecuado.

En ese sentido, se propone evaluar las dimensiones asociadas a diferentes tipologías de dispositivos de detención para techos de distintas superficies, con el propósito de determinar un criterio de selección adecuado a cada caso, buscando estructuras modulares que puedan adaptarse a cada situación particular y que permitan una sencilla implementación para propender al progresivo uso como medida de manejo de los escurrimientos pluviales de cualquier medio urbano, con un criterio conservacionista e integral.

Objetivos

Se propone, para una lluvia de diseño, dimensionar dispositivos de detención a nivel predio para reducir los impactos del incremento de caudales superficiales originados por el crecimiento urbano.

a) Objetivo General:

•Promover la implementación de conceptos innovadores en el manejo de los desagües pluviales urbanos que permitan un desarrollo sustentable de las ciudades, al disminuir el impacto negativo que las impermeabilizaciones del territorio producen sobre los escurrimientos superficiales, y reducir el riesgo de colapso de las redes de drenaje por falta de capacidad de conducción.

•Diseñar dispositivos a intercalar en el sistema domiciliario de recolección de aguas de lluvia que resulten económicos, prácticos, armónicos con el entorno arquitectónico y de dimensiones fácilmente calculables en función de parámetros sencillos de medir.

b) Objetivos Específicos:

•Modelar matemáticamente dispositivos de detención a nivel predio para laminar caudales pico de escurrimientos pluviales.

•Evaluar dimensiones y características de dispositi-

vos de detención para terrenos con distintos grados de impermeabilización.

•Desarrollar una herramienta sencilla que permita obtener los volúmenes de detención necesarios para distintos escenarios de impermeabilización.

Problemas a abordar

Con el propósito de reducir los impactos negativos que los procesos de urbanización generan sobre el territorio, el presente trabajo se propone contribuir a la progresiva utilización de sistemas de drenaje urbano que tiendan hacia la implementación de dispositivos basados en la premisa del denominado “impacto hidrológico cero”.

El alcance a dar en este caso, se centra en medidas estructurales a nivel predio para mitigar los efectos negativos que una urbanización produce sobre los procesos de transformación lluvia-escorrentía, buscando la sustentabilidad de las ciudades en el aspecto relacionado con las inundaciones.

En particular, la idea a desarrollar consiste en intercalar en el sistema de desagües de cada vivienda estos dispositivos, de una manera que resulte integrada a la arquitectura de dicha construcción.

En tal sentido, se consideran dos tipos de reservorios: Cilíndricos y prismáticos rectangulares, de manera tal que pueda disponerse de alternativas de elección para cumplir las premisas indicadas.

La modelación a implementar busca el dimensionamiento de tales sistemas de detención, de modo que, en función de los distintos escenarios calculados, pueda seleccionarse el más conveniente a cada caso.

Metodología empleada

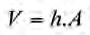
Los sistemas de detención a plantear recibirán el agua de lluvia del techo a través del conducto de bajada y tendrán un volumen que permita regular la salida al sistema pluvial a un ritmo menor en función de las características de la descarga a prever. Durante el proceso, el volumen de agua en el reservorio irá variando con el tiempo.

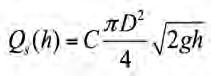
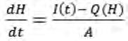
La ecuación diferencial que gobierna el fenómeno puede obtenerse partiendo de la ecuación de continuidad, como indica la Ecuación (1):

(1):

La misma representa la variación del volumen V en el tiempo para un reservorio, al cual ingresa un hidrograma de entrada dado por Qe = Qe(t) y del cual sale un hidrograma indicado mediante Qs = Qs(t). El hidrograma de entrada Qe se obtiene considerando una lluvia que incide sobre la superficie impermeable representada por el techo, que una vez colectada por el sistema de desagüe, ingresa al reservorio.

Para adoptar la lluvia de diseño se consideran las curvas I-d-R desarrolladas para la estación de Villa Ortúzar sintetizadas en la Ecuación (2), utilizada en proyectos de saneamiento hidráulico admitidos por los organismos de la provincia de Buenos Aires:

(2):

I = intensidad de la lluvia (mm/h). D = duración de la lluvia (min).

En la cual los coeficientes A, B y C, dependen de la recurrencia de diseño (R) como se consigna en la Tabla 1:

Se considera que la lluvia incide sobre un techo plano, con drenaje hacia el reservorio materializado mediante una cañería vertical de diámetro 100 mm (suficiente para trasladar los caudales resultantes en el techo hacia el reservorio sin ocasionar ningún retardo durante el proceso).

De esta forma, el hietograma utilizado, multiplicado por la superficie del techo, define el hidrograma de entrada Qe(t) al receptáculo retardador propuesto. El intervalo de simulación es de 3 minutos, por lo que se considera que la hipótesis de retardo nulo al escurrimiento en el techo es totalmente aceptable [6].

El hidrograma de salida del reservorio se calcula según la Ecuación (3):

(3):

D = diámetro del orificio de salida.

H = altura de agua en el reservorio. De acuerdo a [9], para conductos de salida de PVC, se puede adoptar C = 0,61.

Dado que la altura h de agua en el reservorio evoluciona con el tiempo, resulta Qs(h) = Qs(t), tal como consigna la Ecuación (1).

Tabla 1: Coeficientes para el cálculo de la intensidad para distintas recurrencias

Se adopta una recurrencia de 10 años por ser la recomendada para estructuras de detención del tipo de las proyectadas. Utilizando el Método de los bloques alternos se define un hietograma de diseño de 18 minutos de duración, el cual se supone actuando sobre el techo.

La Ecuación (1) es una ecuación diferencial ordinaria, y para obtener su solución se adopta la premisa que el reservorio se encuentra vacío al momento de inicio de la lluvia (h(0 seg) = 0 m). El fenómeno de la evolución de la altura de agua en el reservorio puede ser estudiado como un Problema de Valor Inicial, el cual admite diferentes formas de resolución. Debido a que uno de los datos (Qe(t)) está dado en forma discreta, no es posible aplicar métodos exactos para resolver la

Ecuación (1). Para el presente trabajo se utiliza una metodología numérica de solución, eligiéndose, dentro de los múltiples métodos de soluciones aproximadas para problemas del valor inicial, el Método de Runge Kutta Clásico de 4° Orden, ya que es uno de los más empleados por aportar un menor error en el cálculo. La expresión general del algoritmo es la indicada en la Ecuación (4), en la que las constantes K1, K2, K3 y K4 se calculan respectivamente con las Ecuaciones (4.1), (4.2), (4.3) y (4.4): (4): (4.1): (4.2): (4.3):

(4.4):

En tales ecuaciones ∆t es el intervalo de simulación adoptado y n es el orden asignado al instante de cálculo. La función f se corresponde con la diferencia de caudales Qe(t) - Qs(t) indicada en la Ecuación (1), y con la geometría del reservorio.

Actividades o etapas desarrolladas

Se concibe el reservorio como un dispositivo provisto de un mecanismo superior de desborde, para los casos en que se supere la lluvia de diseño [7], y de un mecanismo removible interceptor de los elementos que puedan trasladarse desde el techo (tales como hojas o cualquier otro residuo que pueda obstruir la salida del reservorio).

Se modela el comportamiento del reservorio para un diámetro del conducto de salida de 0,025 m, valor que

resulta compatible con la evacuación de un reservorio sin elementos que puedan obstruir la salida. Se consideran distintas superficies de techo que descargan al dispositivo de detención y, para evaluar las dimensiones necesarias del reservorio, se analizan dos tipologías.

El primer elemento de detención estudiado tiene forma cilíndrica, con paredes verticales, fondo horizontal y descarga de fondo mediante una cañería de sección circular, como se esquematiza en la Figura 1.

Figura Nº 1

Esquema reservorio cilíndrico

Para este caso, el volumen V puede expresarse según la Ecuación (5): (5):

Donde A es la sección horizontal del cilindro, que en la modelación adoptará superficies de 0,3 m2, 0,4 m2, 0,5 m2, 0,6 m2 y 0,7 m2, analizándose en cada caso, para la lluvia de diseño, la altura máxima del reservorio que resulte compatible con la máxima altura h obtenida de la modelación matemática, calculándose -correspondientemente- los volúmenes de reservorio necesario y el efecto atenuador de los caudales pico provocado por la interposición del dispositivo.

El segundo elemento de detención analizado tiene forma prismática rectangular, como se muestra en la Figura Nº 2.

Figura Nº 2

Esquema Reservorio Prismático Rectangular

Se considera estructuras con un ancho b fijo de 0,5 m, y largo L variable de modo de lograr que la altura sea, en un primer caso, de a = 0,5 m, y en un segundo caso, de 0,6 m (alturas éstas que se fijan de modo tal que permitan utilizar de manera funcional el reservorio como banco). En este caso, la altura h que resulta de la modelación se compatibiliza con los dos valores de a elegidos.

Para estos dispositivos, el volumen V de la Ecuación (1) queda expresado como indica la Ecuación (6): (6):

Resultados obtenidos

Para techos de 40 m2, 50 m2, 60 m2 y 70 m2, los resultados obtenidos para reservorios cilíndricos son los indicados en la Tabla Nº 2.

Tabla Nº 2. Dimensiones de reservorios cilíndricos para distintas superficies de techo y atenuaciones logradas

Se observa que las alturas y volúmenes de los reservorios de detención necesarios resultan directamente proporcionales a la superficie del techo a desaguar, y que a mayor superficie horizontal del reservorio, resulta menor la altura requerida del dispositivo.

La Figura Nº 3 muestra la evolución de los caudales que ingresan al reservorio de detención, y también la de los que egresan del mismo, para un techo de 40 m2 de superficie, y para una superficie horizontal del reservorio de 0,50 m2

por un lado- su implementación en distintos tipos de materiales, pudiéndose elegir aquellos que resulten arquitectónicamente compatibles con el entorno, sin una reducción significativa del espacio útil del terreno, y con costos de construcción, instalación y mantenimiento sensiblemente bajos.

Figura Nº 3

Evolución de caudales para techo de 40 m2 y reservorio cilíndrico de A = 0,5 m2

La Figura Nº 4, muestra los porcentajes de atenuación del caudal pico logrados con esa tipología de reservorio, que se encuentran en un entorno que va del 39,89% al 61,61%, valores que resultan compatibles con la idea de reducir los caudales a aquellos que se producían en el predio previo a las construcciones que impermeabilizaron parte del terreno, y que tienden así a la implementación del concepto del impacto hidrológico cero.

Finalmente, cabe señalar que, para esta forma de reservorio, los volúmenes requeridos, aún para las mayores superficies de techo consideradas, permiten -

Para techos de superficies de 40 m2 y 50 m2 se ensayan también las dimensiones necesarias de reservorios de forma prismática rectangular, de altura 0,5 m y profundidad 0,5 m, buscando el largo necesario para que funcionaran como estructuras laminadoras y que, a su vez, pudieran integrarse a la vivienda como bancos y brindarles así otra funcionalidad. Las longitudes necesarias han sido de 2,80 m y 4,0 m, y los porcentajes de atenuación de los caudales pico de 63,34% y 70,41%, respectivamente. En la Figura Nº 5 se representa la evolución de los caudales para el primero de estos reservorios.

También, se modela el comportamiento para reservorios de forma rectangular de ancho 0,50 m pero de altura 0,60 m, obteniéndose como resultados longitudes necesarias de 2,20 m y 3,20 m respectivamente; y atenuaciones de 60,24% y 67,77%.

Figura Nº 4

Porcentajes de atenuación del caudal pico para Reservorio tipo cilíndrico

Nº 5

Evolución de caudales para techo de 40 m2 y reservorio prismático rectangular (L = 2,80 m; a = 0,5 m y b = 0,5 m)

Conclusiones y recomendaciones

A la luz de los resultados obtenidos para distintas superficies de techo, se observa que si bien los volúmenes para los dos tipos de reservorios resultan razonables, para el caso de los cilíndricos la altura h resulta ser el parámetro que determina la elección de la sección más adecuada para evitar estructuras demasiado esbeltas que las puedan tornar poco estables y resulten visualmente aceptables.

En el caso de los prismáticos rectangulares, los condicionantes de elección derivan de considerar una altura compatible con la funcionalidad prevista. Esta altura reducida determina la longitud del dispositivo, por lo tanto, no resultarían recomendables para techos de mayores dimensiones a las estudiadas.

En cualquiera de los casos, los costos asociados a su construcción resultan significativamente bajos, haciendo viable su implementación.

Contribuye a esta idea su concepción como estructuras apoyadas sobre el piso, que no requieren la consideración de bombeo alguno, y que de los resultados obtenidos pueden inferirse módulos crecientes con el aumento de la superficie de los techos.

Por otro lado, desde el punto de vista hidrológico, queda manifiesta la importante atenuación de los cau-

dales pico logrados a partir de su interposición en el sistema de drenaje.

En función de los aspectos señalados, la incorporación de estos dispositivos resulta innovadora para la región metropolitana, y en particular, para la ciudad de La Plata, que ha sido sensiblemente afectada por fenómenos de inundación y, en ese sentido, se considera necesaria la implementación de una normativa que exija la aplicación de medidas estructurales como las de la presente propuesta.

Asimismo, esta modalidad de tratamiento de los desagües pluviales urbanos contribuye a la sustentabilidad de las ciudades, ya que la adopción de medidas a nivel predio evita el continuo redimensionamiento de la red de desagües, distribuyendo la responsabilidad de los cambios ocasionados en forma contemporánea con el aumento de la urbanización, y contribuyendo claramente a que dicho aumento no impacte negativamente en la hidrología de la cuenca.

“ ”

si bien los volúmenes para los dos tipos de reservorios resultan razonables, para el caso de los cilíndricos la altura h resulta ser el parámetro que determina la elección de la sección más adecuada para evitar estructuras demasiado esbeltas.

Figura

Bibliografía

[1] AGRA, S, "Estudo experimental para microrreservatórios para controle do escoamento superficial", Brasil (2001).

[2] LEOPOLD, LUNA "Hydrology for urban land planning - A guidebook on hydrologic effects on urban land use", Geological Service (U.S.A.), EEUU (1968).

[3] MAYS, L, “Urban Stormwater Management Tools, EEUU (2004).

[4] MELTON SHIRE COUNCIL, “Guidelines for onsite stormwater detention”, Melton, Inglaterra (2009).

[5] NICHOLAS, D, “On-site stormwater detention: improved implementation techniques for runoff quantity and quality management in Sydney”, Australia (1995).

[6] PILAR - BIAIN “Estudio de la Viabilidad Técnica de la Implantación de Retardadores de Escurrimiento

Pluvial en Lotes Urbanos”, Argentina (1999).

[7] SECCHI, A., MAZZÓN R, “Nuevas tecnologías para contribuir a la solución de inundaciones en grandes Ciudades”, Instituto Nacional del Agua, Centro Regional Litoral, Argentina (2000).

[8] SINGAPORE’S NATIONAL WATER AGENCY “On-site stormwater detention tank systems, Technical Guide”, Singapur (2015).

[9] SOARES CRUZ - TUCCI - DA SILVEIRA, “Controle do escoamento com lotes de detenção em lotes urbanos”, Brasil (1998).

[10] TUCCI - BERTONI "Inundações urbanas na América do Sul" , Brasil (2003).

[11] TUCCI, C. "Gestión de Inundaciones Urbanas", Brasil (2007).

[12] URBONAS B, STAHRE P, “Stormwater best management practices and detention for water quality, drainage”, EEUU (1993).

La sostenibilidad ambiental y los conflictos que intervienen y afectan la generación y ejecución de proyectos urbanos

Autora: Lic. Liliana Angélica Camusso

Email: lilifm@barimont.com.ar

El hombre y su hábitat conforman un todo indisoluble en sus componentes y accionar, un sistema retroalimentado en forma permanente en un feed-back de información y acción. Toda intervención en ese contexto generará cambios inevitables y afectará de una forma u otra la sustentabilidad, considerando la necesidad de un sistema de conservar sus rasgos esenciales para ser sostenible en el tiempo.

Todo proyecto de desarrollo urbano conforma una intervención en el medio en que se verifica, por lo tanto, debe ser estudiado en relación a los efectos factibles de ocurrencia por sus características intrínsecas. La clasificación de ventajosos o adversos de dichos efectos y su cuantificación, debe balancearse en el diseño de medidas que aseguren la potenciación de los primeros, así como el control y reversión de los últimos.

Cuando los efectos negativos de un proyecto no han sido bien articulados con los resultados positivos expectados, es factible la aparición de conflictos. Dichos conflictos, cuya intensidad varía, pueden producir la interrupción temporaria y hasta definitiva de un proyecto u obra, con consecuencias económicas y sociales de duración e intensidad difíciles de dimensionar a priori. Se impone, por lo tanto, un criterio amplio y abarcativo de gestión de conflictos para considerar y anticipar tal posibilidad. La presentación tiene como objetivo mostrar algunos mecanismos y herramientas eficaces para la gestión y control de dichos conflictos.

Introducción: Relación simbiótica entre el hombre y su hábitat

El crecimiento de las ciudades, sumando al hombre y su hábitat son indisolubles. Se determinan mutuamente en un feedback permanente de causa-efecto y es impensable suponer el uno sin el otro. El hábitat del hombre puede ser rural o urbano, intervenido o natural, pero en todos los casos, las características propias del ámbito que tratemos, las relaciones que entre ellas existen, implican un factor exógeno resultante e interviniente diferente y complementario de ese ám-

El proceso de urbanización genera demandas de infraestructura e introduce, en el medio natural, modificaciones que lo impactan desde diversos aspectos y provocan la continua necesidad de observación, control y mitigación.

Una de las perspectivas desde las cuales puede analizarse el fenómeno es la de los cambios producidos en las proporciones de las distintas componentes del ciclo hidrológico. En un medio rural, una importante proporción del agua originada en las precipitaciones se transforma en agua infiltrada en el subsuelo, que escurre a través de los vacíos de la estructura granular de los mismos.

“ ”

bito cultural que generan, y a su vez, los contiene. Dentro de ese esquema de relaciones mutuas de causa-efecto, transcurren la actividad y la vida humana. Es imposible imaginar al hombre en un esquema estático; la vida humana permanece ligada, indisolublemente, al desarrollo y avance. Las dificultades de ese avance son sólo pasos o escollos a vencer en esa puja donde el hombre juega un doble rol: Como creador y ejecutor de un proyecto y sujeto receptor de sus efectos.

Objetivos del trabajo

Es condición imprescindible, sin embargo, para el hombre y el hábitat donde define su vida, que la sustentabilidad o sostenibilidad de las características de dicho hábitat sea factible, de tal modo que la calidad de vida de la especie pueda verse asegurada en presupuestos mínimos y de ser posible, mejorada paulatinamente. Las ciudades o grandes centros urbanos constituyen hoy el hábitat natural del hombre, tanto como en épocas anteriores conformaban ese hábitat los escenarios rurales.

Obviamente, las condiciones necesarias para que no se interrumpa la relación virtuosa antes descripta, entre los elementos constitutivos de un hábitat determinado, varían de acuerdo a sus improntas intrínsecas y no serán lo mismo las exigencias de perdurabilidad de un ámbito urbano que las de un medio rural o natural, siendo las primeras ligadas en una gran parte a la infraestructura existente y su efecto sobre los factores físicos, y las segundas, mucho más comprometidas con las condiciones de los factores naturales básicos. La infraestructura urbana necesita -permanentemente- de proyectos que la adapten a los cambios implícitos en el progreso de la calidad de vida de sus habitantes y dichos proyectos deben ajustarse a variables que permitan, ante todo, la sustentabilidad en el tiempo de dicha calidad de vida.

Se ha planteado, por lo tanto, como objetivo del presente estudio, la necesidad de implementar los mecanismos básicos capaces de asegurar la viabilidad de los proyectos atinentes a los cambios estructurales que

toda ciudad establece como presupuesto mínimo de supervivencia y confort o calidad de vida.

La realización previa de evaluaciones sobre la necesidad y oportunidad de ejecución de dichos proyectos, permitirá asegurar la sustentabilidad ambiental de los mismos. Es en este contexto que los estudios ambientales juegan un rol imprescindible en la posibilidad de su concreción.

Los problemas que plantea la aparición de conflictos en la concreción de proyectos

Podemos decir, básicamente, que una evaluación ambiental de un proyecto determinado consiste en un estudio acerca de las condiciones pre-existentes en el medio a intervenir o diagnóstico del mismo, una descripción de las características del proyecto a desarrollar y la determinación de los posible efectos que tal proyecto u obra puedan causar en el medio donde se inserten.

La evaluación de dichos efectos y el diseño de medidas de prevención, mitigación y/o promoción de los mismos, completa el proceso necesario que asegure, por lo menos, los presupuestos ambientales mínimos mencionados, necesarios para una adecuada gestión de recursos y la eficacia de su aplicabilidad en el tiempo.

Ello implica, entre otros aspectos, la consideración dentro del esquema de análisis antes citado, de la realización de estudios ambientales y la utilización de técnicas de Gestión Ambiental que faciliten las decisiones a tomar.

La sustentabilidad ambiental de todo el sistema debe lograrse a través de políticas públicas estructurales las cuales aseguren las reglas de realización y efectividad de los proyectos y el marco de aplicabilidad necesario para lograrlo.

Es interesante entonces considerar llevar a cabo Evaluaciones Ambientales Estratégicas, adecuadas para definir programas y planes de gobierno como técnica de ajuste de los factores ambientales frente al desarro-

llo de los proyectos y obras que configura la actividad humana, formando parte además, de un esquema que totalice una política ambiental capaz de asegurar en el tiempo, una sostenibilidad del sistema o conjunto de alternativas constitutivas.

Sin embargo, y a pesar de la utilización de las técnicas y políticas mencionadas en el tratamiento y desarrollo de proyectos y su concreción, los conflictos ambientales constituyen una constante de aparición no deseada.

Los conflictos ambientales, al igual que la cuestión ambiental, permeable a todas las disciplinas e intrínsecamente al quehacer humano, obedecen a tantos factores como hechos, actividades y acciones importen.

¿Dónde y cómo se originan?

Dentro de la compleja relación entre las comunidades y su entorno o ámbito de inserción, existen necesidades y expectativas de satisfacción de las mismas relacionadas, directamente, con los proyectos y obras que se realicen y su forma de concreción. Cuando esas expectativas no se visualizan como satisfechas pueden surgir los conflictos, planteados como enfoques difícilmente conciliables de una misma cuestión.

El hombre es acción, movimiento y desde esa perspectiva no es factible la inexistencia de conflictos, pues toda acción conlleva una reacción, efecto o cadena de ellos en el medio donde se desarrolla. Algunos de esos efectos pueden no darse en un contexto de coincidencia valorativa por parte de la comunidad o medio involucrado, por lo tanto, puede surgir un conflicto de opiniones e intereses que obstaculicen o impidan la realización de un proyecto.

Resulta fundamental, por lo tanto, evitar la conflictividad, ya que, desde la tangencialidad del hecho ambiental en relación a la actividad humana, dicha problemática estará presente en las consecuencias socioeconómicas y su proyección inevitable en el mundo natural que es nuestro hábitat y sobre cuyos componentes incidirán con distinto rango e intensidad.

Un conflicto, una vez planteado, puede impedir la concreción de un proyecto determinado o ralentizar su ejecución, impidiendo que sus beneficios alcancen a la comunidad para la cual se han diseñado, no lleguen en su totalidad, o no se plasmen como han sido concebidos. Tal es la razón por la que deben evitarse, a toda costa, abordando la cuestión desde todos los ángulos visualizables.

Herramientas posibles en el tratamiento de la temática

Desarrollo de los conflictos

El hombre juega un doble rol ante la realización de un proyecto como creador y ejecutor del mismo y sujeto receptor de sus efectos. Los conflictos ambientales se producen, generados en una disparidad de criterios culturales, planteados en su mayoría, desde la falta de acceso a una información correcta e incentivados por los intereses que confluyen en cada caso.

Los conflictos ambientales reconocen diversas causas, entre las cuales, en general, se encuentran presentes:

•Problemas técnicos y estructurales de un proyecto a realizarse o existente.

•Problemas culturales que implican siempre a la comunidad involucrada.

•Información equivocada o mal gestionada.

•Falta de acceso a información fidedigna.

•Otros.

entre las comunidades y su entorno o ámbito de inserción, existen necesidades y expectativas de satisfacción de las mismas relacionadas, directamente, con los proyectos y obras que se realicen.

Las causales descriptas pueden ser coincidentes o no. Cuando se analiza desde el punto de vista ambiental un proyecto o una obra ya en funcionamiento, el conflicto que se prevea o verifique como existente puede tener un origen genuino, pero en general, parte de una premisa de desconfianza sobre los resultados positivos y beneficiosos de dicho proyecto, o sobre la capacidad de corrección del problema planteado en la obra.

Esta percepción de desconfianza se instala en la comunidad receptora y es difícil brindar respuesta a la misma una vez que alcanza difusión.

Una de las herramientas imprescindibles en la previsión y tratamiento de conflictos es un proceso comunicacional, apoyado en razonables datos técnicos y canales viables de ejecutividad, aptos para producir un enfoque satisfactorio para las partes involucradas.

Desarrollo del proceso comunicacional

El acto comunicacional implica la existencia, básicamente, de:

•Un emisor.

•Contenidos (información).

•Canales de transmisión.

•Un receptor.

El acto comunicacional constituye un nexo entre la comunidad y la concreción de proyectos y políticas públicas.

Es una herramienta imprescindible en la prevención y solución de conflictos ambientales. Debe instrumentarse a través de un Plan específico.

Dicho Plan debe ser abarcativo de todas las instancias del proyecto considerado o de las aristas del conflicto ya establecido. En ambos casos, el Plan Comunicacional debe estar diseñado especialmente, según sean las características a considerar.

Difieren, por lo tanto, los datos a recabar en el diseño del Plan, siendo necesario tener en cuenta ciertos parámetros diferentes en uno u otro caso: Plan Comunicacional para la Prevención de Conflictos y Plan Comunicacional para la Solución de Conflictos. Su efectividad debería depender, en ambos casos, de la relación entre:

•Objetivos a lograr.

•Rango o nivel de contenidos a comunicar.

•Tiempos (cronograma de ejecución del Plan).

•Medios o canales de difusión.

Criterios de diseño generales para el desarrollo de un Plan de Comunicación

Un Plan de Comunicación debe desarrollarse en base a:

•Objetivos previamente definidos.

•Información fidedigna y suficiente (desde el diagnóstico de base de un proyecto o desde el análisis de los componentes de una obra en ejecución).

•Canales de emisión interactivos y responsables.

•Criterios de ejecución dinámica que establezcan un feed-back permanente con la comunidad afectada.

“ ”

Una de las herramientas imprescindibles en la previsión y tratamiento de conflictos es un proceso comunicacional, apoyado en razonables datos técnicos y canales viables de ejecutividad, aptos para producir un enfoque satisfactorio para las partes involucradas.

Conclusiones

El hombre centra su accionar y vivencias en la concreción permanente de proyectos. Dichos proyectos deben concretarse asegurando los presupuestos mínimos de sustentabilidad del sistema urbano y natural.

La aparición de disimilitudes en la percepción de las necesidades y expectativas de las comunidades involucradas en el factor urbano es inevitable, pero pueden no derivar en conflictos.

Los conflictos deben preverse y evitarse, pues una vez instalados son difíciles de resolver y pueden significar

hasta la interrupción definitiva de un proyecto. La dinámica comunicacional se plantea como técnica imprescindible a la hora de evitar o solucionar conflictos ambientales entre el proyecto y su medio de inserción (comunidad involucrada).

Implica el conocimiento de las expectativas y necesidades de dicha comunidad y la participación activa de la misma. Debe permanecer estructurada en el diseño de un Plan Comunicacional elaborado según la naturaleza de un proyecto y sus características de conflictividad expectables, o sobre el análisis de datos correctos y ciertos sobre las condiciones de un conflicto ya planteado en una obra determinada.

Bibliografía

Caparellli, Mario Augusto, El Proceso de Evaluación de Impacto Ambiental, Ed. Centro Norte, San Isidro, Buenos Aires, 2010, pp. 77/79.

Pinto Mauricio y Martín Libe, Directores, La Evaluación de Impacto Ambiental y su régimen jurídico, Ed. Lajouane, Buenos Aires, p. 217.

Daniele, Claudio L., Aportes para la elaboración del Anteproyecto de Código Ambiental para la CABA. Los Procedimientos de Evaluación Ambiental Estratégica y Evaluación de Impacto Ambiental, Buenos Aires, 2007, p. 10.

Evaluación de Impacto Ambiental Estratégica, Una Guía de Buenas Prácticas en la cooperación para el Desarrollo, Directrices y obras de referencia del CAD, OCDE, 2007.

Rinaldi, Gustavo, La evaluación ambiental estratégica, Buenos Aires, 2.011.

Godet, M. (2000). La caja de herramientas de la prospectiva estratégica.

Gómez Orea, D. 2007. Evaluación Ambiental Estratégica. Editorial Mundi Prensa. Madrid. La gestión de datos como proceso de toma de decisiones. Revista Litorales.

De la demostración experta al diálogo participativo, en Revista Iberoamericana de Ciencia, Tecnología y Sociedad, CTS, Nº 8, Vol. 3, p. 97 a 113. Buenos Aires: Centro de Estudios sobre Ciencia, Desarrollo y Educación Superior.

El Desarrollo Sostenible: Una ecuación para construir conocimiento, DELOS: Desarrollo Local Sostenible. Una revista académica. Vol. 1, N º 0 (octubre 2007), Red Académica Iberoamericana Local - Global eumednet, Universidad de Málaga. Iglesias, Alicia N. y Jorge Gustavo Roco (2007).

Desafíos de la sustentabilidad del desarrollo. Estrategias de manejo del riesgo ambiental. Revista Universitaria de Geografía. Vol. 16 Nº 1. Departamento de Geografía y Turismo, Universidad Nacional del Sur. Bahía Blanca.

Alicia N. Iglesias y Adriana N. Martínez (compilación) (2008), Desarrollo territorial sostenible. Instrumentos participativos para la acción. 1a edición., 432 p., Buenos Aires: EDUCO Universidad Nacional del Comahue. Laca Arocena, Francisco Augusto (2012).

Racionalidad limitada y gestión de riesgos en la sociedad del riesgo global, en RIPS: Revista de Investigaciones Políticas y Sociológicas, Vol. 11, Nº 1, p 105 a 118. Universidad de Santiago de Compostela. Lucchetti, María Cristina (2010).

Subsuelo y sustentabilidad urbana: Desafíos y oportunidades en Santiago de Chile

La densificación del tejido urbano, junto al desarrollo creciente de la movilidad, derivados del incremento del consumo, han hecho del suelo urbano un recurso cada vez más costoso, escaso, frágil y limitado, especialmente en las áreas centrales. Ante esa situación de carencia, y la necesidad de optimizar el suelo urbano, la búsqueda de alternativas para las nuevas demandas de uso y ocupación, tienden a intensificarse y multiplicarse.

El estrato del Subsuelo, representa una alternativa real frente a requerimientos de suelo, espacio y actividades urbanas cada vez más complejas y acuciantes. El Subsuelo urbano es un recurso disponible, accesible y subutilizado en la mayoría de nuestras ciudades.

El uso y ocupación del Subsuelo urbano, permite la renovación económica de áreas deterioradas, contribuye a la eficiencia energética, a la liberación de usos conflictivos de la superficie, a la optimización de las infraestructuras, y a la recuperación del nivel cero como un espacio ciudadano y de cohesión social.

Este proceso requiere de una Re-Ingeniería y una estricta formulación entre todos los actores públicos y privados involucrados, a partir de la recuperación y optimización de áreas centrales deterioradas, lo cual permita detonar procesos de gestión y atraer las inversiones correspondientes, tal como ha venido ocurriendo en Toronto, Pekín, Boston, Singapur y Helsinki.

Introducción

La posesión efectiva del subsuelo urbano como red, surge en París en 1860, a partir de la construcción de la red de Agua Potable y Alcantarillado por el Ingeniero Eugene Beltrand. La ocupación y construcción del subsuelo se inserta dentro de una visión que plantea la necesidad de una reestructuración global del espacio urbano bajo el Barón de Haussmann, que responde al enfoque higienista a raíz del brote de cólera de 1832.

Esta nueva visión higienista del habitar urbano, contempla la apertura y trazado de calles, la construcción de la red de agua potable y alcantarillado con más de 600 km construidos, y la arborización y creación de

“ ”

La densificación del tejido urbano y el desarrollo acelerado de los medios de transporte derivados del incremento del consumo, entre otros factores, han hecho del suelo urbano un recurso cada vez más escaso, costoso, frágil y limitado, especialmente, en las áreas centrales. Ante esa situación de carencia, el suelo urbano tiende a desdoblarse y multiplicarse, buscando nuevas alternativas de ocupación.

varios Parques Urbanos. En 1900, se sumará la llegada del Metro con una red que tiene hoy más de 211 km bajo tierra y 4 millones de pasajeros al año.

La coincidencia de la red vial y le red de aducción de agua potable y aguas servidas parecen ir de la mano. En su obra Las Ciudades del futuro, Eugene Henard augura una sistematización de la superposición de esas dos redes. Redes de entrada, aducción o suministro: Sistemas de producción, acumulación, distribución y transferencia de comunicación, de energía, de agua potable y de transporte.

Redes de salida, evacuación o descargas: Sistemas de producción, acumulación, distribución y transferencia de comunicación, de transporte, de energía de alcantarillados de aguas de lluvias, de residuos y basuras, entre otros.

En la mayor parte de las ciudades, los distintos servicios para el funcionamiento urbano se desarrollan todos simultáneamente, y muchas veces, compartiendo los mismos lugares en el subsuelo. Ese subsuelo con sus redes de servicio de todo tipo han sido profusamente descriptos en la iconografía del cine y del comic.

El suelo urbano: Un bien escaso y costoso

La densificación del tejido urbano y el desarrollo acelerado de los medios de transporte derivados del incremento del consumo, entre otros factores, han hecho del suelo urbano un recurso cada vez más escaso, costoso, frágil y limitado, especialmente, en las áreas centrales. Ante esa situación de carencia, el suelo urbano tiende a desdoblarse y multiplicarse, buscando nuevas alternativas de ocupación.

La ocupación del subsuelo como alternativa permite la liberación de la superficie, ofreciendo la posibilidad de recuperar y reformular el espacio urbano, el nivel cero, como un espacio ciudadano de excelencia.

Este proceso requiere de una adecuada Formulación es-

tratégica entre todos los actores públicos y privados, a partir de una recuperación y potenciación de Áreas Centrales deterioradas que permita detonar procesos de gestión y atraer las correspondientes inversiones.

Actualmente, nos encontramos frente a un umbral de oportunidades que se abren para el subsuelo de Santiago de Chile. Asistimos a una profusión de proyectos e inversiones que tienen como sujeto principal la ocupación y construcción del subsuelo público de la citada ciudad.

Más específicamente, en el área central, se suman nuevas iniciativas vinculadas al subsuelo como las nuevas estaciones de la línea 3, el reciente Centro Cultural de La Moneda, el Proyecto de ampliación del Museo Precolombino, la cobertura de la trinchera de Av. NorteSur, los estacionamientos de la Plaza Montt Varas, entre otros.

Problemática del subsuelo urbano

Las nuevas demandas de crecimiento -construcción, movilidad y servicios- han hecho del suelo urbano en áreas centrales un recurso cada vez más escaso, costoso y limitado. Las razones que impulsan a las grandes ciudades a crecer bajo tierra tiene relación con la escasez y valor del suelo, ante la gran concentración y alta densidad de población en áreas centrales. De allí el creciente valor económico asignado al Subsuelo Público, como una alternativa para el crecimiento, la densificación y consolidación económica de esas áreas.

Este hecho, se suma a la creciente demanda ciudadana por una mejor calidad de vida, que se verifica fuertemente en mejorar las condiciones de accesibilidad hacia los Centros de Servicios, disminución en los tiempos de traslado, ahorro de combustible y accesibilidad a espacios públicos.

Sin embargo, la práctica institucional y operativa de todo el complejo engranaje de redes que sustenta la vida urbana, se ha basado en una óptica que tiene al subsuelo, solamente, como un recurso residual hasta ahora ilimitado.

El escenario actual para el desarrollo del Subsuelo, es restrictivo alimentado en primer lugar por su concepción de Espacio sobrante o Residual hasta ahora imperante, que podemos verificar desde su formulación, gestión, desarrollo y administración.

Por otro lado, también se verifica un enfoque Sectorial aplicado hasta hoy, por los organismos públicos competentes, que no consideran su potencialidad como recurso económico, energético, estratégico, etc., lo cual queda de manifiesto en la dispersión y fragmentación de los cuerpos legales contenidos en diferentes Leyes de diverso origen y aplicación, las cuales no tienen ninguna relación entre sí, y muchas veces, se contraponen entre ellas.

La experiencia pionera de la ciudad de Montreal, incorporando el subsuelo público como nuevo espacio económico, ha detonado procesos de gestión e inversión a partir de su integración y puesta en valor sobre un área aproximada de 30 hectáreas con un flujo de 600.000 personas diarias, 2,9 millones de m2 de oficinas, 15.500 estacionamientos subterráneos, 32 km lineales de comercios, servicios, hoteles, plazas, centros deportivos, universidades, etc.

Este ejemplo lo han seguido muchas ciudades como Tokio, Taipei, Helsinki, Houston, París, Singapur, etc.

La capital china, Beijing, planifica para el año 2020 una ciudad subterránea de 90 millones de m2, con 17 áreas de desarrollo y un ritmo de construcción de 3.000.000 m2 por año, con 30% de estacionamientos, 30% de red vial y el 40% para comercio y cultura. (Fuente: Acuus, 2012).

En Chile, las Áreas Centrales o de alta actividad e intensidad urbana se reconocen como Centros de Servicios, Centros Comerciales y Centros de Transporte.

A la luz de la experiencia internacional y de lo estratégico que resulta actuar en este ámbito, la replicabilidad de la experiencia canadiense en las Áreas Centrales de las principales ciudades de Chile, puede ser un aporte a la nueva Política de Desarrollo Urbano de su Ministerio de Vivienda y Urbanismo, actualmente, en proceso de desarrollo.

Santiago de Chile: Subsuelo y sustentabilidad

El distrito de Santiago Centro, es el principal y primer núcleo urbano económico y social del país. Contiene el casco histórico con su fuerte carga simbólica y patrimonial que representa la identidad de Chile, concentrando las principales actividades e instituciones de la Nación, entre ellas, los poderes públicos, civil, militar, religioso, económico y social de la Nación, además de toda la oferta de servicios propios de un centro financiero y metropolitano como es la Capital de Chile. En Chile, las Áreas Centrales o de alta actividad e intensidad urbana se reconocen como Centros de Servicios, Centros Comerciales y Centros de Transporte. Estas áreas representan un importante mercado concentrado en espacios relativamente pequeños: 15 a 30 hectáreas, socio-económicamente diversos, y con una afluencia diaria de miles de personas.

Santiago Centro recibe, diariamente, más de 1.500.000 personas (Fuente: IMS, 2012) que acuden a centros de comercio, educación, servicios y transporte.

Durante el último tiempo, junto a la densificación, la escasez y creciente carestía del suelo, sumado a la falta de alternativas de crecimiento urbano, en la mayoría de las ciudades de Chile, la ocupación del Subsuelo Público ha venido acentuándose, como alternativa de uso y ocupación para estacionamientos, centros comerciales y culturales.

Por lo tanto, el uso y ocupación del Subsuelo Público como una solución urbana tecnológica y constructiva, viene a constituirse en una importante alternativa de crecimiento urbano y económico para el mercado inmobiliario y de la construcción.

Las áreas centrales urbanas, centros de servicios, centros comerciales y centros de transporte son una gran fuente de empleo, de negocios y también de una imagen urbana. Las obras construidas en el subsuelo tienden a ser irreversibles o de muy costosa restitución, de allí la necesidad de contar con una visión y planificación urbana adecuada a esta nueva realidad, para una correcta y rápida toma de decisiones en proyectos de inversión.

Por otra parte, como consecuencia de la falta de información sobre las características y potencialidad de uso del subsuelo público, se ha incurrido en altos costos financieros por retraso de las obras, incluso, existen antecedentes de trabajos que se han paralizado con todos los efectos correspondientes.

A continuación, se desarrolla un panorama de los principales componentes y características que inciden o condicionan el estado de situación actual que presenta el uso y ocupación del subsuelo en el distrito de Santiago Centro.

Subsuelo Urbano y Status Jurídico

El régimen de asociatividad público-privada en Chile, en el ámbito de las obras urbanas, aún es precario jurídicamente, por ser nuevo, y por el nivel de complejidad que implica. Lo dicho se manifiesta en la carencia de instrumentos idóneos para las tareas de administración de régimen mixto, en las cuales se insertan las intervenciones en el subsuelo urbano.

Es innegable que el derecho público demuestra un avance para abrir espacio al desarrollo de la actividad inmobiliaria en el subsuelo. Por ello, es necesario revisar y modernizar nuestro ordenamiento jurídico, permitiendo con ello, la mayor posibilidad de relaciones jurídicas que permitan desarrollos y negocios respecto de las 3 dimensiones del dominio inmobiliario: La Doctrina Jurídica, que establece y sienta precedencia sobre el estado del arte, los Instrumentos o Cuerpos Jurídicos, los cuales garantizan los dominios operantes, y las atribuciones de Administración, que asumen la operación y gestión real de este tipo, de modo de con-

tar con una normativa capaz de asegurar la protección de los operadores frente al vacío hoy existente.

Lamentablemente, aparte de la copropiedad inmobiliaria, no existe norma la cual permita considerar al subsuelo como una especie o cuerpo cierto distinto a la superficie que lo cubre, de modo de poder ejercer respecto de éste las facultades de uso, goce y disposición de manera independiente.

Con todo, esa situación no ha impedido que las facultades de uso y goce respecto de estas otras dimensiones de la propiedad raíz, se hayan cedido a favor de terceros. Por ejemplo, las concesiones de bienes públicos, como estacionamientos y locales comerciales. También, mediante la contratación privada se ha cedido el uso y goce del subsuelo.

Enfoque sectorial y contradicción entre dos órdenes: Suelo y Subsuelo

El uso y ocupación del Subsuelo urbano presenta un escenario restrictivo, dado por su condición de Espacio Residual, nunca considerado en su potencialidad como recurso económico, energético, y estratégico, que queda de manifiesto en la dispersión y fragmentación de los Cuerpos legales contenidos en diferentes Leyes de diverso origen y aplicación.

En otras legislaciones como la francófona y española, (Montreal-Bilbao), el desarrollo del Status Jurídico del Subsuelo urbano ha ido de la mano con una visión innovadora del recurso como un valor urbano estratégico. Este nuevo status legal ha permitido incorporar el Subsuelo dentro de una Planificación Estratégica, Económica y Urbana que propicia y permite su planificación, explotación, administración y operación, vía arrendamiento, concesión, reserva; formulando nuevos usos y ocupaciones en que todos ganan.

En Chile, sin embargo, a pesar del escenario legal poco propicio para su desarrollo, la ocupación del Subsuelo se ha realizado y opera actualmente con cuatro herramientas jurídicas:

1. Ley del Metro/Ley 18.772 de 1989 (exclusivamente para Santiago): Fija las normas de ejecución, operación, administración, mantención y explotación del Subsuelo para el desarrollo del Metro, por ejemplo, sus Estaciones.

2. Ley de Concesiones MOP/D.S. MOP Nº 900 de 1996: Permite otorgar la ejecución, operación, administración y mantención de privados sobre un subsuelo público, por ejemplo, el caso del Centro Cultural de La Moneda.

3. Ley de Estacionamientos Subterráneos / Ley 18.695, Ley Orgánica de Municipalidades de 1995: Permite otorgar la concesión del subsuelo público solo para estacionamientos subterráneos. Por ejemplo, el caso del Estacionamientos Santa Rosa.

4. Servidumbres de Paso / Art. 822 y Título IX del Código Civil: Permite gravar subsuelo de régimen privado con un uso público. Por ejemplo, el caso de las Galerías de conectividad del Centro.

Otros Cuerpos Legales no Operantes son:

5. Ley de Financiamiento Urbano Compartido FUC / Ley 19.865 de 2003: Permite en régimen de Asociación Público-Privada, cofinanciar obras urbanas, incluido el subsuelo.

6. Ley de Soterramiento de Redes (En estudio en el Congreso chileno): Permite racionalizar la operación, distribución y mantención de redes de servicio público. Por ejemplo, el caso del Poliducto Apoquindo. Aparte de la copropiedad inmobiliaria, no existe norma que permita considerar al subsuelo como una especie o cuerpo distinto a la superficie que lo cubre, de modo de poder ejercer respecto del mismo las facultades de uso, goce y disposición de manera independiente. Con todo, esta situación no ha impedido que las facultades de uso y goce respecto de estas otras dimensiones de la propiedad raíz, se hayan cedido a favor de terceros. Por ejemplo, en las concesiones de bienes públicos, como estacionamientos y locales comerciales. También,

mediante la contratación privada se ha cedido el uso y goce del subsuelo.

Subsuelo urbano y espacio económico

El conocimiento científico de la composición y dinámica de los estratos del subsuelo, el avance de las nuevas tecnologías, junto a los cambios en los hábitos de consumo, han hecho posible formular a la luz de la propia experiencia adquirida, una construcción y ocupación del subsuelo con una connotación cada vez más positiva, vale decir, una construcción y ocupación del subsuelo como un nuevo espacio económico y urbano. A partir de algunas experiencias extranjeras, la incorporación del Subsuelo ha reconocido como base la reformulación de un nuevo espacio de oportunidad económico y urbano, como nuevas Áreas de Centralidad. Así lo demuestran las experiencias de Montreal, Toronto, Seoul, Lyon, etc.

La creciente dinámica de inversiones realizada en el subsuelo de Santiago, a partir de las concesiones urbanas en curso, túneles, estacionamientos, espacios comerciales, poliductos, obras viales, etc., representan una gran oportunidad para repensar la ciudad en esta tercera dimensión. Asumir ese enfoque integral en la construcción y ocupación del subsuelo, requiere de un esfuerzo adicional donde se deben conjugan fuertemente los sistemas de infraestructuras urbanas, las nuevas tecnologías y los elementos de diseño urbano. Las redes de servicios e Infraestructura localizadas en el subsuelo, más allá de su lógica funcional y su indispensable contribución a la calidad de vida y economía urbana, constituyen elementos estratégicos para el funcionamiento de la ciudad.

El innegable rol que le cabe al subsuelo en la conformación de una nueva dimensión urbana, a partir del impacto social, de los recursos involucrados y de la envergadura de las obras, implica una gran responsabilidad y reto profesional a los actores de la Ciudad, tanto para su propia vigencia, como para la calidad de vida de sus habitantes.

Dentro del marco que impone una economía global, se abren importantes oportunidades en el Subsuelo Urbano, marcado por una nueva valoración económica y la enorme potencialidad que representa ese recurso, dinámica que en Chile recién comienza a emerger.

Subsuelo y planificación urbana

Del análisis de la experiencia de planificación de otros países, en la ocupación y uso del subsuelo, podemos observar que surge de un proceso de elaboración de una Visión y Norma jurídica que los precede, sostiene y fundamenta. Es el caso de países con legislaciones más avanzadas como la francófona y la legislación española, donde el desarrollo del status jurídico del subsuelo urbano, ha venido de la mano con una visión innovadora del recurso como un valor estratégico.

Este nuevo status legal ha permitido incorporar el subsuelo dentro de una Planificación Estratégica, Económica y Urbana que propicia y permite su explotación, administración y operación, vía arrendamiento, concesión, reserva, etc., formulando nuevos usos y ocupaciones en que todos los actores involucrados ganan, sistemas ya aplicados y con gran desarrollo en las ciudades de Madrid, Toronto, Montreal, Bilbao, Lyon, entre otras.

Al contrario, para efectos de la Planificación Urbana del desarrollo del subsuelo urbano, en nuestra normativa chilena vigente, existe una contradicción entre dos órdenes superpuestos:

•El Suelo de Superficie y el Subsuelo, debido a la no consideración del Subsuelo como un potencial recurso y espacio urbano, dentro de los Instrumentos de Planificación Territorial. Esta situación se manifiesta en una gran incoherencia entre los criterios de la Planificación Horizontal o en superficie (Nivel 0 hacia arriba) y sus Instrumentos de Planificación correspondientes: Plan Regulador Comunal, Seccionales y Normativas.

•Por otra parte, los criterios operativos de la Planificación Vertical o del Subsuelo (Nivel 0 a -10 m.) relativos solamente al Uso del Subsuelo Público, como depositorio de redes de servicio, que no cuentan con Cuerpos Legales específicos a su naturaleza, los cuales brinden cuenta de la configuración y complejidad del subsuelo urbano, por ejemplo, en preexistencias, trazados, redes y servicios, vestigios históricos, fuentes de aguas, etc.

Un ejemplo de Visión y adecuada Planificación del recurso del uso eficiente del espacio del subsuelo se encuentra en la ciudad de Helsinki, Finlandia, donde se planifica y reserva el empleo futuro de los espacios subterráneos, conviviendo proyectos estratégicos, comerciales, de transporte, culturales, entre otros.

