QLD KOREAN LIFE - V1049

Page 1


당신은 소박하고 아늑한 식당

에서 식사를 마쳤다. 기분 좋

게 계산을 요청한다.

그런데 갑자기 아르바이트생

이 '팁 주세요!'라고 쓰인 거대

한 팁 항아리를 들고 웃으며

나타난다. 이 항아리는 어처 구니없을 정도로 크고 자신감

넘치게 항아리를 테이블 앞으

로 내민다.

당신은 어이없고 놀란 표정으

로 항아리를 봤고 주변의 다

른 손님과 직원들도 이 광경

을 보고 웃으며 SNS에 올리

기 위해 사진을 찍는다. 키득

거리는 소리와 놀라움이 식당

에 교차하고, 아르바이트생은

마치 팁이 자연스러운 것처럼

눈을 반짝거리며 기대하는 표

정을 짓는다. 이 상황은 마치

코미디 영화의 장면 같은 기

분이 든다. 떠밀리듯 팁을 주

고 당신은 이제 다시는 식당

을 방문하지 않겠다고 다짐하

며 도망치듯 나온다.

팁 문화가 한국에서 시행된다

면 자영업자는 지금보다 훨씬

어려워질 것이다. 물류와 택

배가 하루 만에 도착하는 한

국의 빨리빨리 문화 너무 좋

다. 하지만, 함께 발달한 배달

플랫폼의 과도한 배달비 인상

으로 배달로 코로나 시기에는

좋았겠지만, 외부 활동이 많

아진 지금은 음식 장사를 하

는 사장님도 힘들고 배달비가

부담스러워 음식을 시켜 먹는 걸 꺼려하는 분위기다.

물가 올라서 외식이 부담스

럽고, 높아진 음식 가격에 배

달 비용이 부담스러운 상황

에서 팁 문화까지 시행된다

팁문화가 불편한 이유는

하지 않아서다

화가 불편한 이유는 친절하 지 않아서다. 친절했다면 돈

더 주세요라는 말이 불편한

이유는 한국은 팁 문화가 발

달한 미국과 다르게 최저임

금제도가 존재한다. 법이 근

로자의 월급을 보장하는 나

라에 팁으로 추가 수익을 창 출한다!? 월급을 받으면 기본

적으로 자기의 일은 충실해야

한다. 서비스 업에서 일을 하

면 손님에게 서비스를 잘하는

것은 기본이다. 2024년 최저

임금은 시간당 9,860원이다.

면 외식을 줄일 가능성이 높 다. 무엇보다 한국에서 팁 문 한국

주 40시간, 주휴시간을 포함 하면 약 2,060,740원입니다. 2023년보다 약 5 만 원 인상

되었고 연봉으로 계산하면 24,728,880원이다. 적은 금

액은 아니고 약 2,200만 원대

를 수령한다. 받는 사람은 적

다고 하겠지만 음식과 술로

매출을 발생시키는 자영업자

입장에서는 많은 금액이다.

는데 불편하면 그냥 재방문 을 하지 않는다. 팁이 당장 생 활이 어려운 저임금 근로자에 직접 도움을 준다는 데 의미 가 있지만 한국에서 어렵지 않은 근로자가 없다. 근로자 들 평균 임금을 보면 200만

원에서 300만 원이 대부분이 다. 팁을 줄 정도로 여유 있는 사람이 드물다는 소리다.

음식값에 비용이 모두 포함되 어 있는데 따로 또 청구하는 기분인데 팁을 천 원 단위로

줘도 애매하고 오천 원을 주

면 음식 가격대비 비싸고 주 다 보면 손님은 탕진하고 나

중에 손님에게 당연히 요구하

는 상황이 생긴다. 호의가 계

속되면 권리인 줄 안다. 그럼

것이다. 고기와

최저 임금으로 월급을 보장받

는 입장에서 당연히 친절해야 하는 상황인데 요즘은 손님이 아르바이트생의 눈치를 봐야 하는 상황이다.

팁을 주는 손님에게는 친절하 고 팁을 주지 않으면 불친절 해지는 구조가 생긴다. 같은 음식 값을 지불하고 차별 대 우를 받게 된다.

음식이 아닌 대부분의 서비스 비용이 상품이나 서비스 가격 에 이미 포함되어 있다. 미용 실 가격이 점점 오르는 이유

필요하여 정말 끝내주게 잘 구워주고 서비스해준다면 그 정도의 가치가 있다고 생각한 다. 하지만 대부분의 음식은 주방에서 조리가 완료되어 종 업원이 손님들 테이블로 가져 다주는 역할을 한다. 이 상황 에서 어떠한 친절이 있을까!? 밥 먹는데 돌아다니면서 반찬 이 떨어지면 알아서 가져다주 고 물이 떨어지면 물을 주는 정도밖에 없다. 요즘 손님들 은 밥 먹는데 누군가 자신의 테이블 공간에 다가오는 걸 불편해한다.

강요할 수 없지만 인사를 하

지 않는 것은 기본, 물어보면

귀찮고 퉁명스럽게 대답하고, 스마트폰만 보고 있는 경우도 있다. 정말 화가 나는 상황은

키오스크나 결제, 1+1 행사

등 어르신이 잘 모르는 상황

에 화를 내는 사람도 있다. 친

절한 사람이 귀하다. 그런 관

점에서 불편한 가게보다 키오

스크가 더 편한 경우도 있을

정도다.

아르바이트생을 구하기 힘든 것은 알지만 서비스가 불만이

면 할인이나 추가 혜택을 주

는 것도 아닌데 팁을 달라고

하면 손님들 마음이 편하지

않다. 대화가 사라지는 사회

에서 음식이 맛있는 것은 기

본이고 불편하지 않아야 하

도 서비스 비용이 미용실마

다 다르기 때문이다. 소비자 는 추가적인 팁을 주는 것은 불필요하고 과도하게 느낀다.

한국에서는 대놓고 서로 평

등하게 대우하지 않으면 비

난을 받는다. 한국인들은 모

든 직업이 존중받아야 한다고

표현하지만 서비스 직종을 낮

은 직업으로 인식하고 있다.

팁을 주는 것은 특정 직업을

낮게 보는 행위로 받아들이는

사람도 있기에 조금 조심스럽

다. 실제로 팁을 줄 때 일하시

는 이모님들은 정말 좋아하는

데 MZ는 별로 좋아하지 않는

다. 기대치와 눈높이가 높다.

팁을 줄 때 받는 사람마다 태

도가 다르기에 불편하다. 신

팁을 줘야 하는 음식점은 피 하고 오히려 '저희 가게는 팁 을 받지 않습니다' 이것이 마 케팅의 수단으로 활용될 가능 성이 있다. 경쟁

호몽 이용호 / 브런치

2016년부터 약 4년간 한국뿐

만 아니라 전 세계적으로 인

공지능 스피커가 활발하게 보

급이 되어 지금도 각 가정에

는 AI스피커를 한 두대쯤 사

용하고 있거나 한동안 사용

하다가 흥미가 떨어져 방치해

놓고 있을 것이다.

나름 얼리어댑터라고 자부하

미니, 카카오 미니, 아마존 에 코, 네이버 클로바 등 여러 종 류의 인공지능 스피커를 구매

하여 사용을 해봤고 예전처럼

빈도가 높지는 않으나 지금도

가끔 사무실이나 집에서 스피

커를 사용하곤 한다.

개인적인 의견이지만 인공

리면 즉시 응답을 해주니 굳 이 별도의 인공지능 스피커를 사용할 필요성이 적어지는 게 극히 당연한 현상이다.

는 나도 당연히 KT 기가지니, 구글 홈 미니, 삼성 갤러시 홈

해진 것은 이것이 가지고 있

는 대부분의 기능을 우리 곁

에서 거의 24시간 함께하는

스마트 폰에서도 대부분 사

용이 가능하기 때문이라 생

각한다. 한국 사람들이 가장

많이 사용하는 갤럭시 폰에

서는 구글의 “어시스턴트”나

삼성의 ‘빅스비’, 애플 폰에서

는 ‘시리’ 라는 막강한 음성비

서가 있어 폰에게 명령만 내 챗

지능 스피커의 인기가 시들

이번 칼럼에서는 인공지능 (A)) 음성비서에 대해 이야기 해보려고 한다. 스마트 폰에 탑재된 대표적인 음성비서는 구글 어시스턴트, 애플 시리, 삼성 빅스비가 있으나 그 기

능이 대동소이하기 때문에 한 국 사람들이 가장 많이 사용

하는 삼성 빅스비를 중심으로

기능으로 설명해보고 어시스 턴트나 시리에 차별화된 기능

이 있으면 별도로 이야기 해

보려고 한다, 그리고 마지막

으로는 국민 메신저인 카카

오톡에서 사용가능한 챗gpt

기술을 이용한 챗봇 ‘아숙업

Askup’도 짧게 이야기 하려 한다.

음성비서의 대표적인 기능을

나열해보면 음악감상, 전화걸 기, 날씨정보, 알람, 메모, 번 역, 뉴스, 환율, 주가, 운세, 지 식, 생활정보, 교통과 길찾기

정보, 외국어로 대화, 영화와

TV정보 등이 있다. 개별 기

능 하나 하나를 상세하게 설

명하기에는 지면의 한계가 있

시 구글 지도 앱을 사용하여 길찾기나 주유소, 식당 등의 위치 검색을 할 때 매우 유용 하다. 국내 지도 앱들은 외국 에서 서비스가 되지 않기 때 문이다. 그리고 이전에 영상 을 검색할 떄 ‘유튜브’란 말을 안해도 구글에서 운영하는 유 튜브로 바로 연결해줘서 편리

했는데 지금은 빅스비에서도 유튜브 영상을 바로 연결해준 다. 애플 시리에 특화된 기능 들은 먼저 폰 안에 저장된 비

밀번호를 요청할 수 있다. 당

연히 바로 알려주는 것은 아 니고 몇 단계의 검증 절차를

거치지만 내 폰 안에 저장되

어 있지만 잊어버린 비밀번호 를 알려준다. 그리고 현재 운

항중인 항공편을 말하면 비행 기에 대한 상세정보를 알려주 는 것도 특이하다,

그 외에도 카카오에서는 카카

오톡 메시지 확인과 보내기, 택시 부르기, KT와 삼성에서 는 스마트 가전제품 제어, 리

모컨 조작 등의 음성비서 기 능이 차별화되어 있다. 컨슈 머인사이트나 미국 라이브퍼

슨의 조사에 따르면 한국이나 미국에서 음성비서를 가장 많

데 지난 3월 국내 AI스타트업 체인 ‘업스테이지’에서 OCR( 문자인식기술)과 챗gpt를 결 합하여 카카오톡에서 실시간

어 생략하지만 내가 추천하고

싶은 사항은 먼저 위에 나열

한 기능들은 시간이 날 때 마

다 한번 씩 테스트를 해보고,

편리하다 싶으면 사용을 습관

화 하라는 것이다. 그리고 이

런 기능도 있을까 하는 것들

도 음성비서에게 수시로 물어

보는 적극성이 필요하다. 왜

냐하면 각 회사에서 만든 인

공지능 기능들은 사전 예고

없이 수시로 업데이트가 되

기 때문에 일일이 설명서를

만들어 배포하기도 벅찬 입

장이다.

구글 어시스턴트는 외국여행

이 활용하는 부분은 단연코 음악감상이다. 그 다음으로

는 한국의 경우 날씨정보, 미

국의 경우에는 알람맞추기가

인기 있는 기능이다. 나는 개

인적으로 위 기능 외에도 메

모, 교통정보, 전화걸기와 정

보검색 등에서 보통 사람들보

다 자주 음성비서를 사용하는

습관이 있다. 특히 운전 중에 불가피하게 스마트 폰을 사용

해야 할 경우에는 항상 음성

비서 기능을 사용함으로써 가

능한 한 위험발생 요소를 최 소화하려고 한다.

작년 말부터 챗gpt가 전 세계 를 뜨겁게 달구고 있는 가운

한다. 사용방법은 간단하게 카카 오톡에서 askup 채널을 추 가만 하면 사용을 할 수가 있 다. 기존 챗gpt를 사용하려면 OpenAi 상의 홈페이지에 접 속하여 로그인을 한 뒤 사용 해야 하지만 아숙업은 우리가 항상 사용하는 카카오톡에서 채널만 추가하고 사용을 하면 되니 접근성에서 엄청나게 편 리하다 할 수 있다. 챗gpt가 2021년까지의 정보를 기반 으로 응답을 해주므로 책gpt 의 API(응용프로그램 인터페 이스)를 사용해 서비스 하는 아숙업도 당연히 최신 뉴스나 날씨 같은 정보는 제공해주지 못한다. 하지만 여행정보, 요 리법, 프로그램 코딩 같은 기 능은 챗gpt와 거의 유사한 답 을 얻어 낼 수 있다. 또한 그림 파일을 첨부하면

부자가 되고 싶어

정기 배송을

시작했어요!

/ 브런치

농산물 정기구독 서비스 in 스위스

스위스는 한국과 다르게 농장에서 농산물 정기배송 서비스를 확대시킬 수 있어요.

이마트 쓱배송과 비슷한 방식으로 스위스에서도 Migros라는 대형마트에서

온라인 식자재 배달 서비스를 진행하고 있어요. 하지만 이전 글에도 언급한 대로

스위스는 물가가 비싸서 배달 서비스가 한국처럼 활발하게 이용되지는 않아요.

그럼에도 불구하고 스위스에서 농산물 정기배송 서비스를 시도한 청년 농부가 있어요.

스위스의 수도인 Bern 지역 근처에서 사는 24살 청년 농부인 David를 만난 적이 있어요.

David가 농부가 되기로 결심한 이유는 돈을 많이 벌고 싶어서였대요. 그래서 비교적 수익성이

좋은 동물과 작물을 다양하게 기르고 있더라고요.

매년 해바라기랑 유채꽃을 약 2ha 정도씩 재배하여 기름으로 판매하고 있어요. 감자밭도 약 77ha 정도 있고요. 풀이 자라는 땅에서는 사일리지를 1년에 4번 정도 생산해서 소 먹이로 판 매도 해요. 그런데 흥미로운 점은 소를 키우지 않는다는 거였어요. 소는 신경 써야 하는 부분이 많아 농장에 많은 시간을 소요해야 돼서 자유시간이 너무 없거든요. 그래서 David가 올해 초 에 소를 다 팔아버렸대요. 대신 돼지 230마리와 닭 50마리는 계속해서 키우고 있어요.

그리고 300년 된 옛날 집에서 농부 마켓도 운영해요. 직접 기른 다양한 채소와 달걀은 기본으 로 판매하고요. 근처 다른 농장에서 생산한 아이스크림, 소스 등도 함께 판매해요. 여기서 끝 이 아니라 매주 토요일마다 동네 사람들을 대상으로 농산물 정기 배송 서비스를 진행해요. 직 접 수확한 농산물을 집 앞까지 배달해 주는데 채소의 종류가 매주 똑같지는 않아요. 예를 들어, David가 이번 주에 당근을 수확했다고 해도, 저번 주에

사실 David를 소개해준 사람은 제가 스위스에서 머물며

자녀가 3명인 가 족이에요. 그 가족도 농산물 정기배송 서비스를 막내딸 친구의 엄마로부터 소개받았다고 해요. 그래서 3~6인분 정도의 큰 농산물 꾸러미 박스는 주로 아이가 있는 가정으로 배송을 했어요. 그 다음으로 많이 방문한 곳은 스위스의 아파트였어요. 스위스의 아파트는 주로 노인 분들이 거주 하고 있거든요. 아파트로는 주로 1~2인분 정도의 작은 꾸러미 박스를 배달해요.

한국도 몇 년 전부터 농산물 정기 배송 서비스를 시작한 농장들이 꽤 있어요. 하지만 현실적 인 어려움 때문인지 아직까지 활성화된 농장을 발견하지 못했어요. 고객이 부족한 상태에서 는 인건비 문제로 인해 다양한 작물을 재배하기가 어렵거든요. 그래서 현재 가장 많은 고객을 확보하고 있는 업체는 '어글리어스'라는 유통전문 기업이에요. 농산물의

채소를 활용하여

농산 물을 원해요. 이에 따라 농장의 현실적인 문제와 함께 유통 업체들 이외에는 농산물 정기 배송 서비스를 운영하기 어려운 상황이에요. 반면에 스위스는 식문화가 달라요. 주식이 감자랑 샐 러드라 주로 먹는 채소 종류가 한정적이에요. 매 끼니마다 여러 종류의 반찬을 만들지도 않고, 간단한 오븐 조리 방법을 선호하고요. 그래서 2주 간격으로 똑같은 농산물이 배달돼도 큰 문 제가 되지 않아요. 매일 샐러드와 감자는 먹으니까요.

