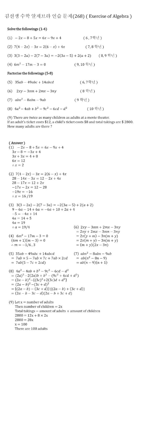
QLD KOREAN LIFE - V1040

Page 1


네가 이루고 싶은 게 있다면, 체력을 먼저 길러라

있다

네가 종종 후반에 무너지는 이유, 대미지를 입은 후에 회복이 더딘 이유, 실수한 후 복구가 더딘 이유, 다 체력의 한계 때문이야.

체력이 약하면 빨리 편안함을 찾게 되고, 그러면 인내심이 떨어지고, 그 피로감을 견디지 못하게 되면 승부 따윈 상관없는 지경에 이르지.

이기고 싶다면 네 고민을 충분히 견뎌 줄 몸을 먼저 만들어.

정신력은 체력의 보호 없이는 구호밖에 안돼!

많은 직장인이 인생 드라마 로 꼽는 <미생>(2014)에 등 장하는 대사다. 이 장면은 장 그래가 새벽에 산을 뛰어오 르면서 시작한다. 거친 호흡

으로 정상을 향해 달려가는

동안 바둑을 가르쳐 준 할아

버지의 내레이션이 흘러나온

다. '네가 이루고 싶은 게 있

다면, 체력을 먼저 길러라. 네

가 종종 후반에 무너지는 이 유......'

주인공 장그래(임시완 역)는 어릴 때부터 바둑에 매달려

왔으나 프로입단에 실패했

다. 아는 사람의 도움으로 대 기업의 인턴사원으로 취직했 다. 조직 생활을 해 보지 않은 장그래에게 회사는 정글이었 다. 하루치의 에너지를 직장

에 쏟아놓고 퇴근하면 장그래

가 좀 커 보이는 양복 윗도리, 살이 빠진 엉덩이와 허벅지를 감추기에는 헐렁한 바짓가랑 이. 내 걸음은 영화 속 슬로비 디오를 보는 것처럼 느릿느릿 할 것이다. 눈앞에 생생하게 보이는 듯하다.

나는 내가 이루고 싶은 게 있 다. 퇴직 후에도 내 삶의 속도

를 유지하고 싶다. 나는 '할 수 있는 일'과 '하고 싶은 일'을 지금 준비하고 있다. '할 수 있 는 일'이란 내가 쌓아 둔 관계 속에서 내가 가진 역량을 사 용할 수 있도록 누군가가 내 게 일자리를 제시하는 것이 다. '하고 싶은 일'이란 독서와 글쓰기다.

했다. 지금은 어느 수영장에 가든지 빠지지는 않는다. 헬 스장 근처에 가본 적이 없는 나는 수영을 처음 배울 때를 떠올렸다.

는 파김치가 되었다.

다음날, 장그래는 새벽을 깨

우고 출근했다. 동료와 상사, 거래처 사람과 부대꼈다. 장

그래가 실적을 내고 주위 사

람들에게 좋은 평가를 받을

수 있었던 원동력은 체력이

나는 지금 글도 쓰고 북튜버 도 하고 있다. 시도와 도전은 비용과 시간이 많이 들지만, 어설프고 성과도 없다. 처음 부터 잘하는 사람이 어디 있 겠는가? 계속하다 보면 구독

자와 팔로워도 늘 것이다. 그

렇게 되면 퇴직 후에도 내 삶

의 속도가 급하게 추락하지는 않을 것이다.

헬스장에 다닌지 아직 한 달 이 지나지 않았지만 만족한 다. 하루아침에 근육이 불끈 솟아오르지 않았다. 나의 장 기를 발휘해 보기로 했다. 나 의 장기는 끈기다. 하나씩 쌓 아 올라가는 것이다. 어제 아 침 헬스로 근섬유 하나가 완 성되었다. 물론 눈에 보이지 는 않는다.

었다. 웃음을 잃지 않고 끈기

있게 사람을 설득하고 묘수를

생각해 낸 것은 매일매일 쌓

아둔 근육이 있었기 때문에

가능했다.

퇴직 후 내 삶의 속도는 얼마 나 떨어질까?

어느 날 아침, 문을 나섰지만 갈 곳이 없다고 생각해 보자. 축 처진 어깨에 걸쳐진 백팩, 차려입었다고는 하지만 어딘

50대 후반에 헬스를 시작했 다.

후반에 무너지지 않기 위해

서는 체력을 길러야 한다.

당장 성과가 나오지 않

아도 끈기 있게 밀어붙

이려면 체력이 뒷받침

이 되어야 한다. 퇴직

준비를 하고 있는 내

게는 절실하게 와닿는 말이다.

벌어진 가슴과 살짝 튀어나 온 어깨 근육에 얹힌 백팩, 반 듯하게 세운 척추에 적당한 볼륨을 가진 엉덩이와 허벅 지가 받쳐주는 상체, 비싸지 않은 양복이라도 태가 날 것 이다. 분명히 발걸음은 느려 졌지만

중국생활 10년.

그리고 한국으로 돌아왔을 때

불편한 것이 한가지 있었다.

바로 카드 사용이다.

대한민국에서는 카드 한 장만

있으면 어딜 가든 결제가 된

다. 현금을 못 본 지 꽤나 오래

된 것 같기도 하고 지갑에 현

금을 가지고 다니지 않는 이

들도 있다.(지갑 자체를 안 가

지고 다니기도...) 더불어 카

드사의 혜택이 꽤나 다양하고

많다 보니 신용카드도 몇 장

씩 들고 다니기도 하고 혜택

에 따라 따로 쓰기도 한다. 마

트나 백화점에 가면 해당 몰

에 혜택을 가진 신용카드를

가입을 유도하는 분들도 있기

도 할 정도다. 중국보다 한국이

불편한 것 딱 한 가지

중국은 한국처럼 이렇게 신용

카드가 발달되지 않았거니와

신용카드의 혜택이 한국만큼

다양하지도 않다.

그리고 대부분의 신용카드는

은행에서 발급해주지 은행을

가지고 있지 않은 '카드사'에 서 발급하는 경우도 없다.

나는 중국에서 신용카드를 딱 한 장 사용했다.

그 신용카드를 가지게 된 이

유도 한국 혹은 해외에서 사

용하더라도 수수료 없이 사

용이 가능하다고 했기 때문

에 가입했다. 덕분에 한국에

와서 소비를 할 때(나는 월급

이 인민폐라 한국에 올 때마

다 돈을 바꿔야 했다) 환전할

필요 없이 바로바로 카드로

알려진 알리바바가 운영하 는 알리페이(支付宝 즈푸바 오) 그리고 한국의 카카오톡 같은 메신저인 중국의 위챗 (微信 웨이신)의 위챗페이 가 바로 그것이다. (한국에 는 네이버페이와 카카오페 이가 가장 대표적으로 사용 되고 있다)

이 두가지 페이로의 사용으 로 중국에서는 카드를 꺼낼 일도, 현금을 꺼낼 일도 전혀 없다.

이 결제수단으로 어디서든, 모든 것을 다 해결할 수 있다. 시장에서도 야채나 과일을 사 고도 이 두 가지 페이로 결제 가 가능하다. 길 가다가 노점

상에서 파는 음식이나 물건

을 구입할 때도 쓸 수 있다. 한 국에서는 노점상에서 몇천원 짜리 떡볶이나 핫도그 같은걸

사먹을 때 카드를 쓸 수 없다.

카드 수수료가 있기 때문이 다. 그러나 이 두가지 페이는

수수료가 없는건지 어디서든 사용하고 있다.

한국에도 이제는 유용하게 사 용되는 카카오뱅크 혹은 카카 오페이도

다녀야 하는데 중국에서는 그 카드조차 들고 다닐 필요가 없어 정말 편했 다. 아니, 편한지도 모르고 있 다가 한국 와서 카드를 들고 다녀야 함에 불편함을 느끼고 있는 것이다.

결제가 가능했다.

내가 중국에서 주로 사용하

는 카드는 우리로 치면 체크

카드였다.

월급통장과 연결되어 있는지

라 체크카드만 쓰고 다녔다.

그러나 이 체크카드를 직접

꺼낼 일은 현금을 인출할 때

외에는 전혀 없었다.

중국에는 두 가지 큰 핀테크

회사가 있다.

지금은 한국에도 너무나 잘

택시도 길에 나가서 잡지 않 는다.

'띠디'라는 차량 호출 시스 템으로 잡는다. 띠디(嘀嘀)

라는 앱으로 '택시'를 부르는

것이 아니라 '일반차량'을 부 른다. 중국에서 택시 타본지

도 정말 오래된 것 같은데 이

띠띠는 미국에서 쓴다는 우버 (UBER) 같은 것이다. (한국에

는 '타다'라는 차량 호출 앱이

있지만 좀 다른 개념이다) 이

번에 중국에 갔을 때 띠디로

차량을 호출하니 테슬라가 왔

다. (두둥)

카드 한 장 때문에 지갑을 들 고 다닐 수는 없고 그렇다고 카드 한 장만 주머니에 넣고 다니자니 애매해서 결국은 휴 대폰 케이스에 카드 한 장이 들어가는 걸로 구매해서 쓰고 다닌다.

코로나 규제가 풀리고 중국에 방문했을 때 나는 예전 중국 전화번호가

한 달동안 금욕상자를

써봤더니...

by 달빛달 / 브런치

아이들과 집에서 많은 시간을 보내다보니, 바깥 세상과 단 절된 마음을 해소하기 위해 핸드폰을 붙잡고 있는 시간

이 많아졌다. 핸드폰만 있으

면 세상 누구와도 연결될 수 있었다. 내가 좋아하는 노래, 영상, 글귀 등과 쉴새없이 맞

닿게 해주는 고마운 그 녀석.

그런데 어느 순간부터 그냥, 심심해서, 습관적으로 핸드폰 을 손에 쥐고 있는 나를 발견 했다. 밥을 먹을 때도, 화장실 에 갈 때도, 친구를 만날 때도

손을 뻗게 되는 그 녀석. 나를 향해 끊임없이 "나를 켜주세 요. 재밌는게 있어요. 좋아요

흩어지게 하는 그 녀석을 가둬보았다

일을 비행하고, 250명의 전

문가와 인터뷰를 하며 많은

이론, 실험, 연구 자료를 바탕

으로 이 책을 쓴 저자 요한 하

리는 전 세계적으로 나타나

는 집중력 부족 현상을 분석

하고 그것이 시스템의 문제

임을 밝혀낸다. 한 연구에서

는 미국인 대학생이 무언가

에 얼마나 자주 주의를 기울

이는지를 조사했는데, 학생 들은 평균 65초마다 하는 일

을 전환했고, 사무실에서 일

하는 성인도 평균적으로 3분

만 한가지 일에 집중한다는 결과를 얻었다.

를 드릴게요" 라고 신호를 보

내는 듯한 그 녀석이 내 삶을

흩어지게 만들고 있었다.

참지 못하고 습관적으로 핸

드폰 화면을 켜면 오늘도 어

김없이 재미있고 센스넘치는

릴스가 끝없이 재생되고 여기

저기 피 튀기는 잔인한 영상

이 OTT에서 플레이되며 나만

빼고 다 잘먹고 잘사는 듯한

사람들의 웃음과 행복, 소비 가 SNS에 전시되고 있다.

뉴스를 클릭해도, 너무나 자 극적이고 감정을 들쑤시는 듯 한 이슈들이 마음을 불편하게 한다. 불같이 타올랐다가 갑 자기 재가 되어버리는 사회 이슈들. 누군가를 죽일 듯이 물어뜯다가도 관심이 사그라 들면 그 분노는 다른 이슈로 전이되어 버리고 만다.

빨라진 속도, 얕아진 깊이. 감

정만 남은 이슈들. 그렇게 재

로 변한 이슈들은 반복 될 뿐 이다. 개인에게만 분노를 쏟

아내고, 시스템이나 제도는

바뀌지 않으니 말이다. 제도

를 다루는 사람들이 원하는 것이 그것일까.

홍수처럼 범람하는 많은 사

람들의 말들 위에 떠다니고

휩쓸리는 느낌이 싫었다. 내

가 감당할 수 있는 정보의 수

위는 바다가 아니라 잔잔한

호수였는데, 핸드폰 그 녀석

이 나에게 정보라는 명목으

로 나에게 계속해서 물을 붓

는 격이었다. 그 물을 붓는 주

체는 다름아닌 나의 손이었

다는 것이 가장 문제이고 말

이다.

마침, 요한 하리의 <도둑맞은

집중력>이라는 책을 읽으며

더욱 확신이 들었다. 3만 마

그리고 도착한 금욕상자.

TV에 나온 연예인처럼 10시 간동안 그녀석을 감금 시킬 용기는 나지 않아서 서너 시 간 정도씩 그녀석을 잠궈두었 다. 주말에는 남편이 있으니, 급한 연락은 남편 핸드폰을

유용 했다. 당장 해야 하는 전화나 문자는 집 전화를 이용했다. (쓰고 보니 완벽한 디지털 디 톡스는 못했다 싶다.) 그런데 생각보다... 그렇게 많 이 답답하거나 힘들지

기자인 요한 하리는 1달 동안 핸드폰 없이 지낸 프로빈스타 운에서 바다를 바라봤을 때를 이렇게 회상한다.

너무 오랫동안 내 시선을 트위터 피드처럼 아주 빠 르고 일시적인 것에 고정 하고 살았다. 속도가 빠 른 것에 시선을 고정하 면 근심에 빠지고 흥분하 게 되며, 움직이고 손을 흔들고 고함치지 않으면 쉽게 휩쓸려버릴 것 같은 기분이 든다.

반면 지금은 아주 오래되 고 영속적인 것을 바라보

고 있었다. 나는 생각했 다. 이 바다는 내가 태어

나기 훨씬 전부터 이곳에

있었고, 나의 사소한 걱

정이 잊힌 뒤에도 오래도 록 이곳에 존재할거라고.

트위터는 온 세상이 나

자신과 내 작은 자아에

푹 빠져있다는 느낌을 준 다. 세상은 나를 사랑하

고, 나를 싫어하고, 지금 이순간 나에 대해 말하고 있다. 바다는 온 세상이

온화하고 축축하고 우호

적인 무관심으로 나를 맞

이하고 있다는 느낌을 준

다. 바다는 내가 아무리 크게 소리쳐도 결코 맞대

응 하지 않을 것이다.

그렇게 스스로 정보의 소방

호스를 잠그고 자신이 선택

한 속도로 물을 홀짝인 (p.53)

그의 이야기는 나에게도 호

기심과 부러움을 일으켰고, 마침 "나 혼자 산다" 라는 프

로그램에서 한 연예인이 금욕

상자를 사용하는 에피소드를

보고 나는 외쳤다. "바로 저거 야!!"

놓쳤던 여러 감각들에 집중할 수 있 었다. 타타탁 재료 다듬는 소 리, 보글보글 끓는 소리, 멍하 게 하늘도 보고, 엄마 퀸카 엄 마 퀸카를 부르며 엉덩이를 들썩거리는 아이의 뒷모습도.

한달쯤 되니, 요즘은 금욕상 자를 매일 사용하게 되진 않 는다. 정말 내가 이 녀석에게 너무 휘둘리는 느낌이 들 때. 꼭 집중해야 하는 일이 있을 때만 그녀석을 넣어둔다. 금욕상자를 사용하기 이전에 는 몰랐던, 그 녀석이 없을 때 의 장점을 이제는 알기에 어 느 정도는 스스로 조절이 가 능해 진 것 같기도 하고 말이 다. 하지만 주변사람들에게 나는 금욕상자를 적극 홍보 하고

기내식 말고 화산식,

들어보셨나요?