La ciudad de Shanghai, en China, también es un ejemplo acerca de cómo una ciudad puede tener problemas de funcionamiento si no existen normas de planificación adecuadas. En las últimas dos décadas, la disposición del espacio subterráneo en Shanghai, como en muchas otras ciudades chinas, ha estado creciendo rápidamente sobre el espacio de reserva del subsuelo, lo cual ha causado grandes dificultades. Por ejemplo, los planificadores urbanos se han visto obligados a desviar las líneas proyectadas del metro, debido a que los cimientos de los edificios recientemente construidos, se extienden más allá de los esperados 16 metros por debajo del nivel permitido.

En Shanghai y Beijing, las regulaciones locales han sido puestas en práctica para coordinar el uso de espacio del metro y evitar conflictos espaciales mediante la regulación, especialmente respecto de los estacionamientos y usos comerciales, que las inmobiliarias pueden utilizar bajo los grandes rascacielos.

Cerca de 20 ciudades en China cuentan con planes reguladores para el uso del subsuelo urbano. Los planes muestran los metros cuadrados disponibles, la ubicación de los mismos, la función, profundidad y escala de tiempo para el desarrollo planificado de los proyectos.

Subsuelo urbano y seguridad

Las condiciones de compacidad y plasticidad que conlleva el estrato del Subsuelo urbano, actúan como una membrana dúctil, que permite reducir y absorber de mejor manera los impactos y energías liberadas por los sismos.

Chile, como país sísmico de larga historia, cuenta con una legislación antisísmica muy avanzada: La Norma NCh 433, para Cálculo Antisísmico de Edificios de 1966 y recién actualizada a raíz del 27-F, como normas de diseño sísmico y cálculo de hormigón (NCh 433 y NCh 430).

Su carácter legal obligatorio y una estricta aplicación en todas las nuevas edificaciones del país, ha garantizado que todas las construcciones realizadas en el suelo y subsuelo tengan un adecuado nivel de resistencia y comportamiento antisísmico, más allá de los índices registrados. Prueba de ello es que en el gran último sismo del 27 de Febrero de 2010 (27-F), no se registraron mayores daños en el Metro, ni en otras estructuras subterráneas.

Actualmente, se trabaja en un proceso de certificación sísmica de estructuras, a partir de las siguientes normativas NCh 3.357: Diseño sísmico de componentes y sistemas no estructurales, NCh 3.359: Requisitos para edificaciones estratégicas y de servicio comunitario, NCh 2.745: Análisis y diseño sísmico de edificios con aislación sísmica, NCh 1.508: Estudio de Mecánica de suelos, NCh 3.364: Geotecnia para ensayo de penetración estándar, entre otras.

Asimismo, esta cultura sísmica viene desarrollando, desde hace un tiempo, una serie de nuevos componentes sismoresistentes para la edificación, tanto en superficie como en el subsuelo, como aisladores sísmicos elastoméricos, dispositivos disipadores de energía, tecnologías de protección sísmica, entro otros esquemas.

La ocupación con diferentes actividades humanas en el subsuelo es posible, y puede darse naturalmente desde el nivel 0 hasta el nivel -10 m, sin mayores problemas (Montreal y Toronto desarrollaron ciuda-

des subterráneas con más de 32 km de extensión, 15 m de profundidad y gran diversidad de actividades).

La ocupación del estrato se realiza mediante adecuadas estrategias de diseño sustentable, que permitan la entrada y circulación de la luz, el aire, el Sol, el agua y los espacios verdes. Un adecuado desarrollo y conectividad entre estos niveles permite disminuir o borrar las diferencias entre suelo y subsuelo, y la sensación de encierro y de espacios confinados. Un desarrollo adecuado de esas condiciones contribuye, además, a realizar evacuaciones rápidas en situaciones de emergencia.

Subsuelo urbano y eficiencia energética

La propia constitución del subsuelo urbano como un cuerpo opaco, lleno y compacto entre el nivel 0 y -10 m, presenta una temperatura media de 16 ºC, la cual se mantiene constante. Este hecho actúa como un acondicionador térmico natural de gran eficiencia, entre el día y la noche, lo que permite importantes ahorros de energía.

Este potencial energético existente en el subsuelo urbano, no ha sido aprovechado aún en Chile, como en otros países con climas extremos, como Canadá, los países nórdicos, o en el caso contrario, de ciudades con altas temperaturas como Houston, Emiratos árabes, para su desarrollo y ocupación urbana.

La ocupación del Subsuelo permite establecer nuevos usos para liberar el nivel de superficie para otros empleos (+- 0,00) como el principal estrato asociado a las condiciones del medio ambiente urbano que contiene las mejores opciones de asoleamiento, luz natural, ventilación, aire, agua y espacios verdes.

Algunos ejemplos de aplicación pueden ser la Energía Geotérmica para calefacción, Escurrimiento y permeabilidad de aguas de lluvias para su reciclaje, Depósitos y plantas de agua, electricidad y energía geotérmica, soterramiento de redes de servicio e infraestructuras, entre otros.

Subsuelo urbano e innovación

Actualmente, los cambios tecnológicos en el suministro y operación de redes, nuevas capacidades, materiales, tecnologías y controles digitales, han posibilitado una reorganización funcional y racionalidad espacial de las actividades del subsuelo, como por ejemplo, las tecnologías topo, la pared moldeada, la prefabricación de componentes, los poliductos, entre otros artilugios, posibilitando una reformulación de los usos y prácticas en el nivel cero.

Las tendencias globales del mercado en cuanto a gama tecnológica en la industria de la construcción pasan por los desarrollos de materiales inteligentes, amigos del medioambiente, flexibles y modulares, de altas prestaciones, rápidos, fáciles y de aplicación universal.

Estos nuevos diseños de fabricación para distintos productos móviles, pueden emplearse en diversos procesos según su necesidad y pueden transportarse ahorrando costos en instalaciones complejas, permiten la movilidad, implantación geográfica y un mayor acercamiento a la fuente de las materias primas.

Algunos ejemplos pueden encontrarse en componentes especiales que comprenden aditivos inteligentes y moleculares, morteros resistentes al fuego, fibras especiales, aditivos para diseños de hormigones de 100 años, productos ecológicos y seguros para consolidación de terrenos, sistemas controlables de calidad, morteros acústicos y aislantes de última generación, sistemas y productos de estanqueidad para juntas, entre muchos otros.

Subsuelo urbano y cultura

Las ciudades como organismos complejos también muestran sus capas de historia superpuestas, las cuales guardan la memoria colectiva de una Nación. Entre el nivel 0 y -10 m, es posible encontrar un importante patrimonio cultural, histórico, arquitectónico, arqueológico, etc. Ruinas, cementerios, vestigios, túneles, los cuales deben reconocerse y ponerse en valor urbano y

“ ”

La necesidad de dejar huella o brindar identidad a los espacios, es tan antigua como el hombre, y en consecuencia, los usos contemporáneos mantienen esa capacidad con los lenguajes de la época. Sin embargo, desde el Metro, la ciudad tiende a borrarse y ser imprecisa, pues en el espacio subterráneo no existen referencias, ni pertenencia urbana, no hay clima, ni topografía, ni cielo, son los No Lugares declarados por Marc Augé. Pero aun así, el Metro pertenece al imaginario de la ciudad, forma parte de las entrañas vibrantes que la hacen posible.

económico para integrarse a la estructura urbana, tal como se hizo en la Estación Calicanto.

Dadas las restricciones que actualmente presenta la Ley de Monumentos Nacionales, para la recuperación de inmuebles patrimoniales, la ocupación del subsuelo, podría añadir usos compensatorios en el subsuelo, para tornar factible y rentable el uso del patrimonio histórico.

Por ejemplo, el Museo Precolombino actualmente se amplía hacia abajo como alternativa de crecimiento, que podría ser aprovechada para conectarse a la futura estación del Metro de Santiago de Chile, y así captar un mayor número de público.

Por otra parte, el Metro, como eje estructurante del transporte público de Santiago de Chile, cuenta con 3.000.000 de pasajeros diarios quienes se movilizan a través de 112 km de extensión sobre 4 líneas, con 110 estaciones subterráneas.

La necesidad de dejar huella o brindar identidad a los espacios, es tan antigua como el hombre, y en consecuencia, los usos contemporáneos mantienen esa capacidad con los lenguajes de la época. Sin embargo, desde el Metro, la ciudad tiende a borrarse y ser imprecisa, pues en el espacio subterráneo no existen referencias, ni pertenencia urbana, no hay clima, ni to-

pografía, ni cielo, son los No Lugares declarados por Marc Augé. Pero aún así, el Metro pertenece al imaginario de la ciudad, forma parte de las entrañas vibrantes que la hacen posible.

El viaje en Metro, se realiza en un ambiente artificial, con trayectos repetitivos y conocidos, esa situación tiende a automatizar la experiencia, transformándolo en un tiempo muerto o subutilizado. Desde allí surge la necesidad y distintas maneras de aprovecharlo.

En el año 1992, Metro Arte nace como una propuesta de comunicación abierta, directa y masiva, que le otorga un Nuevo Valor al tiempo de los 3,5 millones de pasajeros diarios del Metro de Santiago de Chile, utilizando para ello, el espacio subterráneo de las estaciones.

Después de 20 años de gestión, 30 estaciones ofrecen un espacio con más de 50.000 m2 destinados a la cultura, abierto al cine, teatro, ballet, música, ajedrez, libros, graffiti, y 4 salas culturales. De este modo, el Metro se ha convertido, por su accesibilidad, masividad y presencia pública, en una de las mayores ofertas culturales del país, atrayendo, además, otras actividades que potencian la oferta de ese transporte.

Potencialidades y oportunidades del uso y ocupación del subsuelo urbano

El uso y ocupación del subsuelo urbano, permite optimizar y concentrar nuevas inversiones para el desarrollo inmobiliario y de servicios.

Incorporación de un nuevo espacio económico: El uso y ocupación del subsuelo urbano, permite una oferta de nuevos negocios al disponer de dos o más niveles bajo superficie para: Turismo, comercio, gastronomía, cultura, equipamiento, servicios, deporte, transporte, etc.

Soterramiento e innovación de servicios urbanos: El uso y ocupación del subsuelo urbano, permite una optimización de infraestructuras, tales como el soterramiento de servicios, depósitos y tratamiento de agua,

subestaciones de energía, puntos limpios, tratamiento de basura, etc.

Mejoramiento de accesibilidad urbana: El uso y ocupación del subsuelo urbano, permite mejorar y optimizar la accesibilidad en áreas centrales, posibilitando transporte público, estacionamientos de bicicletas y motos, estacionamientos rotativos, terminales de colectivos y taxis.

Gestión urbana sustentable: El uso y ocupación del subsuelo urbano, es posible en base a una gestión urbana inteligente y sustentable, basándose en la exitosa experiencia de casos extranjeros, que es posible sistematizar y replicar.

Disminución de externalidades negativas: El uso y ocupación del subsuelo urbano, permite acotar los niveles de ruido, disminución de los niveles de gas carbónico, alternativas para infiltración del agua y recarga de napas freáticas, además de ahorros en materia de eficiencia energética.

Recuperación de espacios urbanos deteriorados: El uso y ocupación del subsuelo urbano, permite la recuperación económica y puesta en valor de espacios públicos y áreas urbanas subutilizadas o deterioradas en las áreas centrales.

Valoración de condiciones de calidad de vida: El uso y ocupación del subsuelo urbano, permite la localización de actividades compatibles en el subsuelo, optimizando las condiciones de calidad de vida urbana: Accesibilidad, seguridad, funcionalidad, calidad, vistas, asoleamiento, ventilación y espacios de encuentro social en la superficie.

Optimización e integración de normativa urbana: El uso y ocupación del subsuelo urbano, permite integrar cuerpos legales atomizados que manifiestan dos realidades antagónicas, las cuales se superponen: Un territorio horizontal y un territorio vertical. El uso del subsuelo conforma un impulso concreto para el desarrollo de una planificación integral en tres dimensiones.

Conclusiones

La creciente dinámica de inversiones realizada en el subsuelo de Santiago de Chile, a partir de las concesiones urbanas: Túneles, estacionamientos, espacios comerciales, acueductos y otros; representan una gran oportunidad para repensar la ciudad en una tercera dimensión.

Asumir ese enfoque integral en la construcción y ocupación del subsuelo, requiere de un gran esfuerzo para conjugar fuertemente las infraestructuras urbanas, las nuevas tecnologías y los elementos de diseño urbano. Uno de los desafíos pendientes radica en la necesidad

de formular espacios de articulación precisos entre autoridades, desarrolladores y operadores, a fin de potenciar un equilibrio, el cual permita, a cada uno, desarrollarse complementariamente, como por ejemplo:

•La realización de un Catastro del Subsuelo urbano para saber con certeza qué hay y cómo es ese subsuelo.

•La definición del fundamento Jurídico del dominio del subsuelo urbano, a partir de la práctica y demandas actuales.

•La definición de un Marco de Incentivos económicos para desarrollar el uso, gestión, y administración del subsuelo.

Bibliografía

1. Bélanger Pierre. “Underground Urbanization“. Advances in Underground Space Development. Zhou, Cai, Sterling Editores. ACUUS. 2013. Singapore.

2. Lim Eng Hwee and Hoo Richard. “Exploiting the potential of Underground space in Cities“. Advances in Underground Space Development. Zhou, Cai, Sterling Editores. ACUUS. 2013. Singapore.

3. Schmidt Francisco. “El Subsuelo, elemento estratégico para una planificación urbana sustentable“. Memorias del IV Congreso Mexicano de Ingeniería de Túneles y Obras Subterráneas. AMITOS. 2014. México, D.F. México.

4. Schmidt Francisco. “Desafíos y Oportunidades en la Ocupación del Subsuelo”. Revista Obras Subterrá-

neas. Amitos Nº 6. 2014. México, D.F. México.

5. Schmidt Francisco. “The Las Condes Underground Center in Santiago”. Advances in Underground Space Development . Zhou, Cai, Sterling Editores, ACUUS, 2013. Singapore.

6. Schmidt Francisco. “Underground and new Central Areas”. World Tunnel Congress ITA AITES editors. 2012. Bangkok, Thailandia.

7. Sterling Raymond and Nelson Priscilla. “City Resiliency and Underground Space Use“. Advances in Underground Space Development. Zhou, Cai, Sterling Editores. ACUUS. 2013. Singapore.

8. Vähaälo Ilkka. “ 0-Land Use: Underground resources and Masterplan in Helsinki“. Advances in Underground Space Development. Zhou, Cai, Sterling Editores. ACUUS. 2013. Singapore.

Principios de sustentabilidad en la planificación de ciudades

Autores: Ing. Osvaldo Russo y Dr. Ing. Alejandro Juan Sarubbi

Email: ingosvaldorusso@yahoo.com.ar

La ciudad representa, indiscutiblemente, una tipología trascendente de territorio. Su carácter de “territorio organizado” y la creciente complejidad de los flujos de energía, materia y comunicación, que lo determinan como sistema y condicionan su nivel de sustentabilidad, continúan concitando el interés de investigadores, gestores y planificadores preocupados por sostener y elevar la calidad de vida de los habitantes urbanos. Frecuentes intentos de gestionarla y de planificar su crecimiento y organización bajo pautas metodológicas e instrumentales tradicionales han fracasado.

La razón de esos fracasos subyace en la subestimación y/o el desconocimiento de la dialéctica de la ciudad con su región, hecho que la posiciona como una escisión territorial contraria a los conceptos básicos del desarrollo local y regional.

Concurrentemente, la idea de “ciudad global”, en su sentido intrínseco de “red de ciudades globales”, compromete y complejiza la tarea de gestión y planificación de las ciudades en general, y de la ingeniería urbana en particular.

El presente trabajo se propone como objetivo central evaluar las posibilidades y dificultades para la eficaz gestión y planificación de la ingeniería urbana en el contexto del incipiente proceso de globalización mundial.

La metodología aplica elementos básicos de la teoría general de funcionamiento de los sistemas abiertos, de incuestionable pertinencia con el metabolismo propio de las ciudades, con énfasis en los conceptos de sustentabilidad, territorialidad y gestión ambiental.

Los resultados del trabajo destacan la necesidad de adoptar modelos de gestión y planificación urbana inclusivos de la complejidad, la transdisciplina, la creatividad, la innovación y la sustentabilidad.

Introducción

La ciudad representa una tipología trascendente de territorio. Su carácter de “territorio organizado” y la creciente complejidad de sus flujos de energía, materia y comunicación, que la determinan como sistema y condicionan su nivel de sustentabilidad, demandan un cambio de paradigma para tratar las cuestiones inherentes a su gestión y/o planificación.

La ciudad, las ciudades, son territorio por excelencia, formando parte del territorio que las contiene. De hecho, aunque puede haber territorio sin ciudades, jamás puede haber ciudades sin territorio. Históricamente, han sido el escenario central en el cual se han originado y desarrollado los procesos más significativos para la humanidad. Contemporáneamente, acreditan una sinergia que las convierte en polos receptores del creciente y mundialmente extendido proceso de aglomeración urbana.

Los cambios globales contemporáneos introducen el desafío de pensar el territorio desde una perspectiva inclusiva del desarrollo y la sustentabilidad, y la preocupación por sustentar los valores propios de la identidad de sus habitantes en armonía con el desarrollo local y regional. Afrontar tal desafío permitirá, al menos, ingresar al campo de la globalización en condiciones relativas más favorables.

La ciudad, las ciudades, son territorio por excelencia, formando parte del territorio que las contiene.

De hecho, aunque puede haber territorio sin ciudades, jamás puede haber ciudades sin territorio.

Históricamente, han sido el escenario central en el cual se han originado y desarrollado los procesos más significativos para la humanidad. Contemporáneamente, acreditan una sinergia que las convierte en polos receptores del creciente y mundialmente extendido proceso de aglomeración urbana.

En la naturaleza de la ciudad se expresa la irrenunciable dialéctica que la compromete con su región de pertenencia. Precisamente, la consideración de esa dialéctica resulta de ineludible ponderación en todo proceso de planificación y gestión de ciudades.

Actualmente, el axioma de “ciudad como producto social” se ve amenazado ante lo que muchos pronostican, como desterritorialización creciente, resultante de una globalización económica a ultranza.

Un diagnóstico ajustado al alcance de este trabajo, permite inferir que los intercambios sociales, el desarrollo local sustentable, el respeto a la diversidad cultural, pierden terreno frente al avance pretendidamente homogeneizador derivado de la globalización.

Marco conceptual

Frente a la problemática de la planificación de ciudades resulta fundamental reconocer algunos factores de singular importancia.

En primer lugar, los conceptos de Territorio y Sustentabilidad. A partir de ellos se derivan, con igual grado de importancia, conceptos asociados tales como Desarrollo, Ambiente y Calidad de Vida.

Pensar el territorio es tratar de comprenderlo partiendo de su significación, y entender que son sus habitantes quienes le dan sentido y significado. También, es aceptar que los habitantes hacen propio el territorio construyendo y que su construcción debería consistir, en esencia, en “erigir y cuidar”, individual y colectivamente, mejorando su “ser mortal” en el espacio naturalmente predestinado para su existencia.

En cuanto al concepto de Sustentabilidad debe destacarse, en primer lugar, su carácter sistémico y complejo. Se evalúa, por lo tanto, la sustentabilidad de un sistema que, por su carácter abierto, registra ingresos o insumos, y genera, a través de la interacción de las múltiples variables que lo conforman, salidas o productos. El grado de sustentabilidad del sistema resulta de la evaluación de aquellas salidas, o productos, sujetas a análisis.

Desde una perspectiva menos genérica, cabe destacar que la ciudad es un sistema conformado por un complejo conjunto de variables, en el cual los parámetros o grados de sustentabilidad resultan condicionados en su concreción o valoración por actores de intereses convergentes y/o divergentes.

El territorio de una ciudad es equipado respondiendo a una necesidad social de habitabilidad y desarrollo, organizado sobre las mismas premisas y exigencias básicas de funcionalidad, y emplazado en un medio natural que requiere de sus habitantes un comportamiento, individual y colectivo, ético y responsable.

Desde la premisa de articular la conservación y el desarrollo, propia de toda mirada ingenieril conciente del impacto territorial y ambiental generado por las obras ejecutadas por el hombre, y tomando la debida distancia de interpretaciones formuladas desde posiciones ecocéntricas o biocéntricas extremas, la sustentabilidad de las ciudades debe fundamentarse a partir de su consideración como sistema socioecológico total.

La Globalización, como concepto, está sujeta a discusión, ya que existen opiniones muy variadas acerca de su real alcance y de la creciente significación que se le atribuye. Incluso, existen quienes niegan que la globalización constituya un proceso novedoso y lo asimilan a anteriores experiencias de mundialización, y otros que la relativizan sugiriendo que simplemente se trata de un proceso de cambio económico que registra, históricamente, muchos antecedentes comparables.

Sin embargo, independientemente de la consideración que le confieran diferentes autores, resulta necesario asumir su caracterización, ya que la influencia que ejerce sobre el territorio y el desarrollo de nuestras ciudades, especialmente las más importantes, es un elemento muy significativo a considerar en la planificación y gestión urbana.

Se adopta entonces como hipótesis que la globalización refiere a “las tendencias de los fenómenos sociales a poseer un alcance, un impacto, una interconexión mundial, o acompañadas de una conciencia planetaria de los actores sociales”. En este sentido, admitiría una descomposición en dimensiones económicas, políticas y/o culturales, reconociendo dos importantes vectores de cambio en la tecnología y las finanzas.

A fin de ajustar el trabajo a su alcance específico, el amplio y diverso sentido que se le confiere al término "desarrollo" se limita, en principio, a la definición de desarrollo sustentable adoptada por la Comisión Económica para América Latina y el Caribe: “Transformación productiva con equilibrio ecológico y equidad distributiva”. El desarrollo, concebido e interpretado desde la perspectiva de la sustentabilidad, apunta a la preservación del ambiente y a la mejora de la calidad de vida.

Estos conceptos centrales, en la realidad, se relacionan y evolucionan permanentemente condicionados por factores de poder que también requieren ser considerados y evaluados críticamente.

Esos poderes se organizan en términos de autoridad y derecho que, cuando se subordinan y responden a principios económicos dominantes, determinan tipos

de organización social que conciben el desarrollo centrado en la economía, desde una perspectiva unilateral no sustentable.

Sustentabilidad en las ciudades

Las Ciudades Sustentables habitan en el campo de las ideas. Las ideas se gestan.

La gestación, como acción de gestar, es una etapa necesariamente previa a la gestión y a la planificación, aunque obviarla constituya una práctica habitual.

La gestación, gestión, planificación y desarrollo de ciudades sustentables sólo puede abordarse reconociendo y trabajando en el marco de la complejidad que la caracteriza.

Si los responsables de planificar y gestionar, aún aquellos formados para trabajar en equipos transdisciplinarios, no abordan los problemas formalizando un diagnóstico previo del sistema socioecológico total, para luego, consensuar una idea sobre la cual actuar, difícilmente, el producto sea una ciudad sustentable; a lo sumo, será una ciudad con mejores condiciones de habitabilidad y algunos ejemplos aislados de sustentabilidad (edificaciones sustentables, uso parcial de energías renovables, algún emprendimiento sanitario y/o educativo modelo, etc.).

Una experiencia, quizás positiva, pero seguramente incompleta y carente de integralidad.

Para operar “en y con la complejidad” se requiere conformar equipos de trabajo con competencias adecuadas para desarrollar una estrategia proyectual superadora de las metodologías e instrumentos tradicionalmente utilizados en la gestión y planificación de las ciudades.

La gestación del territorio urbano requiere profesionales capacitados para desempeñarse considerando premisas de sustentabilidad, habitabilidad y calidad de vida.

La planificación y la gestión, en cambio, demandan, adicionalmente, destrezas profesionales específicas para satisfacer necesidades y requerimientos funcionales, de equipamiento, infraestructura, educación, sanidad, servicios generales, cultura y esparcimiento.

En todos los casos, el escenario de las acciones profesionales es la propia ciudad interpretada como sistema abierto, y el beneficiario global de la sustentabilidad es el sistema socioecológico total, dentro de un contexto territorial y regional donde la correspondencia entre las variables características de la ciudad sustentable y del desarrollo sustentable deben articularse evitando desviaciones reduccionistas.

La caracterización de todo sistema socioecológico pone en evidencia contradicciones intrínsecas a partir de las cuales debería reconocerse que la idea de la ciudad sustentable es tan utópica como la de desarrollo sustentable.

Cabe entonces considerar que los gestores y planificadores no solo actúan en el contexto de la complejidad, sino también, en el de la utopía.

¿Cuál sería entonces la sustentabilidad requerida en la gestión y planificación?

Antes de intentar una respuesta, habría que considerar que las ciudades, en general, no son creadas; simplemente nacen, crecen y se desarrollan con una dinámica propia y elementos diferenciadores asociados a los cambios permanentes verificados en sus formas de organización social. Tienen historia, fugaz presente y futuro.

Son, esencialmente, producciones sociales, en las cuales la sustentabilidad sólo puede verificarse monitoreando cualitativamente el grado creciente de sus productos o salidas. Cabe concluir, entonces, que la sustentabilidad en gestación, planificación y gestión, refiere al sistema socioecológico total ya que, los procesos internos propios del metabolismo urbano se desarrollan en un marco de incertidumbre que torna sumamente compleja la valoración específica de muchas de sus múltiples y diversas variables.

Dicha dificultad no debe interpretarse como un obstáculo insalvable en la tarea del planificador; por el contrario, representa un desafío a asumir.

Por analogía y extensión, el concepto de ciudades sustentables es indisociable de la sustentabilidad del producto del sistema socioecológico total.

La ciudad como territorio y el sistema socioecológico total, que le da sentido y significación, sería, entonces, el objeto central de la planificación.

En excepcionales casos de creación de ciudades y aun reconociendo la eventual existencia de premisas proyectuales fundadas en el conocimiento del territorio, la geografía y la región, siempre estará presente la incertidumbre derivada de las formas de apropiación y uso que la sociedad le brindará a los espacios urbanos y de las formas de organización social que adopte y/o se auto-imponga.

Existen también circunstancias aleatorias y factores organizacionales, los cuales finalmente, podrían desvirtuar los objetivos establecidos en la planificación. Otra cuestión básica a considerar es el estado del sistema en el momento de tomar decisiones proyectuales para intervenirlo. Desde esta perspectiva, se destacan la escala del sistema, la caracterización de sus insumos o entradas y la organización social predominante que influye y condiciona sus relaciones internas.

Las ciudades son territorio, por excelencia, implantadas dentro de otro territorio que las contiene, la región. La ausencia de un análisis crítico de la dialéctica ciudad-territorio-región durante el proceso de planificación, invalida cualquier aspiración de construir (en el sentido de habitar) una ciudad sustentable.

Escala espacial, escala humana, caracterización de insumos, flujos de intercambio de energía y comunicación, sistema administrativo, contexto socio-económico-cultural, subsistema ambiental natural, relación con el contexto territorial, son elementos constitutivos de una línea conceptual de base para la planificación y gestión de las ciudades.

Los objetivos de la planificación responden a una formulación específica ajustada a las condiciones de base y, por lo tanto, las estrategias metodológicas a implementar exhibirán una flexibilidad acorde a la variabilidad de las mismas.

Si bien en el concepto de sustentabilidad debe regir toda propuesta de planificación, las diversas condiciones de base también regulan el alcance de los objetivos.

La mejora de los indicadores de sustentabilidad de una ciudad dependerá, en muchas oportunidades, de las posibilidades que la misma ciudad ofrezca para ser intervenida.

Existen casos en los que el nivel paupérrimo de la línea de base acota el nivel de intervención al rango de “plan de contingencias”, postergando en el tiempo la posibilidad de una planificación más profunda. Se trata, en realidad, de ciudades que deben intervenirse de urgencia mientras se programa una planificación a mediano y largo plazo.

Se infiere que la determinación de los objetivos de una planificación requiere de una evaluación diagnóstica previa realizada por el mismo equipo.

Elementos para el diagnóstico

Así como la gestación precede a la planificación y a la gestión, el diagnóstico, previo a la gestación, es un proceso absolutamente necesario.

Los estudios previos deben incluir la definición, en cada caso, de las formas y el alcance específico y conceptual del diagnóstico, ya que las metodologías de carácter normativo tradicionales, basadas en incompletos listados enunciativos carentes de transversalidad disciplinaria, han demostrado ser insuficientes.

Las nuevas metodologías de diagnóstico requieren enfoques transdisciplinarios e integrados, análisis inclusivos de la objetividad y la subjetividad, y posiciones flexibles para entender las necesidades e intereses de los múltiples actores sociales involucrados en la gestión y planificación urbana.

En todo caso, el objeto a diagnosticar será el sistema socioecológico total y, por lo tanto, la discretización de subsistemas, el registro de su dinámica evolutiva y la jerarquización de actores, se constituyen en premisas centrales e ineludibles del proceso diagnóstico.

el objeto a diagnosticar será el sistema socioecológico total y, por lo tanto, la discretización de subsistemas, el registro de su dinámica evolutiva y la jerarquización de actores.

“ ”

Cada ciudad es un sistema único y diferente de los demás, emplazado también en una región única. Es normal, entonces, que cada proceso diagnóstico responda a las especificidades que le son propias.

En este proceso, es necesario revalorizar las competencias disciplinarias para cuantificar y cualificar los elementos constitutivos del sistema (infraestructura, instituciones, organizaciones sociales públicas y privadas, biocenosis urbana, recursos humanos, etc.).

Tales competencias, sin embargo, aunque necesarias resultan insuficientes, ya que el diagnóstico de base, la gestación, la planificación y la gestión deben ser integradas y para ello se requiere la participación efectiva de los diversos actores y la conformación de equipos de trabajo transdisciplinarios.

Planificación de ciudades sustentables

Aun admitiendo la existencia de los condicionamientos ya expresados respecto del estado inicial del sistema, la gestación y planificación urbana, por compromiso ético, profesional y humano, no pueden concebirse fuera del marco de la sustentabilidad. Desde esa perspectiva, la idea fuerza a considerar en todo proceso de planificación urbana es la de “ciudad sustentable”.

Dicho concepto marca un cambio de paradigma superador de las tradicionales formas de planificación dominantemente centradas en la funcionalidad y la correcta y armónica forma de articular espacios y determinar morfologías.

La planificación desde la sustentabilidad implica renunciar a la aplicación de metodologías positivistas que, fragmentando y recortando conceptualmente escalas espaciales y temporales, evaden la consideración y el análisis de la complejidad propia del sistema socioecológico total.

La concepción de planificación urbana de ciudades sustentables, en claro contraste con modelos de planificación conceptual y operativamente perimidos, visibiliza una contradicción que no debe continuar siendo ignorada por los actores públicos y privados, y por las organizaciones sociales responsables de planificar.

Se impone la construcción de un nuevo escenario para la planificación que no debiera considerarse como posibilidad, sino como oportunidad indeclinable para satisfacer las necesidades de los habitantes de los complejos sistemas urbanos.

El escritor Italo Calvino, en su obra Las Ciudades Invisibles propone, literariamente y de manera admirable, dos formas de interpretar las ciudades en las cuales se refleja la contradicción entre una concepción rígida y estática, y otra dinámicamente compleja y desafiante. En el relato, su fantasía creativa establece una relación

entre dos protagonistas, el emperador Kublai Kan y el viajero y comerciante Marco Polo. El emperador encomienda al viajero la tarea de visitar las ciudades del imperio sobre el que reina y que, por su vastedad, jamás podría recorrer y conocer personalmente.

Luego de cada viaje, Marco Polo relata y describe al emperador las ciudades que ha visitado. Kublai, compelido a creer en los relatos de su propio comisionado, en un momento dado expresa cierta resistencia a aceptarlos y entre ellos se establece el siguiente diálogo:

- De ahora en adelante seré yo quien describa las ciudades -había dicho el Kan-. Tú en tus viajes verificarás si existen.

Pero las ciudades visitadas por Marco Polo eran siempre distintas de las pensadas por el emperador.

- Y sin embargo he construido en mi mente un modelo de ciudad, de la cual se pueden deducir todas las ciudades posibles -dijo Kublai-. Aquél encierra todo lo que responde a la norma. Como las ciudades que existen se alejan en diverso grado de la norma, me basta prever las excepciones a la norma y calcular sus combinaciones más probables.

- También yo he pensado en un modelo de ciudad de la cual deduzco todas las otras -respondió Marco-. Es una ciudad hecha sólo de excepciones, impedimentos, contradicciones, incongruencias, contrasentidos. Si una ciudad así es cuánto hay de más improbable, disminuyendo el número de los elementos fuera de la norma aumentan las posibilidades de que la ciudad verdaderamente sea. Por lo tanto, basta que yo sustraiga excepciones a mi modelo, y en cualquier orden que proceda llegaré a encontrarme delante de una de las ciudades que, si bien siempre a modo de excepción, existen. Pero no puedo llevar mi operación más allá de cierto límite: Obtendría ciudades demasiado verosímiles para ser verdaderas.

La intención metafórica del relato de Calvino se expresa a través de dos modelos de ciudad. El modelo de Kublai, normativo, y el de Marco Polo, que irónicamente, refiere a la esterilidad de los intentos de describir las ciudades desde una mirada reduccionista.

En la vigencia actual de esta contradicción se ubicaría el punto de inflexión para redireccionar las formas de la planificación hacia la sustentabilidad del sistema socioecológico total.

Operar en el marco de la sustentabilidad implica asumir la necesidad de la planificación participativa y de la gestión asociada. Se trata entonces, de sumar a la comunidad como uno de los actores activos en los procesos de gestación y planificación de las ciudades.

El grupo de actores integrados (políticos, técnicos, comunidad) permite alcanzar acuerdos que aportan a la viabilidad de lo planificado. La intersectorialidad, la transdisciplina y la diversidad de actores, constituyen ejes para la construcción de una red social activa esencial al objeto de la sustentabilidad.

Planificar desde la sustentabilidad implica reconocer los principales atributos que la caracterizan y condicionan, e incorporarlos al análisis crítico en cada una de las etapas del proceso (diagnóstico, gestación, planificación, gestión, y reformulación periódica). Estos atributos responden no solo a los intercambios propios del sistema, sino también, y con alto grado de dependencia, de sus ingresos y productos.

Entre los atributos más importantes se cuentan:

•Disponibilidad de recursos (Característica indispensable que incluye recursos naturales, materiales, humanos, financieros, etc.).

•Adaptabilidad y flexibilidad (Esencial para ajustarse a los cambios de dinámica internos del sistema, a cierta imprevisibilidad de sus ingresos o insumos, y a la demanda variable de sus salidas o productos).

•Homeostasis general (A fin de mantener una condición estable del sistema total).

•Estabilidad (Referida a la razonable regulación de variables al interior del sistema).

•Resiliencia (Como capacidad de recuperación del sistema frente a condiciones adversas).

•Robustez (En términos de resistencia estructural compatible con el comportamiento previsto del sistema).

•Capacidad de respuesta (Referido a la capacidad del sistema para hacer frente al cambio).

•Auto-dependencia (Refiere a la capacidad del sistema para regular sus interacciones con el medio).

•Empoderamiento (Como competencia del sistema para innovar e inducir cambios en otros sistemas para alcanzar sus propias metas).

Es preciso destacar que los atributos enunciados, en el marco de la interpretación sistémica, se vinculan, se superponen y también pueden desarrollar sinergias de efecto positivo o negativo.

La sinergia puede ser considerada como un atributo de carácter más incierto y aleatorio. También, corresponde insistir que, a los fines conceptuales del presente trabajo, se entiende por sistema al “sistema socioecológico total y a la ciudad como territorio inserto dentro de la región que lo contiene” y de la que, por lo tanto, es parte indisociable.

Entre las principales variables del sistema que deben considerarse en la planificación se mencionan:

• Espacios verdes y calidad del espacio de uso público.

•Utilización del agua.

•Tratamiento de efluentes.

•Gestión de residuos sólidos urbanos.

•Gestión de residuos industriales y peligrosos.

•Eficiencia energética.

•Uso de materiales reciclables, reutilizables, de bajo impacto.

•Transporte público, accesibilidad, conectividad.

•Recreación y esparcimiento.

•Seguridad.

•Ofertas culturales.

•Cumplimiento de las normas de ordenamiento de uso del suelo.

•Protección y puesta en valor del patrimonio natural y urbano.

•Protección y puesta en valor del patrimonio histórico.

•Infraestructura de comunicación.

•Acceso público a la información.

•Mecanismos de participación pública.

•Calidad de gobernanza.

Aunque la consideración de cada una de las mencionadas variables demanda competencias disciplinares, su tratamiento, análisis y evaluación debería basarse en la premisa de la intervención transdisciplinaria, ya que la especificidad de los temas involucrados conlleva el riesgo de formular propuestas fragmentadas y/o desarticuladas.

Globalización, territorio y desnacionalización

Partiendo de la hipótesis planteada anteriormente de que la expresión globalización representa “las tendencias de los fenómenos sociales a poseer un alcance, impacto, interconexión mundial, o acompañadas de una conciencia planetaria de los actores sociales”, resulta pertinente profundizar el término a modo de introducción al tratamiento del tema “Ciudades globales-Red de ciudades globales”.

Desde una mirada integral, se advierte que el debate acerca de la globalización trasciende el marco económico para proyectarse sobre cuestiones relativas al desarrollo y al uso y gestión del territorio.

Luis Mauricio Cuervo entiende la globalización “en su doble carácter de hecho objetivo, marcado por la presencia de fenómenos tecnológicos e institucionales mayores y de un fenómeno inter-subjetivo, es decir, con profundas repercusiones sobre la manera de concebir el mundo, de entender el devenir de los procesos económicos y de construir nociones del deber ser material de las sociedades contemporáneas”.

Desde su apreciación crítica, la relación entre globalización y desarrollo se evalúa dominantemente a través de la influencia que los cambios tecnológicos y la transformación que las organizaciones productivas ejercen sobre el desarrollo económico de los territorios nacionales, subnacionales y regionales, dejando en segundo plano la consideración de los impactos sobre la cultura, las identidades locales, los conceptos e ideas de progreso, la calidad de vida y la promoción de acciones sociales y políticas para alcanzar metas en esos campos.

El modo agresivo de penetración de la globalización, aunque incipiente y de alcance incierto, se manifiesta -fundamentalmente- a través de la economía y las finanzas y, posiblemente, la generalidad que se le atribuye al término sea una pantalla tras la cual se oculta su identificación plena con los intereses de las grandes corporaciones multinacionales.

No es necesaria una evaluación demasiado profunda para reconocer como cierto el grado de prioridad y preferencia que se le confiere, en el marco de la globalización, a las cuestiones de orden económico-financiero. Más sutiles y conflictivas son, en cambio, las lecturas acerca del impacto que la globalización produce sobre el territorio y el desarrollo local y regional.

El modo agresivo de penetración de la globalización, aunque incipiente y de alcance incierto, se manifiesta -fundamentalmente- a través de la economía y las finanzas y, posiblemente, la generalidad que se le atribuye al término sea una pantalla tras la cual se oculta su identificación plena con los intereses de las grandes corporaciones multinacionales, capaces de implementar el manejo de la economía mundial.

Desde la enunciada perspectiva, es muy claro el planteo de Saskia Sassen cuando afirma que la autoridad y el derecho, como factores de poder, condicionan, moldean, y muchas veces establecen, configuraciones territoriales ajustadas a los intereses del proceso de globalización.

El poder ejercido a través de la autoridad legítima, favorecido por la mayor injerencia de los poderes ejecutivos en la toma de decisiones directas, opera fomentando y propiciando cambios de estructura de gestión y gobierno al interior de los estados nación.

La naturaleza de dichos cambios apunta a favorecer las operaciones de las empresas extranjeras para operar en los territorios nacionales, mediante el dictado de decretos ejecutivos y modificaciones en la legislación. En términos de derecho, las legislaciones nacionales se ajustan a regulaciones del derecho internacional influenciadas por organizaciones supranacionales, en especial, el Fondo Monetario Internacional y la Organización Mundial de Comercio.

La adecuación para favorecer el sistema económico global se complementa confiriendo autonomía a los bancos centrales. Esto explica la percepción de que existe un proceso de desnacionalización que algunos autores, erróneamente, también califican como desterritorialización.

Ciudad global (Red de Ciudades Globales-Sustentabilidad)

Saskia Sassen, en 1991, introduce el concepto en su obra “La Ciudad Global”. Según la autora, las ciudades “son globales porque los servicios que proporcionan les confieren la capacidad de ser “espacios de transmisión de flujos globales. Puntos de paso y convergencia de los flujos que dan vida al sistema económico mundial.”

La profundidad de las investigaciones realizadas por Sassen merece una consideración mayor que la permitida por el alcance del presente trabajo. Por lo tanto, y como punto de partida, se transcriben textualmente algunas de sus citas de mayor significación, las que permitirán posteriormente intentar un análisis referido al impacto que las ciudades globales pueden producir sobre el territorio y el sistema socioecológico total:

"A través de las finanzas, más que por medio de cualquier otro flujo internacional, ha emergido una jerarquía global de ciudades, con Nueva York, Londres y Tokio, no solamente como las ciudades líder, sino también, como aquéllas que cumplen las funciones de coordinación y operan como los mercados de venta y compra de capital y conocimiento".

"Las interacciones entre estas tres ciudades, particularmente en términos financieros y de inversiones, sugieren la posibilidad de que ellas constituyan un sistema".

"Para entender la estructura de una ciudad global hay que ir más allá de la dicotomía entre manufactura y servicios".

“Las cosas que una ciudad global proporciona son servicios y bienes financieros".

“Servicios avanzados dirigidos, en su mayoría, a productores e independientes de la proximidad de los consumidores”.

"Las ciudades mayores tienden a tener una sobrerepresentación en las principales actividades de servicios a la producción: Consultoría, banca y finanzas, servicios legales. Las ciudades menores o los centros industriales mayores en etapa de decrecimiento, alcanzan a tener una sub-representación preponderantemente unidireccional descendente en estos servicios".

"Nuevos trabajadores con altos ingresos, y con opciones de consumo orientadas a la inversión intermedia, confieren espacio a nuevos estilos de vida y actividades económicas".

"Se registra una gran polarización social y económica".

"Existen dificultades de empresas productoras de bienes para sobrevivir dentro de un marco formal. Informalidad, subcontrataciones, inmigrantes indocumentados, bajos sueldos, condiciones de trabajo bajo estándar".

"La Ciudad Global integrada a la Red, genera discontinuidades y rupturas con sus propios sistemas urbanos nacionales y regionales".

“Ubicación en lugares que proporcionan el mayor acceso a la comunicación”.

“La globalización de la actividad manufacturera y de las industrias de servicios claves han sido un factor cru-

cial en el crecimiento del nuevo complejo industrial dominado por los servicios productivos y financieros”.

Esta síntesis descriptiva, que Saskia Sassen desarrolla extensamente en su libro, permite interpretar primariamente el tipo de impacto que las ciudades globales producen en el territorio, en la reconfiguración de las capas sociales de sus habitantes, en la relación con sus entornos, y en el redireccionamiento de sus actividades sustantivas.

También, pone en evidencia aspectos contradictorios y potencialmente conflictivos entre lo global y lo local. Las consideraciones formuladas por Sassen en la década de los 90`, verificadas como válidas en años posteriores, constituyen un claro ejemplo de insustentabilidad, no sólo en su relación con el desarrollo urbano, sino también, con el desarrollo local y regional.

La Red de Ciudades Globales, originariamente integrada por Nueva York, Londres y Tokio, durante las últimas décadas ha aumentado considerablemente el número de sus nodos, estableciéndose una tabla de jerarquización de las ciudades que la conforman.

En la misma, se incluyen ciudades latinoamericanas tales como México DF, San Pablo y, en un menor rango de escala, Caracas, Santiago y Buenos Aires.

En aquellas ciudades de la red que no pertenecen a Estados desarrollados se agudizan algunas cuestiones que impactan negativamente en el sistema socioecológico total y proyectan consecuencias negativas sobre el territorio como hábitat humano. Entre ellas destacan:

La Red de Ciudades Globales, originariamente integrada por Nueva York, Londres y Tokio, durante las últimas décadas ha aumentado considerablemente el número de sus nodos.

•Agravamiento de la inequidad distributiva.

•Tendencia al distanciamiento formal y administrativo con el entorno territorial inmediato y con la propia periurbanidad de las ciudades.

•Disociación con los programas de desarrollo local y regional.

Es cierto que la inequidad es propia de la mayoría de las grandes ciudades cuyos índices demográficos crecen aceleradamente. También lo es la existencia de un poder diferencial que prioriza el desarrollo de las ciudades en desmedro de sus contextos periurbanos y regionales.

Seguramente, estas y otras disfunciones de las ciudades radican en la falta de planificación sumada a un crecimiento naturalmente desordenado el cual ocasiona un deterioro del sistema, a pesar de la capacidad parcialmente regenerativa del medio.

La diferencia radica en que, mientras el sistema económico mundial, más allá de cualquier ideología imperante, promueve el consumo indiscriminado para sostener su absurda vigencia, el sistema global total, el mismo planeta, se acerca peligrosamente al umbral crítico de sustentabilidad.

La globalización centrada en la economía, las finanzas, el mercado y el consumo trata de imponer sus estrategias y sus leyes para que los propios Estados nacionales se adecuen y colaboren en la tarea de una desnacionalización direccionada a la limitación de sus poderes, autoridades y derechos.

Las ciudades globales son funcionales a la globalización económica y financiera. Metafóricamente, Sassen afirma que no hay Ciudades Globales solteras; integran un sistema, del que no se pueden disociar, donde las finanzas e inversiones se apoyan en otra red incipiente de organizaciones supranacionales, cuyo creciente poder desconsidera los conceptos básicos de la sustentabilidad.

Es obvio que, en oposición a los conceptos críticos aquí desarrollados, la defensa de la globalización no sólo es asumida por distintas escuelas tradicionales de la eco-

nomía, sino también, por otros actores sociales provenientes de distintos campos disciplinares.

La tecnología es un fuerte soporte de la globalización, fundamentalmente, en el área operativa de la información, y muchos tecnólogos la califican como motor de nuevos desarrollos e innovaciones. También, son muchos los científicos que, por el contrario, opinan que la ciencia y sus grandes avances deben orientarse a la búsqueda de soluciones para resolver los graves problemas energéticos y de preservación y regeneración de los recursos básicos que enfrenta la humanidad.

En lo referente a las dimensiones políticas y culturales de la globalización, argumentos también utilizados por quienes la apoyan o justifican, en general, quedan condicionadas o subordinadas a la dimensión económica.

Finalmente, la dimensión política se diluye en la inmediatez y dimensión cultural, al tiempo que se subordina a la homogeneización.

El ranking de ciudades globales, según la mirada de distintos especialistas, como ya se mencionó, establece diferentes grupos y escalas jerárquicas para las ciudades que lo integran. Algunas de ellas ostentan la jerarquía de “líderes”, otras justifican su condición por su importancia como centro mundial de servicios, o bien por su cosmopolitismo, diversidad cultural, centros de arte universal, etc.

Muchas ciudades, y sus administradores, aspiran a ingresar a la red y engrosar la lista. Otras lo lograron o creen haberlo hecho. Sin embargo, y a pesar de las muchas implicancias negativas que subyacen a las ciudades globales, pocas analizan críticamente la conveniencia de integrarse al grupo selecto y de evaluar las condiciones del contexto nacional y regional antes de hacerlo.

Cabe finalmente admitir la inevitabilidad del crecimiento de la red de ciudades globales, con su estructura económica dominante, cuyos resultados inciertos impiden avizorar un futuro previsible y/o deseable para las ciudades contemporáneas.

La

planificación

Globales

en las Ciudades

En primer lugar, corresponde destacar que, en general, las ciudades globales conforman emprendimientos urbanos consolidados con características distintivas compatibles con los atributos requeridos para integrarse a la red global.

Las ciudades globales son intrínsecamente insustentables porque la dominancia de la economía y las finanzas desvaloriza, subestima, ignora y posterga otros aspectos vitales del sistema socioecológico total, y establece condiciones de base inequitativas.

En este contexto, la planificación y gestión de las ciudades globales no debería apartarse de las consideraciones previas relativas a las ciudades sustentables. Debería entonces aceptarse la idea de actuar reconociendo la utopía y gestar en consecuencia. Utopía entendida como motivación para seguir caminando (gestando, planificando, gestionando) en contraposición a considerarla desde su inaccesibilidad para adoptar una postura resignada y paralizante.

El peso relativo de la dimensión económico-financiera, frente a la dimensión política y cultural, determina una distorsión o particularidad específica en la forma y carácter de los procesos internos del sistema (metabolismo urbano), cuyas consecuencias constituyen un real desafío para gestores y planificadores.

Algunas de esas de particularidades se reflejan en forma directa sobre la configuración urbana e inciden en su funcionalidad y morfología. Una de las más importantes refiere a la emergencia de nuevas formas de centralidad que ya no responden a la idea clásica de centralidad geográfica o comercial, sino que se presentan dispersas en el territorio urbano conforme a una reconfiguración de actividades propias o derivadas de las funciones globales.

Estas nuevas centralidades condicionan o dan origen a diferentes formas de uso y/o apropiación de espacios, y a la generación de los ya generalizados “no lugares”.

Si bien está situación se expresa con mayor claridad en las ciudades globales, corresponde señalar que, con menor intensidad, también se verifica en otras ciudades importantes que no presentan el perfil requerido para formar parte de la red.

