































































































































































































































































































































































































































































































![]()
































































































































































































































































































































































































































































































by
eARTh on view / 브런치
제이디 차 스페이스K 서울 개인전
"나의 작업은, 문화의 중심추가 어떤 것인지에 대한 획일화된 개념에 대항하는 것이다."
- 제이디 차
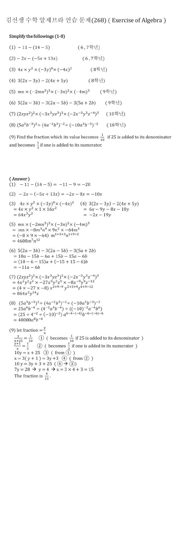
런던에서 활동하는 한국계 캐나다인 작가 제이디 차 (제공: 스페이스K 서울)



스페이스K 서울, 제이디 차(Zadie Xa) 개인전〈구미호 혹은 우리를 호리는 것들 이야기〉전시 전경
코오롱 문화예술 나눔공간 스 페이스K 서울이 여름을 맞이 해 우리를 호리는 동물을 화 폭에 그려낸 제이디 차(Zadie Xa)의 국내 첫 개인전을 선보 인다. 'Xa'라는 국적을 쉽사리 유추하기 힘든 성을 앞세워 런
던을 기반으로 활동하는 작가
는 조각, 그림, 빛, 소리, 퍼포
먼스 장르를 아우르며 시각적 경험을 수놓아 왔다. 한국계
이민 2세대 캐나다인으로 겪 어온 경험을 바탕으로 혼종의
정체성, 타자성을 탐구하고, 생태학, 공상 과학, 고대 종교
등 분야에서 영감을 받아 작업
해오고 있다.〈구미호 혹은 우
리를 호리는 것들 이야기〉라
는 제목으로 열리는 이번 전시
는 한국 문화와 설화에서 얻은
소재를 자신만의 방식으로 풀
어낸 작품 33점을 소개한다.
전시장에 들어서면 해태를 탄
마고할미와 한국 전통 누비 기
법을 활용해 색상이 돋보이는
보자기 작업 두 점이 마치 미
지의 세계를 지키는 수문장처
럼 자리하고 있다. 사방 프레
임으로 제작하기도 했다. 그
너머로 다채로운 색채로 꾸며
진 미로 구조물에는 한국 전통
샤머니즘에 대한 관심을 신비
롭게 풀어낸 작가의 그림들이
곳곳에 자리하고 있다. 위에서
관람객을 조용히 응시하는 작
은 꼭두 조각들의 그림자는 우
리를 또 다른 차원으로 이끄는
듯하다. 신화적 상상력 뒤에
현대 사회에 대한 통렬한 풍
자를 더한 제이다 차의 작업
에는 시각예술가와의 긴밀한
협업도 큰 몫을 한다.

2006년부터 작가와 함께한 베니토 메이어 바예호는 미로
공간, 사당 혹은 제단과 같이 지어진 구조물, 조각보 색면 이 연상되는 카펫 등 전시 디 자인 및 설치에 이르기까지 성 공적인 협업을 이어 나간다.
텍스타일의 활용은 수년에 걸쳐 제이다 차의 작품 세계
에서 중요한 축으로 자리 잡 아 왔는데, 2019년 베니스 비 엔날레에서 그녀의 퍼포먼
스 <마고할미(Grandmother Mago)>를 처음 만난 디올의
아티스틱 디렉터 마리아 그라 치아 치우리에게도 영감을 주 었다. 런던 화이트채플 갤러리
에서 지난 4월 30일 막을 내린 <Zadie Xa: House Gods, Animal Guides and Five Ways 2 Forgiveness> 개인전은 이
러한 조우 덕분에 디올이라 는 든든한 스폰서를 얻기도 하였다.
작가는 한국 전통 설화의 구 미호, 마고할미, 바리공주 캐 릭터와 여성이 주도해 온 한국 전통 샤머니즘에 대한 관심을 기묘하고 아름다운 색채를 담
아, 회화와 조각, 설치 등으로 풀어낸다. 한국의 민속 신화 에서 모티프를 삼아, 아름답 지만 부정적인 존재로 인식되 는 ‘구미호’를 수호자 혹은 지 혜로운 할머니의 모습으로 선 보여 과거 서구나 점령국들에 의해 지워지고 억압된 이야기 들을 재조명해 온 스토리텔링 형식의 작품세계를 이어 전개 해 나간다. 현실에서는 크게 위협적이지 않은 갈매기, 까마귀, 여우, 더 불어 자신이 키우는 반려견과 쏙 빼 닮은 동물 등을 위풍당 당한 모습의 숭배 대상으로 탈 바꿈 시킨다. 제이디 차는 작 품에서 나이 든 여성을 우주 만물을 지어낸 창조신(마고할 미) 혹은 인간의 탄생에 관여 하는 존재(삼신할미)로 그려 마녀나 노파같이 부정적인 존 재나 무기력하고 소외된 인물 이 아닌 지혜와 통찰을 겸비한 신으로 묘사한다. 서사의 형식

트릭스터, 잡종, 짐승(Tricksters, Mongrels, Beasts), 2023, Oil on canvas, 600 x 240 cm(Triptych)




















by 심연 / 브런치
통장을 합치고, 말고는 중요한 게 아니다

너희 집은 돈관리 누가 해?
기혼남녀들이 많이 듣는 질문
중 하나가 바로 돈관리 방법
에 관한 것이다. 특히 결혼한
지 얼마 되지 않은 신혼부부
사이에서 이는 굉장히 민감한
주제기도 하다. 왜냐하면 경
제권은 결혼생활의 주도권을
누가 잡고 있냐 와 밀접한 관
련이 있기 때문이다.
예전에는 결혼을 했으면, 통
장도 하나로 합쳐서 결혼시
켜야 한다고 했다. 그래서 우
리 부모님 세대 때만 해도 아
내가 돈 관리를 하고, 남편이
용돈을 받아쓰는 집이 많았
다. 하지만 요즘은 분위기가



다르다.
요즘 젊은 부부들은 각자의
프라이버시를 존중해 월급 통
장을 따로 관리하는 집이 많
다. 공금 지출 목적으로 만든
실제로 내 주변의 30대 초반 부부 중에서는 통장을 합친
사례가 거의 없다. 곧 결혼을 앞둔 친구 역시 생활비통장은 만들되 통장은 합치지 않는다 고 했다.
를 당한다. 돈을 모으는 목표
를 함께 설정하고, 그 목표를 향한 세부 계획도 함께 정해 야 한다. 그래야 돈을 모으는 그 길고 힘든 고행의 과정을 함께 잘 이겨낼 수 있다.
생활비 통장에 매월 일정금액 을 입금하는 의무를 다하면,
그 외 수입과 지출을 터치하
지 않는 것이다.















"통장을 합쳐야지 돈을 빨리
모아"
주변에서는 통장을 합쳐야 돈을 빨리 모은다고 한다. 맞 는 말이다. 통장을 따로 관리 하는 것보다 한 사람이 가계
의 모든 수입을 관리하면 훨
씬 효율적으로 돈을 모을 수
마지막 세 번째는 정기적으로
가계 재무 상황에 대해 소통
하는 시간을 가져야 한다. 통
장을 하나로 합치면 생기는
치명적인 단점은 바로 돈관
리를 하지 않는 사람은 집이
돌아가는 상황에 무관심해지
고, 무지해진다는 거다. 한 사



있다. 하지만 여기엔 전제조 건이 붙는다.
먼저, 경제권을 누구에게 줄 것인지 의견이 합치돼야 한
다. 단순히 주변에서 돈관리
를 여자들이 많이 한다며 아
내에게 주는 건 바람직하지
않다. 경제권은 둘 중 돈 관리
능력이 뛰어난 사람이 가져가
야 한다.
람만 가계 운영의 모든 걱정 과 짐을 떠 앉고 있으면, 나 홀 로 천하태평인 배우자가 원망 스러워질 수 있다.
이쯤 되면 느꼈겠지만, 단순 히 통장을 합치는 건 돈 모으
는 데 큰 도움이 되지 않는다.
오히려 어설픈 통장 합치기
로 가정의 불화를 불러올 수 있다.
이름표가 붙어있지 만, 그 안의 돈을 네 돈, 내 돈 이라고 구분 짓지 않는다. "돈을 어디에 썼길래 잔고가 없냐"며 따져 묻지도 않는다. 서로가 불필요한 지출을 하 지 않는 사람이라는 것을 알 기 때문이다. 한 지붕 아래에 서 돈이 왔다 갔다 하는 내부 경제로 잔고가 바닥을 보이지 않으니 비상금을 만들거나, 뒷주머니를 찰 필요도 없다. 그러다가 큰돈이 필요하면 그 때 서로 통장을 오픈한다. 따 로 관리해도 많은 돈을





절약은 물론이거니와 돈을 불
릴 수 있는 재테크 능력과 리
더십까지 겸비해야 한다. 의
견을 합치되지 않고, 어영부
영 경제권 주체를 정하게 되
면 부부 사이여도 '어디 한 번
잘하나 두고 보자. 실수하면
내가 경제권을 빼앗아 올 거
야'라는 마음이 싹틀 수 있다.
그리고 두 번째, 전체적인 큰 그림은 부부가 함께 그려야
한다. 경제권을 넘겨줬으니 '알아서 돈을 많이 불려'라고
책임을 전가하거나, '그냥 믿
고 맡겨'라며 배우자의 의견
을 듣지 않으면 나중에 큰 화
“
신뢰의 경제학 '신뢰의 경제학'은 거래를 할 때 서로 간의 신뢰가 있다면
불필요한 사회적 비용을 줄일
수 있다는 뜻이다. 주로 기업
에서 많이 쓰는 용어지만, 부
부 사이에서도 신뢰가 있다
면 불필요한 많은 비용을 줄
일 수 있다.
우리 부부는 돈을 각자 관리 한다. 하지만 생활비통장은 없다. 매월 고정적으로 나가 는 주거비용과 공과금 등은 남편





얼마 전 친구 S에게 문자가 왔
다. 잘 지내냐는 안부와 더불
어 아이 학교 담임선생님으
로부터 받은 학습태도 피드
백으로 인해 마음이 힘들었음
을 주된 내용으로 하는 장문
의 문자였다. S와는 두세 달에
한 번씩 얼굴 보는 사이인지
라 아이에 관한 이야기는 자
주 들었었다. S는 조금 느린
아이를 키우며 일상에서 고군
분투하고 있었고, 문자 맨 마
지막에는 이렇게 적혀있었다.

너한테 연락을 하는 이유는
나보다 단단한 너에게 응원을
받고 싶어서야.
'단단한'과 '응원'이라는 단 어를 보고 과연 내가 단단한 사람인가?라는 물음표가 먼
저 떠올랐다. 주변인 말에 쉽
게 흔들리지 않는 나에게 종
종 단단하다고 표현하는 S였
다. 단단한 내가 어떤 응원을 건네면 좋을까 순간 고민이
되었다. 문맥상 '응원'보다는
'위로'가 적합하다고 생각되
었지만, 응원을 받고 싶다는
것은 S의 마음과 생각에 대
한 지지가 필요한 것이겠구
나 하는 생각이 들었다. 그리 하여 이번엔 묻지도 따지지
도 않고 무조건 S 편을 들어
주기로 마음먹었다. 우선 학
부모로서 제일 무섭다는 담임
선생님 전화를 받고 힘들었을
친구의 마음을 알아주어야겠
다는 마음이 앞섰다. 느린 아
말을 전해왔다.
S에게 응원의 말을 건네고 고
맙다는 말을 들었지만 되려
내가 고맙기도 했다. 힘든 순
간 내가 생각난 것도. 바로 연
락을 해준 것도 고마웠다. 한
편으로는 든든한 마음도 생겼
다. 나 또한 응원이 필요한 순
간 연락할 친구가 한 명 더 생
긴 것 같다는 뿌듯한 마음이 들었다. 그렇게 우린 마치 편
지를 교환하듯 장문의 문자를
짧게 주고받고 또다시 각자의 일상으로 돌아갔다. 좋지 않
은 일로 인해 마음이 힘들어
지면 자기혐오의 순간을 겪을
때가 있다. 온 힘을 다해 최선
을 다했음에도, 나만의 철학
을 갖고 줏대 있게 꿋꿋이 해
왔음에도 마법에 걸린 듯 그
런 순간들이 불쑥 찾아온다. 엄마라는 위치에 서있다 보면 더욱이 자기혐오에 빠지기가 쉽다. '모두 나 때문인가 봐.




더불어 OO이의 엄마가 너여 서 참 다행이라며 무한 긍정
의 말을 건넸다. 저녁 9시 반
경 답장을 한지라 다음 날 아
침 일찍 회신을 받았다. "어쩜
이리 군더더기가 없니!" 라면 서 내게 힘을 얻어 고맙다는
이 기질과 성향을 고려하여 아이 속도에 맞게 키우려 노 력 중이지만 아이가 해나가야 할 과제가 밀리고 있는 느낌 을 지울 수 없다는 S에게 지금 껏 엄마가 잘 이끌어줘서 이 만큼 잘 온 것이다라는 말과
내 잘못이야. 그때 그렇게 했 었어야 했는데...' 하며 죄책감 과 자기 의심을 하기 시작하 고, 종국에는 자기혐오로 이 어지기도 한다. 이 시기가 오 래되면 일상이 피폐해지며 우 울감을 겪기도 한다. 만약 내가 S였다면

염색 자주 하면 정말 시력이 나빠질까?



물질을 배합하여 머리카락 에 염료가 잘 스며들게 합




기분 전환용이나 혹은 새치 염색을 위해 주기적으로 염 색하는 사람들이 많습니다. 혹시 염색을 하면 시력이 나 빠진다는 이야기 들어보신
적 있으신가요? 실제로 염
색 후 눈이 불편하다는 사람
이 많고 눈 건강이 좋지 않
거나 눈 수술을 앞두고 있
다면 염색 계획을 미루기도



합니다. 염색약이 직접 눈에
닿지 않아도 시력 등 눈에
나쁜 영향을 미칠까요?
염색약은 여러 가지 화학
니다. 암모니아, 과산화수 소, 파라페닐렌디아민 등이
대표적인 물질인데요, 암모
니아는 강한 알칼리성 물질
로 머리카락 내부에 염료가 잘 들어갈 수 있도록 돕고, 과산화수소는 모발의 멜라
닌 색소를 파괴하여 탈색
시키는 역할을 합니다. 그
런데 이러한 물질들은 휘발 성이 강해 공기 중으로 날 아가 염색 도중 눈을 자극 할 수 있습니다. 이러한 눈






















































밥상을 참고한 유 튜브
해야할까?
만들어 놓고 이름 짓기로 많
평소 많은 레시 피를 참고하고 잇는 '메리니 즈부엌'이라는 채널이다. 처 음 오늘 메뉴의 동영상을 봤



by
아침아빠 / 브런치

을 때 근사한 비주얼의 감자 요리임에도 조리 과정이 아
주 간단해 도전을 생각해 보 게 되었다. 그런데 한편으로 이 간단한 조리 과정 중에 내 가 놓치고 있는 어려움이 숨
어있지는 않을지 걱정이 되었
다. 하지만 아무리 여러 번 동 영상을 반복해서 보아도 의외 의 난코스가 발생할 포인트를
잡을 수 없었다.(물론 직접 조 리를 했을 때만 그것이 보인
다는 게 문제 이긴 하지만 말 이다.) 그래서 그동안 '메리니
즈부엌' 채널의 요리들로 많
은 의외의 성공(?)을 달성했
던 경험치를 믿고 도전하기로 결심했다.
조리 과정은 감자 2개를 적당
한 크기로 잘라서 전자레인지
에 6분 정도 익히고 으깬 뒤
버터를 넣어 섞고 계란 2개와
우유를 넣고 섞은 다음 케이 크틀이나 오븐용기에 담아서
구워주면 끝나는 레시피다.


