QLD KOREAN LIFE - V1037

Page 1


미국에서 우버(Uber)와 리 프트(Lyft)를 정말 많이 탔다.

한국이든 미국이든, 이제 앱 (App)을 깔고 차를 불러서 가

는 ‘택시 호출 플랫폼’은 대세 가 된 것 같다.

지역마다 뉴욕의 노란 택시

처럼 공식(?) 택시가 있긴한

데 잡기도 불편한 데다, 가격

도 단 1달러라도 택시 앱보다 비싼 경우가 많아 외국인은 물론이고 현지인들도

시를 타는 게 일반화했다. 실

제로 미국 어느 공항이든 어 김없이 도착 터미널엔 ‘Ride App Pickup’ 안내 표지판이 설치돼 있다.

앱 택시는 편리하다. 내가 원

2~3달러 내면 ‘죄인’?

미국 택시팁 겪어보니...

by 제인 / 브런치

할 때 부를 수 있고, 차가 어 디쯤 오고 있는지 이동경로

도 실시간으로 표시된다. 하

지만 여러 번 타다 보니 생각 지 못한 애로점이 있다. 바로

‘팁(Tip)’ 시스템이다. 잘 알려

진 대로 미국의 우버나 리프

트는 택시비(이동요금) 말고 도 드라이버에게 주는 팁이

따로 있다.

이게 초반에는 말 그대로 친 절한 기사에게 ‘감사의 마음

을 표현하세요’ 정도로 시작

한 것 같은데, 해가 갈수록 무섭게 오르고 어떻게 해서

든 상당량의 돈을 낼 수밖에

없는 쪽으로 바뀌어가고 있 는 거다.

현재 미국에서 우버나 리프트 를 타면, 우선 ‘차량이 맘에 드

느냐’며 깨끗함, 친절함, 공간 이 넓음, 음악이 좋음… 이런 항목들을 체크하는 화면이 뜬 다. 그리고 ‘드라이버(기사)에 게 팁을 주세요’라며 운전자

의 얼굴 사진이 나온다.

여기까진 좋은데 선택하라 고 나온 팁 요율이 ▶18% ▶20% ▶25% 이렇게 뜬다. 잘 기억이 안 나는데 우버는 리프트보다 더 비싸서 18% 다음에 25%, 30% 였던 것 같 다. 이동 요금이 2만원이 나왔 다면 평균 2만4000원을 내 야하고, 좀 멀리 가서 5만원 이 나왔다면 6만원을 내야하 는 거다.

물론 ‘팁 없음(No Tip)’이나 ‘고객 맞춤 팁(Customized Tip)’ 이란 선택지도 있다. 하

지만 팁을 안 주는 건… 미국 이나 캐나다에선 좀 과장하면 ‘돈을 떼먹고 도망가는 행위’

나 마찬가지로 여겨지는 분위 기가 있다.

실제 미국인들에게 ‘식당에서 너무 기분이 나쁘고 화가 나

면 팁을 얼마를 주느냐’라고 물어봤더니 “15%만 줘버리

고 만다”는 답변이 압도적으 로 많았다. 미국에서는 이제

팁 15%는 ‘옛다 이거나 먹어

라’ 정도의 최소 금액이란 얘 기다. 나 역시 누가 봐도 한국 성씨인 것을 알 수 있는 이름

이 등록돼 있고, 매번 이용 내 역이 기록되는데 팁을 안 줘 서 한국인 욕을 먹일 수는 없 는 노릇이었다.

하지만 난 가난한 연수자다. 1 년 동안은 한국에서도 못 벌

거렸다.

그.러.다.가… 시간이 흐르고 (미국에서 쓰는 돈이 점점 많 아지고) 이용 빈도가 늘어나 면서 결국 2~3 달러만 직접 입력하기에 이르렀다. 흑흑. 변명을 좀 하자면 불과

고, 미국에서도 못 벌고 오로 지 고환율에 한화를 바꿔 쓰 기만 했으니 1달러도 쌓이

면 큰 금액이다. 그래서 처음 엔 눈 딱 감고 ‘커스터마이즈 드 팁’을 클릭해서 10% 정도 를 계산해서 줬다. 내려서 드 라이버에게 잘 가라고 인사 하면서도 왠지 얼굴이 화끈

넘어간다. 이러면 이용자 입장에선 10% 팁도 2.5달러에서 4달러로 뛰게 된 다. 합산 요금은 확 크게 느껴 질 수밖에 없다. 자, 여기에 또 다른 스트레스 가 있다. 우선 이 택시 앱이라 는 게 팁을 선택하지 않고 일 정 시간이 흐르면 자동으로 자체적으로 설정한 가장 낮은 요율인 18%가 적용돼 버리 는 거다. 한 번은 공항에 조금 빠듯하게 도착해 차에서 내리 자마자 뛰어가서 수속을 밟았 는데, 핸드폰을 보니 팁 18% 를 준 것으로 돼있었다. 깜빡 해서 금액을 선택하거나 입력 하지 않으면 자동부과되는 시

스템인 거다. 긴 시간도 아니

고, 10~15분 정도였던 것 같

은데 말이다. 저기요, 난 18% 나 줄 생각이 없었다고요!! 그

다음부터는 무조건 내리자마

자 팁을 정산해서 입력한다.

그런데, 내가 팁을 얼마 줬는

지 드라이버는 바로 알 수 있

을까?

답은 ‘그렇다’다. 정확히 말하

면 이동 중에는 손님이 팁을

미리 입력해도 볼 수 없는데

(만약 볼 수 있다면… 생각만 해도 소름돋는다), 내려서 앱

으로 평가(별점)를 한 뒤 팁

을 주면 얼마를 줬는지 기사

가 볼 수 있다. 평가를 안 하고

그냥 앱을 닫아 버리면 또 자 동으로 팁이 부과된다.

그러니까 내가 내려서 평가

를 하고 팁을 입력했는데, 기

사가 바로 출발하지 않고 정

차해 있다면 기사의 시야에

내가 아직 보일 수 있는 거다.

자칫 팁 시비가 붙을 경우 ‘왜

이것만 줬느냐, 내가 뭘 잘못

했느냐’고 쫓아올 수도 있는 거다.

그 사실을 알고부터는, 꼭 차

기다렸다

팁도 입력 한다. 별 거 아닌 것 같지만, 이 런 과정을 매번 반복하고 신

경써야하니 나중엔 가격과 또

다른 이유로 우버나 리프트

타는 자체가 스트레스였다.

드라이버는 드라이버대로 스

트레스인 것 같다. 택시 앱 기

업들은 요금의 최소 40%, 많

게는 절반 이상을 가져간다.

그러면서 드라이버들에겐

“당신이 원하는 시간에 원하 는 만큼 일하고 돈을 버세요” “손님에게 좋은 평가를 받고, 팁을 받으면 그 팁은 전부 당

신이 갖습니다(이건 사실이 다)”라고 홍보하고 계약을 맺 는다. 기사가 팁을 적게 받으

면 자기 책임일 뿐 회사에 하

소연할 수 없는 구조인 거다.

거기에 차량과 관리비는 물 론, 기름값까지 모두 드라이

버가 낸다. 그러니 손님이 주

는 팁에 목을 맬 수밖에 없고, 어떻게 해서든 좋은 인상을

주려고 인사도 하고, 가방도 트렁크에 실어주고, 말도 걸 고, 듣기 좋은 말도 해주고 노

력을 한다.

소비자 입장에서야 이런 노력

들이 당연히 좋지만, 한편으

론 크게 오른 요금이 가뜩이

나 부담인데, 친절하다고 팁

까지 더 주자니 이러기도 뭐

하고 저러기도 뭐 하고 아주

고민이 된다. 나도 드라이버

와 즐겁게 대화를 나눈 뒤, 소

액의 팁을 입력하고는 잘못이

라도 저지른 사람처럼 도망치

듯 서둘러 갔던 적이 몇 번 기

억난다. (많이 못 줘서 미안, 스티브)

한국의 앱 택시도 이제 팁을 도입했다고 한다. 결론적으 로 난 반대다. 차라리 기본요 금을 올리는 게 낫지, 팁 이란 게 처음엔 ‘특별히 감사를 표 현하고 싶을 경우’로 시작돼 서 나중엔 당연하게 되고, 그 다음엔 반강제, 결국은 강제 가 된다.

물가와 비용이 오르면 기업 이 요금만 올리겠나, 슬금슬 금 요율도 올리겠지.

한국이야

비행기 타면

이코노미 클래스 증후군은 비행기의 좁은 이코노미 클 래스석에 오래 앉아있을 때 잘 발생하는 증후군으로 정 식 명칭은 ‘심부정맥혈전 증’입니다.

이는 다리에서 혈액을 심 장으로 보내는 힘이 약해져 생기는 것으로 비행기를 타

면 습도와 기압, 산소 농도

가 모두 낮아져 혈류의 흐 름이 둔해지는데 이때 하지

정맥에서 혈액 일부가 굳으

면서 혈전이 생기고 정맥이

막히는 심부정맥혈전증을 겪을 수 있습니다.

비행 중 기내는 기압이 낮 아 산소 농도가 지상의 약

80%에 불과해 혈류가 느 려집니다. 장시간 비행 시

에는 기내 습도가 20% 이 하까지 떨어지게 되고 이 것으로 인해 체내 수분량이

부족해지면서 혈전이 형성

될 위험이 커집니다. 실제 로 한 연구 결과에 따르면

비행 시간이 2시간 길어질 때마다 혈액이 응고할 위험

은 약 26%

라는 좋은 기억이다. 그다음

부터는 시간의 힘이다. 오랜

시간 동안 매일매일 소리 없

이 적립된 기억들이 있다. 적

어도 하루에 한 번은 내 손으

로 씻어주고, 쌀을 담아 밥을

하고, 그 안에 있는 따끈한 밥

을 떠서 온 가족이 나누어 먹

었던 기억은 나의 마음을 따

뜻하게 만드는 추억이 되었

다. 그 추억의 장면들에 항상

이 밥솥이 작게 자리하고 있

는 것이다. 오래 사용한 물건

들이 고장 나면 아쉬운 마음

우리 집 전기밥솥의 '취소' 버

튼이 고장 났다. 님이라는 글

자에 점 하나만 찍으면 남이

된다고 했던가. 나의 밥솥은

모음 하나의 차이로 나와 남

이 되지 못하고 있다. 남편에

게 웃으며 말했다. "취사 버튼

이 고장 났으면 바로 새 거 사

야 했을 텐데 취소 버튼이 고

장 났네. 하하." 남편은 "오래

쓰긴 했지."라는 말을 했지만

선뜻 새로 사자는 말은 하지

않았다. 나도 말은 저렇게 했

지만 새로 나온 밥솥에 대해

검색하거나 하는 시도조차 하

지 않았다. 이 집에 이사 들어

오며 건조기를 장만한다는 이

유로 세탁기를 교체하고, 인 밥솥의 '취소'

덕션과 식기세척기도 들였 다. 그때 밥솥을 바꿀까도 고

민했지만 새 밥솥을 사기 위 한 핑계거리가 없었다. 그런

데 이제 버튼이 고장났다는

좋은 구실이 생겼는데도 아직

은 취사가 된다며 나는 이 밥

솥을 끌어안고 있다.

올해로 나와 함께 한 지가 만

으로 11년이 되었으니 고장

이 날만도 하다. 결혼 선물을

사 준다는 사촌언니와 함께

가서 고른 전기밥솥이었다.

언니는 더 비싸고 좋은 걸로

고르라고 했지만 나는 이것만

으로도 충분하다 했다. 정말 그랬다. 이 밥솥이 남편과 내

가 처음 집에서 먹은 밥도 했

고, 세 아이들의 이유식도 만

들어 주었으며, 지금까지 우

리 가족의 밥을 책임지고 있

다. 중간에 압력이 잘 안 되어

부속품을 바꾸어야 하나 했는

데 다시 밥이 잘되어서 수리 한 번 없이 아직까지 잘 쓰고

있다. 생각해 보니 이 정도면

충분을 뛰어넘어 훌륭하다고

말했어야 했다.

결국은 바꿔야 할 때가 오겠

지만 그때를 생각하면 아쉬

운 마음이 드는 건 사실이다.

아무리 물건이라지만 함께 같

은 공간을 그리고 많은 시간

을 공유했으니 정이 든 것 같

다. 항상 이 밥솥이 있던 자리

에 새로운 밥솥이 자리 잡고

있으면 왠지 어색할 것 같기

도 하다. 밥솥만큼 오래된 냉

장고도 바로 옆에 있는데 사

실 냉장고는 여유가 생기면

바꾸고 싶다. 내가 사고 싶은

냉장고를 이것저것 찾아보고

그것들을 마음에 두고 있어서

일까. 냉장고도 막상 무언가 하나가 고장 나면 또 아쉬운 마음이 들까.

아무래도 밥솥과 나 사이를 끈끈하게 만든 무언가가 있는 듯하다. 그 무언가의 처음은 내가 좋아하는 사람의 선물이

까워서 거실 창가에 두고 1년 을 넘게 아이들과 함께 공부 하는 책상으로 쓰다가 결국은 그 식탁의 수거를 요청하기로 했다. 학교와 유치원을 다녀 온 아이들은 거실로 들어서자 마자 눈을 동그랗게

이 드는 건 마찬가지지만 밥

솥의 취소 버튼 하나가 고장

난 걸 알게 된 날에는 왠지 모

르게 애잔한 느낌이 들었다. '

너도 나이가 들었나 보다.' 같

은 말이 입가에 맴돌았다.

취소 버튼을 누르는 대신에

콘센트에서 플러그를 뽑아내

면서 다른 버튼도 아니고 스 스로를 멈출 수 있는 버튼이 고장 난 것이 더 안쓰러운 마 음이다. 오래 일해서 고장이 났는데도 하던 일을 멈출 수

없고, 강제로 전원 플러그가 뽑혀야만 중단할 수 있는 상 태가 된 것이다. 밥솥은 내가

자신의 플러그를 뽑아줄 때 까지 계속해서 자기 몸을 따

뜻하게 데우고 있다. 그 안에

있을 밥이 식지 않도록... 이제

떠날 때가 되니 조금이라도

내 손길을 더 많이 받고 싶어

서라며 내 마음대로 이 사물

에게 감정을 느끼고 생각하는

능력을 부여한다. 버튼을 누

르나 플러그를 뽑나 결국 내

손이 가야 하는 것은 같은데

이런 식으로 다가올 밥솥과의 헤어짐이 아쉬운 마음을 괜스 레 이 물건에게 투영시킨다.

예전에 쓰던 식탁과 헤어질

때가 기억난다. 다섯 식구가 되어 이 집에 이사 왔기에 4 인용 식탁을 더 큰 식탁으로 교체하기로 했다. 그런데 막

상 버린다는 생각을 하니 아

새 주인 만나 서 잘 지내~" 지금 당장 밥솥을 교체할 생 각은 없다. 오늘도 이 밥솥으 로 밥을 잘 지어먹었다. 아무 래도 주요 기능이나 부속에 문제가 생길 때까지는 계속 사용하게 될 것 같다. 하지만 나중에 밥솥과 헤어질 때가 오면 아이들처럼 뽀뽀는 못 해주더라도 마음속으로 인사 를 전해야 할지도 모르겠다. 오늘 밥솥 사진과 내 글을 함 께 남기는 것을 밥솥과 내가 함께 찍는 사진 대신으로 해 야겠다.

10년이라는 시간이 대단한 것이긴 한가 보다. 밥솥 하나 가지고 이렇게 청승을 떨게 만드니 말이다.

최악의 숙소

소울일기 | 코리페

첫째 날

나는 오늘 침대가 편한 숙소에서 일어나서 짐 싸고 나와서 카페에서 아이스크림을 먹었 다. 무지개맛 아이스크림이었는데 솜사탕맛이 났다. 그리고 배를 기다리다가 배를 타러 선착장에 갔는데 배가 엄청 작아서 놀랐다. 그러다가 조금 큰 배로 갈아탔는데 생각해 보

면 작은 배가 더 좋은 것 같다. 이유는 배 모터에서 나는 소음이 상상 이상으로 컸기 때문 이다. 표현하자면 일렉기타를 엠프 끼고 4시간 동안 틀어 놓은 느낌?! 그리고 귀가 터지 기 전에 코리페에 도착했다. 코리페 숙소는 처참했다. 그린뷰라는데 너무 힘들다. 코리페 는 전경만 멋지고 별로다.

코리페의 숙소는 아름답고

처참했다. 에메랄드 빛깔의

바다와 하얀 백사장이 펼쳐

진 곳이 숙소의 로비였고, 열

대 지방의 꽃과 나무로 잘 가

꿔진 정원 안에 그림처럼 위

치한 방갈로가 우리가 6일 동

안 머물 집이었다. 방갈로 입

구에는 삼각쿠션이 놓여 있

는 툇마루가 있었는데 그곳

에 앉아 정원을 바라보고 있

으면 시간 가는 줄 모를 것

같았다. 대나무로 지어진 작

은 방갈로 안에는 숙면을 취

할 수 있는 침대와 모기장 그

리고 더위를 식혀 줄 선풍기

가 전부였다. NO 에어컨, NO

티브이, NO 냉장고, NO 드라

이기 그야말로 자연 친화적

인 숙소였고 있어야 할 것만

있는 군더더기 없는 방갈로

였다. 방갈로 안에 다행히 화

장실이 있었지만 어둑한 조

명 탓인지 계단을 내려가야

하는 탓인지 아이들은 혼자

서 화장실 가는 것을 꺼려했

다. 대나무 사이로 햇빛이 새

어 들어와 이국적인 분위기를

만들었지만 모기와 각종 벌레

들도 이 틈으로 드나들 것 같 았다. 역시나 대나무로 만들

어진 방바닥은 울퉁불퉁했

고 그 때문에 요철에 발바닥

이 찔려 잠깐씩 고통스러웠

다. 너무 아름다운 방갈로인

데 불편한 건 사실이었다. 아

이들은 최악의 숙소라며 하루

도 못 있겠다고 툴툴거렸다.

'우리, 6일이나 머물러야 하는 데 괜찮을까?' 나는 숙소의 불

편함보다 아이들의 불만을 6

일 동안 견딜 자신이 없었다.

한편으로는 아이들의 변화를

보고 싶었다. 익숙한 공간을

떠나온 여행은 불편할 수밖

에 없다. 하지만 떠나온 덕분

에 우리는 아름다운 것을 보

고 다른 사람을 만나고 다양

한 맛을 경험하며 새로운 세

계를 배운다. 아름다움의 기 준이 바뀌기도 하고 나 자신

도 몰랐던 스스로의 적응력

에 놀라기도 한다. 여행은 그 렇다. 여행을 통해 생각이 바

뀌고 삶을 대하는 태도가 달 라진다. 내가 아이들에게 경 험하게 해주고 싶었던 여행도

그런 여행이었다. 어쩌면 아

름답지만 불편한 숙소에서 6

일 동안 머무는 일이 기회가 될 수 있다는 생각을 어렴풋 하게 했다. 도착 첫날은 긴 이 동으로 인한 피곤함으로 스르 륵 잠이 들었다.

다음 날 아침, "오레오~"라고

우는 새소리에 잠을 깼다. 자

연친화적인 방갈로에서 아침

을 맞이하는 알람소리로 새

소리만 한 게 없다고 생각했 다. 방갈로 문을 열고 툇마루

로 나오니 풀 냄새와 바다 냄

새가 한꺼번에 맡아졌다. 남

쪽 끝 섬에서 맞이하는 아침

은 느슨하게 맞이할 생각으

로 천천히 기지개를 켜고 주

위를 둘러보니 역시나 숙소를

바꾸기엔 너무 아름다운 풍경

이 눈앞에 펼쳐져 있었다. 환

불이 불가능한 상태에서 숙박

비로 더 이상의 지출을 하는 것보다 불편함에 적응하는 편

이 낫다고 판단했다.

