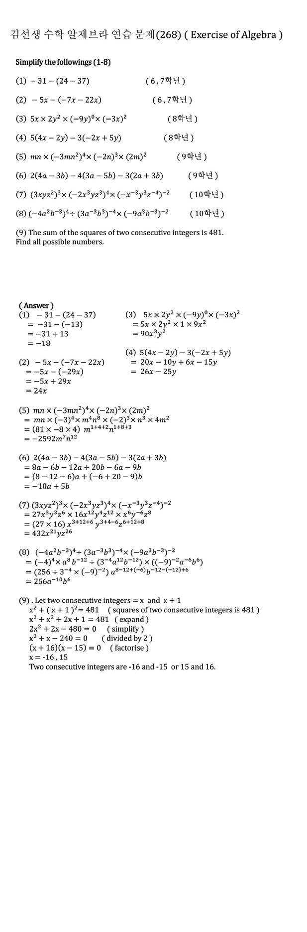
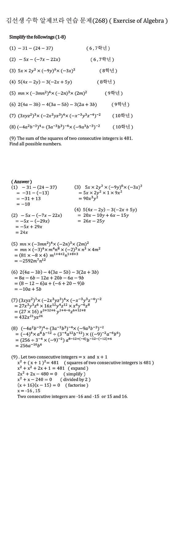
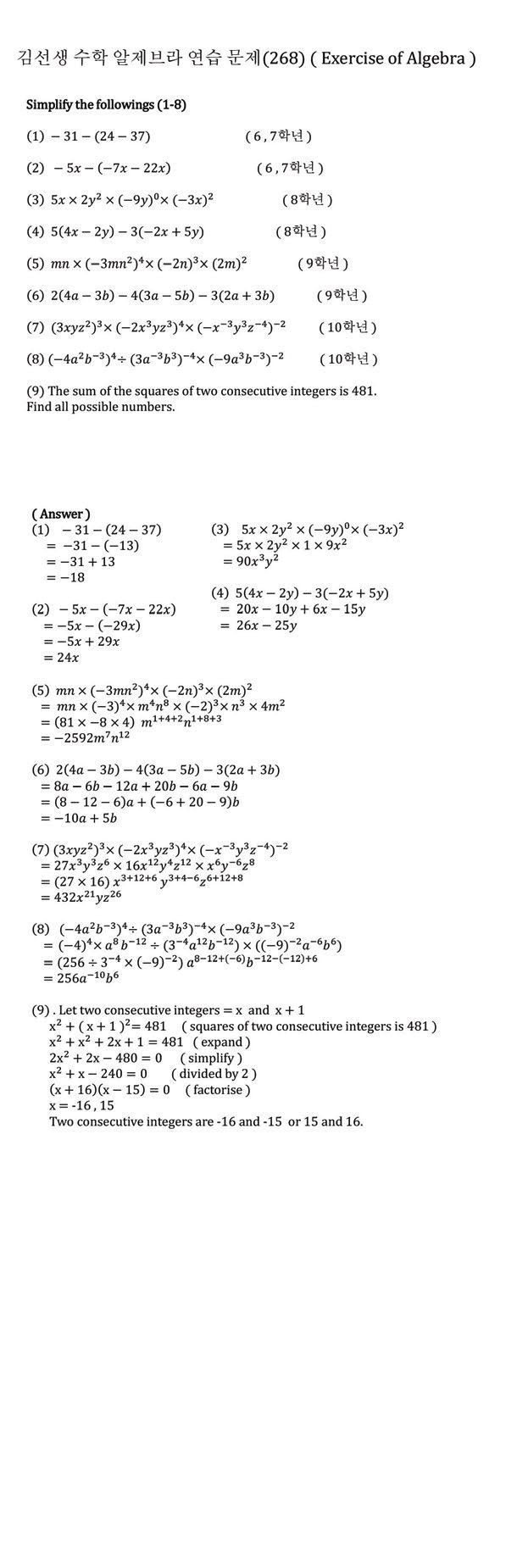
QLD KOREAN LIFE - V1043

Page 1


당신의 대답을 중요하게 만드는 방법

국민투표 | 10월 14일 토요일

국민투표에서 투표하는 것은 선거와 다릅니다.

1. 한 장의 투표용지를 작성해야 합니다.

2. 투표용지에는 헌법 개정안에

대한 질문이 기재되어 있습니다.

3. 투표하려면 투표용지의 칸에

영어로 ‘Yes’ 또는 ‘No’ 중

하나를 써서 기표합니다.

18세 이상의 모든 호주 시민은 반드시 투표해야 합니다.

실수하더라도 걱정하지 마세요.

투표용지를 다시 받아서 투표하면 됩니다.

상세 정보는 aec.gov.au/translated

에서 확인하거나 1300 720 468

번으로 전화하여 문의하세요.

투표용지 샘플

'접는' 스마트폰의

시대가 온다!

/ 브런치 폴더블 스마트폰 이야기

피처폰을 사용해 본 사람이라면 한 번쯤 가졌을 의문이다.

머지않은 미래엔 폴더블 스마트폰의 시대가 올까?

통신기기를 휴대할 수 있게 된 지 30년. 휴대전화는 10 년을 주기로 대격변을 맞이 했다. 1996년, 모토로라가 최 초로 폴더형 휴대폰을 출시하 며 ‘접는 휴대폰’의 시대를 열 었다. 2007년, 애플이 아이폰 1세대로 스마트폰 시대가 펼

쳐졌다. 그러고 2019년, 삼성 이 갤럭시 폴드를 공개하며 ‘접는 휴대폰’ 시대로 회귀를 시도했다.

중국의 스마트폰 제조사는 연

달아 폴더블 스마트폰을 출시 하고 있으며, 애플마저 폴더

블 기기를 준비한다는 소문 이 들려온다. 스마트폰 시장

이 점점 ‘접히고’ 있다.

화면이 접히는 스마트폰, 폴더블 스마트폰

폴더블 스마트폰은 접을 수

있는 스마트폰, 즉 디스플레

이 자체를 접을 수 있는 ‘플

렉서블 디스플레이'가 탑재

된 스마트폰을 의미한다. 최

초의 폴더블 스마트폰은 중

국 ‘로욜’사의 플렉스파이로, 2018년 출시됐다. 다만, 플렉

스파이의 디스플레이는 '접는

다'기보다는 '휜다'고 볼 수 있

는 수준이었다. 2019년 삼성

이 세계 최초로 안으로 접는

스마트폰 ‘갤럭시 폴드’를 출

시하면서 본격적으로 폴더블

스마트폰 시장이 열렸다.

멀티태스킹과

영상 시청에 강점

폴더블 스마트폰의 장점은 확

장성과 휴대성이다. 현시점, 스마트폰은 컴퓨터를 대체할

수 있을 정도로 발전했다. 통

신과 동영상 감상은 물론 인

터넷으로 하는 웬만한 작업

은 모두 가능하다. 심지어 카

메라 성능도 더 좋아져 영화 ⓒ

를 찍는 것은 물론 달 표면 촬 영할 수 있다. 스마트폰 성능 이 좋아질수록 다양한 작업이 가능하다. 게다가 멀티태스킹 까지 가능하다면 효율성은 배 로 늘어날 것이다.

폴더블 스마트폰은 접을 수 있는 만큼 이미 어느 정도 화 면이 분리된 상태다. 접지를 기준으로 좌우 또는 상하로 화면을 분할해 사용할 수 있 어 멀티태스킹에 용이하다. 또 가로로 접는 폴더블 스마

트폰은 사실상 작은 태블릿 기기로 여겨진다. 넓은 화면 의 폴더블 스마트폰은 유튜브 와 OTT를 즐겨 보는 이용자 에겐 매력적일 수밖에 없다.

시장 침체 속에도

떠오르는 폴더블 스마트폰 현재 스마트폰 시장은 침체 기를 맞이했다. 시장조사업 체 카운터포인트리서치에 따

르면, 2023년 2분기 전 세계

스마트폰 판매량은 전년 대비

8% 감소했다. 스마트폰 판매

량은 8분기 연속 하락세를 기 록했으며, 올해 전 세계 스마 트폰 출하량은 10년 만에 최

저 수준을 기록할 것으로 보

인다. 스마트폰 기술의 상향 평준화로 스마트폰 교체 주기

가 길어지고, 기술혁신도 소

비자 기대치에 미치지 못하는

상황이라는 분석이다.

반면, 폴더블 스마트폰의 전

망은 밝다. 대만 시장조사업

체 트렌드포스가 9월 14일

발표한 보고서에 따르면, 올 해 폴더블 스마트폰 시장점유

율은 전체의 1.6% 수준에 불 과하지만, 내년에는 출하량이 38% 증가해 점유율 2.2%까 지 성장할 것으로 전망된다. 또 2027년 폴더블폰 출하량 은 7,000만 대까지 치솟아 전 체

공개 했다. 중국만이 아니다. 모토로라 도 폴더블 스마트폰 ‘레이저 40 울트라’를 국내 출시했다. 과거 국내에서 유행한 폴더 폰 ‘레이저’의 향수를 불러일 으키는 디자인이다. 레이저 40 울트라는 현존 폴더블 스 마트폰 가운데 가장 큰 사이 즈의 3.6인치 커버 디스플레 이를 탑재했다. 글로벌 기업 구글도 지난 5월 폴더블폰 '픽셀 폴드'를 출시 했다. 다만, 디스플레이 고장 에 따른 민원이 잇따르며 내 구성 문제가 논란이 됐다. 구 글 하드웨어 디자인 담당자 아이비 로스는

나는 해외에서 산다. 그래서

자주 비행기를 탄다. 일 년에

한 번은 한국에 와야 되니까

비행기를 타고 또 가끔 다른

나라를 방문할 때도 있다. 사

실 나는 여행을 싫어하지도

않지만 그렇게 좋아하지도 않

았던 사람이다.

어렸을 때부터 해외여행을 많

이 다녀본 것도 아니었고 비

행기 공포증이 있기 때문에 여행을 할 때면 항상 심호흡 을 하고 마음을 가다듬어야

한다. 요즘은 그래도 비행기 에 대한 신뢰가 좀 더 생겨서

기내식도 먹고 비행 중 책도 읽을 수 있을 정도니 엄청난 발전이다.

몇 년 전부터 해외여행을 좀 더 하게 되었는데 대부분 목

적지로 향하는 중 경유하는

곳에서의 짧은 여행이었다.

경유하는 것은 긴 비행기 여 행을 적당히 나눠 줄 수도 있 고 또 가격도 저렴해지니 일 석이조이다.

처음 해외여행을 하면서 사온

기념품은 바로 냉장고 자석이

었다. 친구들 집에 갔을 때 생

소한 도시들 나라들의 이름이

적힌 냉장고 자석이 잔뜩 붙

어 있는 것이 꽤나 멋져 보였

던 것일까. 나도 해외에 나가

면 의례 그 나라 이름이 적혀

있는 자석을 사곤 했다. 그리 고 하나 더는 바로 열쇠고리 다. 사실 열쇠고리는 내가 모

해외여행 가서 사 오는 것은?

by 모두미 / 브런치

으는 것이 아니라 내 절친과 막내아들을 위해 사는 것이 다. 필리핀에 사는 친구는 전

세계 열쇠고리를 모으는 것이

꿈이라고 이야기했다. 그래서

어느 나라를 가던지 항상 친

쁘다!' 이렇게 감탄하면서.

하지만 내가 절대 포기하지

않는 것이 있다면 바로 공책

이다. 그 지역의 특징이 잘 도

구에게 물어본다.

"너 ** 나라 열쇠고리 있어?"

"아니.'

"알았어. 사갈게."

친구는 필리핀에 나는 인도에

살아서 만나기도 쉽지 않지만

그 친구를 위해 모아 놓은 열

쇠고리를 가끔 만날 기회가

있을 때 전해주곤 했다. 물론

막내를 위해서도 항상 열쇠고

리를 사간다.

드라진 공책이나 다이어리를 사는 것은 내게 가슴 설레는 일이다. 그래서 터키에 갔을

때는 공책만 서 너 권을 사들

고 온 것 같다. 올해 미국 여행

에서도 간신히 샌프란시스코 금문교에서 파는 마음에 드는 공책을 하나 구입했다. 또 경

유지 체코에서는 프라하의 아

름다움이 그려져 있는 노트를 구입하기도 했다. 며칠 전부

터는 튀르키예에서 사 온 작

러고 보면 난 여행에서의 찍 은 수많은 사진들보다 이런 기념품들 더 자주 보는 것 같 다. 여행지에 대한 그리움과 추억들이 묻어있는 자석, 스 노우볼(많지는 않지만) 그리 고 노트. 노트에 추억을 그리 고 써가며 더 의미 있는 기억 을 남기고 싶다. 터키에서의 추억을 가진 무지 노트 안에 인도에서의 일상을 그리는 것만큼 특별한 행위가 또 있을까? 다음에는 또 어떤 여행지를 가서 어떤 노트를 사게

내가 좋아하는 기념품은 스노

우볼이다. 작은 스노우볼 안

에 그 지역의 특별한 건물이

있고 움직일 때마다 눈이 내

리는 모습은 나의 감성을 충

만하게 해 준다. 하지만 남편

은 스노우 볼을 제일 쓸데없

는 물건이라고 생각한다. 그

래서 가까이 부탄과 두바이

빼고는 스노우볼을 거의 사지 못했다. 뭐 남편의 구박도 있

었지만 나 역시 무겁고 비싼 스노우볼을 어디에 보관할지 고민했었으니까. 그래서 그런 스노 볼을 볼 때면 그냥 기뻐 서 사진만 찍어댄다. '아~ 이

은 무지 노트에 그림일기를 그리기 시작했다.

노트를 펼칠 때마다 나는 터 키의 추억들을 기억한다. 그

스코틀랜드에서 종이접기 하

는 여자가 될 줄은 상상도 하

지 못했다. 애초에 한국을 떠

나 외국에 살게 될 줄도 몰랐

으며 어린이 전유물로만 생각

했던 종이접기로 돈을 번다는

거? (어휴, 두 손 힘차게 가로

저으며) 활동적인 나와는 어

울리지 않은 시나리오라 여

겼다. 우연과 우연이 쌓이는

순간마다 선택을 해야 했지만

바위처럼 묵직하기보다는 깃

털처럼 가벼웠다.

"한번 해보지 뭐, 안됨 말고."

이런 식이었다. 그렇게 한국을

떠난지 9년 만에 술에 물탄 듯

물에 술 탄 듯 나는 종이접기

수공예 작가로 거듭나 결혼기

념일 선물이나 카드 등을 팔

게 되었다. 30가지 이상의 제

품 중 가장 많이 나가는 건 신

랑 신부의 옷 접기다. 주문을

한 고객은 결혼사진을 보내

온다. 그러면 나는 갖가지 종

이를 들고 그들이 입고 있는

양복과 드레스를 비슷하게 접

어낸다. 스티커, 레이스 같은

걸로 꾸민다. 완성작을 액자

에 담아 배송하면 임무 수행

완료. 벌써 5년 차다. 이제 초

보 딱지는 뗀 것 같다. 지금은

온라인숍을 통해 전 세계인을

대상으로 팔지만 처음엔 동네

장사였다. 페이스북 마켓플레

이스에 "이렇게 접어드립니

다!"라고 광고를 올리며 시작

했다. 그러다 보니 가장 먼저

만든 건 스코틀랜드 결혼식

의상이었다. 스코틀랜드 예복

은 다른 나라와 확실하게 다 른 점이 있다. 바로 신랑의 옷

이다. 그들은 치마를 입고 결 혼한다.

남자도 치마를 입는 나라 스 코틀랜드. 여러분도 어디선

가 들어보지 않았을까? 그렇

다고 실크소재로 된 샤방샤

방한 디자인의 긴치마는 아니 다. 도톰한 재질의 무릎길이 치미다. 처음 이 나라에 도착

했을 때 관광객이 많이 다니

는 거리에서 그걸 입고 백파

이프를 부는 사람을 자주 마

주쳤다. 어떤 길거리 공연보

다 스코틀랜드스러운 풍경에

넋을 놓고 구경하곤 했다. 나

뿐만 아니라 다른 나라 사람

의 눈에도 마찬가지였던지 주

변은 늘 붐볐고 앞에 놓인 기

부 모금통에 얼마간의 현금을

넣고 연주자와 사진을 찍는

이도 많았다.

남자들이 치마 입고 결혼하는 나라

나 번즈 나이트(민족시인 로

전통의상인 이 옷 의 정식 이름은 '킬트'다. 몸 을 감싼다는 의미가 있는 단 어다. 치마와 함께 양복 재킷 을 입는 경우가 대부분이다.