그래서 David는 스위스에서 농작물 정기 배송 서비스를

승무원이 캐리어에 넣고

다니는 의외의 물건

이번 주 로또에 당첨됐다.

그래봐야 고작 5만 원이었

지만 4등 당첨은 처음이라

매우 기쁘다. 당첨된 사실을

알게 된 후 어제오늘 지갑을

열 때마다 기분이 좋다. 아

맞다 나 로또 4등 당첨된 사

람이었지 하하.

처음 입사해서 배정받은 팀

은 지난 16년을 통틀어 가장

힘든 팀이었다. 승무원들끼

리는 같이 일하기 까다로운

승무원을 '블랙'이라고 부른

다. 한 팀에 블랙 선배가 한

명만 있어도 곡소리 난다고

들 했는데 그 당시 팀에는

부팀장을 포함해 대여섯 명

의 블랙이 있었다. 나쁜 의미

로 어벤저스 같은 팀이었다.

블랙펜서들 같은 게 더 어울

릴라나? 물론 인간관계는

상대적이라서 블랙이 아닌

내 문제였을 수도 있다. 나

이도 어렸고 일도 미숙했고

지금보다 겁도 많을 때였으

니까. 이 시절 고등학교 동창

들을 만난 자리에서 회사 생

활이 얼마나 힘든지 피를 토

하며 울부짖었는데 동창 하

나가 "옛다"하면서 로또 한

장을 내밀었다. 불쌍한 녀

석, 선물이다. 야 너 이거 일

등 당첨되면 바로 일등석 끊

고 너 힘들게 한다는 그 승

무원 막 부려먹어, 어때?

한 동안 친구가 준 로또를

플라잇백에 넣고 다녔는데

큰 위안이 되었다. 다른 직

장인들은 사직서를 가슴에 품고 출퇴근한다던데 나는

로또가 사직서 같은 역할

을 했다. 여차하면 확 때려

친다! 그때부터 간간히 로또

를 산 덕에 힘든 막내 생활

을 잘 버틴 것 같다. 팀이 바

뀐 뒤부터는 로또를 사지 않

았다. 운 좋게 다 좋은 선배

와 팀원들을 만난 덕분이었 다. 아니면 시간이 지나면서

나도 점점 쓸만한 팀원이 되

었기 때문일 수도 있다.

그러다 코로나 때 또 로또를 사기 시작했다. 당첨되기 어 렵다는 사실을 알고 있었지 만 억지로라도 희망을 갖고

싶었다. 코로나가 종식된 뒤

에는 로또를 사지 않았다. 어

디선가 '행복한 사람은 로또 를 사지 않는다'는 말을 들

은 것 같은데 내가 딱 그 짝

이었다. 힘들 때만 로또를 찾 았다.

최근 또 로또를 사기 시작 했다. 이번에는 삶이 힘들

어서 산 건 아니다. 얼마 전

미국의 신경심리학자가 쓴 <기회의 심리학>이라는 책

을 읽었는데 복권에 관한 내

용이 나온다. 미국에는 4번

이나 복권에 당첨된 사람이 있다. 누적 상금이 무려 2천

만 달러, 지금 환율로 260억 이 넘는다. 어떻게 이런 일이 가능할까? 확률적으로는 제

로에 가까운 일이다.

결론부터 말하면(결론만 찾 아 읽었다) 운이 좋은 사람 은 운 좋은 일이 일어날 수

있도록 늘 ‘기대’를 품고 산

다. 4번이나 복권에 당첨된 사람의 직업은 놀랍게도 수 학자였는데 그녀는 무려 30 년 동안 꾸준히 복권을 구입 했다고 한다. 즉, 복권에 당 첨되었으면 좋겠다는 '기대' 를 구체적인 행동을 통해 30 년 동안 유지했던 것이다.

똑같은 회사에 입사했는데 어떤 사람은 그 회사의 사장 이 되겠다는 포부를 품고, 또 어떤 사람은 그냥 받는 월급 만큼만 일한다는 생각을 하 기도 한다. 그런데 이렇게 스 스로가 품는 자기 미래에 대 한 기대가 그 사람의 운을

우유는 유당과 단백질, 지

방 등 영양소와 풍부한 수

타민도 풍부합니다. 우리

분을 모두 갖추고 있습니

가 알고 있는 거의 대부분 의 비타민이 포함되어 있

다. 다양한 영양소를 가지

고 있는 덕분에 위장에서

빠져나가는 속도를 늦추고

체내 수분도 더 오래 유지

할 수 있습니다. 체내 수분

의 균형을 유지하려면 전

해질이 필요한데 우유에는

이 모든 게 다량 들어있기

때문에 적합한 공급원이라

고 할 수 있습니다. 또 우유

는 더위에 지친 우리의 몸

에 활력을 불어넣어 줄 비

을 뿐 아니라 단백질, 칼슘, 필수 지방산도 골고루 있어

건강에 좋습니다. 트립토판 또한 풍부하여 숙면을 취하 는 데 효과적입니다.

비만과 근감소증 예방에 효

과가 있다고 알려진 우유는

지방 배출에 효과적인 칼슘

과 근육 생성에 중요한 단 백질이 풍부하게 함유되

어 있습니다. 우유 속 공액

3대 도넛

그리고 K-도넛

도넛에 관한 사소한 고찰

대학 졸업 후, 새내기 직장인이 되어 일을 하던 어느 날이었다.

거래처 분들이 자주 사무실을 방문했는데 그날따라 큰 박스를 들고 오셨다.

하얀 박스에 빨간 영문으로 적힌 글씨는 '크리스피 크림'이었다.

회사 근처에 대형 백화점이 있어서 크리스피 크림 도넛이 생긴 건 알았는데

실제로 마주한 건 처음이었다. 던킨도넛과 비스무리한 맛을 예상했던 나는

크리스피의 글레이즈드 도넛을 한입 베어무는 순간 한 대 맞은 듯한 느낌이었다.

'이 폭신함은 뭐지?', '크림이 없는데도 이 달콤함은 뭐지?' 약간 퍽퍽하고

담백한 맛일 거라고 생각했던 도넛은 폭신했고 촉촉했다. 그리고 겉은 설탕코팅으로 인해

바삭하고 달콤했다. 눈이 번쩍 뜨였다. 도넛은 순식간에 입안에서 사라졌다.

보통 도넛 1개를 먹으면 약간 든든해지는데 1개로는 아쉽다는 생각이 들었다.

또 도넛의 목 넘김이 부드러울 수 있구나 처음 느꼈던 순간이었다.

그날 이후, 나에게 글레이즈드 도넛은 도넛의 새로운 기준이 됐다.

식감, 수분감, 당도 모두 글레이즈드 도넛 정도 되는가, 아닌가로 도넛 맛집인지

아닌지 판가름하게 됐다. 그리고 최근에 또 한 번 도넛 취향이 바뀌었다.

일명 서울 3대 도넛 때문이다. 바로 노티드. 올드페리, 랜디스.

서울 3대 도넛으로 손꼽히는 이 도넛들은 각기 다른 특색을 지니고 있다.

다음엔 어떤 도넛과 마주하게 될까. 몹시 기대된다. 노티드 이곳의

크기부터 네이밍, 맛까지 미 국 본토의 느낌을 내뿜는 도 넛이다. 글레이즈도넛부터 필 링 도넛, 크림 도넛 등 종류가 다양한데 어떤 것은 짜거나, 시거나 시원하기도 하는 등 네이밍에 매우 충실한 맛으로 인해 놀라기도 했던 곳이다. 아베베 베이커리 추가로 서울 3대 도넛은 아니 지만 한국적인 맛으로 승부를 보는 K-도넛을 덧붙여 보고자 한다. 바로 '아베베 베이커리' 의 도넛이다.

올드페리 도넛

3900원으로 프랑스자수 입문하기

by 김메밀 / 브런치

도안명: 봄의 향기

3000원 후반대에 수틀, 실, 바늘까지 주는 키트가 있어서 구매해 보았다.

도안 종류가 꽤 많았는데, 7번 봄의 향기를 구매했다.

무슨 꽃일까..?

내용물은 이런 느낌. 수틀이 플라스틱이라 마찰력이 부족하긴 하지만 가성비는 제법 훌륭하다. 스티치도 프렌치노트, 아웃

라인, 스트레이트 3가지만 써서 쉽다! 저 도안은 수용성 잉크

라서 완성 후 물에 헹구면 잘 녹는다고 한다. 바늘은 얇아서 쓰 다가 부러질까 봐 집에 있던 걸로 대체! 자 그럼 시작해 볼까.

마지막으로 잎과 줄기 부분을 채운다. 잎은 스트레이트 스티

치를 중앙에서 시작해서 외곽에서 끝나게 3~5번 정도 반복해 서 만들었다. 줄기는 간단하게 아웃라인 스티치. 잎이 입체감

있게 살아나는 게 예쁘고 신기했다. 완성한 다음엔, 물에 한번

헹궈 수성으로 그려져 있던 도안을 지우는 과정을 진행한다.

도안을 채우는 자수 방법은 매우 다양한데, 그중에 이건 '프렌치 노트'라고 불린다고 한다.

기념비적인 내 첫 프렌치노트 스티치라서 사진으로 찍어보았다. 이렇게 프렌치노트만 써서 먼저 꽃부터 다 채워줬다.

비즈를 위해 비워두었던 공간도 채워주었다.

비즈를 넣는 단계가 가장 재밌었다.

이렇게 정말 완성!

나서 좋았다.

다시 수틀에 넣고 뒤를 홈질해서 고정했다.

인테리어 소품으로 많이들 예쁘게 쓰던데 둘 곳이 딱히 생각나지 않아서 방문에 걸어놓았다.

전문대가 어때서요

이제는 말하고 싶은

그래, 나는 전문대 출신이다. 그게 뭐 어때서. 전문대 출신이라는 꼬리표는 결국 훈장이 되었고, 그때 시작한 진짜 공부는 내 인생을 바꿔놨고, 두 번째 스무 살인 마흔의 나는 그때 그 전문대의 도움으로

여전히 공부하는 사람으로 살고 있다.

애매한 성적으로 대학 진학이 어중간해진 나는 결국 전문대에

진학하게 되었지만, 보란 듯이 학기초부터 장학금을 휩쓸기 시

작했다. 나로 말할 것 같으면 초중고 12년 동안 한 번도 반장을

해보지 못한 사람이 아닌가. 그런 내가 부과대까지 하며 생에

없을 것 같던 대학생이 되었다. 전문대면 어떤가. 배우는 중국 어가 너무 재미있었고, 실력을 인정받으니, 더 열심히 하고 싶

어졌다. 원어민 교수님과도 제일 많이 의사소통을 하니, 동학 들의 부러움도 샀을 터. 그게 끝이 아니었다. 학교를 졸업하고, 1년여간 직장생활을 한 후 어학연수를 떠나게 되었다. 거기서

도 나는 명문대 중문과 재학생들과 함께 고급반에서 중국어 공

부를 하게 되었고, 이 계기는 지금까지도 자존감을 회복하는데 큰 영향을 미치고 있다.

어학연수를 다녀온 후, 무역회사에 취업한 나는 다른 명문대를 나온 입사동기들보다 중 국인과의 의사소통이 원활하여 전문대에 대한 자신감이 더 높아질 수 밖에 없었다. 거래 처 직원들도 나에게 중국어를 배우고 싶다해서, 퇴근후에는 과외수업으로 부수입을 올 리기도 하였다. 중국어는 이렇듯 나에게 새로이 공부라는 것이

되었다.

나는 늘 부모님께 죄송스러운 딸이었다. 공부

맘을 갖고 살았던 나였다. 그랬던 내가 대학 진학 이후에 새삼스레 자신감 가득 찬 모습으로 장학금을 받아오는 딸이 된 것이다. 그런 나를 자랑스러워하는 부모님을 보고 있자니 감사하는 마음이 다시금 새록새록 생겨났다. 전문대면 어떤가. 남 들이 4년 동안 배울 내용을 2년동안 집중해서 열정적으로 배우니, 4년제 대학생 못지않 게 중국어를 잘하게 되었는 걸. 그러면서 갖게 된 새로운 경험들. 결국 모든 것은 내가 하 기 나름이라는 건 진리였다.

골드코스트

유니마트

전문대 나오면 인생 포기하는 것처럼 안쓰럽게 여기던 주변 사람들의 시선이 달라졌다. 인문계 고등학교를 졸업하고 전문대를 가기 전, 사실 난 독특한 경험을 하였다. 재수학 원 대신 영어,일본어,중국어 학원과 컴퓨터 학원을 다니기 시작한 것. 아직도 기억한다. 그때 영어학원에서 한 휴학생 언니가 “애니, 너의 전공은 고졸이야. 니 인생에서 대학 캠 퍼스를 밟을 일은 없을거야!!” 그 한마디가 자극이 되었을까. 전문대라도 가고 싶었다. 아 니, 전문대여야했다. 그렇게 중국어를 반년간 배우고 들어간 전문대였기에 중국어를 잘 할 수 있었고, 그렇게 나의 자존감은 스무 살에 아니 스물한살에 회복이 되었다.

전문대 중국어과를 졸업해서도 취업이 되고, 진급을 하고, 결혼을 할 수 있다.

대학이 4년제만 있는 게 아니라는 것, 인서울 대학이나 SKY만 있는 게 아니라는 평범하 지만 잊혀진 사실을 대한민국의 모든 학부모들이 깨닫게 되었음 좋겠다. 내 아이가 좋아 하는 것을 찾아주는 것에 포커스를 두고 중심을 잡고 살아갔으면 좋겠다. 내 아이는 전문 대는 안된다가 아니고, 배우고 싶은 것을 배우게 해주는 것. 내 아이가 좋아하는 것을 잘 할 수 있도록, 잘하는 것을 꾸준히 좋아할 수 있도록 해주는 것이 부모의 역할이라고 생 각한다. 내 아이가 전문대에 진학하겠다고 하면 난 4년제가 아닌 전문대에 아이가 좋아 하는 전공이 있는 것을 믿고 응원해주고 싶다. 대한민국의 모든 청소년들이 하나의 목표 인 대학입시가 아닌, 유럽에서처럼 다양한 직업을 가지고 다양하게 살아가기를 진심으 로 바래본다. 우리 시대에 부모들이 달라지면 우리 아이들도 달라질 것이다. 더이상 획일 화된 교육이 아닌, 아이들의 다양성을 존중하는 시대가 도래했기 때문이다.

나의 진짜공부는 스무 살에 시작되었고, 두번째 스무 살을 넘기고 여전히 진행중이다.

엄마의 20년이 마칠 때쯤 난 또 다른 도전을 하게 되겠지...

엄마의 약손이 그리워진다

by 황현숙(칼럼니스트)

어깨를 움츠리게 하는 꽃샘바

람이 서서히 날개를 접고, 아

열대 도시의 눈 부신 햇살을

앞장세운 채 여름날은 당당하

게 우리 곁으로 다가오고 있

다. 이 땅 위에 있는 모든 생

명체가 그 강렬한 빛 속에서

살아가는 힘을 얻고 에너지를

충전시키며 내일을 기다린다.

그런데 나는 햇빛을 제대로

받지 못한 화분의 식물처럼

자꾸만 힘없이 시들해지고 있다.

겨우내 감기에 시달리며 한

계절을 보낸 나약해진 몸과

마음에 살아 움직이는 환한

빛이 채워진다면 좋겠다.

나는 “Eva Cassidy” 의 “무 지개 건너편(Over the Rainbow)”이라는 노래를 들으며 그 부드러운 목소리 너머로

떠오르는 눈부신 색상을 보

는 듯한 환상에 젖어본다. 무

지개 너머에 행복이 있다는 동화 같은 얘기를 생각해내 며 손안에 움켜쥘 수 없는 막

연한 파랑새를 쫓고 있는지도

모르겠다. 한국에 있는 옛 친

구가 음악과 함께 이멜을 보

냈다. ‘무지개 너머에는 역시

사람밖에 없는 것 같다.’라는

좀은 엉뚱한 글과 함께. 일곱

가지 색깔의 꿈과 희망은 우

리네 마음 한편에 벌써 자리

를 잡고 있었는데 우리는 조

금씩 조금씩 발견해 나가는

중이 아닐까 하는 생각을 해

본다며 건강한 삶을 살기를

바란다는 안부를 전해준다.

무지개 너머 그 뒤에는 사람 의 욕망이라는 보이지 않는

굵은 그물이 처져 있을 것 같 기도 하다. 고인이 된 작가 최

인호씨의 “상도”를 읽으면서

사람을 건지는 장사와 사람의 욕망이 유한하다는 것을 깨닫 게 하는 문장을 읽으며 많은 것을 생각하게 된다.

욕망의 절제를 통해 스스로

만족하는 자족이야 말로 하늘

아래 최고의 거부로 나아가

는 상도임을 말해주고 있다.