아이들은 5박 6일 동안 이곳

에 머물며 아름답고 불편한

방갈로에 천천히 적응해 갔

다. 바다가 보이는 공용 공간

에서 멍 때리기도 하고 일기

도 쓰고 스트레칭도 하고 그

러다 바다로 뛰어들어가 스노

클링도 하면서 시간을 보냈

다. 운이 좋으면 무지개 물고

기를 볼 수 도 있었다. 어떤 날

오후에는 한바탕 소나기가 쏟

아져 모기향을 피워 둔 툇마

루에 앉아 한참 동안 빗소리 를 듣고 있었다. 선풍기는 낮 동안의 열기를 식히기에 충 분했고 모기장이 둘러진 침 대는 안전한 요새가 되어주 었다. 다른 방갈로의 여행객 들이 퇴실하자 직원들이 침 대 매트리스를 꺼내 햇볕에

말리며 소독하는 걸 보니 더 욱 뽀송한 요새인 것처럼 느 껴졌다. 최악의 호텔이라고 말하던 아이들은 여행을 마치 고 집으로 돌아갈 때 그린뷰 리조트(greenview resort)가 최고의 호텔이었다고 회상했 다. 역시 여행은 해봐야 안다.

계절을 담다

by 담다 / 브런치

수수하게 혹은 우아하게, 호박잎쌈

눈을 두는 어디든 초록빛이 뚝뚝 떨어진다.

봄과는 다른 짙은 청록을 뿜어내는 나무와 풀이 사뭇 늠름해 보인다.

그리고 지난 봄과 절정을 달리는 여름을 담고 있는 제철음식이

만발하는 지금 이 순간을 즐겨야 한다.

요즘은 하우스 재배로 겨울에도 여름 채소나 과일을 먹을 수는 있지만,

제철의 맛에 비할 바는 아니다.

여름 제철 채소를 하나 선택 하라고 하면 나는 풋호박(둥 근호박이라고도 하고 조선호 박이라고도 하는)을 꼽겠다.

그런데 왜 사람들은 못 생긴 것을 비유할 때 호박을 들까?

호박에 줄 긋는다고 수박이 되냐고? 호박이 얼마나 예쁜

지 제대로 보지 않은 사람들

이 시작한 말일 것이다.

연둣빛의 둥근 조선호박이 얼

마나 반질반질하니 귀여운지,

이 깜찍한 작은 호박이 뜨거

운 여름을 견뎌내며 성숙하면

가을에 얼마나 멋스러운 주황

색의 늙은 호박이 되는지를

틀림없이 모르는 사람이 지어

낸 말일 거다.

호박은 버릴 데가 하나도 없

는 채소이다. 이 계절의 동그

란 풋호박을 큼직하게 썰어

새우젓으로 간을 하고, 약한

불에서 뚜껑을 덮고 끓이는

것도 아니고 찌는 것도 아닌

듯이 그렇다고 볶는 것도 아

닌, 살짝만 익혀내면 밥에 슥

슥 비벼 먹을 수 있는 반찬이

된다. 새우젓 덕분에 호박의

자연스러운 단맛이 배가 된

다. 좀 칼칼하게 먹고 싶을 땐

고춧가루를 넣기도 한다.

억새지기 전의 어른 손바닥 만 한 호박잎은 줄기를 꺾어 잎 뒤로 주욱 잡아당겨 손질 한다. 그런 다음 찜기에 올려 쪄내면 보송보송하고 부드러

운 호박잎을 먹을 수 있다. 양 파, 호박, 으깬 두부를 볶다가 된장과 물을 아주 조금 넣고 자글자글 볶듯이 끓이면 시판 쌈장은 따라올 수도 없는 구

수한 집쌈장이 만들어진다.

그러면 호박잎에 부족한 단백 질을 보충해 주고 여름철 입

맛 살리는 호박잎쌈이 금세 완성된다.

먹는 자체만으로도 건강해질 것 같은, 초록의 에너지 그 자

체인 여름 음식, 호박잎이 우

리 집 식탁에 올랐다. 켜켜이

쌓아 갓 쪄낸 호박잎을 널따

란 그릇 위에 올려놓고 입맛

대로 싸 먹어도 좋고, 음식으

로 좀 멋을 내고 싶은 날에

는 호박잎에 밥을 넣고 예쁘

게 돌돌 말아 선물처럼 싸놓

으면 우아한 한 끼 식사로 손 색없다.

호박잎쌈밥은 거부할 수 없 는 우리 집 여름철 별미이다.

막바지를 향해 가는 여름, 제 철음식으로 우리 가족 모두가 건강해지길 바라며 오늘도 음 식에 사랑을 담았다.

뭐니뭐니 해도 집에서 만든 쌈장이 최고! - 애호박 1/4개 - 양파 1/5개 - 두부 1/2모 - 된장 3큰술 - 물 3큰술 - 식용유 1큰술 ❶ 식용유를 두르고 애 호박, 양파, 두부를 다 져서 폭~폭 볶는다.

투명하게

그래도 살아가야 하는 이유

얼마 전 친구에게서 전화가 왔다. 집에서 간호하던 동생

을 호스피스 병동에 입원시

키고 나오는 길이란다. 입원

시키고 나면 홀가분해질 거라

생각하고 근처에 사는 나에게

커피나 한 잔 하자고 전화를

했다는 말을 채 끝내지도 못 한 채 흐느끼며 울었다.

거동도 하지 못하고 대소변 도 받아냈던 터라 더는 집에

서 케어할 수 없어서 결정한 일이라고 했다. 나는 아주 잘

했다며 이제 니가 할 수 있는

방법이 없다고 위로 아닌 위 로를 했다. 동생을 위해서도

그게 맞는 일이라고 생각하면 서도 자기가 동생을 놓아버렸 다는 죄책감에 그렇게 한참을

울었다.

골드코스트 유니마트

오는

전화는 이상하게 등골이 서늘 해진다. 평소엔 그 시간대에 절대 전화하지 않는 사람이라

면 더욱더 그렇다.

오전 7시. 한참 아이들 깨우

고 아침 준비하느라 분주하

던 차에 울리는 친구의 전화

는 올 것이 왔구나를 짐작하

게 했다. 좀 전에 동생이 이제

돌아올 수 없는 곳으로 갔다

는 것만 알아들을 수 있을 정

도로 울기만 하는 친구에게

일단 정신 차리라고 다독였

다. 사람이 죽는 건 너무나 슬

픈 일이지만 남겨진 이들에겐

또 해야 하는 일들이 있다. 장

례식장도 정해야 할테고, 조

카들 학교에 연락도 해야 한

다. 주변인들에게 부고도 보

내야 하고, 슬프지만 마냥 슬

퍼만 할 수도 없다. 3일 전, 엄

마를 떠나보낸 친구의 제부는

더 정신이 없을 거다. 연이어

엄마와 와이프를 보내고 일주

일 내내 상복을 입어야 하는...

까지 간 적도 여러 번이다. 동

생의 아이 2명에 친구 아이 2

명.. 애 넷을 건사하면서 간

호까지 하는 건 보통일이 아

니었을 텐데도 힘든 내색 한

번 안 했었다. 우리에게도 괜

찮다 좋아졌다. 걱정할까 봐

더 이상의 말은 아꼈던 친구

다. 그런 동생을 떠나보냈으

니 어떤 기분일까 도무지 상

상도 아니 가늠조차도 할 수 가 없었다.

"에효.. ㅇㅇ덕분에 우리가 다 모이네.. 고마워해야겠다. 언

니들 이래라도 만나라고 말 이야"

"그러게 말이다"

서울에 사는 친구, 그리고 일

때문에 도통 시간이 안 났던

친구들까지 멤버 5인은 그렇 게 2년 만에 장례식장에서 만

났다. 중학교 때부터 친구들

이다 보니 오랜만에 만나도

전혀 어색할 일이 없다.

"곗돈 갚은 게 증세가 좋아져

서 그랬던 게 아니었나?"

"반이라도 갚아야 **이가 편

하게 갈 수 있을 거 같아서 그

렇게 했다"

"안 갚아도 된다니까... 혼자

끙끙거렸드나 아이고 답답

아.."

우리 5명은 20살 때부터 매달

2만 원씩 돈을 모았다. 결혼할

때 축의금으로 300만 원씩 풀

었고, 1년 아니 2년에 한 번씩

만나다 보니 만나면 좋은 곳에 가서 플렉스도 하고, 그럼에도

천만 원 넘는 돈이 모여있어서 만장일치로 친구 동생의 병원

비에 보태라고 보내주었는데

6개월 만에 반을 갚은 거다. 어 릴 때부터 본 내 동생이나 마

찬가지인 아이에게 각자 사는

게 빡빡해서 더 못해주는 게

아쉬울 뿐이었다. 이렇게 빨리 갈 줄 알았다면 생전에 얼굴이 나 한 번 보는 건데 늘 후회만 가득한 인생이다.

울다가 웃다가 장례식장에 서 우린 그렇게 오랜만에 만

도 몰랐다. 저녁때가 되니 문 상객들이 몰려온다. 친구에게 도 조용히 동생과 작별할 시 간이 필요할 듯해서 그제야 자리에서 일어났다. 한 사람 이 영원한 안녕을 고하는 자 리에서 우린 다시 만날 것을 약속하고 헤어졌다.

게 그래도 웃음을 주는 친구 들이 있어서 다행이라고

살아야 하지

나이에 병마에 지쳐 떠나갔 지만 그 죽음이 헛되지 않도 록 친구 본인의 삶도 소중하 게 생각해 주었으면 좋겠다. 그 덕분에 나도 조금 더 세상 을 아니 내 주변을 돌아보고 하루하루에 의미를 주면서 살 아가야겠다는 새로운 다짐을 하면서 얼마 전 힘들다고 바 닥까지 우울해했던 나 자신이 한없이 부끄러워졌다. 이 또 한 시간이 지나면 희미해지고 또 다른 부정적인 것들이 내 머릿속을 헤집고 다니겠지만 적어도 지금 현재는 건강함에 감사하고

이 무슨 기구한 운명인지. 친

구라도 정신을 차려야 되는

상황이다.

동생의 병명은 뇌종양이었다.

3번째 재발은 방법이 없었나

보다. 이미 작년 12월에 병원

에서도 더 이상 해줄 수 있는

게 없다며 6개월 시한부 판정

을 내렸다고 한다. 그런 동생

을 집에 데려와 아침부터 저

녁까지 간호했다. 중간중간

응급실을 몇 번을 갔으며 엠

뷸런스를 타고 부산에서 서울

나서 회포를 풀었다. 4시간 넘

게 누구 하나 화장실 한 번 가 지 않고 그동안 못다 한 이야 기들을 하느라 시간 가는 줄

올 한 해 동안 기관지염으로

인한 기침치료를 위해 많은

분량의 항생제를 먹게 되었

다. 그 후유증으로 소화 장애

가 생겼고 음식의 맛조차 쓰

게 느껴져서 한동안 제대로

식사를 할 수가 없었다. 옛날

부터 어른들이 충고하던 “사

콩나물 단상

람은 밥심으로 산다. 나이가

만들어 주셨다. 그 중에서도 콩나물무침이나 콩나물국, 콩 나물 장조림을 좋아해서 자주 밥상에 올려졌다.

아삭아삭하게 잘 삶은 콩나물 에 참기름 몇 방울을 떨구고

약간의 고춧가루와 깨를 넣는 다. 엄마의 손맛으로 조물조 물 무친 콩나물무침에 갓 구

운 조기나 가자미 살을 같이

먹었던 기억이 새록새록 솟

아난다. 요즘은 옛날에 먹었

던 음식이 자주 그리워지니

들수록 식사를 잘해야 건강하

고 병이 나지 않는다.” 는 불변

의 진리를 요즘에 와서야 실

감하고 산다. 소화제를 상비

약으로 준비해 놓고 가려먹는

음식의 종류도 점차 늘어난

다. 소화도 잘되고 입맛에 맞

는 양념을 할 수 있는 반찬을

찾다 보니 콩나물이 우선으로 떠오른다.

어린 시절부터 고기보다는 나 물이나 생선을 즐겨 먹는 편

이어서 엄마는 막내딸을 위해 서 다양한 나물 반찬을 곧잘

나이가 들었다는 증거인가보

다. 오늘 저녁에는 약으로 얼

룩진 나의 위장을 콩나물무침

과 시원한 콩나물 순두붓국으

로 달래 봐야겠다.

콩나물이라고 하면 일반 서민

들의 밥상에 흔히 오르는 밥

반찬인데 무심코 먹으면서 영

양분이나 그에 얽힌 이야기들

을 생각해 본 적이 없었다. 콩

나물에 어떤 영양분이 들었는

지 궁금해서 인터넷에서 찾아 보니 완벽한 건강식품이라는 결론이 나온다.

콩나물무침 두 접시(약 400g)

면 어른이 하루에 필요한 비

타민 C를 충당할 수 있는데 바

나물을 팔던 여자였다. 화제 가 되었던 배경에는 27세라 는 젊은 나이도 있지만, 그 당 시로서는 획기적인 해외 유학 파로서 경제학사 학위를 받 은 조선 최고의 지식인 여성 이었다. 이화학당을 졸업하 고 중국 회문학교에서 수학 하고 1926년 유럽으로 유학 을 갔었다.

그러니 대학을

로 콩이 만들어내는 ‘발아’ 때

문이라고 한다. 그 외에도 B1, 칼륨, 미네랄, 칼슘, 식이섬유

등이 들어있어서 다이어트에

유용하고 특히 임산부에게 도

움이 되는 성분들이 들어있다

동아일보 1926년 7월 23일 자 기사로 이 여성은 이미 소

개된 적이 있었다. 22세의 최

영숙 씨가 하얼빈에서 유럽

아시아 연결 기차를 타고 동

고 한다. 싼 가격에 다양한 요

리도 가능하니 콩나물 예찬론

이 나올 만도 하다. 세계화 시

대에 영양가 풍부한 콩나물

비빔밥과 해장국을 현지인의

입맛에 맞게 개발해서 한식의

세계화에 한 몫을 보태도 좋

지 않을까 싶다.

콩나물과 연관되어서 근대

한국 엘리트 여성에 얽힌 슬

양인 최초로 스웨덴 스톡홀름 대학으로 유학을 갔다는 기사

였다. 유학의 이유는 비록 여 성이지만 조국을 위해서 몸

과 마음을 다 바쳐 일하고 싶

다는 의지를 품고 그 먼 나라 로 공부를 하러 갔다고 밝혔

다. 몇 년 후에 스톡홀름대학

에서 정치 경제사 학위를 받

고 조선 최초의 여성 경제학

사가 되어서 금의환향했다고

자 신의 능력을 펼칠 수 없는 시 대에 살다간 불운한 여성이었 다. 1932년 5월호 ‘삼천리’ 잡 지에 그녀에 관한 기사가 이 렇게 실렸다. “배추, 미나리, 감자, 콩나물을 만지는 것이 당시의 스톡홀름대학 경제 학사 최영숙 양의 일상직업 이 되었답니다.” 힘든 생활 을 하면서 건강이 나빠진 그 녀는 한국에 돌아온 지 5개월 후인 1932년 4월 23일에 세 상을 떠났다고 전해진다. 참 으로 안타까운 사연이 아닐 수 없다.

픈 기사를 읽었다. 1930년대

면 한국이 일본의 통치 아래

에 있어서 한국인들은 정치

적으로나 사회적, 경제적으

로 큰 차별을 받았다. 특히 여

성들은 잘못된 유교 사상으로

인해서 남녀차별과 신분제도

의 영향으로 더욱 힘든 생활

을 견뎌내야만 했다.

그런 시대에 한국사회를 놀라

게 만든 한 여성의 부고 기사

가 1932년 4월 24일 동아일

보 신문에 실렸다. ‘최영숙 씨

지난 23일 자택에서 별세’라

는 짧은 기사였다. 그녀는 서

대문 밖의 작은 가게에서 콩

한국 언론들은 대대적으로 보

도했다고 한다. 그러나 조선

의 현실은 그녀가 유럽에서 공부했던 경제학을 실천할 수

있는 사회 여건이 되지 못했

다. 집에 돌아오니 가정 형편

이 어려워서 생계를 해결해야

하는 문제가 급선무여서 그녀

는 서대문 밖 교문동에 점포 를 얻어서 콩나물 장사를 하 게 되었다.

1920년대는 세계 공항으로 인해서 경제가 몹시 어려운 시기였으며 조선은 특히 일본 의 강점기 시대였으니 조선인 에 대한 차별은 더욱 심했다.

이 기사를 읽으면서 뛰어난 능력의 한 여성이 시대를 잘 못 만나서 허망하게 사라진 사실이 참으로

'요즘 똑똑한 사람들이 하나

같이 모여서 하는 일은, 1분 1

초라도 더 대중의 눈을 잡아

두는 것'이라는 말을 들었는

데, 이 말인즉슨 (자칭, 타칭)

똑똑한 사람들은 하나같이

다 유튜브를 한다는 뜻이었

다. 그리고 유튜브를 하며 어

떻게 하면 1초라도 더 보게 만

들까를 연구하며 그런 콘텐츠

를 만들어낸단 것이었고.

아이를 키우고 있다보니 자연

스레 육아 콘텐츠에 눈이 간

다. 본격적으로 유튜브에 '구

독'버튼을 누르기 시작한 것

도 임신을 하면서부터였다.

친구들 중 가까이에 남은 이

들은 하나같이 미혼, 비혼이 었다. 결혼하고 애 낳은 친구

들은 이적지 연락이 끊긴 참.

형제들 중 아이를 가진 건 내

가 처음인데다, 엄마는 임신

에 대한 정보를 기억하시기엔 너무 나이가 드셨던지라 내가

어떻게 변화하고 뱃속 아이

는 어떻게 자라며, 그래서 나

는 무엇을 준비하고 뭘 먹어

야 하는지 하나도 몰랐던 나

는 검색에 검색 끝에 유튜브

에 도달했다.

아이를 잘 키운다는 건, 명문대를 보내는 걸까

by bbulddae / 브런치

나네

이미 유튜브에는 임신, 출산, 육아에 대한 콘텐츠가 차고 넘쳤었다. 구독을 하고 알림 까지 설정하며 출산을 대비 했다. 결과적으로 출산까지는 많은 도움을 받았지만 육아

단계에 접어들며 나는 다시

유튜브에서 멀어졌다. 내 아

이는 유튜브에서 알려주는대

로 울지 않았고, 자지 않았고,

먹지 않았다. 그저 다 때려치

고 아이만 보았다. 어떤 아이

인지, 어떻게 재우고 어떻게

달래고 어떤 걸 먹여야할지

를 아이가 알려줄 거라 믿었

다. 신기하게도 말 못하는 아

이를 1년 넘게 키우다 보니 저

절로 알 수 있었다. 우리 아이

는 이런 아이구나- 엄마이기

에, 부모이기에 저절로 깨달

을 수 있는 '노하우'였다.

그럼에도 어쩌다 마주친, 눈

이 가는 콘텐츠는 여전히 육

아다. 그리고 요즘 영상들은

어찌나 제목을 잘 뽑는지, 그

냥 지나칠 수 없는 것들이 대

부분이다. '아이 잘 키우는 방

법'이라는 1차원적 접근이 아

니라, '아이를 잘 키운 부모는

이 말을 절대 하지 않는다'라

거나, '아직도 모르세요? 영재

들의 공통점' 같은 제목들 말

이다. 아이를 영재로 키울 욕

심이 없음에도 호기심에 못이 겨 클릭할 수 밖에 없는 기가 막힌 제목들이다.

그러다 언제부턴가 '성공한

육아'를 가르쳐주겠다는 콘 텐츠에서 의문이 들었다. 아 이를 '잘' 키웠다는 건 무엇일 까. 기준이 있을까. 기준은 누 가, 어떤 '기준'으로 정한 걸 까. 궁극적인 의문을 제기한

이유는 '성공적인 육아'를 했 다며 인터뷰에 나선 엄마의 기준이 아이를 명문대에 보낸 것이라는 점 때문이었다.