예정에도 없던 과테말라 안티 구아(Antigua)에 왔다. 안티

구아는 화산으로 둘러싸인 옛

수도로 스페인 식민도시 흔적

이 남아있고 화산지대 커피콩

으로 내린 스모키한 향의 커

피로 알려진 곳이다. 안티구

아는 쿠바행을 포기한 대신

얻은 대체 여행지다. 목적은

단 하나, 푸에고 화산(Volcan Fuego)을 보기 위해서다.

좋은 공기는 몸이 먼저 알아

보는 법이다. 온열 가려움도

어느새 사라졌고 배앓이도 바

로 멈췄다. 덥고 습한 유카탄

공기에 보름을 고문당하다가

왔으니 그럴 만도 했다. 안티

구아의 맑고 서늘한 공기 속

에 가만히 있기만 해도 몸과

마음이 힐링되었다.

안티구아 센트로에서 고개만

들면 보이는 잘생긴 성층화산

아구아산 외에도 안티구아에

는 지금도 활발히 용암을 뿜

어내는 화산이 있다. 이름도

그에 걸맞은 '불의 산' 푸에고

화산이다.

푸에고 옆의 휴화산 아카테낭 고(Acatenango)에 올라 푸

에고 화산의 분출을 보는 1박

2일 투어가 있다고 한다. 힘들

다고 소문난 코스로 어떤 투

어사는 55세 이상인 자를 받

지 않는다고 한다. 몇 년 전 과

테말라 대학생 셋이 등반했다

가 사망하는 사고까지 있었다 고 한다. 나는 산도 잘 못 타는

데다가 고산증까지 걱정되었

다. 몇 날 며칠을 망설인 끝에 도전해 보기로 결정했다. '그

래도 지금이 가장 젊으니까!'

아카테낭고 오르는 길은 해 발 2,500미터 지점부터 시작 되었다. 등산로 초입부터 시

커먼 화산재 흙에 발이 푹푹

빠졌다. '죽음의 등산'이라는

후기가 괜한 말이 아니었다.

미끄럽고 가파른 화산흙 길

이 끝도 없이 이어졌다. 이삼

십대로 보이는 서양 여행자들

은 잘도 올랐다. 13명의 일행

중 최고령인 우리 부부가 한

참 쳐져서 올라갔다. 몸이 괴

로우니 저절로 초집중 상태가

되어 앞사람 발 뒤꿈치만 보

고 발을 딛고 또 디뎠다.

출발할 때 투어사에서 나눠

준 점심과 저녁, 간식 도시락

을 각자 갖고 올라가야 했다.

자기 식량은 자기가 운반하

는 방식이다. 산행 도중에 치

킨샐러드를 점심으로 먹고 오

르기를 반복했다. 힘들 때마

다 주문처럼 되뇌었다. '시작

이 있으면 끝이 있겠지.' 5시

간쯤 올랐을까? 마침내 베이

스캠프에 도착했다.

천막과 스티로폼으로 얼기설

기 만들어 놓은 베이스캠프에 서니 푸에고산이 가깝게 보였 다. 간헐적으로 폭발음을 내 며 연기를 뿜어내는 화산이 지척이다. 죽을 것 같은 고된

등산 끝에 보는 푸에고 분출

은 그 자체로 감동이었다.

아카테낭고산은 너무 추웠 다. 겨울 패딩을 껴입고 모자 에 목도리, 장갑까지 동원해 도 추웠다. 가이드들이 지펴

놓은 모닥불에 몸을 녹이다

가 푸에고 화산 분출을 기다

리다가 하는 일이 밤새 반복

되었다.

어둠이 내리자 푸에고 화산의

진짜 모습이 드러나기 시작했

다. 낮에는 보이지 않던 시뻘 건 용암을 분수처럼 뿜어내더 니 이내 산자락을 타고 흘렀

다. 수초에 이르는 짧은 분출 쇼였다. 30분 넘게 기다리면 한 번 정도 분출했다. 어떨 때

는 약하게 어떨 때는 장엄하 게. 낮에도 연기와 함께 흘러 나왔을 용암이 어둠이 내려

서야 사람 눈으로 식별된다는 사실이 역설적이다. 어두울수

록 잘 보이는 별처럼.

더러 화산을 찾아다니는 여행

을 했다. 물고인 한라산 백록

담도 봤고 백두산 천지에도

올랐다. 굉음을 내며 연기 뿜

는 인도네시아의 브로모 화산 과 칼데라호가 아름다운 필리 핀의 피나투보 화산까지. 그

폭발음을 들으며 추위 에 떨면서 눈을 붙였다. 이튿 날 아침 식사로 오믈렛 빵을 하나씩 나눠주었다. 각자 갖 고 간 물을 한 컵씩 추렴하여 끓인 후 한 잔씩 부어줘서 핫 초코를 타 먹었다. 아구아화 산의 일출과 푸에고 화산 분 출을 동시에 보면서 먹는, 세 상에서 둘도 없는 화산식, '아 카테낭고 빵과 핫초코'였다. 기내식이 비행기 안 해발 1만 미터 고도에서의 식사라는데 내 발로 직접 걸어올라 해발

이게 세계 1위의

음식이랍니다

by 동그라미 원 / 브런치

인도네시아에 2017년 인기 투표 세계 1위를 차지한 음식

이 있다. 이름하여 '른당' 우리 의 갈비찜과 비슷하다. 2017

년 CNN에서 페이스북을 통 해 실시한 인터넷 클릭 전쟁 "Your pick"에서 가장 맛있

는 음식 1위에 선정되었다. 인

도네시아까지 와서 이 요리를 먹어보는 것이 예의가 아니겠 는가?

나무위키에 소개된 른당에 대 한 소개는 다음과 같다. 렌당 (Rendang)은 인도네시아 등

해양 동남아시아 지역의 고

기 요리이자 고기 등을 천천

히 오래 익히는 조리 방식을

일컫는 말이다. 쇠고기를 코

코넛 밀크와 여러 가지 향신

채, 향신료로 만든 페이스트

와 함께 조리한 음식으로, 카

레로 여겨지기도 한다. 대표

적인 파당 요리 가운데 하나

이며 인도네시아의 국민 음식

가운데 하나로 여겨진다.

이와 같은 요리법은 덥고 습

한 나라에서 고기요리를 가장

오래 보관할 수 있는 지혜에

서 시작되었다고 한다. 당시

투표에서 2위를 차지한 음식

은 역시 인도네시아의 나시고

랭인데 인도네시아식 볶음밥 이다. '고랭'라는 말이 '볶다'

라는 뜻인데 덥고 습한 나라

에서 음식을 오래 보관할 목 적에서 이곳에 음식은 대체 로 '고랭'음식이다. 우리의 볶 음밥에 해당하는 것은 '나시 고랭', 볶음면은 '미고랭'이다.

한국에서 볶음밥을 종종 먹는 분들이라면 '나시고랭'은 그

어떤 볶음밥보다 맛있게 느끼 게 되리라 확신한다.

원래 고기를 좋아하고 또한

코코넛과 각종 동남아 향신료

를 좋아하니 아주 기대가 된

른당이었다. 드디어 마주한

른당은 우리의 갈비찜과 맛

과 향이 비슷하데 뼈는 없는

살코기로 되어 밥과 함께 먹

기가 편했다. 개인적으로 코

코넛이 음식에 들어간 동남

아 음식을 원래 좋아했기 때

문에 나에게는 취향저격이다.

이곳에 와서 일단 세계 음식

인기투표 1,2위를 차지한 인

도네시아 대표 음식을 먹었

으니 이곳에 대한 예의는 다 한 것이다.

전 세계 30개 넘는 나라를 다

니면서 음식 때문에 힘들거나 고생을 한 적은 없다. 해외에

살 때에도 우리 가족은 원래 김치를 별로 먹지 않는 가족 이어서 김치에 대한 향수병 도 없었다. 이곳에 와서 다시 동남아 음식을 먹으니 오히 려 라오스 생각이 나면서 고 향의 맛과 같은 마음이다. 해 외 생활에 적응 여부는 현지 음식에 대한 적응에 달려 있 다고 해도 과언은 아니다. 이 곳에는 각종 한국 식당이 다 있지만 이곳에 있는 동안 한 국 식당에 가지는 않을 것이 다. 아내는 오랜만에 동남아 과일에 신났다. 매일 아침은 슈퍼에서 사 온 망고, 용과, 두 리안과 같은 과일 잔치에 인 도네시아 커피와 빵으로 만찬 을 즐긴다. 심지어 아내는 두 리안을 치즈와 함께 빵에 발 라

최근 바쁘게 살아오다 보니

심신이 지쳐가는 것을 조금

씩 느낄 수 있었습니다. 쉴 새

없이 쏟아지는 핸드폰의 연

지를 앗아갔고, 저는 아무도

사용하지 않는 욕실의 비누 처럼, 조금씩 녹아 없어지며

말라붙고 있었습니다.

락, 각종 알람, 보내야 하는 메 일, 지인들과의 만남 등. 삶의 모든 것들은 저의 에너

100세

할머니와 친구가

되었습니다

점점 있었던 일을 잘 기억하

지 못하게 됐고, 밥을 먹을 때 에도 입으로 들어가는지, 코 로 들어가는지 모를 지경이 되었죠. 사람들과의 관계도

조금씩 망가지고, 몸도 마음 도 병들어가고 있었습니다.

이렇게 살면 더는 안 되겠다 싶어, 하던 일을 조금씩 그만 두고 쉴 수 있는 시간을 확보 해가고 있었습니다. 집 앞 산

책을 갈 때에도 핸드폰은 최

대한 두고 나오고, 길을 걸어 갈 때에도, 최대한 아무것도

하지 않고 걷는 그 순간을 느

그들은 행복해 보이기도, 슬 퍼 보이기도, 우울해 보이기 도, 결의에 차 보이기도 했죠. 나의 표정은 그동안 어땠을 까, 잠시 스스로를 돌아보기 도 했답니다. 저는 어쩌면 이 시간을 명상처럼 활용하고 있 는지도 모르겠어요. 불필요한

가 20살이니, 30살이니, 십 의 자리가 바뀔 때 조금이라 도 나이 드는 것이 싫어 어 떻게든 내려보려던 그것이 었는데, 어르신은 100의 자 리가 바뀌는 경험을 하셨으 니 그 무게가 얼마나 무거웠 을지요.

끼는 것을 목표로 삼았어요.

더 이상 어떤 정보도 머릿속

에 넣지 않고자 하는 다짐이

었죠. 머릿속은 손님이 오기

전, 방의 서랍처럼 꽉꽉 차 있

어, 하나만 더 들어가도 터져

골드코스트

유니마트

버릴 듯했으니까요.

그렇게 몸과 마음을 조금씩

치료해 가던 중, 저에게는 작

은 습관이 하나 생겼습니다.

제가 좋아하는 카페에 가서

차가운 아이스 캐모마일을

하나 사 (저는 카페인 때문에

커피를 마시지 못합니다.) 빨

대를 쪽쪽 빨며, 공원 앞 벤치

에 가만히 앉아 있는 것이었

어요. 그렇게 앉아 멍하니 내

눈앞에 펼쳐지는 녹색 배경의

생각을 그저 바라보고 날려 보내는, 요가 수행자들의 그 어떤 비슷한 말들과 비슷한 행동을 하고 있었으니까요.

그렇게 일주일 정도가 지났을 까, 제 옆에 어떤 할머니 한 분 이 앉아 말을 걸어오셨어요.

자연스럽게 지어지는 미소에 어울리게 새겨진 주름과, 하

얀 백발, 정겨운 눈웃음이 인 상적인 어르신이셨죠. 나이는 몇 살인지, 하는 일은 무엇인

지, 이런 개인적인 질문은 절

대 하지 않으셨어요. 다만 젊

은 사람이 왜 이곳에 노인처

럼 앉아 있느냐 하는 것이 첫 질문이셨죠. 저는 어르신들만

벤치에 앉아있으리란 법이 있

어르신과 저는 따로 약속을 하지는 않았지만, 어느새 벤 치에서 함께 이야기를 나누는 친구 사이가 되었어요. 할머니의 살아온 얘기, 저의 힘들었던 이야기, 할머니의 가족 얘기, 저의 인생 고민 등 우리는 서로 다양한 주제의 대화를 나눴어요. 그중 가장 기억에 남는 것은 죽음에 관 한 이야기였어요.

친구들도 가족도 다 떠나고, 이제 자신도 편안히 죽음을 맞이하고 싶은데, 이 몸뚱아 리가 쉽게 죽도록 내버려 두 지 않는다는 이야기였죠. 할 머니는 정신과 몸이 굉장히 정정하신

광경을 보고 있노라면, 내가

마치 CCTV가 된 것만 같은 기

분이 들기도 했습니다.

담배 피우며 지나가는 아저

씨, 왁자지껄 떠들며 지나가

는 한 덩어리의 학생들, 유모

차를 끌며 지나가는 아주머니 (가끔 유모차 안에는 강아지 가 타고 있는 경우도 왕왕 있 었습니다.) 등, 다양한 사람들 의 모습을 바라보는 관찰자가 된 기분이었어요.

을까요라며 너스레를 떨었지 만, 가볍게 미소를 지으시는 할머니의 모습은 어딘가 쓸쓸 해 보였습니다.

할머니는 올해 101세가 넘

으셨다고 하셨어요. 만 나 이가 도입되고 얼마 전 생 일이 지나 다시 100세이시 라고 말씀하고 다니신다고

하시기도 했죠. 다만 100세 가 되었을 때의 그 기분을 똑

같이 느끼는 것은 싫어, 본인

스스로는 101세라고 생각하 고 다니신다더라고요. 우리

자동차 기능

by 현캐빈 / 브런치

캐빈의 [자동차] 이야기

아무도 따로 알려 주진 않지만 꽤 유용한 자동차 기능에 대해 들어보셨나요?

물론 최신 차종에서만 작동 가능한 각종 첨단의

옵션 사양과 기능들을 얘기해 볼 수도 있을 텐데요.

어쩜 상대적인 박탈감을 줄 수 있는, 오히려 누구나 얘기할 수 있어

뻔한 그런 기능 보단 모두에게 유용한 기능이 더 와 닿을 수 있겠죠.

대부분의 국산차에서, 연식을 크게 타지 않고

공통적으로 적용 가능한 신박한 기능들 몇 개를 모아 봤습니다.

알아두면 쓸 데 있는 내 차의 숨은 기능들, 지금부터 숨가쁘게 둘러봅니다.

주유구가 어느 쪽이더라?

대부분 오너들은 경험에 의해 자차의 주유구 방향을 알고 있겠지만, 새차를 산 지 얼마 되지

않았거나 잠시 렌터카를 빌리는 등 다른 사람의 차를 운전하게 되어 주유할 때 한번은 경험

해 봤을 겁니다. 어느 쪽이더라?... 물론 상당히 높은 확률로 국산차는 왼쪽에 위치하지만 이 역시 맹신은 금물입니다. 그렇담 어떻게 확인 가능할까요? 차량의 연료 게이지에 친절히 화살표로 표시 되어 있으니 그것만 확인하면 어떤 차든 ‘그래, 자연스러웠어’ 할 수 있는 주유소 진입이 가능해질 겁니다.

