
















































































































































































































































































































































































































































































































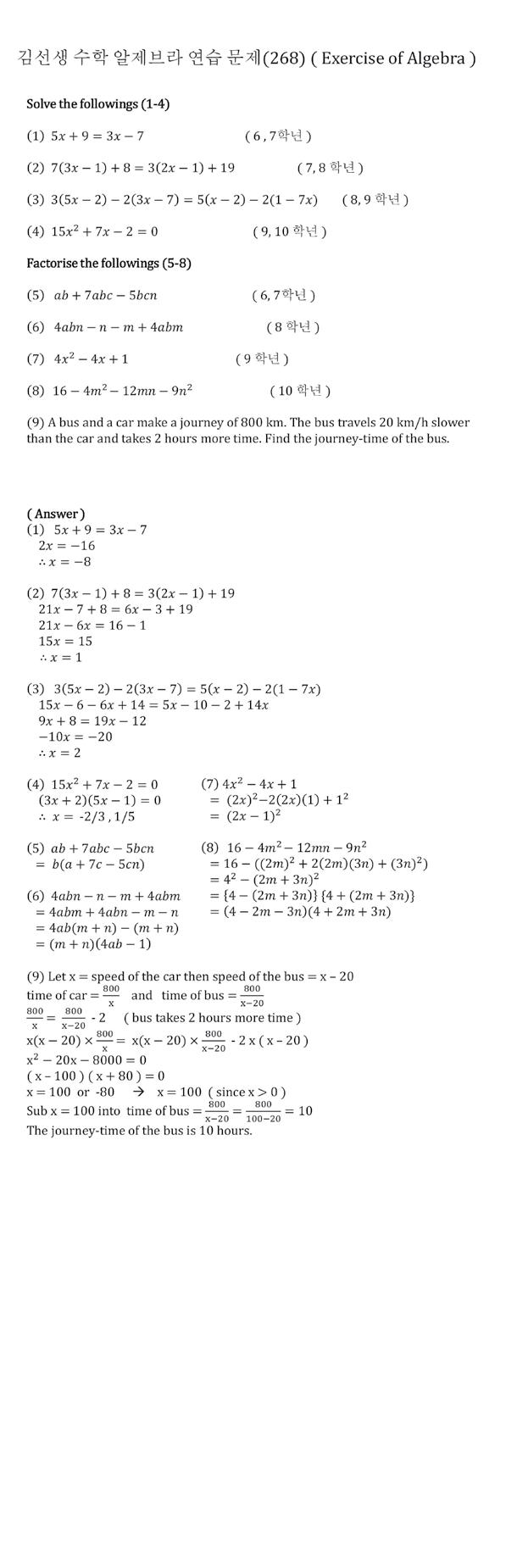
![]()

















































































































































































































































































































































































































































































































by 정지은 Jean / 브런치
영화
'더 마블스' 리뷰

영화 '더 마블스' 스틸 /사진=월트디즈니컴퍼니 코리아

배우 박서준이 MCU(마블 시
네마틱 유니버스) 입성을 계
기로 ‘2개 국어에 통달했다’는
우스갯소리가 나오고 있다.
로 인해 캡틴 마블(브리 라 슨), 미즈 마블(이만 벨라니), 모니카 램보(테요나 패리스) 가 능력을 사용할 때마다 서
로의 능력이 뒤바뀌며 벌어지 는 이야기다. 역사적인 MCU 입성에서 박서준이 연기한 캡 틴 마블의 남편 얀 왕자가 어 떤 모습으로 등장할지에 많은 팬들의 이목이 집중됐다.
극중 얀 왕자는 노래하는 행 성 알라드나에서 국민들을 이 끌고 있으며 노래하지 않으면 알라드나인들은 말을 못 알아 듣는다는 설정 아래 모든 대 화를 노래로 한다. 이 과정에 서 과거 무한 도전에서 노홍 철이 24시간 모든 말을 노래 로 하는 '타령 총각'으로 등장 한 장면이 밈화(유행하며 다 양한 모습으로 복제되는 패
러디물)되며 박서준에게 '우
주 타령 총각'이라는 닉네임 이 붙기도 했다.

다고 말하며 '2개 국어'를 자 유자재로 구사한다.
더불어 CG가 가미된 화려한 액션 사이에 등장하는 세 여 성 히어로가 가진 각자의 이 야기들과
몸의 언어인 화려한 춤이다.
박서준의 기상천외한 2개 언
어 연기와 신명나는 어깨춤이
눈길을 사로 잡는 '더 마블스' (감독 니아 다코스타)는 과거
첫째는 모국어인 한국어를 바 탕으로 한 노래 실력, 둘째는
MCU에 등장한 수현, 마동석
을 비롯한 한국 배우들의 등
장을 넘어선 강렬한 인상을 남겼다는 평가다.
'더 마블스'는 모종의 사건으

(*여기서부터는 작품에 관한 스포일러가 담겨 있을 수 있 습니다.)
관객들의 예상처럼 박서준은 '타령 총각'의 모습으로 과감
하게 등장한다. 계속해서 몸
이 바뀌는 과정 속에서 캡틴
마블에게 앙심을 품은 다르벤
(자웨 애쉬튼)은 다른 행성들
의 자원을 뺏기 위해 끊임없
이 공격을 하게 되고 결국 알
라드나 행성까지 도달한다.
그 과정에서 알라드나 행성을
지키기 위해 방문한 캡틴 마
블과 일행을 기다리는 존재,
얀 왕자와 마주한다.
알라드나 행성에 도착하자마
자 '더 마블스'는 뮤지컬 영화
로 변모한다. 그간 발리우드
영화에서나 볼 법한 다양한
댄스 장면들이 등장하는데 서
양 배우들과 견줘도 결코 뒤
처지지 않는 박서준은 이 장
면에서 쉽사리 잊기 힘든 독
특한 모양의 왕관을 쓰고 나
타난다. 이어 노래를 시작한
그는 캡틴 마블과 함께 듀오
로 댄스를 추며 관객들의 이
목을 집중시킨다. 노래만 할
줄 알았더니 대화도 가능하
'더 마블스'는 여러가지 의미 에서 파격적인 변신을 시도한
박서준의 연기가 눈길을 사
로잡은 영화다. 실제 니아 다
코스타 감독은 개봉을 앞두
고 가진 기자간담회에서 “어
릴 적부터 K-드라마, K-팝 등 에 관심이 있었다”면서 “펜
데믹 기간 동안 친구의 추천
으로 ‘이태원 클라쓰’를 봤는
데 박서준이 눈에 들어왔다.
그리고 몇 개월 후 ‘더 마블
스’ 오퍼가 들어오면서 얀 왕
자 캐릭터에 박서준이 딱이라
는 생각이 들어 직접 연락했
다”고 각별한 애정을 드러내
기도 했다.
박서준의 짧지만 임팩트 있는
연기 외에도 다양한 볼거리가
오래 기다린 관객들의 기대
감을 충족시킨다. 디즈니 플
러스 '미즈 마블' 시리즈를 본
이들이라면 미즈 마블과 캡틴
마블의 만남이 담긴 초중반
부는 무리 없이 이해 가능하
며 서로의 몸이 바뀌는 상황
으로 인해 세 여성 히어로들
이 몸을 바꿔가며 적들과 싸
우는 액션신은 마블 액션만이 가진 특유의 카타르시스를 선 사한다.
캡틴 마블을 향 한 모니카 램보의 애절한 마 음까지. 세 여성 히어로들을 연기한 배우들은 서로의 관 계를 정립해 나가는 감정적 인 요소들이 드러나는 신들 을 훌륭하게 완성해 내며 보 는 이들의 심금을 울린다. 그 래서일까. 예매율을 보면 역 시 마블은 마블이라는 탄성이 절로 나온다. 8일 오전 영화진 흥위원회 영화관입장권 통합 전산망에 따르면, ‘더 마블스’ 는 개봉일인 이날 오전 예매 율 39.5%, 사전 예매량 10만 5819명으로 압도적 1위를 기 록 중이다. 현재 박스오피스 1 위를 달리고 있던
애니 메이션 ‘그대들은 어떻게 살 것인가’(감독 미야자키 하야 오)의 독주도 조만간 막을 내 릴 것이라는


딱 이때다. 그것도 얼마 길지
않다. 감말랭이가 제일 맛있
을 시기가. 납작하고 편편한
씨 없는 홍시가 떨어져 갈 즈
음 감말랭이가 집으로 배달되
어 온다. 전업 반 취미 반으로
감농사를 짓는 처가에서는 해
마다 감을 보내주신다. 늦가
을엔 후숙 후 개봉을 해야 할
날짜가 장인어른의 멋진 글씨
체로 적힌 박스 하나가 온다.
서두르지 말고 때를 기다려
며칠을 두었다가 박스를 열면
딱딱하고 떫었을 감은 속이
다 비칠 듯 투명하고 말랑말
랑한 홍시가 된다. 익지 않은
것과 완전히 익은 것이 어떻
게 같은 감일까 싶을 정도로
변화는 극적이다. 후숙의 마
법이라고 불러도 될 정도다.
아내의 아빠, 엄마가 보내신
것이니 아내가 잘 먹으면 더
좋았겠지만 우리 집에서 감을
제일 잘 먹는 사람은 그분들
의 사위인 나다. 전성기(!) 때
는 앉은자리에서 홍시 10개
를 먹고도 끄떡없었다. 요즘
은 그렇게까지는 못 먹지만
여전히 우리 집에서 내가 이
분야에서는 서열 1위다. 해마
다 아파트 단지 안에 있는 감
나무에 달린 땡감이 제 주인
을 못 찾고 떨어지기 시작하
면 은근히 처가에서 감박스
가 오기를 기다린다. 두 분은
여전히 건강하시지만 그 기다
림에는 유통기한이 있다는 것
을 생각하면 가끔 맛있는 홍
시 사이에서 더 맛있는 홍시
를 가려 찾는 내가 부끄럽게
느껴지기도 한다. 그래도 먹
을 때만큼은 과즙 한 방울 남
김없이 먹으려고 한다. 부모
님의 농사짓는 걸 곁에서 지
켜본 사람의 최소한의 도리라 고 생각한다.
홍시 뒤에 오는 감말랭이는
조금 더 특별하다. 일단 맛이
기가 막히다. 홍시도 달지만
응축된 단맛으로는 감말랭이
를 이겨낼 재간이 없다. 그리
고 통으로 말린 곶감과 달리
잘 만든 감말랭이의 질감은
어디다 비길 데 없이 독특하
고 독보적이다. 쐐기 모양으
로 잘라 말린 감은 각 부분의
성질이 다르다. 쐐기의 날카
로운 끝부분은 가장 많이 말
라서 쫀쫀함이 일품이다. 속
살 부분이라 마냥 딱딱하지만
도 않다. 껍질이 싸고 있던 가
장 넓은 바깥 부분은 약간 쭈
글쭈글한 느낌을 주면서도 탱



장인어른의
by 오궁 / 브런치
탱함을 잃지 않는다. 겉은 이
렇게 쫄깃하지만 속살을 물
기를 다 잃지 않고 부드러워
서 혀에 감긴다. 한 조각 안에
이렇게 다양한 질감과 촉감을
갖춘 과일은 쉽게 찾아보기
힘들다. 맛이 고급지다는 표
현이 아깝지 않다. 입이 심심
할 때 가볍게 한 조각 두 조각
입에 넣고 우물거리지만 때때
로 살살 녹여가며 먹기도 한
다. 감말랭이를 만든 분들의
노고를 조금이라도 길게 느껴
보기 위해서…
감말랭이의 고급진 맛 뒤에는

기만 하면 되지만 감말랭이는
그렇게 간단하지 않다. 홍시
는 자연이 적극적으로, 사람 이 소극적으로 개입하지만, 감말랭이는 사람의 손을 제대
로 타야 비로소 감말랭이다운 감말랭이가 된다. 그냥 말리 기만 하면 될 것 같지만 만드
감이 나무에 달린 채로 붉은 색을 띠기 시작하고 완전히 다 익기 전 어느 시점에 가장 적당한 때를 골라 감을 딴다.
가장 적당한 때가 언제인지는
글로는 거의 설명이 불가하고 따는 사람의 감각에 기댄다.
그리고는 꼭지를 도려내고 껍 질을 돌려 깎는다.
수백 개를 깎다 보면 늙고 굵 은 손마디가 점점 저려오지만 한 번 시작한 일은 멈출 수가 없어서 앉은자리에서 다리로 몇 번 뻗어가면서 결국은 다 깎는다. 깎았다고 끝이 아니 어서 감의 크기에 따라 6등분, 8등분을 한다. 서늘하고 건조 한 곳에서 자연풍으로 말리면 좀 더 낭만적이겠지만 낭만보
다는 균일한 품질 관리를 위 해 농업용 건조기를 쓴다. 서
로 붙지 않게 건조대 위에 올
리고 49도로 세팅한 건조기
에서 15시간을 말린다. 스무
시간 정도는 그대로 두었다
가 쪼그라들어서 간격이 넓 어진 감조각 들을 다시 모아
없어서 수시로
봄에 꽃이 피고 열매를 맺어 여름에 덩치를 키우고
섬세한 사람의 손길이 있다.
홍시야, 그것도 보통 일은 아
니지만, 어쨌거나 깨끗한 감 을 따서 박스에 포장해 보내















는 이의 경험과 노하우가 없
이는 안 된다. 가장 간단한 음
식을 맛 내는 일이 제일 어려
운 것처럼.
다가 같은 온도에서 3시간 정 도 더 말려야 비로소 감말랭 이가 탄생한다. 하지만 그 과
정도 공산품 찍어내듯 할 수




OO이 있냐 없냐에 따라 수명이 달라진다?
나의 수명을 알 수 있다면?





인간의 자연 수명은 최대 얼마나 될지 생각해본 적 있으신가요? 현존하는 최 고령자는 스페인의 115세 할머니입니다. 사고를 당하
거나 병을 앓지 않는 이상
사람은 최대 100세까지 살
수 있다는 게 이론적인 설
명인데, 의료 기술의 발전
과 생활 조건이 나아짐으로
써 자연 수명의 한계가 많
이 늘어난 상황입니다. UN
에 따르면 100세 이상의 세
계 인구는 10년 전보다 많
이 증가했다고 합니다. 우
리나라의 보건복지부 또한
100세 이상 인구는 2022년 8월 기준으로 약 8500명 정
도라고 발표한 바 있는데 요, 인구학자들은 앞으로
10년 동안 100세 이상 노인
의 수가 2배 이상 늘어날 것 으로 내다보고 고령화 사회 로의 대비를 철저하게 해야 한다고 조언합니다.
엉덩이 근육이 수명을 결 정한다는 말을 알고 계신 가요? 상체와 하체를 연결 하면서 골반, 허벅지, 허리






"오늘은 일부러 코스 요리 주
문 안했습니다. 각자 드시고
싶은 걸로 양껏 주문해 드시
라구요"
몇 달만에 모이는 바람에 회
비가 제법 짭짤하게 쌓였다며
모임 총무가 선심이라도 쓰듯
이렇게 말했다. 각자 좋아하
는 취향이 다 다를 수 있으니
1인 1요리가 됐건 어쩌건 먹
고 싶은 대로 맘껏 먹으란 얘 기였다.
그러자 일행 중 한 사람은 기
다렸다는 듯 "난 깐풍기!" 하 고 외쳤고, 뒤질새라 다른 사
람 역시 "난 유린기!", "난 유
산슬!" 하고 중구난방 외쳐댔
다. 개중 요리 좀 먹어본 사람
은 가소롭다는 표정을 지어
보이며 "난 어향동고!" 하고
제법 비싼 요리를 주문하기
도 했다. 평소 기껏해야 인당
몇 만원짜리 코스 요리를 시
켜 나눠먹거나, 짜장면과 짬
뽕 정도 선택권 밖엔 가져보
지 못한 까닭에 다들 신바람
이 난 모양새였다.
이에 편승해 술도 소주나 이 과두주 대신 가격대가 좀 있
는 공부가주 혹은 연태고량주 를 마시는 걸로 결정됐다.
고급진 안주에는 술 역시 고 급져야만 제대로 풍미를 즐길
수 있다고 일행 하나가 강력 히 주장했던 까닭이다. 메뉴 판 맨 위에 있는 마오타이주 가 순간 마음을 혹하게 했으 나 한 병에 95만원이라는 가 격이 너무 사악해서 그냥 패 스했다.

