































































































































































































































































































































































































































































































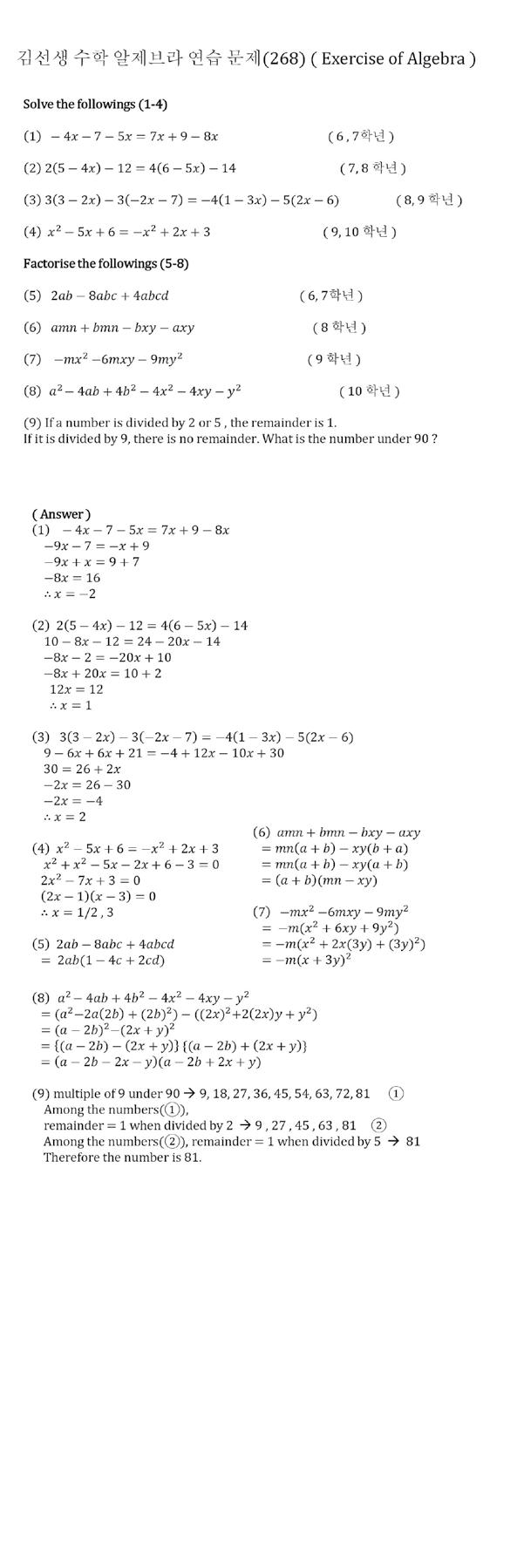
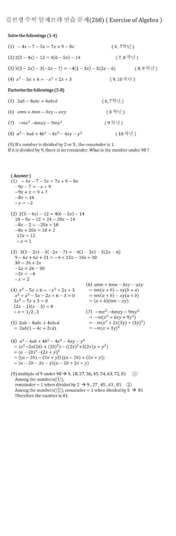
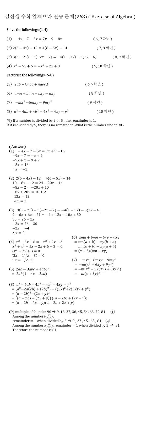
![]()






































































































































































































































































































































































































































































































3개월 만에 드디어 고시원을 계약하다
3개월간의 기나긴 임장을 거
쳐 드디어 우리는 고시원 원 장이 되었다. 각 방에 화장실 겸 샤워실이 모두 구비되어 있는 원룸형 고시원이었다.
여기서 잠깐, 이해를 돕기 위
해 고시원 유형에 대해 설명
을 하자면 고시원에는 원룸
형/샤워룸/미니룸이 있다. 원
룸형은 일반적인 원룸과 비
슷하지만 크기가 작은 것이
라고 생각하면 되고 샤워룸
은 간단한 샤워공간이 포함
되어 있지만 공용 화장실을
이용한다. 미니룸은 룸만 제
공하기 때문에 별도의 공용
사워실과 화장실을 제공한
다. 당연히 서비스 가격은 원
룸형>샤워룸>미니룸 순이다.
우리는 42개의 올 원룸형 고
시원을 선택했다. 샤워룸이나
미니룸에 비해 높은 월세를
받을 수 있고, 주기적으로 원
장이 청소하고 관리해야만 하
는 공용시설 부분이 적었으면
했다. 또한 보다 높은 입실료
를 받을 수 있었고, 그 말인즉
슨 조금이나마 경제적 여건이
나은 입실자들을 상대할 확률
이 높아진다는 말이었다. 따