평상복이 아니라 격식을 갖 춘 옷이다. 특별한 생일파티

번즈의 생일) 등 다양한 행사에 킬트를 입지만 가장

대표적인 건 바로 결혼식이 다. 그래서 나는 킬트를 만들

어야 했다.

그것의 또 하나의 특징은 치

마가 모두 체크무늬라는 점

이다. 이 나라에서는 그걸 '타

르탄'이라 부른다. 처음 결혼

식 종이접기 선물을 만들었을

때 다른 것은 종이로 접었지

만 치마 부분은 오래된 나의

체크무늬 남방을 잘라서 만들 었다. 하지만 곧 알게 되었다. 스코틀랜드에는 가문마다 고 유한 타르탄 무늬가 있다는

것을. 결혼식 때는 그 무늬로

된 킬트를 입고 하는 것이다.

아이디어를 얻어 고객이 입

은 것과 똑같은 타르탄 무늬

의 작은 왕국으로 나뉘어 있 던 시대에 하나의 클랜은 기 본적으로 같은 씨족으로 구 성되긴 했지만 충성을 맹세한

사람들도 클랜의 멤버로 받아

들였다고 한다. 특히 척박한

땅을 두고 영토 싸움을 해야

했던 스코틀랜드의 위쪽 지역

인 하일랜드와 아래쪽 지역인 로우 랜드에 클랜 문화가 발

달했다. 바꿔 말해 상대적으

로 살기 편했던 가운데 지역 에는 클랜이 생기지 않았다.

당연히 자기 집안의 타르탄도 없다. 정확히 셀 수는 없지만 지금까지 약 200개 이상의 클 랜이 이어지고 있다. 스코틀랜 드뿐 아니라 미국, 캐나다, 유

럽 등에서 클랜마다의 공동체 가 존재한다. 전통과 문화를 소중하게 여기며 정기적인 행 사도 연다.

를 인터넷에서 찾아 포토샵으

로 별도 편집을 해 인쇄했다.

그걸 접어 킬트를 만들었더니

생각했던 것보다 더 열광적인

반응을 얻었다. 가문과 전통을

중요하게 생각하는 그들은 감

사인사를 반복하며 어메이징!

원더풀! 판타스틱! 러블리! 영

만약 클랜에 속해 있지 않은 스코틀랜드인이라면 킬트를 입을 수 없을까? 놉! 그렇지 않 다. 심지어 이 나라 사람이 아 니더라도 누구나 킬트를 입을 수 있으며 무늬 또한 원하는 디자인으로 고를 수 있다. 새

어로 된 좋은 표현을 내 작품

에 갖다 붙였다.

로 무늬를 만들어 등록할 수

도 있다.

내게도 그 힘이 있는 덕인지 조그만 디 테일을 잘 살리는 편이다. 스코틀랜드에서 킬트 접는 한 국 여자라니. 마치 한국에서 한복 접는 영국 여자와 같은 격으로 어딘지 모르게 어색하 기도 하다. 더군다나 뭘 알고 시작한 게 아니라 하면서 알 아가는 중이기에 얼렁뚱땅 어 설픈 시간을 보내기도 했다. 5 년 동안 반복한 덕분에 접기 실력이 늘어가는 게 눈으로 보인다. 이제 스스로를 전문 가라 인정한다.

킬트는 보통 결혼식 정장에 비해 손이 많이 간다. 바지 접 기보다 치마 접기가 신경을

모든 가문이 자기만의

타르탄 무늬가 있는 것은

아니야

가문이다 타르탄 문양이 다

르다고 했지만 정확히 말하

면 '클랜'이다. 혈통으로 구성

된 가문보다 좀 더 넓은 개념 이다. 클랜의 기원을 알려면

스코틀랜드에서 킬트 접는

한국 여자

다양한 집안의 타르탄 무늬

를 편집하고 있노라면 마치 재단사가 된 기분이 든다. 캠

벨, 뷰캐넌, 맥캔지, 더글라스 등 여러 가문의 타르탄이 어

떤 색깔과 어떤 무늬인지 외

우게 되었다. 나에게 주문을 하는 고객이 있다는 게 들뜨 고 신기하다.

유칼립투스를 들여 바짝 말려

보낸 경험이 있는 분들이죠.

하지만 실수를 실수로 흘려

보내지 않고, 그 실수에서 배

우는 사람이 초록손으로 거

듭나는 게 아닐까 싶어요. 진

드기 등 각종 식물 병충해와

고군분투하는 과정에서 식태

기(식물+권태기)에 접어드는

분들도 있어요. 하지만 식물

을 좋아하고 잘 키우는 사람

은 결국은 식물에게로 돌아오

곤 해요. 아이가 내 마음대로

자라지 않는다고 포기하지 않

듯이, 내게 주어진 화분 속 작

은 생태계를 한 번 책임져 보

겠다 마음을 먹게 되죠.

저 또한 식물을 어느 정도 잘

키울 수 있을 때까지 수많은

시행착오를 겪었고, 지금도

알 수 없는 이유와 실수, 게으

름으로 인해 안타까운 경우가

종종 발생한답니다. 때론 아

무리 정성을 기울여도 화답

하지 않는 식물을 보면 마음

이 무척 답답해지곤 하죠. 하

지만 결코 포기하진 않아요.

SNS 속 인플루언서의 식물

처럼 멋들어지게 자라지 않

아도 이만하면 잘 키웠다, 만

족스러운 순간이 찾아옵니다.

따로 있을까요?

by 온유한 식물 누나

식물을 업으로 삼아 사람들과 소통하다 보면 '저는 식물 똥손인데요'. '저는 식물킬러인데요' 하는 웃지 못할 고백들을 많이 접하게 됩니다.

우리 집에만 오면 식물이 살아나가지 못한다고 스스로 '식물 저승사자'를 자처하며 다시 식물을 키울 생각은 없다는 분들도 계세요. 그런데 식물 똥손, 그리고 반대로 초록손(Green Thumb)이라는 게 과연 따로 있을까요?

되더라고요... 식물은 그냥 사서 키우면 되 는 것이 아니라, 어느 정도 식 물에 대한 기본적인 이해와 경험이 쌓여야 잘 키울 수 있 습니다. 반려동물을 키우기 위해서 여러 책을 읽고 영상 을 찾아보며 준비하는 분들 이 늘어나고 있듯이 식물 또 한 마찬가지입니다. 하지만, 다행히도

덴마크에서는 의사 없이 아기를 낳는다?

행복의 나라에서 육아 중인

쓸데없이 고학력인 여자의 이야기

덴마크로 이사를 오고 한 달 만에 임신을 했다.

첫째, 근처 약국에서 구입한 임신 테스트기로 양성 반응을 확인하고 나니 첫 번째 어려 움에 봉착했다.

산부인과를 어떻게 가지?

아니, 그냥 주변 산부인과 검색해서 찾아가면 되는 거 아니야?라고 쉽게 생각할 수도 있 지만 덴마크에선 이게 또 그렇지가 않았다. 왜냐, 여기선 산부인과 병원이 따로 없기 때 문이다.

응? 덴마크는 모든 합법적 거주자들에게 담당 의사가 있고 어떤 건강상의 문제가 생기면 그 의사에게 먼저 확인을 받아야 하는 시스템이다. 문제는 그 당시 난 거주증이 없었다는 것. 그렇기에 배정받은 의사도 없었다는 것.

덴마크어도 문화도 아무것도 모르는 백지상태에서, 덴마크 엄마들, 그들만의 세계로 입성을 해버렸다. 이곳에서 출산과 육아를 한 지 이제 2년, 또 5개월 전 8개월의 아기를 동반한 이 주간의 한국 방문을 통해 생생히 느꼈던 차이점에 대해서도 이후 하나씩 이야기해보려고 한다. ( 물론 어디가 맞고 어디는 틀리다의 이야기는 아니다. 단지 두 나라에서 모두 이방인인 우 리 가족의 단편적인 경험들을 담아 볼 뿐이다.)

직장을 통해 먼저 거주증을 발급받은 남편을 통해 진료를 받을 수 있었다. (거 의 백 프로 예약제로 운영하기 때문에 덴마크어로 나와있는 전화 안내를 구글 번역기로 돌려가며 겨우겨우 예약했다. 모든 게 처음이었기에 온라인 예약은 생각도 못 했었다.)

둘째, 영어가 잘 통하지 않았던 의사와 겨우겨우 미팅을 끝내고 깨달았다.

뭐? 아기를 의사 없이 산파와 낳는다고? 그렇다. 덴마크에선 임신과 출산 그 모든 과정을 산파와 함께 한다. 간단한 소변검사를 마 친 후, 나는 임신기간 동안 출석해야 하는 산파와의 미팅일정들을 받았는데 놀란 점은 의 사와는 거의 만나지 않는다는 것이었다.

나의 궁금증은 진료를 마치면서 조심해야 하는 음식들이 있냐는 나의 질문에 관한 의사 의 대답으로 풀렸다. "그런 건 없어. 넌 임신을 한 거지 아픈 게 아니야."

담배나 술을 이제 와 시작하는 게 아니면 매일 마시는 커피도 좋아하는 매운 음식도 다 괜찮단다. 아픈 게 아니기 때문에 임신기간 동안 의사와 만날 필요도 없는 것이다. 정말 이상하다고 생각했던 것이 그 한 문장으로 바로 납득이 되었다. 그리고 이것은 외국에서 첫 임신과 출산을 하게 된 내가 두고두고 되뇌이는 말이 되었다.

이제 와 생각해 보면 당연한 말인데 그 당시엔 그렇지가 않았다.

셋째, 출산예정일을 한주정도 앞두었을 당시 8시간 이상 태동이 느껴지지 않아 새벽 4 시에 급히 근처 대학병원 응급실을 찾아갔다. 개인병실에서 6-7시간 정도 있으면서 2시 간마다 의사가 들어와 체크를 했는데도 태동이 없어 유도분만을 준비해야 한다고 했다.

하지만 다행히도 유도분만 준비 바로 전 초음파 검사에서 아기가 아주 조그맣지만 확실 한 움직임을 보여주었다. 의사들도 그제야 안심을 했는지 우리에게 웃어 보이며 이제 그 만 집으로 돌아가라고 했다. 힘들었던 마음을 부여잡고 주섬주섬 짐을 챙겨 병실을 나와 진료비 납입 창구를 찾았다. 새벽에 입원을 해 의사도 여러 명이 들어왔었고 초음파 검사 도 3번 이상 했었기에 당연히 퇴원 절차가 있을 거라고 생각했었다. 하지만 아무리 복도 를 이리저리 다녀 보아도 아무도 없는 것이 아닌가.

병원 사무실 창구가 보여 급히 다가가 진료비는 어떻게 납입을 해야 하냐고 물어보니,

진료비는 필요 없어. 그냥 나가면 돼~ 잘 가!

라는 것이 아닌가. 그러고 보니 일반 진료도 돈을 낸 적이 없는데 대학병원 응급실 야간

식빵에 계란옷 입히기

며칠 전, 언니가 프렌치토스 트를 만들어 보겠다며 재료 주문에 나섰다. 나는 이곳저

곳에서 레시피를 모아가며 요

리에 대한 욕심들을 풀어놓

은 시간들이 무색하게 정작 프렌치토스트를 직접 만들어 본 기억이 없음을 뒤늦게 깨 닫는다.

프렌치토스트는 우리가 중고

등학생 시절, 엄마 대신 늘 식 사뿐 아니라 도시락까지 챙겨 주었던 아빠가 자주 만들어

주었던 추억의 메뉴다.

고등학교 점심시간, 도시락 통을 열었는데 익숙한 토스트

가 들어 있던 날의 기억이 생

생하다. 계란물을 입혀 구운

토스트다. 함께 점심을 먹을

친구들을 배려한 아빠는 몇

가지 반찬도 통에 담아 도시

락 가방에 넣어 주셨다. 토스

트와 반찬이라니. 영 어울리

지 않는 조합이지만 '철두철 미'한 아빠의 성격이 보여지 는 도시락이다.

우리 가족에겐 특별하지 않

았던 메뉴였기에 함께 도시 락을 먹었던 친구에게도 권하

지 않고 토스트 한 입을 베어 물었다.

"하나 먹어봐도 돼?"

토스트를 부러워하며 조심스 럽게 하나 먹어 봐도 되는지 물어보는 친구의 반응이 참 어색하고 낯설었다.

"그냥 계란물을 입힌 식빵인 걸."

무심한 대답과 함께 젓가락으

로 토스트 하나를 집어 친구

의 도시락 통에 넣어주었다.

토스트의 맛을 궁금해하며 부

러워하던 친구는 입에 넣기도

전부터 감탄사를 연발하더니

정말 정말(!!) 부드럽고 맛있

다는 감탄을 연신 늘어놓는

다. 처음 먹어보는 토스트라

는 말과 함께 자기 집에서는

볼 수 없는 메뉴라는 설명까

지 덧붙이며 누가 만든 건지,

어떻게 만든 건지 꼼꼼하게

레시피까지 물어본다. 그렇게

긴 감탄사와 반응 역시 어찌 나 낯이 간지러웠는지.

나는 (솔직히 말하면 직접 만

들어 본 적도 없으므로) '잘

알지도 못하면서' 제법 자세 하게 레시피를 가르쳐 준다.

하지만 지금은 어떤 식으로 설명해 주었는지조차 기억에 없다. 사실 그날의 나는 프렌

치토스트에 대한 어떠한 사

전지식도 없는 상태였으니까.

프렌치토스트를 만들어 보겠

다는 언니에게 그런 일이 있 었노라고 처음으로 그때의 기 억을 꺼내놓았다. 시시콜콜한

이야기를 모두 공유하는 우리

지만 그럼에도 불구하고 빼먹

은 이야기들이 많다.

언니는 아빠가 토스트를 만

들어 준 것은 기억하면서도

도시락에 넣어준 기억은 없

는 듯했다. 어쩌면 우리의 나

이 차이만큼 아빠가 만들어준 도시락의 메뉴 구성에도 약간 의 세대 교체가 있었을지 모 를 일이다.

"아빠는 어떻게 계란물을 입 혀서 만들 생각을 했을까. 나 이 먹고 생각나서 아빠한테 한번 물어봤었는데 아빠는 그 냥 알지 그걸 왜 몰라 그러더 라고."

아빠는 늘 그런 식이다. [그냥 알지, 그걸 왜 몰라..]라는 식

아빠 나이대의 남성이 모를 법한 것들을 너무나 잘 알고

있는 아빠가 신기하고 궁금해 서 어떻게 알았는지 물어보면 아빠는 늘 그냥 알지, 그걸 왜 몰라라고 답했었지.

"냉동된 식빵으로 만들어야 해서 촉촉하게 만드려고 계란 물을 입혀본 게 아닐까?"

아빠는 호기심이 많은 성격에 탐구심과 응용력도 뛰어난 분 이었으므로 충분히 가능성이 있는(?) 이야기다.

누군가에게는 별스럽지 않은 소재일 수 있지만 아빠와 함 께 했던 시간 속의 일들은 언 니와 나의 대화 속에서 끊임 없이 재생산된다.

정작 아빠는 당신이 만든 토 스트가 '프렌치토스트'라는 근사한 이름으로 불린다는 사 실을 몰랐을 것이다. 나 역시 대학을 졸업하고나서도 한참 후에야 프렌치토스트라는 메 뉴를 처음 알았고, 계란물을 입힌 식빵이 아빠만의

큼 부드럽지 않다며 아쉬워한 다. 얇게 썰린 식빵을 사용했 어야 하는데 부피감 있는 식 빵을 사용해서 푹신하고 부 드러운 느낌이 잘 살지 않은 것이다. 하지만 나에게 맛보 다 중요한 것은 토스트에 담 긴 그 시간 속의 감성이었다. 아빠의 두껍고 뭉툭한 손으로 계란물을 듬뿍 입혀 만든 토 스트가 정성스럽게 담긴 나의 도시락.

쇼윈도 부부로 살아요

언젠가 사람들과 만나 한참 수다를 떨다가 이런 얘기를 들은 적이 있다.

"그 사람들 사실 쇼윈도 부부 야. 애 때문에 이혼은 못하고 그렇게 살고 있나 보더라."

그 얘기를 들었을 때 사실 놀 랐다. 내 주위에 잉꼬부부도

없지만 딱히 쇼윈도 부부라 고 할만한 사람이 없었고, 한

편으로는 사람들이 남의 가정

사를 어찌 알고 소문을 퍼뜨

리는지도 놀라웠다. 작은 도 시에 살다 보니 사람들 입소

문이 빠르고, 모임에 잘 참석

하지 않는 나는 제일 마지막

에 소식을 듣거나 모르고 지

나가기도 한다.

