






























































































































































































































































































































































































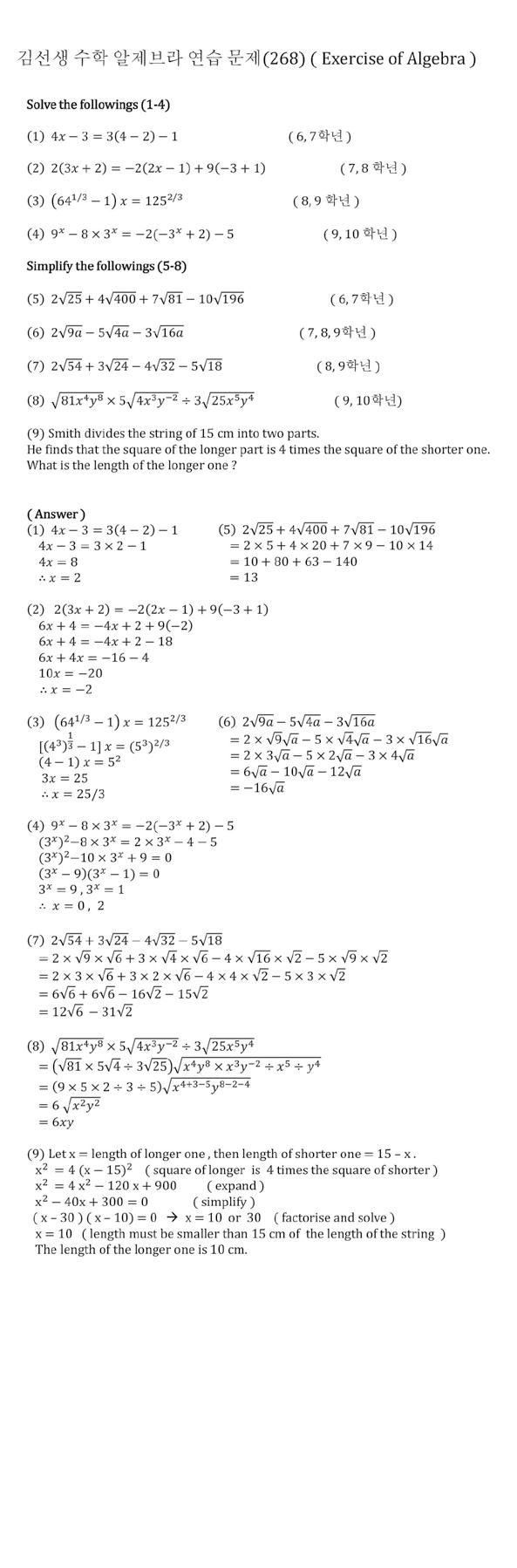
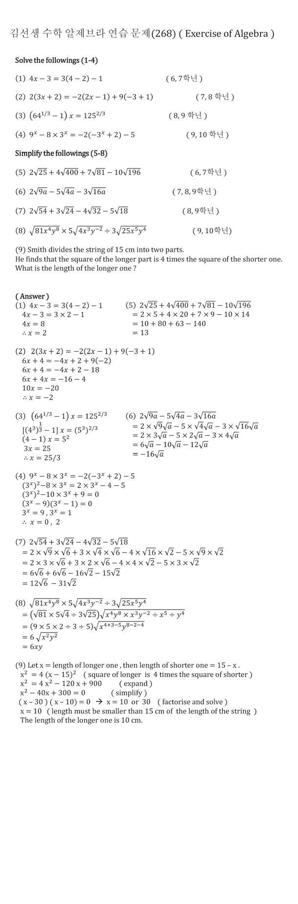
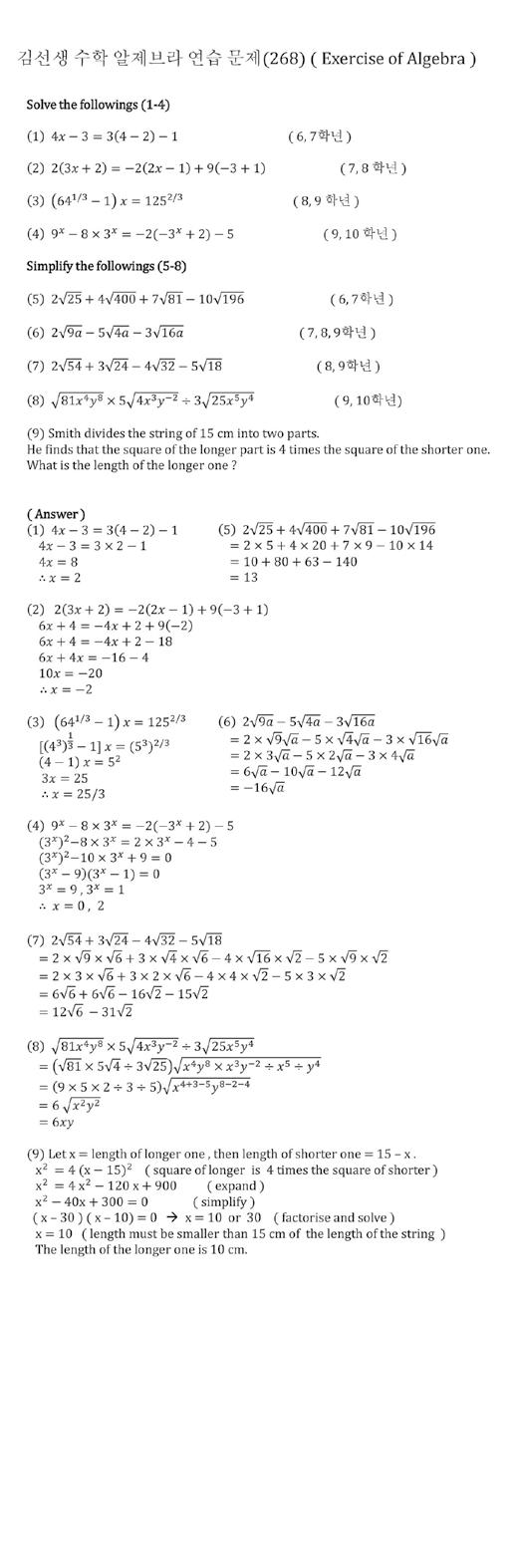
![]()































































































































































































































































































































































































by 서민재 / 브런치
사는 데 운(運)이 얼마나 중요하다고 생각하세요?
저는 역술가도 사주명리학자도 아닙니다.
하지만 우리 삶에 알게 모르게 운(運)이라는 게 작용한다고 느낄 때가 많습니다.
요행을 말하는 것이 아닙니다.
가만히 앉아 있는데 로또 1등에 당첨되는 그런 운을 말하는 것이 아닙니다.
그건 불행이라고 생각합니다.
어떠한 노력도 없이 굴러오는 돈은 불행일 수 있습니다.
로또 1등에 당첨된 많은 이들의 삶이 망가지는 걸 보면 더욱 그런 생각이 듭니다.
재벌 2세가 모두 행복하진 않습니다.
주변을 살펴보면 확실히 운이 좋은 사람과 그렇지 않은 사람은 있는 것 같습니다.
하는 일 대부분이 잘되는 사람과 손대는 일마다 손해를 보는 사람.
이들은 어떤 차이가 있는 걸까요?
제가 생각하는 운이 좋은 사람들의 7가지 특징은 다음과 같습니다.

1. 작은 일에도 기뻐한다 작은 일에도 크게 기뻐하는 사람들이 있습니다. 누군가에겐 호들갑입니다. 하지만 작게 자주 감사하는 사람들은 자신의 감정을 좋게 유지할 확률이 높습니다. 좋은 감정이 아름다운 현실 과 좋은 운을 가져오는지도 모릅니다. 아주 작은 일에 기뻐하면 더 기뻐할 일들이 많아지게 됩 니다. 작으면 작을수록 좋습니다. 퇴근 후 브런치 글을 읽을 수 있음에 감사하는 것도 좋습니다. 사소하게 기뻐할수록 작은 행운도 크게 다가올 것입니다. 곧 좋은 기분을 느끼고, 이 기분이 또 다른 행운을 가져올 것입니다.
2. 가진 것에 감사한다 감사의 힘에 대해서는 많이 들어봤을 겁니다. 감사 표현을 자주 하는 사람은 스트레스를 덜 받 고, 사회생활을 더 잘한다고 합니다. 그 유명한 '감사일기'도 행복감과 일의 능률을 높여준다고 하고요. 실제로 지금 당장 '감사합니다'를 10번만 외쳐도 기분이 나아짐을 느낄 수 있습니다. 감 사할 게 없다고요? 이미 당신이 가진 것을 떠올려보세요. 우리는 무엇인가는 가지고 있으니까 요. 건강한 몸, 가족과 친구, 월급을 주는 직장… 당연하다고 생각했던 것들이 새삼스러워지면 삶을 객관적으로 바라보게 됩니다. 이미 가진 것 들을 적어보고 그것들에 감사한 마음을 가져보세요. 중요한 것은 '충만함'을 느끼는 겁니다. 충 만한 감정을 느꼈다면 당신은 이미 운이 좋은 사람입니다.
3. 계속 무언가를 한다
우리가 운에 집착하는 이유 중 하나는 성공하고 싶기 때문입니다. 네, 맞습니다. 우리가 원하는 성공, 부와 명예를 갖게 되는 그런 성공을 말하고 있습니다. 운이 좋은 사람들은 결국 성공합니 다. 끝내 자신의 꿈을 이루고 많은 돈을 갖게 됩니다. 그런데 이들이 가만히 앉아만 있다가 성공 한 건 아닙니다. 운이 좋은 사람들은 계속 무언가를 합니다. 새로운 것을 배우고, 이를 삶에 적 용합니다. 시도하고 성장하기를 반복합니다. 그러다 하나가 '빵' 터지며 원하던 바를 이루기도 합니다. 운을 잡은 것이죠. 제가 살면서 느낀 건, 운이라는 게 아무것도 하지 않고 가만히 있는 사람에겐 오지 않는다는 것입니다. 행동하는 사람만이 운을 잡을 수 있습니다. 위에서도 얘기 했듯, 뜻밖의 요행은 오히려 삶을 파괴할 수도 있습니다.
4. 아주 작은 성취에서 시작된다 작은 성취를 경험한 사람은 이때의 희열과 자신감으로 더 큰 성취를 이룰 확률이 높습니다. 두 려움보다 도전의식으로 삶의 문제를 해결해 나갑니다. 조금씩, 단계적으로 성취를 경험한 사람 은 자신이 원하는 바를 비교적 쉽게 달성할 수 있습니다.
왜냐하면 작은 성취가 큰 성취를 불러오고, 이런 과정이 반복되며 성장하기 때문입니다. 이 반 복적인 성장의 과정에 운의 흐름을 타는 시기가 나타납니다. 어쨌든 작게라도

5. 운이 좋은









운이 좋은 사람을 간접적을 만나는 방법도 있습니다. 바로 독서입니다. 책은 쓴 많은 이들은 운 의 흐름을 탄 사람들입니다. 크고 작은 성취 경험으로 자신의 운을 만든 사람들입니다. 이들의
생각과 경험을 접하는 것은 분명 삶에 좋은 영향을 줍니다. 평소 '누굴 만나고 어떤 기분을 느
끼느냐'가 삶에 큰 영향을 주는 것 같습니다. 그런 면에서 내 곁의 사람과 책은 참 중요합니다. 같은 맥락에서, '나 스스로 얼마나 운을 만드는 삶을 살고 있는지'를 돌아보는 것은 의미 있는
작업이라 생각합니다.
6. 운을 기다릴 줄 안다
사실 운은 언제 다가올지 모릅니다. 그 '때'를 알고 싶어 역술가를 만나고 사주팔자를 풀이하
며 불안한 마음을 달래기도 합니다. 결국 운의 흐름을 타는 사람은 기다릴 줄 아는 사람입니 다. 그래서 지속하는 게 중요합니다. 유명 작가를 꿈꾸던 사람이 6번째 책을 내고 절필을 선언
했는데 7번째 책이 좋은 반응은 얻을지도 모르는 일입니다. 때를 기다리며 준비하는 자만이 운 을 잡을 수 있습니다.
7. 현실을 인정하고, 현재에 집중한다
별로 노력을 안 했는데 일이 잘 풀리는 때가 있습니다. 물론 노력은 중요합니다. 하지만 노력만
으로 되지 않는 일이 있습니다. 오히려 노력보다 운이 크게 작용할 때도 있습니다. 우리는 이것
을 어느 정도 인정해야 합니다. 인간의 힘으로 어쩔 도리가 없는 일도 있다는 것을. 자포자기하 라는 말이 아닙니다. 어쩔 수 없는 현실을 인정하고, 지금 당장 내가 할 수 있는 일에 집중하자 는 얘깁니다. 현재에 집중하자는 겁니다.





이때 중요한 것이 있습니다. 바로 '자신을 믿는 것' 입니다. 자신을 믿지 못하면 운을 기다리며 현재에 집중할 수 없습니다. 자신을 믿는 사람만이 넘어지지 않고 계속 나아갈 수 있습니다. 결 국 될 것을 믿고, 지금의 과정을 즐기는 사람. '될 놈은 된다'고 되뇌며 스스로를 '될 놈'으로 규 정하는 사람. 이런 사람들이 운의 흐름을 타게 될 것입니다.
다시 밝히지만 저는 역술가가 아닙니다. 그저 부와 성공의 비밀을 알고 싶은 그런 사람입니다. 좋은 운의 흐름을 타고 행복하게 살고 싶은 사람입니다. 일반적으로 우리는 '운'과 '노력'을 반 대의 개념으로 생각합니다. 주야장천 운만 기다리거나 죽어라고 노력만 하는 모습을 떠올립니 다. 하지만 이 글을 쓰며 저는 이런 결론에 도달했습니다.
역설적으로 들릴 수도 있겠네요. 하지만 운을 얻기 위해선
이 저의 결론입니다. 계속 도전하고, 시도하고, 끈질기게 물고 늘어지는
사는 데 운이 얼마나 중요하다고 생각하세요? 꽤 중요하 지요. 근데 가만있으면 운이 오지 않을 겁니다. 와도 알 수 없을지 모릅니다. 노력하지 않는데 운이 따라올 순 없으니까요.
당신과 내가 운이 좋은 사람이었으면 합니다. 결국 '될 놈들'이었으면 합니다.















눈 건조할 때마다






인공눈물을 넣는 것은 안구 건조증의 예방법이자 치료 법 중 하나입니다. 일시적
으로 눈물을 보충해서 건조 한 증상을 완화시키게 되고
건조해지지 않게 눈을 촉촉
히 해주기도 합니다. 하지
만 인공눈물의 종류도 다양
하기 때문에 눈 상태에 따
라 알맞은 인공눈물을 처방
받는 것이 중요합니다.
인공눈물은 점안액, 연고, 겔 타입으로 나뉘며 가장
흔히 쓰는 것이 점안액 타
입입니다. 즉시 효과가 나 타나지만 오래 지속되지 않는 것이 단점이며 연고
나 겔 타입은 사용감이 좋 지 않지만 지속 시간이 길 다는 것이 장점입니다. 또
인공눈물은 함유된 성분이 나 제형에 따라 종류가 다 양합니다. 일반적으로 쓰는 방부제가 없는 일회용 인공
눈물은 건조증이 심할 경우 도움이 되지 못할 수 있습 니다. 이때는 윤활제 성분 이 든 인공눈물을 쓰면 도 움이 될 수 있습니다.
일회용






by 루시아 / 브런치
우리가 살고 있는
우리가 결혼을 해서 함께 살고 있는 세 번째 동네이다.
몇 번의 이사를 하면서 새로운 동네로 가는 것이 나에게도 조금은 부담으로 다가온다.
새로운 곳에 나도 적응해야 하지만, 무엇보다 시각장애인 남편이 적응할 수 있도록 매의 눈으로 이것저것을 샅샅이 살펴야 한다.
내가 모든 것을 다 할 수 없기에 그의 무난한 동네생활을 위해
만나는 사람들의 협조도 종종 필요하다

얼마 전에 경비원님이 새롭 게 오셨다며 인사를 하셨다. 그렇다면 나도 인사를 드리 며 할 일이 있다. 택배요정인 그를 위해 미리 손을 써 둔다. "0000호입니다. 저희 집에 시
각장애인이 살아요. 혹시 택
배함에서 도움을 요청할 수도
있어서 미리 말씀드려요." 이
렇게 한마디만 해두면 택배요
정은 수많은 상자 앞에서 날
개를 파닥이며 자신의 것을
찾지 않아도 된다.
휴직을 했을 때만 해도 하원
후 놀이터로 가는 것이 코스 였다. 아이의 친구들과 놀이
터에서 놀다 보면 엄마들끼리
모여 대화를 이어나가는 일도
잦았다.
남편은 다른 아빠들에 비해
퇴근시간이 빨랐기 때문에 엄
마들과 마주치는 일이 많았 다. 놀이터에서 주로 함께 어
울리는 엄마들에게도 남편의
장애에 대해 이야기했다. 불 필요한 오해를 줄이기 위함이
기도 했고, 혹시 도움을 받을
수 있는 상황이 있을 수도 있 기 때문이었다. 실제로 작년
에 아직 말도 잘 못하는 둘째
가 아장아장 걸어 놀이터 밖
으로 나갈 뻔한 것을 첫째 아

이 친구 엄마가 남편에게 알
려줘서 잡을 수 있었다.
어느 날은 길 끝에서 남편이
걸어오고 있었다. 맞은편에 서 그를 발견한 아이들은 아 빠! 하고 부르며 그에게 달려 갔다. 나와 그의 사이에 나와
비슷한 인상착의의 여성이 지
나가고 있었다. 아이들과 인
사를 나눈 그는 슬금슬금 그
오늘 그를 지나친 많은 사람 들이 그가 시각장애인임을 모
를 가능성이 더 크다. 그의 장 애 때문에 나타난 행동들에
몇몇은 조금 당황했을지도 모 른다. 아래는 그들에게 보내
는 짧은 편지.
❶ 내가 먼저 엘리베이터를 타서 n층 버튼을 눌렀는데 뒤
이어 탄 사람이 n층 버튼을 다시 눌러 끌 수도 있어요. 뭐 지? 장난하나? 싶겠지만 그건 아니고요.. 알고 보면 당신과 같은 층에 사는 시각장애인
일 수도 있어요. 버튼이 눌러 져 있었는지 몰라서 그런 거 랍니다. 인사 한 번 해주시면 그 시각장애인도 자신의 실수 를 알아차릴 거예요.
❷ 오늘 당신이 중고거래를 하며 만난 사람, 혹시 물건을 건네거나 건네받으면서 헛손 질을 하진 않았나요? 거래장
소를 약간 바꾸려고 했는데
상대가 못 찾아 오진 않았나 요? 확인해 달라며 사진을 보 냈는데 메시지를 읽고서도 답 장이 엄청 느렸을 거예요. 사 기꾼 아냐? 하고 조금 불안 했겠지만 답장은 왔을 거고 요. 옆 사람에게 무슨 사진인 지 확인해 달라고 부탁하느라 조금 늦었을 거예요. 오늘 만 난 그 사람, 시각장애인일 수 도 있어요.
❸ 놀이터에 아이 둘과 아빠 가 놀고 있네요. 어이쿠, 아이 하나가 넘어졌네. 아빠는 앞
❹ 물건이 떨어져서 바로 앞 에 있는데도 잘 못 찾고 여기
저기를 더듬대는 누군가를 봤 을 때 도와주시면 어떨까요? 정말 안 보여서 그래요. 우리 남편은 에어팟을 그렇게 잘 떨어뜨려요.
❺ 키오스크 사용하시는 사 장님! 키오스크가 있는데도 직원분께 주문하려는 사람, 귀찮을 때도 있겠지요. 하지 만 정말 그 기계를 이용할 수 가 없어서 그렇답니다. 보편 화되었다고 하지만 아직도 많 은 사람들이 키오스크 사용을 어려워해요.