아이 둘을 서울대, 카이스트 에 보낸 엄마. 아이를 과학고 등학교에 진학시킨 엄마의 교육법, 뭐 등등등. 내로라하 는 고등교육기관 이름이 즐 비하다.

이, 무엇보다 자신의 가족과 친구, 선생님을 사랑할 줄 알 고 그 사랑을 무람없이 표현 할 줄 아는 아이.

나는 내 아이가 그런 아이가 되었으면 좋겠다. 아이가 커 서 학교에 들어가고 입시에 돌입하면 나 또한 다른 엄마 들처럼 성적으로 아이를 쥐잡 듯 잡을지도 모른다. 그럴 가 능성이 사실은 농후하다. 그 러나 지금으로선 다만, 아이 의 내면을 잘 키워 지금의 나 처럼 쉽게 상처받지 않고 남 에게 휘둘리지 않았으면 하는 바람이 1순위다. 그런 아이로 키우는 방법을 어떻게 알 수 있을까. 누가 알려줄까. 조회 수나 좋아요 숫자를 끌어올리 는 게 목적이 아닌,

곗돈이

남았다

11명이 있는 단톡방에 소속

되어 있다. 돈을 쥐고 있는

총무님의 카톡은 때마다 어

김없이 습격한다. "날 잡아

서 볼까요. 답글 달리는 걸

보고 추진하겠습니다." 이

단톡방 구성원은 나에게 개

인적 친분이 있는 사람 네댓

명이고 안 보고 싶은 사람 한

명이 있고 보면 반갑고 안 봐

도 그만인 사람이 네댓 명인

그룹이다.

총무의 알림 카톡을 본 순간

몇 명이 카톡을 읽었는지 재

빠르게 확인했다. 11명 중

에 나를 포함한 7명이 읽었

고 안 읽은 사람이 3명이다.

눈치 게임이 시작된다. 읽은

사람이 누구인지 안 읽은 사

람은 누구인지 알려주는 기

능은 왜 안생긴단 말인가. 늘

그랬듯 답글을 먼저 달 생각

은 전혀 없고 누가 먼저 뭐라

고 답을 다는지 지켜보는 쪽

을 선택한다.

모임에 참석할 마음은 반반이다

답을 달지 않는 이유를 굳

이 말해보자면, 모임에 참석

할지 말 지 마음이 확고하지

않기 때문이라고 말할 수 있 겠다. 가도 그만 안 가도 그 만인 만남. 게다가 내 일정이 그 기간에 미정이다. 가겠다 고 한 날짜에 가족계획이 생

길 수 있어서 뭐라고 답하기 가 애매하다. 그러나 사실 더 중요한 것은 그날 모임에 참

석하는 구성원이 누구냐에

내향인의 단톡방

따라서 나의 참석 여부가 결

정된다. 내 답글은 달지 못했 다. 분위기를 봐야 하기 때문

이고 누가 참석하는지 봐야 하기 때문이고 내가 보고 싶

은 그 사람도 가는지를 확인 해야 하기 때문이다. 총체적 분위기를 보고 답글을 달고

싶다. 분명 나와 같이 생각

하는 사람이 몇 명 더 있어

서 대부분 쉽게 답글을 달지

않는다. 내가 섣불리 일정을

말했다가 그 일정으로 정해

지는 책임을 지고 싶지 않은 것도 있다.

투표 게시판마저도

눈치 작전

가지 각색의 일정에 대한 답 변이 올라와서 총무가 투표

게시판을 만들었다. 투표도

안녕하세요?

소신껏 올리는 이가 있고 대

다수가 찍는 표를 함께 선택

하는 부류가 있다. 투표는 누

가 했는지 확인이 가능하므

로 끝까지 안하고 있을 순 없

다. 다 달리는데 나만 안 하

고 싶지는 않으니까. 적당히 치고 빠져야 한다.

시간이 흐르면서 끝까지 안

읽은 숫자 1의 멤버가 누구

일지 추측하는 것도 잊지 않

는다. 10명 평소 스타일을

알기 때문에 투표를 한 인원

을 제한 남은 사람 중에 평

소 성격을 대입해 보면서 예

측해 본다. 읽고도 답을 하지

않는 나같은 부류 속에서 눈

치를 보느라 답을 안하는건

지 정말 답할 시간이 없는지 단톡에는 답을 하지 않았지 만 총무 개인톡으로 이미 연

락을 했을 수도 있는 상황을 다 예측하느라 시간가는 줄 모른다. 그러는 사이 누군가 답글을 달았다. 재빨리 들어 가 보니 1이 사라졌다. 역시 나 그녀였다. 그녀는 읽으면

by 티칭 프로 원성욱 (0402 598 961)

골프가 재미있는 이유를 든다면 어떤것이

있을까요? 물론 각자의 다른 이야기가 있

을거라 생각합니다. 제가 몇가지 보기를 들

어 보겠습니다. 첫번째, 누구나 할 수는 있

지만 현실은 누구나 하지 못하는 것이 나

를 특별한 사람으로 느껴지게 한다. 두번

째, 드넓은 자연속에서 편한 사람들과 공을

치며 이야기하며 걷는 것이 좋다. 세번째는

불가능한 것처럼 보이는 일들이 나의 생각

대로 풀어져 나가는 것이 짜릿하다. 네번

째는 될듯 안되며 포기하듯 욕심을 버리고

가면 잘되는 예상할 수 없는 전개가 흥미

롭다. 다섯번째로는 그냥 남들보다 좋은 클

럽과 멋진 복장으로 폼나는 사진 찍는 것

이 신난다. 마지막으로는 스윙 동작에 담

겨 있는 오묘한 스윙 법칙을 하나씩 알아

갈 때 재미를 느낀다.

여러분은 어떤것에 동감이 되나요? 저는

모두 다 입니다. 그 중 네번째 이유가 가장

큰 이유죠. 레슨을 하기 위해서 스윙 테크 닉을 다시 보고 또 보며 연구할 때, 어떤 때

는 ‘골프가 이렇게 복잡하고 어려운 것인 가?’ 하는 생각이 들다가도 세상에서 제일 원 프로와 나누는 골프이야기

단순해 보이기도 하는 골프가 매력이 있습 니다. 내가 클럽을 똑바로 가져간다고 확 신이 있었지만, 실제로는 궤도를 한참 벗 어난 경우도 있고, 전혀 생각해본 적 없는 동작을 함으로써 공이 원하는 곳으로 가기 도 합니다. 물론 내 생각과 스윙이 일치해 서 결과 또한 원하는 대로 되면 나 자신에 게 칭찬을 하기도 하죠. 많은 골퍼들이 이 런 경험들을 했을거라 생각합니다. 구력이 오래 될수록 스윙을 단순하게 생 각하고 쉽게 하는 이유가 여기

하면

자신을 보면서 할 수 없기때문에 내 생 각 내 의지를 밀어부치는

마카오가 마카오인 이유

마카오는 언제부터 ‘마카오’라 불렸을까. 마

카오의 한자 표기는 ‘오문(澳門)’이다. 직역

하면 항구의 문. 마카오는 중국 남부의 주요

도시를 모두 거쳐 흐르는 ‘주강(珠江)’의 하 구에 위치한다. 이러한 지리적 강점으로 과 거부터 무역의 관문의 역할을 도맡으며 붙 게 된 이름이다.

16세기 중반, 마카오는 포르투갈의 통치를 받기 시작했다. 공식적으로 1557년부터 포 르투갈인들이 마카오에 유입되기 시작했다. 당시 그들은 도교 사원이었던 ‘마쭈거(媽祖 閣, 마조각)’ 근처에서 주로 정착을 시작했는 데 한 포르투갈인이 마카오 원주민에게 이

곳의 지명을 물으니, 원주민은 사원의 이름

을 묻는 것으로 착각해 ‘마쭈거’라고 답했다.

엎친 데 덮친 격으로 이를 잘못 알아들은 포

르투갈인들이 이 지역을 두고 ‘마카오’라고

부르기 시작한 것이 지금 이름의 유래다. 현

지에서는 ‘마쭈거’를 ‘마꼭’이라 발음하니 충

분히 납득할 수 있는 이야기다. ‘마쭈거’는

마카오에서 현존하는 가장 오래된 건축물, ‘아마사원(Ama Temple)’이다. 이 사원에서

는 항해의 여신인 ‘아마’를 모신다. ‘아마’는

뱃사람의 항해를 지켜 주는 바다의 수호신, ‘ 틴 하우(Tin Hau)’를 뜻한다.

마카오는 자그마치 442년간 포르투갈의 통

치를 받았다. 이 기간 동안 마카오는 금, 은, 도자기, 아편 등의 중개 무역과 기독교 포

교의 기지로서 빠른 번영을 이룩했다. 그뿐

만 아니라 중국과 포르투갈이 가치를 교환

하는 전략적 위치에 자리하고 있었기 때문

4개 지역에 담긴 이야기

에 문화, 예술, 건축, 미식 등 다양한 분야에 서 마카오만의 독자적인 문화를 구축하기 시작했다.

그래서 현재의 마카오는 유일하다. 동양과

서양의 문화가 적절히 혼재된 마카오만의 독자적인 매력을, ‘마카오 같다’라고 표현할

수밖에 없는 이유다. 마카오는 마카오다. 어

느 단어로도 비유할 수 없다.

Cotai Strip

태생이 꿈인 땅, 코타이

마카오는 크게 4개의 지역으로 나뉜다. 마카

오 반도, 타이파, 콜로안 그리고 코타이. 코타

이는 4개의 지역 중 가장 화려하고 럭셔리하

다. 코타이 여행의 콘셉트는 확실하다. ‘일상 과 완전한 이별’. 코타이에 머물다 보면 소비 에 대한 두려움이 점차 옅어지게 된다.

코타이 스트립(The Cotai Strip)을 중심으로

런더너 마카오(The Londoner Macao), 세 인트 레지스 마카오(The St. Regis Macao), 포시즌스 호텔 마카오(Four Seasons Hotel Macao), 리츠칼튼(Ritz Carlton), 래플스 (Raffles) 등 여행자들이 꿈꾸는 세계 유수

의 호텔 브랜드가 가득 몰려 있다. 여기서

끝이 아니다. 연중무휴로 운영되는 워터파 크와 쇼핑몰, 관람차, 레스토랑과 바 등 사

람이라면 당연히 갈망할 만한 모든 여행의 요소를 지니고 있다. 그래서 실제로 마카오

를 여행하는 이들 중, 아무 곳도 들르지 않 고 오로지 코타이에서 머물다 돌아가는 이 들도 상당수다.

by 트래비 매거진 / 브런치

파리와 이탈리아, 런던, 라스베이거스 등 각 국의 랜드마크와 분위기를 담은 건축물과 쇼핑몰만 돌아다녀도 일주일이 부족하다. 제일 중요한 걸 빼먹었다. 날씨의 영향을 받 지 않는다. 코타이에 있는 대부분의 쇼핑몰 들은 거의 지하도로 연결되어 있다. 만약 밖 을 걸어야 한다면 기껏해야 10분 정도다. 이토록 화려함이 부각되는 코타이지만, 시 작부터 창대했던 것은 아니다. 코타이가 생 긴 지 20년이 채 되지 않았다. 1950년대까 지는 ‘타이파’와 ‘콜로안’ 사이의 바다였다. 마카오는 지역의 영토를 확장하기 위해 오 랜 시간 노력했으며, 그 결과 바다를 매립 하기로 결심한다. 타이파와 콜로안 사이의 바다를 간척해 만든 지역이 바로 ‘코타이’ 인 것이다. 코타이(Cotai)란 이름은 콜로안 (Coloane)의 코(Co), 타이파(Taipa)의 머리 글자를 딴 합성어다. 몇십 년 전에는 지도상 에 존재하지도 않았던 곳. 코타이는 태생이 꿈 같은 곳이다.

이후 ‘샌즈그룹’이 2007년 8월 베네시안 마 카오(The Venetian Macao)를 오픈하면서 코타이 스트립 부흥의 신호탄을 쐈다. 현재 샌즈그룹은 코타이에서 런더너 마카오, 파 리지앵 마카오, 베네시안 마카오, 콘래드 마 카오 등 굵직한 호텔과 쇼핑몰을 운영하고 있다. 이 밖에도 코타이에는 8개의 호텔과 쇼핑몰, 워터파크가 모여 있는 갤럭시 마카 오, 엔터테인먼트가 강점인 스튜디오 시티, 카지노로 유명한 MGM, 분수쇼와 케이블카 가 매력인 윈 팰리스 등 다양한 호텔들이 속 속히 들어섰다.

Peninsula de Macau

마카오의 심장, 마카오 반도

과거의 ‘마카오’는 사실 ‘마카오 반도’만을

칭한다. 2005년, 유네스코는 마카오 반도 내

에 있는 역사지구를 세계문화유산으로 지

정했다. 마카오 반도를 여행하기 전 꼭 알

아야 할 2가지가 있다. 첫 번째는 ‘칼사다 포

르투게사(Calcada Portuguesa)’다. 마카오

반도를 산책하다 보면 어디서든 바닥에 깔

린 물결무늬 타일 보도를 만날 수 있다.

‘칼사다 포르투게사’는 포르투갈식 도로포 장 기법이다. 물결무늬는 먼바다로 나서 새

로운 영토를 개척하고 부를 이루자는 과거

포르투갈 왕실의 의지를 나타낸다.

마카오의 칼사다 포르투게사를 잘 살펴보

면 바다와 항해를 상징하는 표식들이 곳곳

에 숨겨져 있다. 두 번째는 ‘아줄레주(Azulejo)’다. 아줄레주는 건물의 외벽 혹은 바닥을

장식하는 ‘도자기 타일’을 뜻한다. 포르투갈

아줄레주는 하얀 바탕에 청색 물감만을 사

용해 제작한다. 이러한 포르투갈 문화의 잔

재가 중국풍 골목과 어우러진 모습이 마카

오 반도의 매력이다.

세나도 광장부터 세인트 폴 성당 유적까지

는 매일마다 관광객이 붐빈다. 비교적 한산 한 산책을 원한다면 성 라자루 성당 지구를

거닐어 보는 것을 추천한다. 이곳은 관광지

화가 덜 됐을 뿐, 의미 없는 건물이 없다. 300

여 년도 더 된 포르투갈 식민지 시대를 거쳐

온 건물들이 좁은 길을 따라 열을 맞추고 있

다. 군데군데 보이는 중국 문자와 중국식 장

식들은 이질적이지만 생경치 않다. 흥미를

돋울 뿐이다. 마카오 반도는 거닐어야 이 오

래된 식민지 시대가 남긴 유산을 이해할 수

있다. 이야기로만은 절대 이해할 수 없는 것

이 그곳에서 머문다.

Coloane

마카오의 끄트머리, 콜로안

여행자는 크게 2가지 타입으로 나뉜다. 콜로

안을 좋아하는 사람과 싫어하는 사람. 전자

라면 분명 분 단위로 쪼개진 빡빡한 일정표

따윌 혐오하는 사람일 것이다. 주말이면 게

으름뱅이라는 낙인이 찍힌대도 개의치 않

고 늘어지게 낮잠을 자는 타입일 것이고. 늘

어지게 하품이나 하며 하릴없이 동네를 어 슬렁거리는 걸 즐길지도 모르겠다. 콜로안

은 자고로 그런 사람들을 위한 마을이다.

콜로안은 마카오 가장 남쪽에 위치한 작은 섬이다. 평화롭고 작디작은 어촌 마을. 1864 년 포르투갈이 콜로안섬을 점거하기 전까

지 이곳은 중국의 소금 농장이었다. 마카오

반도에서 버스를 타면 20분 남짓으로 도착 할 수 있다. 어디든 엎어지면 코가 닿을 거

리라 반나절 정도 계획하면 충분하다. 참고

로 콜로안은 영화 <도둑들>과 드라마 <궁> 의 촬영지이기도 하다. 유난히 동네에 여린 파스텔톤 색채가 감돈다. 하염없이 불어오 는 마카오의 바닷바람이 색을 바라게 만드 는 것인데, 이 여린 풍경이 또 사람 마음을 자극한다. 더 이상의 설명은 필요치 않은 곳 이다. 바다가 있고, 작은 동네가 있고, 골목 이 있다. 콜로안은 그게 전부라 좋은 곳이다.

콜로안의 시계는 코타이의 시계와 같은 시 간을 담지 않는다. 골목 어귀에 앉아 있는 어 르신의 부채질이 느긋해지는 걸 보고 저녁 을 예감하는 곳이다.

Taipa

세월이 고운 동네, 타이파

코타이에서 정확히 길을 하나 건넜을 뿐이 다. 화려한 불빛 너머 호젓한 마을로 이어지 는 길이 나왔다. 타이파다. 타이파는 본래 청 나라의 땅이었다. 1851년 포르투갈에 의해

점령당했다. 당시 포르투갈의 고위 공직자 들은 비교적 사람이 북적이는 마카오 반도 에서 벗어나 안식을 찾기 위한 별장지로 타 이파를 선택했다. 포르투갈풍 주택이 차곡차곡 쌓여 골목을 채웠다. 파스텔톤 색을 입은 주거지가 형성 된 것이다. 1999년, 포르투갈은 마카오에서 물러났지만 타이파 주민들의 일상은 변치 않았다. 벗겨진 페인트가 지극히 자연스럽 고 낡은 것에서 느껴지는 다정함이 그곳에 있었다. 집집마다 빨래를 널고 저녁 찬거리 를 사 들고 집으로 향하는 어머니와 하교 후 골목길에서 친구들과 뛰노는 아이들이 있 는 일상의 모습이다. 두어 시간만 거닐면 동 네를 전부 돌아볼 수 있다. 타이파의 중심에는 ‘쿤하 거리’가 있다. 포르 투갈의 탐험가 ‘트리스타오 다 쿤하(Trista’o da Cunha)’의 이름은 딴 100m 남짓의 먹자 골목이다. 1983년 마카오 최초로 보행 전용 도로로 지정된 곳이기도 하다. 이 주변으로 는 관광객이 매일 붐빈다. 마카오 기념품으 로 유명한 디저트, 육포, 에그롤, 아몬드 쿠 키 등을 판매하는 점포가 사방으로 들어서 있어서다. 지나온 세월이 동네 곳곳에 가득 묻어 있지만, 그게 너무 곱고 단아해 밉지 않 은 동네, 타이파.

글·사진 강화송 기자, 이성균 기자, 김민형 취재협조 마카오정부관광청

차 이 나

"즉각 환불 없고, 크레딧 사용 어렵게 해"

콴타스는 "이미 10억 달러 이상 환불" 반박

콴타스항공은 코로나-19사태로19 사태로 항공편이 취소된 고객에게 수백만 달러 의 환불 및 보상을 지급하라는 집단 소송에 휘말렸다.

법무법인 '에코 로'(Echo Law)는 콴타스항공이 여행 크레딧과 환불 옵션에 관해 고객을 오도했다며 이 국영항공사를 대상으로 연방법원에 소장을 월요일(21일) 에 제출했다.

지난 2020년 콴타스항공은 코로나-19로 인해 약 20억 달러의 항공편을 취소해야 했다. 에코 로는 콴타스항공이 항공편을 무더기로 취소했을 때 즉각적인 환불을 제공하지 않고, 염격한 조건을 내세워 크레딧을 사용하기 어렵게 만드는 방식으로 호주 소비자법을 위반했다는 혐의를 제기했다. 원고 측은 콴타스가 이자 및 차입 비용 감소를 포함해 환불을 보류하여 "상당한 재정적 이익"을 누렸다고 주장한다. 또한 고객들이 새로운 요금에 크레딧을 사용하려면 취소 전 예약했던 항공편 금액 보다 더 많은 금액을 항공사에 내야 했으며, 그렇게 하지 않으면 크레딧을 잃게 될 것이라는 압력을 항공사로부터 받았다는 사실을 증명하려 할 것이다. 에코 로 파트너인 앤드루 파울(Andrew Paull)은 "우리는 남은 모든 크레딧의 환불 과 함께 고객이 돈을 받지 못한 시간에 대한 보상을 요구한다"고 말했다.