물론 나는 사업을 하는 사람

은 아니지만, 물질에 대한 욕

심은 어느 정도 가지고 있으

므로 가끔은 맑은 마음이 흐

려질 수도 있음을 우려해서이

다. 아직은 이 세상에서 가슴

에 따스한 온기를 피워낼 수

있는 사람으로 살고 싶다는 작은 소망이 있다.

나는 어린 시절부터 부모님들

의 지극한 막내 사랑을 받으

며 자랐다. 지금의 나는 나이 가 들었어도 그 아련한 따사 로움과 사랑을 잊지 못한다.

겨울의 찬 기운이 조금만 몸

속에 들어와도 쉽게 감기에 걸리는 나를 위해 엄마는 배

즙 중탕을 자주 만들어 주셨

다 큰 나주 배의 한 가운데에

구멍을 파고 그 속에 콩나물

과 꿀을 넣은 후에 냄비 속에 물을 붓고 사기그릇에 그 배

를 담아서 끓이면 즙이 흘러 나오는데, 그 즙을 마시면 기 침에 효과가 있다고 해서 자 주 마셨던 기억이 난다.

지난해 겨울도 역시 무사히 넘기지 못하고 내내 감기를 달고 지냈다. 몸살도 덩달아 따라오면서 편도선에 기침, 콧물 같은 종합감기를

제 작 서 비 스

야행성 곤충인 빈대는 사람

을 비롯한 온혈 동물의 피

를 빨아먹고 살며 주로 밤

에 나와 활동합니다. 모기

보다 최대 10배 많은 피를

빨 수 있으며 많은 빈대가

동시에 물었을 경우 고열이

날 수도 있습니다. 또 하룻

밤에 500회 이상 사람을 물

수 있으며 2~3개 물린 자국

이 그룹을 짓거나 원형 혹

은 일렬로 늘어선 형태를

보이는 것이 특징입니다.

빈대 물린 자국은 모기 물

린 자국과 유사하고 가려

움과 통증을 유발합니다.

빈대에 물리면 피부에 붉은

색 또는 흰색의 부어오르는 자국, 수포, 농포 등이 나타

나며 2~3개의 물린 자국이 그룹을 짓거나 일렬을 형성 하는 패턴을 보이는 경우가

많습니다. 빈대가 혈관을

찾기 위해 조금씩 이동하며 물기 때문입니다.

빈대는 유럽 여행 커뮤니티 에서는 ‘베드버그’라는 이 름으로 잘 알려져 있습니 다. 외국으로 여행을 가면

싱가포르 건강식, 삼수이 진저치킨

평소에 나는 건강한 식생활을

실천하려 노력하고 있다. 갱

년기를 겪고 있어서 심혈관계

질환이 발생하지 않게 주의해

야 한다. 남편도 마찬가지이

다. 살이 쉽게 찌는 체질이기

때문에 먹고 싶은 대로 다 먹

으면 안 된다. 혈압 관리도 해

야 하고 체중도 많이 줄여야 한다. 남편과 나는 먹는 걸 무

척이나 좋아하지만 건강한 삶

을 위해 애써 절제하고 있다.

포화지방이 낮고 식이섬유가

풍부한 음식을 위주로 먹으려

고 노력한다. 통곡물, 과일, 야 채, 견과류, 올리브유 등을 매 일 섭취한다.

외식 메뉴를 선택할 때도 조

심하는 편이다. 싱가포르 대

표 음식인 락사는 매콤한 국

물에 코코넛 밀크, 새우 등을

넣어 만든 국수이다. 코코넛

밀크는 몸에 좋은 영양성분도

있지만 지방 함량과 칼로리가

높다. 나시르막은 코코넛 밀

크로 지은 밥에 멸치튀김, 닭 튀김, 오이 등을 곁들여 먹는

음식이다. 밥이 고소하지만

역시 칼로리가 높다. 아침에

즐겨 먹는 카야토스트는 식

빵에 코코넛과 달걀, 팜슈가

로 만든 카야잼을 바르고 그

위에 버터 2조각을 툭툭 잘라

얹어서 구운 토스트이다. 로

컬 커피는 연유나 설탕이 들

어가서 달달하다. 당연히 칼

로리와 당분 함량이 높다. 외

식할 때면 이런 단짠단짠 음

식의 유혹을 뿌리치기 쉽지

않다. 마음껏 먹고 나면 나중

에 꼭 후회가 남아서 외식할

때도 가능하면 열량과 나트륨 함량이 높지 않은 메뉴를 선 택하려고 한다.

자주 먹는 외식 메뉴 중에 하

나는 삼수이 진저 치킨(Samsui Ginger Chicken)이다. 아 직 한국 관광객들에게 많이

알려진 음식은 아니지 싶다.

삼수이 진저 치킨은 1930년

대 싱가포르 건설 초기에 중

국 광둥 지방에서 일자리를

찾아온 삼수이 여성들이 중

국 정월 초하루에 해 먹던 명

절 음식이다. 한약재를 넣고

끓인 육수에 닭을 삶은 후 살

만 발라서 진저 소스(생강 소 스)와 함께 먹는다. 닭은 부와 명예를 상징하고 생강은 몸을 따뜻하게 유지하기 때문에 건 설 노동자로 온 삼수이 여성

들이 건강을 유지하기 위해 먹은 음식이라고 한다.

비보 시티(Vivo City)에 있 는 식당에 갔다. 5시가 채 되

지 않아서 아직 손님들이 많 이 없었다. 저 멀리 센토사

(Sentosa) 섬이 보이는 창가 자리에 앉았다. 파란 하늘에 초록빛 바닷물이 시원하게 보 였다.

차는 두 가 지 종류가 있는데 나는 주로 국화차를 주문한다. 재스민차 는 시간이 지나면 씁쓸한 맛 이 나서 리필해 줘도 잘 안 마 시게 된다. 주문한 음식이 나왔다. 직원 분이 큰 접시에 가지런하게 돌려 담아 놓은 닭고기와 진 저 소스(생강 소스), 신선한 양 상추를 테이블 위에 놓아주었 다. 먼저 물티슈로 손을 깨끗 이 닦았다. 삼수이 진저 치킨 은 손바닥에 양상추 한 장을 올려놓고 닭고기와 오이, 진 저 소스를 넣은 후 쌈 싸 먹으

면 된다. 18년 전 처음 진저 치

킨을 먹었을 때 상추가 아닌

양상추에 고기를 싸 먹는 게

조금 낯설게 느껴졌지만, 한

번 싸 먹어 보니 아삭아삭한

양상추의 식감이 참 좋게 느

껴졌다. 진저 소스와 양상추

는 요청할 경우 리필해 준다.

보통 남편과 나는 양상추와

진저 소스를 한두 번 더 리필

해서 먹는다. 국화차는 직원

분이 알아서 리필해 주신다.

삼수이 치킨은 담백하고 맛

이 좋다. 무엇보다 살코기가

부들부들하다. 분명 닭가슴

살도 있을 텐데 퍽퍽한 식감

이 전혀 느껴지지 않는다. 건

강한 맛이라고 해도 일반적으

로 생각하는 밋밋한 맛과 다

르다. 닭육수와 참기름 등에

생강을 듬뿍 넣고 만든 진저

소스가 닭고기의 풍미를 끌어

올려 준다. 지방이 적고 단백

질 함량이 높은 닭고기를 맛

있게 먹을 수 있다.

남편과 나는 쉴 새 없이 양상

추에 닭고기와 오이를 얹어

쌈 싸 먹었다. 조금 후에 삼

발 캉콩이 나왔다. 삼발 캉콩

은 약간 매콤한 삼발 소스에

물시금치를 넣고 볶은 음식이

다. 칠리 파디라고 하는 한국

청양고추와 비슷한 고추가 들

어가서 알싸한 맛이 난다. 마

치 흰밥에 겉절이를 얹어 먹

는 느낌이 들었다. 뚝배기에

담겨 나오는 두부조림도 맛있

었다. 간장에 조린 두부가 아

주 부들부들했다.

어느새 닭고기 몇 조각만 남

았다. 남편이 슬그머니 젓가

락을 내려놓았다. 더 먹으라

고 몇 번 말했지만 남편은 충

분히 먹었다며 내게 천천히

먹으라고 했다. 양상추 한 장

을 뜯었다. 닭고기와 오이를

얹고 진저 소스를 넣으려는

찰나였다. 남편이 진저 소스

가 담긴 그릇을 내 앞으로 쓱

기울여 주었다. 닭고기가 몇

점 남지 않아 진저 소스를 리

필하지 않았는데 내가 숟가락 으로 뜨기 편하게 그릇을 기

울여 주었다. 남편은 내가 쌈

을 쌀 때마다 소스 그릇을 기

울여 주고, 마지막에 남은 소 스를 싹싹 긁어서 양상추쌈에

직접 넣어 주었다. 볶은 야채

도 밥 위에 척척 올려줬다. 국 화차 한 잔을 더 마셨다. 따끈 한 차를 후후 불어가며 마셨 다. 이제 둘만의 외식이 익숙 하다. 뭘 먹든 같이 먹는 시간

이 즐겁다. 앞날을 어떻게 보 낼 건지 이야기도 하고 건강 한 식생활에 대해서도 이야기 했다. 오후 6시쯤 되자 한산했 던 식당 테이블이 하나둘씩 차기 시작했다. 조금 일찍 먹 길 잘했다고 말하며 자리에서 일어섰다. 주차장으로 가려고 에스컬레이터를 타고 한 층 내려갔다. 저 앞에 유명한 초 콜릿 디저트 가게가 보였다.

남편에게 너무 달지 않은 걸 로 하나 먹고 가자고 했다.

다크초콜릿 아이스크림 하나 와 70% 카카오가 함유된 핫

초콜릿 한 잔을 주문했다. 계

산을 하는 동안 주문대 옆에

놓여 있는 케이크에 계속 눈 길이 갔다. 유혹을 참기 힘들

었다. 결국 내가 좋아하는 크

렘브륄레를 주문해 버리고 말 았다. 오랜만에 크렘브륄레

를 먹으니 단맛이 더 강하게 느껴졌다. 입에 착착 감겼다. “아, 어떡해. 망했다...”라고 말 하면서 참 맛있게도 먹었다. 씁쓸한 핫초콜릿과 잘 어울렸 다. "진짜 맛있다..." 얼굴에는 어느새 웃음꽃이 피었다.

원 프로와 나누는 골프이야기 고개 숙인 골퍼 by 티칭 프로 원성욱 (0402 598 961)

얼마 전 한국의 어느 연예인이 골프에 대하여

말한 것이 화제가 되기도 했습니다. ‘골프란 내

가 얼마나 형편없는지를 알려주는 것’ 이라고

했습니다. 이 말에 대부분의 골퍼들은 공감을

했죠. 저도 예외는 아닙니다. 골프를 시작한 첫

날부터 ‘신동’ 소리를 들어오며 골프를 아주 만

만하게 본 사람 중 일인이었습니다. 그렇게 만

만하게 보던 골프가 내 마음대로 되는 것도 아

니고 내 능력이 좋은 것도 아니라는 것을 알게

된 것이 바로 첫 필드 날입니다.

길게 뻗은 페어 웨이로 공을 올려 보내는 것부

터 쉽지 않고 그린을 향해 30미터 어프로치를

했지만 3미터만 날아갑니다. 퍼팅 그린에서는

먼 거리에서는 어렵지 않지만 이상하게 가까

운 거리의 퍼팅을 항상 두번에서 세번까지 하

게 됩니다. 대략 6개월을 준비하고 완벽하다고

생각한 라운딩이지만 결과는 여느 골퍼들과

다르지 않은 흔한 초보 골퍼였죠. 첫 라운딩에

서 당당히 90타를 칠 거라는 기대와는 다른 현

실에 당황하고 오기가 생기기 시작했습니다.

이런 저런 이유로 사부님과 이별을 하고 홀로

서기로 한지 3개월만에 90타로 진입을 했지만

이른 저녁을 먹은 탓에 밤에 배가 약간 고팠다. 블루베리 와 견과류를 조금 먹었다. 음 식의 천국,

문제는 그 다음부터 입니다. 더 이상 좋아지는 것 없이 시간만 흘러가는 중이었죠. 그때 즈음 저의 문제를 알았습니다. 제 자신의 능력이 넘

친다는 생각과 언제든지 나의 잠재력이 폭발 할 것이라는 망상과 시간이 지나가면 해결 될 것 이라고 생각했습니다. 골프는 교만을 빼야 잘 합니다. 자신감은 좋지만 교만은 피합니다. 내가 할 수 있다는 마음 가짐은 좋다. 단, 우연 히 될 것을 기대하면 안 된다. 다시 말해서 연 습을 하지 않고도 그 샷이 될 거라는 긍정적(?) 생각을 하지 말자.

연습을 안 했다면 기대하지 말아야 합니다. 몇 번 성공한 샷이라고 앞으로 계속 잘 될 것이 라는 생각이 아주 위험 합니다. 골프의 세계 에서는 골프장 악마가 있습니다. 바로 우연히 잘 맞은 샷이 나오도록 해서 연습을 하지 않 아도 잘 맞게 합니다. 어떤 날에는 한달을 연 습을 못했지만 필드에서는 날라 다니게 하기 도 합니다. 연습을 하지 않아도 샷이 되도록 하는 악마의 유혹에 넘어가면 실력이 늘지 않 는 골프가 됩니다. 자신의 잠재력을 믿는

최고의 계절

크루즈로 편안하게 즐기는

홋카이도 여행

by 트래비 매거진 / 브런치

크루즈를 타고 홋카이도를 여행했다.

바다에 가만히 안긴 채로, 호사를 누리면서.

여행의 수고가 귀찮아질 때

언제나 여행을 바란다. 하지만 그 여행에 수반되는 수고들이 귀찮아질 때가 있다. 각종 예약, 공항의 절차, 비행기를 타고

이동하는 시간, 다시 공항에서 호텔로의 이동. 이 모든 것들

이 버거워 떠남을 망설일 때가 있다. 문득 크루즈 여행이 눈

에 들어왔다. 가만히 객실 침대에 누워서 창밖만 보고만 있어

도 매일 새로운 여행지에 도착할 수 있으니까. 초대형 호텔이

저절로 움직여 목적지에 데려다 주는 셈이다.

크루즈 안에는 수영장, 레스토랑, 바, 스파, 카지노 등이 있고, 대극장에서는 매일 다채로운 공연도 열린다.

기항지 여행을 원한다면 나가면 되고, 쉬고 싶다면 배 안에 서 있으면 된다. 크루즈만큼 편한 여행은 없다. 그래서 크루 즈에 올랐다.

이번 크루즈 여행은 일본 홋카이도의 오타루와 하코다테 그 리고 그 아래에 있는 지역인 아오모리를 둘러보는 코스다. 짐 을 대충 꾸려 출발지인 속초항에 도착한 것은 저녁 무렵이었 다. 승객을 향해 활짝 문을 연 크루즈 ‘코스타 세레나(Costa Serena)’는 엄청난 위용을 뽐냈다. “가로 길이가 290.2m 정 도 되니, 63빌딩을 눕혀 놓은 것보다 40m나 더 깁니다!” 안 전한 탑승을 위해 마중 나온 가이드가 내게 말했다. 배에 올 랐다. 레스토랑 6개, 수영장 4개, 카지노와 공연장, 면세점, 스 파, 피트니스, 산책로. 이 모든 것이 크루즈 안에 있다. 크루즈 내 시설만 본다면 사실상 도시나 다름없다.

객실에 짐을 풀고 커튼을 열자, 새카만 밤바다 위에 별이 총 총 떠 있었다. 침대에 누워 밤하늘을 보며 생각했다. ‘알람을 맞추지 않아도 되고, 빡빡한 스케줄을 외우지 않아도 되고, 기 차나 버스 시간을 기억할 필요도 없겠네. 이 배가 새로운 여행 지로 이끌겠지….’ 여유로웠다.

다음날 아침, 저절로 눈이 떠졌다. 카메라만 달랑 메고 동해상 의 먼바다를 항해 중인 크루즈 꼭대기의 갑판에 올랐다. 산책 로를 따라 손을 꼭 잡고 산책하는 노부부가 보였다. 수영장의 아이들은 한창 신이 나 있다. 선베드에 누워 책을 읽는 애서 가들도 많았다. 어디선가 고운 목소리로 부르는 ‘그리운 금강 산’의 선율이 들려왔다. 그녀의 노래가 끝나고 박수의 열기가

가라앉은 뒤, 말을 걸어 보았다. 취미로 성악을 배운 지 스무

해가 넘었다는 그녀는 이제 70대를 맞이했단다.