어찌 이렇게 간단한 레시피로
맛있는 감자케이크가 탄생한
단 말인가? 다만 유튜브영상




에서 활용한 케이크 틀이 없
어서 나는 파이 틀을 활용했
다. 그래서 모양이 파이 모양
이고 이름은 '감자파이'로 결
정했다.
그렇게 완성된 '감자파이'를
아침 밥상에 올리면서 나는
오늘 메뉴의 이름을 정확히 '감자파이'라고 분명히 설명 했는데, 아내는 생긴 모양을
보고 치즈케이크라고 인식한
것 같다. 아내는 한 입 먹어보
고는 "어? 빵이 아니었어?"라
고 말했다. '나의 설명이 부족
했을까? 파이라고 했으니 빵
으로 오해할 수도 있겠다'라



는 생각이 들어서 다시 설명 했다. "오늘 메뉴는 파이 모양 을 한 감자요리로 밀가루는 들어가지 않아서 빵은 아닙니 다." 너무, '투머치' 파이처럼, 빵처럼 생겨서 이렇게 자세 히 설명을 해야 하다니, 내가 모양을 '너무' 잘 만들어서 이 런 일이 생긴 것일까? 나의 조 리 실력에 스스로 감탄(?) 하 면서 아침을 먹는다.
다행스러운 것은 딸은 처음부 터 빵이 아니고 '감자요리'로
42번째 아침 밥상 '노 밀가루 감자파이' (난이도 下) 소요시간 : 40분
[재료]
감자 2개 (300g), 소금 1/2 작은술, 무염버터 30g, 계란 2개, 우유 30ml, 치즈
[레시피]
❶ 감자는 적당한 크기로 잘라서 보울에 소금 1/2 작은술과 함께 넣는다.
❷ 보울에 물을 약간 넣은 뒤 전자레인지로 감자를 6~8분 정 도 익힌다.
❸ 익은 감자를 곱게 으깨준다.
❹ 으깬 감자에 버터 30g과 계란 2개를 넣고 섞다가 우유 30ml를 넣고 섞어준다.
❺ 케이크 틀, 파이 틀, 오븐용기 등 집에 있는 오븐 사용 가능 한 그릇에 버터를 바른 뒤 감자 반죽을 붓는다. ❻ 180도로 예열된 오븐에 25~35분 정도 구워준다. (오븐마 다 차이 있으니 꼭 지켜볼 것)
❼ 조리가 끝난 감자파이를 접시에 담고 감자파이 위에 치즈 를 토핑 하여 아직 식지 않은 오븐에 넣어 녹인다. ❽ 적당히 녹으면 꺼내서 먹는다.
[Tips!] - 감자가 잘 으깨지도록 미리 전자레인지에 익히는 과정을 거


by 나는 누군가 / 브런치
작가의 삶이 스쳐 지나가는 듯 홀로 살아가는 섬세함
만 여러 가지 조건에서 그런 삶을 살 것 같지는 않아 보였다. 싱글
홀로 잘 살아내는 것이 더 중요한 시대가 되어가는 요즘 어떤 관점으로 삶을 바라봐야
하는지에 대한 고민을 풀어내는 것이 영화로 나오고 있다. 글을 쓰는 사람들은 주기적
으로 앓게 되는 병이 있다. 제대로 글을 쓰는 사람이라면 글몸살이라는 것을 앓게 되는
데 마치 그것을 업으로 먹고사는 사람들이 주기적으로 겪게 되는 것이기도 하다. 아플
것을 알면서도 하지 않으면 못 견디는 글에 대한 묘한 매력과 도전 그리고 과거 자신을
넘어서고 싶다는 욕심 같은 것이 몸을 힘들게 만들기도 한다.
논술강사로 일하면서 서울에서 혼자로서의 삶을 살아가고 있는 인플러언서이면서 영
호는 나한테 딱 맞는 사람은 나밖에 없어, 싱글이 답이다라는 가치관으로 살아가고 있
다. 혼자 걷고, 혼자 먹고, 혼자 하는 것을 선호한다. 쿨 해 보이기는 하지만 그에게는 그
런 삶을 살게 해 주는 과거가 있었다. 이제 그는 책을 쓰기 위한 도전을 하기 시작한다. 그를 옆에서 도와주며 혼자가 되기 싫은 나름 유능한 출판사 편집장인 현진은 말 그대
로 편집하는 것을 제외하고 모든 것이 엉성한 여성이다.

괜찮은 싱글이 되기 위해서는 자신만의 전문직업이 필요하며 안정적인 측면과 프리한 것이 같이 어우러져야 자신만의 삶이 만들어진다. 영화는 엉성했던 과거의 연애를 하
면서 자신만을 위해 돈을 쓰면서 살지 못했다. 시간이 지나고 보면 어릴 때는 엉성하고
어딘가 부족해서 맛있는 연애를 하지 못했고 시간이 지나고 보면 그런 준비는 되어 있
는데 재료가 부족한 것은 왜일까. 물론 영화 속에서 영호는 그런 연기를 잘 보여주었지


전체적으로 따뜻한 톤을 유지하고 있다. 혼자이지만
당시 그의 설익음을 뒤로하고 이별한 채 어디든 가고 싶은 곳이 생기면 모든 것을 뒤로하고 떠난다거나 여기저기 떠돌다 바르셀로나에

해 보이고 자신의 삶에 100% 만족하는 것처럼 보이는 영호는 자신의 허술한 부분을 포장 하는 것이 보인다. 자신의 속내는 감춘 채 완벽해 보이고 싶은 남자의 허세가 조금 보인다고 할까. 그래서 그가 생각하는 첫사랑의 모습은 다른 형태로 기억이 되고 있다. 책이 너무 좋아 서 편집장을 하고 있는 현진은 솔직한 사람이다. 그래서 남자의 모든
가지고 있다.

홍작가는 자신만의 라이프 스타일을 만들어가면서 살아가는 인물이다. 경복궁, 남산, 익선동, 잠수교, 광화문 등 서울을 상징하는 명소의 낮과 밤의 풍경 속에 차갑지만 따뜻한 서울이 만 들어진다. 집의 인테리어에서도 차이가 있는데 무언가 갖출 것은 다 갖춘 것 같지만 차갑고도 공허한 영호의 집과 소박하지만 편안하고 따뜻한 분위기의 현진집이 대비가 된다.

글을 쓰는 사람으로 책을 준비하는 남자와 책을 도와주는
었다. 책은 혼자 쓰는 것이 아니라 함께 만들어가는 것이기도 하다. 책을 쓰는 사람은 있지만 그 책이 공감을 이끌어내기 위해서는 자신과 다른 관점으로 볼 수 있는 사람이 필요하다. 같 은 내용도 어떻게 표현하느냐에 따라서 매력이 전혀 달라질 수 있기 때문이다. 영화는 전체적 으로 따뜻하면서 유쾌한 유머도 있어서 가볍게 감상할 수가 있다.
















by 리빙워터
/ 브런치
아이 두 명 장단점 비교


















자녀 한 명과 두 명은 하늘과 땅 차이다.





육아의 진수는 둘째부터다. 두 배가 아닌 세제곱으로 힘들다.



둘째가 태어난 후 1년 반의 시간을 돌아보며 두 명 육아의 장, 단점을 3개씩 뽑아봤다.
01. 예측불가능 자녀가 생기면 삶의 중심이 내게서 아이로 바뀐다. 가장 크게 느낄 때가 중요한 약속(결 혼식 등)을 취소할 때다. 꼭 중요한 날이 있을 때 아이가 아프다. 약속을 취소한 당일 집 에 있으면 앞으로 돌발상황은 늘 생각하고 계획해야겠구나 다짐한다. 근데 두 명이 되면 매 순간이 돌발상황이다. 약속은 커녕 당장 언제 잘 수 있을까만 생각한다. 순간이 영원 같고 빨리 하루가 지나갔으면 하는 생각만 든다.
02. 훨씬 높은 강도의 육아
연년생의 요구조건은 상상을 초월한다. 혼자 있을 때면 아내와 내가 돌아가며 담당 가 능했다. 물 달라하면 아내가 물을 주고 기저기는 내가 가는 등 여유롭게(때론 재밌게) 육아했다. 그러나 두 명이 되는 순간 전투로 내몰린 병사가 된다. 아침 30분 과업이 대 충 이렇다.
첫째 물컵 대령 - 둘째 기저귀 갈기 - 첫째 밥 먹이기 - 둘째 물컵 대령 - 첫째 반찬 투 정 훈육 - 둘째 밥 먹이기 - 첫째 화장실 - 둘째 음식 던지기 대응 - 첫째 씻기기 - 둘 째 옷 갈아 입히기 - 음식물 치우기(식탁 아래 위로) - 설거지 - 등원 준비 간단히 말해 일이 너무너무 많다. 03. 아이들 간 싸움
고전했고 예상치 못했던 부분이다. 아이들끼리 싸우면서 크는 거지 뭐 라며 쉽게 생각했었다. 근데 이게 보통일이 아니더라. 싸우고 울고 하는 건 어찌어찌 대응하는데, 문제는 중재 및 훈육이다. 누가 잘못했고, 사과시키고, 벌을 주고 하는 과정이 참 힘겹다. 가장 힘든 건 이런 훈육이 하루에 몇 번씩 반복되는 거다. 어떨 땐 진이 빠지고 아무 대 응도 안하고 싶어진다. 카페에서 자매가 엄청 싸우는데 엄마아빠는 아무 일 없다는 듯 휴대폰만 보던 게 기억난다. 그때는 어떻게 저럴 수 있지 했는데 요즘은 그 부모의 마음 이 공감된다.

























01. 시끌벅적 집 분위기 영국에서 지낼 때 가정집에 초대받아 간 적 있다. 집에 들어서자마자 느낀 건 고요함이 었다. 심지어 5명 식구였는데 식사-대화-후식-게임(영국인들은 실내놀이의 대가들이다) 까지 모든 게 조용하게 흘러갔다. 기침소리도 민망할 정도로. 우리 집은 그 반대다. 문을 열고 들어가는 순간부터 청각보호모드로 전환해야 한다. 뛰어다니는 두 아이와 고함소 리, 웃음소리, 울음소리 등 갖은 소리가 난무한다. 근데 난 이게 참 좋다. 생명력이 역동 치며 날아가는 광경을 보는 것 같다. 물론 내 생명은 깎이고 있지만.
02. 자매 간 Interaction
둘째가 좀 크고나서부터 둘이서 묘한 케미가 흐르기 시작했다. 한 번은 둘째의 웃음소리 에 가보니 첫째가 둘째를 굴리며 놀고 있더라. 더 웃긴 건 둘째가 그게 좋다고 깔깔 웃는 거다(참고로 둘째는 언니 바라기다) 둘이 같이 있으면 늘 긴장상태로 대기조처럼 지냈 는데(첫째가 둘째를 많이 꼬집고 때렸다) 그때 처음 내 온몸이 이완되며 편안하게 둘의 케미를 감상했다. 아 이래서 둘 이상은 낳으라고 하구나
03. 단단한 가족
첫째가 태어나면서 진짜 가족이 된 느낌이었다. 둘만의 연애, 결혼생활이 끝나고 새로운 챕터가 열렸다. 우리 세 사람을 잇는 보이지 않는 실이 생겨 새 로운 관계가 태동한 것이 다. 말할 수 없는 안정감과 기쁨을 느꼈다. 둘째가 태어나니 이 관계가 더 단단해 졌다. 깊은 곳까지




















by 성준 / 브런치
로또 3등에 대해 알고 있습
니까?
6개의 숫자 중 순서에 관계
없이 5개의 숫자를 맞춰야 합
니다. 당첨확률은 1/35,724
퍼센티지로 변환하면 대략
0.0028% 의 확률이 됩니다.
당첨금액은 대략 100만 원
에서 200만 원 정도의 금액
입니다. 여기에서 단 하나
의 숫자를 더 맞추면 어떻
게 되는지 아십니까? 바로
로또 1등이 됩니다. 확률은
1/8,145,060로 퍼센티지로
약 0.00001227% 가 됩니다.
당첨 금액은 요즘은 대략 10
억에서 20억 사이정도가 됩
니다. 한마디로 대박이지요.
일전에 전 로또 3등에 당첨된
적이 있습니다. 고향집에 다
녀오며 아무 생각 없이 자동
으로 고른 복권이 숫자 5개가
맞아 3등이 되었지요 그 순간
얼마나 놀랐던지 말도 못합
니다. 번호를 맞춰가는데 손
이 덜덜덜. 조금 더 과장하면
침까지 흘릴 뻔 했습니다. 세
상을 다 가진 듯한 그 감동은
딱 5분 갔습니다. 5분이 지난
후부터는 얼마나 아쉽던지.
마치 내 돈 10억을 빼앗긴 사
람처럼 억울함 마저 들었습니 다. 사람의 마음은 간사합니
다. 3등 당첨금 130만 원을 찾
으러 가서도 축하드린다는 은 행원의 말에 속으로는 '내 돈 10억을 빼앗겼습니다.'라고 외쳤습니다.
엊그제 고독사한 남자의 이야
기를 들었습니다. 유족마저도
고인의 유해를 인도받기 거부
해 무연고자로 장례를 치르 게 된 남자의 이야기입니다.
그 남자는 5평 남짓의 원룸
에 살고 있었습니다. 보통 고
독사한 남자들의 방에는 술병
이 뒹굴기 마련인데, 남자는
술병 대신 박스 안을 가득 메
운 로또 영수증이 가득했다고
합니다. 박스 위쪽에는 2등 당
첨금 4,400여 만원을 수령한
영수증도 있었습니다. 남자는
로또 2등에 당첨된 이력이 있
었습니다. 보증금 200 만원에
월세 30의 방에는 어떠한 사
치품이나 변변한 가구마저 없
었기에 도대체 그 당첨금을
어디에 쓴 것일까 의아했던
청소부는 로또 용지를 보고
알아챘습니다. 남자는 2등이
당첨된 그 이후부터 매주 수
십만 원에 가까운 로또를 구
매한 것입니다. 그 남자도 나
와 같은 생각을 했을까요? 아
마 그 남자 역시 1등 당첨금을
빼앗겼다는 생각이 들었는지
모릅니다. 숫자 하나만 더 맞
으면 된다. 숫자 하나만 더!라
는 생각에 남자는 2등 당첨금
을 모조리 로또에 다시 쏟아
부었던 것입니다.
숫자 하나만 더!!!!!
그렇게 남자는 모든 당첨금을










소진하고 5평의 원룸에서 홀 로 죽어갔습니다. 보증금 200 에 비하면 4,400만 원의 금액 은 굉장히 큰돈입니다. 그 돈 으로도 남자는 행복하지 못 했습니다. 오히려 빼앗겼다
는 망상에 사로잡힌 것인지 모릅니다.
우리는 노력에 비해 큰 행운
이 경험하게 되면 결과의 가
치를 과소평가합니다. 힘들게
번 하루 일당을 손쉽게 날리
기는 쉽지 않지만 길을 가다
주은 지폐는 내 지갑에 머물
지 못하곤 합니다. 행운에는
우리의 노력과 가치가 담겨
있지 않습니다. 원래 없었던
돈이기에 지출하는데 큰 고민
을 하지 않습니다.
어차피 없던 돈인데 뭘...
그리고 또다시 그 행운이 내
게 올 것이라 믿게 됩니다. '내
게 한 번 왔는데 두 번 오지 말
라는 법이 있을까' 싶지요. 우
연으로 맞은 행운을 다시 접
하기 위해 그날의 우연을 반
복하기도 합니다. 당첨된 장
소에서 당첨된 요일과 시간을
정해 다시 반복하며 또다시
그런 행운이 일어나기를 바라 지요. 앞에서 말했지요 로또 3등의 당첨 확률은 0.0028% 정도의 확률이라고. 내게 다
시 일어날 일은 없습니다. 하
지만 한 번 경험한 일은 다시 일어날 수 있다는 의도적인 믿음이 발생합니다. 그리고 집착을 하게 되지요.
저도 한동안 그랬습니다. 로 또를 샀던 장소를 같은 요일, 같은 시간에 방문해 또다시 3 등의 아니 3등 이상의 행운이 따르기를 아주 이상한 방법으 로 노력했습니다. 한동안 이 어졌던 나의 저주는 로또 판 매점이 이사를 가면서 다행히 도 사라졌습니다.
로또 판매점이 사라지면서 저 는 묘한 상실감을 느꼈습니 다. 마치 1등으로 가는 티켓을 놓친 것 같았습니다. 삶의 공 허함마저 느껴졌습니다. 1등
이었으면 지금의 문제를 모두 해결하고도 남아을 텐데.
생각할수록 후회가 되었습 니다. 심지어 내가 고른 숫자 도 아닌데 말이죠. 저주였습 니다.

무엇을 해도 로또 1등에 비하 면
이

꾸준히 챙겨 먹으면





토마주르는 토마토와 아주 르의 합성어로 ‘지중해의 맛’이라는 의미를 담은 품
종이다. 일견 방울토마토와
비슷해 보이지만, 방울토마
토의 달큰한 맛과 토마토의
시큼 달달한 맛은 찾아볼 수
없다. 달콤함과 시큼함을 빼 고 토마토 본연의 풍미를 보
다 강하게 느낄 수 있는 품
종이라 정리할 수 있다. 방
울토마토와 홀 토마토의 중 간 정도의 사이즈를 가지고
있는, 탁구공만 한 크기의
토마토다.
찰토마토는 유럽에서 온 붉 은 토마토가 아니라, 예전 부터 우리가 즐겨 먹던 동
양계의 분홍색 토마토 품 종이다. 주산지는 부산, 경 남 김해, 강원 춘천, 충남 부여, 광주광역시 등 전국 에 고루 분포돼 있다. 착색
기의 찰토마토는 과육이 단 단하고, 유통 과정에서 후
숙하기 때문에 유통 기간도 긴 것이 장점으로 꼽힌다. 찰토마토라는 이름이 붙은 것은 토마토를 절단했을 시 내용물이 흘러내리지 않을
정도로 찰기가 있기 때문으 로 전해진다. 흑토마토는 이름 그대로 약 간 검은색을

퇴근 길, 핸드폰이 울렸다. 화
면에 '사랑하는 엄마♡' 라고
적혀있었다. 운전 중이었기에
차가 멈출 때 까지 기다리느
라 조금 늦게 전화를 받았다.
이내 엄마의 반가워 하는 목
소리가 들렸다.
'어디야?'
'응, 지금 톨게이트 들어섰 어. 5시 50분쯤 도착할 것 같 은데?'
'오, 그래? 잘됐다. 그럼 잠깐
집에 들를 수 있어?'