머 듣기로는 어르신들이 많 이 거주하거나, 열악한 환경
의 고시원에서는 종종 고독 사가 발생한다고 했다. 그러
니 알 수 없는 '악취'가 난다
면 반드시 의심해 보라고 했
다. 만일 고독사가 발생한다
면 소리 소문 없이 시신과 방
을 정리하고 남아있는 입실자
들의 동요를 최소화하는 매뉴
얼도 있다고 했다. 그러니 만
일 그런 일이 생기면 당황하
지 말고 조용히 본인에게 전 화를 하면 도와주겠다는 친절
한(?) 선배 원장님도 계셨다.
참으로 고마운 말씀이긴 한데 웃어야 할지 울어야 할지 모 를 제안이었다.








라서 좀 더 운영상의 스트레
스를 줄일 수 있을 것 같았다.
(경제적인 이유로 입실료를
자주 미룰 가능성이 높은 진
상 고객도 피하고 싶었다.)


만일 당신이 운영하는 업장에 서 누군가가 외롭고 쓸쓸하 게 죽어나간다면 어떨 거 같 은가? 생각만 해도 끔찍하고 슬픈 일이 아닐까?



8월 더운 여름날 임장을 시작 하고, 12월이 되어서야 우리
는 최종 계약서에 싸인을 했 다. 그동안 정말 다양한 타입
의 고시원을 보았고, 다채로
운 사람들을 마주쳤기에 고시
원이라는 공간에 대한 두려움
과 어색함은 많이 무뎌진 상
태였다. 타인의 지옥이라고만
생각하고 뛰어들었지만 꼭 그
온실 속 화초처럼 직장생활 만 하던 나로서는, 그런 엄청 난 사건을 감당할 수 있을지 걱정이 밀려왔지만 만일 그런 일이 생긴다고 해도 이제는 어쩔 수 없는 일이었다.
이제 주사위는 던져졌으니 말 이다.
고시원을 양도한 전 원장은





렇지만은 않다는 생각을 어렴 풋이 하게 되었지만, 여전히
아는 것보다 모르는 것이 훨
씬 더 많은 초보 원장이었다.
2평 남짓 고시원에 사는
MZ세대 청년들
고시원을 인수하고 내가 가장
궁금했던 것은 고시원에 사는 사람들이었다. 앞으로 내가
운영해야 할 이 공간에는 어
떤 사람들이 살고 있을까? 어
떤 일들이 벌어질까? 하는 것 들이었다.
선배 원장님들에게 어깨 너
우리 보다 한두 살 어려 보이 는 30대 초반의 남성이었다. 생각보다 동안이었으며 서글
서글한 말투와 달리 무신경한
스타일의 사람이었다. 1차 충
격은 나보다 어린놈이 벌써
이 험한 업계에 뛰어들어서 '
부업'삼아 고시원으로 돈을
벌고 있다는 사실이었고, 2차
충격은 본인이 운영하는 고시
원에 대해 놀랄 만큼 아는 것
이 없다는 사실이었다.
"원장님, 지금 고시원에 주로 어떤 분들이 지내시나요?"
"아.. 음.. 아마도 대부분 공부 하시는 학생분들이 많을 거예 요." (잘 모르겠다는 듯이)
람은 없는지, 어떤 사람들이 사는지 파악하기 위해서 42 명이 입실자들에게 모두 전화 를 걸었다.
입실자 파악을 해보니 정말 대부분 직장인이거나 근처 학원에서 시험을 준비하는 20-30대 수험생 분들이었고 남성 비중이 압도적으로 높 았다. 고시원의 태생이 원래 는 고시 공부를 하던 학생들 을 위한 공간이었다는 것을 생각하면 고시원에 수험생들 이 많은 것은 이상한 일이 아 니었다. 더욱이 우리가 인수 한 고시원 근처에는 각 종 유 명한 대형 학원들이 포진되어 있었다. 그래서인지 지방에서 일부러 공부하러
"나이 드신 분들은 없나요?" "제가 알기론 없어요... 한두 분 계시려나?"(관심 없다는