그렇게 모처럼 솜털같이 가 벼운 호주머니 걱정없이 호 기를 부려대고 있는데, 일행 중 하나가 문득 음식점 직원 을 향해 소리쳤다. "여기 군 만두 서비스는 안 줘요? 이 정도 시켰으면 서비스로 그
정도는 줘야 되는 거 아니에 욧?" 하고.
그러자 다른 일행들도 "맞아 맞아, 군만두 서비스 줘야지, 암만. 술 마시는 데는 짬뽕 국 물만한 게 없으니 그것도 서 비스로 부탁합니닷!" 하고 맞
장구를 쳤다. 각자 취향껏 요

리를 몇 접시나 시켜놓고도
군만두는 군만두대로 또 먹고
싶었던 모양이었다.
그런데 그런 모습이 나도 모
르는 새 내 눈살을 찌푸리게
만들었던 모양이다. "군만두
를 먹고 싶음 그냥 시켜들 드
시지, 요리에 비하면 몇 푼 하
지도 않는 걸 왜 서비스로 달
라는 거욧?" 하고 농담 반 시
집의 경우 주방장이 한땀한 땀 정성들여 빚은 수제 만두
를 사용하는데, 그걸 서비스
로 달라는 사람들이 너무 많
다 보니 이연복 쉐프의 경우
화가 나서 자기네 가게 메뉴 판에서 빼버렸단 얘길 들은
적이 있어서다.
딴엔 다른 가게보다 더 맛있
는 음식을 손님들에게 제공하 기 위해 반죽부터 시작해 피
두께, 크기, 안에 들어갈 내용 물 재료 하나하나까지 세심하 게 신경써 빚어내는 게 바로
만두란 음식인데, 그걸 짜장
면 몇 그릇이나 요리 하나 시
키면 공짜로 곁들여 주는 싸 구려 음식 취급을 하고 있으 니 화가 날 만도 하지 않겠느 냔 말에 크게 공감한 적이 있 어서다. 결코, 네버 내가 만두
를 아주 매우 많이 좋아하는
만두돌이여서 감정이입이 돼 그런 건 아니다.


비 반 조로 지적질을 한 걸 보
면 말이다.
술도 별로 안 마셨는데 이 베
이비가 웬 자다가 봉창 두들
기는 소리냐는 표정으로 일
행들은 나를 돌아봤다. 중국
집에서 어지간히 매상 올려줬
이같은 내 말에 일행은 잠시 침묵했다. 숙연씩이나 한 거
까진 아니었으되 내 말에 일 리도 있고 이리도 있다 생각 됐던 모양이다. 그러더니
잠시 후 모임 총무가 앞
장서 "자 그러면 중국집
에선 군만두를 꼭 먹어야
한다는 회원님들을 위해 정



음 군만두 서비스 요구는 대
식으로 주문을 하도록 하겠
드렸 는데, 뭐 더 필요한 건 없으십 니까?"라고.
"썪을, 망할..." 소리가 추임새 처럼 절로 튀어나왔다. 도둑 질도 손발이 맞아야 해먹는 다더니만 그 말이 진리였다. 그래서 나는 속으로 외쳤다. '군만두야! 너를 요리와 동등 한 음식으로 대우해 자존심 을 지켜주고 싶었는데, 지못 미(지켜주지 못해서 미안)다. 아임 쏘우 미안!!!'




한민국 땅에서 너무나도 당연 한 국룰 같은 건데, 돈 주고 시
켜 먹으라는 이 베이비는 도
대체 어느 나라 사람인 거냐
싶은 표정이었다.
이에 나는 "너같은 분들 때문



에 이연복 쉐프가 자기네 가
게에선 군만두를 아예 메뉴
에서 뺐다지 않습니까?" 하
고 되받았다. 어디 공장에서
납품 받아 튀겨내는 냉동만
두가 아닌 이상 대다수 중국
습니닷!" 하고 선언했다. 그렇게 해서 몇 접시의 요리 들 뒤를 이어 어쩌다 화제의





















































by 눈오는겨울 / 브런치
알코올중독자는 아닙니다.
"아주버님, 저는 왜 안 주세요?"
"아, 제수씨는 술 잘 안 하잖아요?"
"아니요, 저 요즘 술 없이는 못 살아요."

얼마 전 추석 성묘에서 있었던 일이다.
모두들 웃었다. 아버님, 어머
님, 형님과 아주버님, 작은아
버님 내외와 사촌도련님까
지. 성묘를 마치고 나면 음복
을 한다. 전과 떡 등의 음식을
먹으며 조금 남아 있는 막걸
리를 나누어 반 잔씩 마시고
있었다.
운전하는 사람 못 마시고, 작
은 아버님은 원래 술을 드시
지 않고. 그런데 왜 나에게는
권하지 않지? 운전도 안 하는
데? 술을 마시는 분위기는 좋
아하지만 술을 잘 먹지는 못
한다. 하지만 달달한 막걸리
반 잔이야 어떤가?
"아주버님, 저는 왜 안 주세 요?" (오해는 하지 말자. 웃으
며 말했다.)
아주버님은 웃음으로 당황함
을 숨기며 제수씨 술 잘 안 하
잖아요? 했다. 성묘를 마치고
마시는 술은 고수들만 한다는
낮술이었기에 그럴 수 있다.
"아니요, 저 요즘 술 없이는
못 살아요." (한번 더 말한다.
정말 오해는 하지 말자. 모두
들 빵 하고 터졌고, 조금 뿌듯 했다.) 남편은 자신 때문이라
고 말하며 웃었고 아버님과
어머님은 아주버님에게 왜 챙
겨주지 않았냐고 하시며 큰소
리로 웃으셨다. 아이들은 조 금 떨어진 곳에서 뛰어놀고 있었다. 화기애애한 분위기 속에서. 막걸리를 두 잔 마셨 다. 더 주신다는 걸 사양하며 앞으로 절대로 빼놓지 말라고 웃으며 말했다.
남편은 술을 사랑한다. 안주 도 아주 중요하게 생각하는 사람인지라 안주를 먹으려 고 술을 먹는 것인지, 술을 먹 기 위해 안주를 먹는 것인지
가 헷갈릴 때도 있을 정도이 다. 아내라는 사람은 소위 말 하는 안주발을 세우는 사람이 다. 안주를 먹기 위해 술을 마 신다. 사실 그냥 음식을 먹는
다고 말하는 편이 맞다. 술은
그냥 옆에 모양으로 두는 정
도이다. 모임이 많았던 남편
은 결혼을 하며 모임을 모두 줄였다. 그렇게 하라고 이야
기했던 적은 없었는데 본인이
그러고 싶었다나 어쨌다나.
신혼 첫 집은 다양한 식당과
술집이 많아 저녁약속과 회식
을 많이 하는 곳에서 멀지 않 았다. 회식이나 모임을 그곳
에서 하는 경우가 많았던 남
편은 끝날 때가 다 되어가면 항상 메시지를 보내왔다.





"옷 입고 준비하고 있어."
"응, 벌써 다 입었어. "
"추우니까 따뜻하게 입고 나 와." (12월에 결혼을 해서인지
겨울의 추억이 많다.)
10분 후 집 앞으로 나가면 남
편이 두 팔을 벌리고 기다리
고 있다. 달려가 안긴다. 술 냄
새가 조금 나기는 하지만 그
럭저럭 괜찮다. 회식도 일의
연장인데 싶어 애처롭고 사
랑스럽다. 자고 일어난 얼굴
도 예뻐 보이는 신혼 아니겠
는가. 남편의 커다란 손을 맞
잡고 나면 손은 더 커다란 외
투 주머니 속으로 들어간다.
초겨울의 추운 바깥공기가 닿
기도 전에 남편의 외투 주머
니 속에서 따뜻하게 녹아내린
다. 금방 돌아왔을 그 거리로
다시 함께 들어가 오뎅을 먹 는다.(어묵이라고 하면 그 느 낌이 살지 않는다.) 호호 불
어가며 길가에 서서 먹는, 추 운 겨울의 바깥 오뎅은 무엇
과도 바꿀 수 없다. 오뎅은 좀
불어 터진 날도 있고 먹기에
아주 딱 좋았던 날도 있고, 조 금 더 익었으면 좋겠다 싶은
날도 있었지만 그런 것은 우
리에게 문제 되지 않았다. 데
이트를 마친 밤에, 더 이상 헤
어지지 않아도 되었고, 눈 뜨
자마자 안을 수 있었다. 이렇
게 집 앞에서 만나 함께 야식
을 먹고 산책을 하고 같은 집
에 들어가서 잠들 수 있었다.
잠이 잘 오지 않는 날, 휴대전

화를 붙들고 귀 옆이 뜨거워
질 때까지 통화를 하다가 잠
들 필요가 없었다. 무서운 꿈
을 꾸다 깨면 남편을 깨웠고, 남편은 잠이 덜 깬 목소리로
도 괜찮다고 꿈이니까 안심하
라고 말해주며 자기 품으로
끌어당겨 안아주었다. 작은 신혼집에서 우리는 더 많이 붙어 있었다. 집이 컸으면 어 쩔 뻔했냐고. 서로 멀리멀리 떨어져 있었을 뻔했다고. 집 이 작아 정말 다행이라고 웃 었다. 작은 거실에서 텔레비 전을 볼 때에도, 그보다 조금 큰 안방에서 주말에 뒹굴거릴 때도 우린 늘 붙어 있었다. 중 앙난방이라 관리비는 많이 나 오지만 따뜻하지는 않은 신기 한 아파트였다. 지금도 가끔 그 아파트를 지나가면 우리의 신혼 시절이 생각나서 그립고 또 반갑다.
우리의 신혼집. 같이 출근하


그 때 그렇게 맛있게 먹었던 음 식들이 지금 만들면 그 맛이 나지 않는다는 것이다. 뭐가 부족한 건지. 그때는 뭘 먹어
그렇게
그 맛이 나지 않는다. 뭐가 좀 부족하다. 단맛도 아니고 짠 맛도 아니고 매운맛도 아니 다. 무엇을 먹어도 다 맛있었 던 그때는 지금보다 혀가 더 젊어서 그랬던 것일까?




















어느 날 학원을 간다고 스쿠
터를 타고 가다가 주머니에서
휴대전화가 쓰윽 날아가버렸
습니다. 사실은 어디 쯤에서
흘린지도 모르겠지만 듣고
있던 음악이 어느 순간 끊겼
고, 주머니를 몇 번 뒤적인 다
음에서야 휴대전화를 잃어버
렸다는 사실을 알게 되었습니
다. 당장 학원 가기를 멈추고
차를 돌려 오던 길을 되돌아
갔습니다. 그런데 문제는 도




무지 어디 쯤에서 잃어버렸
는지를 알 수가 없다는 것이
었습니다. 헬멧 블루투스기기
제조사에 따르면 해당 모델
은 최대 반경 2km 범위 내에
서 작동한다고 하니 강남역에
서 신사역까지 갈 수 있는 거
리를 다 뒤질 수는 없는 노릇
이었습니다. 그렇다고 이대로
포기할 수도 없었기에 스마트
워치를 이용해 친누나에게 이
사실을 먼저 알리고 비상연락





을 받을 수 있도록 해두었습
니다. 그리고는 왔던 길을 되
돌아 두 세 바퀴 정도 빙빙 돌 았습니다.
"서울에서 김서방 찾기"라고 했던가요, 퇴근 길 수 많은 차 량이 오고 가는 대로 위에서 '나의 아이폰 찾기'는 불가능 에 가까운 것이었습니다. 휴
대전화 찾기를 일단 포기하고 학원으로 갔습니다. 그러나


나의 마음은 수업보다도 도로 위 어딘가에서 추위에 떨고
있을 휴대전화에 가 있었습니 다. PC를 사용해 iCloud에 접
속했습니다. 해외에서 한 번
잃어버린 아이폰을 '나의 아
이폰 찾기' 기능을 통해 되찾
았던 기억이 있었기에 당연히
될 것이라 생각했습니다. 그
런데 웬걸, 전 세계 유일(!!!)하 게 대한민국에서는 나의 아이 폰 찾기 서비스를 이용할 수
없고, "사용 가능한 위치 정
보 없음" 이라는 메시지만 표
시될 뿐이었습니다. 그때부터
무언가 잘못되었다는 생각이
들기 시작했습니다.
1년이라는 시간동안 디지털
디톡스를 실천하며 스마트폰
으로부터 충분히 자유로워졌
다고 생각했지만 막상 스마트
폰을 잃어버리고 나니 몹시
불안한 상황이 되었습니다.
지금까지의 기록들, 일정 관
리, 네비게이션 사용 등 당장
오늘 자기 전까지 스마트폰을
사용해 해야하는 일들이 많았
기 때문입니다. 또한 나의 개
인적인 정보들과 데이터도 스
마트폰에 그대로 저장되어 있
기 때문에 개인정보 유출에
대한 걱정도 들었습니다. 물

수는 없었습니다. 그래서 임 시방편으로 투명 테이프를 액 정 위에 붙였습니다. 그리고
화면 1/3인 상단에 해당하는 부분의 터치가 완전히 먹통 이었습니다. 많은 수의 어플 리케이션에서 '저장', '확인', ' 전송', '완료'와 같은 버튼들이 화면 상단에 위치하고 있었기 에 실제 어플리케이션 사용에 많은 지장이 있었습니다. 키
보드도 누르는데 몇 가지 자 판은 누를 수가 없었고 그 옆 이 눌러지기가 부지기수였습 니다. 키보드 자판이 제 멋대 로 눌리는 바람에 전화를 걸
어서는 안되는 직장 상사와 회사 업무 관련한 외부 기관
담당자 두 분께 전화가 가고
난 휴대전화 때문에


론 소통수단으로서 스마트폰
을 사용하는 시간은 극히 적
었지만 일상의 효율성과 편리
함의 측면만으로도 큰 손실처
































럼 다가왔습니다. 이 반쪽짜
리 디지털디톡스에서 나는 여
전히 스마트폰에 많은 의존을
하고 있었던 것입니다.
학원을 마치고 집으로 돌아가
는 길에 이미 90%는 포기하
는 심정이었지만 길바닥을 유
심히 살펴보았습니다. 그런데
웬걸 맞은 편 차선에서 신호
대기하고 있는 차량 한 대 아

래에서 무언가 번쩍이는 불빛
을 본 것이었습니다. 혹시나
하는 마음에 갓길에 차를 정
차하고 차들이 멈추기까지 기
다렸다가 불빛이 있던 곳으로
갔습니다. 정말 운이 좋게도
그것은 저의 스마트폰이었습 니다. 그러나 완전히 운이 좋
았다고 말할 수만은 없을 만
큼 저의 스마트폰은 지나가는
차들에 몇 번을 밟혔는지 외
관이 처첨한 상태였습니다.
일단은 정상적으로 작동되는 것을 확인하고 집으로 돌아왔
습니다.
집에 와서 살펴보니 액정의
훼손이 너무 심해 손가락이
베일 것 같아 이대로 사용할
말았습니다. 자초지종을 설명 하긴 했지만 이대로 사용할 수는 없을 것 같았습니다.
일단 그 날은 그냥 넘어갔지
만 그러고나니 그냥 최대한 스마트폰을 안보게 되었습니
다. 겨우 음악이나 틀고, 가능 한 할 수 있는 것은 PC로 처 리하였으며 아예 스마트폰을
두고 스마트워치만 차고 다니
기도 했습니다. 좋은 점도 있 었습니다. 인스타그램 스토
리를 어찌어찌 업로드 할 수
는 있었는데 화면 상단이 눌
리지 않는 바람에 볼 수는 없
었다는 점 입니다. 그러한 시
간을 획기적으로 줄이고 동시
에 신경을 쓰지 않는 것만으
로도 굉장히 정신적으로 편하
다는 생각이 들었습니다. 그
러다가 '그냥 이렇게 살까? 좀
불편해도 뭐 디지털디톡스의
관점에서는 오히려 잘 된 것
이 아닌가?' 라고 생각하기도 했습니다.
목요일에 휴대전화를 잃어버
렸고, 그리고 다시 돌아오는
목요일에 쿠팡 로켓배송으로
새 휴대전화를 받았으니 딱 1
주일 동안이었습니다. 그러는 사이에 망가진 휴대전화를 그
냥 쓰는 것과, 피쳐폰을 사용 하는 옵션에 대해 진지하게 고민하였습니다. 그러나 고장
는지를 다시금 깨닫게 되었습 니다. 잃어버린 스마트폰을 찾기 위한 노력과 그에 따른 일상의 제약으로 어려움을 겪 으면서, 디지털 기기에 대한 의존도와 의지의 한계를 다시 한 번 심각하게 고려하게 되 었습니다. 그러나 동시에 임 시방편으로 문제를 해결하고 또 적응해 나가면서 디지털디 톡스의 장점을 발견하게 되었 습니다. 이번 경험을 통해 결 국에 가장 중요한 것은 건강 한 디지털 생활을 추구하면서 도 실제 상황에서의 대안적인 찾아가는 것이 필요하다는 것 을 깨닫게 되었습니다. 그리 고 다시금 디지털디톡스 실 천에