녀 쪽으로 다가가려고 한다.
다음 장면이 그려진 나는 다
급히 소리 지른다. "나 아니 야!!!" 나의 외침으로 그녀는
멈춤 없이 지나갔다.
에 서 있는데도 그걸 모르네. 앗 이번엔 아빠가 놀이터 기 구에 부딪혔네. 뭐야 정신을 어디에 두고 있는 거지? 그 아 빠, 시각장애인일 수도 있어 요. 세상 모든 집중력을 다 끌
어모아 아이와 놀고 있는 중 이랍니다. 가장 잘하는 것이
자 못하는 것은 놀이터에서 아이들과 숨바꼭질하기!
어서. 아이 하나를 키우려면 온 마 을이 필요하다는 말이 있다. 아이의 가족뿐만 아니라 주변 에서 관심과 사랑을 주는 것 이 아이가 성장하는 데 많은 도움이 된다는 것이다. 아이 뿐만 아니라 한 명의 장애인 이 적응하며 살아가는데도 온 마을의 도움이 필요하다. 그 를 대신 무언가 해주어야 한 다는 것이 아니라 그가 사회 에 적응하여 스스로 해낼 수 있도록 적당한 관심과 약간의 도움이 필요하다. 그것이 있 다면 시각장애인의 아내, 그 리고 특수교사인 내가 걱정 은 조금 줄이고 마을 안에서 모두와 함께 잘 살아갈 수 있 을 것 같다.


















































































집에 돌아온 아이의 옷이 새
까맣다. 손목 부분의 밴드
와 양 쪽 무릎, 양말까지 죄
다 흙투성이다. 친구들과 모
래놀이를 하며 신나게 놀았
는데, 물을 섞어 커다란 강
을 만들다 보니 이렇게 되어
버렸다며 헤헤 웃는다. 괜찮
아, 빨면 되니까. 신나게 놀
아서 너무 좋았겠다며 허물
처럼 벗는 옷을 하나 둘 모 은다.
빨랫감을 잔뜩 만들어 미안
하다는 말에 신나게 논건 미
안한 일이 아니라고 얘기해
준다. 아이들은 사소한 일에
도 종종 미안함을 표시한다.
나는 언제나 그 말을 셔틀콕
을 되받아치듯 저 멀리 날려 버린다. 매일 옷이 더러워져
도 괜찮아. 그러니까 신경
쓰지 않고 신나게 놀기. 알
았지? 아이는 고개를 끄덕
이며 말갛게 웃는다.
아이의 학교에서는 교실 안
에서 양말을 신는다. 실내화
를 벗고 활동한다는 말은 양
말이 매일 더러워진다는 뜻
이다. 자유롭게 노느라 바쁜
아이의 양말과 무릎은 늘 까
맣다. 무릎이 닳아 구멍도
자주 난다. 같은 바지를 벌
써 학기 중에 몇 번이나 샀
다. 입학하고 나서 손빨래는
일상이 되었다. 처음에는 귀
찮고 힘들었다. 팔목도 아프
고 집안일이 한 가지 더 추
가된 것 같아 심통이 났다.
지금은 꽤 요령이 생겨 때가
잘 지워지는 비누도 찾아냈 고, 나름 방법도 생겼다. 빨
래를 물에 담가 때를 퉁퉁
불려두고, 비누를 슥슥 묻혀
마치 고기 양념을 재우듯 빨
래를 비눗물에 재워둔다. 마
지막은 거품이 나오지 않을
때까지 여러 번 헹구기. 더러
운 채로 오래 놔두지만 않으
면 대부분의 얼룩은 사라진
다. 얼룩제거제로도 지워지
지 않는 부분은 흐린 눈을
하고 이 정도면 괜찮다며 헹 궈버린다. 완벽한 빨래는 없
다. 이런 마음가짐이 아니면
매일 하는 손빨래는 스트레
스가 되기 쉽다. 가끔은 손빨
래를 하며 스트레스가 풀릴 때도 있다. 새까만 양말이 점 점 본래의 색을 찾을 때 오 는 희열이란. 아이의 양말과
옷을 빨려 찾아낸 나만의 기 쁨이다.
까매진 무릎과 양말, 손목을







보며 아이의 하루를 상상해 본다. 어떤 날에는 클레이가 덕지덕지 붙어 있고, 가끔은 매직이나 사인펜이, 때론 색 색의 색연필이 잔뜩 묻어 있 을 때도 있다. 밥알이 붙어
있거나 빨강과 갈색의 양념
을 흘린 흔적도 발견된다. 오
늘은 친구들과 이런 놀이를 했구나, 급식에 이런 반찬이
나왔구나. 옷이 더러워질수
록, 무릎과 소매가 까매질
수록 아이는 그날 하루를 맘
껏 즐긴 셈이 된다. 나의 품
을 떠나 또 다른 세상 속에 서 무럭무럭 자라는 모습을
손빨래를 하며 알게 된다. 속 상한 날에는 소매와 팔에 눈
물이 스며들었을 테고, 화나
는 날에는 혼자 도서관에서 화를 식히느라 엉덩이에 먼
지가 가득할 것이다. 즐겁고
신나는 날에는 오늘처럼 여 기저기 까매져 있다. 구석구 석 기쁨으로 가득하다. 잔뜩 더러워진 옷을 입고 현관문 을 힘차게 열며 오늘도 아주 즐거웠어!라고 말하는 목소 리를 들으면 나의 긴장도 그 제야 풀린다. 다행이다. 오늘 도 즐거웠으면 됐다. 너의 하
루에 웃음과 기쁨과 행복이 많았다면 그것만으로도 충 분하다고 꼬옥 안아준다.
“엄마, 내일은 까만 바지를 입고 가야겠어. 내일도 모래 놀이 할 건데 빨래하기 힘들 잖아.”
아무리 괜찮다고 말해도 마 음이 쓰였던 모양이다. 오늘 만들었던 강을 내일은 더 길 게 이어서 만들기로 했다는
목소리가 벌써 들떠 있다. 돌 아오자마자 내일 입고 갈 옷 을 준비하는 아이를 보며 좀 더 두껍고

보통의 발 모양은 아치 모 양으로 움푹 들어간 부분
이 있지만, 평발은 말 그대
로 발바닥이 평평한 상태를 말합니다. 발바닥에 아치가
없는 채로 걸으면 다리 안
쪽에 가해지는 힘이 바깥쪽
으로 분산되어 발가락도 바
깥쪽으로 기울게 되며 발가
락 변형까지 초래할 수 있
습니다.
선천적인 평발도 있지만 비
만이거나 오랫동안 서서 일
하는 경우 또는 관절염이
있으면 후천적인 평발로 변 할 수도 있습니다. 문제는 평발은 발에 가해지는 충
격을 줄여주지 못하기 때문
에 조금만 걸어도 발바닥과
종아리가 아파 쉽게 피로해
지고 심하면 두통까지 초래
할 수 있습니다. 자신의 발
이 평발인지 보려면 몇 가
지 사항을 확인하면 됩니
다. 뒤꿈치가 바깥으로 향 해 있고 신발 바닥이 안쪽 부터 먼저 닳거나, 장시간 걷거나 운동할 때 유난히 통증이 심하다 / 발바닥이


영어에는 ‘as cool as a cucumber’라는 속어가 있다.
오이처럼 차갑다, 혹은 냉정
하다는 의미인데 오이 속 온
도가 바깥보다 20도 이상 낮
아서 이러한 표현이 탄생했다
고 한다. 오이는 아삭한 식감
에 시원한 맛까지 있어서 전
세계 지구인들 -특히 등산인
들-이 즐겨 먹는 채소이다. 그
런데 반대로 오이를 못 먹어
서 냉면이나 짜장면 같은 음
식을 주문할 때마다 ‘오이 빼
주세요’라는 요청을 하는 지
구인들도 있다. 심지어 지인
중에는 오이를 못 먹어서 친
처럼 쉽지 않다. 자존심이나
체면 때문인지, 아니면 자존
심이나 체면이 전혀 발동하지
않아서인지 모르겠으나 냉정
함을 갖지 못하고 매달리거나
애원하는 일이 발생해버린다.
뜨거운 사랑이란 표현은 있지
만 -보통 사랑이 식었다는 식
으로 표현하지- ‘차가운 사랑’
이라고는 하지 않는데, 열정
적인 사랑은 쉽사리 포기할
수 없는 선물과도 같기에 지
구인들은 좀처럼 오이가 되질
못하는가 보다.
냉정함은 굉장히 긍정적인 의
미로 작용하기도 한다. 평소

을 넣어 같이 버무려주면 완 성. 역시나 오이가 들어가서 인지 상큼한 맛이 제격이었
다. 그런데 오이를 먹으니! 희
한하게 정말 오이가 되는 듯 한 느낌이 들었……을리 없
잖아. 오이 먹는다고 오이가
되면 돼지를 먹으면 돼지가
되겠…… 될 수도 있겠구나.
그렇지만 어쨌든 오이는 씹어
먹으면 그뿐, 오이가 되진 않
았다. 여전히 난, 아무리 오이
를 먹어도 냉정하지 못한 한
심한 지구인일 뿐이었다. 더
는 한심하고 싶지 않았던 난
다시 냉장고를 열어 오이 크
오이처럼 냉정할 수 있을까
해지고, 결국 커플이 된 이들
도 있을 정도다. 오이가 맺어
준 인연인 건가? 그러고 보면
세상 모든 사랑은 기적이다.
80억 지구인 중 단 두 사람이
만나 사랑을 나눌 수 있다니!
친구를 만들 땐 제한된 범위
나 한계가 없다. 그렇지만 연
인은 단 한 사람이어야 한다.
80억 명 중 단 한 명만을 사랑
해야 한다! 이러한 사랑이 정
말 위대한 감정임을 알고 있
지만, 안타깝게도 사랑이 이
어지는 가운데 종종 필요한
태도 중 하나는 ‘냉정함’이다.
가끔 우린, 오이처럼 차가워
져야 할 때가 있다.
예를 들어 이런 것이다. 오이
처럼 식어버린 상대에게 끝까
지 매달리며 사랑을 갈구하는
것만큼 지치고 괴로운 일이
없다. 그럴 땐 상대가 그러하
듯 나 역시 오이가 되어야 하
는데 단칼에 끊어내는 건 좀
화가 많은 편인 나라는 지구
인에게 꼭 필요한 말이기도
하다. 괜히 흥분해서 잔뜩 신
경질을 내며 주변인을 불편하
게 만들기 일쑤인데, 창피하
게도 그런 언행을 일삼고 난
날 밤이 되면 좀처럼 잠이 오 질 않는다. 꼭 그래야만 했을 까, 하는 괴로움에 휩싸여 ‘이
불킥을 시전하게’ 된다. 이불 에 구멍이 날 지경이다.
그렇기에 때론 머리를 식혀줄 냉정함이 우리에게 -특히 나 에게- 필요하단 것이다. 이불 을, 버릴 수는 없으니. 이렇듯
냉정함이란 사랑에만 국한되 는 태도는 아니다. 인간관계 에 있어서 혹은 난해한 삶의
단면을 마주함에 있어서 우리
는 줄곧 오이의 외침을 들어 야만 한다. “나보다 차가울 자 신이 있어?”
자신이 없었으므로, 혹시나


오이가 될 수 있을까 하여 오
이 크래미 마요 무침을 해보
았다. 원래 오이는 생으로 고
추장 찍어 먹는 게 제일이지 만, 그래도 조금은 특별한 반
찬을 만들고 싶었는가 보다.
오이를 써는 방법은 정해지
지 않았다. 길쭉하게 채를 썰
어도 되고, 동그랗게 편을 썰
어도 된다. 이래도 오이, 저래
도 오이일 뿐. 다만 소금에 절
여 물기를 제거하는 과정은
아무래도 선택이 아닌 필수 가 될 듯하다. 그래야 아삭아
삭한 식감이 유지되고 나중에
간이 변하는 일도 없을 테니 까. 크래미도 먹기 좋게 잘게
찢어주고, 마요네즈와 설탕
래미 마요 무침을 꺼내 입 안
가득 욱여넣고 와그작와그 작 씹어먹었다. 그리고 천천 히, 냉정함에 관해 고찰을 시 작했다. ‘냉정’이란 단어를 좀 더 쉽게 이해할 순 없을까? 당
연히 있지! 왜 없어! 당신에게 만 알려주는 팁인데, 특정 단 어의 의미를 깊이 파고들고
싶을 땐 그 단어의 반의어를 활용하면 된다. 냉정의 반의 어, 열정.
냉정과 열정을 함께 두고 보
니 그 이해가 좀 더 쉬워졌다.
냉정과 열정을 다른 말로 바
꾸면 결국 ‘이성’과 ‘감성’이
었고, 이성적인 인간도 있고 감성적인 인간도 있다는 사
실을 연이어 떠올리게 되었
으니…… 그랬다! 나는 틀
린 게 아니었다! 굳이 냉정함
을 갖추고자 노력할 필요가
없음을, 비로소, 깨달은 것이
다! 나의 과잉 감정으로 인해

되 는 기적을 일으킬 수 있는 법 이겠지. 물론 오이가 될 필요 가 없음을 깨달았다고 하여 앞 으로 오이를 멀리하거나 하진 않을 것이다. 오이의 냉정함은 -적어도 나에겐-과한 열정을 식혀주기 딱 알맞으므로. 대신 냉정한 오이보단, 아낌없이 주 는 나무가 되어 지구인 모두의 행복에 기여하고 싶다. 냉정함 만 가득한 지구는 존속되지 못 할 테니까. 어른이 있어야 아 이도 있고, 여자가 있어야 남 자도 있고, 문과가 있어야 이 과도 있다. 그리고 열정이 있 어야만, 냉정도 힘을 발휘할 것이다. 나의 부족함은, 당신 이 잘 채워주겠지? 그나저나 참, 오이가 의외로 안주로 제 격인 건 알고 있었어? 오늘 밤 엔 당신과 소박하게, 오이소박 이 한 그릇에 냉정과 열정















by 힘내자 / 브런치

‘경비가 해제되었습니다.’
오전 10시 20분. 가게 경비시
스템을 해제시키고 들어간다.
밤새 뽀얗게 앉은 먼지가 들
썩거린다. 주방과 홀의 전등
스위치 3개를 켜고 작업복으
로 갈아입는다. 아, 이번에 새
로 산 작업복은 좀 불편하다.
겨울용 도톰한 천으로 된 걸
샀는데 싸구려라 그런지 뻣뻣
해서 움직일 때마다 거슬린
다. 옷이 나를 찌르는 느낌마
저 든다. 벗을까 잠시 생각했
지만 이 옷이 지금의 나를 정
의해주는 상징같은 거라 벗을
수 없다. 게다가 은근 멋진 작
업복이거든. 익숙해지면 편해
지겠지. 탁탁 옷을 털고 앞치
마를 두른다. 오늘 하루도 다
치지 않고 무사히 일을 마칠
수 있기를 바라며 주방으로 들어간다.
내가 하는 일은 사장이 출근
하기 전에 미리 장사 준비를 해놓는 것이다. 음식을 파는 곳이니 주로 식재료를 손질하
고 준비하는 일이 우선이다.
주방에 들어가 제일 먼저 밥
을 안친다. 밥공기로 4번 퍼담
은 쌀을 물에 다섯 번 헹군다.
오늘 밥은 적당히 잘 되면 좋
겠다. 너무 질지도 않고 너무 꼬들거리지도 않게. 엄마는
늘 고소하고 윤기가 좔좔 흐
르는 밥을 해줬는데 그게 쉬
운 일이 아니었다는 것을 이
제야 알겠다. 주부 경력 10년
이 넘어도 늘 들쑥날쑥이다.
밥을 안치는 게 이렇게 어려
운 것이라니. 내가 생각해도
어이가 없다. 그래도 쌀을 씻

포크로 집을 수 있을 만큼, 적
당히 씹는 맛이 느껴지게 끔
쳐야 한다. 처음에는 양배추 를 치는 채칼이 익숙하지 않
아 힘들었다. 칼날도 무섭고
사분의 일로 자른 양배추를 한 손으로 드는 것도 어려웠 다. 그러나 모든 일은 할수록 실력이 늘어난다. 여러 번의 시행착오 끝에 나만의 양배
추 치는 방법을 터득했고 그
로 인해 속도도 제법 빨라졌
다. 단점이라고 하면 속도는
빨라졌지만 양배추를 치고 난
주변은 엉망진창이 된다는 것
뿐이다. 사장은 내가 양배추
를 치고 난 자리를 보고 도대
체 양배추를 어떻게 치는 거
냐고 황당해 하지만 뭐 나는 괜찮다. 다 하고 얼른 치우면
되니까.(양배추 치는 기계도
있던데 사줄 거 아니면 그냥
놔두세요)
다음은 볶음밥 야채를 다듬
을 시간. 우리 가게에서 볶음
밥을 시키면 양상추, 치커리, 적채가 섞인 샐러드가 제공
된다. 야채들을 하나하나 깨 끗하게 씻고 난 후 칼로 썰어 통에 담는다. 손님들 입에 들
어갈 음식이니 만큼 적당한
크기와 색감까지 고려한다. 이왕이면 먹기 좋고 보기 좋 게 준비하면 좋지 않은가. 적 채가 그 역할을 톡톡히 한다.
이야. 먹는 샐러드인데 눈이 호강하네.
대견하다. 꽤 괜찮다. 고작 이 런 일에서 성취감을 느낀다고 한심해 한적이 있다. “뭐 얼마 나 대단한 일을 한다고 성취 감을 운운한다니? 돈을 많이 버는 것도 아니고 남들 다 하 는 일인데. 칫.”
다. 내가 긍정적인 사람이라 서 그런 것이 아니다. 그저 정신승리가 필요했다.
