2023년 6월 현재 이 항공사에는 4억 달러의 코로나-19 크레딧이 남아있다. 최근 에는 올해 말까지

qldkoreanlife.com.au qldkoreanlife

“ 광고주를 찾습니다.”

콴타스항공 대변인은 이 크레딧을 보유한 대부분의 고객이 환불 받을 수 있으며, 만료일을 세 차례나 연장하여 환불을 지원했다고 강조했다.

아울러 대변인은 팬데믹 기간에 250억 달러 이상의 매출 손실과 70억 달러의 법 정 손실이 발생했다면서 크레딧으로 재정적 이익을 얻었다는 반대편 주장을 부 인했다.

북부에서 미 군용기 추락,

해병대원 3명 사망

20명 부상자 중 5명 '위중' 호주 총리 "깊은 애도"

일요일(27일) 오전 호주 북부에서 다국적 군사 훈련 중이던 미군 항공기가 추락해 미 해병대원 3명이 사망했다. 이날 오전 9시 43분, 미 해병대 23명을 태운 미국 벨 보잉 V-22 오스프리 틸트로터 항공기는 군사 훈련 도중에 노던준주(NT) 다윈 북쪽 으로 80km 떨어진 멜빌섬(Melville Island)에 떨어졌다.

탑승했던 해병대원 3명이 숨졌고, 20명이 다쳤다. 부상자 중 5명은 위중한 상태 로 로열 다윈 병원에 이송된 것으로 알려졌다. 사고가 발생한 '프레데터스 런 (Predators Run)' 훈련은 호주가 주도하는 NT 최대 규모의 훈련이다. 이번 훈련에 는 미 해병대 500명, 필리핀군 120명, 인도네시아군 120명, 동티모르군 50명 등 약 2,500명의 병력이 참가했다.

앤소니 알바니지 총리와 리처드 말스 부총리는 이번 비극적인 일에 안타까움을 표 현하는 공동성명을 발표했다. 성명은 "목숨을 잃은 세 명의 미군 장병과 부상 당한

장병, 다른 대원들, 그리고 미군 전체에 깊은 애도를 표한다"고 밝혔다.

이어 "NT의 호주군 장병들은 미국 파트너들을 지원하고 있다"며 "이번 사고는 호

주군 장병과 우리 파트너 국가들의 군 장병이 수행하는 군무의 중요성을 다시금 상기한다"고 말했다. NT 최대 병원인 로열 다윈 병원은 긴급 코드 브라운(Code Brown) 경보를 발령했다. 이 경보는 호주 공립 병원에서 발동할 수 있는 최고 수준 의 비상 대응 조치다.

이번 비보에 나타냐 파일스(Natasha Fyles) NT 수석장관은 "NT 정부는 필요한 모 든 지원을 제공할 준비가 돼 있다"며 "우리는 관련된 모든 사람과 함께 하고 있다는

“테일러 스위프트, 스태프에

통 큰 보너스… 1인당 1억 원 이상”

얼마 전 이런 제목의 기사들

이 나의 SNS에 올라왔다. 세

계적인 팝스타 테일러 스위프

트(Taylor Swift)가 지난 3월

부터 미국에서 콘서트 투어를

진행 중인데, 자신의 콘서트

를 돕고 있는 스태프들 중 50

명의 화물트럭 운전기사들에

게 각기 10만 달러(우리 돈으

로 약 1억 3천만 원)를 특별 보

너스로 지급해서 화제가 되고

있다는 것이다. 트럭 운전사

에게뿐 아니라 공연에 참여한

모든 스태프에게 빠짐없이 보

너스를 지급했는데 총 5500

만 달러(약 715억 원)나 된다

고 했다. 게다가 공연이 열리

는 도시마다 지역 자선단체

에 거액의 기부까지 해서 가

는 곳마다 미담이 넘쳐난다.

테일러 스위프트는 내가 한

창 미국에서 일하던 2006년

에 혜성같이 등장했던 가수

다. 당시 16세의 어린 소녀였

던 테일러는 자신이 직접 작

사작곡한 노래를 부르는, 재

능이 뛰어난 싱어송라이터였

다. 하지만 무엇보다도 내 기

억에 강하게 남아 있는 그녀

의 인상은 보통 자기 또래의

아이들과는 다르게 시골 아재

들이 좋아할 만한 컨트리 뮤

직을 유쾌하게 잘 부르는 무

척 특이한 소녀의 모습이었

다. 주로 곱슬머리를 하고 카

우보이 신발을 신고 커다란

기타를 둘러매고 딩가딩가 노

래하는 소녀.

‘아니 우리 테일러가 도대체

어떤 공연을 하고 있길래, 그

리고 돈을 얼마나 벌었길래

이런 상여금을 지급한다는 거

지?’ 나는 갑자기 궁금해져서

관련 기사를 좀 더 찾아보았

다. 이번 공연의 이름은 The Eras Tour. 테일러 스위프

트가 처음 데뷔한 2006년부

터 지금까지 그녀가 십수 년

간 최정상에 있으면서 내놓

은 10개의 앨범들 중에서 최

고의 히트곡들을 골라, “시대 (era)” 순서대로 부르는 형식

의 공연이기 때문에 붙인 이

름인 모양이다.

기사에 따르면 지금까지 이

공연은 전무후무한 대 성공

을 거두었다고 한다. 전 세계

투어에 나서기 전 미국에서만

5개월에 걸쳐 53차례 공연을

했는데 이를 통해 무려 1조 원

이 넘는 수익을 올렸다고... 그

정도면 700억 원대의 특별보

너스는 충분히 줄 만 하다. 우

리 테일러 능력 있네!

그런데 놀라운 것은 이게 다

가 아니다. 일부 추산에 따르

면 그녀의 이번 콘서트가 미 국 경제에 가져다주는 영향은

무려 5조 원에 달할 것이라고

한다. 그도 그럴 것이 공연이

열리는 도시마다 수만 명의

팬들이 커다란 스타디움을 가

득가득 메우고, 가는 곳마다

해당 도시의 경제가 살아나

는 효과가 있어서 “스위프트

노믹스(Swfitnomics)”라는

신조어까지 생겨났다고 하니

말이다. 얼마나 많은 팬들이

몰려드는지 시애틀(Seattle)

에서는 공연 당시 인근의 지

진관측소에서 진도 2.3 규모

의 진동이 감지되기까지 했

다고 한다.

테일러 스위프트가 2008

년에 발표한 두 번째 앨범

‘Fearless’에는 ‘Love Story’

와 ‘You Belong With Me’라 는 엄청난 히트곡이 포함되어

있었다. 당시에 그 노래가 얼

마나 인기였는지 나는 어디를

가나 그 노래를 들을 수 있었

고, 그 때문에 이 두 노래는 자

연스럽게 나의 머릿속에 각인

이 되어 버렸다. 나의 플레이 리스트에 들어있는 몇 안 되 는 팝송 중에 이 두 곡이 포함 되어 있음은 말할 것도 없고, 최근에 딸아이와 노래방을 갔

을 때도 둘이서 같이 이 노래

를 열창하기도 했다.

나는 미국을 떠난 이후로는

딱히 테일러 스위프트의 노래

를 들을 일도 없었고, 굳이 찾

아서 들을 만큼 사생팬도 아

니었기에 그녀를 잊고 지냈

다. 그러다가 이번에 그녀와

관련된 기사들을 접하게 되

면서, 마치 오래전에 알았던

소녀의 소식을 오랜만에 들

은 것처럼 그녀가 그동안 어

떻게 살아왔는지가 궁금해

졌다. 그래서 테일러의 근황

에 대해 좀 더 알아보던 중 넷

플릭스에 그녀에 관한 다큐멘

터리 영화가 있다는 것을 알

게 되었다. Miss Americana.

‘옳다구나’하고 찾아서 주말

동안 시청했다. 내가 기억하

는 귀엽고 특이한 천재 소녀

는 이미 30대가 되어 있었다.

데뷔 이후 줄곧 정상의 자리

에 있었다고는 하나 지난 시

간이 마냥 평탄하고 행복했던

것만은 아니었다. 어이없는

논란과 사건에 여러 차례 휘

말리기도 했고 그때마다 무너

'삼촌팬'이

자랑스러운 이유

스위프트 (Taylor Swift)

져 내리기도 했었다. 하지만

주저앉아 포기해 버리는 것

이 아니라 다시 일어났다. 그

리고 일어날 때마다 더 성숙

하고, 더 멋지고, 더 강한 사람 이 되어갔다. 다큐를 다 보고

나자 그녀가 대견하다는 생각

이 들면서 마음 한편이 뭉클 해지기까지 했다. 그녀가 대

단하다고 느껴진 것은 단순

히 그녀의 재능 때문만은 아

니었다. 처음에는 컨트리 송

을 부르는 소녀였지만 그녀

는 자신의 장르를 스스로 좁

게 제한하지 않았다. 아티스 트로서 다양한 시도를 했고 다양한 장르에 도전하며 변

신을 거듭했다. 그리고 한 인

간으로서도 마찬가지였다. 그

녀는 나약하고 순응하는 ‘착 한 소녀’에서 점점 사회 문제

에도 자신의 소신을 당당하게

밝히고 그 결과에 대해 두려

워하지 않는 사람으로 변해 간 것이다. 아마 그녀의 팬들 은 테일러의 이런 모습들 때 문에 그녀를 더 좋아하는 것 이 아닐까?

월요일에 출근해서 임원들

과 함께 식사를 하다가 주말

에 있었던 일들을 이야기했 다. 내가 테일러 스위프트 이 야기를 꺼내면서 그녀의 콘서

트가 지금 미국에서 난리라는 이야기를 했더니 한 임원분이 “테일러 스위프트가 누구예 요?”라고 묻는다. ‘이런… 아 무리 연구 외에는

다른

께서 나에게 한마디 하신다. “대표님, 이제 보니 테일러 스 위프트의 삼촌팬이시군요?”

삼촌팬? 한 번도 그런 생각을 해 본 적이 없었다. 하지만 듣 고 보니 어쩌면 그럴지도 모 르겠다. 단지 그녀의 지금 모 습만을 좋아하는 것이 아니 라, 그녀의 데뷔시절 어린 모 습이 중첩되면서 그녀의 지 나온 과정까지가 다 좋은 것 을 보면. 특히, 끊임없이 도전 하고 변신해 가는 모습과 낙 담해도 자신을 추스리고 다 시 일어나는 모습, 그리고 자 신의 소신을 두려움없이 당당 하게 드러내는 모습... 이런 점 들은 나도 배우고 싶은 모습 들이다.

코리안라이프

첼시마켓의 랍스터

맨해튼에 있는 첼시 마켓에는

것을 바로 먹으니 한결 더 맛

좀 거둬주고 싶어서 보름 정

도 더 있다 가기로 했다. 하지

만 갓 입사한 아들은 쓸 수 있

는 휴가가 남지 않았다. 아들

이 출근하고 나면, 나 혼자 지

도를 보고 지하철 타고 다니

며 구경했다.

센트럴파크, 하이라인파크, 브라이언파크 등 유명한 공

원에서 산책하고, 푸드 트럭

에서 파는 길거리 음식도 먹

어 보았다. 지하철과 기차

를 여러 번 갈아타고 뉴저지

에 사는 친구를 만나러 가기

도 했다. 무엇보다도 아들에

게 아침밥을 챙겨 먹이고, 의

시마켓의 랍스터 두 마리와 게살 샌드위치가 들려 있었 다. 사 온 것을 주섬주섬 꺼내 식탁에 풀어놓으며 아들이 내 손을 잡아당겼다. “엄마가 너 무 잘 드시기에 한국으로 가

시기 전에 꼭 한 번 더 사드리 고 싶었어요.”

퇴근길에 집과는 반대 방향인

첼시마켓에 지하철을 타고 가

서 줄 서서 기다렸다가 사가

지고, 따끈할 때 먹게 하려고

막 뛰어온 모양이다. 아들의

얼굴이 상기되어 있었다. 미

처 생각지 못했던 깜짝 선물

에 처음엔 박수가 절로 나왔

충분히 맛있고 든든했다.

내 입에 아주 맛있기에 친정 엄마를 뵈러 갈 때 사들고 갔 다. 경부고속도로를 타고 올

라가다가 청원 IC로 빠져나 가서 미리 주문해 놓은 것을

찾았다. 행여 식을세라 담요 에 둘둘 말아 가지고 엄마가

계신 인천까지 단숨에 달려갔 다. 칠순의 엄마는 나보다도

내가 들고 간 음식을 더 반기 셨다. 특히 그 부드러운 식감 을 아주 좋아하셨다. 어린아

이처럼 두 손과 온 얼굴로 맛 있게 드셨다. 그런 엄마의 모

너 번밖에 더 사다 드리지

했다. 내 일상이 너무

자주 찾아뵙지 못했다. 그저 애틋한 마음뿐이었다.

그런데도, 일흔일곱 아쉬운 나이로 돌아가실 때까지 엄마 는 그 황토 오리 이야기를 하 고 또 하셨다. 따뜻할 때 잡수 시라고 고속도로를 미친 듯이 운전하고 온 딸의 정성을 무 척 고마워하셨다.

나도 오늘 아들이 사들고 온 첼시마켓의 랍스터 이야기를 두고두고 죽을 때까지 하게 될 것 같다. 첼시마켓

아기자기하게 꾸민 예쁜 가

게들이 많이 모여 있다. 그 중

엔 잡지에 소개된 유명한 집

도 꽤 있다. 주로 쿠키와 커피,

빵, 해산물 요리 등을 파는 점

포가 많은데, 어엿한 뉴욕의

관광 명소로 꼽힌다.

그곳의 여러 가게 중에서 가

장 내 눈길을 끈 것은 살아 있

는 랍스터를 통째로 쪄서 파

는 식당이었다. 랍스터의 크

기도 다양해서 어떤 것은 서

너 명이 나눠 먹어도 좋을 만

하게 아주 컸다. 너무 큰 것은

살이 딱딱하고 고무를 씹는

것처럼 질기다고 해서, 우리

는 혼자 먹기에 알맞은 1.5파

운드 정도 되는 것으로 세 마

리를 골랐다. 남편과 아들과

내가 각자 한 마리씩 차지하

고 먹기로 했다. 뉴욕에서의

첫 가족 외식이었다.

커다란 찜 솥에서 금방 쪄낸

있었다. 살이 연하고 단맛이

도는 것이 아주 별미였다. 거

기에다 게살 샌드위치와 시

원한 탄산음료를 곁들이니 더

바랄 것이 없었다. 워낙 해산

물을 좋아하는 데다 생선 가

시를 잘 발라 먹는 나는 내 몫

을 순식간에 깨끗이 다 먹었

다. 그리고는 남편과 아들이

대충 먹고 내놓은 대가리 속

에 든 육즙과 내장까지 남김

없이 싹싹 다 훑어 먹었다. 내

가 하도 맛있게 먹으니까 아

들이 신기한 듯 물끄러미 바

라보았다. “엄마, 그렇게 맛있

어요?”

유학 가서 공부를 무사히 마

치고, 뉴욕에서 직장을 잡은

아들이 어찌 사는지 보러 온

길이었다. 직장에 매인 남편

은 열흘 남짓 있다가 대전으

로 돌아갔다. 나는 겨우 시차

적응을 하자마자 가는 것도

아깝고, 혼자 자취하는 아들

젓하게 출근하는 모습을 지

켜보는 것이 가장 흐뭇하고

좋았다. 그렇게 보내는 시간

은 남편과 함께 있을 때보다

더 빨리 지나갔다. 내가 돌아

갈 날이 코앞에 다가왔다. 그

날은 집에서 부엌일을 하느

라 온종일 바빴는데, 아들이

모처럼 밖에서 저녁을 먹자

고 전화했다. 나는 단번에 싫

다고 거절했다. 엄마 밥을 한

끼라도 더 먹이고 싶은 마음

에 얼른 들어오라고 채근했

다. 마침 아들이 좋아하는 국

을 잔뜩 끓여서 나누어 얼리

고, 밑반찬도 몇 가지 해놓은

터라 저녁상을 차리기가 아주

수월했다.

퇴근 시간이 되자 아들에게

서 문자가 왔다. ‘음료수 좀 빨

리 시원해지게 냉동실에 넣

어 놓으세요.’ 아들은 보통 때

보다 많이 늦게 돌아왔다. 그

의 손에는 내가 좋아하는 첼

다, 그런데, 막상 먹으려니 첫

술에 울컥 목이 메었다. 일부

러 가서 사 갖고 달려온 그 성

의가 너무 고마워서 감격했

다. 매양 어린 막내인 줄만 알

았는데 어느새 철이 들었구

나. 한없이 대견하고 고마운

마음 끝에 환갑을 바라보는

내 나이가 씁쓸하게 얹힌다.

뜬금없이, 10년 전에 돌아가

신 친정엄마 생각이 난다. 충

북 청원에 유명한 ‘오리황토

구이’ 집이 있었다. 오리 뱃속

에다 여러 가지 곡식과 약재

를 채워 넣고, 헝겊으로 잘 싸

고 토분에 담아 가마에서 천

천히 구워내는 요리였다.

그렇게 구운 오리는 기름이

쫙 빠져서 담백하고 육질도

부드러워 씹기도 전에 그냥 술술 넘어갔다. 오리 뱃속에

다 채워 넣은 곡식은 찰진 오 곡밥이 되어 그것만 먹어도

습이 참으로 보기 좋아서, 앞 으로 친정에 올 때마다 사다 드려야겠다고 혼자 속으로 다 짐했었다.