‘소바(蕎麦)'를 먹는다
결론부터 이야기하면 90% 이
상의 일본인들이 한 해의 마
지막 날, ‘소바’(蕎麦)를 먹는
다. ‘토시코시 소바 (年越しそ ば) 라고 부르며, ‘소바’를 먹
으면서 한 해를 마무리하는
풍습이 있다.
*年越し(토시코시) : 묵은 해를
보내고 새해를 맞음
[설문 조사 결과]
12월 31일 ‘토시코시 소바’를
먹나? (단답) : 먹는다 91.6%
일본 한 온라인업체에서 ‘토
시코시 소바’에 대한 설문조
사(하단 참조) 결과를 바탕으
로 ‘토시코시 소바’에 대하여
알아본다.
by snuCHO / 브런치
왜 먹을까?
그해의 고난과 액운을 끊어
낸다
‘소바’는 다른 면류에 비해 끊
기 쉬운 것이 특징이다. 그해
에 있었던 고난이나 액운을
다음 해로 넘기지 않는다는
의미에서 한 해 마지막날 ‘소
바’를 먹으면서 잘라낸다는
의미를 가지고 있다고 한다.
나쁜 것과 인연을 끊고 새해
를 기분 좋게 맞이하고 싶은
마음을 담은 염원. 그렇기 때
문에 새해를 맞이하고 나서
먹는 것은 좋지 않다고 한다.
장수를 바라다
‘소바’의 재료인 메밀은 가늘
고 길기 때문에 오래 살 수 있
기를 바라는 이라는 소원이
담겨 있다고 한다. 또한 에도
시대(江戸時代)에는 각기(脚 気) 병이 유행하여 ‘소바를 먹
으면 각기병에 걸리지 않는
다’는 풍문으로 건강식으로
선호되었다고 한다.
돈이 모이길 바라다
에도시대(江戸時代)에 금세
공 장인이 흩날린 금박을 모
으는 데 메밀가루 경단을 사
용했던 것이 유래했다는 설도
있다. 금박이 묻은 경단을 물
에 넣으면 메밀가루만 녹아
바닥에 쌓인 금박을 쉽게 회
수할 수 있었다고 한다. 여기
서부터 '메밀국수 = 금(金)이
모인다'는 해석으로 돈이 모
이는 행운이 생긴다는 의미를 갖게 되었다고 한다.
언제부터 먹게 되었나?
‘토시코시 소바’를 먹는 풍습 의 유래에는 다양한 설이 있 지만, 에도시대(江戸時代) 중기 오사카의 상가(商家)에 서 매월말에 소바를 먹었다 고 한다.
그 매월말에 먹는 ‘그믐날 소바’를 먹는 풍습은 사라졌 지만 섣달 그믐날에 소바를
먹는 풍습은 남아 ‘토시코시 소바’라고 불리게 되었다고 한다.
한편으로 옛날부터 절분(입
춘 전날 밤)에 메밀국수를 먹
는 풍습이 있어 절분 다음날
입춘을 새해의 시작으로 보 고 먹게 되었다는 설도 있다.
모두 통설이지만 에도 시대부 터 뿌리내린 음식 문화인 것
은 틀림없는 것 같다.











12월 31일, 몇 시쯤 · 어떤 소바를 먹나?
‘토시코시 소바’는 12월 31일 중 언제 먹어도 상관은 없다.
하지만 설문조사 결과에 나타 나듯이 저녁 시간 이후에 먹 는 사람들이 대부분인 것 같 다. 더불어 새해를 맞기 전까 지는 소바를 다 먹어야 한다 는 풍습이 대세인 듯하다.
[설문 조사 결과] 언제 먹나? (단답) : 12/31 석식으로 먹는다 59.1% / 12/31 석식 후 제야의 종일 울릴 즈음 29.4%
그날 집에서 먹는 ‘소바’의 종 류는 ‘새우튀김’과 ‘파’가 들어 간 소바가 설문조사 결과 1~2 위를 차지하였다.


않으려는 속성 때문에 우리




하기 때문입니다. 또 달성할
수 없는 높은 수준의 목표를
너무 많이 수립한 건 아닌지
되돌아볼 필요가 있습니다.
뇌는 변화의 속성과 변화하
지 않으려는 속성을 동시에 가지고 있습니다. 변하지
가 목표를 세워도 이뤄내기 가 어려운데요, 뇌의 이러 한 속성을 이용해 변화하 려면 우선 세워놓은 목표가
명확해야 합니다. 목표가
명확하지 않으면 뇌는 방
향을 잡지 못해 주춤거리게
되고 제자리에 머물러 있게
되는 것이죠. 또 목표 달성
을 위해서는 부정적으로 접
근하기보다는 새로운 방식 을 찾아 변화를 주자는 방
식으로 접근하는 것이 목표 달성에 더욱 효과적입니다.

사소한 말, 지나가는 눈빛, 스치는 손길에도 사랑의 정도와 차이를 느끼는 게 여자다.
여자는 그렇다고 나는 생각한다.
"사랑해" 하고 말하는 순간 말고도 사랑을 느끼는 때는 다양하다.
다정한 말, 따뜻한 눈빛, 작은 것도 기억하는 섬세함, 곳곳에서 느껴지는 배려 등
아주 티끌만 한 사소함까지 끌어모아 이 모든 걸 통틀어 여자는 사랑을 느낄 수 있다.
그런데 순간순간 사랑받고 있음을 느낄 때가 "남친"일 때와 "남편"일 때 엄청나게 다르다는 걸 아는지.
애들 등원시키고 엄마들이랑 차 한잔 하며 수다를 떠는데 어느 엄마가 말했다.
"남편이 음식물쓰레기 버려 줄 때 '아~ 그래도 이 사람이 아직 나를 사랑하는구나.' 하고 느낀다니까요."
웃기라고 한 이야기인데 갑작스레 깊게 공감됐다.
나도 그런 적이 더러 있었다. 그는 아침에 출근할 때 분리수거며 음식물쓰레기며
일반쓰레기며 버릴 수 있는 걸 챙겨 들고나간다.
나는 아침에 자고 있느라 들고나가는 모습을 본
적은 없는데 아침에 일어나 베란다 문을 열었는데
쓰레기가 치워져 깨끗한 모습을 보면서 그
비슷한 느낌을 받았었다.
'남친'의 사랑과
'남편'의 사랑
by 멋GG / 브런치
베란다가 쓰레기로 가득 차서 내일은 버려야겠다 안 그래도 그런 생각했는데 어쩌면 이렇 게~~ 내 마음을 딱 알았어~ 하며 그 사소한 거에 기쁘고 감동을 받았다.
남친이었을 때는 전혀 예상치 못한 서프라이즈 선물, 감동스러운 이벤트, 다정하고 로맨틱 한 말... 이런 것들에 사랑을 느꼈었는데 남편 일 때는 이처럼 엄청나게 투박하고 사소한 일 에서 소소하게 사랑을 느낀다.









둘째가 기저귀에 응가해서 치우려고 일어서는데 "여보 커피마저 마셔" 하면서 벌떡 일어나 치우러 갈 때, 화장실 변기 깨끗하게 닦아 놓았을 때, 주말에 애들 신발·내 신발 싹 모아서
빨아 놓았을 때, 저녁에 퇴근하고 와서 청소기 싹 한 번 돌려줄 때...
비위가 약한 나는 애들이 토하면 치우지도 못하고 옆에서 우웩 거리니까 으레 껏 그가 다 치
우고 이불 애벌빨래도 다 했다.
그는 더럽고 힘들고 위험한 일들을 나 대신한다.
이 세상 누가 나 대신에 그런 걸 해주나 생각하면 그 밖에 없다.
남친이었을 때는 그가 이색적이고 핫한 카페를 검색해서 데이트를 미리 준비하고 주문을 할 때도 내 취향을 고려해 알아서 주문을 하면 좋았다.
다정하게 마주 앉거나 혹은 로맨틱하게 나란히 앉아 따뜻한 눈길을 마주치며 즐겁게 얘기 나누며 좋은 시간을 보내면 그저 카페에서 차 한잔 마시는 것만으로 행복했다.
그리고 둘이 같이 있으면 그게 어디라도 둘이라 의미가 있었다.
그러나 이제 그는 커피 쿠폰이 생기면 나에게 보내준다.
혼자 카페에 가서 차 한잔 마시고 즐거운 시간 보내라면서.
아이가 둘이나 있는 지금 우리는 카페에 가면 커피를 거의 원 샷에 가깝게 마시고 나온다. 아이들의 취향을 심층 고려한 메뉴로 주문을 하고, 서로 따뜻한 눈길은 커녕 아이들이 카페 에서 시끄럽지 않게 뛰어다니지 않게 주의를 주느라 신경이 곤두서 있고, 떨어뜨린 음식 부 스러기를 주워가며 음료를 쏟아버리지는 않을까 아이의 손에 눈이 고정되어 있다. 아이들과 함께 가면 카페에 가도 여유롭게 한가로이 있을 수 없으니 그의 커피쿠폰은 나를 위한 배려이다.
연애 때는 남친이 나와 같이 있는 시간을 소중히 하고 그 시간들을 위해 애쓸 때 사랑을 느 꼈다면 결혼해서는 남편이 나를 위해 혼자만의 시간을 줄 때와 나의 시간을 존중해 줄 때 사랑을 느낀다.







그는 회사에서 가끔 회식도 하고 동료들과 저녁 약속도 있다.
전업주부인 나는 저녁 약속이란 게 없었다.
약속이 있어도 남편이 회사 가고 애들이 어린이집 가 있는 시간에 잡지 저녁에 약속을 잡 는 일이 거의 없다.
그가 저녁 약속이 있는 날은 나 혼자 애들 밥 먹이고 씻기고 재우고 혼자 독박육아를 해야 하는데 나도 한 번쯤은 저녁에 나가보고 싶었다.
그러다가 최근에 같이 수업을 받은 사람들끼리 어쩌다가 저녁에 약속이 잡혔는데 늦더라 도 그가 퇴근하고 집에 오면 갈 수 있을 것 같아 그에게 모임에 나가도 되는지 물어봤다.
그러자 그는 퇴근하고 쏜살같이 집에 왔다.
오자마자 나를 바통 터치하듯 얼른 내보냈다. 애들은 걱정 말라며 점퍼도 안 벗고 나부터 내 보내며 배웅하는 걸 보니 괜히 기분이 좋아졌다.
그 덕분에 참으로 오랜만에 밤 늦게까지 사람들과 어울리는 시간을 가져보고 만끽해 봤다.
그 시간 동안 그는 여느 때의 나처럼 혼자 독박육아를 했겠지.
그럼에도 기꺼이 기쁘게 배웅해 준 그에게서 나는 고마움과 사랑을 느낀다.
나는 연애 때처럼 자주 그에게 나를 사랑하냐고 묻지 않는다.
때로는 확인처럼 때로는 듣고 싶어서 참 자주도 물어봤었는데 이제는 그에게 나를 사랑하 느냐고 자주 묻지 않게 되었다.
직접 사랑한다고 말하는 것보다 더 다정하게 더 깊이 더 은근하게 이처럼 표현하고 있으니. 그걸로 됐지 싶다.































































































































































by 황현숙 (칼럼니스트)


해의 마지막 달을 맞으면
스며들어 온다. 시간은 빠르게 흐르고, 일 년 동안의 기억들로 머릿
속은 가득 채워져 있는데 떠
나가는 것들에 대한 아쉬움은 크기만 하다.
하지만, 일 년의 마지막 순
간들이 지나가면서 그동안
의 경험이 미래를 향한 새로
운 발걸음이 되기를 바랄 뿐 이다. 올 한해도 참으로 다양
한 인연을 맺고 헤어지기도
하는 삶의 순리를 겪은 것 같
다. 오래전에 읽었던 독일 작
가 F. 밀러의 “독일인의 사랑” 에서 참으로 멋진 말을 다시
찾았다. “인간이 이 세상에서
사는 것은 별이 하늘에서 빛
나는 것과 같은 것이다. 별들
은 저마다 신에 의해서 규정 된 궤도를 따라 서로 만나고
또 헤어져야만 하는 존재다. 그것을 거부하는 것은 무모 한 짓이다, 그렇지 않으면 세
상의 모든 질서를 파괴하는 일이다.”
한 해를 뒤돌아보고 내가 내
삶의 주인공이었는지 아니
면 보조 역을 충실하게 했는
지 정도는 짚고 넘어가야 하
지 않을까 싶다. 성실하고 겸
허한 자세로 살았다면 그만큼
아쉬움도 덜 할 것이기 때문
이다. 이제는 한 해 동안 베풀
었던 사랑, 나눔, 배려, 감사를
생각해야 할 시간이 되었다.
사람과 사람 사이의 인연이 든, 세상의 어떤 것과 맺은 인
연이든지 간에 그 소중함을
사랑하려 한다. 떠나가는 한
해에 감사를 표하며 새로운 시작을 기대해본다.
올 한해는 나에게 큰 의미를 부여하는 해가 된 것 같다. 20 여 년이 넘도록 일했던 하이
스쿨에서 은퇴를 했다. 그리 고 곧 새로운 집으로 이사를 해서 성탄절을 맞이하며 올 한 해를 마무리하게 된다. 십 여 년이 넘도록 살아서 정이 많이 들었으며 내 삶의 한 부
분을 담아낸 곳이다. 발이 머 물고 내 머리를 눕힐 수 있으
며 늘 새로운 기대를 할 수 있
도록 만들어준 집이다.
이제 나는 이 한 해 동안의 여 정을 되돌아보며, 뜻깊은 순 간들을 기억하고, 떠나가는 것들에 대한 감사와 아쉬움 을 함께 안고 12월을 보내려 한다. 12월은 마치 한 장의 책 을 덮으며 새로운 챕터로의
문을 열어주는 위치에 있다
고 생각한다. 지난해 동안의
경험은 마치 한 권의 책처럼
채워졌고, 이제는 그 책을 닫
고 미래를 향한 다음 장을 기
대하는 순간에 와있다. 나에
게 주어진 모든 순간들과 만
남에 감사하며 그 소중한 시
간이 삶의 큰 의미를 만들어 준다는 것을 새삼스레 깨닫
게 된다.
아메리카 인디언 부족들은 12월을 다양한 의미가 있는
달로 표현했다. 체로키 족은
‘다른 세상의 달’, 크리크 족은
‘침묵하는 달’, 퐁카 족은 ‘무
소유의 달’이라고 명칭을 정 해서 달력을 사용했다. 그들
은 외부세계를 바라보는 동 시에 내면을 응시하는 영적인
능력을
심장(Heart)이라는 단어는 사랑을 표현하는 상징적인 뜻 이다. 심장(Heart)이라는 단 어에서 첫 알파벳 “H”와 마지 막 알파벳 “t”를 빼면 귀(ear) 라는 말이 중간에 있다. ‘H’는 머리(Head)를 상징하고 ‘t’는 발가락(toe)을 상징한다. 그 래서 머리(Head)부터 발끝 (toe)까지 잘 들어주고(ear) 사랑(Heart)을 나누며 살라 는 의미로 해석할 수 있다. 한 단어의 깊은 뜻을 뒤늦게 라도 깨달았으니 다행스럽다. 은혜와 축복은 다른 사람들과 나눌수록 커지고 고통과 슬픔 은 나눌수록 줄어든다고 했 다. 12월에는 이웃과 사랑을 나누고, 힘든 이웃을 배려하 며, 받은 것에 대한 감사를



































바로 엊그제 같은데 벌써 10
년이 지난 대학생 시절 나는
기숙사에 살았다. 기숙사 생
활의 좋은 점은 기숙사 식당
에서 삼시 세 끼를 제공한다
는 점이다. 그런데 누군가
시간 맞춰 영양 가득한 식
사를 차려준다는 것이 얼마
나 귀한 것인지 당시에는 몰
랐었다.
어린이 입맛이던 대학생 시
절엔 식당 메뉴를 보고 맛없
는 메뉴(건강하고 몸에 좋은
음식)라고 생각되면 식당을
지나쳐서 편의점으로 향했
다. 당시 꽂혀있던 라면이
불닭볶음면이었는데 가끔
치즈 맛, 카레 맛, 로제 맛 등
다른 맛에 도전하곤 했지만
역시 원조는 못 이긴다며 다
by 태삼 / 브런치
소화불량의 시작
시 원조 불닭볶음면을 고르
곤 했다. 가끔씩 기숙사 친구
와 치킨을 배달 주문해서 치
킨에 불닭볶음면을 싸 먹는
특식을 즐기기도 했다.
불닭볶음면을 먹고 바로 누
워자도 멀쩡하던 철통 같던
위장은 시간이 흐르면서 조
금씩 약해져 갔다. 10년이란
세월이 지났고, 그동안 직장
생활을 하며 매일 아침밥도
거르고 공복에 마시던 모닝
커피가 역류성 식도염을 일 으켰다.
그러다 임신을 한 뒤부터 그
증상이 더 악화되었다. 임
신 초기에는 니글니글한 입 덧으로 고생하다가 점점 배
가 불러오면서 누워도 앉아
도 서있어도 위액이 갑자기
올라왔다. 항상 속이 쓰라렸 고 산부인과에서 위장약을
처방 받아 먹었다.
출산 후 모유수유를 하며 건
강식을 먹어서 그런지 속이
점점 편안해졌다. 그러던 어
느 날 육아 스트레스가 쌓여
서 그런지 갑자기 매운 불닭
볶음면이 땡겼다. 오랜만의
특식이라 불닭볶음면에 치
즈까지 얹어서 야무지게 먹
으려던 바람과는 달리 한입 먹자마자 이건 못 먹겠다는
생각이 들었다.
입안은 물론 위까지 따끔따
끔한 느낌에 결국 절반도 먹 지 못하고 버리게 되었다.
차갑게 식어버린 불닭볶음
면과 따끔따끔 불타오르는
위장이 대비되며 나는 큰 충 격을 받았다. 이제는 불닭
볶음면을 못 먹는다는 슬픔 반, 먹을 수 있을 때 더 먹어
둘 걸 하는 아쉬움 반의 이 상한 감정을 느끼며 식탁을 치웠다.
그 좋아하던 불닭볶음면에
치킨콤보였는데, 이제는 치
킨도 많이 먹지 못한다. 예
전에는 1인 1닭까지는 못했
어도 몇 조각만 남기고 만족 스러운 식사를 했었다면, 이 제는 2~3조각 먹고 나면 물 려버린다. 그냥 밥을 먹을 걸 하는 후회가 밀려온다. 치킨 값과 배달비가 아까워 몇 조 각 더 먹으려 시도하지만 이 제는 위장이 받아들이지 않

는 시기가 왔다. 아직 입맛 은 그대로인데 위장이 소화 를 못 하다니... 몸이 받아들 이지 못해서 어쩔 수 없 이 입맛이 변하는구나.
음식에 소비기한만 있는 줄 알았더니 나이제한도 있나 보다.