테일게이트 자동 열림, 높이 조정 가능 이번 건 약간의 옵션을 탈 수는 있는데요. 바로 스마트 파워 테일게이트입니다. 옵션명이 조금 씩은 다를 수 있으나 최근 트림에선 상당수 기본 옵션으로 적용되고 있는 추세. 짐을 들고 있을 때 센서 인식범위(50~100cm)에 든다면 웰컴 사운드와 함께 3초정도 후 테일게이트가 자동으 로 열리는 기능입니다. 진짜는 지금부턴 데요. 테일게이트 열림 시 일정 높이에 도달했을 때 버 튼을 한 번 누르면 테일 게이트가 멈추고 그 상태에서 10초정도를 누르고 있음 역시 알림음이 울리면서 그 높이를 기억하게 됩니다. 이후 테일케이트 동작 시 그 높이까지만 열리게 되는 거 죠. 특히 SUV 차주들 중 천고가 낮은 곳에서 테일게이트를 열 때 지나치게 높게 열려 당황하신 기억… 이제는 걱정하지 마세요. 생각보다 내 차는 매우 섬세해 질 수 있답니다.

헤드램프 에스코트 (과도한 에스코트는 방전을 유발할 수 있습니다) 헤드램프 에스코트 기능. 차량 시동을 끈 뒤 차 문을 잠가도 잠깐(10~15초) 동안 헤드램프가 유 지되는 기능이죠. 마치 차가 나를 에스코트 해주는 것 같은 느낌… 그래서 붙여진 이름입니다. 어두운 골목이나 주차장에서, 특히 여성 운전자들에게 이 기능은 진가를 발휘할 수 있습니다. 대부분의 운전자가 이미 이 상황을 익숙하게 경험하곤 있지만 이게 그런 ‘기능’이었어? 라고 의 아해 하실 수 있을 텐데요. 기능을 알고 당당히 쓰는 것과 아닌 건 상당히 다르고, 평소 헤드라 이트를 끈 게 맞는 지 종종 확인하게 된다면 더 안심하셔도 된다는 겁니다. (오히려 즐기세요!) 근데 만약 좁은 주차간격때문에 조수석으로 내리는 경우라면? 혹은 잠시 들른 차에서 조수석 쪽 문을 여닫은 뒤 문을 잠근다면? 그 에스코트 기능이 너무 긴 시간 동안 유지되어 혼선을 주 게 됩니다. 조수석 문이 닫힌 뒤엔 라이트가 꺼지지 않고 약 5분, 혹은 그 이상 유지되기 때문이 죠. 아파트 주차장이라면 친절한 주민들에 의해 라이트가 켜져 있다는 제보를 받기도 하고요. 차량 설명서는 에스코트니뭐니 감성 따윈 설명할 겨를이 없나 봅니다. 방전 되니 주의하라는 거죠. 잘 판단해서 길게 에스코트 받을 지, 말 지를 감성적으로 결정할 수도 있는 재밌는 기능입 니다. 잦은 사용은?... 네, 역시 않는 게 나을 것 같습니다.

이미지 출처: 현대자동차그룹 저널

리어 열선버튼 숨은 기능

(사이드미러의 습기는 우연히 제거됐던 게 아닙니다)

앞유리의 경우 부채꼴모양 버튼을 눌러 성애나 김서림 제거를 할 수 있는 유용한 기능이죠. 반

대로 리어 열선버튼을 누르면 뒷유리 열선이 수초내 작동하며 룸미러를 통한 시인성을 개선해 줍니다. 그러나 리어 열선버튼의 역할이 그것 뿐만이 아니라는 거… 아셨나요? 바로 사이드미

러에도 보이지 않는 열선이 있고, 리어 버튼으로 그것도 활성화 된다는 겁니다. 차 타기 전에 티

슈로 사이드미러 물기를 닦아 제거할 필요가 없었다는 거. 앞쪽(사이드)을 통해 보지만, 거울로

비춰지는 게 뒤쪽이라 ‘리어 버튼’에 심은 기능… 재밌죠?

에어컨, 낭비 없음

(무조건 시원하게 트는 게 장땡)

자동차 히터는 엔진 열을 그대로 활용하는 방식이라 연비에 영향을 덜 주지만, 에어컨

을 틀면 연비가 떨어지는 경향이 있죠. 하지

만 풍량과 온도를 더 세게, 혹은 더 낮추는 건

어떨까요? 자동차 에어컨은 냉매량, 즉 컴프 레서 작동이 일정하게 유지되는 가변 방식이

라 에어컨 바람 세기와 온도는 연비에 거의 영향을 주지 않는다고 합니다. 이는 에너지관리공단의 실험을 통해서도 입증된 만큼 더운 여름

엔 무조건 시원하고, 빠방하게 틀어도 낭비 없다는 거!

내 차엔 이미 냉장고가 있다

이미 왠만한 차들엔 소소한 냉장 보조 기능이 있다는 거 아셨나요? 비밀은 바로 트렁크에 있는 데요. 트렁크 도어 안쪽 상단에 뚫린 구멍들에서 바람이 나온다는 겁니다. 그리고 그 바람은 외

시동은 어떻게 거나 스마트키 배터리가 다 되었을

물리 키 를 통해 차 문을 열고… 그 다음 시동은 어떻게 걸 수 있을까요? 스마트키가 괜히

이름 붙은 건 아닌 것 같습니다. 시동 버튼에 스마트키 상단, 혹은 하단(금속으로 이뤄진 부분) 을 댄 채로 시동 버튼을 눌러주면 두 개체의 통신에 의해 시동을 걸 수 있다는 거죠. 그야말로 스마트한! 조수석에서 시동 걸기

주어진다면?

을 것 같습니다. 그럴 필요가 있을까, 를 먼저 생각해 보면…

너무 덥거나 추운 경우를 생각해 볼 수 있죠. 또

불편한 운전자가 바로 조수석으로 진입한 경우 등. 필요 할 수

전장의

켜지는 건 다 아시죠? 그 상태에서 시동 버튼 을 10초간 누르는 겁니다. 그럼… 짜잔! 시동을 걸 수 있습니다.

우리 모두의 차는 생각보다 첨단을 달리고 있다는 거… 여러 공학자들의 섬세하기까지 한 감 성이 숨어 있음을 새삼 느끼게 되는 거죠.

머리 아플 때 먹으면 좋은 '의외의' 음식

씨앗, 견과류 영양적 측면에서 마그네슘 결핍은 지속적인 혹은 한쪽 앞머리와 눈 주변의 두통이 일정 기간 집중적으로 나타

나는 군발 두통의 가장 흔 한 원인 중 하나라고 한다.

아마씨, 싹이 난 호박씨, 치

아씨는 마그네슘의 좋은 공 급원이다. 호박씨는 섬유질

이 많아 편두통에 동반되는

변비도 예방할 수 있다.

버섯

버섯은 장 건강을 증진하고

편두통을 예방할 수 있다.

장누수증후군으로 인한 두 통에는 버섯, 퀴노아, 견과

류, 달걀 등 리보플래빈이 다량 함유된 음식을 섭취하

는 것이 도움이 된다.

바나나

바나나는 편두통 혹은 두 통으로 이어질 수 있는 저

혈당증의 예방에 좋고 두통

완화에 도움이 되는 마그네 슘도 풍부하다. 수분 함량

약 74%로, 수분 공급에도 도움이 된다. 또한 자연 당

분을 함유하고

어차피!

차 이 나

66%, '석유・가스산업 횡재세' 찬성

적어도 호주인 4명 중 3명은 기후 위기가 식량 공급, 농업, 보험료에 미치는 영향 을 우려하고 있으며, 화석연료 기업에 환경 피해에 대한 대가를 강제하는 정책 을 지지하고 있는 것으로 나타났다. 또한 노동당 지지자 과반수는 앤소니 알바 니지 정부가 기후 위기에 대응하는 데 충분한 노력을 기울이지 않고 있다고 생 각하고 있다.

호주연구소(Australia Institute)가 발표한 국가 기후 보고서 설문조사에 따르면, 기후 변화가 초래할 현실적인 위험을 대다수 호주인이 인식하고 있다는 것이 확 인됐다. 응답자의 80%는 기후 변화로 인한 가뭄과 홍수가 농작물 생산과 식량 공 급에 영향을 미칠 것이라고, 79%는 산불(bushfire)이 더 잦아질 것이라고 우려 했다. 75%는 기후 변화의 영향으로 공급망에 차질이 생겨 생필품 구매가 어려워 질 것을 예상했다. 동일한 비율로 응답자들은 보험료가 기후 변화 탓에 더 비싸 질 것으로 여겼다.

이번 보고서에 데이비드 포콕(David Pocock) 무소속 상원의원은 "호주 전역의 지역사회는 더 극심한 기상 이변과 자연재해로 인한 파괴적인 영향을 이미 느끼 고 있으며, 이러한 상황은 점점 더 악화되고 있다"고 경고했다. 호주인들은 화석연 료 산업이 기후 변화에 기여한 대가를 치르도록 하는 새 정책의 도입을 지지한다. 오염자 부담세(찬성 74%), 석유 및 가스 산업에 대한 횡재세(찬성 66%), 화석연 료 수출에 대한 부과금(찬성 59%) 모두 정책 지지율이 절반을 훌쩍 넘었다. 호주연구소의 기후 및 에너지 프로그램 책임자인 폴리 헤밍(Polly Hemming)은 "호주인들이 기록적인 물가 및 금리 인상과 싸우고 있는 동안 화석연료 회사들은

qldkoreanlife.com.au qldkoreanlife

아울러 노동당 지지자의 52%는 정부가 기후 관련 기상 이변의 영향에 대비하기

위해 더 많은 일을 해야 한다고 여기는 것으로 나타났다. 노동당이 기후 대응을 위 해 충분히 일하고 있다고 답한 노동당 지지자는 26%, 너무 많이 일한다는 지지

자는 10% 수준이었다.

전체 응답자의 47%는 정부가 기후 변화에 대비하거나 적응하는 데 필요한 만큼

움직이지 않고 있다고 보고했다. 헤밍은 "이번 보고서는 호주인들이 생계비 위기

등 여러 측면에서 전례 없는 도전에 직면하고 있는 시점에 발표됐다"며 "이러한

압박에도 불구하고 대다수는 보다 야심찬 기후 행동을 원하고 있다"고 말했다.

최대 10년 징역에 수천만 달러 벌금형에 처해질 수도

지난 월요일(4일) 정부가 의회에 제출한 법안에 의하면 고용주가 근로자에게 고의 적으로 급여를 적게 지급할 경우 최대 10년의 징역형과 최대 780만 달러의 막대 한 벌금에 처해질 수 있다. 이러한 엄격한 조치는 노동당 정부가 "허점폐쇄법안” (Closing Loopholes Bill)이라는 이름으로 추진 중인 노사관계 개혁 조치의 일환이 다. 재계와 야당은 이 법안의 전체 또는 일부를 반대하고 있다.

토니 버크(Tony Burke) 고용부 장관이 월요일 의회에 제출한 법안에 의하면 기업 이 고의로 임금 착취를 하는 것을 연방 범죄로 규정하는 조치를 포함하고 있다. 다 만 고의적인 불법행위와는 달리, 단순 과실 내지 고용주가 오류를 스스로 신고하

고 임금 불일치를 시정하기 위해 합리적인 조치를 취하는 경우는 대상으로 하지 않 는다. 제출된 법안에 따르면 임금 착취에 대한 처벌은 엄중하다. 법을 위반한 고용

주에게 부과되는 최대 벌금은 780만 달러이다. 과소 지급 임금이 이 금액을 초과 하는 경우 벌금이 미지급 임금의3배로 치솟아 2,340만 달러 이상이 될 수도 있다.

버크 장관은 세간의 이목을 끄는 수많은 임금 미지급 스캔들이 근로자 보호에 대 한 현행 규칙과 처벌의 부적절함을 드러냈다고 강조했다. 그는 "노동자가 계산대 에서 도둑질을 하면 형사 범죄가 된다. 그러나 전국 많은 지역에서 고용주가 근로 자의 임금 봉투에서 도둑질하는 것은 그렇지 않은데 이 이중 잣대를 완전히 끝내 야 할 때"라고 강조했다.

최근 조사에 따르면 특히 세븐일레븐 , 칼텍스, 도미노 피자, 피자헛 및 리테일 푸드 그룹과 같은 유명 브랜드와 관련된 프랜차이즈 업계에서 광범위한 임금 과소 지급 문제가 드러났다. 2020년에 세븐일레븐은 4,000명 이상의 근로자에게 1억

코리안라이프

by 소소라미 / 브런치 평생 함께할 친구

20대 후반 "덜컥" 결혼을 하게 되었다. 나는 갑작스럽다고 생각했으나, 주변에서는 아무도 놀라지 않았다.

20대 중반부터 한 치의 의심도 없이 내가 조만간 그 동창놈이랑 결혼을 할 것이라 생각했단다.

또래보다 조금 일찍 결혼한 탓에 친구들은 늘 나의 결혼 생활을 궁금해했다. 친구들이 "행복해?", "재미있어?", "잘해줘?"라는 질문들로 알콩달콩 스토리를 꺼내주길 바랄 때마다 나는 싱거운 한 마디를 던지곤 했다. "그놈이 그놈이야."

다만, 상대가 동창이었던 만큼 일반적이지 않은 장점은 존재했는데, 이는 때때로 단점이 되기도 했으나 이왕 내가 선택한 삶이니 긍정적으로 생각하기로 했다. 1.

"너 원래 그거 좋아하잖아. 하고 싶은 대로 해."

"집 앞인데 나올 수 있어?"

갑작스러운 남사친의 전화에 여자들은 당장 무엇을 입고 나가

야 할지 고민에 휩싸이게 된다. 러블리한 옷을 집어 든다면 어

느 정도 썸 단계일 수 있고, 섹시한 옷을 고른다면 남사친 이상

으로 생각한다는 의미일 수 있으며, 추리한 트레이닝 복장으로 나간다면 아마 찐친이라는 표시일 것이다.

이 모든 단계를 거쳤던 나는 결혼 직후 다시 찐친 모드(내추럴 한 복장과 용모)로 돌아갔다.

사귀기 이전부터 여러 차례 동네 패션은 물론 쌩얼에 안경 쓴 모습까지 보여주었으니, 최소한 집안에서는 하늘 끝까지 추켜 올린 똥머리에 동글뱅이 안경을 쓴다 한들 부끄러울 것이 없 었다. 게다가 눈물 콧물 다 보아온 초등학교 시절의 기억이 사 라지지 않는 한, 집안에서 외모에 신경을 쓴다는 건 무소용에 가까운 일이었다.

이미지 관리란 어느 정도의 근면 성실이 수반되어야 하는 행

위이기에 결혼 전에 집에서 하던 대로 할 수 있다는 점은 게으

름에 대한 관용을 의미했다. 이는 느긋하게 휴식할 수 있는 분

위기로 이어졌으니 귀차니스트인 나에게는 더없이 좋은 환경

이었다.

남들은 결혼 후 얼마 만에 생리 현상을 터 놓아야 할지를 고

민하기도 한다던데, 남편의 경우 이미 오래전에 오픈 마인드

를 장착했고, 나 역시 숨기려 해도 숨길 수 없었던 스멜로 인

해 생각보다 빨리 내려놓았던 기억이 있다. 냄새와 소리까지

모든 걸 공유하고 나니 부끄러움은커녕 족쇄라도 풀린 듯 홀 가분했다.

좋아하는 술자리라면 분위기에 취해 간혹 주책을 떤다는 것 도, 노래방에서 매번 삑사리가 나면서도 굳이 고음 노래만 고 른다는 것도, 어쭙잖은 실력이지만 랩을 할 때면 스스로

내가 좋아하는 것은 웬만하면 용인해 준 덕에 패션 코디나 화

장법도 내가 원하는 방식으로 하고 다녔다.