“새벽에 돌고래 봤어요? 못 보셨으면 보여 줄까요?” 누군가

내게 말을 걸어왔다. 그의 핸드폰 영상 안에서

천국이에요!” 어느 주부의 말 에 모두가 한바탕 웃었다.

홋카이도의 색깔은 초록, 파랑, 보라 동해를 천천히 순항한 크루즈는 어느새 오타루항에 도착했 다. 승객마다 취향에 따라 단체 여행을 예약해 두었다가 버스 에 오르기도 하고, 자유롭게 여행하다가 정해진 시간까지 배 로 돌아오는 걸 택하기도 했다. 물론 편안하게 배에 머무르는 선택지도 있었다.

산단다키

Ashibetsu, Hokkaido 076-0081 일본 오타루에서 조금 먼 곳까지 가보고 싶었던 나는 렌터카를 빌 려 동쪽으로 차를 몰았다. 목적지는 ‘비에이’. 452번 국도를 타 고 한창 차로 달리고 있을 때 길목 왼편으로 ‘산단다키’라는 나무 표지판이 보였다.

겹겹이 쌓인 사암층으로 장쾌하게 떨어지는 물줄기가 시원 한 바람을 일으켰다. 광활한 협곡의 모습이었다.

차로 돌아와 다시 비에이로 향했다. 가장 먼저 들른 곳은 ‘파

란 연못’이라는 뜻의 ‘아오이이케’로, 한국에서는 ‘청의 호수’

라고도 불리는 곳이다. 아오이이케는 이국의 바다보다도 더

청아한 스카이블루 색감을 자아내고 있었다. 비가 스멀스멀

내리기 시작해 회색빛 하늘이었는데도, 채도 높은 파란색에 감탄할 수밖에 없었다.

청의 호수 (아오이이케)

Shirogane, Biei, Kamikawa District, Hokkaido 071-0235 일본

아오이이케는 인근의 온천과 강물 그리고 알루미늄을 비롯 한 여러 성분이 섞여 푸른빛을 띠게 됐다고 한다. 계절마다 에메랄드에서 라이트블루까지 다양한 색을 이루고, 한겨울 에 수정처럼 얼어붙은 모습도 아름답단다. 연못 한가운데에 는 서서히 시들어 가는 나무들이 있어서, 생동감 넘치는 청록 의 수면과 대비를 이뤘다.

크루즈로 돌아오는 길에는 ‘사계채 언덕’이라 불리는 ‘시키사

이노오카’에 들렀다. 봄부터 가을까지 라벤더, 튤립, 루핀, 샐 비어, 해바라기, 달리아, 코스모스, 해바라기 등 수십 종의 꽃

들이 언덕 위를 수놓는다. 마침 보랏빛의 ‘숙근샐비어’가 한 창이었다. 보랏빛 세상이다.

사계채의 언덕(시키사이노오카)

071-0473 Hokkaido, Kamikawa District, Biei, Shinsei, 일본

천국과 지옥의 거리

오타루항을 떠난 크루즈는 홋카이도 하코다테로 향했다. 크

루즈가 정박한 하코다테항 바로 옆에는 이곳이 국제무역항 이었다는 것을 증명하는 ‘카네모리 아카렌가 창고’가 있었다.

19세기 무렵에 지어진 붉은 벽돌 창고와 1882년에 축조된 복 고풍의 운하가 매력적이다. 여러 채의 옛 건물들은 현재 레스 토랑, 바, 카페, 쇼핑몰 등으로 재탄생해 운영하고 있다.

14-12 Suehirocho, Hakodate, Hokkaido 040-0053 일본

하코다테에서 놓칠 수 없는 여행지가 바로 ‘모토마치’다. 유 서 깊은 서구풍 거리로 러시아, 중국, 서양과 대외무역을 주 고받았던 역사를 눈으로 확인할 수 있는 곳. 언덕을 따라 걷 다 보니, 구 영국 영사관, 러시아 정교회, 로마 가톨릭 교회, 성 요한 성공회, 옛 하코다테 공회관 등의 건물이 이어졌다. 한 곳씩 사진을 찍으며 언덕 꼭대기에 오르자, 하코다테 항만이 한눈에 들어온다.

하코다테 산 전망대 Hakodateyama, Hakodate, Hokkaido 040-0000 일본

하코다테의 클라이맥스는 역시 하코다테산에 올라 바라보 는 야경이다. 지리적으로 가운데가 잘록하게 들어간 도시 양 쪽으로 바다가 펼쳐지는 모습으로 유명하다. 로프웨이도 이 곳의 명물.

전망대는 인산인해를 이뤘다.

인고의 시간 끝에 난간에 다다르자, 그토록 고대했던 짙푸른 바다가 내려다보였다.

다시 코스타 세레나호로 향했다. 크루즈는 마지막 기항지인 아오모리로 향했다. 아오모리에 도착해서는 항구에서 걸어 갈 만한 거리에 있는 ‘네부타 뮤지엄 와랏세’에 먼저 들렀다. 아오모리의 여름 축제인 ‘아오모리 네부타 축제’에 사용된 네 부타들을 전시해 놓은 곳이다. ‘네부타’란 거대한 종이 인형 과 여러 개의 등으로 꾸며진 수레를 뜻한다. 저마다 갖가지 신 화나 전설 속 인물이나 동물의 형상을 하고 있었다. 어둠 속에 서 형형색색으로 빛나는 네부타들은 아름다우면서도 으스스 해서 기묘한 인상을 풍긴다.

박물관에서 나와 북동쪽으로 120km 즈음 차로 달리면 산길 이 시작된다. 일본의 영산으로 꼽히는 ‘오소레산’이다. ‘보다 이지’라는 사찰에 도착했다. 어디선가 유황 냄새가 코를 찌른 다. 사찰 안에 있을 거라고는 상상하지도 못했던 황폐한 토양 의 화산지대가 등장했다. 곳곳마다 유황이 웅덩이를 이루고, 열기를 잔뜩 품은 김이 모락모락 피어올랐다. 푸른빛의 칼데 라 호도 펼쳐진다. 거친 화산 지형하고는 전혀 다른 청아한 모 습이 대비를 이룬다. 그래서인지 이곳에서는 유황 지대는 ‘지 옥’, 호수 부근은 ‘천국’으로 불린다고 한다. 천국과 지옥은 멀 리 있지 않다. 이제 돌아갈 시간이다. 크루즈 내에서는 마지 막 날까지 갖가지 공연과 크고 작은 이벤트들이 쉼 없이 펼쳐 졌다. 이곳에서는 언제나 축제가 열리고, 모두가 주인공이다. 떠나기가 아쉬워 바다를 안주 삼아 맥주를 들이켜며 생각했 다. 언젠가 또 수고로움에 여행을 망설이게 된다면, 그땐 망 설이지 않고 크루즈를 타야지. 글·사진 나보영 에디터 강화송 기자 취재협조 롯데관광개발

차 이 나

최대 항만운영사도 해킹으로 '운영 중지'

호주 디지털 첩보 기관은 호주의 주요 인프라가 사이버 공격의 표적이되고 있다 는 강력한 경고를 보냈다. 호주신호정보국(ASD)는 수요일(15일) 연례 사이버 위 협 보고서를 발표했다. 이 보고서의 검토 대상 기간에는 호주에서 두 번째로 큰 통 신사인 옵터스(Optus)와 대형 민간 의료 보험사 메디벵크(Medibank) 정보 유출 사건이 발생했다. 이번 보고서는 ASD가 호주 최대 항만 운영사 'DP 월드 오스트 레일리아(DP World Australia, 이하 DP 월드)에 대한 최근 사이버 공격을 조사하 고 있는 가운데 나왔다.

지난 금요일(10일), DP 월드는 네트워크에서 무단 액세스를 감지한 후에 시드니, 멜버른, 브리즈번, 프리맨틀(Fremantle) 항만 운영을 중단했다. DP 월드는 무단 액세스를 차단하기 위해 인터넷 연결을 끊어야 했다. 화물과 컨테이너는 디피 월 드가 운송 작업을 복구할 수 있었던 월요일(13일)까지 부두에 발이 묶여 있었다.

ASD는 지난 회계연도에 항만과 같은 중요 인프라 기관에서 발생한 143건의 사건 에 대응했으며, 이는 그 전년도 95건에서 증가한 수치라고 보고서에서 밝혔다. 연 방정부 기관이나 중요 인프라를 마비시키고 민감한 데이터의 '격리' 또는 '광범위 한 손상'을 초래한 심각한 공격은 2건에서 5건으로 증가했다.

작년 옵터스 해킹은 당국에 의해 "광범위한" 공격으로 간주되었지만, 통신 회사 는 연방의 중요 인프라 제도에 포함되지 않았다. 연방정부는 이번 주에 이를 변경 할 계획을 밝힌 바 있다. ASD는 지난해 총 1,100건의 사이버 보안 사고에 개입했다. 이 중 10%는 랜섬웨 어 공격이었고, ASD는 158개 기관 및 단체에 그들의 네트워크에서 감지된 랜섬 웨어 활동을 알렸다. 전국적으로 개인과 기업이 사이버 범죄를 신고한 건 수는 약 9만4,000건으로, 그 이전 회계연도보다 23% 증가했다. 기업의 평균 사이버 공격 피해액도 14% 늘어났다.

qldkoreanlife.com.au qldkoreanlife

소규모 사업체가 사이버 공격을 당해 발생한 작년 손실액은 평균 약 4만 6,000달 러였다. 202-21 회계연도에는 약 3만 달러 수준이었다. ASD는 국가 지원을 받는

사이버 해커들이 주요 기업과 주요 인프라를 지속적으로 위협하고 있으며, 이러 한 공격들의 주범으로 중국을 거론했다. '러시아어를 사용하는 동유럽' 범죄자라 고 불리는 러시아 연계 해커들도 호주인을 노리는 것으로 탐지됐다고 한다.

지난 5월, 호주는 파이브 아이즈(Five Eyes) 정보 동맹국과 함께 미국 인프라에 대

한 사이버 공격의 배후로 중국을 지목하기도 했다. 수요일 오전, 리처드 말스 국방

장관은 ABC 인터뷰에서 "중국과의 관계는 복잡하다. 우리는 중국과의 관계를 쉬

운 척한 적이 없다"고 말했다.

말스 장관은 "중국은 우리의 최대 무역 파트너이므로, 그 관계에 투자하는 것은 옳

다"면서도 동시에 "하지만 중국은 우리 나라 안보 불안의 원천이 되어 왔으며, 우

리는 이에 대한 대비도 하고 있다"고 강조했다. 그는 호주가 군사 기술을 강화함

에 따라 국가의 지원을 받는 사이버 범죄자들도 호주를 더욱 표적으로 삼을 것이

라고 말했다. ASD 역시 핵추진 잠수함을 개발을 골자로 하는 오커스(AUKUS) 협

정이 "자국의 군사 프로그램을 위해 지적 재산을 훔치려는 국가 행위자들의 표적

이 될 수 있다"고 보고했다.

'침묵의 살인자' 폭염, 호주를 위협하다

다른 재해에 비해 심각하게 여기지 않는 인식이 문제

올해도 호주는 매년 수백 명의 목숨을 앗아가는 '침묵의 살인자'를 피할 수 없을 것으로 보인다. 폭염으로 인해 매년 전국에서 약 1,100명이 사망하는 것으로 추

정되는 가운데, 전문가들은 폭염이 수백만 명의 호주인들을 끔찍한 운명으로 몰 아넣고 있다고 경고한다. 사람들이 여전히 폭염을 심각하게 받아들여지지 않아 현실에 안주하며 행동하지 않아서다. 웨스턴 시드니 대학교의 세바스찬 파우취 (Sebastian Pfautsch) 부교수는 "폭염이 호주에서 다른 모든 자연재해로 목숨을 잃은 사람들을 합친 것보다 더 많은 생명을 앗아가는 침묵의 살인자라는 것은 상 식"이라고 말했다.

2009년 2월 6일, 빅토리아주에서는 약 400건의 화재가 발생하여 173명이 사망하 고 400명 이상이 부상을 입었다. 이로 인해 법이 바뀌고, 수백만 달러가 모금되었 으며, 피해를 입은 지역 사회에는 영구적인 상처가 남았다. 그러나 이 잊혀지지 않 는 산불을 에워쌌던 여름 폭염 기간에는 374명이 초과사망한 것으로 추정된다. 폭

염의 영향으로 사망하는 사람들의 수는 향후 수십 년 동안 급증할 것으로 예상된 다. 특히 폭염 기간 동안 '도시 열 흡수(urban heat sinks)’ 또는 '도시 열섬(urban heat islands)' 현상이 나타나는 지역에서는 기온이 매우 높다.

한편, 의학 잡지인 랜싯(Lancet)의 연구에 따르면 기후 변화가 직접적인 건강 위

험뿐만 아니라 식량 불안정, 영양실조, 전염병 및 이로 인한 경제적

킨다는 사실을 발견한 바 있다. - 한국내 �성급호텔, 레스토랑,

'검증된�양고기�전문기업' '호주�직판연결'

아내의 소개팅

연상 아내의 소개팅에 기겁한 연하 남편 이야기

묘한 운명의 장난인지, 과거

아내의 소개팅남과 같은 아파

트 단지에 살고 있다. 배우자

의 소개팅 전력은 금기의 영

역이지만 동시에 궁금증이 폭

발하는 대상이기도 하다. 대

화의 성역이 사실상 무너진

우리 부부는 스스럼없이 지난

날의 소개팅 이야기를 한다.

기혼자 선배님들께서는 배우

자의 과거는 건들지 않는 것

이 지혜라고들 하는데, 나와

아내는 지혜를 터득하려면 아

직 멀었나 보다. 오히려 누가

먼저랄 것도 없이 본인의 소

개팅 자랑을 하며 키득거리고

있으니, 둘 다 참 철이 없다.

먼저 나의 소개팅 전적을 밝

히자면, 3전 1승 1무 1패다. 3

이라는 초라한 숫자에, 혈기

왕성했던 지난날의 나는 대체

뭘 했는지 공허한 후회가 밀

려온다. 지금도 소개팅에 앞

서 설레하는 친구를 보면 새

삼 부럽기도 하지만, 이미 강

을 건너버린 나로서는 마땅히

감당해야 할 몫이다. 첫 소개

팅 경험은 21살 때였다. 처음

이기도 했고, 상대가 무려 의

대생이었기에 매우 긴장했다.

결과적으로는 서로의 손을 관

찰하며 힘줄이 뭔지, 뼈가 뭔

지 정확하게 배웠던 알찬 시 간이었다. 친구로 지내기로 했으나 그 뒤로 연락은 없었 다. 두 번째는 역사적인 1승 의 소개팅이었고, 그분과 잠 시 교제했으나 금방 헤어졌 다. 세 번째는 매몰차게 거절

당했다.

반면 주워들은 말을 종합해

본 결과, 누님 아내는 소개팅

다(多) 경험자가 분명하다. 적

게 잡아도 10번 이상 한 것으

로 추정된다. 본인의 입으로

는 애프터 신청이 빈번했다

고 자랑을 하는데, 확인할 도

리가 없으니 곧이곧대로 믿

을 수밖에. 가끔은 그녀의 과

거에 흠칫 놀란다. 앞에서 말

한 아파트 단지에서 소개팅

남을 목격했다는 얘기 같은

걸 듣는 경우다. 오랜만에 얼

굴을 봐서 반가웠다고 환하

게 말하는 아내를 보며 애먼

가슴을 쓸어내린다. 하지만

이 정도로는 큰 타격을 입을

호락호락한 내가 아니다.

부부관계의 근간을 뒤흔들었

던 더욱 무시무시한 일도 있

었기 때문이다.

우린 종종 집에서 영화를 본 다. 하지만 서로의 취향에 맞 는 영화를 찾는 일이 그리 쉽

지만은 않다. 이리저리 살피 던 중, 평소 좋아하는 감독인

크리스토퍼 놀런 감독의 ‘인

터스텔라’가 눈에 띄었다. “

이건 어때?”라고 묻자, 아내

는 시큰둥하게 “아 저 영화,

소개팅남이랑 봤어.” 하며 거

절 의사를 분명히 밝혔다. 뭐

그럴 수도 있지, 대범하게 넘 기려는 순간, 갑자기 아찔한

충격과 공포에 휩싸였다. 우

리의 연애 시작은 2014년 10 월. 영화 개봉일은 당해 11월

이었던 것이다!

아무리 아량이 넓은 사람이라

도, 배우자의 숨겨왔던 양다

리 낌새를 포착하면 한껏 날

카로워지기 마련. 배신감에 산산 조각난 정신을 가까스 로 부여잡고, 아내를 추궁하 기 시작했다.

어떻게 그럴 수가 있느냐고 외치는 선량한 신랑의 모습 은 참으로 딱하기 그지없었 다. 개봉일이 잘못됐다고 뻔 뻔하게 우기는 아내와 옥신각 신하며 진실을 밝히고자 분투 했다. 전말은 이러했다. 황당 하게도, 아내는 영화 ‘그래비 티’와 ‘인터스텔라’를 혼동해 서 착각했던 것이다.