원 프로와 나누는 골프이야기
by 티칭 프로 원성욱 (0402 598 961)
안녕하세요? 많은 골퍼들의 소원은 공 한번 잘 쳐
보는 것이겠죠. 버디 하나 잡아보고 싶고 홀인원
도 해보고 싶고 핸디캡도 낮추고 싶어합니다. 그
냥 클럽을 잡고 휘두르는 것으로 만족하는 골퍼
는 없겠죠.
예전에 한국에서 일 할 때 경험한 일입니다. 그 센
터는 골프, 헬스, 스쿼시와 에어로빅을 한 멤버십
으로 이용하는 스포츠 센터로서 회원 모집을 직
접 직원들이 고객들에게 방문해서 모집하는 곳
이었습니다. 멤버십 세일즈를 하는 직원들은 운
동을 하던 사람도 있었지만 운동도 모르고 골프
는 더더욱 접해 보지 못했던 직원도 있었습니다.
그러다 보니 기본적인 골프 용어나 상식이 전혀
없어서 실수를 하는 경우가 있었습니다. ‘머리 얹
고 왔다.’ 라고 하는 말을 못 알아들어서 멤버 가
입에 손해를 본 직원도 있었습니다. 1년의 회비를 한 번에 낸다는 것이 그렇게 쉽게 결정할 일은 아
니죠. 영업하는 사람을 얼마나 믿을 수 있는지는 그 사람의 말솜씨에 달려있죠. 최종 회비를 입금 하기 전에는 운동할 장소를 방문해서 마지막 사 인을 합니다. 그러던 어떤 한 명의 영업 사원이 저
에게 와서 골프 상식을 알려 달라고 부탁을 해왔
습니다. 그 분은 주부로서 바쁘게 가족들을 돌보 다가 자신도 사회 생활을 하기 위해서 복귀한 분 이었습니다. 한 사무실을 방문해서 골프에 대하
여 소개를 하던 중 설명을 듣던 고객과 이런 대화 를 나눴다고 합니다.
“우리 O부장님도



되도록 프로님들이 도와줄 거
에요. 레슨 실력들이 굉장한 프로님들만 모았습 니다. 오셔서 골프, 사우나, 헬스를 다 이용해 보 세요...” 설명을 듣던 고객이 이렇게 말 했다고 합 니다. “에이~ 레슨은 뭐~ 전 싱글이라서요...” 고객 의 이야기를 듣던 영업 직원은 갑자기 공감력이 발동했다고 하죠. “어머~ 어쩌다가 혼자가 되셨 어요?” 골프에서 말하는 싱글이라는 것은 핸디캡의 숫 자가 한 자리라는 뜻입니다. 골프를 하는 분들은 다 알지만 골프를 안 하는 사람은 알 수 없는 말 이죠. 아마도 영어권 나라에서도 “나 ‘싱글‘ 이에 요.” 이라고 말 하면 ‘혼자 사는구나~’ 라고 생각 하겠죠? 18홀을 플레이 했을 때 72타보다 오버 하는 타수가 평균치로 1~9가 나오면 보통 ‘싱글 핸디캡’ 이라고 말 합니다. 로우 핸디캡퍼라고 하 겠죠? 어쩌다가 혼자가 되었는지 걱정하지

by 양순이 / 브런치

산타가 음료회사의 고단수 마케팅 전략이라는 것을 알고 난 후부터였을까. 크리스마스가 더 이상 설레지 않다. 몇 년 전까지만 해도 크리스마스가 너무도 좋았다. 11월부터 가족과 친구들의 선물을 미리 고르고, 매년 연례행사로 새로운 트리 장식을 한 개씩 사며 캐럴을 들었다. 하지만 언제부터인가 12월이 되면 크리스마스의 설렘은 개인사업자에게는 사치가 되어버렸다.
1년간의 매출, 매입을 정리하느라 계산기를 두드리며 왜 맨날 돈이 없냐고 궁시렁대기도 바쁘다. (고소득도 아닌데 내야 할 세금은 왜 이리 많은지!) 그런데 문득 다시 12월의 설렘을 되찾고 싶다는 생각이 들었다. 정확한 이유는 없다. 크리스마스를 즐길 던 어릴 적 마음. 내가 산타에게 선물 받을 자격이 있다고 믿었던 순수한 마음. 그 순수한

장미의 나라에서
불가리아는 ‘장미의 나라’다. 국화부터 장미다. 불가리아산
장미 오일은 고급 향수의 원료로 사용되는데, 세계 최고 품 질을 자랑한다. 프랑스, 이탈리아의 유명 브랜드 장미 향수
에는 대부분 불가리아산 장미 오일이 들어있다 해도 무리가 아니다. 멀리 가지 말고, 여행 가방만 열어봐도 알 수 있다. 장
미 향 신경 안정 오일, 장미 모양 볼펜, 장미 따는 아가씨 마그 네틱 등 온통 장미 관련 기념품이 불가리아 여행 가방을 가 득 채웠다.

한 송이에서 뿜어내는 강렬한 향 불가리아 여행에서 가장 강렬했던 순간은 장미 향을 맡은 때 였다. 서울에서 이스탄불을 거쳐 소피아에 도착해서 하룻밤 을 보내고, 새벽부터 일어나 장미농장에 도착한 시간까지 장 장 2박 3일. 장미에 코를 가까이 대자, 긴 시간을 모두 보상받
는 듯했다. 단 한 송이에서 뿜어내는 향이 이렇게나 강할 줄
이야. 화려한 프릴이 달린 드레스를 입은 공주님 같다고나 할 까. 발랄하면서 깊이 있고, 진하면서 상큼한, 이해하기 힘든 여러 향이 콧속으로 밀려왔다.

장미농장에 간다고 했을 때, 기대감이 없진 않았지만 다른 여 행보다 크진 않았다. 이미 순천만 국제 정원를 비롯해 서울 중 랑천, 용인 에버랜드 등 전국 곳곳을 돌며 형형색색의 장미를 구경한 후였기 때문이다. 그런데 소피아 호텔 앞 화단의 장미 를 본 후 기대감이 다시 스멀스멀 올라왔다. 혹시나 향이 날 까 싶어 코를 댔는데, 진한 향이 훅 들어왔던 것. 경험상 기억 하고 있던 은은한 장미 향하고는 질감부터 달랐다.
향을 잃기 전, 새벽과 아침
소피아의 교통체증을 뚫고 달려, 파나규리슈테(Panagurishte) 지역의 작은 농장에 도착했다. 어여쁜 분홍색 장미들 이 여행자를 환영했다. 유기농으로 장미를 재배하는 농장이 었다. 규모는 크지 않지만 가족 경영으로, 알차게 운영되는 곳이었다.

장미가 들어간 수많은 제품의 기본은 장미 오일이다. 장미 오 일을 만들기 위해서는 먼저 장미를 채취하는 작업이 필요하 다. 1년 중 장미를 따는 시기도 정해져 있다. 5~6월, 약 25일 정도로 길지 않다. 게다가 밤새 내린 이슬을
햇빛에 향기가 증발하 기 때문이다. 새벽부터 늦어도 10시 전에는 따야 향기를 머금 은 장미를 채취할

맡았다. 눈이 번쩍 떠졌다. “세 상에나, 이 작은 꽃송이에서 이렇게나 진한 향이 나온다고!” 말없이 조용하던 동행들이 갑자기 수다스러워졌다. 왜 불가 리아 장미를 최고로 치는지 알겠다는 반응부터 싱그럽다, 고 급스럽다, 진하다, 그윽하다 등 찬사가 이어졌다. 장미 향에 빠져 계속 코를 킁킁거리고 있었더니, 함께 온 동행인 피터 가 등을 톡톡 쳤다. 그리곤 “장미는 언제 딸 거야?”라며 미 소를 지었다.

그제야 정신을 차리고, 바구니를 들었다. 장미를


세계적으로 7,000여 종의 품종이 있지만, 향기를 추출할 수 있는 장미는 극히 일부였다. ‘다마세나’라는 이름의 유래도 흥미로웠다. 멀리 알렉산더 대왕 시절로 거슬러 올라가는데, 당시 페르시아 원정에서 돌아오는 길에 시리아의 수도 다마 스쿠스를 통해 불가리아로 들어온 장미라, 이름이 다마세나 가 되었다는 이야기가 전해 내려온다고 했다.

1g의 장미 오일을 얻기까지
놀라운 것은 장미꽃 3~40kg을 모으면 겨우 장미 오일 1g을
얻을 수 있다는 사실이었다. 장미 오일 1g은 상상 이상의 노
동력이 필요로 했다. 장미 오일이 너무 비싸다고 했던 투정이
무색해졌다. 수많은 이들의 손길로 직접 장미를 채취하는 일
부터 고도의 증류 기술을 통해 장미유를 추출하기까지, 쉽지
않은 단계들이 필요했다.
그제야 순금 1g과 장미유 1g 가치를 비슷하게 여긴다는 말 이 이해가 갔다. 길지 않은 시간이었지만, 장미 따기 체험은 잊지 못할 여행을 만들어 줬다. 짙고 깊은 장미 향, 그리고 귀 한 것은 결코 쉽게 얻어지는 게 아니라는 사실을 다시 한번 깨닫게 됐다.



“EU 오가닉 마크를 확인하세요” 불가리아 유기농 생산자 협회(BOPA)
알베나 시메오노바(Albena Simeonova) 회장
장미농장을 안내한 BOPA 알베나 시메노바 회장은 “이제는 ‘오가닉’에 관심을 가져야 할 때”라며 불가리아의 유기농 농 장에 대한 이야기를 들려줬다.
불가리아에서도 살충제를 비롯해 땅에 해가 되는 약을 쓰지 않고 힘들게 풀을 뽑아 가며 농장을 유지하는 유기농 농장들 이 늘어나고 있다.
규모는 크지 않지만, 지구와 환경, 착한 먹거리를 고민하는
철학을 가진 농부들이 많아지고 있다는 것. 이들이 함께 목 소리를 내기 위해 만든 단체가 불가리아 유기농 생산자 협 회(Bulgarian Organic Producers Association, BOPA)이다. 깊은 산속에서 야생 꿀을 채취하는 양봉업자, 유기농 요구르 트를 만드는 축산업자, 싱싱한 채소를 기르는 농부, 직접 기 른 포도로 와인을 만드는 와인 메이커 등 수백여 업체와 농 부가 가입되어 있다.

협회에서는 EU와 손잡고, 믿을만한 유기농 업체에 인증서를
발급하고 제품에 라벨을 붙여 준다. 알베나 회장은 “불가리
아산 유기농 제품의 우수성은 인정받고 있으나 인지도는 부
족한 편”이라며, “한국에서도 EU 오가닉 마크를 단 불가리아
제품을 자주 볼 수 있기를 희망한다”고 했다.
돌아보자, 소피아 한 바퀴
댕댕 종을 울리며 시내 한복판을 달리는 트램, 도시를 포근하
게 안고 있는 비토샤산, 꽃을 사는 다정한 사람들. 소피아는



내부도 꼭 봐야 한다. 러시아, 불가리아, 구 체코슬로바키아 화가들이 그린 벽화와 화려한 샹들리에는 감탄사를 불러일 으킨다. 분위기도 성스러워, 나도 모르게 두 손을 모으게 된 다. 이용 요금은 무료지만, 사진 촬영을 원할 때는 10레바(한 화 약 7,300원)를 내야 한다. 주말에는 근처 공원에서 성화
생각만 해도 기분이 좋아진다. 고대 그리스어로 ‘지혜’를 뜻 하는 소피아. 불가리아의 수도이자 문화 유산이 산재해 있는 이 도시에서, 꼭 돌아봐야 할 필수 코스를 소개한다. 성 알렉산더 네프스키 대성당 St. Alexander Nevsky Cathedral 소피아에서 꼭 가 봐야 할 곳으로, 러시아 오스만 전쟁에서 전 사한 군인을 위해 세운 정교회 성당이다. 네오비잔틴 양식의 건물로, 5,000여 명을 수용할 수 있을 정도로 웅장하다. 대형 돔은 러시아에서 기증한 금으로 꾸며진 것으로, 보는 방향에 따라 모습이 달라 한 바퀴 돌면서 돌아보는 게 좋다.





















기술이민비자 신설 예정.."명확한 영주권 경로 제공"



호주 정부가 "망가졌다(broken)"는 이민 체계의 개혁을 위한 10개년 이민 전략 을 발표했다. 기술 인재는 확보하면서 이민자 수는 떨어트리겠다는 이 전략은 비 자 규정을 강화해 '영구 임시 체류자'를 걸러낼 계획이다.
클레어 오닐 장관은 향후 2년 동안 이민자 수를 절반으로 줄이고, 유학생과 저숙 련 근로자에 대한 비자 규정을 강화하겠다고 월요일(11일) 밝혔다. 이날 공개된 이민 검토 보고서에서 저자들은 현재 이민 체제가 "10년 동안 재구축"이 필요할 정도로 "심각하게 망가졌다"고 진단했다.
"이민자 수 '정상화'할 것"




호주의 순 이민자 수는 지난 회계연도에 51만 명에 달하는 것으로 추정된다. 이민 순유입 수는 2024년 37만 5,000명, 2025년 25만 명 수준으로 떨어질 것으로 예 상된다. 연방정부는 새 정책이 없었다면 내년엔 44만 명, 이듬해엔 30만 5,000명 의 인구가 이민으로 추가될 것이라고 밝혔다. 이러한 기록적인 이민자 유입은 국 경 재개방에 따른 유학생 입국과 기술 부족에 따른 이민 정책 완화의 영향으로 풀 이된다. 코로나-19 팬데믹을 거치며 호주는 전문직을 포함한 인력 부족에 시달렸 고, 더 많은 이민자를 끌어안는 방식으로 이를 해소해 왔다. 이번 발표에서 오닐 장관은 "우리 전략은 이민자 수를 정상(normal)으로 되돌릴 것"이라며 연방정부 가 '지속 가능한 이민'을 위한 전략을 수립했다고 평가했다.
새 기술 이민 비자 신설 새 이민 전략에 따라 연방정부는 노동 수요에 맞춘 새로운 기술 이민 비자를 만들 예정이다. 이 비자는 "근로자들에게 고용주를 옮길
qldkoreanlife.com.au qldkoreanlife