'.. 어? 으..응! 알았어. 집까지
가는데 차 많이 밀리진 않겠
지?'
사실 들르기 싫었다. 최근 급
격히 늘어난 차량으로 교통체
증에 시달리고 있었다. 출퇴
근 운전으로 도로에서 하루에
4시간씩 보내는 요즘이었다.










허리의 욱신거림은 물론 무
릎까지 찌릿거리니 집에 가 서 씻고 쉬고 싶은 마음이 간 절했다. 엄마 오기만을 기다
리는 10살짜리 내 아이들을 1분이라도 빨리 안아주고 싶 었다.
하지만 이내 밝게 대답했다.
엄마가 자신의 딸에게 먹일
거리를 준비한 게 분명할 테
니까. 엄마 집 앞에 차를 주차
하고 거울을 들여다봤다. 눈
밑에 번진 마스카라를 집게손
가락으로 스윽 닦아내고 입술
에 빨간 립밤도 발라주었다.
피곤에 절은 딸의 모습을 보
면 또 걱정이 한가득일 테니
까 말이다. 현관 앞에 서서 양
쪽 입꼬리를 씨익 올리고 문
을 열었다.
냄새가 어찌나 꼬숩던지, 주
린 배가 꿈틀대었다. 그 모습
을 눈치채셨던 걸까. 몇 점 썰
어볼까? 하시더니 한 덩이를 꺼내 칼로 쓱쓱 자르신다. 딱 열 조각만. TV를 보고 계신 아
빠를 불러 식탁 앞에 셋이 둘 러 섰다. 갓 담근 김장김치를 꺼내어 아빠 세 점, 엄마 세 점 씩 드시고, 나머지는 죄다 내 입에 넣어주셨다. 나머지는 모두 싸주실 꺼란다. 애들이 랑 남편이랑 같이 먹으란다.
엄마 아빠껀 없냐고 물으니, 집에 수육이 이것 밖에 없었 단다. 당신들은 또 사서 해 먹 으면 된다며, 너는 일하고 퇴 근해서 언제 이거 삶고 할 시 간 있냐고 하시며 말이다.
꿀맛이었다. 고기인데 단 맛
면접을 마치고 따님과 마주 앉아 점심을 먹는데,
안쓰러워 몸보신 할만한 저녁거리를 만드셨다고 한다.
들어서자마자 구수한 수육 냄 새가 후각을 감쌌다. 고춧가
루가 묻은 고무장갑을 낀 채
복도 쪽으로 걸어 나오시는
걸 보니, 뭔가 버무리고 계셨
나 보다. 운전하고 오느라 고
생했다, 그래도 생각보다 빨

이 났다. 하루종일 일하고 운 전하느라 뭉쳐있던 근육들이 스르르 풀리는 듯했다. 그렇
문득 어제 엄마가 딸을 생각 하며 건네 준 김장 김치, 먹고 싶은 걸 참으며 내 손에 쥐어 준 수육, 계단을 내려갈 때까 지 넘어질까 걱정하시는 모습 들이 스쳤다.
게 엄마의 마음을, 사랑을 양 껏 받고 집을 나섰다. 한 손에 는 수육을, 한 손에는 김장김






리 와서 다행이다 라며 환한
미소로 반기셨다.
김장을 하셨단다. 마침 아빠
가 회사에 휴가를 내서 김치
절이고 풀 쑤고 양념 만드는
것까지 함께 하셨단다. 방금
담근 김장 김치를, 갖은 야
채 넣고 푸욱 끓인 수육과 함
께 딸에게 주고 싶으셨던 거
다. 70세의 몸으로 에구 허리
야, 에구 무릎아 하시며 두 분
이 종일 고생하셨을 걸 생각 하니, 집에 들르기 싫어한 잠
시의 내 생각을 두더지 망치
로 팡팡 두드려 숨겨버리고만
싶었다.
부엌 안쪽으로 들어가니, 된
장 푼 물속에서 수육 두 덩이
가 펄펄 끓여지고 있었다.
치를 가득 들고 계단으로 내 려가려는 찰나, 엄마가 현관 앞에서 외치신다.
"넘어질라~ 조심히 내려가~"
다음 날, 회사에서 내가 애정 하는 차장님과 마주 앉아 점
심을 먹을 때였다.
당신 딸이 면접 본 이야기
를 하셨다. 전 날 첫째 딸 입
사 면접에 데려다 주고 오신
다며 휴가까지 내셨었다. 디
자인 전공을 한 따님은 면접
전까지 자기소개서와 포트폴
리오 제출까지 서너 개의 자
료를 작성했었다고 한다. 하
지만 면접에서는 자료에 대
한 질문은 하나도 하지 않았
으며, 인신 공격하는 듯한 류
의 불쾌한 질문들을 받고 왔 다고 한다.
차장님께 어제 엄마와 있었 던 일들을 전하며 말했다. "에 휴.. 엄마들의 걱정은 정말 끝 이 없네요. 언제까지 이렇게 자식 걱정을 하실까요?" 그랬 더니 차장님이 나를 물끄러미 바라보다 말씀하셨다. "아마 살아가는 내내 하지 않 을까요? "
하하. 맞다. 그럴 것 같다. 우리 엄마가 마흔 살을 갓 넘긴 나 를 걱정하시는 것처럼. 차장












































by

거리에 어둠이 내리면 도시의
빌딩 숲에서 쏟아내는 휘황한
불빛이 눈을 시리게 한다. 오
랜 시간 동안 이미 익숙해진
풍경이지만 매일 새롭게 느껴
지는 우리 동네의 야경이다.
하루의 마무리를 확인하는
시간의 신호처럼 여겨진다.
나이가 들어감에 대한 두려
날수록 막연함에 기대고 사는
것은 아닌지 하는 의문이 들
기도 한다. 어느 여류시인은
“여자는 나이가 불행한 것이
아니라 그 의식이 불행한 것
이라고, 그래서 나이는 공포
의 대상이 아니고, 여자는 나
이와 함께 아름다워지는 것”
이라고 했다. 나는 얼마만큼
의 시간이 더 지나야 완전한
성숙함을 나타낼 수 있을는지
궁금해진다. 아직도 도전하고
싶은 의욕, 성취하고 싶은 욕
망이 갈등을 만들기는 하지만
의식이 살아있으니 할 수 있
는 생각이 아닐까 싶다. 아름
다운 것을 소망하고 가슴 깊

안개처럼 내 주위로 흩날리고
의 일상이다.
움 탓인지 아니면 시간이 지

싶은 마음이 피어오르는 요즘
그림 그리는 일에 자신의 여
생을 보내고 싶은 친구와 함
께 마운트 탬버린에 있는 예
술의 마을을 찾은 적이 있다.
산 입구에서 마을까지의 길
은 내가 찾아가는 곳이 얼마
나 아름다운 장소인지를 눈으
로 냄새로 느끼게 해주었다.
우거진 나무 사이로 시원스
럽게 뚫린 도로는 아~ 하는 소
리를 내뱉게 하고 열린 차창
사이로 산이 뿜어내는 피톤치
드의 정기가 온몸으로 스며드 는 듯했다. 산속에서 호흡하 나는
은 곳에서 우러나는 따스함을
는 진한 솔잎향은 도시의 쌓
인 먼지를 묻힌 채 산을 오르
는 나에게 몸과 마음을 정화 시켜주는 듯했다. 점차 산이 겹쳐지면서 눈 아래 동네가
시야에서 멀어지고 숲 길가
에 나타나는 집들은 마치 스
위스 산장의 어느 마을에 온
것이 아닐까 하는 착각을 하
게 만들었다. “Welcome to Village”라는 나무 팻말을 보
며 마을 안으로 들어서니 갑
자기 눈앞이 환해지는 기분이
들었다.
아름다운 카페와 아트갤러
리, 독일산 뻐꾸기시계 집, 깊은 산에서 흘러나온 정갈
한 물로 빚어낸 와인 전시장
이 있고, 아기자기한 작은 소 품을 파는 가게들, 모두가 나
름의 개성을 뽐내며 자리를
잡고 있었다. 아름다운 경치
도 배고픔을 충족시켜 주지는
못하기에 가장 멋스럽게 보이
는 베란다를 가진 카페를 선 택해서 파스타를 주문해서 먹
었다. 그 맛은 산속의 풍광이
주는 신선한 매력 탓인지 그
냥 맛있다는 말 외에는 어떤
묘사도 할 수가 없었다. 가족
과 함께 소풍을 나온 듯한 사
람들의 표정에서는 세상의 행
복이 다 담겨있는 듯한 여유
와 느긋함이 보였다.
유난히 산을 좋아하는 친구
는 그림을 그리며 자신의 여
생을 산의 한 모퉁이를 보금
자리 삼아 살고 싶다는 희망
사항을 가지고 있다. 작은 갤
러리를 마련해서 자신의 그림
을 걸어놓고 오가는 길손에게
관람시키면서, 한 잔의 차와
비스킷을 제공하며 불의 입
장료만을 받겠다고 했다 그렇
게 모인 2 . 돈으로 다시 비스
킷과 차를 사고, 그래도 돈이
조금 더 모이면 교회에 헌금
도 하고, 또 불우한 이웃을 돕
고 싶다는 밝은 소망을 품고
있는 멋진 사람이다. 그런 말
을 하며 행복한 표정을 짓는
친구의 모습에서 사람은 자연
과 함께할 때 가장 순수해질 수 있다는 평범한 진리를 새 삼 깨닫게 된다. 우리는 의기 투합해서 부근에 있는 부동산 가게에 들어가서 매물로 나와 있는 갤러리와 주택을 사진으 로 구경했다. 그중에서 가격
과 외형이 꽤 괜찮아 보이는 집을 보여달라고 하니 마침 한 집이 비어있다는 반가운 말을 들었다. 사람 좋아 보이 는 뚱뚱한 호주 아저씨는 골 드코스트에서 개발하는 주택
단지 프로젝트까지 보여주는 선심을 베풀어 주었다.
부동산 중개인의 안내로 찾 아간 집은 산속에 있는 전형
적인 하얀색의 팀버하우스
이며 현관에는 청동색의 종 과 갈색 도자기 판에 “Rose
Cottage”라고 새겨진 이름
표가 달려 있었다. 현관문을
열고 들어간 순간 나는 할 말
을 잃고 턱 하니 숨이 막힐 것
만 같았다. 둥근 공 모양의 유
리 자재로 만든 디자인의 글
라스 스튜디오가 뒤뜰에 자 리하고, 그림을 걸 수 있는 마
루방에는 우아하고 탐스러
워 보이는 벽난로가 방 한가
운데에 자리하고 있었다. 이 층 침실에는 윤이 나는 갈색
의 마루가 길게 깔려있고 장
미꽃 무늬가 새겨진 커턴 뒤 로 정원이 보였다.
천장은 삼각형의 나무무늬로
장식되어있고 침실에 딸린 작
은 베란다에 서니 산의 전경
이 한눈에 담겨왔다. 목욕탕
에는 스파, 샤워실, 욕조가 황
금빛 손잡이들로 장식되어있
으며 창문은 뒤뜰에 있는 자
목련 나무와 연결되어 있었
다. 움직이지 못하는 물체와
살아있는 나무들이 서로 얽
혀서 하나의 환상적인 그림을
만들어 내고 있었다. 친구와
나는 서로의 눈을 쳐다보며
말은 하지 않아도 마음은 벌
써 하나로 뭉쳐진 듯 보였다. 너는 그림을 그리고, 나는 여 기에서 글을
나는 피 로를 느끼지 못했다. 그래서 그날 밤의 꿈길은 아주 편안 했으며 깊이 잠들 수 있게 이 끌어 주었다. 내가 꿈꾸어 왔 던 예쁜 집이 더는 환상 속에 있는 것이 아니라 내가 붙들 수도 있다는 것을 알았기 때 문이다. 짧은 순간이었지만 나는 많이 황홀했고 많이 행 복했었다. 오랜 세월 동안 내 속에 숨겨져 있었으며 내 꿈 이 스며든 집을 찾았고, 그곳 에서 잠시라도 앉아 있는 행 운을 누렸으니까. 그리고 글 을 쓰는 이 순간에도 그 시간 의 환상 속에서 헤어나지 못 한 채 그리워하는 마음이 스 멀대듯 솟아난다. 알게 모르게 지나치는 일상의 작은 스침 속에서도 마음의 위로와 평안을 얻을 수 있다 는 사실을 새삼 깨닫는다. 살 아가면서 작은 것에서도




































생각해 보면 나는 육아가 어
울리는 사람은 아니었다. 하
고 싶은 게 많았고, 아이를
좋아하지도 않았으니까. 언
제나 ‘나의 행복’이 먼저였
다. 그런 내가 결혼을 하고
우리에게 찾아온 아이의 존
재를 알게 된 날, 수많은 감
정이 쏟아졌다. 내가 엄마가
된다고? 내 뱃속에 정말 생
명을 품고 있다고? 엄청나
게 소중한 무언가를 덜컥 맡
게 된 기분이었다. 신기하고
기뻤지만 무섭고 두려웠다.
하지만 이 모든 걱정은 아이
를 만나는 순간 사라졌다. 커
다랗고 동그란 초코볼 같은
아이의 눈은 마치 까만 우주 같았다. 안녕, 나의 작은 우 주야. 만나서 반가워. 좋은
by 현수진 / 브런치 우리가 처음 만난 그림책
엄마가 될 자신은 없지만 온 힘을 다해 널 지켜줄 거야. 잠든 아이를 바라보며 조용 히 속삭였다.
갓 태어난 아이와의 나날은
상상을 초월할 정도로 힘들 었다. 만지기만 해도 부러질
것만 같아 늘 엉거주춤 아이
를 안았다. 기저귀 가는 것도
수유 후 트림을 시키는 것도
요령이 없어 어려웠다. 둘만
덩그러니 남겨진 하루는 너
무 길었다. 늘 잠이 부족했 고, 외로웠고, 막막했다. 아
이가 예쁠수록 내 눈에서는
자꾸 눈물이 뚝뚝 떨어졌다.
부엌 창 너머로 핑크빛 하늘
이 보였다. 젖병 소독을 하다
말고 무너지듯 바닥에 주저 앉았다. 엄마가 된다는 건 완
전히 다른 인생이 시작되는 거였구나. 하늘은 저렇게 눈
물 나게 아름다운데, 난 대체
언제까지 이렇게 살아야 하 는 걸까.
이대로는 끝도 보이지 않는
저 밑으로 가라앉을 게 분명 했다. 기분을 바꿀 방법을 찾
아야 했다. 무작정 유명한 그
림책 세 권을 주문했다. 딸에
게 그림책을 읽어주며 긴 하
루를 버틸 생각이었다. 태어
난 지 한 달도 안 된 아이 옆 에 누워 천천히 책을 읽어주
었다. 그때마다 귀 기울여 듣
고 있다는 듯 울음도 버둥거
림도 멈추곤 했다. 우리가 서
로에게 익숙해지려면 이것 뿐이구나. 그날부터 그림책 을 읽어주거나 이야기를 만
들어 들려주었다. 이건 촉감 책이라는 거야. 빨간색, 검은 색, 파란색으로 되어 있네. 여기 동물이 그려져 있어.
이건 사자, 오리, 곰, 토끼.
이 안에 비닐을 넣어 바스락 거리게 만든 책이야, 신기하 지? 그러다 보면 어느새 반
나절이 지나 있었다. 책장에
그림책이 늘어날수록 눈물
도 조금씩 줄어들었다.
처음으로 읽어준 책은 <사 랑해 사랑해 사랑해>였다. 국민 그림책으로 유명했던
<사과가 쿵!>, <달님 안녕> 과 함께 주문한 책이다. 곰
돌이를 든 귀여운 아이가 웃고 있는 표지를 열면 이 런 문구가 나온다. ‘세상에 서 오직 하나뿐인 소중하고

사랑스러운 우리 아가에게’.
나는 ‘아가’라는 단어가 좋 았다. 보송하고 젖내 나는 아이에게 딱 어울리는 말이 었다. 이 책은 '사랑해 사랑 해 너를 사랑해'라는 문장이 내내 반복된다. 머리부터 발
끝까지, 마음 깊은 곳에서 온
몸 구석구석까지. 책을 읽을
때마다 딸의 팔과 다리를 쭉
쭉 주물러 주었고, 얼굴과 손 가락, 발바닥에 마구 뽀뽀를 했다. 조그만 배에 부우 하고
바람을 넣으며 간지럼을 태
우다 보면 웃음이 나왔다. 서
툰 엄마였던 내가 그림책을 읽으며 사랑을 배운 것이다.
이 책을 통해 아이를 향한
사랑을 어떻게 말해야 하는
지 알게 되었다. ‘사랑’이라
원 프로와 나누는 골프이야기 모
by 티칭 프로 원성욱 (0402 598 961)
안녕하세요? 여러분 ‘모순’ 이라는 말을 알고
계시죠? 무엇이든 뚫을 수 있는 창과 무엇이
든 막을 수 있는 방패를 파는 장사꾼의 이야
기에서 나온 말이죠. 두 가지 요소가 서로 상
반되는 것을 말 합니다.
오래전에 한국에서 레슨을 하다가 갑자기 들
려온 말이 있습니다. “어쩌라구~” 장난이 섞
여 있던 말이기도 하지만 어느 정도는 진심이
담겨 있던 말이었습니다. 상황은 이랬습니다.
그립을 자꾸 놓치는 회원님에게 왼손 그립을
놓치지 않도록 단단히 잡으라고 말 한 뒤에 손
목에 힘을 빼고 부드럽게 흔들어 주는 느낌을
가져보라고 했습니다. 저와 친한 사이였기에
과감하게 질문에 장난과 진심아 어우러진 말
이 튀어 나왔던 것이죠. 단단히 잡고 힘을 빼
라! 정말 어렵습니다. 사람에 따라서 이 말을
이해 하기도 하고 이해를 못 할 수도 있습니
다. 어쩌면 이렇게 느낄 수도 있을 것 같습니
다. ‘밝은 블랙’
모순되는 상황이 ‘힘’ 이라고 하는 부분에서
나타나게 됩니다. 몸이 부드럽게 움직여야 한
다고 하다가 하체를 움직이지 못하게 힘을 주
라고 합니다. 원을 그리는 것이 골프 스윙인
데 자꾸 수직으로 내리라고 합니다. 중심을
고정하라고 하면서 체중은 이동하라고 합니
다. 하지만 예를 들었던 앞의 경우들은 모순



이 아닙니다.
힘을 뺄까? 아니면 힘을 줄까?
왼손 그립에 힘을 주는 이유는 왼손이 클럽을 휘두르는 손이기때문에 반드시 잡고 있어야 한다는 뜻으로 힘을 주라는 것이죠. 손의 근 육들이 통증이 생길 정도로 잡으라는 말은 아 닙니다.
직선 운동일까? 원 운동일까? 테이크 백을 할 때도 직선으로 시작하라고 말 합니다. 그런데 스윙은 원심력이라고 합니다. 수직 하강이라고 하는 것은 정말로 수직 운동 을 하라는 말이 아닙니다. 두 손이 수직 방향 으로 출발을 했을 때 돌고있던 몸 회전을 통 해서 수직 운동이 아닌 원 운동으로 변화가 됩니다. 중심 고정은 체중 이동을 못한다? 많은 사람들이 중심을 고정한 상태로 샷을 하 라고 하면 오른쪽 무릎을 더 굽혀가며 약간 주 저 앉으며 공을 칩니다.