지금도 가끔 남편에게 이런 스타일이 마음에 드는지, 혹은 어 떤 스타일을 좋아하는지 물으면 "난 잘 몰라. 하고 싶은 대로 해"라는 대답이 돌아온다. (좋아하는 아이돌이 나올 때는 내 스타일이라고 명확하게 이야기하더만)

2. 내 친구가 네 친구다

썸 시절부터 남편의 대학교 앞으로 자주 놀러 갔던 덕에 그의

친구들과도 친구가 되었다. 동갑인 데다 오랜 기간 알아온 친 구의 친구였기에 부담스럽지 않게 다가갈 수 있었던 것 같다.

아직은 순수하고 파릇파릇한 20대 초중반에 친구의 친구가 내

친구가 되는 것쯤은 어렵지 않은 일이었으니까.

우리의 결혼식 날, 여기저기 흩어져서 술을 마시고 있던 초등

학교 친구들, 내 친구들, 네 친구들이 뒤풀이를 하자며 연락이 왔다. 처음에는 메뚜기처럼 이 장소에서 저 장소로 이동을 하

며 술을 마시다가, 안 되겠다 싶어 지하 호프집을 통째로 빌리

고는 이들을 한 데 모았다.

족히 40명은 되는 우리 친구, 내 친구 네 친구들이 위아 더 월

드가 되어 축제의 밤을 즐겼다. 내 친구와 네 친구가 서로 연락 처를 교환하기도 했다는 후일담도 들려왔다.

결혼 후 네 친구들을 집에 초대한 날, 초장부터 달리던 남편

은 일찍이

희들은 집에 안 가?"

"네가 제수씨였어? 내 친군 줄 알았는데!"

갑자기 기분이 좋아져서 이 친구들과 밤새 놀기로 다시 결심 하고는 주문을 받는다.

"뭐 더 필요한 거 없어? 마른안주? 과일?"

3. 평생 어린 시절을 나눌 친구가 생긴다

평소에는 우리가 동창이라는 걸 잊고 살지만 가끔 그 시절 유 행했던 노래를 듣거나, 초등학교 근처를 지날 때, 혹은 동창들 의 소식을 들은 날이면 이끌리듯 추억이 소환되곤 한다.

초등학교 시절은 이미 30년 전이기에 더러는 반쪽짜리 기억 으로만 남아 있는 경우도 있는데 남편이 나머지 반쪽을 찾아 줄 때면 1000피스짜리 퍼즐을 완성한 것보다 더 큰 감동과 환 희가 밀려온다.

말썽꾸러기 누구 때문에 단체로 운동장을 열 바퀴 돌았다거 나, 떡볶이로 유명했던 학교 앞 엄마 분식은 핫플레이스였다 거나, 돈가스로 유명한 경양식 집은 1년에 1번 생일날에만 갈 수 있는 특별한 곳이었다는 등 아무짝에도 쓸모없는 추억팔이 일 뿐인데도 그렇게 즐거울 수가 없다.

하찮은 나의 즐거움이 소소한 너의 즐거움과 만날 때, 우리는 다시 순수의 시절로 돌아간다.

가로 열쇠

1. 사물의 갈라진 부분. ○○가 맞다

3. 학이 날개를 편 듯이 치는 진

6. 고무로 만든 신

8. 추위를 막기 위하여 목에 두르는 물건

10. 원자 기호는 Cu인 금속

11. 크리스마스

12. 폭약이 터지도록 불을 붙이는 심지

14. 갑자기 많이 내리는 눈

15. 간직하고 있는 물품

17. 겉으로는 비슷하나 속은 완전히 다름

18. 남에게 입힌 손해에 대해 물어 주는 돈

19. 남을 불쌍히 여겨 도와줌

세로 열쇠

2. 귓불에 다는 장식품

4. 싫증이 나 떨쳐지는 몸짓

5. 주의나 관심

7. 믿어서 증거로 삼을 수 있는 정도

9. 길에서 듣고 길에서 말한다

10. 아홉 번 꼬부라진 양의 창자

13. 기독교의 전도에 종사하는 사람

14. 폭력을 행사하는 무리

15. 재화를 소비하는 사람

16. 물건이 다 팔리고 없음

스도쿠 SUDDOKU

김선생 수학

거실에 있던 브라운 색의 찬장은 지금 살고

있는 곳으로 오면서 사게 되었다. 처음 선교 단체의 훈련생으로 또 유학생으로 호주에서

삶이 시작되었던 우리 가족에게는 값비싼 그

릇들이 별로 없었다. 값비싼 그릇 뿐 아니라

비싼 가구도 없었다. 그러다 보니 이사를 하

면서 필요한 가구를 몇 가지 구입하게 되었는

데 그 중의 하나가 브라운 색깔의 찬장이다.

그런데 세월이 흐르다 보니 이제는 그 브라운

찬장에도 그릇이 가득 들어가 있었고 예전에

없었던 제법 비싼 찻잔들도 몇 개 들어가 있 게 되었다. 그런데, 이제는 이 곳도 떠나 다른 곳으로 이사를 가야 하는 상황이 되어 브라운 찬장을 페이스북의 중고 시장에 내 놓게 되었

다. 구입했던 가격의 반 가격으로 내 놓았는

데도 불구하고 누군가는 훨씬 더 싼 가격으 로 그것을 구입하려고 오퍼를 했다. 순간 기

분이 나빠졌고 내가 가치 있게 여기는 것을

누군가가 가치를 절감하는 것 같아서 속상한

마음이 들었다.

살아가다 보면 우리는 위와 같은 경험을 종종

하게 된다. 예를 들어, 똑같이 입사한 친구는

승진을 하는데 상사에게 아부를 잘 할 줄 모

르는 나는 계속해서 승진을 하지 못하고 있을

때 나의 가치를 인정받지 못하고 오히려 절감

당하는 것 같아서 속상하게 되고 때로는 엄청

실망을 경험하게 된다. 또 다른 예를 들어보

면, 열심히 노력을 했는데 노력한 만큼의 보

수를 받지 못할 때도 가치 평가의 절하를 받

았다고 생각이 되어 억울함을 느끼게 되는 경

우가 종종 있다.

이렇게 나의 가치가 인정되지 못하는 경험을 하게 될 때 우리는 두 가지로 대부분 반응을 하게 된다. 한 부류는 그 경험으로 인해서 자

존심이 상하여 하던 일을 그만 두시는 분이

있고 한 부류는 그 경험이 힘들지만 이겨내

고 버티어 낸다. 자신의 가치를 높이 평가하

나 자신이 일하는 곳에서 인정을 받지 못한

다고 생각할 때 쉽게 직장이나 일을 그만 두

는 사람들이 있는 데 그런 사람들에게 참고

버텨야지 왜 그만 두었냐고 말하기는 쉽지

가 않다. 그만 두는 것이 최선의 선택인 것으

로 여겨질 만큼 어쩌면 고통스러웠는 지 모

른다. 그래서 더 버티지 못했다고 함부로 말

할 수는 없는 것이 사실이지만 젊은이들 중

에 한 직장에서 어려움을 극복하고 이겨내며

타인과 팀을 이루어 살아가는 법을 배우는

것이 필요한 데 자존심을 지킨다는 이유로

계속 직장을 옮겨 다니는 경우가 있다. 그런

사람의 경우에는 성장을 위해서 자신의 가치

가 인정되지 못하는 경험을 하더라도 좀 이

겨내고 좀 불편한 사람과도 일을 할 줄 아는

법을 배워야 한다.

인생에는 내가 좋아하는 일만 하면서 살아갈

만큼 좋은 일만 생기거나 좋은 사람들만 만날

수 없기 때문에 다양한 사람과 조화를 이루어

때로는 타협하고 설득하고 용서하고 또 다독

거리며 살아갈 수 있는 힘이 있을 때 사회 안

에서 다양한 사람들과 일을 해낼 수 있게 된 다. 때로 어려움을 겪지 못한 사람들이 이런

부분에서 약한 것을 보게 된다. 어려움을 겪 으면 힘들어도 참아내는 법을 배우는데 그렇 지 못할 때 마음에 들지 않으면 쉽게 하던 일

을 그만 두고 다른 일을 찾게 된다. 이겨내고

버텨야 하는 것이라면 그것을 이겨내야 한다.

특히, 자아가 너무 팽창되어져 있고 성장하면 서 한계설정을 잘 경험하지 못한 사람들은 규

율과 규칙이 있는 환경에서 자신을 순응하고

질서를 따르며 자존심을 굽히며 살아가는 것

이 쉽지가 않다. 그러나 자존감은 높이되 자

존심은 굽혀야 성공적인 삶을 살아가게 된다.

간단하게 예를 들어 결혼 생활에서는 다른 두

사람이 함께 조화를 이루어 나가야 하는데 한

번도 자신을 굽히지 않고 나의 가치를 인정해

주지 않는다고 관계를 쉽게 깨뜨려 버리는 사

람은 결혼 생활을 잘 유지할 수가 없다. 그러

므로 이런 분들은 자존심이 조금은 상하는 경

험을 해도 이겨내고 참아내는 법을 배울 때

타인과 어울려 잘 살아갈 수 있게 된다.

그에 비해서 반대로 평소에 참아내기만 잘 하

고 자신을 주장하지 못하는 사람의 경우에는

가치가 인정받지 못하는 경험을 할 때 그 자

리를 박차고 일어날 줄 알아야 한다. 참고 인

내하는 것만이 미덕으로 생각하는 경우에는 자칫 타인의 감정 쓰레기통 역할을 하게 될

수도 있고 타인을 위해 늘 자신을 희생하는

우를 범하게 될 수 있기 때문이다.

드라마 ‘닥터, 차정숙’에서는 희생하고 자신 의 의사라는 커리어를 포기한 엄마가 늦은 나이에 자신의 권리를 주장하고 자신의 정체 성을 찾아가는 이야기다. 그 드라마가 인기가 있었던 것은 많은 엄마들의 공감을 사는 이야 기였기 때문이고 자신이 못하던 것을 드라마

주인공이 대신해주 기 때문일 것이다. 이 렇게 일방적으로 자 신을 희생하며 살아

온 사람은 삶에서 어 느 순간에 자신이 없 는 삶을 살아온 것에 대해서 후회하기 마 련이다. 그러므로 이

런 분의 경우에는 자기 주장을 통해서 ‘더 이 상 나의 가치를 절감하지 마세요’ 라고 말할 수 있어야 하고 그럴 때 균형 있는 삶의 성장 을 경험할 수 있다. 서두에서 언급된 오래된 우리집 찬장은 가치 를 못 알아준다고 그대로 가지고

박성훈 목사

골드코스트 지구촌교회

하나님은 첫 사람 아담을 창

조하신 이래로 인간의 역사

를 주관하고 계십니다. 이것

은 오늘 우리 개개인의 역사

도 마찬가지입니다. 우리 생

존의 주도권은 내가 아닌 하

나님께 있습니다. 민수기 23

장을 보면 하나님의 주도권

을 발견할 수 있습니다. 발락

왕은 주술사 발람을 불러 이

스라엘 민족을 저주하게 했

지만 그는 오히려 축복합니

다. 축복과 저주 그리고 역사

의 주도권이 하나님께 있었

기 때문입니다. 이 이야기를

통해 하나님의 주도권을 알

아보고자 합니다.

첫째로 하나님은 발람을 통

해서도 말씀하십니다. (민

23:16) 여호와께서 발람에게

임하사 그의 입에 말씀을 주

시며 이르시되 발락에게로

돌아가서 이렇게 말할지니

라 / 하나님이 발람에게 나타

나 말씀을 주셨습니다. 하지

만 그는 단지 이방의 주술사

에 불과했습니다. 그는 하나

님을 믿기는 믿지만 하나님”

만” 믿는 게 아니라, 하나님”

도” 믿는 사람이었습니다. 이

런 발람에게 하나님이 나타

나시고, 그를 발락 왕이 있는

곳까지 오게 하시고, 왕에게

전할 말씀까지도 주셨습니

다. 그 이유는 이 모든 일의

주도권이 하나님께 있기 때

문입니다.

이 하나님의 주도권은 우리

인생에서도 나타납니다. 때

때로 우리는 내가 미처 예상

하지 못한 순간에, 전혀 생각

하지 못한 사람을 통해, 하나

님이 내게 말씀하시는 것을

볼 수 있습니다. 이렇게 하

나님은 이스라엘 민족 뿐 아

니라 온 인류의 역사 그리고

오늘 저와 여러분 한 사람 한

사람의 인생까지도 주도적

으로 이끌어 가십니다. 이 사

실을 믿으시기 바랍니다. 믿

으면 인생에서 희망이 결코

사라지지 않습니다.

둘째로 하나님은 이스라엘

민족이 찬양하게 하십니다.

발람은 하나님이 이런 분이

라고 말합니다. (민 23:19)

하나님은 사람이 아니시니

거짓말을 하지 않으시고 인

생이 아니시니 후회가 없으

시도다 어찌 그 말씀하신 바

를 행하지 않으시며 하신 말

씀을 실행하지 않으시랴 / 하

나님은 예수 그리스도의 피

로 언약을 맺은 오늘 우리에 게도 이 말씀대로 하시는 분 입니다. 하나님은 결코 우리

를 후회하지 않으십니다. 성 경을 통해 하신 수많은 약속

도 후회하지 않으시고 우리

를 위해 모두 실행에 옮기십 니다. 따라서 우리는 믿음이 필요합니다. 거짓이 없는 하

나님을 믿어야 합니다. 이 믿 음으로 내게 닥친 힘들고 어 려운 일 속에 하나님을 붙잡 고 매달려야 합니다. 그러면 언약을 지키시는 하나님이 우리를 지키십니다. 은혜가

베풀어지고 하나님의 역사 가 시작됩니다.

언약의 결과 이스라엘 민족 에게는 이런 은혜가 베풀어 집니다. (민 23:21) 야곱의 허

물을 보지 아니하시며 이스

라엘의 반역을 보지 아니하

시는도다 여호와 그들의 하

나님이 그들과 함께 계시니

왕을 부르는 소리가 그 중에

있도다 / 하나님은 백성들의

끊임없는 허물과 반역을 부

모의 심정으로 끊임없이 용

서하고 품으셨습니다. 40년 광야 길에서 그들을 버리지

않으시고 그들과 늘 함께 계 셨습니다. 그 결과 이스라엘 민족은 하나님을 찬양합니 다. 이들처럼 우리도 십자가 의 언약을 잊지 않으시고 언 제나 사랑을 베푸시는 하나 님을 찬양하기 바랍니다.

셋째로 하나님이 인도해 가

십니다. 이번에는 발람이 하나님을 찬양합니다. (민 23:22-23) [22] 하나님이 그

들을 애굽에서 인도하여 내 셨으니 그의 힘이 들소와 같

도다 [23] 야곱을 해할 점술 이 없고 이스라엘을 해할 복 술이 없도다 이 때에 야곱과 이스라엘에 대하여 논할진 대 하나님께서 행하신 일이 어찌 그리 크냐 하리로다 / 하나님은 광야를 행진하는 이스라엘 민족과 함께 하셨 습니다. 그래서 이스라엘 민 족은 얼핏 보면 그저 광야를 방황하는 별 볼 일 없는 유랑 민처럼 보이지만 실은 그렇 지 않았습니다. 그들은 가나 안 땅을 향해 계속 나아갔습 니다. 이걸 가능하게 했던 것 은 결코 그들의 힘이 아니었 습니다. 그들과 함께 계신 하 나님의 힘이었습니다. 우리도 마찬가지입니다. 얼 핏 보면 우리도 약합니다. 공 부든 진학이든 직장이든 사 업이든 집안일이든, 또 부부

가 서로 사랑하는 일이든

자식을 키우는 일이든 부모 님께 효도하는 일이든, 뭐 든 하는 것마다 왜 이리 힘 들고 어렵게만 느껴지는지 모르겠습니다. 그 때마다 우리는 이스라엘 민족을 애 굽에서

하루 10분 루틴

하체 운동을 알려 드릴게요. 나이가 들면서 가장 쉽게 찌고 잘 빠지지 않는 신체 부위인 허벅지 둘레살을 빼주는 동작들이니 주 2-3회 이상 반복하면서 동시에 매일 30분 이상 유산소 운동 (빠른 걸음으로 걷기, 달리기, 수영, 줄넘기, 자전거 등)을 함께 해주시면 좀더 빠른 시간안에 전신 토닝과 다이어트 효과를 보실 수 있습니다. 오늘 배워볼 자세들은 제 유튜브 채널 ‘요가읽어주는 여자 hayeon’에서 (DAY14) 살빠지는 요가 | 앞으로 하체 운동은 이렇게.. 편을 찾아 따라하면 안전하고 쉽게 운동하실 수 있을 거예요.