기계 조작자나 운전자, 육체 근로자(labourer). 현장 기술 종사자(trade worker)
등을 제외한 직종에서 소득이 최소 연 13만 5,000달러인 이민자에게 열려 있다고
한다. 부족직업군 목록에 따라 핵심 기술 수요를 채우기 위한 경로도 있다. 이 목 록은 고용 시장을 반영하기 위해 정기적으로 업데이트되며, 현재 목록보다는 단
순해질 것으로 보인다. 임시 기술이민 소득 기준으로 알려진 비자 최소 연봉(현재
7만 달러)은 매년 조정될 예정이다. 개발될 마지막 경로는 노동력이 부족한 필수
기술이면서도 소득은 낮은 저숙련 기술자에게 초점을 맞춘다고 한다.
학생 비자 요건 강화
연방정부는 유학생과 교육기관에 관한 기준을 강화하여 외국인 유학생이 "영구
적인 임시 체류자"가 되지 않도록 하겠다는 목표를 세웠다. 입학을 위한 영어 점
수 요건을 높이면 "교육 경험의 질을 향상하고 잠재적인 노동 착취를 줄일 수 있 다"는 것이 정부의 설명이다.
아이엘츠(IELTS) 기준, 앞으로 학생 비자 신청자는 6.0점, 졸업생 비자 신청자는 6.5점이 필요할 것이다. 영어 요건 외에도 학생 비자 연속 신청자에 대한 단속도 강화된다. 지난해 학생 비자를 여러 번 받아 호주에서 살고 있는 유학생의 수는 작 년에 15만 명으로 30% 이상 증가한 것으로 알려졌다. 이번 검토 보고서는 "호주 체류 기간을 연장하기 위해 현재 학업 수준보다 낮은 학위 과정으로 옮기는 사례
가 증가하고 있다"고 지적했다. 사설 교육 기관들이 학생 비자로 우회하여 노동
시장에 진입하는 유학생을 돕고 있다는 우려도 제기했다. 이를 해결하기 위해 연
방정부는 또 다른 학생 비자를 받기를 원하는 유학생을 대상으로 한 "학생 테스트 (genuine student test)"를 도입할 계획이다.
지원 허브 이벤트)
이민자들, 생활비 감면 제도 정보
베넬롱 연방의원 제롬 락살 의원실 주관으로 일반 시민을 대상으로 생활비 감면 혜택에 대해 정보를 제공하는 이벤트가 12월 11일 (월) 이스트우다 하이츠 초등 학교에서 열린다. 정부는 치솟는 물가와 임대료로 인한 생계비 고통을 덜기 위해 여러가지 정책들을 내 놨으나 일부 이민자들의 경우 정보 부족으로 혜택을 받지 못하는 경우가 많다. 제롬 락살 의원실은 “가장 근래의 전기, 가스, 수도 등 공과금 청구서를 지참하면 어떤 리베이트와 바우처를 받을 수 있는지 확인받을 수 있을
것”이라고 말했다. 한국어 직원이 특별히 행사를 돕는다.
또한 센터링크나 서비스 NSW 담당자와 직접 상담할 수 있는 기회도 주어진다.
- 날짜 : 12월 11일 월요일 - 시간 : 오후 4시 ~ 6시
- 장소 : Eastwood Heights 공립학교 - 9A Lincoln St, Eastwood NSW 2122
https://events.humanitix.com/cost-of-living-help-hub
더 많은 정보를 원하면 jerome@jeromelaxale.com 나 02 969 4288 로 연락할
수 있다. 한국어 가능 직원이 확인한다.

























































































































































코리안라이프









1. 추위를 막기 위하여 쓰는 모자
3. 한쪽으로만 치우침
5. 호리병박으로 만든 바가지
6. 물건을 가져다가 나누어 돌림
8. 고장난 데를 손보아 고침
9. 날마다 늘 있는 일이 됨
11. 악착같이 버티어 나가는 오기
14. 고기나 생선에 양념을 하여 구운 음식
15. 실지로 드러나는 행동
17. 손가락에 끼는 두 짝의 고리
19. 잔털을 뽑는 데 쓰는 기구
20. 노래를 부르는 능력
세로 열쇠
1. 네모진 모양의 배
2. 하나도 빠짐없이 모두
3. 하룻밤을 묵고 이틀을 보냄
4. 종이로 벽을 바르는 일
7. 1년에 걸친 날짜를 표시해 놓은 책
8. 수수의 줄기
10. 오히려 다른 사람에게 화를 냄
12. 조그맣게 차린 가게
13. 남몰래 숨어서 오고 감
14. 수로왕을 맞기 위해서 부른 고대 가요
16. 발을 헛디딤
18. 사람의 마음을 사로잡아 끄는 힘

















누군가가 한 마디 무심코 던진 말이 가슴에
박혀 상처가 되고 아픔이 되는 경우가 종종 있습니다. 어느 한 분이 사업의 실패로 큰 집
을 팔고 작은 유닛으로 이사를 가게 되었습
니다. 속 사정을 모르던 한 이웃이 말하기를
"그런 조그만 집은 노인네들이나 사는 곳인
데 그런 곳으로 이사를 왜 가세요?" 그 말을
듣자 자신이 한 없이 초라해 지면서 모든 사
람들이 마치 자기를 향해 손가락질을 하는
것처럼 느껴졌고, 그 분은 그 우울함에서 벗
어나는 것이 무척이나 어려웠다고 합니다.
우리는 또한 살아가면서 사람들의 외모나
겉모양의 상태만을 보고 사람들을 쉽게 판
단하는 말을 할 때가 있습니다. "어떻게 부
모라면 그럴 수 있어요?", "어떻게 교회의 집
사가 그럴 수 있어요?", " 상담을 하는 사람
이라면 그러시면 안돼죠!", "나를 보고 인사
를 안하다니, 정말 건방진 사람이야" 라는 말
들입니다.
사람의 깊은 속사정을 들어 보면 겉으로 보
여지는 사실과 다른 경우가 많습니다. 이야
기를 잘 들어 보면 비록 악한 행동을 한 사 람일지라도 그렇게 행동할 수 밖에 없었던
이유를 찾게 되어 이해가 되는 경우가 있습
니다. 사람과 사람이 더 깊고 이해하는 관계
를 맺고 살아가기 위해서는 단순히 상대방
이 한 행동이나 내 뱉은 말로 상대를 판단하
는 것이 아니라 왜 그랬는지 를 살펴보는 것
이 필요합니다.




개리채프만이 쓴 ‘사랑의 코칭’ 책 중 시댁과 의 관계에서 일어나는 갈등을 어떻게 해결 할 수 있는 지를 묘사한 글이 있습니다. 어
떤 며느리가 시어머니가 이해가 안되었다고
합니다. 며느리는 절약하는 집안에서 태어
나 과소비하는 것을 나쁜 것이라고 배워 왔
는데 시어머니는 매주마다 며느리를 만나면
식사를 사준 후 아주 비싼 옷을 사주었다고
합니다. 며느리가 원하는 것은 어머니와 만
나서 의미있는 시간을 가지는 것인데 시어
머니는 늘 비싼 옷만 사주니까 나중에는 옷
장에 새 옷들이 넘쳐나고 쓸데없이 쇼핑하
는데 시간과 돈을 너무 들여 낭비하는 것이
불편했고, 어머님이 이해가 안되었습니다.
그래서 상담사를 찾게 되었고, 상담사의 도
움으로 문제를 잘 해결 할 수 있었습니다. 그
것은 다름 아닌 어머니와 식사를 하면서 어
머니가 며느리에게 새 옷을 사주는 것이 어
머니에게 얼마나 기쁨을 주는 지를 물어 보
고 그것이 왜 그렇게 기쁨을 주는 지를 먼
저 물어보는 것을 통해서 일어났습니다. 어
머님는 며느리에게 옷을 사주는 것이 아주
큰 기쁨으로10점 중 9점을 주었다고 합니
다. 그것은 시어머니의 어려웠던 시집 살이
의 경험으로 부터 온 것임을 알게 되었습니 다. 시어머니는 너무나 가난해서 입을 옷이
없었던 결혼 생활을 하면서 며느리가 생기 면 자신은 며느리에게 예쁜 옷을 사주면서 살아야 겠다고 결심했던 것입니다.
며느리는 어머니의 이야기를 들으면서 진심 으로 시어머니께 감사하게 되었고 그 감사 의 마음을 충분히 표현할 수 있었습니다. 그
리고 조금씩 쇼핑이 아닌 그 시간에 어머니
와 다른 활동들을 하도록 권장함으로 쇼핑 하는 패턴을 바꾸어 가치 있는 일을 하게 되
었습니다. 위의 이야기처럼 실제 사람의 깊
은 마음과 동기를 알게 되면 내가 판단하고
생각하는 것과는 다르다 라는 것을 알게 되
는 경우가 종종 있습니다. 참 마음이 아픈 것
은 좁은 교민 사회에 살면서 주위 사람으로
부터 전해 들은 말로 사람을 쉽게 판단하고
아예 그 사람을 왕따 시키는 경우까지 발생
합니다. 물론, 누군가의 이야기를 듣고 경계
할 수 있는 유익이 있지만, 미리 부터 선입
견을 가지고 사람을 대하는 것은 좋지 않습 니다.
최근 한 동영상에서 한국의 한 크리스챤이
거리에 노숙자들을 부모님을 대하듯 '아버
지, 어머니'라고 부르며 안아주고 닦아 주고 작은 것이지만 먹을 것을 나누어주는 것을
보았습니다. 냄새나고 가까이 가기 쉽지 않
은 사람들에게 선뜻 손을 내밀고 다가가고
안아 주고 하는 것이 예수님을 사랑하고 한 사람의 영혼을 깊이 사랑하는 마음이 있기 에 가능합니다. 진정으로 사랑하려하고 마 음을 주면 상대방의 진정한 필요가 어디에
있는지 그 사람을 어떻게 사랑할 수 있는지 알게 됩니다.

진정으로 사람을 이해하려고 하면 말을 하 지 않아도 눈빛과 몸짓을 통해서도 오해가 아닌
























유정훈 목사
골드코스트 온누리교회
어렸을 때의 12월은 늘 축제
였고, 기쁨이었다. 12월 한달
은 매일매일 교회에서 살았
다. 교회의 외벽에 달아 놓을
성탄 트리 전구를 검사한 뒤,
사다리를 타고 올라가 교회
외벽에 달아 놓는 작업을 하
기도 했고, 형 누나들과 성탄
트리 장식을 본당에 설치한
뒤 함께 게임하며 놀았던 기
억이 생생하다. 또한 성탄 이
브 때 발표할 성극 찬양 등을
준비하며 보내기도 했다. 뮤
지컬 ‘성냥팔이 소녀’의 천사
역을 맡은 적도 있고, 매 년 성
탄 이브 때 독창을 불러야 했
기에 늘 투정부리기도 했다.
많은 분들이 어렸을 때 교회
를 다녔다면 기억에 있을만
한 것은 바로 ‘새벽송’일 것이
다. 성탄 이브 행사를 마치고
나면 촛불을 켜고, 새벽송을
돈다. 성도들의 가정을 방문
하여 찬양을 하고, ‘메리 크리
스마스’ 인사 나누었던 기억
은 절대 잊을 수 없는 추억이
다. 또한 새벽송을 돌고와서
드리는 12월 25일 성탄예배
는 모두가 꾸벅꾸벅 조는 예
배였기에 그 때를 생각하면
웃음만 나온다.
하지만, 호주에 살면서 매년
맞이하게 되는 크리스마스는
늘 아쉽고 허전한 날이 많았
던 것 같다. 대가족이 함께 모
여 식탁의 교제를 나누며 선
물을 교환하고 서로를 축복
하는 가족모임을 한다는 이
야기를 들으면 항상 부러워
진다. 이를 이겨내고자 교회
청년들과 선물교환 파티를
열기도 했고, 힐송에서 진행
하는 ‘크리스마스 스펙테큘
러’에 참여하기도 했다. 대형
교회에 낙타가 등장하고 양
도 지나가고 하늘에서 천사
가 내려오는 것을 보며 크리
스마스 시즌을 즐기려 했다.
하지만 크리스마스 당일이
되면 모두가 여행을 가고 가
족파티 스케쥴이 잡혀 있기
에 그 날만큼은 어디 갈 곳이
없나 두리 번 거리다 결국 갈
곳 없어 여느 때와 다름없는
조용한 크리스마스를 보내었 던 것 같다.
그래서인지, 골드코스트의 크리스마스는 어떠할까 궁금 하다. 무비월드, 드림월드 또 는 대형 쇼핑센터에 가면 크 리스마스 축제를 즐길 수 있 으려나 생각해 보기도 한다.
예수님이 오셨던 그 때의 시 대적 정치상황에 대해서는
지난주 신앙칼럼에 쓴 적이
있다. 암울한 시대 상황이었 다. 하지만 그 뿐만이 아니 었다. 예수님이 태어난 ‘베들
레헴’은 더더욱 열악한 곳이 었다.
‘베들레헴’은 다윗왕의 고향
이지만 그렇다고 해서 ‘베들
레헴’이 주목받는 곳은 아니
였다. 사실 ‘베들레헴’은 이스
라엘 역사속에서 주목받은
적이 없는 동네였다. ‘베들레
헴’은 ‘베트(집)’와 ‘레헴(떡)’
의 합성어로 ‘떡의 집’이라는
뜻을 가지고 있다. 하지만 그
곳은 룻기를 보면, 먹을 것이
없었던 곳이었다. 그래서 나
오미는 그곳을 버려두고 모
압으로 이주해야 했다. 즉 ‘먹
을 것이 풍성한 곳’의 의미를
가진 그 곳의 실상은 먹을 것
이 없는 곳이었다. 또한 ‘베들
레헴’은 최초의 순교지였다.
왕이 태어날 것이라는 말을
들은 헤롯은 두 살 이하의 남
자 아이를 죽이라고 명령했
기에, 그곳은 어미들의 통곡
소리가 가득했던 곳이기도 하였다.
그렇다면, 왜 예수님은 그곳 에서 태어났을까? 물론 구약 에 예언된 약속의 성취를 위 해 그 곳에서 태어나셨다. 또 한 이 탄생 사건은 그분이 진
정한 왕이심을 보여주는 사 건이기도 하다. 하지만 그분이 베들레헴에 서 태어나셨다는 것은, 있어 야 될 것이 없는 그 땅에 채
움이 되기 위해 오셨음을 보 여준다. 영적 배고픔과 공허 함이 있는 자들에게 진정한
양식이 되기 위해 오셨고, 통 곡의 소리가 가득한 베들레 헴 같은 우리의 마음에 치유 와 회복이 되시기 위해 오셨 음을 말해준다.
혹시, 마음이 베들레헴인가?
있어야 될 빵이 없어, 영적으
로 공허하고, 이름만 무성한 베들레헴으로 살고 있지 않 은가? 그러한 마음에 오늘도 일하시고자 찾아오신 분이 바로 예수님 이시다. 그 예수 님으로 채우면 생명의 떡이 가득한 집이 된다. 그러므로 그분을 모시라. 그분을 받아 들이라. 그래서 진정한 왕의 통치와 임재로 충만한 삶을 살아가라.
만성 무릎 통증으로 고생중이신가요?
하체운동 혹은 걷기, 달리기 등 다리근육을 사용해야 하는 유산소 운동을 할 때 무릎이 자주 아프신가요? 오래 앉아 일하고 나면 골반과 허리가 뻐근하고 불편하신가요?
무릎 통증과 허리와 골반 통증에는 다양한 원인이 있지만 하체 근력이 약하거나 스트레칭 부족으로 근육이 짧아져 통증으로 연결되는 경우가 많은데요. 그래서 오늘은 하체 근력을 키우는 매우 안전한 방법과 스트레칭 팁까지 알려드립니다. 집에 있는 의자 1개 준비해주시구요, 관련 유튜브 영상 보시면서 천천히 따라해보세요. 마지막의 상체 스트레칭까지 하고 나면 전신이 한결 가볍고 개운해질 거예요. 유튜브 채널 ‘요가읽어주는 여자 hayeon’에서 최근 십분 요가 챌린지 (day11) 영상을 참고하세요.
스쿼트 전 웜업 스트레칭
STEP 1. 사진과 같이 한다리를 의자 바깥쪽으로 가져가 무릎을 접어 내립니 다.
STEP 2. 앞의 무릎을 살짝 바깥쪽으로 보낸 상태에서 엉덩이를 바닥 쪽으로
낮춰보세요.
STEP 3. 허벅지 안쪽 근육이 늘어나는 걸 느끼며 깊게 호흡합니다.
STEP 4. 손으로 뒷발을 끌어당겨 조금 더 깊은 스트레칭을 시도합니다(선택).
TIP! 두 손 혹은 두 팔꿈치를 의자 바닥에 두고 허리를 곧게 편 상태에서
스트레칭 해주세요.


2. 와이드 스쿼트
둔근 강화, 허벅지 탄력 강화, 힙업 효과
STEP 1. 두 다리를 넓게 벌리고 두 손을 의자 바닥이나 등받이에 올려놓고 스 쿼트를 준비합니다.
STEP 2. 허리를 곧게 편상태에서 날숨에 엉덩이를 뒤로 보내 앉습니다.
STEP 3. 업다운을 10회 이상 반복하며 허벅지와 엉덩이에 자극을 느껴보세 요.
STEP 4. 체중이 앞이 아닌 발 중간과 발꿈치에 싣고 무릎을 바깥으로 보내며 앉아주세요.
TIP! 무릎과 발가락이 같은 방향을 바라볼 수 있게 정렬을 맞추고 안전하 게 스쿼트하는 연습을 먼저 해주세요.