고 안치는 이 작업으로 식당
종업원으로서 나의 하루를 시
작하므로 야무지게 씻어본다.
취사 버튼을 누르고 나면 이
제 양배추를 쳐야 한다. 돈가
스와 함께 나가는 양배추는
되도록 짧게 치지 않으려고
한다. 손님들이 젓가락이나
혼자 있는 이 시간은 흩어졌 던 생각들을 정리하기 좋더 라. 아이들을 겨야 하는 정신 없던 시간을 지나 오롯이 나 에게 집중할 수 있는 이 시간 이 참 귀하다.
이곳에서 일 한지 벌써 3년차. 3년차 손에서 나오는 정확도 와 스피드는 성취감 마저 준 다. 타고난 덜렁이라 꼼꼼함 이 약간 부족하지만 그래도 이만하면 많이 는 것 같아서
여기서 일하는 나를 내가 불 쌍하게 여기고 깎아내릴수록 손해보는 것은 나였다. 아이 들에게 어떤 상황에서도 당당 해야 한다며 화이팅을 외치는 엄마가 스스로를 하대한다는 건 말이 안되니까. 내가 나를 존중해야 한다. 내가 하는 일 을 귀하게 여겨야 한다.
자신감이 필요한 시점이었다 고 본다. 작은 성취감을 느끼 며 내 존재를 확인하는 귀중 한 경험이 필요했다.
그 출발점이 '재료 준비'이다.





















by 몽접 / 브런치
언제였을까, 아마도 내가 옥
탑방에 살때였을거다. 뭐 일
년도 안되게 살았지만 정말
많은 교훈을 얻은 곳이다. 옥
탑방에 대한 낭만도 깨졌고
여름이면 펄펄 끓어서 살기
힘들고 겨울이면 거의 시베리
아급 추위이고 그래서 다시는
옥탑에 옥도 꺼내지 않은 인
간이 되었으니 말 다했다. 정
말 중요한 건 엄마가 나에게
해주신 이야기이다.
옥탑을 구하고 여름방학이 되
고 나는 나대로 알바를 열심
히 하고 있을 때였다. 고향에
서 엄마는 서울로 내 옥탑방
을 구경한다고 오셨다.
엄마도 옥탑은 처음이라 이리
저리 구경을 하시더니 여자
혼자 살기에는 벅차다며 고개 를 흔드셨고 냉장고에는 뻔하 지만 없는 식재료들은 다 넣
어주시고 가셨다.
아마 그날이었을 거다. 가시 기 전날, 엄마는 그날 시장에
서 국그릇과 밥그릇 그리고
접시를 일인 세트를 도자기로 사 오셨다.
남대문에서 사 오셨는데 다
처음 내 반응은 "아니 혼자 사 는데 이렇게까지"였다. 그때 엄마는 "죄다 플라스틱에, 이 게 무슨 사람이 먹는 음식에 이건 아니다"라고 하셨다.
처음에는 이해가 가지 않았 다. 다 귀찮고 먹으면 설거지 를 해야 하는 세트를 사가지 고 오셔서 화를 냈다. 엄마는 "자고로 혼자 살아도 잘 차려 먹고 잘 비워야 하고 음식은 내가 몇 번을 말했어, 눈으로 향으로 맛으로 세 번이라고 했지!" 잔소리를 하시더니 그
날은 정말 정갈한 한 상을 먹
었다. 엄마는 가실 때까지 강
조를 하셨고 막상 엄마가 가
시고 나니 허전했다.
도서관에서 공부를 마치고 집
에 도착을 하니 엄마가 해 놓
고 가신 반찬들을 괜히 들여

을 담고 반찬 몇 가지에 국을
해서 먹었다. 이런 똑같이 플






다보며 밥을 할 생각이 들었
다. 그리고 마주한 도자기 그
릇들과 용기들을 보고서 엄마
말씀처럼 먹어보기로 했다.
정갈하게 그래, 최대한 정갈
하게 속으로 몇 번을 이야기
했는지 모른다. 혼자 먹으면 서 이렇게 먹는 건 좀 웃긴데
하면서 나도 모르게 엄마처럼 그렇게 소복이 뜨고 있었다.
엄마는 평소 식사를 하실 때
조용하게 드시는데 간혹 클래 식을 들으실 때도 있다. 난 그
날 클래식을 틀고 책상을 펴 고 엄마가 사주신 그릇에 밥
라스틱에 먹었을 때는 허전했 는데 이렇게 먹으니 적게 먹 어도 배가 불렀다. 무슨 효과 가 있나? 싶어서 피식 웃음이
나왔다. 엄마는 역시 모든 걸
알고 계시는구나 싶어서 그날 이후로는 어떤 음식을 먹어도
절대로 플라스틱에 음식을 놓 아 먹는다거나 절제되지 않은 용품에 담아 먹지 않는다. 지 금도 내 밥그릇 국그릇을 비 롯한 식기는 다 세트다. 도자 기 세트. 그리고 이렇게 가을 이 되면 컵도 도자기를 주문 해서 일 년에 한 번씩 바꾼다. 이것도 엄마 영향이다. 엄마
















날씨가 선선해지고 건조해 지면서 목감기에 걸려 병원 을 찾는 사람들이 많아지고 있습니다. 목이 아프면 목 감기를 의심하지만 목감기
도 종류가 여러 가지인데 요, 우리가 흔히 아는 목감 기가 단순 목감기가 아니라 면? 인후통이 생기는 원인 과 종류에 따른 치료법을 알아보았습니다.
대개 목감기를 호소하는 사 람들은 바이러스에 감염된 것입니다. 바이러스들이 목
구멍의 세포에 달라붙어서 국소적인 손상이나 염증을 유발하기 때문에 고통스러 울 수 있습니다.
이 바이러스 감염은 매우 다양한데 가장 흔한 것이 감기 바이러스이며 독감, 수두, 단순 헤르페스 등도 해당됩니다. 바이러스 감 염이 아닐 때는 세균 감염 을 의심할 수 있는데 인후 염, 포도상구균 등이 그것 이며 항생제로 치료가 가능 합니다.
인후염을

by 유콘 / 브런치
"어디갔지?"
오늘도 어김없이 더듬더듬 주
머니를 툭툭 쳐 본다. 묵직한
열쇠의 감각이 느껴지면 그제
서야 안심하고 할일을 마저
한다. 독일에 온 뒤로 생긴 독
특한 습관이다. 잘 걸어가다
가도 열쇠!! 하면서 주머니를
더듬고, 가방을 열어본다. 그
리고 묵직한 열쇠를 발견하면 그제서야 안심하는 것이다.
나는 사실 어릴 적 모두가 인
정하는 '덜렁이'였다. 우산을
들고 나갔다가 빈손으로 돌아
오는 것은 일쑤요, 더 어릴 적
에는 가방도 두고 오고, 신발
주머니도 두고 오고. 여기저
기 물건들을 흩뿌리며 다녔
다.그리고 세상 가볍게 집에
도착해서 '다녀왔습니다!'를
외치자 마자, 엄마와 손을 잡
고 흩뿌려 놓은 물건을 찾는
시간을 가졌다. 이제 와 생각
해 보니, 빈손으로 달랑 집에
들어오는 날 보는 엄마는 얼
마나 황당하셨을까 싶다.
천만다행으로 내가 무럭무럭 자라날 무렵에 한국은 '번호
키'가 상용화 되는 중이었다.
종종 친구들 중에는 집 열쇠
와 자전거 열쇠 같은 것을 길 게 목걸이로 만들어서 매고
다니는 애들도 있었는데, 나 는 그저 비밀번호만 외우면
되는, 이것저것 잃어버려도
비밀번호 하나만 알면 그래도
집에는 들어갈 수 있는 다행
인 시절을 살았다.
그렇게 덜렁이의 면모를 가
진 사람이 독일에 와서 접한
최대의 문제점은 '열쇠'였다.
여전히 모든 문이 열쇠로 통
용되는 아날로그의 나라. 생
전 처음으로 손에 들고 다녀
야 하는 실물 열쇠는 마음을



참 무겁게 만들었다. 하루에
도 수십 번씩 열쇠를 잃어버
리는 상상을 하곤 했다. 게다
가 독일의 문들은 대부분 집
안에서는 열고 닫을 수 있지
만, 열쇠가 없으면 밖에서는
문을 열 수가 없다. 그러니까 '아차!'하고서 열쇠를 집 안에
두고 대문을 쿵 닫는다면, 열
쇠는 있지만 문을 못여는, 세
상에서 제일 슬픈 사람이 되
고 마는 것이다.
만약 혼자사는 집인데 열쇠는
집 안에, 나는 문 밖에 있는 경
우가 생기면, 어쩔 수 없이 열
쇠공을 불러야 한다. 이 인건
비가 비싼 나라는 그렇게 출
장 온 사람이 100유로 이상
을 받아간다. 만약 저녁에 산
책이라도 슬쩍 해볼까 하는
상황에서 일어난 일이라면,
심야 출장은 할증이 붙는 다
는 더 슬픈 사실. 그래서 종종
유학생 커뮤니티에 '제가 열
쇠를 집 안에 두고 문을 닫았
는데요, 도와주세요.'하는 눈
물겨운 글 들이 올라온다. 카
드를 문 사이에 넣어서 밀어
보세요- 라는 다소 거친 방법
의 해결책이 제시되기도 하지
만, 어쨌든 쉬운 일은 아니니
열쇠는 무슨 일이 있어도 챙
겨야 하는 필수품이 되는 것
이다.
만약에 열쇠를 잃어버렸다
면, 그거야 말로 비상이다. 가
끔 독일에서 '열쇠를 하나밖 에 안 받았는데 이거로 건물
대문도 열리고, 쓰레기장 문 도 열려요. 그럼 다른 이웃들
이 우리 집 문도 열 수 있는 건
가요?' 라는 질문이 올라오곤 한다. 대답부터 하자면 당연 히 No!
하지만 공용 문도 다 열리면
서 개인의 집만 열리는 구조
로 되어 있다. 그래서 열쇠를
함부로 복사 할 수 없어서 집
열쇠 같은 것은 '복사를 위한
문서'를 필요로 하는 경우가
많다. 그러니 만약 세입자가
열쇠를 잃어버렸다면, 공용으
로 사용하는 모든 문을 바꿔
야 함과 동시에, 같은 건물에
사는 이들의 열쇠도 다 교체
되어야 한다. 그러니 들어가 는 비용이 상상이상이다.
'집 열쇠를 잃어버렸더니 1000유로(약 120만원가량)
을 내라고 해요. 이게 맞는 말 인가요?'
너무 한탄스럽고 슬프겠지만, 그게 맞는 말이다. 그래서 '열
쇠 보험'은 꼭 필요하다. 그리 고 절대 잃어버리지 않으려고 애쓰는 마음가짐도.
지금도 집 문을 닫기 전에 열 쇠가 내 손에 있는지 꼭 확인 하고 문을 닫는다. 그러고는 가방이나, 바지 주머니에 기 억할 수 있도록 천천히 열쇠 를 넣어 놓는다. 세상만사 헐 랭하던 덜렁이도 뇌에 힘주 고 다닌 덕분인지 아직 열쇠 를 잃어버려서 구슬프게 울어 본 적은 없다. 앞으로도 없기 를 간절히 바라는 중이다. 오늘의 독일 생활 팁 1. 열쇠 문화에 익숙하지 않다 면 집 보험을



































































































by M투데이 / 브런치
화웨이가 올해 중국 스마트폰
판매에서 처음으로 애플을 제
친 것으로 알려지고 있는 가
운데 새로 시작한 전기차 사
업도 대박을 터뜨렸다.

합작으로 만든 전기차 브랜드 로, 2021년 첫 번째 모델 M5 출시에 이어 올해 두 번째 모 델인 M7를 내놨다.
아이토는 지난 17일 M7 모든
예약자에게 최대 1만 위안까
지 지연 일당 200위안(27.35 달러), 최대 1만 위안까지 지
급한다고 밝혔다. 아이토는
자사 앱에 올린 공지에서 “우
리는 M7 차량의 생산을 강화
하고 있다”면서 "품질이 보
린 것으로 알려졌다. 아이토 는 10월 16일 이전에 M7을 주문한 구매자의 경우, 현재 대기시간은 플러스 버전이 4 주, 맥스 버전이 6주라고 밝 혔다.
시장에서 신차를 즉시 배송하 지 못한다면 고객들이 다른 브랜드에 유혹당하기
사우스차이나모닝포스트에 따르면 화웨이가 합작투자 한 중국 전기차업체 아이토 (AITO)가 신형 M7 SUV 구매 예약자들에게 출고 적체로 인 한 배송 지연 보상금을 지급 키로 했다고 밝혔다.
장된 차량을 고객들에게 인
도하기 위해 최선을 다하고
있다“고 밝혔다. 신형 M7은
아이토는 화웨이가 중국 전기 차 업체 싸이리쓰(SERES)와
시장에 출시된 이 후 한 달 동
안 6만 건 이상의 주문이 밀

현재 아이토는 월 1만대 가량 의 전기차를 생산할 수 있다. 때문에 길게는 6주 이상을 대 기해야 한다. 아이토는 ”M7 의 주문이 기대했던 것보다 훨씬 높다“면서 ”모든 주문량 을 신속하게 소화해 내기 위 해서는 생산량을 늘려야 할 상황“이라고 밝혔다.
하지만 경쟁치 치열한 전기차
나누는 골프이야기
by 티칭 프로 원성욱 (0402 598 961)
안녕하세요? 여러분 중에 골프를 하면서 이런 생
각을 해 본적이 있나요? “왜 난 골프가 늘지 않는
걸까?” 골프 뿐 아니라 세상의 일들 중 어느 것이
든지 항상 상승 곡선을 그리는 것은 없을 것입니
다. 잘 되는 날도 있고 안되는 날도 있다는 것은
누구나 한 목소리를 내는 부분이지만 막상 자신
의 일이 되면 그렇지 않게 됩니다. 남들은 매일 같
이 라베(Lifetime Best Score)를 기록하는 것 같
은데 자신은 늘 뒤로 가는 골프인 느낌이 드는 이
유를 알아보겠습니다.
누구나 목표는 바뀐다.
그렇습니다. 골프를 처음 배우는 날을 떠올려볼 까요? 그립을 배우고 어드레스 자세를 배운 다음
드디어 첫 공을 쳐보는 순간이 다가옵니다. 처음
에는 공이 잘 안 맞다가 서서히 공이 맞아서 앞
으로 나갑니다. 10미터 30미터... 드디어 공이 떠 오릅니다. 가슴이 벅차오르고 ‘아~ 이것이 골프의 맛인가?’ 라는 생각을 하게 됩니다. 하지만 스윙 이 조금씩 커지고 시간이 흐르면서 그렇게 잘 나 가던 공이 서서히 휘어지면서 머리 속에는 생각 할 것이 너무 많아집니다. “머리 고정, 상체 돌리
고 왼팔 펴고...” 겨우 공이 맞는가 싶더니 갑자기
머리 속이 하얗게 됩니다. 영상을 통해서 본 나의
스윙 동작을 보면서 이 현실을 부정하고 싶어집 니다. 분명히 내가 스윙을 할 때의 느낌은 선수들


시작한다. 또, 이 차량에는 화웨이의 HarmonyOS 운영 체제가 작용된
이 장착, 블록버스터 Mate 60 Pro 스마트폰과 동일한 경험 을 즐길 수 있다.

공은 굴러갔습니다. 다음 샷은 오른쪽 그 다음은 왼쪽. 그래도 몇 번은 잘 맞아서 구름을 뚫고 갈 기세로 날아갔습니다. 정말 짜릿한 순간으로 평 생 기억이 남을 거라고 혼잣말을 합니다. 골프를 시작한지 벌써 2년이 지났습니다. 여전히 머리 고 정, 왼팔 펴기, 하체 고정 등등 조심해야 할 부분 은 크게 다르지 않습니다. 골프 실력이 좋아지는 것이 아니라 오히려 나빠지고 있는 듯 느껴집니 다. 이제 막 시작한지 6개월












전 '주간동아'에서 DIY 즐기는 사람들을 만나 인터뷰를 한 적이 있다. 정말 다양한 DIY 하는
사이에서
만드는 최지은 씨를 인터뷰한 일이 기억에 남는다. 정말 사랑스러운 인형을 잔뜩 들고 나와 해맑게 소개하는 모습이 인상적이었기 때문이다. 그때만 해도 최씨의 본업은 웨딩드레스 디자이너,
그의 퇴근 후 소소한 취미일 따름이었다. 퇴근하고 집에 와서 틈틈이 작업하다 보면 인형 옷 한 벌을 만드는데 4~5일씩 걸린다던 최씨. 그랬던 그가 4년 만에 인형 옷 관련 책을 냈다. '인덕(인형 덕후)'들 사이에서 '라디오'라는 필명으로 더 유명한 최씨. 그에게 물었다. '덕질'하던 취미생활로 돈을 벌어보니 어떤 기분이냐고. '성공한 덕후(성덕)'란 그를 두고 하는 말이 아니겠는가.

