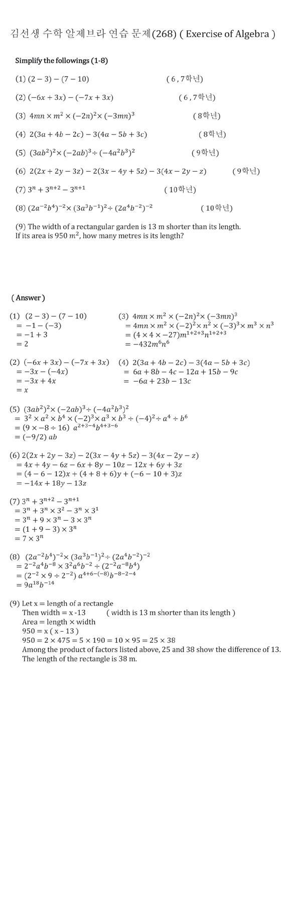
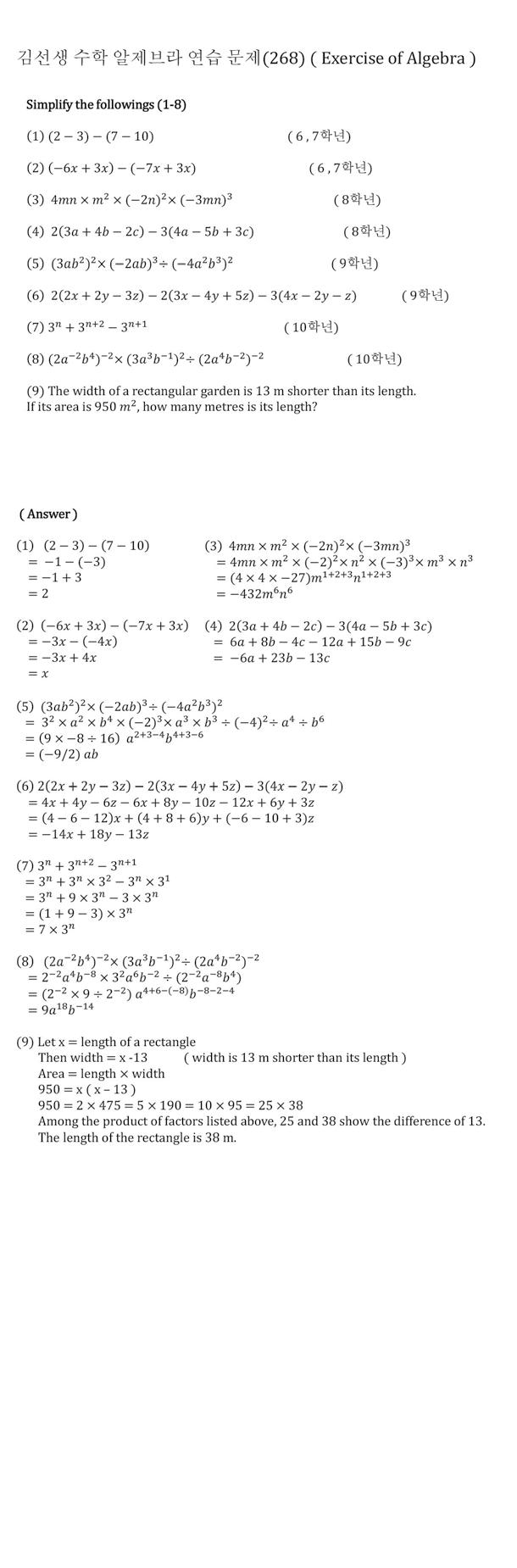
QLD KOREAN LIFE - V1056

Page 1


커피 애호가라면 누구나 한 번쯤은 가보았을 그 커피숍, 블루보틀의 이야기. |

이미 많은 브런치와 블로그의

작가분들께서 오래전부터 블

루보틀의 역사와 이야기들에 대해서 많은 이야기를 들려주 셨고, 블루보틀의 다양한 이

야기들은 책으로 출간되었을 정도로 많이 다루어져 왔다. 그렇기에 오늘의 글에는 한국

의 커피시장에 진출한 지 5년, 이미 흑자전환 후 사랑받는

어색하지 않은 브랜드로 자리

매김한 블루보틀에 대하여 자

유로이 다양한 이야기들을 해

보고자 한다.

블루보틀은 2019년 5월 3일

서울 성수동에 한국 1호점이

오픈되었다. 오픈 첫날 새벽

부터 줄을 서고 웨이팅 하며

커피를 사서 마시는 시민들

의 모습으로 블루보틀의 모습

은 브랜드를 잘 모르던 사람

들에게 다소 신기하고 생소하

시절 베이커리나 슈퍼에서 파

는 인스턴트커피를 일컫는 말

로, 이때는 퀄리티보다는 저

렴한 가격으로 일상에 접목시

키는데 많은 브랜드들이 포커

스를 두었었다. 그리고 90년

대 이후 스타벅스가 등장하

였고, '제2의 커피 물결'이 일

며 시장은 저렴한 인스턴트가

아닌 높은 퀄리티의 커피시장

으로 눈을 돌리게 된다. 한국

드립으로 시간과 정성을 들여 커피를 내려주는 모습은 더욱 이 특별하고 신선하게 다가왔 을 것이다. 새로운 커피 바람 의 지각변동은 서서히 특별 한 경험에 소비자들이

게 느껴졌을 수 있다. 느리지

만 맛과 퀄리티에 진심을 보

이는 커피숍의 모습은 스타벅

스나 이디야, 할리스 등의 기

존시장의 커피브랜드가 일상

화되어 있는 현대인들에겐 새

롭게 느껴질 수밖에 없었을

것이고, 나만의 커피 브랜드

를 찾아 나선 소비자들이 정

착하기엔 너무 완벽한 브랜드

모습이 담겨있었기에 끌리기

에서도 많은 스타벅스를 포함 브랜드들이 생겨나고, 어느덧 커피브랜드는 많은 사람들의 편안한 공간으로, 그리고 맛 좋은 커피를 제공하는 선택 지로 자리를 잡아가면서 카페 열풍이 불기 시작했다.

속 해있는

이유는 너무나도 단순하다.

국내에서 카페열풍이 한참이

던 2010년 즈음, 미국의 서부 지역을 중심으로 '제3의 커피 물결'이 시작되었고, 스타벅 스보다 훨씬 좋은 원두를 사 용하며 색다른 로스팅기법

에는 충분했을 것이다.

품질에서도, 브랜드로서도

과 맛, 경험을 담아낸 블루보 틀과 필즈커피 등이 시장에서 소비자들에게 알려지기 시작 하였다. 기존의 빠른 시간 내 에 빠르게 커피를 내리는 것

에 포커스를 두었던 커피브

완성도가 높다는 점을

주목한다.

|

미국 캘리포니아주 오클랜드

랜드가 아닌, 로스팅에도 신 경을 쓰고 니즈에 맞춰 핸드

섬세함에 집중한다.

커피업계의 애플이라 불리는 중요한 이유, 브랜드에 집중할 수 있는 심플함을 추구한다. | 최고의 제품을 원하는 사람을 위한다. 두 브랜드가 소비자 에게 제공하고자 하는 철학의 공통점이다. 애플은 사용성에 서도, 감성이서도 결코 소비 자들에게 뒤처지는 트렌드 를 제공하지 않기 위해 끊임 없이 발전해 왔고, 느림의 미 학이라는 철학을 담아내어 최 상의 품질과 경험을 제공하는

에 2002년 처음 문을 연 블루

보틀은 20년도 채 안 되는 짧

은 기간에 '커피계의 애플'이

라 불리며 유명 브랜드로 시

장에 자리 잡았다. 블루보틀

이 시장 내 인기의 흐름을 알

기 전에 시장의 흐름을 알 필

요가 있다. 기존의 커피 시장

흐름을 3단계로 나누어 놓은 흐름전환의 맥락을 '커피시장

의 물결'이라 부르는데 지금

시장까지 총 3번의 물결이 일

었고, 그 첫 시작은 90년대 이 전의 인스턴트커피 붐에서 시 작되었다.

'제1의 커피 물결'은 90년대

이전, 커피숍이 다소 소비자

블루보틀의 다양한 굿즈들

블루보틀 또한 지속적으로 동

일한 방향에 맞추어 노력 중

이다. 매장에서도 경험에서도

두 브랜드는 소비자들이 사용

하는 시간에 브랜드를 최대한

낮은 위치에서 자유롭고 편안

하게 즐기기를 바라고 있다.

애플은 자유로이 매장에서 대

기 중인 직원들의 모습에 그

런 부분들이 비추어지고, 오

픈데스크를 반영하고 데스크

높이를 낮추어 소비자들에게

더욱 개방하고 다가가려 하

는 블루보틀 또한 같은 모습 이다. 편안한 기억과 매력적 인 경험들이 담긴 단 한 시간

의 시간은 브랜드 팬이 되기

엔 충분하다.

2030이 애플과 블루보틀에 반응하는 이유

|

2030이 SNS를 통해 자신의

일상과 경험했던 기록을 다

른 사람과 공유하는, 흔히 경 험적 소비행태를 적극적으로

반영하는 세대인 만큼 그들이

원하는 니즈에 비주얼적인 트

렌드가 최적화되어 있는 브랜

드, 블루보틀이다. 굿즈와 매

장분위기에 담겨있는 미니멀

함과 편안한 분위기는 그들을

사로잡기엔 충분했을 것이다.

초기 웨이팅이 있던 시절 6천

원이 넘는 커피를 1시간이나

기다려서 마신다는 생각을 한

적이 있다면 트렌드에 대한

생각을 긍정적으로 돌려야 할

일상의 어디에나 적용하기 좋은 굿즈, 매력적인 아이덴티티 |

브랜드를 소비자들이 집에 보 관하기 좋은 방법, 바로 다양 한 굿즈와 브랜드 아이덴티 티가 담긴 제품을 소비자들이 구매하는 행위이다. 블루보틀 의 굿즈는 이전에 다루었던 퍼센트아라비카와 마찬가지 로 심플한 하얀색 제품에 로

고만이 새겨져 있다. 이는 단

순하고 아이덴티티 노출에만

초점을 둔 것이 아닌, 이것을

들고 다니고 SNS 등에 자랑 하는 소비자에 대한 배려도

비주얼적인 형상에 담겨있음

을 알면 좋다. 블루보틀의 굿

즈는 다른 브랜드의 붐과 달

리 눈에 띌 정도로 높은 매출 을 기록하였고, 지금도 인기 가 많은 편이다.

필요가 있다.

지금의 2030 세대 기반의

SNS 구매력 및 소비지표는

4050 세대의 소비에까지 영

향을 주고 있으며, 향후 시장

에 어떠한 흐름을 가져올지

는 아무도 모르기 때문이다.

소비자에게 더욱 닿기 위해 움직이는 블루보틀, 커피트럭 |

블루보틀 커피 트럭은 블루보 틀커피의 창업자인 제임스 프 리먼이 20년 전 작은 커피 카 트에서 사업을 시작한 것에

서 영감을 받았다고 한다. 필

어떻게 브랜드를 내 삶에 녹여낼 수 있을까? | 블루보틀은 단순하지만 철학 이 있다. 맥시멈 한 모습을 꿈 꾸는 사람에겐 다소 거리가 먼 브랜드일 수 있다. 단순하 면서도 본인의 철학이 담긴 삶을 살아가는 사람들에겐 동 질감을 느끼기에도 충분한 브 랜드일 수 있다. 얼마 전 서가 의 책에서 우연찮게 읽은 글 귀, '조언은 남을 위해서 해야 한다, 남의 위에서 하는 것이 아닌'이라는 문구가 자연스레 떠오르는 브랜드이기도 하다. 브랜드가 시장에서 인정받 아 고가로, 높은 위치로 올라 갈수록 소비자의 사소한 경험 보다 브랜드 이미지에만

2030이 단순히 비주얼적으

로 미니멀하고 매력적인 브

자는 블루보틀 커피트럭을 한

랜드에만 꽂히는 것이 아니란

점도 알아야 한다. 모든 배경

에는 항상 제품력과 퀄리티, 소비자 경험 여정에 대한 기

획자들의 수많은 아이데이션

과 노력이 담겨있어야 비로소

요소들이 하나둘 소비심리를

건드리게 되며, 가치를 알게

되어 소비로 이끌어졌을 때, 입소문과 트렌드의 반열에 오

르기 시작한다는 점이 중요 포인트라 생각된다.

강 노들섬에서 본 적 있는데, 그 시점이 한국 블루보틀 커

피트럭의 첫 여정이었다고 한

다. 맛있는 커피 한 잔에 집중

하고 고객의 경험을 중시하는

브랜드의 철학과 가치를 보다

가까이서 직접 체험할 수 있

게 한 새로운 커피경험 플랫

폼의 방향. 빈티지 에어스트

림 트레일러를 리모델링하

여 스토어의 형태를 갖춘 블

루보틀의 커피트럭은 자체의 고유 상징성과 경험을 그대로

독일을 비롯하여 스위스를 생

활권에 두고 사는 우리지만,

원래 세상 어디든 그곳이 '생

활 터전'이 되면 아름다움이

나 여유 따위는 보이지 않는

법이다. 파리나 밀라노 같이

이름만 들어도 낭만적인 유럽

도시에서 직장생활을 하면 한

손엔 커피를 들고 코트자락을

휘날리며 멋지게 시내 한복판

을 가로질러 출근할 것 같지

만, 현실은 한국에서와 마찬

가지로 사람들 틈에 끼어 앞

만 보고 가기에도 바쁘고, 어

느새 내 일상은 집-회사-집-회

사로 가득 차 있다.

스위스도 그랬다. 세계에서

제일 예쁘다는 장관을 가졌

다지만 일상의 벽 앞에선

예쁜 모습이 모두 종

적을 감추었다. 그리

고 비로소 여행자의 시선

으로 보았을 때 그 진가가 드

러나기 시작했다.

남편과 주말을 이용해 짧은

여행 위주로 즐기다가 우리는

지난여름에 가족과 함께 제법

긴 스위스 일주를 했다. 독일

과 가장 가까운 바젤에서부터

루체른, 취리히, 베른, 인터라

켄, 융프라우, 체르마트 그리

고 마테호른까지 스위스 관

광의 중추를 모두 거치는 여

행이었다. 스위스는 도로가

잘 닦여 있어 자동차 여행을

하기에도 편안하다. 그렇지만

차 없이 여행하는 편이 더 좋

으며, 특히 스위스 열차를 마

음껏 경험해보시길 추천한

다. 느린 열차에서부터 고속

열차, 그리고 특급열차까지

스위스 기차의 세계는 무궁 무진하다.

그중에서도 우리의 눈과 입

그리고 편안함까지 모두 사

로잡은 기차는 "Glacier Panorama Express 빙하 파노라마 특급열차"였다.

스위스의 파노라마 특급열 차는 Premium Panoramazüge(프리미엄 파노라마

열차

날씨가 좋은 날의 특급열차는 스위스를 즐기기에 제격이다. 더 높은 고도를 향해 가는 빙하특급 열차. 산과 기차의 색 조화가 예쁘다.

기차)라고 불리며 총 5개의

노선을 운행 중이다. 노선에

따라 스위스 트래블패스로 커

버되거나, 추가 예약이 필수

다. 우리가 탔던 글래시어 파

노라마 익스프레스, 즉 빙하 특급열차는 필수 예약 노선 이었다.