장시간 앉은 후 혹은 운동 후 쿨다운 스트레칭, 등과 어깨 허리의 긴장감 통증 완화
STEP 1. 한 손을 머리 옆에 가져가 팔꿈치를 천정 쪽으로 보내 어깨를 열어 주세요
STEP 2. 날숨에 팔꿈치를 반대쪽 팔꿈치로 가져갑니다.
STEP 3. 호흡과 함께 5번 이상 반복하며 어깨 후면의 스트레칭을 느껴보세요.
STEP 4. 방향 바꿔 반대쪽도 스트레칭 합니다.
TIP! 목의 긴장감을 풀고 복부를 살짝 끌어당긴 상태에서 허리를 비틀어 주세요.


요가티처/요가풀니스라이프(Yogafulness Life) 대표

https://bit.ly/3w9ks4u (KOR)
https://bit.ly/SubscribeToYogasong (ENG) yogafulnesslife

이메일 : connect@yogafulness.life 홈페이지 : www.yogafulness.life


인스타그램 https://instagram.com/yogasong_hayeon
화투를 주요 소재로 한 영화가 시리즈로 만
들어져 명절 즈음에 개봉해 인기를 얻을 만
큼 대중에게 화투는 친숙하다. 하지만 일본 에서 유래했다는 이유로 논란이 되기도 했
다. 하지만 여전히 추석 등 명절에 가족끼리
재미 삼아 하는 놀이 중 하나가 ‘화투(花鬪)’
다. 친척들과 도란도란 모여 앉아 즐겼던 화 투, 화투의 유래와 화투의 뜻은 무엇일까?
그 누구도 몰랐던 화투에 숨겨진 이야기에 대해 알아본다.
화투란?
화투는 12종류 48장으로 되어있는 딱지 모 습을 띠고 있다. 일본의 카드놀이인 ‘하나후
다(花札)’가 조선 시대 후기에 한반도로 전
해져 변형된 것이며, 이것을 처음 누가 전파
했는지 알 수 없으나, 한국에 들어온 후 급속
히 전파되어 가장 대중적인 놀이 도구가 되 었다.
화투 방법은?
화투는 놀이의 종류도 여러 가지가 있어 보
통 월별로 그림을 맞추어 가는 민화투, 600 점을 따면 이기는 육백과 삼봉, 짓고땡, 섰다, 고스톱 등 다양한 형식의 놀이가 있다. 화투
놀이는 자기에게 들어온 패의 끗수도 문제
가 되지만, 상대방이 가지고 있는 패를 추리 하여 치게 되므로 낮은 끗수라도 승리할 수 있어 한층 묘미가 있다.
화투의 국산화가 이루어지다
초기의 화투는 일본 하나후다와 유사하게
전해지다가 화투패 그림의 왜색이 짙다는
이유로 1950년대를 기점으로 화투의 국산
화가 이루어졌다. 이 과정에서 판화를 4색
판으로 줄이고 기존의 종이 재질에서 플
라스틱 재질로 교체하였으며 두께도 얇아
졌다. 크기는 보통 35㎜×53㎜이며 약 1
㎜ 두께로 만들어져 있다. 색깔은 붉은색
이 가장 많지만, 기타 다양한 색의 화투도
있다.
화투의 구성은?
화투의 그림 속에는 자연이 들어가 있다. 화투
패는 각각 1년을 12개월로 나눈 특정 달을 상
징한다. 이것을 화투패의 족보라고 부른다. 이 렇게 같은 달을 가리키는 화투패가 각각 4장씩
구성되어 1년 12개월을 이루는 12쌍, 총 48장 이 되는 것이다.
화투 그림의 뜻은?
화투는 정월이 솔(송학), 2월이 매화(매조), 3월 이 벚꽃, 4월이 등나무, 5월이 난초, 6월이 모란,
7월이 홍싸리, 8월이 공산명월, 9월이 국화, 10
월이 단풍, 11월이 오동, 12월이 비(비)이다. 각
달은 넉 장으로 10끗이나 20끗짜리, 5끗짜리 그
리고 숫자로 쓰이지 않는 홑껍데기가 두 장이
있어 모두 48장이고, 열두 달 중 솔, 벚, 공산명 월, 오동, 비에는 광(光)자가 써져 있는 20끗짜
리가 하나씩 들어있다. 홍단의 문구도 다르고
청단의 문구나 색깔도 다르다.
화투에 등장하는 사람은 누구?
유일하게 사람이 등장하는 패가 있다. 오광 중 하나인 ‘비’다. 이 남자는 10세기경 활약했던 일 본 최고의 서도가 오노노 도후(小野道風)인데, 젊은 시절 그는 붓글씨를 아무리 열심히 써도
발전이 없자 깊은 회의와 좌절에 빠진 적이 있 었다. 어느 날 그는 우산을 쓰고 한참을 걷다가 빗물로 불어나 물살이 거센 개울에 개구리 한
마리가 급류에 떠내려가지 않으려고 수양버들
로 필사적으로 뛰어오르고 있는 모습을 보았다.
오노노 도후는 그 길로 돌아가 붓글씨에 매진했
고 그의 모습이 화투의 비로 탄생됐다.
명절때 하는 화투, 도박인가?
명절때 하는 화투는 도박이 아니다. 도박은 재 물을 걸고 우연히 얻은 승패에 따라 재물을 얻 거나 잃게 되는 걸 말한다. 따라서 도박이라고
하려면 재물, 우연성 등이 있어야 한다. 그리고
도박에 참여한 사람들이 예측할 수 없고 좌우할
수 없는 우연성이 중요하다. 이런 경우 화투나
카드처럼 패를 이용하거나 스포츠 승패, 기계 를 이용하는 것 등 방법과 상관없이 도박이다.
화투가 치매 예방에 도움 된다? 화투 역시 뇌를 자극하기 좋은 활동으로 알려져 있다. 실제 화투를 치다 보면 수시로 두뇌를 활용

하게
하며, 상대방의 패를 예상하면서 어떤 패 를 내야 할지도









지난 2023년 12월 9일(토) 오전9:30-오후3:00에 Upper Coomera Community Centre 에서 퀸즐랜드한글학교협의회에 소속된 교사들과 가입을 준비하는 한글학교 교사들을
초청하여 “기질과 학생교육” 이라는 주제로 가지고 초청강사로 김경아 선생님을 모시고
교사연수회를 가졌다. 금번에 회장님의 인사말을 시작으로, 재외동포청으로 승격된 후 첫
번째 재외동포청장님의 축사의 글과 얼마 전에 문을 연 주브리즈번 대한민국 출장소 소장 님께서 직접 오셔서 축사를 전해 주심으로 더욱 풍성한 행사가 되었다.
금번에는 퀸즐랜드한글학교협의회 내에 소문난 수업을 해 주신다는 선생님들을 초청하
였는데, 브리즈번한글학교. 유경현 선생님 “유치부 어린이들의 즐거운 한글 교육 이야기”
란 공개수업과 브리즈번순복음한글하교. 황순주 선생님 “재미로 익히는 한글” 이란 공개 수업을 치르면서 참석한 선생님들의 많은 호응을 얻었다.
올해의 긴 방학임에도 불구하고 많은 소속교사들이 참석하심으로 큰 관심과 열정을 보 여주었다.

퀸스랜드주 한인회비
퀸스랜드주 한인회는 많은 회원분들
의 회비로 운영되고 있습니다.
- 회비: 1인 $20 / 4인 가족: $50 - Bank: NAB - Account Name: The Korean Society of Queensland - BSB: 084 255 - ACC: 77 348 7068
송금하실 때에는 레퍼런스란에 본인의 한글 이름을 영문으로 적어주세요.
골드코스트 한인회비
여러분들께서 납부해 주시는 회비는 골드코스트한인회의 운영과 교민사 회의 단합과 발전을 위해 쓰여집니다.
● Tel. 3879 1382 ● Mob. 0418 883 377
● Fax.3879 1382 ● E-mail. hhpak1043@naver.com
● ABN 92362726522 ● 29 Simpson Way Forest Lake Qld 4078
親愛하는 경로회원 여러분!!
時間에 등을 밀려 언덕 하나를 넘겼다는 느낌이 듭니다.
[ 2023년 상반기 한인회비 납부 ]
이선구 전 한인회장 가족 $50, 김은총, 김태성, 최경식, 박세진, 설청우, 김진성, 김웅도, 김형남 한인회장 가족 $50, 김찬호, 고동주, 서정 가족 $50, 권정식 $40, 이종일 가족 $50
- 회비: 1인 $20 - Bank: BOQ
- Account Name: Korean Society of Gold Coast Australia Inc - BSB: 124 022
- ACC: 21549471
입금시 영문 성함을 꼭 기재해 주세요.
[ 2023년 7월1일~2024년 6월 30일 ]
지상의, 김춘임 부부 $50, 김술람, 최인숙, 김치은 부부 $50, 이순자 $50, 김광수(전예순) $50, 이세라, 손남순, 최원, 민광기(장희옥), 김창수(한승자), 조성진, 박찬식(조혜숙), 안순례, 이종희(강영부), 김경식, 강태홍 (김현영), 신명숙, 이하림, 선수 미 (최곤), 김용화, 윤지현(이주혜), 김광연, 신명아, 안경자, 최동일 (박은주), 이광분, 김경숙, 김현영
놀라웠던 모퉁이 허무했던 오솔길 불쾌했던 진창길을 거쳐오다 보니 어느덧 한 해를 마감 하면서 또 한 해를 맞이하기에 이르렀습니다. 그 동안 세태의 반영이었다고 하더라도 여러 가 지 곡절 굴곡 들이 허다하게 뒤얽힌 과정은 교훈으로서 비쌌고 경험으로서도 힘겨운 것이었 습니다. 이제 우리는 돌이킬 수 없는 지점을 통과 재생의 정태가 걸린 결정적인 단계에 들어 선 느낌입니다. 하지만 우리 회원 여러분들의 봉사 정신으로 이루어진 작은 출발이 칡흑을 밝 힌 한 줄기 빛이 되어 복지 구현 큰 열매로 맺어지기를 힘을 합쳐 노력한 결과라 생각됩니다. 어제는 오늘의 어머니이고 오늘은 내일의 아버지이다라는 격언을 상기하면서 허전한 웃 음이 아닌 뿌듯한 웃음의 열매를 거두어 들입시다. 믿음은 위안과 취미를 위한 것이 아니라 인간의 실제적 행동을 위한 것이라고 어느 성직 자가 말했습니다. 인간의 값어치는무엇을 알고 있는가에 있는 것만이 아니라 무엇을 했는 가 에서 결정된다고 했습니다. 무덥고 바쁜 연말 잘 보내시고 건강 잘 챙기시기를 바랍니다. 지난번 11월 월차모임에 경찰 방문으로 결행되었던 신영우 회원님께서 "자연요법과 서양
한계"에 관해서 건강 강좌를 하시겠습니다.
2023년 12월 월차모임은 아래와 같습니다.
- 일시: 12월 21일 (셋째 목요일) 오전 10시 30분
- 장소: Old Inala Hall (UBD M-218 F-5참조)
Corner of Rosemary St and Abellia St Inala (KEV Hooper Memorial Park인접) (100번 버스 이용), KFC에서 City가는 버스 방향으로 도보로 5분거리)
The Korean Senior Association of Qld Australia I N C 퀸스랜드주 한인 경로회 회장 박희문




02 9210 0200
02 9210 0216
02 9210 0215
총영사관-행정 02 9210 0218
주시드니 총영사관-민원 02 9210 0234
통화량이 많아 연결에 다소 시간이 소요될 수 있습니다.
한국관광공사 02 9252 4147 광복회 호주지회 0452 188 070
긴급전화(경찰, 앰블런스, 화재) 000
Police Liaison Unit(한국어) 3364 3217 - 경찰업무 관련 한국어로 통화를 원할 때
Police Link 131 444 - 일반 경찰업무, 비자 분실 등
가정폭력 1800 811 811
여성상담센터 0425 252 372
성폭행 상담 3636 2414
수도 1300 366 692
독극물, 생명전화(24시간) 13 11 14
위기구호, 아동학대 1800 177 135 음주, 마약 3236 2414
관련 문의는 우선 총영사관 홈페이지 www.koreasydney.net을 참고해 주시기 바랍니다. 주호주 한국대사관 02 6270 4100
간판/인쇄/디자인
i-hub 0435 831 116
NB Signs - 간판, 인쇄, 디자인 0421 790 885
Sunny Creative 0412 840 533
건강식품/기념품
뉴질랜드 초록홍합,녹혈,녹용 캡슐 판매 0403 736 998
드림로드 양모, 한국이불 3209 5445
New Core 건강식품 3012 7886
SINI 건강 (써니뱅크점) 3344 7881
건축/인테리어/집수리


나이스 블라인드 3133 8330, 0421 594 083
대니 핸디맨 0402 299 915
백향건설 0434 763 843 / 0421 025 230
스타 블라인드 0430 715 906
에벤에셀 인테리어 0421 438 424



가스 문의 13 12 53 / 13 62 62 (사고) 텔스트라 문의 125 111 / 1800 773 421(한국어)
13 14 50
대한무역진흥공사 02 9299 1790
Happy Blinds 0481 711 500
Hi Design & Construction 0430 900 630
J Plus Building Inspections 0422 773 031
K Total Construction 0466 127 884
KIM’S HOUSING 0411 097 908
NEXUS PLUMBING 0459 999 754
OkayPainting 0430 889 559
OneStop Bath & Tiles 07 3034 1075 Shop4, 655 Toohey Rd, Salisbury
SUNSHINE 블라인드 0481 148 692
Total Cabinet 3299 1978
TOV Construction 0452 578 001
Vertex House Renovations 0403 420 467
WINDOW ART 3114 2145, 0490 537 244
WK Painting Services 0412 726 807
건축 설계
mih architect
교민단체
골드코스트 한인회 0418 763 186
대양주 한인회 총연합회 0427 566 474
월남전 참전자 전우회 퀸즐랜드지회 0411 378 391
재향군인회 퀸즐랜드 분회 0412 629 358
퀸즐랜드 주 한인회 3390 0024/ 0424 724 624
퀸즐랜드 한국 참전 유공자회 0414 295 709
퀸즐랜드 한인 골프회 0430 202 239
퀸즐랜드 한인경로회 0418 883 377/3345 1400
퀸즐랜드 ROTC 동문회 0415 695 635
퀸즐랜드 한인 비즈니스 협회 0408 889 792
퀸즐랜드 한인 오케스트라 0411 820 800
퀸즐랜드주 해병 전우회 0427 334 521
골프레슨
원성욱 프로 레슨 0402 598 961
Victoria Park Golf Learning Centre 한국어 0451 899 874
교육/학원/개인교습

김선생 수학 0430 127 992
탑원 바이올린 0424 783 353
피아노 전공자쌤 0478 548 500
피아노/망고힐/시드니콘석사 장학생
세계대회1등 0433 309 331
호주 라인 댄스 0401 812 610
CS Education 0402 855 802













윈도우 아트 블라인드 0490 537 244
황용연 건축사 0451 377 843 건설현장 자격증 학교
EduPlanet College & QCM 3343 6343








욕실 누수 전문(욕실 리모델링, 타일, 방수) 0452 471 080
콘솔 블라인드 0408 288 789
Simili Training Joseph Lee 0477 787 200
Ji Lee 0416 740 514
Kevin Simili 0416 740 516
Eight Mile Planes 유치원 3841 3350
Elite Tuition 0400 328 187(영 어) 0400 163 227(한국어)
LE SPA MASSAGE ACADEMY 3368 3362

토넵 - 주방욕실 가구 전문 0478 616 026










ARCHIONE Design Builders 0402 533 628
Beauty Home Blind 0408 011 021
Blue River Design & Construction 0478 709 032
주례 써니뱅크 정부 공인 주례사 0408 688 010
i-Care 0433 494 281
Simili Training (건설현장 자격증
정부승인) 0477 787 200, 0416 740 514
SP 에듀케이션(하이스쿨, ATAR 대비) 3195 8532, 0411 168 007
Winny Family Care 0420 720 894





Blue Whale Construction 0402 272 891, 0416 911 333
BL 핸디 홈 메인터넌스 0416 911 444
City Garage Doors
차고문 당일수리, 제작 0492 889 349
Dr 핸디맨 0478 833 415
G1 Painting 0450 959 010




광고문의 0422 258 092, 0432 008 985 admin@qldkoreanlife.com.au
아하바 목욕탕 3391 2279
웨딩메이크업헤어(withBRIDAL) 0481 982 486
제시헤어 0414 060 369
ON U Hair(시티) 0458 467 164
alabuu 0493 475 995
Hair Captain 헤어캡틴 0481 600 088
K Bridal Studio(Julie) 0451 373 313
M nails & beauty 0432 346 799
M&U Beauty Brow(미앤유 뷰티 쿠파루) 0423 056 137
Nail Station Brisbane 0401 307 878
The Face Shop (가든시티) 3344 6014 (써니뱅크) 3423 2514
번역/통역