1. Rear Leg Raise Kick

힙업, 허벅지 토닝 효과

STEP 1. 1단계 선 상태에서 필요하다면 한 손을 벽에 가져가 중심을 잡고 한다

리를 사진처럼 뒤로 보내며 킥해줍니다.

STEP 2. 다시 제자리로 돌아오고 10-15회 반복합니다.

STEP 3. 내쉬는 숨에 다리를 뒤로 길게 ‘뻗으며’ 힘차게 올려주세요.

STEP 4. 허리를 계속 편상태를

유지, 엉덩이가 수축되

는 자극에 집중하며 운

동합니다.

TIP! 허리가 꺾이지 않도록

복부도 수축한 상태를 유지하며 척추를 펴고

다리를 뒤로 차 주셔야 합니다.

2. Barre Kick Back

둔근 강화, 허벅지 바깥쪽 살빼기

STEP 1. 두 손을 벽에 가져가(선택) 한 무릎을 접은 상태에서 뒤로 보냅니다.

STEP 2. 발을 몸의 중앙으로, 무릎을 바깥쪽으로 보낸다고 상상하며 올려주 세요.

STEP 3. 발을 계속해서 바닥에 서 뗀 상태에서 가볍게 업다운을 반복해줍니다.

STEP 4. 10-15회 반복한 후, 방향 을 바꿔 반대다리도 해 주세요.

TIP! 엉덩이의 강한 수축을 느 끼며 하되, 무리하게 무 릎을 들어 허리가 다치 지 않도록 주의하세요.

3. Hip Lunge

좌골 신경통 완화, 하체부종 완화, 골반 교정

STEP 1. 두발을 매트 앞에 두고 시작합니다.

STEP 2. 오른 발을 뒤로 스탭한 후, 두 무릎을 동시에 접으며 엉덩이를 매트 뒤 사선 밑으로 보낸다고 생각하며 런지해주세요.

STEP 3. 다리를 바꿔가며 15회 정도 반복합니다. 단 좀더 둔근에 집중하고 싶은 숙련자들은 한 방향을 다 끝내고 반대방향으로 넘어가도 좋습 니다.

STEP 4. 손은 허리나 엉덩이, 가슴 앞에 두고 두 골반의 수평을 유지하며 운 동해주세요.

TIP! 앞에 놓인 무릎이 발목보다 앞으로 많이 나아가면 무릎이 아플 수 있 으니 체중을 앞발 발꿈치와 중앙에 두고 런지로 앉아주세요.

Life) 대표

https://bit.ly/3w9ks4u (KOR)

https://bit.ly/SubscribeToYogasong (ENG) yogafulnesslife

이메일 : connect@yogafulness.life

: www.yogafulness.life 인스타그램

https://instagram.com/yogasong_hayeon

통조림 캔, 발암 물질 생기는 이유

바쁜 현대인들에게 간단한 식사를 할 수 있

도록 도와주는 통조림! 유통기한이 길어 오

래 보관해도 괜찮아서 더할 나위 없이 좋은

데요, 최대 7년까지 보관할 수 있는 통조림

이지만 잘못 보관 시 인체에 치명적인 영향

을 끼칠 수 있다고 합니다. 또 장기간 보관할

수 있는 탓에 통조림에는 다량의 방부제가

들어있다고 생각하는데 의외로 방부제가 들

어있지 않다는 사실! 맛있는 통조림을 건강

하게 먹는 법과 올바르게 보관하는 법을 알 아보았습니다.

잘못 보관하면 환경호르몬 노출

통조림은 캔의 부식을 막기 위해 ‘비스페놀

A’를 캔 내부에 코팅하는 경우가 많습니다.

비스페놀 A는 일명 환경호르몬이라고 불리

는 유기 화합물인데요, 남성에겐 여성호르

몬 에스트로겐과 유사한 작용을 해 무정자

증을 유발하고 여성의 유방암 위험을 높인

다는 결과가 있습니다. 유통기한이 길어 보

관이 용이한 통조림이지만 고온에 보관하

거나 먹다 남은 것을 그대로 보관하면 환경

호르몬에 노출될 위험이 있습니다.

서늘하고 건조한 곳 보관

통조림 캔을 고온의 환경에서 보관할 경우

비스페놀A가 음식물로 흘러 들어갈 수 있습 니다. 가스레인지 근처 등 고온의 환경에 통

조림을 쌓아두는 등 캔이 뜨거워질만한 환

경에 두면 캔 내부 코팅이 손상되기 쉬우니

서늘하고 건조한 곳에 보관하도록 합니다.

구매 시 겉모양 꼼꼼히 확인할 것

통조림을 구매할 때 겉모양을 꼼꼼히 살펴

보아야 합니다. 모양이 볼록하게 팽창되지

는 않았는지 중점적으로 봐야 하는데 캔 내

부는 진공 상태이므로 뚜껑이 약간 들어간

것이 정상이며 식품이 상하게 되면 발생하

는 가스로 인해 팽창될 수 있습니다. 또 캔

재질의 손상이나 미세한 균열로 유해 물질

이 나올 수 있으니 찌그러짐, 녹 등 외부 변

형이 있는지도 확인해야 합니다.

캔 따서 바로 먹으면 안 돼요!

‘퓨란’은 탄수화물인 당과 단백질, 아미노산이

열처리 되는 과정에서 자연스럽게 생기는 물질

인데 통조림 제조 과정도 밀폐된 상태에서 가열

하기 때문에 퓨란이 존재합니다. ‘퓨란’은 국제

암기구에서 지정한 잠재적 발암 물질로 휘발성

이 강하기 때문에 캔을 딴 후 약 10분 정도 기

다렸다가 먹으면 괜찮습니다. 이때 입으로 한번

불어주면 좀 더 빨리 날아간다고 하니 캔을 따

서 바로 먹지 않는 것이 좋겠죠?

통조림 국물은 버려야 할까?

통조림의 국물은 좋지 않다고 생각하고 버리는 사람들이 많은데 이 국물은 해바라기유, 카놀라

유 같은 식물성 기름을 사용하였고, 열처리 과

정에서 자연스럽게 내용물의 성분이 국물에 우 러나오게 만들었기 때문에 요리에 이용하면 맛

을 내는 데 좋습니다.

개봉 후 캔째로 보관하면?

통조림은 유통기한이 길다 보니 먹다 남은 통

조림을 그대로 보관해도 된다고 생각하는 분 들이 많습니다. 하지만 오픈된 통조림은 뚜껑

이 제대로 닫히지 않아 캔이 빨리 녹슬어 음식

이 금속에 오염될 수 있고 미생물에 오염될 가 능성도 존재하므로 가급적 빨리 소비하거나 보 관할 경우 밀폐 용기에 남아 냉장 보관 하는 것

이 좋습니다.

남은 걸 부득이하게 보관해야 한다면?

통조림 캔은 여는 순간부터 공기와 접촉이 생

기기 때문에 세균 증식의 가능성이 커집니다.

남은 통조림 속 음식을 밀폐 용기에 옮겨 담고

랩으로 한 번 더 감싸 공기를 최대한 차단해놓 습니다. 그 후 전자레인지로 20초 정도 가열하

면 랩 안에 따뜻한 습기가 차게 되는데 랩을 밀 봉한 상태로 실온에서 뜨거운 김만 식히고 밀폐

용기 뚜껑을 닫아 냉장 보관을 하면 세균 걱정 없이 보관할 수 있습니다.

가스레인지에 바로 조리해서 먹어도 될까?

집이나 밖에서 캠핑 시 따뜻한 통조림을 먹기

위해 불 위에 직접 올려두는 사람들이 있는데,

통조림에 직접 열을 가할 시 화재 및 화상의 위 험도 존재하지만 고온에 의해 식품과 접촉하는 면에 처리된 에폭시 수지 코팅에서 환경호르몬 인

공지

주시드니총영사관은 아래와 같이 노던테리토리(NT)주 다윈에서 순회영사를 실시할 예정입니다.

◆ 다윈(Darwin)

- 일시 : 2023. 10. 5. (목) 10:00~12:00, 14:00~16:00

- 장소 : 힐튼 다윈(Hilton Darwin) / 32 Mitchell St, Darwin City NT 0800

다윈 순회영사장의 원활한 업무처리 및 상담을 위하여 참석을 원하시는 분들은 총영사관으로 사전예약(전화 혹은 이메일) 해주시기를 당부 드립니다.

※ 순회영사 예약: 대표이메일(sydney@mofa.go.kr) 혹은 대표전화(02-9210-0200)로

“성명, 연락처, 방문시간, 민원 업무명”을 알려주시면 됩니다.

순회영사 방문 전 아래 주의사항을 숙지하고 지켜주시기를 당부 드립니다.

< 주의 사항 >

업무를 보는 신청자 본인의 이름으로 예약해주시기 바라며, 1명 이상인 경우 각각

예약해주시기 바랍니다. (예를 들어, 4인 가족 여권신청 시에는 각 신청자 이름 및 4명

여권 신청임을 언급해주시기 바랍니다.)

○ 업무처리 시간 최소화를 위해 반드시 방문 전 신청서 작성 및 구비서류, 정확한 수수료 (현금)을 준비해주시기 바랍니다.

○ 원활한 순회영사 진행을 위하여 가급적 본인이 예약하신 시간에 도착하여 주시기 바랍니다.

◆ 순회영사 현장에서 신속한 업무 처리를 위해 업무별 구비서류를 꼼꼼히 확인하신 후 방문해주시기 바랍니다. 각 업무별 신청 서식은 주시드니총영사관 홈페이지 ⇒ 영사 (각종 민원) ⇒ 업무별 해당 탭에서 다운로드 가능합니다.

전통 궁중민화 수강회원 모집

전통 궁중민화 수강회원 모집합니다.

민화는 우리 고유의 정서와 감성을 그림으로 표현한 실용적인 회화입니다.

민화 수업은 채색화의 정통기법을 심도있게 전달하는 실습 위주의 강의로

수강생들의 표현력과 이해도를 높여줌과 동시에

초급, 중급,심화과정을 남,녀,노소 누구나 재미있고 즐겁게 수준별 맞춤 강의로 진행합니다.

(우울증이나 침해예방에 도움이 되는 우리 전통회화입니다.)

수강일 : 매주 금, 토 오전 10시~오후 1시

원데이 클래스 수업 (본인이 원하는 작품 완성)

재료 준비가 안되신 분은 무료로 공급해드립니다. 최고급 수입 천연재료로만 사용합니다.

수강문의 : 0447 333 844, nhs5755@naver.com 사)한국민화협회, 한국전통민화협회, 한국민화센터 호주지부

호주한인 생명의 전화 - 무료상담 (02 9858 5900)

부부 혹은 자녀와의 혹은 가까운 분들과의 관계의 어려움 혹은 중독의 문제 우울증 등 다양한 어려움에 힘겨운 분들은 전화를 주셔서 회복하여 건강하고 행복한 삶을 영위하시기를 소망합니다.

위기 상담 뿐아니라 소정의 유료서비스도 원하는 내담자에 한해서 제공합니다. 호주 전역 어디에서나 어느 시간이나 상담이 가능합니다. 365일 24시간 www.koreanlifeline.org

상담전화 : 02 9858 5900 | info@koreanlifeline.org

상담원들과 전문상담 의뢰할 기관도 모집합니다. 0430 045 078

2023년 국민투표일이 10월 14일 토요일로 발 표됨에 따라 이제 새롭게 시민권자가 된 유권 자들과 문화적, 언어적으로 다양한 배경을 가 진 유권자를 포함한 호주인들은 유권자 등록 을 하고 투표할 준비를 해야 할 때입니다.

Tom Rogers 선거관리위원장은 18세 이상의 모든 호주 시민은 법에 따라 거의 25년 만에 처음으로 실시되는 국민투표에 등록하고 투 표해야 한다고 말했습니다.

"유권자 등록 여부가 확실하지 않은 호주인 은 호주 선거관리위원회(AEC) 웹사이트를 방 문하여 자신의 정보가 최신 상태인지 확인해 야 합니다."

등록 마감은 9월 18일 오후 8시입니다.

[ 주요 일정 ]

- 등록 마감: 9월 18일 월요일 오후 8시

- 사전 투표 개시: 10월 2일 월요일부터

- 투표일: 10월 14일 토요일

[ 투표 옵션 ]

국민투표 투표용지 작성법은 연방 선거와

다르지만, 투표 서비스는 매우 유사합니다.

1,750만 명의 유권자는 투표 당일 직접 투표

하거나 투표일 전 2주간 사전투표 센터를 통

해 투표하거나 우편 투표를 통해 투표할 수 있 습니다.

해외에서 투표하는 호주인들은 팬데믹 이전

수준으로 대면 투표 서비스가 회복되는 것을

확인하게 될 것입니다. 또한 작년 연방 선거 때 와 마찬가지로 재외 우편 투표를 위한 신속한 조치가 마련될 것입니다.

또한 지난 연방 선거에서 코로나 제한으로 인 해 대규모로 제공되지 못했던 노인 요양 시설 에 대한 모바일 투표 서비스가 확대 제공될 것

입니다. 또한 주거형 정신 건강 시설에서도 처

음으로 이 서비스가 제공될 것입니다.

시각 장애가 있는 유권자, 또는 약시 유권자는

전화 투표를 이용할 수 있습니다.

"우리는 이번 국민투표 실시 과정에 총력을 기울이고 있습니다. 투표 방법은 호주인들이

직접 결정할 것이며, 우리의 임무는 호주인

들이 투표할 수 있도록 하는 것입니다."라고

Rogers 선관위원장이 말했습니다.

투표 장소와 운영 시간 등 모든 투표 서비스 관

련 상세 정보는 투표 기간이 가까워지면 AEC

웹사이트에 제공될 예정입니다.

"국민투표의 역할을 이해하는 것 역시 중요합 니다. 국민투표가 마지막으로 실시된 지 24년이 지났기 때문에 많은 사람들이 국민투표 절차

를 처음 접하거나 다시 숙지할 필요가 있을 것

입니다."라고 Rogers 위원장은 덧붙였습니다. 선거관리위원회는 웹사이트에 국민투표의 목 적과 절차, 투표 과정에 대한 허위 정보를 식별 하는 방법에 대해 34개 언어로 된 정보지를 제 공하고 있습니다. 또한 모든 호주인이 투표를 준비할 수 있도록 라디오, 언론, 텔레비전 및 디지털 채널을 통해 다양한 언어로 전국적인 홍보 캠페인을 진행하고 있습니다.

국민투표 등록 및 투표에 대한 자세한 정보 는 aec.gov.au/translated를 방문하거나 1300 720 468으로 전화하여 원하는 언어로 확인하실 수 있습니다. 자세한 내용 및 미디어 문의는 다음 연락처로 문의하시기 바랍니다. Cultural Perspectives 미디어 팀: 전화 02 8585 1312 또는 media@culper.com.au

Korean | 한국어

노인분들과 소통하기

R U OK?는 노인분들과의 소통을 장려하고 노인분들을 지원하기 위해 5개

언어로 된 비디오와 자료들을 배포했습니다.