특급열차도 기차이기에 중간 에 원하는 역에서 하차할 수 있다. 다만, 파노라마 특급열 차는 말 그대로 '경치를 즐기 빨간 디자인이 눈에 띄는 빙하특급

빙하특급의 노선은 체르마트 와 생 모리츠를 연결하며, 노 선 전체 탑승 시 6시간 이상 소요된다.

당신이 모르는

초코파이의 비밀

릴리 / 브런치

초코파이를 좋아하시나요?

[

사랑하다 ] (사람이 무엇을) 매우 좋아해서 아끼고 즐기다

사랑하는 것과 좋아하는 것

은 비슷하지만 다르다. 사랑 한다고 말하면 좋아하는 것

이상의 의미를 갖는다. 나는 초코를 사랑한다. 초코가 들

어간 과자, 초콜릿아이스크 림, 초콜릿케이크, 초코가 들 어간 커피까지 모두 좋아한

다. 만약 누군가가 한국에서

멀고 먼 아프리카나 남미 한

복판의 마트에서 간식거리를

골라야 한다면 초코그림이 있 는 패키지를 고를 것을 추천

한다. 한 번도 먹어보지 못한, 태어나서 처음 보는 과자일지

라도 분명히 아는 맛이 느껴 질 것이다. 실패할 확률을 낮 춰준다. 그리고 그 선택이 혹

시나 현지 음식이 입에 맞지 않는 당신을 살려줄지도 모른 다. 물론 초코를 좋아하는 사

람에 한해 해당되는 말이다.

한국의 대표적인 초콜릿과자.

아무리 과자나 주전부리를 좋

아하지 않는 사람일지라도 초

코파이와 오예스를 모르는 사

람은 없을 것이다. 군대에 다

녀와본 적은 없지만 남자친구 들?을(남사친이라고 해두자)

군대에 보내본 적은 있어서

그런지 초코파이를 보면 괜히

좀 짠해지는 그런 마음이 생

기는 것도 같다.

"자기야, 일요일에 종교활동

을 하는데 절에 가서 초코파

이 받았어."

"자기야, 이번주에는 교회에 가서 초코파이 2개 받았어."

(종교가 없던 남자친구는 초

코파이를 받기 위해 절에도 가고 교회에도 가며 일요일

을 바쁘게 보냈다고 했다. 찌

질하다고 생각하지 말자. 찌

질과는 거리가 먼 아이였다.

내가 아는 모든 남자들이 그

저씨, 군인아저씨들에게 간단 한 간식을 하나 드리고 싶다 면 다른 초콜릿과자보다는 초 코파이를 드리게 된다. 드리 고 싶은 건 과자뿐만이 아니 라 감사한 마음도 함께니까. 초코파이는 정이니까.

렇게 이야기했다. 군대에 가

면 그렇게 배가 고프고 안 먹

던 것도 없어서 못 먹는다고.

배식할 때 국을 떠주는데 건

더기는 안 주고 국물만 가득

줘서 정말 화가 났다는 이야

기를 듣고는 안쓰러워서 눈 물이 날 뻔했으니까. 그땐 스

무 살이었고 줄리엣이고 싶 은 고무신이었다. 이해해 주 길 바란다.)

20여 년 전, 머나먼 러시아 뻬 쩨르부르크의 대형 마트에 서 초코파이를 보았을 때, 그

때의 기분을 아직도 잊지 못 한다. 러시아에서 초코파이가

그렇게 인기가 많다는 프란체

스카 언니의 말에 우리는 모

두 어깨가 한껏 올라갔다.

그날부터였나 보다. 초코파이

를 더 좋아하게 되었다. 장을

볼 때엔 초코파이를 보며, 버

스를 타러 갈 때엔 전광판에

커다랗게 반짝이는 삼성을 보

며 뿌듯했던 대한민국의 청춘

이었다.

초코파이와 정, 코카콜라도

울고 갈 기가 막힌 마케팅이

다. 초코파이는 정이다. 추운 날 고생하시는 택배기사님 께, 경비아저씨께 길 가다

이런 정의 초코파이에게 커 다란 오명이 씌워진 적이 있 었다. 초코파이 속 마시멜로 가 지구 한 바퀴를 돌아도 안 빠진다는 무시무시한 말. 아

마도 어디서 시작되었는지도

모르는 그 말 때문에 초코파 이의 매출이 꽤나 떨어졌을

지도 모를 일이다. 실제로 좋

아하던 초코파이를 잠시 동

안 먹지 않았고 먹을 때마다

약간의 불안감을 느끼며 먹 었다. "내 몸 어딘가에 마시

멜로가 붙어 있겠구나. 이때

까지 먹은 초코파이의 마시

멜로를 모두 빼려면 나는 과

연 지구를 몇 바퀴나 돌아야

한단 말인가." 생각하며 초코 파이를 베어 먹었다. 말이 안

된다고 생각은 했지만 그래도

느껴지는 찝찝함까지 어쩔 수

는 없었다.

확인 결과 마시멜로 속에는 살을 찌게 하는 트랜스지방이

전혀 들어있지 않다. (전문가

의 인터뷰로도 확인했다.) 맙 소사. 초코파이의 억울함은 누가 풀어준단 말인가. 많이 먹어서 달래는 수밖에 없다. 이제 지구를 돌 걱정 없이 마 음껏 초코파이를 즐기면 되겠 다. 촉촉하지만 쫀득하다. 적 당히 딱딱한 초코가 얇게 부 서지며 부드러움이 느껴짐과 동시에 쫜득한 마시멜로가 입 안을 감싸며 다시 초코와 함 께 비스킷인지 빵인지 모를 무언가가 들어온다. 이거 먹 으면 살찌는 거 아닌가 하는 걱정이 시작됨과 동시에 다 먹어버릴 테니 걱정 없다. 정 에 약해서 초코파이를 끊을 수가 없다.

오늘도 전남사친들?을 생각 하며 뻬쩨르부르크에서의 풋 풋했던 나를 떠올리며 초코파 이를 베어문다. 함께 하실 줄 리엣 계신가요?

쓰고 보니 오예스를 못썼다. 미안해 오예스야. 너도 사랑 하는데 오늘은 초코파이의 억 울함부터 좀 풀어줄게.

소년과 진료실 앞에서 차례

를 기다리고 있었다. 나는 마

치 시험을 치르기 위해 기다

리는 사람처럼 긴장됐다. '이

번에도 안 좋다고 하면 어쩌 지? 내가 생각한 게 맞아야 할

텐데...'

"박○○~"

아이의 이름이 불려 진료실

로 들어갔다. 매도 빨리 맞는

게 낫다고, 나는 자리에 앉자

마자 아이의 혈액검사 결과를

물었다.

"선생님, 당뇨 수치는 어때요?"

"음... 이제 괜찮아졌네요."

휴, 다행이다.

3개월 전, 아이의 혈액검사에 서 '전당뇨' 단계의 수치가 나

왔다는 말에 큰 충격을 받았 다. 가족력도 없고, 체중이 많

이 나가는 편도 아닌데 갑자 기 당뇨라니...!

"갑자기 왜 이럴까요?"

"그러게요. 2년간 한 번도 이 런 적이 없는데."

의사 선생님이 모니터 속 숫

'제로'

음료 꾸준히 먹은 아이의 충격적인

자들을 보다가 아이에게 물 었다.

"너 혹시 음료수 많이 마셨니?

무설탕, 제로 음료도 안돼."

의사 선생님은 일시적인 현상

일 수 있으니 3개월 후에 다시

혈액검사를 해보자고 하셨다.

아이는 2년째 대학병원 소아

청소년과에 다니고 있다. 또

래보다 키가 많이 작아 검사

를 해 본 결과, '성장호르몬 결

핍증' 진단을 받았다. 주사약

을 처방받아 내가 매일 집에

골드코스트

유니마트

혈액검사 결과

서 주사를 놔주고, 6개월마다 혈액 검사를 통해 아이한테

부족한 영양소나 이상은 없

는지를 체크한다. 그동안 별 다른 이상 소견이 없었는데 3 개월 전에 뜬금없이 '전당뇨'

단계에 해당하는 수치가 나

온 것이다.

아이한테 문제가 생기면 가장

먼저 자책을 하게 된다.

'내가 너무 아무 거나 먹였나

봐. 키 크라고 많이 먹으라고

만 했지 제대로 된 식단을 챙

겨주지 않았어. 다 내 탓이야.'

그 다음에는 걱정인형이 된 다.

'제1형 당뇨인가, 맨날 인슐린

주사 맞아야 하는 그런 병이

면 어쩌지? 혹시 다른 병이 있

어서 당뇨 수치가 갑자기 높 아진 건 아닐까?'

그러다가 이내 정신을 차렸 다. 나는 아이를 지켜야 할 엄

마니까. 현실로 돌아와 냉정

하게 생각했다.

'지난 6개월 사이에 얘가 뭘

자주 먹었지?'

그 시기는 여름방학 전후였

다. 곰곰이 생각하다가 딱 떠

오른 것은 인터넷에서 대량

으로 주문해 두고 먹었던 탄

산음료였다. 오렌지맛, 포도

맛 등 달콤한 탄산음료로 어

그냥 탄산음료가 아닌 '무설 탕' 탄산이었기에 조금은 안

심하고 사다 두었다. 아이들 은 여름방학 동안 그 음료를 물 대신 들고 다니며 먹었다. 거의 날마다 500ml 페트병 하나씩을 먹었다.

제품에 표시된 '무설탕'은 설 탕을 넣지 않았다 뿐이지, 당 을 첨가하지 않았다는 말이 아니다. 설탕 대신 액상과당, 올리고당 등 다른 원료를 사 용해 단맛을 낸 음료다. 이런 과당은 설탕에 비해 열량은

낮지만, 흡수가 2배 이상 빠

르기 때문에 무설탕 음료라고 해서 건강에 이롭다고 할 수

없다. 난 이걸 이미 알고 있었

으면서도 하루 한 병 정도는 괜찮을 거라고, 아이들이니

당을 좀 섭취해도 괜찮을 거

라고 안일하게 생각했다.

요즘 사람들의 관심이 건강 과 웰빙에 쏠리자 음료회사 에서는 무설탕 음료를 앞다

투어 출시하고 있다. 무설탕

음료를 보면 '제로'라는 표현 이 많이 적혀있다. '제로 슈가,

제로 칼로리'라는 의미인데, '

제로'만을 유독 강조한다. 음

료 진열장에서 이 문구를 대

하면, 이 음료가 내 몸에 미치

는 나쁜 영향까지 '제로'일 것

주었다.

그렇게 3개월이 지나 당뇨 수 치가 다시 정상으로 돌아왔 다는 의사 선생님의 말에 가 슴을 쓸어내렸다. 기분 좋게 진료실을 나와 아이에게 말 했다.

"뭐 먹고 싶어? 우리 맛난 거 먹으러 가자."

"아래층에서 도넛이랑 레모 네이드 먹자. 저번에 약속했 잖아."

아래층 혈액 검사실 앞에 도 넛 가게가 있다. 일주일 전, 혈 액 검사를 위해 왔을 때 아이 가 레모네이드를 먹고 싶어 했는데 사주지 않았다. 혈액 검사 결과가 좋으면 사주겠다 고 약속했었다.

릴 때 내가 콜라 다음으로 좋

아했던 음료가 무설탕 제품으

로 출시됐다.

출시 기념으로 할인행사를 해

서 맛이나 보려고 했는데, 박

스로 사는 게 훨씬 저렴했다.

아이들이 평소 음료를 좋아하

고, 날씨도 더워지고 있으니

많이 사두어도 괜찮을 것 같

았다. 처음에는 오렌지맛 한

박스를 구매했다. 예상대로

아이들이 잘 먹었다. 다시 포

도맛 한 박스를 더 구매했다.

같은 착각이 들었다. 몸에 좋

지 않은 탄산음료를 먹었다

는, 혹은 먹였다는 죄책감에

서 조금은 자유로운 기분이

들곤 했다.

갑자기 아이의 당뇨 수치를

올린 주범이라고 예상되는

걸 찾았으니, 확실하게 실행

에 옮겼다. 집안에 무설탕 음

료를 포함한 탄산음료와 주

스, 요구르트 등 음료를 사두 지 않았다. 아이들에게 밖에 서도 음료를 사 먹지 말라고

달콤한(내 눈에는 설탕덩어 리인) 도넛과 레모네이드를 마시며 아이가 행복해한다. "오늘만

한창 열정적으로 활동하던

시절 현직에서 물러난 선배

들과 대화를 나눈 적이 많았

습니다. 그 선배들이 우리들

에게 뭔가 도움이 되는 이야

기를 많이 해준 것 같은데 당

시에는 귀에 별로 들어오지

않았습니다. 노년의 삶은 당

시 우리들에게 아득한 세월

저 너머 언제 올지 모르는 먼

나라 시간이었거든요. 그때

조언하시는 선배들을 놀리면

서 술잔을 권하면서 쓸데없

는 걱정하신다고 오히려 타

박을 주기도 했지요. 저도 당

연히 당시 또래들과 호흡을

맞춰 선배들을 놀리곤 했습

니다. 봄여를가을겨울 사 계

절이 흘렀다고 그렇게 심각

하게 생각하지 않았습니다.

그저 시간이 가는가 보다라

고만 행각했었습니다.

그런데 그때 그런 말을 하

던 선배들 나이에 나도 모르

게 도달했습니다. 그 선배들

은 다시 저만큼 세월을 가득

안고 걸어가고 있습니다. 십

대 이십 대 청춘 때는 실감하

지 못했던 시간의 흐름을 여

실히 느낍니다. 시간이 왜 이

리 빨리 흘러갈까요. 나이가

들면 건강, 경제력, 소일거리, 친구 등등 여러 가지가 필요

하다는 선배들의 말씀이 아직

도 귀에 남았습니다. 그 중에

친구 문제에 대해선 요즘 생

각이 조금 달라진 것 같습니

다. 혼자 사는 것에 익숙해져

야 한다는 것이지요. 없는 친

구를 이 나이에 억지로 만드

는 것도 다 부질없는 짓입니

다. 세월이 흘러가는 대로 나

를 맡기는 것이지요. 물론 친

구가 없는 것보다는 있는 것

이 당연히 좋습니다.

그런데 이 나이가 되기 전에

는 친구가 없는 노년의 삶은

끔찍한 줄 알았습니다. 그 당

시 어느 친구가 나중에 내 곁

에 있을까도 헤아려 본 적도

있습니다. 이젠 그런 것이 별

의미가 없더군요. 주변 사람

들은 저에게 그렇게도 말합 니다.

"지금 모임도 많이 하고 사람

들을 많이 만나니까 친구 아

쉬운 줄 모르는 것이지. 나이

를 더 먹고 진짜 노인이 되면

친구가 없는 삶이 정말 외롭 다네. 너무 자신만만하지 말 게나."

저도 자신만만한 것은 결코

아닙니다. 단지 친구가 없으

면 당장 죽을 것 같이 외로울 것이라는 사람들의 말이 이해

가 되지 않는 것뿐이지요. 현

직에서 물러나고 노년세대의

삶을 살아보니 지금이 오히려

여유가 있고 하고 픈 일을 할

수 있는 기회가 훨씬 많아진

듯합니다. 특히 뭔가에 구애

받지 않고 책을 마음껏 읽거

나 재미있는 영화를 넷플릭스

로 편하게 볼 수 있다는 것이

친구가 없는 삶을 충분히 대

체해 주는 것 같습니다. 저의

잘못된 생각일까요.