쇼윈도 부부는 연예인, 스타

들의 이야기 아닌가. 사이좋

은 부부인 척 연기하다가 얼

마 지나지 않아 '우리 이혼했

어요'하고 나오는. 부부 사이

라는 게, 참 그렇다. '남'이 '님'

으로 발전하다가 부부의 연을

맺었으나, 그 '님'이 다시 '남'

이 되기까지는 오랜 시간이

걸리지 않을 수도 있다.

결혼한 지 벌써 18년 차. 여

러 번 이혼의 고비를 넘겼으

여행하고 산책하고 이런 부부 만 눈에 들어온다. 어쩌면 그

런 부부도 전날 싸우고 오늘 화해했거나, 평소엔 '밥 먹자.

아이는? 자자' 이 말만 하다가 갑자기 사이 좋아진 지 1일차, 이런 것일까?

서로가 이혼이나 졸혼을 꿈꾸

지만, 아이들 때문에 또는 다

른 이유로 그 속내를 감추고

살아가는 부부가 생각보다 많 을지도 모른다. 남편은 원래 도 몸을 주체하지 못할 정도

로 술을 좋아했고, 친구와 밤

서로

나, 나 또한 쇼윈도 부부가 아

닌가 싶을 때가 종종 있다. 이

번 명절에도 싸우고 나는 아

직 풀리지 않은 상태다. 먼저

화낸 것은 남편인데 다 풀렸

는지 실실 웃으며 말을 거는

모습이 꼴도 보기 싫다. 겉으

로는 다정한 것처럼 보이다가

어느 순간 싹 돌아서는 것보

다, 남들 앞에서도 사이좋은

척 연기하지 않기에 엄밀히

쇼윈도 부부는 아니라고 할지

도 모르겠다. 그리고 그렇게

감정을 표현하는 것이, 아예

담쌓고 외면하는 것보다 나을

지도 모른다.

부모의 반대를 무릅쓰고 짧

고 불같은 연애를 하고 서둘

러 결혼을 한 우리인데, 어쩌

다가 이렇게 되어 버렸을까.

쇼윈도 부부이든 아니든, 어

쩌면 보통의 20년 차 부부가

다 이렇게 냉담하게 살아가는

것일까? 내 눈에는 사이좋게

새워 술을 마실 때도 있었다. 그리고 작년에는 잠깐 여자 문제까지 있어서 정말 이혼 할 뻔했다.

어릴 때는 연속극을 보며 남 자에게 속고 사느니 진실을 아는 편이 낫고, 그리고 당당

하게 이혼할 것이라고 생각했

다. 참고 사는 것은 바보나 하

는 짓이라면서, 아이를 위해

참고 산다는 것은 오히려 아

이를 불행한 가정에서 키우는

어리석은 짓이라 생각했다.

하지만, 내가 겪어보니 이혼

하지 못하는 것에는 많은 복

합적인 이유가 있었다. 따지

자면 이혼해야 할 이유도 많

지만, 이혼하지 못하는 이유

가 더 강력했다. 가장 큰 이유

는 아이들이었다. 아이들 때

문에 결혼을 유지하고, 싸우

면서도 쇼윈도 부부처럼 살아 가고 있다.

한때 사랑해서 결혼했던 우

나중에는 방랑자로 살 다가 재산을 다 기부하고 죽 을 것이라고 한다. 예전부 터 자기는 산에 들어가서 죽 을 거라는 둥 허무맹랑한 말 을 했다. 나는 그의 비상식 적인 사고가 너무 이해가 가 지 않았고, 남편은 결혼하면 안 될 사람이라는 생각이 들 었다. 평범한 사람과는 사고 가 너무 다른 자유로운 영혼 이었다. 그렇게 살려면 결혼 을 하지 말 것이지, 왜 결혼을 하고도 마음대로 살면서 나 를 이렇게 고생시키는지 모 르겠다. 우리는 이미 시한부 부부라는 생각이 든다. 이런 글을 쓰기 까지 고민이 많았다. 밖으로 꺼내놓으면 진짜 사실을 인 정하고 그렇게 될 것만 같아 서 참고 참았다. 내 마음이 곪 아 터져도 그냥

내가 500원

동전을 삼켰던 이유

살면서 한 두 명에게 말했던 가. 그마저도 서른이 넘어서 말할 수 있었다.

오랫동안 나만의 비밀로 간 직했던 숨기고 싶은 안쓰러운 기억을 하나 꺼내보려고 한

다. 어렴풋하지만 그때 나는

7살 내지 8살쯤 되었던 것 같

다. 아빠는 일을 다니셨고, 엄

마가 운영하시는 한식당이 있

었고 그 가게 뒤편에는 우리

집이 있었다. 가게와 집을 사

이에 두고 작은 마당이 있었

는데, 그곳에는 아빠가 만들

어주신 그네도 있었고 파라솔

과 대청마루도 있었다. 바쁜

부모님을 뒤로하고 언니 둘과

나는 줄곧 그곳에서 하루 보

내곤 했다.

당시 엄마의 가게에는 '회식

방'으로 불리는 큰 단체 테이

블이 있는 룸이 있었다. 그곳

은 영업이 끝나면 아빠의 동

네 친구들이 놀러 와 늦게까

골드코스트 유니마트

지 술을 마시곤 하는 일명 아 지트였다. 술과 담배 냄새가 자욱했고, 왁자지껄 떠드는 아저씨, 아줌마들의 수다는 가게 담을 넘어 집까지 들르 곤 했다.

나에게는 5살 위의 큰언니 한

명, 3살 위의 작은 언니가 있

었다. 둘은 죽이 잘 맞아 항상

다투면서도 어울려 놀았고, 나는 어리다며 놀이에 잘 껴

주지 않았더랬다. 그날도 언

니 둘은 늦어지는 부모님을 기다리며 팩 게임을 했던 것 같다. 둘이 항상 2인용으로 게

임했기에 나는 주로 옆에서 구경하는 걸 자처했는데 그날

은 그마저도 지루했나 보다.

아저씨들과 술을 거하게 걸

치고 계신 아빠에게 다가갔

었다. 아빠는 날 조금 쳐다보

시다 방에 가서 언니들과 놀

라고 하셨다. 엄마는 술안주

를 만드시는지 가게 주방에서

바삐 움직이셨다. 정확히 그

때 500원 동전이 어디서 났는

지 모르겠지만, 아득한 내 기

억 속에 나는 500원짜리 동

전을 손에 쥐고 있었다. 여기

저기 배회하다 문득 그 500

원 동전을 삼키고 싶어 졌었

다. 왜 그랬을까. 그걸 왜 삼키

고 싶은 충동을 느꼈을까. 지

금도 그 시절의 나로 돌아가

기억을 되짚어 마음을 헤아려 본다. 그 마저도 들킬까 봐 몰

래 가게 화장실에 들어가 꿀 꺽 삼켰다. 작디작은 내 목구

멍에 500원 동전은 매우 컸 고, 정말 위험천만한 일이었 다. 목이 답답할 만큼 이질감

이 느껴져 문득 불안감이 엄 습했었다. 화장실 세면대에 물을 틀어 마셔도 보았다. 물 을 과장되게 꿀꺽하고 삼키니 조금 괜찮아진 것 같았다. 하

지만 목과 가슴 언저리가 답 답하고 뻐근하게 느껴졌다.

그렇게 어두운 가게 화장실

에서 쌩쑈를 벌이다 아빠에게 다가가 귓속말로 솔직히 털어 놓았다.

"아빠 나 동전을 삼켰는데 목

이 아파요"

아빠는 내가 한 황당한 말을

듣고 눈이 휘둥그레 해져서

는 나를 밖으로 데리고 나오

셨다. 쪼그리고 앉아 내 입안 과 목을 한참을 만져보시며 괜찮은지 살피셨다. 그때 아 빠가 나를 바라봐주시는 다정 하고 걱정스러운 눈빛이 좋았 다. 관심받고 있구나를 느끼 며 기뻐했던 기억이 있다. 그 리곤 주방으로 가셔서 나에 게 맨밥을 몇 숟가락 먹으라 고 하셨던 것 같기도 하다. 그

리고 내가 괜찮은지 확인하고

는 다시 술자리가 펼쳐진 방 으로 돌아가셨다.

다시 나는 혼자가 되었다. 호

했다. 누가 알기라도 하면 엄 마에게 알려지는 건 시간문제 라고 느꼈기 때문이다. 엄마 가 아는 날에는 절대 무사하 지 않을 거라 믿어 의심치 않 았기에 극한의 초조함을 느끼 며 다리까지 떨렸었다. 며칠 이 지나도 교무실에서도 나 를 부르지 않고, 엄마도 별말 이 없으신 걸 확인하고서야 내 몸에 500원 동전이 드디어 밖으로 나왔나 보다 생각하며 안도했었다. 내가 왜 이 기억을 아무에게 도 말하고 싶지 않았는지 오 랫동안 문득문득 떠올랐다. 초등학교나 들어간 녀석이 어 리석게 500원 동전을 삼켰다

부부의 거리

남편이 다시 핸드폰을 보기 시작했다. 우리 사이에 다시 평화가 찾아왔다.

두 손은 다을락 말락 한 거리를 두고 나란히 앉아 나는 티브이를 보고 남편은 핸드폰을 보며 각자 편하게 쉬는 시간. 아… 행복하다.

나를 쳐다봤다.

뚫어져라 지그시 빤히 쳐다봤다.

5초가 지났다.

그만 봐라. 10초가 지났다.

그만 보라고.

15초가 지났다. 더 보면 맞는다.

버리는 물건으로

깨끗한 집 만드는 방법

과일망을 활용한 살림 꿀팁

안녕하세요. 심플한 살림 팁을 전하는 헤이두입니다. 저는 요즘 일상 속에서 친환경 살림을 실천하려고 노력하고 있는데요. 버려질 뻔 한 물건을 한 번 더 사용하고 그 쓰임이 유용할 때 느끼는 기쁨은 살림에 즐거움을 더해 줄 수 있다는 걸 느꼈어요. 그래서 오늘은 제가 느낀 즐거움을 여러분들에게 조금 나누고자 합니다. 환경도 보호하고 생활에 편리함을 주는 알아두면 정말 유용한 재활용 살림 꿀팁 지금 바로 소개해 드릴게요 :)

과일망을 살림에 활용하는 방법

선물 포장재에 자주 쓰이는 과일 그물망. 이 포장재는 분리배출이 어려워 꼭 일반 쓰레기 버려줘야 해요. (언뜻 보면 스티로폼 같지만, 재활용되지 않는 PE 재질입니다.) 그래서 저 는 이왕 버려야 하는 거 한 번 더 유용하게 써먹고 버리자는 마음으로 모아두고 있어요. 이 과일망을 살림에 유용하게 활용하는 꿀팁 알려드릴게요.

| 식기 보호 매트로 활용 아끼는 식기 보관할 때 식기나 프라이팬 보호 매트로 활용할 수 있어요. 과일 망을 적당한 크기로 잘라서 냄비나 프라이팬 사이에 넣어주세요. 과일 망을 깔아주면 프라이팬이나 냄 비에 스크래치가 나거나 달그락거리는 소리를 줄일 수 있어요. 아끼는 그릇을 겹쳐서 보관할 때 깔아줘도 좋겠죠? :)

| 비누 받침대로 활용

그리고 주방이나 욕실에서 사용하는 비누 받침대로 활용해 보세요.

과일 망은 물 빠짐과 통기성이 좋아서 비누가 쉽게 무르지 않고 관리가 수월해요.

| 일회용 수세미로 활용

기름기 가득하거나 양념이 많이 묻은 식기를 닦을 때 일회용 수세미로 활용해도 좋아요.

수세미가 더러워지거나 기름이 묻는 것이 방지됩니다.

거품도 잘 나고 은근 세척력도 좋아요. :)

더러워진 싱크대와 배수구 청소용으로도 활용할 수 있어요.

더러워진 과일 망은 간편하게 그냥 버리면 됩니다 :)

화장실 세면대나 수전 청소할 때도 활용하면

상태가 괜찮다면 바로 버리지 않고 청소용으로

| 화분 거름망으로 활용 화분 거름망으로도 활용 가능합니다. 저는 키우던 식물 화분이 깨져서 새 화분에 분갈이를 해주는데 활용했어요.

차 이 나

이민 1세대 정보 부족으로 선거 캠페인 못 따라가 부모에 정보 전달할 자녀 역할 중요 한달 앞으로 다가온 보이스 국민투표 결과가 부모 세대에 정보를 전달할 이민 2 세들의 브릿지 역할에 달려 있다는 목소리가 나왔다. 호주 정부가 보이스 국민 투 표와 관련 이민자들의 특수성을 반영하지 못하면서 정보 격차가 발생하고 있다는 취지이다. 호주 국영 ABC는 실제 인도 이민자 가정의 상황을 전했다.

심란지트 코어(Simranjeet Kaur)는 15년 전 가족과 함께 인도에서 호주로 이주 했다. 그녀의 부모는 호주에 오기 전에 호주에 대해 전혀 몰랐으며 호주에 오고 나 서야 호주에 대해 배우기 시작했다. ‘보이스’ 국민투표 실시가 발표되었을 때, 그 녀의 부모는 그것이 무엇을 의미하는지, 자신들이 속한 지역 사회 및 다른 지역 사 회에 어떠한 영향을 미칠 지에 대해 전혀 알지 못했다.

시드니의 맥쿼리대학교 법대생이자 래디컬 센터 개혁 연구소에서 공동체 교육 을 담당하고 있는 코어는 자신의 부모가 읽을 수 있는 펀자브어로 된 자료가 많 지 않다는 것을 알고 나서 ‘보이스’ 국민투표에 대하여 대화와 토론을 하기 시작 했고 그들이 원주민을 위한 국민투표에 찬성하는 견해를 갖는데 도움을 주었다. "이민자로서 우리는 이 땅의 원주인인 사람들에게 우선권을 주어야 합니다. 우리 는 그들을 존중해야 합니다"라고 그녀의 아버지 자그타 싱(Jagtar Singh)은 말했 다. 코어는 자신이 부모와 이러한 대화를 나눈 것에 대해 기쁘게 생각하지만, 지 역 사회 교육의 부담이 자신과 같은 젊은이들에게 전가되는 것은 공정하지 않다 고 생각한다. 특히, 영어가 제2외국어인 사람들이 대부분인 지역 공동체의 경우 이용 가능한 자료와 정보가 충분하지 않은 상황에서 교육을 책임지는 것은 어려 운 일이기 때문이다.

인구 조사에 따르면 호주인의 절반 이상이 해외에서 태어났거나

한 명이 해외 출생자이다. 시드니 공과 대학(UTS)의 사회학 명예교수인 앤드

qldkoreanlife.com.au qldkoreanlife

그러면서 팬데믹의 경우가 이민자 및 다문화 공동체의 사람들이 정책 형성과 의 사 소통에 거의 참여하지 못한 전형적인 예라고 지적한다. 그리고 이로 인해 발생 한 정보 격차의 해소에 대한 책임이 지역 사회의 다른 구성원, 특히 호주에서 나고

자란 젊은 사람들에게 전가된다고 말한다.

이러한 정보 격차는 또한 잘못된 정보로 인한 혼란을 야기하기도 한다. 호주 중국

인 공동체 위원회(Chinese Community Council of Australia)의 빅토리아 지부

장인 지미 리(Jimmy Li)는 국민 투표에서 찬성 입장인 위원회가 지난 몇 주 동안

반발에 직면했으며, 그것은 국민 투표가 찬성으로 통과될 경우 원주민들에 대한

특별한 대우를 위해 세금이 올라갈 것이라는 잘못된 정보로 인한 것이었다고 말 했다. 익명의 소셜 미디어에 의한 잘못된 정보에 의존하기 쉬운 지역 사람들에게

지미는 지역 사회의 문을 두드리며 그들과 직접 얼굴을 맞대고 대화하려 노력하 고 있으며, 실제로 긍정적인 효과를 얻고 있다고 말했다. '찬성' 캠페인을 지지하

는 자쿠보비츠 교수는 '찬성' 진영과 '반대' 진영 모두 젊은이들이 가족 구성원들

의 표를 좌우하는 데 얼마나 중요한지를 주목해야 한다고 말한다. 그들 중 많은

사람들이 이미 자신들의 부모나 조부모를 위해 통역을 한 경험이 있으며 이로 인 해 그들은 신뢰할 수 있는 커뮤니케이터가 되었다고 말한다.