받으며 멀쩡하게 직장생활을
하는 2030 청년들도 꽤 많았
다. 서울의 주거비용이 많이
높기는 하지만, 그래도 웬만
한 대기업에 다니면 원룸 정
도는 얻을 수 있을 것 같은
데... 그들이 굳이 고시원에 사
는 이유는 무엇일까? 그 속사
정이 궁금하지 않은가?
여기 30대 초반의 한 남성 입
실자가 있다. 인수인계받은
입실자 관리 명부를 보니 2년
넘게 장기 거주를 한 사람이
었다. 그는 근처 대형 금융회
사에 다니는 직장인이었는데
팀장 직함을 달고 있었다.
한 번은 그 입실자분께서 본
인 방에 물이 샌다고 카톡으
로 연락을 주셨다. 그런데 카
톡 프로필을 보고는 깜짝 놀
라지 않을 수 없었다.
35만원짜리 방에 2년 동안 거
주하고 있다는 그 입실자분의
카톡 프로필은 너무나도 화려
했다. 평소에는 톰브라운 셔
츠와 가디건을 즐겨 입으며
겨울에는 몽클레어 외투를 입
고 다녔다. 손목에는 번쩍이
는 롤렉스 시계를 차고 외제
차 앞에서 한껏 웃고 있는 사
진이었다.(뭐지..? 이 사람?)
아, 이렇게 돈을 펑펑 쓰고 다
니느라고 원룸 하나 얻을 돈
이 없어서 고시원에 거주하는 것인가? 한심하다.. 한심해!!!
라는 말이 절로 나왔다. 허영
심만 가득하고 내실은 1도 없
는 사람일 가능성이 높아 보
였다. 하지만 아직 단정하기
는 이르다. 고시원에 오는 사
람들은 다 저마다의 속사정이 있기 마련이니까. 한 가지 희
망적인 사실은 그 청년은 단
한 번도 입실료를 밀린 적이
없는 우량 고객이었던 것이었
다. 평소 말투나 행실을 볼 때
경우 없는 사람은 아닌 것 같
았지만, 또 그렇다고 해서 특
별히 성실해 보이는 사람도
아니었다.
명품을 휘감고 다니는
301호 장기 입실자의 충격적인 방 상태는 과연?
며칠 후 우리는 그 입실자 방
의 누수를 해결하기 위해 허
락 하에 방으로 들어갔다. 몽
클레어와 롤렉스 시계를 걸치
고 35만원짜리 고시원에서 2
년 동안 살고 있으며, 화려한 카톡 사진을 자랑하고 있던
그분의 방 상태를 확인하는
순간... 우리는 엄청난 충격에
휩싸였다.
이쯤에서 막간 퀴즈를 내보겠
다. 입실자의 방 상태는 과연 어땠을까?

1) 놀랍도록 더러운 쓰레기 방이었다.
2) 각 종 술병이 쌓여있고, 찌 든내가 진동을 하는 방이 었다.
3) 의외로 매우 깨끗했다.
. .
이 중 정답은 없다. 왜냐하면 매우 깨끗한 정도가 아니라 놀랍도록 단정하고 말끔했기 때문이다. 심지어 향기가 났 다. 방향제를 쓰는 것인지 아
니면 즐겨 쓰는 향수 냄새인
지 분간은 가지 않았지만, 도 저히 고시원에 혼자 사는 30 대 남성의 방이라고는 믿을 수 없는 향기로움이었다. 좀
창피한 이야기지만 솔직히
여자 혼자 자취하던 20대 시
절 내 자취방보다 훨씬 깔끔 했다. 그 좁은 공간에 모든 물 건은 신기할 정도로 제 자리
를 찾아 안정감 있게 정돈되
어 있었고, 90cmX190cm짜
리 좁은 침대는 호텔방처럼 각이 잡혀 있었다.
뭐지? 이사람...대체 정체가 뭐야?