그 뒤로 우주 영화에 영 흥 미를 잃었다. 스타워즈의 할

아버지가 와도 보고 싶지 않

다. 대신 기억이 떠오를 때마

다 아내를 놀려대는데 재미

를 붙였다. “인터스텔라는 재

밌었니? 그 남자는 어땠니~?”

그러면 아내는 발끈하며 되레

애꿎은 나의 과거를 들먹이며

반격을 하곤 한다. 그러나 티

없이 맑은 과거의 소유자인

남편은 별 타격이 없다. 그저

위와 같은 별 의미 없는 시간

에 소박한 즐거움을 느낄 뿐

이다. 이렇게 말하면 아내의

약점을 잡고 괴롭히는 악덕

남편으로 보일까 봐 심히 우

려된다. 참고로 나는 주로 공

격당하는 선량한 약자라는 것

을 알아주셨으면 한다. 그래

봐야 털릴 건덕지 없는 투명 한 남자지만. 후훗.

오늘도 돌아오는 길에 아내

의 소개팅 장광설을 들었다.

누구는 빌딩이 있었고, 누구

는 서울대생이었으며, 누구는

몸이 좋았고, 또 누구는 알고

보니 게이였다고도 한다(헉!).

연하 남편의 마음을 어루만질 줄 아는 노련한 아내는 이런

말도 빠뜨리진 않는다. “그래 도 나는 우리 남편이 제일 좋 아!”라며 다짜고짜 내 볼을 꼬 집는 그녀를 보니 일종의 부 채 의식을 느낀다. 쟁쟁한 인 물들을 뒤로하고 나를 택한 그녀의 박탈감이 내심 걱정되 기 때문이다. 당장 빌딩을 가질 수도, 학벌 을 세탁할 수도, 바로 몸짱이 될 수도 없기에 주어진 하루 를 더욱

살고자 되새 긴다. 과거 아내의 소개팅을 떠올리며 스스로 성장하려는 의지를

가로 열쇠

1. 습관적으로 남을 속여 이득을 꾀하는 사람

2. 변화에 대응하지 못하고 쇠퇴하여 가는 산업

4. 각을 뜬 돼지의 발

5. 널리 알림

7. 산의 맨 꼭대기

9. 아무 보람도 없이 애를 씀

11. 더 나은 투자를 위해 밑천이 되는 돈

13. 논에 물이 들고 나가게 만든 좁은 통로

16. 소나 양의 뿔로 장식한 활

17. 원본의 내용을 전부 베낀 서류

18. 우쭐하여 뽐내는 기세가 대단함

19. 아버지의 어머니

세로 열쇠

1. 모든 일은 반드시 바른길로 돌아감

2. 사기로 만든 국그릇

3. 컴퓨터로 파일이나 자료를 전송하는 일

4. 한 가문의 계통을 적어 기록한 책

6. 쩨쩨한 수단이나 방법

8. 서로 따르며 친하게 지냄

10. 헐거나 낡은 물건

12. 자막대기

14. ‘꼴’을 낮잡아 이르는 말

15. 액체를 붓는 데 쓰는 나팔 모양의 기구

16. 연극을 만들기 위하여 쓴 글

17. 무대나 연단에 나옴

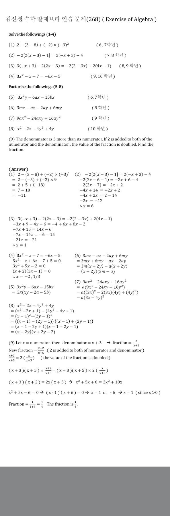
김선생 수학

박성훈 목사

골드코스트 지구촌교회

성경이 우리에게 누누이 강조

하는 말씀이 있습니다. 그것은

지혜 있는 자가 되라는 것입니

다. (엡 5:15) 그런즉 너희가 어

떻게 행할지를 자세히 주의하

여, 지혜 없는 자 같이 하지 말

고 오직 지혜 있는 자 같이 하

여 / 지혜롭게 살기 위해서는

주의 깊은 생각과 함께 이에

따른 구체적인 행동이 필요

합니다. 그렇다면 그 구체적

인 행동은 과연 무엇일까요?

지혜 있는 자로 살기 위해 우

리에게 필요한 것은 무엇일까

요? 그리고 이를 통해 나타날

우리의 변화된 삶의 모습은 과

연 무엇일까요?

첫째로 우리는 세월을 아껴

야 합니다. (엡 5:16) 세월을 아

끼라 때가 악하니라 / “세월을

아끼라”는 말씀을 원어적으

로 보면 “시간을 구속하라”

입니다. 구속은 돈 내고 산다

는 뜻이다. 예수님이 십자가

의 보혈로 우리 죄값을 대신

치루셨다고 할 때 바로 그 구

속입니다. 대게 사람들은 돈

주고 산 건 잘 활용해야 한다

고 생각합니다. 마찬가지로 “

세월을 아끼라”는 말씀은 돈

주고 산 것처럼 세월 곧 시간

을 잘 활용하라는 말씀입니

다. 한편 성경은 세월을 아껴

야 할 이유로 때가 악한 것을

말씀합니다. 죄로 타락한 세

상은 너무 악합니다. 그 배후

에서 악한 영이 우리를 거룩

하신 하나님으로부터 떨어뜨

려 놓으려고 기회를 노리고

있습니다.

따라서 예수님을 믿고 거듭난

사람은 기회가 될 때마다 하

나님께 시선을 집중해야 합니

다. 하나님이 원하시는 것을 하고, 반대로 미워하시는 것

은 하지 말아야 합니다. 세상

쾌락이 아닌 하나님의 축복에 관심을 둬야 합니다. 그래야

만 악한 세대에 물들지 않고

살아갈 수 있습니다. 시간을

잘 활용해 하나님을 만나시기

바랍니다. 축복의 기회를 잡으

시기 바랍니다. 하나님이 우리

를 기다리시며 기회를 주십니

다. 이를 위해 하루 일과 중 구

체적으로 따로 시간을 내어 하

나님을 만나시기 바랍니다. 말

씀을 묵상하고 기도하는 시간

을 확보하시기 바랍니다. 이렇

게 꾸준히 기회를 잡으면 인생

이 달라지는 것을 경험하게 될 것입니다.

둘째로 우리는 성령 충만을 받

아야 합니다. (엡 5:18) 술 취하

지 말라 이는 방탕한 것이니

오직 성령으로 충만함을 받

으라 / 성경은 술 취함과 성령

충만을 나란히 놓고 말씀합니

다. 이 둘이 크게 다른 점이 있 다면, 술 취함은 방탕으로 이

어지지만 성령 충만은 축복

으로 이어진다는 것입니다.

따라서 우리는 술 취하지 말

아야 합니다. 반대로 오직 성

령으로 충만함을 받아야 합 니다. 성령 충만은 성령께서

내 삶을 이끌어 가시도록 내 삶의 주권을 성령께 내어 드

리는 것입니다. 그래서 마음 과 생각 그리고 이에 따른 말 과 행동이 내 안에 계신 성령 의 인도하심을 따라 순종하

는 것입니다. 그러면 자연스

럽게 나에게 성령의 열매가

맺힙니다.

성령을 받기 위해 우리에게 필요한 것은 먼저 믿음입니 다. 그리고 우리 안에 주님의

말씀이 있어야 합니다. 하나

님이 주시는 성령 충만을 받

기 위해 우리는 기도하고 또

주님의 말씀도 알아야 합니

다. 이를 위해 필요한 노력도 해야 합니다. 그렇게 성령 충 만을 받으면 우리에게 아주 좋은 일이 생깁니다. 그것은

바로 기도가 응답되는 것입니 다. 우리 모두가 성령 충만으 로 기도 응답을 받게 되기를 바랍니다.

셋째로 성령 충만의 결과 우 리에게 성령 충만의 열매가 나타납니다. 흔히 성령의 열

매라고 하면 갈라디아서 5장

에 나오는 사랑, 희락, 화평, 오래 참음, 자비, 양선, 충성, 온유, 절제, 이 아홉 가지 열매 를 생각합니다. 하지만 성령 의 열매는 꼭 이것 만이 아닙 니다. (엡 5:19) 시와 찬송과 신 령한 노래들로 서로 화답하며 너희의 마음으로 주께 노래하 며 찬송하며 / 이렇게 찬양도 성령 충만한 자에게 나타나 는 열매입니다. 또 감사 역시

성령 충만의 열매입니다. (엡 5:20) 범사에 우리 주 예수 그

리스도의 이름으로 항상 아버

지 하나님께 감사하며 / 여러

분, 우리가 성령 충만하면 우

리를 둘러싼 상황이 전혀 나

빠지지 않습니까? 그렇지 않

습니다. 그것과 상관없이 나

빠질 수 있습니다. 하지만 그

런 상황을 받아들이는 우리

의 태도는 나빠지지 않을 수 있습니다. 왜냐하면 우리에게 는 우리 주 예수 그리스도께 서 계시기 때문입니다. 하나 님이 그리스도를 통해 우리의 마음과 생각을 지켜 주신다

는 사실을 알기 때문입니다. 이걸 깨닫게 하시는 분이 바 로 성령입니다. 그래서 성령 충만하면 감사할 수 있는 것 입니다. 마지막 열매는 서로 복종하 는 것입니다. (엡 5:21) 그리 스도를 경외함으로 피차 복 종하라 / 복종은

10분 하체 운동 루틴 (무릎 안전)

“처진 엉덩이가 고민이에요.” “무릎이 자주 아파요.” “내 생애 애플힙을 가져보는 게 소원이예요.” 최근 제 유튜브 구독자들에게 받은 문의와 요청인데요, 해당사항이 하나라도 있다면 오늘 알려드리는 운동 꼭 해보시길 바랍니다.

도구나 웨이트 필요없이 맨몸으로 따라하는 운동이구요, 초보자나 무릎이 약하신 분들도 안전하고 쉽게 따라할 수 있게 제가 영상에서 천천히 설명했으니 영상 참고해 꼭 해보시길 바랍니다. 제 유튜브 채널 ‘요가읽어주는 여자 hayeon’에서 (DAY6) 십분 요가 | 허벅지 군살.. 편을 찾아 따라하세요.

1. Side Lying Leg Extension

중둔근(엉덩이 근육) 강화, 엉밑살 제거

STEP 1. 옆으로 누워 팔꿈치를 바닥에 대고 두 무릎을 접은 상태에서 운동을 시작합니다.

STEP 2. 두 다리를 모았다가 천천히 위에 있는 다리를 천정 사선으로 올려 길 게 뻗어주세요.

STEP 3. 다시 무릎을 접어 모은 후 같은 자세를 45초 반복합니다.

STEP 4. 엉덩이 바깥쪽의 자극에 집중해보세요.

TIP! 두 엉덩이가 서로 수직으로 같은 선상에 위치하게 위에 있는 엉덩이 가 뒤로 빠지지 않게 유의하며 운동해주세요.

2. Clam Shell 변형 + Hip Lift

코어, 힙 가동성 향상

STEP 1. 이번에는 두 발을 붙이고 두 무릎을 모았다가 벌리는 동작입니다.

STEP 2. 두 발을 바닥에서 떼고 할 수 있다면 뗀 상태에서 진행해주세요.

STEP 3. 앞의 동작을 45초 진행 후 영상의 다른 동작 몇 개를 이어서 진행해 약 해진 둔근의 힘을 길러줍니다.

STEP 4. 숙련자들은 엉덩이를 바닥에서 떼고 클램쉘 동작에 도전합니다.

STEP 5. 45초가 무리라면 중간에 언제든지 엉덩이를 바닥에 내리고 하셔도 됩니다.

TIP! 귀와 어깨를 멀리 유지해 목에 불필요한 긴장감을 최소화 시키고 운 동내내 힙의 자극점에 집중할 수 있도록 해주세요.

3. Bridge Pose + Hip Opener

힙업, 안벅지 스트레칭

STEP 1. 등을 대고 누워 두다리를 모아Narrow Bridge 동작으로 엉덩이를 올 려주세요

STEP 2. 내시는 숨에 엉덩이를 들었다가 들숨에 엉덩이를 내리고 두 무릎을

벌려줍니다.

STEP 3. 위의 두 동작을 반복하며 엉덩이 근육과 허벅지 안쪽의 자극에 집중 합니다.

STEP 4. 45초 후 잠시 휴식 후 영상 을 참고해 복근 운동으로 운동 마무리해주세요!

TIP! 엉덩이를 들어 올릴 때 갈 비뼈와 복부가 위로 나오지 않도록 코어의 힘을 주면서 갈비뼈와 배꼽을 등쪽으로 수축합니다.

https://bit.ly/3w9ks4u (KOR)

https://bit.ly/SubscribeToYogasong (ENG) yogafulnesslife

이메일 : connect@yogafulness.life 홈페이지 : www.yogafulness.life

인스타그램 https://instagram.com/yogasong_hayeon

먹는 방법만 바꿔도 누구든지 살 확 빠지는 비법

현대를 사는 거의 대부분의 사람들은 건강

에 관심을 가지고 있으며, 또 외모를 가꾸고

자 한다. 이를 위해 많은 이들이 식단을 꾸리 고 운동을 하며, 몸이 불어나지 않도록 관리 한다. 간헐적 단식은 수많은 셀럽이 몸을 가 꾸는 비결로 내세우는, 실로 가장 유명하다

고 해도 과언이 아닌 식단법이다. 지금부터

는 간헐적 단식이라는 것이 정확히 어떤 식

단법이고, 어떤 원리에 따른 것인지 알아보 고자 한다.

간헐적 단식이란

간헐적 단식이란 식이요법의 일종으로, 식

사와 단식을 정기적으로 반복하는 것이다.

이를 통해 일정 수준 이상의 공복 시간이 유

지되도록, 식단을 인위적으로 조정하는 것

이다. 공복 시간과 식사 시간의 비율은 사람

마다 각기 다른데, 가장 널리 사용되는 것이

‘1일 1식’과 ‘16시간 공복’의 방법이다. 기본

적으로는 이러한 방법을 베이스로, 사람마 다 각자 다양한 프로그램으로 간헐적 단식

을 시도하고 있다.

이론

간헐적 단식이 특히 다이어트에 효과가 있

는 가장 큰 이유로는 흔히들 ‘인슐린의 정상 화’를 든다. 몸 속에는 탄수화물을 먹지 않아

도 기본적으로 어느 정도의 혈당이 유지되

기 마련인데, 탄수화물을 많이 먹거나 당류

를 자주 먹으면 혈당 수치는 높아지게 된다.

고혈당 상태에서 인슐린이 수치를 정상화해

주지 않게 되면 인슐린 저항성이 생겨, 잉여

혈당이 체지방으로 전환되고 지방 분해도 어려워진다. 간헐적 단식은 인슐린 민감성

이 높은 상태로 되돌리는 식단이다.

대중들에게 알려지기 시작한 건

우리나라에서 간헐적 단식이 본격적으로

알려지기 이전에도 같은 메커니즘의 ‘1일

1식’을 하는 이들은 많았다. 우리나라에

간헐적 단식이 유명세를 얻기 시작한 것

은 SBS 다큐멘터리였던 ‘끼니반란’의 덕

이 컸다. 우리나라뿐 아니라 전 세계적으

로 간헐적 단식은 알려져 있는데, 이는 영

국의 방송국인 BBC에서 방영된 다큐멘터

리 덕이었다. SBS가 간헐적 단식을 주목한

계기 또한 BBC 다큐멘터리였던 것으로 이

야기된다.

간헐적 단식의 종류

간헐적 단식 중에서도 23:1 단식인 1일 1식, 그

리고 16:8 단식인 1일 2식의 두 가지 프로그램

이 가장 유명하다. 23:1 단식은 23시간을 공복

상태로 유지하고, 하루 한 시간 동안 한 끼만 식

사하는 방식이다. 이 식단에서는 하루 중 원하 는 시간대에만 식사를 하게 된다. 16:8 단식은 통상적인 식사 시간과 양은 그대로 가져가되,

아침 혹은 저녁 한 끼를 먹지 않으며 16시간 동 안 공복을 가져가는 방법이다.

폭식은 금지 기본적으로 공복인 시간을 길게 가져가기 때문 에, 간헐적 단식을 시행하는 사람은 식사 시간에 폭식을 하기 쉽다. 단식 시간에 가능하면 배고픔 을 느끼지 않기 위한 당연한 귀결일 것이다. 하

지만 폭식을 하게 되면 우리 몸의 인슐린은 빠르 게 증가하게 되며, 자연스레 간헐적 단식의 효율 도 떨어지게 된다. 가장 좋은 것은 간헐적 단식 과 함께, 탄수화물을 줄이고 단백질 섭취량을 늘

리는 식단 조절을 병행하는 것이다.