지역사회 대표들과 협의하여 개발된 이 자료는 아랍어, 그리스어, 한국어, 중

국어 간체자, 베트남어로 제공됩니다.

지역사회 대표들은 각 커뮤니티의 특정 요구사항과 문화적 가치에 대한 귀

중한 통찰력을 제공함으로써 지역사회 구성원들이 대화를 통해 노인들과

소통할 수 있도록 지원하는 데 있어 자료의 관련성과 효과를 확인했습니다.

"노인분들은 우리 지역사회에 풍부한 재능과 경험을 제공하지만, 나이가 드

는 데는 어려움이 따르기 마련입니다." 라고 R U OK? 최고경영자인 Katherine Newton은 말합니다. "사람들은 노년기에 처음으로 정신 건강 문제 를 경험하고 어떻게 또는 어디에서 도움을 받을 수 있는지 모를 수 있습니다."

"고립, 슬픔, 변화하는 환경, 자립 생활에 대한 우려는 복합적인 위험 요인들 입니다." 라고 Newton 최고경영자는 설명합니다. "그렇기 때문에 정기적 으로 소통하고 의미 있는 대화를 나누는 것이 중요합니다."

R U OK?의 자료는 현재 영어 이외의 19개 언어로 제공됩니다.

"우리는 자료를 만들 때 메시지가 효과적이고 도움이 될 수 있도록 커뮤니티 의 조언을 받아야 한다는 것을 알고 있습니다." 라고 Newton 최고경영자는 계속해서 말합니다. "호주인의 22.8%가 가정에서 영어 이외의 다른 언어를 사용하는 상황에서 1), 우리는 모든 사람이 삶에 어려움을 겪고 있을 수도 있 는 가까운 사람과 대화하는데 자신감을 갖도록 돕고 싶습니다."

의미 있는 대화를 나누기 위해 소통할 때가 되었다는 신호는 감지하기 힘들 수 있습니다. 사람들이 말하거나 행동하는 방식에 변화가 있을 수 있습니다.

누군가 여러분에게 하루 시간을 보내는 데 어려움을 겪고 있다거나 사회적

상황에서 위축된다고 말할 수 있습니다.

R U OK?의 자료에는 지역사회의 노인분들과 교류하여 노인분들이 지지받

고 있다는 느낌을 받고 여러분이 관심을 갖고 있다는 것을 알 수 있도록 하는

방법에 대한 아이디어가 포함되어 있습니다.

"가장 좋은 방법 중의 하나는 서로가 좋아하는 일을 할 때 대화할 시간을 찾

는 것입니다. 전화 통화를 하거나, 식사를 하며 이야기를 나누거나, 산책을 하 거나, 운동을 하거나, 취미를 함께 즐기세요. 시간에 쫓기지 않는 편안한 환경 에서 시간을 내어 소통하는 것은 친구나 사랑하는 사람에게 큰 의미가 될 수 있습니다." 라고 Newton 최고경영자는 말합니다.

소통하고 대화를 시작하는 방법에 대한 더 많은 아이디어를 보려면 ruok. org.au/korean을 방문하세요.

R U OK?에는 다른 여러 언어로 제공되는 자료들도 있습니다. 본인 또는 지인이 다른 언어로 된 정보를 원하는 경우 ruok.org.au를 방문하십시오.

하루 24시간 언제라도 지원이 필요하면, Lifeline에 13 11 14로 전화하십 시오.

[ R U OK? 소개 ]

▗ R U OK?는 사람들이 삶에 어려움을 겪고 있는 친구, 가족, 동료와 의미 있게 소통할 수 있도록 영감을 주고 힘을 실어주는 것을 목표로 하는 공 중 보건 증진 자선 단체입니다.

▗ 유명한 자살 방지 이론은 Thomas Joiner 박사의 이론입니다 2) Joiner의 이론은 자살 위험에 처한 사람에게 세 가지 힘이 작용한다고 설명하는데, 그 중 하나는 소속감의 감소입니다. R U Ok?는 이러한 소 속감과 유대감의 결핍을 예방하기 위해 노력하고 있습니다.

▗ R U OK?Day는 매년 9월 둘째 주 목요일(2023년 9월 14일)에 열리는 전국 행동의 날(National Day of Action)로서, 매일매일이 한 사람의 삶을 바꿀 수 있는 대화를 시작하는 날임을 상기시켜 줍니다.

▗ R U OK?는 모든 호주인이 누군가가 어려움을 겪고 있다는 신호를 알 아차리고 진정한 대화를 시작하며 적절한 지원을 제공할 수 있는 의지와 자신감을 높일 수 있는 무료 자료들을 연중 내내 제공합니다. R U OK? 는 또한 대상 인구 집단과 환경의 요구 사항을 충족하도록 이러한 자료 들을 맞춤화합니다.

▗ R U OK?는 모든 캠페인을 개발할 때 호주인들의 소중한 실제 경험을 활용합니다.

▗ R U OK?Day는 1995년에 자살로 아버지를 비극적으로 잃은 광고 인 개빈 라킨(Gavin Larkin)에 의해 2009년에 설립되었습니다. 라킨 (2011년 비호지킨 림프종으로 사망)은 자신의 가족이 겪은 슬픔을 다른 가족들은 겪지 않기를 원했습니다.

▗ 한 가지 아이디어에서 시작된 이 캠페인은 이후 모든 사람들이 진심으로 질문을 하고, 어려움을 겪고 있는 사람들과 의미 있는 대화를 나누도록 장려하는 전국적인 커뮤니티 운동으로 발전했습니다.

▗ 대화 방법에 대한 조언 및 위기 지원 연락처는 ruok.org.au에서 확인 할 수 있습니다.

1) ABS (2022) 호주의 문화적 다양성. 호주.

2) Joiner, T.E. (2007) 사람들이 자살로 죽는 이유(Why People Die by Suicide). Harvard University Press. 미국

긴급/주요기관 안내전화

긴급전화(경찰, 앰블런스, 화재) 000

Police Liaison Unit(한국어) 3364 3217

Police Link 131 444

가정폭력 1800 811 811

여성상담센터 0425 252 372

성폭행 상담 3636 2414

수도 1300 366 692

독극물, 생명전화(24시간) 13 11 14

위기구호, 아동학대 1800 177 135

음주, 마약 3236 2414

간판/인쇄/디자인

i-hub 0435 831 116

NB Signs - 간판, 인쇄, 디자인 0421 790 885

Sunny Creative 0412 840 533

건강식품/기념품

뉴질랜드 초록홍합,녹혈,녹용 캡슐 판매 0403 736 998

드림로드 양모, 한국이불 3209 5445

New Core 건강식품 3012 7886

SINI 건강 (써니뱅크점) 3344 7881

건축/인테리어/집수리

브리즈번 시티카운슬 3403 8888

골드코스트 시티카운슬 5582 8211

골드코스트 관광청 5592 2699

서프사이드 버스 시간표 13 12 30

센터링크 13 61 50 / 13 12 02(한국어)

이민성 13 18 81

일기예보 1900 914 450

임신상담, 정보 1300 139 313

의료기관 정보 3236 4833

전화번호 안내 12 455, 1233

전기, 가스 문의 13 12 53 / 13 62 62 (사고)

텔스트라 문의 125 111 / 1800 773 421(한국어)

통역서비스 13 14 50

대한무역진흥공사 02 9299 1790

한국

한인

한인회 0418 763 186

한인회 총연합회 0427 566 474

참전자 전우회 퀸즐랜드지회 0411 378 391

재향군인회 퀸즐랜드 분회 0412 629 358

퀸즐랜드 주 한인회 3390 0024/ 0424 724 624

퀸즐랜드 한국 참전 유공자회 0414 295 709

퀸즐랜드 한인 골프회 0430 202 239

퀸즐랜드 한인경로회 0418 883 377/3345 1400

퀸즐랜드 ROTC 동문회 0415 695 635

퀸즐랜드 한인 비즈니스 협회 0408 889 792

퀸즐랜드 한인 오케스트라 0411 820 800

퀸즐랜드주 해병 전우회 0427 334 521

BRISBANE

Blue River Design & Construction 0478 709 032

Blue Whale Construction 0402 272 891, 0416 911 333 BL 핸디 홈 메인터넌스 0416 911 444

City Garage Doors 차고문 당일수리, 제작 0492 889 349

Dr 핸디맨 0478 833 415

G1 Painting 0450 959 010

결혼 주례

써니뱅크 정부 공인 주례사 0408 688 010

i-Care 0433 494 281

원성욱 프로 레슨 0402 598 961

Victoria Park Golf Learning Centre 한국어 0451 899 874

교육/학원/개인교습

Happy Blinds 0481 711 500

Hi Design & Construction 0430 900 630

J Plus Building Inspections 0422 773 031

K Total Construction 0466 127 884

KIM’S HOUSING 0411 097 908

NEXUS PLUMBING 0459 999 754

OkayPainting 0430 889 559

OneStop Bath & Tiles 07 3034 1075 Shop4, 655 Toohey Rd, Salisbury

SUNSHINE 블라인드 0481 148 692

Total Cabinet 3299 1978

김선생 수학 0430 127 992

탑원 바이올린 0424 783 353

피아노 전공자쌤 0478 548 500

피아노/망고힐/시드니콘석사 장학생

TOV Construction 0452 578 001

세계대회1등 0433 309 331

Vertex House Renovations 0403 420 467

WINDOW ART 3114 2145, 0490 537 244

호주 라인 댄스 0401 812 610

CS Education 0402 855 802

EduPlanet College & QCM 3343 6343

WK Painting Services 0412 726 807

mih architect

건축사 0451 377 843

Eight Mile Planes 유치원 3841 3350

Elite Tuition 0400 328 187(영 어) 0400 163 227(한국어)

LE SPA MASSAGE ACADEMY 3368 3362

나이스 블라인드 3133 8330, 0421 594 083

대니 핸디맨 0402 299 915

백향건설 0434 763 843 / 0421 025 230

스타 블라인드 0430 715 906

에벤에셀 인테리어 0421 438 424

Simili Training Joseph Lee 0477 787 200

Ji Lee 0416 740 514

Kevin Simili 0416 740 516

Simili Training (건설현장 자격증

정부승인) 0477 787 200, 0416 740 514

SP 에듀케이션(하이스쿨, ATAR 대비) 3195 8532, 0411 168 007

Winny Family Care 0420 720 894

윈도우 아트 블라인드 0490 537 244

욕실 누수 전문(욕실 리모델링, 타일, 방수) 0452 471 080

콘솔 블라인드 0408 288 789

토넵 - 주방욕실 가구 전문 0478 616 026

ARCHIONE Design Builders 0402 533 628

Beauty Home Blind 0408 011 021

광고문의 0422 258 092, 0432 008 985 admin@qldkoreanlife.com.au

아하바 목욕탕 3391 2279

웨딩메이크업헤어(withBRIDAL) 0481 982 486

제시헤어 0414 060 369

헤어시티 시티점 3210 1049

alabuu 0493 475 995

Hair Captain 헤어캡틴 0481 600 088

K Bridal Studio(Julie) 0451 373 313

M nails & beauty 0432 346 799

M&U Beauty Brow(미앤유 뷰티 쿠파루) 0423 056 137

Nail Station Brisbane 0401 307 878

The Face Shop (가든시티) 3344 6014 (써니뱅크) 3423 2514

번역/통역

무담보 소액대출(호주 어디서나) 0412 232 889

미래종합금융 1300 882 595

ANZ Jin Lee 0434 689 100

가영 NAATI 3급 번역공증 0410 672 485

나티공인 한영/영한 번역사 0431 232 673

데레사 통역 0402 307 090

손지은 NAATI 3급 0412 088 428

호주 닷컴 온라인 번역공증 info@hojoo.com

JINO NAATI 통역서비스 0430 812 205

변리사

김현태 특허상표변리(호)사 040 433 5914

변호사

법무법인 Park & Co ㆍ 대표번호(유선) 3345 6665

ㆍ 대표번호(모바일) 0490 130 012

ㆍ 박창민 변호사 0452 435 447

ㆍ 김희용 변호사 0431 628 082

ㆍ 허성은 변호사 0425 030 220

H & H Lawyers 02-9233-1411

ㆍ홍경일 대표변호사

ㆍ강현우 형사전문변호사 0487-192-566

ㆍ김진한 변호사(이민)

ㆍ김현태 변호사·상표변리사

리틀즈 법무법인

ㆍ NSW 1800 000 119

ㆍ QLD 1800 082 082

ㆍ 김경태 변호사 0452 480 920

ㆍ 이종일 변호사 0434 980 635

성도 법무법인

ㆍ대표번호 3392 3981

ㆍ김문기 변호사 0411 211 227

ㆍ김태규 변호사 0403 689 714

KLS Legal Practitioners

ㆍ사무실 (07) 3113 3790

ㆍ나윤제 대표변호사 0423 005 035

ㆍ신선미 변호사 0412 693 115

김린 변호사 0404 871 986

김영규 변호사 07 3210 6489, 0411 624 779

박근영 변호사 0433 372 566

주광훈 변호사 0405 694 497

정회림 변호사 07 3195 4807

진승희 변호사 0403 503 530

LinkOz 이정민 변호사 0401 576 978

Remax 부동산 써니뱅크

조권현 0452 65 88 78

YONG 부동산(오세진) 040 228 3003

사진

Alicia’s Photography 0478 825 233

상담/심리치료

ACC 상담센터 02 6255 4597

JR 부부상담연구소 0434 487 433

브리즈번 명상센터 0466 211 405

숙박시설

스프링우드 타워 호텔 3387 7077

호텔 다이아나(한국어) 3896 1691

송금/환전

C-Herald Insurance 1800 998 557

C-Herald Finance 1800 998 557

Focus Loan(오지훈) 0420 847 110

Hana Finance (알렉스) 0410 622 838

복지센터

AACA (All About Care Australia) 07 3133 0209 (Gemma) 0430 218 030 (Tasha) 0402 595 741

ONE DREAM COMMUNITY

1800 841 777

한국송금(구. 코원송금) 0474 373 007

스포츠/체육관

원 태권도 0430 295 881

Sunnybank 테니스클럽 0430 014 221

Sunnybank 당구장 0430 014 221 식당/카페

AKLINKS 손한나 대표 0428 87 5050

3 Sisters 3195 4481

Bluedog 부동산 0419 536 071

Bluedog 김수정 0408 622 934

HD Property 황기철 0413 515 788

Harcourts Calamvale (홍성우) 0415 413 769

Ideal Realty Advisors (시드니) 02 8007 4989, 0414 088 089

KLOVER PROPERTY

Kay Lee 0421 007 147

Link Plus Realestate 이지영 0450 908 864

Raas Group 0420 486 651

누나네 해장국 3107 4158

마녹파크 0433 276 449

마루 3221 7778, 3012 9912

모모치킨(city) 3012 8238

모모치킨(runcorn) 3841 8068

미담 3344 5001

불고기 Bros 3350 2233

샤부하우스 (일식 부페) 3211 5407

소문 삼계탕 3158 3709

차미 푸드 앤 보틀샵 3210 6349

코릴라 바베큐 3211 1212

여행/공항픽업

가나안 공항 픽업 0478 833 415

도움 투어 3012 8383

우리여행사 0412 393 713

케니 여행사 3344 3220 / 0402 729 595

현대 투어 0432 140 083

HT 여행사 3003 1771

운송/택배/이사

시온 에어컨 냉동 0434 486 877

에어컨 청소 FreshZone 0431 135 071

Airmazing 0451 104 439, 0430 189 603

Fresh Cool 0401 627 853

LEES 에어컨 설치 0434 378 245

SONG 에어컨 설치 0414 781 645

SWIND 0451 994 144

OK 냉동 서비스 센타 0423 457 898

유통

의류/침구/옷수선

드림로드 3209 5445, 0433 267 953

차밍 옷수선 0403 617 076

한복 대여점 이음 e-uum 04 2121 3656

OUR HANBOK 0423 378 055

자동차운전학원

메이 운전학원 0419 708 177

부부 운전학원 0414 273 087

자동차정비

KOREC

웨스티마켓 0450 103 788

Milton Exchange (노브랜드 유통) 0438 545 007

Cordelia International (온리프라이스

제품외 유통) 0450 103 788

유학원

도움 유학 3012 8383

GLOBAL MATE 3221 8318 0451 281 841

HT 유학원 3003 1771

가구소형이사 픽업서비스 0411 736 276

가나안 용달 서비스 0478 833 415

(각종 소형 ‘짐’ 운반)