고시원에 사는 사람이라는 편견 혹은 낙인
알고 보니 그분은 정말 내가
이미 알고 있던 바와 같이 멀 쩡한 회사에 다니고 있으며, 괜찮은 월급을 받는 평범한 직장인이었는데 그분이 고 시원을 선택한 이유는 단순 했다.
고 집에서는 잠만 자기 때문
에 주거비용에 많은 돈을 쓰 고 싶지 않았던 것이다. 알고
보니 멀쩡하다 못해 핵 가성
비를 추구하는 똑똑한 청년이
었던 것이다. (그 와중에 본인 이 좋아하는 명품 소비는 좀
하는 것 같았지만 말이다.)
완벽한 직주근접, 보증금 5만원, 월세 35만원 심지어 추가 공과금 전혀 없음.
생각해 보니 가정이 없고 회
사에서 보내는 시간이 대부 분이거나 밖에서 노는 시간이 많아 밤 늦게나 집에 들어오
는 직장인 싱글 남성에게 정
말 최적의 조건이었다. 요즘
시세로 최소 보증금 5천만원 은 있어야 서울 한복판에 원
룸을 얻을 수 있을 것인데, 보
증금 5천만원이면 웬만한 경 기도 지역이나 지방 소도시에
부동산 갭투자도 할 수 있는 액수이다. 극 가성비를 추구 한다면 고시원에 살면서 주거 비용을 최소화하고 부동산에 투자를 할 수도 있고, 본인이 좋아하는 여행을 즐기거나 종 종 명품 쇼핑도 할 수 있을 것 이다. 혹시나 통장에는 삐까 번쩍한 오피스텔 월세를 얻고 도 남을 만한 잔고가 있을지 도 모를 일이다.
우리는 늘 잘난 척하며 산다. 내 안에 수많은 선입견 혹은 편견에 사로 잡혀 색안경을 낀지도 모른채 말이다.
편견(偏見)
공정하지 못하고 한쪽으 로 치우친 생각.
"강남에 살면 분명 개부자일 것이다."
"8학군 출신이면 당연히 똑똑 할 것이다."
"고시원에 살면 당연히 가난 할 것이다."
"지방대를 나오면 성공하기 힘들 것이다." 뭐 이런 선입견들 말이다.
나 또한 알게
할 타인 의 시선은 생각보다 따갑고 쓰라릴 것이라는 생각이 들 었다. 그럼에도 불구하고 자신의 가 치관과 신념에 따라 고시원에 살고 있는 그 청년이 어쩌면


[국어사전] 선입견(先入見)
우리 고시원이 바로 회사 코
앞 5분 거리에 있으며, 라이프
스타일 상 집에 있는 시간보 다 밖에 있는 시간이 훨씬 많
35만원짜리 2평 남짓
어떤 대상에 대하여 이미 마음 속에 가지고 있는 고정적인 관념이나 관점
















by 지구별여행자 / 브런치

애플 하면 제일 먼저 스티브
잡스가 떠오르죠. 스티브 잡
스는 설명이 필요 없을 정도
로 유명한 인물입니다. 아이
폰 하나로 세상을 완전히 변
화시킨 인물이 바로 스티브
잡스입니다. 지금 우리는 스
마트폰 없는 세상을 상상할
수조차 없으니까요. 그런 그
가 췌장암에 걸려 시한부 선
고를 받았을 때 후임자로 정
한 인물이 바로 팀쿡입니다.
팀쿡은 다른 유명 기업가들과
마찬가지로 새벽 시간에 일어
나 그 누구보다도 하루를 일 찍 시작하는 인물입니다. 그 는 보통 새벽 3시 45분쯤 일 어나 하루를 시작한다고 합 니다.
나는 아이폰이 역사상 최고 의 소비자 제품이라고 생각 한다. 이제는 우리 삶을 관장 하는 가장 필수적인 물건이
되어 아이폰 없이 집을 나서 는 것은 상상도 하지 못할 것 이다.
I think the iPhone is the