단식 시간에는 음식물 섭취 금지

당연하지만 단식이란 음식을 먹지 않는 것이다. 간헐적 단식이 ‘식사’를 하지 않는 것이라 해석

하고, 간식으로 식사에 준하는 만큼 배를 채우 는 경우도 많다. 하지만 이는 단식으로 볼 수 없

는 행위다. 단식 시간에는 음식물을 섭취하지

않고, 오로지 물만 마시는 것을 권한다. 수분이 필요할 때 물 대신 탄산음료 등을 마시는 경우 도 많은데, 칼로리가 높은 음료 또한 단식 시간 에는 섭취해서는 안 된다.

운동을 병행해야 효과 극대화

간헐적 단식의 효과를 제대로 보기 위해서는 금 식 시간에 체내 탄수화물 기반 에너지원을 모 두 소모시켜야 한다. 몸이 일정 시간 동안 공복

상태가 되면 지방이 연소되며, 특히 다이어트를 하는 이들에게 좋은 효과를 기대할 수 있게 된 다. 다만 이를 통해 근육량도 필연적으로 줄어 들 수밖에 없는데, 운동으로 근손실량을

을 극단적으로 줄이는 형태가 아니라, 먹을 때 는 과하지는

때문이다. 간헐적 단식의 시작 은 칼로리 제한을 실천하기 위한 방편이었는데, 이를 통해 수명연장, 당뇨예방, 암 예방, 치매예 방, 심혈관질환 예방 등에 효과가 있을 것으로 여겨지고 있다. 공복이 위에 부담을 줄 것처럼 여겨지지만, 의외로 위궤양 증상 회복에 도움이 된다는 의견도 있다.

QUEENSLAND 교민게시판

퀸스랜드주 한인회비

퀸스랜드주 한인회는 많은 회원분들 의 회비로 운영되고 있습니다.

- 회비: 1인 $20 / 4인 가족: $50 - Bank: NAB - Account Name: The Korean Society of Queensland - BSB: 084 255 - ACC: 77 348 7068

송금하실 때에는 레퍼런스란에 본인의 한글 이름을 영문으로 적어주세요.

[ 2023년 상반기 한인회비 납부 ]

이선구 전 한인회장 가족 $50, 김은총, 김태성, 최경식, 박세진, 설청우, 김진성, 김웅도, 김형남 한인회장 가족 $50, 김찬호, 고동주, 서정 가족 $50, 권정식 $40, 이종일 가족 $50

골드코스트 한인회비

여러분들께서 납부해 주시는 회비는 골드코스트한인회의 운영과 교민사 회의 단합과 발전을 위해 쓰여집니다.

- 회비: 1인 $20

- Bank: BOQ

- Account Name: The Korean Society of Gold Coast Australia Inc

- BSB: 124 022

- ACC: 21549471

입금시 영문 성함을 꼭 기재해 주세요.

[ 2023년 7월1일~2024년 6월 30일 ]

지상의, 김춘임 부부 $50, 김술람, 최인숙, 김치은 부부 $50, 이순자 $50, 김광수(전예순) $50, 이세라, 손남순, 최원, 민광기(장희옥), 김창수(한승자), 조성진, 박찬식(조혜숙), 안순례, 이종희(강영부), 김경식, 강태홍 (김현영), 신명숙, 이하림, 선수 미 (최곤), 김용화, 윤지현(이주혜), 김광연, 신명아, 안경자, 최동일 (박은주), 이광분, 김경숙, 김현영

골드코스트 시니어회 12월 모임

안녕하세요:) 그 동안 잘 지내셨는지요?

아래와 같이 12월 모임을 개최하오니 많은 참석 바랍니다. 신임 회장과 총무 선출 후 처음 맞이하는 모임이며, 2023 송년 모임도 겸하고자 하오니 한 분도 빠짐없이 참석해 주시기 바랍니다. 감사합니다.

- 일시 : 12월 7일(목) 낮 12시

- 장소 : 사우스포트 Seoul Kitchen (1/32 Nind St, Southport QLD 4215)

- 신청/문의 : 신임 회장 정정호 0424 393 974, 총무 남순애

골드코스트 시니어 교실

강습 : 65세 이상 남,녀 (회비 $5)

일시: 매월 2, 4째 목요일 오전 10시 ~ 오후 2시

장소: 비전 장로교회

주소: 24-26 3/15 Jackman St, Southport

문의/상담: 골드코스트 한인회, 0418 763 186

주최: 골드코스트 한인회 / 주관: 골드코스트 시니어 그룹

ECCQ BBV & STI 한인지원서비스

B형 간염/C형 간염 문의

B형/C형 간염보유자 무료 간탄력도 검사 (FibroScan) - 비자에 상관없이 무료

담당자: 김미림

연락처: 0428 484 595 | korean@eccq.com.au

순국선열의 날 행사 성료

대일항쟁기에 빼앗긴 국권회복을 위해 헌신하신 애국선열 들의 독립정신을 기리는 제84회

순국선열의 날 기념행사가 지난 17일(금) 시드니 한인회관에서 '저버리지 못할 약속이여!'

이란 주제로 거행됐다.

광복회 호주지회(회장 김형, 이하 광복회)가 주최한 이날 행사는 시드니 총영사 와 교민단체

장 및 교민원로 들과 학생, 학부모 등 각계각층의 많은 분들이 참석한 가운데 1부 기념식에

이어 2부는 지난 10월에 실시한 제9회 청소년 민족캠프 발표회로 진행됐다.

식전공연에서는 민족캠프 출신으로 구성된 K-Pop팀(SIRIUS) 의 공연으로 몽중몽 과 인연

이라는 곡을 재 해석해서 K-POP 댄스로 표현하여 많은 호응을 얻었다.

1부 기념식은 박상우 학생의 사회로 민족캠프 참가학생들로 구성된 나라사랑 청소년 합창 단과 함께 국민의례, 형주백 민주평통 상임위원 의 제문 봉독에 이어 내빈들의 헌화 분향, 인 영호 광복회 부회장의 순국선열의 날 약사 보고 대독, 이서우 , 노승연 학생이 독립운동가 윤

동주 시인의 '새로운길 '를 한국어와 영어로 낭송해 참석자들의 가슴을 뭉클하게 했다. 시드

니 총영사 가 국가 보훈부 장관 기념사 대독에 이어 박상민 학생 외 5명이 권준 장군, 송학선 의사, 방정환 선생, 강평국 선생, 백운호 선생 과 마아가렛 데이비스 선생의 어록을 낭독하고

오혜영 시드니 한인회장의 추모사, 순국선열의 노래 제창으로 1부를 장식했다.

2부는 김 영 학생의 사회로 '나라사랑 민족캠프! 21세기 독립운동!'이라는 주제로 민족캠프

발표회가 열렸다. 김형 회장은 인사말에서 "민족캠프의 교육 수준을 높이기 위한 도전과 노

력은 계속 될 것이다. 호주에서 민족캠프가 내년이면 10년인데 보다 굳건히 자리 잡도록 동

포사회의 깊은 관심과 성원이 있기를 간절히 바란다”고 말했다. 서정배 민주평통 호주협의

회회장 의 축사, 참가학생 3명의‘민족캠프 참가후기, 와 헌시 등 작품발표와 민족캠프 조별

발표회에서 대상을 차지했던 독립군 팀이 '21세기 독립운동 ?'이라는 주제의 공연을

박수를 받았다. 정윤성 학생이 참가학생 대표로

대상은 노승연 학생(Marsden High School 9학년) 이 차지해 이태우 총영사가 국가보훈부 장관 상장을 전수했고 시상금 $1,.000과 부상으로 고급 기타를 전달했다.

<제8회 청소년 민족캠프 종합시상 내역>

- 대 상 : 노승연(국가보훈처장관 상장, 시상금 $1,000, 고급 기타 와 광복회선물백)

- 최우수상 : 김 영(대한민국광복회장 상장, 시상금 $500, 고급 기타와 광복회 선물백) - 우 수 상 : 배연수(독립기념관장 상장, 시상금 $300, 양국기 및 광복회 선물백) 김보아(주시드니총영사 상장, 시상금 $300,양국기 및 광복회 선물백 ) - 장 려 상 : 김예겸(시드니한국교육원장 상장, 시상금 $200, 네온싸인 스탠드 및 선물백) 박상우(시드니한국교육원장 상장, 시상금 $200, 네온싸인 스탠드 및 선물백) 차유림(주시드니한국문화원장 상장, 시상금 $200, 네온싸인 스탠드 및 선물백) - 광 복 상 : 정윤성(광복회호주지회장 상장, 시상금 $100, PC 용 선풍기 및 선물백) 사랑 나비아 (광복회호주지회장 상장, 시상금 $100, PC 용 선풍기 및 선물백) - 특 별 상 : 송혜인(광복회호주지회장 상장, 시상금 $100, PC 용 선풍기 및 선물백) 신 진(광복회호주지회장 상장, 시상금 $100, PC 용 선풍기 및 선물백)

♦ 광복회 회장 감사패 : 권진 시드니 교육원장

♦ 재호 광복장학회 장학금 : 이은혜, 배재민, 현세라, 지은수, 최리아, 김한결, 박중근 (장학증서, 장학금 $500, 부상)

02 9210 0200

02 9210 0216

02 9210 0215

총영사관-행정 02 9210 0218

주시드니 총영사관-민원 02 9210 0234

통화량이 많아 연결에 다소 시간이 소요될 수 있습니다.

관련 문의는 우선 총영사관 홈페이지 www.koreasydney.net을 참고해 주시기 바랍니다.

간판/인쇄/디자인

i-hub 0435 831 116

NB Signs - 간판, 인쇄, 디자인 0421 790 885

Sunny Creative 0412 840 533

건강식품/기념품

뉴질랜드 초록홍합,녹혈,녹용 캡슐 판매 0403 736 998

드림로드 양모, 한국이불 3209 5445

New Core 건강식품 3012 7886

SINI 건강 (써니뱅크점) 3344 7881

건축/인테리어/집수리

한국대사관 02 6270 4100 한국관광공사 02 9252 4147 광복회 호주지회 0452 188 070

긴급전화(경찰, 앰블런스, 화재) 000

Police Liaison Unit(한국어) 3364 3217 - 경찰업무 관련 한국어로 통화를 원할 때

Police Link 131 444 - 일반 경찰업무, 비자 분실 등

가정폭력 1800 811 811

여성상담센터 0425 252 372

성폭행 상담 3636 2414

수도 1300 366 692

독극물, 생명전화(24시간) 13 11 14

위기구호, 아동학대 1800 177 135 음주, 마약 3236 2414

가스 문의 13 12 53 / 13 62 62 (사고) 텔스트라 문의 125 111 / 1800 773 421(한국어)

13 14 50

대한무역진흥공사 02 9299 1790

브리즈번 BRISBANE

Blue River Design & Construction 0478 709 032

Blue Whale Construction 0402 272 891, 0416 911 333

BL 핸디 홈 메인터넌스 0416 911 444

City Garage Doors 차고문 당일수리, 제작 0492 889 349

Dr 핸디맨 0478 833 415

G1 Painting 0450 959 010

Happy Blinds 0481 711 500

Hi Design & Construction 0430 900 630

J Plus Building Inspections 0422 773 031

K Total Construction 0466 127 884

KIM’S HOUSING 0411 097 908

NEXUS PLUMBING 0459 999 754

OkayPainting 0430 889 559

OneStop Bath & Tiles 07 3034 1075

Shop4, 655 Toohey Rd, Salisbury

SUNSHINE 블라인드 0481 148 692

Total Cabinet 3299 1978

교민단체

골드코스트 한인회 0418 763 186

대양주 한인회 총연합회 0427 566 474

월남전 참전자 전우회 퀸즐랜드지회 0411 378 391

재향군인회 퀸즐랜드 분회 0412 629 358

퀸즐랜드 주 한인회 3390 0024/ 0424 724 624

퀸즐랜드 한국 참전 유공자회 0414 295 709

퀸즐랜드 한인 골프회 0430 202 239

퀸즐랜드 한인경로회 0418 883 377/3345 1400

퀸즐랜드 ROTC 동문회 0415 695 635

퀸즐랜드 한인 비즈니스 협회 0408 889 792

퀸즐랜드 한인 오케스트라 0411 820 800

퀸즐랜드주 해병 전우회 0427 334 521

i-Care 0433 494 281 골프레슨

원성욱 프로 레슨 0402 598 961

Victoria Park Golf Learning Centre 한국어 0451 899 874

교육/학원/개인교습

김선생 수학 0430 127 992

탑원 바이올린 0424 783 353

피아노 전공자쌤 0478 548 500

피아노/망고힐/시드니콘석사 장학생

TOV Construction 0452 578 001

세계대회1등 0433 309 331

Vertex House Renovations 0403 420 467

WINDOW ART 3114 2145, 0490 537 244

WK Painting Services 0412 726 807

mih architect

건축사 0451 377 843

나이스 블라인드 3133 8330, 0421 594 083

대니 핸디맨 0402 299 915

백향건설 0434 763 843 / 0421 025 230

스타 블라인드 0430 715 906

에벤에셀 인테리어 0421 438 424

Simili Training Joseph Lee 0477 787 200

Ji Lee 0416 740 514

윈도우 아트 블라인드 0490 537 244

욕실 누수 전문(욕실 리모델링, 타일, 방수) 0452 471 080

콘솔 블라인드 0408 288 789

토넵 - 주방욕실 가구 전문 0478 616 026

ARCHIONE Design Builders 0402 533 628

Beauty Home Blind 0408 011 021

호주 라인 댄스 0401 812 610

CS Education 0402 855 802

EduPlanet College & QCM 3343 6343

Eight Mile Planes 유치원 3841 3350

Elite Tuition 0400 328 187(영 어) 0400 163 227(한국어)

LE SPA MASSAGE ACADEMY 3368 3362

Simili Training (건설현장 자격증

정부승인) 0477 787 200, 0416 740 514

SP 에듀케이션(하이스쿨, ATAR 대비) 3195 8532, 0411 168 007

Kevin Simili 0416 740 516 결혼 주례 써니뱅크 정부 공인 주례사 0408 688 010

Winny Family Care 0420 720 894

TASMANIA

광고문의 0422 258 092, 0432 008 985 admin@qldkoreanlife.com.au

아하바 목욕탕 3391 2279

웨딩메이크업헤어(withBRIDAL) 0481 982 486

제시헤어 0414 060 369

ON U Hair(시티) 0458 467 164

alabuu 0493 475 995

Hair Captain 헤어캡틴 0481 600 088

K Bridal Studio(Julie) 0451 373 313

M nails & beauty 0432 346 799

M&U Beauty Brow(미앤유 뷰티 쿠파루) 0423 056 137

Nail Station Brisbane 0401 307 878

The Face Shop (가든시티) 3344 6014 (써니뱅크) 3423 2514

번역/통역

보험/홈론/파이낸스

Remax 부동산 써니뱅크

조권현 0452 65 88 78

YONG 부동산(오세진) 040 228 3003

사진

Alicia’s Photography 0478 825 233

무담보 소액대출(호주 어디서나) 0412 232 889

미래종합금융 1300 882 595

ANZ Jin Lee 0434 689 100

가영 NAATI 3급 번역공증 0410 672 485

나티공인 한영/영한 번역사 0431 232 673

데레사 통역 0402 307 090

손지은 NAATI 3급 0412 088 428

호주 닷컴 온라인 번역공증 info@hojoo.com

JINO NAATI 통역서비스 0430 812 205

변리사

김현태 특허상표변리(호)사 040 433 5914

변호사

법무법인 Park & Co ㆍ 대표번호(유선) 3345 6665

ㆍ 대표번호(모바일) 0490 130 012

ㆍ 박창민 변호사 0452 435 447

ㆍ 김희용 변호사 0431 628 082

ㆍ 허성은 변호사 0425 030 220

H & H Lawyers 02-9233-1411

ㆍ홍경일 대표변호사

ㆍ강현우 형사전문변호사 0487-192-566

ㆍ김진한 변호사(이민)

ㆍ김현태 변호사·상표변리사

리틀즈 법무법인

ㆍ NSW 1800 000 119

ㆍ QLD 1800 082 082

ㆍ 김경태 변호사 0452 480 920

ㆍ 이종일 변호사 0434 980 635

성도 법무법인

ㆍ대표번호 3392 3981

ㆍ김문기 변호사 0411 211 227

ㆍ김태규 변호사 0403 689 714

KLS Legal Practitioners

ㆍ사무실 (07) 3113 3790

ㆍ나윤제 대표변호사 0423 005 035

ㆍ신선미 변호사 0412 693 115

김린 변호사 0404 871 986

김영규 변호사 07 3210 6489, 0411 624 779

박근영 변호사 0433 372 566

주광훈 변호사 0405 694 497

정회림 변호사 07 3195 4807

진승희 변호사 0403 503 530

LinkOz 이정민 변호사 0401 576 978

C-Herald Insurance 1800 998 557

C-Herald Finance 1800 998 557

Focus Loan(오지훈) 0420 847 110

Hana Finance (알렉스) 0410 622 838 복지센터

AACA (All About Care Australia) 07 3133 0209 (Gemma) 0430 218 030 (Tasha) 0402 595 741