# 간단한 자기소개 부탁드려요.
안녕하세요, 인형 옷 만드는 작가 '라디오'입니다. 이번에 '라
디오의 인형 옷 클래스'라는 책을 출간하게 되었는데요. 블
라이스와 국내 작가 인형들 사이즈로 이뤄진 패턴 북을 내 게 되었어요.
# 블로그 'Lovely Ravely'가 인형 덕후들 사이에서 원래 유명했잖아요. 책은 어떻게 내게 된 건가요.
출판사 '라의 눈'에서 평소 인형 옷 분야에 관심이 많아 그와 관련된 일본 번역본을 내고 있었는데요. 편집장님께서 국내
작가의 인형 옷 책도 내고 싶어 하셔서 수소문하시다가 저와
연락이 닿았어요. 저 역시도 언젠가는 일본 작가들처럼 인형
옷 책을 내고 싶다는 생각을 막연하게 하고 있었던 때라 연
락을 받고 정말 많이 놀랐어요. 책이 출간된 지금도 믿기지 가 않아요.
라디오 블로그 http://blog.naver.com/radiovoice
# 닉네임은 왜 '라디오'인가요?
너무 오래전부터 쓴 닉네임이라... 제가 중고등학교 때 미술 학원에 다니면서 계속 라디오를 들으며 그림을 그렸거든요.
평소에 작업할 때도 라디오를 즐겨 들어서 닉네임을 정할 때
그 부분이 많이 반영된 것 같아요.
따로 있다 보니 퇴근하고 집에 와서
작업하면 한 벌을 만드는 데 4~5일 걸
려요. 옷을 한 번 만들기 시작하면 온 집 안이 실밥과 먼지투성이가 되지만, 남편이 적극적 으로 지지하고 디자인 조언도 해주죠. (2014년 인터뷰)

# 예전에는 분명히 취미생활 이랬는데... '덕질'이 본업이 되 었군요. 그 당시 세계 최대의 블라이스 인형 행사인 '블라이
스콘'에 나갈 준비 중이라고 했었는데 그 이후에 어떻게 살
았나요. 어떻게 착실하게 '성공한 덕후'로의 길을 걸어왔는
지 여정을 소개해 주세요.
회사를 그만두고 본격적으로 본업으로 삼은 건 3년 전 프랑
스 파리에서 열린 '블라이스콘' 행사에 다녀오고 나서부터였
어요. 해외에 나가서 각국의 다양한 작가들의 의상과 인형들
을 보고 매료되어 인생에 한 번쯤은 좋아하는 일에 온전히 몰 두해 보고 싶었어요.
그 후 회사를 그만뒀고, 지금까지 인형 옷을 만들고 있어요.
파리 블라콘 이후에도 도쿄, 함부르크, 스페인 말라가, 싱가
포르 행사에 참가했는데 싱가포르 행사 때는 너무 많은 분
들이 한꺼번에 몰려오셔서 부스가 무너질 뻔할 정도였어요.


# 남편은 여전히 취미생활을 지지하고 디자인 조언도 해주 나요. 예전에는 부모님이 탐탁지 않아하셨던 걸로 기억하는 데요. '남편이 없었으면 지금까지 버틸 수 있었을까' 할 정도로 저 에게는 없어서는 안 될 존재예요. 사실 말이 본업이지 수입도 들쑥날쑥하고 새로운 디자인을 할 때면 한없이 예민해지는 데 짜증 한 번 없이 다 받아줘서 미안할 때도 많아요. 대신에 '별로다' 싶은 디자인을 하면 거침없이 독설을 내뱉을 때도 있어요. 좋아하는 일을 하고 있는 저를 좋아해 주는 남편에게 항상 고마워요. 요새는 남편도 자기 취향의 인형이나 장난감 들을 사모아서 같이 취미를 즐기고 있어요. 부모님께서는 항 상 몸 상한다고 걱정하셨는데 이번에 책 나온 걸
기뻐하셨어요. 부모님께서도 이제는 제가 하고 싶어 하는 일 을 하는 모습을 좋아하시는 것 같아요.
# 원래 웨딩드레스 디자이너 출신이잖아요. 본인 옷이나 남편 옷은 만들어 입지 않나요?
제 옷을 한번 만들어 볼까 싶어 나름 디자인도 하곤 하는데
항상 작은 옷만 만들다가 막상 사람 옷을 만들려니 귀찮아져
서 만들기도 전에 포기해요. 남편 옷은... 수선 정도?

# 예전에는 옷을 팔고 생기는 수익은 다시 새로운 옷을 만드
는데 쓴다고 했는데... 요즘은 수입이 어때요? 요즘도 계속 인 형을 수집하나요?
50체 이후부터는 세보지 않았어요. 아마 집에 인형이 60~70
체 정도 있을 것 같아요. 요즘도 사모으는 편이긴 한데 나름
소비를 줄여보려고 '한 달에 한 체만 사자!'라는 목표를 정했
어요. 인형 옷은 대학교 1학년 때부터 만들었어요. 처음에는
제니와 바비인형 옷을 만들었던 것 같아요. 수입은 요즘도 비 슷해요. 좀 다른 점은 인형도 산다는 것? 많이 버는 건 아니지
만 모아 두었다가 해외 행사 갈 때 경비로 사용하기도 하고, 그곳에서 원단이나 부자재를 구입하는데 쓰기도 해요.
# 요즘의 일과는 어떤가요.
되도록 아침에 일찍 일어나 회사 다닐 때와 비슷한 일정으로 움직이려고 노력하는데 쉽지가 않아요. 평소에는 아침에 일 어나서 집안일을 하고 아침 겸 점심을 먹은 후 작업을 시작해 요. 행사가 있을 때는 밤낮을 가리지 않고 일을 하고요. 원단 은 동대문 원단상가에서 구매하기도 하고 요새는 해외 행사 에 나가면 현지 원단상가들을 돌며 구매하고 있어요. 확실히 이국적인 느낌도 많이 나고 독특한 컬러들이 많아서 저만의 의상을 만들기에 도움이 되더라고요. 해외 행사는 일 년에 두 세 번 정도 나가는 것 같아요.

# 인형에게 어울리는 디자인, 라디오만의 발상은 어디에서 얻나요. 여러 곳에서 영감을 받는 것 같아요. 예전부터 꾸준히 컬렉
션 잡지도 사모으고 있고 영상미가 좋은 영화나 일러스트, SNS 등 그냥 스쳐 지나가는 이미지에서도 영감을 받을 때 가 있어요.
# 근본적인 질문, 인형이 왜 좋아요? 인형 옷은요? 어렸을 적부터 만드는 걸 좋아했어요. 휴지로 둘둘 말아 인형 옷이랍시고 만들었던 것이 시작이었죠. 옷 만드는 것이 좋아 서 중고등 학교 때는 코스프레도 많이 했고 대학도 의상디자
인과로 진학했어요. 그러다 인형에게만 어울리는 그런 아기
자기한 느낌이 좋아서 인형 옷 만들기를 시작했는데 덩달아
인형도 좋아진 거죠.
# 아이디어가 떠오르지 않으면 뭘 하나요.
스트레스를 받을 때는 어떻게 풀죠?
정말 아무 생각도 안 하고 놀아요. 그때는 디자인하려고 스케
치북을 꺼내면 하얀 건 종이요, 까만 건 펜이라는 생각밖에 안
들어서 쳐다도 안 봐요. 가끔은 원단시장에 가서 하염없이 돌
아다니는데 원단을 보고 디자인이 생각날 때도 있어요. 스트
레스를 받으면 생활공간이자 작업 공간인 집을 나가려고 애 써요. 근교의 카페라도 가서 머리를 식히고 바람도 좀 쐬면 어 느 정도 스트레스가 풀려요.
# 블로그나 인스타그램에 올라온 인형 사진은 뭘로 찍나요. 블로그용은 주로 DSLR로 촬영해요. 여러 장 찍어서 올리기 때문에 배경이 예쁜 카페나 공원에 가서 주로 찍어요. 작업하 다가 중간중간 찍거나 가볍게 찍어 편집해서 올리고 싶을 때 는 아이폰이나 똑딱이를 이용해 사진을 남기곤 하지요.

이 책의 모델로 등장하는 인형들은 네오 블라이스, 쿠쿠클라라, 제리베리, 카 카롯이다. 블라이스를 제외한 인형 3종은
# 아끼는 인형과 의상 몇 가지 소개해 주세요. '육일전' 행사에서 구매한 원오프 클라라 인형이 제 최애예 요. 세상에서 하나밖에 없는 인형이라 애착이 가장 커요. 이 번에 출간된 책 표지도 제 최애 인형이 장식했어요. 의상은 만들
# 롤 모델이 있나요?
인형계에서는 너무나도 유명한 일본의 작가 '하논(hannon)' 씨가 제 롤모델 이예요. 그녀의 감성뿐만 아니라 라이프 스타 일 자체를 동경하고 있어요. 하논 씨의 책이 나왔을 때 일본 에서 열리는 전시회까지 직접 가서 사인을 받아오기도 했죠.

# 인형 옷에도 사람 옷처럼 트렌드가 있나요? 그렇다면 요즘 뜨는 컬러나 올해의 핫한 자수법, 바느질이나 원단 같은 게 있으면 추천해주세요. 사람 옷처럼 트렌드가 급변하는 건 아니지만 어느 정도는 있 어요. 컬러는 아직까지는 파스텔 계열을 많이 선호하는 것 같 아요. 연한 핑크나 노랑, 보라 같은 밀키 한 컬러들이요. 에이 프런과 같이 코디가 가능한 원피스류가 인기가 많고요. 예전 에는 얇은 아사 원단과 리버티 원단을 많이들 사용했는데 요 즘은 실크 원단도 많이 사용하고 있어요. 국내뿐 아니라 일본, 중국, 미국, 남미, 유럽까 지 아우르며 자신의 영역을 구축해가는 인형 옷 작가 ‘라디오’의 첫 책이 출간되었다. 의상 디자이너 출신답게 디테일 완성도가 타의 추 종을 불허하고, 까다로운 소재도 과감히 사용 하며 인형 옷 분야의 지평을 넓히고 있다.
# 책은 주로 누가 사서 봤으면 좋겠어요?
인덕(인형 덕후)분들이 많이 사셔서 제 책을 보시고 옷을 만 들어 입혀 플레이하는 모습을 보고 싶어요. 아직 인형을 잘 모 르시는 일반인들도 사 보시고 인형의 세계로 입문하셨으면 하는 작은 바람이 있습니다.
라디오의 인형옷 클래스 구입하기 http://www.yes24.com/24/Goods/59228398?scode =008_001

























서비스 오스트레일리아(Services Australia)가 3,000명의 인력을 충원할 예정이 다. 이 기관이 담당하는 센터링크 및 메디케어의 통화 대기 시간을 단축하고 서비 스 질을 개선하기 위해서다.
빌 쇼튼(Bill Shorten) 정부서비스장관은 서비스 오스트레일리아에 이미 800명 의 직원이 채용됐으며, 남은 2,200명도 최대한 빨리 충원할 계획이라고 일요일(5 일) 밝혔다. 쇼튼 장관은 "새 직원들은 통화 대기 시간을 줄이고, 정부 지원금 지 급 속도를 높이며, 호주인들이 바쁜 일상에서 시간을 되찾는 데 중요한 역할을 할 것"이라고 말했다.




지난달 상원에서 서비스 오스트레일리아는 센터링크가 2023년 7월부터 8월까지 발신자에게 약 280만 건의 통화 중 메시지를 보냈다고 밝혔다. 이 기관은 센터링 크 통화 대기 시간이 상당히 늘어났으며, 수신된 전화의 4분의 1도 응답하지 못했 다고 인정했다. 2022-23 회계연도 동안에는 걸려 온 4,100만 건의 전화 중에 900 만 명 이상(22%)의 발신자가 '통화 혼잡 메시지(congestion message)'를 받았 다. 이러한 문제는 노령 연금, 구직수당, 육아 수당 등의 정부 지원금 지급이 지연 되는 결과를 낳았다.
연방정부의 2억 2,800만 달러 즉각 자금 지원 일환인 이번 정책은 로보데트 (robodebt) 로열커미션(호주식 특검)의 권고사항을 이행하기 위한 작업이기도 하다.
쇼튼 장관은 야당이 정부를 운영할 때 "불법적인 로보데트
qldkoreanlife.com.au qldkoreanlife



7월에 발표된 로보데트 로열커미션 보고서는 연방정부에 고객의 특정 상황을 고
려한 쉽고 효율적인 온라인, 대면 및 전화 참여 선택권을 보장할 것을 권고했다. 보
도에 따르면, 이번 인력 충원 전에 서비스 오스트레일리아는 전임 정부의 3,800명
감원 후에 1인당 공무원 수가 가장 적은 상황에 놓여 있었다고 한다.
야당 정부 서비스 담당인 폴 플레처(Paul Fletcher) 하원의원은 쇼튼 장관이 통화
대기 시간 문제를 방치해 놓고, 그 원인을 전 정부 탓으로 돌린다고 반발했다. 플
레처 하원의원은 정부가 직원을 채용하는 것이 아니라 성문(voice prints) 및 디
지털 비서 등의 실질적 개혁과 디지털 채널에 투자하여 서비스를 더 효율적으로
만들어야 한다고 주장했다.
녹색당의 재닛 라이스(Janet Rice) 사회 서비스 담당 의원은 이번 추가 채용은 취
약한 호주인을 위한 승리이지만, 센터링크의 상태는 여전히 재앙적이라고 지적했 다. 라이스 상원의원은 "사람들이 전화로 도움을 받을 수 없고, 제때 그들의 신청 이 (센터링크에서) 처리되지 않는다면, 그것은 요금 청구액이나 임대료를 납부할 수 없거나, 끼니를 챙길 경제적 여력이 없다는 것을 뜻한다"고 말했다.
운전자
중
음주 운전, 실제 적발 사례는 14% 불과
음주를 하는 호주 운전자 10명 중 1명 이상은 법적 혈중 알코올 농도 기준을 초과한 상태에서 운전을 한 경험이 있는 것으로 드러났다.
수요일(1일) 발표된 NRMA 보고서에 따르면, 이 조사에서 음주자인 운전 면허 소지 자 12%는 음주 한도를 초과한 상태에서 운전을 한 적이 있다고 인정했다. 이에 더 해 응답자 17%는 음주 한도를 초과할 가능성이 있는 상태에서 운전대를 잡은 사실 이 있다고 고백했다. 응답자 3명 중 1명은 전날 밤 술을 마신 후에 음주 한도를 초과 한 상태에서 다음날 운전한 적이 있다고도 했다.
NRMA 회원 3,300명을 대상으로 실시한 이 조사의 결과는 뉴사우스웨일스주 (NSW)에서 올해 음주 관련 사고로 인해 35명이 사망한 것으로 집계된 가운데 나왔 다. 음주 운전을 인정한 사람 중에 도로 음주 측정으로 적발된 적이 있다고 답한 사 람은 14%에 불과했다.
게다가 조사 대상자의 대략 절반(45%)만 지난 6개월 동안 음주 단속을 받은 적이 있었다. 지난 7~12개월 이내에 도로 음주 측정을 요구 받았던 경험이 있는 응답자 는 4분의 1(23%) 정도였다.
NRMA 대변인 피터 코리(Peter Khoury)는 NSW의 도로 통행료가 작년보다 24% 증가한 상황에서 음주 운전자 단속에 급진적인 변화가 필요하다고 밝혔다. NRMA 는 운전 면허 소지자당 매년 최소 1.1건의 음주 검사를 받아야 한다는
- 한국내 �성급호텔, 레스토랑,





▪ 최고의�품질관리 / 엄선된�고급양고기 ▪ 빠른배송으로�고객만족도�최상 '검증된�양고기�전문기업' '호주�직판연결'


프랜치랙 �kg 양�한마리�세트 �.�kg
(단품, 선물세트) 주문/문의 0431 54 00 56




























































by 조인후 / 브런치

최근 몇 년 간 다양한 사람들
을 만나 인터뷰를 하거나 가
벼운 커피챗을 나눌 기회가
많았다. 대부분은 밝고 긍정
적인 에너지를 발산했다. 아
주 사소하고 사적인 주제에
대해 대화해도 매우 흥미로
웠다. 하지만 때로는 대화가
잘 흘러가지 않는 상대방을
만나기도 했다. 그들과 대화
하면서 느낀 불편함의 원인
을 파악하려고 했는데, 생각
보다 간단한 부분에서 답을
찾았다. 그들이 공통으로 했
던 말은 단순하지만 진한 인
상을 남겼다.
“
"직장에서 프로젝트를
맡아서 실패한 적이 한 번도
없어요."
꽤 대담한 발언인데 목소리에
미세한 흔들림조차 없던 것으
로 보아 정말 그렇다고 믿거
나 평소 자주 그런 발언을 하
는 것 같았다. 오늘 처음 통성
명을 한 사이인데 저런 말을
아무렇지도 않게 내뱉는 것
이 신기했다. 그의 발언 덕분
에 그와 나 사이에 놓인 테이
블의 크기가 무한대로 늘어나 테이블 양 끝에 서로 마주하 고 있는 것 같은 거리감을 느 꼈다.
그런데 한 명이었으면
기심이 발동했다.
'도대체 어떤 직장 생활
을 하면 눈 하나 깜빡이 지 않고 저런 말을 할 수 있을까?'
이들의 직장 환경과 경력은
각기 다르기 때문에 더욱 궁
금해졌다. 한 분은 들으면 알 만한 글로벌 기업과 국내 대
기업에서 두루 걸친 화려한 경력을 갖고 있었다. 그런데 어떻게 이렇게 큰 규모의 조
직에서 근무하며 단 한 번도
프로젝트가 실패한 적이 없을
수 있을까?
다른 한 분은 비교적 인지도
가 낮은 스타트업들에서 주로
근무하였고 평균 근속연수가
1년 미만이었다. 그가 주장한
대로 자신이 맡은 모든 프로
젝트가 성공하였다면 나는 왜
그가 근무했던 스타트업과 그
들의 서비스나 수익모델에 대
해 한 번도 들어본 적이 없는
걸까? 그들의 이러한 발언을
하는 근간에 대해 고민해 봤
다. 크게 세 가지 경우를 생각
해 볼 수 있다.
첫째, 그들은 자신이 맡은 프
로젝트가 낮은 난이도를 가지
거나 성공의 기준이 매우 관
대한 프로젝트일 가능성이 있
다. 이런 경우, 그들은 도전적
인 프로젝트를 회피하고 안
정적인 프로젝트를 선호함
으로써 실패의 위험을 최소 화한다.
둘째, 그들은 프로젝트가 실
패했을 때 다양한 변명과 핑
계를 대며 책임을 회피한다.
또한, 프로젝트 목표를 달성
하지 못했어도 "노력한 것만
으로도 성공"이라고 스스로
되뇌이며 성공이라고 주장 한다.
셋째, 그들은 프로젝트가 어
려워지면 중도에 포기하거나
퇴사한다. 그리고 나서는 그
프로젝트가 존재하지 않았던 것처럼 행동한다. 즉, 프로젝 트의 결과를 확인하지 않았기
때문에 실패도 성공도 아니라