best consumer product ever. And it's become so integrated and integral to our lives, you wouldn't think about leaving home without it.
정말 그렇습니다. 저 또한 아
이폰 없이 정확하게는 스마
트폰 없이 밖에 나가는 것
을 상상할 수조차 없을 정도
입니다. 버크셔 해서웨이의
워런 버핏은 애플 주식을 너
무 늦게라도 매수한 것에 대
해서 자신이 한 판단 중 가장


잘한 결정 중에 하나라고 말 한 적이 있습니다. 애플 주식
은 버크셔 주식 보유분의 무 려 40%를 차지하고 있을 정 도입니다. 워런 버핏은 애플 은 필수 소비재로 보기 때문 에 상당량을 매수했다고 언급 한 적이 있습니다. 보통 스마 트폰 사용 주기가 2년에서 3 년 주기이며 이보다 더 중요 한 건 스마트폰 앱 사용을 통 해 애플은 엄청난 소프트웨어 수익을 올리고 있습니다.
여러분의 능력이 무한하다는 사실을 받아들이면, 자신만의 우주에 흔적을 남길 수 있습 니다. 즉, 세상을 바꿀 수 있 습니다.
If you embrace that the things that you can do are limitless, you can put your ding in the universe. You can change the world.
세계적으로 성공한 지도자나 기업가들이 공통적으로 하는 말이 있습니다. "무엇이든지 이룰 수 있다. 스스로 그 일을 이룰 수 있다고 믿기만 한다 면." 애플의 팀쿡도 이와 비슷 한 이야기를 합니다.
"여러분의 능력이 무한하다
는 사실을 받아들이면, 자신 만의 우주에 흔적을 남길 수 있습니다. 즉, 세상을 바꿀 수 있습니다."
"나만의 우주에 흔적을 남기 다..."
우리는 모두 각자의 세상에 서 살아갑니다. 그러한 사실
을 인지하느냐 인지하지 않느
냐의 차이만 있을 뿐이죠. 하
지만 대부분의 사람들이 다른
사람이 상상하는 세상에 살
고 있고 있습니다. 그렇기 때
문에 스스로 세상을 바꿀 수
있는 무한한 능력을 이미 가
지고 있다는 것을 알지 못합
니다. 저 또한 그런 사람 중 한
명이었습니다. 다른 사람들이
만들어놓은 세상 속에서 남과

겁니다.
가장 중요한 것은 당신이 틀 렸다는 것을 인정하고 변화할
용기가 있느냐는 것이다. 나 에게 CEO로서 가장 중요한 것은 용기를 가지는 것이다.
The most important thing is, do you have the courage to admit that you've wrong. And do you change? The most important thing to me as a CEO is that we keep the courage.
삶을 살아가는 데 있어서 가 장 큰 장애물은 바로 두려움 입니다.
하지만 세상은 두려움으로 가득 차서는 안됩니다. 두려 움이란 실체가 없기 때문이 죠. 대부분 우리가 하는 걱정 과 두려움은 실체가 없습니 다. 우리의 생각이 만들어 내 는 것이죠.
두려움을 물리치는 가장 좋 은 방법은 용기를 갖는 것입 니다.
"내가 틀렸다는 것을 인정하 고 변화할 용기"
인생은 부서지기 쉽다. 우리 의 내일은 보장되지 않으므 로 오늘 당신이 가진 모든 것 을 바쳐라.
Life is fragile. We're not guaranteed a tomorrow so give it everything you've got.
"인생은 부서지기 쉽다."
전 이 말에 깊이 공감합니다. 정말로 그렇습니다. 우리의
인생은 부서지기 쉽습니다. 하지만 동시에 다시 일어서 기도 쉽습니다. 두려움과 걱 정으로 인생이 잘 풀리지
과거는 지나갔고 미래 는 아직 오지 않았습니다. 그 말 뜻은 우리의 내일은 보장 되지 않는다는 것과 같은 의 미입니다. 오늘 우리가 가진 모든 것을 바쳐서 현재를 살 아야 합니다. 그게 일이라면 일에 집중해서 최선을 다하 는 것이고 그게 사랑하는 가 족들과의 행복한 시간을 보 내는 것이라면 그 시간을 충 분히 행복하게 보내면 그만인 것입니다.
저도 인생은 잘 모릅니다. 하 지만 인생이 부서지기 쉬운 동시에 일어서기 쉬운 것이라 는 것은 알고 있습니다.
오늘 하루 힘들고 좌절했나 요? 괜찮습니다. 인생은 부서 지기 쉬운 게 당연한 겁니다. 그러니 훌훌 털어버리세요. 그리고 그냥 현재를