문자 그대로, 파라다이스를 경험하고 왔다.
물도, 전기도, 인터넷도 없는 외딴섬, 망망대해 한가운데서.
여행을 거듭하며 언제부터인가 나는 줄곧 자연에 붙어있기 시작했다. 도시의 활기, 대단한 사 업과 투자 이야기, 그 속에서의 내 하루하루는 정글 속에, 해변가에 드러누워 있을 때면 찰나 의 우주먼지로 변했다. 오늘이 며칠, 무슨 요일이더라? 내가 고군분투하던 물질세계의 온갖
잡음과 번뇌를 하찮게 만들어버리는 그곳에서의 시간이 그 어떤 심리 테라피보다도 나를 평 화롭게 했다.
그렇게 만난 지상낙원, 팔라완
계기는 친구가 추천해 준 '타오 익스피디션(Tao Expedition)'이라는 투어였다. 세계 각지에 서 온 이십여 명의 여행자들과 필리핀의 군도 팔라완 북부를 탐험하는 4박 5일의 여정. 한국
인 관광객들에겐 비교적 덜 알려진 휴양지 엘니도(El Nido)와 다이빙 스팟으로 알려진 코론 (Coron) 섬, 그리고 그 사이 사람들의 손때가 묻지 않은 무인도와 바다에서 시간을 보낸다.
십여 년 전 이곳 섬에 살던 로컬 가족으로부터 시작된 이 작은 투어는 입소문만으로 13개의
베이스캠프, 250명이 넘는 스태프를 둔 공동체로 성장했다. 섬에서 나고 자란 로컬들이 타오
의 일원이 되어 방문객들에게 자신의 고향을 보여주고, 이를 통한 수익은 다시 외딴섬들에 학
교와 농장을 짓고 아이들을 교육하는 데 쓰인다.
시간이 멈춰버린 듯한 이 천국에서의 나날들은 말로 형용할 수 없을 만큼 아름답고 행복했다.
어떤 단어로도 그곳에서 느낀 감정을 표현할 수 없겠지만, 그래도 그 잔상을 오랫동안 잊지
않도록 그곳에서의 경험을 몇 자 남겨보려 한다.
보트를 타고 베이스캠프로
타오 일정은 엘니도에서 코론 행, 코론에서 엘니도 행 이렇게 두 갈래의 코스가 있다. 나는 코
론에 도착해 며칠간 다이빙을 좀 더 해보려 전자를 택했다. 보트를 타고 짧으면 30여분, 길면
서너 시간 정도 떨어진 섬들을 호핑하게
발리보다
by heavn / 브런치
일주일





그렇게 보트를 타고 도착해 처음 마주한 베 이스캠프의 모습은 상상 이상이었다. 나무로 지어 올린 오두막과 전망대, 곳곳의 휴식 공 간과 비치발리볼 코트까지. 천국이 지구상에 존재한다면 이런 곳이 아닐까 싶었다.
이곳에서의 일상이 편리하고 완벽해서가 아 니다. 와이파이는 커녕 전기조차 한정된 곳 도 더러 있었고, 어떨 땐 씻을 물도 모자라 수 풀 속 엉성히 지어진 오픈 샤워시설에서 바 가지로 물을 떠 샤워를 하기도 했다. 이틀째 쯤인가 나의 생존 여부를 며칠간 못 알릴 수 도 있겠구나 싶어, 가족들에게 메시지만 남 기고 휴대폰도 멀리 던져놓았다.



실력은 영 엉망이었지만, 이상한 소리를 내며 팔짝팔짝 뛰는 나의 리액션이 웃겼는지 사람들
이 끊이질 않고 모여 시간 가는 줄 몰랐다.
게임은 그 뒤로도 꼬리에 꼬리를 물고 계속됐다. 낮에는 밖에 놓인 코트에서 비치발리볼이나 농구를 했고, 밤에는 카드 게임을 하거나 그 마저도 없으면 손을 안경 모양으로 얼굴에 갖다
댄 채 이상한 닭소리를 내는 '치킨 고글' 같은 손게임들을 했다. 마치 스마트폰이 없던 어린 시 절 동심 속 세계에 빠진 것처럼.
다 큰 어른들끼리 초등학생들이 놀이터에 둘러앉아 할 법한 게임들을 하며 바보처럼 깔깔대
는 순간들이 그렇게 재밌을 수가 없었다.
스태프들은 섬사람들 답게 바다에 나가 1미터가 넘는 물고기들을 잡아오는가 하면, 건물 3층 높이는 될 법한 나무를 타고 올라가 코코넛을 따기도 했다. 조개로 팔찌와 목걸이를 만드는 법을 알려주고, 물속에서 도넛 모양의 버블을 만드는 법도 가르쳐줬다. 자연과 가까이 자란, 가장 자연에 가까운 인간의 원형은 이렇게 건강하고 생기 있구나 싶었다. 그렇게 섬에서 잡은
고기와 채소로 오픈 키친에서 음식을 만들고 있으면, 하나둘씩 모여 함께 요리를 돕기도 했다.
5시 즈음이면 다 같이 전망대로 향했고, 기타 반주에 함께 노래를 부르며 저물어가는 노을을
바라보았다. 그렇게 마주한 셋째 날 해 질 녘의 광경을 볼 때는 울음이 터질 뻔했다. 우는 순간
이 손에 꼽을 정도로 T인 인간이 그냥 사람들과 둘러앉아 풍경을 보고, 노래를 들으며 이렇게 감동을 받을 수가 있다니. 사람이 이렇게 소소한 순간만으로도 참을 수 없는 행복을 경험할
수가 있다는 사실에 가슴이 먹먹해졌다.

돌이켜보면 대단할 것이 없는 하루하루였다. 그곳에서의 일상은 별다른 미사여구를 갖다 붙일 필요도 없이 단조로웠고, 거창하지도
화려하지도 않았다. 배가 고플 때 밥을 먹고, 심심할 때 물놀이를 하고, 그러다 졸리면 해
먹에 누워 자고, 시시한 농담을 주고받으며
유치한 게임을 하고.
그럼에도 몇 주가 흐른 지금까지도 그곳에서
의 시간이 내게 기나긴 여운을 주는 이유는, 그곳에서 만난 원초의 자연과 사람들 때문이 아닐까 싶다. 타오뿐 아니라 타오 여행을 시
작하기 전 아기자기한 엘니도 타운과 그 이 후 코론에서 다이빙을 하며 탐험한 바닷속까
지. 팔라완은 내가 가장 순수한 형태의 인간
으로 돌아가 경험할 수 있는 가장 순수한 일 상들을 보여주었다.
그리고 그때 또렷이 깨달았다. 사람이 행복
해지는 데에는 그리 대단한 것들이 필요치 않다는 걸.
























말스 국방, '사회적 결속력' 촉구 "서로 돌봐야" 야당, 여행 경보는 호주에



이스라엘 정부가 '반유대주의 공포'를 명분 삼아 호주 여행 경보를 2단계로 격상 했다. 호주 정부는 호주는 여전히 유대인에게 안전한 국가라고 밝혔다. 이스라엘 국가안보위원회(NSC)는 전 세계에서 유대인과 이스라엘인에 대한 공격 사례가 증가하고 있다고 판단해 여행 경보 수준을 밤사이에 상향 조정했다.




이스라엘 사람은 이번에 경보가 2단계로 격상된 호주, 영국, 프랑스, 독일, 브라질, 아르헨티나, 러시아 등을 방문할 때 더욱 주의를 기울일 필요가 있다. 이와 관련해, 리처드 말스 국방장관은 호주의 사회적 결속력 강화를 촉구하면서 호주에 반유대 주의와 이슬람혐오는 설 자리가 없음을 분명히 했다. 화요일 ABC 라디오 인터뷰 에서 말스 장관은 최근에 혐오 행위가 증가하고 있다는 사실을 인정했다. 그는 이 러한 때일수록 "유대인 커뮤니티의 사람들과 이슬람 커뮤니티의 사람들을 위해 호주인들이 모두를 돌보는 것이 정말로 중요하다"고 당부했다. 이에 더해 "세계에 서 벌어지고 있는 일에 관해 합법적으로 자신의 견해를 표현하는 것은 매우 중요 하지만, 이러한 표현은 평화적인 방식으로 이뤄져야 한다"고 말했다. 야당은 이스라엘의 여행 경보 격상은 호주에 "끔찍한 오점"이라고 지적했다. 사이 먼 버밍엄 야당 외교 담당 의원은 "반유대주의의 증가로 인해 유대인이나 이스라 엘 시민이 호주를 방문할 때 특별한 주의를 기울여야 한다는 생각은 최고 수준에 서 다뤄져야 할 문제"라고 스카이뉴스에 말했다. 버밍엄 상원의원은 "호주는 세 계에서 가장 안전한 국가 중 하나여야 한다"며 "우리는 그 명성을 회복하기 위해 애써야 한다"고 강조했다. 호주유대인평의회(ECAJ) 알렉스 리브친(Alex Ryvchin) 공동 최고경영자(CEO) 는 여행 경보는 "급증하는 반유대주의와 국내외의 불안정한 안보 상황이라는 새 로운 현실을 반영한다"고 밝혔다.
qldkoreanlife.com.au qldkoreanlife












리브친 CEO는 "이스라엘인 또는 유대인이라는 신분을 드러내는 것이 위험하다
는 사실은 국가적 수치"라며 "우리는 증오에 맞서고, 광신자들이 우리 사회를 분
열시키는 것을 막아야 한다"고 말했다.

대학들
지난해 호주 유학생 약 76%가 유학원 통해 입학
시드니 모닝 헤럴드 보도에 따르면, 뉴사우스웨일스(NSW)의 일부 최상위 대학들
이 치열한 유학생 시장에서 중개인들에 점점 더 의존하면서 유학원들이 사상 최 고의 수수료를 벌고 있는 것으로 알려졌다.
최근 연방 정부 데이터에 따르면, 2022년 대학에 입학한 유학생의 약 76%가 유
학원을 통해 호주에 왔으며, 이는 10년 전의 61%보다 증가한 수치이다. NSW 공
립 대학들은 지난해에만 적어도 1억 4,700만 달러를 수수료로 지불했다. 학생들
은 등록금 중 어느 정도가 유학원에 지불되는지 대부분 모르고 있어 규제와 투명
성을 요구하는 목소리 또한 높다.
호주와 해외에는 수천 개의 유학원들이 있지만, 그들을 감독하고 규제하는 것은
대부분 대학과 기타 교육 기관들의 몫이다. 일부 부도덕한 유학원들은 높은 수수 료를 공개하지 않고 학생들을 적합하지 않는 과정에 밀어넣거나 잘못된 이민 상
담을 제공한다고 보고되고 있다.
중국 유학생이자 시드니 대학교의 대학원 대표 협의회 회장인 웨이홍 리앙 (Weihong Liang)은 일부 유학원들이 학생들에게 적합한 과정보다는 입학 허가
를 받을 수 있는 과정을 추천할 수 있다고 말했다. 또한 만약 학생들이 유학원에 지불되는 수수료가 얼마인지 알았다면 그들은 대학에 팔려간다고 생각하고 가지 않았을 것이라고 강하게 성토했다. NSW에서 가장 많은 유학원 수수료를 낸 대학
은 뉴사우스웨일스 대학교(UNSW)로, 지난해에 5,900만 달러 이상을 지불했다. 지난 5년 동안 유학생 수가 비교적 완만하게 유지되었음에도 불구하고 유학원 수
수료는 38%나 증가한 것이다. 외국인 학생들의 가장 큰 교육 기관인 시드니 대학
교는 작년에 유학원 수수료로 거의 5,100만 달러를 지출했는데, 이는 전년도보다 약간 감소했지만 5년 전에 비하면 58% 증가한 수치다.
시드니 대학교, UNSW, 시드니 공과 대학교(UTS), 맥쿼리 대학교, 울릉공 대학교 가 작년에 유학원 수수료로 낸 금액을 모두 합치면 1억 4,700만 달러에 달한다. 그
러나 NSW 공립 대학의 전체 수치는 훨씬 더 높을 것이다. 웨스턴 시드니 대학교, 뉴잉글랜드 대학교, 뉴캐슬 대학교, 서던 크로스 대학교, 찰스 스터트 대학교는 수
수료 지출 내역을 밝히기를 거부하거나 응답하지 않았다. 유학생 유치에 대해 유학원에 지불되는


























































by 이우석
더 프리맨 / 브런치

◇ 꽈페 = 꽈배기 전문 카페. 만화영화에서 툭 튀어나온
듯 앙증맞은 꽈배기가 가득한 곳. 알록달록한 무지개 유
니콘 모양 등 보석 색깔 토핑에다 티라미수, 솔티드 등
맛도 다양하다. 해외 유명 도넛 가게보다 더 많은 가짓수
의 꽈배기를 만날 수 있는 가게다. 커피 맛도 좋아 수많 은 가게들이 명멸하는 연남동에서 마니아층을 끌어모은 곳. 서울 수도권과 대구, 광주, 강릉 등 전국 곳곳에 있다.
서울 마포구 동교로46길 20. 전 메뉴 2500원부터
해가 많이 짧아졌는데도 거
리를 밝히는 노점이 예전보
다 눈에 잘 띄지 않는 듯하다.
기억해보면 노점은 겨울에 더
많았다. 1980년대까지만 해
도 군고구마, 군밤, 떡볶이, 오
뎅, 붕어빵, 풀빵 등을 파는 노
점이 동네마다 있었다. 출출
할 때 값싸게 허기를 때울 수
있는 덕에 수많은 ‘노점 메뉴’
가 생겨났고 또한 추억 속으
로 사라졌다.
지금까지도 인기를 끌고 있
는 노점 메뉴가 있는데 그중
하나가 바로 꽈배기다. 그것
도 보통 인기가 아니다. 세계
적 인기를 끌고 있다. 밀가루
를 튀겨 설탕을 묻힌 꽈배기
는 아예 길거리를 떠나 어엿
한 점포 안으로 들어가며 한
국인의 대표 간식 메뉴로 자
리를 잡았다.
제빵 역사가 짧은 한국에서 가장 오래된 빵 중 하나가 바 로 꽈배기다. 꽈배기는 빵 이 름이면서 일상용어이기도 하 다. 표현을 비꼬아 말하는 것, 또는 그런 이들을 부르는 말 이다. 배배 꼬인 형상을 이를 때 ‘꽈배기’를 가져다 붙이기 도 한다. 이처럼 일상어가 음
식 이름으로 쓰이는 경우는 흔치 않다. ‘웃기는 짬뽕’이나
‘이것저것 짬뽕’이란 말이 있 긴 하지만, 이는 고유한 음식
이름이 나중에 비속어 표현으
로 바뀐 경우다. 살펴보니 꽈
배기는 비속어도 아니다. ‘꽈
배기로 일침을 놓았다’는 식
으로 썼다. 과거 신문 기사에
도 종종 등장할 정도로 일상
어로 통했다.
유튜브를 찾아보면 외국인
들은 한국의 꽈배기(kkwabaegi)로 그대로 읽기도 하