가로 열쇠

1. 집회를 시작할 때 행하는 의식

3. 아무런 탈 없이 아주 오래 삶

5. 지구가 태양의 주위를 돈다는 설

7. 보완하여 더 좋게 고침

8. 먹을 것으로 씀

10. 희망이나 전망이 있음

11. 광물을 캐내는 곳 13. 특출한 아이 15. 물길 16. 좌담을 하는 모임

18. 미리 앞을 내다보고 아는 지혜

19. 담이나 벽의 표면

세로 열쇠

1. 태양이 달의 그림자에 완전히 가려 보이지 않는 현상

2. 국가로서의 주권을 상실한 나라

3. 언제나 녹지 아니하고 쌓여 있는 눈

4. 내린 눈의 양

6. 같이 길을 감

7. 명예나 위신을 아주 크게 망침

9. 쇠붙이를 뽑아내는 가마

12. 말하는 솜씨나 힘

14. 괴로움도 즐거움도 함께함

15. 물과 하늘이 맞닿아 경계를 이루는 선

16. 가르침으로 삼는 말이나 문구

17. 지나간 일을 생각하며 하는 이야기

스도쿠 SUDDOKU

김선생 수학

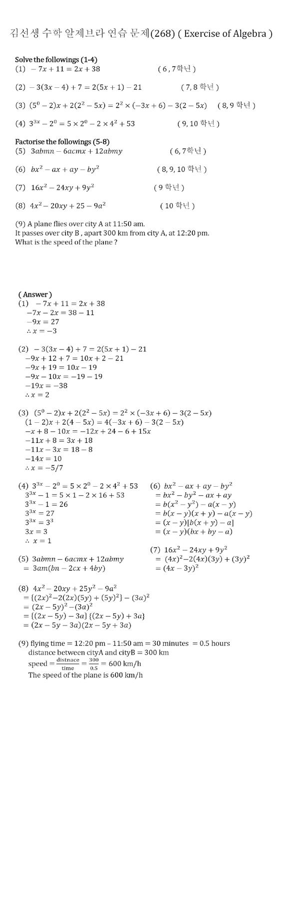
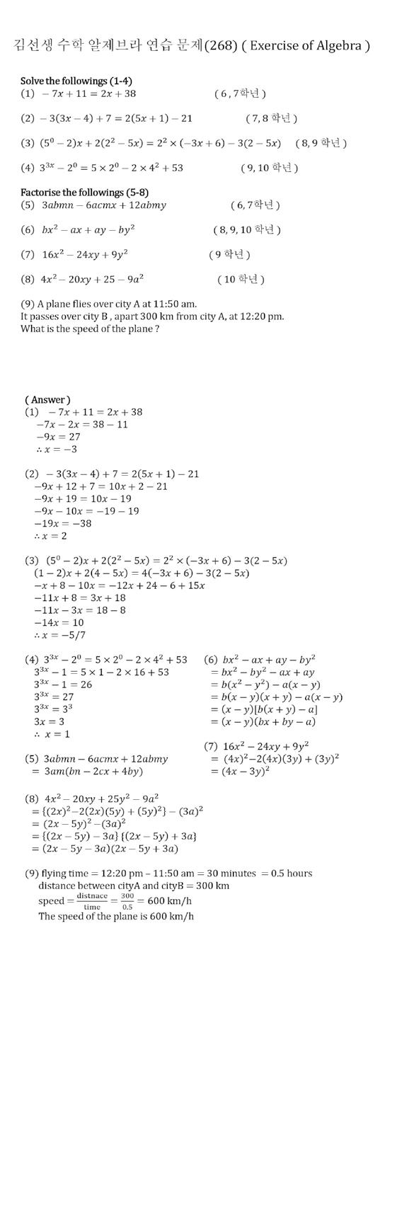
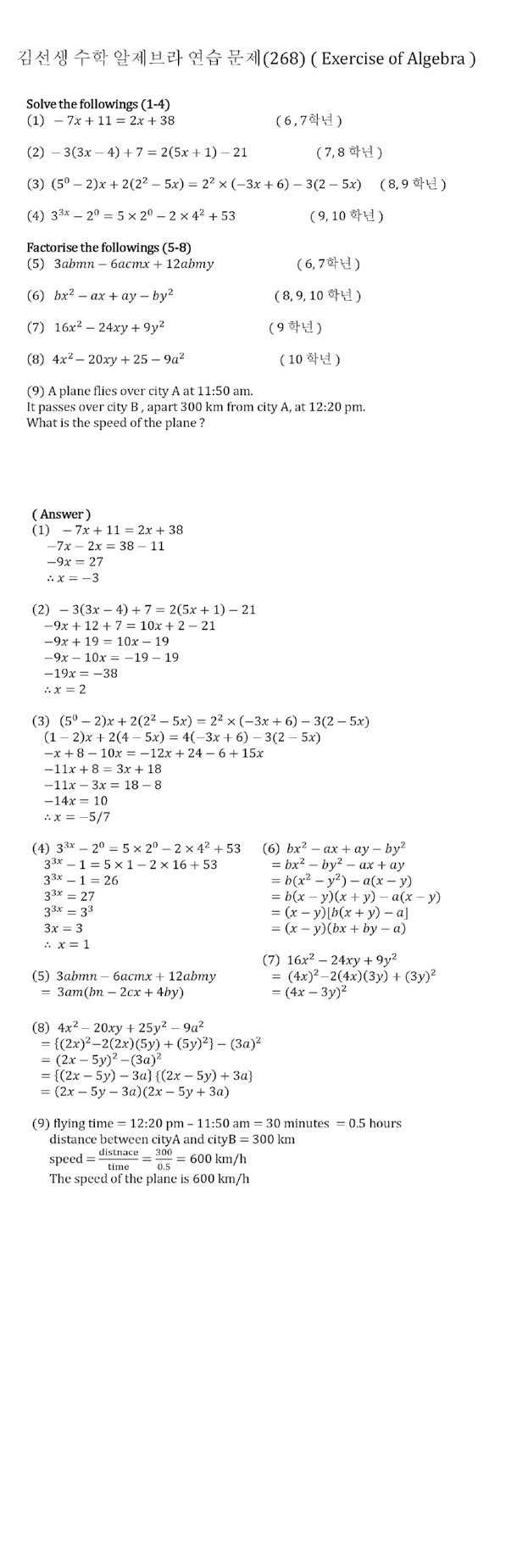
얼마전, 차에 사고가 나서 앞에 범퍼가 부서져 바

람에 덜렁거리고 운전석의 문은 열리지 않는 상태 였다. 차를 고치기 위해서 수리소에 맡기는 과정에

서 문이 열리지 않는다는 이야기를 지나가는 소리

로 정비소 직원에게 했다.

그런데, 그 말을 들은 직원이 친절하게도 문이 열

리도록 앞부분을 펴주고 부서진 상태에서도 차를

운전할 수 있게 테입을 단단하게 붙여주었다. 그

직원은 차가 얼마나 부서졌는 지를 점검하고 대략

수리 비용이 얼마나 들지에 대해서 견적을 내는 직

원이었기에 꼭 그렇게 문을 펴주고 범퍼에 예쁘게

테이프를 발라줄 의무는 없었다. 그렇지만 문이 안

열려 운전을 못하고 있는 나의 사정을 듣고는 스스

로 도움을 준 것이다. 그 직원의 친절을 베푸는 행

동을 보면서 감사한 마음이 들었다. 그래서 너무 감사하다고 표현을 하자 직원은 뿌듯해하며 기뻐 하는 표정을 보였다. 작은 친절로 서로의 마음이

따뜻해지는 경험이었다.

이렇게 작은 친절로 인해서 우리는 마음이 녹아지

기도 하고 마음이 상하기도 하는 존재들이다. 그래

서 그런지 일상에서 작은 친절을 베풀고 공감을 잘

하는 사람들이 결혼 생활을 성공적으로 잘 할 수

있는 확률이 크다고 한다. 무심코 내가 던 진 말이

누군가에게 상처가 되기도 하고 무심코 던진 눈 빛

에 누군가는 예민하게 반응하며 차가움을 느낄 수

있기에 일상의 친절은 그런점에서 성공적 결혼 생

활에 상당한 장점이 있다. 그렇다고 모든 사람을

사기 그릇 다루듯 조심스럽게만 다룰 순 없지만 일

상에서 만나는 사람들에게 작은 친절과 사랑을 전 하는 것은 우리가 할 수 있는 일이고 그것이 사람

들의 마음을 따뜻하게 만들기 때문에 살 맛이 나게

할 수 있다는 것이다.

몇 일전 스키 캠프를 간 딸이 그만 핸드폰을 잃

어버렸다. 첫 날에 핸드폰을 잃어버려서 제대로

놀지도 못하고 그것을 찾아 하얀 눈을 헤매고 다

닌 딸을 생각하니 왠지 마음이 짠하면서도 속상 한 마음이 있었다. 결국 집에 돌아오는 날까지 핸

드폰은 발견되지 못했고 밧데리가 없는 지 더 이

상 연락이 되질 않았다. 집으로 돌아온 딸은 다행

히 핸드폰을 잃어버렸지만 엄청 재미있게 놀았다

고 이야기를 해서 마음이 놓였다. 그런데 이틀 후

신기한 일이 일어났다. 어떤 한 사람이 핸드폰을

주워서 충전을 한 다음 전화가 오기를 기다리고

있었던 것이다. 멀리 살고 있는 사람인지 우편비

만 받고 전화기를 보내준다고 한다. 그 사람의 작

은 친절한 행동을 통해 그렇게 찾지 못하던 핸드

폰을 찾을 수 있게 된 것이다. 그 사람이 친절을

베풀지 않았다면 핸드폰을 거금을 주고 다시 구

입을 해야 하는 상황이었고 60시간을 아르바이트

를 해야하는 것이었다.

그런데, 신기하게도 이렇게 시간을 내어서 누군가

를 위해 친절을 베푸는 이타주의의 생각을 가지고

있는 사람들은 더 행복하다고 한다. 30년 동안 뉴

욕 외곽에 사는 아내와 엄마 427명을 대상으로 추

적 연구를 한 미국의 연구 결과는 일주일에 최소 1 회 이상 자원봉사를 한 여성일수록 자녀의 숫자, 직업, 교육, 사회적 지위를 비롯한 다양한 요인을

고려해도 수명이 길고 신체 기능이 더 뛰어난 것을 볼 수 있다고 한다. 또한, 어떤 한 연구에서는 참가

자들에게 소액의 돈을 주고 임의로 용도를 지정해 주었는데 그 돈을 타인을 위해 또는 자선 단체를

위해 쓴 사람은 그날 하루를 훨씬 더 기분 좋게 보

낼 수 있었다. 이 행복감은 돈의 크기에 달려 있지 않았다고 한다. 친절을 베푸는 것도 마찬가지다.

너무나 큰 친절과 장시간의 봉사가 아닌 작은 친절 과 봉사도 바로 행복지수에 영향을 주고 일회적인 자원봉사라도 즉시 행복에 영향을 끼칠 수 있다.

그런데, 친절을 베푸는 사람의 마음은 이기적일 수 도 있고 순수하게 이타적일 수도 있다. 예를들어 이타적 행동을 통해서 자신의 위신을 세우고 그것

으로 사회적 명성을 얻거나 지위를 올리기 위해 또 는 내가 타인보다 낫다고 하는 우월감을 느끼기 위 해 친절을 베푼다고 한다면 그것은 자신의 이익이 동기로 작용하는 것이다. 그에 비해서 순수하게 앞

에서 나오는 예처럼 타인에게 도움을 주고 이익을

주려는 동기에서 나오는 이타주의의 친절이 있을 수 있다. 이것은 겉으로 보면 모르는 것이지만 개 개인의 자신은 알 수 있는 부분이다. 자신의 내면

을 살펴보자 내가 하는 친절의 행동이 자기 중심적

인 이익을 위한 것에서 나온 것인지 아니면 타인 중심적인 이타주의에서 나온 것인지를 잘 구분하 고 이해해야만 진정한 친절과 그것으로 인한 행복 감을 경험할 수 있게 된다.

이기적인 마음에서 베푸는 친절은 그 다지 행복감 과 상관이 없다. 그것이 따뜻한 마음이나 베푸는 감정이 주는 마음의 만족감이 느껴지지 않기 때문 이다. 거기에는 나의 욕심과 나의 욕구를 충족시 키려는 마음에서 오는 위선의 마음조차 들어있기 에 순수하게 타인을 위해 베푸는 친절에서 경험할

수 있는 기쁨이 결여되어 있다. 그럼에도 불구하고 그 친절을 받은 누군가가 따뜻함을 경험하고 그 따 뜻함의 보답으로 감사나 기쁨을 표현할 때 그것이 이기적인 마음에서 베푸는 친절을 행한 사람의 마

음을 변화시킬 수 있는 힘이 있을 수 있다. 그 럴 때 그 경험은 이기적

인 사람의 마음을 바꾸 어 순수하게 타인을 위 해 베푸는 친절을 행할 수 있게 하는 동기가 될 수 있는 것이다. 한 실험에 의하면 공중 전화기에서 동전을 주웠거 나 우연히 아주 맛있는 쿠키를

박성훈 목사

골드코스트 지구촌교회

어떤 선택

당시 열 두 명의 정탐꾼 중 각

각 열 명과 두 명의 의견이 서

로 달랐는데, 백성들은 열 명

의 의견을 선택합니다.

하지만 그건 잘못된 선택이

었습니다. 하나님의 약속에

기초하지 않았기 때문입니

다. 만약 우리도 이들처럼 하

나님의 약속이 아닌 남들의

말이나 내 감정에 기초해 어

떤 선택을 한다면 우리는 무

슨 일을 겪게 될까요? 또한

민주주의는 “많으면 많을수

록 좋다.”가 적용된 정치 시 스템입니다. 한 명이라도 더

많은 사람이 지지하면 그걸

채택하는 방식으로, 인간이

만든 정치 시스템 중 가장 합

리적이라는 평가를 받습니 다. 하지만 그렇다고 해서 이

것이 늘 옳은 선택을 할 수 있

게 한다는 뜻은 아닙니다.

이와 관련된 이야기가 성경

에 있습니다. 바로 출애굽 때

이스라엘 민족이 어떤 선택

을 한 이야기입니다.

그러지 않기 위해 우리는 어

떻게 해야 할까요?

첫째로 우리는 현실에 압도당

하고 맙니다. 부정적인 생각

은 매우 쉽게 번집니다. “(민 14:1) 온 회중이 소리를 높여

부르짖으며 백성이 밤새도

록 통곡하였더라” 열 명의 정

탐꾼들로부터 시작된 부정

적인 생각은 지도자들에게

번졌고, 곧이어 200만에 이

르는 백성들에게 번졌습니

다. 이스라엘 진영은 순식간

에 소리지르고 울부짖는 사

람들로 가득했습니다. 우리

는 내 주변에 너무 쉽게 삶을

비관적으로 생각하고 부정

적인 말을 내뱉는 사람이 있 다면 조심해야 합니다. 너무

가까이 하면 나도 모르게 나

도 삶을 비관적으로 생각하

고 부정적인 말을 내뱉게 됩

니다. 하나님이 이걸 무척 싫

어하십니다. 눈 앞의 현실이

아무리 힘들고 어려워도 또

미래의 전망이 아무리 어두

워도 부정적인 말을 하지 않

기 바랍니다. 하나님의 인도

하심을 구하고 현실에 압도

당하지 않게 믿음을 발휘하

기 바랍니다.

둘째로 우리는 하나님 앞에

엎드려야 합니다. 혼란스러

운 상황에서 최고 지도자인

모세와 아론이 이렇게 합니

다. “(민 14:5) 모세와 아론이

이스라엘 자손의 온 회중 앞

에서 엎드린지라” 이건 하나 님께 기도했다는 뜻입니다.

힘든 현실에 가로 막힌 건 백

성들이나 이 두 사람이나 모 두 마찬가지입니다. 하지만 원망만 했던 백성들과 달리 이들은 기도합니다. 이 기도 를 하나님이 들으십니다. 백 성들은 하나님의 약속을 믿 지 않았습니다. 능력도 믿지 않았습니다. 그래서 두려움 에 휩싸였고 걱정하며 염려 하기 시작했습니다. 그럼 그 때부터라도 하나님 앞에 엎 드려 기도해야 했는데 그들

은 끝내 하지 않았습니다.

만약 그들이 기도했다면 분 명 많은 것이 달라졌을 것입 니다. 오늘 주님이 우리에게 기도하라고 하십니다. 특히

눈 앞이 막막해지는 상황에

서는 더욱 기도하라고 하십

니다. “(빌 4:6) 아무 것도 염 려하지 말고 다만 모든 일에 기도와 간구로, 너희 구할 것

을 감사함으로 하나님께 아

뢰라” 그렇습니다. 아무 것도

염려하지 말라고 기도하라 고 하십니다. 필요한 게 있으 면 감사한 마음으로 하나님 께 구하라고 하십니다.

이 사실을 믿고 기도하며 힘

든 현실의 높은 벽을 뛰어 넘 기 바랍니다.

셋째로 우리는 하나님이 기 뻐하시는 자가 되어야 합니

다. 그 두 명의 정탐꾼의 이름

은 여호수아와 갈렙입니다.

이들은 정탐한 땅에 대해 이 렇게 말합니다. “(민 14:7) 이 스라엘 자손의 온 회중에게

말하여 이르되 우리가 두루

다니며 정탐한 땅은 심히 아

름다운 땅이라” 이들이 이렇

게 말한 이유는 하나님의 약

속을 믿는 믿음으로 그 땅을

봤기 때문입니다. 하지만 나

머지 열 명의 정탐꾼은 똑같

은 땅을 보고도 정반대로 심

히 나쁜 땅이라고 말합니다.

이와 같은 상반된 태도가 오

늘 우리에게도 있습니다. 지

금 내 삶의 자리를 하나님이 약속하신 자리로 믿으면 그 자리가 심히 아름다워 보이 지만, 하나님을 믿지 못하면 정반대로 보입니다. 그래서 “여긴 이래서 안 되고 또 저

래서 안 돼. 여긴 이게 나쁘 고 또 저게 나빠. 여긴

땀 뻘뻘 전신 운동과 다이어트 요가

건강하고 날씬한 몸매를 유지하려면 꾸준한 유산소 운동과 근력 운동, 바른 자세와 부상, 통증 예방을 위한 스트레칭, 거기에 건강한 식습관과 생활습관 등이 함께 병행되어야 하는데요. 말처럼 이 모든 요소들을 조화롭게 밸런스를 유지하는 것이 결코 쉽지 않습니다. 특히 저녁에 식사를 빨리 끝내거나 소식하는 것이

건강한 다이어트에 좋은 것을 알고 있지만 때에 따라서 늦은 시각... 맛있고 칼로리 높은 음식의 유혹을 뿌리치기가 힘든 경우가 꽤 많은 것 같습니다. 그래서 오늘은 전날 과식이나 야식을 했거나 체중감량이 필요하신 분들을 위해 칼로리와 전신 육수를 대방출 시켜주는 타바타 형식의 전신 운동을 준비해봤어요. 25분 운동 시퀀스니 중간에 힘들다면 물을 드시거나 잠시 휴식하고 따라와 주시면 됩니다. 오늘 운동은 제 유튜브 채널 ‘요가읽어주는 여자 hayeon’에서 (DAY11) 살빠지는 요가 | 25분 올인원 전신 타바타 운동 편을 찾아 따라하면 안전하고 쉽게 운동하실 수 있을 거예요.

1. Side Plank + Hip Dips

복부 옆구리 감량, 팔 어깨 엉덩이 토닝 효과

STEP 1. 한쪽 팔꿈치를 어깨선과 정렬을 맞춰 바닥에 두고 무릎을 포개어 줍 니다.

STEP 2. 어깨를 귀에서 멀리 보내어 목을 길게 유지하고 천천히 엉덩이를 들

어줍니다.

STEP 3. 코어의 힘을 주며 업다운을 7회 이상 반복합니다.

STEP 4. 영상을 참고해 바로 다음 운동까지 한 후 방향을 바꿔 운동해주세요.

TIP! 어깨가 눌리지 않도록 가슴을 펴고 두 어깨, 두 엉덩이의 수직 정렬 을 맞춰줍니다.

2. Knee To Chest Crunch

코어 강화, 자세교정, 밸런스 향상

STEP 1. 테이블 자세에서 한 팔과 반대쪽 다리를 뻗어줍니다.

STEP 2. 날숨에 뻗었던 팔의 팔꿈치와 다리의 무릎을 서로 만나게 해줍니다.

STEP 3. 들숨에 다시 다리와 팔을 뻗고 날숨에 배를 등쪽으로 끌어당기며 크 런치 동작을 반복합니다.

STEP 4. 총 7-10회 반복 후 잠시 자세에서 홀딩 한 후(3호흡), 반대방향을 실 시합니다.

TIP! 중심이 많이 흔들린다면 뻗은 다리의 발끝을 바닥에 내렸다 올리는 옵션을 택하셔도 좋아요.

댓글도 남겨주세요. 다음 칼럼과 앞으로의 운동 영상들에 여러분의 피드백을 꼭 반영해보도록 할께요!

요요없는 체중감량에 성공하고 싶다면? (특정부위 집중 감량 가능! 예. 뱃살, 등살, 허벅지... )

- 생리통, 갱년기 증상으로 고생하고 있다면? - 쉽게 지치고 아픈 '저질 체력'이라면?

- 다른 사람 신경 안쓰고 맘 편하게 운동하고 싶다면? - 작심삼일 운동에서 탈피! 제대로

요가티처/요가풀니스라이프(Yogafulness Life) 대표

https://bit.ly/3w9ks4u (KOR) https://bit.ly/SubscribeToYogasong (ENG) yogafulnesslife

이메일 : connect@yogafulness.life 홈페이지 : www.yogafulness.life

인스타그램 https://instagram.com/yogasong_hayeon

넓어진 모공을 줄여 주는 비법

모공이 가장 넓어지는 시기인 요즘, 기온이

상승하면서 피지 분비가 늘어나고 탄력이 떨

어져 모공이 커지기 쉽습니다. 한번 넓어진

모공은 자연적으로 축소되지 않는 데다가 시

간이 갈수록 더 넓어지는 경향이 있어 여간

신경 쓰이는 게 아닌데요, 모공이 넓어지는

이유와 해결 방법에 대해 알아보았습니다.