ONE DREAM COMMUNITY

복지 홈케어패키지 1800 841 777

상담/심리치료

ACC 상담센터 02 6255 4597

JR 부부상담연구소 0434 487 433

브리즈번 명상센터 0466 211 405

숙박시설

스프링우드 타워 호텔 3387 7077

호텔 다이아나(한국어) 3896 1691

송금/환전

한국송금(구. 코원송금) 0474 373 007

스포츠/체육관

원 태권도 0430 295 881

Sunnybank 테니스클럽 0430 014 221

Sunnybank 당구장 0430 014 221 식당/카페

AKLINKS 손한나 대표 0428 87 5050

3 Sisters 3195 4481

Bluedog 부동산 0419 536 071

Bluedog 김수정 0408 622 934

HD Property 황기철 0413 515 788

Harcourts Calamvale (홍성우) 0415 413 769

Ideal Realty Advisors (시드니) 02 8007 4989, 0414 088 089

KLOVER PROPERTY

Kay Lee 0421 007 147

Link Plus Realestate 이지영 0450 908 864

Raas Group 0420 486 651

누나네 해장국 3107 4158

마녹파크 0433 276 449

마루 3221 7778, 3012 9912

모모치킨(city) 3012 8238

모모치킨(runcorn) 3841 8068

미담 3344 5001

불고기 Bros 3350 2233

샤부하우스 (일식 부페) 3211 5407

소문 삼계탕 3158 3709

차미 푸드 앤 보틀샵 3210 6349

코릴라 바베큐 3211 1212

여행/공항픽업

가나안 공항 픽업 0478 833 415

도움 투어 3012 8383

우리여행사 0412 393 713

케니 여행사 3344 3220 / 0402 729 595

현대 투어 0432 140 083

HT 여행사 3003 1771

운송/택배/이사

센트로파이 0457 269 109

시온 에어컨 냉동 0434 486 877

에어컨 청소 FreshZone 0431 135 071

Airmazing 0451 104 439, 0430 189 603

COOL MY 에어컨디셔닝 0406 284 159

Fresh Cool 0401 627 853

LEES 에어컨 설치 0434 378 245

SONG 에어컨 설치 0414 781 645

SWIND 0451 994 144

OK 냉동 서비스 센타 0423 457 898

의류/침구/옷수선

드림로드 3209 5445, 0433 267 953

차밍 옷수선 0403 617 076

한복 대여점 이음 e-uum 04 2121 3656

OUR HANBOK 0423 378 055

자동차운전학원

메이 운전학원 0419 708 177

부부 운전학원 0414 273 087

자동차정비

유통

웨스티마켓 0450 103 788

Milton Exchange (노브랜드 유통) 0438 545 007

Cordelia International (온리프라이스

제품외 유통) 0450 103 788 유학원

도움 유학 3012 8383

GLOBAL MATE 3221 8318 0451 281 841

가구소형이사 픽업서비스 0411 736 276

가나안 용달 서비스 0478 833 415

(각종 소형 ‘짐’ 운반)

대한통운 국제택배 0431 571 657

와이즈 국제물류 1800 577 369

현대택배 0430 014 221

HT Logistics 3823 1802

PNL 택배(한국-->호주) 0449 24 8282

에어컨/냉동수리

HT 유학원 3003 1771

이민 컨설팅

가영 비자 이민 컨설팅 0410 672 485

백승용 이민법무사 3323 3186

변기훈 이민법무사 0425 669 799

이정민 법무사 Select Australia 0430 592 230

채정우 이민법무사 0423 687 378

호주닷컴 02 9746 1452

의료/병원/한의원

극동 한의원 Far East Acupuncture 0402 527 717

라파 한의원 0452 563 365

모유사랑 모유수유클리닉 (상담, 유방관리) 04 5675 5675

보화당 한의원 3219 1002

언어치료사(Speech Pathologist) 0473 562 154

엔한스 덴탈 스튜디오 (런콘) 07 3423 0783

족부 의학 클리닉 (써니뱅크) 07 3344 6866 (해밀턴) 07 3741 2825

질미어 치과병원 3265 6010

Carindale 자매치과 (김현아/김은아) 3324 9172

Dr. Seung-min Youn(윤승민) 정형외과 07 3278 2662

Dr.허 시티 한국인병원 3210 2111

Dr.허병원 Skin Clinic 0407 112 342

Exceptional Dental 3118 5306

Hybrid Physio 3190 9747

JINDALEE Complete Dental 3376 5475

My Clinic (Dr 제임스 강) 3272 2202

The Dental Club 1300 165 768 Stafford | Caboolture | Bellmere | Griffin

조이모터스(정비) 3277 2477

Autocrew Motors 3191 7044 0416 422 099, 0433 649 931

Pro Tinting 0432 390 910

SK 자동차 공업소 3423 8085

Speed mate 자동차 정비 0416 191 319

Top One Motors 0430 123 711

K locksmith 0449 949 343

최 0411 581 593

청소/방역

원스톱 방역 & 카펫 청소 0401 600 887

원펀치 터마이트&페스트컨트롤 0402 157 905

써니뱅크 터마이트 0412 178 944

짐스 터마이트 & 페스트 컨트롤 0416 515 874

클린킹(청소용품판매) 3208 1333

JCM 터마이트&페스트 닥터팀 0430 318 776

AplusHomeCare(터마이트,페스트 컨트롤) 0448 226 179

0450 410 501

반석 장로교회 0430 810 929 ㆍ 브리즈번 서림교회 0423 333 932

ㆍ 브리즈번 선한목자교회 0431 686 296

간판/인쇄/디자인

써니 크리에이티브 0412 840 533

NB Signs - 간판, 인쇄, 디자인 0421 790 885

건강식품/기념품

안디옥 장로교회 0423 733 599

ㆍ 브리즈번 성결교회 0433 689 717 ㆍ

ㆍ 브리즈번 왕성교회 0400 878 882 ㆍ

은혜교회 3376 2143 / 0433 677 241

임마누엘교회 3344 7521

좋은감리교회 3343 1817 / 0413 608 392 ㆍ 브리즈번 주안교회 0432 680 975

평화교회 0425 252 372

한인장로교회 3341 9232

3202 9553 / 0413 515 737

0425 306 577

0414 624 779

3252 1701

Kleen Hub(청소용품 판매) 3191 3248 푸드패키징

Kleen Hub 3191 3248

Q Pack 3219 5654

플러밍/가스

HIGH TECH PLUMBING & GAS 0431 409 844

JINSU PLUMBING&GAS 0401 359 573

NEXUS PLUMBING 0459 999 754

PK PLUMBING 0433 772 172

폐차/고철/고물

Metal Xchange | Cash for Cars 0410 140 500 컴퓨터/POS/웹사이트

필그림지구촌교회 0411 50 9191

한인 재림교회 3290 1113 / 0418 980 443

장로교회 3890 1116 / 0413 227 533 ㆍ Agape International church 3349 4168 천주교

ㆍ 브리즈번 한인천주교회 3369 3159 / 0413 016 031

불교

ㆍ 연꽃선원(한국 사찰) 0450 616 924 / 0413 805 236

ㆍ 브리즈번 정토법회 0438 536 221

원불교

ㆍ 원불교 3219 1002

꿈이 있는 교회 0421 480 870

동행하는 장로교회 3422 0828 / 0400 878 882

브리즈번 순복음교회 3341 9090 / 0433 9933 52

스프링필드 침례교회 킹제임스성경 0469 859 983

호주 가정 상담 대학 0416 069 812

호주 기독교 대학 02 6255 4597

한마음 교회 0410 409 007

Faith Church 써니뱅크

ㆍ 요한계시록 성경예언

ㆍ ilona 목사 0400 374 666

주방용품(상업용)

썬샤인 비즈 솔루션(스시머신, 주방용품) 0413 396 799

All 4 Kitchen 주방용품 수리 0433 974 907

중고 가전

Smart Electrical Clearance Outlet

ㆍ Hyperdome 3133 1805

ㆍ Capalaba 3823 4165

ㆍ Mt Ommaney 3376 7445

ㆍ Browns Plains 3800 1013

권신정 회계사(MAZARS) 3218 3924

미디어 나라 0412 443 066

GGL 토탈 IT 솔루션 0422 395 706

iComputer (TPG 공식딜러, 컴퓨터 수리) 0450 511 829

M4U 웹디자인 0434 417 933

N2 CREATIVE (웹사이트 제작) 02 8091 7333

VTEQ 컴퓨터 3323 3232

(TPG 공식딜러, 웹사이트, IT솔루션) 핸드폰 수리

Jaetech 핸드폰 수리점 0404 932 988

회계법인 3221 7564

Hello Tax 0413 002 316

Prudent Accountants & Co 0412 447 987

TaxBee 3210 0747

Tax Friend 0422 869 630

뉴질랜드 초록홍합,녹혈,녹용 캡슐 판매 0403 736 998

로얄건강 타운 0401 158 508

장수마을 0422 59 59 79

카사아울렛 5531 3155

건축/인테리어/집수리

가나 집수리 04 02 02 8720

대니 핸디맨 0402 299 915

스타 블라인드 0430 715 906

윈도우 아트 블라인드 0490 537 244

한인 카펜터 김유신 0452 552 762

LINKS 부동산

레삐헤어 5679 3943

신 헤어 스튜디오 0407 090 270

웨딩메이크업헤어(withBRIDAL) 0481 982 486

킴스헤어(사우스포트) 5527 1990

케이살롱뷰티(사우스포트) 0421 187 046

FOREL Beauty & Spa 0413 753 087

Kausie Hair Salon (코지 헤어) 5531 2963

Meraki Hair 5592 0984

Hair COCO.GC 0413 662 699 / 5511 1892

The Hair 5528 6310

The 9 Brows & Beauty 반영구 화장 0448 019 555

Retreat 마사지 0404 806 887, 5527 1147 번역/통역

C-Herald Insurance 1800 998 557

C-Herald Finance 1800 998 557

You and Me Finance 0468 429 180 보험전문 김옥이 0401 411 000

0428 87 5050

Bluedog 부동산 0419 536 071

Bluedog 김수정 0408 622 934

MASTER QLD PROPERTY 서문희 대표 07 55 111 888 / 0478 110 290

Onyx Property Management 0490 187 898

White 이민정 0431 686 286

Raas Group(Yong Lee) 0420 486 651

ALICIA’S PHOTOGRAPHY 0478 825 233

WOW CAFE & STUDIO 0401 282 303

AnK 골프 아카데미 0434 142 638

D.I Sports Academy 0425 864 112 Golf Zero 0435 595 577

Oppane 오빠네 5532 2413

Rice House 5591 2239

RICE VS NOODLE 5538 8803

The Dak 0468 857 692

WOW CAFE & STUDIO 0401 282 303

식품점/편의점

스마일마트 5527 1312

오페마트 5531 0922

유니마트 5608 9860

하나로마트 Helenvale 0493 090 679

Southport Robina

해피마트 0401 337 458

현우식품 5526 3838

Coomera Asian Mart 0424 491 646

K-Town Supermarket 5528 6781

에어컨/냉동수리

에어컨 냉동 0434 486 877 COOL MY 에어컨디셔닝

Lotte 편의점 5591 2356

식품제조

명가(김치, 밑반찬) 5531 0906

고기하우스 5591 7465

감성포차 Yacha 5660 9648

김치하우스 5538 8496

다노시스시 5528 3005

두리분식 0413 965 268

대박집 5531 0374

불고기ya 5591 7270

서라벌 고기부페 5538 8465

소공동 순두부 0423 455 599

이조 숯불 BBQ 5531 2423

코리안 키친 5538 8855

파라다이스 숯불구이 5592 3824

해피롤 5528 0588

Hochan 호찬 0424 215 797

AZIT(아지트) 5661 8537

BBQ 빌리지 5532 2700

BBQ 코리아나 5504 5627

Cafe 928 5679 6616

CHIKOR 5531 1254

Cook & Beer 0402 99 66 94

Gal. B 5591 5141

Izakaya ichi 5564 0190

MAMAS KITCHEN 5571 1896

BB 두부 0406 541 572

안경원

골드코스트 한인안경원(EYEdear Optical) 0423 083 599

여행/공항픽업

시티익스프레스 공항픽업 0413 059 206

우리여행사 0412 393 713

운송/택배/이사

KPOST 우체국 택배 0422 59 59 79

대한통운 국제택배 0431 571 657

현대택배 3075 6872 / 0430 014 221

HT Logistics 3823 1802

PNL 택배(한국-->호주) 0449 24 8282

유학원

마린 유학 5591 7070

의류/침구/옷수선

벨라 옷수선 5511 2077

Sweet Closet 0402 148 750 자동차운전교습

메이

운전학원 0419 708 177

부부 운전학원 0414 273 087

자동차정비

CLUB AUTO 이승엽 0421 707 771

메르세데스 벤츠 골드코스트, 레이튼(한국어) 0478 220 828 카톡 MBGCLY

전기/전자/통신

리스(LEES) 전기공사 0434 378 245

하나로 전기공사 0416 868 818

SONG 전기공사 0414 781 645

정수기/비데

DP Motors 5537 8235, 0433 835 293

GCCEM 이승엽 0421 707 771

H&K Motors 5532 9088, 0433 004 310

JD Motors 5591 6772, 5591 6227

TINT MASTER 0421 707 771

차량복원 전문업체 NICK’s Panel & Paint 5531 3459, 0430 123 950 자동차판매

청소/방역

가나 Termite,Pest Control 04 02 02 8720

얼스 와이즈 방역 0436 321 537

원스톱 방역 & 카펫 청소 0401 600 887

원펀치 터마이트&페스트컨트롤 0402 157 905

짐스 터마이트 & 페스트 컨트롤 0416 515 874

클린킹(청소용품 판매) 5532 2342

JCM 터마이트&페스트 닥터팀 0430 318 776

PAULS Clean King 0425 233 118

권신정 회계사(MAZARS) 3218 3924

RAPID CLEAN 청소용품 5572 2284

컴퓨터/POS/웹사이트

미디어 나라 0412 443 066

김상현 회계사(PKF) 0433 379 280

김재미 회계사 0478 221 525

바른회계법인 한상호 회계사 0450 468 318

백화실 회계사 0421 007 756

iComputer (TPG 공식딜러, 컴퓨터 수리) 0435 831 116

VTEQ 컴퓨터 3323 3232 (TPG 공식딜러, 웹사이트, IT솔루션)

안재웅 공인회계사 0420 518 253

Q Pack 3219 5654

이윤 회계사 3299 1031

심인섭 공인회계사 0432 493 032

AK 정수기/비데 0401 558 353

The Bidet Shop 1800 243 387

VCG (엘지 정수기) 07 3924 1870 / 0421 807 981

정육점

서울 정육점 5531 5227, 0405 934 952

종교단체

기독교

ㆍ 골드코스트 가까운교회 0433 447 483

ㆍ 골드코스트 선교교회 0431 232 304

ㆍ 골드코스트 순복음교회 0402 089 896

ㆍ 골드코스트 온누리교회 0412 341 868

(Southport State High School 내)

ㆍ 골드코스트 열방교회 0412 362 029

(장로교회)

ㆍ 골드코스트 장로교회 0409 995 456

ㆍ 골드코스트 재림교회 0430 041 022

ㆍ 골드코스트 지구촌교회 0433 609 191

ㆍ 골드코스트 사랑의교회 0451 472 202

ㆍ 골드코스트 브니엘교회 0412 194 829

ㆍ Logan 예수제일교회 0426 501 966

ㆍ 비전 장로교회 0423 932 742

ㆍ 사우스포트 한인교회 0433 308 436

ㆍ 우리들 침례교회 0421 579 026

ㆍ 푸른파도 교회 0411 725 639

천주교

ㆍ 골드코스트 한인성당 0402 044 331

골드코스트 기쁜우리교회 0478 782 186

골드코스트 주님뜻교회 0450 501 201

신우 회계 법인 3148 8887

CYS 회계법인 07 5503 0366

JY Accountants 07 5679 1619

Prudent Accountants & Co 0412 447 987

그래픽 디자인

위니아트 0401 596 877

식당

Black Curry 5200 0875

Brown Rice(Peregian Springs) 5448 2197

Hanami (Coolum Beach) 5471 7091

HIKARU

ㆍ Birtinya 0432 389 288

ㆍ Baringa 0432 389 288

ㆍ Kawana 0452 028 804

ㆍ Northshore 5406 9017

ㆍ Buderim 5476 6266

MakiMoto(Noosa) 5447 3254

Master Sushi 5526 7557

The Sushi 79 (Currimundi) 5437 8208

Tampopo 5476 7039

Haru Korean Kitchen 5447 2249

식품점

선샤인 마트 0488 515 288

의료/병원

Doctors@Maleny (닥터.노) 07 5413 8066

전기/전자/통신

존 TV&안테나 0491 068 872

정수기/비데

Intended Blank Page

대부분의 사람이 인플레이션

과 그것이 금리에 미치는 영

향이라는 단 두 가지에만 집

착해 있는 요즘, 이 방정식에

포함시켜야 할 또 다른 두 가

지 변수로 이민과 인프라를 고

려해야 한다는 주장이 제기되

고 있다.