보험/홈론/파이낸스
Remax 부동산 써니뱅크
조권현 0452 65 88 78
YONG 부동산(오세진) 040 228 3003
사진
Alicia’s Photography 0478 825 233



무담보 소액대출(호주 어디서나) 0412 232 889
미래종합금융 1300 882 595
ANZ Jin Lee 0434 689 100

가영 NAATI 3급 번역공증 0410 672 485
나티공인 한영/영한 번역사 0431 232 673
데레사 통역 0402 307 090
손지은 NAATI 3급 0412 088 428
호주 닷컴 온라인 번역공증 info@hojoo.com
JINO NAATI 통역서비스 0430 812 205
변리사
김현태 특허상표변리(호)사 040 433 5914
변호사

법무법인 Park & Co ㆍ 대표번호(유선) 3345 6665
ㆍ 대표번호(모바일) 0490 130 012
ㆍ 박창민 변호사 0452 435 447
ㆍ 김희용 변호사 0431 628 082
ㆍ 허성은 변호사 0425 030 220
H & H Lawyers 02-9233-1411
ㆍ홍경일 대표변호사
ㆍ강현우 형사전문변호사 0487-192-566
ㆍ김진한 변호사(이민)
ㆍ김현태 변호사·상표변리사
리틀즈 법무법인
ㆍ NSW 1800 000 119
ㆍ QLD 1800 082 082
ㆍ 김경태 변호사 0452 480 920
ㆍ 이종일 변호사 0434 980 635
성도 법무법인
ㆍ대표번호 3392 3981
ㆍ김문기 변호사 0411 211 227
ㆍ김태규 변호사 0403 689 714
KLS Legal Practitioners
ㆍ사무실 (07) 3113 3790
ㆍ나윤제 대표변호사 0423 005 035
ㆍ신선미 변호사 0412 693 115
김린 변호사 0404 871 986
김영규 변호사 07 3210 6489, 0411 624 779
박근영 변호사 0433 372 566
주광훈 변호사 0405 694 497
정회림 변호사 07 3195 4807
진승희 변호사 0403 503 530
LinkOz 이정민 변호사 0401 576 978
C-Herald Insurance 1800 998 557
C-Herald Finance 1800 998 557
Focus Loan(오지훈) 0420 847 110
Hana Finance (알렉스) 0410 622 838 복지센터
AACA (All About Care Australia) 07 3133 0209 (Gemma) 0430 218 030 (Tasha) 0402 595 741
ONE DREAM COMMUNITY
복지 홈케어패키지 1800 841 777
상담/심리치료
ACC 상담센터 02 6255 4597
JR 부부상담연구소 0434 487 433
브리즈번 명상센터 0466 211 405
숙박시설
스프링우드 타워 호텔 3387 7077
호텔 다이아나(한국어) 3896 1691
송금/환전
한국송금(구. 코원송금) 0474 373 007
스포츠/체육관
원 태권도 0430 295 881
Sunnybank 테니스클럽 0430 014 221


Sunnybank 당구장 0430 014 221 식당/카페



AKLINKS 손한나 대표 0428 87 5050
3 Sisters 3195 4481

Bluedog 부동산 0419 536 071
Bluedog 김수정 0408 622 934
HD Property 황기철 0413 515 788
Harcourts Calamvale (홍성우) 0415 413 769
Ideal Realty Advisors (시드니) 02 8007 4989, 0414 088 089
KLOVER PROPERTY
Kay Lee 0421 007 147
Link Plus Realestate 이지영 0450 908 864
Raas Group 0420 486 651
누나네 해장국 3107 4158
마녹파크 0433 276 449
마루 3221 7778, 3012 9912
모모치킨(city) 3012 8238
모모치킨(runcorn) 3841 8068
미담 3344 5001
불고기 Bros 3350 2233
샤부하우스 (일식 부페) 3211 5407
소문 삼계탕 3158 3709
차미 푸드 앤 보틀샵 3210 6349
코릴라 바베큐 3211 1212
여행/공항픽업
가나안 공항 픽업 0478 833 415
도움 투어 3012 8383
우리여행사 0412 393 713
케니 여행사 3344 3220 / 0402 729 595
현대 투어 0432 140 083
HT 여행사 3003 1771
운송/택배/이사








채정우 이민법무사 0423 687 378

모유사랑 모유수유클리닉 (상담, 유방관리) 04 5675 5675
보화당 한의원 3219 1002
언어치료사(Speech Pathologist) 0473 562 154
엔한스 덴탈 스튜디오 (런콘) 07 3423 0783
족부 의학 클리닉 (써니뱅크) 07 3344 6866 (해밀턴) 07 3741 2825
질미어 치과병원 3265 6010
Carindale 자매치과 (김현아/김은아) 3324 9172
Dr. Seung-min Youn(윤승민) 정형외과 07 3278 2662
Dr.허 시티 한국인병원 3210 2111
Dr.허병원 Skin Clinic 0407 112 342
Hybrid Physio 3190 9747
JINDALEE Complete Dental 3376 5475
My Clinic (Dr 제임스 강) 3272 2202

























The Dental Club 1300 165 768 Stafford | Caboolture | Bellmere | Griffin 의류/침구/옷수선























센트로파이 0457 269 109
시온 에어컨 냉동 0434 486 877
에어컨 청소 FreshZone 0431 135 071


Airmazing 0451 104 439, 0430 189 603




가구소형이사 픽업서비스 0411 736 276
가나안 용달 서비스 0478 833 415
(각종 소형 ‘짐’ 운반)
대한통운 국제택배 0431 571 657
와이즈 국제물류 1800 577 369
현대택배 0430 014 221
HT Logistics 3823 1802
PNL 택배(한국-->호주) 0449 24 8282
COOL MY 에어컨디셔닝 0406 284 159
Fresh Cool 0401 627 853
LEES 에어컨 설치 0434 378 245
SONG 에어컨 설치 0414 781 645
SWIND 0451 994 144
TURBO 냉동 / 에어컨 / 컨설팅 0403 458 777
OK 냉동 서비스 센타 0423 457 898 유통
웨스티마켓 0450 103 788
Milton Exchange (노브랜드 유통) 0438 545 007
Cordelia International (온리프라이스
제품외 유통) 0450 103 788 유학원
도움 유학 3012 8383
GLOBAL MATE 3221 8318 0451 281 841 HT 유학원 3003 1771
컨설팅
가영 비자 이민 컨설팅 0410 672 485
백승용 이민법무사 3323 3186
변기훈 이민법무사 0425 669 799
이정민 법무사 Select Australia 0430 592 230
드림로드 3209 5445, 0433 267 953

차밍 옷수선 0403 617 076



한복 대여점 이음 e-uum 04 2121 3656
OUR HANBOK 0423 378 055 자동차운전학원
메이 운전학원 0419 708 177
부부 운전학원 0414 273 087 자동차정비






















사찰) 0450 616 924 / 0413 805 236

TaxBee 3210 0747
Tax Friend 0422 869 630





브리즈번 정토법회 0438 536 221 원불교
3219 1002
꿈이 있는 교회 0421 480 870







동행하는 장로교회 3422 0828 / 0400 878 882
간판/인쇄/디자인
써니 크리에이티브 0412 840 533


브리즈번 순복음교회 3341 9090 / 0433 9933 52
미디어 나라 0412 443 066







스프링필드 침례교회 킹제임스성경 0469 859 983
호주 가정 상담 대학 0416 069 812
호주 기독교 대학 02 6255 4597
GGL 토탈 IT 솔루션 0422 395 706
iComputer (TPG 공식딜러, 컴퓨터 수리) 0450 511 829
M4U 웹디자인 0434 417 933
NB Signs - 간판, 인쇄, 디자인 0421 790 885 건강식품/기념품









한마음 교회 0410 409 007
Faith Church 써니뱅크
ㆍ 요한계시록 성경예언
ㆍ ilona 목사 0400 374 666 주방용품(상업용)
썬샤인 비즈 솔루션(스시머신, 주방용품) 0413 396 799
All 4 Kitchen 주방용품 수리 0433 974 907 중고 가전
Smart Electrical Clearance Outlet
ㆍ Hyperdome 3133 1805
ㆍ Capalaba 3823 4165
ㆍ Mt Ommaney 3376 7445
ㆍ Browns Plains 3800 1013 청소/방역
원스톱 방역 & 카펫 청소 0401 600 887
원펀치 터마이트&페스트컨트롤 0402 157 905
써니뱅크 터마이트 0412 178 944
3423 1337
짐스 터마이트 & 페스트 컨트롤 0416 515 874
클린킹(청소용품판매) 3208 1333
JCM 터마이트&페스트 닥터팀 0430 318 776
N2 CREATIVE (웹사이트 제작) 02 8091 7333
VTEQ 컴퓨터 3323 3232 (TPG 공식딜러, 웹사이트, IT솔루션) 핸드폰
Jaetech 핸드폰 수리점 0404 932 988







뉴질랜드 초록홍합,녹혈,녹용 캡슐 판매 0403 736 998
로얄건강 타운 0401 158 508

교회 0402 496 797
ㆍ 벧엘 장로교회 3345 9299
ㆍ 브리즈번 동산교회 3803 1314
ㆍ 브리즈번 로고스 선교교회 0403 956 390 ㆍ 브리즈번 만나성결교회 0431 853 922
ㆍ 브리즈번 모닝사이드 연합교회 0413 101 708
ㆍ 브리즈번 믿음 교회 0430 047 548
ㆍ 브리즈번 바인 장로교회 0450 410 501
ㆍ 브리즈번 반석 장로교회 0430 810 929
ㆍ 브리즈번 서림교회 0423 333 932
ㆍ 브리즈번 선한목자교회 0431 686 296
ㆍ 브리즈번 성결교회 0433 689 717
ㆍ 브리즈번 안디옥 장로교회 0423 733 599
ㆍ 브리즈번 왕성교회 0400 878 882
ㆍ 브리즈번 은혜교회 3376 2143 / 0433 677 241
ㆍ
임마누엘교회 3344 7521
3343 1817 / 0413 608 392
주안교회 0432 680 975
평화교회 0425 252 372
3341 9232
3202 9553 / 0413 515 737
0425 306 577
0433 494 281
3290 0376
0414 624 779
3252 1701
0401 458 230 / 0431 259 828
AplusHomeCare(터마이트,페스트 컨트롤) 0448 226 179
Kleen Hub(청소용품 판매) 3191 3248
푸드패키징
Kleen Hub 3191 3248
Q Pack 3219 5654
플러밍/가스
HIGH TECH PLUMBING & GAS 0431 409 844
JINSU PLUMBING&GAS 0401 359 573
NEXUS PLUMBING 0459 999 754
PK PLUMBING 0433 772 172
폐차/고철/고물
Metal Xchange | Cash for Cars 0410 140 500

권신정 회계사(MAZARS) 3218 3924
회계사(PKF) 0433 379 280
김재미 회계사
장수마을 0422 59 59 79
카사아울렛 5531 3155
건축/인테리어/집수리









가나 집수리 04 02 02 8720
대니 핸디맨 0402 299 915
스타 블라인드 0430 715 906
윈도우 아트 블라인드 0490 537 244
퀸즐랜드 한인 카펜터 김유신 0452 552 762
Hi Design & Construction 0430 900 630
OkayPainting 0430 889 559
J Plus Building Inspections 0422 773 031
TOV Construction 0452 578 001
LINKS 부동산






레삐헤어 5679 3943
신 헤어 스튜디오 0407 090 270
웨딩메이크업헤어(withBRIDAL) 0481 982 486
킴스헤어(사우스포트) 5527 1990
케이살롱뷰티(사우스포트) 0421 187 046
FOREL Beauty & Spa 0413 753 087
Kausie Hair Salon (코지 헤어) 5531 2963
Meraki Hair 5592 0984
Hair COCO.GC 0413 662 699 / 5511 1892
The Hair 5528 6310
The 9 Brows & Beauty 반영구 화장 0448 019 555
Retreat 마사지 0404 806 887, 5527 1147
번역/통역
0410 601 521 김영규
C-Herald Insurance 1800 998 557
C-Herald Finance 1800 998 557
You and Me Finance 0468 429 180 보험전문



0428 87 5050
Bluedog 부동산 0419 536 071
Bluedog 김수정 0408 622 934
MASTER QLD PROPERTY 서문희 대표 07 55 111 888 / 0478 110 290
Onyx Property Management 0490 187 898 Ray White 이민정 0431 686 286
Raas Group(Yong Lee) 0420 486 651
ALICIA’S PHOTOGRAPHY 0478 825 233
WOW CAFE & STUDIO 0401 282 303
AnK 골프 아카데미 0434 142 638
D.I Sports Academy 0425 864 112 Golf Zero 0435 595 577





Oppane 오빠네 5532 2413
Rice House 5591 2239
RICE VS NOODLE 5538 8803
The Dak 0468 857 692
WOW CAFE & STUDIO 0401 282 303
식품점/편의점
스마일마트 5527 1312
오페마트 5531 0922
유니마트 5608 9860
하나로마트 Helenvale 0493 090 679
Southport Robina
해피마트 0401 337 458
현우식품 5526 3838
Coomera Asian Mart 0424 491 646
K-Town Supermarket 5528 6781




Lotte 편의점 5591 2356
식품제조
명가(김치, 밑반찬) 5531 0906

고기하우스 5591 7465
감성포차 Yacha 5660 9648
김치하우스 5538 8496
다노시스시 5528 3005

두리분식 0413 965 268
대박집 5531 0374
불고기ya 5591 7270
서라벌 고기부페 5538 8465
소공동 순두부 0423 455 599
이조 숯불 BBQ 5531 2423

코리안 키친 5538 8855
파라다이스 숯불구이 5592 3824
해피롤 5528 0588
Hochan 호찬 0424 215 797
AZIT(아지트) 5661 8537
BBQ 빌리지 5532 2700




BBQ 코리아나 5504 5627
Cafe 928 5679 6616
CHIKOR 5531 1254
Cook & Beer 0402 99 66 94
Gal. B 5591 5141
Izakaya ichi 5564 0190
MAMAS KITCHEN 5571 1896
BB 두부 0406 541 572
안경원
골드코스트 한인안경원(EYEdear Optical) 0423 083 599
여행/공항픽업

시티익스프레스 공항픽업 0413 059 206
우리여행사 0412 393 713
운송/택배/이사




KPOST 우체국 택배 0422 59 59 79
대한통운 국제택배 0431 571 657
현대택배 3075 6872 / 0430 014 221
HT Logistics 3823 1802
PNL 택배(한국-->호주) 0449 24 8282 유학원
마린 유학 5591 7070

의류/침구/옷수선
벨라 옷수선 5511 2077
Sweet Closet 0402 148 750 자동차운전교습
메이
운전학원 0419 708 177
부부 운전학원 0414 273 087
자동차정비



DP Motors 5537 8235, 0433 835 293
GCCEM 이승엽 0421 707 771
H&K Motors 5532 9088, 0433 004 310
JD Motors 5591 6772, 5591 6227
TINT MASTER 0421 707 771
차량복원 전문업체 NICK’s Panel & Paint 5531 3459, 0430 123 950
CLUB AUTO 이승엽 0421 707 771
메르세데스 벤츠 골드코스트, 레이튼(한국어) 0478 220 828 카톡 MBGCLY
전기/전자/통신
리스(LEES) 전기공사 0434 378 245
하나로 전기공사 0416 868 818
SONG 전기공사 0414 781 645
정수기/비데



청소/방역
가나 Termite,Pest Control 04 02 02 8720
얼스 와이즈 방역 0436 321 537
원스톱 방역 & 카펫 청소 0401 600 887
원펀치 터마이트&페스트컨트롤 0402 157 905
짐스 터마이트 & 페스트 컨트롤 0416 515 874
클린킹(청소용품 판매) 5532 2342
JCM 터마이트&페스트 닥터팀 0430 318 776
PAULS Clean King 0425 233 118
RAPID CLEAN 청소용품 5572 2284
컴퓨터/POS/웹사이트
미디어 나라 0412 443 066
iComputer (TPG 공식딜러, 컴퓨터 수리) 0435 831 116
VTEQ 컴퓨터 3323 3232 (TPG 공식딜러, 웹사이트, IT솔루션)
권신정 회계사(MAZARS) 3218 3924
김상현 회계사(PKF) 0433 379 280
김재미 회계사 0478 221 525
바른회계법인 한상호 회계사 0450 468 318
백화실 회계사 0421 007 756
안재웅 공인회계사 0420 518 253
이윤 회계사 3299 1031