피지 분비와 비례하는 모공 크기

피지는 외부의 자극으로부터 피부를 보호

하고 세균의 감염을 막아주며 보습의 기능

을 하지만 과도하게 분비되면 모공 확장과

피부 트러블의 원인이 됩니다. 모공은 피지

선과 연결되어 있어 피지선에서 만들어진

피지가 모공으로 배출되는데, 이 과정에서

딱딱한 피지가 모공 안에 머물게 되면서 모 공 확장을 일으키게 됩니다.

모공의 모양에 따라 종류 달라

까만 모공의 일차적인 원인은 블랙헤드입 니다. 블랙헤드는 피지 분비가 과다해지면

서 모공을 막아 모낭에서 피지가 굳고 산화

되어 까맣게 착색되어 발생하게 됩니다. 또,

이미 크기가 커진 모공의 경우 모공 크기를

다시 줄이기가 쉽지 않은데 모공이 세로로 길게 늘어진 경우 안티에이징에 더욱 신경

시킬 수 있어 노화를 촉진하게 됩니다. 마지

막으로 울긋불긋해진 민감 모공은 뾰루지

등의 피부 트러블을 유발하기 쉬우며 피부

가 전반적으로 붉게 올라오는 증상이 나타 나게 됩니다. 이때는 진정 효과를 지닌 제

품을 선택해 관리해주는 것을 추천합니다.

피부 수분감 유지하기

촉촉한 피부를 유지하는 것만으로도 모공

관리에 도움이 됩니다. 건조한 피부는 탄력

이 떨어지고 수분을 유지하려는 보상 작용

때문에 피지 분비량이 늘어날 수 있습니다.

충분히 물을 마셔 몸속 수분이 부족하지 않

도록 하고, 피지 분비 조절을 개선하는 화장

품을 사용하는 것도 도움이 됩니다.

얼굴 온도 낮추기

피부 온도를 낮추는 것이 무엇보다 중요합

니다. 피지 분비량이 늘어나면 모공은 피지 를 원활히 배출하기 위해 넓어지는데 피부

온도가 올라가면 피부가 건조해지고, 건조 한 피부는 탄력이 떨어져 모공이 더 넓어집 니다. 쿨링팩으로 얼굴의 열을 내려주는 것

도 도움이 됩니다. 뜨거운 물 세안이나 샤워 는 피하고 자기 전 시원한 마스크 팩으로 얼 굴의 열을 내려주도록 합니다.

을 써야 합니다. 그렇지 않을 경우 세로 모 공 현상이 더욱 악화되어 피부 탄력을 저하

피지 짜는 건 절대 금물

모공의 피지는 절대 손으로 짜면 안 됩니다.

모공을 막은 피지가 굳고 산화되어 까맣게

착색되면 바로 블랙헤드가 되는 것인데요, 블랙헤드를 손으로 짜거나 세게 문지르면

모공 주변의 피부 조직이 손상되어 오히려

모공의 크기가 더욱 커지게 됩니다. 블랙헤

드가 잘 생기는 코 주위는 혈관이 많아 자극

을 가하면 쉽게 붉어지기 때문에 더욱 조심 해야 합니다.

노폐물을 제거하고 싶다면?

미온수로 모공을 열고 클렌징 오일 등으로

부드럽게 마사지한 뒤 피지와 노폐물을 깨

끗하게 씻어내야 합니다. 미온수뿐 아니라

페이스 타월에 물을 적셔 스팀 타월을 만든

뒤 얼굴에 덮어주어 모공을 열어주는 방법

도 있습니다. 이후 차가운 물이나 스킨 등으

로 열린 모공을 수축하면 됩니다.

올바른 클렌징 중요

올바른 세안법을 실천하는 것도 중요합니

다. 미지근한 물로 하루 2회, 폼 클렌징을 이

용하여 세안하면 되는데, 세안 후 피부가 뽀

득뽀득해지고 모공이 조이는 느낌이 든다 면 잘못 세안한 것이므로 세안 방법을 바 꾸도록 합니다. 이때 약산성 세안제를 사용

해 피부에 큰 자극이 가해지지 않도록 씻어 내고 물로 충분히 헹구어내는 게 좋습니다.

견과류 섭취가 도움 견과류 섭취도 모공의 축소에 도움이 된다 는 사실을 알고 계신가요? 한 연구에 따르 면 견과류를 주 3회 이상 섭취한 사람은 그

QUEENSLAND 교민게시판

개최

주시드니총영사관에서는 NSW 거주 교민들을 대상으로 가장 많이 궁금해하시는 국적 및

병역 관련 설명회를 아래와 같이 실시할 예정입니다.

설명회에서는 최신 병무행정에 대한 내용과 함께 유학생, 영주권자, 복수국적자들의 국 적, 병역, 국외여행허가, 재외국민 2세 제도 등 해외에 거주하는 병역의무자가 알아야하

는 내용들을 쉽게 설명할 예정입니다.

○ 일 시 : 2023. 9. 22.(금) 10:00 ~ 11:00 (설명회), 11:00 ~ 12:00 (개별 상담)

○ 장 소 : 주시드니총영사관 대회의실 (민원실 입구)

Level 10, 44 Market Street Sydney NSW 2000

설명회 후에는 참석자들을 대상으로 개별상담을 실시할 예정입니다. 병역의무자 본인 및

부모, 가족분들이 그간 가지고 있던 국적 및 병역 관련 궁금증을 해소할 수 있는 기회가 될

것이니 동포분들의 많은 참석을 당부드립니다. 원활한 행사준비를 위하여 참석을 원하시

는 분들은 총영사관에 사전등록(전화 혹은 이메일)을 해주시기를 당부드립니다.

※ 사전등록 : 전화(02-9210-0200) 또는 이메일(sydney@mofa.go.kr)로 성명 및 참석

인원, 연락처를 알려주시면 됩니다. 주시드니총영사관

골드코스트 JUJINIS ART 민화 수강생 모집 쉽게 접근하고 오래 유지할 수 있는 취미, 조용하고 잔잔하지만 마음의 큰 위로가 되는 전통과 현대가 어루러진 모던민화로 힐링타임을 즐겨보세요^*^

- 수업대상 : 예쁜것, 클래식을 좋아하시는 분들!!

- 수업일 : 오전반 10am ~ 1pm (월,화,수,목,금) / 오후반 6pm ~ 9pm(금) *수업에 필요한 물감과 한지 제공합니다. - 신청/문의 : 0455 872 743

ECCQ BBV & STI 한인지원서비스

B형 간염/C형 간염 문의

B형/C형 간염보유자 무료 간탄력도 검사 (FibroScan) - 비자에 상관없이 무료

담당자: 김미림

연락처: 07 3844 9166 | korean@eccq.com.au

호주기독교대학 노인돌봄과정 개설

영주권관련 확과로 노인돌봄 과정을 개설했습니다. 서티 4 과정으로 어스터디 가능하고 학생비자도 가능합니다. www.accu.edu.au / info@accu.edu.au

전화 : 02 6255 4597/ 0402 140 905 / 0430 045 078

시드니한국교육원 2023년 한국어 문화경연대회(KPC) 개최

▷ 한국어 채택학교 학생들이 모여 한국어로 발표하고 장기자랑

선보이는 축제의 자리

▷ KPC 미술 부문 시상작품 전시회 및 태권도 공연등 다채로운 행사 진행

시드니한국교육원(원장 권진)은 지난 20 23.08.18.(금) 스트라스필드 라트비안홀 에서「2023 한국어 문화경연대회(Korean Performance Contest)」를 성공적으로 개 최하였다고 밝혔다. 동 대회는 2014년부터 매년 호주에서 한국어를 배우고 있는 초·중 등학교의 학생들이 한국어와 한국문화를 주

제로 미술작품을 제출하거나 공연을 펼치는 행사로서, 다른 학교의 학생들이 다 같이 모

여 서로의 한국어 실력을 뽐내고 장기자랑

을 선보이며 즐기는 축제의 자리이다. 올해 행사는 지난 6. 19(월)부터 7. 31(월)까지 대

회 응모작을 접수하였고, 그 결과, 약 500여

명의 학생이 개인 또는 팀을 이루어 참가 신

청하였다. 이에 대해 지난 8월 초 심사를 통

해 미술 부문 최종 입상자 및 공연 부문 본선

대회 참가자를 선발하였고, 총 11개 팀(초

등 6팀, 중등 5팀)이 이날 자신들의 공연무

대를 펼쳐보였다. 또한 미술 부문 입상자들

의 작품 전시회와 태권도 시범단의 특별공

연 등은 이번 대회를 더욱 풍성하고 다채롭

게 만들어주었다. 한편 이날 행사에는 주시

드니대한민국총영사관 이태우 총영사가 특

별히 참석하여, “호주에서 한국어를 배우는 학생들이 한국과 호주의 미래를 연결하는데

중요한 역할을 할 것으로 기대한다”고 축사 를 전했다.

공연무대를 마치고 이어진 이번 대회 시상

식에서는, 특별 시상부문으로 한국관광공사

시드니지사에서 한국의 유명 관광지를 영상

으로 소개한 캠시초등학교 학생들에게 상장

과 기념품을 전달하였으며, 가스펠 피아노

에서도 초·중등 부문 각 1등 팀에게 전자건

반을 부상으로 후원해주었다. 각 부분 수상

자는 다음과 같다.

< 미술 (Artworks) >

① 초등부에서는 “한국의 옛날 시장”작품 을 제출한 Campsie 초등학교의 Victoria Chung외 2명 학생이 1위를 차지하여 상

장과 부상으로 바우처 $200을 받았다.

② 중등부에서는 Burwood 여고의 Charmaine Fung외 3명 학생이 1위로 선정되

어 상장과 바우처 $300을 받았다.

< 공연 (Performance) 부문 >

① 초등부는 치어리딩 무대를 선보인 Campsie 초등학교의 “Dreams Come true”팀이 1위를 수상하여, 바우처 $300 과 가스펠 피아노에서 후원한 전자건반 을 부상으로 받았다.

② 중등부에서는 동 경연대회에 처음 참가 한 Secondary College of Languages Strathfield Girl’s Campus 학생들의 “Cupid MV”팀이 심사위원들의 높은 점

수를 받아 1위를 차지했으며 부상으로 바

우처 $500과 전자건반을 받았다.

< 공연영상(Video Clip) 부문 > ① 초등부는 빅토리아 주 언어학교 Blackburn 센터의 Verity Bender외 19명 학 생들이 멋진 탈춤 영상으로 1위로 선정되 어, 상장과 바우처 $150을 받았고, ② 중등부에서는 빅토리아 주 언어학교 Doncaster 센터의 Ria Im외 2명 학생이 보여준 난타 영상이 1위를 수상하여

■ 차세대 지도자 포럼

2023년 8월 26일 토요일, 퀸즐랜드주 브리

즈번 인근 Albert River Wines에서 차세대

지도자 포럼이 성대하게 거행되었다. 호주

한인 총연합회(이하 호주총연, 회장 김진성)

에서 주최한 이 행사는, 모국의 재외동포청

과 주호주 한국 대사관, 그리고 대양주 한인 회 총연합회가 후원하여 성공적으로 진행하 였다. 행사는 오후 2시20 부터 참가자 등록

이 있었다.

이와 함께 지역 호주 상원의원들과 Greg Christensen 시장을 비롯한 호주 정치인들 이 대거 도착하였다. 그리고 김완중 주호주 대한민국 대사와 배한진 외교부 주 브리즈 번 출장소장이 참석한 가운데 국민의례 및

애국가와 호주국가 연주를 시작으로 역사적 인 막을 열었다.

3대 호주총연 회장을 맡고있는 김진성 회장

은 환영사에서, “차세대 지도자들에게 꿈을 갖게하고, 용기를 북돋아 주고 싶었기에 할 수 있는 지원을 최대한 하고싶다”고 말하면 서, "서로 도와주며 성장할 수 있도록 네트워 크에 주력하겠다"고 강조했다. 또한 호주는

조국 대한민국이 못배우고 헐벗고 가난할 때, 한국을 돕기위해 126명의 선교사를 통 해 교회, 병원, 학교 설립으로 한국을 도왔 다. 그리고 전쟁으로 나라가 위태로울 때 많 은 군인들을 파견하여, 우리 고국을 지켜준 그 큰 은혜를 잊지 말자고 개회사에서 당부

했다. 아울러, 이번 4차 행사를 준비하고 개

최한 호주총연 임원진에게 축하를 보내며

호주 전역에서 이 포럼에 참여한 차세대 지

도자들에게 특별한 축하의 인사를 전했다.

곧 이어서 김완중 대사는 축사에서, “한호

관계가 경제 뿐만 아니라 안보, 방산협력, 우

주, 사이버 영역에 이르기까지 모든 분야에

서 전략적 협력 관계로 격상되고 있다”며,

“이번 행사를 계기로 더 많은 차세대들이 호

주 주류사회에 진출하고, 이로 인해 글로벌

한민족 네트워크가 양국관계의 핵심적 구심

점 역할을 해주길 기대한다”고 말했다. 이어

호주 정치 인사들의 축사가 진행되었고 참

석치 못한 이기철 재외동포청장과 Adrian

Schriner Brisbane 시장의 화상 축사가 있

었다. 이어 안영규 고문(호주총연 2대 회장)

의 모국 국민훈장 목련장 수훈과 조기덕 회

장(전 시드니 한인회장)의 감사패, 그리고

캔버라의 주호주 대한민국 대사관의 김형

배 책임 실무관의 공로패 전수식이 행사를

더욱 빛냈다.

안영규 고문은 그동안 호주총연 2대 회장을

역임하면서 호주 정재계 인사들과의 적극적

인 교류와 차세대 포럼 행사 등을 성공적으

로 개최한 바 있다. 즉, 호주 한인들뿐 아니라 한인단체들의 위상을 드높이는 업적을 이룬 공로가 매우 컸다. 그로 인해 영광스럽게 호 주에서는 유일하게 수훈하게 되었다. 또한

조기덕 회장은 호주의 방위 관련해 모국 대

한민국의 방산산업 수출(한화그룹의 자주 포 수출과 공장 설립)에 크게 기여하였다.

이로 인한 국위선양 공로가 매우 크기도 했

지만 늘 한인사회에서 존경받는 행보로 모

범이 되었다. 그리고 김형배 책임 실무관은

그 동안 호주 각 지역 재외동포들의 행사 지

원과 워홀러들을 위해 적극적이며 헌신적인 활동이 알려져 수훈하게 되었다.

그 후, 호주총연 2017년 창립 이후 활동에 대 한 역사 소개가 있었다. 특히 총연은 1차로 2018년 캔베라에서, 2차로 2019년 시드니, 그리고 3차로 멜번에서 차세대 포럼 행사를 성공리에 개최하였다. 그 결과, 호주 주류 사 회에 한인 사회에 대한 관심과 정치, 경제 및 각 분야 미래를 위한 초석 다짐에 중추적인 역할을 했다고 강조하였다.

또한 축사에 이어 오후 2시부터 퀸즐랜드 대 학의 정재훈 교수의 강연과 귄신정 회계사, 그리고 Christina Hong 교수의 강연이 있었 고, 김경태 변호사와 김득래 강사의 특강이 그 뒤를 이었고, 그 후 연사와 차세대 지도자 간 네트위킹 겸 저녁 만찬의 3부 행사가 이 어졌다.

시드니에서 참석한 한정태 시의원의 값진

격려는 참석자들에게 큰 희망을 품게했다.

특히 호주총연 회장들과 차세대 리더들과의

알찬 대화와 교류는, 내외빈들의 뜨거운 갈

채를 받았고 그들의 역량은 정치를 비롯한

호주 각 분야에 바로 뛰어들어도 부족함이

없는 실력과 발표력이라는 후문이다. 차세

대 리더 72명들을 포함해 약 150명이 참여

한 이번 행사는 참가자 및 귀빈 모두가 만족 할 만한 행사라고 참석자들은 흡족함을 표 했다. 끝으로 호주총연이 주관한 차세대 지 도자 포럼은 매우 의미있는 행사였고, 세계 한인사회에 모범이 되는 뜻깊은 행사였다고 평가받았다.

■ 호주 한인회 총연합회 정기총회 겸 차기회장 선출

차세대 포럼 행사 전 25일에는 호주 한인회 총연합회 정기총회가 열렸다. 이날 회장 선 거가 있었고 김서원 빅토리아주 전회장이 4 대 총연회장으로 선출되었다.

김서원 신임회장 당선자는 호주 빅토리 아주 Deakin University 에서 Master of Professional Accounting(MPA)의 석사학 위를 획득하였으며, 졸업 후에 공인회계사 (Certified Public Practising Accountant) 로 활동을 하고 있으며 현재 전세계적으로 도 인정받고 전문성을 가진 Fellow Certified Practicing Accountant(FCPA) 로 왕 성한 활동을 하고 있다. 특히 멜번 한인회장 재임시, 당시 어려운 상황의 한인회를 부군 인 Roger Gillard KC Barrister의 적극적인 협조로 열정적으로 활동하였다. 그 결과, 한 인회를 정상화시킨 업적은 많은 한인들의 갈채를 받았다.

아울러 행사 전날 진행한 호주총연 소속의 호주 각지역 현 한인회장단의 워크샵 회동 이 있었다. 각 지역의 한인회의 그 동안의 활 동 보고와 정보 교환, 그리고 미래를 위한 토 론과 열띤 협의는 매우 값진 결실이었다고 한다. 이는 차세대 리더스 포럼과 더불어 호 주 한인사회의 값진 밑걸음이 되는 행사로 한인 이민역사에 평가 될 것이다.