El campo de servicios especializados (económicos, financieros, legales, comunicacionales e informáticos) vinculados a la globalización y asentados en las ciudades globales, demanda profesionales muy competentes que se convierten en actores importantes del proceso.

El alto nivel de sus ingresos acentúa la polarización social y se produce un proceso de cambio en las formas de producción de la ciudad, caracterizado por un incremento de la actividad terciaria.

La movilidad generada por las nuevas formas de producción se traduce en la creación de conglomerados urbanos de alto nivel que, en general, se direccionan y emplazan más próximos a bordes urbanos en los cuales la calidad de vida y el ambiente se supone de mayor calidad. Bajo la forma prevaleciente de urbanización cerrada, club de campo o barrio privado, centro comercial, se modifica la dinámica de las localizaciones.

Paralelamente, y a partir de las necesidades generadas por la nueva clase social ascendente, se requieren servicios, generalmente informales, asociados a la parquización, insumos generales, limpieza, y otros. En un plano más formal, se registra una demanda creciente de servicios sanitarios, educativos y de recreación y esparcimiento.

La valorización de la tierra acentúa los procesos de gentrificación generando una gran incertidumbre acerca del destino habitacional de una parte mayoritaria de las poblaciones desplazadas.

El territorio, en este contexto, se deteriora en su valor de uso y se revaloriza como valor de cambio, brindando impulso a una especulación inmobiliaria desmedida. Ésta, a su vez, ignora los atributos naturales del territorio y propicia la urbanización avanzando sobre zonas insalubres, publicitadas como de alta calidad ambien-

tal, y ocupando irracionalmente humedales y valles de inundación de importantes cursos naturales de agua. Tal es el caso del área metropolitana de Buenos Aires y de muchas otras ciudades en otras partes del mundo. No menos complejo resulta el rol del sector público para resolver las necesidades de infraestructura generadas por la emergencia de las nuevas centralidades y de las consecuencias que de ellas se derivan.

La enunciación de las mencionadas situaciones y conflictos asociados al desarrollo de las ciudades no pretende ser exhaustiva. Más bien, debe considerarse como una síntesis incompleta orientada a ilustrar acerca de la complejidad que actualmente deben afrontar los planificadores urbanos, cualquiera sea el área de sus competencias.

Conclusiones

Aludir al complejo territorio de las ciudades y a las pautas y principios inherentes a su gestación, planificación y gestión, remite -inexorablemente- al concepto de sustentabilidad. Implica también aceptar la complejidad y posicionarse para trabajar “en ella y con ella”, y entender que es una utopía irrenunciable. Es, por lo tanto, una búsqueda activa y una construcción permanente.

La sustentabilidad refiere al sistema socioecológico total y cualquier recorte arbitrario a favor de intereses de grupo constituye una agresión al ambiente, al territorio y al derecho al desarrollo de las comunidades.

La globalización, en su acepción y concepción dominante, prioriza la economía y las finanzas, concentra el poder en las grandes empresas transnacionales, alienta la conformación de organismos supranacionales de autoridad, poder y derecho que socavan la capacidad de autodeterminación de los Estados nacionales y promueve acciones de alcance global traducidos en incipientes procesos de desnacionalización, cuyos resultados aún están lejos de preverse.

Los procesos de globalización constituyen insumos cuyo ingreso al sistema abierto de las ciudades afecta sus interacciones y relaciones internas, conspirando

contra la afirmación de identidades locales y regionales. Las interacciones internas pierden diversidad y afectan negativamente la producción de las ciudades. La gestación, planificación y gestión de las ciudades debe realizarse, transdisciplinaria y participativamente, y con clara comprensión de que, como insumo esencial de producción social, deberá sostenerse en el tiempo. Los atributos de la sustentabilidad deben entenderse como principios básicos en cada una de las etapas comprendidas.

Aunque las ciudades sustentables también constituyan una utopía, las etapas de su planificación deberían direccionarse de forma que, con el transcurrir del tiempo, resulten cada vez menos insustentables.

El desarrollo tecnológico informático que opera como soporte de la globalización constituye una nueva territorialidad virtual que no debe interpretarse, como se suele sugerir, como un proceso de desterritorialización.

La planificación urbana sustentable demanda la conformación de equipos responsables y comprometidos con la idea de que sus intervenciones en la gestión del territorio se orienten a recuperar el sentido de habitar construyendo y de construir cuidando.

En sus acciones, la premisa de sustentabilidad debe incluir la revalorización del territorio desde su valor de uso y de soporte para el desarrollo humano bajo pautas de equidad y de mejora de la calidad de vida de sus habitantes.

Las ciudades globales son vehículos de globalización que los planificadores y gestores deben considerar prioritariamente como argumento y desestimar como norma. La norma suele ser un discurso ajustado a las necesidades del proceso de globalización.

La dialéctica entre ciudades y regiones debe reconocerse como proceso, insumo y producto para la planificación, ya que el desarrollo local y regional, conjuntamente con los elementos que lo constituyen, resultan esenciales para enfrentar, en mejores condiciones, el ingreso a un mundo complejo y globalizado.

La dialéctica entre ciudades y regiones debe reconocerse como proceso, insumo y producto para la planificación, ya que el desarrollo local y regional, conjuntamente con los elementos que lo constituyen, resultan esenciales para enfrentar, en mejores condiciones, el ingreso a un mundo complejo y globalizado.

Bibliografía

1. Calvino, Italo. Las ciudades invisibles. México. Ediciones Minotauro. Año 1995.

2. Carta Encíclica Laudato Si`. Santo Padre Francisco. Ciudad del Vaticano. Año 2015.

3. Cuervo González, Luis Mauricio. Pensar el territorio: Los conceptos de ciudad global y región en sus orígenes y evolución. Instituto Latinoamericano y del Caribe de Planificación Económica y Social (ILPES), Serie Gestión Pública Nº 40. Año 2003.

4. Cuervo, Luis Mauricio. Globalización y Territorio. CEPAL, ILPES. Año 2006.

5. Gallopín, Gilberto. Sostenibilidad y Desarrollo Sostenible: Un enfoque sistémico. CEPAL. Año 2003.

6. Heidegger, Martín. Conferencias y artículos. Barcelona. Oidós. Año 1999.

7. Pérez Negrete, Margarita. Las metrópolis latinoamericanas en la red mundial de ciudades: ¿Megaciudades o ciudades globales? Revista Memoria Nº 156. México. Año 2002.

8. Sassen, Saskia. Territorio, Autoridad y Derechos. Madrid. Katz Editores. Primera edición. Año 2010.

9. Sassen, Saskia. La ciudad global: Nueva York, Londres, Tokio. Buenos Aires. EUDEBA. Año 1999.

TRANSPORTE, VIVIENDA Y DESARROLLO

URBANO

CURADOR: ING. CIVIL OSVALDO RUSSO

Módulo 2

Evaluación del Impacto Acústico por incremento de la velocidad de circulación en la Avenida Del Libertador de la ciudad de Buenos Aires

Email:

Pese a los avances tecnológicos y los esfuerzos en disminuir los niveles sonoros, en las grandes ciudades se presentan -actualmente- sectores que superan los niveles sonoros máximos permitidos, afectando directamente a los ciudadanos y su entorno.

Este trabajo describe los métodos mediante los cuales se pueden simular los niveles sonoros antes de la ejecución de obras, como por ejemplo, los cambios en los recorridos del trasporte público, incrementos de las velocidades de circulación, etc.

Se plantea el estudio de caso realizado en el año 2001 sobre el incremento en la velocidad máxima de circulación de la Avenida Del Libertador y sus efectos en la población, específicamente, en el interior del Zoológico de la ciudad Autónoma de Buenos Aires.

Primeros mapas de niveles de presión sonora: Historia

Antiguamente, cuando no se disponía de computadoras, los mapas se confeccionaban a base de mediciones en campo y se volcaban en planos los valores en decibeles de los puntos de medición. Luego, se calculaba la propagación del sonido en los distintos ámbitos, más allá de los puntos medidos mediante expresiones matemáticas. Los niveles de presión sonora se representaban con escalas de colores. Estos trabajos resultaban tediosos y con altas probabilidades de cometer errores involuntarios.

Con el advenimiento de la tecnología y el acceso a las computadoras, se ha hecho posible implementar los modelos de propagación por software y es así que se desarrollaron programas capaces de simular las condiciones sonoras a partir de potencias acústicas.

Mapas de niveles de presión sonora

Representan un método efectivo del manejo y administración de datos referidos al ruido, constituyendo una herramienta fundamental en la gestión, planificación y control del ruido ambiental y/o laboral. Éstos brindan una representación gráfica del perfil de ruido de un área determinada, en la cual los niveles sonoros se indican con curvas de nivel. Los mapas presentan una situación acústica en un área determinada, usando diferentes colores para simbolizar distintos rangos de presión sonora.

Dada la capacidad de incorporar y extraer fuentes en forma virtual, permiten evaluar sus efectos antes de realizar las obras o cambios del layout, evaluando la eficiencia de las medidas mitigantes. Además, permiten realizar complejas simulaciones que por métodos tradicionales de cálculo sería imposible llevar a cabo, facilitando la evaluación y optimización de las soluciones.

Finalidad de los mapas de nivel de presión sonora

En interiores: Estimar la exposición al ruido de los ciudadanos/trabajadores (receptores), visualizando las áreas de exposición, optimizando en forma sencilla las medidas de control.

En exteriores: Determinar el Impacto Ambiental en lo referente a los ruidos y optimizar las medidas de mitigación.

Normas internacionales

Los programas de mapas de ruido asistidos por computadora se basan en normas internacionales que otorgan los lineamientos necesarios para calcular la propagación sonora en función del tipo de fuente evaluada, por ejemplo:

Confección de mapas, métodos

Básicamente existen tres métodos para la confección de mapas:

Método experimental o clásico: Se realizaban a partir de mediciones efectuadas en diferentes momentos temporales y sobre el trazado de una cuadrícula previamente diseñada. La precisión de los mismos dependerá de la proximidad de los puntos de la cuadrícula, brindando como resultado una gran cantidad de puntos de medición. Por otra parte, dichas mediciones representan un instante determinado del comportamiento del área, no permitiendo evaluar cambios en el tiempo.

Método computacional: Basado en programas de predicción y simulación en los cuales los niveles sonoros se calculan en forma indirecta, mediante la medición de distintos factores: Trazados de las carreteras, tipo de asfalto, pendientes, número de carriles, ancho, geometría, datos meteorológicos, aforo vehicular con porcentajes de pesados, etc. La principal ventaja que presentan, es la posibilidad de predecir el comportamiento a partir de los modelos creados, permitiendo así, estimar los niveles sonoros futuros conociendo los patrones de evolución del comportamiento del mismo.

Método híbrido o inverso: Se lo denomina híbrido porque toma lo mejor de cada uno de los métodos presentados anteriormente. Se basa en la realización de un modelo que permitirá llevar a cabo estimaciones del cambio del comportamiento, y por lo tanto, de los niveles sonoros, creados a partir de la medición en diversos puntos de las condiciones sonoras. De este modo, la determinación de la potencia sonora se realiza bajo normas mediante la continua medición del nivel que producen las fuentes en el área. Esas estimaciones, basadas en un modelo matemático de la zona, son comparadas con registros reales, validando de esa forma, el modelo.

Metodología

•Previo estudio de la traza y con los planos de la planta general, se localizan, cuantifican y califican las emisiones sonoras de ruido. Se estudian las circulaciones vehiculares.

•Se determina la cuadrícula que mejor represente las emisiones sonoras.

•El tiempo de medición de cada punto se basa en el desvío estándar acorde a los registros.

•Se aplican los indicadores solicitados por la legislación y las normas nacionales e internacionales.

•Validación del modelo acústico.

Exterior: Modelado de la propagación sonora

Una vez validado el modelo, se analizan las distintas fuentes (carreteras, industrias, trenes, aeropuertos), conjuntamente con los obstáculos (edificios, construcciones, muros, terraplenes), considerando los efectos de apantallamiento sonoro. Además de indicar el tipo de suelo, horarios, condiciones climáticas, etc. Esos parámetros, necesarios para realizar la modelación, son ingresados al programa a partir de planos digitalizados de las calles o carreteras.

Generalmente, en el exterior, las superficies abarcan grandes extensiones, en aquellos casos, los software interactúan con GIS (Georreferenced Information System) o con Google Earth.

Modelado Acústico para la Avenida Del Libertador

En octubre de año 2001, se llevó a cabo por noventa días en la ciudad de Buenos Aires una prueba piloto en las avenidas Figueroa Alcorta y Avenida Libertador con la finalidad de mejorar la circulación y los tiempos de ingreso e egreso a la ciudad. Consintió, básicamente, en incrementar la velocidad vehicular máxima existente de 60 Km/h a 70 Km/h.

El presente trabajo tuvo como fin la toma de conciencia sobre los efectos producidos en los cambios de las condiciones de circulación de la ciudad y sus consecuencias acústicas.

Normativa

•Modelo de cálculo francés NMPB -Routes- 96 (IRAM 4.048, actualmente en estudio).

•Norma ISO 9.613-2:1996, “Acoustics-Attenuation of sound during propagation outdoors, Part 2: General method of calculation”.

Software

El software adoptado es el SoundPLAN 7.4 (de origen alemán), que entre sus características cuenta con:

Interacción con Google Maps, interacción con archivos GIS, elaboración de mapas de conflicto, trabajar con 100 computadoras en red, transformando éstas en una mega computadora, permite desarrollar áreas sin límites de tamaño, entre otras alternativas ventajosas.

Datos de entrada al modelo (software)

•Velocidades, flujo vehicular y morfología de la ciudad.

Datos meteorológicos medios anuales de CABA (Obtenidos del Servicio Meteorológico Nacional)

•Presión media del aire del sector en estudio: 1.013,25 mbar.

•Temperatura media del sector en estudio: 16,6 ºC.

•Humedad relativa promedio del sector en estudio: 71,4%.

Receptor virtual, valores

Una vez validado el modelo, se incorporó un receptor en el interior del predio del zoológico, simulando en forma virtual la posición de medición de un decibelímetro/sonómetro. Este receptor virtual permite comparar los niveles sonoros producto del incremento de la velocidad vehicular máxima de 60 Km/h a 70Km/h en la Avenida Del Libertador. Los valores calculados en horario diurno obtenidos son:

Generalmente, en el exterior, las superficies abarcan grandes extensiones, en aquellos casos, los software interactúan con GIS (Georreferenced Information System) o con Google Earth.

dBA (decibel A): Es la unidad de nivel sonoro en la cual se expresan habitualmente los resultados de las mediciones de ruido con fines legales o para la determinación del riesgo auditivo. Se abrevia “dBA”.

Mapas de Niveles Sonoros Diurnos

Conclusiones

El cambio de velocidad de circulación en la Avenida del Libertador en 10 km por hora arroja como resultado un incremento de 7,8 decibeles “A”, siendo el valor final en el interior del zoológico de 62,6 dBA en horario diurno.

Este valor de por sí supera los 55 dBA recomendado por la Organización Mundial de la Salud para las per-

Bibliografía

Department of Transport Welsh Office (1998). Calculation of Road Traffic Noise. London, Her Majesty’s Stationary Office. http://www.noiseni.co.uk/calculation_of_road_traffi c_noise.pdf.

DIN 18005-2:1991-09, Noise abatement in town planning; noise maps; graphical representation of noise pollution.

EU Directive 2002/49/EC of the European parliament and the Council of 25 June 2002, relating to the assessment and management of environmental noise. Official Journal of the European Communities L 189/12, 2002. Federal Highway Administration. FHWA Traffic

sonas y debería haberse estudiado -específicamentepara cada especie animal que habitaba el zoológico (hoy desaparecido) y haber adoptado las medidas de mitigación necesarias.

Actualmente, los estudios de impacto acústico son requeridos por la legislación vigente de la Ciudad Autónoma de Buenos Aires y debería ser extendido al resto de nuestro país.

Noise Model (TNM) Version 3.0. https://www.fhwa.dot.gov/environment/noise/traffi c_noise_model/tnm_v30/ Google Maps. http://maps.google.ar/ Herramienta web de mapas de ruido mediante Google Map

ISO 9613-1:1993 - Acoustics Attenuation of sound during propagation outdoors, Part 1: Calculation of the absorption of sound by the atmosphere.

ISO 9613-2:1996 - Acoustics Attenuation of sound during propagation outdoors, Part 2: General method of calculation.

NF S 31-085 - Caractérisation et mesurage du bruit dû au trafic routier.

Sound Plan. Manual del usuario de Soundplan 2016.

Atributos del tranvía

Autores: Ing. Patricia Anzil, Ing. Fabián Cinalli, Ing. Alberto Rosujovsky; Ing. Meritxell Segarra

Email: meritxellsegarra@hotmail.com

Evaluando los ecosistemas, equipos multidisciplinarios plantean la posibilidad que resten por identificar servicios ecosistémicos importantes, y por esa razón, proponen adoptar enfoques de cautela.

Trasladando ese cuestionamiento al campo de la movilidad urbana, cabe preguntarse si los parámetros hasta ahora adoptados con el fin de elegir una solución modal frente a otra demanda una apertura.

El tranvía, entre los modos de transporte, representa una opción a considerar. Sin embargo, la mayor inversión inicial en obras y la justificación a través de su máxima capacidad a partir de la cual se posiciona frente a medios viales, constituyeron argumentos para descartar su implantación.

Este modo de transporte ofrece regularidad y accesibilidad, aspectos que modifican la descripción del viaje brindándole una impronta tecnológica, segura y confiable. Además, su incorporación en la trama urbana se convierte en un instrumento eficaz de reordenamiento, resurgiendo como modificador de la conformación existente.

Un desafío difícil en la planificación urbana es modelar el ámbito donde se presenta una problemática de transporte, reuniendo los atributos más destacados de cada modo. Abordar, además, la caracterización de entornos urbanos, identificar las relaciones entre ciudad /pasajero/ habitante y determinar hacia qué modelo sustentable se proyecta, constituye un desafío donde el tranvía

ofrece grandes posibilidades para posicionarse. Para ello, se han recopilado los atributos tradicionales que presenta el tranvía como modo de transporte, así como los recientes avances tecnológicos en pos de solucionar la contaminación visual que genera la catenaria en entornos urbanos, como son los cascos históricos. Esos avances, sumados a los propios atributos originales, permiten la convivencia de una trama histórica con un medio de transporte público, en superficie, cuya infraestructura no genere interrupción en el paisaje y permita la convivencia en un espacio no exclusivo de un solo modo, siendo éste compatible con edificios antiguos sin generar grandes vibraciones en sus cimentaciones y demás partes de la estructura. Bajo el citado paraguas de condiciones, el tranvía se ubica en un lugar estratégico.

Introducción

Con el fin de investigar los atributos que ofrece el tranvía en el campo de la movilidad urbana sostenible, cabe preguntarse, de todos ellos, cuáles son los que lo convierten en una opción viable frente a otros medios de transporte público.

En la planificación de la transformación de un espacio urbano, nos cuestionamos si los indicadores tradicionales que actualmente se esgrimen para elegir un modo frente a otro deben ampliarse, con el fin de analizar otras ventajas y/o inconvenientes que esos modos pueden ofrecer.

Foto extraída del Informe: “Estimating road and railway infrastructure capacity and costs to 2050”

En la planificación de la transformación de un espacio urbano, nos cuestionamos si los indicadores tradicionales que actualmente se esgrimen para elegir un modo frente a otro deben ampliarse, con el fin de analizar otras ventajas y/o inconvenientes que esos modos pueden ofrecer.

¿Son solo los atributos técnicos tradicionales y las necesidades relacionadas con el transporte lo único que decanta la balanza en la toma de decisión para elegir o desestimar al tranvía frente a otros modos de transporte en la ciudad?

Pensando en el campo de la planificación urbana estratégica ¿Hacia dónde tienden hoy las ciudades? Y en esa tendencia, ¿el tranvía puede jugar un papel protagónico?

Problemática a abordar

En muchas ocasiones, la elección del tranvía se fundamenta en la siguiente argumentación: Si las demandas debidamente estimadas justifican un rango de capacidad intermedia, se adopta el tranvía como modo alternativo al metro y/o al autobús en una red de transporte público de una ciudad, justificando su inversión inicial en infraestructura y material rodante. El tranvía moderno constituye el modo de transporte perfecto con demandas entre 3.000 y 10.000 pasajeros/hora/sentido, siendo la opción intermedia entre el autobús y el metro (de altísima inversión inicial). Bajo esos argumentos típicos ¿sólo la demanda a satisfacer y los costos de inversión inicial determinan o desestiman su elección?

Para brindar respuesta a los mencionados planteamientos, se requiere sumergirse en la caracterización del tranvía como modo, recabando sus características propias tradicionales así como las últimas novedades tecnológicas que han experimentado, sumado a los beneficios medioambientales que aporta.

Por otro lado, debe observarse hacia qué modelo de planificación se piensan hoy las ciudades del mañana y qué objetivos se persiguen en relación a su movilidad sostenible. La conjunción de esos aspectos abre el escenario para analizar si la elección del tranvía como sistema de transporte, en el contexto de la planificación urbanística, es acorde con las transformaciones esperadas a mediano plazo.

Atributos del tranvía

Concepción original

Se rescata la concepción original del tranvía partiendo de la definición clásica de ferrocarril: “Transporte guiado unidireccionalmente basado en la rodadura por contacto entre el acero que conforma la llanta del vehículo y el acero del riel”.

El tranvía, según la misma, puede considerarse como un tipo de ferrocarril con las siguientes características especiales: “Su traza es preferentemente implantada en zona urbana de densidad elevada y circula por calles y avenidas, en superficie, mayormente integrado al tráfico vial, respetando las ordenanzas y leyes de tránsito pero con prioridad de circulación”.

Su nombre proviene del vocablo inglés tramway (abreviado en Tram). Se lo conoce también como LRT (Light Rail Transit).

Historia

Mirando más de 40 años atrás, la utilización del tranvía se desalentó en ciudades, entre otros motivos, por la inversión inicial que suponía la construcción de su infraestructura frente a casi nulas obras para el transporte automotor de pasajeros. Además, si la previsión de demanda se situaba por debajo de la capacidad del tranvía y se sumaba su contaminación visual provocada por la catenaria, se descartaba su utilización. Tanto el automóvil como el autobús fueron “ganando la calle”, popularizándose cada vez más su uso, por variadas razones: Infraestructura mucho menos costosa, menor mantenimiento de la misma y mayor versatilidad.

El tranvía aún se encuentra operativo en 284 ciudades del mundo, totalizando 11.617 km de vía, tanto tranvías tradicionales como modernos. Pero sin dudas, el auge actual de este modo se desarrolla en Europa. La causa de este nuevo auge radica en la baja emisión de gases contaminantes, al ser un servicio que consume energía eléctrica en un contexto en el cual el transporte representa más de un 20% de la emisión total de gases de efecto invernadero en Europa.

Según la Fundación Terra, para un trayecto de 10 km se emiten 300 gramos de CO2 si se emplea el metro, el tranvía o el tren eléctrico y 600 gramos en el caso del autobús. La misma distancia en automóvil es hasta 6 veces más contaminante y genera 1.900 gramos de CO2.

Ventajas

La génesis del tranvía de concepción moderna se inició en la ciudad francesa de Nantes que, en 1985, instaló un tranvía con infraestructura de vía de menor costo que la tradicional, más flexible y liviana, segregada (de utilización exclusiva) que permitió una mayor eficiencia de explotación.

Es así que, actualmente, en el Occidente europeo los tranvías modernos alcanzan una red de 1.300 km, que equivale al 11% de la red total. También en Asia como en los Estados Unidos se puede notar una tendencia marcada y sostenida a su implementación.

A continuación, se describen los atributos que destacan al tranvía frente al resto de los modos de transporte público:

•El material rodante, de composición modular ampliable, beneficia su capacidad y facilita una mayor rapidez de las reparaciones. Estos módulos oscilan entre 25 y 35 m de longitud, con anchos de 2,50 m. Su capacidad máxima depende del número de coches que lo compongan llevando entre 200 y 350 pasajeros según su conformación. Además, al encontrarse construidos de materiales livianos, se requiere menos energía en su tracción, aceleración y frenado, sometiendo a menores esfuerzos a la infraestructura, lo cual redunda en un ahorro de mantenimiento a largo plazo.

•Presentan muy bajo nivel de ruido, ya que entre otros motivos no hay motores de combustión con sus distintos ciclos, generando un andar silencioso y favoreciendo al confort.

•El suelo del tranvía no suele permanecer a más de 35 cm respecto del riel, ya que en su diseño, los equipos de tracción se trasladan al techo del vehículo. Esta pequeña modificación de su configuración permite una mejor accesibilidad a las personas con movilidad reducida, bicicletas o equipaje, eliminando la necesidad de superar escaleras o rampas. El hecho de que sean de piso bajo, con una buena cantidad de puertas y que muchos coches ofrezcan la opción de validar el boleto dentro del transporte y en cada puerta, hace la evacuación de pasajeros muy rápida, por ende, el tranvía ofrece poca pérdida de tiempo en las paradas.

•El tranvía es, sin dudas, uno de los modos más seguros de transporte, presentando bajos niveles de accidentalidad. En el año 2009, la UITP, International Association of Public Transport, publicó un trabajo denominado “LRT, a safe means of transport”, en el cual se analiza la accidentología vial en

varias ciudades de Alemania. Como resultado del trabajo, pudo determinarse un promedio de 0,4 accidentes viales por cada millón de habitantes/km. Esta cifra para los tranvías desciende a un valor de 0,09.

•La implantación del tranvía en el espacio urbano ofrece variedad de alternativas en relación a la materialización de las paradas, con el fin que su diseño se adapte al ambiente circundante. Entre ellas, existen plataformas exclusivas que eliminan interferencias con otros medios de transporte.

Australia

Otras paradas se diseñan como una extensión de la vereda o calzada existente, permitiendo el acceso a nivel de suelo de los pasajeros del tranvía, y representando un camino para ciclistas o motoristas, o en algunos casos, para los automóviles. En dicho diseño se requiere la perfecta convivencia de todos los actores intervinientes en la movilidad, con riesgo de accidente en caso del no cumplimiento de las normas establecidas.

Melbourne, Australia

Melbourne, Australia

También existe la opción de tranvía sin parada, donde la accesibilidad resulta ser relativa.

Fotografía de tranvía en Frankfurt

Autor: Sebastián Kasten

Donde sí existe una interferencia intermodal es, principalmente, en los cruces de arterias donde la seguridad se alcanza mediante prioridades de paso con control semafórico. En las ciudades donde el tranvía lleva muchas décadas implantado, por ejemplo, Alemania,

Melbourne,
Sheung Wan, Hong Kong, R. P. China

se constata que las personas ya tienen una cierta costumbre arraigada que les permite convivir con él con comodidad y en forma segura.

En cambio, en ciudades de relativa pronta implantación, como Francia, Inglaterra o España, el nuevo tranvía provoca, en una etapa inicial breve, algunos incidentes, los cuales disminuyen mediante campañas en la vía pública.

La mayoría de los accidentes se producen en la etapa inicial, mermando rápidamente al poco tiempo, siendo el factor detonante del siniestro el no respeto o la falta de conocimiento de las reglas de circulación del tranvía.

Actuales tendencias tranviarias

En los últimos años, la contaminación por CO2 motivó ampliar la mirada hacia el tranvía. Con ello se le ha impuesto a este medio un nuevo desafío: Superar la contaminación visual.

La activación o desactivación de dichos segmentos se realiza mediante una comunicación por radio entre el tranvía y la infraestructura. Entró en servicio comercial a finales del año 2003 en 13,6 km de los 44 km de línea tranviaria de la ciudad. Otras ciudades como Reims, Angers, Orleans, Tours, Dubai y recientemente Río de Janeiro, han adoptado el APS como sistema de tranvía sin catenaria.

En 1999, la ciudad francesa de Burdeos buscó optar por el tranvía, implantándolo en su casco histórico, con el reto de aliviar la contaminación visual, proponiendo el abordaje de un diseño eliminando su catenaria y los pantógrafos y tomando la energía por un tercer riel.

Se quería lograr una implantación para que el paseo por la histórica catedral y puente sobre el río Garona no constituyera una intromisión de la infraestructura de ese transporte en la contemplación del patrimonio histórico. Para resolverlo, hubo que eliminar el peligro de descargas, y para ello, se buscó una solución tecnológica: Que el tercer riel sólo transmitiera energía al paso del coche.

Este sistema se denomina APS (Alimentación Por Suelo), o también, se lo conoce por sus siglas en inglés GLPS (Ground Level Power Supply). Este tercer riel está semienterrado y dividido en segmentos de 8 metros -separados entre ellos por juntas aislantes de 3 metros- que sólo presentan tensión cuando el vehículo permanece totalmente en contacto.

Esquema de funcionamiento del sistema APS extraída del Estudio de la viabilidad de la conexión tranviaria de la actual Línea 1 desde la Plaza Circular hasta la Estación del Carmen. TRN Ingeniería SA- MECSA SA

A partir de Burdeos, muchas formas de captación de energía sin catenaria se han desarrollado por distintas empresas, cada una con la evolución de su propia tecnología.

El sistema OESS (Onboard Energy Storage System) absorbe la energía almacenada en el vehículo utilizando baterías, supercondensadores o una combinación de los mismos, recargándose periódicamente entre otras formas a través del frenado regenerativo.

Otro sistema como el OPGS (Onboard Power Generation System), permite que la corriente continua sea generada en el vehículo a través de pilas de combustible de hidrógeno, microturbinas, etc. En esos dos sistemas descriptos, la recarga eléctrica de pilas se lleva a cabo en las paradas.

Desde esa innovación tecnológica, las longitudes de los tramos sin catenaria han ido aumentando progresivamente, permitiendo una mayor autonomía. Se ha logrado una línea autónoma totalmente libre de catenaria en Guangzhou, China, de 7,7 km, la cual opera desde el año 2014 y está previsto que en la ciudad de Niza se instalen 11,3 km de alimentación sin catenaria en todo el tramo, para el 2018. También, China se ha convertido en el primer país que fabrica un tranvía alimentado, exclusivamente, por pilas de hidrógeno recargable que permiten una autonomía de 4 km y un tiempo de recarga de 40 segundos. Toda una revolución para el transporte sostenible.

Hasta aquí se han abordado ventajas compartidas con el material rodante, sin embargo, cabe destacar que en relación a la infraestructura la implantación de un tranvía suele ser seguida de una inversión en el espacio público que lo rodea, contribuyendo a recuperar zonas degradadas de la ciudad. Este modo ofrece cualidades que modifican la descripción del viaje, brindándole una impronta tecnológica, segura y confiable y su incorporación en la ciudad, aunque supone una dificultad, se convierte en un instrumento eficaz de reordenamiento urbano, resurgiendo como modificador de la conformación existente.

“ ”

El tranvía se encuentra operativo en 284 ciudades del mundo, totalizando 11.617 km de vía, tanto de tranvías tradicionales como modernos. Pero sin dudas, el auge actual de este modo se desarrolla en Europa. La causa de este nuevo auge radica en la baja emisión de gases contaminantes, al ser un servicio que consume energía eléctrica en un contexto en el cual el transporte representa más de un 20% de la emisión total de gases de efecto invernadero en Europa.

Infraestructura

Tranvía de Niza, Francia
Tranvía de Burdeos, Francia
tranviaria de Melbourne

¿Hacia dónde van las ciudades?

La huella de carbono conforma una variable que permite calcular las emisiones de gases de efecto invernadero generadas por el calentamiento global. En aras a contribuir a un desarrollo sostenible, donde cada país pueda adherirse a reducir las emisiones de gases contaminantes, es dable pensar que toda planificación urbanística actual tenderá a promover un modelo de ciudad de baja o nula huella de carbono en la atmósfera, siendo éste el objetivo de muchas ciudades.

Es obvio que el crecimiento demográfico pone en crisis la concepción existente de las ciudades. En la actualidad, en las urbes vive la mitad de la población del mundo. Las Naciones Unidas prevé una población de 9.500 millones de habitantes para el año 2050, donde las dos terceras partes vivirá en las ciudades. El transporte urbano genera hoy la tercera parte de la contaminación por emisión de dióxido de carbono que produce el transporte total. Sin duda, ese es el punto a atacar.

En este sentido, Copenhague, tiene como objetivo anular la huella de carbono en el 2025 por efecto invernadero, y ser la primera capital del mundo en conseguirlo. Para ello, cuenta con un plan de ciudad que, tal y como describe Marian Galindo “pretende encontrar soluciones que sean más inteligentes, más verdes, más sanas y más eficientes, que no hagan más caro ser ciu-

dadano de Copenhague, que promuevan un crecimiento verde e incrementen la calidad de vida de los ciudadanos”.

En este marco, la nueva concepción urbanística de una ciudad apostará por una urbe compacta, ecológica, eficiente, con baja huella de carbono, autárquica energéticamente, con menor dependencia del exterior, con espacios públicos de calidad y movilidad sostenible, con cohesión social.

Bajo estas premisas, Salvador Rueda dirigió el plan de movilidad sostenible de la ciudad de Vitoria, España. Según este licenciado, abordar los retos de la sociedad actual relacionados con la sostenibilidad en la era de la información, obliga a repensar los modelos de ocupación urbana y los instrumentos de transformación, entre ellos, el urbanismo.

Bajo esa ideología, el transporte público se transforma en un actor fundamental para diseñar el espacio urbano, con menor empleo del automóvil en beneficio del transporte masivo, dotado de calidad y con impronta de desarrollo sostenible. Mejorar el espacio urbano diseñando un sistema de transporte con baja o nula huella de carbono, modificar la trama urbana para poder compatibilizar la convivencia de los diferentes modos

Barrio Quarry Bay Honk Kong, China National Geographic, Septiembre de 2016

de transporte en un hábitat compacto, apuntar a mejorar tanto el confort acústico como la calidad del aire, son objetivos para lograr una superación del concepto de habitabilidad dentro del espacio público-urbano.

En Barcelona, bajo la dirección de la Agencia de Ecología Urbana, destinada a repensar las ciudades para orientar su gestión hacia la sostenibilidad, en el mes de septiembre de 2016, se comenzaron a implantar las supermanzanas: Una nueva solución integral que conjuga urbanismo y planificación de la movilidad de una zona de la ciudad (el Eixample) a partir de nuevas células básicas para los flujos motorizados e islas urbanas para el resto de usos del espacio público, cuyo objetivo principal es limitar la presencia del automóvil y retornar el espacio público al ciudadano.

Esta primacía del ciudadano es la base que brinda sentido a todo el conjunto de intervenciones con las cuales se perfilará la Supermanzana: Calles de accesibilidad universal, seguridad debido a la limitación de velocidad a 10 km/h y desarrollo del potencial para incrementar la habitabilidad y el confort en el espacio público.

En las transformaciones urbanísticas se precisa repensar y adaptar el transporte al tipo de movilidad que da sentido a la planificación soñada. ¿Podría el tranvía satisfacer el rol de movilidad bajo los citados paradigmas?

Problemas en centros urbanos

Los centros históricos se caracterizan por poseer edificios antiguos de gran valor cultural. Muchos de esos edificios llegan a presentar grietas, entre otras causas, generadas o agravadas por las vibraciones del transporte pesado que transmite a su estructura a través del suelo. También, el paso de autobuses con frenadas, arranques y aceleraciones, colabora a intensificar el problema.

Esa problemática se refleja en el casco histórico de Buenos Aires, siendo el caso más notorio el de la iglesia de San Ignacio. Esta fachada es considerada las más antiguas de la Ciudad. Data del año 1675. En 2001, la grieta del frente de la iglesia crecía mes a mes y no era super-

“Supermanzanas”. Fuente: Agencia de Ecología Urbana de Barcelona

Tranvía en la ciudad de Sevilla

ficial, sino que atravesaba el ancho del muro, seccionando en dos la fachada. Ante dicha situación, si bien el origen del problema era provocado por otra causa, se volvió urgente terminar con las vibraciones del tránsito responsable de acrecentar grietas y fisuras.

Existiendo, desde 1999, una ley que prohíbe el paso de camiones y acoplados por las calles y avenidas que no integran la Red de Tránsito Pesado, se amplió dicha restricción a los autobuses. Entonces la Legislatura, con el fin de resguardar los edificios más antiguos, afectados por las vibraciones provocadas a su paso por los vehículos pesados, estableció una prohibición a la circulación de autobuses por las doce manzanas comprendidas entre las calles Perú, Diagonal Sur, Hipólito Yrigoyen, Paseo Colón y la avenida Belgrano, declarando dicha zona de “Protección histórica”.

Resultados obtenidos, conclusiones y recomendaciones

¿Es posible la integración del casco antiguo como el de Buenos Aires y sus zonas aledañas a través de un medio como el tranvía y compatibilizar también con los peatones?

El avance constante de cada ciudad parece arribar a esas zonas densamente pobladas comercial y cívicamente, con altos niveles peatonales. Pero ¿qué medios de transporte se proponen para abreviar los trayectos, tanto para los habitantes como para el resto del tránsito y convivir con la edificación existente?

A partir de la información recabada y la experiencia de otros países, es dable pensar que un modelo de convivencia de diferentes modos de transporte es posible, mediante una planificación estratégica que prioriza al peatón, comparte los fundamentos de una ciudad sostenible con bajas contaminaciones acústicas, medioambientales y visuales, sin quedar afuera el sostenimiento de su historia edilicia.

El tranvía encuadra en cada uno de los mencionados requerimientos, brindando nuevos niveles de accesibilidad no contemplados hasta ahora en tramos peatonales y con circulación de automóviles.

“ ”

es dable pensar que un modelo de convivencia de diferentes modos de transporte es posible, mediante una planificación estratégica que prioriza al peatón, comparte los fundamentos de una ciudad sostenible con bajas contaminaciones acústicas, medioambientales y visuales.

Iglesia de San Ignacio, calle Bolívar, ciudad de Bs. As.

Foto del tranvía de Reims, Francia Extraída del Estudio: “State of the Art in Light Rail Alternative Power Supplies, Prepared for: APTA / TRB 2015 Light Rail”

Nuevas conectividades se podrán establecer en pos de transversalidades no pensadas hasta ahora. Un moderno abanico de posibilidades queda abierto ya que la gran versatilidad ofertada por este modo de transporte, en cuanto a cantidad de pasajeros, sistemas de alimentación, costos de inversión inicial o disgregada en el tiempo, plataformas de acceso, respeto por su ámbito tradicional, su modo de integración con el peatón, contribuirán a la armonía de una ciudad pensada totalmente con los habitantes, su vida e historia.

Bibliografía

1. Alcalde Fernández, Oliver: La Nueva era del Tranvía como modo de transporte: ¿Necesidad o moda? Infraestructura del Transport i del Territori (ITT), Universitat Politécnica de Catalunya.

2. Andrés Hilarión, Helena: Criterios de trazado para la inserción urbana del tranvía, Universitat Politécnica de Catalunya.

3. Bustos, Miguel: Los innovadores tranvías sin catenaria. https://www.trenvista.net/

4. Cascajo Jiménez, Rocío. Tesis doctoral: Metodología de evaluación de efectos económicos, sociales y ambientales de proyectos de transporte guiado en ciudades. Universidad Politécnica de Madrid.

5. Dulac, John: Global land transport infrastructure requirements. Estimating road and railway infrastructure capacity and costs to 2050. Information paper 2013.

6. Fulton, Lewis et. Al: How can cities meet tomorrow’s

transit needs? Review a study by researchers at University of California Davis and the Institute for Transportation Development and Policy, Revista IRJ, Diciembre de 2015.

7. Galindo, Mariano: Huella De Carbono Nula: Copenhague 2025. Artículo de Arquitectura Sostenible del blog Ecoesmás. Julio de 2014.

8. Rueda, Salvador: El urbanismo ecológico: Un nuevo urbanismo para abordar los retos de la sociedad actual. La Supermanzana. Así es la propuesta del urbanismo ecológico. Revista Ciudad Sostenible.

9. Swanson, John et al. State of the Art in Light Rail Alternative Power Supplies Prepared for: APTA / TRB 2015 Light Rail. Interfleet Technology Inc. 2015.

10. Artículo “Using accessible stops” de la página Web www.yarratrams.com.au

11. Noticia: “Prohíben que circulen colectivos por el casco histórico de la Ciudad”. http://edant.clarin.com/diario/2002/12/12/s-02615.htm

Planificación de infraestructura de servicios para el desarrollo de una zona logística y tecnológica.

Emplazamiento: Provincia de San Luis en las inmediaciones de su aeropuerto

Autores: Arq. Mónica Kresko, Ing. Adriana Alperovich e Ing. Dayana

Pulido

Email: mkresko@gmail.com

El trabajo analiza una propuesta de intervención urbana bajo el concepto de Aerotrópolis, utilizando como eje de desarrollo urbano el Aeropuerto de San Luis. Tiene como propósito la planificación de un proyecto urbanístico que fomente el desarrollo económico de la mencionada provincia y la región de influencia, sirviendo como centro logístico del corredor bioceánico.

La metodología utilizada para el trabajo consistió en la recopilación de antecedentes de la provincia, análisis de datos urbanísticos de la ciudad de San Luis (redes, economía, desarrollo), propuesta de intervención, evaluación de la infraestructura existente y análisis de inversión a 20 años para el desarrollo de la Aerotrópolis.

El desarrollo de un proyecto de aerotrópolis en las inmediaciones de la ciudad de San Luis, para potenciar la economía de la provincia, la región y el país, debido a su ubicación estratégica en el centro del corredor bioceánico y planificación a 20 años de la inversión en infraestructura de servicios.

A modo de conclusión, se ofrecen diversas propuestas para las zonas industriales, con el objeto del aprovechamiento de los residuos para incrementar la participación de las energías renovables y su utilización como insumos en otros procesos.

Introducción y justificación del trabajo

Desde los principios de la historia moderna, los medios de transporte han sido catalizadores para el desarrollo de los centros de negocios alrededor del mundo.

En el siglo XVIII, las ciudades importantes en términos de comercios y negocios se establecieron y crecieron cerca de los puertos. En el siglo XIX, los centros de negocios se ubicaron cerca de la estaciones de ferrocarriles. El siglo XX fue el siglo de las autopistas. Siempre ha sido determinante la accesibilidad y conectividad.

Al final del siglo XX, surgió el concepto de aeropuertos como centros de negocios: Hoteles, centros comerciales y otras instalaciones recreativas que encuentran su ubicación ideal dentro del perímetro del aeropuerto.

En el siglo XXI el tiempo y el espacio se redujeron radicalmente debido principalmente al concepto de negocio global reinventado por Internet y por la capacidad de llegar, a cualquier punto del globo, en cuestión de horas. Esta nueva realidad ha cambiado el papel de los aeropuertos.

La globalización, las políticas de liberalización del comercio y los nuevos mercados internacionales abiertos, requieren de áreas metropolitanas competitivas, donde el desarrollo económico se centre en el aeropuerto, es decir, la aerotrópolis.

Aerotrópolis, palabra acuñada por el profesor John D. Kasarda, habla de una nueva forma de urbanismo. Ciudades que ofrecen todas las facilidades para hombres de negocios o empresas multinacionales.

Las Aerotrópolis suelen atraer a las industrias, en las cuales, el tiempo y la agilización de entrega es vital: Empresas de ventas generadas por comercio electrónico, las telecomunicaciones y logística, hoteles, tiendas, complejos de entretenimiento y centros de exposiciones y oficinas. Parques empresariales, logísticos, industriales, tecnológicos, centros de distribución y centros comerciales. Adicionalmente, una variedad de opciones

cesidad de mejoras en la conectividad de la zona del aeropuerto, las personas, la movilidad de productos y uso de la tierra.

Lo anterior se contempla en la búsqueda de generar un espacio geográfico de carácter urbano con potencial económico, pero también, fortalecido en los aspectos sustentables, donde para ello, resulta fundamental la mejora de la eficiencia logística integrando aerotrópolis, planificación del transporte de superficie y la planificación de sitios comerciales para crear ventajas competitivas para los aeropuertos, las empresas y las regiones que sirven para: Priorizar distancias y tiempos

Imagen: Aerotrópolis Modelo Fuente: http://www.aerotropolis.com/airportCities/about-the-aerotropolis

residenciales se planean en las aerotrópolis, a fin de proporcionar la solución para los ejecutivos y colaboradores de las empresas establecidas en la misma.

Aerotrópolis es una ciudad diseñada para potenciar los beneficios del aeropuerto internacional y crear una vida sostenible a su alrededor, como un conjunto de anillos que agrupen toda la infraestructura de una ciudad, tienen como finalidad generar "economías de velocidad" y brindar impulso al comercio de bienes y servicios, a través de la aviación comercial, lo cual conlleva la ne-

de traslado, Generar mayor efectividad en importaciones y exportaciones y preservando el medio ambiente al generar menores impactos por traslados.

Objetivos o hipótesis

•Generar una propuesta de intervención urbana “Aerotrópolis”, con eje en el Aeropuerto de San Luis, partiendo de un análisis de la infraestructura existente y generando una propuesta de interven-

ción que potencie el desarrollo económico a la ciudad y su región.

•Analizar la capacidad y demanda a 20 años de la infraestructura de redes de servicios públicos para abastecer las necesidades de un plan de desarrollo en la ciudad de San Luis, con eje en el aeropuerto de la misma ciudad.

•Objetivo específico: Evaluación de la infraestructura urbana, redes de gas, electricidad y telefonía, para abastecer la demanda generada por el desarrollo del Proyecto de Aerotrópolis emplazado en la ciudad de San Luis.

Problemas a abordar

•La evaluación del territorio y la infraestructura, los cuales son aspectos básicos al momento de proponer un proyecto de desarrollo urbano, dado que cambiarán definitivamente el territorio donde la Aerotrópolis se ubique, generando impactos, positivos o negativos, a las ciudades cercanas y sus pobladores.

•Generar un análisis detallado de la capacidad de demanda a 20 años de la infraestructura de redes de servicios, con el fin de proyectar el abastecimiento de las necesidades de un plan urbano de desarrollo en la ciudad de San Luis, a partir de la organización del aeropuerto que funciona actualmente.

•Propuesta de desarrollo de la Aerotrópolis y necesidades de infraestructura para su evolución.

Descripción del emplazamiento del proyecto

La provincia de San Luis está ubicada en el CentroOeste de la República Argentina e integra la región del Nuevo Cuyo, junto con las provincias de Mendoza, San Juan y La Rioja, se encuentra en el centro del corredor bioceánico, eje que vincula el Océano Atlántico con el Océano Pacífico, de importancia para el comercio mundial, y dentro de la Región, para el comercio entre los países del MERCOSUR y Chile.

Descripción del proyecto

Metodología

Actividades o etapas desarrolladas

•Recolección de información de la provincia.

•Análisis de los datos urbanísticos de la ciudad de San Luis (redes, economía, desarrollo, etc.).

•Análisis de la Aerotrópolis como una manera de desarrollo.

•Evaluación de la infraestructura existente.

El proyecto productivo “Zona logística y tecnológica en las inmediaciones del aeropuerto de San Luis”, busca brindar una respuesta integral de comercio exterior para la citada provincia y su región, proponiendo herramientas en un espacio físico adecuado, en el cual, se cuente con una amplia oferta inmobiliaria, urbanística, industrial, tecnológica y de diversos usos, para brindar un adecuado entorno económico y de negocios, logrando óptimos procesos de exportación.

Este proyecto urbanístico, contempla el desarrollo de un área destinada a la instalación de empresas de diferentes

sectores productivos, cuya materia prima presente un alto valor agregado y requieran de una economía de velocidad con base en el transporte aéreo de cargas, a efectos de mejorar la competitividad de sus productos.

Para ello, se plantea destinar un área de 10 km2 con eje en el aeropuerto de San Luis, desarrollando áreas destinadas a zonas de actividades logísticas, zonas de apoyo a la industria I+D, zonas de actividades industriales, áreas de uso residencial, educativo, centros de convenciones, comercial, hotelera, etc.

Análisis del perfil productivo de San Luis

La especialización productiva tradicional de San Luis es la actividad agropecuaria orientada a las producciones pampeanas, en especial a la ganadería. No obstante, la economía provincial ha sufrido importantes modificaciones en su estructura a partir de la industrialización de nuevas áreas, entre las cuales se destaca la expansión verificada en las ramas metálicas básicas, metalmecánica y de sustancias químicas.

En el sector agroindustrial se destacan, los frigoríficos y las curtiembres, y se registró un crecimiento en los últimos años de la actividad lechera, la producción de electrodomésticos, los plásticos y los artículos de papel y cartón. También, se desarrolla la industria minera en las sierras de San Luis. El modelo actual del territorio

muestra, claramente, las zonas consolidadas y conectadas así como el déficit de las mismas.

Diagnóstico de infraestructura existente

La ciudad de San Luis, y la provincia en general, por su ubicación geográfica y su desarrollo social y económico, es una de las provincias Argentinas con mayor accesibilidad a todos los sistemas de transporte, entre ellos, líneas terrestres, líneas de autobuses, trenes y aviones, gracias a su ubicación estratégica, sobre el corredor bioceánico. La significativa red de autovías y autopistas, que alcanzan los 512 kilómetros, representan el 32,5% del total a nivel nacional, y la convierten en una de las provincias del país que cuenta con una excelente red vial provincial.