비교하며 나 자신을 자책하
고 스스로를 비난하기도 했습
니다. 하지만 지금은 제 스스
로 나만의 세상, 나만의 우주
를 창조했고 그 안에서 저라
는 사람이 주인공이 되어 삶
을 살아가고 있습니다. 그 누
구도 아닌 제가 창조하는 저
만의 세상, 그 세상이 바로 팀
쿡이 말하는 저만의 우주일


















































by manduwinetasting / 브런치
했습니다

제로 슈거, 다시 말해 무설 탕을 내세워 홍보하는 상품 이 봇물 터지듯 쏟아져 나온
다. 설탕은 최대한 줄이는 것
이 건강에 좋다는 슬로건 하







인공 감미료는 괜찮을까?
탄산음료를 즐겨 마시지는 않지만, 햄버거를 먹을 땐 단
짝인 콜라를 빼놓을 수 없다. 햄버거 먹으면서 무슨 칼로 리 타령이냐고 할 수 있지만
죄책감을 한 스푼 정도 덜고
자 제로 콜라를 주문한다. 제
로 콜라에는 설탕 대신 인공
감미료 중 하나인 아스파탐 (Aspartame), 아세설팜 칼 륨(Acesulfame-K) 등이 들어 있다. 찾아보니 아스파탐은 설탕보다 200배 달기 때문에
적은 양으로도 충분히 단맛을 낼 수 있다고 한다.
아스파탐은 보통 다른 감미료
나 식품 첨가제를 보충해 특
유의 쓴맛은 덜어내고 전반 적인 맛은 향상한다. 마찬가
지로 아세설팜 칼륨도 칼로
리가 없는 대체 당이다. 이 밖
에도 식품 성분표를 보면 사 카린(Saccharin), 수크랄로 스(Sucralose), 에리트리톨 (Erythritol), 자일리톨(Xylitol), 스테비아(Stevia) 등 설 탕을 대신하는 인공 감미료가 등장한다.
인공 감미료 적당량은 안전하 다고 하지만 무심코 우리가 먹고 마시는 것에 들어간 양
을 전부 따져보면 적지 않을
수 있다는 생각이 든다. 얼마
전 TV 광고에서 제로 슈거 소
여러분 그래도 술입니다. 설
탕의 단맛에 중독되면 헤어 나올 수 없다는 말을 자주 들어서인지 설탕을 멀리하 려는 노력은 하면서도 설탕 을 대신한 인공 또는 천연 감 미료, 다시 말해 여전히 단맛 을 내기 위해 존재하는 이 성 분은 멀리하려 하지 않으며 잘 알지 못한다. (아니 알려 고 하지 않는다는 게 더 맞는 말일까?) 식약청 허가가 난 것이니, 지금까지
에 음료, 아이스크림, 쿠키, 술
등에 ‘제로 슈거’ 또는 ‘제로 칼
로리’ 문구가 우리 시선을 사
로잡는다. 설탕이 안 들어갔
다면 맛이 없지 않을까? 그래
서 쿠키를 몇 개 사서 먹어 봤
는데 충분히 달던데? 뭐가 들
어간 건지 해서 성분을 살펴
보니 인공 감미료(artificial sweetener)가 설탕 자리를
떡하니 차지했다.
주가 나오는 것을 보고 ‘대세
는 대세구나.’ 싶었다. 다이어 트에 관심이 있는 사람이라면
칼로리 생각을 하지 않을 수
없기에 자연스럽게 제로 슈거
문구에 솔깃하다. 그리고 어
쩐지 칼로리를 낮추고 설탕
이 안 들어가면 건강에 그리
나쁘지 않을 것이라는 생각까
지 든다. 나의 뇌는 이토록 단
순했던가!
미칠 수 있다 고 한다. 칼로리에 감미료 일일 권장 섭취량까지 계산하다가 머리 에 쥐가 나서 관뒀다. 오늘 제 로 콜라 한 잔 마셨으면 쿠키, 아이스크림, 주스 등 당이 들 어간 음식을 덜 먹으려고 노 력하면 된다. 단백질 섭취도 늘리고 운동도 하고 식후 디 저트 먹는 습관도 줄이고. 제 로 슈거 문구에만 현혹되지 말고 보험 약관같이 적힌 성 분표도 가끔 읽어보자! 내가 먹고 마시는 것에 뭐가 들어 갔는지 알아 두어서 나쁜 것 없다.
<마시자 매거진>에 기고한 글입니다.














