낮에 아내와 아이들이 모두

출근하고 없는 집에 혼자 있

다가 잠깐 외출하려 하는데,

옆 집 주인 아저씨도 저와 함 께 엘리베이터를 탔습니다.

아주 반갑게 인사를 나누었

습니다. 그 분은 저보다는 한

참 연배가 있으신 분이십니

다. 오전에 인근 목욕탕에 가

서 한나절 보내고 오시는 것

이 삶의 유일한 낙이랍니다.

친구들과 목욕하고 점심을

같이 먹는 어쩌면 단순한 일 과인데도 노후에 최고 낙이

라면서 웃으셨습니다.

나이가 들면 혼자 살아야 한다

by 길엽 / 브런치

손주들 올 때 좋습니다 갈 때 더 좋습니다

가끔은 친구들과 내기 당구

도 하시는가 봅니다. 전 당구

도 카드도 고스톱도 골프도

전혀 하지 못합니다. 지금 당

장 그런 것을 배우고 싶다는

생각도 별로 들지 않습니다.

그냥 다른 사람들이 그런 것

을 하면 그런가 보다 하고 담

담하게 받아들입니다. 지금

까지 그렇게 살아왔기 때문

이겠지요. 이 분께 오후에 어

딜 가시느냐고 물었더니 이

렇게 답합니다.

"조금 있으면 설이라고 손자

손녀들이 올 텐데 야~들이 먹

을 거리를 미리 사러 갑니다.

그리고 집에 돌아갈 때 싸주

려고 합니다. 용돈은 따로 준

비해야 하겠지요. 손자 손녀

들이 온다고 생각하니 한 달

전부터 기다려집니다. 댁에 3

남매는 언제 결혼할지 기색이 보입니까?"

갑자기 우리집 3남매 결혼 소 식 여부를 물어봅니다. 아직

전혀 없다고 답하니까 그 분 께서 열심히 손주들 이야기 를 하십니다. 그래서 손주들

이 오면 그렇게도 좋으시냐고 물었습니다. 물론 저도 우리

집 아이들이 손자 손녀를 데 리고 온다면 정말 좋을 것이 지만 말입니다. 그러자 그 분 말씀이 이랬습니다.

"손주들 올 때 좋습니다. 그리 고 다시 갈 때는 더 좋습니다."

너털웃음을 지으시면서 크 게 웃었지요. 저도 덩달아 웃 었습니다. 그 분께서

작 서 비 스

강조되고 있 습니다. 주기적인 소독은 바이러스를 소멸시키고 감

염 확률을 줄일 수 있기 때

문인데요.

하지만 우리가 자주 사용하

는 소독제에는 여러 화학 물질이 들어가 있고 사용할

수록 화학 물질에 노출되는

빈도가 높아지는 것도 사실

입니다. 또한 소독제를 무

분별하게 사용하면 내성이

생길 수 있다는데 사실일

까요? 살균과 소독은 ‘균을

죽인다’는 의미에서 같지만

약간의 차이가 있습니다.

세균은 자신이 생존하기 힘

든 상황이 되면 세균 내부

에 포자낭과 포자를 형성하

는데 세균이 죽게 되면 ‘포

자낭’만 남게 됩니다. ‘소독’

은 세균을 죽이지만 포자를 없애지는 못하는 행위이고

‘살균’은 병원체와 포자 모

두를 사멸시키는 것입니다.

우리가 흔히 말하는 손소독 제는 살균이 아니라 ‘소독’ 에 중점을 맞춘 제품이라고 보면 됩니다. 소독제들을 자주 사용하면

만약 이 중에 갈 수만 있다

면 어떤 대학을 가고 싶은 가? 서울대, 옥스퍼드대, MIT, 스탠퍼드대, 하버드대.

모두 유명 대학이지만 단연

코 하버드라는 대답이 가장

많을 것 같다. 이유는 간단 하다. 세계에서 가장 유명한 대학이기 때문이다.

하버드에서는 150년 동안

글쓰기 교육에 매진했다. 리

더에게 꼭 필요한 능력이라 판단하기 때문이다. 하버드

대학 졸업생 1,600명을 대

상으로 지금 일에서 가장 중

요한 것이 무엇인가'라는 질

문을 했다. '사교성, 리더십, 창의력 등'이 나올 것으로

예상했지만 90%가 글쓰기

가 중요하다 답했다. 글쓰

기를 더 배우지 못한 걸 후

회했다.

그게 뭐가 중요한데?. 어차

피 하버드 갈 생각도 없어.

글쓰기 중요한 건 아는데 써

먹을 일이 있어?라고 생각

할 것이다. 관심 없는 당신 도 하루도 빠짐없이 하고 있

는 게 글쓰기다. 회사원이라

하버드 졸업생 90%가 후회하는 한 가지

면 보고서, 메일, 기안서를

올린다. 글쓰기 없이 불가능 한 일 들이다. 일생 생활에서

더 밀접하다. 문자나 카카오

톡을 한다. 이것 또한 글쓰

기 없이 불가능하다. 메일이

나 문자를 볼 때 '이게 무슨

말이야?'라고 느낀 적이 있

지 않은가? 반대로 자신이

쓴 글이 상대방을 그렇게 느

끼게 한 적은 없는가? 글쓰

기를 잘하면 의사소통이 편

해진다. 의사소통이 편해지

면 살아가는데 유리한 면이

많아진다. 결국 글쓰기를 잘

하면 살면서 편해지는 것들

이 많아진다.

이래도 글쓰기가 중요하지 않다고 생각하면 이 글을 쓰

레기통에 처박혀도 좋다. 글

쓰기에 관심 없지만 아직까

지 붙잡혀 있다면 내 글쓰기

에 설득당하고 있는 것이다.

한 명은 있을 거라 생각한

다. (있길 바란다) 논점은 글

쓰기를 잘하면 삶에 있어 유

리해지는 게 많다는 것이다.

그렇게 깨닫고, 어제 반차를

내고 도서관에 갔다. 글쓰기

관련 책 7권을 빌렸다. 처음

읽은 책은 송숙희 저자의 '

초등학생을 위한 150년 하

버드 글쓰기 비법'이다. 글

쓰기에 대해 지식이 별로 없

어 초등학생도 이해하기 쉬

운 책을 읽고 싶어서였다. 이

글이 쓰이고 있는 이유다.

요즘 시간이 있을 때 과거 내

가 쓴 글들을 읽는다.

지금도 부족한 글쓰기 실력

이지만 과거에는 아주 개판 이다. 특히 말이 맞지 않은 경우가 많다. 이 책을 읽고

나서 이유를 알았다. OREO 를 몰랐기 때문이다. 하버드

대학에서는 OREO 기법으 로 글쓰기를 교육한다고 한 다. 뿐만 아니라 MIT, 맥킨 지, 도요타, 아마존, 구글에 서도 OREO 기법을 강조한 다. 그만큼 이 기법이 글쓰 기에 도움이 된다는 뜻으로 해석해 본다.

OREO란 opinion (주장)reason (이유) - example (예시) - opinion/offer (주 장 강조 및 제안)이다. 말로 설명이 어려우니 예시를 들 어보겠다.

주장 : 글쓰기는 사고력을 좋게 만든다.

이유 : 글쓰기를 통해 생각

을 정리하고 구조화할 수 있

기 때문에 논리적인 사고를 기를 수 있다.

예시 : 연구에 따르면 글을

쓰는 과정에서 뇌 활동이 촉 진된다고 한다. 또한 문제 해결 능력과 창의성까지 좋 게 만든다.

주장 강조 및 제안 : 글쓰기

는 사고력과 의사소통 능력 을 기를 수 있는 도구이다. 사 고력이 좋아지면 일상생활 에서 발생하는 문제를 쉽게 해결할 수 있다. 즉 의사 결 정 능력이 좋아진다. 남들보 다

원 프로와 나누는 골프이야기

by 티칭 프로 원성욱 (0402 598 961)

안녕하세요? 후덥지근한 날씨로 고생이 많으

시죠? 유달리 습도가 높은 올 여름은 연습하

기도, 코스에서 라운딩 하기도 힘든 조건입니

다. 그래도 자신의 스윙을 멋지게 만들어서 공

이 멋지게 날아가도록 하고싶은 마음에 열심

히 연습을 하고 있으리라 생각합니다.

그런데 스윙 연습을 하는 분을 보면 가끔은 왜

연습을 하는지 또는 무슨 연습을 하는지 알 수

없는 연습을 하는 골퍼를 볼 수 있습니다. 백스

윙을 연습하면서 그 이유와 목적을 단순히 “보

기 좋을 것 같아서”라고 하던지, “피니쉬 자세

가 이쁘지 않다”고 하는 골퍼도 많이 만나게 됩니다. 그런데, 골프는 무용이 아닙니다.

프로 선수들의 스윙을 보면 정말 힘차면서 부

드럽고 화려한 마무리를 느낄 수 있습니다. 거

기에 눈에 띄는 디자인과 색깔의 옷이 한층 멋

지게 해 줍니다. 그들의 스윙이 멋진 이유를 아

시나요? 균형 잡힌 어드레스 자세와 동작이 멋

짐을 뿜어 냅니다. 그렇다면 그 균형 잡힌 멋진

스윙을 왜 할까요? 당연히 공이 잘 맞도록 하

는 동작이겠죠? 스윙을 잘 한다는 것 그리고

잘 만드는 것은 공이 잘 맞아야 합니다. 아무리

좋은 모습의 동작을 만들어도 공을 못 맞추거 나 공이

해야 하는 스윙이죠.

스윙 연습, 만약 백 스윙을 고치고 있다면 그 동작을 고쳐야 하는 이유와 고친 후의 결과를 미리 알아야 합니다. 그런 동기와 목표가 없이 ‘무작정 남들이 하니까 나도 한다!’는 듯한 무 의미한 연습은 이제 그만 해야 하겠죠. 다운 스 윙을 할 때 ‘수직 하강’ 연습을 하시나요? 그 연 습을 하는 동안 어떤 실수가 나왔고 어떤 결과 를 가졌나요? 피니쉬에서 오래동안 정지 자세 를 하고 있을 수 있나요? 아니면 피니쉬 자세 를 했는지 안 했는지 기억이 나지 않나요? 피 니쉬 자세를 하고 있으면 허리가 아픈가요? 그 래서 자세를 바꿔보면 영 공이 맞지 않습니다. 스윙을 교정하는 중에는 공이 잘 맞지 않는 것 이 사실입니다. 만약 동작 수정이 된 후라면 공 이 잘 맞아야 하겠죠? 하지만 교정 과정 중에 는 잘 맞기도 하고 안 맞기도

사춘기 아들과 잘 지내는 방법

캐나다의 가을 미식 여행지

‘온타리오’ 가을 미식 여행 Taste of Ontario -

온타리오주는 한국인들이 가장 사랑하는 캐나다 여행지다.

온타리오는 캐나다 정치, 경제, 문화의 중심으로, 수도 오타와

와 가장 큰 도시인 토론토가 있다. 여행지로도 제격이다. 나이 아가라 폭포, 토론토의 화려한 스카이라인 등 화려한 볼거리 는 물론 카누, 낚시, 하이킹, 트레킹 같은 액티비티도 다양하 다. 온타리오 여행이 매력적인 이유가 하나 더 있는데, 바로 ‘ 미식(Gourmet)’이다.

토론토에서는 캐나다의 파인다이닝을 경험하고, 로컬 밥상 을 들여다볼 수 있는 킹스턴 퍼블릭 마켓과 세계 정상을 사로 잡은 맛을 오타와에서 확인할 수 있다면, 나이아가라 지역에 서는 인생 와인을 찾을 수 있고 무스코카에서는 크랜베리로

대표되는 제철 식재료들을 맛볼 수 있다.

그렇다면 온타리오 여행을 위한 최적의 시기는 언제일까?

사실 언제 가도 좋지만, 좀 더 여유롭고 쾌적하게 즐기려면

9~10월 가을이 정답이다. 특히, 가을은 크랜베리를 포함해

여러 식재료의 맛이 깊어지는 시기이고, ‘온타리오 서클 루

트(Ontario Circle Route)’를 따라 단풍놀이도 가능하다. 온

타리오 서클 루트는 온타리오 주요 도시와 미식, 가을 풍경, 어트랙션 등을 아우르는 약 1,400km의 여행길로, 밀도 높은

온타리오 여행을 원한다면 꼭 기억해야 한다. 출발점은 토론

토를 추천하는데, 대한항공과 에어캐나다가 인천-토론토 직

항 노선을 운영하고 있다.

[ 오감 만족 미식 루트 5 ]

1. Toronto

아름다운 도심 속 파인다이닝 - 토론토

파인다이닝은 예술이자 사치품이다. 경제, 사회, 문화가 고 도로 발달한 지역일수록 파인다이닝의 수준도 높을 수밖에 없다. 캐나다에선 토론토가 1순위다. 캐나다의 중심지로, 토

론토 시내에만 300만명 이상이 거주하며, 토론토 주변을 둘

러싼 4개의 지역을 더한 광역 토론토 지역(Greater Toronto Area)까지 포함하면 670만명 이상이 거주한다. 캐나다에서

가장 많은 인구를 보유한 대도시권역이며, 명소로는 CN타 워, 온타리오 미술관, 로열 온타리오 박물관, 토론토 아일랜 드 등이 있다. 또 국제적 다양성을 기반으로 한 미식 문화도 돋보인다.

미식과 도심 하나라도 놓치기 싫은 여행자라면 이 레스토랑 들을 기억해 두자. 먼저 캐나다 최고의 레스토랑 100에서 18 위에 이름을 올리고, 미쉐린 가이드에도 등재된 ‘카누 레스토 랑(Canoe Restaurant)’이다.

이곳에서 캐나다 음식의 정수를 경험할 수 있다. 훈제한 온타 리오 사슴고기 타르타르, 54시간 동안 천천히 조리해 극강의 부드러움을 선사하는 소갈비, 대서양 연어, PEI산 로브스터 등 캐나다 현지 식재료와 제철 재료를 활용해 고급스러운 음 식을 선보이고 있다. 또 TD 뱅크 타워 54층에 자리해 도심과 온타리오 호수를 파노라마 뷰로 감상할 수도 있다.

온타리오 호수 인근 웨스틴 하버 캐슬 호텔의 ‘돈 알폰소 1890(Don Alfonso 1890)’도 있다. 호텔 38층에 있는 이탈리 안 레스토랑으로 식사하며 도심 스카이라인과 토론토 하버 를 조망할 수 있다. 퀘벡 머스코비 오리, PEI 참치, 매니토바 소고기 등 캐나다의 유명한 식재료를 활용한 시그니처 코스 를 경험할 수 있다. 특히, 이곳은 지중해풍 분위기와 로컬 재 료를 현대적으로 표현했다는 평을 받으며 미쉐린 가이드 토

론토에서 1스타 레스토랑으로 이름을 올렸다.

게다가 토론토는 여전히 미쉐린 가이드가 발간되는 도시다.

2023년에는 2스타 레스토랑 1곳과 1스타 15곳, 빕구르망 21 곳을 포함해 총 82곳이 미쉐린 가이드에 이름을 올렸으며, 음식 스타일도 프렌치, 컨템퍼러리, 이탈리안, 일식 등 다양 하다.