고 주장한다. 이런 사례는 투 자업계에서도 흔히 볼 수 있
다. 예를 들어, 투자 결과가 좋
지 않을 것 같다고 판단되면
손실이 확정되기 전에 퇴사하
여 자신의 평가나 성적에 영 향을 미치지 않게 하는 것이 다. 우리 사회에서는 실패를
인정하면 본인뿐만 아니라 관 련된 이해관계자들도 부정적
인 영향을 받는 경우가 많다.
따라서 아쉽게도 실패를 인정 하는 것보다 성공으로 포장하
는 것이 저항감이 적고 쉬운 선택이 되곤 한다.
'그래서 그들은 어떻게 되었냐고?'
첫 번째 분은 굳이 직접 묻
지 않아도 언론을 통해 근황
을 유추할 수 있었다. 매체에 따르면 그가 주도하는 사업
은 최근 사업의 수익성을 개 선하는 과정에서 상당한 진통 을 겪고 있다. 그분은 이 부분
에 대해서도 실패가 아닌 의
도된 작은 성공이라고 하실지 도 모르겠다.
두 번째 분은 의욕 있게 프로
젝트를 자신이 진두지휘하겠
다고 나섰지만, 예정일이 훨
씬 지난 지금도 정식 론칭 소
식이 들리지 않고 있다. 그의 직장 동료에 따르면 예상치
못한 변수가 계속 발생하자
의욕이 많이 꺾였다고 했다.
어쩌면 그 역시도 프로젝트가
실패로 판정되기 전에 퇴사할
지도 모를 일이다.
결국 실패를 모른다던 분들은
지금 쓰디쓴 실패의 잔을 들
이키고 있다. 이쯤 되면 그들
역시 실패로부터 결코 자유로
울 수 없다는 것을 깨달았을
까? 정말 주위에 공감을 끌어
선망하고 닮고 싶어 하기 때문이다. 남아프리카 공화국의 흑인 민 권 운동가이자 세계적으로 존 경받았던 남아공 최초의 흑인 대통령인 넬슨 만델라가 이런 말을 했다.
“
"인생의 가장 큰 영광은 절대 넘어지지 않는 데 있는 것이 아니라 넘어질 때마다 일어서 는 데 있다."
실패를 부끄럽게 생각하고 숨 기려 하지 말자. 실패만큼 우 리를 성장시키고 성공으로 이 끄는 지름길은


코리안라이프





by 분꽃 / 브런치
거울 보기가 무섭다

난 찍히는 사람이 아니라 찍는 사람이다.
우리 집에서 외모순위 4순위인 나는 나름 귀엽다는 말을 듣고 살았지만
나이 오십이 넘고 나니 이도저도 아니다.
귀여울 수도 없고 예쁠 수도 없는.
거울공주는 아니지만 그래도 편하게 거울을 보고 싶다.
나를 보고 흠칫 놀라는 건 정말이지 마음이 상한다.
보조개 옆 볼살이 쳐 저서 얼굴라인이 울퉁불퉁 해지고 염색하기 싫어
모자를 눌러쓰면 뭐 하냐고. 귀밑머리가 희끗거리는데.
‘조금 덜 예쁘자’던 주문도 나름 괜찮았을 때의 먹히는 주문이었나 싶다.
두 주 전에 청주 메밀밭에 갔었다.
지금도 이상하게 마음이 설레는.
너무나 수수하게 생긴 메밀꽃을 보면서 마음이 뭉클했다.
메밀꽃을 보면 눈물이 난다던 지인의 말이 이제야 들렸다.
어느새 두 손가락으로 잡아지는 머리 숱.
얇아진 머리칼로 초라해지고
자꾸 도드라지는 팔자주름이 유난히 신경 쓰이고
슬금슬금 광채를 잃어버려 모든 게 탁색이 되어버린 나.
하지만 나같이 생긴 메밀꽃이 모이고 모여 우아함을 품었다.
편안함을 지켰다.
프사를 메밀꽃으로 바꿨다.
절대 꽃이나 단풍.
나이가 더 들어 손주손녀 사진으로 프사를 올리진 않겠다고
맘먹었는데 가끔씩 이렇게 잊곤 한다. ㅎㅎ
거울 보기가 싫은 지금.
잠시 나보다 예쁜 꽃들을 세웠다가 나로 다시 돌아가리라.
나의 급작스런 변화를 당황하지 않고
우아하게 받아들이는 그날이 되면.









1. 몹시 마음을 쓰며 애를 태움
3. 냄새를 없애는 데에 쓰는 약제
5. 헝겊으로 길고 크게 만든 주머니
7. 귀한 손님을 위하여 특별히 마련한 방 9. 쳐서 깨뜨려 뚫고 나아감 10. 상품에 일정한 값을 매김 11. 굵은 밧줄 13. 최남선의 호
14. 어떤 일에 의심을 품는 것
16. 하여 온 일의 결과로 얻은 실적
18. 둘레의 가장자리
19. 은행이나 법인에서 하는 투자
1. 길에서 한뎃잠을 자는 사람
2.피부 위에 낟알만 돋은 군살
3.옷을 벗거나 갈아입는 방
4.춘추 전국 시대의 여러 학파
6.빨간 코 사슴
8.비어 있는 사이
10.사리에 맞아 옳고 정의로운 성질
11.돈키호테가 타고 다니던 말
12.착한 마음. 좋은 뜻
14.때릴 때에 쓰는 가는 나뭇가지
15.어떤 일을 하기에 알맞은 나이가 된 때
17.어떠한 임무나 일에 알맞은 사람

















불안감은 인간 누구에게나 있는 것인데 불
안감을 잘 처리하지 못함으로 관계의 어려
움이나 정서적인 장애와 고통을 경험하는 경
우가 많다. 어린 시절에 버림을 받았던 경험
이 있거나 큰 트로마를 겪은 사람들은 그렇
지 않은 사람들 보다 더 깊은 불안감을 경험
하기가 싶다.
한 여성 분은 어린 시절 일찍 부모님을 여의
고 스스로의 삶을 개척해야 했다. 자신의 삶
을 돌봐주셨던 조부모님이 계셨지만 늘 마
음에 미래에 대한 불안감과 염려가 있었고
그 염려와 불안감은 미래에 대해서 준비하
고 삶에서 늘 전투적으로 살아가는 모습으
로 분주함으로 나타났지만 너무 열심히 살
다 보니 삶의 어느 순간 탈진을 경험하게 되
어 우울증과 육체의 연약함으로 고생을 하
게 되었다.
이런 불안감은 정도에 따라서 나타나는 반응
이 다를 수 있는데 친밀한 관계에서 애착으
로 불안감이 나타날 경우 상대방을 힘들게 하는 경우가 많다.
예를 들면, 마음이 불안한 아내는 계속 남편
에게 매달리며 남편이 반응을 잘 해 주지 않
을 경우 남편에게 격노를 표현해서 자신의 불
안의 원인을 남편에게 돌리면서 남편을 원망
하게 되고 더욱 매달리고 화내는 모습이니, 늘 매달리고 불평하고 자신만 바라보는 배우
자 때문에 숨이 막히는 남편은 점점 집에 들 어가기가 싫어지고 아내와 부딪히는 것을 자 꾸 회피하게 된다. 두 사람의 관계는 ‘매달리
는 자’와 ‘회피하는 자’의 패턴으로 굳어져서
서로에게 상처를 주는 외로운 관계를 맺게 되 는 것이다.
불안감은 또한 많은 사람들에게 중독의 문제
를 가지게 하기도 한다. 어떤 사람은 불안감
을 먹는 것을 통해서 해결하려고 든다. 저자
만 해도 스트레스를 받을 때는 초콜릿을 찾
게 된다. 그런데 이 증상이 심해질 때 폭식 증
에 걸리기도 한다. 톰킨스(Tomkins)는 음식
물을 공허감을 대신하는 매체로 보았는데 그
런 경우를 다음처럼 표현했다.
“그가 내면의 공허감을 느꼈을 때 누군가에 게 굶주렸지만 그는 절망적으로 닫혀져 있
다. 그는 남에게 원해지고 존경을 받기를 원
하지만 자신을 수치스럽게 여겨서 이런 감정
표현하는 것을 부끄러워하기에 대신 남을 의
식하지 않는 대용물로 먹을 것을 찾는다.” 관
계에서 느끼는 불안감을 사람들에게 표현하
기를 어려워하는 사람이 음식을 통해서 정
서적 불안감을 해소한다는 것이다. 그 외에
도 사람들은 불안감을, 안정감을 주는 돈에
집착하는 것, 어떤 활동들 또는 쾌락에 집착
하는 것, 끊임없이 말을 하는 것, 물건 사재기
등으로 채우기도 한다.
그렇다면 인간에게 있는 불안감을 어떻게 처
리해야 할까?
먼저는, 있는 그대로 수용하고 받아들이는 자세가 필요한 것이다. 근본적으로 우리 인
간의 실존적 현 주소를 아는 것이 필요하다.
엄마와 하나였던 관계에서 벗어나 홀로 이 세상에 태어난 순간부터 인간은 미래를 알지
못하고 불완전한 존재로 살아갈 수 밖에 없
음을 인정하고 받아들이는 것이 필요하다.
이것을 영적으로 볼 때는 타락한 세상에서
온전함을 주시는 하나님과 분리된 삶을 살
아가는 인간은 불안함과 고통을 겪을 수 밖
에 없다는 것이다. 다른 말로 하면 실수하고
염려하고 불안해하는 나의 인간적인 모습이
삶의 한 부분이고 정상임을 받아들여서 수치
감과 같은 연약함을 숨기거나 너무 완벽하려 는 거짓된 모습을 버리는 태도가 필요한 것 이다. 나의 연약함을 있는 모습 그대로 인정
하고 바라보는 자세가 필요하다.
두 번째로, 절대적인 안정감을 주는 하나님을 의지하는 것이 필요하다. 그 분 안에서 인간
에게 필요한 근본적인 안정감과 가치감의 필
요를 채우고 ‘의미’를 발견하는 것이다. 많은
사람들이 자신의 가치를 또 다른 불완전한 인 간을 통해서 채우려고 하기에 늘 채워지지 않
는 갈급함과 목마름이 있다. 배우자를 통해서
또는 부모나 친구를 통해서 채우려는 정서적 필요를 온전한 하나님을 통해 채우는 것이다.
삶의 영적인 의미를 발견하는 것이 불안감을 해소하는데 큰 도움이 된다.
세 번째로는 긍정적인 태도다. 불안감을 늘 가져다 주는 세상을 부정적으로 허무적으로
바라보는 것이 아니라 불안하고 모르는 미 지의 미래를 도전할 수 있고 무한한 가능성 이 있는 밝은 미래로 바라보는 것이다. 즉 미
래에 대한 ‘낙관주의’를 개발하는 것이다. 이
것은 기독교적으로
보면 ‘성경적 낙관주 의’다. 그리스도 안
에서 소망을 발견한
자가 꿈꾸고 바꾸어 나가는 도전적인 미
래로 바라보는 것이 다. 사람은 불안감을 느끼면 자주 허무주

의에 빠지고 상황을 자꾸 부정적으로 해석 하고 표현하게 된다. 그러다 보면 미래에 대 해서도 소망을 가지지 못하게 된다. 혹, 그런 자신이 발견된다면 자신의 언어 습관을 긍정 적인 것으로 바꾸어 나가고 부정적인 생각을 자꾸 긍정적인 생각으로 바꾸어




























곽석근
과거에 자동차 대신, 마차가 장
거리를 이동할 때 사용되는 유
일한 대중교통 수단이었던 서
부 시대 이야기입니다. 마차를
이용해 장거리를 이동할 때, 마
차를 이용하는 손님들은, 일등
석에 앉는 손님, 이등석에 앉는
손님, 그리고 삼등석에 앉는 손
님이 있었다고 합니다.
현재 비행기 좌석에도 구분이
있는 줄 압니다. 퍼스트 클래
스, 비즈니스 클래스, 이코노
미 클래스로 구분합니다. 구
분 이유는 좌석요금에 따른 것 입니다.
그런데 마차의 일등석, 이등석, 삼등석을 나누는 기준이 흥미
롭습니다.
일등석은 마차를 타고 가는 도
중 바퀴가 고장이 나도, 그대로
좌석에 앉아 있는 사람, 이등석
은 고장이 나면 마차에서 내리
기는 하지만, 고쳐질 때까지 기
다렸다가 다시 타는 사람, 삼등
석은 고장이 나면, 내려서 마부
와 함께 팔을 걷어 부치고, 땀
을 흘리며 바퀴를 고쳐야 하는
사람입니다.
만약 여러분이 이 마차의 마부
라면, 여러분은 어떤 손님들에
게 우선적인 관심을 가지시겠
습니까?
요즘이야 당연히 일등석을 신
청한 손님에게 더 많은 서비
스를 제공하고, 더 많은 관심
을 가지겠지만, 서부 시대의 마
부는 오히려 삼등석을 신청하
는 손님들에게, 우선적인 관심
을 가졌다고 합니다. 왜 그랬을
까요? 일등석이나 이등석을 신
청하는 손님들은, 장거리를 여
행하는 동안, 자신과 함께 일할
사람이 아니었기 때문입니다.
그러나 삼등석으로 신청을 하
그래서 여행을 떠나기 전, 삼
등석에 앉을 사람들, 함께 일 할 사람들은, 꼭 자신의 마음에 맞는 사람으로 자리를 채웠다 고 합니다.
마부의 마음에 맞는 사람은 누 구일까요? 부자보다는 적어도 마차의 바퀴를 고칠 때에 같이 손을 걷어붙이고 기름을 묻히
며 그 일을 함께 할 수 있는 사 람일 것입니다.
위 본문구절에서 가장 마음
에 와닿는 단어는 “마음에 맞
는 사람” 이란 단어입니다. 빛
과 소금이라는 잡지에서 이 단
어에 대하여 설명하기를, 영어
성경에서 찾아보니 '합하였다'
는 단어로 'testified'가 나옵니
다. 이 단어의 뜻은 '증명하다'
라는 뜻으로 'test'(시험) 에서
파생된 단어입니다. 그러므로
'합하였다'라는 뜻은 '여러 번
의 test를 통하여 입증된'이라
고 설명할 수 있다고 합니다.
란만장합니다. 다윗은 형제들 가운데 천덕꾸러기 취급을 받 았습니다. 사무엘로부터 왕의 부름을 받을 때에도 형들은 아 버지가 불렀는데, 다윗은 그 시 간에 양을 돌보고 있었습니다.
아버지 이새의 생각에도 다윗 은 해당이 안된다고 생각한 것 입니다. 그러할 정도로 집안에 서도 다윗은 인정을 받지 못하 였습니다. 나중에야 사무엘이 다른 아들이 없는 지를 찾았 고, 그때에 다윗은 불려져서 사 무엘 앞에 서게 됩니다.
다윗은 사무엘로부터 기름부 음을 받은 이후에 바로 왕의 자 리에 오르지 못했습니다. 이는
사울이 이미 왕으로 있었고, 그 는 강력한 군대를 거느리고 있
었기 때문입니다. 다윗이 이스
라엘의 왕으로 즉위하기까지
무려 20년이라는 세월이 필요 하였습니다. 13년은 사울에게 쫓겨 다녔으며 쫒겨다닌 기간
은 헤브론에서 유다를 다스리 는 반쪽 왕이었습니다. 다윗은 20년이라는 긴 세월 동안 왕이 되기까지 갖가지 장애물과 시 련들을 겪지 않으면 안 되었 습니다.
정리해보면, 하나님께서는 다 윗을 어렸을 때부터 '이스라 엘 왕'으로 생각하셨습니다. 그
의 어린시절부터 왕에 이를 때 까지 많은 test 하셨던 것 같습 니다. 시간이 지나 다윗의 신앙 은 성숙해지고 드디어 하나님 께서는 다윗에게 '합격' 싸인을 내리셨습니다. 드디어 12지파
의 인정받는 왕의 자리에 오르 게 됩니다. 다윗에게 있어서 이 러한 test 의 기간은 고난이기
도 했지만, 오히려 하나님만을 더욱 의지하는, 동행하게 만드
다윗에게 있어서는 절 대적인 삶의 방식이었던 같 습니다. 우리도 다윗처럼 신앙생활을 하면서 하나님께 test를 받습 니다. 이러한 test는 우리의 신앙을 넘어지게 한다기
는 사람은, 마부에게 참으로 중 요한 사람이었습니다.
는 기간이기도 하였습니다. 물 론 합격을 받고 왕이 된 이후에 도 여전히 인생으로서의 부족 함과 연약한 모습을 보였습니 다. 그 대표적인 것이 바로 우 리아의 아내 밧세바를 취한 사 건입니다. 그럼에도 불구하고 하나님의
그러고 보면, 다윗의 일생은 파
동안에 심지어 이방인의 왕인, 가드 왕 아기스 앞에서 미친 척 연기를 한 적도 있습니다. 7년
흔히들 복근 운동하면, 식스팩을 만들기 위한 강도 높은 운동을 떠올리기 쉬운데요.
막상 초보자들이나 허리가 약한 분들이 그런 운동을 따라하려다 보면, 괜히 어렵기만 하고 자극도 제대로 느끼지 못하고 허리만 아프게 되는 경우가 상당히 많습니다. 최근 제 유튜브에 초보자들을 위한 저자극 운동 루틴들이 시니어들과 운동 초보자분들에게 좋은 반응을 얻고 있어요.
그래서 오늘은 허리와 목을 안전하게 보호하면서 누구나 부담없이 따라할 수 있는 코어운동과 스트레칭 루틴을 함께 소개해 드릴게요. 제 유튜브 채널 ‘요가읽어주는 여자 hayeon’에서 (DAY2) 십분요가 | 허리통증 없애주는 마법의.. 편을 찾아 따라하시면 어렵지 않고 지루하지 않게 운동하실 수 있을 거예요.
복근 운동 전 웜업
STEP 1. 앉은 상태에서 등을 동그랗게 말고 (고양이 자세 변형) 복부를 강하 게 수축합니다.
STEP 2. 들숨에 척추를 다시 펴고 날숨에 다시 고양이 자세로 돌아와 배꼽을 등쪽으로 끌어당겨주세요.
STEP 3. 위의 두 단계를 5회 이상 반 복합니다.
STEP 4. 본격적인 코어운동을 위해 등을 바닥에 대고 누워 준비 합니다.
TIP! 복부의 긴장은 유지하되, 목 과 어깨는 긴장하지 않도록 주의해주세요.