[푸드로지] K도넛 꽈배기의 화양연화

◇ 자미당 = 식어도 존득한 맛이 살아 있는 본격 찹쌀꽈
배기의 정통 레시피를 지켜오는 집이 서울 상암동 인근 에 문을 열었다. 특유의 반죽 숙성 비법으로 식감 좋고 고소한 꽈배기를 그때그때 튀겨내서 간식 타임마다 문 전성시를 이룬다. 닭집을 오래 했던 사장이 운영하는 정 통 한국식 꽈배기 가게답게 찹쌀 도넛과 핫도그 등 같은 계열의 튀김 메뉴도 함께 판다.
서울 서대문구 수색로138 자미당 가재울점 꽈배기, 찹쌀도너츠 3개 2500원. 핫도그 1500원
고, 설명으론 ‘코리안 트위스
티드 도넛(Korean Twisted Donut)’이라 한다. 맞다. 그
들의 설명처럼 꽈배기는 도넛
의 조리 과정과 흡사하다. 튀
긴 다음 설탕을 묻혀 내는 것
도 네덜란드계 미국 이민자의
원조 도넛 제조 방식과 똑같
다. 빵가루를 입히고 안에 소
를 넣는다는 점만 다를 뿐, 고
로케(コロッケ)와도 비슷하
다. 그래서 꽈배기 전문점에
선 도넛과 고로케를 같이 파
는 경우가 많다. 같은 기름 솥
에서 튀겨낼 수 있으니 함께
취급한다.
꽈배기를 만드는 과정은 쉽
지만 그 기술에 숙달하자면
어렵다. 비틀며 꼬는 과정이
여간 노련하지 않으면 모양
을 잡기도 어렵고 골고루 튀
겨지지도 않는다. 굵기가 불
규칙하면 익는 온도도 다르
고 씹는 식감도 나빠지는 탓
이다. 튀긴 꽈배기 위에 설탕 과 계피를 뿌리면 완성된다.
이렇게 보면 스페인의 추로
스(churros)와 거의 비슷하
다. 갓 튀겨낸 추로스에 시나
몬 슈거를 잔뜩 뿌리고 아침
식사로 먹는 것도 같다. 그래
서 일부 중국인들은 자신들의
문화가 스페인에 전파된 것
이라고 주장한다(설마 추로
스 공정?).
비슷하긴 하다. 차이점을 찾
는다면 추로스는 반죽 과정
에 우유나 버터를 넣는다는
점과 핫초코를 곁들이거나 초
콜릿 시럽을 뿌려 달게 먹는
다는 것이다. 생긴 것은 반죽
을 길게 늘여 이리저리 빙빙
돌려 만드는 방식이 꽈배기와
비슷한 독일 브레첼(Brezel).
이것은 사실 굽는(bake) 방식
이라 앞서 언급한 꽈배기, 유

◇ 봉땅 = 최근 디저트계의 트렌드인 ‘꽈배기의 도넛화’ 로 인기를 모으는 집. 토핑과 글레이즈 코팅을 보자면 결 코 외국산 도넛에 뒤지지 않는다. 다양한 토핑으로 화려 한 색감과 각기 다른 맛을 선보이며 디저트 카페로서 자 리매김했다.
서울 송파구 백제고분로41길 42-8. 전 메뉴 3000원부터
탸오, 추로스 등과는 조리법
으로 봐선 완전히 다른 계열 의 빵이다.
기름에 튀기는 빵이야 오븐
을 갖추지 않아도 되니 쉽게
만들 수 있어 세계 곳곳에 흔 하다. 동남아시아 노점에서도
쉽게 찾아볼 수 있다. 필리핀
에는 샤코이(syakoy), 비초비
초(bicho vicho)라 부르는 정
말 꽈배기와 똑같은 음식이
있으며, 베트남에는 심지어 이름마저도 비슷한 바인꽈이 (banh quay)라는 폭신폭신 한 꽈배기가 있다. 연유에 찍 어 먹는 태국 파통고 역시 모
양은 H자로 조금 다르지만 꽈 배기의 일종으로 봐야 한다.
일본에도 찾아보면 비슷한 튀 긴 빵이 있지만, 요즘 도쿄(東 京) 내 한류 근원지인 신오쿠 보(新大久保) 등지에서는 한
국식 꽈배기가 인기다. 가격 도 최고 100엔(약 900원)부터 과일 등을 토핑해 디저트류로 만든 것은 하나에 400~500 엔 정도로 비싸게 팔린다. 처 음엔 ‘한국식 도나쓰’, 또는 트 위스트 도나쓰라 부르던 것을 요즘은 ‘콰베기’라 정확한










1. 이순신이 만든 철갑선
3. 맨발에 신도록 섬유로 짠 것
4. 산과 바다에서 나는 온갖 진귀한 물건으로 차린 음식
7. 인쇄하여 발행한 책, 신문
9. 발로 밟은 자리에 남은 모양
10. 짚을 원료로 만든 종이
11. 알고도 모르는 체하는 태도
14. 멍하니 정신을 잃음
16. 밀봉한 자리에 도장을 찍음
17. 오리 발가락 사이에 있는 엷은 막
1. 거만스러운 태도
2. 조상의 무덤이 있는 산
3. 두 눈썹의 사이
5. 술기운으로 거북한 속을 풀기 위하여 먹는 국
6. 보에 괸 물
8. 떠나가는 목적지
9. 발의 뒤쪽 발바닥과 발목 사이의 불룩한 부분
10. 저고리 위에 덧입는 웃옷
11. 모범을 보임
12. 남편이 죽고 홀로 남은 여자
13. 세상을 바꾸는 퀴즈
15. 실제로 있는 물건이나 사람

















저는 마음이 상한 사람을 많이 만납니다. 직장에
서 왕 따를 당해서 마음이 상한 사람, 남편의 통
제로 인해 답답해하는 아내, 부모님을 용서하기
어려운 사람, 어린 시절부터 늘 외로웠던 사람, 결혼을 못해서 힘들어하는 사람, 관계가 늘 버거
운 사람, 불안감으로 늘 살아가는 사람들, 문제
자녀로 인해 고민이 많은 부모, 화가 통제가 되
지 않는 사람과 같은 사람들이 제가 만나는 사람
들입니다. 어떻게 하면 이들의 마음의 문제를 해 결할 수 있을까요? 이들의 문제를 해결할 수 있
도록 돕는 역할을 하면서 수십 년간을 살아왔습 니다. 그래서 저는 마음에 관심이 많고 그 마음
의 고통이 기쁨으로 그리고 그 기쁨이 평안으로 바뀌어지는 것을 늘 그려보며 살아갑니다.
만인들의 베스트 셀러인 성경에는 876번의 마
음이라는 단어가 등장합니다. 그런데 이 단어는
모두가 같은 뜻은 아닙니다. 마음과 관련된 성
경 구절을 읽고 그것의 영어의 의미를 찾다가
몇 가지를 발견하였습니다. 한국어로 똑같이 마
음으로 번역된 단어는 어떤 경우에는 Heart 가
번역이 된 것이고 어떤 것은 Mind 그리고 어떤
것은 Spirit이라는 것이 번역된 것입니다. 여기
에서 ‘마음에는 생각이 포함되는구나. 영도 마
음과 관련된 것이구나’라고 생각할 수 있었습
니다.
마음이란 무엇일까요? 많은 학문이 있지만 인 간의 마음을 연구하는 학문이 심리학입니다. 영
어로는 psychology 인데 여기에서 말하는 것은
인간의 정신 즉, psyche를 연구하는 것이 심리
학이라는 것이죠. 여기에서 알 수 있는 것은 ‘마
음은 우리의 정신과 관련된 것이구나’라는 것입
니다.
사전적 의미로 ‘마음은 사람이 사물에 대해서 어
떤 감정, 의지, 생각 등을 느끼거나 일으키는 작
용이나 상태를 말한다’라고 되어 있습니다. 여기
에서 또 알 수 있는 것은 마음에는 지, 정, 의라고
하는 것이 관련되어져 있는데, 또 마음을 이렇게
정의하기도 합니다. ‘감정, 생각, 기억 따위가 생
기거나 자리를 잡는 사람의 가슴속에 있다고 믿
어지는 공간이다’. 지금까지 마음에 대해서 나온
것을 다 합쳐보면 ‘마음에는 생각, 감정, 의지, 우
리의 영, 그리고 기억과 관련이 되어 우리로 하
여금 반응하게 하는 시스템이다’라고 볼 수 있
을 것 같습니다.
왜 마음이 중요할까를 생각해 보면 많은 이유를
들 수 있습니다. 쉽게 예를 들어보면, 아무리 조
건이 좋고 잘 생기고 주위에서 사귀어 바라 권해
도 마음이 가지 않으면 요즘 젊은이들은 어른들
의 말을 듣지 않습니다. 젊은 청년에게 조건이
좋은 치과의사를 소개 했는데 거들떠 보지도 않
는 경우를 경험했습니다. 이렇게 마음이 동하는
것에 사람은 움직입니다. 수년 전에 방송이긴 하
지만 KBS에서 마음에 대해서 다큐멘터리 시리
즈로 다룬 적이 있었습니다. 거기에서는 말하기
를 “나를 지배하고 세상을 움직이는 힘이 마음
이다“라고 언급하며 다양한 이야기를 들려 줍니 다. 그 중에 나오는 한 가지 예가 프라시보 효과 입니다. 두통약이라고 주는 비타민이 실제로 치 료 효과가 있고 심지어 새로 개발한 암을 치료하 는 약이라고 속여서 약을 먹였는 데 암세포가 사
라지게 된 사례까지 있습니다. 마음으로 믿으면
그것이 실제 삶에 결과로 나타난다는 것입니다.
이렇게 마음은 삶의 변화를 가져오는 힘이 있기
때문에 마음을 잘 돌보는 것은 육체의 건강을 돌
보는 이상으로 아주 중요합니다. 그런데 많은 사
람들이 건강을 위해서는 너무나 많은 노력을 하
면서 나의 마음을 돌보는 것에는 등한시하는 분
들이 많이 있습니다.
그래서 현대인의 많은 사람들은 정신질환을 경 험하고 있는데 대부분의 마음의 병들은 마음의 가장 중요한 한 파트인 생각의 왜곡을 가지고 있 습니다. 우울증에 걸리면 자신과 세상과 미래에 대해서 부정적이고 비관적으로 생각하게 됩니
다. 왜 나에게만 이런 일이 일어나는 지. 자신을
한없이 불쌍하게 보는 자기연민에 빠지기도 하
고 세상에 소망이 없어서 살 이유가 없다고도 생
각하게 됩니다. 불안 장애로 힘들어 하는 사람은
최악의 상황을 자꾸 생각하는 재앙적 사고를 합
니다. 예를 들어, 남자친구가 오늘 문자를 보내
오지 않았다고, ‘이제 나에게서 마음이 떠났어!’
라고 생각을 하는 경우를 들 수 있습니다. 조현
병에 걸린 사람은 망상적 사고를 합니다. 예를
들어, 성관계를 한 번도 안해본 십 대 아이가 매
독에 걸린 것 같다고 생각을 하거나 지나가는 사
람들이 자신을 욕한다고 생각을 하기도 합니다.
분노를 잘 내는 사람은 ‘~ 해야해. 그렇지 않은 것은 견딜 수 없어’ 라는 생각을 하곤 합니다. 그
리고 강박증은 원치 않는 생각이 자꾸 떠오릅니 다. 예를 들면, 내 손이 자꾸 감염이 될 것 같다고 생각합니다. 마음을 건강하게 잘 유지하기 위해 서 생각을 건강하게 하고 평소에 생각 훈련을 하
면 도움이 많이 될 수 있습니다. 저는 마음 의 생각을 지키는 훈
련을 위해 저의 감정

을 활용합니다. 예를 들어, 마음의 감정이 갑자기 힘들어지거나 낙담이 되거나 화가 나면 그것을 신호등으 로 생각하고 그 마음을 들여다 보는 시간을 가 지는 것입니다.
어느 날 상담을 마쳤는데 마음이 이상하게 힘들 서미진 박사




















문제는 38쪽에 있습니다.








유정훈
골드코스트 온누리교회
12월이 되었다. 늘 12월이 되
면 전세계가 떠들썩하다. 크
리스마스가 있는 달이다. 올
해도 어김없이 전세계 여러
곳에서는 ‘크리스마스 트리
점등식’ 행사가 있었다. 91년
째 맞이하는 미국 뉴욕 록펠
러센터의 점등식은 수만명의
인파가 찾았고, TV 생중계까
지 되었다. 여러 가전업체, 완
구업체 등은 크리스마스 특
수를 노리며 온갖 홍보에 정
신이 없는 한달이기도 하다.
정치권에서는 크리스마스 인
사로 ‘메리 크리스마스’를 써
도 되는지, 아니면 종교적 색
채가 없는 ‘해피 홀리데이’를
써야 되는지에 대해 늘 민감 한 이슈거리가 되고 있기도
하다.
‘크리스마스’란 ‘Christ Mas (s)’의 줄임말이다. Mass는 ‘예배, 미사’의 뜻을 가지고 있다. 그렇기에 ‘크리스마스’ 는 ‘예수님께 예배하고 경배 하는 날’이라는 의미를 가지 고 있고, ’크리스마스’의 주인 공은 바로 예수님이시다. 예 수님이 주인공이신 이유는, 예수님의 탄생과 죽으심 그
리고 부활하심, 승천하심이, 우리의 구원을 성취하고 완
성했기 때문이다.
이 크리스마스의 주인공인
예수님은 하늘에서 떨어진
분도, 땅에서 솟아난 분도 아
니시다. 곧바로 30세로 오신 분도 아니시다. 응애응애 하
며 아기로 이 땅에 태어나셨 다. 태어난 날, 장소가 있고, 시대적 배경이 있다. 예수님 이 오셨을 때 시대상황은 어 떠했을까?
그 시대는 ‘헤롯’이 왕으로
다스리던 때였다. 그는 유대 인이 아니라, 에서의 후손인
에돔족속 출신이었고, 로마
황제에게 뇌물을 바쳐 왕으
로 임명 받았기에 유대인들
로부터 인정받지 못했던 사
람이었다. 그는 유대인의 환
심을 사고자 헤롯 성전으로
불리는 제 3성전을 짓기도 했
다. 하지만, 로마의 지지가 끊
어질 것을 두려워하여, 강력 한 권력으로 유대인들을 다
스리기 시작했다. 유대인들
의 삶을 착취하며 그들 위에
군림하였고, 살인과 폭력을
일삼았다. 그는 자신의 정권
에 방해가 될까하여 자기 가 족들, 심지어 두 아들도 자기
가 보는 앞에서 처형할 정도
로 잔인한 폭군이었고, 가장 포악한 왕이었다. 엎친데 덮
친 격으로 가뭄 등 천재지변 으로 경제적 손실이 극심한
상황이었는데, 그럼에도 헤
롯은 유대인들의 상황과 상 관없이 과도한 세금을 물림 으로 유대인들의 불만은 이 만저만이 아니었다. 이러한 헤롯과 로마에 투항하는 사 람들도 생겨났지만, 이들에 게 협조하는 사람들도 생겨 났다. 이 시대는 암울하고 소 망없던 시대였다.
그러한 유대인들은 한가지
소망을 가지고 있었다. 그건
바로, 이사야 선지자로 인해
예언된 약속의 말씀이었다.
이사야 9장 6절은 이렇게 기
록되어 있다. “이는 한 아기
가 우리에게 났고 한 아들을
우리에게 주신 바 되었는데 그의 어깨에는 정사를 메었 고 그의 이름은 기묘자라, 모 사라, 전능하신 하나님이라, 영존하시는 아버지라, 평강
의 왕이라 할 것임이라”
물론 정치적 경제적 사회문
화적 억압과 고통을 받고 있 던 유대인들이었기에, 이 말 씀을 ‘정치적 경제적 메시야’
를 고대하게 만드는 말씀으
로 오해했지만, 그들은 공의 로 다스리고 세상에 평화를
가져올 메시야를 갈망하며 살았다. 그러한 시대를 살아 가는 그들의 기대와 갈망의
응답으로 예수님이 그 땅, 그 시대에 태어나셨다. 소망없
는 사람들, 절망 뿐인 사람들 을 구원하기 위해 태어나셔 서, 병든 자 상한 자 고통하 는 자들을 고치시고, 치유하 시며, 자유케하셨을 뿐 아니 라, 생명을 건지기위해 자신 의 생명을 버리심으로 이 땅 에 구원의 역사를 이루시고 완성하셨다.
2023년 한해도 쉽지 않은 상 황을 보내고 있다. 시간이 가 면 갈수록 정치도 경제도 상 황도 펼쳐지는 환경도 절망
뿐이다. 한숨만 나오고 답답 함이 멈추지 않고 있다. 이러 한 시대, 소망은 과연 어디에 있는 것일까? 하지만 빛이신 그분이 오시면 회복과 소망 이 넘쳐나게 된다. 그분은 우 리 삶의 문제를 해결하고 우 리의 아픔을
한류 열풍의 선두주자이자 아이돌 중의 아이돌 BTS.. 그 중에서도 솔로로 왕성하게 활동중인 멤버 정국(Jungkook)의 인기는 제가 사는 캐나다 몬트리올도 예외가 아닌데요. 최근 제 인스타그램 해외 팔로워들이 정국의 신곡 Standing Next To You에 맞춰 운동한 제 짧은 릴스 영상을 보고 풀버전을 만들어달라는 요청을 해왔어요. 그래서 짧고 굵게 3분 25초의 음악에 맞춰 할 수 있는 올인원 운동과 스트레칭 영상을 제작해봤어요. 오늘 소개해 드릴 동작은 먼저 제 한국어 유튜브 채널 ‘요가 읽어주는 여자 hayeon’ 에서 십분 요가 챌린지 Day9에서 연습하신 후 영어 유튜브 Yogasonghayeon에 최근 업로드한 3분 Song Yoga Workout영상을 찾아보시면 재미있게 따라하실 수 있을 거예요.
하체 근력 강화, 허벅지 토닝 효과
STEP 1. 선자세에서 한쪽 무릎을 접고 사이드런지 자세로 하체를 가볍게 웜
업해줍니다.
STEP 2. 좌우 바꿔가며 5-7회 반복해주세요
STEP 3. 이번엔 발꿈치를 안쪽으로 무릎과 발가락은 같은 선상에 위치하게 바 깥쪽으로 벌려 와이드 스쿼트 자세를 취합니다.
STEP 4. 다리를 구부렸다 폈다 반복하며 팔도 사진처럼 모았다 벌렸다를 반
복해주세요.
STEP 5. 영상을 참고해 런지자세까지 이어 진행합니다.
TIP! 엉덩이를 뒤로 보내 무릎이 과도하게 앞으로 나오지 않게 주의하면서
런지와 스쿼트로 앉습니다.