다가오는 연말연시, 셧다운 규정 변경 사항은?

올해 5월, 근로기준서에 새 모델 조항 삽입

크리스마스가 90일도 채 남지 않은 지금, 고용주는 크리스마스와 새해 휴무 계획 을 세우고 미리 확인해야 한다고 법률 전문가는 조언한다. 고용주는 크리스마스, 연말 등의 연휴 기간, 통상적으로 사업 활동이 감소하는 시기, 또는 특정 사업에 대 한 수요가 없는 기타 시기에 일정 기간에 '셧다운(shutdown・집중휴무)'을 할 권한 이 있다. 법무법인 워크플레이스 로(Workplace Law)의 셰인 코엘마이어(Shane Koelmeyer) 이사는 지난 5월 근로기준서(modern awards)에 기존 셧다운 규정을

대체하는 모델 조항이 삽입됐다고 설명했다. 새 조항은 고용주가 사업 운영의 전부

또는 일부를 일시적으로 중단할 계획이 있고, 해당 기간에 영향을 받는 직원이 연차 휴가를 사용하기를 원하는 경우에 관한 규정을 명시하고 있다.

첫째, 고용주는 근로자에게 임시 셧다운 기간 또는 고용주와 관련 근로자의 과반이 합의한 더 짧은 기간을 28일 전에 서면으로 통지해야 한다.

둘째, 고용주는 임시 셧다운 동안에 연차 휴가를 사용하도록 근로자에게 지시할 수 있다. 다만, 이 지시는 반드시 서면으로 이루어져야 하며, 그 사유는 합리적이

어야 한다.

셋째, 만약 근로자에게 쓸 수 있는 연차 휴가가 충분하지

코리안라이프

밤 11시 45분, 조용한 집안.

오늘도 어김없이 남편의 휴대

폰에서 요란한 소리가 울려 퍼진다. ‘취침시간’ 알람이다.

남편은 늘 그렇듯 알람을 끈

후 하던 일에 몰두한다. 어차

피 잘 것도 아니면서 알람은

왜 맞춰 놓는가 싶지만, 이렇

게라도 하지 않으면 밤이 되

어 자야 한다는 사실을 잊어

버리기 때문이다. 그가 잊어

버리는 것은 취침시간만이 아

니다. ‘그 일’ 이외엔 대부분의

것을 잊어버린다. 아니, 신경 쓰지 않는다.

하루는 퇴근시간이 다 되어 가는 늦은 오후, 내게 전화를

해서 뜬금없는 소리를 해댔

다."혹시, 오늘 집 앞 전철역

에서 구두끈 못 봤어?”

어처구니가 없다. 구두도 아

니고 ‘구두끈’이라니. 그는 하

루종일 구두끈이 없어 덜컥대

는 구두를 신고 있었음에도,

동료 선생이 "왜 구두끈을 안

매고 다니는 거야?” 물어보기

전까지 아무런 불편을 느끼지

못했다. 그 말을 들은 후부터

걸음걸이가 불편해서 신기했

다고 웃으며 말했다. 정신을

딴 데 팔고 있으면 웬만한 신

체적 불편함은 느끼지 못하는

법이다. 전날 저녁, 그는 구두

끈이 낡았다고 아무래도 교

체해야 할 것 같다고 혼잣말

을 했다. 남편은 구두끈을 교

체하려고 구두에서 끈을 뺐을

거고, 다시 끼워 매는 것을 잊

어버린 것이 틀림없다. 구두

끈을 빼는 데 너무 많은 시간

을 써서 서둘러 해야 할 중요

한 일을 얼른 다시 해야 했으

니까.

구두끈 에피소드와 비슷한 일

화는 한두 개가 아니다.

나는 미친놈과 결혼했다

그는 신발 밑창을 반나절 동

안 잃어버린 적도 있으며, 방 금 시계방에서 찾은 시계를

잃어버린 적도 있다. 어떤 일

을 잊어버리거나 물건을 잃어

버리는 것이 일상인 그지만,

시계를 잃어버렸던 날은 잠

을 설치기까지 했다. 결혼 기

념으로 장모가 그에게 선물한

것이기 때문이다. 옆 동네에

있는 시계방에서 전지를 갈

고 오겠다고 집을 나선 그는

집에 돌아와서야 자신이 시계

를 잃어버린 것을 알았다. 시

계를 찾으러 다시 집을 나서

려는 그를 내가 말렸다. 이미

늦은 밤이었고 느닷없이 폭

우가 쏟아지고 있었다. 시계

방에서 시계를 찾은 것은 확

실하다고 하니 길거리 어딘가

에 떨어뜨렸을 게 뻔하다. 그

는 뭐든 바지 앞주머니에 대

충 쑤셔 넣는 버릇이 있다. 바

지 주머니에 넣었다 잃어버리

는 일을 그만큼 겪었으면 고

남편의 뒷모습. 그는 ‘그 일’ 이외엔 대부분의 것을 잊어버린다. 아니, 신경 쓰지 않는다.

칠 만도 한 습관인데, 고칠 생

각을 하지 않는 것인지, 바지

주머니에 넣었다 잃어버린 사

실들을 모조리 잊어버린 것인

지 알 수 없다 시계를 떨어뜨

린 장소가 어딘지도 모르면서

폭우 속을 헤매는 일은 헛수

고일 게 뻔하다. 왜 시계를 시

계방에서 찾자마자 손목에 차

지 않았는지, 왜 가방 속에 넣

지 않았는지, 잔소리를 하는

것도 귀찮았다. 그런 말을 해

봤자 그의 습관이 고쳐질 리

없다. 습관이 몇 마디 잔소리

로 고쳐지는 것이었다면 이

세상 누구도 나쁜 습관을 가

지고 있지 않을 것이다. 짜증

이 났지만 짜증을 낸다고 잃

어버린 시계가 돌아오는 것

도 아니고, 시계를 분실한 당

사자가 그날따라 극심하게 본

인의 부주의함을 자책하고 안

타까워하는 모습을 보여 아무

말도 하지 못했다. 다음날 아

침, 꼭두새벽부터 현관에서

나는 소리에 잠에서 깼다. 남

편이었다.

"이 시간에 어딜 가는 거야.”

"시계 찾아올게. 밤새 기억을

더듬어봤는데, 시계방 옆 과

일가게 앞에서 뭔가가 떨어지

는 소리를 들은 거 같아. 아마

시계였을 거야.”

걸으면서도 그가 포기할 수

없는 ‘그 일’에 몰두하느라 물

건이 떨어지는 소리 따위 신

경 쓸 정신이 없었던 게다. 성

질이 불끈 났다.

"네가 만약 시계를 찾으면 그 건 기적이다. 기적!”

나는 짜증이 밀려와 그냥 방

에 들어가 잠을 잤다. 얼마 후

현관에서 나는 소리에 잠에서 깼다. 그가 손에 손목시계를

들고 환하게 웃고 서 있다. 기

적이 일어난 것이다.

"정말 기적이야! 과일가게 앞

에 커다란 트럭이 세워져 있

었는데, 트럭 뒷바퀴 바로 뒤

에 시계가 떨어져 있었어. 길

바닥에 있었으면 누군가 벌써

주워갔을 텐데 말이야. 그리

고 트럭이 어젯밤 그 폭우에

서 시계를 지켜줬어!”

기적이 이런 식으로 다가온

게 아쉽기는 했지만, 기분이

나쁘지는 않다.

기적이다. 기적.

"어… 시계가 죽었네…. 어 젯밤에 전지를 갈아 끼웠으 니 전지의 문제는 아닐 테고.

이런….”

"다시 시계방에 갖다 줘!”

"아마, 밤새 온 비 때문일 거 야. 너무 습해서 그럴 수도 있 어. 시계를 헤어드라이기로 말려봐야지!”

"네가 만약 시계를 드라이기

로 말려서 고칠 수 있다면 그

건 기적이다. 기적!!”

작가 이만교는 결혼은 미친 짓이 라고 했던가? 나는 결혼이 미 친 짓이라고 생각하지 않는 다. 그저 내가 ‘미친놈’하고 결 혼했을 뿐이다.

가로 열쇠

1. 우리나라 고유의 형식으로 지은 집

2. 큰방의 뒤쪽에 딸린 작은방

4. 어떤 일에 대하여 전혀 모르는 상태

5. 무엇인가를 잃어버린 후의 느낌

7. 범위나 크기가 작음

9. 묵은해를 보내고 새해를 맞음

11. 종각에 걸려 있는 종

13. 능의 정면에 세우는 붉은 칠을 한 문

15. 같이 어울려 다니는 사람의 무리

16. 동물성과 식물성을 섞어 먹음

17. 자기가 사는 집의 근처

18. 부유하게 보이는 모습

세로 열쇠

1. 한 번 벌이는 판

3. 추위를 막기 위하여 쓰는 모자

4. 제작과 방송이 동시에 이루어지는 방송

5. 사람의 몸에서 허리 위의 부분

6. 양이나 수치가 줆

8. 조선시대 왕실 도서관

10. 구겨져서 생긴 잔

11. 보자기에 물건을 싸서 꾸린 뭉치

12. 연말에 근무를 끝낼 때에 행하는 의식

13. 허균의 소설 속 의적

14. 대문 옆에 붙이는 작은

16. 여러 가지 자질구레한 티

스도쿠 SUDDOKU

김선생 수학

오랫동안 우울한 감정을 더 이상 많이 느끼지 않 았다. 젊었을 때는 생리 증후군이 있어서 생리전만

되면 기분이 우울하고 작은 일에 짜증이 쉽게 난

적이 있었는데 세월이 흐르면서 조금씩 성숙해져

가고 감정을 다루는 법을 배우고 나를 이해하면서 어느 순간부터 우울한 감정이 거의 없어지게 되었

던 것이다. 하루를 감사하면서 살아오던 날이었는

데 어제 아침에는 일어나는 데 왠지 많이 우울하다

는 느낌을 받았다. 그렇지만 마음을 다잡고 해야 할 일이 많은 월요일이기에 아이들 도시락을 싸고

사무실에 출근을 해서 일을 하고 모임에 참석을 하 고 공원을 산책하고 집으로 돌아왔지만 우울감의

원인이 무엇인지 찾기가 쉽지가 않았다.

오늘 아침에도 어제의 연속인 듯 침대에서 나오

는데 눈이 잘 떠지지 않고 온 몸이 피곤한 듯 아

무것도 하기가 싫어서 마음으로 “오늘 아이들 도

시락을 그냥 돈을 주고 사 먹게 할까?” 라는 생각

까지 하면서 일어나다가 “그래도 이러면 엄마가

안돼지!” 라는 생각으로 나를 다독여 가며 부엌으

로 갔다. 그런데, 신기한 일이 일어났다. 아들이 부

엌에 들어오면서 “엄마, 나 오늘 왜 이렇게 피곤

하지? 너무 너무 일어나는 게 힘드네.” 그 이야기

를 듣고 나도 비슷한 증상이 있다고 말하자 아마 도 알러지 때문일 수 있다고 말을 이어갔다. 그

리고 나서 조금 있다 일어난 딸도 “엄마, 어제, 오

늘 진짜 피곤하고 힘들다” 라고 말을 하는 것이었

다. 사실, 필자도 지난 주부터 꽃가루 알러지(hay fever)로 인해 계속 재채기를 하고 콧물을 흘리고

있었다. “여기에서 내려진 결론은 극심한 알러지 가 몸을 피곤하게 만들어서 온 가족이 신체적으

로 지치고 지금 힘들다는 것이었다. 그것이 입증

이라도 되는 것처럼 아침에 사무실에 가니 사무

실 직원도 출근을 안 했는데 새벽 한 시에 남겨 진 메시지에 의하면 알러지가 심해서 출근이 어 렵다는 것이었다.

영국의 브리스톨 의과 대학 연구팀은 우울증, 불안

증 같은 정신 건강 장애와 알레르기, 꽃가루 알레

르기 사이의 유전자 인과관계를 조사했다고 한다. 그 연구 결과에 의하면 알레르기와 우울증은 강력

한 상관 관계가 있고 꽃 가루 알레르기와도 관련

이 있다고 한다. 실제로 최근 경험한 꽃 가루 알러

지와 우울한 감정이 연관이 있을 수도 있다는 것 이다.

필자는 이 일을 계기로 어제부터 일어난 사건을 재

조명하면서 귀인(사건의 원인을 어디에 두느냐)

과 해석(사건을 어떤 시각으로 바라보느냐)의 중

요성을 다시 한번 생각할 수 있었다. 사람들은 우

울함의 감정에 대해서 나름대로 귀인을 찾고 해석

을 하게 되는데 필자의 경우 우울했던 감정에 대해

서 먼저는 내적인 것에서 찾고 답을 찾으려고 애

를 썼었다. 최근에 해결되지 않는 개인적 문제로

인해 지속적인 스트레스가 있었기에 스트레스와

우울질의 기질적 소인이 우울감을 느끼게 했다고

만 생각을 했다. 그래서 최근에 일어난 스트레스

를 일으킨 사건들에 원인을 찾고 이런 것들을 잘

극복해내지 못함으로 우울한 감정을 느끼고 있는

다고 해석을 하자 우울감이 깊어지는 듯했다. 그

런데, 내적인 소인에 무게를 많이 싣지 않고 꽃가

루라고 하는 외적인 환경적 소인이 현재로는 많은

영향을 주고 있다는 것을 새삼 깨달으면서 어제와

는 사뭇 다르게 마음이 가벼워졌고 내 자신을 비난

하고 우울의 감정에 더 깊이 빠져들고 하는 것에서

벗어날 수 있었다.

이렇게 사람은 원인을 어디에 두고 또 어떤 해석을

하느냐 에 따라서 감정을 조절할 수 있게 되기도 하고 반대로 그 감정을 누군가를 해치는 것에 사용 하기도 하고 그 감정에 깊이 빠져서 감정적 어려움 에 처하게 되기도 한다. 그래서 어떻게 해석을 하 고 어떻게 바라보느냐가 중요하다.

우울한 감정적 소인을 연약한 자신의 기질로만 본 다면 자신을 탓하여 자신의 연약함을 비난하는 자 기 증오를 낳게 된다. 또는 낙심을 하고 우울함에 처함 자신을 불쌍하게 연민으로 바라보면서 우울 함에 더 깊이 빠져 들 수도 있다. 세상의 모든 짐을 짊어진 불우한 예술가처럼 우울한 음악을 듣고 침 대에 오래 머물러 있으며 창문 밖을 멍하게 바라보

며 우울의 늪에 빠져드는 것이다.

또한 우울한 감정의 원인을 나의 감정을 몰라주고

위로해 주지 않는 가족 또는 배우자에게 둘 때는

어떻게 될까? 자신을 비난하는 화살을 타인에게

돌리면서 타인에 대한 적개심 그리고 원망을 마음

에 쌓아 놓고 그들의 무관심과 배려 없음을 탓하고

그들 때문에 나의 우울한 감정이 증폭이 되고 지속 되는 요인이라고 믿으며 나는 희생자, 그들은 가해

자라고 하는 프레임을 가지게 된다.

그러면서 변화되지 않는 프레임속에 나는 갇혀서

아무것도 할 수 없는 ‘무기력함’의 덫에 빠져들게 된다. 그리고, 우울의 원인을 사회적 제도나 불합 리한 세상과 불특정 다수인 타인들에게 돌리면 어

떻게 될까? 그런 경우 세상을 향해 나갈 수 있는 용 기가 없어서 히꼬모리처럼 방안에만 쳐박혀서 세 상을 두려움으로 또는 증오의 대상으로 대하게 될 수 있다. 그 억압된 분노가 때로는 자신을 돌보는

가족들에게 때로는 자신을 모르는 세상의 특정 다 수에게 칼을 휘두르거나 악행을 저지르는 모습이 될 때 그들은 이제 가해자가 되어 세상에게 원망

을 쏟아내는 반 사회적인 사람이 되기도 한다. 최 근 이런 사건들이 수시로 생겨나는 일을 보게 되는 데 어제도 호주국립대학 운동장에서 무고한 두 여 학생이 누군가의 소행으로 칼에 찔려 중상을 겪는 사건이 일어났다.