El crecimiento de la población de los últimos años, con marcada concentración en el centro Este de la provincia, más las industrias radicadas en el área y la zona franca, conforman factores que marcan el incremento del tránsito de cargas y pasajeros en la red vial provincial, en particular, en el tramo San Luis, Villa Mercedes y Justo Daract, que coincide con el corredor bioceánico. La ruta nacional Nº 7 constituye el nexo que, al unir por vía terrestre a los océanos Atlántico y Pacífico, favorece el intercambio entre los países miembros y asociados al MERCOSUR.

Provincia de San Luis. Modelo actual del territorio Fuente: Plan Estratégico Territorial Argentina (PET)

En el tramo que recorre la provincia de San Luis, es decir, desde el sector que lo une con Córdoba hasta el límite con Mendoza en el Desaguadero, la ruta presenta una moderna autovía que permite una excelente circulación de bienes y personas dentro del corredor. Este corredor Bioceánico es un vínculo vial o puente terrestre que instaura un punto de integración física y comercial entre el Océano Pacífico y el Océano Atlántico, brindando a los usuarios capacidad y confiabilidad, generando un importante crecimiento en las regiones por donde cruza y adquiere mercados, dado que es una herramienta básica para la expansión de las economías y las naciones.

Para el fomento del desarrollo económico de la región, se hace importante contar con una vía terrestre que una los océanos Atlántico y Pacífico, de modo que sea un substancial medio para la realización de actividades económicas mercantiles, en este caso, San Luis cuenta con la Ruta Nacional Nº 7, desde el tramo que lo une con Córdoba hasta el límite con Mendoza en el Desaguadero.

La provincia ostenta una importante infraestructura aeroportuaria a nivel regional, la cual está conformada por dos aeropuertos de transporte de pasajeros y pequeñas cargas, uno en la ciudad capital de San Luis y el segundo en la ciudad de Villa Mercedes, más un aeropuerto de capacidad internacional de carga y de pasajeros en la región del Valle del Conlara, equidistante a unos 20 Km de Merlo, el principal centro turístico de la provincia. El aeropuerto construido actualmente, ofrece las siguientes especificaciones:

•Área total del predio: 540 ha, (5,4 km2), de las cuales, 385 ha corresponden al predio concesionado.

•Pistas: 88,500 m2.

•Calles de Rodaje: 55,100 m2.

•Plataformas: 18,900 m2.

•Terminal de Pasajeros: 1,000 m2.

•Hangares: 960 m2.

•Estacionamiento Vehicular: 1,600 m2 (46 vehículos).

En el transporte ferroviario de la región, la línea del Ferrocarril General San Martín que une la Capital Federal con las provincias Cuyanas posee dos ramales, los cua-

les se dividen al entrar en la provincia de San Luis. Solo una de esas líneas pasa por la ciudad capital de San Luis, el otro se sitúa más al Sur, pasando por localidades como Alto Pelado y Beazley, para unirse nuevamente con el anterior en La Paz, provincia de Mendoza. Existe un único ramal operando en la actualidad, el BAP (Buenos Aires al Pacífico), el mismo se utiliza para el transporte de cargas, lo cual aporta logística y movimientos económicos con los mercados internacionales. Esta línea atraviesa la zona de Justo Daract, lo cual genera un beneficio para la Zona Franca de esa ciudad.

La provincia de San Luis ha presentado, en los análisis realizados a nivel nacional, un evidente contraste con el resto del territorio argentino. En los años comprendidos entre 1985 a 1989 tuvo un elevado incremento anual del Producto Bruto Interno (PBI), el cual concordó con un retroceso a nivel nacional (Ficha Provincial, San Luis, Octubre de 2015. Secretaría de Política Económica y Planificación del Desarrollo, Subsecretaría de Planificación Económica, Dirección Nacional de Planificación Regional - Dirección Nacional de Planificación Sectorial. Tomado el 17 de agosto de 2016 de http://www.economia.gob.ar/peconomica/dnper/fichas_provinciales/San_Luis.pdf), convirtiéndose en una diferencia, que tiene que ver -en gran medida- con la promoción industrial, teniendo en cuenta que una parte del crecimiento económico que se ha presentado en la provincia, permanece relacionado con el desarrollo industrial, gracias a la innovación de la actividad y un mayor flujo de exportaciones e importaciones de gran envergadura; en los años de 1990 a 1993, donde se presentó un crecimiento del PBI Nacional, lo que generó una desaceleración a nivel provincial, posteriormente, motivó un importante proceso de crecimiento del PBG en un 4,32%, y a nivel nacional, con un PBI de un 3,4%, lo cual la benefició notablemente.

Parque Industrial de la ciudad de San Luis

La ciudad cuenta con el Parque Industrial Sur y el Parque Industrial Norte, divididos por la Ruta Nacional Nº 7. El tipo de industria instalada en los parques es va-

riada, generando productos de alto a bajo valor agregado (textil, defensa, tecnología). Los servicios de esos dos parques industriales son:

•Energía eléctrica de media y baja tensión.

•Cloacas.

•Agua potable.

•Gas natural.

•Teléfono e Internet.

•Redes básicas de conducción y distribución.

“ ”

La provincia de San Luis cuenta con una amplia oferta de redes de conducción y distribución de los diferentes servicios públicos, agua, electricidad, gas y telecomunicaciones, aunque presenta un pequeño déficit en el sistema cloacal.

Aún así, la provincia se destaca como una de las de mayor cubrimiento de las necesidades de sus pobladores, industrias y desarrollos económicos de la Argentina.

Para el Área en la cual se ubica nuestro proyecto, el abastecimiento de agua potable lo podría brindar el acueducto de San Luis, junto con el apoyo de un nuevo acueducto “La Florida”, el cual se encuentra proyectado en el Plan Maestro del Agua de la provincia, ubicado a 13 km de la ciudad y que abastecerá su mancha de crecimiento urbano.

En cuanto al servicio cloacal, la situación es un poco más desfavorecedora, puesto que un 44% de los habitantes de la provincia de San Luis no cuentan con esa red en sus casas, lo cual equivale a 203.723 habitantes sin cobertura de cloaca.

En la provincia la energía eléctrica siempre estuvo relacionada con las actividades productivas. A partir de la década del 80, la radicación de industrias generó un profundo replanteo del sistema energético provincial.

Por ese motivo, la demanda de energía eléctrica en San Luis está caracterizada por una fuerte concentración en el sector industrial como principal demandante de energía del total de la energía facturada.

San Luis cuenta con una amplia oferta de redes de conducción y distribución de los diferentes servicios públicos, agua, electricidad, gas y telecomunicaciones, aunque presenta un pequeño déficit en el sistema cloacal.

Proyecto Aerotrópolis

La propuesta de desarrollo plantea zonas cuyos usos del suelo son de carácter:

• Residencial: Para el asentamiento de emprendimientos residenciales.

• Comercial: Centros comerciales, hoteles, centros de convenciones, oficinas, etc.

• Industrial: Instalación de industrias identificadas en el proyecto de potencial interés, por contar con productos de alto valor agregado, cuyas actividades son:

•Aeroespacial y Defensa.

•Componentes electrónicos.

•Distribución y Logística y whole sale trading.

•Bio-ciencia.

•Informática y tecnológicas.

• Institucional: Destinada a escuelas, colegios, universidades, centro de investigación, institutos de capacitación.

• Espacio Público y Recreación: Instalación de áreas deportivas, parques recreativos, campos de golf y resorts.

• Transporte: Infraestructura inter y multimodal para vehículos pesados, playas de estacionamiento, talleres de mantenimiento, etc.

• Utilidad: Instalación de plantas de tratamiento de efluentes cloacales, tratamiento de residuos, subestaciones eléctricas y de telefonía, etc.

El siguiente esquema plantea la ubicación de los centros del proyecto, en el cual se busca aplicar lo establecido normativamente en cuanto a infraestructura,

Imagen: Planteo del proyecto

edificación y construcción, urbanismo, medio ambiente, desarrollo, aplicaciones tecnológicas, emisiones de CO2 y utilización de energía limpia o energías renovables.

Planificación de la demanda de redes de servicios

De la estimación de la demanda para el desarrollo del proyecto a 20 años, en función del tipo de instalaciones y área proyectada, surge el siguiente análisis:

Red eléctrica

•La capacidad instalada para la Región Centro es de 2.887 MWh y la capacidad disponible de 150 MWh.

•En la hipótesis que se completará para la totalidad del proyecto en los primeros años, resulta necesario ampliar la capacidad instalada ya que la demanda total estimada resulta mayor que la existente. Para ello, es necesario tender una nueva línea desde la red eléctrica nacional de 500 KV que se encuentra a una distancia aproximada de 80 km y circula por la localidad de Luján, en la provincia de San Luis, al Noroeste del emplazamiento del proyecto.

Red para gas

•Comparando la capacidad del gasoducto Centro Oeste, que va desde la localidad de Beasley en San Luis a La Carlota en Córdoba, y se encuentra a una distancia aproximada de 60 km al Sur del emplazamiento del proyecto, la misma resulta suficiente para la demanda estimada, debiendo ejecutarse las redes de distribución.

Red vial

•El área de emplazamiento del proyecto cuenta, en general, con una buena accesibilidad y conexión con el resto de la provincia y con otras provincias, así como con los países que conforman el MERCOSUR y Chile.

•Las conexiones faltantes con zonas de la provincia y otras provincias están proyectadas en el plan provincial vial, así como en el Plan Maestro de Logística de la provincia de San Luis.

•Resulta necesaria la mejora de las vías de circulación propias del proyecto y ejecución de nuevas dentro de la propuesta, capaces de resolver la vialidad de la zonificación proyectada.

Red para agua y cloaca

•La cobertura de agua y cloacas, deberá acompañar la implementación del proyecto, debiendo realizase instalaciones de tratamiento de efluentes cloacales.

•El tratamiento de los efluentes industriales se encuentra contemplado se realice en forma individual o conjunta (si las industrias tuvieran tratamientos que puedan compartir, o bien, alguno de los procesos del tratamiento).

Conclusiones y recomendaciones

El proyecto de desarrollo de una Aerotrópolis en las inmediaciones de la ciudad de San Luis constituye un proyecto de ubicación estratégica para potenciar la economía provincial y de la región, pero también, del país, debido a su implantación en el centro del corredor bioceánico.

Este proyecto debe ser analizado junto con el plan “San Luis logística” para generar una sinergia entre ambos y evitar superposición de actividades, con el objeto de potenciar o complementar las mismas.

Para las zonas industriales, se recomienda que la selección de las actividades a instalarse, dentro de las posibilidades, sea tal que constituyan eco-parques industriales con el objeto del aprovechamiento de los residuos para su utilización como insumos y lograr una auto-genera-

Bibliografía

1. Kasarda, J. D. (2014). Aerotrópolis. The University of North Carolina at Chapel Hill/Entry to the Wiley-Blackwell Encyclopedia of Urban and Regional Studies.

2. Silvio Baró Herrera. (2015). Globalización y desarrollo mundial.

3. Universidad de La Punta, San Luis. Contenidos digitales. Tomado el 18 de Agosto de 2016. http://contenidosdigitales.ulp.edu.ar/exe/geografia_de_san_luis/ el_corredor_biocenico_y_el_turismo.html

4. Secretaría de Política Económica y Planificación del

ción eléctrica y la elaboración de combustible alternativos, junto a ello, aumentar la participación de las energías renovables en la matriz energética provincial.

En cuanto a la infraestructura requerida, resulta conveniente llevar a cabo un análisis conjunto con los otros proyectos propuestos por la provincia para eficientizar el tendido de las redes eléctricas, para gas y comunicaciones.

Las aeroestaciones conforman verdaderas puertas al mundo. Representan la interfaz física donde lo local se encuentra con lo global. Por eso, los aeropuertos se han convertido en una suerte de “imanes comerciales” y conforman la infraestructura crucial para las industrias y negocios modernos.

Las aerotrópolis constituyen la próxima frontera de la globalización, y el centro vital de nuestro futuro desarrollo urbano estará en el aeropuerto. Una aerotrópolis produce servicios de alto valor, con acceso veloz a proveedores, clientes y socios lejanos. Esto permite a las firmas que se instalan en las aerotrópolis reducir costos, incrementar la productividad y extender su mercado global, tornándose así más competitivas.

Un adecuado planeamiento de la distribución de la aerotrópolis -y del transporte- reduce las congestiones de tráfico y la contaminación provocada por los vehículos, al tiempo de mejorar la apariencia del área aeroportuaria, al evitar un crecimiento y expansión azaroso.

Desarrollo, Subsecretaría de Planificación Económica, Dirección Nacional de Planificación Regional, Argentina. (2015). Ficha de la Provincia de San Luis.

5. http://www.buenosaires.gob.ar/desarrollourbano/manualdedisenourbano.

6. San Luis Agua, Sociedad del Estado. Plan Maestro del agua 2012-2025 (2012). Provincia de San Luis, República Argentina.

7. BY J.F. (2013) The Economist explains. What is an aerotropolis? Atlanta, United States. http://www.economist.com/blogs/economist-explains/2013/12/economist-explains.

Agua Potable, un recurso vital y escaso: Sistemas duales para su distribución sustentable

Autores: Virginia Pacini, Florencia Luciano y Rubén Fernández.

Email: vpacini@fceia.unr.edu.ar

Las elevadas dotaciones de agua potable (200-600 L/hab.día), las ineficientes políticas de reducción de agua no contabilizada y la falta de recursos económicos, impiden a los prestadores adaptarse a la normativa de calidad vigente. Esto implica que, las grandes ciudades necesiten ampliar sus plantas potabilizadoras o construcción de nuevas, y en el otro extremo, en las pequeñas y medianas poblaciones y/o barrios periféricos, se deban adoptar sistemas de entrega de agua potable por camiones o bidones, de accesibilidad y calidad cuestionables.

Dicha desigualdad en la distribución del recurso nos debería llevar a replantear el futuro de los sistemas de distribución. En varias localidades de nuestro país se instalaron sistemas de doble cañería en los cuales, mediante una red, se distribuye agua potable en dotaciones necesarias para el consumo humano (10-20 L/hab.día) y por la otra, agua desinfectada para usos generales, con dotaciones tradicionales. El objetivo del presente trabajo fue avanzar en el conocimiento sobre dichos sistemas, identificar sus fortalezas y debilidades, al tiempo de definir criterios de diseño óptimos para su posible implementación. Se realizó un relevamiento de los casos existentes de doble red: San Guillermo (Santa Fe); Jovita, Villa Huidobro (Córdoba), Plan CUIDAR-SPAR (Buenos Aires).

Se concluyó que los sistemas más adecuados son los que pueden trabajar con presiones bajas de distribución en forma continua las 24hs/día. En relación a la factibilidad económica, mientras los costos de instalación se reducen entre un 10 a un 15%, el de operación resulta un 75% inferior a la alternativa tradicional.

El potencial de los sistemas de distribución de agua potable por doble red se encuentra en una etapa incipiente de desarrollo, apareciendo como una tecnología sustentable que brindaría una mayor equidad en el acceso al recurso.

Introducción

Según la Organización Mundial de la Salud (2015), 1.100 millones de personas carecen de acceso a cualquier tipo de fuente mejorada de agua de bebida. Como consecuencia directa de ello, 1,6 millones de personas mueren cada año por enfermedades diarreicas atribuibles a la falta de acceso a un agua potable y saneamiento básico. Entonces, ¿Cuál será el futuro de los sistemas de abastecimiento de agua potable?

Considerando la falta de protección de las fuentes, la escasez hídrica, los elevados costos de producción que requiere el agua potable, las inadecuadas políticas de reducción del consumo, a la par de normativas cada vez más exigentes, dicha pregunta no resulta trivial.

En regiones donde existe escasez hídrica, las empresas prestadoras están obligadas a restringir el servicio en una cierta cantidad de horas al día por sectores, para lograr equirrepartir el vital recurso. En otras zonas, la imposibilidad de adaptación de pequeños y medianos operadores a los parámetros establecidos por norma para la distribución del agua potable por red, devino en la adopción de sistemas de distribución alternativos: Camiones, bidones, canillas públicas, etc.

En la provincia de Santa Fe, a finales de los años 90, se obligó a los prestadores, quienes no cumplían con la calidad de agua potable en su red, a distribuir, mediante bidones, 2 L/hab.día de agua potable, como solución temporal, fijando determinados plazos.

Actualmente, de un total de 362 localidades, aproximadamente, 123 poblaciones cuentan con sistemas de abastecimiento de agua potable mediante bidones, de las cuales, 72 no tienen red de distribución de agua, apoyándose para el resto de los usos en perforaciones particulares (ENRESS, 2016).

En consecuencia, los avances en sanidad logrados con las redes de distribución de agua potable se perdieron, volviendo a una situación sanitaria precaria (Figura Nº 1).

de bidones en canillas públicas (Fuente: www.miningpress.com.ar)

Justificación desde el punto de vista macro: “El negocio”

La visión establecida, desde los albores de la ingeniería de abastecimientos urbanos, acerca de la garantía de suministro en un sistema de abastecimiento consiste en: “Seguir distribuyendo agua potable para todos los usos a través de una única red”. Para ello, se debe captar un volumen creciente, conforme la demanda lo va requiriendo (Estevan, 2001). En este proceso, se llega inexorablemente a un punto en el cual los tratamientos de potabilización convencionales ya no resultan suficientes para asegurar la calidad exigida. Entonces, comienzan a demandarse, además de los sistemas de potabilización tradicionales, "nuevas tecnologías" de potabilización (Por ejemplo, oxidación, adsorción, procesos de membrana, etc.).

Justificación desde el punto de vista micro: “Necesidades” de agua potable

Entre las fuentes consultadas, se encuentra coincidencia en rangos de caudales para consumos domésticos típicos (Tabla Nº 1).

Tabla Nº 1

Consumos domésticos típicos (ENOHSA, 1999)

Las dotaciones típicas para consumos domiciliarios, con y sin micromedición (Tabla Nº 2), corresponden a valores publicados en la normativa vigente nacional.

Figura Nº 1
Llenado

Tabla Nº 2

Consumos domésticos típicos (ENOHSA, 1999)

Se aprecia que, de los 100 a 600 L/hab.día utilizados, sólo 10 a 20 L/hab.día son necesarios para el consumo humano (bebida y alimentación), mientras que un gran porcentaje se utiliza para otros usos que podrían suplirse con agua segura desde el punto de vista microbiológico.

Objetivos y metodología

El objetivo del presente fue avanzar en el conocimiento sobre los sistemas de distribución de agua mediante doble red e identificar los parámetros de diseño óptimos para su implementación. La metodología empleada consistió en recopilación de antecedentes, relevamientos y estudios de los sistemas ya implementados, análisis de resultados en relación a sus fortalezas y debilidades técnicas, definición de los parámetros de diseño más adecuados y análisis económico preliminar en relación a los costos de instalación y operación.

Antecedentes: Sistemas de distribución de agua potable mediante doble red

Los sistemas de doble red, consisten en diferenciar la distribución según la calidad de agua y su uso. Así, por una red circula la cantidad necesaria de agua potable para el consumo humano (bebida y preparación de alimentos, 10 a 20 L/hab.día) y, por la otra, agua que reúne características organolépticas y microbiológicas adecuadas para el resto de los usos (200 a 300 L/hab.día).

Ver la Figura Nº 2.

En las normas de diseño de redes de distribución de agua potable (ENOHSA, 1999), se recomiendan sistemas de “Distribución doble” para casos en los cuales no se dispone de fuentes de agua de buena calidad y se presentan elevados costos de tratamiento.

Otro sistema similar es el denominado “Canilla única”. El mismo consiste en una única red de agua potable de dotación mucho menor a la tradicional (del orden de 50% o menor), por lo general, micromedida, donde la población mantiene su perforación particular como fuente de abastecimiento para usos generales.

Antecedentes publicados a nivel mundial

Los antecedentes a nivel mundial demuestran un mayor desarrollo de los sistemas de doble red municipales, principalmente, enfocados al transporte del agua (residual tratada) de reuso.

Relevamiento de casos de doble red y/o canilla única en Argentina

En Argentina, las referencias publicadas son escasas. Moreno López (2004), cita el caso del sistema de doble red en San Guillermo (Santa Fe), como “Sistema In-

teligente de Aprovisionamiento de Agua”, el cual se describe más adelante. Se cuenta con un anteproyecto realizado para la localidad de Villada, Santa Fe (Ciudad Vila, 2010), el mismo fue propuesto mediante audiencia pública a la localidad de Villada, pero nunca fue ejecutado.

A continuación, se describen las experiencias de doble red relevadas en el presente estudio en diferentes localidades de nuestro país (en funcionamiento y/o proyecto).

1. Jovita (Córdoba). Población según Censo 2010: 4.823 habitantes.

El servicio es prestado por la Cooperativa Eléctrica de Jovita Ltda., con una cobertura del servicio del 100%. Se adoptó un sistema de doble red en el año 1989, debido a la escasez y pobre calidad de la fuente existente.

El agua cruda presenta elevadas concentraciones de arsénico (0,90 mg/L), fluoruros (3,2 mg/L), dureza (400 mg/L) y residuos secos (4.500 mg/L).

El tratamiento para la potabilización del agua es la OI, mediante dos plantas (7 m3/h - 1980 y 9,5 m3/h2003), cuyas bombas la elevan a un tanque para su distribución, reforzándose presiones con un booster durante el día (Figura 3b).

El agua potable se distribuye a razón de 50 L/día.conexión mediante una red de polietileno de alta densidad (PEAD) (Diámetro de 19 a 60 mm) hasta tanques de polietileno de 50 litros ubicados en el techo de cada vivienda.

El servicio es continuo, las 24 horas del día y no es micromedido. El consumo se limita a través de reguladores -de orificio calibrado, ver Figura 4 a y b)- colocados en la conexión de ingreso domiciliaria, permitiendo el paso de 50 L/día.conexión.

Figura 3 a) Planta OI
Figura 3 b) Tanque para distribución de agua potable

Figura 4 a) Caja conexión doble: Aloja ambas llaves seccionadoras

Figura 4 b) Orificio regulador de caudal para conexión

Se han instalado medidores en 20 conexiones llamadas “especiales” en las cuales se prevén consumos elevados de agua potable (Escuelas, soderías, fábricas, entre otras).

El agua para uso general (450 L/día.conexión) se distribuye por otra red, alimentada por bombeo desde una cisterna de almacenamiento, también en forma continua, la cual alcanza otro tanque independiente (Ver Figura 5 b).

Figura 5 a) Tanque plástico de 50 L con flotante para agua potable

Figura 5 b) Tanques para agua uso general sobre losa, abajo, tanque plástico blanco (50 L) para agua potable

Algunas viviendas mantienen un tercer tanque y su propia perforación para usos como, por ejemplo, riego.

La Cooperativa facilita un manual del usuario donde se regulan los detalles del servicio.

2. Villa Huidobro (Córdoba).

Población según

Censo 2010: 5.658 habitantes.

Se ubica a 85 Km al suroeste de Jovita y posee un sistema de doble red inaugurado en el año 2003. Su funcionamiento es similar al de la localidad de Jovita. Posee un regulador en cada conexión el cual permite el paso de 50 L/día.conexión de agua potable.

El agua es tratada por Ósmosis Inversa (OI) para remover arsénico y fluoruros como contaminantes principales. Los vecinos de la localidad destacan una mejora en la calidad de vida gracias a la instalación de las redes, ya que anteriormente, debían obtener agua de bebida de pozos de bombeo (la cual no cumple con la normativa vigente) o comprarla fuera de la localidad.

Ubicada al sur-este de Jovita, no posee distribución de agua por red, la población se abastece con sus propios pozos o aljibes con un agua con alta concentración de arsénico y sólidos disueltos totales.

El agua para consumo humano es distribuida mediante camiones de la Municipalidad. En 2015 la Municipalidad de Huica Renanco junto a la Cooperativa Limitada de Electricidad y Servicios Anexos, llevaron adelante el proyecto de abastecimiento mediante doble red, con el objetivo de obtener financiamiento para su ejecución en los próximos años.

4. San Guillermo (Santa Fe).

Población según

Censo 2010: 7.803 habitantes.

3. Huinca Renancó (Provincia de Córdoba).

Población según

Censo 2010: 9.426 habitantes.

En el año 1991 se implementó el sistema de doble red prestado por la Comuna. El porcentaje de cobertura es del 80%. La fuente es subterránea con elevadas concentraciones de sólidos disueltos totales, arsénico y nitratos. Se explota un acuífero a 23 m de profundidad, contando con OI (dos módulos de 2 m3/h cada uno). Para la red de distribución de agua potable, se adoptó 100 L/día.conexión. En cada vivienda se instala un tanque elevado de 100 L con bajada a canilla única en la cocina. El servicio es micromedido y provisto de 9 a 11 AM. En ese período, se llenan los tanques domiciliarios de 100 L. Así, la red funciona (volumen mínimo en tiempo reducido) con los diámetros y caudales de una red tradicional, pero con funcionamiento limitado a unas horas por día. La red de uso general distribuye agua desinfectada durante las 24 horas.

Plan CUIDAR-SPAR (Buenos Aires)

Poblaciones hasta 1.000 habitantes

Más de 20 localidades pequeñas de la provincia de Buenos Aires cuentan con sistemas duales de distribución de agua potable y de uso general (Luciano y Pacini, 2015).

El programa CUIDAR, del Servicio Provincial de Agua Potable y Saneamiento Rural (SPAR, 2015), del Ministerio de Infraestructura de la Provincia de Buenos Aires, plantea el uso de una doble red para localidades pequeñas (localidades rurales) que no poseen red.

Se cuenta con información de la instalación de dicho sistema a partir del año 2008, con poblaciones de hasta 1.000 habitantes. Algunas de las localidades que cuentan con el sistema se incluyen en la Tabla 3.

En todos los casos, la fuente es subterránea y el agua cruda presenta altas concentraciones de sólidos disueltos totales, arsénico, fluoruros, dureza, por lo que el tratamiento es la ósmosis inversa (dotaciones de red de agua potable 5-10 L/hab.día -equivalente a 25/50 L/día.conexión-). La conexión ingresa al domicilio por una cañería que finaliza en un dispenser de 25 L sobre una mesada sin micromedición. La conexión de agua de uso general se micromide y abastece al resto de la vivienda (130-200 L/hab.día).

La red de agua potable se diseña y opera a menores presiones (5-6 mca) respecto de la red de agua de uso general (10-12 mca), lo cual resulta ventajoso para reducir pérdidas físicas. Se señala que, la población se adapta sin inconvenientes a este novedoso servicio manteniendo buenas prácticas de consumo responsable (Cichitti, 2015).

Tabla 3. Localidades con doble red Programa CUIDAR, SPAR Buenos Aires

Figura 6

Localidades con doble red Programa CUIDAR, SPAR Buenos Aires

Sistemas con canilla única de distribución de agua

Este es el caso de ciudades como Venado Tuerto, Rafaela, entre otras, que permiten y/o solicitan a sus pobladores contar con una perforación propia para el agua de uso general, y abastecerse de la red de agua potable sólo para consumos que demanden calidad potable.

1. Venado Tuerto (Santa Fe). Población según Censo 2010: 76.432 habitantes.

La conexión única, que es micromedida y se conecta en la mayoría de los usuarios a una canilla a la pileta de la

cocina (dotación promedio de 6 m3/conexión.mes). Para el agua de uso general los habitantes mantienen los bombeos domiciliarios existentes.

La fuente es subterránea y el tratamiento de potabilización es mediante OI de membrana selectiva para arsénico.

El 70% de las conexiones posee una canilla única de agua potable, con un consumo menor a 2 m3/mes (67 L/día.conexión) y el 30% restante posee un tanque domiciliario con conexión a la red de agua potable y se estima que su consumo es 20 m3/mes.

La Municipalidad de Venado Tuerto (2012) mediante la Ordenanza Nº 4.089/12, establece que las viviendas de propiedad horizontal deberán contar con medidor de agua potable por departamento y un medidor por edificio.

2. Rafaela (Santa Fe). Población según Censo 2010: 92.945 habitantes.

La Municipalidad de Rafaela (2006) estableció la ordenanza Nº 3.893 que requiere que: "Todas las nuevas construcciones deberán poseer el sistema de suministro de agua potable de red… destinados a usos que puedan generar riesgo para la salud…; y uno complementario, alimentado por bombeo…, para el abastecimiento de agua destinada a otros usos”. Se conoce la aplicación de esta normativa en la construcción de barrios abiertos de viviendas proyectadas con doble red “interna”, con un sistema de agua de pozo para depósito de sanitarios y canillas de servicio y riego, con agua de red solamente para consumo humano.

Análisis de resultados Criterios de diseño para nuevos sistemas

En la Tabla 4 se incluye un resumen comparativo de los sistemas estudiados.

Tabla 4. Resumen comparativo de las localidades estudiadas

En relación a la red de agua potable se observó que emplear un orificio como limitador de caudal (como el utilizado en Jovita), es contraproducente, debido a que requiere, para su correcto funcionamiento, elevadas presiones en la red de agua potable (del orden de 20 m) las cuales aumentan las pérdidas físicas en la red.

La utilización de un dispenser sobre mesada como punto de uso interno (similar al programa CUIDAR), sin orificio limitador de caudal, permite trabajar con presiones más bajas respecto de la de una red común, siendo ello ventajoso para disminuir, aún más, las pérdidas físicas.

Respecto a habilitar el servicio sólo en una franja horaria (como en San Guillermo) no se considera conveniente, debido a posibles problemas de presiones negativas en las cañerías con riesgo de contaminación externa. En el caso de los sistemas de red simple de agua potable,

donde además se mantienen los pozos domiciliarios, si bien se incorpora un ahorro significativo del consumo de agua potable, requieren de campañas educativas efectivas para asegurar que la perforación no se destine al consumo humano.

Aspectos positivos.

Costos de Instalación y Operación

Del análisis de la información relevada se desprenden los aspectos positivos generales del sistema de doble red:

•Preservación de los recursos naturales, ya que se reduce la explotación excesiva de fuentes de agua (Algunos sistemas de OI presentan rechazos del 50%),

•Posibilidad de contar con mayores caudales de agua potable disponible para distribución y consumo humano. Se potencia la mejora de la calidad

de vida de los sectores más relegados.

•Reducción de impactos ambientales negativos por la menor utilización de productos químicos e insumos para el proceso de potabilización.

•Reducción de pérdidas físicas y económicas de agua potable, ya que se utilizan menores presiones para menores caudales.

•Reducción del consumo de energía eléctrica de bombeos, especialmente, si se requiere como tratamiento la OI.

•Menores costos de instalación y operación: Branchesi et al (2016) analizaron la factibilidad técnicoeconómica de la aplicación de los sistemas duales a una localidad del sur de Santa Fe (Arequito, 7.000 habitantes, red nueva de agua potable de polietileno de alta densidad, tratamiento OI, dotación 15 L/hab.día; red nueva agua desinfectada, 250 L/hab.día). Los costos de instalación de la alternativa de doble red serían entre un 10 a 15% inferiores respecto a la alternativa tradicional de distribución (red nueva y única con tratamiento de osmosis inversa para la dotación tradicional de 265 L/hab.día). En relación a los costos operativos, la alternativa de doble red representaría una reducción de un 75% de los costos operativos respecto a la alternativa tradicional. Ello radica, principalmente, en que se debe tratar un caudal mucho menor para el abastecimiento de agua potable (95% inferior) respecto del caudal de la alternativa tradicional, lo cual demanda menor cantidad de insumos, energía y mano de obra.

Doble red:

Puntos débiles, perspectivas y desafíos

Una limitante radica en que la fuente para el agua de uso general debe contar con bajas turbiedades, acotada concentración de hierro y manganeso y no ser extremadamente salobre, ya que la misma sólo contará como tratamiento con un proceso de desinfección. La experiencia demuestra (Cichitti, 2015) que construir una red nueva (para agua potable) sobre una existente y en funcionamiento es muy problemática ya que

afecta la integridad de la red previa. En lo que respecta al control del agua no contabilizada, los caudales de la red de agua potable, al ser pequeños, son dificultosos de micromedir en cada domicilio. Una alternativa sería estimar el consumo de agua potable en relación a la micromedición del agua de uso general.

Analizando la bibliografía y luego del estudio de la información relevada en el presente trabajo, se coincide con la situación planteada por Estevan (2001):

•Es el momento de conservar las redes existentes para aguas de segunda calidad (Usos generales), y tender nuevas redes para agua potable, lo cual permite diseñarlas con menor capacidad, a un costo acotado en relación con la renovación de la red unitaria.

•Las nuevas redes para agua potable pueden ser tendidas con materiales homogéneos de alta fiabilidad y salubridad, malladas, mapificadas con sistemas de información geográfica y porcentajes de pérdidas mínimos.

•Para lograr ese desafío es preciso cambiar reglamentaciones, regulando las nuevas estrategias en distribución externa (Prestador hasta usuario) como las redes de distribución interna (dentro de las viviendas).

Conclusiones

El estado de deterioro de las redes, el derroche por falta de educación social responsable, la limitada disponibilidad de fuentes de calidad para consumo y la ausencia de recursos de los prestadores, compromete gravemente el futuro de los sistemas de abastecimiento.

La accesibilidad a fuentes confiables de agua potable se va diferenciando progresivamente (y lamentablemente) en función del nivel cultural y poder adquisitivo de los diferentes grupos sociales.

Los sistemas duales se proyectan como una innovación tecnológica en el terreno de la infraestructura sustentable, pero será necesario un cambio de paradigma:

Difundir nuevas prácticas, provocar un cambio profundo en las políticas públicas, adaptar las reglamentaciones y adecuar las prácticas actuales de gestión, así como también, entrenar a la comunidad a través de campañas educativas.

La visión de la no sustentabilidad de la distribución de agua potable bajo las prácticas actuales se debe instalar en la conciencia de los actores con responsabilidad en

el diseño de las políticas de gestión del recurso. Se debe superar el paradigma actual: Abastecimientos por cañerías, de un producto de calidad alimenticia (agua potable), en gran cantidad, para usos indiscriminados. Cuando se logre, se producirá una mejora sustancial en el desarrollo humano de los sectores de la población actualmente olvidados.

El cambio está en nuestras manos.

Bibliografía

1. Branchesi, Rodrigo, Cimarelli, Adriano, Mangiantini, Fernando (2016). Doble red de agua en la localidad de Arequito, Santa Fe. Proyecto Final de Carrera. Cátedra de Proyecto IV. Escuela de Ingeniería Civil. FCEIA-UNR.25/01/2016.

2. Cichitti, Sergio. (2015) Comunicación personal. Dirección de Hidrología y Saneamiento SPAR Servicio Provincial de Agua Potable y Saneamiento Rural. Provincia de Buenos Aires.

3. Cidad Vila, Ernesto (2010). Estudio comparativo entre la red simple de distribución de agua potable y la doble red. Universidad Politécnica de Valencia.

4. ENOHSA (1999). Ente Nacional de Obras Hídricas de Saneamiento. Guías para la presentación de proyectos de agua potable. Buenos Aires. Argentina.

5. ENRESS (2016). Ente Regulador de Servicios Sanitarios de la Provincia de Santa Fe. Resoluciones Nº 0213/99, Nº 0477/00, Nº 0385/02, Nº 895/05, Nº 171/06. (www.enress.gov.ar).

6. Estevan Estevan, Antonio (2001) ¿Un solo grifo? ¿Una sola agua? Una cita europea con la nueva cultura del agua: La directiva marco: Perspectivas en Portugal y España: II Congreso Ibérico sobre Planificación y Gestión de Aguas, 2001.Páginas 93 a 104.

7. Gobierno de Santa Fe (2016). Agua potable: El Sis-

tema de los Grandes Acueductos. https://www.santafe.gob.ar/index.php/web/content/view/full/120719 /%28subtema%29/93824

8. Luciano, F. y Pacini V. (2015). “Sustentabilidad en los sistemas de distribución de agua”. XXIII JORNADAS DE JÓVENES INVESTIGADORES: Ciencia, Tecnología e Innovación para la Inclusión Social. AUGM. (Editorial UNLP, Buenos Aires, Argentina). Octubre 2015.

9. Moreno López (2004). Sistema inteligente de aprovisionamiento de agua potable y corriente en condiciones hidrogeológicas limitadas (Caso San Guillermo, Argentina). Biblioteca digital Ciudades para un Futuro Sostenible. Escuela Técnica Superior de Arquitectura, Universidad Politécnica de Madrid.

10. Mujeriego, Rafael (2005). La reutilización, la regulación y la desalación de agua. Ingeniería y Territorio, Nº 72. ISSN: 1695-9647. Colegio de Ingenieros de Caminos, Canales y Puertos. Madrid. www.ciccp.es/revistait/

11. Municipalidad de Rafaela (2006). Boletín Oficial 03, Ordenanza Nº 3.893, Marzo 2006.

12. Municipalidad de Venado Tuerto (2012), Ordenanza Nº 4.089/12.

13. OMS (2015). http://www.who.int/water_sanitation_health/mdg1/es/

14. SPAR (2015) Servicio Provincial de Agua Potable y Saneamiento Rural. Provincia de Buenos Aires. http://www.spar.gba.gov.ar/plan.htm.

Análisis del fenómeno urbano para ciudades medias

Autor: Doctor en Arquitectura Diseño y Urbanismo César Carrillo Hernández

Co-Autor: Doctor en Arquitectura Diseño y Urbanismo Luis Everardo Castro Solís

Email: cesarcarrillo731@hotmail.com

El objetivo de este texto es diseñar un marco conceptual del crecimiento y desarrollo de las ciudades medias, a través de 4 vertientes: La primera, la teoría de sistemas complejos como método de estudio y análisis, para lograr la aproximación a la “complejidad” con la comprensión de los fenómenos urbanos en las ciudades medias. La Segunda, la lógica de René Descartes; tomando en cuenta sus preceptos, se analizan las variables complejas de la planificación urbana. Tercera, la perspectiva fenomenológica como aproximación al conocimiento de la ciudad y cuarta una conceptualización teórica, definiendo los conceptos relacionados a los fenómenos urbanos para entender los elementos del sistema complejo vinculados al problema principal, identificado como la expansión de las ciudades medias en México.

Con dichas vertientes se busca entender a la ciudad como concepto y constructo con pensamientos críticos de análisis.

Introducción

El planteamiento de esta investigación sobre las ciudades medias se desarrolla dentro del marco lógico de la teoría de sistemas, la cual la define Edgar Morín (1990) como “casi universal, porque en un sentido toda realidad conocida, desde el átomo hasta la galaxia, pasando por la molécula, la célula, el organismo y la sociedad, puede ser concebida como sistema” (Morín, 1990); es decir, el estudio de la ciudad será valorado como un sistema, el cual contiene una serie de subsistemas, como la sociedad, representados por los habitantes, la naturaleza y la economía.

La aproximación a la “complejidad” se refiere al carácter de diversidad y concatenación de los sistemas, y no pueden definirse de una manera simple y entendible. “Los sistemas complejos están constituidos por elementos heterogéneos -y de allí su denominación de complejos-, lo cual significa que sus subsistemas pertenecen a los “dominios materiales” de muy diversas disciplinas” (García, 2006).

Para Morín (1990) “es complejo aquello que no puede resumirse en una palabra maestra, aquello que no puede retrotraerse a una ley, aquello que no puede reducirse a una idea simple.” (Morín, 1990), por lo tanto, estos sistemas se plantean entrelazados para lograr un esquema el cual permita su distinción y conjunción a través de las asociaciones o relaciones que interactúan entre ellos; lo anterior permitirá no omitir ninguna relación posible al sistema complejo, brindándole la profundidad requerida para la comprensión de los fenómenos urbanos.

El razonamiento de análisis a la información de estos sistemas complejos se basa en los cuatro preceptos de la lógica del pensamiento de René Descartes, partiendo de la duda como elemento principal de descripción de lo urbano. En su escrito, Discurso del método, Descartes define estos cuatro principios: “Primero, no admitir como verdadera cosa alguna, como no supiese con evidencia que lo es; es decir, evitar cuidadosamente la precipitación y la prevención, y no comprender en mis juicios nada más que lo que se presentase tan clara y distintamente a mi espíritu, que no hubiese ninguna ocasión de ponerlo en dudad; segundo, dividir cada una de las dificultades, que examinare, en cuantas partes fuere posible y en cuantas requiriese su mejor solución; tercero, conducir ordenadamente mis pensamientos, empezando por los objetos más simples y fáciles de conocer, para ir ascendiendo poco a poco, gradualmente, hasta el conocimiento de los más compuestos, e incluso suponiendo un orden entre los que no se preceden naturalmente, y el último, hacer en todo unos recuentos tan integrales y unas revisiones tan generales, que llegase a estar seguro de no omitir nada” (Descartes, 1636).

Tomando en cuenta los citados preceptos, se analizan las variables complejas de la planificación urbana, el contexto de las teorías de crecimiento y el desarrollo de ciudades medias.

Entendiendo las Ciudades

Para conocer las ciudades se toman en cuenta los asuntos relacionados con el Estado y sus leyes, las cuales forman parte del problema, partiendo de que no es posible borrar toda acción sobre las ciudades: El reto es reconstruirlas sobre lo ya edificado para otorgarles vitalidad a sus espacios, ligándolas a la actividad productiva y al beneficio social.

John Luke en su ensayo sobre el entendimiento Humano en el libro III de la Palabras explica que aunque no conozcamos la esencia de las cosas lo que podemos hacer es…“reunir un determinado número de ideas simples que hallamos juntas en las cosas existentes y formar con ellas una idea compleja” (Román, 2009). Por lo anterior, se aborda una descripción de los conceptos de una ciudad desde una perspectiva fenomenológica. Al respecto, Mario Bunge (2001) dice “es aquella que se abstiene de formular hipótesis sobre mecanismos“ (Bunge M, 2001), y se manifiesta en axiomas; estos ayudan a comprender a las ciudades medias, sus partes y mecanismos de funcionamiento y operación, lo cual facilitará llegar a la esencia del problema.

Para conocer las ciudades se toman en cuenta los asuntos relacionados con el Estado y sus leyes, las cuales forman parte del problema, partiendo de que no es posible borrar toda acción sobre las ciudades

De acuerdo con Edmund Husserl, el constructo urbano se aborda, primero, en la definición de cómo es el fenómeno; segundo, cómo estamos; tercero, la actitud crítica, y cuarto, el estudio de los fenómenos. A partir de esos conceptos, se analizan la expansión, el crecimiento, la administración del desarrollo urbano, el urbanismo, la planificación urbana, entre otros, partiendo de la realidad de las cosas y la conciencia de las mismas para entender a estos fenómenos.

Una correlación entre los elementos físicos y su análisis, es la forma de cómo reflexionamos sobre la ciudad y los retos a los cuales se enfrenta para logra un crecimiento adecuado a su población en beneficio de sus habitantes; por lo tanto, se busca el conocimiento sobre ese fundamento propio para encontrar nuevas formas de entender el fenómeno urbano.

Este razonamiento considera a René Descartes al juzgar y distinguir lo verdadero de lo falso, como lo des-

cribió en su discurso del método: “Procuro siempre inclinarme del lado de la desconfianza mejor que del de la presunción” (Descartes, 1637). Así, se buscan respuestas y conocimiento de la ciudad, teniendo cuidado de no confundir la esencia de lo que se quiere estudiar como lo describió René Descartes: “Puede ser, no obstante, que me engañe; y acaso lo que me parece oro puro y diamante fino, no sea sino un poco de cobre y de vidrio” (Descartes, 1637).

Para Martin Heidegger, con su filosofía de lo existencial, “la existencia es un estar en el mundo. Y no se trata solamente de manejar las cosas exteriores, si no del sentimiento de estar en la totalidad de la existencia” (Vasconcelos, 2009), lo cual conduce a conocer, sentir y vivir a la ciudad, y para lograrlo es importante caminarla y usarla desde un punto de vista humanista “sin mengua de la filial devoción a la patria, saber ser y sentirse “ciudadano del mundo”; sin temor al mentís de la engañosa realidad efímera, saber creer en la inverosímil pero perdurable realidad” (Méndez, 1941) y de esta manera, nos adentramos a la fenomenología de lo urbano.

Además de sentir el ser de lo real y actual, es importante la reflexión y el análisis del problema desde una perspectiva humanista pues “...va al pasado, pero no se instala en el pasado; va al pasado sólo para beber en la fuente viva que, bajo los escombros de los siglos bárbaros, sigue mandando, indeficiente y eterna como los arquetipos platónicos; va al pasado para fecundar el presente y alumbrar el porvenir” (Méndez, 1941).

Esta mirada a las raíces de las ciudades requiere ser fragmentada, dado que, dentro de una ciudad, se encuentran sistemas de todo tipo y sus partes deberán ser divididas para así lograr este entendimiento. Para Heidegger, “la existencia cotidiana puede parecer fragmentaria; sin embargo, mantiene la cohesión de lo existente a causa de que no somos absorbidos por las cosas, por lo que concebimos la totalidad” (Vasconcelos, 2009). Por lo anterior, al separar sus partes se debe tener cuidado de no caer en lo abrumador, confuso o distante de la realidad; este pensamiento es para lograr adentrarse al fenómeno de la ciudad y desmembrar sus partes para poder analizarlas en el siguiente apartado.

Basado en los postulados de Heidegger de pensar el ser “no por analogía, ni por una situación figurativa, sino por un esfuerzo directo de penetración mental y hasta físico”. Él lo ejemplifica de la siguiente manera: Veamos un edificio del otro lado de la calle. Hacemos un recuento de sus dimensiones, de sus rasgos estructurales, de su contenido. Por todos lados lo que encontramos son entes, pero, ¿dónde, pregunta Heidegger, está su ser? Después de todo, es. “El Edificio es. Si algo pertenece a este ente, justamente es su ser, y no obstante eso, no lo encontramos dentro del ente” (Steiner, 1978), se trata de averiguar qué es y qué representa en lo real, así todas las partes de una ciudad tienen su razón de ser y obedecen a sus conceptos y fenómenos. Con esta orientación de sistemas complejos, de fenomenología y la metodología de Descartes, con la forma de pensar y razonar los fenómenos urbanos por parte del autor, empezaremos a analizar los preceptos introductorios al entendimiento de las ciudades, desarrollando la conceptualización de lo urbano y complejo del sistema en la construcción teórica.

Construcción teórica de ciudades

Se desarrollan los conceptos relacionados a los fenómenos urbanos para entender los elementos del sistema complejo, vinculados al problema de la expansión de las ciudades. Se definen conceptos que inciden en el problema tales como: Génesis, ciudad, expansión, metrópolis, megalópolis, crecimiento, desarrollo, desarrollo urbano, planificación urbana, consolidación, revitalización, redensificación y calidad de vida.

La definición de génesis por Lester Frank Ward denota aspectos de la evolución anteriores al cambio planeado, con lo cual, se pone en duda que esa evolución de las ciudades medias realmente tenga una planificación pensada para lograr su evolución y se define como el proceso de la realidad desde su inicio. Aplicado esto a las ciudades, considera los hechos que produjeron la fundación de un asentamiento humano, incluyendo los procesos de transformación para llegar a lo que actualmente son: Aldeas, villas, ciudades, metrópolis y megalópolis.

Este concepto es de gran relevancia para esta investigación, pues es la base de todas las ciudades.

Una ciudad, de manera general y primaria, se describe como un lugar con calles y construcciones donde habita un conjunto de personas denominada “población”. Esta población realiza diversas actividades, económicas y productivas, las cuales permiten el crecimiento y desarrollo conjunto, tanto de los seres humanos como del espacio físico.

Las condiciones geográficas son variables, pues representan diferentes condiciones físicas como sierras, relieves, llanuras, bosques, desiertos, selvas, así como la diversidad climática del planeta y se considera media a una ciudad cuya población se encuentra entre 500 mil y un millón de habitantes.

A partir de este elemento se señala un límite físico, se genera la demarcación de la ahora llamada área urbana dentro de cada ciudad, se considera una zona donde se concentran: vivienda, trabajo, equipamiento, servicios e infraestructura.

El glosario de términos sobre asentamientos humanos de la extinta Secretaria de Asentamientos Humanos y Obras Públicas dirigida por el Arq. Pedro Ramírez Vázquez, enuncia esto “como la ciudad propiamente dicha, definida desde todos los puntos de vista -geográfico, ecológico, demográfico, social, económico, etc.- excepto el político o administrativo” (SAHOP, 1978).

Para Bairoch (1983), la ciudad “Constituye un asentamiento humano en el cual se desarrollan actividades no agrícolas o rurales”.

Para otros autores, como Benévolo (1979), la ciudad “es naturalmente un conjunto de barrios que está dotada de un mayor grado de individualizaciones y de organización y nace para ofrecer a un grupo humano una sede completa, equilibrada y en cierta medida autosuficiente“ (Benévolo, 1979), para desarrollar las actividades requeridas para su crecimiento económico y social.

Existe un gran número de clasificaciones para las ciudades, dependiendo de su población, economía, diseño urbano, sociedad, función, tamaño o vocación. Las ciudades también son llamadas centros de población: Concentran las actividades propias a lo urbano, como trabajo, ocio y descanso; además, la Ley General de Asentamientos Humanos en México en su artículo 2, fracción III define el centro de población como: “Las áreas constituidas por las zonas urbanizadas, las que se reserven a su expansión y las que se consideren no urbanizables por causas de preservación ecológica, prevención de riesgos y mantenimiento de actividades productivas dentro de los límites de dichos centros; así como las que por resolución de la autoridad competente se provean para la fundación de los mismos” (Cámara de Diputados, LGAH, 2010).