2. Kingston

로컬에 스며들기 - 킹스턴

캐나다의

이곳은 무려 1801년부터 킹스턴 사람들의 밥상을 책임지고 있다. 현지에서 재배한 로컬 농산물과 음식을 판매하며, 꽃과 수공예품도 찾아볼 수 있다. 기념품으로 좋은 온타리오 메이 플 시럽, 여행 중 꼭 맛봐야 할 제철 채소와 과일, 합리적인 가

격의 주얼리, 향초도 있다. 또 이자벨라 이모가 직접 그린 그

림이 새겨진 그릇도 지갑을 열게 만든다. 킹스턴 퍼블릭 마켓

은 3일장(화, 목, 토)으로 4~10월에는 오전 8시30분부터 오후

4시까지, 11~3월에는 오전 9시부터 5시까지 열린다.

킹스턴에서는 역사와 미식문화를 동시에 체험할 수 있는 프

로그램도 운영하고 있는데 현지인과 함께 건축물의 역사를 알아보고, 유명한 로컬 레스토랑을 방문해 근사한 식사를 즐 길 수 있다.

3. Ottawa

세계 정상을 사로잡은 맛 - 오타와

캐나다 수도이자 오랜 역사를 자랑하는 ‘오타와’. 국회의사당 과 전 세계의 대사관이 있어 세계 각국 정상들의 입맛도 책 임지고 있다.

여행자는 레스토랑과 요리학교, 미식 체험 스폿 등 다양한 방식으로 오타와의 맛을 경험할 수 있다. 오타와 미식계 에서 가장 주목받는 레스토랑 중 하나인 ‘레스토랑 에잇틴 (Restaurant e18hteen)’은 프랑스 조리법과 지역의 제철 재 료를 활용한 컨템퍼러리 파인다이닝을 선사한다. 세계적으 로 유명한 요리학교인 ‘르 꼬르동 블루 오타와(Le Cordon Bleu Ottawa)’에서 원데이 클래스(클래식 요리·마카롱 만 들기 등)를 참여하고, 젊은 셰프들의 창의적인 메뉴를 맛볼 수 있는 ‘시그니처 레스토랑(Signature Restaurant)’도 방

문할 수 있다.

오타와의 미식의 기반을 확인하려면 ‘바이워드 마켓(ByWard Market, 1826년 오픈)’으로 향하자. 오타와에서 가장 오래되 고 큰 시장으로, 600여 개가 넘는 노점상에는 신선한 농산물, 메이플 시럽 등을 판매하고 있다. 농부와 소상공인이 직접 운 영하는 파머스 마켓, 수많은 식당과 펍, 카페 등도 있다. 캐나 다 국민간식인 ‘비버테일(Beaver Tail)’도 놓치지 말자. 바이 워드 마켓 조지스트리에서 탄생한 비버테일은 밀가루 반죽을 튀겨 내 다양한 토핑을 올려 먹는 음식이다. 시나몬과 설탕, 누 텔라, 바나나, 휘핑크림 같은 달콤함을 더해도 좋다.

4. Muskoka 크랜베리의 모든 것 - 무스코카

동화 같은 휴양지 ‘무스코카’에는 특별한 식재료가 있다. 붉 은 빛깔로 우리를 매혹하는 ‘크랜베리(Cranberry)’다. 온타 리오의 단풍이 무르익는 9월 말~10월은 크랜베리를 수확하 는 시기이다. 무스코카의 특산품인 크랜베리는 항산화 물질

이 풍부하고, 단맛과 신맛의 균형이 좋다. 과육은 사과처럼 아 삭하게 씹힌다. 덕분에 지역의 제과점, 카페, 레스토랑과 와이

너리는 무스코카산 크랜베리를 활용해 주스, 와인, 잼, 소스

등을 선보이고 있다.

레이크 팜 & 와이너리(Muskoka Lakes Farm & Winery)’ 농장을 방문하는 것도 추천한다.

크랜베리 여행의 하이라이트는 ‘발라 크랜베리 축제’다. 1984년부터 매년 10월에 열린 축제로, 1만4,000명이 넘는 방문객들이 모여든다. 알곤퀸 국립공원부터 무스코카까지 단풍을 구경하고, 크랜베리의 모든 것을 즐길 수 있다.

5. Niagara Region 인생 와인의 발견 - 나이아가라 폭포 지역

가을의 ‘나이아가라’는 폭포 그 이상의 여행지다. 경이로운 자연 너머에 ‘와인’이라는 보석이 기다리고 있으니까. 나이아 가라 폭포 지역은 비옥한 토양과 서늘한 기후(9~10월) 덕분 에 와인 양조에 적합하다. 리즐링, 샤르도네, 피노누아, 카베 르네 프랑 등의 품종을 수확할 수 있고, 품질도 우수하다. 50 개 이상의 와이너리, 전 세계의 와인 애호가들의 성지가 된 건 어쩌면 당연한 결과다.

그중에서도 약 30개의 와이너리가 ‘나이아가라 온 더 레이크 (Niagara-on-the-Lake)’에 몰려 있다. 이 지역의 수준 높은 와인을 맛보고 싶다면 ‘펠러 에스테이츠 와이너리 & 레스토 랑(Peller Estates Winery & Restaurant)’으로 향하자. 50년 이상 고품질의 와인을 생산해 왔으며, 2006년과 2014년에는 올해의 캐나다 와이너리상을, 2018년에는 올해의 온타리오 와이너리 상을 수상했다. 게다가 와이너리 투어와 와인 & 다 인 프로그램(사전 예약 필수)도 준비돼 있다. 또 나이아가라 폭포 주변에서 와인을 기울이고 싶다면 ‘테이블 록 하우스 레 스토랑(Table Rock House Restaurant)’을 메모해 두자. 현 지에서 생산한 맥주와 와인, 호스슈 폭포가 어우러져 여행의 완벽한 마무리를 선사한다.

차 이 나

호주의 인기 저가 항공사인 젯스타가 일본 도시를 오가는 항공편을 대상으로 기 간 한정 '플라이 프리' 세일을 실시한다. 단 72시간 동안만 제공되는 '무료 편도 항 공편' 세일을 통해 브리즈번, 케언즈 또는 시드니에서 출발하는 출국 항공편을 예 약하면, 지정된 날짜에 도쿄 또는 오사카에서 돌아오는 귀국 항공편을 무료로 이 용할 수 있다.

케언즈에서 오사카로 가는 편도 요금이 337달러부터 시작하는 등 저렴한 출발 요금으로 합리적인 해외 휴가를 찾는 여행객을 유치하는 것이 이번 프로모션의 목표다.

마찬가지로 브리즈번-오사카(간사이) 항공편은 최저 476달러부터 시작한다. 여 행객들은 72시간 세일 기간 동안 항공편을 예약하면 2024년 2월 말부터 12월 초 까지 무료 왕복 여행권을 확보할 수 있는 기회를 잡을 수 있다.

이번 '플라이 프리' 프로모션은 젯스타가 최근 보잉 787 드림라이너 항공기의 이 코노미 및 비즈니스 클래스 객실 개선을 목표로 수백만 달러 규모의 기단 업그레 이드를 발표한 데 이어 나왔다.

이번 업그레이드에는 비즈니스 클래스 좌석을 21석에서 44석으로 늘리고, 기내 Wi-Fi를 제공하며, 장거리 비행을 위해 승무원 휴게 공간을 개선하는 등의 내용이 포함됐다. 이러한 개선 사항은 프리미엄 서비스에 대한 수요 증가에 부응하는 것 이지만, 젯스타는 기존의 기내 엔터테인먼트 스크린을 없애기로 결정했다. 대신, 모든 이코노미 및 비즈니스 좌석은 인체공학적으로 설계된 레카로 에어크 래프트 시팅의 좌석 등받이에 스마트폰 및 태블릿 홀더, 기기 충전을 위한 전원 콘 센트, 향상된 머리와 목 지지력을 위한 6방향 헤드레스트가 장착된다.

qldkoreanlife.com.au qldkoreanlife

호주소비자경쟁위원회(ACCC)는 보육 부문에 대한 1년간의 조사에 따른 종합 보

고서에서 연방 정부에 8개의 정책 권고안을 제시했다. 이 보고서는 전국적으로 보

육 서비스의 경제성과 접근성을 개선하기 위한 정책 개편에 초점을 맞추고 있다.

ACCC 보고서는 획일적인 정책 접근법의 한계를 강조하고, 각기 다른 시장 구성에

맞춘 다양한 전략을 제안했다. ACCC의 지나 캐스-고틀립 의장은 "실제로는 다양 한 시장 구성과 결과가 존재한다. 우리는 시장의 힘만으로는 모든 아동과 가구의 필요를 충족시키지 못한다는 결론을 내렸다"고 밝혔다. 캐스-고틀립 의장은 "최 근 경제성은 개선되었지만 '만능(one size fits all)' 정책 접근 방식은 모든 요구를 충족시키지 못하고 있다"며 "현재의 접근 방식을 적용하면 일부 가정은 적절하고 저렴하며 접근 가능한 보육 옵션이 없는 상태로 계속 남게 될 것"이라고 진단했다.

ACCC는 이번 조사에서 원거리 지역, 사회경제적 혜택이 적은 지역, 장애가 있거 나 복합적인 도움이 필요한 자녀가 있는 가정, 원주민 가정, 문화적으로 다양한 그 룹, 0~2세 자녀가 있는 가정에 보육 서비스 격차가 상당하다고 지적했다. 보육 시 설의 기대 수익성이 낮은 농촌과 지방의 경우 보육 서비스 제공자 부족에 더욱 어 려움을 겪고 있다. 특히, 보고서는 부모의 근무 시간에 따라 보조금 지원을 제한하 는 보육 보조금 '활동 테스트(activity test)'는 저소득층에 불균형적인 영향을 미

치기 때문에 이 테스트를 재고하거나 삭제할 필요가 있다고 짚었다. 또한 보고서

는 보육 불균형을 해소하기 위해 정부가 공급이 부족한 비-부유층 지역의 보육 서

비스 제공자에게 직접 자금이나 보조금을 제공할 것을 촉구했다.

지나 캐스-고틀립 의장은 정부 보조금과 규제의 적절한 조합은 지역 시장의 특성 과 지역 사회의 특정 요구에 따라 달라질 필요가 있다고 말했다. 호주 정부는 권

고안을 모두 수용하겠다고 약속한 것은 아니지만, 제안을 신중하게 검토하겠다는

입장을 전했다. 앤 알리(Anne Aly) 유아교육장관은 특히 원주민 가정처럼 취약한

집단을 위한 대안적 접근법을 모색할 필요가 있다고 언급했다.

가로 열쇠

1. 연말에 한 해를 보내며 베푸는 모임 4. 프로듀스

6. 분하고 원통한 마음을 풀어 버리는 일 8. 재단하다가 남은 천의 조각

10. 인증이 필요한 문서에 찍는 도장 11. 토끼와 자라를 소재로 한 판소리 12. 주소를 적어 모아 둔 장부 14. 건물, 시설을 없애거나 걷어치움 15. 막일꾼, 잡일꾼 16. 아무렇게나 하는 대접

17. 가리키어 확실하게 정함

20. 원금과 이자를 합친 돈

세로 열쇠

1. 소나무를 켜서 만든 널빤지

2. 몸을 숨기고 만나지 아니함

3. 밥알

5. 실용적인 목적을 가진 도안

6. 쓰레기를 종류별로 따로 거두기

7. 이리저리 흩어져서 서로 소식을 모르는 가족

9. 새집에 들어가 삶

10. 상당한 경력으로 생긴 위엄이나 권위

13. 작은

김선생 수학

네플릭스에 2023년 영화 중 미국의 유명한 작

곡가이자 피아니스트였던 마에스트로 번스타 인의 생애를 담은 ‘마에스트로 번스타인’작품

이 있다. 평소 피아노음악을 좋아하는 필자는

번스타인의 삶은 어떠했는 지가 궁금해하며

영화를 보게 되었는데 젊은 시절 결혼 직전의

삶과 아내와 함께한 결혼 생활까지의 삶을 주

로 담고 있었다. 그는 동성애자와 양성애자를

오가면서 갈등이 있는 결혼 생활을 했는데 아

내인 펠리시아는 남편의 사랑을 충분히 받지

못한 채로 우울함과 정서적 고통을 경험하면 서 암투병을 하다가 세상을 떠나게 된다.

모든 사람에게는 사랑을 받고자 하는 욕구, 소

속감을 느끼고자 하는 욕구, 가치있는 존재로

살고 싶은 기본적인 욕구가 있다. 영화에서 펠

리시아는 자신은 남편의 사랑이 충분치 않아

도 괜찮을 줄 알았는데 그렇지 않았다라고 고

백하는 장면이 나온다. 펠리시아는 남편이 동

성애의 문제가 있는 것을 알면서도 결혼을 했

고 그것이 자신이 극복을 할 수 있는 문제라 생

각했지만 실제로 그렇지 못했던 것이다. 배우

자가 주는 안정된 사랑이 없음으로 펠리시아

는 명예와 재산을 가지고 있어도 결코 행복하

지 않고 늘 외로움을 겪었음을 보게된다. 결혼

에서 배우자는 첫번째 애착의 대상이며 어려

운 일이나 고통스러운 일이 있을 때 정서적으

로 외로울 때 안전 기지의 역할을 해주어야 하

는 데 기쁠 때 배우자가 아닌 다른 사람과의 손

을 잡고 있는 배우자를 통해서 정서적 필요가 채워지는 것은 불가능하다. 영화의 한 장면에

서 번스타인이 성공적인 공연을 통해 많은 사

람들의 환호를 받고 있을 때 아내인 펠리시아

는 그 자리를 빨리 떠나 혼자 외롭게 있는 모습

은 채워지지 않은 펠리시아의 욕구와 그 고통

을 보여준다.

아내에게만 사랑을 주지 않고 많은 남성들에

게도 사랑을 준 번스타인은 정서적으로 행복

하고 만족스러운 삶을 살았을까? 번스타인은

음악가로서 성공적인 삶을 살았고 많은 남자

들이 있었지만 개인적인 그의 삶도 그다지 행

복해 보이지 않는다. 영화에서 아내인 펠리시

아를 만난 후 자신의 비밀을 이야기함으로 친

밀해지는 시간을 가지는데 그의 비밀은 ‘자신

이 아버지를 죽이는 꿈을 꾼다는 것 그리고 꿈

에서 깬 후에도 아버지를 죽이는 생각을 한다’

는 것이었다. 결국, 부모로 부터 특히, 아버지로

부터 충분한 인정과 사랑을 받지 못한 번스타

인은 채워지지 않는 자신의 정서적 욕구를 다

른 남성들로 채울 수밖에 없었고 그 중독적 경

험은 결혼 생활이후에도 지속되었다. 그것은

자신이 추구하는 억압에서 풀려서 ‘자유’를 추

구하는 삶의 모습으로 합리화시켰지만 결혼생

활을 행복하지 못하게 만들 수밖에 없었던 것 이다.