Q Pack 3219 5654
심인섭 공인회계사 0432 493 032
신우 회계 법인 3148 8887







CYS 회계법인 07 5503 0366
JY Accountants 07 5679 1619


Prudent Accountants & Co 0412 447 987












AK 정수기/비데 0401 558 353
The Bidet Shop 1800 243 387
VCG (엘지 정수기) 07 3924 1870 / 0421 807 981
정육점
서울 정육점 5531 5227, 0405 934 952
종교단체
기독교
ㆍ 골드코스트 가까운교회 0433 447 483
ㆍ 골드코스트 선교교회 0431 232 304
ㆍ 골드코스트 순복음교회 0402 089 896
ㆍ 골드코스트 온누리교회 0412 341 868
(Southport State High School 내)
ㆍ 골드코스트 열방교회 0412 362 029 (장로교회)
골드코스트 장로교회 0409 995 456 ㆍ 골드코스트 재림교회 0430 041 022 ㆍ 골드코스트 지구촌교회 0433 609 191
0451 472 202
0412 194 829
0426 501 966
0423 932 742
0433 308 436
0421 579 026
0411 725 639
0402 044 331
0478 782 186
골드코스트 주님뜻교회 0450 501 201


그래픽 디자인
위니아트 0401 596 877
식당
Black Curry 5200 0875
Brown Rice(Peregian Springs) 5448 2197
Hanami (Coolum Beach) 5471 7091
HIKARU
ㆍ Birtinya 0432 389 288
ㆍ Baringa 0432 389 288
ㆍ Kawana 0452 028 804
ㆍ Northshore 5406 9017
ㆍ Buderim 5476 6266
MakiMoto(Noosa) 5447 3254
Master Sushi 5526 7557
The Sushi 79 (Currimundi) 5437 8208
Tampopo 5476 7039
Haru Korean Kitchen 5447 2249
식품점
선샤인 마트 0488 515 288
의료/병원
Doctors@Maleny (닥터.노) 07 5413 8066
전기/전자/통신
존 TV&안테나 0491 068 872
정수기/비데












































































































































































호주 경제가 9월 분기에
0.2%, 9월까지 12개월 동안 2.1% 성장했다. 성장세 자체
는 유지했지만 그 힘은 약해졌
고, 1인당 국내총생산(GDP)
은 역행했다.
통계국(ABS)은 호주 분기별
GDP가 0.2% 성장하면서 8분
기 연속 상승세를 기록했으나
성장세는 둔화했다고 수요일 (7일) 발표했다. 전문가들이
GDP 성장률이 6월 분기 0.4%
를 지키거나 0.5%로 다소 빨
라질 것으로 예상했던 것과는
반대 결과다. 다만, 연간 성장
률이 2.1%에서 1.8%~1.9%
로 둔화하리라는 전망보다는 나은 지표가 나왔다.
연방정부는 이번 성장률이 나
쁘지 않은 성적표라는 입장이
다. '금리 인상'과 '글로벌 불확
실성'이 경제를 "상당히" 둔화
시킬 것으로 예상해 왔다는 것 이다.

짐 차머스 재무장관은 "우리 경제는 올해 9월 분기까지 독 일, 영국, 프랑스, 캐나다, 이탈 리아 등 대부분의 주요 선진
ABS 국가 계정 책임자인 캐서
린 키넌(Katherine Keenan)

은 "이번 분기 GDP 성장의 주 요 동인은 정부 지출과 자본 투자였다"고 말했다. 정부 최 종소비지출은 6월 분기 0.6% 증가에 이어 9월 분기에 1.1% 증가했다. 에너지 요금 구제 기금, 노인 돌봄 및 의약품 지 원 등 복지 지출이 늘었다. 연 합훈련을 위한 지출이 발생하 면서 국방 부문도 성장에 기 여했다. 총고정자본형성의 증 가(1.1%)는 공기업이 주도했 다. 공기업이 교통, 통신, 유틸 리티 프로젝트에 대한 투자를 늘린 덕분에 공기업 투자가 8.9% 증가했다.
3개월 동안 수출은 0.7% 감 소, 수입은 2.1%





중국이 호주 적색육 수출 업체 3곳에 대한 무역 금 지 조치를 해제했다.
중국은 2020년부터 2022 년까지 근로자 코로나-19 감염, 라벨링 문제, 기타 기술 위반 등 여러 육류 가 공 공장과의 거래를 중단 했다.
월요일(11일) 밤 중국 당국
은 호주 육류 가공 시설인 남호주주 나라코트의 테이 스(Teys), 빅토리아주 콜
락의 오스트레일리안 램 컴퍼니(Australian Lamb
Company) 및 멜버른의 JBS 등 3곳에 대한 금지 를 해제했다고 발표했다.
호주육류산업협회(Australian Meat Industry Council・AMIC)는 "이번 조치는 대중국 육류 무역 의 안정화를 의미한다"고 환영했다.
패트릭 허치슨 AMIC 최고 경영자(CEO)는 "거래가 중단된 다른 모든 공장도 대중국 접근성을 회복할 수 있도록 앞으로도 강력 하게 주장할 것"이라고 밝 혔다.
돈 패럴 통상장관도 "이번 조치는 중국과의 관계 안정 화를 위한 또 하나의






















































































제이비 하이파이(JB Hi-Fi)가 10년 동안 무가치한 '연장 워
런티'를 팔아 폭리를 취했다
는 비판과 함께 집단 소송에
직면했다.
이번 집단소송을 제기한 법무
법인 모리스 블랙번 로이어스 (Maurice Blackburn Lawyers, 이하 모리스 블랙번)는
JB Hi-Fi가 2011년부터 "가치
가 없거나 전혀 없는" 워런티
연장 상품을 판매해 왔다고 주
장했다. JB Hi-Fi에서 판매한
연장 워런티가 호주 소비자법
에서 이미 무료로 보장된 보증
과 동일하다는 것이다.
모리스 블랙번은 2011년 1 월 1일부터 2023년 12월 8일
사이에 '익스텐디드 케어(extended care)', '커스터머 케
어(customer care)', '엑스트
라 케어(extra care)'에 가입
한 고객을 위한 보상을 요구하
고 있다. 이 소송의 핵심은 제
품 구매 시 보장되는 '소비자
보증(consumer guarantee)'
이라는 기본적인 법적 권리다.
여기에는 제조업체의 보증이
만료된 후에도 구매 후 합리적
인 기간 내에 문제가 발생하면
수리, 교체 또는 환불을 받을
수 있는 권리가 포함된다.
모리스 블랙번은 JB Hi-Fi가
연장 워런티를 판매할 때 오 해의 소지가 있거나 기만적인
행위 또는 비양심적인 행위를
사용하여 법을 위반했다고 주 장한다.
예를 들어, 2,000달러 냉장고
를 구입할 때 소비자는 냉장고
수명이 6년보다 훨씬 길 것으

로 기대한다. 그런데 JB Hi-Fi 의 워런티는 구매일로부터 3 년에서 6년 이상 지속되지 않 았다고 한다.
모리스 블랙번의 미란다 나기 (Miranda Nagi)는 "호주 소 비자법의 구제책은 대부분의 경우 더 오래 지속될 가능성 이 높다"고 말했다. ABC에 따
르면, JB Hi-Fi에서 판매한 연
장 워런티 문구에는 소비자에
게 이미 제공되지 않는 혜택이
있다고 명시돼 있다. '보장 기
간에 대한 확실함' 또는 '고장
에 대한 추가 보호' 등이 예다.
이와 관련해 모리스 블랙번은
일부 브로셔가 소비자법에 따
른 보호와 연장 워런티가 특별 히 제공하는 보호가 어떻게 다
른지에 관한 정보가 들어 있지 않다고 지적했다.

끈질겼던 '금리 인상'이 이제
끝나는 걸까. OECD(경제협 력개발기구)에서 호주의 인 플레이션 압력이 통제되고 있 고, 금리도 더는 올라갈 필요 가 없을 것이라는 전망을 내
놨다. 시장에서 올라오는 예
측도 대체로 비슷한 분위기 다. OECD는 수요일(29일) 밤
발표한 세계 경제 전망에서 호주중앙은행(RBA)이 당분 간은 금리 인상을 중단할 것
으로 예상한다고 밝혔다. 높 은 수준의 금리가 유지되다 가 2024년 3분기부터 2025 년 말까지 0.75%포인트 내려 갈 수 있다는 것이 OECD의 결 론이다.
임금 협상 난항, 정부와 HSU의 첨예한

크리스 민스(Chris Minns) 뉴사우스웨일스(NSW) 주
총리는 정부와 구급대원들
임금 협상 교착 상 태를 종식시킬 수 있다면 보건 서비스 노조(Health Services Union・HSU) 사
무총장 제라드 헤이스(Gerard Hayes)를 "당장" 만
교착 상태를 끝내기 위 해 월요일 비공개 조정 회 의에 몰두했다. 협상이 타 결되지 않을 경우 며칠 더 길어질 수 있는 이 협상은 HSU가 지난주 임금 협상 에 극적으로 참여함으로써 이루어졌다. 헤이스 사무총장은 라이언 파크(Ryan Park) 보건장관 이 "한 세대에 한 번뿐인" 협상이라고 언급한 급여 제안에 대해 정부가 "거짓
































































인프라 사업, 에너지 전환 사

업, 주택 건설 계획 등에 필요
한 인력이 수십 만 명이 부족하
다는 경고가 나왔다. 연방정부
가 이민자 수를 억제하겠다는
이민 전략을 발표한 지 하루 뒤
에 나온 보고서 결론이다.
인프라스트럭처 오스트레일
리아(Infrastructure Australia, 이하 IA)는 화요일(12일)
발표한 2023 시장 수용력 보
고서에서 "근로자 파이프라
인을 긴급하게 늘려야 한다"
고 밝혔다.
보고서에 따르면, 인프라/에 너지/주택 등의 사업을 감당
하려면 40만 5,000명의 인력
이 필요한데, 현재 호주가 채
울 수 있는 인원은 17만 7,000
명 수준인 것으로 나타났다.
모자란 인력이 거의 23만 명
에 이르는 셈이다. 정부 자문
기관인 IA는 인력 부족이 이러
한 프로젝트들을 "위협하고
있다"고 우려했다.
애덤 콥(Adam Copp) IA 최고
경영자는 "건축 자재・기술・
노동력의 수요와 건설 활동
이 사상 최고치를 기록하고
있다"고 밝혔다. 향후 5년 동
안 주요 공공 인프라 사업에
는 2,300억 달러가 투자된다.
호주 정부는 같은 기간 에너
지 인프라 투자 4배로 늘리고, 120만 채의 주택도 새로 지을 계획이다.
하지만 콥 CEO는 "안타깝게
도 우리는 이 야망을 현실로
만들 인력이나 자재가 없다" 고 말했다. 그는 "업계는 주요 건축 자재와 인력, 특히 엔지 니어, 숙련된 기술자(trades),


Sushi Izu Southport Park
Sushi Izu Elanora

현장 근로자를 구하기가 점 점 더 어려워지고 있다"고 설 명했다.
특히, 기술자와 현장 근로자 는 풀타임 기준 2024년까지 13만 1,000명이 부족할 것으 로 예상된다. IA는 건설 부문 인력을 끌어올 수 있도록 이 민 정책을 조정해 줄 것을 촉 구하는 동시에 장기적인 관점
에서 국가 인력 전략도 수립해 야 한다고 주장했다. IA 보고 서 발표 전날, 연방정부는 이
민자 수를 절반으로 줄여 정
상화하겠다고 공언한 새 이민 전략을 발표했다. 새 전략에 따라, 연방정부는 13만 5,000 달러의 소득을 올리는 외국인 근로자를 위한 전문 기술 비자 경로를 마련했다. 노동조합과 기업들이 대체로 이번 이민 전 략을 환영하면서도, 건설 업계 가 불만감을 나타내는 이유는 전문 기술 비자 자격 대상에서 기술자(trade)를 배제했기 때 문이다. 주택산업협회(Housing Industry Association)의 팀 리어든(Tim Reardon)은 정부의 이번 결정에 실망했
만들지는 않을 것이 라고 강조했다.

Seek 프리미엄 온라인 구인광고 아동 안전에 대한 전국적인 검토에 따라 보육 근무자들 이 업무 중 개인 핸드폰 및 아이패드 사용이 금지될 수 있다.
이러한 조치는 이미 많은 보육 시설에서 시행중인 권고사항으로, 검토 결과 는 각 주/준주 교육장관에 게 전달된 것으로 알려졌 다. 제이슨 클레어(Jason Clare) 교육장관과 앤 알리 (Anne Aly) 유아교육장관
은 올해 초 '호주 아동 교
육 및 보육 품질 관리 기관 (ACECQA)'에 보육 시설의
아동 안전 대책을 검토하
도록 지시했다. 이러한 지 시는 클레어 장관이 호주
전역 및 외국 어린이집에
서 91명의 여아에게 최악의 아동성범죄를 저지른 전 보 육 직원 애슐리 폴 그리피 스(Ashley Paul Griffith)의 혐의에 관한 연방경찰 브리
핑을 받은 후 내려졌다.
이번 검토는 어린이와 함
께 일하는 사람에 대한 확
인 절차, 의무 보고, 각 주와
준주 간 기록 보관 및 정보 공유의 효과에 관해서 조사 했다. 전국 교육 장관 회의 에서 논의된 이 검토의 권 고 사항 중에는 근로자 채 용 및 등록 강화에 관한 새 규정이























































60만 명 이상의 장애인을 지
원하는 국가장애인보험제도 (NDIS)가 '지속 가능함'을 위
해 긴급 개편이 필요하다는
중요한 보고서가 나왔다.
연방정부는 빠른 속도로 증
가하는 NDIS 비용을 억제하
기 위한 계획을 마련해야 한
다는 압박을 받아왔다. 올해
초 전국 내각이 2026년부터
비용 증가율을 8%로 제한하
기로 합의한 이유다. 이 제도
에 대한 1년간의 조사 끝에 목
요일(7일) 발표된 이번 보고서
는 앞으로 5년 동안 시행할 필
요가 있는 26가지 권고사항을
담았다.
이번 검토의 초점 중 하나는 NDIS의 '원래 목적을 되찾자' 다. 복합적인 요구가 있는 장
애인과 "의학적 진단보다는 기능적 장애" 당사자를 위한
지원에 초점을 맞추자는 것 이다.

보고서는 특정한 의학적 진단
에 따라 NDIS에 자동 가입할 수 있도록 하는 "불공평한" 대
상 목록을 없애야 한다고 제
안했다. "심각한 기능 장애"를
증명한 경우에만 가입할 수 있도록 바꾸어야 한다는 요구 다. 저자들의 중요한 결론은 NDIS를 포괄하는 더 큰 장애
지원 서비스 체계다. '사막의 오아시스'처럼 돼버린 NDIS 에 접근할 수 없는 장애인도 잘 갖춰진 사회 안전망이 필 요하다. 현재 63만 명 이상의 호주인이 NDIS에 가입돼 있 다. 그런데 NDIS에 가입되어 있지 않은 장애인은 약 440만 명에 이른다.
보고서는 "NDIS 내부와 외부 에 있는 장애인 간에 부당한 격차가 있다"며 향후 5년 동안 각 정부의 'NDIS 외 장애 서비 스 및 지원 구축'을 촉구했다. 보고서는 3단계 장애인 지원
시스템(three-layered system)을 제시한다. 1단계는 가 장 절실한 사람을 대상으로 NDIS를 통한 개별 지원을 제 공하는 것이다.
2단계는 NDIS 참가자가 아닌 장애인에게 '기초 지원'(foundational support)을 제공한 다. 청소 및 요리 지원, 아동 조기 지원, 청소년 지원


국가 장애인 보험제도 (NDIS) 비용 절감에 지지하
는 호주 시민들의 움직임이
늘고 있다. 반면 주정부 지
도자들은 10년간 720억 달
러의 NDIS 비용을 절감하
려는 정책에 반발하고 있
다. 수개월에 걸친 제도 비
용 통제에 대한 논쟁 끝에
유권자의 43%가 연방 노
동당의 지출 목표를 지지했
다. 이는 5월의 37%에서 증
가한 수치이다. 연방 정부
는 향후 10년 동안 NDIS 지
출 증가율을 연 8%로 제한
하고자 하지만 주총리들은
도움이 필요한 사람들을 위
해 교육 및 보건 체계가 더 많은 지원을 제공해야 한다
고 주장하며 반대의견에 목 소리를 내고 있다.
빌 쇼튼(Bill Shorten) 정부 서비스장관은 올해 4월, 지
출 목표를 발표하고 각 주
정부의 지지를 받았지만, 지난 며칠 동안 회의에서
절감 목표를 달성하기 위한
실질적인 방안에 대한 비판
을 받기도 했다. 지난 6일, 다양한 목소리를 등에 업은
앤소니 알바니지 총리는 전
국 내각 회의를 통해 메디
케어 지원 확대 및 보건 시
스템을 강화하고, 국가장 애인보험제도(NDIS) 비용 의 안정성을 보장하기로 결 정했다. Resolve Political Monitor(정치여론조사 기 관)는 11월 29일부터 12월 3일까지 1605명을
과를 도출했다. 기관은 다 음과 같은 질문으로 조사를















