Esta definición es muy amplia y abarca zonas de futuro crecimiento de las ciudades, las cuales requieren de espacios, políticas y gestiones adecuadas para el desarrollo de sus centros de población, además de estudiar su dinámica económica y de crecimiento urbano.

El concepto de ciudad se ha venido utilizando para designar una determinada aglomeración humana, desde el surgimiento de las primeras aldeas hasta su transformación en ciudades hasta la época actual. Es un concepto al que se le ha dado un carácter muy general, pues no ha perdido su capacidad de nombrar a ciertos fenómenos nuevos, los cuales se derivan de estos procesos de transformación de urbe, y aunque sean muy diferentes unos de otros, podemos hablar de ciudad clásica, o de una metrópoli o una megalópolis. Esta nueva clasificación surge al extenderse las ciudades con las conurbaciones.

Por lo anterior, es importante definir la parte urbana para comprender las actividades que se desarrollan en una ciudad. Pero al mencionar lo urbano se está refiriendo a un conjunto de procesos que ocurren en la ciudad como: El comercio, la actividad política, los procesos demográficos, los procesos sociales y culturales dentro del espacio de la ciudad. Estas actividades van demandando más espacios para su evolución, generando una expansión de la ciudad.

El concepto de expansión significa que las ciudades se ensanchan, creciendo hacia los lados en diferentes puntos. El orden técnico que hace referencia es la planificación urbana o urbanística, la cual debe contar cada ciudad, llamados planes o programas de desarrollo urbano.

Podemos inferir, a partir de este concepto, que el crecimiento es un proceso el cual implica el aumento de la producción de bienes y servicios, y no considera las condiciones de vida de la población, partiendo de la génesis como una consecuencia de su desarrollo. Es un proceso por el cual las ciudades crecen y, por consiguiente, se expanden por la dinámica económica, generando un incremento demográfico, lo cual, como consecuencia, demanda de equipamientos, servicios, vivienda en todas sus clasificaciones y la infraestructura. Además, este concepto genera hallazgos para el conocimiento de una ciudad y entendimiento de su dinámica de desarrollo, de modo que va ligado a las condiciones físicas y circunstancias cualitativas, las cuales van perfeccionándose y adecuándose a una expansión y crecimiento de la misma.

Por ejemplo, cuando un ser vivo se desarrolla, sus habilidades se modifican y se van perfeccionando al mismo tiempo que se realiza una adaptación en otros niveles de perfección; por el contrario, en las ciudades se genera un crecimiento y expansión ocupando el territorio, sin considerar el desarrollo para integrar todas sus partes al mismo crecimiento; y se desarrolla físicamente en un centro de población, esto es definido como desarrollo urbano que significa el crecimiento de las ciudades o centros de población en todos sus aspectos, así como del crecimiento de su población con áreas para alojar los asentamientos humanos, tomando en cuenta las actividades necesarias para lograr una adecuada armonía, en un marco de referencia legal que propicie el bienestar general de la población.

La Ley General de Asentamientos Humanos en México, en su artículo 2, fracción VIII, define desarrollo urbano como “el proceso de planificación y regulación de la fundación, conservación, mejoramiento y crecimiento de los centros de población” (Cámara de Diputados LGAH, 2010) y la Ley de Asentamientos Huma-

nos y Desarrollo Urbano del Estado de Coahuila de Zaragoza en México, en su artículo 3, fracción XII, se entenderá “por desarrollo urbano al proceso de planificación y regulación de la fundación, conservación, mejoramiento y crecimiento de los centros de población” (Gobierno del Estado de Coahuila, 1994). Las mencionadas leyes definen a este concepto, con los elementos que los contiene, como primordiales del desarrollo de cada ciudad del país y del Estado; los planes y programas son como referencia de dichas definiciones para aplicarse en la praxis de la administración del territorio de las ciudades, por medio de la planificación urbana.

Esta es una actividad que debe ser razonada y predeterminada de acuerdo a un estudio derivado del desarrollo urbano, en el cual se deben planificar las actividades requeridas en un centro de población a través de los instrumentos técnico jurídicos aplicables. Estos estudios se realizan con marco de referencia en el Diseño Urbano, definido como “las características físicoespaciales en los planteamientos y soluciones” (Bazant, 2003) que conducen a la zonificación primaria y secundaria.

La planificación urbana es una actividad que debe ver a la realidad en su complejidad, dado que para desarrollar esta actividad se requiere saber el número de habitantes, las condiciones de vida, los datos económicos, políticos y sociales del lugar; su manera de pensar y de hacer ciudad. Definitivamente, se tiene que partir de la realidad como complejidad.

Kevin Lynch definió la relación hombre-ambiente como: “El hombre y hábitat funcionan conjuntamente a medida que el hombre se multiplica y su tecnología domina la tierra, la organización del suelo se hace más importante para la calidad de vida” (Lynch, 1980). Por lo anterior, la planificación urbana juega un papel muy importante al requerir de acciones definidas, derivadas de los planes y programas de desarrollo urbano, estableciendo estrategias de crecimiento, conservación y mejoramiento con base en las leyes aplicables de cada lugar. Los elementos que definen esta planificación son: La asignación de usos y destinos del suelo, el de-

sarrollo de las actividades requeridas en los centros de población, la determinación de derechos de vía a las vialidades nuevas de una ciudad; la programación de acciones a corto, mediano y largo plazo; la ejecución de los programas de desarrollo urbano, etc.

Para Rem Koolhaas (1997), en su libro Ciudad Genérica, contrario a cómo se lleva la planificación común de una ciudad, en donde cierta organización burocrática controla su desarrollo, la planificación de la ciudad genérica se define “como si diversos ecos, esporas, tropos y semillas hubiesen caído en la tierra al azar como en la naturaleza, hubiesen arraigado aprovechando la fertilidad natural del terreno y ahora formasen un conjunto: Una reserva de genes que, a veces, produce resultados asombrosos” (Koolhaas,1997).

Esta definición nos deja una forma de repensar la planificación de una ciudad completamente diferente y espontánea, la cual obedece a mecanismos naturales, imposibles o utópicos en una realidad actual de ciudades medias mexicanas.

Actualmente, el ejercicio de la planificación urbana en México se encuentra en crisis por el idealismo que reflejan las estrategias a seguir por parte de los consultores.

Esto tiene un impacto en la calidad de vida de sus habitantes, por generar políticas públicas las cuales afectan o benefician para mejorar las condiciones de vida en diferentes aspectos; es decir, es un valor el cual debe generar expectativas y resultados.

Para el desarrollo de esta investigación, uno de los elementos a distinguir para mejorar la calidad de vida es una planificación urbana adecuada, por medio de políticas urbanas tales como consolidación, revitalización de áreas del centro de población y su redensificación.

Estas tres políticas constituyen una forma de mejorar las condiciones de habitabilidad de una ciudad, como, por ejemplo, la consolidación al establecer acciones para lograr que una región, ciudad o asentamiento humano presente un desarrollo con una vocación defi-

“ ”

Para Rem Koolhaas (1997), en su libro Ciudad Genérica, contrario a cómo se lleva la planificación común de una ciudad, en donde cierta organización burocrática controla su desarrollo, la planificación de la ciudad genérica se define “como si diversos ecos, esporas, tropos y semillas hubiesen caído en la tierra al azar como en la naturaleza, hubiesen arraigado aprovechando la fertilidad natural del terreno y ahora formasen un conjunto: Una reserva de genes que, a veces, produce resultados asombrosos”

nida y logre generar expectativas claras de crecimiento y mejora en la calidad de vida.

La revitalización es la acción para dar vida a las ciudades a través de acciones de la sociedad y gobierno, logrando sinergia en proyectos detonantes de vitalidad a las zonas urbanas de una ciudad como los barrios, los cuales parecen estar perdidos por violencia, pobreza e inseguridad, y así lograr abatir los rezagos en esas áreas.

Por último, la redensificación, ello se refiere a que ciertas zonas de la ciudad ya no están ocupadas por la densidad original y el concepto de “redensificación” busca volver a densificar, es decir, equilibrio y distribución para obtener un mejor aprovechamiento en cantidad de habitantes y vivienda por hectárea, para capitalizar las infraestructuras, equipamientos y servicios, evitando que los administradores de las ciudades inviertan en áreas nuevas de desarrollo.

Conclusión

Se concluye que la ciudad y los elementos que la componen son considerados sistemas complejos por el campo de aplicación y relación entre cada uno de ellos. El tomar como marco de referencia la lógica de Descartes y la fenomenología, se definen y estudian los

fenómenos que se producen en esos sistemas, partiendo de la conceptualización teórica. Ello genera en su conjunto una metodología de análisis crítica del campo del urbanismo aplicable al estudio de las ciudades con la generación de propuestas innovadoras, mediante un enfoque humanista que busca la calidad de vida.

Bibliografía

1. Bairoch 1990. De Jericó a México, historia de la urbanización. Editorial Trillas. ISBN 98-24-3026-7.

2. Bazant 2003. Manual de Diseño urbano. Editorial Trillas. ISBN 968-24-6705-5.

3. Benévolo 1979. Diseño de la ciudad – 1. Editorial Gustavo Gilli SA. Barcelona. S/N ISBN. Página 248. Volumen Uno de Cinco.

4. Bunge 2001. Diccionario de Filosofía. Primera edición 2001. Editorial Siglo Veintiuno. México. Cuarta edición en español 2007, ISBN 978-968-23-2276-1.

5. Cámara de Diputados LGAH 2010. Honorable Congreso de la Unión, El Congreso de los Estados Unidos Mexicanos decreta: Nueva Ley de Asentamientos Humanos 2010, 21 de julio de 1993, Última Reforma DOF 09-04-2012.

6. Descartes 1637. Discurso del Método. Primera edición 1637. Francisco Larroyo Editorial Porrúa SA. México 1981, ISBN 968-432-286-0.

7. García 2006. Sistemas Complejos, Conceptos, método y fundamentación epistemológica de investigación interdisciplinaria, Editorial GEDISA SA. Primera Edición 2006. Barcelona. ISBN 94-9784-164-6.

8. Gobierno del Estado de Coahuila 1994. Reglamento de Construcciones para el Estado de Coahuila de Za-

ragoza. Publicado en el periódico oficial el 30 de junio de 1994.

9. Koolhaas 1997. La ciudad genérica. Editorial, Gustavo Gilli SL. Barcelona. España. 2006, primera edición, Quinta Tirada 2008, ISBN 978-84-252-2052-4.

10. Lynch 1980. Planificación del sitio. Editorial Gustavo Gilli SA. ISBN. 84-252-0996-X. Página 325.

11. Méndez 1941. Humanistas del siglo XVIII. Edit. Universidad Autónoma de México, Número 24. Sin ISBN.

12. Morín 1990.Introducción al pensamiento complejo. Editorial Gedisa, 1990, Novena Reimpresión 2007, Barcelona, ISBN: 978-84-7432-518-8, depósito legal: B. 15.847-2008, Página 167.

13. Román 2009. Reseña crítica de la epistemología. Editorial Universidad Autónoma de Chapingo, México. Primera edición. ISBN 978-607-12-0105-8.

14. SAHOP 1978. Glosario de términos, Gobierno de México, Secretaria de Asentamientos Humanos y Obras Públicas. Sin ISMN.

15. Steiner 1978. Heidegger. Editorial Fondo de Cultura Económica, Barcelona, Primera edición 1978, Segunda edición en español 1999, Primera Reimpresión 2001, ISBN 968-16-1373-2.

16. Vasconcelos 2009. Manual de Filosofía. Editorial Trillas. Biblioteca José Vasconcelos. México. ISBN 978-607-17-0177-0.

Pavimentos urbanos sustentables: Modelo de catalogación para la gestión preventiva y correctiva

Autores: Adriana Beatriz García, Graciela Armenia Martínez, Juan Pablo Mazzeo, Ignacio Calcagno, Sabrina Otero, Belén Riarte y Daiana Perrota

Email: abgarciafalcon@gmail.com

La perspectiva integradora de la sostenibilidad en la construcción involucra aspectos sociales, productivos, tecnológicos, económicos y ambientales, entre otros; estos requieren mayor énfasis cuando se trata de obras de infraestructura pública.

El trabajo presenta las bases para el desarrollo de un "Modelo de Evaluación, control y prevención de patologías en pavimentos urbanos del partido de Avellaneda, provincia de Buenos Aires, Argentina, desde la perspectiva de la construcción sostenible", proyecto de investigación y desarrollo homologado por la Facultad Regional Avellaneda de la UTN el cual permanece en ejecución (2016-2017).

Se adoptan dos ejes centrales: Las prácticas sustentables en la ingeniería y el correspondiente estudio del comportamiento del hormigón. El diseño del pavimento se realiza para ciertas condiciones de uso, incluyendo las cargas previsibles a las cuales estará sometido el material y las condiciones climáticas regulares en la zona de emplazamiento.

Todas esas previsiones determinan el tipo de pavimento a usar, la durabilidad y desempeño en servicio.

El proyecto se desarrolla con el relevamiento en zonas de diferente intensidad de tránsito del partido de Avellaneda, como muestras seleccionadas para ser tomadas como base para el modelado.

Se prevé la detección de las patologías existentes, análisis de sus causas, catalogación y proyección a futuro de un Manual que establezca un sistema de relevamiento, detección de fallas, evaluación y mantenimiento predictivo de patologías, como herramienta para la gestión sostenible.

Introducción

La construcción ha desempeñado un papel definitorio en la evolución de las sociedades, no solo por la gran cantidad de personas que se requieren para concretar las actividades, sino también, por el grado de especialización que deben poseer para ejecutarlas y aplicar los materiales adecuadamente en las obras. En la actualidad, el hormigón es uno de los materiales compuestos más utilizado en las construcciones civiles. Se han generado en su entorno numerosas variantes y métodos especiales de colocación.

El trabajo se orienta hacia dos ejes centrales: Las prácticas sustentables en la ingeniería y el estudio del comportamiento del hormigón, en particular, en pavimentos rígidos y accesos.

En la construcción de infraestructura, en particular, aquella destinada al diseño y puesta en servicio de pavimentos urbanos, existe una creciente demanda de prácticas sustentables, explorando nuevas metodologías de valoración.

El diseño del pavimento es de vital importancia en la planificación y concreción de las obras civiles, dado que son numerosos los factores que influyen en su comportamiento adecuado en servicio, y en el aseguramiento de su calidad durante la vida útil prevista.

El diseño del pavimento se realiza para ciertas condiciones de uso, incluyendo aspectos importantes tales como las cargas previsibles a las cuales estará sometido el material y las condiciones climáticas regulares en la zona de emplazamiento.

En el diseño y posterior calidad en servicio tienen importancia los tipos de materiales componentes que se utilizarán, sus características y las proporciones en que deben mezclarse, condiciones de entorno, entre otras.

Todas esas previsiones determinan el tipo de pavimento a usar y los métodos constructivos más apropiados.

En los pavimentos de hormigón en servicio, que sufren las modificaciones de las condiciones previamente estudiadas, suelen presentarse variando en consecuencia las exigencias previstas en el diseño original.

En el partido de Avellaneda (Ver Figura 1 A. Ubicación del partido de Avellaneda en la provincia de Buenos Aires y 1B. Detalles de zonas) tal como ocurre en otras localidades o zonas del país, se han ejecutado y ejecutan diferentes proyectos de obras de infraestructura y mantenimiento, con la detección de zonas donde el pavimento ha sido “superado” por las condiciones cambiantes del medioambiente, sufriendo un deterioro diferenciado y, por ende, acortando potencialmente su vida útil en el tiempo.

Es propicia la situación para iniciar un estudio del estado en que se encuentran dicha infraestructura, incluyendo la detección de fallas y deterioros para generar un modelo de catalogación y priorización de intervención, tanto de las vías más transitadas en sus zonas de periferia como en las centrales, brindando un aporte desde la Universidad a la gestión de planificación.

1A. Ubicación del Partido de Avellaneda en la Provincia de Buenos Aires

Figura 1B. Detalles de zonas. Fuente: Imagen extraída del sitio Web oficial del Municipio de Avellaneda

El proyecto se centra en la selección de zonas para el modelado, realizando el relevamiento, análisis y evaluación detallado del comportamiento del pavimento, detección de factores intrínsecos y extrínsecos que influyen, así como, de las circunstancias a las cuales se encuentra sometido.

Complementariamente, se coteja la información histórica accesible relativa a su diseño y colocación. Los resultados serán tomados como base para un mapeo

Figura

y elaboración del Manual ó Guía de evaluación y mantenimiento predictivo de los pavimentos del partido de Avellaneda, provincia de Buenos Aires, Argentina y su zona de influencia.

La detección de las patologías existentes, el análisis de sus causas, brindará a su vez, pautas para la propuestas de soluciones e instancias de intervención más acertadas, tendientes a la valorización y extensión de la vida útil del material en servicio.

Por otra parte, se integra al estudiante, deseoso de iniciarse en la investigación, aplicando las bases metodológicas de investigación-acción, fortaleciendo su vinculación al desarrollo sostenible y la práctica profesional.

Se aplican para ello bases metodológicas de investigación-acción en la transmisión de conceptos, procedimientos, prácticas in-situ, experimentación y valores que colaboren en la formación del futuro profesional, alentando la práctica en investigación de nuestros estudiantes, fundadas en la responsabilidad social, tan necesaria para nuestro país.

La sostenibilidad en la construcción de infraestructura

En la Conferencia de las Naciones Unidas sobre el Desarrollo Sostenible Río +20 del año 2012 [1] se presentó un balance y avances en América a 20 años de la Conferencia de las Naciones Unidas sobre el Medio Ambiente y el Desarrollo, profundizando en la concepción de desarrollo sostenible como “... aquel que satisface las necesidades del presente, sin comprometer las posibilidades de las futuras generaciones”.

A lo largo de los años, la construcción de infraestructura ha ido evolucionando hacia más y mejores prácticas, y en este sentido, se han comenzado a generar antecedentes de metodologías de valoración del perfil sostenible en las soluciones a los problemas planteados.

La concepción de sostenibilidad y sus implicancias, en especial en obras de pavimento viales de carácter pú-

blico, son orientadoras de criterios de análisis sobre diversos aspectos: Ciclo de vida, durabilidad, eficiencia ambiental, facilidad para su reciclado, contexto social y productivo.

Es necesario desarrollar protocolos de valoración del perfil sostenible en lo referido, básicamente, al Ciclo de Vida en sus aspectos económicos, sociales y ambientales. En este camino, han aparecido propuestas altamente valorables, como la del Comité Técnico ISO/TC 207 para el análisis del Ciclo de Vida [2] siendo el tema de preocupación para organismos específicos [3]. En la Tabla Nº 1: Ciclo de vida de pavimentos de hormigón, se detallan algunos puntos incluidos.

Los pavimentos de hormigón constituyen una alternativa eficiente y sustentable para la generación de infraestructuras de transporte, tanto urbanos como interurbanos. Pero en el perfil de sostenible debe incluirse, además del impacto ambiental, el análisis del aspecto social y económico, considerando el ciclo de vida de la estructura o material más allá de la etapa de construcción.

El investigador Vázquez Espí, M. [4] señala que el análisis del Ciclo de Vida (ACV) debe contener “...costos desde la cuna hasta la tumba (extracción, fabricación, producción y transporte de elementos, costo de mantenimiento durante la vida útil y costo de abatimiento de los residuos hasta un estado inerte, no contaminante)”.

La vida moderna lleva a un mayor grado de exigencia en cuanto a los desarrollos en infraestructura, tanto nuevos como la mejor de los existentes. En el caso de los caminos en particular, posibilita una mejora en la calidad de vida de los habitantes de ciudades, pueblos, etc., ya que reduce los tiempos de traslado, mejora la seguridad en la circulación, reduce los índices de siniestralidad y, con el tiempo, fomenta el desarrollo y asentamiento de nuevos grupos humanos que, a partir del simple hecho de haber instalado “infraestructura”, crea nuevos vínculos humanos.

Históricamente, los desarrollos han beneficiado por una parte pero, desafortunadamente, han generado

Tabla Nº 1. Ciclo de vida de pavimentos de hormigón

paralelamente modificaciones perjudiciales en nuestro medio ambiente. Desde la ingeniería, es posible realizar aportes para contribuir en la reducción de los citados impactos, dando a conocer y difundiendo prácticas sustentables aplicadas a las obras civiles, en general, y en especial en aquellas que hacen a la planificación y gestión de carácter público.

En el campo del desarrollo urbano, es prioritario encarar soluciones sustentables a los problemas de patologías presentes en los pavimentos. El hormigón constituye una alternativa válida por su prolongada vida útil, bajo costo de mantenimiento, seguridad en el tránsito, factibilidad de reciclado, entre otras ventajas.

Es necesario diseñar métodos y procedimientos basados en el análisis completo de la vida útil de la estructura, seleccionando los materiales apropiados, encarando en paralelo el estudio de rehabilitación y reconstrucción.

Objetivos del proyecto

Se propone diseñar e implementar un Modelo de Evaluación, Control y Prevención de Patologías en Pavi-

mentos Urbanos, desde la perspectiva de la construcción sostenible, como aporte para la planificación y gestión de los pavimentos urbanos, en particular, los pavimentos rígidos, aplicable al partido de Avellaneda, provincia de Buenos Aires, Argentina.

Los resultados se volcarán en un Manual de Sistema de Evaluación y Mantenimiento Predictivo de Patologías. Se trata de una metodología específica fundada en pautas de investigación-acción para la formación de estudiantes, técnicos y universitarios, en materia de estudio y mejora de desempeño de los pavimentos urbanos.

En una segunda etapa, se prevé la difusión y transferencia de los conocimientos adquiridos, básicamente, al universo de los organismos estatales a fin de propiciar la aplicación de métodos que contengan las Buenas Prácticas en la Construcción y Mantenimiento de los Pavimentos Urbanos.

Las actividades se desarrollan con el grupo de investigación Construcciones Biosostenibles, conformado por estudiantes, graduados, personal de apoyo a la Investigación y docentes investigadores de la carrera de Ingeniería Civil.

En este marco, se fortalece la formación del futuro ingeniero civil que, además de fomentar el desarrollo de sus conocimientos, promueve el compromiso del egresado con el medio social en el cual se encuentra inserto y el crecimiento productivo.

Se aplica la metodología de investigación-acción promoviendo en los estudiantes el interés por el desarrollo de nuevas tecnologías relacionadas con el diseño de hormigones y sus materiales componentes [5].

En la Figura Nº 2: Prototipos de hormigones especiales desarrollados orientados hacia la construcción sostenible, se presentan imágenes de prototipos de hormigones elaborados con materiales que pueden generar menor agresión hacia el medio ambiente, enfocados hacia la denominada “construcción sostenible”, desarrollados por el equipo de investigación.

Figura Nº2. Prototipos de hormigones especiales desarrollados orientados hacia la construcción sostenible Fuente: Imágenes propias extraídas en el Laboratorio del Departamento de Ingeniería Civil.

Metodología

Material Hormigón

La Durabilidad [6] es uno de los temas más importantes a la hora de seleccionar el material hormigón para su uso en pavimentos de calles y vías transitables en los partidos urbanos, requiriendo un mínimo de intervención en el mantenimiento y/o reparación.

A través de la evolución y desarrollo de los materiales y sus tecnologías, más específicamente en el caso del hormigón, se agrega otra importante ventaja respecto a la reparación de los pavimentos de hormigón, ya que permite que la calzada restaurada alcance niveles de vida útil más allá de los previstos en los cálculos de diseño.

El aporte de nuevas tecnologías facilita que los pavimentos de hormigón (Brunatti, C., Fernandez Luco, L.) [7] resulten construidos con mayor accesibilidad, ya sea tanto para obras de pequeña envergadura como obras de amplia traza. Desde una simple calle, se logra la colocación del material con tecnología vibratoria, tecnología accesible y que no requiere una alta capacitación de personal idóneo para la tarea.

En aquellos casos donde la traza es ampliamente más extensa, los equipamientos varían, terminadoras de rodillos, pavimentadoras de encofrados deslizantes, todas ellas brindan calidad en la obra ejecutada, reduciendo los costos de realización.

Últimamente, se han desarrollado modos de texturizar e imprimir color a los pavimento de hormigón en sus terminaciones superficiales, lo cual representa una contribución de gran importancia en la Seguridad Vial.

El pavimento de hormigón ofrece una gran ventaja técnica. Al ser un material de elevada rigidez, es capaz de distribuir la carga a una superficie de mayor extensión.

Ello redunda en un beneficio para aquellas arterias que reciben vehículos muy pesados, y también, en aquellas zonas donde los suelos presentan una baja capacidad de soporte.

Otra ventaja manifiesta es que al ser el hormigón un material que no fluye plásticamente, la superficie del pavimento no sufre por la frecuencia en el frenado y aceleración, produciéndose en otros tipos de materiales, deformaciones que llevan a un riesgo en la siniestralidad de los usuarios.

Tampoco se verifica el típico ahuellamiento por cargas excesivas de tránsito, fácilmente inundables y que crean un alto riesgo, presentando una mayor durabilidad. El aspecto más sustentable del pavimento de hormigón radica en los beneficios ambientales.

Por su color claro, posee mayor reflexión de la luz solar, reduciendo la temperatura media del ambiente que conlleva a acotar el consumo de electricidad para refri-

gerar los interiores de las viviendas, y por último, reduciendo la emisión de gases nocivos para el ambiente.

El color claro de su superficie, además, aporta una mayor visibilidad de la arteria en horas nocturnas, dado que la luz ofrece una mayor reflexión, reduciendo los costos en cuanto al alumbrado urbano.

Metodología

Se diseñó y se encuentra en ejecución un programa de actividades que incluye el relevamiento, catalogación y elaboración de una carta básica de patologías habituales presentes en los pavimentos de hormigón más un diagnóstico del estado de los pavimentos urbanos.

Para ello, se seleccionó un grupo de pavimentos diferenciados por zonas y transitabilidad. Se realiza un registro fotográfico de aquellas patologías habituales presentes. Con ello, se recopilarán y analizarán los antecedentes existentes, antigüedad y otras variables de interés para el estudio de las obras de pavimentos en el partido de Avellaneda, provincia de Buenos Aires, Argentina, creando vínculos con las áreas técnicas de los organismos públicos locales.

Tal como se indicó con anterioridad, se toma como base la construcción sostenible. A partir de allí y con los resultados obtenidos, se generará un modelo de Evaluación, Control y Prevención de Patologías en Pavimentos Urbanos y su Mantenimiento.

Se seleccionan e identifican las áreas de estudio, basándose en el criterio de alta, media y baja transitabilidad, determinándose las zonas a estudiar. Los parámetros para la elección de las mismas será la densidad vehicular, sumado al estado de los pavimentos y la vida útil de los mismos.

Se propicia la selección de distintas zonas, a fin de obtener una amplia variedad de casos a estudiar. Se inspeccionan y evalúan las muestras de pavimento pasibles de ser extraídas, comportamiento en su vida útil e indicios de deterioros. Del relevamiento, se elaborará

un esquema de mapeo de la situación actual, con el fin de generar un diagnóstico.

Se considerarán los antecedentes en este tipo de desarrollo y los antecedentes de este tipo de obra en el ámbito local. La perspectiva de la sostenibilidad, necesariamente, incluirá los aspectos técnicos intrínsecos de la obra y aquellos aspectos económicos y sociales que impactan en la calidad de vida de las personas y el crecimiento productivo local.

Toda la información reunida, una vez finalizadas las etapas de relevamiento de datos en las dependencias técnicas pertenecientes a la Municipalidad de Avellaneda, tales como la realización de estudios y ensayos “in-situ” y en laboratorio sobre el muestreo de pavimentos de hormigón seleccionados a priori, el análisis de las posibles variables en las condiciones de uso y servicio de los pavimentos de hormigón, tanto a nivel climatológico como las cargas en servicio, serán estudiados en el marco de la citada investigación.

Con la información reunida, se encarará el diseño de una guía que permita las buenas prácticas para la detección y acción preventiva de las patologías que presentan los pavimentos urbanos en el partido de Avellaneda.

La misma será una contribución a la mejora continua de la planificación y gestión de este tipo de obras, tanto para el mantenimiento de las existentes como para la generación de nuevas construcciones en hormigón.

En esta Guía se incorporará un Catálogo de Patologías Típicas en Pavimentos Urbanos y se generará un modelo de evaluación e intervención estratégica basada en los aspectos técnicos sobre las patologías de los pavimentos: Fallas, su tipología, grado de riesgo, factibilidad de reparación. Se tomarán conceptos vertidos por los autores Traversa, L., Di Maio, A., Sota, J. [8].

Tal como se indicó las actividades de investigación se realizan adoptando los criterios de investigación-acción, a través de un programa de actividades que aborda simultáneamente la formación específica de los estudiantes investigadores, tanto en el laboratorio

de investigación como en la evaluación y su transferencia al trabajo de campo.

Actividades

•Recopilación de trabajos de investigación, desarrollos, etc. sobre este tipo de estudio en nuestro país, Latinoamérica y el resto del mundo.

•Elaboración de una carta básica de patologías habituales presentes en los pavimentos de hormigón.

•Recopilación y análisis de los antecedentes existentes de las obras de pavimentos en el Partido de Avellaneda, vinculándose con las áreas técnicas de los organismos públicos locales. Se determinará el tipo de material usado, la antigüedad de la obra y otras variables de interés para el estudio.

•Selección e identificación de las áreas de estudio, considerando variables explicadas.

•Diseño de una guía de inspección para la caracterización de los pavimentos y sus materiales componentes, la detección de patologías y tipo de ensayos a aplicar.

•Relevamiento del estado actual de los pavimentos y clasificación de las patologías existentes, conforme la guía de inspección. Diagnóstico (Registro fotográfico), toma de muestras, ejecución de ensayos en laboratorio. Análisis del uso del pavimento en cuanto a si las condiciones actuales variaron respecto de las previstas en el diseño del mismo. Se considerarán los aportes del autor Giovambattista, A [9] sobre el Reglamento CIRSOC 201.

•Estudio de las informaciones obtenidas, tanto en el análisis predictivo como en estudios in situ: Se determinará el comportamiento de la estructura y se plantearán pautas para una metodología preventiva. Contexto social, situación de entorno o zona de emplazamiento.

• Diseño y elaboración de un Manual donde se desarrollará el modelo de evaluación, el análisis predictivo, los métodos preventivos y de mantenimiento y recomendaciones en cuanto a la reparación de las estructuras analizadas.

•Actividades de difusión de los resultados y su transferencia a las áreas técnicas vinculadas con obras

públicas (técnicos y profesionales), en particular, las locales y en el ámbito universitario, para la formación de recursos humanos.

Resultados

Se ha diagramado el diseño de un mapa de tipificación de pavimentos de las zonas en estudio, clasificando los pavimentos en función de la zona de ubicación, tipo y grado de transitabilidad, contexto ambiental y ponderación de la incidencia de su estado en el entorno social y productivo de la zona de influencia.

Se han elaborado Fichas de Relevamiento Visual que incluyen información sobre el estado, detección de fallas y tipificación. Se complementa con un registro fotográfico de las zonas críticas representativas de los hallazgos.

En la Tabla Nº 2: Contenido de Ficha de Relevamiento Visual, se detallan los aspectos, tipo de registros y valoración. En función de la información relevada se aplicará una matriz de priorización donde se ponderan la incidencia de zona, tipo de vía de comunicación, contexto ambiental y social, estado, tipo de fallas, patologías y grado de deterioro, factibilidad de la reparación, reemplazo y de aplicación de nuevas tecnologías.

En la Figura Nº 3: Esquema del Modelo de Evaluación, Control y Prevención, se presenta un esquema del modelo desarrollado.

Se trata de uno de tipo dinámico, ya que se modifica con los datos aportados en las sucesivas intervenciones. Se espera que el desarrollo contribuya para fortalecer la relevancia que presenta la inversión preventiva en el diseño de las estructuras de hormigón (Maldonado, G., Carrasco, M.) [10].

Se promueve la aplicación de un sistema de evaluación de las estructuras, utilizando el análisis predictivo para orientar al usuario en el mantenimiento preventivo de pavimentos urbanos y, en los casos de presencia de fallas, orientar sobre las posibles formas de reparación, incluyendo los conceptos de sostenibilidad y cuidado del ambiente.

El programa de actividades se ha diseñado especialmente para la formación de estudiantes de Ingeniería Civil, aportando los conocimientos para realizar el relevamiento de las estructuras, en este caso preciso, de los pavimentos de hormigón, la realización de ensayos y el control de las mejoras propuestas, fomentando el interés en las prácticas, el cuidado del ambiente y la garantía acerca de la calidad de las construcciones.

Tabla Nº 2. Contenido de Ficha de Relevamiento Visual

Fuente: Diseño de esquema de estudio elaborado por el equipo de investigación

En cuanto a los estudiantes e investigadores docentes de la Universidad, el intercambio de experiencias en la transferencia de conocimiento posibilita la consolidación del equipo de investigación, el aprendizaje formativo en la práctica como producto de dicha vinculación y el incremento como valor significativo de la responsabilidad social de los profesionales tecnológicos.

Este aprendizaje posibilita la aplicación de mejoras en el desempeño de los modelos constructivos, considerando criterios de sostenibilidad en la construcción.

Por último, la difusión y transferencia a grupos de trabajo brinda herramientas para el mejor desempeño del diseño y construcción de los pavimentos, brindando la posibilidad de realizar prácticas supervisadas.

Conclusiones y recomendaciones

Como principal contribución se espera aportar conocimiento científico y tecnológico, en la transferencia hacia el medio productivo y social del partido de Avellaneda, y básicamente, a los estudiantes investigado-

res en la formación práctica de la carrera de Ingeniería Civil.

Además, el análisis predictivo aplicado a la evaluación de las obras civiles, y en este caso en particular, aplicado a los pavimentos rígidos, servirá para orientar al usuario en el mantenimiento preventivo de la estructura, y en caso de presentar fallas, orientará sobre las posibles formas de reparación y aplicación de tecnologías tales como el reaprovechamiento de los materiales.

En este sentido, el logro de un Modelo de intervención basado en el diagnóstico y control preventivo plantea un conjunto de herramientas útiles para la gestión y el desarrollo urbano que fortalecen el vínculo, la transferencia de nuevos conocimientos y tecnologías desde la universidad hacia la gestión pública, en beneficio de la sociedad en su conjunto.

Se anhela contribuir desde la Universidad con herramientas aplicables a la planificación y gestión que promuevan la mejora continua de la calidad en este tipo de construcciones, donde se incluyen las perspectivas de la sostenibilidad y el cuidado del medio ambiente.

Figura Nº 3. Esquema del Modelo de Evaluación, Control y Prevención

Bibliografía

[1] Organización para las Naciones Unidas (2012). La Sostenibilidad del Desarrollo a 20 Años de la Cumbre para la Tierra. Avances, brechas y lineamientos estratégicos para América Latina y el Caribe. Documento Río + 20. Conferencia de las Naciones Unidas sobre el Desarrollo Sostenible, Chile.

[2] RIEZNIK LAMANA, N.; HERNÁNDEZ AJA, A. (2005) Análisis del ciclo de vida. Ciudades para un Futuro más Sostenible. Madrid, España. Disponible en: http://habitat.aq.upm.es/temas/a-analisis-ciclovida.html. [Fecha de acceso: 08/08/2016].

[3] HARVEY, J.; MEIJER, J.; OZER, H.; AL-QADI, I.; SABOORI, A.; KENDALL, A. (2016) Pavement Life Cycle Assessment Framework. Informe N° FHWAHIF-16-014. Federal Highway Administration. Washington, Estados Unidos. Disponible en: http://www.fhwa.dot.gov/pavement/sustainability/hi f16014.pdf [Fecha de acceso: 08/08/2016].

[4] VÁZQUEZ ESPI, M. (2001). Construcción e impacto sobre el ambiente: El caso de la tierra y otros materiales. Informe de la construcción. Volumen 58, Nº 471. Madrid. España.

[5] GARCÍA, A.; MAZZEO, J.; RUIZ, L.; MARTÍNEZ, G. (2014). Componentes Premoldeados Articulados Ecológicos. Mejora de la Accesibilidad en Áreas Urbanas del Entorno Costero. Mención especial Capítulo: Sostenibilidad de los Territorios Urbanos y Rurales.

Exposición y publicación. Congreso de Ingeniería 2014. Latinoamérica y Caribe. Centro Argentino de Ingenieros (CAI). Buenos Aires. Argentina.

[6] DEPARTAMENTO TÉCNICO, INSTITUTO DEL CEMENTO PORTLAND (2014). Pavimentos Urbanos de Hormigón en Argentina. Disponible en: http://www.icpa.org.ar/publico/files/articulos-tecnicos/2014-04-Pavimentos-Urbanos.pdf [Fecha acceso: 08/08/2016].

[7] BRUNATTI, C., FERNANDEZ LUCO, L. (2011). El pavimento de Hormigón. Un camino sustentable. Memorias IV Congreso Internacional, 18º Reunión Técnica "Ing. Cleto Agosti", Asociación Argentina de Tecnología del Hormigón. Editores: O. Cabrera, J. Sota. ISBN: 978-987-21660-4-5. Mar del Plata, Provincia de Buenos Aires. Argentina.

[8] TRAVERSA, L.; DI MAIO, A.; SOTA, J. (2011). Metodología de evaluación de patologías en estructuras de hormigón armado. Revista Hormigón Nº 49. Asociación Argentina de Tecnología del Hormigón. Buenos Aires. Argentina.

[9] GIOVAMBATTISTA, A. (2011). Hormigón. Materiales, vida útil y criterios de conformidad y su consideración en el Reglamento CIRSOC 201-2005. 1º Edición. ISBN 978-950-532-153-7. Instituto Nacional de Tecnología Industrial. Buenos Aires. Argentina.

[10] MALDONADO, G.; CARRASCO, M. (Editoras) (2012). Ese Material llamado Hormigón. Asociación Argentina de Tecnología del Hormigón. Buenos Aires. Argentina.

RECURSOS HÍDRICOS E INUNDACIONES

CURADOR:

ING. CIVIL OSVALDO RUSSO

Módulo 3

El desarrollo urbano actual y las pautas de diseño de los desagües pluviales en el sur de la Pcia. de Santa Fe, Argentina

Autores: Raúl Navarro, Carla Murillo, Araceli Malavolta y Pablo Bussi

Email: rnavarro@santafe.gov.ar

Durante los últimos años se han producido importantes cambios del uso del suelo en distintos puntos del sur de la provincia de Santa Fe, llevando paulatinamente, áreas de uso rural a áreas de uso urbano.

Este hecho, por sí solo, generador de un impacto importante desde el punto de vista de los escurrimientos pluviales, se vio enfatizado por la ocurrencia de varios eventos lluviosos significativos, que obligaron a poner una visión más cercana sobre el hecho y a controlar con mayor cuidado los diseños presentados en los proyectos de las obras de desagüe.

Las características topográficas de la llanura y la falta de cuerpos receptores con capacidad de evacuación adecuada, mostraron que las pautas de diseño hidráulico usuales eran muy difíciles de cumplir.

En este trabajo se presentan los casos más emblemáticos de desarrollos, tanto habitacionales como industriales, se analizan las características de diseño de los desagües pluviales y se evalúan los condicionantes existentes.

Se concluye sobre los criterios de diseño empleados y proponen pautas a seguir adecuadas a la realidad observada.

Objetivos

Los primeros intentos de desarrollos inmobiliarios en zonas rurales o suburbanas de la provincia de Santa Fe, destinadas a las explotaciones agrícolaganaderas fueron en la década del 90 y la tipología usual eran los emprendimientos cerrados, o sea, condominios desarrollados en una amplia extensión superficial.

Después de los cambios económicos y políticos que golpearon fuertemente al país a finales del año 2001, varios emprendimientos en desarrollo paralizaron las obras y no se plantearon nuevos.

A partir del año 2008 se registraron nuevos movimientos urbanizadores repartidos entre barrios cerrados y abiertos. El evento meteorológico producido en 2007, de carácter regional para la provincia, mostró una vez más, la vulnerabilidad de la cuenca ante extremos fenómenos meteorológicos.

Surgió la necesidad de trazar lineamientos y normativas para guiar y encuadrar los proyectos de desagües de los barrios nuevos y controlar las acciones realizadas en la Cuenca del Arroyo Ludueña, en primera instancia, a la cual pertenece parte del ejido urbano de la ciudad de Rosario, al sur de la provincia, luego extrapolado a las cuencas vecinas. Esto fue así dado que las inversiones comenzaron en las áreas de mayor desarrollo económico, donde también, se encontraban las mayores demandas de vivienda, y luego, fueron extendiéndose a otros sectores como forma de inversión inmobiliaria.

Anteriormente, los pocos casos que solicitaban autorizaciones en la Repartición Provincial - Autoridad de Aplicación del momento-, eran analizados desde el punto de vista de la aplicabilidad de la Ley Provincial 11.730 de Bienes en Zonas Inundables, la cual conformó un gran avance a partir de su aprobación en el año 2000.

Una característica muy importante a destacar es que los barrios abiertos son desarrollados por los emprendedores pero pasan a depender de las respectivas Comunas o Municipios, siendo ellas las Autoridades de Aplicación de las normativas del ámbito hidráulico. El fenómeno meteorológico ocurrido en marzo del año 2007, mencionado arriba, de una recurrencia inusual, condujo a un cambio de mentalidad y una profundización de las normativas vigentes.

Objetivos

•Presentar los hechos que condujeron a una nueva mirada sobre los procedimientos que se llevaban a cabo para la autorización de urbanizaciones en la provincia de Santa Fe.

•Indicar las normativas que fueron desarrolladas para ordenar los procedimientos y los diseños referentes a los desagües pluviales.

•Mostrar los casos más emblemáticos estudiados y las pautas de diseño planteadas para obtener un desarrollo sustentable.

Desarrollo

Al comienzo de la era urbanizadora del año 2008, los loteos que se fueron presentando para su aprobación provincial se desarrollaron sobre terrenos con superficies varias, pero que en no pocos casos, alcanzaron las 200 hectáreas.

La normativa fundamental provincial existente desde 2000 es la referida a los estudios para la determinación de zonas con distinto riesgo de inundación y su regulación del uso del suelo. Los fenómenos meteorológi-

cos extremos que se fueron sucediendo, demostraron que debían tomarse nuevas medidas más restrictivas sobre el uso del suelo, siendo el espíritu fundamental que cualquier nuevo desarrollo no genere más caudal respecto del originado previamente para determinadas condiciones pluviométricas.

Junto a ello se consideró sumamente importante y oportuno que los diseños de nuevos trazados de calles fueran racionales, acordes a lo existente y que permitiesen corregir problemas de drenaje detectados. Este último punto resultaba fundamental para los casos de las pequeñas poblaciones las cuales no contaban con proyectos de pavimentos ni planos de dinámica hídrica.

La cuenca más comprometida era la del Arroyo Ludueña y fue por ello que se la tomó como referente. Fue así que en el año 2012 se aprobó una ley de control de los aportes pluviales para la misma.

El corazón de dicha norma es que para lograr que los caudales futuros sean iguales a los previos se debe incorporar en los desagües pluviales reservorios. La otra particularidad es que el diseño de dichos reservorios se cuantificará para una precipitación correspondiente a una recurrencia de 100 años.

Al comenzar a recibirse solicitudes de desarrollos urbanísticos de lugares fuera de la mencionada cuenca del Arroyo Ludueña, se tomó la decisión de mantener los mismos conceptos urbanísticos para dichas zonas, estimándose que las problemáticas de desagües y los factores que dominan los escurrimientos eran los mismos responsables del estado de emergencia hídrica a aquella cuenca.

El análisis de las distintas situaciones planteadas proveyó de un amplio panorama de casos que enriquecieron los conocimientos de las cuencas y permitieron profundizar en detalle las acciones a llevar a cabo para lograr las mejoras de los drenajes urbanos.

A continuación, se presentan los casos analizados más emblemáticos.

El primer caso de interés corresponde a un emprendimiento cuyo predio tiene parte de su superficie afectada por el embalse de una presa de retención de crecidas. La superficie que deben dejar libre de obstáculos corresponde al nivel del embalse calculado para la precipitación de recurrencia a 100 años.

Dado que para cumplir esa condición la superficie inutilizada para urbanizar era de, aproximadamente, el 85% del lote total, los emprendedores solicitaron autorización para la realización de una compensación de volúmenes de suelo, elevando los bordes del embalse y devolviendo el volumen ocupado por el suelo aportado mediante la excavación de zonas interiores del embalse.

En la siguiente imagen puede observarse la situación. Se solicitó, además, la regulación de los desagües pluviales del loteo y que el reservorio correspondiente permanezca fuera del embalse de la presa. Fue incluida esa condición en la compensación de volúmenes mencionada anteriormente.

En ese caso, para que los caudales alcancen el canal público, se debe atravesar un campo de otro propietario. La situación se resolvió generando una servidumbre de paso.

El procedimiento comienza con una reunión entre las partes, en la cual se explica la necesidad de la ejecución de la servidumbre. Normalmente, los predios atravesados por esos canales de salida, a futuro, también serán urbanizados, ya que por las normativas de prohibición de fumigaciones hasta cierta distancia del límite del pueblo correspondiente, están muy limitados en las explotaciones a realizar.

Si en primera instancia no se logra el objetivo, se recurre a la participación de la autoridad local a la cual se le explican los motivos y se actúa para que apoyen el planteo mediante la emisión de una ordenanza de uso de suelo.

Normalmente, los centros poblados no cuentan con un plan director de desagües pluviales, por ende,

El segundo caso de interés es el de un loteo que debe desaguar sus aportes pluviales a través de un campo lindero. Esto es así ya que se intenta diseñar los puntos de descarga de los caudales en los lugares indicados por la topografía, independientemente al hecho de su acceso público o no.

se verifica un paso más hacia la generación del mismo mediante la toma de conciencia de las autoridades y el aporte a la documentación local obtenida gracias a los planos de proyecto a presentar por parte de los emprendedores. La siguiente imagen ilustra lo dicho.

El caso que se muestra a continuación presenta características similares, pero sin haber logrado el acuerdo con el lindero. Ante tal situación, se optó por plantear una primera etapa de obra en la cual se ejecuta un canal de salida provisorio, siguiendo un camino liberado distinto al indicado por la topografía del lugar. Se conviene con las autoridades locales la planificación del trazado urbano del lote lindero, quien no se avino a la firma de la servidumbre de paso, para que al momento en el cual se decida su loteo, la conducción adecuada de los desagües del primer loteo hacia el cuerpo receptor sea modificada y trasladada a su traza definitiva. La imagen adjunta presenta el caso.

El último caso que presentamos se relaciona con la problemática anterior, dado que inicialmente se intentó el acercamiento con los vecinos y no se obtuvo el acuerdo. A partir de tal situación, se buscó otra resolución al problema, llevándose a cabo un planteo de obra el cual incluía conducciones contrapendiente, bombeos y canales-cuneta con excesivas profundidades que transformaban en peligrosa la circulación de los vehículos. Por tal motivo, se hizo partícipe a las autoridades locales de la problemática y se las invitó a ser actores principales para la resolución del caso. El objetivo se cumplió y se obtuvo el acuerdo con el beneficio adicional que la salida acordada permite también

regularizar los desagües de otro barrio lindero, quien sufría inconvenientes durante las precipitaciones más importantes.

A continuación, se reproduce una imagen ilustrativa del tema.

nísticos permitió la promoción de la hidráulica como parte imprescindible de la ingeniería civil y se dio un fuerte apoyo en la formación de profesionales en ese ámbito.

Conclusiones

•La dinámica económica y social de la región puso en evidencia la ausencia de normativas claras que permitiesen el desarrollo sustentable de las áreas urbanas.

•Se pudo realizar un importante aporte a través del dictado de normas de regulación para la confección de proyectos de desagües pluviales urbanos.

•Se instauraron procedimientos administrativos para la obtención de las autorizaciones de obras para emprendimientos urbanísticos, las cuales están permanentemente siendo mejoradas en pos de obtener los resultados buscados, sin trámites engorrosos.

•Se fortaleció, a partir de las necesidades externas, el cuerpo de profesionales de la hidráulica en la repartición provincial que es Autoridad de Aplicación de las normativas vigentes.

•El advenimiento de este tipo de desarrollos urba-

Bibliografía

1. Ley Provincial Nº 11.730, Bienes en Áreas Inundables, provincia de Santa Fe, 2000.

2. Ley Provincial Nº 13.246, Estabilización de los Aportes de la Cuenca del Arroyo Ludueña, provincia de Santa Fe, 2012.

3. Centro de Documentación, Ministerio de Infraestructura y Transporte, Gobierno de la provincia de Santa Fe.

El desarrollo urbano y el incremento del riesgo de inundación en la ciudad de Gualeguaychú

Autores: Rodolfo Sato, Graciela Zucarelli, Enrique Mihura

Email: sato.rodolfo@gmail.com

Muchas ciudades del Litoral argentino asentadas en la ribera de los ríos se encuentran con una parte de su territorio sujeto a inundaciones periódicas, debido a un proceso de urbanización creciente que en varias ocasiones no reconoce reglas ni límites (Bertoni et al., 2004).

Estos ambientes vulnerables suelen encontrarse dentro de un proceso de desarrollo no planificado y sometidos a un elevado grado de probabilidad de ocurrencia de inundaciones periódicas (Hass, 1995).