대인관계 심리 치료 (interpersonal psychother

apy)에서는 우울증의 원인을 다른 것에 두지 않고 우울증이라고 하 는 질환에 둔다. 그래 서 누군가를 원망하기 보다 나타나는 증상들 의 모든 것이 우울증이 라고 하는 질환이 가지 고 있는 증상으로 이해 하고 받아들이게 해서 환자의 역할을 자연스럽게 행사할 수 있게 한다. 많은 경우 우울증은 눈에 보이지 않는 질병이기에 우울한 사람이 아무것도 못하고 있으면 그것을 질 병으로 받아들이기 보다 주위에 있는 사람들은 ‘게 을러서’, ‘아무것도 할 수 있는 게 없어서’, ‘이기적 이어서’, ‘야망이 없어서’ 라고 잘못된 원인으로 해 서미진

박갈렙

선교교회

한 친구가 전화기 속의 자기

손주 사진을 보여 주면서 자

랑을 합니다. 평소에는 미소

도 잘 보이지 않던 사람이 보

름달같이 환한 얼굴로 웃으

며 난리 법석입니다. 하루가

다르게 자라는게 보인다나

요? 제가 속으로 푼수 같은

노인이라고 생각했습니다.

그런데 요즘 제가 그를 나무

라지 못하게 되었습니다. 과

년한 딸이 시집가더니 어느

날인가 임신했다고 자랑스러

워 합니다. 그런데 신기한 것

은 제가 왜 산보하면서 길가

의 야생화를 보고 예전에 않

던 감탄사를 연발하는지? 그

동안은 아침부터 귀를 성가

시게 하던 지저귀는 새 소리

가, 이제는 왜 아름다운 노래

소리같이 들리는지? 그걸 잘

모르겠다는 것입니다. “참 좋

다”라는 게 이런 것인가요?

하나님은 세상을 창조하시고

우주 만물을 만드셔서 그 안

에 채우시면서 매번 “좋았더

라” 말씀하십니다. 완전히 선

하신 하나님이 “좋았더라” 하

시면 절대적이며 보편적으로

좋은 것입니다. 특히 하나님

은 사람을 창조하시고는 “참

좋았더라” (창세기 1:31) 말

씀하십니다. 히브리 원어에

는 “크게 기뻐하셨다”고 되

어 있습니다. 하나님은 모든

만물 위에 우리 인간을 두시

고 크게 기뻐하셨다는 말씀

입니다. 우리는 스스로를 보

잘것없다고 생각할 지 몰라 도 하나님은 우리를 아주 귀 하게 여기시고 참으로 좋아 하셨습니다. 그러므로 우리 는 자신이 인정하든 않든, 하

나님의 창조물들 중 최고로

가치있고 “참 좋은” 걸작품 들인 것입니다.

그런데 많은 사람들이 그렇 게 생각하지 않고 있으니 문

제입니다. 오래 전에 제가 만

난 한 학생은 외모에 대한 열

등감이 많았습니다. 그는 사

람들에게 자신의 얼굴을 보

여주고 싶지 않았습니다. 그

래서 항상 고개를 떨구고 땅

만 쳐다보고 걸어 다녔습니

다. 여러 번 전봇대에 부딪힐

뻔했다고 했습니다. 또 어떤

여학생은 헌출한 키에 예쁜

얼굴을 가졌지만 남들에게

조금이라도 작게 보이려고

항상 어깨를 구부정하게 하

고 이상하게 걸었습니다. 자

신만이 최고라고 우쭐대는

것도 문제이지만, 그 반대로

최악이라고 자신을 비하하

는 것은 더 불행한 일입니다.

왜냐하면 하나님께서는 우

리 각자의 인생을 각각 다르 게 창조하시고 모두를 다 크 게 기뻐하셨기 때문입니다.

하나님이 우리를 창조하시고 크게 기뻐하셨다는 사실은 또한 우리가 우리의 삶을 통 해 하나님을 기쁘시게 해야 할 이유가 됩니다. 우리는 우 리 인생을 창조하시고 크게 기뻐하시며, 우리 자신에 대 해 자랑스러워 하시는 하나

님께 항상 감사해야 됩니다. 그리고 어떠한 상황 가운데 서도 하나님의 영광을 드러 내며 살아야 합니다. 그리피

스 대학을 나온 닉 부이치치

는 그런 사람입니다. 그는 팔

다리가 없지만 한계 또한 없

는 삶을 살고 있습니다. 혹독

한 인생 가운데 좌절하지 않

고 하나님을 만났기 때문입

니다. 하나님이 자신의 그런

모습을 크게 기뻐하시고 목

적을 가지고 창조하셨다고

믿기 때문입니다. 그럴 때 그 의 삶은 온전한 몸을 가지고 아무 의미없이 사는 사람들 보다 더욱 더 멋진 삶, 자신과

비슷한 처지에 있는 수 많은 사람들에게 희망을 주고 하 나님의 영광을 드러내는 삶

을 살고 있는 것입니다. 그는 “절대 포기하지 마십시오. 지 금의 당신을 믿고 사랑해 주 시는 분이 있다는 것을 반드 시 기억하십시오.” 라고 말합 니다.

최근 우리 교회에 나오기 시 작한 한 청년은 선천성 청각 장애인입니다. 당연히 말을 배우지도 하지도 못합니다.

오직 어머니가 옆에서 수화 로 통역을 해 주어야만 다른 사람들과 대화할 수 있습니 다. 겉으로 보기에는 그가 우 리 교회나 지역 사회를 위해 기여할 게 하나도 없을 거라 고 생각됩니다. 그럼에도 이 청년은 부모님들의 훌륭한 믿음으로 아주 반듯하게 자 랐습니다. 모든 일에 적극적 입니다. 같은 장애인 친구를 교회에 데리고 옵니다. 얼굴 이 항상 밝습니다. 지난 주에 는 예배 후에 우리 그룹원 모 두에게 질문 쪽지를 나누어 주고 그 질문지에 답하는 형 식으로 재미있게 게임을 진

행하여 우리 모두를 즐겁게 했습니다. 그리고 이번주에 는 국민투표에서 진행요원 으로 일당 1,000불짜리 일 을 구했다고 자랑을 합니다. 하나님은 우리 각자의 인생 을 창조하시고

직각

어깨

+ 여리여리한 팔 + 섹시한 뒷태를 위한 하루 10분 상체 토닝 운동

일반적으로 남성에 비해 여성분들이 하체에 비해 상체 근력이 약한 경우가 많은데요, 이런 근력의 차이는 체형의 차이, 불균형을 가져오기도 합니다. 즉 상대적으로 빈약한 상체로 인해 얼굴이 더 커 보이거나 하체가 두꺼워 보이는 경우도 많구요. 등과 코어의 근력이 부족하면 허리통증을 유발하기도 하고, 자세도 바르지 못한 경우가 상당히 많습니다. 그래서 오늘은 누구나 따라할 수 있는 간단한 상체 근력 운동 루틴을 소개해드릴 테니

집에 물통이나 덤벨이 있다면 같은 무게의 것으로 2개 준비해 함께 따라해 보시기 바랍니다. 만약 도구가 준비되지 않았다면 맨몸운동으로 대체하셔도 좋습니다. 제 유튜브 채널 ‘요가읽어주는 여자 hayeon’에서 (DAY17) 살빠지는 요가 | 서서하는 10분 상체.. 편을 찾아 따라하시면 땀도 나고 개운하게 운동하실 수 있을 거예요.

1. Standing Twist Knee Crunch

팔 + 복근 운동

STEP 1. 가벼운 덤벨을 들고, 혹은 주먹을 쥐고 한 팔을 천정으로 다른 팔은 바 깥으로 뻗어줍니다.

STEP 2. 위로 뻗었던 팔을 구부려 팔꿈치와 반대쪽 무릎을 터치합니다.

STEP 3. 같은 동작을 30초 반복하고 반대 방향도 같은 방법으로 진행합니다.

STEP 4. 중간에 힘들면 무게를 놓고 운동해 주셔도 돼요.

TIP! 위 옆으로 팔 뻗을 때 어깨가 으쓱 올라가지 않도록 주의해주세요.

2. Triceps Extension + Pulse

삼두근 운동 (팔뚝살 제거)

STEP 1. 고관절부터 접어 상체를 내리고 허리를 곧게 펴줍니다.

STEP 2. 두 팔을 뒤로 뻗고 손바닥을 천정을 향해 최대치까지 올려줍니다.

STEP 3. 팔을 제외한 상하체를 최대한 고정시키고 팔을 중앙으로 조이며 업 다운을 반복해주세요.

TIP! 등이 굽지 않도록 가슴을 앞으로 보내고 엉덩이는 뒤로 보내고 복부 를 끌어당겨 코어를 안정화시킵니다.

Life) 대표

https://bit.ly/3w9ks4u (KOR)

https://bit.ly/SubscribeToYogasong (ENG)

yogafulnesslife 이메일 : connect@yogafulness.life

: www.yogafulness.life

인스타그램 https://instagram.com/yogasong_hayeon

같이 먹으면 큰일나는 '의외의' 음식

음식은 우리 생활에서 빼놓을 수 없는 요소

중 하나이다. 음식에서 맛과 향, 식감을 즐기

고 더 나아가 다양한 음식에서 ‘꿀 조합’을 찾

으며 행복을 얻기도 한다. 이렇게 같이 먹으

면 더욱 시너지를 내거나 건강에 좋은 음식

조합이 있는 반면, 건강에 이상을 초래하는

음식 조합도 존재한다. 잘 알지 못하고 같이

먹으면 오히려 부정적인 결과를 초래하는 독

이 되는 음식 조합 10가지에 대해 알아보자.

장어 + 복숭아

보양식 하면 떠오르는 음식 중에 장어를 빼

놓을 수 없다. 장어는 오메가3가 풍부한 고

지방 고단백 식품으로 영양가가 높다. 그러

나 몸에 좋은 장어라도 복숭아와 함께 먹으

면 그 효과를 누릴 수 없다. 복숭아 속 신맛

을 내는 유기산 성분은 니코틴을 제거하며

건강에 이롭지만 지방이 많은 장어와 함께

먹으면 장어의 소화를 방해한다. 이로 인해

장을 자극해 설사를 유발한다. 장어는 복숭

아 대신 같이 먹으면 좋은 시너지를 내는 생

강과 복분차, 부추 등과 먹도록 하자.

문어 + 고사리

옛날부터 임금님 수라상에도 올라갔던 고급

식재료인 문어와 봄철에 인기가 많은 고사

리를 따로 먹으면 다양한 비타민을 흡수할 수 있다. 하지만 고사리의 경우 섬유질이 풍

부하여 위장 기능이 떨어지는 사람에게 소

화 장애를 일으킨다. 또한 문어는 해산물 중

에서도 단백질 성분이 높아 고단백 음식을

다량으로 섭취할 시 소화 불량을 겪을 수 있 다. 따라서 고단백 식품인 문어와 섬유질이 많은 고사리는 따로 먹는 것이 좋다.

토마토 + 설탕

잘 익은 토마토와 찰떡궁합을 자랑하는 것

이 설탕이다. 설탕을 절여 만든 토마토 절임

이 인기일 정도로 많은 사람들이 즐겨 먹는 다. 그러나 토마토 안에는 비타민B와 무기

질 성분이 가득한데 설탕과 함께 먹게 되면

이 비타민과 무기질이 설탕을 분해하기 위

해 사용된다고 한다. 이 때문에 비타민과 무

기질을 우리 몸에 흡수하지 못해 영양소로

쓰지 못한다고 한다. 따라서 효과적인 영양

소 흡수를 위해서는 토마토를 따로 먹는 것

이 좋다.

멸치 + 시금치

멸치는 우리 몸에 중요한 영양소 중 하나인 칼

슘이 풍부한 식품으로 상차림 반찬으로 자주 올

라온다. 또 무침으로 자주 올라오는 시금치는

슈퍼푸드라고 불릴 정도로 각종 영양 성분이 다

량으로 함유된 녹황색 채소이다. 이 둘을 같이

먹으면 시금치의 유기산 성분인 수산이 멸치의

칼슘 흡수를 방해한다고 한다. 특히 칼슘이 더 욱 필요한 성장기 아이들에게는 멸치와 시금치 를 함께 주지 않는 것이 좋다.

꽃게 + 감

뷔페 과일 코너에 ‘게장을 먹은 손님은 감을 먹 지 말라’는 경고문이 붙어있는 것을 종종 볼 수 있다. 꽃게와 감은 대표적인 상극 음식이다. 감 의 떫은맛을 내는 탄닌산이 꽃게와 만나면 위험 하다. 꽃게는 고단백 식품으로 식중독균의 번식

이 아주 빠른 편이다. 이런 꽃게에 들어있는 비 브리오균과 감에 함유된 탄닌산이 만나면 균의

번식을 가속시키기 때문에 식중독에 걸릴 위험

이 높아 같이 먹지 않는 것이 좋다.

튀김 + 수박

술과 조합이 좋은 수박과 튀김은 상극인 음식 중 하나이다. 기름진 음식을 먹고 난 다음 수박

을 먹으면 소화 불량에 걸릴 가능성이 높다. 튀

김은 지방이 많아 소화에 시간이 오래 걸리는

데 이런 상태에서 수박의 수분이 들어가면 위

액을 희석시켜 소화가 더욱 느려질 수 있다. 특

히 위장이 약한 사람은 둘의 조합을 삼가는 것

이 좋다.

바나나 + 우유

우유와 바나나는 바나나우유로 제품이 나올 정

도로 인기가 많은 조합이라 다들 궁합이 좋다

고 생각한다. 하지만 실상을 그렇지 않다. 우유

와 바나나를 함께 섭취할 경우 바나나에 들어있

는 식이섬유 성분으로 인해 소화가 더디고 또한 소화되는 동안 피로감과 무기력감을 느끼게 한

다. 특히 저녁 시간에 섭취 시 소화 불량으로 숙

면을 취하기 어렵다. 따라서 시간차를 두고 따 로 먹거나 계피를 조금 넣어 소화를 촉진할 필 요가 있다.

홍차 + 꿀

홍차의 떫은맛을 내는 ‘탄닌’ 성분은 체내 콜레 스테롤을 낮추고 항균 작용에 도움을 준다. 이 떫은맛 때문에 꿀을

효능을

꿀은 술 마신 다음 날이나 감기에 걸렸을 때 항산화

QUEENSLAND 교민게시판

퀸스랜드 한인 경로회

● Tel. 3879 1382 ● Mob. 0418 883 377 ● Fax.3879 1382 ● E-mail. hhpak1043@naver.com

일시 : 2023년 10월 14일(토) 오전 10시 ~ 오후 4시 장소 : 사우스포트 Broadwater Park

<행사 내용> 부채춤과 난타(아리랑), 사물놀이(한마당), 태권도 시범, 시니어 교실 노래, 어린이 합창과 율동, K-pop, 어쩌다 밴드, 한국전통게임, 푸짐한 라플 상품

호주 기독교대학은 기존 상담학부인 Diploma of Counselling 과 Graduate Diploma of Relationship Counselling 과정이 있었는데, 상담학부에 좀더 전문성이 있는 코스들이 더 추가가 되어졌습니다.

더 나아가

직접적인 직업적 활동과 연관이 있는 다양한 과정들을 준비 중에 있습니다.

저렴한 학비는 물론 어스타디 (정부 생활비 보조)가 대부분의 학과에서 가능합니다.

상담관련 교육을 위한 Certificate IV in Mental Health (정신건강), Certificate IV in Chaplaincy and Pastoral Care (교목과 목회 학과) 과정이 있습니다.

호주기독교대학은 로컬 과정 뿐아니라 유학생과정이 있습니다.

유학생과정은 캔버라, 시드니, 브리즈번, 멜번에서 가능합니다.

일주일에 1일 혹은 2일 수업이고, 영어시험이 필요없고, 비자의 기간을 장, 단기 다양하게

선택할 수 있는 장점이 있으며 한국 학생들에게는 장학금을 주어 저렴한 학비로 공부가 가능합니다.

호주상담협회에 인증된 과정이고 한국기독교 가족상담협회 1급으로 지원이 가능한 코스입니다.

www.accu.edu.au

info@accu.edu.au

상담전화 : 02 6255 4597/ 0402 140 905/ 0430 045 078

호주기독교대학 노인케어과정 개설

영주권관련 확과로 노인돌봄 과정을 개설했습니다.

서티 4 과정으로 어스터디 가능하고 학생비자도 가능합니다. www.accu.edu.au / info@accu.edu.au

전화 : 02 6255 4597/ 0402 140 905 / 0430 045 078

ACC 무료 전화 상담

ACC는 무료 전화 상담으로 마음에 근심이 있으신 한인분들의 이야기를 따뜻하게 들어드립니다.

월 ~ 토 : 저녁 6 시 ~ 12시 (시드니 시간)

연락처 : 02 8809 1096

참조 사이트 : www.accu.edu.au

부부 혹은 자녀와의 혹은 가까운 분들과의 관계의 어려움

분들은 전화를 주셔서 회복하여 건강하고 행복한 삶을 영위하시기를 소망합니다.