2. Forward Bend
허벅지 스트레칭, 하체 토닝 효과
STEP 1. 앞의 하체 운동 시퀀스가 끝나면 상체를 다리로 가져가 다리 뒷면을
길게 늘려주세요.
STEP 2. 좌우 바꿔가며 천천히 호흡과 함께 스트레칭 합니다.
STEP 3. 최대한 다리를 펴고 진행하되 무릎 보호를 위해 살짝 접은 상태를 유 지하세요.
TIP! 가슴이 허벅지에 가까워지지 않아도 상관없어요. 다리의 타이트함을
느끼며 호흡을 일정하게 하며 자세를 유지해도 충분히 허리와 다리에 좋은 스트레칭 효과를 보실 수 있어요.


3. Cobra Pose
척추 긴장 완화, 자세 교정
STEP 1. 배를 바닥에 대고 두 손을 가슴 옆에 두고 코브라 준비자세를 취합 니다.
STEP 2. 팔꿈치를 갈비뼈쪽으로 당기고 천천히 가슴을 매트에서 떼어 보세요.
STEP 3. 여러 번 반복하며 내 가동범위 안에서 척추를 시원하게 늘려봅니다.
STEP 4. 충분히 스트레칭 한 후 아기자세나 다운독 자세로 올라와 휴식 혹은 리셋 해주세요.
TIP! 허리가 약하신 분들은 무리해서 상체를 너무 많이 올리지 않아도 됩 니다.

송하연, 요가티처/요가풀니스라이프(Yogafulness Life) 대표

https://bit.ly/3w9ks4u (KOR)

https://bit.ly/SubscribeToYogasong (ENG) yogafulnesslife 이메일 : connect@yogafulness.life
홈페이지 : www.yogafulness.life


인스타그램 https://instagram.com/yogasong_hayeon
웃음은 기분이 좋을 때, 어떤 것이 웃길 때도
웃지만 어이가 없거나 화가 날 때도 웃음이
나오기도 합니다.
웃음에 대해서는 각 분야에서 다양한 연구 가 이루어지고 있는데요, 옆에 있는 사람이
웃으면 자신도 모르게 함께 웃거나 미소를
짓게 되는 경우가 많습니다. 흔히 웃는 것
도 전염이 된다고 하는데 정말 전염성이 있
는 걸까요?
사람이 낼 수 있는 가장 원시적인 소리
웃음은 생각보다 복잡한 과정을 수반하는 현
상으로 우리가 웃을 때 뇌와 신체 여러 부위
가 관여하고 반응하게 됩니다. 전두엽에서
소리와 이미지 등 다양한 정보를 받아 해석
해 그 정보들이 재밌는지 여부를 결정하는
것을 돕습니다. 이 과정에서 대뇌 변연계의
감정적인 반응을 유발하는데 이것이 감정을
조절하고 운동피질을 자극하게 됩니다.
다른 사람과 함께 있으면 더 많이 웃어
우리는 혼자 있을 때보다 다른 사람과 함께
있으면 약 30배 정도 더 많이 웃습니다. 웃음
엔 전염성도 있어 다른 사람이 웃는 소리를
들으면 웃을 확률이 훨씬 더 높아지는데, 우
리가 웃을 때 몸 안으로 더 많은 산소가 들어
오게 되며 뇌와 몸의 모든 세포에 더 많은 산
소가 공급되어 기분이 좋아지게 됩니다.
공짜 만병통치약, 웃음
웃음은 남녀노소를 막론하고 누구나, 언제
나 무료로 쓸 수 있는 좋은 약입니다. 웃음
의 순기능은 아무리 강조해도 지나치지 않
는데, 우울 및 불안 증상 감소, 긴장 완화, 엔도르핀 분비, 통증에 대한 내성 증가 등
긍정적인 효과가 많습니다. 웃음의 치유력
을 잘 활용하고 싶다면 다른 사람과의 연 결고리를 잘 이해하고 사용하는 것이 좋 습니다.
웃음은 사람 간 강한 유대감 만들어
웃음은 사람들 사이에 강한 유대감을 만들어줍
니다. 한 연구에 따르면 웃음의 전염성은 애정
과 소속감을 보여주는데요, 전문가들은 재미있
을 것으로 기대되는 사람과 함께 있는 것만으
로도 웃음이 터질 수 있다고 말합니다. 특히 영
화관 등 사람들이 집단으로 모여있을 때 더 많
이, 더 오래 웃을 가능성이 높다고도 덧붙였습
니다.
늘 밝아 보이려 애쓰고 있다면?
우울한 마음을 겉으로 내색하지 않는 사람들이
있는데 반대로 밝게 웃는 것이 습관이 되어 스
마일 마스크 증후군이 발생할 수 있습니다. 원 만한 대인관계를 유지해야 한다는 중압감과 밝
은 모습만 보여야 한다는 압박이 실제 느끼는 감정과 부조화를 이룰 때 나타나며 주로 감정노 동자나 직장인에게서 나타납니다.
스마일 마스크 증후군 혹은 가면 우울증
가면 우울증이라고도 불리는 스마일 마스크 증 후군은 슬픔이나 분노를 표출하지 못해 신체적, 정신적 이상 증상이 나타나는 것입니다. 적절한
치료를 받지 못하면 극단적인 선택으로까지 이
어질 수 있어 주의해야 합니다. 생각보다 흔한
스마일 마스크 증후군은 한 조사에 따르면 직
장인 중 18.1%가 이 증후군을 겪고 있다고 응
답하기도 했습니다.
긍정적인 생각을 갖게 하는 웃음
사람의 몸은 스트레스가 발생하면 도피하고자
하는 생각을 강하게 갖게 됩니다. 이때 웃음은
문제점을 긍정적으로 보게 되고 스트레스 일으
키는 일들을 덜 위협적이게 더 긍정적으로 볼
수 있게 도와줍니다. 그뿐만 아니라 통증을 완
화하고 큰 행복감을 가져다주며 면역력을 증강
시키기도 합니다.
억지로 웃는 것도 도움이 될까?
웃음은 박장대소하든 살짝 웃든 어떤 종류의 웃 음도 상관없이 같은 종류의 호르몬이 분비됩니 다. 왜냐하면 우리의 뇌는 진짜 웃음과 가짜 웃
음을 구별하지도 따지지도 않기 때문입니다. 억 지로라도 한번 웃어주면 몸이 이완되면서 전신 에 기가 잘 돌게 되고 전염력이 강해 여럿이 함 께하면 더 잘 웃게 되며 엔도르핀 분비도 왕성해 집니다. 웃음을 효과적으로 사용하려면 수시로 웃는 습관을 들이는 것이 무엇보다 중요하겠죠?

동물들끼리도 전염되는 웃음 웃음의 전염은 비단 사람에게서만 나타나는 현 상이 아니라 침팬지, 고릴라 등과 같은 유인원 에게도 나타난다고 알려져 있습니다. 이러한 전 염 반응은
연구 결과 가 가장 많습니다. 의도하지 않아도 반복적으로 나오는 웃음은?
얼굴 근육을 움직이게 됩니다. 이때 신경회로 에 문제가 발생하면 병적인 웃음이 나타날 수 있습니다.









퀸즈랜드 한글학교 제7회 교사연수회
모두 평안하신지요? 올 한 해 정말 수고하셨습니다.
한민족을 하나로 묶는 한글과 역사와 문화를
이국 땅에서 우리 자녀들과 한글을 사랑하는 외국인들에게
가르치느라 애쓰신 퀸즈랜드지역의 한글학교 선생님들의 노고에 감사를 드립니다.
금번 9일 교사연수회를 통하여
퀸즈랜드지역 한글학교 선생님들의 교육 재충전과 선생님 간의 나눔과 교제가 넘치는 장이 되시기를 바랍니다.
퀸즐렌드한글학교협의회 회장 곽 석 근
- 일시 : 2023년 12월 09일(토) 오전 9:30-오후 3:00
- 장소 : Upper Coomera Community Centre
90 Reserve Rd, Upper Coomera QLD 4209
- 주차 : 주차는 당일 Upper Coomera Community Centre 내
지상주차장을 사용
- 문의 : 곽석근 회장(0409 995 456), 장영균 부회장(0422 041 398)
장현숙 부회장(0422 630 262)
< 주제강의 > 김경아 선생님(초청강사) “기질과 학생교육”
< 공개수업 >
유경현 선생님(브리즈번한글학교) “유치부 어린이들의 즐거운 한글 교육이야기”
황순주 선생님(브리즈번순복음한글학교) “재미로 익히는 한글” - 주관: 퀸즈랜드한글학교협의회 - 후원: 재외동포청, 주브리즈번출장소
당일 쾌적하고 시원한 환경에서 심리적이며, 체험적인 강의가 진행됩니다.

아울러 교사의 교제와 나눔을 위하여 풍성한 점심과 선물이 제공됩니다. 주브리즈번
퀸스랜드주 한인회비
퀸스랜드주 한인회는 많은 회원분들
의 회비로 운영되고 있습니다. - 회비: 1인 $20 / 4인 가족: $50 - Bank: NAB - Account Name: The Korean Society of Queensland - BSB: 084 255 - ACC: 77 348 7068
송금하실 때에는 레퍼런스란에 본인의 한글 이름을 영문으로 적어주세요.
[ 2023년 상반기 한인회비 납부 ]
이선구 전 한인회장 가족 $50, 김은총, 김태성, 최경식, 박세진, 설청우, 김진성, 김웅도, 김형남 한인회장 가족 $50, 김찬호, 고동주, 서정 가족 $50, 권정식 $40, 이종일 가족 $50
골드코스트 한인회비
여러분들께서 납부해 주시는 회비는 골드코스트한인회의 운영과 교민사 회의 단합과 발전을 위해 쓰여집니다.
- 회비: 1인 $20
- Bank: BOQ
- Account Name: The Korean Society of Gold Coast Australia Inc
- BSB: 124 022
- ACC: 21549471
입금시 영문 성함을 꼭 기재해 주세요.
[ 2023년 7월1일~2024년 6월 30일 ]
지상의, 김춘임 부부 $50, 김술람, 최인숙, 김치은 부부 $50, 이순자 $50, 김광수(전예순) $50, 이세라, 손남순, 최원, 민광기(장희옥), 김창수(한승자), 조성진, 박찬식(조혜숙), 안순례, 이종희(강영부), 김경식, 강태홍 (김현영), 신명숙, 이하림, 선수 미 (최곤), 김용화, 윤지현(이주혜), 김광연, 신명아, 안경자, 최동일 (박은주), 이광분, 김경숙, 김현영


02 9210 0200
02 9210 0216
02 9210 0215
총영사관-행정 02 9210 0218
주시드니 총영사관-민원 02 9210 0234
통화량이 많아 연결에 다소 시간이 소요될 수 있습니다.
한국관광공사 02 9252 4147 광복회 호주지회 0452 188 070
긴급전화(경찰, 앰블런스, 화재) 000
Police Liaison Unit(한국어) 3364 3217 - 경찰업무 관련 한국어로 통화를 원할 때
Police Link 131 444 - 일반 경찰업무, 비자 분실 등
가정폭력 1800 811 811
여성상담센터 0425 252 372
성폭행 상담 3636 2414
수도 1300 366 692
독극물, 생명전화(24시간) 13 11 14
위기구호, 아동학대 1800 177 135 음주, 마약 3236 2414
관련 문의는 우선 총영사관 홈페이지 www.koreasydney.net을 참고해 주시기 바랍니다. 주호주 한국대사관 02 6270 4100
간판/인쇄/디자인
i-hub 0435 831 116
NB Signs - 간판, 인쇄, 디자인 0421 790 885
Sunny Creative 0412 840 533
건강식품/기념품
뉴질랜드 초록홍합,녹혈,녹용 캡슐 판매 0403 736 998
드림로드 양모, 한국이불 3209 5445
New Core 건강식품 3012 7886
SINI 건강 (써니뱅크점) 3344 7881
건축/인테리어/집수리


나이스 블라인드 3133 8330, 0421 594 083
대니 핸디맨 0402 299 915
백향건설 0434 763 843 / 0421 025 230
스타 블라인드 0430 715 906
에벤에셀 인테리어 0421 438 424



가스 문의 13 12 53 / 13 62 62 (사고) 텔스트라 문의 125 111 / 1800 773 421(한국어)
13 14 50
대한무역진흥공사 02 9299 1790
Happy Blinds 0481 711 500
Hi Design & Construction 0430 900 630
J Plus Building Inspections 0422 773 031
K Total Construction 0466 127 884
KIM’S HOUSING 0411 097 908
NEXUS PLUMBING 0459 999 754
OkayPainting 0430 889 559
OneStop Bath & Tiles 07 3034 1075 Shop4, 655 Toohey Rd, Salisbury
SUNSHINE 블라인드 0481 148 692
Total Cabinet 3299 1978
TOV Construction 0452 578 001
Vertex House Renovations 0403 420 467
WINDOW ART 3114 2145, 0490 537 244
WK Painting Services 0412 726 807
건축 설계
mih architect
교민단체
골드코스트 한인회 0418 763 186
대양주 한인회 총연합회 0427 566 474
월남전 참전자 전우회 퀸즐랜드지회 0411 378 391
재향군인회 퀸즐랜드 분회 0412 629 358
퀸즐랜드 주 한인회 3390 0024/ 0424 724 624
퀸즐랜드 한국 참전 유공자회 0414 295 709
퀸즐랜드 한인 골프회 0430 202 239
퀸즐랜드 한인경로회 0418 883 377/3345 1400
퀸즐랜드 ROTC 동문회 0415 695 635
퀸즐랜드 한인 비즈니스 협회 0408 889 792
퀸즐랜드 한인 오케스트라 0411 820 800
퀸즐랜드주 해병 전우회 0427 334 521
골프레슨
원성욱 프로 레슨 0402 598 961
Victoria Park Golf Learning Centre 한국어 0451 899 874
교육/학원/개인교습

김선생 수학 0430 127 992
탑원 바이올린 0424 783 353
피아노 전공자쌤 0478 548 500
피아노/망고힐/시드니콘석사 장학생
세계대회1등 0433 309 331
호주 라인 댄스 0401 812 610
CS Education 0402 855 802













윈도우 아트 블라인드 0490 537 244
황용연 건축사 0451 377 843 건설현장 자격증 학교
EduPlanet College & QCM 3343 6343








욕실 누수 전문(욕실 리모델링, 타일, 방수) 0452 471 080
콘솔 블라인드 0408 288 789
Simili Training Joseph Lee 0477 787 200
Ji Lee 0416 740 514
Kevin Simili 0416 740 516
Eight Mile Planes 유치원 3841 3350
Elite Tuition 0400 328 187(영 어) 0400 163 227(한국어)
LE SPA MASSAGE ACADEMY 3368 3362

토넵 - 주방욕실 가구 전문 0478 616 026










ARCHIONE Design Builders 0402 533 628
Beauty Home Blind 0408 011 021
Blue River Design & Construction 0478 709 032
주례 써니뱅크 정부 공인 주례사 0408 688 010
i-Care 0433 494 281
Simili Training (건설현장 자격증
정부승인) 0477 787 200, 0416 740 514
SP 에듀케이션(하이스쿨, ATAR 대비) 3195 8532, 0411 168 007
Winny Family Care 0420 720 894