누워서 하는 허리에 안전한 코어 복근 강화 운동
STEP 1. 척추를 바닥에 완전히 밀착하고 누운 상태에서 두 무릎을 접어 발을 바닥에서 떼어줍니다.
STEP 2. 왼다리를 앞으로, 왼팔은 머리 너머로 뻗어주고 오른 손으로 오른 허 벅지 앞을 밀어주고 다리는 손을 저항합니다.
STEP 3. 다시 제자리로 돌아와 반대 팔과 다리를 뻗어주고 손과 허벅지를 서 로 밀어내 줍니다.
STEP 4. 영상 속 저의 큐잉에 맞춰 방향을 바꿔주며 반복하세 요.
TIP! 허리가 바닥에서 뜨지 않게 계속해서 복부의 힘으로 등 과 허리를 바닥으로 밀어냅 니다.


코어 및 둔근 (하체 근력)강화
STEP 1. 두 발을 엉덩이 너비로 벌려주고 무릎을 세운 후, 천천히 엉덩이를 바
닥에서 떼 올려줍니다.
STEP 2. 들숨에 다시 바닥으로 내리고 날숨에 엉덩이를 수축하며 발꿈치도 함께 올려주세요.
STEP 3. 허리에 부담이 가지 않도록 복부의 힘을 이용해 업다운 을 반복합니다.
STEP 4. 영상 속 저의 속도보다 더 천천히 가도 상관없으니 나 의 페이스에 맞춰 진행하면 됩니다.
TIP! 엉덩이를 올릴 때 배가 위 로 볼록 나오지 않게 배꼽을 더 등쪽으로 끌어당겨 주셔 야 해요.

어깨와 목 긴장 완화
STEP 1. 영상 속 다른 운동들까지 모두 마친 후 쿨다운 스트레칭까지 꼭 해 주세요.
STEP 2. 사진과 같이 테이블 탑 자세에서 한쪽 어깨와 팔을 바닥에 대고 반대 편 손을 바닥으로 밀어내 어깨와 가슴 앞면을 늘려줍니다.
STEP 3. 뻐근한 허리와 가슴, 어깨, 팔까지 이완되는 걸 느껴봅니다.
STEP 4. 깊은 호흡으로 두 방향 모두 진행해주세요.
TIP! 손으로 바닥을 밀어내면 낼 수록 자극은 더 깊게 올 거 예요. 오늘 나의 컨디션에 맞춰 안전하게 트위스트 해 줍니다.

요가티처/요가풀니스라이프(Yogafulness Life) 대표

https://bit.ly/3w9ks4u (KOR)
https://bit.ly/SubscribeToYogasong (ENG) yogafulnesslife

이메일 : connect@yogafulness.life
홈페이지 : www.yogafulness.life

인스타그램

https://instagram.com/yogasong_hayeon
반려견은 가족과 함께 즐거운 시간을 보내는
중요한 구성원 중 하나이다. 그중에서도 활
동량이 많은 강아지는 대체로 에너지 넘치고
애교 많은 성격으로, 주인과 함께 다양한 활
동을 즐길 수 있는 훌륭한 반려견이다. 이들
의 건강을 유지하고 활발하게 지내기 위해서
는 충분한 운동량이 필요하며 이를 위해 주
인들은 더 많은 책임감을 가지고 키워야 한
다. 매일매일 산책과 운동이 필요한 활동량
이 많은 강아지 10종을 소개한다.
비글
후각이 뛰어나 마약 탐지와 같은 활동에 능 한 비글은 오랜 역사 동안 사냥개로 활동해
왔다. 느긋한 성격을 가지고 있으며, 쾌활하
고 장난꾸러기 같은 모습에 ‘악동견’이라는
수식어로 불린다. 비글은 다른 품종과 비교
했을 때 월등히 높은 활동량과 왕성한 호기
심을 가지고 있어, 아파트나 다세대주택과
같이 막힌 공간보다는 넓은 마당이나 놀이
공간을 확보한 단독주택에서 키우는 것이 적합하다.
시베리안 허스키
무섭고 시니컬한 외모와는 대조적으로 사
실 매우 순하며 장난기가 많은 성격을 가지
고 있는 시베리안 허스키는 주로 사람을 좋
아하고 주인을 따르는 믿음직한 반려견으로
알려져 있다. 예전부터 썰매견으로 활동해
왔기 때문에 활동량이 아주 많다. 하루에 최
소 2시간 이상 산책을 시켜서 체력을 소모하
고 활발함을 유지해주어야 한다. 또한 산책
이외에도 주기적으로 고강도의 운동을 해줄
필요가 있다.
보더콜리
뛰어난 지능과 엄청난 끈기를 자랑하는 견
종으로, 민첩성과 균형 잡힌 몸매를 가지고
있어 어떤 훈련이나 활동도 잘 배우며 즐긴 다. 프리스비나 수영과 같은 운동을 잘하며
활동량이 높기 때문에 매일 충분한 운동이
필요하다. 따라서 산책, 뛰어놀기, 지적 게임
등의 활동을 통해 만족시켜 줘야 하며, 이런
운동과 훈련을 좋아하는 견주가 키우는 것
이 좋다. 또 보더콜리는 주인에게 헌신적이 고 충성스러워 반려견으로 인기가 높다.
골든 리트리버
온순한 성격의 골든 리트리버는 순한 강아지로
도 유명해 해외에서도 인기 있는 반려견이다.
세계 견종 지능 4위를 차지할 정도로 명석하여
장애인 안내견으로도 정말 많이 볼 수 있다. 사
람을 좋아하는 성격으로 충성심이 높고 어린아
이와도 깊은 유대감을 형성한다. 활동량이 많고
가만히 있는 것을 싫어해 에너지를 꾸준히 해소
시켜 줘야 한다. 하루에 3~4번 정도의 산책과 놀 이를 통해 활기찬 에너지를 유지하도록 관리하 는 것이 중요하다.
시바견
‘시바’란 일본어로 ‘작은 것’을 뜻하며 일본의 천 연기념물로도 지정된 견종이다. 일본에서 작은
야생 동물을 사냥하기 위해 개량되었으며 현재
일본에서 가장 많이 기르는 반려견이다. 운동량
이 많아 하루에 꾸준한 산책이나 운동이 필요하
며 뛰어다니는 것을 좋아하기 때문에 자유롭게
활동할 수 있는 넓은 공간이 필요하다. 활동량
이 부족하면 스트레스를 느낄 수 있고 기분이 하
락할 수 있어 적절한 관리와 운동이 중요하다.
저먼 셰퍼드 도그
다른 견종에 비해 뛰어난 후각과 침착한 성격
을 지니고 있어 군견, 수색견 그리고 마약 탐지
견으로도 널리 활동한다. 활동량이 많은 대형견
중 하나로 매일 2시간 정도의 산책과 1시간 내
외의 격한 운동을 권장한다. 충분한 활동을 제
공하지 않으면 물건을 파괴하거나 짖는 등의 공
격적인 행동이 나타날 수 있다. 신체적인 활동
뿐만 아니라 머리를 쓸 수 있는 정신적인 활동
도 중요하며 퍼즐 토이나 훈련 시간을 통해 지
적 자극을 제공해야 한다.
웰시코기
짧은 다리와 솟은 귀가 매력적인 견종으로 원래
는 농장에서 소나 양을 몰던 목축견으로 활약했 다. 이 활동적인 습성 덕분에 짧은 다리임에도 불구하고 빠르게 움직이는 것이 특기이며 활동 량이 왕성하다. 따라서 웰시코기를 키우는 경우

실내 활동이 아닌 바깥에서 산책과 운동을 주기 적으로 해줘야 한다. 그러나 짧은 다리로 인해 유전적으로 관절 문제가 발생할 수 있으므로 과 한 달리기나 등산은 자제해야 한다.
도베르만 진한 검은색 모색에 훤칠한 체형을 가졌으며 근 력이 강한 대형견이다. 높은 활동량을 가지고 있기 때문에 충분한 운동 공간이 필요하며 아파 트에서 키울 경우










주브리즈번
민원실 운영시간 연장 및 온라인 방문예약제 폐지( 시행 2023 11 1 )
1. 민원실 운영시간 연장 ( ) 주브리즈번출장소는 수 부터 2023 11 1 ( ) 퀸즈랜
드주 거주자 및 여행객 등에 대한 민원 접수 등 민 민원서비스 확대를 위하여
민원실 운영시간을 아래와 같이 연장하오니 출장소 방문 전에 미리 확인하
시어 민원 접수 등에 착오없도록 하여 주시기를 바랍니다.
● Tel. 3879 1382 ● Mob. 0418 883 377
● Fax.3879 1382 ● E-mail. hhpak1043@naver.com
● ABN 92362726522 ● 29 Simpson Way Forest Lake Qld 4078
친애하는 경로회원 여러분!!
오지 않는다.)는 유명한 명언을 남겼습니다..
호주에서는 11월은 녹음방초 성하는 청춘의 계절입니다.
연장 전 월요일금요일 오전 오후
o : - 09:30-12:00 / 13:00-15:00
o 연장 후 월요일 금요일 오전 오후 : - 09:00-12:00 / 13:00-16:00 - 단 민원 접수 및 처리 소요시간 및 근로기준법 한국 및 노동법 호주 에 ( ) ( )
따른 중식시간 준수를 위해 민원인 여러분들께 아래와 같이 협조하여
주실 것을 당부드립니다
* (오전 민원 접수시) 까지 민원실 입실 번호표 출력 11:30 ( ) 분 이후 도착시 이후 입실 후 접수 요망 - 11:30 13:00
* (오후 민원 접수시) 까지 민원실 입실 번호표 출력 15:30 ( ) - 분 이후 도착시 익일 다음 날 등 입실 후 접수 요망 15:30 ( )
2 온라인 방문예약제 폐지 ( ) 상기 민원실 운영시간 연장과 함께 출장소는
온 온라인 방문예약제도 수 부터 폐지 2023 11 1 ( ) 하오니 민원인 여러분들께서는
사전에 출장소 홈페이지를 통해 서류식등을 미리 작성가능시해 사진필요 () ()( 시등을 지참하여 민원실 운영시간에 사전 예약없이 편리한 시간대에 출장소 )
를 방문하시면 언제든지 민원서비스를 받으실 수 있으니 참고하시기 바랍니다
또 또한 민원사진 촬영 부스를 설치 월중 합니다 3 (12 )
그 외에도 민원서비스 확대 및 확충을 위한 노력을 진행 중인 바시행전 공지드리겠습니다 ,
동포 여러분들의 지속적인 성원과 협조를 부탁드립니다감사합니다
주브리즈번출장소
퀸스랜드주 한인회비
퀸스랜드주 한인회는 많은 회원분들 의 회비로 운영되고 있습니다.
- 회비: 1인 $20 / 4인 가족: $50 - Bank: NAB - Account Name: The Korean Society of Queensland - BSB: 084 255 - ACC: 77 348 7068
송금하실 때에는 레퍼런스란에 본인의 한글 이름을 영문으로 적어주세요.
[ 2023년 상반기 한인회비 납부 ]
이선구 전 한인회장 가족 $50, 김은총, 김태성, 최경식, 박세진, 설청우, 김진성, 김웅도, 김형남 한인회장 가족 $50, 김찬호, 고동주, 서정 가족 $50, 권정식 $40, 이종일 가족 $50
골드코스트 한인회비
여러분들께서 납부해 주시는 회비는 골드코스트한인회의 운영과 교민사 회의 단합과 발전을 위해 쓰여집니다.
- 회비: 1인 $20
- Bank: BOQ
- Account Name: The Korean Society of Gold Coast Australia Inc
- BSB: 124 022
- ACC: 21549471
입금시 영문 성함을 꼭 기재해 주세요.
[ 2023년 7월1일~2024년 6월 30일 ]
지상의, 김춘임 부부 $50, 김술람, 최인숙, 김치은 부부 $50, 이순자 $50, 김광수(전예순) $50, 이세라, 손남순, 최원, 민광기(장희옥), 김창수(한승자), 조성진, 박찬식(조혜숙), 안순례, 이종희(강영부), 김경식, 강태홍(김현영), 신명숙, 이하림, 선수 미(최곤), 김용화, 윤지현(이주혜), 김광연, 신명아, 안경자, 최동일(박은주), 이광분, 김경숙
도연명은 "盛年不重來 一日難再晟"(일생에 성년이 두 번 오지 않고 하루에 새벽이 두 번
"청춘이란 인생의 어느 한 기간을 말하는 것이 아니라 마음의 상태를 말한다고 합니다. 그 것은 장미빛 빰, 앵두같은 입술, 하늘거리는 자태가 아니라 강인한 의지, 풍부한 상상력, 불타 는 열정을 말한다고 합니다. 청춘이란 인생의 깊은 샘물에서 나오는 신선한 정신, 유약함을 물리치는 모험심을 의미한다고 하겠습니다. 때로는 20의 청년보다 60이 된 사람에게 청춘이 풍부하게 있습니다. 나이를 먹는다 하여 우리가 늙는 것이 아닙니다. 세월은 우리의 주름살 을 늘게 하지만 열정을 가진 마음을 시들게 하지는 못한다고 합니다. 아름다움 ,희망, 용기, 영원의 세계에서 오는 힘... 이 모든 것을 간직하고 있는 한 언제까지 나 늙어 죽기까지 우리는 젊음을 유지할 것입니다. 머리를 드높여 희망이란 파도를 탈수 있 는 한 80세가 넘었을 지라도 영원한 청춘의 소유자일것입니다. 우리 늙은이들도 연대기적 나 이에 관계없이 밭에서 금방 뜯어다 놓은 상추 잎처럼 싱싱하고 시들지 않는 11월의 청춘의 열기를 발산해 봅시다. 이번 모임에는 신영우 회원님께서 "자연 요법과 서양의학의 한계"에 관해서 건강 강좌를 하시겠습니다.
2023년 11월 모임은 아래와 같습니다.
- 일시: 11월 16일 (셋째 목요일) 오전 10시 30분
- 장소: Old Inala Hall (UBD M-218 F-5참조)
Corner of Rosemary St and Abellia St Inala (KEV Hooper Memorial Park인접) (100번 버스 이용), KFC에서 City가는 버스 방향으로 도보로 5분거리)
The Korean Senior Association of Qld Australia I N C 퀸스랜드주 한인 경로회 회장 박희문

아리랑 신입 회원을 모집합니다. (초보자 환영) 한국무용에 관심있는 분들 연락주세요. 한국무용 기본, 진도북춤, 부채춤, 태평무, 난타 (연습내용은 상황에 따라 달라질 수 있습니다)
- 요일/시간 : 매주 수요일 6.30pm - 8.30pm
- 장소 : 한인회관 (The Korean Society of Queensland) 1406C Beenleigh Rd, Kuraby QLD 4112
- 회비 : 준회원 40불 (매달) - (3개월후 정회원으로 전환 가능) 정회원 30불 (매달)
- 문의 : 단장 Christina (0433 725 065) | arirangqld@outlook.com
골드코스트 시니어 교실
강습 : 65세 이상 남,녀 (회비 $5)
일시: 매월 2, 4째 목요일 오전 10시 ~ 오후 2시
장소: 비전 장로교회
주소: 24-26 3/15 Jackman St, Southport
문의/상담: 골드코스트 한인회, 0418 763 186
주최: 골드코스트 한인회 / 주관: 골드코스트 시니어 그룹
ECCQ BBV & STI
B형 간염/C형 간염 문의 B형/C형 간염보유자 무료 간탄력도 검사 (FibroScan) - 비자에 상관없이 무료 담당자: 김미림
연락처: 0428 484 595 | korean@eccq.com.au 한국전통무용단 아리랑


02 9210 0200
02 9210 0216
02 9210 0215
총영사관-행정 02 9210 0218
주시드니 총영사관-민원 02 9210 0234
통화량이 많아 연결에 다소 시간이 소요될 수 있습니다.
관련 문의는 우선 총영사관 홈페이지 www.koreasydney.net을 참고해 주시기 바랍니다.
간판/인쇄/디자인
i-hub 0435 831 116
NB Signs - 간판, 인쇄, 디자인 0421 790 885
Sunny Creative 0412 840 533
건강식품/기념품
뉴질랜드 초록홍합,녹혈,녹용 캡슐 판매 0403 736 998
드림로드 양모, 한국이불 3209 5445
New Core 건강식품 3012 7886
SINI 건강 (써니뱅크점) 3344 7881
건축/인테리어/집수리
한국대사관 02 6270 4100 한국관광공사 02 9252 4147 광복회 호주지회 0452 188 070
긴급전화(경찰, 앰블런스, 화재) 000
Police Liaison Unit(한국어) 3364 3217 - 경찰업무 관련 한국어로 통화를 원할 때
Police Link 131 444 - 일반 경찰업무, 비자 분실 등
가정폭력 1800 811 811
여성상담센터 0425 252 372
성폭행 상담 3636 2414
수도 1300 366 692
독극물, 생명전화(24시간) 13 11 14
위기구호, 아동학대 1800 177 135 음주, 마약 3236 2414





가스 문의 13 12 53 / 13 62 62 (사고) 텔스트라 문의 125 111 / 1800 773 421(한국어)
13 14 50
대한무역진흥공사 02 9299 1790
Blue River Design & Construction 0478 709 032
Blue Whale Construction 0402 272 891, 0416 911 333
BL 핸디 홈 메인터넌스 0416 911 444
City Garage Doors 차고문 당일수리, 제작 0492 889 349
Dr 핸디맨 0478 833 415
G1 Painting 0450 959 010
Happy Blinds 0481 711 500
Hi Design & Construction 0430 900 630
J Plus Building Inspections 0422 773 031
K Total Construction 0466 127 884
KIM’S HOUSING 0411 097 908
NEXUS PLUMBING 0459 999 754
OkayPainting 0430 889 559
OneStop Bath & Tiles 07 3034 1075
Shop4, 655 Toohey Rd, Salisbury
SUNSHINE 블라인드 0481 148 692
Total Cabinet 3299 1978
교민단체
골드코스트 한인회 0418 763 186
대양주 한인회 총연합회 0427 566 474
월남전 참전자 전우회 퀸즐랜드지회 0411 378 391
재향군인회 퀸즐랜드 분회 0412 629 358
퀸즐랜드 주 한인회 3390 0024/ 0424 724 624
퀸즐랜드 한국 참전 유공자회 0414 295 709
퀸즐랜드 한인 골프회 0430 202 239
퀸즐랜드 한인경로회 0418 883 377/3345 1400
퀸즐랜드 ROTC 동문회 0415 695 635
퀸즐랜드 한인 비즈니스 협회 0408 889 792
퀸즐랜드 한인 오케스트라 0411 820 800
퀸즐랜드주 해병 전우회 0427 334 521
i-Care 0433 494 281 골프레슨
원성욱 프로 레슨 0402 598 961
Victoria Park Golf Learning Centre 한국어 0451 899 874
교육/학원/개인교습