위기 상담 뿐아니라 소정의 유료서비스도 원하는 내담자에 한해서 제공합니다. 호주 전역 어디에서나 어느 시간이나 상담이 가능합니다. 365일 24시간 www.koreanlifeline.org

상담전화 : 02 9858 5900 | info@koreanlifeline.org

상담원들과 전문상담 의뢰할 기관도 모집합니다. 0430 045 078

● ABN 92362726522 ● 29 Simpson Way Forest Lake Qld 4078

친애하는 경로회 여러분!! 사람은 태어나서 세 사람을 잘 만나야 한다고, 제 어릴 적 국민학교 시 절 선생님께 들었습니다. 첫째는 부모요 둘째는 선생님이요 셋째는 친구(혹은 배우자)라 하였습니 다. 살다 보니, 그 말이 참 설득력이 있게 되살아 나곤 합니다. 아스라히 어린 시절,

보고, 가을 운동회 때 함께 달리던 악동 친구들을 생각 하니 다 어디에 있는지... 만났다가 헤어지고 그리곤 또 만나는 우리 삶 속에, 내 삶을 기름지게 하고 풍요롭게 하는

누군가에게 나의 속마음을 툭 털어놓고 또 나의 약한 부분도

없는 것인지! 나의 경쟁자로 나의 약점을 딛고

해도, 그 중심에는 사람이 있어야 하고 따뜻한 정이 흘러야 되겠지요. 이왕 사는

서로서 로 합심하여 살맛나게 살아갑시다. 미루었던 윷놀이를 할 것입니다. 많이 참석 하시어 즐거이 지냅시다.

2023년 10월 월차모임은 아래와 같습니다.

- 일시: 10월 19일 (셋째 목요일) 오전 10시 30분

- 장소: Old Inala Hall (UBD M-218 F-5참조)

Corner of Rosemary St and Abellia St Inala (KEV Hooper Memorial Park인접) (100번 버스 이용), KFC에서 City가는 버스 방향으로 도보로 5분거리)

* 추신: 모아 식품점에서 추석 상품권을 주셨습니다. 대단히 고맙습니다

The Korean Senior Association of Qld Australia I N C 퀸스랜드주 한인 경로회 회장 박희문

JUJINIS ART 민화 수강생 모집 쉽게 접근하고 오래 유지할 수 있는 취미, 조용하고 잔잔하지만 마음의 큰 위로가 되는 전통과 현대가 어루러진 모던민화로 힐링타임을 즐겨보세요^*^

- 수업대상 : 예쁜것, 클래식을 좋아하시는 분들!!

- 수업일 : 오전반 10am ~ 1pm (월,화,수,목,금) / 오후반 6pm ~ 9pm(금)

*수업에 필요한 물감과 한지 제공합니다.

- 신청/문의 : 0455 872 743

강습 : 65세 이상 남,녀 (회비 $5)

일시: 매월 2, 4째 목요일 오전 10시 ~ 오후 2시 장소: 비전 장로교회

주소: 24-26 3/15 Jackman St, Southport 문의/상담: 골드코스트 한인회, 0418 763 186

주최: 골드코스트 한인회 / 주관: 골드코스트 시니어 그룹

김미림

07 3844 9166 | korean@eccq.com.au

일시 : 2023년 10월 24일(화)~26일(목), 매일 저녁 7시

장소 : 캥거루포인트 Uniting Church (40-46 Linton St, Kangaroo Point QLD 4169)

기독교 영화감독 김상철 목사님과 국민배우 권오중 집사님께서 함께하는 토크 진행식 집회가 있습니다. 문제점(우울, 중독)들을 다룰 예정입니다. 많이 참석하셔서 많은 은혜 받으시기 바랍니다.

시드니 한국교육원

호주 교장(감) 등 16명, 한국 교육기관 방문, 문화체험 및 산업 시설 견학 한국의 매력에 빠진 호주 교장단,

될 것 브리즈번 한인교회

시드니한국교육원(원장 권진)은 「2023년 호주 초·중등학교 교장 한국방문 연수」를 2023.9.19(화)부터 9.28(목)까지 9박 10일간 성공리에 마쳤다고 밝혔다. 이번 연수는 NSW주 의 교장(감) 등 총 16명이 참가하였으며 한국을 방문한 호주 교장(감)들은 한국의 교육 현장을 탐방하고 다양한 문화체험과 산업시설을 견학하였다. 동 연수는 호주 내 학교장 등 교육관계 자들이 한국을 올바르게 이해하여 한국어 채택 등 양국 간 교육 교류에 도움을 주고자 시드니 한국교육원에서 2010년부터 매년 추진해온 사업이며, 참가자 체재비 전액은 한국 교육부에 서 지원하고 참가자들은 왕복 항공료만 부담해 오고 있다.

특히, 올해의 연수는 코로나 19의 장기화로 인해 4년 만에 재개되어 그 의미가 더 크며, 공모 를 통해 한국에서의 연수 운영기관을 경희대학교로 지정하여 운영하였다. 우선, 연수단은 경 희대학교에서 한국 정치사와 한국교육제도 특강을 시작으로 경희초등학교, 부산수학문화관, 서울특별시교육청 등 교육기관을 방문하여 한국 교육에 대한 이해의 폭을 넓혔다. 그리고 경

주를 방문하여 불국사, 석굴암 등을 둘러보고, 서울에서는 창덕궁, 국립중앙박물관을 방문하 여 한국의 오래된 전통과 역사에 대해 바로 알게 되는 시간을 가졌다. 반면, 현대 모터스 스튜 디오를 방문하여 한국의 역동적이고 혁신적인 산업 발전의 모습을 직접 경험하기도 하였다.

또한, 한국관관공사가 운영하는 하이커 그라운드를 직접 방문하여 호주 내 학생들에게도 인 기가 많은 K-pop 등 한국 문화를 학교장들이 직접 경험하는 즐거운 시간을 갖기도 하였으며, 한국관광공사 시드니 지사에서 후원하여 난타공연을 관람하기도 하였다. 아울러, 부산 UN기 념공원과 주한호주대사관을 방문하여 한국과 호주의 긴밀한 관계에 대해 이해하는 시간도 가 졌다. 특히 주한호주대사관에서는 캐서린 레이퍼 대사가 참석자들과 한-호관계에 대한 질의 답변 시간을 가지면서 본인이 지난 9.21(목)에 UN기념공원에 안장되어 있는 UN 호주군 고 (故) 찰스 그린 중령과 부인 올윈 그린 여사의 합장식에 다녀왔음을 알리며 호주 교장(감)들과 공감대를 형성하기도 하였다.

호주 교장단은 이번 방한 연수를 통해 한국의 매력에 흠뻑 빠졌으며, 한국의 교육/역사/문화/ 산업 등에 대해 이해할 수 있는 매우 좋은 기회였다고 밝혔다. 또한, 한국인의 환대에 대한 깊

은 감사를 표하면서 호주에서 한국어를 확대하기 위한 노력은 물론 한국을 올바로 알리는데

많은 노력을 아끼지 않겠다고 입을 모았다.

한국어를 정규교과목으로 도입하고 있고 현재 약 200여명의 학생이 한국어를 배우고 있는 스 트라스필드 사우스 초등학교 (Strathfield South Public School)의 페이 파파디스 일리오풀

로스 (Faye Papadis-Iliopoulos) 교장은 “이번 연수에 참여하게 된 것은 아주 큰 영광이었다. 기대한 것 이상의 많은 것을 경험했고 한국의 교육제도와 발전상에 깊은 감동을 받았다.”고 밝 혔다. 특히, “부산에서 한국전쟁 전몰 UN군 장병들을 기리는 UN기념공원을 방문했을 때 큰

감동을 받았고, 호주 전몰 용사 묘에 묵념하고 헌화하면서 한국과의 관계를 다시 한 번 돌아볼 기회가 생겼다”라고 말했다.

한국을 방문한 적이 있는 버큼힐 노스 초등학교

서울 계성 초등학교를 방문하여 자매결연을

(Graham Holmes) 교장은 “학생들과 함께 다시 한국을 방문하고 싶다. 그리고 버큼힐 노스 초등학교 학생들을 위해서 한국어를 정규과목으로 채택하는 것을 적극 고려해 보겠다.”라며 한국어 교육에 대한 애정을 표시했다.

한편, 카링바초등학교(Caringbah Public School)의 수잔 올리베리 (Susan Oliveri) 교장은 “ 왜 주위의 동료 교장들이 이 연수를 꼭 다녀오라고 강력 추천했는지 이해가 된다”면서 “이 연 수를 통해 얻은 지식과 경험을 교직원과 학부모 그리고 지역 교육관계자들에게 꼭 함께 나누 고자 한다.”라고 밝혔다.

권진 시드니한국교육원장은 연수단의 의견 등을 청취하여 이 프로그램이 지속적으로 개선 발전될 수 있도록 노력할 계획이라고 말하면서, 호주 정규 초/중등학교 내에서 한국어 채택 이 확대되고 장기적으로 한-호 간 양국 교류 증진에 큰 도움이 될 것으로 기대한다고 밝혔다. 또한, 이번 연수는 한국관광공사 시드니지사와 아시아나 시드니지점에서도 후원을 아끼지 않았다고 밝히면서 진심으로 감사의 인사를 드린다고 말했다. 참고로 올해 호주에서는 68개 정규 초/중등학교에서 9,543명의 학생이 한국어를 정규 교과목으로 공부하고 있다.

긴급/주요기관 안내전화

긴급전화(경찰, 앰블런스, 화재) 000

Police Liaison Unit(한국어) 3364 3217

Police Link 131 444

가정폭력 1800 811 811

여성상담센터 0425 252 372

성폭행 상담 3636 2414

수도 1300 366 692

독극물, 생명전화(24시간) 13 11 14

위기구호, 아동학대 1800 177 135

음주, 마약 3236 2414

간판/인쇄/디자인

i-hub 0435 831 116

NB Signs - 간판, 인쇄, 디자인 0421 790 885

Sunny Creative 0412 840 533

건강식품/기념품

뉴질랜드 초록홍합,녹혈,녹용 캡슐 판매 0403 736 998

드림로드 양모, 한국이불 3209 5445

New Core 건강식품 3012 7886

SINI 건강 (써니뱅크점) 3344 7881

건축/인테리어/집수리

브리즈번 시티카운슬 3403 8888

골드코스트 시티카운슬 5582 8211

골드코스트 관광청 5592 2699

서프사이드 버스 시간표 13 12 30

센터링크 13 61 50 / 13 12 02(한국어)

이민성 13 18 81

일기예보 1900 914 450

임신상담, 정보 1300 139 313

의료기관 정보 3236 4833

전화번호 안내 12 455, 1233

전기, 가스 문의 13 12 53 / 13 62 62 (사고)

텔스트라 문의 125 111 / 1800 773 421(한국어)

통역서비스 13 14 50

대한무역진흥공사 02 9299 1790

호주지회 0452 188 070 교민단체

BRISBANE

Blue River Design & Construction 0478 709 032

Blue Whale Construction 0402 272 891, 0416 911 333 BL 핸디 홈 메인터넌스 0416 911 444

City Garage Doors 차고문 당일수리, 제작 0492 889 349

Dr 핸디맨 0478 833 415

G1 Painting 0450 959 010

한인

한인회 0418 763 186

한인회 총연합회 0427 566 474 월남전 참전자 전우회 퀸즐랜드지회 0411 378 391

재향군인회 퀸즐랜드 분회 0412 629 358

퀸즐랜드 주 한인회 3390 0024/ 0424 724 624

퀸즐랜드 한국 참전 유공자회 0414 295 709

퀸즐랜드 한인 골프회 0430 202 239

퀸즐랜드 한인경로회 0418 883 377/3345 1400

퀸즐랜드 ROTC 동문회 0415 695 635

퀸즐랜드 한인 비즈니스 협회 0408 889 792

퀸즐랜드 한인 오케스트라 0411 820 800

퀸즐랜드주 해병 전우회 0427 334 521

결혼 주례

써니뱅크 정부 공인 주례사 0408 688 010

i-Care 0433 494 281

원성욱 프로 레슨 0402 598 961

Victoria Park Golf Learning Centre 한국어 0451 899 874

교육/학원/개인교습

Happy Blinds 0481 711 500

Hi Design & Construction 0430 900 630

J Plus Building Inspections 0422 773 031

K Total Construction 0466 127 884

KIM’S HOUSING 0411 097 908

NEXUS PLUMBING 0459 999 754

OkayPainting 0430 889 559

OneStop Bath & Tiles 07 3034 1075 Shop4, 655 Toohey Rd, Salisbury

SUNSHINE 블라인드 0481 148 692

Total Cabinet 3299 1978

김선생 수학 0430 127 992

탑원 바이올린 0424 783 353

피아노 전공자쌤 0478 548 500

피아노/망고힐/시드니콘석사 장학생

TOV Construction 0452 578 001

세계대회1등 0433 309 331

Vertex House Renovations 0403 420 467

WINDOW ART 3114 2145, 0490 537 244

호주 라인 댄스 0401 812 610

CS Education 0402 855 802

EduPlanet College & QCM 3343 6343

WK Painting Services 0412 726 807

mih architect

건축사 0451 377 843

Eight Mile Planes 유치원 3841 3350

Elite Tuition 0400 328 187(영 어) 0400 163 227(한국어)

LE SPA MASSAGE ACADEMY 3368 3362

나이스 블라인드 3133 8330, 0421 594 083

대니 핸디맨 0402 299 915

백향건설 0434 763 843 / 0421 025 230

스타 블라인드 0430 715 906

에벤에셀 인테리어 0421 438 424

Simili Training Joseph Lee 0477 787 200

Ji Lee 0416 740 514

Kevin Simili 0416 740 516

Simili Training (건설현장 자격증

정부승인) 0477 787 200, 0416 740 514

SP 에듀케이션(하이스쿨, ATAR 대비) 3195 8532, 0411 168 007

Winny Family Care 0420 720 894

윈도우 아트 블라인드 0490 537 244

욕실 누수 전문(욕실 리모델링, 타일, 방수) 0452 471 080

콘솔 블라인드 0408 288 789

토넵 - 주방욕실 가구 전문 0478 616 026

ARCHIONE Design Builders 0402 533 628

Beauty Home Blind 0408 011 021

광고문의 0422 258 092, 0432 008 985 admin@qldkoreanlife.com.au

아하바 목욕탕 3391 2279

웨딩메이크업헤어(withBRIDAL) 0481 982 486

제시헤어 0414 060 369

헤어시티 시티점 3210 1049

alabuu 0493 475 995

Hair Captain 헤어캡틴 0481 600 088

K Bridal Studio(Julie) 0451 373 313

M nails & beauty 0432 346 799

M&U Beauty Brow(미앤유 뷰티 쿠파루) 0423 056 137

Nail Station Brisbane 0401 307 878

The Face Shop (가든시티) 3344 6014 (써니뱅크) 3423 2514

번역/통역

무담보 소액대출(호주 어디서나) 0412 232 889

미래종합금융 1300 882 595

ANZ Jin Lee 0434 689 100

가영 NAATI 3급 번역공증 0410 672 485

나티공인 한영/영한 번역사 0431 232 673

데레사 통역 0402 307 090

손지은 NAATI 3급 0412 088 428

호주 닷컴 온라인 번역공증 info@hojoo.com

JINO NAATI 통역서비스 0430 812 205

변리사

김현태 특허상표변리(호)사 040 433 5914

변호사

법무법인 Park & Co ㆍ 대표번호(유선) 3345 6665

ㆍ 대표번호(모바일) 0490 130 012

ㆍ 박창민 변호사 0452 435 447

ㆍ 김희용 변호사 0431 628 082

ㆍ 허성은 변호사 0425 030 220

H & H Lawyers 02-9233-1411

ㆍ홍경일 대표변호사

ㆍ강현우 형사전문변호사 0487-192-566

ㆍ김진한 변호사(이민)