미셸 불럭(Michele Bullock)

호주중앙은행(RBA) 총재를

비롯해 경제학자들은 금리가

호주 사회의 다양한 계층, 특

히 지난 3년 동안 부동산을 구

입한 젊은 호주인들에게 불균

형적인 영향을 미치는 둔기와

같다는 사실을 인정한다.

그러나 많은 경제학자에게 금

리는 인플레이션에 대항할 유

일한 무기이다. 그들은 높은

금리에 대한 대안을 고려하

는 것조차 거부한다. 이는 사

회적인 논쟁, 때로는 인종 차

별적인 논쟁을 피하기 위해 서다. 그러면서 그들은 금리를

RBA가

컵 데이에 금리 인상을 통해 달성하려 했던 것보다는 훨씬 느린 속 도다. 이는 추가 금리 인상을 촉구하는 매파들(Hawkish) 에게 탄약을 제공하는 역할을 했다. 매파는 인플레이션 억제 를 위한 금리 인상을 선호하 며, 경제 과열 위험을 줄이기 위한 강력한 금융 조치를 지 지하는 이들이다.

지난주 연방정부는 국제통화 기금(IMF)의 권고에 따라 인 플레이션 압력을 완화하기 위 해 인프라 지출에 손을 댈 것 이라고 발표했다. 이 IMF 보고 서는 또한 더 많은 금리 인상

전국 부동산 시장 5개 중 4개, 3개월간 가격 상승

호주 주택 시장의 가격 상 승세가 더욱 광범위해졌다 고 코어로직(CoreLogic)은 분석했다.

코어로직은 10월 말까지

3개월 간 전국 4,506개의

단독주택 및 유닛 시장을

조사한 결과, 대상 시장의

82.4%에서 집값이 상승했

다고 밝혔다. 단독주택 및 유닛 가격이 하락한 시장

은 17.6%에 불과했다. 코

어로직의 엘리자 오언 연구

책임자는 높은 금리와 경제

여건 악화에도 불구하고 특

히 대도시를 중심으로 주택

시장이 지속적으로 성장하 고 있다고 설명했다. 오웬

은 "호주는 '하나의 주택 시

장'이 아니며 현재 주도 시

장의 성과에서는 다양성이

증가하고 있다"면서 "이는 도시 전체의 성장률, 타 도

시 대비 다양한 공급 수준, 교외 지역 등에 반영된다" 고 말했다.

주도 중에서 브리즈번, 애

들레이드, 퍼스 시장이 전

반적으로 성장 추세가 컸 다. 코어로직에 따르면, 이 도시들은 총 매물 수준은 낮고, 도시 전체의 자본 성 장률은 월 1%를 약간 넘는 다. 해외 및 주 간 이주

9월

분기 임금상승률,

'연간 4.0%' 기록

민간 부문이 성장률 주도... 2008년 12월 이후 최고

9월 분기 임금이 1.3%(계절 조정) 상승하면서, 호주 통 계국(ABS)의 임금물가지수 (WPI) 26년 역사상 가장 큰 폭

의 분기별 상승률을 보였다.

9월 분기 연간 임금 상승률

은 4.0%을 기록했는데, 이는

2009년 3월 분기 이후 가장 높 은 수치다.

ABS 물가 통계 책임자인 미셸

마쿼트(Michelle Marquardt)

는 "이번 분기에는 여러 가지

요인이 복합적으로 작용하여

평균 시간당 임금이 광범위하

게 상승했다"고 말했다. ABS 의 분석에 따르면, 민간 부문

임금 성장은 공정근로위원회

(FWC)의 최저임금 5.75% 인

상 결정, 노인 돌봄 부문 15%

임금 인상, 이러한 인금 인상

이 추동하는 소비자물가지수

(CPI) 상승 등이 주도했다. 공

공 부문은 주정부의 공무원

임금 인상 상한제 폐지, 새 기

업 협약 발효 등의 영향을 받 았다. 연간 임금 상승률은 민

간 부문(4.2%)이 공공 부문 (3.5%)에 비해 더 높았다. 민

간 부문에서는 2008년 12월

분기 이후, 공공 부문에서는

2011년 6월 이후 가장 높은

연간 상승률이다. ABS는 이번

WPI 상승을 이끈 두 가지 요

소는 '임금 인상이 적용된 일

자리의 비율'과 '인상된 임금 의 규모'라고 설명했다.

마쿼트는 "9월 분기에 임금 변

동이 있었던 모든 공공 및 민

간 부문 일자리의 평균 변동

률은 5.4%로, 2022년 9월 분 기의 4.0%에서 증가했다"고 말했다.

마쿼트는 "전체 민간 부문 일 자리의 거의 절반(49%)이 평 균 5.8%의 임금 상승률을 기 록했다"며 "이는 일자리의 34%가 평균 3.3%의 임금 상 승을 기록한 공공 부문과 비 교된다"고 말했다. 이번 WPI

에서 임금 상승률이 가장 높

은 산업은 '숙박 및 음식 서비 스 산업'이었다.

분기별로는 3.2%, 연간으로

는 5.5% 상승했다. '건강 관리

및 사회 지원 산업'도 분기 성

장률은 3.1%, 연간 성장률은

4.9%를 기록해 상당폭 임금

이 올랐다. 모든 산업 중에서 ' 광업'은 3개월 동안 임금이 가

장 적게 오른 산업이다(0.8%).

연간 상승률을 비교하면, '금 융 및 보험 서비스 산업'의 성

적이 가장 저조했다(3.1%).

작년 호주에서는 소리소

문없이 국가운전능력평가 (Assessing Fitness to Drive ・AFTD) 기준이 변경되어, 수 천 명의 자폐성 장애(자폐 스 펙트럼 장애)가 있는 운전자 들이 운전면허증의 법적 효 력을 상실할 위기에 처했다. 2022년에 변경된 국가운전 능력평가기준에서는 자폐성 장애를 겪고 있는 운전자들에 대해 "개별 평가되어야 하는 상태"로 명시하고 있으며, 이 는 실기 평가를 포함할 수 있 다. 이미 운전 면허를 취득한 이후 증상이 발현된 이들에게 직장 출퇴근, 자녀 돌봄 및 일 상생활에 영향이 미칠 것으로 예상된다.

20년간 운전자 건강평가기

크리스마스를 한 달여 앞두 고 소비자 신뢰도의 두 가

지표가 하락했다.

4.35%로 인상하기 로 한 호주중앙은행(RBA)

의 결정이 무리한 것 아니 냐는 우려도 나온다.

RBA의 금리 인상 후에

ANZ-로이 모건의 '주간 소 비자 심리 지표'와 웨스트 팩-멜버른 연구소의

향후 경제 상황에 대 한 신뢰도 역시 코로나-19 대처를 위해 국가가 봉쇄 됐던 2020년 4월 이후 가 장 낮은 수준이다. ANZ 선

임 경제분석가인 애들레이

트 팀브렐(Adelaide Timbrell)은 "이는 RBA 인상이

일부 가구에 부정적인 경제

신호였을 수 있음을 시사한

다"고 말했다.

중국 국방부

야당 대표, 중국 대응은 "프로파간다"

중국 정부는 자국 군함의 음파

리자, 이를 제거하기 위해 잠

지 총리가 나서서 "위험하고

탐지기가 호주 해군 잠수 대원

에게 해를 입혔다는 호주 정

부의 주장을 "무모하고 무책

임하다"고 일축했다. 호주 정

부는 지난주 화요일 일본 배

타적 경제수역(EEZ)에서 중

국 구축함이 음파탐지기로 호

주 장거리 호위함인 HMAS 투

움바호의 해군 장병을 다치게

했다고 밝혔다. 호주군은 사건

발생 당시 유엔 임무를 지원하

기 위해 국제 수역에서 작전을

수행 중이었다. 이동 중에 투

움바호 프로펠러에 어망이 걸

수부가 투입됐는데, 이때 다가 온 중국 군함에서 작동된 음파

탐지기가 문제가 됐다는 것이

호주 정부의 설명이다.

지난 토요일(18일) 이 일을 공 개한 리처드 말스 국방장관은

중국 함정의 "안전하지 않고

비전문적인 행동"을 지적하

면서 "호주는 중국을 포함한

모든 국가가 전문적이고 안전 한 방식으로 군대를 운영하기

를 기대한다"고 말했다. 월요

일(20일)에는 앤소니 알바니

비전문적인" 이번 사건에 대 해 중국 정부에 "강력한 이의

를 제기했다"고 밝혔다.

하지만 중국 정부는 호주 정부

의 주장은 "사실과 완전히 다

르다"고 반박했다. 중국 국방

부는 자국 해군 구축함이 호 주의 잠수 작전에 영향을 미

칠 수 있는 어떠한 행동도 하

지 않았으며 "호주 군함과 안 전한 거리를 유지했다"고 월

요일 밝혔다. 우첸 중국 국방

부 대변인은 "우리는 호주 측

Sushi Izu Southport Park

Sushi Izu Elanora

이 사실을 존중하고 중국에 대 한 무모하고 무책임한 비난을 중단할 것을 촉구한다"고 말 했다. 이어 대변인은 "양측 간

의 상호 신뢰 구축을 위해 더

많은 일을 하고, 양국 및 양국 군대 간의 건전한 관계 발전을 위해 긍정적인 분위기를 조성 할 것"을 호주 정부에 요구했 다. 유사한 견지에서 마오 닝 중국 외교부 대변인은 "중국 군은 엄격하게 훈련되어 있으

며 항상 국제법과 국제관례에

따라 전문적으로 작전을 수행 한다"고 말했다. 마오 대변인

은 알바니지 총리와 시진핑 중 국 국가주석의 최근 정상회담 에 따른 양국 관계 안정화 "모 멘텀"을 보호할 필요가 있다 고도 했다.

야당 외교 담당 의원인 사이먼 버밍엄 상원의원은 중국이 사 실을 부인하는 것은 좋은 징조 가 아니라고 논평했다. 버밍엄 상원의원은 중국군이 "작전 프로토콜과 행동을 덜 대립적 이 되도록 바꿔야 한다"며 "모 든 파괴적인 결과를 초래할 수 있는 에스컬레이션 위험이 커

진다"고 주장했다. 피터 더튼 야당 대표는 중국의 대응을 " 프로파간다(선전)"로 평가하 면서 "한순간도 참아서는 안 된다"는 강경한 입장을 내놨

시크(Seek)에 올라온 10월 구인 광고가 5%, 작년 대비 20% 가까이 감소한 것으

Seek 프리미엄 온라인 구인광고

로 나타났다. 여름 휴가 성 수기가 다가오고 있는데도

숙박・요식업과 관광업이 그 하락세를 주도했다. 호

주의 대표적인 구인・구직

웹사이트인 시크(Seek)의 구인 광고가 줄어들었다는

것은 향후 몇 달 동안 고용

증가율이 하락할 수 있음을

시사한다.

시크의 호주-뉴질랜드 매

니징 디렉터 캔드라 뱅크스

(Kendra Banks)는 "연말

까지 두 달이 남았기 때문

에 앞으로 몇 달 동안 채용

및 지원 활동이 둔화되다가

내년 초에 다시 회복될 것

으로 예상된다"고 말했다.

시크에 따르면, 10월은 여

름 성수기를 맞아 숙박・요

식업 및 관광업이 신규 직

원을 채용할 것으로 예상되

는 시기다. 그런데 지난 10 월은 이례적으로 이 부문의 구인 광고가 한 달간 11.6% 급감했다.숙박・요식업 및 관광업 부문 구인 광고는

뱅크스는 "인플레이션과 생활비 상승이 비즈니스에 지속적인 압박을

코로나19 이전인 2019년 10월 대비 18% 증가하기 는 했다. 하지만 교육, 제조 및 운송, 무역 및 서비스, 의 료 등 다른 주요 산업의 증 가율과 비교하면 훨씬 낮은 수치라고 한다.

옵터스 CEO, 상원 청문회 이후 사임

개인적 성찰 후 옵터스 발전 위해 결정...

켈리 베이어 로즈마린(Kelly Bayer Rosmarin) 옵터스 최

고경영자(CEO)가 1,000만 명

의 호주인에게 영향을 미친

옵터스 통신 장애 사태에 대

한 상원의원들의 질타에 직

면한 지 며칠 만에 옵터스에

서 사임했다. 사임 발표는 월

요일 옵터스의 모회사인 싱텔 (Singtel)의 성명서를 통해 이

루어졌다. 이 성명서에서 바이

엘 로즈마린은 회사의 CEO로

일하게 된 것을 영광으로 생

각했지만 이제 물러나는 것이

적절한 것 같다고 말했다.

통신 장애 사태 이후 이에 대

한 상원 조사가 시작되었고, 금요일에 바이엘 로즈마린

은 호주에서 두 번째로 큰 통

신사에서의 향후 거취에 대

한 질문을 받은 바 있다. 바이

엘 로즈마린은 지난 금요일에

상원에 출석하여 통신 장애의

원인 및 옵터스의 복구 및 대

페니 웡 외교장관(사진:ABC)

터(Michael Venter)가 임시 CEO로 임명된 가운데 옵터스 는 새로운 CEO를 찾기 위한 작업에 착수했다.

앤서니 알바니지 총리는 현재 의

제공하겠다는 옵터스의 약속

을 전달할 수 있었다고 말했

다. 그녀는 또한 개인적인 성

찰의 시간을 가졌고 자신이

응에 관해 자세히 설명할 기 회를 가졌으며, 신뢰를 회복 하고 고객에게 계속 서비스를

사임하는 것이 옵터스의 향후

발전에 가장 큰 이익이 된다는 결정에 도달했다고 말했다. 바 이엘 로즈마린이 2020년 4월

에 이 직책에 임명된 이후에 는 이번 달의 광범위한 통신 장애 사태 말고도 다른 대형 사건이 발생한 적이 있다. 작

년에 호주인 1,000만 명의 개 인 데이터가 노출되고 여러 조 사와 집단 소송을 촉발한 데이 터 유출 사건이다.

싱텔(Singtel)의 CEO인 웬콴 문(Yuen Kuan Moon)은 바 이엘 로즈마린이 지난 3년 동 안 옵터스를 이끌며 이룬 노고 를 치하했다. 옵터스의 최고재 무책임자(CFO)인 마이클 벤

호주 실업률이 0.2%포인트 상승한 3.7%(계절조정)를 기록하고, 일자리는 10월 한 달 동안 예상 이상으로

창출됐다. 통계국(ABS)은 한 달 동안 5만 4,900개의

일자리가 창출됐으며, 이중

1만 7,000개가 정규직 일자

리였다고 발표했다. 비욘

자비스(Bjorn Jarvis) ABS

노동 통계 책임자는 "10월

의 큰 폭의 고용 증가는 9

월의 약 8,000명 소폭 증가

에 이은 것"이라며 "이는 7

월과 8월에 있었던 수준으

로 돌아간 것"이라고 설명 했다.

지난 두 달을 살펴보면 월 평균 취업자 수는 약 3만 1,000명 증가했는데, 이는 2022년 10월 이후 월 평균 인 3만 5,000명 증가보다 약간 낮은 수치다. 경제학 자들은 실업률이 3.7%로

상승할 것으로 예상했지 만, 일자리는 2만 4,000개 만 추가될 것으로 내다봤었

다. 생산가능인구 중 경제 활동인구(취업자+실업자)

의 비율을 추적하는 경제

활동참가율은 0.2%포인트 상승한 67%(계절조정)를

기록했다. 인구 대비 고용 률은 0.1% 포인트 상승한

64.5%로 집계됐다. 한 달 동안 근로 시간은 0.5% 증 가해 고용 증가율 0.4%와 비슷한 것으로 나타났다.

Turn static files into dynamic content formats.

Create a flipbook
Issuu converts static files into: digital portfolios, online yearbooks, online catalogs, digital photo albums and more. Sign up and create your flipbook.