기본적으로 충족되어야 하는 사랑받고자 하는

욕구, 소속감을 느끼고자하는 욕구, 가치 있는

존재로 살고 싶은 세 가지 욕구는 자신이 태어 난 가정에서 시작되어야만하는데 번스타인에

게 채워지지 않은 그 욕구는 결핍 욕구가 되어 서 평생동안 자신을 목마르게 하는 욕구가 되

었고 그것이 평생으로 젊은 남자들을 사랑하

는 중독적 삶을 살게 하였다.

이 영화를 통해서 어린 시절 가정에서 부모로

부터 아이들이 채워져야 하는 욕구가 충족되

지 않을 때 사람은 중독적인 것을 통해서 위로 의 수단으로 삼는 경우가 많은 것을 보게 된다.

그리고 채워지지 않은 결핍의 욕구는 평생 따 라다니면서 사람을 외롭게 만드는 것도 다시 한 번 생각하게 되면서 자녀를 양육하는 부모

들이 한번 즈음은 이 부분을 더 생각해 볼 필

요가 있다.

어떤 한 부모는 어린 시절에 너무나 가난하게

살면서 아이들이 가지고 노는 좋은 장난감을

가져본 적이 없었기에 자신의 자녀를 낳은 후

에 끊임없이 아이의 장난감을 사주곤했다. 그

러자, 어느새 아이의 방에는 가지고 놀지 않는

장난감으로 가득찬 쓰레기장 같은 방이 되었

다고 한다. 이 아버지의 채워지지 않은 물질적 결핍욕구는 지나치게 물질적인 것으로만 아이

에게 채워주려고 하는 사랑으로 잘못 전달이 되어버린 것이다. 이 부모는 아이에게 장난감 으로 사랑을 표현하는 것이 아니라 아이와 함 께 놀아주고 아이와 대화를 나누고 아이와 다

른 부분에서 사랑을 나누는 법을 배워야 건강

해질 수 있다. 이렇게 채워지지 않은 결핍은 사 람을 중독으로 그리고 건강하지 않은 방식으 로 사랑하는 것으로 이끌 수 있음을 기억하고

내 안에 채워지지 않는 결핍이 현재의 삶에서 타인과의 관계에서 또 자녀를 사랑하는 관계 에서 어떻게 나타나는 지를 살펴보고 인식할 수 있을 때 거기에서 변화의 힘이 나올 수 있다.

어떤 한 사람은 어린 시절에 아버지로부터 차별대우를 받아서

언제나 아버지의 인

정을 받는 것에 목말 라 했는데 그 채워지 지 않은 결핍의 욕구 가 직장 생활을 하는 데 영향을 주었다. 직

장에서 차별대우를 받거나 자신보다 어린 사 람이 더 빨리 승진을 하는 모습에 지나치게 민 감하게 반응하며 거기에서 실패감을 크게 느 끼고 자신보다 적극적인 사람을 볼 때 화가 나 고 분노하는 모습을 갖게 된 것이다. 그 사람이

김경식 목사

골드코스트 순복음 교회

어쩌다가 태어난 인생?

갑자기 아기가 들어서서 지울

수도 없고, 할 수 없이 낳았는

데 그게 바로 너다” 라는 식입

니다. 어릴 때부터 이런 이야

기를 들으면서 저도 모르게 이

런 생각들이 자리를 잡았습니

다. “내가 까닥했으면 이 세상

에 못 나올 뻔 했구나. 어떻게

계획에도 없던 아기가

들어섰다

어느 집에 4남 1녀의 자녀가

있었습니다. 이 가정에 아들만

연달아 3명이 태어나더니 넷

째는 딸이 태어났습니다. 부모

님들은 아들만 있는 집에서 태

어난 딸을 무척 이뻐하셨습니

다. 그래서 한 명 더 낳으면 이

번에도 딸이 나올 것이라고 생

각하며 엄마가 임신을 했습니

다. 출산 날, 부모님은 예쁜 딸

을 기대했지만 태어난 것은 또

아들이었습니다. 이럴 줄 알았

으면 차리라 낳지를 말 것을....

그 아들이 바로 저입니다. 이런

출생의 비밀(?)은 저뿐만 아니 라, 많은 사람들이 가지고 있 습니다. “계획에도 없었는데,

하다 보니 내가 우연히 생겼구

나!” 나는 정말 이 세상에 우연

히 생긴 존재일까요?

도대체 어떻게

“시작”되었을까?

인생의 시작, 만물의 시작 등

“시작”에 대해서 이 세상에서

는 두 가지 대표적인 시선을 가

지고 있습니다.

창조론과 진화

론이 바로 그것입니다. 성경은

“태초에 하나님이 천지를 창

조하셨다”라고 선포하며 세상

의 시작을 분명히 말씀하고 있

습니다. 세상의 만물이 우연히

생긴 것이 아니라, 그것을 맨

처음에 시작하신 분이 계시다

는 사실입니다. 그러나 진화론

은 그것을 인정하지 않습니다.

창조론과 진화론은 단순히 학

설의 차이가 아닙니다. 인생의

기초를 창조론에 두느냐 진화

론에 두느냐에 따라 우리 인생

의 의미와 가치는 확연히 달라

지게 됩니다.

진화론의 기초는 ‘우연’에서

출발합니다. 세상은 어떻게 생

겨났느냐? 생명은 어떻게 시

작 되었느냐? 에 대해서 진화

론은 우연히 생겼다고 말할 수

밖에 없습니다. 하지만 창조론

의 기초는 ‘필연’에서 출발합

니다. 이 세상도, 이 세상의 모

든 생명도 창조하셔서 시작하

신 분이 계시다는 것입니다.

그러므로, 진화론에 따른다면

우리 인생도 이 세상에 우연

히 태어난 무의미한 존재에 불

과합니다. 우연히 생겨난 의미

없는 세상에 나도 우연히 생겨 나서 의미 없이 살다가 우연히

떠나가는 것이 내 인생이 되는 것입니다. 우연한 세상에서 살

면서 만나는 일이나 사건들도

다 우연히 일어난 일이고 별 의 미가 없는 것들 뿐입니다. 하지 만, 창조론에서의 세상은 창조

주에 의해 어떤 목적과 의도를 가지고 만들어졌습니다. 그렇 게 때문에, 이 세상에 우연히 어떻게 하다보니 생겨난 것은 아무 것도 없습니다. 우리의 인 생도 어떤 목적과 의미를 가지 고 이 땅에 태어난 것입니다. (비록 자신이 못 깨닫는다고 할지라도...) 우연이 아닌 의미 있는 세상에서 의미 있는 존재 로 사는 것이 바로 우리의 인 생입니다.

나는 특별하다

맥스 루케이도가 지은 “You are Special” 이라는 작품에 나오는 이야기입니다. 나무로 만든 인형들이 사는 마을에 이 야기입니다. 그 마을에서는 서 로가 서로에게 뭔가를 잘하는 사람에게는 금빛 별을 붙여주 고, 잘 못하거나 실수 하는 사 람에게는 회색 딱지를 붙여줍 니다. 그 마을에는 금빛 별을 많이 달고 있는 사람들이 있습 니다. 시장님을 비롯해서 사람 들로 칭찬과 존경을 받는 사람

들입니다. 반면에 주인공인 ‘펀 치넬로’라는 아이는 회색 딱지 투성입니다. 늘 실수 투성이에 다가 뭐든지 잘 하지 못하는 덜 떨어진 아이입니다.

어느 날 펀치넬로는 루시아라 는 여자아이를 만났습니다. 그 녀에게는 금빛 별도, 회색 딱지 도 하나도 붙어 있지 않았습니 다. 사람들이 그녀에게 붙여주 려고 해도 붙지를 않습니다. 루

시아는 자신에게 왜 딱지가 붙 지 않는지 그 이유를 말해주면 서 펀치넬로에게 엘리라는 분 을 만나러 가라고 알려줍니다.

엘리는 언덕위에 사는 나무 인 형들을 만든 사람입니다. 펀치 넬로가 엘리를 찾아갔습니다.

엘리는 펀치넬로를 보면서 이 렇게 말했습니다.

“너는 내게 특별하단다. 왜냐 하면 내가 너를 만들었으니 까” 계속해서 엘리가 말했습 니다. “다른 사람들이 너를 어 떻게 생각하는가는 별로 중요 하지 않단다. 중요한 것은 내 가 너를 어떻게 생각하느냐 지......, 난 너를 특별하게 생각 한단다. 기억해라!! 내가 너를 만들었기 때문에 넌 매우 특별 하단다. 그리고, 난. . . . . . 절대 로 실수를 하지 않는단다.” 펀치넬로는 이 말이 진심으로 들렸습니다. 그리고 이 말이 받 아들여지자

찾아오는 놀라운 변화

운동 시간이 길거나 강도가 세다고 해서 꼭 효과가 좋은 건 아닙니다. 특히 운동 초보자들이 처음부터 고강도 운동을 무리해서 강행했을 때에는 부상이나 중도 포기 등 오히려 운동을 지속적으로 할 수 있는 힘을 잃게 되는 결과를 초래합니다. 그래서 오늘은 초보자부터 누구나 부담없이 매일 따라하기 좋은 간단하면서도 효과 좋은 복근 운동 루틴을 소개해 드릴게요. 중간에 15초 휴식을 빼면 3분도 안되는 운동이니 유튜브 영상 참고해 오늘부터 꼭 따라해 보시길 바랍니다. 제 한국어 유튜브 채널 ‘요가읽어주는 여자 hayeon’에서 최근 삼분요가 챌린지 (Day4)를 찾아 따라해보세요. 영어 유튜브 채널(Yogasonghayeon)에도 다양한 스트레칭과 운동영상 있으니 함께 구독해 홈트에 활용하시길 바랍니다.

1. 하늘 자전거 초보자 버전

STEP 1. 등을 바닥에 두고 두 다리를 번갈아 가며 구부리고 펴는 동작을 이 어갑니다.

STEP 2. 마치 허공에서 자전거를 탄다고 상상하며 리듬감 있게 움직여주세요.

STEP 3. 제 큐잉에 맞춰 방향을 바꿔서도 진행해주시구요.

STEP 4. 다리 부종 빼는데 도움이 되려면 약간 속도를 높여 해주시는 것도 추 천합니다.

TIP! 허리를 바닥에 완전히 밀착하고 코어의 힘을 주고 진행하세요.

2. 하늘 자전거 중급 버전

STEP 1. 앞에서 한 동작에서 가슴과 머리를 들고 진행해봅니다.

STEP 2. 목이 아프신 분들은 저처럼 손으로 머리를 받치고 올리시면 됩니다.

STEP 3. 배의 자극에 집중하며 35초 동안 쉬지 않고 자전거 타 주세요.

TIP! 배의 힘으로 가슴을 든다고 상상하며 하셔야 뱃살 감량 에 효과가 더욱 좋아요.

3. 레인보우 엘보 플랭크 초급자

버전

STEP 1. 두 팔꿈치를 어깨 밑에 두고 무릎을 바닥에 둔 상태에서 좌우로 엉덩 이를 움직여주세요.

STEP 2. 어깨가 귀와 가까워지지 않게 목을 길게 유지하고 옆구리 자극에 집 중합니다.

STEP 3. 엉덩이를 좌우로 움직일 때마다 후~숨을 내뱉으세요.

STEP 4. 앞의 하늘 자전거 동작과 연결해서 매일 3세트 이상 진행하시면 옆구 리 라인이 조금씩 살아날 거예요.

TIP! 꾸준히 초보 버전으로 연습 하다가 코어의 힘이 어느정 도 길러지면 중급 버전을 시 도해보세요.

4. 레인보우 엘보 플랭크

중급 버전

STEP 1. 이번엔 무릎을 때고 플랭크에 도전해봅니다.

STEP 2. 복부와 어깨 팔의 힘을 동시에 사용하면서 버텨보세요.

STEP 3. 엉덩이를 움직이는게 힘들 다면 정자세에서 유지해도 좋습니다.

STEP 4. 영상에 따라 두 동작의 변 형자세까지 반복하고 휴식 합니다.

TIP! 그날 그날 나의 컨디션에 맞 게 난이도를 조절해서 안전 하고 현명하게 운동해 나가 는게 가장 중요합니다.

https://bit.ly/3w9ks4u (KOR)

https://bit.ly/SubscribeToYogasong (ENG) yogafulnesslife

이메일 : connect@yogafulness.life 홈페이지 : www.yogafulness.life 인스타그램

https://instagram.com/yogasong_hayeon

나는 책 읽을 때 전자책 VS 종이책

스마트폰으로 할 수 있는 것들은 무궁무진 합니다. 그중 독서도 해당되는데, 옛날에는

종이책이 대다수였다면 요즘은 태블릿 기

기 등을 활용한 전자책이 대세입니다. 무거 운 책 대신 태블릿(북 리더기)이나 핸드폰만 간단하게 들고 나가면 되어 간편하고 활용

도가 좋아 선호도가 높습니다. 하지만 종이

책이 주는 묵직함과 매력도 무시할 수 없는

데, 여러분은 전자책과 종이책 중 어떤 스타 일의 독서 방법을 선호하시나요?

휴대용 기기 이용한 독서 증가

스마트폰뿐만 아니라 각종 IT 기기의 발달로

전자책을 좀 더 쉽게 접할 수 있는 상황이 되

었습니다. 가방 안에 쏙 들어가는 사이즈와 가벼움으로 학생, 직장인들에게 각광받고

있고 이에 따라 전자책 플랫폼도 급성장하

고 있는 상황입니다. 태블릿을 이용한 독서

뿐 아니라 귀로 듣는 오디오북의 수요도 늘

어나고 있어 책을 다양하게 접할 수 있는 기

회가 늘어나고 있습니다.

전자책 출간이 하나의 유통 루트로

지난해 베스트셀러를 차지하며 누적 판매

100만 부를 돌파한 ‘달러구트의 꿈 백화점’

의 시작이 전자책이었다는 걸 아시나요? 전

자책 플랫폼에서 선공개된 후 호평받아 종

이책으로 출간되어 여전히 많은 사랑을 받

고 있습니다. 이처럼 전자책의 인기에 편승

하여 출간된 종이책이 베스트셀러가 되기도

하고 인기 작가들도 이를 적극적으로 활용 하고 있습니다. 밀리의 서재, 리디 등 대표적

인 전자책 플랫폼들은 젊은 층의 관심을 유 도할 수 있다는 점에서 장점으로 꼽고 있으

며 독자들의 반응을 가늠할 수 있는 주요 창

구가 되고 있습니다.

코로나로 인해 전자책 구매 비중의 증가

코로나로 대면 활동이 불가능해지면서 전

자책의 수요가 크게 증가했습니다. 극장을

찾는 대신 넷플릭스 등 OTT로 영화를 관

람하는 사람이 많아졌듯이 도서관이나 서

점 대신 온라인 플랫폼을 통해 전자책을

찾는 사람들이 늘어난 것인데요, 코로나로

문을 닫는 도서관이 늘어나자 국립중앙도

서관은 전자책, 신문, 잡지, 영상 등을 집에

서도 볼 수 있게 국내외 데이터베이스를

49종으로 확대하기도 했습니다.

종이책이 주는 매력

누군가는 ‘종이책의 종말’을 얘기하지만 종이

책이 주는 매력은 여전히 존재합니다. 눈으로

보고 손으로 만지며 느끼는 감성과 분위기 그

리고 책 읽는 행위 자체로 뇌리에 기억되는 모 습 등 때문입니다. 이런 사람들을 위해 정부에

서도 종이책을 더 많이 보급하기 위해 관심을 쏟고 있습니다.