ㆍ김현태 변호사·상표변리사

리틀즈 법무법인

ㆍ NSW 1800 000 119

ㆍ QLD 1800 082 082

ㆍ 김경태 변호사 0452 480 920

ㆍ 이종일 변호사 0434 980 635

성도 법무법인

ㆍ대표번호 3392 3981

ㆍ김문기 변호사 0411 211 227

ㆍ김태규 변호사 0403 689 714

KLS Legal Practitioners

ㆍ사무실 (07) 3113 3790

ㆍ나윤제 대표변호사 0423 005 035

ㆍ신선미 변호사 0412 693 115

김린 변호사 0404 871 986

김영규 변호사 07 3210 6489, 0411 624 779

박근영 변호사 0433 372 566

주광훈 변호사 0405 694 497

정회림 변호사 07 3195 4807

진승희 변호사 0403 503 530

LinkOz 이정민 변호사 0401 576 978

Remax 부동산 써니뱅크

조권현 0452 65 88 78

YONG 부동산(오세진) 040 228 3003

사진

Alicia’s Photography 0478 825 233

상담/심리치료

ACC 상담센터 02 6255 4597

JR 부부상담연구소 0434 487 433

브리즈번 명상센터 0466 211 405

숙박시설

스프링우드 타워 호텔 3387 7077

호텔 다이아나(한국어) 3896 1691

송금/환전

C-Herald Insurance 1800 998 557

C-Herald Finance 1800 998 557

Focus Loan(오지훈) 0420 847 110

Hana Finance (알렉스) 0410 622 838

복지센터

AACA (All About Care Australia) 07 3133 0209 (Gemma) 0430 218 030 (Tasha) 0402 595 741

ONE DREAM COMMUNITY

1800 841 777

한국송금(구. 코원송금) 0474 373 007

스포츠/체육관

원 태권도 0430 295 881

Sunnybank 테니스클럽 0430 014 221

Sunnybank 당구장 0430 014 221 식당/카페

AKLINKS 손한나 대표 0428 87 5050

3 Sisters 3195 4481

Bluedog 부동산 0419 536 071

Bluedog 김수정 0408 622 934

HD Property 황기철 0413 515 788

Harcourts Calamvale (홍성우) 0415 413 769

Ideal Realty Advisors (시드니) 02 8007 4989, 0414 088 089

KLOVER PROPERTY

Kay Lee 0421 007 147

Link Plus Realestate 이지영 0450 908 864

Raas Group 0420 486 651

누나네 해장국 3107 4158

마녹파크 0433 276 449

마루 3221 7778, 3012 9912

모모치킨(city) 3012 8238

모모치킨(runcorn) 3841 8068

미담 3344 5001

불고기 Bros 3350 2233

샤부하우스 (일식 부페) 3211 5407

소문 삼계탕 3158 3709

차미 푸드 앤 보틀샵 3210 6349

코릴라 바베큐 3211 1212

여행/공항픽업

가나안 공항 픽업 0478 833 415

도움 투어 3012 8383

우리여행사 0412 393 713

케니 여행사 3344 3220 / 0402 729 595

현대 투어 0432 140 083

HT 여행사 3003 1771

운송/택배/이사

센트로파이 0457 269 109

시온 에어컨 냉동 0434 486 877

에어컨 청소 FreshZone 0431 135 071

Airmazing 0451 104 439, 0430 189 603

Fresh Cool 0401 627 853

LEES 에어컨 설치 0434 378 245

SONG 에어컨 설치 0414 781 645

SWIND 0451 994 144

OK 냉동 서비스 센타 0423 457 898

의류/침구/옷수선

드림로드 3209 5445, 0433 267 953

차밍 옷수선 0403 617 076

한복 대여점 이음 e-uum 04 2121 3656

OUR HANBOK 0423 378 055

자동차운전학원

메이 운전학원 0419 708 177

부부 운전학원 0414 273 087

자동차정비

유통

웨스티마켓 0450 103 788

Milton Exchange (노브랜드 유통) 0438 545 007

Cordelia International (온리프라이스

제품외 유통) 0450 103 788

유학원

도움 유학 3012 8383

GLOBAL MATE 3221 8318 0451 281 841

가구소형이사 픽업서비스 0411 736 276

가나안 용달 서비스 0478 833 415

(각종 소형 ‘짐’ 운반)

대한통운 국제택배 0431 571 657

와이즈 국제물류 1800 577 369

현대택배 0430 014 221

HT Logistics 3823 1802

PNL 택배(한국-->호주) 0449 24 8282

HT 유학원 3003 1771

이민 컨설팅

가영 비자 이민 컨설팅 0410 672 485

백승용 이민법무사 3323 3186

변기훈 이민법무사 0425 669 799

이정민 법무사 Select Australia 0430 592 230

채정우 이민법무사 0423 687 378

호주닷컴 02 9746 1452

의료/병원/한의원

극동 한의원 Far East Acupuncture 0402 527 717

라파 한의원 0452 563 365

모유사랑 모유수유클리닉 (상담, 유방관리) 04 5675 5675

보화당 한의원 3219 1002

언어치료사(Speech Pathologist) 0473 562 154

엔한스 덴탈 스튜디오 (런콘) 07 3423 0783

족부 의학 클리닉 (써니뱅크) 07 3344 6866 (해밀턴) 07 3741 2825

질미어 치과병원 3265 6010

Carindale 자매치과 (김현아/김은아) 3324 9172

Dr. Seung-min Youn(윤승민) 정형외과 07 3278 2662

Dr.허 시티 한국인병원 3210 2111

Dr.허병원 Skin Clinic 0407 112 342

Exceptional Dental 3118 5306

Hybrid Physio 3190 9747

JINDALEE Complete Dental 3376 5475

My Clinic (Dr 제임스 강) 3272 2202

The Dental Club 1300 165 768

Stafford | Caboolture | Bellmere | Griffin

조이모터스(정비) 3277 2477

Autocrew Motors 3191 7044 0416 422 099, 0433 649 931

Pro Tinting 0432 390 910

SK 자동차 공업소 3423 8085

Speed mate 자동차 정비 0416 191 319

Top One Motors 0430 123 711

K locksmith 0449 949 343

DAVES 토마스 최 0411 581 593

0401 558 353

청소/방역

원스톱 방역 & 카펫 청소 0401 600 887

원펀치 터마이트&페스트컨트롤 0402 157 905

써니뱅크 터마이트 0412 178 944

짐스 터마이트 & 페스트 컨트롤 0416 515 874

클린킹(청소용품판매) 3208 1333

JCM 터마이트&페스트 닥터팀 0430 318 776

AplusHomeCare(터마이트,페스트 컨트롤) 0448 226 179

0450 410 501

반석 장로교회 0430 810 929 ㆍ 브리즈번 서림교회 0423 333 932

ㆍ 브리즈번 선한목자교회 0431 686 296

간판/인쇄/디자인

써니 크리에이티브 0412 840 533

NB Signs - 간판, 인쇄, 디자인 0421 790 885

건강식품/기념품

안디옥 장로교회 0423 733 599

ㆍ 브리즈번 성결교회 0433 689 717 ㆍ

ㆍ 브리즈번 왕성교회 0400 878 882 ㆍ

은혜교회 3376 2143 / 0433 677 241

임마누엘교회 3344 7521

좋은감리교회 3343 1817 / 0413 608 392 ㆍ 브리즈번 주안교회 0432 680 975

평화교회 0425 252 372

한인장로교회 3341 9232

3202 9553 / 0413 515 737

0425 306 577

0414 624 779

3252 1701

Kleen Hub(청소용품 판매) 3191 3248 푸드패키징

Kleen Hub 3191 3248

Q Pack 3219 5654

플러밍/가스

HIGH TECH PLUMBING & GAS 0431 409 844

JINSU PLUMBING&GAS 0401 359 573

NEXUS PLUMBING 0459 999 754

PK PLUMBING 0433 772 172

폐차/고철/고물

Metal Xchange | Cash for Cars 0410 140 500 컴퓨터/POS/웹사이트

권신정 회계사(MAZARS) 3218 3924

필그림지구촌교회 0411 50 9191

한인 재림교회 3290 1113 / 0418 980 443

장로교회 3890 1116 / 0413 227 533 ㆍ Agape International church 3349 4168 천주교

ㆍ 브리즈번 한인천주교회 3369 3159 / 0413 016 031

불교

ㆍ 연꽃선원(한국 사찰) 0450 616 924 / 0413 805 236

ㆍ 브리즈번 정토법회 0438 536 221

원불교

ㆍ 원불교 3219 1002

꿈이 있는 교회 0421 480 870

동행하는 장로교회 3422 0828 / 0400 878 882

브리즈번 순복음교회 3341 9090 / 0433 9933 52

스프링필드 침례교회 킹제임스성경 0469 859 983

호주 가정 상담 대학 0416 069 812

호주 기독교 대학 02 6255 4597

한마음 교회 0410 409 007

Faith Church 써니뱅크

ㆍ 요한계시록 성경예언

ㆍ ilona 목사 0400 374 666

주방용품(상업용)

썬샤인 비즈 솔루션(스시머신, 주방용품) 0413 396 799

All 4 Kitchen 주방용품 수리 0433 974 907

중고 가전

Smart Electrical Clearance Outlet

ㆍ Hyperdome 3133 1805

ㆍ Capalaba 3823 4165

ㆍ Mt Ommaney 3376 7445

ㆍ Browns Plains 3800 1013

미디어 나라 0412 443 066

GGL 토탈 IT 솔루션 0422 395 706

iComputer (TPG 공식딜러, 컴퓨터 수리) 0450 511 829

M4U 웹디자인 0434 417 933

N2 CREATIVE (웹사이트 제작) 02 8091 7333

VTEQ 컴퓨터 3323 3232

(TPG 공식딜러, 웹사이트, IT솔루션) 핸드폰 수리

Jaetech 핸드폰 수리점 0404 932 988

회계법인 3221 7564

Hello Tax 0413 002 316

Prudent Accountants & Co 0412 447 987

TaxBee 3210 0747

Tax Friend 0422 869 630

뉴질랜드 초록홍합,녹혈,녹용 캡슐 판매 0403 736 998

로얄건강 타운 0401 158 508

장수마을 0422 59 59 79

카사아울렛 5531 3155 건축/인테리어/집수리

가나 집수리 04 02 02 8720 대니 핸디맨 0402 299 915 스타 블라인드 0430 715 906

윈도우 아트

0490 537 244

LINKS 부동산

레삐헤어 5679 3943

신 헤어 스튜디오 0407 090 270

웨딩메이크업헤어(withBRIDAL) 0481 982 486

킴스헤어(사우스포트) 5527 1990

케이살롱뷰티(사우스포트) 0421 187 046

FOREL Beauty & Spa 0413 753 087

Kausie Hair Salon (코지 헤어) 5531 2963

Meraki Hair 5592 0984

Hair COCO.GC 0413 662 699 / 5511 1892

The Hair 5528 6310

The 9 Brows & Beauty 반영구 화장 0448 019 555

Retreat 마사지 0404 806 887, 5527 1147

번역/통역

C-Herald Insurance 1800 998 557

C-Herald Finance 1800 998 557

You and Me Finance 0468 429 180 보험전문

0428 87 5050

Bluedog 부동산 0419 536 071

Bluedog 김수정 0408 622 934

MASTER QLD PROPERTY 서문희 대표 07 55 111 888 / 0478 110 290

Onyx Property Management 0490 187 898 Ray White 이민정 0431 686 286

Raas Group(Yong Lee) 0420 486 651

ALICIA’S PHOTOGRAPHY 0478 825 233

WOW CAFE & STUDIO 0401 282 303

AnK 골프 아카데미 0434 142 638

D.I Sports Academy 0425 864 112 Golf Zero 0435 595 577

Oppane 오빠네 5532 2413

Rice House 5591 2239

RICE VS NOODLE 5538 8803

The Dak 0468 857 692

WOW CAFE & STUDIO 0401 282 303

식품점/편의점

스마일마트 5527 1312

오페마트 5531 0922

유니마트 5608 9860

하나로마트 Helenvale 0493 090 679

Southport Robina

해피마트 0401 337 458

현우식품 5526 3838

Coomera Asian Mart 0424 491 646

K-Town Supermarket 5528 6781

에어컨/냉동수리

0434 486 877

에어컨 설치

Lotte 편의점 5591 2356

식품제조

명가(김치, 밑반찬) 5531 0906

고기하우스 5591 7465

감성포차 Yacha 5660 9648

김치하우스 5538 8496

다노시스시 5528 3005

두리분식 0413 965 268

대박집 5531 0374

불고기ya 5591 7270

서라벌 고기부페 5538 8465

소공동 순두부 0423 455 599

이조 숯불 BBQ 5531 2423

코리안 키친 5538 8855

파라다이스 숯불구이 5592 3824

해피롤 5528 0588

Hochan 호찬 0424 215 797

AZIT(아지트) 5661 8537

BBQ 빌리지 5532 2700

BBQ 코리아나 5504 5627

Cafe 928 5679 6616

CHIKOR 5531 1254

Cook & Beer 0402 99 66 94

Gal. B 5591 5141

Izakaya ichi 5564 0190

MAMAS KITCHEN 5571 1896

BB 두부 0406 541 572

안경원

골드코스트 한인안경원(EYEdear Optical) 0423 083 599

여행/공항픽업

시티익스프레스 공항픽업 0413 059 206

우리여행사 0412 393 713

운송/택배/이사

KPOST 우체국 택배 0422 59 59 79

대한통운 국제택배 0431 571 657

현대택배 3075 6872 / 0430 014 221

HT Logistics 3823 1802

PNL 택배(한국-->호주) 0449 24 8282

유학원

마린 유학 5591 7070

의류/침구/옷수선

벨라 옷수선 5511 2077

Sweet Closet 0402 148 750 자동차운전교습

메이

운전학원 0419 708 177

부부 운전학원 0414 273 087

자동차정비

CLUB AUTO 이승엽 0421 707 771

메르세데스 벤츠 골드코스트, 레이튼(한국어) 0478 220 828 카톡 MBGCLY

전기/전자/통신

리스(LEES) 전기공사 0434 378 245

하나로 전기공사 0416 868 818

SONG 전기공사 0414 781 645

정수기/비데

DP Motors 5537 8235, 0433 835 293

GCCEM 이승엽 0421 707 771

H&K Motors 5532 9088, 0433 004 310

JD Motors 5591 6772, 5591 6227

TINT MASTER 0421 707 771

차량복원 전문업체 NICK’s Panel & Paint 5531 3459, 0430 123 950 자동차판매

청소/방역

가나 Termite,Pest Control 04 02 02 8720

얼스 와이즈 방역 0436 321 537

원스톱 방역 & 카펫 청소 0401 600 887

원펀치 터마이트&페스트컨트롤 0402 157 905

짐스 터마이트 & 페스트 컨트롤 0416 515 874

클린킹(청소용품 판매) 5532 2342

JCM 터마이트&페스트 닥터팀 0430 318 776

PAULS Clean King 0425 233 118

권신정 회계사(MAZARS) 3218 3924

RAPID CLEAN 청소용품 5572 2284

컴퓨터/POS/웹사이트

미디어 나라 0412 443 066

김상현 회계사(PKF) 0433 379 280

김재미 회계사 0478 221 525

바른회계법인 한상호 회계사 0450 468 318

백화실 회계사 0421 007 756

iComputer (TPG 공식딜러, 컴퓨터 수리) 0435 831 116

VTEQ 컴퓨터 3323 3232 (TPG 공식딜러, 웹사이트, IT솔루션)

안재웅 공인회계사 0420 518 253

Q Pack 3219 5654

이윤 회계사 3299 1031

심인섭 공인회계사 0432 493 032

AK 정수기/비데 0401 558 353

The Bidet Shop 1800 243 387

VCG (엘지 정수기) 07 3924 1870 / 0421 807 981

정육점

서울 정육점 5531 5227, 0405 934 952

종교단체

기독교

ㆍ 골드코스트 가까운교회 0433 447 483

ㆍ 골드코스트 선교교회 0431 232 304

ㆍ 골드코스트 순복음교회 0402 089 896

ㆍ 골드코스트 온누리교회 0412 341 868

(Southport State High School 내)

ㆍ 골드코스트 열방교회 0412 362 029

(장로교회)

ㆍ 골드코스트 장로교회 0409 995 456

ㆍ 골드코스트 재림교회 0430 041 022

ㆍ 골드코스트 지구촌교회 0433 609 191

ㆍ 골드코스트 사랑의교회 0451 472 202

ㆍ 골드코스트 브니엘교회 0412 194 829

ㆍ Logan 예수제일교회 0426 501 966

ㆍ 비전 장로교회 0423 932 742

ㆍ 사우스포트 한인교회 0433 308 436

ㆍ 우리들 침례교회 0421 579 026

ㆍ 푸른파도 교회 0411 725 639

천주교

ㆍ 골드코스트 한인성당 0402 044 331

골드코스트 기쁜우리교회 0478 782 186

골드코스트 주님뜻교회 0450 501 201

신우 회계 법인 3148 8887

CYS 회계법인 07 5503 0366

JY Accountants 07 5679 1619

Prudent Accountants & Co 0412 447 987

그래픽 디자인

위니아트 0401 596 877

식당

Black Curry 5200 0875

Brown Rice(Peregian Springs) 5448 2197

Hanami (Coolum Beach) 5471 7091

HIKARU

ㆍ Birtinya 0432 389 288

ㆍ Baringa 0432 389 288

ㆍ Kawana 0452 028 804

ㆍ Northshore 5406 9017

ㆍ Buderim 5476 6266

MakiMoto(Noosa) 5447 3254

Master Sushi 5526 7557

The Sushi 79 (Currimundi) 5437 8208

Tampopo 5476 7039

Haru Korean Kitchen 5447 2249

식품점

선샤인 마트 0488 515 288

의료/병원

Doctors@Maleny (닥터.노) 07 5413 8066

전기/전자/통신

존 TV&안테나 0491 068 872

정수기/비데

Intended Blank Page

연방정부 의견 수렴 개시

연방정부는 890만 명의 근로

자가 같은 값에 더 많은 퇴직

연금을 받을 수 있는 개혁을

추진 중이다. 회사의 퇴직연

금 부담금 지급일을 의무적으

로 당겨서, 근로자가 은퇴 시

에 연금을 더 많이 확보할 수

있도록 돕는 정책이다. 앤소

니 알바니지 정부는 2023-24

년 예산안에서 2026년 7월 1

일부터 근로자의 퇴직연금 부

담금을 급여(salary) 또는 임 금(wage)과 동시에 지급해야 한다는 정책을 시행할 계획이 라고 발표했다.