일본
일본어
일본인 친구의 차를 얻어 타고
도쿄 시내를 돌아다니다 차에
기름이 떨어져 주유소에 들어
가는데 역시 친절하게도 직원
이 나와 공손히 인사를 하더니
두 손을 들어 차량을 유도한다.
직원의 안내에 진입하니 두 손 을 뒤로 흔들며 하는 말. 빠꾸!
이미 알고 있었지만 영어인 back! 을 일본식으로 발음한
걸 현지에서 새롭게 느낄 수 있 었다.
주유기 앞으로 후진을 하는데 직원이 팔을 번쩍 들며 소리 쳤다.
by 루파고 / 브런치
바로 그것이었다. All right! 더
이상 무슨 설명이 필요할까?
주유구를 열자 일본인 친구가
말했다.
만땅꼬!
우린 '만땅! 만땅!' 하여 일본어
를 우리말처럼 쓰곤 했는데 이 것 역시 영어와 일본어의 합성
어였던 것이다.
滿(찰 만) + tank!
여행을 마치고 나리타 공항에
가기 전날 친구 집에서 하룻밤
묵어가게 되었는데 마침 한국

인 친구가 왔으니 원어민 발음 으로 한국어를 공부할 수 있게
되었다며 일본인 용 한국어 교
본을 가져와 내게 밀었다.
아녕하시모니까?
교본에 기재된 히라가나로는
어쩔 수 없이 그렇게 표기되어 있었다. 원래 발음이 어렵다는
건 알고 있었지만 워낙 미국에
오래 살았던 친구라 발음이 불
편하지 않을 거라 생각했지만
그는 '안녕하십니까?'라는 발 음을 소화해내지 못했다.
그날 그의 아내를 포함한 세 명
모두 웃다가 배꼽 빠지는 줄 알
았다는 빛 바랜 추억이 있다.
친구의 성은 '나카무라'이다. 난
농담으로 이런 얘기를 해줬다. 한국에서 제일 싫어하는 일본 인이 누군지 아느냐고 물었고, 질문의 요지를 도저히 이해하
지 못하는 그에게 답을 알려 주 었다. '나카무라 상'이라고... 장 군의 아들 같은 일제강점기 배 경의 드라마나 영화에 주로 악
역으로 나오던 나카무라에 대 해 그가 알고 있었을 리가 없 으니 이해하기 어려웠을 거다.
아무튼 그걸 이해시켜 주느라
얼마나 진땀을 뺐던지 모른다.
오히려 이 이야기를 한국 친구
와 나누는데 지나가던 행인이
듣고는 빵 터졌던 적도 있었다.
by Artist Jin, 0455 872 743