여전히 종이책 선호도도 적지 않아

종이책을 제외한 전자책이나 오디오북 등 출판 형태가 다양해지고 종이책을 읽는 사람들이 줄

어들고 있지만 반대로 전자책, 오디오북을 이용

하고 있는 사람들의 수요가 폭발적으로 증가한 것은 아닙니다. 종이책을 선호하는 사람들은 종

이책이 주는 정감과 편안함, 메모 가능, 질감과 향기가 좋아서 등을 주요 이유로 꼽았습니다.

전자책을 제대로 활용하려면?

전자책은 종이책보다 상대적으로 눈에 피로감

을 더 많이 느끼기 때문에 집중력이 빨리 떨어

진다는 것이 단점입니다. 따라서 전자책을 제

대로 활용하려면 전자책으로 읽기 좋은 책부터

시작하여 독서 습관을 들여야 합니다. 많은 책

종류 중 ‘에세이’는 깊이 생각하지 않아도 내용

을 이해할 수 있어 집중이 어려운 디지털 기기

에 적합한 책인데요, 독서를 전자책으로 시작

하고자 한다면 가벼운 책부터 읽어보는 건 어

떨까요?

전자책, 눈 피로감 높아져 스마트폰이나 태블릿으로 전자책을 볼 때는 눈 과 화면의 거리를 40㎝ 이상 유지하고 30분마 다 휴식을 취하는 게 좋습니다. 전자책을 볼 때 는 일반 종이책으로 독서할 때보다 눈의 피로가 가중될 수 있기 때문인데, 전자책을 읽으면 종 이책을 볼 때보다 눈 피로도가 최대 9배까지 심 해진다는 연구도 있습니다.

늘어나는 전자책 증후군 전자책은 대학생이나 장거리를 출퇴근하는 직 장인들에게 인기가 많은데, 장시간 한 손으로 전 자책을 받치고 있으면 손목 통증이 생기고 허리 나 어깨, 목 역시 오래 같은 자세로 유지되면서 주변 근육의 긴장을

저리다면 목 디스크도 의심해볼 수

니다. 종이 VS 전자책, 기억력에 나은 것은? 최근 연구에 따르면 종이책과 전자책은 기억력 에서 차이가 있다고 발표된 바 있습니다. 종이책 을 읽는 것이 정보를 기억할 때 더 많은 두뇌 활 동을 이끌어내는 것으로 나타났는데, 이러한 뇌 활성화는 전자책에 비해 종이책을 읽었을 때 더 활발하며 가상의 시각화, 기억에 중요한 것으로 알려진 해마에서 더 많은 활동을 보인 것으로 밝 혀졌습니다.

QUEENSLAND 교민게시판

호주기독교대학

기독교코칭과정 개설

호주호주기독대학교ACC에서 코칭리더십과 크리스천 코칭(Coaching)학을

라이프 코칭을 기독교사역과 신학과정으로 시작합니다.

단계별로 수료증을 받으면 사단법인 한국코치협회에서 인정한 코치 자격증을 신청할 수가 있습니다.

또한 호주 포함한 143개국에서 인정한 ICF(국제코칭연맹)의 한국어로 국제 코치 자격증에 응시할 수가 있습니다.

코칭은 정신이 건강한 사람들에게 더욱 행복한 삶을 살 수 있도록 합니다.

자신과 가족을 그리고 건강한 사회생활을 위하여서 코치(Coach)는 꼭 필요한 것입니다.

인생의 코치가 필요한 사람이나 누군가의 코치가 되고 싶은 사람들은 학교 홈페이지나

전화로 접수하면 일주일에 온라인으로 집에서 편안히 공부와 실습을 할 수가 있습니다.

영상미디어학과 학생모집

(온라인과정, 유학생과 어스터디 가능)

호주기독교대학에서 영상미디어학과를 개설했습니다.

학비는

저렴하지만 정부 생활비 보조 어스터디 가능하고, 공부는 퀄리티 높게

그리고 편리하게 공부하실 수 있는 시스템을 제공합니다.

교회와 단체나 개인들이 다양한 미디어를 사용할 수 있는 능력을 갖추어서 교회를 섬기고, 사회를 섬기고 자신의 능력을 개발하는 기회가 되시기를 바랍니다.

온라인과정이 가능하고 유학생 과정 있습니다.

(서티3, 서티4, 디플로마, 총 5년 6개월 과정) 문의사항 언제든 환영합니다.

accu.edu.au

상담전화 : 02 6255 4597, 0402 140 905 | info@accu.edu.au

퀸스랜드주 한인회비

퀸스랜드주 한인회는 많은 회원분들 의 회비로 운영되고 있습니다.

- 회비: 1인 $20 / 4인 가족: $50 - Bank: NAB - Account Name: The Korean Society of Queensland - BSB: 084 255 - ACC: 77 348 7068

송금하실 때에는 레퍼런스란에 본인의 한글 이름을 영문으로 적어주세요.

여러분들께서 납부해 주시는 회비는 골드코스트한인회의 운영과 교민사 회의 단합과 발전을 위해 쓰여집니다.

- 회비: 1인 $20 - Bank: BOQ

- Account Name: The Korean Society of Gold Coast Australia Inc - BSB: 124 022

- ACC: 21549471

입금시 영문 성함을 꼭 기재해 주세요.

[ 2023년 7월1일~2024년 6월 30일 ]

[ 2023년 상반기 한인회비 납부 ]

이선구 전 한인회장 가족 $50, 김은총, 김태성, 최경식, 박세진, 설청우, 김진성, 김웅도, 김형남 한인회장 가족 $50, 김찬호, 고동주, 서정 가족 $50, 권정식 $40, 이종일 가족 $50

지상의, 김춘임 부부 $50, 김술람, 최인숙, 김치은 부부 $50, 이순자 $50, 김광수(전예순) $50, 이세라, 손남순, 최원, 민광기(장희옥), 김창수(한승자), 조성진, 박찬식(조혜숙), 안순례, 이종희(강영부), 김경식, 강태홍 (김현영), 신명숙, 이하림, 선수 미 (최곤), 김용화, 윤지현(이주혜), 김광연, 신명아, 안경자, 최동일 (박은주), 이광분, 김경숙, 김현영

02 9210 0200

02 9210 0216

02 9210 0215

주시드니 총영사관-행정 02 9210 0218

주시드니 총영사관-민원 02 9210 0234 통화량이

연결에 다소 시간이 소요될 수 있습니다.

간판/인쇄/디자인

i-hub 0435 831 116

NB Signs - 간판, 인쇄, 디자인 0421 790 885

Sunny Creative 0412 840 533

건강식품/기념품

뉴질랜드 초록홍합,녹혈,녹용 캡슐 판매 0403 736 998

드림로드 양모, 한국이불 3209 5445

New Core 건강식품 3012 7886

SINI 건강 (써니뱅크점) 3344 7881

건축/인테리어/집수리

긴급전화(경찰, 앰블런스, 화재) 000

Police Liaison Unit(한국어) 3364 3217 - 경찰업무 관련 한국어로 통화를 원할 때

Police Link 131 444 - 일반 경찰업무, 비자 분실 등

가정폭력 1800 811 811

여성상담센터 0425 252 372

성폭행 상담 3636 2414

수도 1300 366 692

독극물, 생명전화(24시간) 13 11 14

위기구호, 아동학대 1800 177 135 음주, 마약 3236 2414

관련 문의는 우선 총영사관 홈페이지 www.koreasydney.net을 참고해 주시기 바랍니다. 주호주 한국대사관 02 6270 4100 한국관광공사 02 9252 4147 광복회 호주지회 0452 188 070

가스 문의 13 12 53 / 13 62 62 (사고)

텔스트라 문의 125 111 / 1800 773 421(한국어)

통역서비스 13 14 50

대한무역진흥공사 02 9299 1790

브리즈번 BRISBANE

City Garage Doors 차고문 당일수리, 제작 0492 889 349

Dr 핸디맨 0478 833 415

G1 Painting 0450 959 010

Happy Blinds 0481 711 500

Hi Design & Construction 0430 900 630

J Plus Building Inspections 0422 773 031

교민단체

골드코스트 한인회 0418 763 186

대양주 한인회 총연합회 0427 566 474

월남전 참전자 전우회 퀸즐랜드지회 0411 378 391

재향군인회 퀸즐랜드 분회 0412 629 358

퀸즐랜드 주 한인회 3390 0024/ 0424 724 624

퀸즐랜드 한국 참전 유공자회 0414 295 709

퀸즐랜드 한인 골프회 0430 202 239

퀸즐랜드 한인경로회 0418 883 377/3345 1400

퀸즐랜드 ROTC 동문회 0415 695 635

퀸즐랜드 한인 비즈니스 협회 0408 889 792

퀸즐랜드 한인 오케스트라 0411 820 800

퀸즐랜드주 해병 전우회 0427 334 521

교육/학원/개인교습

K Total Construction 0466 127 884

KIM’S HOUSING 0411 097 908

NEXUS PLUMBING 0459 999 754

OkayPainting 0430 889 559

OneStop Bath & Tiles 07 3034 1075 Shop4, 655 Toohey Rd, Salisbury

SUNSHINE 블라인드 0481 148 692

Total Cabinet 3299 1978

TOV Construction 0452 578 001

Vertex House Renovations 0403 420 467

WINDOW ART 3114 2145, 0490 537 244

김선생 수학 0430 127 992

탑원 바이올린 0424 783 353

피아노 전공자쌤 0478 548 500

피아노/망고힐/시드니콘석사 장학생

세계대회1등 0433 309 331

호주 라인 댄스 0401 812 610

CS Education 0402 855 802

EduPlanet College & QCM 3343 6343

Eight Mile Planes 유치원 3841 3350

Elite Tuition 0400 328 187(영 어) 0400 163 227(한국어)

WK Painting Services 0412 726 807

LE SPA MASSAGE ACADEMY 3368 3362

나이스 블라인드 3133 8330, 0421 594 083

대니 핸디맨 0402 299 915

mih architect

설계

황용연 건축사 0451 377 843

Simili Training (건설현장 자격증 정부승인) 0477 787 200, 0416 740 514

SP 에듀케이션(하이스쿨, ATAR 대비) 3195 8532, 0411 168 007

백향건설 0434 763 843 / 0421 025 230

스타 블라인드 0430 715 906

네모디자인스튜디오

Nemo Design Studio 0478 604 665

Winny Family Care 0420 720 894

꽃집

에벤에셀 인테리어 0421 438 424

윈도우 아트 블라인드 0490 537 244

Simili Training Joseph Lee 0477 787 200

Ji Lee 0416 740 514

Kevin Simili 0416 740 516

욕실 누수 전문(욕실 리모델링, 타일, 방수) 0452 471 080

콘솔 블라인드 0408 288 789

토넵 - 주방욕실 가구 전문 0478 616 026

ARCHIONE Design Builders 0402 533 628

Beauty Home Blind 0408 011 021

Blue River Design & Construction 0478 709 032

Blue Whale Construction 0402 272 891, 0416 911 333

BL 핸디 홈 메인터넌스 0416 911 444

0408 688 010

i-Care 0433 494 281

프로 레슨 0402 598 961

Victoria Park Golf Learning Centre

한국어 0451 899 874

Sunny Flower 3345 2323 / 0407 333 302 농장/목장

자연농장 5498 8904

광고문의 0422 258 092, 0432 008 985 admin@qldkoreanlife.com.au

가영 NAATI 3급 번역공증 0410 672 485

나티공인 한영/영한 번역사 0431 232 673

데레사 통역 0402 307 090

손지은 NAATI 3급 0412 088 428

호주 닷컴 온라인 번역공증 info@hojoo.com

송금/환전

AACA (All About Care Australia) 07 3133 0209 (Gemma) 0430 218 030 (Tasha) 0402 595 741

H & H Lawyers 02-9233-1411

ㆍ홍경일 대표변호사

ㆍ강현우 형사전문변호사 0487-192-566

ㆍ김진한 변호사(이민)

ㆍ김현태 변호사·상표변리사

리틀즈 법무법인

ㆍ NSW 1800 000 119

ㆍ QLD 1800 082 082

ㆍ 김경태 변호사 0452 480 920

ㆍ 이종일 변호사 0434 980 635

성도 법무법인

ㆍ대표번호 3392 3981

ㆍ김문기 변호사 0411 211 227

ㆍ김태규 변호사 0403 689 714

KLS Legal Practitioners

ㆍ사무실 (07) 3113 3790

ㆍ나윤제 대표변호사 0423 005 035

ㆍ신선미 변호사 0412 693 115

김린 변호사 0404 871 986

김영규 변호사 07 3210 6489, 0411 624 779

박근영 변호사 0433 372 566

주광훈 변호사 0405 694 497

JINO NAATI 통역서비스 0430 812 205 변리사 김현태 특허상표변리(호)사 040 433 5914 변호사 법무법인 Park & Co ㆍ 대표번호(유선) 3345 6665 ㆍ 대표번호(모바일) 0490 130 012 ㆍ 박창민 변호사 0452 435 447 ㆍ 김희용 변호사 0431 628 082 ㆍ 허성은 변호사 0425 030 220

정회림 변호사 07 3195 4807

진승희 변호사 0403 503 530

LinkOz 이정민 변호사 0401 576 978

보험/홈론/파이낸스

ONE DREAM COMMUNITY ㆍ장애인 복지 서비스 ㆍ노인 복지 홈케어패키지 1800 841 777 부동산

한국송금(구. 코원송금) 0474 373 007

무담보 소액대출(호주 어디서나) 0412 232 889

미래종합금융 1300 882 595

ANZ Jin Lee 0434 689 100

C-Herald Insurance 1800 998 557

C-Herald Finance 1800 998 557

Focus Loan(오지훈) 0420 847 110

Hana Finance (알렉스) 0410 622 838

스포츠/체육관

원 태권도 0430 295 881

Sunnybank 테니스클럽 0430 014 221

Sunnybank 당구장 0430 014 221

AKLINKS 손한나 대표 0428 87 5050

Bluedog 부동산 0419 536 071

Bluedog 김수정 0408 622 934

HD Property 황기철 0413 515 788

Harcourts Calamvale (홍성우) 0415 413 769

Ideal Realty Advisors (시드니) 02 8007 4989, 0414 088 089

KLOVER PROPERTY

Kay Lee 0421 007 147

Link Plus Realestate 이지영 0450 908 864

Raas Group 0420 486 651

Remax 부동산 써니뱅크

조권현 0452 65 88 78

YONG 부동산(오세진) 040 228 3003

사진

Alicia’s Photography 0478 825 233

상담/심리치료

ACC 상담센터 02 6255 4597

JR 가족.부부상담연구소(심리상담) 0434 487 433

브리즈번 명상센터 0466 211 405

숙박시설

스프링우드 타워 호텔 3387 7077

호텔 다이아나(한국어) 3896 1691

식당/카페

3 Sisters 3195 4481

누나네 해장국 3107 4158

마녹파크 0433 276 449

마루 3221 7778, 3012 9912

모모치킨(city) 3012 8238

모모치킨(runcorn) 3841 8068

미담 3344 5001

불고기 Bros 3350 2233

샤부하우스 (일식 부페) 3211 5407

소문 삼계탕 3158 3709

차미 푸드 앤 보틀샵 3210 6349

코릴라 바베큐 3211 1212

콩닥 치킨 0491 652 806

한우리 BBQ 부페 3211 5710

BEN 월남 중국 식당 3391 3233

Charim 차림 (North Lakes) 3093 3571

Choi Korean Cuisine 3191 3214

Cream House 3191 9098

Doujo 일식 0499 632 196

Funny Funny 3012 8108 HIKARU

ㆍ Cleveland 3286 6688

ㆍ The Gap 3511 1541

mama

여행/공항픽업

가나안 공항 픽업 0478 833 415

도움 투어 3012 8383

우리여행사 0412 393 713

케니 여행사 3344 3220 / 0402 729 595

현대 투어 0432 140 083

HT 여행사 3003 1771

운송/택배/이사

02 9746 1452

의료/병원/한의원

모유사랑 모유수유클리닉 (상담, 유방관리) 04 5675 5675

보화당 한의원 3219 1002

언어치료사(Speech Pathologist) 0473 562 154

엔한스 덴탈 스튜디오 (런콘) 07 3423 0783

족부 의학 클리닉 (써니뱅크) 07 3344 6866 (해밀턴) 07 3741 2825

질미어 치과병원 3265 6010

Carindale 자매치과 (김현아/김은아) 3324 9172

Dr. Seung-min Youn(윤승민) 정형외과 07 3278 2662

Dr.허 시티 한국인병원 3210 2111

Dr.허병원 Skin Clinic 0407 112 342

Hybrid Physio 3190 9747

JINDALEE Complete Dental 3376 5475

My Clinic (Dr 제임스 강) 3272 2202

The Dental Club 1300 165 768

Stafford | Caboolture | Bellmere | Griffin 의류/침구/옷수선

센트로파이 0457 269 109

시온 에어컨 냉동 0434 486 877

에어컨 청소 FreshZone 0431 135 071

Airmazing 0451 104 439, 0430 189 603

가구소형이사 픽업서비스 0411 736 276

가나안 용달 서비스 0478 833 415

(각종 소형 ‘짐’ 운반)