이 간단한 변화로 호주 퇴직

연금 시스템이 더욱 강화되

고 수백만 명의 근로자의 품

위 있는 은퇴에도 도움이 될

것으로 예상된다. 더 일찍, 더

자주 은퇴연금 계좌에 부담금

이 입금되면, 결과적으로 은

퇴 시점에 더 많은 적립금이

쌓이기 때문이다. 현재 고용

주는 분기별 마감일까지 최

소 1년에 4회 근로자에게 퇴

직연금 부담금(현재는 급여

의 11%)을 지급해야 한다.

이를 준수하지 않으면 ATO

가 벌금이나 과태료를 부과

할 수 있다.

현재 협의 중인 이 입법안은

퇴직금에 대한 더 나은 가시

성을 제공하여 미지급 퇴직

연금 문제를 해결할 목적도

담겨 있다. 국세청(ATO)은 2019-20년에 34억 달러 상당

의 퇴직연금 부담금이 미지

급된 것으로 추산한다. 월요

일(9일)에 '호주인 퇴직연금

확보(Securing Australians' Superannuation)' 의견 수

렴서(consultation paper)

를 발표한 연방정부는 이 개 혁안의 시행이 한 걸음 더 가 까워졌다고 밝혔다.

짐 차머스 재무장관은 스티 븐 존스 재무차관과의 공동 성명에서 "이 의견수렴서는 급여 및 임금과 동시에 퇴직 연금 부담금을 지급하는 프

레임워크에 대한 업계 및 이 해관계자의 의견을 구한다" 고 설명했다.

차머스 장관은 "현재 분기별 로 퇴직연금을 받고 격주로

임금을 받는 25세 중위 소득 자가 급여일 퇴직연금으로

전환하면 은퇴 시에 약 6,000 달러 또는 1.5% 더 많은 퇴직

연금을 받을 수 있다"고 말 했다.

연방정부는 호주 난민 보호

시스템의 안전성을 회복하

고, 이 제도를 악용하는 사업

모델을 격파하기 위한 1억

6,000만 달러의 개혁 패키지 를 목요일(5일) 발표했다. 앤

드루 자일스(Andrew Giles)

이민장관은 "자유당 정부가

수년간 비자 시스템 악용을

외면한 끝에 알바니지 노동

당 정부는 우리가 물려받은 혼란을 바로잡고 향후 악용을

방지하기 위해 이민 시스템을

개혁에 나섰다"고 밝혔다. 전 날 발표된 닉슨 보고서에 따

르면, 인신매매범과 이민자를 착취하려는 자들이 난민 보호 제도를 악용하고 있는 것으로

나타났다. 난민 신청만 해도

과거 스콧 모 리슨 정부의 결정을 번복 하고 글로벌 기후 금융 기 구에 다시 자금을 지원할 예정이다. 페니 웡 외교장 관은 목요일(5일) 오전 호 주가 유엔(UN) 산하 녹색 기후기금(Green Climate Fund・GCF)을 위해 "적당 한(modest)" 자금을 공여 할 것이라고 발표했다. 녹색기후기금은 선진국이 개발도상국의

말 콤 턴불 정부는 2015년부 터 2018년까지 이 기금에 2 억 달러를 공여했다. 하지만 이후 들어선 스콧 모리슨 정부는 "이 거대한 기후 기금에 더는 돈을 내 지 않겠다"며 불참을 선언

했다. 당시 모리슨 정부는

이 기금의 거버넌스 문제

를 언급하며 개발도상국과

등록금, 왜 점점

JRG 제도의 비효율성 비판 쇄도...

학자금대출 물가연동제 개편 필요

지난 5년 동안 일부 인문학 과

정의 비용이 140% 이상 비싸

진 것으로 나타남에 따라 등

록금 급등을 막기 위한 연방

정부를 향한 압력이 증가하고

있다. 이 비용 인상은 논란이

되었던 전임 정부의 ‘대학생

취업 준비 제도(Job Ready Graduates・JRG)'의 후유증

이다. 물가 연동제가 적용되는

학자금 대출에 최근의 높은 인 플레이션이 반영되면, 대학생

들은 내년에 평균 7.8%의 비

용 증가를 부담하게 된다.

이달 초 교육부가 발표한 데이 터에 따르면 법률, 회계, 행정, 경제, 상업, 커뮤니케이션, 사 회 및 문화 등 학위의 등록금

은 2024년부터 연간 16,323

달러로 인상될 것이다. 이는

2023년에 비해 1,181달러가

인상된 것이고, 5년 전보다 ‘사

회 및 문화’ 과정의 경우 9,639

달러가 인상된 것이다.

2021년에 자유-국민연립(

연립) 정부는 등록금을 변경

하고 ‘사회 및 문화’ 과정을 ‘

법률 및 비즈니스’와 동일 한 계열로 옮기는 개혁을 도

입했다. 그 결과, 법학, 회계,

상업, 경제, 행정 과목의 등

록금이 46.3% 인상되는 동

안 일부 인문학 과정 등록금

은 2024년까지 144.2% 인

상될 것으로 예상된다. 대조

적으로, ‘교육’과 ‘간호’ 학생

들은 더 많은 연방 기금의 지

원을 받은 결과로 5년 전보

다 32%($6,566→$4,445)

줄어든 등록금을 내고 있 다. ‘농업’ 전공의 등록금도

Sushi Izu Southport Park

Sushi Izu Elanora

53%($4,445→$9,359) 줄 어들었다. 하지만 '의학', ' 치의학', '수의학' 학위는 16

%($10,958→$12,720) 증가 했다. 이러한 등록금 변동은

코로나-19 첫해에 연립 정부 가 학생들이 과학 및 공학을 포함한 특정 학위를 공부하 도록 장려하기 위해 고안하여

발표한 개혁의 결과다. JRG

제도는 학위에 대한 정부 보

조금을 58%에서 52%로 전반

적으로 낮추고, 인문학을 포함 한 일부 과정의 등록금 인상을

통해 다른 과정의 등록금을 인 하하고, 대학 정원을 39,000

명 늘렸다. 그러나 데이터에 따르면 ‘과학’ 학위에 대한 학 생의 등록금은 지난 5년 동안

약간 감소(-4%)하는 데 그쳤

으며, 연방 기금 보조는 충분 히 이루어지지 않았다. 호주 대학 협정(The Australian universities accord)은 중간 보고서에서 이 계획을 신랄 하게 비판했다. 제이슨 클레

어(Jason Clare) 교육장관은 학자금 대출(HELP)의 설계

자인 브루스 채프먼(Bruce Chapman) 교수가 협정 팀의 등록금 적정성 검토를 돕고 있 다고 말했다. 그러면서 클레어 장관은 협정 팀이 전임 정부의 JRG

이스라엘, 가자지구 식량・물・전기

호주 외교장관은 팔레스타

인 자치구인 가자지구에 식

량, 물, 전기 등을 차단한다

는 이스라엘 정부의 결정을

멀리서 판단하기는 어렵다

는 입장을 밝혔다.

이스라엘은 팔레스타인 무

장정파 하마스가 이스라엘

남부 음악 축제, 가자지구

인근의 여러 마을 등에 대

규모 공격을 시작한 후에

전쟁을 선포했다. 이스라엘

군은 수십만 명의 예비군을

소집하고 가자지구에 대한

전면 봉쇄를 선언했으며, 이스라엘 정부는 가자지구

주민 230만 명에 대한 물과

전기, 식량 등 생존 인프라

공급을 즉각 중단하겠다고 발표했다.

페니 웡 외교장관은 ABC 라

디오 인터뷰에서 호주는 하

마스의 이스라엘 공격과 무 차별적인 로켓포 발사, 민

간인 표적 공격 및 인질 납

치를 명백히 규탄한다며 이

스라엘에 방어권이 있음을

재차 언급했다. 웡 장관은 "인질 납치, 민간인 공격, 우

리가 보고 있는 끔찍한 영

상은 이스라엘이 직면한 안

보 상황을 상기시킨다"면

서 "이곳에서 다른 국가가

어떤 안보 접근 방식을 취

하는지에 대한 판단을 내 리는 것은 늘 쉽지 않다"고 말했다. 국제 인권 단체인 휴먼라이츠워치(Human Rights Watch)는 하마스의 공격은 명백히 전쟁 범죄에

시드니서 '친팔레스타인 집회' 열려

이스라엘 정부가 하마스의 기

습 공격에 대응해 전쟁을 선

포한 가운데, 수백 명의 호주

인이 팔레스타인과 연대하기

위해 행진했다. 팔레스타인 무

장정파 하마스는 지난주 토요

일(7일) 이스라엘에 기습 공격 을 감행했다. 이스라엘의 보복

공격까지 이어지면서 양측에

사망자만 1,500명이 나왔다.

보도에 따르면, 월요일(9일)

까지 하마스의 공격에 이스라

엘인은 800명이 넘게 사망했

고, 2,600명이 다쳤다. 하마스

에 붙잡힌 인질도 150명에 이

르는 것으로 알려졌다. 이스라

엘 공습이 집중된 가자지구에

서는 약 700명 사망한 것으로

보고됐다. 부상자는 3,700명

이상인 것으로 알려졌다. 호

주 정부와 야당은 일제히 이

스라엘을 공격하여 민간인을

살해하고 납치한 하마스를 규

탄하며, 이스라엘의 방어권을 옹호했다.

하지만 유대인과 팔레스타인

인이 공존하는 호주에서는 하

나의 목소리만 있지 않다. 유 대인 단체는 주권 국가에 대 한 무력 공격을 가한 하마스

를 맹비난하는 반면, 팔레스타 인인 단체는 가자지구의 역사 를 언급하며 정부가 팔레스타

인인의 입장을 들어야 한다고 주장한다. 월요일에 친팔레스 타인 집회를 주최한 시드니팔 레스타인행동그룹(Palestine

Action Group Sydney)은 호 주에 이스라엘과의 관계 단절 을 요구했다.

이 집회는 시드니 시청에서 오페라 하우스까지 행진하 며, 지지자들에게 "팔레스타 인과 연대하여 저항할 것"을 촉구했다. 이날 밤, 오페라 하 우스는 파란색과 흰색의 조명 을 밝혀 이스라엘을 공개 지지 했다. 전날 크리스 민스(Chris Minns) 뉴사우스웨일스 주 총리는 이스라엘 공격과 납 치 행각을 "깊이 우려한다" 고 밝혔다.

NSW 녹색당 제니 레옹(Jenny Leong) 주하원의원은 엑 스(옛 트위터)를 통해 오페라 하우스 돛에 불을 밝히기로 한 결정을 "끔찍하다(appalling)"고 묘사했다. 레옹 의원

호주 기상청(BoM)이 호주 의 악천후 성수기에 대비하

기 위해 장기 예보를 발표했

다. 2023-24 시즌에는 폭염 과 산불(bushfire) 위험이 증

가하는 대신 열대성 저기압 (tropical cyclone) 발생은

줄어들 것으로 예상된다. 기

상청은 "악천후는 연중 언제

든 발생할 수 있지만, 10월

부터 4월까지는 폭염, 산불,

열대성 저기압, 심한 뇌우,

홍수 등 호주에서 극단적 날

씨가 가장 많이 나타나는 시

기"라고 설명했다.

현재 기후 동인, 장기 전망,

최근 상황 등을 고려할 때 올 해에는 특히 폭염과 산불이

요주의 대상이다. 기상청은

적어도 2024년 2월까지는

호주 대부분 지역이 비정상

적으로 따뜻한 기온이 지속

될 가능성이 높다고 예상했

다. 평년 이상의 기온은 강수

량 감소 등과 결합해 호주 동

부와 남부 대부분 지역에서

산불 발생 위험을 높일 것으

로 전망된다.

기상청의 세라 스컬리(Sarah Scully) 선임 기상학자

는 "10월부터 2월까지 낮과

밤 기온이 이례적으로 따뜻

할 확률이 높다"며 "낮이

시드니의 임대 주택 시장 가

격이 사상 최고치에 도달했

다. 세입자들이 엄청난 비용과

씨름하게 되면서, 그들의 주택

소유의 꿈은 점점 더 어려워지

는 모양새다.

부동산 사이트인 ‘도메인 (Domain)’의 최근 임대료 보

고서에 따르면, 시드니의 유

닛(unit) 중위 임대료는 지난

한 해 동안 23.6% 급등하여 현재 주당 680달러에 이르렀

고, 단독 주택(house)의 경우 는 10.8% 상승해 주당 720달

러에 달했다. 비록 임대료의

인상 속도가 완화되고는 있

지만, 시드니 유닛 및 단독 주

택 임대료는 9분기 연속 상승 했다. 이는 도메인의 집계 이

래 최장 연속 상승세다. 노숙

자 증가와 사회적 불평등 야 기 등 임대료 상승 문제는 더 광범위한 사회 경제적 도전이 되고 있다.

도메인의 연구 및 경제 책

한계에 도달했지만 부

동산 공실률이 사상 최저치인

주택을 구입할 수 없는 지 역 주민들의 높은 임대 수요, 급증하는 이민자, 임대 부동산 의 지속적이고 비탄력적인 부 족을 들었다. 그녀는 임대 주 택 시장이 안정을 찾기 위해

서는 전국적으로 4~7만 채의 임대

필요한데 이는 뉴캐슬에 있는 모든 주택의 수 와 맞먹는다며 결코 쉽지 않은 일이라고 말했다. 비영리 경제 단체인 ‘임팩트 경제 및 정책 연구소(Impact Economics and Policy)’의 수석 경제 전 문가인 안젤라 잭슨(Angela Jackson) 박사 역시 낮은 공 실률과 부동산 부족 문제를 지적했다. 잭슨 박사는 이로 인해 도시가 필수 노동자에게 주택을 제공할 수 없게 되면,

남호주, 숙련 노동자 위한 영주권 문호 개방

2023-24년 이민 프로그램 을 시작한 남호주주가 250 개 이상의 직종에서 국내 외의 숙련 노동자들을 초 청하고 있다. 해외 신청자 를 위한 비자 조건 및 절차 는 변경되지 않지만 국내 (onshore) 신청자는 이제 ‘관심 등록(Registration of Interest・ROI)’ 프로세스를 거쳐야 한다. 지난주 남호

주 주정부는 이번 회계 연

도의 이민 프로그램을 시작

하며 신청자에게 주정부의

지명을 받기 위한 무료 ROI

를 제출하도록 요청했다.

이러한 움직임은 비자 지명

을 위해 남호주주에 할당된

자리가 전년도(2022-23)에

8,800개에서 이번 연도에 2,300개로 현저히 줄어든 후에 나온 것이다.

하지만 올해 주정부는 국내

신청자(Subclass 190 및 Subclass 491)가 더 이상

주정부의 지명을 직접 요

청할 수 없도록 했다. 주정

부 대변인은 이는 남호주주

에 이미 거주하면서 일하고

있는 잠재적 신청자의 높은

수요를 효과적으로 관리하 기 위한 것으로, 그들은 ROI

를 먼저 제출한 후에 주정

부 지명을 신청하도록 초청

Turn static files into dynamic content formats.

Create a flipbook
Issuu converts static files into: digital portfolios, online yearbooks, online catalogs, digital photo albums and more. Sign up and create your flipbook.