긴급/주요기관 안내전화

긴급전화(경찰, 앰블런스, 화재) 000

Police Liaison Unit(한국어) 3364 3217

경찰업무 관련 한국어로 통화를 원할 때 Police Link 131 444

가정폭력 1800 811 811

여성상담센터 0425 252 372

성폭행 상담 3636 2414

수도 1300 366 692

독극물, 생명전화(24시간) 13 11 14

위기구호, 아동학대 1800 177 135

음주, 마약 3236 2414

간판/인쇄/디자인

i-hub 0435 831 116

NB Signs - 간판, 인쇄, 디자인 0421 790 885

Sunny Creative 0412 840 533

초록홍합,녹혈,녹용 캡슐 판매 0403 736 998

드림로드 양모, 한국이불 3209 5445

New Core 건강식품 3012 7886

SINI 건강 (써니뱅크점) 3344 7881

건축/인테리어/집수리

브리즈번 시티카운슬 3403 8888

골드코스트 시티카운슬 5582 8211

골드코스트 관광청 5592 2699

서프사이드 버스 시간표 13 12 30

센터링크 13 61 50 / 13 12 02(한국어)

이민성 13 18 81

일기예보 1900 914 450

임신상담, 정보 1300 139 313

의료기관 정보 3236 4833

전화번호 안내 12 455, 1233

전기, 가스 문의 13 12 53 / 13 62 62 (사고)

텔스트라 문의 125 111 / 1800 773 421(한국어)

통역서비스 13 14 50

대한무역진흥공사 02 9299 1790

한국

0452 188 070 교민단체

한인회 0418 763 186

한인회 총연합회 0427 566 474

참전자 전우회 퀸즐랜드지회 0411 378 391

재향군인회 퀸즐랜드 분회 0412 629 358

퀸즐랜드 주 한인회 3390 0024/ 0424 724 624

퀸즐랜드 한국 참전 유공자회 0414 295 709

퀸즐랜드 한인 골프회 0430 202 239

퀸즐랜드 한인경로회 0418 883 377/3345 1400

퀸즐랜드 ROTC 동문회 0415 695 635

퀸즐랜드 한인 비즈니스 협회 0408 889 792

퀸즐랜드 한인 오케스트라 0411 820 800

퀸즐랜드주 해병 전우회 0427 334 521

BRISBANE

블라인드 3133 8330, 0421 594 083 대니 핸디맨 0402 299 915 백향건설 0434 763 843 / 0421 025 230

에벤에셀

0490 537 244 욕실 누수 전문(욕실

타일, 방수) 0452 471 080

콘솔 블라인드 0408 288 789

- 주방욕실 가구 전문 0478 616 026

ARCHIONE Design Builders 0402 533 628

Beauty Home Blind 0408 011 021

Blue River Design & Construction 0478 709 032

Blue Whale Construction 0402 272 891, 0416 911 333 BL 핸디 홈 메인터넌스 0416 911 444

City Garage Doors 차고문 당일수리, 제작 0492 889 349

Dr 핸디맨 0478 833 415

결혼 주례

써니뱅크 정부 공인 주례사 0408 688 010

i-Care 0433 494 281

골프레슨

원성욱 프로 레슨 0402 598 961

Victoria Park Golf Learning Centre 한국어 0451 899 874

교육/학원/개인교습

Flower 3345

김선생 수학 0430 127 992

탑원 바이올린 0424 783 353

피아노 전공자쌤 0478 548 500

피아노/망고힐/시드니콘석사 장학생

G1 Painting 0450 959 010

세계대회1등 0433 309 331

Happy Blinds 0481 711 500

Hi Design & Construction 0430 900 630

호주 라인 댄스 0401 812 610

CS Education 0402 855 802

J Plus Building Inspections 0422 773 031

K Total Construction 0466 127 884

KIM’S HOUSING 0411 097 908

NEXUS PLUMBING 0459 999 754

EduPlanet College & QCM 3343 6343

Eight Mile Planes 유치원 3841 3350

Elite Tuition 0400 328 187(영 어) 0400 163 227(한국어)

LE SPA MASSAGE ACADEMY 3368 3362

OkayPainting 0430 889 559

OneStop Bath & Tiles 07 3034 1075

Shop4, 655 Toohey Rd, Salisbury

SUNSHINE 블라인드 0481 148 692

Total Cabinet 3299 1978

TOV Construction 0452 578 001

Simili Training (건설현장 자격증

정부승인) 0477 787 200, 0416 740 514

SP 에듀케이션(하이스쿨, ATAR 대비) 3195 8532, 0411 168 007

Winny Family Care 0420 720 894

WINDOW ART 3114 2145, 0490 537 244 건축 설계

mih architect 황용연 건축사 0451 377 843

광고문의 0422 258 092, 0432 008 985 admin@qldkoreanlife.com.au

아하바 목욕탕 3391 2279

웨딩메이크업헤어(withBRIDAL) 0481 982 486

제시헤어 0414 060 369

헤어시티 시티점 3210 1049

alabuu 0493 475 995

Hair Captain 헤어캡틴 0481 600 088

K Bridal Studio(Julie) 0451 373 313

M nails & beauty 0432 346 799

M&U Beauty Brow(미앤유 뷰티 쿠파루) 0423 056 137

The Face Shop (가든시티) 3344 6014

(써니뱅크) 3423 2514

번역/통역

Remax 부동산 써니뱅크

가영 NAATI 3급 번역공증 0410 672 485

나티공인 한영/영한 번역사 0431 232 673

데레사 통역 0402 307 090

손지은 NAATI 3급 0412 088 428 호주 닷컴 온라인 번역공증 info@hojoo.com

JINO NAATI 통역서비스 0430 812 205 변리사

김현태 특허상표변리(호)사 040 433 5914

ㆍ 대표번호(모바일) 0490 130 012

ㆍ 박창민 변호사 0452 435 447

ㆍ 김희용 변호사 0431 628 082

ㆍ 허성은 변호사 0425 030 220

H & H Lawyers 02-9233-1411

ㆍ홍경일 대표변호사

ㆍ강현우 형사전문변호사 0487-192-566

변호사 법무법인 Park & Co ㆍ 대표번호(유선) 3345 6665

ㆍ김진한 변호사(이민)

ㆍ김현태 변호사·상표변리사

리틀즈 법무법인

ㆍ NSW 1800 000 119

ㆍ QLD 1800 082 082

ㆍ 김경태 변호사 0452 480 920

ㆍ 이종일 변호사 0434 980 635

성도 법무법인

ㆍ대표번호 3392 3981

ㆍ김문기 변호사 0411 211 227

ㆍ김태규 변호사 0403 689 714

KLS Legal Practitioners

ㆍ사무실 (07) 3113 3790

ㆍ나윤제 대표변호사 0423 005 035

ㆍ신선미 변호사 0412 693 115

김린 변호사 0404 871 986

김영규 변호사 07 3210 6489, 0411 624 779

박근영 변호사 0433 372 566

주광훈 변호사 0405 694 497

정회림 변호사 07 3195 4807

진승희 변호사 0403 503 530

LinkOz 이정민 변호사 0401 576 978 보험/홈론/파이낸스

조권현 0452 65 88 78

YONG 부동산(오세진) 040 228 3003

사진

Alicia’s Photography 0478 825 233

상담/심리치료

ACC 상담센터 02 6255 4597

JR 부부상담연구소 0434 487 433

브리즈번 명상센터 0466 211 405

무담보 소액대출(호주 어디서나) 0412 232 889

미래종합금융 1300 882 595

ANZ Jin Lee 0434 689 100

C-Herald Insurance 1800 998 557

C-Herald Finance 1800 998 557

Focus Loan(오지훈) 0420 847 110

Hana Finance (알렉스) 0410 622 838

복지센터

AACA (All About Care Australia) 07 3133 0209 (Gemma) 0430 218 030 (Tasha) 0402 595 741

ONE DREAM COMMUNITY

홈케어패키지 1800 841 777

숙박시설

스프링우드 타워 호텔 3387 7077

호텔 다이아나(한국어) 3896 1691

송금/환전

한국송금(구. 코원송금) 0474 373 007

스포츠/체육관

원 태권도 0430 295 881

Sunnybank 테니스클럽 0430 014 221

Sunnybank 당구장 0430 014 221 식당/카페

AKLINKS 손한나 대표 0428 87 5050

3 Sisters 3195 4481

Bluedog 부동산 0419 536 071

Bluedog 김수정 0408 622 934

HD Property 황기철 0413 515 788

Harcourts Calamvale (홍성우) 0415 413 769

Ideal Realty Advisors (시드니) 02 8007 4989, 0414 088 089

KLOVER PROPERTY

Kay Lee 0421 007 147

Link Plus Realestate 이지영 0450 908 864

Raas Group 0420 486 651

누나네 해장국 3107 4158

마녹파크 0433 276 449

마루 3221 7778, 3012 9912

모모치킨(city) 3012 8238

모모치킨(runcorn) 3841 8068

미담 3344 5001

불고기 Bros 3350 2233

샤부하우스 (일식 부페) 3211 5407

소문 삼계탕 3158 3709

차미 푸드 앤 보틀샵 3210 6349

코릴라 바베큐 3211 1212

여행/공항픽업

가나안 공항 픽업 0478 833 415

도움 투어 3012 8383

우리여행사 0412 393 713

케니 여행사 3344 3220 / 0402 729 595

현대 투어 0432 140 083

HT 여행사 3003 1771

운송/택배/이사

시온 에어컨 냉동 0434 486 877

에어컨 청소 FreshZone 0431 135 071

Airmazing 0451 104 439, 0430 189 603

Fresh Cool 0401 627 853

LEES 에어컨 설치 0434 378 245

SONG 에어컨 설치 0414 781 645

SWIND 0451 994 144

OK 냉동 서비스 센타 0423 457 898

유통

의류/침구/옷수선

드림로드 3209 5445, 0433 267 953

차밍 옷수선 0403 617 076

한복 대여점 이음 e-uum 04 2121 3656

OUR HANBOK 0423 378 055

자동차운전학원

메이 운전학원 0419 708 177

부부 운전학원 0414 273 087

자동차정비

KOREC

웨스티마켓 0450 103 788

Milton Exchange (노브랜드 유통) 0438 545 007

Cordelia International (온리프라이스

제품외 유통) 0450 103 788

유학원

도움 유학 3012 8383

GLOBAL MATE 3221 8318 0451 281 841

HT 유학원 3003 1771

가구소형이사 픽업서비스 0411 736 276

가나안 용달 서비스 0478 833 415

(각종 소형 ‘짐’ 운반)

대한통운 국제택배 0431 571 657

와이즈 국제물류 1800 577 369

한진택배 0431 231 468

현대택배 0430 014 221

HT Logistics 3823 1802

PNL 택배(한국-->호주) 0449 24 8282

이민 컨설팅

가영 비자 이민 컨설팅 0410 672 485

백승용 이민법무사 3323 3186

변기훈 이민법무사 0425 669 799

이정민 법무사 Select Australia 0430 592 230

채정우 이민법무사 0423 687 378

호주닷컴 02 9746 1452

의료/병원/한의원

극동 한의원 Far East Acupuncture 0402 527 717

라파 한의원 0452 563 365

모유사랑 모유수유클리닉 (상담, 유방관리) 04 5675 5675

보화당 한의원 3219 1002

언어치료사(Speech Pathologist) 0473 562 154

엔한스 덴탈 스튜디오 (런콘) 07 3423 0783

족부 의학 클리닉 (써니뱅크) 07 3344 6866 (해밀턴) 07 3741 2825

질미어 치과병원 3265 6010

Carindale 자매치과 (김현아/김은아) 3324 9172

Dr. Seung-min Youn(윤승민) 정형외과 07 3278 2662

Dr.허 시티 한국인병원 3210 2111

Dr.허병원 Skin Clinic 0407 112 342

Exceptional Dental 3118 5306

Hybrid Physio 3190 9747

JINDALEE Complete Dental 3376 5475

My Clinic (Dr 제임스 강) 3272 2202

The Dental Club 1300 165 768

Stafford | Caboolture | Bellmere | Griffin

조이모터스(정비) 3277 2477

Autocrew Motors 3191 7044 0416 422 099, 0433 649 931

Pro Tinting 0432 390 910

SK 자동차 공업소 3423 8085

Speed mate 자동차 정비 0416 191 319

Top One Motors 0430 123 711

토마스 정육점 (런콘점) 3423 1337

청소/방역

원스톱 방역 & 카펫 청소 0401 600 887

원펀치 터마이트&페스트컨트롤 0402 157 905

써니뱅크 터마이트 0412 178 944

짐스 터마이트 & 페스트 컨트롤 0416 515 874

클린킹(청소용품판매) 3208 1333

0431 686 296

0423 333 932 ㆍ

성결교회 0433 689 717 ㆍ

JCM 터마이트&페스트 닥터팀 0430 318 776

안디옥 장로교회 0423 733 599

ㆍ 브리즈번 왕성교회 0400 878 882 ㆍ 브리즈번 은혜교회 3376 2143 / 0433 677 241

ㆍ 브리즈번 임마누엘교회 3344 7521

ㆍ 브리즈번 좋은감리교회 3343 1817 / 0413 608 392

브리즈번 주안교회 0432 680 975

ㆍ 브리즈번 평화교회 0425 252 372

ㆍ 브리즈번 한인장로교회 3341 9232

ㆍ 브리즈번 한인중앙장로교회 3202 9553 / 0413 515 737

ㆍ 브리즈번 한인연합교회 0425 306 577

행복한교회 0433 494 281

북부 한인재림교회 3290 0376

사랑교회 0414 624 779

교회 3252 1701

소망교회 0401 458 230 / 0431 259 828

0466 184 366

3191 3743 / 0433 924 843

0433 030 053

0403 252 609

0414 522 654

0433 475 658

3398 9923 / 0413 019 400

0425 118 471

0411 50 9191

3290 1113 / 0418 980

한인천주교회 3369 3159 / 0413 016 031

AplusHomeCare(터마이트,페스트 컨트롤) 0448 226 179

Kleen Hub(청소용품 판매) 3191 3248

푸드패키징

Kleen Hub 3191 3248

Q Pack 3219 5654

플러밍/가스

HIGH TECH PLUMBING & GAS 0431 409 844

JINSU PLUMBING&GAS 0401 359 573

NEXUS PLUMBING 0459 999 754

PK PLUMBING 0433 772 172

폐차/고철/고물

Metal Xchange | Cash for Cars 0410 140 500 컴퓨터/POS/웹사이트

ㆍ 원불교 3219 1002

꿈이 있는 교회 0421 480 870

동행하는 장로교회 3422 0828 / 0400 878 882

브리즈번 순복음교회 3341 9090 / 0433 9933 52

스프링필드 침례교회 킹제임스성경 0469 859 983

호주 가정 상담 대학 0416 069 812

호주 기독교 대학 02 6255 4597

한마음 교회 0410 409 007

Faith Church 써니뱅크

ㆍ 요한계시록 성경예언

ㆍ ilona 목사 0400 374 666

주방용품(상업용)

썬샤인 비즈 솔루션(스시머신, 주방용품) 0413 396 799

All 4 Kitchen 주방용품 수리 0433 974 907

중고 가전

Smart Electrical Clearance Outlet

ㆍ Hyperdome 3133 1805

ㆍ Capalaba 3823 4165

ㆍ Mt Ommaney 3376 7445

ㆍ Browns Plains 3800 1013

미디어 나라 0412 443 066

GGL 토탈 IT 솔루션 0422 395 706

iComputer (TPG 공식딜러, 컴퓨터 수리) 0450 511 829

M4U 웹디자인 0434 417 933

N2 CREATIVE (웹사이트 제작) 02 8091 7333

VTEQ 컴퓨터 3323 3232

(TPG 공식딜러, 웹사이트, IT솔루션) 핸드폰 수리

Jaetech 핸드폰 수리점 0404 932 988

간판/인쇄/디자인

써니 크리에이티브 0412 840 533

NB Signs - 간판, 인쇄, 디자인 0421 790 885

건강식품/기념품

회계사(MAZARS) 3218 3924

뉴질랜드 초록홍합,녹혈,녹용 캡슐 판매 0403 736 998

로얄건강 타운 0401 158 508

장수마을 0422 59 59 79

카사아울렛 5531 3155

건축/인테리어/집수리

Hello Tax 0413 002 316

Prudent Accountants & Co 0412 447 987

TaxBee 3210 0747

Tax Friend 0422 869 630

가나 집수리 04 02 02 8720

핸디맨 0402 299 915 스타 블라인드 0430 715 906 윈도우 아트 블라인드 0490 537 244

Design & Construction 0430 900 630

LINKS 부동산

레삐헤어 5679 3943

신 헤어 스튜디오 0407 090 270

웨딩메이크업헤어(withBRIDAL) 0481 982 486

킴스헤어(사우스포트) 5527 1990

케이살롱뷰티(사우스포트) 0421 187 046

FOREL Beauty & Spa 0413 753 087

Kausie Hair Salon (코지 헤어) 5531 2963

Meraki Hair 5592 0984

Hair COCO.GC 0413 662 699 / 5511 1892

The Hair 5528 6310

The 9 Brows & Beauty 반영구 화장 0448 019 555

Retreat 마사지 0404 806 887, 5527 1147 번역/통역

C-Herald

C-Herald Finance 1800 998 557

You and Me Finance 0468 429 180 보험전문 김옥이 0401 411 000

0428 87 5050

Bluedog 부동산 0419 536 071

Bluedog 김수정 0408 622 934

MASTER QLD PROPERTY 서문희 대표 07 55 111 888 / 0478 110 290

Onyx Property Management 0490 187 898

White 이민정 0431 686 286

Raas Group(Yong Lee) 0420 486 651

ALICIA’S PHOTOGRAPHY 0478 825 233

WOW CAFE & STUDIO 0401 282 303

AnK 골프 아카데미 0434 142 638

D.I Sports Academy 0425 864 112 Golf Zero 0435 595 577

Oppane 오빠네 5532 2413

Rice House 5591 2239

RICE VS NOODLE 5538 8803

The Dak 0468 857 692

WOW CAFE & STUDIO 0401 282 303

식품점/편의점

스마일마트 5527 1312

오페마트 5531 0922

유니마트 5608 9860

하나로마트 Helenvale 0493 090 679

Southport Robina

해피마트 0401 337 458

현우식품 5526 3838

Coomera Asian Mart 0424 491 646

K-Town Supermarket 5528 6781

Lotte 편의점 5591 2356

식품제조

명가(김치, 밑반찬) 5531 0906

고기하우스 5591 7465

감성포차 Yacha 5660 9648

김치하우스 5538 8496

다노시스시 5528 3005

두리분식 0413 965 268

대박집 5531 0374

불고기ya 5591 7270

서라벌 고기부페 5538 8465

소공동 순두부 0423 455 599

이조 숯불 BBQ 5531 2423

코리안 키친 5538 8855

파라다이스 숯불구이 5592 3824

해피롤 5528 0588

Hochan 호찬 0424 215 797

AZIT(아지트) 5661 8537

BBQ 빌리지 5532 2700

BBQ 코리아나 5504 5627

Cafe 928 5679 6616

CHIKOR 5531 1254

Cook & Beer 0402 99 66 94

Gal. B 5591 5141

Izakaya ichi 5564 0190

MAMAS KITCHEN 5571 1896

BB 두부 0406 541 572

안경점

브리즈번안경원 골드코스트점 5531 0420

여행/공항픽업

시티익스프레스 공항픽업 0413 059 206

우리여행사 0412 393 713

운송/택배/이사

KPOST 우체국 택배 0422 59 59 79

대한통운 국제택배 0431 571 657

한진택배 0431 231 468

현대택배 3075 6872 / 0430 014 221

HT Logistics 3823 1802

PNL 택배(한국-->호주) 0449 24 8282

유학원

유학 5591 7070

의류/침구/옷수선

벨라 옷수선 5511 2077

Sweet Closet 0402 148 750 자동차운전교습

메이

운전학원 0419 708 177

부부 운전학원 0414 273 087

자동차정비

CLUB AUTO 이승엽 0421 707 771

메르세데스 벤츠 골드코스트, 레이튼(한국어) 0478 220 828 카톡 MBGCLY

전기/전자/통신

리스(LEES) 전기공사 0434 378 245

하나로 전기공사 0416 868 818

SONG 전기공사 0414 781 645

정수기/비데

DP Motors 5537 8235, 0433 835 293

GCCEM 이승엽 0421 707 771

H&K Motors 5532 9088, 0433 004 310

JD Motors 5591 6772, 5591 6227

TINT MASTER 0421 707 771

차량복원 전문업체 NICK’s Panel & Paint 5531 3459, 0430 123 950 자동차판매

청소/방역

가나 Termite,Pest Control 04 02 02 8720

얼스 와이즈 방역 0436 321 537

원스톱 방역 & 카펫 청소 0401 600 887

원펀치 터마이트&페스트컨트롤 0402 157 905

짐스 터마이트 & 페스트 컨트롤 0416 515 874

클린킹(청소용품 판매) 5532 2342

JCM 터마이트&페스트 닥터팀 0430 318 776

PAULS Clean King 0425 233 118

권신정 회계사(MAZARS) 3218 3924

RAPID CLEAN 청소용품 5572 2284

컴퓨터/POS/웹사이트

미디어 나라 0412 443 066

김상현 회계사(PKF) 0433 379 280

김재미 회계사 0478 221 525

바른회계법인 한상호 회계사 0450 468 318

백화실 회계사 0421 007 756

iComputer (TPG 공식딜러, 컴퓨터 수리) 0435 831 116

VTEQ 컴퓨터 3323 3232 (TPG 공식딜러, 웹사이트, IT솔루션)

안재웅 공인회계사 0420 518 253

Q Pack 3219 5654

이윤 회계사 3299 1031

심인섭 공인회계사 0432 493 032

AK 정수기/비데 0401 558 353

The Bidet Shop 1800 243 387

VCG (엘지 정수기) 07 3924 1870 / 0421 807 981

정육점

서울 정육점 5531 5227, 0405 934 952

종교단체

기독교

ㆍ 골드코스트 가까운교회 0433 447 483

ㆍ 골드코스트 선교교회 0431 232 304

ㆍ 골드코스트 순복음교회 0402 089 896

ㆍ 골드코스트 온누리교회 0412 341 868

(Southport State High School 내)

ㆍ 골드코스트 열방교회 0412 362 029

(장로교회)

ㆍ 골드코스트 장로교회 0409 995 456

ㆍ 골드코스트 재림교회 0430 041 022

ㆍ 골드코스트 지구촌교회 0433 609 191

ㆍ 골드코스트 사랑의교회 0451 472 202

ㆍ 골드코스트 브니엘교회 0412 194 829

ㆍ Logan 예수제일교회 0426 501 966

ㆍ 비전 장로교회 0423 932 742

ㆍ 사우스포트 한인교회 0433 308 436

ㆍ 우리들 침례교회 0421 579 026

ㆍ 푸른파도 교회 0411 725 639

천주교

ㆍ 골드코스트 한인성당 0402 044 331

골드코스트 기쁜우리교회 0478 782 186

골드코스트 주님뜻교회 0450 501 201

신우 회계 법인 3148 8887

CYS 회계법인 07 5503 0366

JY Accountants 07 5679 1619

Prudent Accountants & Co 0412 447 987

그래픽 디자인

위니아트 0401 596 877

식당

Black Curry 5200 0875

Brown Rice(Peregian Springs) 5448 2197

Hanami (Coolum Beach) 5471 7091

HIKARU

ㆍ Birtinya 0432 389 288

ㆍ Baringa 0432 389 288

ㆍ Kawana 0452 028 804

ㆍ Northshore 5406 9017

ㆍ Buderim 5476 6266

MakiMoto(Noosa) 5447 3254

Master Sushi 5526 7557

The Sushi 79 (Currimundi) 5437 8208

Tampopo 5476 7039

Haru Korean Kitchen 5447 2249

식품점

선샤인 마트 0488 515 288

의료/병원

Doctors@Maleny (닥터.노) 07 5413 8066

전기/전자/통신

존 TV&안테나 0491 068 872

정수기/비데

Intended Blank Page

호주 가계의 소득이 장기적

인 저성장 기조로 접어들면서

주택을 보유하지 못하고 평생

임차인으로 살아야 하는 사람

들이 늘어날 것이라는 전망이

나왔다. 이에 따라 정부 재정

부담도 가중될 것으로 예상 했다.