김선생 수학 0430 127 992
탑원 바이올린 0424 783 353
피아노 전공자쌤 0478 548 500
피아노/망고힐/시드니콘석사 장학생













TOV Construction 0452 578 001











Vertex House Renovations 0403 420 467
WINDOW ART 3114 2145, 0490 537 244
세계대회1등 0433 309 331


WK Painting Services 0412 726 807









mih architect
건축사 0451 377 843




나이스 블라인드 3133 8330, 0421 594 083
대니 핸디맨 0402 299 915
백향건설 0434 763 843 / 0421 025 230
스타 블라인드 0430 715 906
에벤에셀 인테리어 0421 438 424
Simili Training Joseph Lee 0477 787 200
Ji Lee 0416 740 514

윈도우 아트 블라인드 0490 537 244

욕실 누수 전문(욕실 리모델링, 타일, 방수) 0452 471 080
콘솔 블라인드 0408 288 789
토넵 - 주방욕실 가구 전문 0478 616 026
ARCHIONE Design Builders 0402 533 628
Beauty Home Blind 0408 011 021
호주 라인 댄스 0401 812 610
CS Education 0402 855 802
EduPlanet College & QCM 3343 6343
Eight Mile Planes 유치원 3841 3350
Elite Tuition 0400 328 187(영 어) 0400 163 227(한국어)
LE SPA MASSAGE ACADEMY 3368 3362
Simili Training (건설현장 자격증
정부승인) 0477 787 200, 0416 740 514
SP 에듀케이션(하이스쿨, ATAR 대비) 3195 8532, 0411 168 007
Kevin Simili 0416 740 516 결혼 주례 써니뱅크 정부 공인 주례사 0408 688 010
Winny Family Care 0420 720 894

광고문의 0422 258 092, 0432 008 985 admin@qldkoreanlife.com.au
아하바 목욕탕 3391 2279
웨딩메이크업헤어(withBRIDAL) 0481 982 486
제시헤어 0414 060 369
헤어시티 시티점 3210 1049
alabuu 0493 475 995
Hair Captain 헤어캡틴 0481 600 088
K Bridal Studio(Julie) 0451 373 313
M nails & beauty 0432 346 799
M&U Beauty Brow(미앤유 뷰티 쿠파루) 0423 056 137
Nail Station Brisbane 0401 307 878
The Face Shop (가든시티) 3344 6014 (써니뱅크) 3423 2514
번역/통역





무담보 소액대출(호주 어디서나) 0412 232 889
미래종합금융 1300 882 595
ANZ Jin Lee 0434 689 100

가영 NAATI 3급 번역공증 0410 672 485
나티공인 한영/영한 번역사 0431 232 673
데레사 통역 0402 307 090
손지은 NAATI 3급 0412 088 428
호주 닷컴 온라인 번역공증 info@hojoo.com
JINO NAATI 통역서비스 0430 812 205
변리사
김현태 특허상표변리(호)사 040 433 5914
변호사

법무법인 Park & Co ㆍ 대표번호(유선) 3345 6665
ㆍ 대표번호(모바일) 0490 130 012
ㆍ 박창민 변호사 0452 435 447
ㆍ 김희용 변호사 0431 628 082
ㆍ 허성은 변호사 0425 030 220
H & H Lawyers 02-9233-1411
ㆍ홍경일 대표변호사
ㆍ강현우 형사전문변호사 0487-192-566
ㆍ김진한 변호사(이민)
ㆍ김현태 변호사·상표변리사
리틀즈 법무법인
ㆍ NSW 1800 000 119
ㆍ QLD 1800 082 082
ㆍ 김경태 변호사 0452 480 920
ㆍ 이종일 변호사 0434 980 635
성도 법무법인
ㆍ대표번호 3392 3981
ㆍ김문기 변호사 0411 211 227
ㆍ김태규 변호사 0403 689 714
KLS Legal Practitioners
ㆍ사무실 (07) 3113 3790
ㆍ나윤제 대표변호사 0423 005 035
ㆍ신선미 변호사 0412 693 115
김린 변호사 0404 871 986
김영규 변호사 07 3210 6489, 0411 624 779
박근영 변호사 0433 372 566
주광훈 변호사 0405 694 497
정회림 변호사 07 3195 4807
진승희 변호사 0403 503 530
LinkOz 이정민 변호사 0401 576 978
Remax 부동산 써니뱅크
조권현 0452 65 88 78
YONG 부동산(오세진) 040 228 3003
사진
Alicia’s Photography 0478 825 233
상담/심리치료
ACC 상담센터 02 6255 4597
JR 부부상담연구소 0434 487 433
브리즈번 명상센터 0466 211 405
숙박시설
스프링우드 타워 호텔 3387 7077
호텔 다이아나(한국어) 3896 1691
송금/환전
C-Herald Insurance 1800 998 557
C-Herald Finance 1800 998 557
Focus Loan(오지훈) 0420 847 110
Hana Finance (알렉스) 0410 622 838
복지센터
AACA (All About Care Australia) 07 3133 0209 (Gemma) 0430 218 030 (Tasha) 0402 595 741
ONE DREAM COMMUNITY
1800 841 777
한국송금(구. 코원송금) 0474 373 007
스포츠/체육관
원 태권도 0430 295 881
Sunnybank 테니스클럽 0430 014 221


Sunnybank 당구장 0430 014 221 식당/카페



AKLINKS 손한나 대표 0428 87 5050
3 Sisters 3195 4481

Bluedog 부동산 0419 536 071
Bluedog 김수정 0408 622 934
HD Property 황기철 0413 515 788
Harcourts Calamvale (홍성우) 0415 413 769
Ideal Realty Advisors (시드니) 02 8007 4989, 0414 088 089
KLOVER PROPERTY
Kay Lee 0421 007 147
Link Plus Realestate 이지영 0450 908 864
Raas Group 0420 486 651
누나네 해장국 3107 4158
마녹파크 0433 276 449
마루 3221 7778, 3012 9912
모모치킨(city) 3012 8238
모모치킨(runcorn) 3841 8068
미담 3344 5001
불고기 Bros 3350 2233
샤부하우스 (일식 부페) 3211 5407
소문 삼계탕 3158 3709
차미 푸드 앤 보틀샵 3210 6349
코릴라 바베큐 3211 1212
여행/공항픽업
가나안 공항 픽업 0478 833 415
도움 투어 3012 8383
우리여행사 0412 393 713
케니 여행사 3344 3220 / 0402 729 595
현대 투어 0432 140 083
HT 여행사 3003 1771
운송/택배/이사



센트로파이 0457 269 109
시온 에어컨 냉동 0434 486 877
에어컨 청소 FreshZone 0431 135 071
Airmazing 0451 104 439, 0430 189 603
COOL MY 에어컨디셔닝 0406 284 159
Fresh Cool 0401 627 853
LEES 에어컨 설치 0434 378 245
SONG 에어컨 설치 0414 781 645
SWIND 0451 994 144
OK 냉동 서비스 센타 0423 457 898


의류/침구/옷수선


드림로드 3209 5445, 0433 267 953



차밍 옷수선 0403 617 076
한복 대여점 이음 e-uum 04 2121 3656
OUR HANBOK 0423 378 055
자동차운전학원
메이 운전학원 0419 708 177
부부 운전학원 0414 273 087
자동차정비







































유통
웨스티마켓 0450 103 788





Milton Exchange (노브랜드 유통) 0438 545 007












Cordelia International (온리프라이스
제품외 유통) 0450 103 788 유학원
도움 유학 3012 8383


GLOBAL MATE 3221 8318 0451 281 841




가구소형이사 픽업서비스 0411 736 276
가나안 용달 서비스 0478 833 415
(각종 소형 ‘짐’ 운반)
대한통운 국제택배 0431 571 657
와이즈 국제물류 1800 577 369
현대택배 0430 014 221
HT Logistics 3823 1802
PNL 택배(한국-->호주) 0449 24 8282
에어컨/냉동수리




HT 유학원 3003 1771
이민 컨설팅
가영 비자 이민 컨설팅 0410 672 485
백승용 이민법무사 3323 3186
변기훈 이민법무사 0425 669 799
이정민 법무사 Select Australia 0430 592 230
채정우 이민법무사 0423 687 378
호주닷컴 02 9746 1452
의료/병원/한의원



극동 한의원 Far East Acupuncture 0402 527 717
라파 한의원 0452 563 365
모유사랑 모유수유클리닉 (상담, 유방관리) 04 5675 5675
보화당 한의원 3219 1002
언어치료사(Speech Pathologist) 0473 562 154
엔한스 덴탈 스튜디오 (런콘) 07 3423 0783
족부 의학 클리닉 (써니뱅크) 07 3344 6866 (해밀턴) 07 3741 2825
질미어 치과병원 3265 6010
Carindale 자매치과 (김현아/김은아) 3324 9172
Dr. Seung-min Youn(윤승민) 정형외과 07 3278 2662
Dr.허 시티 한국인병원 3210 2111
Dr.허병원 Skin Clinic 0407 112 342
Exceptional Dental 3118 5306
Hybrid Physio 3190 9747
JINDALEE Complete Dental 3376 5475
My Clinic (Dr 제임스 강) 3272 2202
The Dental Club 1300 165 768 Stafford | Caboolture | Bellmere | Griffin
조이모터스(정비) 3277 2477
Autocrew Motors 3191 7044 0416 422 099, 0433 649 931
Pro Tinting 0432 390 910
SK 자동차 공업소 3423 8085
Speed mate 자동차 정비 0416 191 319
Top One Motors 0430 123 711






































K locksmith 0449 949 343
최 0411 581 593
청소/방역
원스톱 방역 & 카펫 청소 0401 600 887
원펀치 터마이트&페스트컨트롤 0402 157 905
써니뱅크 터마이트 0412 178 944
짐스 터마이트 & 페스트 컨트롤 0416 515 874
클린킹(청소용품판매) 3208 1333
JCM 터마이트&페스트 닥터팀 0430 318 776
AplusHomeCare(터마이트,페스트 컨트롤) 0448 226 179

0450 410 501
ㆍ
반석 장로교회 0430 810 929 ㆍ 브리즈번 서림교회 0423 333 932
ㆍ 브리즈번 선한목자교회 0431 686 296
간판/인쇄/디자인
써니 크리에이티브 0412 840 533
NB Signs - 간판, 인쇄, 디자인 0421 790 885 건강식품/기념품

안디옥 장로교회 0423 733 599
ㆍ 브리즈번 성결교회 0433 689 717 ㆍ
ㆍ 브리즈번 왕성교회 0400 878 882 ㆍ
은혜교회 3376 2143 / 0433 677 241
임마누엘교회 3344 7521
좋은감리교회 3343 1817 / 0413 608 392 ㆍ 브리즈번 주안교회 0432 680 975
평화교회 0425 252 372
한인장로교회 3341 9232
3202 9553 / 0413 515 737
0425 306 577
0414 624 779
3252 1701
Kleen Hub(청소용품 판매) 3191 3248 푸드패키징
Kleen Hub 3191 3248
Q Pack 3219 5654
플러밍/가스
HIGH TECH PLUMBING & GAS 0431 409 844
JINSU PLUMBING&GAS 0401 359 573
NEXUS PLUMBING 0459 999 754
PK PLUMBING 0433 772 172
폐차/고철/고물
Metal Xchange | Cash for Cars 0410 140 500 컴퓨터/POS/웹사이트

권신정 회계사(MAZARS) 3218 3924






필그림지구촌교회 0411 50 9191
한인 재림교회 3290 1113 / 0418 980 443
장로교회 3890 1116 / 0413 227 533 ㆍ Agape International church 3349 4168
천주교
ㆍ 브리즈번 한인천주교회 3369 3159 / 0413 016 031
불교
ㆍ 연꽃선원(한국 사찰) 0450 616 924 / 0413 805 236
ㆍ 브리즈번 정토법회 0438 536 221
원불교
ㆍ 원불교 3219 1002
꿈이 있는 교회 0421 480 870
동행하는 장로교회 3422 0828 / 0400 878 882
브리즈번 순복음교회 3341 9090 / 0433 9933 52
스프링필드 침례교회 킹제임스성경 0469 859 983
호주 가정 상담 대학 0416 069 812
호주 기독교 대학 02 6255 4597
한마음 교회 0410 409 007
Faith Church 써니뱅크
ㆍ 요한계시록 성경예언
ㆍ ilona 목사 0400 374 666
주방용품(상업용)
썬샤인 비즈 솔루션(스시머신, 주방용품) 0413 396 799
All 4 Kitchen 주방용품 수리 0433 974 907
중고 가전
Smart Electrical Clearance Outlet
ㆍ Hyperdome 3133 1805
ㆍ Capalaba 3823 4165
ㆍ Mt Ommaney 3376 7445
ㆍ Browns Plains 3800 1013

미디어 나라 0412 443 066
GGL 토탈 IT 솔루션 0422 395 706
iComputer (TPG 공식딜러, 컴퓨터 수리) 0450 511 829
M4U 웹디자인 0434 417 933
N2 CREATIVE (웹사이트 제작) 02 8091 7333
VTEQ 컴퓨터 3323 3232
(TPG 공식딜러, 웹사이트, IT솔루션) 핸드폰 수리
Jaetech 핸드폰 수리점 0404 932 988
Prudent Accountants & Co 0412 447 987
TaxBee 3210 0747
Tax Friend 0422 869 630
뉴질랜드 초록홍합,녹혈,녹용 캡슐 판매 0403 736 998
로얄건강 타운 0401 158 508
장수마을 0422 59 59 79
카사아울렛 5531 3155












건축/인테리어/집수리 가나 집수리 04 02 02 8720 대니 핸디맨 0402 299 915
블라인드 0430 715 906
아트 블라인드 0490 537 244
Design & Construction 0430 900
LINKS 부동산






레삐헤어 5679 3943
신 헤어 스튜디오 0407 090 270
웨딩메이크업헤어(withBRIDAL) 0481 982 486
킴스헤어(사우스포트) 5527 1990
케이살롱뷰티(사우스포트) 0421 187 046
FOREL Beauty & Spa 0413 753 087
Kausie Hair Salon (코지 헤어) 5531 2963
Meraki Hair 5592 0984
Hair COCO.GC 0413 662 699 / 5511 1892
The Hair 5528 6310
The 9 Brows & Beauty 반영구 화장 0448 019 555
Retreat 마사지 0404 806 887, 5527 1147 번역/통역
C-Herald Insurance 1800 998 557
C-Herald Finance 1800 998 557
You and Me Finance 0468 429 180 보험전문 김옥이 0401 411 000



0428 87 5050
Bluedog 부동산 0419 536 071
Bluedog 김수정 0408 622 934
MASTER QLD PROPERTY 서문희 대표 07 55 111 888 / 0478 110 290
Onyx Property Management 0490 187 898 Ray White 이민정 0431 686 286
Raas Group(Yong Lee) 0420 486 651
ALICIA’S PHOTOGRAPHY 0478 825 233
WOW CAFE & STUDIO 0401 282 303
AnK 골프 아카데미 0434 142 638
D.I Sports Academy 0425 864 112 Golf Zero 0435 595 577





Oppane 오빠네 5532 2413
Rice House 5591 2239
RICE VS NOODLE 5538 8803
The Dak 0468 857 692
WOW CAFE & STUDIO 0401 282 303
식품점/편의점
스마일마트 5527 1312
오페마트 5531 0922
유니마트 5608 9860
하나로마트 Helenvale 0493 090 679
Southport Robina
해피마트 0401 337 458
현우식품 5526 3838
Coomera Asian Mart 0424 491 646
K-Town Supermarket 5528 6781
에어컨/냉동수리
0434 486 877
에어컨 설치


Lotte 편의점 5591 2356
식품제조
명가(김치, 밑반찬) 5531 0906

고기하우스 5591 7465
감성포차 Yacha 5660 9648
김치하우스 5538 8496
다노시스시 5528 3005

두리분식 0413 965 268
대박집 5531 0374
불고기ya 5591 7270
서라벌 고기부페 5538 8465
소공동 순두부 0423 455 599
이조 숯불 BBQ 5531 2423





코리안 키친 5538 8855
파라다이스 숯불구이 5592 3824
해피롤 5528 0588
Hochan 호찬 0424 215 797
AZIT(아지트) 5661 8537
BBQ 빌리지 5532 2700
BBQ 코리아나 5504 5627
Cafe 928 5679 6616
CHIKOR 5531 1254
Cook & Beer 0402 99 66 94
Gal. B 5591 5141
Izakaya ichi 5564 0190
MAMAS KITCHEN 5571 1896
BB 두부 0406 541 572
안경원
골드코스트 한인안경원(EYEdear Optical) 0423 083 599
여행/공항픽업


시티익스프레스 공항픽업 0413 059 206
우리여행사 0412 393 713
운송/택배/이사




KPOST 우체국 택배 0422 59 59 79
대한통운 국제택배 0431 571 657
현대택배 3075 6872 / 0430 014 221
HT Logistics 3823 1802
PNL 택배(한국-->호주) 0449 24 8282
유학원
마린 유학 5591 7070
의류/침구/옷수선
벨라 옷수선 5511 2077
Sweet Closet 0402 148 750 자동차운전교습
메이
운전학원 0419 708 177
부부 운전학원 0414 273 087
자동차정비
CLUB AUTO 이승엽 0421 707 771
메르세데스 벤츠 골드코스트, 레이튼(한국어) 0478 220 828 카톡 MBGCLY
전기/전자/통신
리스(LEES) 전기공사 0434 378 245
하나로 전기공사 0416 868 818
SONG 전기공사 0414 781 645
정수기/비데




DP Motors 5537 8235, 0433 835 293
GCCEM 이승엽 0421 707 771
H&K Motors 5532 9088, 0433 004 310
JD Motors 5591 6772, 5591 6227
TINT MASTER 0421 707 771
차량복원 전문업체 NICK’s Panel & Paint 5531 3459, 0430 123 950 자동차판매


청소/방역
가나 Termite,Pest Control 04 02 02 8720
얼스 와이즈 방역 0436 321 537
원스톱 방역 & 카펫 청소 0401 600 887
원펀치 터마이트&페스트컨트롤 0402 157 905
짐스 터마이트 & 페스트 컨트롤 0416 515 874
클린킹(청소용품 판매) 5532 2342
JCM 터마이트&페스트 닥터팀 0430 318 776
PAULS Clean King 0425 233 118
권신정 회계사(MAZARS) 3218 3924