대한통운 국제택배 0431 571 657

와이즈 국제물류 1800 577 369

현대택배 0430 014 221

HT Logistics 3823 1802

PNL 택배(한국-->호주) 0449 24 8282

REDI REMOVALS 레디 이사 0401 171 946

COOL MY 에어컨디셔닝 0406 284 159

Fresh Cool 0401 627 853

LEES 에어컨 설치 0434 378 245

SONG 에어컨 설치 0414 781 645

SWIND 0451 994 144

TURBO 냉동 / 에어컨 / 컨설팅 0403 458 777

OK 냉동 서비스 센타 0423 457 898

유통

웨스티마켓 0450 103 788

Milton Exchange (노브랜드 유통) 0438 545 007

Cordelia International (온리프라이스

제품외 유통) 0450 103 788 유학원

도움 유학 3012 8383

GLOBAL MATE 3221 8318 0451 281 841

HT 유학원 3003 1771

컨설팅 가영 비자 이민 컨설팅 0410 672 485

백승용

3323 3186

변기훈 이민법무사 0425 669 799

이정민 법무사 Select Australia 0430 592 230 채정우 이민법무사 0423 687 378

드림로드 3209 5445, 0433 267 953

차밍 옷수선 0403 617 076

한복 대여점 이음 e-uum 04 2121 3656

OUR HANBOK 0423 378 055 자동차운전학원

메이 운전학원 0419 708 177

부부 운전학원 0414 273 087

0450 616 924 / 0413 805 236

3210 0747

Tax Friend 0422 869 630

정토법회 0438 536 221 원불교

3219 1002

꿈이 있는 교회 0421 480 870

동행하는 장로교회 3422 0828 / 0400 878 882

간판/인쇄/디자인

써니 크리에이티브 0412 840 533

브리즈번 순복음교회 3341 9090 / 0433 9933 52

미디어 나라 0412 443 066

스프링필드 침례교회 킹제임스성경 0469 859 983

호주 가정 상담 대학 0416 069 812

호주 기독교 대학 02 6255 4597

GGL 토탈 IT 솔루션 0422 395 706

iComputer (TPG 공식딜러, 컴퓨터 수리) 0450 511 829

M4U 웹디자인 0434 417 933

NB Signs - 간판, 인쇄, 디자인 0421 790 885 건강식품/기념품

한마음 교회 0410 409 007

Faith Church 써니뱅크

ㆍ 요한계시록 성경예언

ㆍ ilona 목사 0400 374 666 주방용품(상업용)

썬샤인 비즈 솔루션(스시머신, 주방용품) 0413 396 799

All 4 Kitchen 주방용품 수리 0433 974 907 중고 가전

Smart Electrical Clearance Outlet

ㆍ Hyperdome 3133 1805

ㆍ Capalaba 3823 4165

ㆍ Mt Ommaney 3376 7445

ㆍ Browns Plains 3800 1013

청소/방역

원스톱 방역 & 카펫 청소 0401 600 887

원펀치 터마이트&페스트컨트롤 0402 157 905

3345 5113

3423 1337 종교단체

교회 0402 496 797 ㆍ 벧엘 장로교회 3345 9299 ㆍ 브리즈번 동산교회 3803 1314 ㆍ 브리즈번 로고스 선교교회 0403 956 390

브리즈번 만나성결교회 0431 853 922

ㆍ 브리즈번 모닝사이드 연합교회 0413 101 708

ㆍ 브리즈번 믿음 교회 0430 047 548

ㆍ 브리즈번 바인 장로교회 0450 410 501

ㆍ 브리즈번 반석 장로교회 0430 810 929

ㆍ 브리즈번 서림교회 0423 333 932 ㆍ 브리즈번 선한목자교회 0431 686 296 ㆍ

써니뱅크 터마이트 0412 178 944

짐스 터마이트 & 페스트 컨트롤 0416 515 874

클린킹(청소용품판매) 3208 1333

JCM 터마이트&페스트 닥터팀 0430 318 776

AplusHomeCare(터마이트,페스트 컨트롤) 0448 226 179

Kleen Hub(청소용품 판매) 3191 3248

푸드패키징

Kleen Hub 3191 3248

N2 CREATIVE (웹사이트 제작) 02 8091 7333

VTEQ 컴퓨터 3323 3232 (TPG 공식딜러, 웹사이트, IT솔루션) 핸드폰

Jaetech 핸드폰 수리점 0404 932 988

뉴질랜드 초록홍합,녹혈,녹용 캡슐 판매 0403 736 998

로얄건강 타운 0401 158 508

권신정 회계사(MAZARS) 3218 3924

김재미 회계사

장수마을 0422 59 59 79

카사아울렛 5531 3155

건축/인테리어/집수리

성결교회 0433 689 717 ㆍ

안디옥 장로교회 0423 733 599

ㆍ 브리즈번 왕성교회 0400 878 882

ㆍ 브리즈번 은혜교회 3376 2143 / 0433 677 241

임마누엘교회 3344 7521

좋은감리교회 3343 1817 / 0413 608 392

주안교회 0432 680 975

평화교회 0425 252 372

3341 9232

3202 9553 / 0413 515 737

0425 306 577

0433 494 281

3290 0376

0414 624 779

3252 1701

0401 458 230 / 0431 259 828

Q Pack 3219 5654

플러밍/가스

HIGH TECH PLUMBING & GAS 0431 409 844

JINSU PLUMBING&GAS 0401 359 573

NEXUS PLUMBING 0459 999 754

PK PLUMBING 0433 772 172

폐차/고철/고물

Metal Xchange | Cash for Cars 0410 140 500

가나 집수리 04 02 02 8720

대니 핸디맨 0402 299 915

스타 블라인드 0430 715 906

윈도우 아트 블라인드 0490 537 244

퀸즐랜드 한인 카펜터 김유신 0452 552 762

필요하신가요? 0403 458 777

Hi Design & Construction 0430 900

LINKS 부동산

레삐헤어 5679 3943

신 헤어 스튜디오 0407 090 270

웨딩메이크업헤어(withBRIDAL) 0481 982 486

킴스헤어(사우스포트) 5527 1990

케이살롱뷰티(사우스포트) 0421 187 046

FOREL Beauty & Spa 0413 753 087

Kausie Hair Salon (코지 헤어) 5531 2963

Meraki Hair 5592 0984

Hair COCO.GC 0413 662 699 / 5511 1892

The Hair 5528 6310

The 9 Brows & Beauty 반영구 화장 0448 019 555

Retreat 마사지 0404 806 887, 5527 1147 번역/통역

C-Herald Insurance 1800 998 557

C-Herald Finance 1800 998 557

You and Me Finance 0468 429 180 보험전문 김옥이 0401 411 000

0428 87 5050

Bluedog 부동산 0419 536 071

Bluedog 김수정 0408 622 934

MASTER QLD PROPERTY 서문희 대표 07 55 111 888 / 0478 110

Onyx

Raas Group(Yong Lee) 0420 486 651

ALICIA’S PHOTOGRAPHY 0478 825 233

WOW CAFE & STUDIO 0401 282 303

AnK 골프 아카데미 0434 142 638

D.I Sports Academy 0425 864 112

Zero 0435 595 577

Oppane 오빠네 5532 2413

Rice House 5591 2239

RICE VS NOODLE 5538 8803

The Dak 0468 857 692

WOW CAFE & STUDIO 0401 282 303

식품점/편의점

스마일마트 5527 1312

오페마트 5531 0922

유니마트 5608 9860

하나로마트 Helenvale 0493 090 679

Southport Robina

해피마트 0401 337 458

현우식품 5526 3838

Coomera Asian Mart 0424 491 646

K-Town Supermarket 5528 6781

Lotte 편의점 5591 2356

식품제조

명가(김치, 밑반찬) 5531 0906

고기하우스 5591 7465

감성포차 Yacha 5660 9648

김치하우스 5538 8496

다노시스시 5528 3005

두리분식 0413 965 268

대박집 5531 0374

불고기ya 5591 7270

서라벌 고기부페 5538 8465

소공동 순두부 0423 455 599

이조 숯불 BBQ 5531 2423

코리안 키친 5538 8855

파라다이스 숯불구이 5592 3824

해피롤 5528 0588

Hochan 호찬 0424 215 797

AZIT(아지트) 5661 8537

BBQ 빌리지 5532 2700

BBQ 코리아나 5504 5627

Cafe 928 5679 6616

CHIKOR 5531 1254

Cook & Beer 0402 99 66 94

Gal. B 5591 5141

Izakaya ichi 5564 0190

MAMAS KITCHEN 5571 1896

BB 두부 0406 541 572

안경원

골드코스트 한인안경원(EYEdear Optical) 0423 083 599

여행/공항픽업

시티익스프레스 공항픽업 0413 059 206

우리여행사 0412 393 713

운송/택배/이사

KPOST 우체국 택배 0422 59 59 79

대한통운 국제택배 0431 571 657

현대택배 3075 6872 / 0430 014 221

HT Logistics 3823 1802

PNL 택배(한국-->호주) 0449 24 8282

마린 유학 5591 7070

의류/침구/옷수선

벨라 옷수선 5511 2077

Sweet Closet 0451 301 125 자동차운전교습

메이

운전학원 0419 708 177

부부 운전학원 0414 273 087

자동차정비

DP Motors 5537 8235, 0433 835 293

GCCEM 이승엽 0421 707 771

H&K Motors 5532 9088, 0433 004 310

JD Motors 5591 6772, 5591 6227

TINT MASTER 0421 707 771

차량복원 전문업체 NICK’s Panel & Paint 5531 3459, 0430 123 950

CLUB AUTO 이승엽 0421 707 771

메르세데스 벤츠 골드코스트, 레이튼(한국어) 0478 220 828 카톡 MBGCLY

전기/전자/통신

리스(LEES) 전기공사 0434 378 245

하나로 전기공사 0416 868 818

SONG 전기공사 0414 781 645

정수기/비데

청소/방역

가나 Termite,Pest Control 04 02 02 8720

얼스 와이즈 방역 0436 321 537

원스톱 방역 & 카펫 청소 0401 600 887

원펀치 터마이트&페스트컨트롤 0402 157 905

짐스 터마이트 & 페스트 컨트롤 0416 515 874

클린킹(청소용품 판매) 5532 2342

JCM 터마이트&페스트 닥터팀 0430 318 776

PAULS Clean King 0425 233 118

RAPID CLEAN 청소용품 5572 2284

컴퓨터/POS/웹사이트

미디어 나라 0412 443 066

iComputer (TPG 공식딜러, 컴퓨터 수리) 0435 831 116

VTEQ 컴퓨터 3323 3232 (TPG 공식딜러, 웹사이트, IT솔루션)

권신정 회계사(MAZARS) 3218 3924

김상현 회계사(PKF) 0433 379 280

김재미 회계사 0478 221 525

바른회계법인 한상호 회계사 0450 468 318

백화실 회계사 0421 007 756

안재웅 공인회계사 0420 518 253

이윤 회계사 3299 1031

Q Pack 3219 5654

심인섭 공인회계사 0432 493 032

신우 회계 법인 3148 8887

CYS 회계법인 07 5503 0366

JY Accountants 07 5679 1619

Prudent Accountants & Co 0412 447 987

AK 정수기/비데 0401 558 353

The Bidet Shop 1800 243 387

VCG (엘지 정수기) 07 3924 1870 / 0421 807 981

정육점

서울 정육점 5531 5227, 0405 934 952

종교단체

기독교

ㆍ 골드코스트 가까운교회 0433 447 483

ㆍ 골드코스트 선교교회 0431 232 304

ㆍ 골드코스트 순복음교회 0402 089 896

ㆍ 골드코스트 온누리교회 0412 341 868

(Southport State High School 내)

ㆍ 골드코스트 열방교회 0412 362 029 (장로교회)

골드코스트 장로교회 0409 995 456 ㆍ 골드코스트 재림교회 0430 041 022 ㆍ 골드코스트 지구촌교회 0433 609 191

0451 472 202

0412 194 829

0426 501 966

0423 932 742

0433 308 436

0421 579 026

0411 725 639

0402 044 331

0478 782 186

골드코스트 주님뜻교회 0450 501 201

그래픽 디자인

위니아트 0401 596 877

식당

Black Curry 5200 0875

Brown Rice(Peregian Springs) 5448 2197

Hanami (Coolum Beach) 5471 7091

HIKARU

ㆍ Birtinya 0432 389 288

ㆍ Baringa 0432 389 288

ㆍ Kawana 0452 028 804

ㆍ Northshore 5406 9017

ㆍ Buderim 5476 6266

MakiMoto(Noosa) 5447 3254

Master Sushi 5526 7557

The Sushi 79 (Currimundi) 5437 8208

Tampopo 5476 7039

Haru Korean Kitchen 5447 2249

식품점

선샤인 마트 0488 515 288

의료/병원

Doctors@Maleny (닥터.노) 07 5413 8066

전기/전자/통신

존 TV&안테나 0491 068 872

정수기/비데

Intended Blank Page

회복"

도메인(Domain)은 호주의

부동산 시장이 2022년 침체

기에서 벗어나 완전히 회복

됐다고 밝혔다. 전국 8개 중

심 도시의 단독주택(house)

중위가격은 1,094,539달러로

최고치를 기록했다.