El riesgo de desastre es una construcción social y se genera cuando se combinan una amenaza con una vulnerabilidad (Narváez et al., 2009), en este caso, la amenaza viene dada por las crecidas del río y la vulnerabilidad por la ocupación de sectores bajos que pueden ser alcanzados por las crecidas.

El análisis del riesgo hídrico por inundación fluvial constituye un factor primordial en cualquier política de planificación territorial de estas ciudades como base de un desarrollo sustentable, vinculada a la preservación de bienes, actividades y a la seguridad de vidas humanas.

Dentro de este análisis, la modelación hidrológica e hidráulica conforma una herramienta indispensable para poder comprender el comportamiento de los cursos de agua y cuantificar el riesgo de inundación de áreas urbanas cercanas a los ríos (Escuder et al., 2010).

En este trabajo se aborda el estudio particular del río Gualeguaychú, ubicado en la provincia de Entre Ríos de la República Argentina y la problemática de las inundaciones que provoca en la ciudad homónima.

Objetivos e hipótesis

El objetivo general del estudio es evaluar las consecuencias del avance de la urbanización en zonas inundables y de las obras realizadas en esas áreas, interfiriendo con el flujo en situaciones de crecidas del río, determinando su influencia en los niveles de las inundaciones y la tendencia en la modificación del riesgo de inundación en el borde costero de la ciudad y sus zonas aledañas.

Para ello, se analiza la situación actual y se la compara con los niveles de inundación para simulaciones de distintos escenarios. Uno de estos es la simulación de una situación sin las obstrucciones al flujo que producen la urbanización y las obras de intervención sobre el valle de inundación. Otros escenarios evaluados son la situación verificada en el año 1994.

Por último, se estudia el avance de la urbanización sobre zonas inundables en los últimos 20 años, evaluándose la modificación de la superficie edificada en sitios cercanos al río y lugares sujetos a riesgo de inundación fluvial.

Problemas a abordar

La ciudad de Gualeguaychú contaba, según el Censo del año 2010, con 81.659 habitantes y se encuentra ubicada en la provincia de Entre Ríos, en la margen occidental del río homónimo, a unos 15 km de su desembocadura en el río Uruguay. Un poco alejada de la margen derecha se encuentra la localidad de Pueblo General Belgrano, que en el año 2010 tenía 2.814 habitantes.

Ambos municipios funcionan en la vida cotidiana como un único conglomerado urbano.

El río Gualeguaychú cuenta con una cuenca de 6.974 km2 de superficie y se encuentra en el sudeste de la provincia de Entre Ríos. Crecientes importantes han afectado la ciudad a lo largo de su historia (Figura Nº 1), por ende, la Secretaría de Planeamiento de la Municipalidad (SPMG) ha implementado una política de urbanización que trata de no habilitar construcciones en terrenos con niveles por debajo de los registrados en las crecidas mayores. Sin embargo, la presión demográfica produce la ocupación de sitios costeros y bajos sobrepasando estas restricciones legales (Sato et.

al., 2014), sumado ello al incremento de la demanda turística, lo que lleva al mercado inmobiliario a construir complejos de cabañas junto al río.

En esta ciudad no se han construido terraplenes de defensas debido a que la urbanización ha ocupado la zona costera, estas obras alterarían el paisaje y el contacto con el río, que forman parte de los atractivos turísticos en base a los cuales se ha desarrollado una importante actividad económica. Además, conllevan la posibilidad de un riesgo mayor en caso de falla (Wollansky y Pardini, 2010).

En los últimos años, se ha observado que las inundaciones más recientes, si bien no alcanzaron los niveles máximos registrados, han producido daños importantes sobre amplios sectores de la ciudad.

Metodología empleada

La metodología utilizada se basó tanto en el estudio del comportamiento hídrico del tramo inferior del río, como en el análisis de la evolución del desarrollo ur-

Figura Nº 1. La inundación de 2012 en la ciudad de Gualeguaychú (Fuente SPMG)

bano sobre áreas sujetas a riesgo hídrico, estableciendo su influencia en la modificación de los niveles de las crecidas. Para ello, se implementó un modelo hidráulico del tramo inferior del río.

Primeramente, se realizó el estudio de alturas de las escalas hidrométricas ubicadas en el tramo inferior y el análisis de probabilidad de ocurrencia de alturas máximas utilizando el programa AFMULTI, desarrollado por la Facultad de Ingeniería y Ciencias Hídricas de la Universidad Nacional del Litoral.

Para la realización del modelo hidráulico se trabajó con el programa de modelación hidráulica HEC-RAS (HEC-USACE) el cual permite modelar flujos unidimensionales permanentes y no permanentes (Chow et al., 2004) en una red de cursos de agua definidos mediante una serie de secciones transversales. También, se pueden incorporar alcantarillas y puentes. En este caso, se trabajó con un solo curso y régimen permanente, a partir de los caudales obtenidos con la modelación hidrológica de la cuenca.

El estudio de la evolución del desarrollo urbano cercano al río se realizó en base a imágenes satelitales de los últimos años (2004 y 2014) e información cartográfica del Plan de Actualización y Perfeccionamiento

Catastral Urbano y Subrural (PAPCUS) del año 1994.

Con esa información, se analizó el incremento de la superficie urbanizada en las zonas sujetas a distinto riesgo hídrico.

Actividades o etapas desarrolladas

Análisis de alturas del tramo inferior

Con los registros de alturas medias diarias tomadas en las escalas hidrométricas del Puerto de Gualeguaychú y Boca del Gualeguaychú, se realizó el análisis de frecuencia de alturas máximas del río en el área de estudio (Figura Nº 2).

Figura Nº 2. Análisis de frecuencias de Escala en el Puerto de Gualeguaychú (Datos DNVN)

Los datos de alturas hidrométricas diarias máximas anuales se dividieron en dos series que llegan hasta el año 2013, una serie larga de 100 años de duración y otra que comienza a partir de 1980. Esta división coincide con el comienzo del funcionamiento de la represa de Salto Grande a mediados de 1979.

Para la serie larga, se obtienen valores mayores de altura respecto de los de la serie corta para las recurrencias mayores. Como la serie larga no representa la realidad actual del río Uruguay y su influencia sobre el río Gualeguaychú y existe cierta incertidumbre sobre las series cortas debido a su longitud, se consideró que estas últimas representan un límite inferior y la serie larga un límite superior, adoptándose en este estudio un valor intermedio entre ambas.

Modelación hidráulica del tramo inferior del río Gualeguaychú

Con el objeto de estudiar el comportamiento hidráulico del tramo inferior del río Gualeguaychú se implementó un modelo hidráulico, desde la confluencia con el Arroyo Gualeyán hasta su desembocadura en el Uruguay (Figura Nº 3).

Figura Nº 3

Imagen satelital del tramo inferior del río

Gualeguaychú

Para ello, se elaboró primeramente un modelo digital del terreno en el tramo de estudio utilizando curvas de nivel del PAPACUS, así como relevamientos topobatimétricos y de estructuras realizados para el estudio del Proyecto del Nuevo Puente sobre el río Gualeguaychú (Domé et al., 2014), obteniéndose 49 perfiles transversales en una longitud del tramo de estudio de 23.664 m en la dirección del cauce del río.

En coincidencia, con las líneas de flujo interrumpidas por construcciones, terraplenes y obstrucciones se ingresaron áreas de flujo inefectivas aguas arriba y aguas abajo de las mismas.

En estos sitios, el modelo considera que el agua mantiene el nivel del resto del perfil pero no tiene velocidad. Como condición de borde de aguas abajo se consideraron distintas situaciones de niveles del río Uruguay.

Para la calibración y validación del modelo se ponderaron los eventos de crecida de agosto de 2012 para la calibración y la de marzo-abril de 2007 para la validación, ambas afectaron a la ciudad (Figuras Nº 4 y Nº 5), con alturas del orden de 5 y 20 años de recurrencia, respectivamente.

El estudio de la situación actual se realizó analizando crecientes para los caudales de 2, 5, 20, 100 y 500 años de recurrencia, considerando primeramente niveles

medios del río Uruguay a la salida del modelo (Figuras Nº 6 y Nº 7).

Figura Nº 4. Vista aérea de la creciente de 2012 y el valle de inundación frente a la ciudad
Figura Nº 5. La inundación del 2007 en la costanera, el hotel Aguaray y calle 25 de Mayo
Figura Nº 6. Perfil longitudinal de crecidas del río Gualeguaychú con niveles medio del Uruguay

Para estudiar el efecto combinado de niveles altos del río Uruguay con crecidas del río Gualeguaychú se analizaron distintas combinaciones de niveles altos del río Uruguay con crecidas del río Gualeguaychú (Figura Nº 8).

Además, se evaluó la incidencia de las intervenciones antrópicas sobre el río y el valle de inundación, compa-

rando la situación actual con una situación hipotética sin obras, primeramente sin los puentes, luego también, sin las obras que producen rellenos sobre la margen como el puerto y la costanera (Figuras Nº 9 a Nº 11), finalmente, sin las obstrucciones de la urbanización en el valle de inundación (Figura Nº 12).

Figura Nº 8. Perfil longitudinal comparativo con niveles altos del río Uruguay
Figura Nº 7. Perfil transversal en la zona de la Avenida Costanera
Figura Nº 9. Imágenes de piletas construidas en la costa aguas abajo del puente metálico
Figura Nº 10. Imágenes del Puerto de Gualeguaychú
Figura Nº 11. Construcción de la Avenida Costanera de Gualeguaychú (Fuente: SPMG)

Figura Nº 12. Perfil longitudinal comparativo: Situación actual y sin obstrucciones

Análisis del riesgo hídrico y del riesgo de inundación fluvial

Con los resultados del modelo hidráulico se trazaron curvas de riesgo hídrico para la zona cercana a la ciudad de Gualeguaychú.

Con las nuevas construcciones digitalizadas de las imágenes satelitales de los últimos 20 años, sumadas a la base de edificios del PAPCUS del año 1994, se realizó el análisis del incremento de las superficies edificadas en las zonas de distinto riesgo hídrico (Figura Nº 13).

Figura Nº 13

Curvas de riesgo hídrico y edificios en Gualeguaychú y Pueblo Belgrano

También se evaluó el incremento en los niveles de las crecidas producidas por la urbanización de los últimos 20 años (Tucci et al., 2007), comparando los resultados del modelo de la situación actual con la resultante del año 1994, variando las obstrucciones debidas a las edificaciones en el modelo.

Resultados obtenidos

Alturas de las crecidas

Las escalas hidrométricas de Puerto de Gualeguaychú y Boca de Gualeguaychú se encuentran cerca de la desembocadura del río Gualeguaychú en el Uruguay, separadas entre sí unos 13,5 km de longitud a lo largo del cauce. Ambas están influenciadas por los niveles del río Uruguay. En general, las alturas en ambas escalas son muy similares, salvo en los períodos de crecida del

río Gualeguaychú donde las alturas en el Puerto superan ampliamente a las de la Boca.

Las alturas máximas anuales tuvieron un importante cambio a partir de 1979, cuando comienza a operar la presa de Salto Grande, cuya capacidad de regulación es determinante para los niveles del río Uruguay aguas debajo de ésta. Antes de esta fecha, ocurrieron grandes crecientes en la ciudad, particularmente, las de mayor importancia fueron la de 1959 y la de 1978, que llegaron a alturas de 7,00 m y 7,28 m, respectivamente (Figura Nº 14).

A partir de 1980, las crecientes más importantes en Gualeguaychú fueron las de 1984 y 2007 debidas a crecidas del río Gualeguaychú. Por el contrario, las crecientes de 1982 y 2009 se debieron principalmente a crecidas del río Uruguay (Figura Nº 15).

Figura Nº 14. Alturas diarias máximas anuales en el Puerto de Gualeguaychú (1904-1979)
Figura Nº 15. Alturas diarias máximas anuales en el Puerto y Boca de Gualeguaychú (1980-2013)

La combinación de ambos fenómenos, a veces superpuestos, hace difícil la separación de las crecidas producidas por el río Gualeguaychú de las producidas por el río Uruguay. Del análisis de frecuencias de alturas máximas realizado se adoptaron los valores máximos en Puerto y Boca de Gualeguaychú (Tabla Nº 1).

Modelación hidráulica

El comportamiento hidráulico del tramo inferior del río Gualeguaychú está influenciado por el nivel en que se encuentra el río Uruguay, donde el mismo desemboca (Figura N° 16).

Tabla Nº 1

Alturas hidrométricas para distintas recurrencias

Figura Nº 16. Perfil longitudinal de las crecientes de calibración (2012) y validación (2007)

Con el modelo hidráulico se obtuvieron niveles de inundación y curvas de riesgo hídrico para los distintos caudales evaluados con niveles medios del río Uruguay. Además, se modelaron distintas situaciones con niveles altos del Uruguay, considerándose a partir de los resultados que puede descartarse el efecto de niveles altos del río Uruguay en la frecuencia de niveles más altos de inundación, donde el factor preponderante es el caudal del río Gualeguaychú. No ocurre lo

mismo para los niveles medios y mínimos dominados por las alturas del Uruguay.

Por ello, los niveles de las crecientes producidas en la ciudad dependen tanto de los caudales del río Gualeguaychú como del nivel en que se encuentra el río Uruguay. Sin embargo, los niveles más altos de inundación se deben casi exclusivamente a las crecientes mayores del río Gualeguaychú, ya que los niveles del río Uruguay presentan poca influencia en esos casos.

Evolución del riesgo de inundación

De acuerdo al análisis realizado con el modelo hidráulico, comparando la situación actual con escenarios sin obstrucciones, se pueden clasificar las obras que obstaculizan el flujo en tres tipos de acuerdo a su incidencia en el incremento de niveles de las crecientes (Tabla Nº 2):

•Los puentes y los terraplenes de acceso que cruzan el valle de inundación son las obras que producen mayor incremento de niveles, debido a las escasas secciones de paso presentados;

•Los rellenos que estrechan el cauce o elevan terrenos en zonas costeras son las obras que siguen en importancia respecto del incremento de los niveles en las crecientes;

•Por último, las edificaciones en zonas inundables ofrecen una incidencia menor, en este caso, debido a que en su mayor medida se ubican en zonas más alejadas de la costa, donde el flujo muestra una menor altura y velocidad.

Del análisis de áreas urbanas en distintas zonas de riesgo hídrico se obtuvieron superficies edificadas en la situación de la urbanización para los años 1994, 2004 y 2014 (Figura N° 17), resultando un incremento muy importante de la urbanización de áreas inundables, en los últimos años, llegando a superar en poco más del doble la edificación en los últimos 10 años respecto de los diez años anteriores.

Figura Nº 17. Afectación de superficie edificada por crecientes del río Gualeguaychú

Tabla Nº 2. Incremento de los niveles producidos aguas arriba de las intervenciones

El incremento del riesgo de inundación puede producirse tanto por aumento de la amenaza como de la vulnerabilidad (Herzer et. al., 2003). En este caso, el aumento de la amenaza se debe, principalmente, a los mayores niveles por las obstrucciones al flujo producido por la urbanización de las áreas inundables, pero este es mínimo si se compara con el incremento del riesgo de inundación generado por aumento de la vulnerabilidad, debido a la edificación en zonas inundables (Figura Nº 18), que muestra una tendencia creciente de la tasa de construcción en los últimos 20 años.

En base al análisis de riesgo y de seguridad para la población, se establecen distintas zonas de interés legal vinculadas a determinadas recurrencias según criterios hidrológicos (Caamaño Nelli et al., 2006), como se observa en la Figura N º 19, proponiéndose las siguientes restricciones al dominio:

•Zona pública en niveles alcanzados por crecidas menores a 2 años de recurrencia (T): No se permiten edificaciones.

•Zona de crecidas medias (T entre 2 y 5 años). Solo se permiten edificios para actividades vinculadas al río con construcciones palafíticas. Se debería revertir la edificación de viviendas trasladándola a sitios no inundables.

Figura Nº 18. Variación de los componentes e incremento del riesgo de desastre

•Zona de crecidas mayores (T entre 5 y 20 años). Se permiten edificios para servicios, en general, con construcciones palafíticas, se prohíbe la construcción de viviendas nuevas, las existentes deben contar con habitaciones en planta alta y deberían trasladarse los edificios públicos de importancia como escuelas, dispensarios, etc.

•Zona de crecidas extraordinarias (T entre 20 y 100 años). Se permiten edificios y viviendas elevando el terreno (al nivel T = 100), se prohíbe la construcción de edificios públicos de importancia como hospitales, escuelas, pero habilitan para depósitos y centros deportivos.

•Zona de crecidas excepcionales (T entre 100 a 500 años). Se permiten edificios y viviendas sin restricciones y edificios públicos de importancia elevando el terreno (al nivel T = 500) presentan restricciones al dominio.

Figura Nº 19. Umbrales de evaluación del riesgo hídrico y zonas de interés legal

Conclusiones y recomendaciones

La situación hídrica de la ciudad de Gualeguaychú frente a las crecidas del río conforma un tema muy sensible, ya que parte de su territorio sufre el efecto reiterado de las inundaciones. La intervención antrópica que ha sufrido el valle de inundación, debida al desarrollo urbano, afecta el flujo natural produciendo incrementos apreciables en los niveles de las crecientes, principalmente, aguas arriba de los terraplenes de los puentes.

La presión que ejerce el incremento constante de la urbanización, con la ocupación de los terrenos ubicados junto a la costa o en zonas sujetas a riesgo hídrico cercanas al centro de la ciudad, suele superar fácilmente los recaudos y límites administrativos que existen a la ocupación de áreas inundables. Este proceso se ha ve-

Bibliografía

1. Bertoni J. C.; S. Ambrosino; Barbeito O.; Daniele A.; Maza J. A.; Paoli C. U. y Serra J. J. (2004). "Inundaciones urbanas en Argentina". Universidad Nacional de Córdoba, Córdoba, Argentina. Capítulo 10, pp. 235-239.

2. Caamaño Nelli G.; R. M. Rodríguez; L. Colladon y M. Dasso (2006). “Márgenes inundables de interés legal. Caracterización para la provincia de Córdoba”, en I Congreso Internacional sobre Gestión y Tratamiento Integral del Agua. Fundación ProDTI (España) FCA-UNC. Córdoba, Argentina.

3. Chow Ven Te (2004). “Hidráulica de canales abiertos”, Cap. 10, pp. 270-276. Ed. McGraw Hill Interamericana S.A. Bogotá, Colombia.

4. Domé J. V.; Sato R.A. y otros (2014). “Proyecto del Nuevo Puente sobre el río Gualeguaychú, entre Gualeguaychú y Pueblo General Belgrano”. Convenio entre el Consejo Federal de Inversiones e INCOCIV. Centro de documentación del CFI.

5. Escuder I.; E. Matheu y J. Castillo (2010). “Análisis y evaluación de riesgos de inundación: estimación del impacto de medidas estructurales y no estructurales”, en Jornada CICCPV, Universidad Politécnica de Valencia, España.

6. Hass C. A. (1995). "Inundaciones en áreas urbanas e impacto social. El caso de la ciudad de Luján, Buenos Ai-

nido incrementando en las recientes décadas y la tendencia de los últimos veinte años muestra una aceleración del mismo.

Dentro de un sistema de gestión de riesgo de inundación deberían crearse normativas para controlar la edificación en zonas inundables. Estas deben basarse en límites fijados por las curvas de riesgo hídrico y no por niveles de crecientes que solo tienen validez para la zona cercana a la escala hidrométrica.

Debido a la dificultad para implementar medidas estructurales y/o revertir ocupaciones indebidas de zonas con riesgo hídrico, puede concluirse que el planteo de una planificación adecuada de crecimiento urbano en áreas no inundables y una política de control sostenida, son la mejor alternativa para evitar los problemas de las inundaciones.

res, Argentina". Anales de Geografía de la Universidad Complutense, Nº 15, pp. 393-399. Publicaciones Universidad Complutense. Madrid, España.

7. Herzer H. y otros (2003). "El manejo de cuencas y su impacto en áreas urbanas: El caso de la llanura pampeana argentina”. III Congreso Latinoamericano de manejo de cuencas hidrográficas. INRENA & FAO. Arequipa, Perú.

8. Narváez, L. y otros, (2009). “La Gestión del Riesgo de Desastres: Un enfoque basado en procesos”. Comunidad Andina, Lima, Perú.

9. Sato R., Mihura E. y otros, 2014. “Las obras de intervención sobre la planicie de inundación del Paraná y el desarrollo urbano del área de Santa Fe”. Segundo Congreso Internacional de Hidrología de Llanuras, Facultad de Ingeniería y Ciencias Hídricas de la Universidad Nacional del Litoral, Santa Fe.

10. Tucci C. E. (2007). "Gestión de inundaciones urbanas". Evangraf Ltda., Porto Alegre, Brasil, pp. 26-28, 4081 y 286-288.

11. United States Army Corps of Engineers (USACE) (2010). “Hydrologic Engineering Center. Hydrological Modeling System HEC-RAS 4.1.0. Technical Reference Manual”.

12. Wollansky S. y M. Pardini (2010). "Seguridad de terraplenes de defensa contra inundaciones", en el VI Congreso argentino de presas y aprovechamientos hidroeléctricos, Neuquén, Argentina.

Evaluación comparativa de la escorrentía en diferentes situaciones hidrogeomorfológicas en la subcuenca Nueva Ciudad del Arroyo las Tunas

Autores: Ing. Susana V. Viñes, Ing. Ignacio M. Arzuaga

Colaboración: Ing. Gonzalo Navarro

Email: susanavines@yahoo.com.ar

El crecimiento poblacional del conurbano bonaerense nos enfrenta a la incesante transformación de terrenos rurales en zonas urbanizadas con parques industriales, barrios cerrados y asentamientos con viviendas precarias implantados caóticamente, con la consecuente alteración de la escorrentía en las cuencas por variaciones en la topografía e impermeabilización de las mismas.

La alteración de los parámetros meteorológicos que produce el cambio climático provoca variaciones en los valores que deben adoptarse para el diseño de la infraestructura a fin de reducir los riesgos de obsolescencia.

Surge, por lo tanto, la necesidad de atenuar las crecidas para preservar áreas pobladas aguas debajo de la intervención.

Nos proponemos evaluar distintas situaciones morfológicas para una subcuenca del Rio Lujan.

Objetivos e hipótesis

Establecer las ventajas comparativas que surgen de la modelación para distintas condiciones morfológicas en la misma subcuenca.

Problemas a abordar

Evaluar cuantitativamente los efectos de las modificaciones que se producen con situaciones morfológicas diferentes generadas por simulación, dado que el aumento constante de la escorrentía provocado por la alteración de las condiciones hidrogeomorfológicas naturales en las cuencas nos induce a buscar una compensación, generando una situación morfológica alternativa la cual atenúe los efectos indeseados de la antropización y el Cambio Climático.

Metodología empleada

A partir de las características del sistema y de la información disponible, se seleccionó el Modelo de Simulación HEC-HMS del Centro de investigación del US Army Corps of Engineers, localizado en Davis, California.

El Modelo HEC-HMS está diseñado para simular la escorrentía superficial que resulta de un evento de precipitación, mediante la representación de la cuenca como un sistema de componentes interconectados.

Los resultados finales del proceso de modelación son los hidrogramas de escorrentía directa para varias subáreas y los hidrogramas de caudal en lugares predeterminados de la cuenca.

Los hidrogramas obtenidos por el programa se aplican directamente o de manera conjunta con otros paquetes de software para los estudios de disponibilidad de agua, drenajes urbanos, proyección de flujos, impactos de la urbanización futura, proyectos de vertederos en presas, reducción de daños por inundaciones, entre otros.

Actividades desarrolladas

La presente modelización corresponde a la cuenca del Arroyo Las Tunas, perteneciente a la cuenca Darragüeira-Las Tunas. La citada cuenca desemboca en el Canal Aliviador del Río Reconquista, y abarca un área de aporte de 30.9 km2, la cual comprende parte del partido de Malvinas Argentinas (Localidades de Malvinas Argentinas, Los Polvorines, Pablo Nogués y Villa de Mayo) y del partido de Tigre (Localidades de López Camelo y El Talar).

La cuenca del Arroyo Las Tunas, por su parte, posee un superficie aproximada de 1.334 Has (Con cierre en las vías del FFCC General Bartolomé Mitre). La Figura Nº 1 esquematiza la extensión de la cuenca de estudio, y las Figura Nº 2 y Figura Nº 3, la ubicación geográfica de la zona.

Figura Nº 1

Cuenca DarragüeiraLas Tunas con cierre en colectora Ramal Escobar Sur

Figura Nº 2

Ubicación de la zona de estudio

En el interior del predio el arroyo descarga sus aguas en una laguna de 17.400 metros cuadrados.

Cada componente modela un aspecto del proceso de lluvia-escorrentía, dentro de una subcuenca o subárea; los componentes incluyen la escorrentía superficial de la subcuenca, el tránsito en canales y los embalses; cada uno de los componentes se representa por un conjunto de parámetros encargado de especificar las características particulares del componente y las relaciones matemáticas descriptas por sus procesos físicos.

Los componentes que forman parte del modelo se clasifican en dos tipos:

a) Componente de Escorrentía Superficial: Para una subárea, se emplea para representar el movimiento del agua sobre la superficie del terreno hacia los cauces de ríos. La entrada en este componente es un Hietograma de Precipitación. El exceso de lluvia se calcula restando la infiltración y las pérdidas.

b) Componente de Tránsito de Caudales: Se utiliza para representar el movimiento de ondas de crecientes en un canal. La entrada de este componente es el hidrograma de aguas arriba que resulta de las contribuciones individuales o combinadas de las escorrentías de las subáreas, el tránsito de caudales o las derivaciones. Este hidrograma se transita aguas abajo utilizando las características del canal.

Figura Nº 3

Detalle de la zona de estudio

El modelo hidrológico de la cuenca consta de cuatro tipos de elementos:

1. Sub-cuenca (Sub-basin): La cuenca principal se divide en 10 sub-cuencas.

2. Confluencias (Junction): Se adoptan tres confluencias que reciben el caudal de irrigación de las distintas sub-cuencas. La confluencia Nº 1 recibe caudal de las sub-cuencas 8, 9 y 10. La confluencia Nº 2, por su parte, recibe el caudal de las sub-cuencas 4, 5, 6 y 7. Finalmente, la confluencia Nº 3 recibe el caudal de las sub-cuencas 2 y 3.

3. Canal artificial (Reach): Se adoptan tres conducciones. La primera recibe el caudal de irrigación acumulado en la confluencia Nº 1, y lo desemboca en la confluencia Nº 2. El segundo hace lo propio con el caudal de la confluencia Nº 2 y desemboca en la confluencia Nº 3. Finalmente, la tercera conducción toma el caudal de la confluencia Nº 3 y desemboca directamente en la laguna.

4. Laguna (Reservoir): Se introduce un elemento tipo reservorio para modelar la laguna. Este elemento recibe el caudal acumulado a lo largo de toda la cuenca a través de la tercera conducción, y también, el caudal de irrigación de la sub-cuenca 1 en el cual se encuentra la laguna.

La cuenca de estudio se divide en 10 sub-cuencas. Cada sub-cuenca se define por su superficie de extensión (medida en km2), según se indica en la Figura Nº 4.

La Figura Nº 5 esquematiza el modelo de la cuenca de estudio en el software HEC-HMS, con los distintos elementos que la componen.

Cada sub-cuenca se caracteriza a partir del área que abarca cada una, y de otros parámetros que definen su hidrología, como el Tiempo de concentración (TC), el porcentaje de impermeabilidad, el caudal inicial y la pérdida inicial. La Tabla Nº 1 presenta los datos adoptados.

Figura Nº 4. Sub-cuencas en las cuales se divide la cuenca de estudio

Figura Nº 5. Modelo HMS de la cuenca de estudio

Tabla Nº 1. Parámetros hidrológicos de las sub-cuencas

En el caso de la laguna, la modelización requiere una caracterización de la misma mediante una Tabla Elevación-Área y una Tabla Elevación-Descarga (Figura N º 6/7). Para ello, la propuesta para la laguna es mantener su superficie actual aproximada de 17.400 m 2, con una altura de agua de 0.75 metros para un nivel objetivo de pelo de agua de 18.00 metros IGN, materializando un talud 1:8 desde el fondo hasta cota 20,20 m (Nivel para 100 años de Recurrencia), ocupando una superficie de 27.760 m 2 dentro del parque.

La descarga de la Laguna se llevará a cabo mediante un conducto rectangular de hormigón de 2,00 m de base por 1,20 m de altura interna a cota 18.00 m IGN, para mantener el nivel objetivo. Para la determinación de los eventos de precipitación se utiliza una tormenta de diseño derivada de estudios estadísticos de precipitaciones máximas de corta duración, donde se describen la relación existente entre la intensidad de la precipitación, la frecuencia de ocurrencia y la duración de la precipitación. Estas son las llamadas curvas I-D-R (Figura Nº 8).

Figura Nº 6/7 Laguna.

Ley de Descarga

La descarga de la Laguna se llevará a cabo mediante un conducto rectangular de hormigón de 2,00 m de base por 1,20 m de altura interna a cota 18.00 m IGN, para mantener el nivel objetivo.

Análisis estadísticos de las precipitaciones intensas (mm)

Estación: Observatorio en Villa

Ortuzar – Ciudad de Buenos Aires

Período: 1919-1988

Nota: Los datos han sido ajustados con una ley de Distribución de Gumbel

ques Alternos con la máxima precipitación en posición central de la tormenta (Figura Nº 9).

La duración total de la tormenta se asumió en 1 hora en intervalos de 5 minutos, compatible con el tiempo de generación del pico de la crecida en este tipo de cuencas y con superficies similares del conurbano bonaerense. La ubicación de los bastones de precipitación se ha llevado a cabo bajo la metodología de Blo-

Resultados obtenidos

Finalmente, el modelo arroja como resultado la variación en el tiempo del volumen de almacenamiento/elevación de la laguna, y del flujo de salida de la misma

Figura Nº 9. Hietograma de entrada
Figura Nº 8. Curvas I-D-R

(Figura Nº 10). Estos valores servirán como datos de ingreso para la siguiente etapa, la cual consiste en modelar el curso del arroyo entre la laguna y la autopista. El modelo muestra una atenuación (laminando) de un pico de crecida de, aproximadamente, 60 m3/s a 25 m3/s con sólo invadir un área de 3 ha. Las Alcantarillas de la Autopista Panamericana están diseñadas para una recurrencia de 10 años y un caudal de 19 m3/s con un aliviador incluido, en el caso del Arroyo las Tunas. Eliminar la laguna implicaría casi triplicar el caudal de diseño, con el consecuente incremento en las dimensiones de estos elementos de infraestructura vial.

Conclusiones y recomendaciones

Es posible atenuar los efectos devastadores de los picos de escorrentía generados durante los eventos de precipitaciones.

Reservar el 5% de la superficie del área en estudio genera una atenuación de un 50% del pico de la escorrentía, por lo tanto, para arroyos de características similares a las de Las Tunas que pertenece a la “Pampa

Ondulada de la Provincia de Buenos Aires”, se desprende cómo recomendación reservar áreas verdes con instalaciones temporarias que puedan ser removidas ante la previsión de eventos de precipitaciones las cuales superen la capacidad de infiltración y escorrentía de las cuencas, a los fines de no afectar a los habitantes de la misma. Este debe conformar un criterio prioritario en el ordenamiento territorial.

En el caso particular del Arroyo Las Tunas, en el área modelada se recomienda optimizar la operación de descarga con descargador de fondo de la laguna y compuertas.

Se recomienda reservar áreas verdes con instalaciones temporarias que puedan ser removidas ante la previsión de eventos de precipitaciones las cuales superen la capacidad de infiltración y escorrentía de las cuencas, a los fines de no afectar a los habitantes de la misma.

Figura Nº 10. Curvas resultado de Laguna

Bibliografía

1. Ameghino: Las Secas y las Inundaciones en la provincia de Buenos Aires. Obras de Retenciones y NO Desagües. Quito Ediciones. La Plata. 1989.

2. Campo de Ferreros, A y Piccolo, M. C. Hidrogeomorfología de la Cuenca del Río Quequén Grande, Argentina. Papeles de Geografía. 1999.

3. Chen, C. L. 1983. “Rainfall Intensity-Duration-Frequency formulas”. ASCE.

4. Chow, U. T. Maidment, D. R., Mays L. W. Hidrología Aplicada.

5. Ferrer: F. J. 1993. Recomendaciones para el Cálculo Hidrometeorológico de Avenidas. CEDEX.

6. Kolhyari, C. Gorde. 1992. Rainfall Intensity, Duration, Frequency. Journal of Hydraulics Engineering, Vol. 118, Nº 2. EEUU.

7. Margaña Villegas E., et. Al. (2008) Software para el Análisis de Datos Meteorológicos. México.

8. OMM (2010). Manual del Sistema Mundial de Procesamiento de Datos y Predicciones. Ginebra.

9. Proyecto de Inversión 2014. Análisis del Cambio Climático sobre las Obras de Ingeniería Civil. Facultad de Ciencias Fisicomatemáticas e Ingeniería. UCA.

10. Stalling, J. H. El Suelo, su uso y mejoramiento. México. Compañía Editorial Continental SA, 1977.

11. Verstappen, H. T. y Van Zuidam, R. C. The ITC System of Geomorphological Survey. Ámsterdam, (1991).

Impacto hidrológico cero en la ciudad de Resistencia, Chaco, Argentina

Autores: Alejandro R. Ruberto, Carlos A. Depettris, Jorge V. Pilar, Marcelo J. M. Gómez, Viviana Soto.

Email: aleruberto44@yahoo.com.ar

El Área Metropolitana del Gran Resistencia está dominada por bajas pendientes, con promedio de 0,03%, y para resolver el problema de drenaje urbano no existen soluciones fáciles, ni puramente técnicas o económicas, ni de validez universal.

Han sido modelados escenarios donde se identificaron “manchas” de inundación, lo cual permitió sentar bases para regular las construcciones en la ciudad -Ordenanza Nº 5.403, Anexo 3-, la cual controla la urbanización con criterio de impacto hidrológico cero.

La misma incorpora dos nuevos indicadores: FIS (Factor de Impermeabilización del Suelo) y FIT (Factor de Impermeabilización Total) con la obligación, para proyectos nuevos, de verificar el impacto, siendo tal que el pico del nuevo caudal generado no se incremente con el aumento de la impermeabilidad del terreno.

Entonces: ¿qué se consigue o conseguiría con la aplicación del concepto de IMPACTO HIDROLÓGICO CERO?

En primer lugar, su aplicación congela la situación de impermeabilidad actual; en segundo lugar, los caudales pico para escenarios futuros (de proyecto) se reducen, con lo cual, las secciones de las obras necesarias para eliminar manchas de inundación disminuyen; el valor esperado de daños a viviendas y sus contenidos también se reduce y al congelarse

la impermeabilidad actual desciende el riesgo de colapso (u obsolescencia) de obras proyectadas y construidas.

La cantidad de casos presentados durante el período 2001-2016 fueron 784, de los cuales, en 621 de ellos (79%) fue necesario colocar mitigadores del impacto (Comercios, depósitos, edificios de departamentos y oficinas).

El mayor inconveniente presentado por los proyectistas ha sido la captación en paredes laterales de edificios entre medianeras.

Finalmente, se logró la ampliación del radio de aplicación de la Ordenanza al denominado “anillo de densidad media” de la ciudad.

Introducción

El Área Metropolitana del Gran Resistencia (AMGR) es muy vulnerable a lluvias de cierta intensidad, debido a las muy bajas pendientes que dominan el sitio urbano, las cuales en promedio, ascienden al 0,03%.

Las inundaciones que la jaquean presentan distintas particularidades según su origen. Algunos de estos tipos son (Pilar & Depettris, 2000a):

a) Inundaciones provocadas por las crecidas de los grandes ríos de la región: El Paraná y el Paraguay.

b) Inundaciones provocadas por lluvias de cierta intensidad (Por ejemplo, 25 mm en media hora) y debidas a la drástica reducción de la capacidad de almacenamiento de los reservorios naturales, especialmente, las lagunas propias del ambiente en el cual se asentó la ciudad, por relleno de las mismas y ocupación de sus márgenes.

c) Inundaciones originadas por insuficiente capacidad de los conductos de drenaje pluviales.

Los dos segundos tipos de inundaciones se generan en el ámbito de la propia ciudad, son difíciles de resolver con medidas estructurales (obras).

Esas inundaciones, originadas por lluvias y agravadas por la acción del hombre, si bien muestran una duración de apenas pocas horas, producen graves trastornos al normal funcionamiento de una ciudad como

Resistencia y determinan la insuficiencia en la capacidad de los conductos de drenaje pluvial y su frecuente obsolescencia, ya que resulta imposible pretender el control de las inundaciones urbanas aplicando solamente medidas estructurales.

La política de control de las crecidas urbanas, dentro de la concepción de una gestión sustentable del drenaje pluvial, debe plantearse con una visión de conjunto para toda la cuenca, integrando racionalmente

Figura Nº 1

Ubicación geográfica de la ciudad de Resistencia

Fuente: Elaboración propia en base a otras fuentes

las obras con otras medidas preventivas -identificadas como no estructurales- y compatibilizada con el desarrollo urbano.

Los medios de los que dispone el estado municipal para el control de las crecidas son el Plan Director de Drenaje Urbano, el cual permite establecer las líneas principales y los criterios para el diseño y proyecto de la red de drenaje, y la Legislación para lograr el control en la aplicación de sus políticas.

Una gestión sustentable del drenaje urbano y para el control de las crecidas debiera permanecer basada en el principio de que cada usuario urbano no debe ampliar la crecida natural, aplicado desde un simple relleno urbano, hasta la construcción de puentes, autopistas y, fundamentalmente, a toda acción que incremente la impermeabilización.

En ese contexto, surge la necesidad de realizar medidas de control distribuido o denominadas normalmente de control en la fuente, y aplicada a lotes, estacionamientos y espacios verdes como plazas y paseos públicos.

Ubicación

Se presenta la ubicación de la ciudad de Resistencia, relativa al país, provincia y una imagen aérea de su ubicación (Figura Nº 1):

Antecedentes

Las principales medidas que permitirían realizar un control distribuido están conformadas por el aumento de las áreas de infiltración y percolación, tanto a nivel de loteo como de lote, además de acciones relacionadas con promover el almacenamiento temporario en reservorios residenciales o en los techos de las viviendas. En varios de los países donde se ha avanzado en la gestión sustentable de las crecidas urbanas, se han logrado aplicar ese tipo de acciones a través de una legislación apropiada o mediante un programa global de control de inundaciones.

En algunas ciudades de los Estados Unidos, como Seattle (Washington) y Denver (Colorado), o de Brasil, como Porto Alegre (Rio Grande do Sul), uno de los principales criterios adoptados es el de establecer un caudal máximo el cual puede ingresar en el sistema público de drenaje proveniente de los lotes, instalaciones comerciales o industriales. Ese límite corresponde, generalmente, al caudal natural de la unidad habitacional para un tiempo de retorno, el cual es usual considerarlo de diez años y una duración del evento de una hora. Ese caudal es restrictivo y obliga al emprendedor a utilizar dispositivos de control dentro del área de desarrollo para mantener el caudal aguas abajo (Tucci, 2007).

Los tipos de dispositivos que pueden ser utilizados para el control distribuido de las crecidas urbanas son las superficies y/o trincheras de infiltración, las cuencas de percolación, que proponen un almacenamiento sub-superficial, los pavimentos permeables en sitios de circulación de poco tráfico y baja velocidad, o el al-

macenamiento temporal en techos, pequeños reservorios residenciales, estacionamientos, o áreas para prácticas deportivas, entre otros (Urbonas y Stahre, 1993).

Algunos de los mencionados dispositivos presentan condicionantes físicos de significación, que en ciudades tan planas como Resistencia, pueden tornar impracticable su utilización, ya que es recomendable que la profundidad de la capa freática en el período de lluvias sea superior a 1 m, que el estrato impermeable se encuentre a una profundidad mayor a 1 m y que la tasa de infiltración del suelo saturado sea alta. Como dichas condiciones restrictivas, en general, no se dan en la ciudad de Resistencia, los dispositivos de almacenamiento aparecen como los elementos más recomendables para cumplir los fines expuestos.

Queda planteado con claridad, entonces, que para la búsqueda de una solución que permita el control del drenaje pluvial y sea ambientalmente sustentable, es necesario la visión integrada de la infraestructura urbana. En ese contexto, habría que comenzar por la definición de límites a la ocupación del espacio, teniendo en cuenta la preservación de las funciones naturales hidrológicas, como la infiltración y la red natural de drenaje, y para lograrlo, se requiere la generación de una normativa municipal adecuada para regular el uso y ocupación del espacio urbano.

Uso de retardadores (Pilar, A. y Biaín, 2000)

En este trabajo, se analizó la eficiencia de un mecanismo hidráulico que tiene por finalidad retardar el escurrimiento generado por una cubierta plana, muy común en la ciudad de Resistencia, para una tormenta crítica. El esquema del retardador y el hietograma analizados son mostrados en las Figuras Nº 2 y Nº 3.

Figura Nº 2. Esquema del retardador analizado

Los autores simularon el funcionamiento de un dispositivo aplicando uno prismático con salida “estrangulada”, planteando un sencillo modelo de conservación de masa (Chow, Maidment & Mays, 1994; Tucci, 1998): (1)

Siendo:

S: almacenamiento, t: el tiempo,

I (t): el caudal de entrada, función del tiempo y Q (H): el caudal de salida, función de la carga hidráulica “H”.

Expresando la variación del almacenamiento como dS = A * dH, donde A es el área de la sección horizontal del retardador, la ecuación (1) puede ser expresada de la siguiente forma:

(2)

La ecuación diferencial expresada en (2) fue resuelta en forma iterativa, utilizando el método de RungeKutta, con un esquema de tercer orden (Chow, Maidment & Mays, 1994).

El caudal de salida en cada intervalo de simulación fue calculado aplicando la siguiente ecuación:

(3)

Donde “C” es el coeficiente de descarga del conducto de salida, “Ф” su diámetro y “g” la aceleración de la gravedad.

Los autores verificaron el efecto que tendría la construcción de un mecanismo hidráulico de esas características sobre el escurrimiento generado por una cubierta plana de 50 m2 de superficie, con pendiente del 1% hacia una descarga de un caño de 0,10 m de diámetro. El intervalo de tiempo de simulación utilizado fue de tres minutos, por lo tanto, adoptaron la hipótesis de retardo nulo.

Se simularon tres tamaños de superficie del receptáculo: 1 m2, 1,50 m2 y 2 m2, que representan 2, 3 y 4% de la superficie de la cubierta, respectivamente. Además, consideraron dos tamaños para los diámetros de la descarga de un retardador de 1” y 1,50”.

Se presenta una síntesis de los resultados de las simulaciones en la Tabla Nº 1.

* Superficie horizontal del receptáculo, en % del tamaño del techo.

Tabla Nº 1. Resultados de las simulaciones

Como conclusión de ese trabajo, es posible decir que incorporar estructuras hidráulicas retardadoras de escurrimiento en los lotes de la ciudad de Resistencia es viable físicamente (las alturas requeridas fueron inferiores a 0,45 m; con excepción del receptáculo de su-

Figura Nº 3. Hietograma crítico utilizado

perficie de 1 m2 y diámetro de salida 1”, en que la altura alcanzó 0,58 m), con una eficiencia que puede considerarse como muy buena, ya que las reducciones en los picos de los hidrogramas variaron entre 25% y 62,9% (Ver Tabla Nº 1).

Evaluación del uso de patios impermeables deprimidos como retardadores (Cundom & Gutiérrez, 2000)

Planteado como continuación del de Pilar & Biaín, debido a que el patio impermeable deprimido funcionaba como retardador.

Los autores evaluaron el efecto que tendría utilizar un patio de una vivienda como reservorio, del tipo FONAVI, construida en un terreno de 10 m de frente por 20 m de fondo y una construcción de 100 m2. Adoptaron como hipótesis de trabajo que el patio es totalmente impermeable (algo muy común hoy en Resistencia) y que su superficie representa el 50% del tamaño del lote. Utilizaron la misma tormenta crítica adoptada por Pilar & Biaín y al igual que ellos, evaluaron el efecto de utilizar para la descarga del receptáculo diámetros de 1” y 1,50”. Los resultados que obtuvieron están resumidos en la Tabla Nº 2.

Buscando el “Impacto Hidrológico Cero”

Las acciones que pretendan o aborden el control de los efectos de las lluvias de cierta magnitud deberían ser planificadas y encaradas en el contexto de un Plan Director de Drenaje Urbano, incorporando medidas estructurales y no estructurales. En la República Argentina, son muy pocas las ciudades que han formulado sus planes de ordenamiento del drenaje pluvial como herramienta de gestión dentro de un plan de desarrollo urbano.

La Municipalidad de Resistencia, consciente de la imposibilidad de adecuar las estructuras del sistema pluvial urbano cada vez que se producen aumentos de la impermeabilidad, gestionó el apoyo técnico del Departamento de Hidráulica de la Facultad de Ingeniería de la Universidad Nacional del Nordeste (UNNE), y como consecuencia de esta interrelación, surgió la propuesta de desarrollar una norma basada en criterios de urbanización relacionados con el concepto de “Impacto Hidrológico Cero”, la cual data del año 2001.

Dicha norma incorpora dos nuevos indicadores como el FIS (Factor de Impermeabilización del Suelo) y el FIT (Factor de Impermeabilización Total) y la obligación, para todo proyecto nuevo de edificación, de verificar el impacto cero, entendiendo en este concepto “que el pico del caudal generado no se incremente con el aumento de la impermeabilidad del terreno”.

Tabla Nº 2. Síntesis de los resultados del trabajo de Cúndom & Gutiérrez

La contribución de este trabajo fue la demostración de que un patio totalmente impermeable y con una salida estrangulada hacia la red colectora de drenaje pluvial, podría contribuir eficientemente a lograr el “impacto cero”.

Además, las alturas que el agua alcanzaría en ese patio serían de apenas 5 cm, aunque el tiempo de permanencia podría resultar poco tolerable para los moradores de esa vivienda.

Así para el cálculo y la verificación deberán contemplarse varios tópicos metodológicos, como considerar una lluvia crítica, el tiempo de concentración, verificar el Factor de Impermeabilización del Suelo (FIS) y el Factor de Impermeabilización Total (FIT), todos definidos por la normativa, el hietograma que brindará conformación a la lluvia de diseño y los elementos de diseño para el reservorio que fuere necesario adoptar, como por ejemplo, la aplicación de alguna metodología de cálculo capaz de permitir dimensionarlo en función del espacio disponible.

El cálculo del Factor de Impermeabilización del Suelo, en la citada normativa 5.403 de la Municipalidad de la ciudad de Resistencia, ha sido definido como:

y representa el grado de impermeabilización o superficie no absorbente del suelo.

El Factor de Impermeabilización Total se representa como: mostrando el grado de impermeabilización o superficie no absorbente total. Para el cálculo de la superficie total construida se considerará la sumatoria de las superficies cubiertas de cada nivel, lo cual toma en cuenta el efecto de la impermeabilización vertical de los edificios en altura.

La citada ordenanza también establece valores límites a admitir, los cuales no tendrán evaluación hidrológica cuando se cumplan simultáneamente que FIS < 0,70 y FIT < 4 FIS; y se admitirán propuestas de edificación sin evaluación hidrológica, en los casos en que los incrementos de FIS y FIT propuestos no superen el 10% respecto de los FIS y FIT antecedentes.

, ,

Finalmente, tendrán evaluación hidrológica todos los casos que no encuadren en lo establecido en el punto anterior.

Es necesario, luego, determinar el tiempo de concentración para así obtener el lapso en que aporta toda la superficie drenante. Sabiendo que existen varios métodos, uno de los aplicados ha sido la fórmula de la Federal Aviation Agency de los Estados Unidos (FAA), de uso en situaciones similares según:

Figura Nº 4. Curvas Intensidad-Duración-Frecuencia (IDF) de Resistencia, período 1960-2005.

Fuente: Pilar et al, 2007

(4)

Donde: tc es el tiempo de concentración (en minutos), C el coeficiente de escorrentía (adimensional), L la longitud del thalweg (en km) y S es la pendiente del thalweg (en m/m).

Obtener la lluvia crítica es el siguiente paso para lograr cuantificar el volumen a escurrir y el cual se encuentra en función del tiempo de concentración obtenido, el tiempo de recurrencia que para éste tipo de obras es de diez años y luego utilizando las curvas Intensidad-Duración-Frecuencia (I-D-F) de la Administración Provincial del Agua (APA) del Chaco, para el Área Metropolitana del Gran Resistencia (AMGR), las cuales han sido actualizadas según se muestra en la Figura Nº 4.

Para realizar la distribución temporal de la lluvia crítica, se podría adoptar el método de los bloques alternos, con el cual se obtuvo un hietograma parecido al que se muestra en la Figura Nº 5:

Con valores de lluvia crítica, distribución temporal y superficie captadora de excesos se determinó el hidrograma de escurrimiento directo, de la situación antecedente y de la situación con reservorio retardador, resultando algo similar a lo que se presenta en la Figura Nº 6.

Figura Nº 6. Hidrogramas de la situación antecedente, sin obra y con obra

Figura Nº 5

Hietograma tipo de una lluvia crítica (TR = 10 años)

Esto se encuentra relacionado directamente en la determinación del hidrograma de escurrimiento directo, donde se considera que la lluvia incide directamente sobre toda la superficie del terreno. Para evaluar la escorrentía de los paramentos verticales se consideró la situación más desfavorable posible, analizando él o los casos en estudio en su cara de mayor exposición.