정부가 지난 목요일 (24일) 발

표한 세대 간 보고서 (Intergenerational Report)에 의

하면 호주인의 소득 성장률은

향후 40년 동안 절반으로 줄

게 된다. 따라서 젊은 층이 주

택 시장에 진입하는 것이 점점

더 어려워지고 퇴직 연금 (superannuation)이나 노인 연 금(Age Pension)으로 임대료

를 충당해야 할 인구가 늘 것

으로 예상된다. 세대 간 보고 서는 소득이 감소하고 높은

집값 상승률이 유지되는 상황 에서 앞으로 집을 소유하지 못 한 채 은퇴하게 되는 사람들이

증가할 것이라고 적시했다. 이 들이 퇴직 후 소득이 없는 상

태에서 임대료 지불을 위해 퇴

직연금이나 노령연금에 의존

하게 되 정부 부담이 늘 것이

라는 우려도 나왔다. 보고서는 특히 젊은 연령층에서도 주택

보유 비율이 줄어들고 있다며

이러한 추세가 앞으로 40년간

계속될 것이라고 전망했다. 30~34세 호주인의 주택 보유

율은 이미 큰 폭으로 하락했 다. 1981년에 68%에 이르렀 던 이 연령대의 주택 보유율

은 2021년에는 50%로 하락 한 바 있다. 이번 보고서는 이

러한 하락세가 전 연령대에서 나타나고 있음을 보여주었다. 보고서는 지난 40년간 3.1% 에 달했던 호주 경제 성장률 이 향후 40년간 연 2.2%로 떨

어지고 기후 변화로 인해 막대 한 새로운 비용이 추가로 부과

될 것이라고 예측했다.

또한 보고서는 1인당 실질 국 민 총소득은 지난 40년간 연 2.1% 성장한 데 비해 향후 40 년간 연 1% 성장에 그칠 것으 로 내다봤다.

최근 Hotspotting보고서 에 따르면 Southport가 투 자자들에게 각광받는 지역 으로 떠오르고 있어 Surfers Paradise의 그림자에 서 벗어나고 있는 것으로 나타났다. 국내 톱텐 아파 트지역 보고서에 따르면 향 후 6개월 동안 아파트 핫스

폿지역으로 골드코스트에

서는 유일하게 Southport 만 포함된 것으로 나타났

다. Hotspotting의 Terry Ryder 이사는 올해 렌트비

상승율이나 주택가격 상승

율 그리고 신규주택 승인율

에서 아파트가 단독주택을

앞서고 있다고 말하였다.

Mr Ryder이사는 홈바이어 나 투자자들이 아파트를 우

선 선택하는 경우가 증가하 고 있다고 말하였다. 그는

이러한 현상이 단지 아파트

가격이 단독주택에 비해 싸

기 때문만이 아니라 아파트 들이 라이프 스타일에 편리 한 접근성을 가진 로케이션 에 위치하고 있기 때문이라 고 말하였다. 지난 12개월 동안 Southport지역에서 판매된 764채 아파트의 중 간가격은 $505,000인 것으 로 나타났다.

또한 Southport지역 아파 트의 공실율은 0.6%이며, 임대수익율은 6.1%인 것으 로 나타났다. Hotspotting의 Tim Graham 사장은 2018년 커먼 웰스게임은 Southport지 역에 많은 사회간접시설이 라는 유산을 남겼고, 현재 많은 새로운 사업체들로 인 해 경제활동 및 고용증대의 중심지역이 되고 있다고 말 하였다. 커먼웰스게임은 이 지역에

호주인 78%, 임대료

상한제

또는 동결 지지

세입자 절반은 임대료 동결 찬성

호주인 4명 중 3명은 임대료

상한제나 한시적 임대료 동

결을 지지하는 것으로 나타났

다. 에센셜 리서치(Essential Research)의 최근 여론조사

에서 응답자 1,151명 중 44%

는 임대료 인상률을 물가상

승률 이하로 제한해야 한다

고 답했다. 34%는 경제가 회

복될 때까지 임대료를 동결해 야 한다고 생각하고 있었다.

임대로 인상 빈도를 1년에 한

번으로 제한하는 방안을 지지 한 응답자는 11%였다. 응답

자가 현재 놓인 경제적 상황

에 따라 선호하는 임대료 제

한 정책은 달랐다. 재정적 어

려움을 겪고 있거나 심각한

재정적 어려움에 처해 있다고 답한 응답자는 임대료 동결

을 지지할 가능성이 더 높았

다(42%). 인플레이션율에 연

동한 임대료 상한제를 찬성

하는 경향은 경제적으로 편

안하거나 안정적이라고 답한

응답자 쪽이 더 강했다(46%)

. 집주인이냐, 세입자냐에 따

라서도 차이가 있었다. 주택

소유자의 51%가 인플레율로

제한된 임대료 상한제를 지

지하는 반면, 세입자의 50% 는 경제가 풀릴 때까지 한시

적으로 임대료 동결하는 방

안을 지지했다.

노동당 정부에 대한 녹색당 의 핵심 요구 사항은 호주인

3분의 1에 해당하는 세입자

들의 주거 안정과 권리 강화

에 착안해 있다. 연방정부는

임대료 문제를 주/준주 정부 차원에서 풀어가려고 애쓰 고 있다. 하지만 녹색당은 세 입자의 어려움을 연방정부의

주택 계획과 결부시키며 국 가 차원의 세입자 정책을 마 련하라고 압박하고 있다. 정 부가 상정한 100억 달러 규모 의 호주미래주택기금(Housing Australia Future Fund)

을 지지할테니 임대료 동결 과 임대료 상한제를 시행하 라는 것이다. 그 대신에 전국 내각(National Cabinbet)은 5년 간 100만 채였던 국가 주 택 공급 목표치를 120만 채로

상향 조정하고, 주/준주에 목 표치 초과 달성 주택당 인센 티브를 지급하는 30억 달러 의 기금을 조성하기로 했다.

또한 연방정부는 총선 주택 공약의 핵심이었던 '주택지 분공유제'를 주/준주 의회의

입법 하에 내년 상반기에 시 행할 것이라고 발표했다.

연방정부는 2063년까지의 호 주의 미래를 설명하는 최신 '세대 간 보고서'(Intergenerational Report)를 목요일(24 일) 발표했다. 호주인은 더 오 래 살고, 더 건강하게 살겠지

만, 경제 성장은 더 느리고, 경 제를 유지하기 위해 중요 광 물에 더 의존하게 될 것이다. 인구 고령화는 노인 및 보건 부문 지출을 증가시키면서 이 를 국가 재정에 대한 주요 압 력 중 하나로 만들 것이다.

짐 차머스 재무장관(사진:ABC)

짐 차머스 재무장관은 호주 가 "세대의 갈림길"에 서 있 으며 지금이 "우리의 조건에 따라 미래를 형성"할 기회라 고 말했다.

보고서에 따르면, 2063년까 지 호주 인구는 4,000만 명이 넘을 것으로 예상된다. 실질

호주-필리핀,

첫 합동

훈련 실시 세입자 절반은 임대료 동결 찬성

브라우너(Romeo Brawner)

남중국해에서 중국과 필

리핀 간의 긴장이 고조되

는 가운데, 호주와 필리핀

이 처음으로 동남아시아

에서 합동 군사 훈련을 시

작했다. 화요일(22일) 보도

에 따르면, 2,000명이 넘는

병력이 투입되는 이번 양

국 간 훈련은 21일부터 오

는 31일까지 진행되는 것 으로 알려졌다. 미국 해병

호주는 매년 동남아시아 에서 방어 훈련을 실시하 지만, 필리핀과 함께 지상 군과 공군이 함정에서 해 안으로 이동하는 상륙 훈 련을 하는 것은 이번이 처 음이다.

대원 150명도 이 훈련에 참 가한다. 훈련을 실시했다.

3국 군은 전날 스프래틀리 (중국명 난사·베트남명 쯔 엉사·필리핀명 칼라얀) 군 도에서 200㎞ 떨어진 팔라 완섬 부근에서 모의 공습

테오도로(Gilberto Teodoro) 필리핀 국방장 관을 만날 예정이라고 21 일 밝혔다.

연방정부, 생산성 향상 위해

'독과점 규제' 나서나

'경쟁 정책' 검토할 새 태스크포스 출범 "생산성은 긴급 과제, 개혁 방안 찾겠다"

연방정부는 경쟁 촉진 및 경제

활성화를 위해 대기업의 소규

모 경쟁업체 인수를 더 어렵게

할 규제제 도입을 고려할 방침

이다. 재무부는 생산적인 경제

를 조성하고 생계비 압박을 낮

추기 위해 2년 동안 경쟁 정책

설정을 검토할 태스크포스를

구성했다. 연방정부는 생산

성을 높이고 생활비를 낮추며

임금을 높이는 개혁에 중점을

두어 경쟁법과 정책 및 제도가

그 목적에 부합하는지 살펴볼

것이다. 이 태스크포스의 전

문가 패널에는 그라탄연구소 (Grattan Institute) 최고경영 자인 다니엘 우드(Danielle Wood)와 전 호주경쟁소비 자위원회(ACCC) 위원장인 로 드 심스(Rod Sims) 등이 참 여한다.

앤드류 리(Andrew Leigh) 경 쟁차관(assistant minister for competition)은 호주의 경제 생산성이 형편 없는 수

울워스 내 스시바

준으로 떨어져 있다고 지적 했다. 시간이 지남에 따라 신

규 창업 기업이 줄어들고 직

업을 바꾸는 사람들의 비율

이 감소하면서 경쟁력이 떨어

졌다는 것이다. 리 차관은 "지

난 20년 동안 우리는 시장 집

중도가 증가하고 마진, 즉 비

용과 가격 간의 격차가 증가 하는 것을 보았다"며 "이 모 든 것은 호주 경제가 덜 역동 적이 되었을 수 있음을 시사한 다"고 말했다.

Sushi Izu Southport Park

Sushi Izu Elanora

이러한 움직임은 대기업이 독 과점적인 힘을 악용하여 경쟁 업체를 시장에서 없애고, 이익

을 강화해 경제의 역동성을 약

화한다는 정부의 우려에 대한

대응으로 풀이된다. 소비자가

생활비 압박에 허덕이는 시기

에 선택의 폭이 줄어든다는 것은 동일한 서비스에 더 많 은 비용을 지불해야 한다는 것을 뜻한다. 리 차관은 "우리

는 더 생산적인 경제를 보장하 기 위해 호주에서 가장 취약

한 사람들을 돌보고 있다"고 말했다. 생산성 문제는 최근 몇 달 동안 정치적 화두에 올 라 있다. 빈약한 생산성 성장 을 복구하지 못하면 생활 수 준이 저하될 수 있다는 긴장 감이 조성된 상태다.

재무부는 10월 예산안에서 장

기 생산성 성장률 가정을 30 년 평균 약 1.5%에서 20년 평 균 약 1.2%로 낮췄다. 차머스 장관은 "호주의 생산성 성장

간 보고서'(Intergenerational Report) 공개를 하루

고 이뤄졌다. 차머스 장관은 "이 보고서는 생산성 성장을 활성화하기 위한 경쟁의 중요 한 역할을 강조할 것"이라고 예고했다.

어맨다 리쉬워스(Amanda Rishworth) 사회서비스장 관은 파트너에게 살해되

는 여성 피해자 수를 매년

25% 줄이는 것을 목표로

하는 여성 및 아동 폭력 근

절 5개년 계획을 발표했다.

연방정부는 '여성 및 아동

폭력 근절 10년 국가 계획'

에 따라 이번에 두 가지 실

행 계획을 마련했다. 첫 번

째 계획은 지역사회의 가정

폭력 및 성폭력을 종식하기

위해 준비됐으며, 두 번째

계획은 호주 원주민만을 위

해 고안됐다.

호주범죄학연구소(AIC)에

따르면, 2021년 7월까지 한 해 동안 25명의 여성이 당 시 또는 전 파트너의 손에

의해 사망했다고 한다. 여

성 4명 중 1명은 15세 이후

에 '친밀한 파트너 폭력'(intimate partner violence)

를 경험한 적이 있다. 친밀

한 파트너에는 현재나 과거

의 배우자・약혼자 모두 포 함된다.

연방정부는 첫 번째 계획인 5개년 1차 실행 계획에서

친밀한 파트너 살인 사건의

여성 피해자를 연간 25% 감소시키겠다는 목표를 설

정했다. 리쉬워스 장관은

"어떠한 여성이나 아동도 폭력의 공포 가운데서 살아 서는 안 되며, 사랑과 돌봄 을 고백한 사람에 의해 공 포에 떨어서는 안 된다. 또 한

향후 40년 노동 인구 줄고 복지 지출 늘어…

지난 목요일 (24일) 발표된

2023년 세대 간 보고서는 앞

으로 40년간 지속적으로 노

동 인구가 감소하고 노인 복

지 비용이 증가하면서 개인

의 세금 부담이 늘 것으로 내

다봤다.

2002년 당시 재무장관 피터

코스텔로가 도입한 세대 간

보고서는 향후 40년간 인구

증가, 노동력 참여, 생산성 증

가가 국가 재정과 사회에 미

치는 영향을 보여주는 것을

목표로 한다. 호주의 평균 연

령은 지난 40년 동안 30.2세

에서 38.5세로 늘었고 2063

년에는 43.1세가 될 것으로 예 측된다.

야당의 쉐도우 재무장관인 앵

거스 테일러는 정부가 국민

들에게 문제를 어떻게 해결 할 것인지 말하지 않고 새로

운 예측을 발표했다고 비난했 다. 야당의 대책을 묻는 질문

에 대해 테일러 의원은 정부가 지출을 삭감하고 다음 주에 발 표할 예정인 노사 관계 변화안 을 철회해야 한다고 말했다.

이번 보고서에 의하면 호주 정부는 2063년까지 매년 재

정 적자를 겪게 된다. 정부 의 재정 적자 중 가장 큰 원 인 중 하나는 정부의 복지 지 출일 것으로 보인다. 국가 장 애 보험 제도 (NDIS)에 대한

1인당 정부 지출은 2062~63 년까지 현재보다 237% 증가

해 $855에서 $2879로 늘어 날 것으로 예상됐다. 노인 1인 당 지출되는 정부 복지 비용 은 현재 1인당 1076달러에서 3481달러로 224% 증가할 것 으로 예상됐다. 정부 지출 중 가장 많은 부분을 차지할 영

역은 보건 분야로 앞으로 40 년 동안 117% 늘어나 2063년 기준 1인당 8,677달러가 소요

될 것으로 내다봤다. 국방비도

74% 증가해 1인당 정부 지출 이 3,263달러에 이르게 된다. 역설적이게도 인구 고령화로

인해 아동의 수가 줄고 학교 교육에 대한 수요가 감소함에

따라 교육에 대한 지출은 정체 될 것으로 보인다. 40년 후 정

부의 국민 1인당 총 지출은 2 만 3,808달러에서 4만 162달 러로 증가할 것으로 예상된

다. 이는 정부 부채의 이자 부 담을 포함한 것이다.

이번 보고서는 신기술, 탈탄 소 정책, 소비자 지출 패턴

의 변화, 지정학적 전망의 변 화로 인해 호주의 세금 제도 가 영향을 받을 것이라고 밝 혔다. 예를 들어 휘발유와 경 유 차량이 전기차로 대체됨에 따라 유류세는 사실상 사라질 것이다. 보고서는 “정부는 이

기 위해 세금

구조 에 대한 선택을 해야 할 것이 다'고 적시했다. 이 보고서는

호주 최대 슈퍼마켓 소매업 체 울워스(Woolworths)는 호주 식품 마진을 팬데믹 이 전을 상회하는 수준으로 끌

어올리며 견고한 수익 실적 을 냈다. 울워스가 지난 회 계연도에 거둬들인 순수익

은 4.6% 증가한 16억 2,000 만 달러다.

브래드 반두치(Brad Banducci) 울워스 최고경영자 (CEO)는 "2023 회계연도

는 수년 동안 코로나-19와

관련해 중대한 혼란을 겪은

후 상대적인 안정세로 돌아

간 해였다"고 말했다. 수요

일(23일) 발표된 울워스의 이번 실적에 이 대형 슈퍼마

켓이 판매 수익을 늘리기 위

해 인플레이션을 활용했다 는 비판이 제기됐다. 식품 사

업 영업이익률은 1년 동안 5.3%에서 6%로 급증했다.

주류를 제외했을 때 이 사업 부문에서 지난 10년 동안 가

장 높은 수치라고 한다. 반두

치 CEO는 슈퍼마켓 영업이 익이 식료품에만 국한되는 것이 아니며, 공급망 업그

레이드와 사업 운영 개선이 그룹에 도움이 됐다고 말했 다. 호주 식품 부문의 수익은 19.1% 증가한 28억 7천만

달러를 기록했다. 호주노총 (ACTU)의 조지프 미첼(Joseph Mitchell) 사무차장은 "울워스는 작년에 인플레 이션 비용 이상을 고객에게 전가할 수

Turn static files into dynamic content formats.

Create a flipbook
Issuu converts static files into: digital portfolios, online yearbooks, online catalogs, digital photo albums and more. Sign up and create your flipbook.
QLD KOREAN LIFE - V1037 by qldkoreanlife - Issuu