대한통운 국제택배 0431 571 657

와이즈 국제물류 1800 577 369

한진택배 0431 231 468

현대택배 0430 014 221

HT Logistics 3823 1802

PNL 택배(한국-->호주) 0449 24 8282

이민 컨설팅

가영 비자 이민 컨설팅 0410 672 485

백승용 이민법무사 3323 3186

변기훈 이민법무사 0425 669 799

이정민 법무사 Select Australia 0430 592 230

채정우 이민법무사 0423 687 378

호주닷컴 02 9746 1452

의료/병원/한의원

극동 한의원 Far East Acupuncture 0402 527 717

라파 한의원 0452 563 365

모유사랑 모유수유클리닉 (상담, 유방관리) 04 5675 5675

보화당 한의원 3219 1002

언어치료사(Speech Pathologist) 0473 562 154

엔한스 덴탈 스튜디오 (런콘) 07 3423 0783

족부 의학 클리닉 (써니뱅크) 07 3344 6866 (해밀턴) 07 3741 2825

질미어 치과병원 3265 6010

Carindale 자매치과 (김현아/김은아) 3324 9172

Dr. Seung-min Youn(윤승민) 정형외과 07 3278 2662

Dr.허 시티 한국인병원 3210 2111

Dr.허병원 Skin Clinic 0407 112 342

Exceptional Dental 3118 5306

Hybrid Physio 3190 9747

JINDALEE Complete Dental 3376 5475

My Clinic (Dr 제임스 강) 3272 2202

The Dental Club 1300 165 768

Stafford | Caboolture | Bellmere | Griffin

조이모터스(정비) 3277 2477

Autocrew Motors 3191 7044 0416 422 099, 0433 649 931

Pro Tinting 0432 390 910

SK 자동차 공업소 3423 8085

Speed mate 자동차 정비 0416 191 319

Top One Motors 0430 123 711

토마스 정육점 (런콘점) 3423 1337

청소/방역

원스톱 방역 & 카펫 청소 0401 600 887

원펀치 터마이트&페스트컨트롤 0402 157 905

써니뱅크 터마이트 0412 178 944

짐스 터마이트 & 페스트 컨트롤 0416 515 874

클린킹(청소용품판매) 3208 1333

0431 686 296

0423 333 932 ㆍ

성결교회 0433 689 717 ㆍ

JCM 터마이트&페스트 닥터팀 0430 318 776

안디옥 장로교회 0423 733 599

ㆍ 브리즈번 왕성교회 0400 878 882 ㆍ 브리즈번 은혜교회 3376 2143 / 0433 677 241

ㆍ 브리즈번 임마누엘교회 3344 7521

ㆍ 브리즈번 좋은감리교회 3343 1817 / 0413 608 392

브리즈번 주안교회 0432 680 975

ㆍ 브리즈번 평화교회 0425 252 372

ㆍ 브리즈번 한인장로교회 3341 9232

ㆍ 브리즈번 한인중앙장로교회 3202 9553 / 0413 515 737

ㆍ 브리즈번 한인연합교회 0425 306 577

행복한교회 0433 494 281

북부 한인재림교회 3290 0376

사랑교회 0414 624 779

교회 3252 1701

소망교회 0401 458 230 / 0431 259 828

0466 184 366

3191 3743 / 0433 924 843

0433 030 053

0403 252 609

0414 522 654

0433 475 658

3398 9923 / 0413 019 400

0425 118 471

0411 50 9191

3290 1113 / 0418 980

한인천주교회 3369 3159 / 0413 016 031

AplusHomeCare(터마이트,페스트 컨트롤) 0448 226 179

Kleen Hub(청소용품 판매) 3191 3248

푸드패키징

Kleen Hub 3191 3248

Q Pack 3219 5654

플러밍/가스

HIGH TECH PLUMBING & GAS 0431 409 844

JINSU PLUMBING&GAS 0401 359 573

NEXUS PLUMBING 0459 999 754

PK PLUMBING 0433 772 172

폐차/고철/고물

Metal Xchange | Cash for Cars 0410 140 500 컴퓨터/POS/웹사이트

ㆍ 원불교 3219 1002

꿈이 있는 교회 0421 480 870

동행하는 장로교회 3422 0828 / 0400 878 882

브리즈번 순복음교회 3341 9090 / 0433 9933 52

스프링필드 침례교회 킹제임스성경 0469 859 983

호주 가정 상담 대학 0416 069 812

호주 기독교 대학 02 6255 4597

한마음 교회 0410 409 007

Faith Church 써니뱅크

ㆍ 요한계시록 성경예언

ㆍ ilona 목사 0400 374 666

주방용품(상업용)

썬샤인 비즈 솔루션(스시머신, 주방용품) 0413 396 799

All 4 Kitchen 주방용품 수리 0433 974 907

중고 가전

Smart Electrical Clearance Outlet

ㆍ Hyperdome 3133 1805

ㆍ Capalaba 3823 4165

ㆍ Mt Ommaney 3376 7445

ㆍ Browns Plains 3800 1013

미디어 나라 0412 443 066

GGL 토탈 IT 솔루션 0422 395 706

iComputer (TPG 공식딜러, 컴퓨터 수리) 0450 511 829

M4U 웹디자인 0434 417 933

N2 CREATIVE (웹사이트 제작) 02 8091 7333

VTEQ 컴퓨터 3323 3232

(TPG 공식딜러, 웹사이트, IT솔루션) 핸드폰 수리

Jaetech 핸드폰 수리점 0404 932 988

간판/인쇄/디자인

써니 크리에이티브 0412 840 533

NB Signs - 간판, 인쇄, 디자인 0421 790 885

건강식품/기념품

회계사(MAZARS) 3218 3924

뉴질랜드 초록홍합,녹혈,녹용 캡슐 판매 0403 736 998

로얄건강 타운 0401 158 508

장수마을 0422 59 59 79

카사아울렛 5531 3155

건축/인테리어/집수리

Hello Tax 0413 002 316

Prudent Accountants & Co 0412 447 987

TaxBee 3210 0747

Tax Friend 0422 869 630

가나 집수리 04 02 02 8720

핸디맨 0402 299 915 스타 블라인드 0430 715 906 윈도우 아트 블라인드 0490 537 244

Design & Construction 0430 900 630

LINKS 부동산

레삐헤어 5679 3943

신 헤어 스튜디오 0407 090 270

웨딩메이크업헤어(withBRIDAL) 0481 982 486

킴스헤어(사우스포트) 5527 1990

케이살롱뷰티(사우스포트) 0421 187 046

FOREL Beauty & Spa 0413 753 087

Kausie Hair Salon (코지 헤어) 5531 2963

Meraki Hair 5592 0984

Hair COCO.GC 0413 662 699 / 5511 1892

The Hair 5528 6310

The 9 Brows & Beauty 반영구 화장 0448 019 555

Retreat 마사지 0404 806 887, 5527 1147 번역/통역

C-Herald

C-Herald Finance 1800 998 557

You and Me Finance 0468 429 180 보험전문 김옥이 0401 411 000

0428 87 5050

Bluedog 부동산 0419 536 071

Bluedog 김수정 0408 622 934

MASTER QLD PROPERTY 서문희 대표 07 55 111 888 / 0478 110 290

Onyx Property Management 0490 187 898

White 이민정 0431 686 286

Raas Group(Yong Lee) 0420 486 651

ALICIA’S PHOTOGRAPHY 0478 825 233

WOW CAFE & STUDIO 0401 282 303

AnK 골프 아카데미 0434 142 638

D.I Sports Academy 0425 864 112 Golf Zero 0435 595 577

Oppane 오빠네 5532 2413

Rice House 5591 2239

RICE VS NOODLE 5538 8803

The Dak 0468 857 692

WOW CAFE & STUDIO 0401 282 303

식품점/편의점

스마일마트 5527 1312

오페마트 5531 0922

유니마트 5608 9860

하나로마트 Helenvale 0493 090 679

Southport Robina

해피마트 0401 337 458

현우식품 5526 3838

Coomera Asian Mart 0424 491 646

K-Town Supermarket 5528 6781

Lotte 편의점 5591 2356

식품제조

명가(김치, 밑반찬) 5531 0906

고기하우스 5591 7465

감성포차 Yacha 5660 9648

김치하우스 5538 8496

다노시스시 5528 3005

두리분식 0413 965 268

대박집 5531 0374

불고기ya 5591 7270

서라벌 고기부페 5538 8465

소공동 순두부 0423 455 599

이조 숯불 BBQ 5531 2423

코리안 키친 5538 8855

파라다이스 숯불구이 5592 3824

해피롤 5528 0588

Hochan 호찬 0424 215 797

AZIT(아지트) 5661 8537

BBQ 빌리지 5532 2700

BBQ 코리아나 5504 5627

Cafe 928 5679 6616

CHIKOR 5531 1254

Cook & Beer 0402 99 66 94

Gal. B 5591 5141

Izakaya ichi 5564 0190

MAMAS KITCHEN 5571 1896

BB 두부 0406 541 572

안경원

골드코스트 한인안경원(EYEdear Optical) 0423 083 599

여행/공항픽업

시티익스프레스 공항픽업 0413 059 206

우리여행사 0412 393 713

운송/택배/이사

KPOST 우체국 택배 0422 59 59 79

대한통운 국제택배 0431 571 657

한진택배 0431 231 468

현대택배 3075 6872 / 0430 014 221

HT Logistics 3823 1802

PNL 택배(한국-->호주) 0449 24 8282

유학원

유학 5591 7070

의류/침구/옷수선

벨라 옷수선 5511 2077

Sweet Closet 0402 148 750 자동차운전교습

메이

운전학원 0419 708 177

부부 운전학원 0414 273 087

자동차정비

CLUB AUTO 이승엽 0421 707 771

메르세데스 벤츠 골드코스트, 레이튼(한국어) 0478 220 828 카톡 MBGCLY

전기/전자/통신

리스(LEES) 전기공사 0434 378 245

하나로 전기공사 0416 868 818

SONG 전기공사 0414 781 645

정수기/비데

DP Motors 5537 8235, 0433 835 293

GCCEM 이승엽 0421 707 771

H&K Motors 5532 9088, 0433 004 310

JD Motors 5591 6772, 5591 6227

TINT MASTER 0421 707 771

차량복원 전문업체 NICK’s Panel & Paint 5531 3459, 0430 123 950 자동차판매

청소/방역

가나 Termite,Pest Control 04 02 02 8720

얼스 와이즈 방역 0436 321 537

원스톱 방역 & 카펫 청소 0401 600 887

원펀치 터마이트&페스트컨트롤 0402 157 905

짐스 터마이트 & 페스트 컨트롤 0416 515 874

클린킹(청소용품 판매) 5532 2342

JCM 터마이트&페스트 닥터팀 0430 318 776

PAULS Clean King 0425 233 118

권신정 회계사(MAZARS) 3218 3924

RAPID CLEAN 청소용품 5572 2284

컴퓨터/POS/웹사이트

미디어 나라 0412 443 066

김상현 회계사(PKF) 0433 379 280

김재미 회계사 0478 221 525

바른회계법인 한상호 회계사 0450 468 318

백화실 회계사 0421 007 756

iComputer (TPG 공식딜러, 컴퓨터 수리) 0435 831 116

VTEQ 컴퓨터 3323 3232 (TPG 공식딜러, 웹사이트, IT솔루션)

안재웅 공인회계사 0420 518 253

Q Pack 3219 5654

이윤 회계사 3299 1031

심인섭 공인회계사 0432 493 032

AK 정수기/비데 0401 558 353

The Bidet Shop 1800 243 387

VCG (엘지 정수기) 07 3924 1870 / 0421 807 981

정육점

서울 정육점 5531 5227, 0405 934 952

종교단체

기독교

ㆍ 골드코스트 가까운교회 0433 447 483

ㆍ 골드코스트 선교교회 0431 232 304

ㆍ 골드코스트 순복음교회 0402 089 896

ㆍ 골드코스트 온누리교회 0412 341 868

(Southport State High School 내)

ㆍ 골드코스트 열방교회 0412 362 029

(장로교회)

ㆍ 골드코스트 장로교회 0409 995 456

ㆍ 골드코스트 재림교회 0430 041 022

ㆍ 골드코스트 지구촌교회 0433 609 191

ㆍ 골드코스트 사랑의교회 0451 472 202

ㆍ 골드코스트 브니엘교회 0412 194 829

ㆍ Logan 예수제일교회 0426 501 966

ㆍ 비전 장로교회 0423 932 742

ㆍ 사우스포트 한인교회 0433 308 436

ㆍ 우리들 침례교회 0421 579 026

ㆍ 푸른파도 교회 0411 725 639

천주교

ㆍ 골드코스트 한인성당 0402 044 331

골드코스트 기쁜우리교회 0478 782 186

골드코스트 주님뜻교회 0450 501 201

신우 회계 법인 3148 8887

CYS 회계법인 07 5503 0366

JY Accountants 07 5679 1619

Prudent Accountants & Co 0412 447 987

그래픽 디자인

위니아트 0401 596 877

식당

Black Curry 5200 0875

Brown Rice(Peregian Springs) 5448 2197

Hanami (Coolum Beach) 5471 7091

HIKARU

ㆍ Birtinya 0432 389 288

ㆍ Baringa 0432 389 288

ㆍ Kawana 0452 028 804

ㆍ Northshore 5406 9017

ㆍ Buderim 5476 6266

MakiMoto(Noosa) 5447 3254

Master Sushi 5526 7557

The Sushi 79 (Currimundi) 5437 8208

Tampopo 5476 7039

Haru Korean Kitchen 5447 2249

식품점

선샤인 마트 0488 515 288

의료/병원

Doctors@Maleny (닥터.노) 07 5413 8066

전기/전자/통신

존 TV&안테나 0491 068 872

정수기/비데

Intended Blank Page

기록적인 경제활동참가율에

힘입어 호주 실업률이 3.7%

를 유지했다.

통계국(ABS)은 8월 한 달 동

안 취업자 수는 약 64,900

명 증가하고 실업자 수는 약

3,000명으로 감소하면서 7월

과 동일한 실업률을 기록했

다고 밝혔다. 고용 창출된 일

자리의 약 96%(62,100개)가

풀타임이 아닌 파트타임 일

자리였다. 이는 원하는 시간만

큼 일할 수 있는 근로자 수가

줄어드는 데 영향을 주는 탓

에 불완전고용률은 6.4%에서

6.6%로 상승했다.