Blue Whale Construction 0402 272 891, 0416 911 333
BL 핸디 홈 메인터넌스 0416 911 444
City Garage Doors
차고문 당일수리, 제작 0492 889 349
Dr 핸디맨 0478 833 415
G1 Painting 0450 959 010




광고문의 0422 258 092, 0432 008 985 admin@qldkoreanlife.com.au
아하바 목욕탕 3391 2279
웨딩메이크업헤어(withBRIDAL) 0481 982 486
제시헤어 0414 060 369
ON U Hair(시티) 0458 467 164
alabuu 0493 475 995
Hair Captain 헤어캡틴 0481 600 088
K Bridal Studio(Julie) 0451 373 313
M nails & beauty 0432 346 799
M&U Beauty Brow(미앤유 뷰티 쿠파루) 0423 056 137
Nail Station Brisbane 0401 307 878
The Face Shop (가든시티) 3344 6014 (써니뱅크) 3423 2514
번역/통역


보험/홈론/파이낸스
Remax 부동산 써니뱅크
조권현 0452 65 88 78
YONG 부동산(오세진) 040 228 3003
사진
Alicia’s Photography 0478 825 233



무담보 소액대출(호주 어디서나) 0412 232 889
미래종합금융 1300 882 595
ANZ Jin Lee 0434 689 100

가영 NAATI 3급 번역공증 0410 672 485
나티공인 한영/영한 번역사 0431 232 673
데레사 통역 0402 307 090
손지은 NAATI 3급 0412 088 428
호주 닷컴 온라인 번역공증 info@hojoo.com
JINO NAATI 통역서비스 0430 812 205
변리사
김현태 특허상표변리(호)사 040 433 5914
변호사

법무법인 Park & Co ㆍ 대표번호(유선) 3345 6665
ㆍ 대표번호(모바일) 0490 130 012
ㆍ 박창민 변호사 0452 435 447
ㆍ 김희용 변호사 0431 628 082
ㆍ 허성은 변호사 0425 030 220
H & H Lawyers 02-9233-1411
ㆍ홍경일 대표변호사
ㆍ강현우 형사전문변호사 0487-192-566
ㆍ김진한 변호사(이민)
ㆍ김현태 변호사·상표변리사
리틀즈 법무법인
ㆍ NSW 1800 000 119
ㆍ QLD 1800 082 082
ㆍ 김경태 변호사 0452 480 920
ㆍ 이종일 변호사 0434 980 635
성도 법무법인
ㆍ대표번호 3392 3981
ㆍ김문기 변호사 0411 211 227
ㆍ김태규 변호사 0403 689 714
KLS Legal Practitioners
ㆍ사무실 (07) 3113 3790
ㆍ나윤제 대표변호사 0423 005 035
ㆍ신선미 변호사 0412 693 115
김린 변호사 0404 871 986
김영규 변호사 07 3210 6489, 0411 624 779
박근영 변호사 0433 372 566
주광훈 변호사 0405 694 497
정회림 변호사 07 3195 4807
진승희 변호사 0403 503 530
LinkOz 이정민 변호사 0401 576 978
C-Herald Insurance 1800 998 557
C-Herald Finance 1800 998 557
Focus Loan(오지훈) 0420 847 110
Hana Finance (알렉스) 0410 622 838 복지센터
AACA (All About Care Australia) 07 3133 0209 (Gemma) 0430 218 030 (Tasha) 0402 595 741
ONE DREAM COMMUNITY
복지 홈케어패키지 1800 841 777
상담/심리치료
ACC 상담센터 02 6255 4597
JR 부부상담연구소 0434 487 433
브리즈번 명상센터 0466 211 405
숙박시설
스프링우드 타워 호텔 3387 7077
호텔 다이아나(한국어) 3896 1691
송금/환전
한국송금(구. 코원송금) 0474 373 007
스포츠/체육관
원 태권도 0430 295 881
Sunnybank 테니스클럽 0430 014 221


Sunnybank 당구장 0430 014 221 식당/카페



AKLINKS 손한나 대표 0428 87 5050
3 Sisters 3195 4481

Bluedog 부동산 0419 536 071
Bluedog 김수정 0408 622 934
HD Property 황기철 0413 515 788
Harcourts Calamvale (홍성우) 0415 413 769
Ideal Realty Advisors (시드니) 02 8007 4989, 0414 088 089
KLOVER PROPERTY
Kay Lee 0421 007 147
Link Plus Realestate 이지영 0450 908 864
Raas Group 0420 486 651
누나네 해장국 3107 4158
마녹파크 0433 276 449
마루 3221 7778, 3012 9912
모모치킨(city) 3012 8238
모모치킨(runcorn) 3841 8068
미담 3344 5001
불고기 Bros 3350 2233
샤부하우스 (일식 부페) 3211 5407
소문 삼계탕 3158 3709
차미 푸드 앤 보틀샵 3210 6349
코릴라 바베큐 3211 1212
여행/공항픽업
가나안 공항 픽업 0478 833 415
도움 투어 3012 8383
우리여행사 0412 393 713
케니 여행사 3344 3220 / 0402 729 595
현대 투어 0432 140 083
HT 여행사 3003 1771
운송/택배/이사








채정우 이민법무사 0423 687 378

모유사랑 모유수유클리닉 (상담, 유방관리) 04 5675 5675
보화당 한의원 3219 1002
언어치료사(Speech Pathologist) 0473 562 154
엔한스 덴탈 스튜디오 (런콘) 07 3423 0783
족부 의학 클리닉 (써니뱅크) 07 3344 6866 (해밀턴) 07 3741 2825
질미어 치과병원 3265 6010
Carindale 자매치과 (김현아/김은아) 3324 9172
Dr. Seung-min Youn(윤승민) 정형외과 07 3278 2662
Dr.허 시티 한국인병원 3210 2111
Dr.허병원 Skin Clinic 0407 112 342
Hybrid Physio 3190 9747
JINDALEE Complete Dental 3376 5475
My Clinic (Dr 제임스 강) 3272 2202

























The Dental Club 1300 165 768 Stafford | Caboolture | Bellmere | Griffin 의류/침구/옷수선























센트로파이 0457 269 109
시온 에어컨 냉동 0434 486 877
에어컨 청소 FreshZone 0431 135 071


Airmazing 0451 104 439, 0430 189 603




가구소형이사 픽업서비스 0411 736 276
가나안 용달 서비스 0478 833 415
(각종 소형 ‘짐’ 운반)
대한통운 국제택배 0431 571 657
와이즈 국제물류 1800 577 369
현대택배 0430 014 221
HT Logistics 3823 1802
PNL 택배(한국-->호주) 0449 24 8282
COOL MY 에어컨디셔닝 0406 284 159
Fresh Cool 0401 627 853
LEES 에어컨 설치 0434 378 245
SONG 에어컨 설치 0414 781 645
SWIND 0451 994 144
TURBO 냉동 / 에어컨 / 컨설팅 0403 458 777
OK 냉동 서비스 센타 0423 457 898 유통
웨스티마켓 0450 103 788
Milton Exchange (노브랜드 유통) 0438 545 007
Cordelia International (온리프라이스
제품외 유통) 0450 103 788 유학원
도움 유학 3012 8383
GLOBAL MATE 3221 8318 0451 281 841 HT 유학원 3003 1771
컨설팅
가영 비자 이민 컨설팅 0410 672 485
백승용 이민법무사 3323 3186
변기훈 이민법무사 0425 669 799
이정민 법무사 Select Australia 0430 592 230
드림로드 3209 5445, 0433 267 953

차밍 옷수선 0403 617 076



한복 대여점 이음 e-uum 04 2121 3656
OUR HANBOK 0423 378 055 자동차운전학원
메이 운전학원 0419 708 177
부부 운전학원 0414 273 087 자동차정비






















0450 616 924 / 0413 805 236






브리즈번 정토법회 0438 536 221 원불교
3219 1002
꿈이 있는 교회 0421 480 870







동행하는 장로교회 3422 0828 / 0400 878 882
0412 840 533


브리즈번 순복음교회 3341 9090 / 0433 9933 52
미디어 나라 0412 443 066
NB Signs - 간판, 인쇄, 디자인 0421 790 885







스프링필드 침례교회 킹제임스성경 0469 859 983
호주 가정 상담 대학 0416 069 812
호주 기독교 대학 02 6255 4597
GGL 토탈 IT 솔루션 0422 395 706
iComputer (TPG 공식딜러, 컴퓨터 수리) 0450 511 829
M4U 웹디자인 0434 417 933









한마음 교회 0410 409 007
Faith Church 써니뱅크
ㆍ 요한계시록 성경예언
ㆍ ilona 목사 0400 374 666 주방용품(상업용)
썬샤인 비즈 솔루션(스시머신, 주방용품) 0413 396 799
All 4 Kitchen 주방용품 수리 0433 974 907 중고 가전
Smart Electrical Clearance Outlet
ㆍ Hyperdome 3133 1805
ㆍ Capalaba 3823 4165
ㆍ Mt Ommaney 3376 7445
ㆍ Browns Plains 3800 1013 청소/방역
원스톱 방역 & 카펫 청소 0401 600 887
원펀치 터마이트&페스트컨트롤 0402 157 905
써니뱅크 터마이트 0412 178 944
짐스 터마이트 & 페스트 컨트롤 0416 515 874
클린킹(청소용품판매) 3208 1333
JCM 터마이트&페스트 닥터팀 0430 318 776
N2 CREATIVE (웹사이트 제작) 02 8091 7333
VTEQ 컴퓨터 3323 3232 (TPG 공식딜러, 웹사이트, IT솔루션) 핸드폰
Jaetech 핸드폰 수리점 0404 932 988







뉴질랜드 초록홍합,녹혈,녹용 캡슐 판매 0403 736 998
로얄건강 타운

교회 0402 496 797
ㆍ 벧엘 장로교회 3345 9299
ㆍ 브리즈번 동산교회 3803 1314 ㆍ 브리즈번 로고스 선교교회 0403 956 390 ㆍ 브리즈번 만나성결교회 0431 853 922
ㆍ 브리즈번 모닝사이드 연합교회 0413 101 708
ㆍ 브리즈번 믿음 교회 0430 047 548
ㆍ 브리즈번 바인 장로교회 0450 410 501
ㆍ 브리즈번 반석 장로교회 0430 810 929
ㆍ 브리즈번 서림교회 0423 333 932
ㆍ 브리즈번 선한목자교회 0431 686 296
ㆍ 브리즈번 성결교회 0433 689 717
ㆍ 브리즈번 안디옥 장로교회 0423 733 599 ㆍ 브리즈번 왕성교회 0400 878 882
ㆍ 브리즈번 은혜교회 3376 2143 / 0433 677 241
ㆍ
임마누엘교회 3344 7521
3343 1817 / 0413 608 392
주안교회 0432 680 975
평화교회 0425 252 372
3341 9232
3202 9553 / 0413 515 737
0425 306 577
0433 494 281
3290 0376
0414 624 779
AplusHomeCare(터마이트,페스트 컨트롤) 0448 226 179
Kleen Hub(청소용품 판매) 3191 3248
푸드패키징
Kleen Hub 3191 3248
Q Pack 3219 5654
플러밍/가스
HIGH TECH PLUMBING & GAS 0431 409 844
JINSU PLUMBING&GAS 0401 359 573
NEXUS PLUMBING 0459 999 754
PK PLUMBING 0433 772 172
폐차/고철/고물
Metal Xchange | Cash for Cars 0410 140 500

권신정 회계사(MAZARS) 3218 3924
회계사(PKF) 0433 379 280 김재미 회계사












LINKS 부동산






레삐헤어 5679 3943
신 헤어 스튜디오 0407 090 270
웨딩메이크업헤어(withBRIDAL) 0481 982 486
킴스헤어(사우스포트) 5527 1990
케이살롱뷰티(사우스포트) 0421 187 046
FOREL Beauty & Spa 0413 753 087
Kausie Hair Salon (코지 헤어) 5531 2963
Meraki Hair 5592 0984
Hair COCO.GC 0413 662 699 / 5511 1892
The Hair 5528 6310
The 9 Brows & Beauty 반영구 화장 0448 019 555
Retreat 마사지 0404 806 887, 5527 1147
번역/통역
0410 601 521 김영규
C-Herald Insurance 1800 998 557
C-Herald Finance 1800 998 557
You and Me Finance 0468 429 180 보험전문



0428 87 5050
Bluedog 부동산 0419 536 071
Bluedog 김수정 0408 622 934
MASTER QLD PROPERTY 서문희 대표 07 55 111 888 / 0478 110 290
Onyx Property Management 0490 187 898 Ray White 이민정 0431 686 286
Raas Group(Yong Lee) 0420 486 651
ALICIA’S PHOTOGRAPHY 0478 825 233
WOW CAFE & STUDIO 0401 282 303
AnK 골프 아카데미 0434 142 638
D.I Sports Academy 0425 864 112 Golf Zero 0435 595 577





Oppane 오빠네 5532 2413
Rice House 5591 2239
RICE VS NOODLE 5538 8803
The Dak 0468 857 692
WOW CAFE & STUDIO 0401 282 303
식품점/편의점
스마일마트 5527 1312
오페마트 5531 0922
유니마트 5608 9860
하나로마트 Helenvale 0493 090 679
Southport Robina
해피마트 0401 337 458
현우식품 5526 3838
Coomera Asian Mart 0424 491 646
K-Town Supermarket 5528 6781




Lotte 편의점 5591 2356
식품제조
명가(김치, 밑반찬) 5531 0906

고기하우스 5591 7465
감성포차 Yacha 5660 9648
김치하우스 5538 8496
다노시스시 5528 3005

두리분식 0413 965 268
대박집 5531 0374
불고기ya 5591 7270
서라벌 고기부페 5538 8465
소공동 순두부 0423 455 599
이조 숯불 BBQ 5531 2423

코리안 키친 5538 8855
파라다이스 숯불구이 5592 3824
해피롤 5528 0588
Hochan 호찬 0424 215 797
AZIT(아지트) 5661 8537
BBQ 빌리지 5532 2700




BBQ 코리아나 5504 5627
Cafe 928 5679 6616
CHIKOR 5531 1254
Cook & Beer 0402 99 66 94
Gal. B 5591 5141
Izakaya ichi 5564 0190
MAMAS KITCHEN 5571 1896
BB 두부 0406 541 572
안경원
골드코스트 한인안경원(EYEdear Optical) 0423 083 599
여행/공항픽업

시티익스프레스 공항픽업 0413 059 206
우리여행사 0412 393 713
운송/택배/이사




KPOST 우체국 택배 0422 59 59 79
대한통운 국제택배 0431 571 657
현대택배 3075 6872 / 0430 014 221
HT Logistics 3823 1802
PNL 택배(한국-->호주) 0449 24 8282 유학원
마린 유학 5591 7070

의류/침구/옷수선
벨라 옷수선 5511 2077
Sweet Closet 0402 148 750 자동차운전교습
메이
운전학원 0419 708 177
부부 운전학원 0414 273 087
자동차정비



DP Motors 5537 8235, 0433 835 293
GCCEM 이승엽 0421 707 771
H&K Motors 5532 9088, 0433 004 310
JD Motors 5591 6772, 5591 6227
TINT MASTER 0421 707 771
차량복원 전문업체 NICK’s Panel & Paint 5531 3459, 0430 123 950
CLUB AUTO 이승엽 0421 707 771
메르세데스 벤츠 골드코스트, 레이튼(한국어) 0478 220 828 카톡 MBGCLY
전기/전자/통신
리스(LEES) 전기공사 0434 378 245
하나로 전기공사 0416 868 818
SONG 전기공사 0414 781 645
정수기/비데



청소/방역
가나 Termite,Pest Control 04 02 02 8720
얼스 와이즈 방역 0436 321 537
원스톱 방역 & 카펫 청소 0401 600 887
원펀치 터마이트&페스트컨트롤 0402 157 905
짐스 터마이트 & 페스트 컨트롤 0416 515 874
클린킹(청소용품 판매) 5532 2342
JCM 터마이트&페스트 닥터팀 0430 318 776
PAULS Clean King 0425 233 118
RAPID CLEAN 청소용품 5572 2284
컴퓨터/POS/웹사이트
미디어 나라 0412 443 066
iComputer (TPG 공식딜러, 컴퓨터 수리) 0435 831 116
VTEQ 컴퓨터 3323 3232 (TPG 공식딜러, 웹사이트, IT솔루션)
권신정 회계사(MAZARS) 3218 3924
김상현 회계사(PKF) 0433 379 280
김재미 회계사 0478 221 525
바른회계법인 한상호 회계사 0450 468 318
백화실 회계사 0421 007 756
안재웅 공인회계사 0420 518 253
이윤 회계사 3299 1031