RAPID CLEAN 청소용품 5572 2284
컴퓨터/POS/웹사이트
미디어 나라 0412 443 066
김상현 회계사(PKF) 0433 379 280
김재미 회계사 0478 221 525
바른회계법인 한상호 회계사 0450 468 318
백화실 회계사 0421 007 756


iComputer (TPG 공식딜러, 컴퓨터 수리) 0435 831 116




VTEQ 컴퓨터 3323 3232 (TPG 공식딜러, 웹사이트, IT솔루션)
안재웅 공인회계사 0420 518 253




Q Pack 3219 5654
이윤 회계사 3299 1031
심인섭 공인회계사 0432 493 032




AK 정수기/비데 0401 558 353
The Bidet Shop 1800 243 387
VCG (엘지 정수기) 07 3924 1870 / 0421 807 981
정육점
서울 정육점 5531 5227, 0405 934 952
종교단체
기독교
ㆍ 골드코스트 가까운교회 0433 447 483
ㆍ 골드코스트 선교교회 0431 232 304
ㆍ 골드코스트 순복음교회 0402 089 896
ㆍ 골드코스트 온누리교회 0412 341 868
(Southport State High School 내)
ㆍ 골드코스트 열방교회 0412 362 029
(장로교회)
ㆍ 골드코스트 장로교회 0409 995 456
ㆍ 골드코스트 재림교회 0430 041 022
ㆍ 골드코스트 지구촌교회 0433 609 191
ㆍ 골드코스트 사랑의교회 0451 472 202
ㆍ 골드코스트 브니엘교회 0412 194 829
ㆍ Logan 예수제일교회 0426 501 966
ㆍ 비전 장로교회 0423 932 742
ㆍ 사우스포트 한인교회 0433 308 436
ㆍ 우리들 침례교회 0421 579 026
ㆍ 푸른파도 교회 0411 725 639
천주교
ㆍ 골드코스트 한인성당 0402 044 331
골드코스트 기쁜우리교회 0478 782 186
골드코스트 주님뜻교회 0450 501 201


신우 회계 법인 3148 8887
CYS 회계법인 07 5503 0366
JY Accountants 07 5679 1619
Prudent Accountants & Co 0412 447 987
그래픽 디자인
위니아트 0401 596 877
식당
Black Curry 5200 0875
Brown Rice(Peregian Springs) 5448 2197
Hanami (Coolum Beach) 5471 7091
HIKARU
ㆍ Birtinya 0432 389 288
ㆍ Baringa 0432 389 288
ㆍ Kawana 0452 028 804
ㆍ Northshore 5406 9017
ㆍ Buderim 5476 6266
MakiMoto(Noosa) 5447 3254
Master Sushi 5526 7557
The Sushi 79 (Currimundi) 5437 8208
Tampopo 5476 7039
Haru Korean Kitchen 5447 2249
식품점
선샤인 마트 0488 515 288
의료/병원
Doctors@Maleny (닥터.노) 07 5413 8066
전기/전자/통신
존 TV&안테나 0491 068 872
정수기/비데















































































































































































































전국 주택 가격이 10월 한 달
동안 0.9% 상승하면서 집값
상승세가 이어졌다. 9월 상
승률 0.7%를 약간 넘어섰다.
코어로직(CoreLogic)에 따
르면, 10월에 집값 상승 폭이
가장 컸던 주요 도시는 퍼스 (+1.6%), 브리즈번(+1.4%), 애들레이드(+1.3%)였다.
퍼스는 10월까지 1년 동안 가
장 집값이 많이 오른 주도다 (+10.8%). 시드니(+9.0%), 브 리즈번(+7.8%), 애들레이드 (6.5%)가 그 뒤를 이었다.
전국 주택 가격은 1년 동안 평 균 5.6% 올랐다. 이는 같은 기
간에 집값이 평균 6.8% 상승
한 8개 주요 도시들이 주도
한 결과다. 그 외 지역의 집값
이 2% 상승한 것과 대조적이
다. 코어로직은 전국 주택 가 격이 2023년 1월의 저점 이후 에 7.6% 상승했다고 보고했
다. 팀 로리스(Tim Lawless)
코어로직 연구 책임자는 "이

상승률로 볼 때, 11월 중
전국 주택 가격이 사
상 최고치를 기록할 것"이라
며 "2022년 5월부터 2023년 1
코어로직과 다른 방법론을 사 용한 프롭트랙(PropTrack) 조사에서는 10월 주택 가격 이 0.36% 상승한 것으로 집

프롭트랙 선임 경제분석가인
엘리너 크리그(Eleanor Creagh)는 "10월 전국 주택 가 격이 상승하면서 새 최고치를 기록했다"고 말했다. 크리그 는 "이민 순유입의 반등, 빡빡 한 임대 시장, 제한된 주택 재 고 등에서 비롯한 강력한 수요
가 금리 상승과 경기 둔화 영 향을 상쇄했다"고 분석했다.
한편으로 대부분의 주도에 서 가격이 계속 상승하고 있 지만, 둔화세 역시 나타나고 있다.


월간 소매 매출이 1월 이후 가장 큰 폭으로 증가하면 서, 호주중앙은행(RBA) 이 사회가 받을 금리 인상 압
박이 조금 더 가중됐다. 통 계국(ABS)은 호주 소매업 매출(계절조정)이 9월에
0.9% 증가했다고 발표했
다. 8월 0.3%와 비교해 상
당폭 증가했다. 경제학자들
은 9월에도 0.3% 수준의 매
출 증가율을 기록할 것으로
전망했었다. 지난주 예상보
다 높은 분기별 인플레이
션 수치가 발표된 데 이은
이번 수치는 RBA가 통화
긴축을 재개할 수 있는 여
지를 만들어준다. ABS 소 매 통계 책임자인 벤 도버
(Ben Dorber)는 "9월의 강 한 상승세는 소매업 전반에
걸친 다양한 요인에서 비롯
됐다"고 말했다. 봄이 시작 되면서 백화점, 가정용품 및
의류 소매업체의 매출이 증 가했다. 퀸즐랜드주의 '기후
스마트 에너지 절약 리베이 트(Climate Smart Energy Savers Rebate)' 정책은 가 정용품 소매업의 매출 증가 에 기여했다.
퀸즐랜드 주정부는 세탁기, 식기세척기, 냉장고, 건조
기 등의 가전제품을 에너지 효율성이 높은 제품으로 업 그레이드하는 가정에 리베 이트를 제공했다. 새 아이 폰 모델의 출시도 소매업 매출





















































































다른 선진국보다 '재정 적자 축소' 빨라

국제통화기금(IMF)이 호주중
앙은행(RBA)에 기준금리를
다시 인상하라고 촉구했다.
IMF는 수요일(1일) 발표한 경
제 건전성 평가에서 호주의 물
가상승률이 하락하고는 있지
만 "여전히 너무 높다"고 주장
했다. RBA가 인플레이션을 억
제할 목적으로 지난해 5월부
터 금리 인상을 단행했지만,
아직 서비스 인플레이션이 고
착화돼 있다는 것이다. IMF는
호주가 인플레이션 목표치인 2~3% 범위 내로 돌아오게 하
고 "인플레이션 기대치가 고
착화될 위험을 최소화하려면"
추가적인 통화 정책 긴축이 필
요할 것이라고 밝혔다. IMF 호
주 담당자인 압둘 웨인(Abdoul Wane)은 RBA가 4.1%
인 현 금리를 얼마나 더 인상
해야 할지는 언급하지 않았
다. 웨인은 "(인상 정도는) 우
리 모델에 포착되지 않는 금
리 인상의 심리적 효과에 따
라 달라질 것"이라고 말했다.
호주 4대 은행을 포함한 금
융 시장은 다음 주 화요일에
RBA가 기준금리를 4.35%로
인상할 것으로 전망하고 있
다. IMF에 따르면, 인플레이
션은 2026년 1분기에야 RBA
의 목표 범위로 돌아갈 것으 로 예상된다. 이 기금은 "시 장의 기대치"를 기반으로 이
를 추정했지만 "RBA가 염두
에 둔 것과 크게 다르지 않다" 고 말했다.
IMF는 호주 경제가 2024년 GDP(국내총생산) 성장률이 1.25%로 둔화되더라도 "회
복력이 있다"고 밝혔는데, 이 성장률은 RBA의 현재 추정치 와도 일치한다.
호주의 재정 적자는 "다른 선 진국보다 빠른 속도로 축소됐 다"고 평가받았다. 연방정부 가 원자재 가격 상승 등으로 인한 추가 세수를 절약해 재정 건전성을 개선한 덕분이다. 다
만, IMF는 중앙은행의 금리 인 상 압력을 완화하기 위해 인프
라 지출을 축소하는 것을 고려 해야 한다고 주문했다.
IMF는 "연방정부와 주/준주 정부는 RBA의 디스인플레이
션 노력을 지원하기 위해 공 급 제약을 감안하여 보다 신 중하고 조율된 속도로 공공
투자 프로젝트를 시행해야 한 다"고 말했다.

호주 외교통상부(DFAT)는 20
명의 호주인이 가자지구에서 이집트로 건너가는 데 성공했 다고 밝혔다. 외교통상부는 시
민권자 20명, 영주권자 1명 및 그 가족 2명 등 외교통상부에 등록된 총 23명의 인원이 라 파 국경 검문소를 통과했음 을 확인했다. 이번 라파 국경 검문소 개방 전까지 가자지 구에서 정부 지원을 받고 있 는 것으로 알려진 호주 시민 권자, 영주권자 및 그 가족은 88명이다.
페니 웡 외교장관은 목요일(2 일) ABC 인터뷰에서 "많은 국 제적인 로비 끝에 라파 통행


달성하지 못할 위험이 있다고 인정하 며, 이를 위해 더 많은 공공
및 민간 투자가 필요하다
고 역설했다. 호주는 2050
년까지 '탄소 순배출량 제
로'(넷제로) 목표를 채택했
으며, 2030년까지 국가 전
력의 82%를 재생 가능한
제기하며 2030년까 지 60%를 채우는 데 그칠 가능성이 높다고 주장한다. 넷제로 목표 성공 여부에 대한 여론도 싸늘한 편이 다. 최근 에센셜 여론조사 에 따르면, 응답자 57%는 '2050년까지 넷제로를 실 현할 가능성이 없다'고 전 망했다.
차머스 장관은 디 오스트레 일리안과 멜버른연구소가
































































호주는 안전하고 윤리적이며

책임감 있는 인공지능(AI) 개
발을 장려하고 AI의 잠재적 위
험에 대한 관리를 촉구하는 사
상 첫 국제협력 공동선언에 동
참했다.
지난 1일(현지시간)부터 이틀
간 영국 블레츨리 파크에서
열린 제1회 AI 안전 정상회의 (AI Safety summit)에서는 AI
가 안전하고, 인간 중심적이
고, 신뢰할 수 있는 방식으로
설계, 개발, 배포 및 사용돼야
한다는 '블레츨리 선언'이 채
택됐다. 호주는 미국, 영국, 중 국, 한국 등 27개국 및 유럽연 합(EU)과 함께 이번 선언에 서명했다.
리처드 말스 부총리와 에드
휴직 산업과학장관은 정부, AI 기업, 시민사회단체, 학계
가 한자리에 모인 이번 정상
회의에서 프런티어 AI(고성능
범용 AI)의 잠재적 위협을 고
려하고 이에 대응할 방법에 관해 논의했다. 블레츨리 선
언에서 각국은 "AI로 인해 발
생하는 많은 위험은 본질적으
로 국제적인 성격을 띤다"며 "
광범위한 위험에 대처하기 위 한 협력을 촉진할 것을 결의한
다"고 뜻을 모았다.
또한 각국은 AI 개발 주체인
기업들이 "오용과 통제 문제 를 방지하기 위해" AI의 잠재
적 위험을 투명하게 평가해야 한다는 데 동의했다. 휴직 장
관은 성명을 통해 "호주는 다
른 정부 및 AI 시스템 개발 기
업들과 함께 중대 국가 안보, 안전, 사회적 위험 등에 대한
차세대 AI 모델을 테스트하기


Sushi Izu Southport Park
Sushi Izu Elanora

위한 협력의 중요성을 인식했 다"고 전했다. 이 일을 지원하 기 위해 영국은 연구원, 머신 러닝 전문가, 엔지니어로 구 성된 'AI 안전 연구소'를 설치 키로 했다.
호주는 주요 기업이 개발 중인
AI 모델을 평가하는 이 연구소
와 협력해 관련 지식을 공유
할 계획이다. 이 정상회의에서
각국은 AI 안정성에 관한 국제
연구를 요약한 '연례 프런티
어 AI 과학 현황 보고서'를 공
동으로 발간하기로 합의했다.
이 보고서를 감독하는 패널 에는 연방과학산업연구원 (CSIRO) 수석 과학자 브런윈 폭스(Bronwyn Fox)가 호주 를 대표에 참여한다. 휴직 장 관은 "AI에 안전과 윤리가 내 재화되도록 지금 행동해야 한 다"며 "호주가 다른 국가와 함 께 AI 개발이 책임감 있게 이 뤄질 수 있도록 노력하는 일 에 동참하게 돼 자랑스럽다" 고 말했다.
한편, 호주와 영국은 이번 정 상회의에서 양국 간 양자 기술 분야 협력 증진을 위한 공동성 명에도 서명했다. 휴직 장관과 미셸 도넬런 영국 과학기술혁

Seek 프리미엄 온라인 구인광고 중국 베이징에서 시진핑 중 국 국가주석과 정상회담을 가진 앤소니 알바니지 총리 가 시 주석을 호주로 초청 했다. 알바니지 총리는 이 번 정상회담이 "매우 성공 적이었다"고 평가했고, 시 주석은 이번 만남이 양국
관계의 새 시대를 열었다
고 선언했다. 지난 월요일 (6일) 베이징 인민대회당에
서 알바니지 총리와 시 주
석은 한 시간 넘게 회담을 가졌다.
호주 총리의 방중은 거의 7
년 만에 성사됐다. 최근 양
국 관계는 전임 정부인 스
콧 모리슨 정부의 강경한
대중국 전략과 중국의 무역 보복이 결합돼 상당히 경색
돼 있었다. 이번 정상회담
은 그동안 이어진 양국 간
긴장을 풀기 위한 노동당
정부의 18개월 간의 노력
끝에 이뤄졌다. 시 주석은
회담 시작과 함께 알바니지
총리와 악수로 인사를 나누
며, 그의 방문에 경의를 표
했다. 시 주석은 "이제 중국 과 호주 관계는 개선과 발
전을 위한 올바른 길에 들
어섰다"며 "건강하고 안정
적인 관계는 두 나라와 두 국민의 공동 이익에 부합한 다"고 말했다. 알바니지 총
리는 "앞으로의 공동 관심 사에 관해 대화하는 친선의 자리"였던 이번 회담이 "따 뜻했고" 더불어 "매우 성공 적"이었다고 표현했다. 그 는

시리아 난민 캠프에 갇힌 호
주 여성과 아동을 호주로 데
려오기 위한 법적 소송이 연
방법원의 기각으로 좌절됐다.
세이브더칠드런 오스트레일
리아(이하 세이브더칠드런)
는 11명의 호주 여성과 이들
의 자녀인 20명의 아동을 대
신해 연방정부를 상대로 시리
아에 불법 구금된 호주 국민
을 본국으로 데려오라는 소송
을 제기했다. 호주 정부에 자
국민 귀환에 도덕적, 법적 의
무를 준수할 것을 공식적으로
요청하기 위해서다.
난민 캠프에 있는 호주인들은
사살되거나 수감된 이슬람국
가 전사들의 아내, 미망인, 그
들의 자녀들이다. 이들 중에
범죄 혐의로 기소되거나, 체
포 영장이 발부된 사람은 없
다. 현재 이들은 '시리아동북
부자치행정부(AANES)'가 관
리하는 난민 캠프에 4년 동

또한 연방정부 측은 호주인이 시리아로 가서 구금된 것에 대 한 책임은 정부에
여성 및 아동 총 34명이 시리
아 북동부 알 로즈 수용소에 남아있는 것으로 알려졌으며, 이 중 31명이 이번 소송에 참 여했다.
안 머물고 있다. 호주 시민권 자 또는 시민권 자격을 갖춘
세이브더칠드런은 호주가 다
른 수용소에서 여성과 아동을
데려온 전례와 시리아 당국이 호주인 송환을 묵인한 점을 들 어 호주 정부가 호주인 구금을 사실상 통제하고 있다고 주장 했다. 하지만 연방법원의 마 크 모신스키(Mark Moshinsky) 판사는 호주 정부는 해 당 지역에 대한 통제권이 없 다며 세이브더칠드런의 소송 을 기각했다. 소송 과정에서 연방정부는 AANES가 구금 자들에 대한 "완전하고도 제 한받지 않는 재량권"을 보유 하고 있기 때문에 정부로서는 송환을 강요할 수 없다는 반론 을 펼쳤다.


빅토리아 주 경찰은 어제(2 일) 저녁 지난 8월 발생한 독
보섯 사망 사건유력한 용의 자 에린 피터슨을 기소했다 고 발표했다. 그녀는 3건의
살인과 5건의 살인 미수 혐
의를 받고 있다.
에린 패터슨(49세)은 그동
안 헤더 윌킨슨(66세), 게일 패터슨(70세), 돈 패터슨(70 세)이 사망한 후 언론의 관
심 한 가운데 서 있었다. 그
동안 경찰은 패터슨이 제공
한 웰링턴 요리로 인한 독버
섯 중독이 사망 사건의 원인
인 것으로 추정해 왔다.
패터슨은 이 밖에 2021년과 2022년에 발생한 세 건의 살
인 미수 혐의도 받고 있는데 경찰은 피해자 중 48세의 코
럼부라 거주 남성이 포함되
어 있다고 밝혔다. 이 남성은 패터슨 씨의 전 남편인 사이
먼 패터슨으로 추정된다. 그
는 7월 29일 식사 후 사망한
패터슨 부부의 아들이다.
에린 패터슨은 7월 29일 식
사와 관련하여 세 건의 살
인, 한 건의 살인 미수 혐의 를 받고 있다. 사망한 세 명 과 함께 식사한 코룸부라 목 사 이안 윌킨슨(69세)은 중
태에 빠졌다고 7주 만에 퇴 원했다. 경찰이 발표한 또 한 건의 살인 미수에 대해서는 알려진












































































































































