ABS의 비욘 자비스(Bjorn Jarvis) 노동 통계 책임자는

"8월 고용이 증가한 것은 방 학 기간인 7월에 소폭 감소한

이후였다"며 "지난 두 달 동안

월평균 취업자 증가는 약 3만

2,000명으로 지난 1년간의 평

균 증가율과 비슷하다"고 설

명했다.

81%가 이민

취업 중이거나 구직 중인 생

산연령인구의 비율을 측정하

는 경제활동참가율(또는 노동

참여율)은 0.1%포인트 상승 한 67%로 사상 최고치를 기

록했다.

인구 대비 고용률 역시 0.1%

상승한 64.5%로 집계돼 6월

에 기록한 최고치를 경신했 다. 자비스는 높은 경제활동참 가율과 인구 대비 고용률은 " 타이트한(tight) 노동시장을 계속 반영하는 것"이라고 말 했다. 7월 실업률이 0.2%포

인트 상승했을 때 경제분석 가들은 노동 시장이 전환점에 도달했다고 예측했다. 그러나 연간 2.1%에 불과한 경제 성 장률 둔화에도 불구하고 고용 시장은 여전히 양호한 것으로 보인다.

짐 차머스(Jim Chalmers) 재 무장관은 ABS 수치를 환영하 며 "엄청난" 결과라고 반겼지 만, 향후 일자리 손실은 불가 피하다고 경고했다. 차머스 장

관은 "그 어느 때보다 많은 호 주인이 일하고 있고, 노동참여

그는 "높은 금리, 높지 만 완만한 인플레이션, 계속되 는 글로벌 불확실성(특히,

1년 동안 폭발 적으로 증가했다. 2023년 3월 까지 1년 동안 해외이주 순유 입(net overseas migration) 으로 늘어난 인구수가 45만 4,400명에 달했다.

지난 8월 말 현재 호주 주거용 부동산의 총가치가 10조 달러에 다시 올라선 것으로 나타났다. 이는 2022년 6월 이후 처음으 로 다시 두 자릿수 조달러에 진 입한 것이다. 이와 같이 주거용 부동산의 가치가 증가한 것은 8 월 말 현재 호주의 중간 주택가

격이 $732,886로 상승한 것과

호주의 전체 주택수가 1,100만 채로 증가한 것이 복합적으로

작용되었기 때문인 것으로 나

타났다.

국내 주택가격은 금년 3월부터 회복되기 시작해 지난 8월 말

까지 4.9%가 상승한 것으로 나

타났다. 이와 같은 회복세는 호 주 주택가격이 최고치에 올랐

던 2022년 4월부터 2023년 2 월까지의 하락폭 -9.1%를 절반 이상 상쇄시킨 것으로 나타났 다. 따라서 현재 국내 주택가격 은 2022년 4월의 피크가격 대비 -4.6%가 내려가 있는 수준으로 나타났다.

생계비용의 상승과 소비심리 위 축 그리고 금년에만 4번 단행된 금리인상 환경 가운데 국내 주 택가격이 회복되고 있어 주목받 고 있는 것으로 나타났다. 이와 같은 원인 중 하나는 최근 해외 로부터의 순수 인구유입이 증가 하고 있기 때문인 것으로 나타 났다. 지난해 호주를 떠난 사람 들은 코로나 이전과 비교해 약 -25% 줄어든 반면, 해외에서 호 주로 들어온 사람들은 2019년

시드니 주택 위기,

연간 100억 경제 손실 발생

뉴욕・런던보다 집 사기 어려운 도시

시드니의 만성적인 주택 위

기가 연간 100억 달러의 경제

손실을 발생시키고 있다는 보

고서가 나왔다. 싱크탱크 '시

드니위원회(Committee for Sydney)'가 발표한 이 보고

서는 시드니가 다른 세계 주

요 도시와 비교할 때 만성적

인 주택 위기를 측정하는 세

가지 핵심 지표를 모두 충족 한다고 밝혔다.

중간 부동산 가격이 5년 이상

연속으로 중위 가구 소득의 8

배가 넘는다는 기준에서 시드

니는 이미 10년 전에 8.3배였

다. 현재는 이 비율이 13.3배

로 치솟았다. 세입자 가구의

33% 이상이 '주거 스트레스'

에 시달리고 있는지 부분을

보면, 시드니 세입자 가구는

35.3% 이상이 이를 경험하고

있다. 이 보고서는 월 소득의

30% 이상을 주거비로 지출

하면 주거 스트레스를 받고

있다고 본다.

시드니는 이 보고서 기준으

로 주택 구매력이 가장 낮은

세계 20개 도시에도 들어갔

다. 시드니는 뉴욕과 런던을

제치고 세계에서 6번째로 주

택 가격을 감당하기 어려운

도시로 집계됐다. 시드니위원

회는 이러한 문제는 "시드니

의 미래 잠재력에 대한 위협"

이라며 "이는 단기적인 주택

위기가 아니라 만성적인 위

기이며, 시드니의 인재, 혁신

및 생산성에 연간 100억 달러

이상의 비용을 초래한다"고

경고했다. 보고서는 시드니

가 주택 위기로 인해 한 해에

인재 손실로 15억 달러, 출퇴

근 시간 및 인건비 증가에 따

른 생산성 손실로 68억 달러, 특허 및 스타트업 감소 등 혁 신 감소로 29억 달러의 비용 이 발생할 것으로 추산했다.

시드니위원회는 현재 추세

대로라면 시드니 인재 기반 에서 1만 명이 추가로 사라 질 것이라고 예상했다. 근로

자 입장에서는 같은 급여를

받는다면 멜버른이나 브리즈 번처럼 임대료가 시드니보다

낮은 대도시가 살기에 더 매

력적일 수 있기 때문이다.

시드니위원회는 주택을 시세

보다 20~25% 저렴한 가격으

로 15년 동안 공급할 수 있도

록 일정 비율을 저렴한 주택

또는 정부 임대 주택으로 할 당하는 의무적인 개발 규정을 도입해야 한다고 제안했다.

무더운 폭염이 계속되는 가 운데 시드니 마라톤 참가자 26명이 병원 치료를 받고 있 고, 그중 7명은 중태인 것으 로 알려졌다. 지난 17일 (일 요일) 열린 마라톤 대회에는

약 1만 7,000명 선수로 출전 했으며 2만명이 하프 마라톤 등 관련 행사에 참가했다. 그 러나 선수들이 도시 중심부와 하버 브리지를 통과하는 사이 수은주가 32도까지 오르면서 참가자들의 안전에 우려를 낳 았다.

NSW 앰블런스 대변인은 행 사 기간 동안 40명이 치료를 받았고 이 중 26명을 병원으 로 이송했다고 밝혔다.

녹색당, 노동당

'주택지분공유제' 겨냥

호주미래주택기금(Housing Australia Future Fund・HAFF)에 찬성표를

던진 녹색당은 앞으로 노동 당의 다른 주택 정책을 목 표로 삼아 당의 세입자 정 책을 관철하겠다는 방침 이다.

녹색당의 반대로 가결이 불 투명했던 노동당의 HAFF 법안이 목요일(14일) 의회 를 통과했다.

녹색당의 표가 반 드시 필요한 노동당은 녹색 당과 오랜 협상을 벌인 끝 에, 공공 및 지역사회 임대 주택을 위해 10억 달러를 추가 편성키로 하고 녹색당 의 동의를 얻어냈다. 이제 녹색당은 임대료 인상 상 한제 또는 동결을 요구하기 위한 협상 카드로 노동당의 주택 구매 지원 정책인 '헬 프 투 바이 제도(Help to Buy scheme)'를 주시할

것이다. 화요일(12일),

대학들,

호주 대학가에서 코로나19 팬

데믹 시기부터 시행되어 온 온

라인 시험과 관련된 부정행위

가 증가하고 있는 것으로 나타 났다. 뉴사우스웨일스 대학교 (UNSW)는 2022년 한 해 동

안 시험 부정 행위를 402건 적

발했는데 이는2021년에 비해

79% 증가한 것이다.

시드니 대학교(USYD)에서도

2022년 한 해 동안 총 2,588 건의 부정 행위가 보고되었고

이는 전년도 831건에 비해 3 배 이상 증가한 것이다.

대학들은 여러 학생들이 한 장 소에 모여 함께 시험을 치거 나 페이스북 (Facebook), 위 챗 (WeChat), 또는 디스코드 (Discord)와 같은 디지털 채

널을 통해 저지른 부정 행위

를 찾아냈다. 또한 UNSW의 최근 학업 청렴성 보고서 (Academic Integrity Report)에

의하면 내부 고발자들이 부

정 행위를 적발하는데 도움

을 주었다. 이 보고서는 학생

들이 시험 내용을 실시간으로

논의하기 위해 비공개 채팅 플

랫폼을 사용하기 때문에 발각

되지 않은 더 많은 부정행위

사례가 있었을 것이라고 추정

했다. 부정행위 사례가 급증하

자 USYD는 올해 국내에서 공

부하는 대부분의 학생들을 대

상으로 전통적인 필기 시험으

로 전환했다. 이 대학의 부정 행위는45% 감소했는데, 온

라인 시험 횟수가 줄어든 것

이 주요 원인으로 분석된다.

다음 학기에는 온라인 시험

이 5.5%에 불과할 것으로 예 상되며, 유학생들의 경우에는

모두 학교에 직접 와서 시험에 응시해야 한다.

Sushi Izu Southport Park

Sushi Izu Elanora

반면 UNSW는 온라인 시험을 계속 실시하고 있으며 일부 시 험의 경우에는 온라인 시험 형

식을 유지하되 캠퍼스 내에서 감독하에 시험을 치루 도록 하고 있다. UNSW 부총장인

조지 윌리엄스는 대면 시험으

로의 전면적인 복귀보다는 부

정행위를 예방할 수 있는 평가

시스템을 구축하는 것이 목표

라고 강조다. 그는 대면 시험

이 그 특성상 학생들의 스트

레스를 유발해 실제 학생들의

실력을 측정하는 데 비효율적 이라고 지적했다.

UNSW에서 발각된 한 부정 행위 사례에서는, 2시간 30분 동안 진행된 시험에서 194명 의 공대생이 디스코드 (Discord) 채팅 그룹에서 실시간 으로 시험 내용에 대해 논의 했다.

2022년에는 전년 대비 소폭 증가한 232건의 부정행위가 발생했다. 2021년에는 190 건, 2020년에는 222건이 발 각된 것에 비교해 소폭 상승 한 것이다. 시드니 공과대학 (UTS)는 온라인 시험 및 대면

시험을 혼합하여 사용하고 있 으며, 부정행위가 눈에 띄게 증가하지는 않고 있다. 웨스턴 오스트레일리아 대학 교(UWA)는 대부분의 테스트 를 대면으로 시행하고

가정 하에 만들어져야 한 다고 주장했다.

심각한 산불 시즌의 위협이 시드니를 뒤덮고 있는 가운 데 소방관들은 시드니 도심 인근에서의 위험 요소를 줄

이기 위해 시간과의 싸움을

벌이고 있다. 당국은 지난 2019-20년에 발생했던 최

악의 산불 시즌인 블랙 서

머(Black Summer)의 불 길 속에서도 훼손되지 않았

던 삼림지대가 이제는 잠재

적인 발화원이 되어 주택들

을 위험에 빠뜨릴 수 있다

고 경고했다.

이러한 위험을 완화하기 위한 노력의 일환으로, 뉴

사우스웨일스 산불 소방대

(RFS, Rural Fire Service)

는 시드니 주변 684 헥타

르 면적의 지역에 산불 예

방 화재 작업에 들어갔다. 화재 위험이 높은 지역의 목초를 태워 피해를 최소 화하겠다는 것이다. 이 작 업은 주로 기온이 높고 화

재 위험이 높은 계절이 시 작할 무렵의 무더운 주말에 행해진다. 롭 로저스(Rob Rogers) RFS 대장에 따르 면 지난 회계연도에는28만

72헥타르 중 단지 24%에

만 산불 예방 화재 작업을 완료할 수 있었는데, 이는 극심한 폭우로 방해를 받았 기 때문이다.

그러나 올해는 RFS 7월과 8월에 양호한 기상 조건을 활용하여 주 전역에 걸쳐 약 3만 헥타르에 선제적인 조치를 취했다. RFS가 선 정한 위험

지난 주말, 호주 전역서 '보이스 찬성' 집회

지난 주말, 원주민 목소리(이

하 보이스)를 위한 국민투표

를 성공시키기 위한 집회가

호주 전역에서 열렸다.

시드니 '워크 포 예스(Walk for Yes)' 집회에는 수만 명이

더위를 무릅쓰고 모였다. 멜버

른 집회에는 3만 명이 운집한

것으로 경찰은 추산했다.

린다 버니(Linda Burney) 원

주민장관은 일요일(17일) 멜

버른 집회 연설에서 국민투

표 가결을 확신한다고 밝혔

다. 버니 장관은 "호주 헌법이

6만 년의 역사를 인정한다고

상상해 보라"며 찬성투표를

독려했다.

퍼스 집회에 참석한 전 자유

당 의원이자 전 원주민장관

인 켄 와이어트(Ken Wyatt)

는 보이스가 원주민 공동체

의 더 나은 미래를 위해 노력

할 기회라고 역설했다.

원주민장관

와이어트 전 장관은 "오늘 이

자리에 모인 여러분은 엄청 난 희망을 준다"며 "나는 처

음부터 보이스를 믿었고, 앞 으로 다가올 보이스 역시 믿

표에서 반대표를 행사할 것으 로 예상된다. 개헌안이 가결 되려면, 이중 과반의 원칙에 따라

는다"고 말했다. ABC에 따르 면, 일요일 브리즈번 집회에

참석한 주민 알리마 데이비스 (Alimah Davis)는 많은 군중

이 모인 것을 보고 영감을 받

았다고 했다. 데이비스는 보이 스를 통해 호주 원주민들이 정 부와 직접 소통할 수 있는 길 이 열리게 될 것이라면서, 현 재는 원주민의 목소리가 상층

부로 올라가는 과정에서 손실 되는 실정이라고 지적했다.

여론조사에 따르면, 브리즈번 의 유권자 절반 이상은 국민투

뉴사우스웨일즈 (NSW) 주

정부는 울릉공에서 열린 출

산 트라우마 청문회에서 충

격적인 사례들이 공개된 직

후 새로운 전문 자문 그룹을

구성할 것이라고 발표했다.

조산사, 의료진 그리고 환자

로 구성된 이 그룹은 지난 3

월에 발표된 산부인과 의료

서비스 개선방안을 실행에

옮기게 된다. 52페이지 분량

의 개선 방안 기획서에는 존

중과 포용적인 치료, 출산과

분만에 관련하여 맞춤형 정

보 제공를 제공하는 내용을

포함한 10가지 목표가 담겨

져 있다. 다만 개선 방안에는

유산이나 사산 이후의 돌봄 에 대한 대책은 극히 제한적 으로 담겼다.

NSW 보건부 장관 라이언 파

크(Ryan Park)는 여성의 출

산 경험은 평생을 좌우한다

며 "모든 여성들이 장소를

불문하고 안전하고 수준 높

은 진료, 출산 서비스를 받

을 수 있도록 최선을 다하고

있다."고 말했다. 새로운 출

산 자문 그룹을 구성하겠다

는 계획은 지난 7일, ‘출산 트

라우마’에 관한 의회 조사에 서 일주일동안 여성들의 끔 찍한 피해 증언이 있은 후

발표되었다. 나오미 보우덴 (Naomi Bowden)은 병원 직원이 사산한 딸을 스티로 폼 상자에 넣어 데려갔고,

Turn static files into dynamic content formats.

Create a flipbook
Issuu converts static files into: digital portfolios, online yearbooks, online catalogs, digital photo albums and more. Sign up and create your flipbook.