Resultados de la aplicación

Han sido evaluados 784 casos de documentación (y construcción) de edificaciones en la ciudad de Resistencia.

La aplicación de la Ordenanza Nº 5.403/01 ha sido de efectiva implementación, siendo que en los primeros seis años fue de menor aplicación y en los últimos años de aplicación a todos los casos.

Así, la cantidad de casos presentados durante el período 2001-2016 fueron 784, de los cuales, en 621 (que representa 79% del total) fue necesario colocar mitigadores del impacto en locales de uso tales como comercios, depósitos, edificios de departamentos y oficinas; y en el 21% restante no fue necesario.

Conclusiones

La puesta en vigencia de la Ordenanza Nº 5.403 (29/05/2001), ha puesto efectivamente en práctica la utilización de los criterios normativos sobre la ocupación del espacio urbano con sentido hidrológico en una región afectada por lluvias frecuentes que provocan inundaciones urbanas. Esta decisión ha tenido una acogida favorable por aquellos actores sociales que tienen marcada influencia en la construcción de la ciudad y en la opinión pública.

La aplicación de esta normativa a lo largo de los quince años de su régimen no pretende solucionar la totalidad del problema de las inundaciones urbanas en Resistencia, sino congelar la situación actual hasta tanto se instrumenten medidas estructurales que permitan reordenar adecuadamente el sistema de desagües. Siendo que la normativa es de aplicación obligatoria en todo el casco céntrico y los edificios en altura, sin restricción de superficie.

En ese sentido, la Municipalidad de la ciudad de Resistencia ha sido pionera en la República Argentina respecto del abordaje de dicho problema, a través de medidas no estructurales tendientes a evitar un crecimiento desmedido de los volúmenes de escurrimiento superficial.

Bibliografía

1. CHOW, V.T., MAIDMENT, D. & MAYS, L. 1994. Hidrología aplicada. Santa Fe de Bogotá: Mc GrawHill.

2. CONSEJO MUNICIPAL DE RESISTENCIA, CHACO. 2001. Ordenanza Nº 5.403. Cuerpo principal y tres Anexos. Resistencia, Chaco.

3. CUNDOM, G., GUTIÉRREZ, G. 2000. Impacto cero en el drenaje pluvial urbano. Trabajo de conclusión. Segundo curso de posgrado en Hidrología Urbana, Facultad de Ingeniería, UNNE.

4. PILAR, A. & BIAÍN, R. 2000. Estudio de la viabilidad técnica de la implantación de retardadores de escurrimiento pluvial en lotes urbanos. En: Tucci, C. E., Goldenfum, J., Depettris, C. & Pilar, J., org., Hidrologia Urbana na Bacia do Prata. Porto Alegre: CAPES-SET

La aplicación de esta ordenanza demuestra que es posible la regulación de la urbanización con criterio hidrológico de bajo impacto.

El mayor inconveniente presentado por los proyectistas ha sido la captación en paredes laterales de edificios entre medianeras a la hora de su materialización.

No obstante, muchos de los constructores lo han resuelto colocado canaletas de guardia, generalmente, a la altura del primer piso, donde la pared medianera “vuelca” los excesos pluviales.

Con la progresiva difusión de esta medida y la real toma de conciencia por parte de los constructores de la ciudad, se logró la ampliación del radio de aplicación de la Ordenanza al denominado “anillo de densidad media”.

Puede decirse que a quince años de la efectivización de la norma, su aceptación permite pensar la forma de atender la problemática del sistema pluvial urbano como una integración apropiada entre lo necesariamente estructural y el conjunto de acciones que denominamos “no estructurales”.

CIP/UFRGS-UNNE.

5. PILAR, J. V. & DEPETTRIS, C. 2000a. Impacto Cero. Resistencia: Diario Norte, edición del 27/02/2000.

6. PILAR, J. et al. 2007. Actualización y análisis de las curvas en el Área Metropolitana del Gran Resistencia (AMGR). Congreso Nacional del Agua 2007. Tucumán, Argentina.

7. URBONAS, B.; STAHRE, P. 1993. Stormwater Best Management Practice and Detection. Prentice Hall. Englewood Cliffs, New Jersey.

8. TUCCI, C. 1998. Modelos hidrológicos. Porto Alegre: Ed. Universidade/UFRGS/ABRH.

9. TUCCI, C. 2007. Gestión de inundaciones urbanas. Ed. Evangraf Ltda. Porto Alegre, Brasil.

Refuncionalización hídrica y ambiental del Lago Soldati, ciudad de Buenos Aires, Argentina

Autor: Ing. Mario Nelson Ferdkin

Email: mferdkin@yahoo.com.ar

Objetivos: Control de crecidas y calidad del agua de un lago regulador. Recuperación de terrenos inundables. Refuncionalización del lago Soldati, para control de crecidas por lluvia y marea meteorológica. Mejoramiento ambiental del lago, zona urbana circundante y accesibilidad.

Metodologia: Control automatizado de ingreso y egreso de aguas del lago, incluyendo la descarga por bombeo según niveles de restitución. Derivación de caudales de tiempo seco de conductos pluviales, evitando la contaminación del lago. Intercepción de las descargas directas al lago de los efluentes domiciliarios de viviendas aledañas, y derivación hacia la red cloacal. Incremento del volumen y profundidad del cuerpo de agua permanente, para su manejo ambiental satisfactorio. Construcción de terraplén de protección contra inundaciones para protección de viviendas y recuperación de tierras, en terrenos inundables del lago. Acciones de mitigación de impactos negativos durante la construcción.

Resultados: Recuperación y potenciación del reservorio para la retención completa de lluvias extraordinarias de la propia subcuenca de aporte, aislándolo de las aguas altas y contaminadas de la restitución. Mejoramiento de la calidad de las aguas y recuperación ambiental del conjunto laguna y barrios perimetrales. Generación de terreno no inundable, para evitar relocalizaciones y para uso recreativo. Generación de un camino

perilago para acceso de servicios de emergencia, ambulancias, bomberos y para la gestión de residuos sólidos. Control de plagas. Recuperación de fauna y flora silvestre.

Introducción

El Lago Soldati fue en su origen un bajo natural, perteneciente al valle de inundación del Riachuelo y de su afluente el arroyo Cildáñez, que luego de sucesivas modificaciones de los cursos mencionados devino en lago temporario que se inundaba con las aguas del arroyo Cildáñez y del Riachuelo, en forma incontrolada, afectando las viviendas y asentamientos a su alrededor: Barrio Los Piletones, Manzanas 9 y 10 y el Barrio Nueva Esperanza, limitados por la Av. Lacarra y Parque Indoamericano. En diferentes épocas existieron obras que trataron de controlarlo, pero fueron continuamente vandalizadas.

En general, la cuenca propia del Lago Soldati abarca una superficie aproximada de 250 ha. La población involucrada es del orden de 50.000 habitantes, de los cuales un gran porcentaje se encuentra sometido a problemas de inundabilidad, con diferentes tipos de vulnerabilidad. Incluyen la población de los barrios Carrillo, Fátima, Los Piletones, Soldati, Calaza, Calacita y demás asentamientos y complejos de la Unidad Territorial de la Comuna 8 Norte.

Hay unos 12.000 habitantes que viven en riesgo de inundación por cercanía al lago y al arroyo Cildañez, y de éstos, unos 5.000 han sufrido problemas de inundaciones en los últimos eventos de tormentas, en las Manzanas 9 y 10 del Bario Los Piletones, y en el asentamiento de Nueva Esperanza.

Acceso inundado a la Manzana 10 desde Los Piletones

Inundación de viviendas en el lago

Afluentes al Lago Soldati

Actualmente, el Lago Soldati recibe descargas pluviales a partir de tres conductos, un Modelo tipo 9, un conducto de Ø 1.600 mm y un conducto de Ø 1.000 mm, cuya cuenca de influencia es, aproximadamente, de 250 hectáreas. La descarga natural del lago es al arroyo Cildañez. A su vez, el arroyo ingresaba a contraflujo cuando las alturas relativas así lo permiten.

El ingreso de las aguas al lago Soldati incluye, además, las descargas clandestinas de efluentes contaminan-

tes, los cuales se mezclan con los caudales de su cuenca propia.

Vinculación de las cuencas

Maldonado y Cildáñez

El Lago Soldati

Las aguas del arroyo Cildáñez invadían el volumen del lago Soldati, inhabilitándolo como regulador de su cuenca propia. Los caudales muy altos del arroyo, reciben el aporte de las cuencas presentadas en la figura

Nº 1.

El arroyo Maldonado ofrece una cuenca extendida en la provincia de Buenos Aires, principalmente en el partido de La Matanza, que aporta sus aguas al actual entubamiento, a través de la Av. Gral. Paz, en su tramo superior.

A poco de su recorrido en la ciudad de Buenos Aires, en la calle Ruiz de los Llanos, existe un vertedero inferior el cual deriva las aguas hacia la cuenca del arroyo Cildáñez, por medio del llamado “Aliviador del arroyo Maldonado”, hasta desaguar finalmente en el Riachuelo (continuación de la Av. Asturias y Av. 27 de Febrero).

El vertedero u orificio inferior mencionado deriva todos los caudales recibidos hasta superar la capacidad máxima del conducto de 5,8 m de diámetro (en el orden de los casi 100 m3/s), momento en el cual pasan las demasías hacia aguas abajo, al emisario principal del Maldonado, quien escurre bajo la Av. Juan B. Justo. Ese Aliviador constituye el trasvase de la cuenca del arroyo Maldonado a la del arroyo Cildáñez.

Objetivos e hipótesis

Los objetivos principales del proyecto consisten en: Mejorar la calidad de vida de la población circundante por medio de aspectos básicos como, regular las crecidas; impedir la entrada al lago de aguas servidas; crear un espejo permanente permitiendo la conservación de la fauna y flora originales de la zona; mejorar

los accesos para servicios y emergencias; y fundamentalmente, transformar el lago en un cuerpo de agua amigable, incluyéndolo como expansión, en la vida cotidiana de sus habitantes.

Los aspectos técnicos que identifican los objetivos de este complejo hídrico ambiental son:

•Impedir la entrada incontrolada, de las aguas contaminadas del arroyo Cildáñez, que inundaban el Lago, con aguas de subcuencas ajenas a la propia.

•Aprovechar el volumen de almacenamiento del Lago del orden de 300.000 m3, para regular las crecidas de la cuenca propia del mismo que trae aguas desde la zona de Av. San Pedrito. Incluyendo entre otros, los Barrios Carrillo, Fátima, Los Piletones, Calaza, Calacita y los asentamientos circundantes ya mencionados de Nueva Esperanza y Manzanas 9 y 10.

•Colectar las aguas de “tiempo seco”, que escurren aún sin lluvia y transportan líquidos contaminados, e impedir su ingreso al lago, mejorando y preservando la calidad ambiental del cuerpo de agua.

•Colectar los efluentes cloacales de cada una de las casas lindantes con descargas directas al lago, enviándolas a la red colectora cloacal.

•Proteger con un terraplén lateral las casas precarias, asentadas en el seno del lago.

•Recuperar 6.000 m2 de terreno de las inundaciones periódicas para su inclusión en el espacio público.

Figura Nº 1

Subcuencas del Arroyo Cildáñez. Ubicación del Proyecto

•Mejorar el acceso alternativo al corazón de los asentamientos, para ser utilizado ante emergencias, mantenimiento y gestión de residuos sólidos.

Obras que integran el proyecto

•Terraplén de Protección, que completa al muro existente en la zona de Manzana 10 y Piletones.

•Camino de servicio perilago y vereda, cuyo nivel de calzada se encuentra a cota 3,00 m y donde se ubican bocas de registro del sistema de saneamiento, permitiendo su mantenimiento, a la vez, de un acceso alternativo a los barrios.

•Colector de líquidos cloacales de cada una de las viviendas linderas, por medio de conexiones domiciliarias “artesanales”, al colector cloacal construido en el perilago, hacia la estación de bombeo cloacal ubicada en el Barrio Los Piletones y con destino final a la impulsión en la Estación Elevadora hacia la Cloaca Máxima del Sistema de saneamiento de AySA.

Las citadas conexiones domiciliarias se realizaron de manera minuciosa, desde cada vivienda que mira hacia el lago y tuvo que contemplar las características propias de los desagües caóticos de los asentamientos existentes (Barrio Nueva Esperanza, Manzana 10, etc.), finalmente, estos efluentes se conducen por el colector cloacal ya mencionado.

Conexiones domiciliarias “artesanales”, colector cloacal

a)Colector de aguas de conductos pluviales de “tiempo seco”. Tiene por objeto desviar, cuando no llueve, las aguas de los pluviales para que no ingresen al lago. Este colector, de 800 mm de PEAD, alimenta la estación de bombeo del Edificio de Control, el cual bombea en caso de aguas altas en la restitución, hacia el arroyo Cildáñez. Pero, en caso de aguas bajas, el sistema de compuertas permite la derivación por gravedad de dichas aguas sin entrar al lago.

Colocación del colector pluvial de caudales de tiempo seco

b)Compuertas de derivación en las entradas de los conductos pluviales del Modelo 9 proveniente del lado este y del tubo de 1.600 mm, proveniente del lado sur, el cual descarga las aguas de la red pluvial del Barrio Los Piletones. Aquí se produce el desvío de las aguas de tiempo seco hacia el colector pluvial de 800 mm, para que éstas no ingresen al lago. Esta obra se complementa con un vertedero extendido en los bordes del canal hacia el lago, de manera de funcionar solo en eventos de lluvias intensas. En ese caso, los caudales mayores ingresan al lago por desborde superando la cota 1,70 m. La cota de coronamiento de dichos vertederos es compatible con el nivel de operación normal del lago en cota 1,70 m IGN.

c)Estación de bombeo para extraer los líquidos de “tiempo seco”, aún cuando las aguas del arroyo Cildáñez, por su sobreelevación eventual, no lo permitan naturalmente, es decir, cuando no puedan evacuarse por “gravedad”. La estación de bombeo posee 2 bombas de motor sumergible con una capacidad instalada de 250 m3/s cada una, conectadas a una tubería de impulsión que ingresa al arroyo Cildáñez en su parte superior, luego de atravesar la calle Asturias Norte.

d)Edificio de compuertas, para evitar el ingreso de aguas externas a la cuenca propia del Lago Soldati, y al mismo tiempo, mantener un espejo de agua permanente, controlando la calidad del cuerpo de agua. Por otra parte, que permitan desaguarlo cuando lo requiera su operación y mantenimiento. Se dispusieron de 4 pares de compuertas planas, lo cual permite -eventualmente- la apertura combinada de cada par en sentido vertical, según el protocolo de operación del Lago, que contempla todas las alternativas de combinaciones de eventos de lluvias intensas de corta duración, de larga duración y eventos de sudestadas.

e)Creación de una isla de preservación de la diversidad biológica del lugar.

f)Operación y mantenimiento del cuerpo de agua, incluyendo una embarcación de bajo calado impulsado con ruedas con aspas, para su limpieza y control de la vegetación, con mayor ocupación durante los meses de primavera y verano.

g)Tareas previas al comienzo de las obras:

•Información y comunicación a la comunidad a través de talleres y reuniones con vecinos de los diferentes barrios.

•Control de plagas por medio de una campaña de desratización, conjuntamente con expertos de la Universidad de Buenos Aires.

•Limpieza de basurales extendidos a lo largo del borde del Lago.

Construcción del Terraplén de protección compactado y confinado con geotextil

Problemas a abordar

El desarrollo del proyecto exigió la solución de problemas en varios frentes:

•Los problemas técnicos estuvieron relacionados con el tipo de cierre y el diseño de la fundación del terraplén de protección. Se adoptó una solución de presa de tierra confinada con geotextil, tanto en su desarrollo del cierre paralelo al muro de hormigón existente en el Lago, como en su traza a través del Lago hasta conectar con el edificio de compuertas de derivación en el acceso del conducto pluvial de 1.600 mm, proveniente del Barrio Los Piletones.

Construcción de camino y vereda

Colocación de revestimiento de protección de geoceldas

Vista durante la construcción

•Desde el comienzo, en su encuentro con el muro existente, su traza se despega manteniéndose alejada unos 7 m de las viviendas construidas directamente sobre el terreno del Lago, debido a la precariedad de dichas construcciones y para no alterar las condiciones de borde de las mismas, evitando de esta manera, una interacción de mayor complejidad con los vecinos colindantes. Igualmente, algunas familias cuyas viviendas se encontraban en estado de mayor precariedad, fueron reubicadas dentro del Programa de Relocalizacion de la Corporación Buenos Aires Sur (GCBA).

Precariedad de las construcciones existentes fundadas directamente en el Lago

Reunión vecinal de información

Construcción del terraplén de protección

Fundación del muro existente

Construcción de terraplén

Modelo 9, conducto pluvial que atraviesa el barrio Nueva Esperanza para desaguar en el Lago Soldati. Se puede apreciar el vertedero de demasías extendido a ambos lados del canal de salida.

Construcción del terraplén de protección

Los revestimientos flexibles de protección de taludes, debieron adaptarse a las condiciones de estabilidad asociadas a los terraplenes, y al mismo tiempo, cumplir con los requerimientos sanitarios, como el hecho de evitar la proliferación de lugares de anidación de roedores.

El programa de avance de obra se adaptó continuamente a las condiciones naturales impuestas por los eventos de lluvia y sudestada y a la alternancia del uso propio del Lago como receptor de las aguas de zonas circundantes. Así también como al programa de control de plagas, porque la limpieza de áreas sometidas a movimientos de suelos podía implicar una mayor actividad de los roedores en los barrios periféricos.

En cuanto al control de plagas, las tareas de limpieza y desmalezamiento, así como al inicio de las excavaciones, fueron supeditadas al cronograma de eliminación de roedores peligrosos.

En lo relativo a los aspectos sociales, la interacción con los vecinos se realizó en forma continua, siendo canalizada a través de un Programa de Comunicación, sobre la base de reuniones sistemáticas con las diferentes agrupaciones por barrio.

La colaboración espontánea de la gente ante la evidencia del mejoramiento del hábitat, se fue notando a medida que avanzaban los trabajos, y más aún, cuando lo funcional ante los eventos de lluvia y lo habitacional se combinaron en los hechos.

Metodología empleada

Para el cálculo de los diferentes componentes del Sistema Hídrico del Lago Soldati se utilizaron los siguientes criterios:

•Niveles de agua por sudestada, según registros históricos del Mareógrafo del Riachuelo y de Palermo y sus correlaciones realizadas por los Planes Maestros de la Ciudad de Buenos Aires y ACUMAR. Sobre la misma base, se tomaron los valores de agua máxima registrados en eventos extraordinarios de lluvias de larga duración, como las ocurridas en octubre de 2014, alcanzadas por la influencia de lluvias generalizadas en toda la cuenca del arroyo Cildáñez y la más abarcativa del río Matanza-Riachuelo.

•Para los caudales de entrada en los conductos afluentes al Lago se consideraron análisis simplificados con modelación SWMM (EPA storm water management model), con lluvias intensas de recurrencia Tr = 10 años, y tomando los trabajos realizados por el Programa de Gestión del Riesgo Hídrico de la Ciudad de Buenos Aires, actualizados con el registro de lluvias al año 2012, como válida referencia.

•Los caudales de tiempo seco, se adoptaron como el caudal del primer “flash”, tomando una duración en el hidrograma de pocos minutos desde el inicio de la lluvia. Se midieron los caudales con aforos “in situ”, a fin de determinar caudales ordinarios. Finalmente, se adoptó un caudal del orden de los 400 l/s, a satisfacer con una potencia instalada en casa de bombas de 500 l/s.

•Para el terraplén de protección, se adoptó una cota de coronamiento de 4,10 m IGN, compatible con la cota de coronamiento del muro existente, de manera de unificar, en forma consistente, el riesgo del

Corte transversal del terraplén, camino, conducto pluvial y cloacal

sistema. Además, compatible también con los valores máximos históricos de sudestadas, en el orden de 3.90 m IGN. Se adoptó un perfil de taludes extendidos y sección confinada con geotextil, a fin de evitar la migración de partículas de suelo, cuando ocurran las secuencias esperadas de aguas altas y bajas en relativamente poco tiempo. Se confeccionó una red de filtración sobre la base de la ecuación de Chèzy (v =k x i; dónde v es la velocidad del escurrimiento del agua en el suelo, k el coeficiente de permeabilidad e i el gradiente hidráulico), para tener lapsos de referencia para el tiempo de traslado de los niveles de agua entre el Lago y sus alrededores, más su compatibilidad con los tiempos de desembalse. El mantenimiento del nivel del lago en cotas bajas, conviene al control de la capa freática circundante. La fluctuación esporádica de los niveles del Lago hacia arriba, no inciden significativamente en el nivel medio de la freática.

Actividades o etapas desarrolladas

El trabajo de planificación, diseño y construcción del proyecto de Refuncionalización del Lago Soldati, debió

cumplir un programa signado por los aspectos sociales. La dificultad de los primeros relevamientos dentro del lago, como en el interior de los barrios, en gran parte con pasillos estrechos, para lograr un esquema de sistema existente de desagües pluviales, cloacales, de agua, de disposición de los residuos sólidos de los accesos, etc. se fue allanando a medida que avanzaban las reuniones de comunicación sobre las futuras obras.

Fue así que la primera tarea radicó en el abordaje social en el territorio. Los estudios básicos para el proyecto se iniciaron casi a la par. Luego, comenzó el programa estricto de control de plagas, que permitió liberar zonas de trabajo.

Resultados obtenidos

El proyecto se encuentra concluido y en operación. Sus resultados pueden verse a la vista.

Proyecto construido en operación

•El edificio de control, por medio de compuertas, impide el ingreso de las aguas provenientes del arroyo Cildáñez, admitiendo solo la salida por gravedad hacia el mismo, liberando el volumen completo de almacenamiento del lago para las aguas de lluvia de la cuenca propia del Lago. El comportamiento durante las lluvias intensas desde fines del año 2015 hasta el presente, permitió mantener las cotas del cuerpo de agua por debajo del nivel +3,00 IGN previsto para el camino de servicio del perilago.

•Se han eliminado las descargas cloacales directas al lago.

•La calidad del cuerpo de agua del lago ha mejorado substancialmente, a punto tal de considerarse apto para la recreación sin contacto directo.

•Los basurales internos desaparecieron y se puede realizar una gestión de residuos sistemática.

•Los terrenos recuperados conforman una expansión del espacio público de los barrios linderos.

•La vida silvestre se ha recuperado.

Conclusiones y recomendaciones

El tratamiento de refuncionalización de un cuerpo de agua como el Lago Soldati, permite conformar una metodología apta, a tomar en cuenta para enfrentar la solución de otros bajíos urbanos comprometidos por la contaminación, el riesgo hídrico de inundación, la necesidad de recuperación de tierras aptas para el espacio urbano, problemas de accesibilidad, imposibilidad de relocalización de viviendas.

En general, una metodología para transformar un hábitat degradado en un lugar amigable e integrador. En las ciudades y conglomerados urbanos de nuestro país, existen cantidad de situaciones similares en donde pueden aplicarse los pasos seguidos en el presente trabajo.

La gestión combinada de intervención de los distintos organismos de la ciudad y de la comunidad, conformó un factor fundamental para conseguir el objetivo de transformación del Lago Soldati en un lugar útil y ambientalmente amigable.

Bibliografía

1. Monitoreo de Laguna Av. Castañares y Asturias, CABA, R. C. Año 2015.

2. Diseño de Pequeñas Presas. US Bureau of Reclamation. Año 1995.

3. Design of urban runoff quality controls. ASCE. Año 1988.

4. Rainwater catchment for future generations. Proceedings of 5th. Conference on Rain Water Cistern Systems. Año 1991.

5. Plan de Gestión Ambiental y Manejo de la Cuenca

Hídrica Matanza-Riachuelo, Inconas, CowiConsult, Engevix. Año 1995.

6. Programa de Gestión del Riesgo Hídrico de la Ciudad de Buenos Aires. DHI. Serman y Asociados. Estudio Hidrodinámico del Riachuelo. Año 2012.

7. SWMM (EPA: Storm Water Management Model). US EPA. Año 2015.

8. Plan Director de Ordenamiento Hidráulico y Control de las Inundaciones de la Ciudad de Buenos Aires. Halcrow-Harza-Iatasa-Latinoconcult. Año 2006.

9. Mike Urban. Modelo Hidrodinámico. Danish Hydraulics Institute (DHI). Año 2015.

BIBLIOGRAFÍA Y FUENTES DOCUMENTALES

Se ha respetado el estilo de mención bibliográfica realizado por cada uno de los autores y plasmado en los trabajos originalmente presentados.

MÓDULO I: SUSTENTABILIDAD EN LAS CIUDADES

“Daylighting”: Enseñanzas de la recuperación de un arroyo entubado en Seúl

[1] Kee, Yeon Hwang (2004). “Restoring Cheonggyecheon stream in the Downtown Seoul”, Seoul Development Institute.

[2] Lee, In-Keun (2006). “Cheong Gye Cheon Restoration Project”, Seoul Metropolitan Government.

[3] Park, Kil-Dong (2007) “Cheongyecheon Restoration Project”, Seoul Metropolitan Government.

[4] Seoul Metropolitan Government (2005). “Back to a future Seoul: Cheong Gye Cheon Restoration Project”.

[5] Sitio web de “Seoul Metropolitan Facilities Management Corporation”: http://www.sisul.or.kr/grobal/cheonggye/eng/WebContent/index.html

[6] Web landscapeperformance.com, "Cheonggyecheon Stream Restoration Project": http://landscapeperformance.org/case-study-briefs/cheonggyecheon-stream-restoration

[7] Web landarchs.com, "10 reasons why cities should daylight rivers": http://landarchs.com/10-reasonswhy-cities-should-daylight-rivers/

[8] Blog Urban Design Militia, "As water should flow": https://urbandesignmilitia.wordpress.com/

[9] National Park Service. "Giving new life to streams in rural city centers": https://www.nps.gov/ncrc/ rivers/projpg/DAYLIGHT.PDF

Implementación de dispositivos tendientes al impacto hidrológico cero

[1] AGRA, S, "Estudo experimental para microrreservatórios para controle do escoamento superficial",

Brasil (2001).

[2] LEOPOLD, LUNA "Hydrology for urban land planning - A guidebook on hydrologic effects on urban land use", Geological Service (U.S.A.), EEUU (1968).

[3] MAYS, L, “Urban Stormwater Management Tools, EEUU (2004).

[4] MELTON SHIRE COUNCIL, “Guidelines for onsite stormwater detention”, Melton, Inglaterra (2009).

[5] NICHOLAS, D, “On-site stormwater detention: improved implementation techniques for runoff quantity and quality management in Sydney”, Australia (1995).

[6] PILAR - BIAIN “Estudio de la Viabilidad Técnica de la Implantación de Retardadores de Escurrimiento Pluvial en Lotes Urbanos”, Argentina (1999).

[7] SECCHI, A., MAZZÓN R, “Nuevas tecnologías para contribuir a la solución de inundaciones en grandes Ciudades”, Instituto Nacional del Agua, Centro Regional Litoral, Argentina (2000).

[8] SINGAPORE’S NATIONAL WATER AGENCY “On-site stormwater detention tank systems, Technical Guide”, Singapur (2015).

[9] SOARES CRUZ - TUCCI - DA SILVEIRA, “Controle do escoamento com lotes de detenção em lotes urbanos”, Brasil (1998).

[10] TUCCI - BERTONI "Inundações urbanas na América do Sul", Brasil (2003).

[11] TUCCI, C. "Gestión de Inundaciones Urbanas", Brasil (2007).

[12] URBONAS B, STAHRE P, “Stormwater best management practices and detention for water quality, drainage”, EEUU (1993).

La sostenibilidad ambiental y los conflictos que intervienen y afectan la generación y ejecución de proyectos urbanos

Caparellli, Mario Augusto, El Proceso de Evaluación de Impacto Ambiental, Ed. Centro Norte, San Isi-

dro, Buenos Aires, 2010, pp. 77/79.

Pinto Mauricio y Martín Libe, Directores, La Evaluación de Impacto Ambiental y su régimen jurídico, Ed. Lajouane, Buenos Aires, p. 217.

Daniele, Claudio L., Aportes para la elaboración del Anteproyecto de Código Ambiental para la CABA. Los Procedimientos de Evaluación Ambiental Estratégica y Evaluación de Impacto Ambiental, Buenos Aires, 2007, p. 10.

Evaluación de Impacto Ambiental Estratégica, Una Guía de Buenas Prácticas en la cooperación para el Desarrollo, Directrices y obras de referencia del CAD, OCDE, 2007.

Rinaldi, Gustavo, La evaluación ambiental estratégica, Buenos Aires, 2.011.

Godet, M. (2000). La caja de herramientas de la prospectiva estratégica.

Gómez Orea, D. 2007. Evaluación Ambiental Estratégica. Editorial Mundi Prensa. Madrid.

La gestión de datos como proceso de toma de decisiones. Revista Litorales.

De la demostración experta al diálogo participativo, en Revista Iberoamericana de Ciencia, Tecnología y Sociedad, CTS, Nº 8, Vol. 3, p. 97 a 113. Buenos Aires: Centro de Estudios sobre Ciencia, Desarrollo y Educación Superior.

El Desarrollo Sostenible: Una ecuación para construir conocimiento, DELOS: Desarrollo Local Sostenible. Una revista académica. Vol. 1, Nº 0 (octubre 2007), Red Académica Iberoamericana Local - Global eumednet, Universidad de Málaga. Iglesias, Alicia N. y Jorge Gustavo Roco (2007).

Desafíos de la sustentabilidad del desarrollo. Estrategias de manejo del riesgo ambiental. Revista Universitaria de Geografía. Vol. 16 Nº 1. Departamento de Geografía y Turismo, Universidad Nacional del Sur. Bahía Blanca.

Alicia N. Iglesias y Adriana N. Martínez (compilación) (2008), Desarrollo territorial sostenible. Instrumentos participativos para la acción. 1a edición., 432 p., Buenos Aires: EDUCO Universidad Nacional del Comahue. Laca Arocena, Francisco Augusto (2012).

Racionalidad limitada y gestión de riesgos en la sociedad del riesgo global, en RIPS: Revista de Investi-

gaciones Políticas y Sociológicas, Vol. 11, Nº 1, p 105 a 118. Universidad de Santiago de Compostela. Lucchetti, María Cristina (2010).

Subsuelo y sustentabilidad urbana: Desafíos y oportunidades en Santiago de Chile

1. Bélanger Pierre. “Underground Urbanization“. Advances in Underground Space Development. Zhou, Cai, Sterling Editores. ACUUS. 2013. Singapore.

2. Lim Eng Hwee and Hoo Richard. “Exploiting the potential of Underground space in Cities“. Advances in Underground Space Development. Zhou, Cai, Sterling Editores. ACUUS. 2013. Singapore.

3. Schmidt Francisco. “El Subsuelo, elemento estratégico para una planificación urbana sustentable“. Memorias del IV Congreso Mexicano de Ingeniería de Túneles y Obras Subterráneas. AMITOS. 2014. México, D.F. México.

4. Schmidt Francisco. “Desafíos y Oportunidades en la Ocupación del Subsuelo”. Revista Obras Subterráneas. Amitos Nº 6. 2014. México, D.F. México.

5. Schmidt Francisco. “The Las Condes Underground Center in Santiago”. Advances in Underground Space Development . Zhou, Cai, Sterling Editores, ACUUS, 2013. Singapore.

6. Schmidt Francisco. “Underground and new Central Areas”. World Tunnel Congress ITA AITES editors. 2012. Bangkok, Thailandia.

7. Sterling Raymond and Nelson Priscilla. “City Resiliency and Underground Space Use“. Advances in Underground Space Development. Zhou, Cai, Sterling Editores. ACUUS. 2013. Singapore.

8. Vähaälo Ilkka. “0-Land Use: Underground resources and Masterplan in Helsinki“. Advances in Underground Space Development. Zhou, Cai, Sterling Editores. ACUUS. 2013. Singapore.

Principios de sustentabilidad en la planificación de ciudades

1. Calvino, Italo. Las ciudades invisibles. México. Ediciones Minotauro. Año 1995.

2. Carta Encíclica Laudato Si. Santo Padre Francisco.

Ciudad del Vaticano. Año 2015.

3. Cuervo González, Luis Mauricio. Pensar el territorio: Los conceptos de ciudad global y región en sus orígenes y evolución. Instituto Latinoamericano y del Caribe de Planificación Económica y Social (ILPES), Serie Gestión Pública Nº 40. Año 2003.

4. Cuervo, Luis Mauricio. Globalización y Territorio. CEPAL, ILPES. Año 2006.

5. Gallopín, Gilberto. Sostenibilidad y Desarrollo Sostenible: Un enfoque sistémico. CEPAL. Año 2003.

6. Heidegger, Martín. Conferencias y artículos. Barcelona. Oidós. Año 1999.

7. Pérez Negrete, Margarita. Las metrópolis latinoamericanas en la red mundial de ciudades: ¿Megaciudades o ciudades globales? Revista Memoria Nº 156. México. Año 2002.

8. Sassen, Saskia. Territorio, Autoridad y Derechos. Madrid. Katz Editores. Primera edición. Año 2010.

9. Sassen, Saskia. La ciudad global: Nueva York, Londres, Tokio. Buenos Aires. EUDEBA. Año 1999.

MÓDULO II: TRANSPORTE, VIVIENDA Y DESARROLLO URBANO

Evaluación del Impacto Acústico por incremento de la velocidad de circulación en la Avenida Del Libertador de la ciudad de Buenos Aires

Department of Transport Welsh Office (1998). Calculation of Road Traffic Noise. London, Her Majesty’s Stationary Office.

http://www.noiseni.co.uk/calculation_of_road_traffic_noise.pdf.

DIN 18005-2:1991-09, Noise abatement in town planning; noise maps; graphical representation of noise pollution.

EU Directive 2002/49/EC of the European parliament and the Council of 25 June 2002, relating to the assessment and management of environmental noise. Official Journal of the European Communities L 189/12, 2002.

Federal Highway Administration. FHWA Traffic Noise Model (TNM) Version 3.0.

https://www.fhwa.dot.gov/environment/noise/traf-

fic_noise_model/tnm_v30/ Google Maps. http://maps.google.ar/ Herramienta Web de mapas de ruido mediante Google Map.

ISO 9613-1:1993 - Acoustics Attenuation of sound during propagation outdoors, Part 1: Calculation of the absorption of sound by the atmosphere.

ISO 9613-2:1996 - Acoustics Attenuation of sound during propagation outdoors, Part 2: General method of calculation.

NF S 31-085 - Caractérisation et mesurage du bruit dû au trafic routier.

Sound Plan. Manual del usuario de Soundplan 2016.

Atributos del tranvía

1. Alcalde Fernández, Oliver: La Nueva era del Tranvía como modo de transporte: ¿Necesidad o moda? Infraestructura del Transport i del Territori (ITT), Universitat Politécnica de Catalunya.

2. Andrés Hilarión, Helena: Criterios de trazado para la inserción urbana del tranvía, Universitat Politécnica de Catalunya.

3. Bustos, Miguel: Los innovadores tranvías sin catenaria. https://www.trenvista.net/

4. Cascajo Jiménez, Rocío. Tesis doctoral: Metodología de evaluación de efectos económicos, sociales y ambientales de proyectos de transporte guiado en ciudades. Universidad Politécnica de Madrid.

5. Dulac, John: Global land transport infrastructure requirements. Estimating road and railway infrastructure capacity and costs to 2050. Information paper 2013.

6. Fulton, Lewis et. Al: How can cities meet tomorrow’s transit needs? Review a study by researchers at University of California Davis and the Institute for Transportation Development and Policy Revista IRJ, Diciembre de 2015.

7. Galindo, Mariano: Huella De Carbono Nula: Copenhague 2025. Artículo de Arquitectura Sostenible del blog Ecoesmás. Julio de 2014.

8. Rueda, Salvador: El urbanismo ecológico: Un nuevo urbanismo para abordar los retos de la sociedad actual. La Supermanzana. Así es la propuesta del urbanismo ecológico. Revista Ciudad Sostenible.

9. Swanson, John et al. State of the Art in Light Rail Alternative Power Supplies Prepared for: APTA / TRB 2015 Light Rail. Interfleet Technology Inc. 2015.

10. Artículo “Using accessible stops” de la página Web www.yarratrams.com.au

11. Noticia: “Prohíben que circulen colectivos por el casco histórico de la Ciudad”. http://edant.clarin. com/diario/2002/12/12/s-02615.htm

Planificación de infraestructura de servicios para el desarrollo de una zona logística y tecnológica. Emplazamiento: Provincia de San Luis en las inmediaciones de su aeropuerto

1. Kasarda, J. D. (2014). Aerotrópolis. The University of North Carolina at Chapel Hill/Entry to the Wiley-Blackwell Encyclopedia of Urban and Regional Studies.

2. Silvio Baró Herrera. (2015). Globalización y desarrollo mundial.

3. Universidad de La Punta, San Luis. Contenidos digitales. Tomado el 18 de Agosto de 2016. http://contenidosdigitales.ulp.edu.ar/exe/geografia_de_san_luis/el_corredor_biocenico_y_el_turismo.html

4. Secretaría de Política Económica y Planificación del Desarrollo, Subsecretaría de Planificación Económica, Dirección Nacional de Planificación Regional, Argentina. (2015). Ficha de la Provincia de San Luis.

5. http://www.buenosaires.gob.ar/desarrollourbano/ manualdedisenourbano.

6. San Luis Agua, Sociedad del Estado. Plan Maestro del agua 2012-2025 (2012). Provincia de San Luis, República Argentina.

7. BY J.F. (2013) The Economist explains. What is an aerotropolis? Atlanta, United States. http://www.economist.com/blogs/economist-explains/2013/12/economist-explains.

Agua Potable, un recurso vital y escaso: Sistemas duales para su distribución sustentable

1. Branchesi, Rodrigo, Cimarelli, Adriano, Mangiantini, Fernando (2016). Doble red de agua en la lo-

calidad de Arequito, Santa Fe. Proyecto Final de Carrera. Cátedra de Proyecto IV. Escuela de Ingeniería Civil. FCEIA-UNR. 25/01/2016.

2. Cichitti, Sergio. (2015) Comunicación personal. Dirección de Hidrología y Saneamiento SPAR Servicio Provincial de Agua Potable y Saneamiento Rural. Provincia de Buenos Aires.

3. Cidad Vila, Ernesto (2010). Estudio comparativo entre la red simple de distribución de agua potable y la doble red. Universidad Politécnica de Valencia.

4. ENOHSA (1999). Ente Nacional de Obras Hídricas de Saneamiento. Guías para la presentación de proyectos de agua potable. Buenos Aires. Argentina.

5. ENRESS (2016). Ente Regulador de Servicios Sanitarios de la Provincia de Santa Fe. Resoluciones Nº 0213/99, Nº 0477/00, Nº 0385/02, Nº 895/05, Nº 171/06. (www.enress.gov.ar).

6. Estevan Estevan, Antonio (2001) ¿Un solo grifo? ¿Una sola agua? Una cita europea con la nueva cultural del agua: La directiva marco: Perspectivas en Portugal y España: II Congreso Ibérico sobre Planificación y Gestión de Aguas, 2001.Páginas 93 a 104.

7. Gobierno de Santa Fe (2016). Agua potable: El Sistema de los Grandes Acueductos. https://www.santafe.gob.ar/index.php/web/content/view/full/120719/%28subtema%29/93824

8. Luciano, F. y Pacini V. (2015). “Sustentabilidad en los sistemas de distribución de agua”. XXIII JORNADAS DE JÓVENES INVESTIGADORES: Ciencia, Tecnología e Innovación para la Inclusión Social. AUGM. (Editorial UNLP Buenos Aires, Argentina). Octubre 2015.

9. Moreno López (2004). Sistema inteligente de aprovisionamiento de agua potable y corriente en condiciones hidrogeológicas limitadas (Caso San Guillermo, Argentina). Biblioteca digital Ciudades para un Futuro Sostenible. Escuela Técnica Superior de Arquitectura, Universidad Politécnica de Madrid.

10. Mujeriego, Rafael (2005). La reutilización, la regulación y la desalación de agua. Ingeniería y Territorio, Nº 72. ISSN: 1695-9647. Colegio de Ingenieros de Caminos, Canales y Puertos. Madrid.

www.ciccp.es/revistait/

11. Municipalidad de Rafaela (2006). Boletín Oficial 03, Ordenanza Nº 3.893, Marzo 2006.

12. Municipalidad de Venado Tuerto (2012), Ordenanza Nº 4.089/12.

13. OMS (2015). http://www.who.int/water_sanitation_health/mdg1/es/

14. SPAR (2015) Servicio Provincial de Agua Potable y Saneamiento Rural. Provincia de Buenos Aires. http://www.spar.gba.gov.ar/plan.htm.

Análisis del fenómeno urbano para ciudades medias

1. Bairoch 1990. De Jericó a México, historia de la urbanización. Editorial Trillas ISBN 98-24-3026-7.

2. Bazant 2003. Manual de Diseño urbano. Editorial Trillas. ISBN 968-24-6705-5.

3. Benévolo 1979. Diseño de la ciudad – 1. Editorial Gustavo Gili SA. Barcelona. S/N ISBN. Página 248. Volumen Uno de Cinco.

4. Bunge 2001. Diccionario de Filosofía. Primera edición 2001. Editorial Siglo Veintiuno. México. Cuarta edición en español 2007, ISBN 978-96823-2276-1.

5. Cámara de Diputados LGAH 2010. Honorable Congreso de la Unión, El Congreso de los Estados Unidos Mexicanos decreta: Nueva Ley de Asentamientos Humanos 2010, 21 de julio de 1993, Última Reforma DOF 09-04-2012.

6. Descartes 1637. Discurso del Método. Primera edición 1637. Francisco Larroyo Editorial Porrúa SA. México 1981, ISBN 968-432-286-0.

7. García 2006. Sistemas Complejos, Conceptos, método y fundamentación epistemológica de investigación interdisciplinaria, Editorial GEDISA SA. Primera Edición 2006. Barcelona. ISBN 94-9784164-6.

8. Gobierno del Estado de Coahuila 1994. Reglamento de Construcciones para el Estado de Coahuila de Zaragoza. Publicado en el periódico oficial el 30 de junio de 1994.

9. Koolhaas 1997. La ciudad genérica. Editorial, Gustavo Gili SL. Barcelona. España. 2006, primera edición, Quinta Tirada 2008, ISBN 978-84-252-2052-4.

10. Lynch 1980. Planificación del sitio. Editorial Gustavo Gili SA. ISBN. 84-252-0996-X. Página 325.

11.Méndez 1941. Humanistas del siglo XVIII. Editorial Universidad Autónoma de México, Número 24. Sin ISBN.

12. Morín 1990.Introducción al pensamiento complejo. Editorial Gedisa, 1990, Novena Reimpresión 2007, Barcelona, ISBN: 978-84-7432-518-8, depósito legal: B. 15.847-2008, Página 167.

13. Román 2009. Reseña crítica de la epistemología. Editorial Universidad Autónoma de Chapingo, México. Primera edición. ISBN 978-607-12-0105-8.

14. SAHOP 1978. Glosario de términos, Gobierno de México, Secretaria de Asentamientos Humanos y Obras Públicas. Sin ISBN.

15. Steiner 1978. Heidegger. Editorial Fondo de Cultura Económica, Barcelona, Primera edición 1978, Segunda edición en español 1999, Primera Reimpresión 2001, ISBN 968-16-1373-2.

16. Vasconcelos 2009. Manual de Filosofía. Editorial Trillas. Biblioteca José Vasconcelos. México. ISBN 978-607-17-0177-0.

Pavimentos urbanos sustentables: Modelo de catalogación para la gestión preventiva y correctiva

[1] Organización para las Naciones Unidas (2012). La Sostenibilidad del Desarrollo a 20 Años de la Cumbre para la Tierra. Avances, brechas y lineamientos estratégicos para América Latina y el Caribe. Documento Río + 20. Conferencia de las Naciones Unidas sobre el Desarrollo Sostenible, Chile.

[2] RIEZNIK LAMANA, N.; HERNÁNDEZ AJA, A. (2005) Análisis del ciclo de vida. Ciudades para un Futuro más Sostenible. Madrid, España. Disponible en: http://habitat.aq.upm.es/temas/a-analisisciclo-vida.html. [Fecha de acceso: 08/08/2016].

[3] HARVEY, J.; MEIJER, J.; OZER, H.; AL-QADI, I.; SABOORI, A.; KENDALL, A. (2016) Pavement Life Cycle Assessment Framework. Informe Nº FHWA-HIF-16-014. Federal Highway Administration. Washington, Estados Unidos. Disponible en: http://www.fhwa.dot.gov/pavement/sustainability/hif16014.pdf [Fecha de acceso: 08/08/2016].

[4] VÁZQUEZ ESPI, M. (2001). Construcción e impacto sobre el ambiente: El caso de la tierra y otros materiales. Informe de la construcción. Volumen 58, Nº 471. Madrid. España.

[5] GARCÍA, A.; MAZZEO, J.; RUIZ, L.; MARTÍNEZ, G. (2014). Componentes Premoldeados Articulados Ecológicos. Mejora de la Accesibilidad en Áreas Urbanas del Entorno Costero. Mención especial Capítulo: Sostenibilidad de los Territorios Urbanos y Rurales. Exposición y publicación. Congreso de Ingeniería 2014. Latinoamérica y Caribe. Centro Argentino de Ingenieros (CAI). Buenos Aires. Argentina.

[6] DEPARTAMENTO TÉCNICO, INSTITUTO DEL CEMENTO PORTLAND (2014). Pavimentos Urbanos de Hormigón en Argentina. Disponible en: http://www.icpa.org.ar/publico/files/articulos-tecnicos/2014-04-Pavimentos-Urbanos.pdf [Fecha acceso: 08/08/2016].

[7] BRUNATTI, C., FERNANDEZ LUCO, L. (2011). El pavimento de Hormigón. Un camino sustentable. Memorias IV Congreso Internacional, 18º Reunión Técnica "Ing. Cleto Agosti", Asociación Argentina de Tecnología del Hormigón. Editores: O. Cabrera, J. Sota. ISBN: 978-987-21660-4-5. Mar del Plata, Provincia de Buenos Aires. Argentina.

[8] TRAVERSA, L.; DI MAIO, A.; SOTA, J. (2011). Metodología de evaluación de patologías en estructuras de hormigón armado. Revista Hormigón Nº 49. Asociación Argentina de Tecnología del Hormigón. Buenos Aires. Argentina.

[9] GIOVAMBATTISTA, A. (2011). Hormigón. Materiales, vida útil y criterios de conformidad y su consideración en el Reglamento CIRSOC 201-2005. 1º Edición. ISBN 978-950-532-153-7. Instituto Nacional de Tecnología Industrial. Buenos Aires. Argentina.

[10] MALDONADO, G.; CARRASCO, M. (Editoras) (2012). Ese Material llamado Hormigón. Asociación Argentina de Tecnología del Hormigón. Buenos Aires. Argentina.

MÓDULO III: RECURSOS HÍDRICOS E INUNDACIONES

El Desarrollo Urbano Actual y las Pautas de Diseño de los Desagües Pluviales en el Sur de la Provincia de Santa Fe, Argentina

1. Ley Provincial Nº 11.730, Bienes en Áreas Inundables, provincia de Santa Fe, 2000.

2. Ley Provincial Nº 13.246, Estabilización de los Aportes de la Cuenca del Arroyo Ludueña, provincia de Santa Fe, 2012.

3. Centro de Documentación, Ministerio de Infraestructura y Transporte, Gobierno de la provincia de Santa Fe.

El desarrollo urbano y el incremento del riesgo de inundación en la ciudad de Gualeguaychú

1. Bertoni J. C.; S. Ambrosino; Barbeito O.; Daniele A.; Maza J. A.; Paoli C. U. y Serra J. J. (2004). "Inundaciones urbanas en Argentina". Universidad Nacional de Córdoba, Córdoba, Argentina. Capítulo 10, pp. 235-239.

2. Caamaño Nelli G.; R. M. Rodríguez; L. Colladon y M. Dasso (2006). “Márgenes inundables de interés legal. Caracterización para la provincia de Córdoba”, en I Congreso Internacional sobre Gestión y Tratamiento Integral del Agua. Fundación ProDTI (España) FCA-UNC. Córdoba, Argentina.

3. Chow Ven Te (2004). “Hidráulica de canales abiertos”, Cap. 10, pp. 270-276. Ed. Mc Graw Hill Interamericana S.A. Bogotá, Colombia.

4. Domé J. V.; Sato R. A. y otros (2014). “Proyecto del Nuevo Puente sobre el río Gualeguaychú, entre Gualeguaychú y Pueblo General Belgrano”. Convenio entre el Consejo Federal de Inversiones e INCOCIV. Centro de documentación del CFI.

5. Escuder I.; E. Matheu y J. Castillo (2010). “Análisis y evaluación de riesgos de inundación: estimación del impacto de medidas estructurales y no estructurales”, en Jornada CICCPV, Universidad Politécnica de Valencia, España.