Q Pack 3219 5654
심인섭 공인회계사 0432 493 032
신우 회계 법인 3148 8887







CYS 회계법인 07 5503 0366
JY Accountants 07 5679 1619


Prudent Accountants & Co 0412 447 987












AK 정수기/비데 0401 558 353
The Bidet Shop 1800 243 387
VCG (엘지 정수기) 07 3924 1870 / 0421 807 981
정육점
서울 정육점 5531 5227, 0405 934 952
종교단체
기독교
ㆍ 골드코스트 가까운교회 0433 447 483
ㆍ 골드코스트 선교교회 0431 232 304
ㆍ 골드코스트 순복음교회 0402 089 896
ㆍ 골드코스트 온누리교회 0412 341 868
(Southport State High School 내)
ㆍ 골드코스트 열방교회 0412 362 029 (장로교회)
골드코스트 장로교회 0409 995 456 ㆍ 골드코스트 재림교회 0430 041 022 ㆍ 골드코스트 지구촌교회 0433 609 191
0451 472 202
0412 194 829
0426 501 966
0423 932 742
0433 308 436
0421 579 026
0411 725 639
0402 044 331
0478 782 186
골드코스트 주님뜻교회 0450 501 201


그래픽 디자인
위니아트 0401 596 877
식당
Black Curry 5200 0875
Brown Rice(Peregian Springs) 5448 2197
Hanami (Coolum Beach) 5471 7091
HIKARU
ㆍ Birtinya 0432 389 288
ㆍ Baringa 0432 389 288
ㆍ Kawana 0452 028 804
ㆍ Northshore 5406 9017
ㆍ Buderim 5476 6266
MakiMoto(Noosa) 5447 3254
Master Sushi 5526 7557
The Sushi 79 (Currimundi) 5437 8208
Tampopo 5476 7039
Haru Korean Kitchen 5447 2249
식품점
선샤인 마트 0488 515 288
의료/병원
Doctors@Maleny (닥터.노) 07 5413 8066
전기/전자/통신
존 TV&안테나 0491 068 872
정수기/비데

















































































































































































































대도시에서 비싼 집세를 낼 바
엔 차라리 집을 매입하는 편이
재정적으로 경우에 따라 더 유
리할 수 있다는 주장이 제기됐
다. 아파트나 유닛에서 세 들
어 살고 있다면 더욱 그럴 가
능성이 높다.
데이터 분석 회사인 프롭트랙 (PropTrack)은 10년 동안 부
동산을 임차할 때의 예상 비
용과 인지세(stamp duty) 및
기타 비용을 포함해 계약금
20%로 부동산을 매입할 때
의 예상 비용을 10월 시장 자
료를 기준으로 비교했다. 작
년 초, 이 회사는 전국 부동산
의 약 4분의 1이 임차하는 것
보다 매입하는 것이 더 유리하
다고 발표한 바 있다. 이 비율
이 이제는 3분의 1(36.3%)로
올라간 것이다. 특히, 단독주
택보다 상대적으로 가격대가
낮은 아파트 또는 유닛이 임
차보다 매입이 더 저렴할 가
능성이 높았다.

이 경향은 호주의 두 대도시 인 시드니와 멜버른에서 도 드라진다. 시드니에서는 분석 대상인 유닛의 42.7%가 매입

에 불과했다. 멜버른도 유닛은 38.5% 단독주택은 2.2%로 그 격차가 매우 컸다. 퍼스에서는 유닛 10채 중 9채 이상(92.5%)이 임차로 살기 보다는 자가로 사는 쪽이 경 제적으로 더 합리적이었다. 단 독주택의 경우에도 주도들 중 가장 높은 비율(74.3%)로 세 입자보다는 집주인이 되는 것 이 주거 비용이 적었다.
브리즈번, 호바트, 애들레이 드는 유닛은 각각 77.3%, 63.7%, 60%, 단독주택은 각 각 26.4%, 35.7%, 30% 비율 로 10년 거주 시 임차보다는 매입을 고려해 봄 직했다.


호주중앙은행, 기준금리 '4.35%' 동결



호주중앙은행(RBA)이 올 해 마지막 이사회에서 기 준금리를 4.35%로 동결 하기로 했다. 지난달 5개월
만에 금리를 0.25%포인트
인상하고서 1달 만에 금리
를 다시 멈춰 세웠다.
미셸 불럭(Michele Bullock) RBA 총재는 "인플레
이션이 계속 완화하고 있
어서" 금리를 인상할 필요
가 없다고 판단했다고 화
요일(5일) 성명에서 밝혔
다. 이번 동결은 경제분석
가들이 대체적으로 예상했
던 결과다. 10월 소비자물
가 상승률이 예상보다 낮 게 나오면서 12월 금리 인
상은 없을 것이라는 전망
이 많았다. 11월 금리 인상
의 배경에는 RBA의 기대
보다 더딘 인플레이션 완 화 추세가 있었다.
주택 가격 상승, 신규 주택 담보대출 건수 증가, 높은
서비스 인플레이션 등으로
미루어 볼 때 "인플레이션
이 더 오래 지속될 위험이
커졌다"는 것이 당시 RBA
의 결론이었다. 이번에 불
럭 총재는 지난달 회의 후
에 나온 10월 소비자물가
지수(CPI) 데이터가 상품 부문 중심으로 인플레이션 이 완만해지고 있음을 시 사한다고 설명했다.
CPI 수치에 서비스 인플 레이션에






















































































호주 부동산 중위 가격이 75 만 3,654달러로 최고 수준에
이르는 것으로 나타났다. 코
어로직의 11월 데이터에 따
르면, 호주에서 부동산 가격
이 가장 높은 곳은 역시 시드
니다. 시드니에서 중간 가격의
단독주택(house) 한 채를 매
입하려면 거의 140만 달러가
필요하다. 유닛(unit)의 중간
가격도 83만 6,220달러로 전
국에서 가장 비싸다. 다만 코
어로직(CoreLogic)의 팀 로리
스(Tim Lawless) 연구 책임자
는 올해 2월 이후 가장 적은 월
별 상승률(0.3%)을 기록한 시
드니 시장이 다음 달부터는 하
락세를 보일 수 있다고 전망했
다. 11월 가격 상승률에서 시
드니는 퍼스, 브리즈번, 애들
레이드에 밀린 성적을 거뒀다.
퍼스는 한 달간 부동산 가치
가 1.9% 상승했다. 2021년 3
월 이후 가장 큰 월간 상승률
이다. 연간 상승률인 13.5%
는 브리즈번(10.7%)과 시드
니(10.2%)를 앞지른다. 퍼스
의 중위 단독주택 가격은 67
만 6,910달러, 중위 유닛 가격
은 45만 7,296달러다. 5년 평
균보다 거의 40% 낮은 매물
수가 가격 상승 압력에 영향을
준 것으로 보인다.
애들레이드는 퍼스 다음으로
월별 상승 폭이 컸다(1.2%).
애들레이드의 중위 단독주택
가격은 75만 7,000달러, 유닛
가격은 47만 9,000달러로 집
계됐다. 애들레이드 부동산
가격은 2023년 3월에 바닥을
찍은 이후 8.7% 상승했다. 특
히, 0.3%를 기록한 11월 임대
공실률은 전국 주도 중 가장

낮은 수치다.
브리즈번은 퍼스, 애들레이드 와 함께 시장 매매 활동이 평 균 이상인 도시다. 로리스는
"가용한 공급과 확실한 수요 사이의 불균형이 이들 시장 전 반의 주택 가치에 강한 상습
압력을 유지하고 있다"고 말 했다. 한 달 동안 부동산 가격 이 1.3% 오른 브리즈번의 단
독주택 중간값은 87만 526달
러, 유닛 중간값은 55만 2,332 달러다.
반면, 멜버른(-0.1%), 호바트 (-0.1%), 다윈(-0.3%)의 부동 산 가격은 11월에 소폭 하락 했다. 새해 부동산 시장은 공 급은 낮고 수요는 높은, 금리 는 높은데 저축률이 낮은 상황 에서 출발한다.

생성형 인공지능(AI)이 전국
교실에서 일상적으로 사용될 수 있는 길이 열렸다. 연방정 부와 주정부는 '학교에서의
생성형 AI를 위한 국가 프레임 워크'를 지난 1일 발표했다. 이 프레임워크는 학생들이 안전 하고 효과적인 방법으로 생성 형 AI를 사용할 수 있도록 고 안됐다.
세계를 강타한 챗GPT가 출시 된 지 1년 만에 나온 지침이 다. 그동안 교육 현장에서는 이 기술을 전면 금지해야 할 지, 아니면 전면 수용해 학습 에 활용할지에 관해 다양한 논의가 이뤄졌다.
이번 프레임워크는
"호주 생계비 압박 '극심'

파인더(Finder)는 경제 적 부담을 측정하는 '생계
비 압박 지수'에서 호주 가 구의 압박 정도가 "극심한 수준"이라고 밝혔다. 파인
더의 소비자 연구 책임자 인 그레이엄 (쿡Graham Cooke)은 11월에 기록한
79%라는 수치는 "호주 가
계가 얼마나 압박감을 느끼
고 있는지 잘 보여준다"고 말했다.
파올해 압박 수준이 최고
2023년 5월의 85% 보다는 낮지만, 2020년과 2021년 대부분보다 상당 히 높은 수치라고 한다. 파 인더의 월간 지표 중 하나 인 생계비 압박 지수는 5만 3,000명을 대상으로 한 소
비자 심리 조사를 토대로, 주거 스트레스, 급여 기대
치, 가계 부채, 재정 스트레 스, 가계 저축, 휴가 계획, 신용카드 지출, 부동산 가 격, 인플레이션 등을 고려 해 산출된다.
































































인공지능의 역할과 불확실한 미래 전망
많은 호주인이 이미 AI(인공

지능)로 인해 일자리를 잃고
있지만, 지금까지는 그 영향
이 두드러지게 드러나지 않
고 있다. 경제학자들은 AI가
빠른 속도로 일자리를 창출하
고 있는 반면, 그로 인해 일부
산업에서 일자리를 잃는 현상
도 빈번하게 일어나고 있다고
말했다.
벤자민(가명)은 올해 초 AI의
등장으로 일자리를 잃게 되
었다. 그는 “우리는 AI의 영향
을 받았다. 모든 업무가 챗봇,
데이터 스크래핑(data scraping), 이메일 등 직무의 자동 화로 대체되었다”고 말했다.
그는 엔데버 그룹(Endeavour Group)에서 와인 구독 판 매 직무를 맡고 있었다. 벤자
민과 함께 일자리를 잃은 직 원들은 AI가 주요 해고 원인 이라는 강한 인상을 받았다
고 말했다.
그러나 이러한 결정에 대해 회사에서는 공개적으로 발
표하지 않았으며, ABC방송 에 보낸 성명서에 따르면 이
번 감원은 ‘디지털 주도형 서
비스로의 광범위한 전환의 일
환’이라고 설명했다. ABC방
송이 확인한 바, 근로자들이
경영진에게 보낸 피드백 편
지에는 "많은 고객, 어린이부
터 노인까지 봇이 아닌 실제
사람과 대화하고 싶어한다"
고 적혀 있다. 벤자민은 "일자
리를 잃은 사람들의 관점에서
보면, 어떠한 애매모호한 부
분도 없다. 회사가 'AI'라고 말 하지 않기 위해 애쓰는 모습
을 지켜보는 것은 꽤 흥미로
웠다"라고 말했다.


Sushi Izu Southport Park
Sushi Izu Elanora

엔데버의 성명에 따르면, 영 업팀의 모든 직원들에게 ‘업 무 재배치 기회’를 주었고, 일 부 직원들은 직무 전환을 위해 회사에 남아있다고 말했다.
하지만 벤자민은 팀원 중에는 ‘일거리’가 없어진 사람이 많
았으며, 평생동안 이 업무를 해온 60대의 사람들은 ‘이제 어떻게 해야할지 모르겠다’고 말한다고 주장했다.
일상에서 눈에 띄지 않는 AI 일자리 축소 현상
벤자민의 팀이 줄어든 것과 AI 와 얼마나 관련이 있는지 정확 히는 알 수 없지만, 이것은 더 큰 문제를 시사한다. 경제 컨
설턴트 회사인 만다라(Mandala)의 경영파트너인 아미트 싱(Amit Singh)은 이러한 상 황을 "데이터 문제"로 지적했
다. 고용주들이 AI의 영향으로
인한 감축을 다양한 요인으로
돌리며, AI를 명확하게 언급하
지 않기 때문에 데이터로 정확 하게 나타나지 않는다고 말했 다. 또한, 일자리 감소가 아니 라 근무 시간의 감소로 이어지 는
러의 계약을 체결했다고 말 했다.

지난 28일, 오전 6시부터 뉴 사우스웨일스주(NSW)에 서 자발적 안락사 신청을
Seek 프리미엄 온라인 구인광고
할 수 있게 되었다. NSW
보건부는 초기 몇 주 동안
은 많은 수요의 신청이 있
을것으로 예상하고 있다.
하지만 전문가들은 수요를
충족하는 데 어려움이 있
을 수도 있다고 우려한다.
NSW는 다른 주보다 더 짧
은 대기시간과 약물 투여
방법 선택권이 주어진다.
의사와 환자가 자발적 안락
사 절차를 신청 절차를 시
작할 수 있는 포털사이트가
28일 오전 6시에 열렸다. 법
에 따라 2명의 다른 의사에
게 요청을 해야하며, 이 중 하나는 반드시 서면으로 이 루어져야만 한다. NSW는 빅토리아주(VIC), 서호주주 (WA), 타즈매니아주(TAS), 퀸즐랜드주(QLD), 남호주 주(SA) 등과 함께 자발적 안락사 합법화에 동참했으 며, 수도준주(ACT와) 노던 준주(NT) 또한 합법화 방향 으로 나아가고 있다. 주요 차이점은 NSW에서는 5일 간의 ‘고려 기간’(the cooling-off period)이 있다는 점이다. TAS에서는 고려 기 간이 7일이다. 연명치료 관
련 전문가들은 짧은 고려 기간이 오히려 환자들에게
는 긍정적이라고 주장한다. 퀸즐랜드 대학(University of Queensland)의 벤 화 이트(Ben White) 교수는 “환자가 자격 기준을 충족 하고























































많은 호주인이 생활비 상승으
로 인해 식료품비 지출을 줄
이고 있는 사이, 콜스와 울워
스는 10억 달러가 넘는 수익
을 올렸다고 보고돼 공분을
사고 있다.
녹색당은 이러한 수익이 글로
벌 인플레이션과 공급망 문제
를 핑계로 주요 슈퍼마켓들이
필요 이상으로 제품에 높은
가격을 책정하여 발생했다고
보고 있다. "콜스와 울워스는
과도한 가격을 별 문제 없이
책정할 수 있다고 생각하기
때문에 수십억 달러의 수익
을 올리고 있다. 이것을 끝내
야 한다"고 녹색당 상원의원
닉 맥킴(Nick McKim)은 말했
다. 식품 인플레이션은 2022
년 12월 9.2%로 정점을 찍은
후 올해 완화되었지만, 2023
년 전체적으로는 4.8%를 기 록하고 있다.

르면 식품 항목은 2023년에
세 번째로 높은 상승률을 기 록했다. 이로 인해 슈퍼마켓 가격 폭리에 반대하는 운동이 올해 탄력을 받고 있다.
호주 통계국(ABS)에서 나온 최신 가계 지출 데이터에 따
호주노동조합총협의회(ACT U)은 앨런 펠스(Allan Fels) 전 호주경쟁소비자위원회 (ACCC) 의장이 주도하는 자체 조사에 착수했다. 온라인에서 는 콜스와 울워스 매장에 직 접 만든 가격 폭리 방지 라벨 을 붙이는 한 게릴라 캠페인 이 수천 번 공유되기도 했다. 녹색당은 호주 의회가 주요 슈 퍼마켓의 비용과 수익을 조사 하기 원하고 있다. "이 조사는 두 대형 슈퍼마켓 의 손에 집중된 시장 지배력 으로 인한 가격 폭리를 살펴 보고... 식료품 가격을 낮출 방 법을 찾을 것"이라고 맥킴 상 원의원은 말했다. 호주의 시장 경쟁 감시 기관 인 ACCC는 호주 슈퍼마켓 부문을 2008년에 마지막으 로 조사했는데, 당시


호주 - 프랑스, 상호 군사 협력 강화키로
Bilateral Roadmap)의 채
호주와 프랑
스가 양국 관계를 위한 새 로운 로드맵을 승인하고, 인도・태평양 지역 내 군사 시설에 대한 상호 접근성을 높이기로 했다.
페니 웡 외교장관과 카트린
콜로나 프랑스 외교장관은
월요일(4일) 오후 캔버라에
서 양자 회담을 가진 후에
양국 간 군사 협력을 강화
하자는 데 뜻을 모았다. 웡
장관은 이날 발표한 공동성
명에서 "프랑스-호주 양자
로드맵(France-Australia
택은 우리의 새롭고 야심
찬 프랑스-호주 파트너십의
또 다른 이정표가 될 것"이
라고 밝혔다. 이번 로드맵
은 양국 간 쌓였던 갈등을 풀고 관계를 새로 설정하 기 위한 노력의 한 차원에 서 마련됐다.
양국 관계는 호주가 오커스 (AUKUS) 핵추진 잠수함 계 획을 위해 프랑스와 맺었던 재래식 잠수함 계약을 파기 한 일로 외교적으로 다소 껄끄러워져 있었다. 새로운 의제에 따라 이제 호주와 프랑스는 양국 군대가 역내 군사
























