가격 상승세 탄 중심 도시들

수요일(24일) 발표된 분기별

가격 보고서에 따르면, 시드 니, 브리즈번, 애들레이드, 퍼

스를 포함한 중심 도시의 단

독주택 중위가격이 최고 기

록을 경신했다. 도메인은 주

택 시장이 코로나-19 팬데믹

호황기에 보였던 수준으로 사

실상 회복됐다고 평가했다.

특히, 시드니와 브리즈번은 2022년에 잠시 침체기를 겪

은 후 빠른 회복세를 보였고, 애들레이드와 퍼스는 주택 침

체를 완전히 피하면서 새 기

록을 갈아치우고 있다.

지난 12개월 동안 애들레이 드에서는 12.7%, 시드니에 서는 10.6%, 브리즈번에서는 9.7%, 퍼스에서는 11.9% 단

유닛 시장도 긍정적 모멘텀 유닛 시장은 시장 하강기에 잃 었던 가격대를 회복하는

독주택 가격이 상승했다. 지 난해 12월 분기 동안에도 대

부분 대도시에서 주택 가격이 눈에 띄게 상승했다. 예외적으

로 캔버라와 다윈만 가격이 각 각 3.5%와 1.2% 하락했다. 도 메인의 연구 책임자인 니콜라 파월 박사는 신규 부동산 매

물 공급 감소가 구매자들 간 의 치열핸 경쟁을 이끈 것이 가격 상승으로 이어졌다고 설 명했다.

팬데믹 기간에 호주 가계

가 지폐를 집에 쌓아두면

서 현금 수요가 급증한 것

으로 나타났다. 호주중앙 은행(RBA) 보고서에 따

르면, 약 560억 달러에서

810억 달러 상당의 지폐가

가정에서 보관하고 있는 것으로 추산된다. 일상적

인 거래에서 현금 사용이 감소했지만, 지폐 수요는 2020년 3월부터 2022년 12월까지 22% 증가하여 GDP 성장률을 앞질렀다.

보고서는 "물가 및 경제 성 장률에 비해 이러한 강세

는 수년 동안 일상적인 거 래에서 현금 사용이 지속

적으로 감소했음에도 불 구하고 나타난 현상"이라

며 "이는 지폐가 부의 축적

또는 예방적 저축 목적으 로 비축되고 있음을 시사 한다"고 밝혔다.

RBA 분석가 패트릭 엘킹 턴과 로셸 거트만은 보고 서에서 고르지 않은 지폐 수요에 주목했다. 저액권 지폐(5달러, 10달러, 20달 러) 수요는 2007년 이후 매년 1%의 증가율에 그 쳤다. 반면, 고액권(50달러

와 100달러) 수요는 2007 년 이후 매년 5%의 증가율 을 보였다. 특히, RBA는 많은 쇼핑객 이 100달러 지폐를 한꺼번

정부, 'BIIP' 투자 이민

제도 폐지

'투자 이민'보다 '기술 이민'이 경제 기여↑

호주에 고액을 투자하여 빠르

게 영주권을 취득할 수 있도

록 한 투자 이민 프로그램 '비

즈니스 혁신 및 투자 프로그

램(BIIP)'이 중단됐다. 클레어

오닐(Clare O'Neil) 내무장관

은 국가 이민 제도 개혁을 위

한 한 조치로 이 비자에 칼을 댔다.

2012년에 시작된 BIIP 프로그

램은 크게 비즈니스 혁신 스트

림과 투자자 스트림으로 나뉜

다. 비즈니스 혁신 스트림은 상당 규모의 자산을 보유하고, 호주에서 신규 또는 기존 사업

을 운영할 계획이 있는 기업가

를 대상으로 한다.

투자자 스트림은 투자자 스트

림과 중요 투자자 스트림으로

구분되는데 각각 250만 달러,

500만 달러를 투자하면 최대

5년 동안 호주에 체류할 수 있

도록 한다. 특히, 중요 투자자

스트림은 "황금 비자"라는 별

칭이 붙기도 했다. 해당 비자

를 취득한 후에는 특정 요건을

충족하는 경우 비즈니스 혁신

및 투자 영주 비자(subclass 888)를 통해 영주권을 신청할

수 있다. BIIP는 부유한 중국인

이 호주로 빠르게 유입되는 통

로로 쓰이고 있다는 비판을 받 고 있었다. 단적으로, 비자 승

인을 받은 신청자의 85% 이상 이 중국인이라고 한다.

최근 이민 데이터에 따르면. 2022~23년 전체 BIIP 비자 자

리의 절반 이상이 중국 출신으

로 채워졌고, 이란과 홍콩 출

신 신청자가 그 뒤를 이었다. 일각에서는 범죄자들이 호주

와 같은 선진국에서 범죄 자 금을 은닉하기 위해 이 비자 를 악용할 수 있다는 우려를 제기하기도 했다. 오닐 장관 은 "이 비자가 우리 나라와 경

제가 이민 시스템에서 필요로

하는 것을 제공하지 못하고 있

다는 것은 수년 동안 분명해졌

다"고 말했다. 이번 결정은 기

술 이민자가 투자 이민자보다

장기적으로 호주 경제에 대한

기여도가 높다는 이민 제도 검 토 보고서의 결론과 맥을 같 이 한다.

댄 테한(Dan Tehan) 야당 이 민 담당 대변인은 투자 비자가 폐지된 이유에 대한 상세한 설 명을 요구했다. 테한 하원의원 은 "현재 이민국이 하는 모든 일이 엉망인 것 같다"고 논평 했다.

아우디는 화재 안전 위험이 확인된 222대의 e-트론 GT 전기 자동차에 대한 리콜을 실시했다. 이번 리콜은 2022 년에서 2023년 사이에 판매 된 아우디 e-트론 GT 모델을 대상으로 한다.

발견된 결함은 고전압 배터 리 하우징의 밀봉과 관련된 제조 문제와 관련 있다.

아우디는 "제조상의 문제로 인해 고전압 배터리 하우징 의 밀봉이 시간이 지남에 따 라 약해져 습기가 유입될 수 있다. 습기는 잠재적으로 전 기 합선을 일으켜 화재 위험

기상청, 퀸즐랜드 남동부
'집중호우' 경보

밤새 13건 인명 구조

집중호우로 인해 퀸즐랜드

남동부 지역에 심각한 홍

수가 발생해 신속한 구조

와 대피가 이뤄지고 있다.

급류 구조대원들은 하룻

밤 사이에 13건의 인명 구

조 작업을 수행했으며, 그 중 8건은 모튼 베이(Moreton Bay)에서 발생했다. 피

해 지역은 모튼 베이, 서머 셋(Somerset), 로커 밸리 (Lockyer Valley), 달링 다 운스(Darling Downs) 등 이 있으며, 홍수 수위는 최

대 1미터에 달했다.

브리즈번 북쪽의 모레이필 드(Morayfield) 쇼핑센터 도 홍수로 인해 주차장과 저층에 침수됐다. 샘포드 밸리(Samford Valley)는 3 시간 동안 300밀리미터의 비가 쏟아졌다. 레이들리 (Laidley)에서는 주요 도로 가 물에 잠기면서 레이들리 주립 고등학교에 대피소가 마련됐다. 기상청은 선샤인 코스트(Sunshine Coast)

와 와이드 베이(Wide Bay) 지역에 새로운

고객에 인센티브 없어

셀프계산대 매장 비용을 절감 못했으며,

더 빠르거나 편리하지도 않아...

슈퍼마켓 셀프서비스 계산대

면 식품 할인을 받을 수 있다

앤드루스 부교수는 슈퍼마켓

는 실패했으며, 이 방식이 소

비자를 '공짜로 일'을 시키는

꼴이 됐다는 비판이 나왔다.

뉴저지 드류대학교 사회학자

인 크리스 앤드루스 부교수

는 이러한 셀프 계산대가 효

율성과 편의성에 대한 약속

을 지키지 못하고 있다며 셀

프 계산대의 가치에 의문을

제기했다. 앤드루스 부교수

는 소비자가 더 많은 일을 하

는 생각으로 설계된 셀프 계

산대가 실상은 고객에 대한

경제적 인센티브를 제공하

지 않았다고 주장했다. 그는

3AW 라디오 인터뷰에서 "이

러한 서비스는 약속을 지키

지 않았고, 매장의 비용을 절

감하지도 못했으며, 더 빠르

거나 편리하지도 않다며 "그

저 슈퍼마켓을 위해 공짜로

일을 하도록 유도할 뿐"이라

고 지적했다.

을 넘어 호텔, 항공사 및 기타

소매업체에서도 고객을 "공짜

노동력의 원천"으로 간주하는

관행이 있다고 지적했다.

호주 사례와는 대조적으

로, 미국 대형 마트 월마트 (Walmart)와 영국 식료품 체

인 부스(Booths)와 같은 일부 해외 소매업체는 셀프서비스

계산대 수를 줄이기로 결정한 바 있다.

Sushi Izu Southport Park

Sushi Izu Elanora

속도 저하, 불안정성, 비인격 성 등의 문제를 지적하는 고 객 피드백을 반영한 것이다. 또한 셀프 계산대는 도난 증 가와도 관련이 있어 생활비 압박과 소비자 불만의 원인이 되고 있다.

도난 문제를 해결하기 위해 호 주의 슈퍼마켓은 셀프 계산대

에 인공지능과 첨단 카메라를

도입하는 등 다양한 조치를 취 하고 있다.

하지만 이러한 조치로 인해 개

인정보 보호 문제가 제기되었 고, 일부 소비자는 쇼핑하는 동안 '감시당한다'는 불편함을 느끼고 있다.

호주 통계국(ABS)의 지난해 통계에 따르면, 소매점 도난이 17% 증가했다. 호주소매업협 회(ARA)는 소매점 도난의 "꾸 준한 증가"로 인해 업계가 연 간 90억 달러 이상의 손실을 보고 있다고 주장했다.

호주인 10명 중 1명 이상이 재정적 한계점에 도달하면서 작년에 절도를 한 적이 있다 고 인정했으며, 호주인의 약 5%가 슈퍼마켓 셀프 계산대 에서 물건을 훔쳤다고 고백 한 파인더(Finder) 설문조사 도 있다.

소매업체들은 손실 방지를 위 해 새로운 기술을 도입하고 있지만, 셀프 계산대에 대한 우려는 계속되고 있다.

항공사 간 '경쟁'이 있으면 항공료가 더 저렴해진다는 연방 태스크포스 보고서가 나왔다. 지난해 설립된 경쟁 태스크포스(Competition Taskforce)는 여러 항공사 가 한 노선에 운항할 때 승 객이 훨씬 적은 비용을 지불

Seek 프리미엄 온라인 구인광고

터당 19.2센트로 더 낮아졌 다. 3개 항공사가 운항하는

노선의 항공권을 구매할 경

우, 1개 항공사만 운항하는

경우보다 항공료가 50%나

더 저렴하다는 결과다. 보고

서는 경쟁 항공사가 더 많아

하는 경향이 있다고 밝혔다.

태스크포스는 경쟁이라는 '단순한 위협'만으로도 항공

사가 항공료를 낮추는 동인

이 된다는 점을 발견했다.

독점 노선의 평균 요금은

킬로미터당 39.6센트다. 경

쟁사가 한 곳일 경우 28.2

센트로 떨어지고, 세 개 항

공사가 경쟁할 경우 킬로미

지면 킬로미터당 가격은 더 하락한다고 결론 냈다.

앤드루 리(Andrew Leigh)

경쟁 담당 정무차관은 이

번 조사 결과를 발표하면

서, 항공 여행에 크게 의존

하는 산업에서 경쟁 부족은

문제가 될 수 있다고 우려 했다. 이 보고서는 항공 산

업의 경쟁 압력과 가격 책

정을 연결하는 중요한 증거

가 된다. 리 차관은 국내 여 행보다 해외여행이 더 쌀 때 도

마크 버틀러 보건장관은 벌

크-빌링 옵션이 있는 일반의 (GP)를 주변에서 적극적으로

찾아보라고 권장했다. 정부

의 GP 인센티브 강화가 의료

접근성을 개선하지 못했다는

지적이 있는 가운데 나온 발

언이다. 지난해 노동당은 16

세 미만 아동, 연금 수급자, 할

인 카드 소지자 등 취약 계층

을 대상으로 벌크 빌링을 하는

GP에 대한 인센티브를 3배로

늘렸다. 이 인센티브가 얼마나

긍정적인 영향을 주었는지 평

가할 수 있는 데이터는 아직 충분하지 않다.

클린빌(Cleanbill)의 최근 설

문조사에 따르면, 모든 환자

에게 벌크 빌링 서비스를 하

는 GP 진료소는 4곳 중 1곳

도 되지 않는 것으로 나타났 다. 환자의 평균 본인 부담금 은 41.69달러로, 이 부담금이

약 120만 명의 호주인이 재정

적인 문제로 치료를 미루는 추

세에 기여하고 있는 것으로 보 고됐다. 일반의 협회인 RACG-

P(Royal Australian College of General Practitioners)

는 인센티브 증액을 환영하

지만, 일반 환자를 위한 벌크

빌링 옵션이 있는 GP는 크게

늘지 않을 것이라고 말했다.

RACGP는 1년 동안 모든 환

자를 대상으로 벌크 빌링을

하는 GP 비율이 크게 감소했

으며, 많은 GP가 진료비 청구

방침을 바꿀 생각이 없다고 보 고했다. 버틀러 장관은 전국적으로 전

체 GP 상담의 약 73%가 벌크 빌링됐다고 밝히며, 지역별로 수치에 차이가 있음을 인정했 다. 그는 특히 지방에서 급여 및 인력 문제 등 GP의 비용 상 승이 환자에게 영향을 미치고

있다고 설명했다. 보건장관은 정부가 클리닉의 이름을 공개 하는 식으로 비난하지 않겠지 만 의사를 선택할 수 있는 환 자의 권리를 강조하며 커뮤니 티의 대화를 장려했다. 정신 건강 부문의 개인 부담금 액

블랙 프라이데이 세일 이후 크리스마스 전 소매업 매출

이 부진했으며, 특히 카페 와 레스토랑에 폐업 위기에 대한 염려가 커지고 있다.

통계청(ABS)은 12월 계절

조정 소매업 매출이 11월의

361억 5,000만 달러에서

2.7% 감소한 351억 9,000

만 달러를 기록했다고 발표 했다. ABS는 많은 호주인이

생활비 압박에 대응하기 위

해 11월에 블랙 프라이데이

세일을 활용하면서 12월에

는 지출을 줄인 것으로 보 인다고 분석했다.

ABS 소매 통계 책임자인 벤 도버는 "12월 소매업 매출

이 많이 감소한 것은 재량

지출이 감소했기 때문"이 라고 설명했다. 12월에는 가정용품(-8.5%), 백화점 (-8.1%), 의류, 신발 및 액 세서리(-5.7%) 등 재량 지

출 범주의 지출이 크게 줄 었다. 이어 도버는 "소매업 체들은 블랙 프라이데이의 성공 이후 12월 초에는 거 래 상황이 부진했다가 할인 이 재개되는 크리스마스와 박싱데이 세일을 앞두고 다

시 회복됐다고 보고했다" 고 부연했다.

식료품 부문은 연말연시를 준비하는 가정이 증가하면 서 12월 매출이 0.1% 증가 한 유일한 업종이었다. 반 면,

Turn static files into dynamic content formats.

Create a flipbook
Issuu converts static files into: digital portfolios, online yearbooks, online catalogs, digital photo albums and more. Sign up and create your flipbook.