6. Hass C. A. (1995). "Inundaciones en áreas urbanas e impacto social. El caso de la ciudad de Luján, Bue-

nos Aires, Argentina". Anales de Geografía de la Universidad Complutense, Nº 15, pp. 393-399. Publicaciones Universidad Complutense. Madrid, España.

7. Herzer H. y otros (2003). "El manejo de cuencas y su impacto en áreas urbanas: El caso de la llanura pampeana argentina”. III Congreso Latinoamericano de manejo de cuencas hidrográficas. INRENA & FAO. Arequipa, Perú.

8. Narváez, L. y otros, (2009). “La Gestión del Riesgo de Desastres: Un enfoque basado en procesos”. Comunidad Andina, Lima, Perú.

9. Sato R., Mihura E. y otros, 2014. “Las obras de intervención sobre la planicie de inundación del Paraná y el desarrollo urbano del área de Santa Fe”. Segundo Congreso Internacional de Hidrología de Llanuras, Facultad de Ingeniería y Ciencias Hídricas de la Universidad Nacional del Litoral, Santa Fe.

10. Tucci C. E. (2007). "Gestión de inundaciones urbanas". Evangraf Ltda., Porto Alegre, Brasil, pp. 26-28, 40-81 y 286-288.

11. United States Army Corps of Engineers (USACE) (2010). “Hydrologic Engineering Center. Hydrological Modeling System HEC-RAS 4.1.0. Technical Reference Manual”.

12. Wollansky S. y M. Pardini (2010). "Seguridad de terraplenes de defensa contra inundaciones", en el VI Congreso argentino de presas y aprovechamientos hidroeléctricos, Neuquén, Argentina.

Evaluación comparativa de la escorrentía en diferentes situaciones hidrogeomorfológicas en la subcuenca Nueva Ciudad del Arroyo las Tunas

1. Ameghino: Las Secas y las Inundaciones en la provincia de Buenos Aires. Obras de Retenciones y NO Desagües. Quito Ediciones. La Plata. 1989.

2. Campo de Ferreros, A y Piccolo, M. C. Hidrogeomorfología de la Cuenca de Río Quequén Grande, Argentina. Papeles de Geografía. 1999.

3. Chen, C. L. 1983. “Rainfall Intensity-Duration-Frequency formulas”. ASCE.

4. Chow, U. T. Maidment, D. R., Mays L. W. Hidrología Aplicada.

5. Ferrer: F. J. 1993. Recomendaciones para el Cálculo Hidrometeorológico de Avenidas. CEDEX.

6. Kolhyari, C. Gorde. 1992. Rainfall Intensity, Duration, Frequency. Journal of Hydraulics Engineering, Vol. 118, Nº 2. EEUU.

7. Margaña Villegas E., et. Al. (2008) Software para el Análisis de Datos Meteorológicos. México.

8. OMM (2010). Manual del Sistema Mundial de Procesamiento de Datos y Predicciones. Ginebra.

9.Proyecto de Inversión 2014. Análisis del Cambio Climático sobre las Obras de Ingeniería Civil. Facultad de Ciencias Fisicomatemáticas e Ingeniería. UCA.

10. Stalling, J. H. El Suelo, su uso y mejoramiento. México. Compañía Editorial Continental SA, 1977.

11. Verstappen, H. T. y Van Zuidam, R. C. The ITC System of Geomorphological Survey. Amsterdam, (1991).

Impacto hidrológico cero en la ciudad de Resistencia, Chaco, Argentina

1. CHOW, V. T., MAIDMENT, D. & MAYS, L. 1994. Hidrología aplicada. Santa Fe de Bogotá: Mc GrawHill.

2. CONSEJO MUNICIPAL DE RESISTENCIA, CHACO. 2001. Ordenanza Nº 5.403. Cuerpo principal y tres Anexos. Resistencia, Chaco.

3. CUNDOM, G., GUTIÉRREZ, G. 2000. Impacto cero en el drenaje pluvial urbano. Trabajo de conclusión. Segundo curso de postgrado en Hidrología Urbana, Facultad de Ingeniería, UNNE.

4. PILAR, A. & BIAÍN, R. 2000. Estudio de la viabilidad técnica de la implantación de retardadores de escurrimiento pluvial en lotes urbanos. En Tucci, C. E., Goldenfum, J., Depettris, C. & Pilar, J., org., Hidrologia Urbana na Bacia do Prata. Porto Alegre: CAPES-SETCIP/UFRGS-UNNE.

5. PILAR, J. V. & DEPETTRIS, C. 2000a. Impacto Cero. Resistencia: Diario Norte, edición del 27/02/2000.

6. PILAR, J. et al. 2007. Actualización y análisis de las curvas en el Área Metropolitana del Gran Resistencia (AMGR). Congreso Nacional del Agua 2007. Tucumán, Argentina.

7. URBONAS, B.; STAHRE, P. 1993. Stormwater Best Management Practice and Detection. Prentice Hall. Englewood Cliffs, New Jersey.

8. TUCCI, C. 1998. Modelos hidrológicos. Porto Alegre: Ed. Universidade/UFRGS/ABRH.

9. TUCCI, C. 2007. Gestión de inundaciones urbanas. Ed. Evangraf Ltda. Porto Alegre, Brasil.

Refuncionalización hídrica y ambiental del Lago Soldati, ciudad de Buenos Aires, Argentina

1. Monitoreo de Laguna Av. Castañares y Asturias, CABA, R. C. Año 2015.

2. Diseño de Pequeñas Presas. US Bureau of Reclamation. Año 1995.

3. Design of urban runoff quality controls. ASCE. Año 1988.

4. Rainwater catchment for future generations. Proceedings of 5th. Conference on Rain Water Cistern Systems. Año 1991.

5. Plan de Gestión Ambiental y Manejo de la Cuenca Hídrica Matanza-Riachuelo, Inconas, CowiConsult, Engevix. Año 1995.

6. Programa de Gestión del Riesgo Hídrico de la Ciudad de Buenos Aires. DHI. Serman y Asociados. Estudio Hidrodinámico del Riachuelo. Año 2012.

7. SWMM (EPA: Storm Water Management Model). US EPA. Año 2015.

8. Plan Director de Ordenamiento Hidráulico y Control de las Inundaciones de la Ciudad de Buenos Aires. Halcrow-Harza-Iatasa-Latinoconsult. Año 2006.

9. Mike Urban. Modelo Hidrodinámico. Danish Hydraulics Institute (DHI). Año 2015.

ORADORES

mencionados por orden alfabético

Ing. Jorge E. Abramian

Ingeniero Civil egresado de la Universidad de Buenos Aires en el año 1981, donde también cursó los estudios de postgrado en la Escuela de Graduados de Ingeniería Portuaria y Vías Navegables. Luego, obtuvo un Master en Ingeniería de Costas en la University of Florida, EEUU. Su experiencia se vincula al desarrollo de infraestructura de transporte, puertos, costas y vías navegables. Si bien, fundamentalmente, se desarrolló como consultor, su experiencia es amplia en posiciones gubernamentales y educativas. Su labor internacional no sólo incluye a su país nativo, Argentina, y a EEUU -donde ejerció durante seis años- sino a otros países de Latinoamérica. Es autor de más de 30 publicaciones nacionales e internacionales. Trabajó con organismos internacionales tales como UN, IDB, CAF, WB, OAS y GTZ. Fue Director de la EIA de la Hidrovía Paraguay-Paraná y del Plan Maestro 2030 del Puerto de Buenos Aires. Fue Presidente del CTC “Control de la Navegación y Protección Ambiental” del Comité Interamericano de Puertos. Desempeñó acciones como Director Interino del Departamento de Transporte de la Facultad de Ingeniería de la Universidad de Buenos Aires y Coordinador General del Programa de Modernización Portuaria. Es Presidente Honorario del Consejo Profesional de Ingeniería Civil y Tesorero del World Council of Civil Engineers.

Ing. José Ante

Ingeniero Civil de la Universidad de Buenos Aires, obtuvo postgrados en Ingeniería de Caminos (UBA) y en Economía Urbana (Universidad Torcuato Di Tella). Es el actual Director de la Carrera de Ingeniería Civil y Profesor Protitular de la Facultad de CFM & Ingeniería (UCA), Profesor Asociado Regular de la Facultad Ingeniería (UBA)

y Profesor Adjunto de la Carrera de Ingeniería Civil (UTN) en la asignatura de grado: AEROPUERTOS. Conferencista en congresos nacionales e internacionales de la especialidad. Actual Profesional “Senior” en gestión y realización de Proyectos de InfraestructuraParte Aeronáutica- del Organismo Regulador del Sistema Nacional de Aeropuertos desde el año 2000 y con anterioridad, Personal Civil Superior CAT 28/30 de la Fuerza Aérea Argentina a cargo de Proyectos de Ingeniería y Ejecutivos de Infraestructura -Parte Aeronáutica- de distintos aeropuertos del país. Es Secretario Técnico y de Divulgación de la Asociación Latinoamericana y del Caribe de Pavimentos de Aeropuertos (2005 a 2007). Consultor del Consejo Federal de Inversiones (CFI) y del Fondo Nacional para el Otorgamiento de Créditos Fiscales (FONTAR), en temas relacionados con la infraestructura del transporte.

Ing. Rodolfo Aradas

Ingeniero Civil especializado en Hidráulica, cuenta con un PhD en recursos hídricos y geomorfología de la Universidad de Nottingham, Reino Unido. Es profesor titular de grado de la cátedra de Planificación de Recursos Hidráulicos de la Universidad de Buenos Aires y de postgrado en diversos cursos de especialización. Es miembro del Comité Académico de la Maestría en Planificación y Gestión de la Ingeniería Urbana del Consejo Profesional de Ingeniería Civil, la Universidad Tecnológica Nacional y la Universidad de Buenos Aires y del Journal en Gestión de Riesgo Hídrico de la Institución de Ingenieros Civiles del Reino Unido. Se desempeña como Director Técnico en la empresa CH2M en el área de Infraestructura en proyectos de planes maestros, diseños conceptuales y diseño de detalle y construcción en diversos países como Panamá, Emiratos Árabes Unidos y Abu Dhabi. Asimismo, se ha desempeñado en importantes proyectos multidisciplinarios en el país y en el exterior, tanto en Chile,

Vietnam y Camboya, Tailandia, Laos PDR y Montevideo (en ejecución). Fue distinguido con el premio “Ing. Antonio Marín” otorgado en el año 2004 y con el premio “Centenario-Marín”, en el año 2012 por parte de la Academia Nacional de Ciencias al desarrollo de un joven profesional y trayectoria en el ámbito de la ingeniería, respectivamente.

Arq. Dardo Becerra

Arquitecto y Master en Planeamiento Urbano y Regional de la Universidad de Buenos Aires. Posee un Master en Planeamiento Regional Educativo Ps de EEUU. Es Metodólogo de la Universidad de Belgrano e Investigador de la Administración Pública Nacional. Además, es Presidente de la Asociación Argentina de Planificadores Urbanos y Regionales (AAPUR). Se desempeña como consultor internacional en temas de arquitectura, infraestructura de servicios, presupuesto, educación y gerenciamiento. Trabaja como Profesor titular de “Habilitación profesional”, “Arquitectura legal”, “Metodología de investigación”, “Ética y planeamiento urbano y regional”. Fue Director de la Tesis “Master en Gerenciamiento de Ciudades, Facultad de Arquitectura y Urbanismo, Universidad de Belgrano”. Es autor de publicaciones y documentos sobre presupuesto educativo, planeamiento educativo, planeamiento urbano y arquitectura legal. Es autor de literatura sobre geografía urbana. Obtuvo el Premio 2005 a la Innovación Tecnológica Educativa de la Universidad de Belgrano. Actualmente, desempeña el cargo de Subsecretario de la Dirección General de Arquitectura, Obras y Servicios de la Suprema Corte de Justicia de la provincia de Buenos Aires. Ing. Pablo Bereciartúa Ingeniero por la Universidad Nacional de La Plata (UNLP), con postgrados en Delft, Holanda; University of California,

Berkeley, EEUU; Universidad de San Andrés, Argentina y Yale University, EEUU. Es Profesor de la Universidad de Buenos Aires (UBA) y Vicepresidente del Centro Argentino de Ingenieros (CAI). Obtuvo el Premio "Ingeniero Marín" de la Academia Nacional de Ingeniería de la Argentina. Es Eisenhower Fellow, Fulbright Fellow y Fellow del International Institute of Applied Systems Analysis (IIASA) en Austria, y en la Next Generation Infrastructure Foundation de Holanda. Tiene experiencia en el ámbito privado y público habiendo sido Director de Infraestructura del Gobierno de la Ciudad de Buenos Aires. Actualmente, se desempeña como Subsecretario en la Subsecretaría de Recursos Hídricos del Ministerio del Interior, Obras Públicas y Vivienda de la Nación.

Ing. Luis María Calvo

Ha ocupado importantes cargos de responsabilidad en proyectos y obras, como las represas hidroeléctricas de Salto Grande (Gerente Técnico durante toda la obra) y Yacyretá (Director Técnico). Ha desarrollado una intensa actividad como consultor y asesor de importantes organizaciones, y también, en el ámbito docente, como profesor universitario de grado y postgrado, Director de la Maestría de la especialidad en Hidráulica Urbana en la Universidad de Buenos Aires, autor del libro “Hidráulica Urbana: Sumideros”. En la función pública, ha sido Secretario de Estado en la provincia de Santa Fe y actualmente, es perito para la Corte Suprema de Justicia de esa provincia, en relación al juicio sobre las inundaciones en la ciudad de Santa Fe, debidas a los desbordes del río Salado y las lluvias del año 2007. Lleva a cabo funciones como Presidente de la empresa Hidroestructuras SA, consultora de ingeniería con una extensa trayectoria y participación ejecutiva en la gestión de riesgos de desastres en inundaciones, actuando como director de los proyectos e inspecciones de desagües pluviales en más de quince ciudades argentinas.

Ing. Adrián Delfederico

Ingeniero Civil egresado de la Facultad de Ciencias Exactas, Físicas y Naturales de la Universidad Nacional de Córdoba. Miembro de la planta permanente de la Municipalidad de la Ciudad de Córdoba, desde 1985 a la fecha y vinculado a las áreas técnicas de Transporte y Tránsito, desde 1988. Actualmente, ejerce el cargo de Jefe de Departamento de Control de Transporte, por concurso, desde el año 2013. Formó parte de la Comisión creada para la elaboración del Plan de Movilidad de la Ciudad de Córdoba, durante la primera gestión del Intendente Ramón Mestre.

Ing. Omar Gastaldi

Ingeniero Electricista Electrónico graduado en la Facultad de Ciencias Exactas, Físicas y Naturales de la Universidad Nacional de Córdoba, donde ejerce como Jefe de Trabajos Prácticos en la cátedra de Elementos y Materiales de Equipos Eléctricos. Desde 2015, se desempeña como Secretario de Planeamiento e Infraestructura de la Municipalidad de la ciudad de Córdoba. Su experiencia en el sector público se remonta al año 1985, donde actuó como proyectista de la Dirección de Alumbrado Público de la Municipalidad de Córdoba. A partir del año 1989, fue Subdirector de Mantenimiento y Construcción de Obras, y luego en 1991, Director. Fue Asesor de la Comisión de Obras y Servicios Públicos, Transporte y Comunicaciones de la Honorable Cámara de Diputados de la Provincia de Córdoba y Vocal del Directorio de la Empresa Provincial de Energía. Cumplió funciones como Representante Suplente (Consejero) en el Consejo Federal de la Energía Eléctrica e Interventor de la Dirección Provincial de Energía de Corrientes. Del año 2007 al 2011 fue Director de Obras de la Municipalidad de Villa Carlos Paz y desde el 2011 al 2015 fue Sub-Secretario de Infraestructura de la Secretaria de Desarrollo Urbano de la Municipalidad de la ciudad de Córdoba.

Ing. Ricardo Gattoni

Ingeniero Civil egresado de la Universidad Católica Argentina (UCA), en su carrera profesional se destacan tareas como Gerente Técnico Comercial en DECAVIAL, Gerente Comercial en GRAZIANI y CRIBASA, Gerente de Marketing y Desarrollo de Productos y Servicios en ACINDAR, Gerente Comercial en ACINDAR Brasil, Gerente de Exportaciones en ACERBRAG y CEO en SIKA Argentina SA. En 2014 se hizo cargo de formar y coordinar el equipo vial que desarrolló el Plan Vial de Cambiemos. Actualmente, cumple funciones como Asesor Técnico del Administrador General de la Dirección Nacional de Vialidad.

Dr. Jorge A. Giorno

Contador Público por parte de la Universidad de Buenos Aires, actualmente se desempeña como Subsecretario de la Unidad de Coordinación del Consejo de Planeamiento Estratégico de la Ciudad de Buenos Aires, dependiente de la Jefatura de Gobierno. Entre el 2014 y 2015, fue Coordinador de Políticas de Gobierno de la Jefatura de Gabinete de Ministros del Gobierno de la Ciudad. Entre el 2010 y 2015 fue Diputado de la Asamblea por la República Argentina y Ministro Plenipotenciario para las Naciones de Sudamérica del Parlamento Mundial. Entre los años 2000 y 2005, llevó a cabo dos períodos como Diputado en la Legislatura de la Ciudad Autónoma de Buenos Aires. Entre 2009 y 2014 fue miembro del Consejo Estratégico para la República Argentina de la Sociedad Internacional para el Desarrollo (SID). Fue Director, entre 2006 y 2007, de la Corporación Antiguo Puerto Madero SA y Presidente, entre 2005 y 2007, de la Sociedad Argentina de Escritores (SADE). Desde el año 2009 a la fecha, es Vicepresidente y miembro fundador de la Cámara de Industria, Comercio y Servicios ArgentinoCaliforniana. Autor de "La Ciudad Autonómica, una propuesta política con coraje" y de "Ideas para un Plan de Desarrollo Económico para la Ciudad de Buenos Aires”.

Prof. Dra. Cynthia Goytia

Directora de la Maestría en Economía Urbana y del Centro de Investigaciones de Políticas Urbanas y de Vivienda (CIPUV) de la Universidad Torcuato Di Tella. Es Profesora visitante (20162017) de la Universidad de Harvard y ha sido profesora en la Universidad de Cambridge y en el Institute of Housing Studies de Holanda. Ha obtenido el título de Magíster en Economía Urbana y de PhD por la London School of Economics. Es consultora para Argentina, América Latina, el Banco Mundial, el BID, Naciones Unidas y CAF (Banca de Desarrollo de América Latina). Es fellow del Lincoln Institute of Land Policy de Estados Unidos. Ha escrito numerosas publicaciones académicas sobre políticas urbanas, los mercados de suelo y el crecimiento de las ciudades, así como también, las políticas del hábitat y sus efectos en la calidad de vida. Su interés por aumentar la difusión de su investigación haciendo foco en una amplia audiencia de decisores políticos, la ha motivado a desarrollar "bienes públicos" de divulgación masiva e interactivos, como el “Atlas de Crecimiento Urbano de Argentina”, el “Atlas de Precios del Suelo de la Región Metropolitana de Buenos Aires”, y el “Simulador de Acceso a la vivienda Formal”.

Dr. Iván Kerr

Es abogado, egresado de la Universidad de Buenos Aires, con un Máster en Derecho Empresarial en la Universidad Austral. Fue Gerente General del Instituto de Vivienda de la Ciudad de Buenos Aires, órgano de aplicación de políticas de vivienda del Gobierno de la Ciudad Autónoma de Buenos Aires, entre los años 2011 y 2014, y miembro del Directorio en el período 2014-2015. Desde el año 2011 colabora con la Fundación Pensar, cuyo fin se centra en la elaboración de planes de gobierno del actual Presidente de la Nación, Ingeniero Civil Mauricio Macri, siendo coordi-

nador del área de vivienda. Fue candidato por la Ciudad de Buenos Aires en 2013 y electo en 2015. Actualmente, se desempeña como Subsecretario de Desarrollo Urbano y Vivienda del Ministerio del Interior de la Nación.

Ing. Juan Martín Koutoudjian

Es Ingeniero Mecánico con 38 años de experiencia profesional, incluyendo organismos multilaterales de crédito como el BIM; BID, CAF, JBIC. Es especialista en equipamiento electromecánico en las áreas energéticas y de saneamiento. También en ejecución de proyectos de infraestructura, contrataciones y administración de contratos de grandes obras. Es consultor en obras electromecánicas de saneamiento, riego, desagües pluviales y residuos sólidos, asumiendo la formulación de proyectos, desarrollo de la ingeniería e inspección y supervisión de obras. Entre sus principales trabajos se encuentra la Red Matriz de agua potable de Santo Domingo (República Dominicana); los Desagües pluviales de Trelew, provincia de Chubut (Argentina); la Planta de tratamiento cloacal de la ciudad de Ho Chi Minh, Vietnam; la Gestión integral de residuos sólidos en la República del Perú; el Diseño e Ingeniería de detalle de la Planta Depuradora de Aguas Residuales, Lanús, provincia de Buenos Aires (Argentina). En el segmento de las obras de Infraestructura y Administración de Contratos, lleva a cabo Contrataciones, Seguimientos y la Administración de Contratos para el Ministerio de Salud; en la obra para el Acueducto Ganadero de Adolfo Alsina (Río Negro); la Formulación y Supervisión del proyecto para el Drenaje y Prevención de Inundaciones de la Ciudad Autónoma de Buenos Aires (CABA). También, intervino como Director Ejecutivo de AIDIS Argentina; Director de Servicios Sanitarios de la AGOSBA; Subdirector del Acueducto del CIBAO, en República Dominicana. Además, lleva más de treinta años en el ejercicio de la docencia en universidades nacionales e institutos.

Ing. Guillermo Krantzer

Ingeniero Civil de la Universidad de Buenos Aires. En la actualidad, se desempeña como Secretario de Gestión de Transporte del Ministerio de Transporte de la Nación y Director de la Agencia Metropolitana de Transporte. En el sector público, fue Director General de Transporte y Tránsito de la Ciudad Autónoma de Buenos Aires, entre los años 2007 y 2015; Director de la Comisión Nacional de Transporte Automotor (hoy Comisión Nacional de Regulación del Transporte) y Director de Transporte Urbano de la Secretaría de Transporte de la Nación. En el ámbito académico, es jefe de la Cátedra de Planeamiento del Transporte de la Facultad de Ingeniería de la Universidad de Buenos Aires y como Jefe de la Cátedra de Ingeniería del Transporte II en la Maestría de Planificación y Gestión del Transporte de la UBA. Como consultor ha brindando asesoramiento a entes estatales y privados, nacionales y extranjeros, así como a organismos de financiamiento internacional, en diversas ciudades de Argentina, Perú, Ecuador, Bolivia, Paraguay, Costa Rica y El Salvador. Es miembro del Instituto de Transporte de la Academia Nacional de Ingeniería.

Prof. Francisco Zavalía Lagos

Es Profesor de Física y Matemáticas Aplicadas. Cursó la Maestría en Dirección de Organizaciones Sin Fines de Lucro de la Universidad de San Andrés (CEDES) y Universidad Torcuato Di Tella, contando con una especialización en Dirección de Empresas obtenida en la Universidad Austral. Actúa como Profesor adjunto de Emprendedorismo y Desarrollo Local en la Universidad Tecnológica Nacional, Facultad Regional Pacheco. Fue miembro de la Fundación Vivienda y Comunidad entre los años 1981 y 1993. Desde 1994 a la fecha, es Director Ejecutivo de la Fundación Provivienda Social, entidad sin fines de lucro creada en el año 1992. Ocupó el cargo de Presi-

dente y Director de la firma Cordial SA del Grupo Supervielle. Desde 2013, es miembro del Comité Ejecutivo de la Red Argentina de Cooperación Internacional y del Consejo Consultivo del Centro de Investigación en Políticas Urbanas y de Vivienda de la Universidad Torcuato Di Tella.

Arq. Mirta Levin

Arquitecta, graduada en la Facultad de Arquitectura, Planeamiento y Diseño de la Universidad Nacional de Rosario; Especialista y Máster en Patrimonio Urbano, Restauración y Ciudad de la Universidad de Valladolid, España. Fue Secretaria de Planeamiento de la Municipalidad de Rosario en dos períodos (20042012) y es hoy Directora General de METROPOLITANA, estructura técnica del Ente de Coordinación Metropolitana. Es Profesora Adjunta Ordinaria del Taller de Teoría y Técnica Urbanística y docente en la Carrera de Especialización en Planificación Territorial de la Universidad Nacional de Rosario. Coordinó la elaboración de normas urbanísticas, planes y proyectos en la ciudad de Rosario; y las Directrices de Ordenamiento Territorial del Área Metropolitana. Coordinó el proceso de descentralización de la ciudad. Desarrolló proyectos de extensión e investigación, asesoró en redes internacionales, escribió artículos en publicaciones nacionales e internacionales, dictó conferencias en Europa y Latinoamérica. Obtuvo entre otros, el “Premio al Arquitecto en la función pública”, distinción otorgada por la Federación Panamericana de Asociaciones de Arquitectos, Maceió, Brasil, 2012.

Ing. Adán Levy

Ingeniero Mecánico y profesor de educación Preescolar del ECCLESTON. Se desarrolló profesionalmente en la docencia y en el ámbito privado. En el área de Simulación Computacional primero, como investigador, luego

como ingeniero de proyecto y finalmente como Gerente de Proyectos Mecánicos. Recientemente fundó, junto a otros profesionales, la Asociación Civil Ingeniería Sin Fronteras donde se desempeña como Director Ejecutivo. Esta organización trabaja por el desarrollo comunitario de poblaciones en situaciones de vulnerabilidad diseñando y ejecutando proyectos de ingeniería, en las áreas de Infraestructura, Energía, Agua y Saneamiento, Crecimiento Productivo y Sistemas de la Información, promoviendo una ingeniería orientada al desarrollo sostenible y el cumplimiento de los derechos humanos. Es docente universitario en la Universidad Tecnológica Nacional, Facultad Regional Buenos Aires, en la cátedra de Elementos Finitos, y en el Programa UBA XXII en el Penal de Villa Devoto.

Dr. Ing. Luis Christian Navnntoft

Es Presidente de Solarmate SA, empresa de base tecnológica dedicada al diseño, desarrollo y comercialización de productos solares portátiles y consultoría de aplicación de la energía solar a procesos industriales. Es Ingeniero en Ecología y realizó gran parte de su doctorado en el mayor centro de investigación de energía solar de Europa y en la Comisión Nacional de Energía Atómica. Se ha especializado en el diseño, construcción y evaluación de sistemas de aprovechamiento de energía solar para aplicaciones en el tratamiento de aguas y sistemas térmicos. Fue profesor adjunto ordinario e investigador del Laboratorio de Estudios sobre Energía Solar de la Universidad Tecnológica Nacional, Facultad Regional Buenos Aires, Departamento de Ingeniería Civil, donde desarrolló tareas de investigación aplicadas en tecnología solar térmica, orientadas al diseño y evaluación de prototipos innovadores y el ensayo de colectores y compactos solares bajo normas IRAM. Trabajó en el área de desarrollos especiales en energía renovables en Sursolar, consultora dedicada al diseño e implementación de proyectos de energía renovables. Es autor y coautor de numerosas presentaciones en congresos nacionales e internacionales, y publicaciones en libros y revistas

internacionales con referato. Ha sido finalista en concursos como "INNOVAR", “IDEAS" y "Acceso a energías limpias".

Ing. Pery Luís De Mello Nazareth

Ingeniero Civil por la Universidad de Brasilia (Brasil), es especialista en agua y saneamiento. Consultor, con servicios en diversos países de Latinoamérica, para el Banco Mundial, el Banco Interamericano de Desarrollo (BID) y otras instituciones públicas y privadas. Fue Director de la empresa de Agua y Saneamiento de Brasilia (CAESB) y de otras dos empresas similares. Ha actuado en proyectos, planificación y gestión de servicios, formulación e implementación de políticas y programas para el sector del agua y saneamiento. Entre sus especialidades figuran los sistemas condominiales de saneamiento. Dirigió el Programa Condominal de alcantarillado de Brasilia, una verdadera referencia mundial sobre la temática. Actúa en proyectos y asistencia técnica; y condujo diversos cursos de saneamiento condominal en Latinoamérica.

Ing. Miguel H. Núñez

Ingeniero Electromecánico con especialización en Electrónica, profesión que ejerció durante 25 años. Con posterioridad (19922005) se especializó en industrias de variado rubro en cuanto a la gestión de la seguridad industrial (hoy Seguridad y Salud Ocupacional), y algo más tarde, en la gestión del medio ambiente, habiendo realizado los postgrados de especialización correspondientes en las Universidades de Morón y Buenos Aires. Debiendo profundizar en los aspectos legales de ambas especialidades, se convirtió en un referente de tal normativa técnico-legal. Entre los años 2006 y 2009 trabajó como Auditor de Tercera Parte en Sistemas de Gestión Ambiental, de la Calidad, y de Seguri-

dad y Salud Ocupacional, para un importante Organismo de Certificación Internacional. Desde el año 2006 es parte del equipo del Consejo Empresario Argentino para el Desarrollo Sostenible (CEADS), donde se desempeña como Coordinador Técnico. Dentro de tal función, ha participado en clases temáticas en postgrados universitarios y redactado notas varias para publicaciones especializadas en temas de gestión ambiental y desarrollo sustentable.

Arq. Martín Blas Orduna

Arquitecto con un Máster en Planificación Urbana y Regional y un Doctorado en urbanismo. Realizó estudios en Canadá y los EEUU. Trabajó en la actividad privada como consultor, y posteriormente, actuó en la función pública en el Poder Legislativo de la ciudad de Buenos Aires, como Director de la Comisión de Tránsito y Transporte y en el Poder Ejecutivo Nacional, como Director de Programas de Infraestructura y Producción en la Jefatura de Gabinete de Ministros. Entre 2007 y 2015, se dedicó a la actividad académica como investigador y profesor, llevando a cabo trabajos de consultoría en urbanismo y transporte. Entre sus últimos libros, se destaca su tesis de Maestría, publicada como “Red de Expreso Regional” por la Facultad de Arquitectura, Diseño y Urbanismo de la Universidad de Buenos Aires, en el año 2001. Actualmente, es Subsecretario de Movilidad Urbana de la Secretaría de Planificación de Transporte del Ministerio de Transporte de la Nación.

Mg. Angie Palacios

Ejecutiva de la Dirección de Análisis y Programación Sectorial de CAF -Banco de Desarrollo de América Latina-. Posee experiencia multidisciplinaria en iniciativas de desarrollo urbano, inclusión eco-

nómica y social, competitividad, tecnología e innovación y género. Actualmente, es parte del Grupo de Transporte Urbano y participa como miembro del equipo de proyecto en la preparación y desarrollo de la agenda sectorial en la Conferencia de las Naciones Unidas sobre Vivienda y Desarrollo Urbano Sostenible -Hábitat III-. Trabajó activamente en temas de gestión y desarrollo, adquiriendo exposición internacional en el diseño, ejecución y evaluación de proyectos con componentes de equidad de género. De esta forma, desde su actual posición en la Vicepresidencia de Infraestructura, trabaja en la incorporación de estrategias de inclusión social en los procesos de planificación de transporte urbano en la región. Posee una Maestría en Desarrollo Económico y Político de la Escuela de Asuntos Internacionales y Públicos (SIPA) de la Universidad de Columbia (Nueva York).

Dra. Verónica Raffo

Especialista Senior en Infraestructura para la Práctica Global de Transporte e ICT del Banco Mundial, en donde contribuye al avance de la agenda de transporte y movilidad sostenible a través de operaciones de préstamo y asistencia técnica en temas de movilidad urbana, conectividad, gestión de activos viales, logística y planificación del transporte en las regiones de América Latina, Europa del Este, Asia del Este y África. Abogada con especialización en Derecho Internacional de la Facultad de Derecho y Ciencias Sociales de la Universidad de Buenos Aires, alcanzó una Maestría en el London School of Economics. Antes de unirse al Banco Mundial, en el año 2006, trabajó como investigadora en el Social Science Research Council (SSRC, en Nueva York y Washington DC), donde coordinó el Programa de Seguridad Global y Cooperación, y en el Parlamento Europeo en Bruselas. Previamente, trabajó como abogada para las áreas de Mercado de Capitales y Project Finance en el estudio jurídico Marval, O’Farrell & Mairal en Buenos Aires, Argentina.

Ing. Sergio Raño

Ingeniero Civil egresado de la Facultad de Ingeniería de la Universidad de Buenos Aires y Magíster de la Universidad de Buenos Aires en Ingeniería de Transporte, Orientación Vial. Ha trabajado desde hace 18 años en temas relacionados con la Seguridad Vial en la Dirección Nacional de Vialidad. Ocupó importantes cargos en la actividad docente de grado y postgrado en distintas Universidades, entre las cuales se encuentran la Facultad de Ingeniería de la Universidad de Buenos Aires, el Instituto de Transporte de la Universidad de San Martín y el MBA de la Universidad de San Andrés. Ha participado y publicado estudios en diversos congresos y seminarios de su especialidad.

Dra. Francisca Rojas

Es especialista en Desarrollo Urbano y Vivienda del Banco Interamericano de Desarrollo (BID). Sus áreas de interés incluyen el Desarrollo Urbano Sustentable, el uso de las Tecnologías de la Información en el ámbito urbano y el gobierno de las áreas metropolitanas. Ha sido Directora de Investigación y Post Doctoral Fellow en el “Transparency Policy Project” en la Kennedy School de Harvard. Formó parte del MIT “Senseable City Lab”. En el sector público, ha sido planificadora urbana en la Washington DC Office of Planning y asesora del Ministro de Vivienda de Chile. Es Doctora en Planificación Urbana y Regional del Massachusetts Institute of Technology (MIT) y cuenta con un Máster en City Planner también en el MIT. Actualmente, desempeña labores en la representación del BID en Argentina y vive en Buenos Aires.

Ing. Marcelo Eduardo Rosso Ingeniero Industrial. Actualmente, se desempeña como Gerente de Nuevas Tecnologías y Control Ambiental de la Coordinación Ecológica del Área Metropolitana, Sociedad del Estado (CEAMSE), donde ingresó en el año 1986. Anteriormente ocupó el cargo de Gerente de Operaciones. Realizó un postgrado en Management Ambiental y fue becado por el gobierno alemán para especializarse en el “Tratamiento y Eliminación de Residuos Sólidos Urbanos, en particular, los Desechos Industriales”. Desde el año 1997 es integrante del plantel Docente de la Maestría en Gestión Ambiental del Instituto Tecnológico Buenos Aires (ITBA). Desde el año 2015, también de la Maestría en Energía y Ambiente del Instituto Tecnológico Buenos Aires (ITBA) en conjunto con el Karlsuhe Institute of Technology de Alemania. Ha sido disertante en numerosos seminarios nacionales e internacionales y asesor del Banco Interamericano de Desarrollo y del Banco Mundial en temas relacionados con la gestión de residuos sólidos. Actúa como Delegado, en representación de la Argentina, en el Subcomité de Residuos Sólidos Municipales del Global Methane Initiative, Environmental Protection Agency de los Estados Unidos.

Dr. Ing. Juan Antonio

Santamera Sánchez

Nació en Madrid, estudió en la Universidad Politécnica de dicha ciudad, en cuya Escuela Técnica Superior cursó la carrera de Ingeniero de Caminos, Canales y Puertos, actuando como su Director desde 2005 a 2013. Es Licenciado en Ciencias Económicas y Diplomado en Urbanismo y Gestión del Territorio. Entre sus actividades docentes, cabe destacar la organización y dirección del Máster de Política Territorial y Urbanística en la especialidad de Gestión, y del Máster de Política y Gestión Ambiental, ambos en la Universidad Carlos III de Madrid. Ha recibido diversos premios, entre otros, por el libro "Recomendaciones para el diseño y proyecto del viario urbano"

y por el proyecto "Programa de Actuación Urbanística y Plan Parcial del Ensanche Villa de Vallecas". Entre sus libros publicados, cabe destacar "Introducción al Planeamiento Urbano", "Institucionismo y Urbanismo en la España de la Restauración y la II República", "La Ciudad Realidad: Pensamiento y Acción". Actualmente, comparte su actividad docente con la Presidencia del Colegio de Ingenieros de Caminos, Canales y Puertos, desde el mes de abril del año 2012.

Dr. Oscar Tangelson Es Licenciado en Economía Política de la Facultad de Ciencias Económicas de la Universidad de Buenos Aires. Actualmente, se desempeña como Director del Instituto de Producción, Economía y Trabajo en la Universidad Nacional de Lanús. Anteriormente, fue Secretario de Políticas Económicas del Ministerio de Economía y Producción; Secretario de Empleo del Ministerio de Trabajo, Empleo y Seguridad Social; Presidente del FONCAP (Fondo de Capital Social); Director del Departamento de Desarrollo Productivo y Trabajo de la Universidad Nacional de Lanús; Director del Proyecto EMPLEO en México del PNUD (Programa de Naciones Unidas para el Desarrollo) y OIT (Organización Internacional del Trabajo); Secretario de Desarrollo Económico de la provincia de Mendoza; Consultor Internacional del Banco Mundial, OIT, OEA, OEI, OIM, CIAT Y CINTERFOR en Argentina, Brasil, Colombia, El Salvador, Costa Rica, Guatemala, Italia, México, Nicaragua, Panamá, Paraguay, Perú, República Dominicana, Uruguay y Venezuela. Es profesor y ha obtenido el premio BALSEIRO a la Innovación Tecnológica, Diploma de Honor en 1998, en la Categoría “Decano de Universidad”.

Dr. Juan Ustarroz

Abogado de la Universidad de Buenos Aires, su formación de postgrado se centró en la problemática jurídica vinculada con la familia, los niños y adolescentes. Cursó estudios de especialización en derecho de familia, derechos y garantías procesales del niño y el adolescente. Es Maestro en Derecho de Familia, Niñez y Adolescencia (UBA). Se desempeñó como profesional en la actividad privada y, posteriormente, trabajó en espacios relacionados a la problemática de los jóvenes. Formó junto a otros dirigentes el partido vecinalista “Frente Mercedino para la Victoria”. Fue Jefe de la oficina local de ANSES, candidato a Concejal e Intendente en dos ocasiones. En el mes de diciembre del 2013, asumió como Presidente del Bloque de concejales del Frente para la Victoria, donde llevó a cabo su labor legislativa hasta diciembre de 2015, año en el cual fue electo Jefe Comunal de la ciudad de Mercedes.

Auspician esta publicación las siguientes instituciones:

ASOCIACIÓNDE INGENIEROS ESTRUCTURALES (AIE)

CÁMARA ARGENTINADE CONSULTORASDE INGENIERÍA (CADECI)

CENTRO ARGENTINODE INGENIEROS (CAI)

CÁMARA ARGENTINADELA CONSTRUCCIÓN (CAMARCO)

COMISIÓNDE INTEGRACIÓNDELA AGRIMENSURA, AGRONOMÍA, ARQUITECTURAE INGENIERÍAPARAEL MERCOSUR (CIAM)

CONSEJO FEDERALDE DECANOSDE INGENIERÍA (CONFEDI)

CONSEJODE PLANEAMIENTO ESTRATÉGICO (COPE)

FACULTADDE INGENIERÍADELA UNIVERSIDADDE BUENOS AIRES (FIUBA)

MUNICIPIODE TIGRE

UNIDADDE COORDINACIÓNDEL CONSEJODE PLANEAMIENTO ESTRATÉGICO (UCPE)

UNIVERSIDAD TECNOLÓGICA NACIONAL (UTN)

WORLD COUNCILOF CIVIL ENGINEERS (WCCE)

CONELAPOYODELA ASOCIACIÓN ARGENTINADE PLANIFICADORES

URBANOS REGIONALES (AAPUR).

DECLARADODEINTERÉSPOREL CONSEJO HÍDRICO FEDERAL

Sponsors del Congreso de Ingeniería Urbana

AMANCO

ENAS

NIRO

TECHINT

TECNOPERFILES

MERITORIOS DEL CIU

mencionados por orden alfabético

Comité Organizador del CIU

Ing. Jorge Kornitz

Magíster Scientiae en Metodología de la Investigación Técnica y Científica. Docente en la carrera de "Especialización y Maestría en Ingeniería Estructural" en la Universidad Tecnológica Nacional (UTN) Facultad Regional Buenos Aires (FRBA). Profesor Asociado de la Universidad de Buenos Aires. Profesor Titular UTNFRBA. Profesor Titular en el Instituto Tecnológico de Buenos Aires (ITBA). Presidente Honorario del Consejo Profesional de Ingeniería Civil (CPIC). Director de la Maestría en Gestión y Planificación de la Ingeniería Urbana (CPIC, UTN, FIUBA).

Prof. Sebastián Orrego

Coordinador de la Maestría en Gestión y Planificación de la Ingeniería Urbana (CPIC, UTN, FIUBA) y de la Escuela de Gestión y Negocios de la Cámara Argentina de la Construcción.

Ing. Alejandro Sarubbi

Doctor en Ingeniería por la Universidad de Buenos Aires. Master en Management of Industrial Effluent & Waste (Japón). Profesor Adjunto de la Universidad de Buenos Aires. Director de Prevención Corporativo (Medio Ambiente, Seguridad, Salud y Calidad) en Techint Engineering & Construction Company. Asesor del Banco Mundial. Director de la Maestría en Gestión y Planificación de la Ingeniería Urbana (CPIC, UTN, FIUBA).

Ing. Ernesto Selzer

Master en Dirección de Empresas Constructoras y Ex Director y Profesor de la Maestría en Gestión y Planificación de la Ingeniería Urbana. Ex Ministro de Obras Públicas de la Ciudad de Buenos Aires y ex Presidente del Instituto de la Vivienda de la Ciudad Autónoma de Buenos Aires. Ex Secretario de Relaciones Institucionales, Facultad de Ingeniería (UBA). Ex Vicepresidente del Banco Ciudad. Actualmente, se desempeña como Coordinador de Proyectos y Director de Obras en Aerolíneas Argentinas.

Ing. Enrique Vera

Director del Departamento de Ingeniería Civil de la Universidad Tecnológica Nacional (UTN) Facultad Regional General Pacheco.

Comité Académico del CIU

Arq. Dardo Becerra

Dra. Ana Feldman

Ing. Raúl Gallardo

Ing. Claudio Rissetto

Ing. Osvaldo Russo

Arq. Raquel Perahia

Comité de Honor del CIU

Ing. Jorge Emilio Abramian, Presidente Honorario del CPIC

Ing. Silvio Bressan, Director de la Carrera de Ingeniería Civil en la UTN-FRBA

Ing. Jorge Omar Del Gener, Decano UTN FRA

Ing. Raúl Gallardo, Ex Secretario de Posgrado de la FIUBA

Ing. Guillermo Oliveto, Decano UTN FRBA

Ing. Norberto Pazos, Presidente Honorario del CPIC

Ing. Horacio Salgado, Decano FIUBA

Staff del CPIC dedicado al CIU

GERENTE

Ing. Victorio Santiago Díaz

SUB-GERENTE

Ing. Alberto Sáez

RESPONSABLE DE IMAGEN, COMUNICACIÓN Y ASUNTOS PÚBLICOS

Lic. Leonardo Figlioli

ASISTENTE DE IMAGEN, COMUNICACIÓN Y ASUNTOS PÚBLICOS

Lic. Nicolás Parada

COORDINADORA ACADÉMICA

Ana Hayzus

MAESTRÍA EN PLANIFICACIÓN Y GESTIÓN DE LA INGENIERÍA URBANA

La configuración de las ciudades del siglo XXI conllevan una serie de nuevos desafíos: el progresivo consumo del suelo, las migraciones, el crecimiento de villas y asentamientos, la incorporación del sector terciario de la economía, la sustentabilidad de las urbes y las profundas transformaciones verificadas en sectores como el transporte y las comunicaciones, hacen que resulte un tema fundamental dotar a los ingenieros de una visión integral que los ayude a liderar grupos multidisciplinarios.

¿Por qué elegir la Maestría en Planificación y Gestión en Ingeniería Urbana?

El plan de estudios aborda áreas del conocimiento que no han sido objeto de un desarrollo profundo durante el ciclo de grado, como lo son las ciencias sociales (derecho, economía, sociología, entre otras), y que resultan imprescindibles para liderar proyectos de planificación urbana en toda su dimensión y complejidad.

Atento a este escenario, el Consejo Profesional de Ingeniería Civil (CPIC) tomó la iniciativa de crear la primera “Maestría en Planificación y Gestión de la Ingeniería Urbana”. Para ello, convocó a representantes de la Universidad de Buenos Aires (UBA) y de la Universidad Tecnológica Nacional (UTN), ambas casas de estudios especializadas en carreras de postgrado, para trabajar, junto a profesionales del CPIC, con el fin de desarrollar el programa y los contenidos de la mencionada carrera, los cuales fueron puestos a consideración de los Consejos Directivos de las Facultades y Consejos Superiores de ambas Universidades.

Oportunamente, participaron de la firma del Convenio Marco, el Rector de la Universidad de Buenos Aires, Dr. Rubén Hallu; el Rector de la Universidad Tecnológica Nacional, Ing. Héctor C. Brotto; y el Presidente del CPIC, Ing. Civil Norberto Pazos. Por su parte, el Convenio específico fue suscripto por el Decano de la FIUBA, Dr. Ing. Carlos A. Rosito; el Decano de la FRBA (UTN), Ing. Guillermo Oliveto; el Decano de la FRA (UTN), Ing. Jorge O. Del Gener; el Decano de la FRP (UTN), Ing. Eugenio B. Ricciolini y el Presidente del CPIC, Ing. Civil Norberto Pazos.

Por ello, la maestría apunta a que el profesional egresado se encuentre especialmente capacitado para comprender la problemática del funcionamiento integral de las grandes ciudades, desarrollar procesos de investigación en áreas específicas de planeamiento y gestión, planificar, coordinar y gerenciar programas de desarrollo urbano, proponer alternativas tecnológicas, de procedimiento y mejoramiento que favorezcan el desarrollo sostenible y generen una óptima calidad de vida para la ciudad. Asimismo, estarán preparados para asesorar a instituciones públicas y privadas con absoluta idoneidad y responsabilidad social.

Creación y Desarrollo de Ciudades, Sociología Urbana y Desarrollo Sustentable, Territorio y Gestión Ambiental, son algunas de las materias que se cursan en el primer ciclo de la maestría, denominado de “Formación General”, la cual proporciona las bases conceptuales para entender los procesos y las dimensiones socioeconómicas involucradas en el planeamiento, desarrollo y gestión de los sistemas urbanos.

El segundo trayecto profundiza en los fundamentos de la planificación y gestión urbana, desde la perspectiva específica ingenieril que incluye temas como el abastecimiento de agua y saneamiento urbano, políticas de vivienda, mercado inmobiliario e interés social, planificación y gestión de cuencas y de la hidráulica urbana.

El tercer trayecto, “Áreas del Planeamiento Urbano”, se desarrolla sobre la base de seminarios optativos que aportan los elementos necesarios para la realización de la tesis. También, la carrera cuenta con dos seminarios de tesis, el primero se realiza una vez concluido el período de formación general y dentro de las primeras 460 horas de la maestría. El Seminario de Tesis II se cursa completado el segundo ciclo, y acompaña el proceso de diseño y elaboración del proyecto en todas sus etapas.

Con la aprobación de la totalidad de las asignaturas del plan de estudios y de la tesis, se obtendrá el título de “Magíster en Planificación y Gestión de la Ingeniería Urbana”, otorgado conjuntamente por ambas Universidades. Si bien dicho título no agrega incumbencias a los de grado -que habilitan para el ejercicio profesional-, brinda testimonio de la capacitación del Magíster en esa compleja especialidad.

El Plan de estudios, que contempla una carga horaria obligatoria de 704 horas, cumple con la totalidad de los requisitos para ser acreditada ante la CONEAU.

Cabe destacarse el hecho que significa la concreción de la primera Maestría dictada entre las dos principales universidades del país, en cuanto a formación de ingenieros, con la participación del CPIC, el cual pone a disposición su infraestructura administrativa e instalaciones para el dictado de las clases.

AUTORIDADES DEL CPIC

PRESIDENTE

Ing. Civil Roberto José Policichio

VICEPRESIDENTE

Ing. en Construcciones Silvio Antonio Bressan

SECRETARIO

Ing. Civil Edgardo Fabio Estray

PROSECRETARIO

Ing. Civil Armando José Gagliano

TESORERO

Ing. Civil Pedro Francisco Rosa

CONSEJEROS TITULARES

Ing. Civil Carlos Inocencio Avogadro

Ing. Civil Alejandro Del Águila Moroni

Ing. Civil Pablo Luis Diéguez

Ing. Civil Mónica Isabel Vardé

Ing. Civil Horacio Mateo Minetto

CONSEJEROS SUPLENTES

Ing. Civil Bruno Roberto Agosta

Ing. Civil Juan Pablo Alagia

Ing. Civil Patricia Lucía Anzil

Ing. en Construcciones Alejandra Raquel Fogel

CONSEJERO TÉCNICO TITULAR

MMO Humberto Guillermo Lucas

CONSEJERO TÉCNICO SUPLENTE

MMO Diego Adrián Kodner

GERENTE

Ing. Civil Victorio Santiago Díaz

Turn static files into dynamic content formats.

Create a flipbook
Issuu converts static files into: digital portfolios, online yearbooks, online catalogs, digital photo albums and more. Sign up and create your flipbook.