덕과 지혜 그리고 부와 학
문의 정진을 상징하는 파
초를 그린 민화 파초도. 불
에 타도 속심이 죽지 않는 다해서 기사회생과 자강

불식을 상징하는 민화 소 재이다.
파초는 동남아시아가 원 산지인 다년생 식물로 잎
이 넓고 우아한 자태로 품
위가 있으며, 특히 겨울에 말라죽은 것처럼 보이다가
도 이듬해 새순이 다시 나
오고, 불에 탄 뒤에도 속심
이 죽지 않고 다시 싹을 틔 워 기사회생의 표상으로 여겼다.
조선 시대 후기에는 문인 사대부들에 의해 정원 문 화가 크게 성행하였다. 당 시 이러한 정원 문화는 명
나라 말기 강남지방 사대 부의 원림 문화 취향과 관
련 깊다. 조선의 문인들이 남방계 식물인 파초를 정




















자녀
by 다이앤선생님 / 브런치
몇 달 전 서울에서 친척 결혼 식이 있었다. 우리 부부는 시
아버지께 전화를 걸었다.
"아버님, 저희 차 타고 같이 가
시는 게 어때요? 저희가 모시
러 갈게요."
나는 시아버지께서 당연히 "
응, 그래 같이 가자."라고 하실
줄 알았다. 하지만 시아버지께
서는 혀를 차며 말씀하셨다.
"너희 아직도 새 차 안 뽑았
지? 그 차는 오래되고 좁아서
싫다. 우리는 버스 타고 가련 다."
우리 부부는 10년 전 시아버님
께서 남편에게 사주신 차를 몰
고 있다. 남들이 보기엔 고물
차로 보일지 몰라도 연애 때
부터 추억을 함께 한 붕붕이라 서 아직까지 헤어지지 못했다.
"그래도 버스보다야 저희랑 같이 가는 게 낫죠. 저희랑 가 요!"
우리는 시아버지를 다시 한번 설득했다. 그러나 시아버지는
단호하게 선을 그으셨다.
"아니다. 우리는 알아서 갈 테
니 너희는 우리 신경 쓰지 말 고 오너라."
우리는 전화를 끊고 뒤통수를
긁적였다.
"이상하네. 왜 싫다고 하시는
거지?"
"그러게. 진짜 자동차 때문에
그러시는 건가..."
이런저런 추측이 난무했지만
끝내 시아버지께서 우리 차를
타기 싫다고 말씀하시는 이유
는 알 수 없었다. 남편은 우리
자동차가 진짜 고물차로 보이
는지 진지하게 고민했다.
"우리 차가 그렇게 낡았나?"
"아냐, 난 우리 차가 제일 편하
고 좋아. 마음에 담아두지 마.
이왕 이렇게 된 거 둘이서 데
이트나하자."
"그래, 좋아!"
우리는 그렇게 훈훈하게 마무
리 짓고 서울로 향했다. 저녁
예식이라서 오랜만에 오붓하
게 둘이 점심도 사 먹고 아기
자기한 카페도 다녀왔다. 서울
까지 먼 길이었지만 댄스 음악
을 빵빵 틀고 드라이브를 하니
마음이 뻥 뚫리는 기분이었다.
그렇게 즐거운 시간을 보낸 우 리는 어느새 결혼식장에 도착
했다.
"어머님! 아버님!"
친척분들과 대화를 나누시는
시부모님의 모습이 보였다.
"어, 그래 너희들 왔냐?"
"언제 도착하셨어요?"
"우리는 세 시간 전에 왔지."
"헤엑. 진짜요?"
예식 삼십 분 전에 도착한 우
리 부부와 달리 시부모님께서
는 세 시간 전에 도착하여 대
기하고 계셨다. 시댁 쪽은 유
난히 친척이 많아서 한 명 한
명 인사하고 근황을 나누려면
시간이 많이 필요한 듯했다.
나는 속으로 우리 차를 탔으면
늦게 출발한다고 혼날 뻔했다
고 생각했다.
"이제 예식 시작하나 보다. 가 자!"
우리는 우르르 예식장에 들어 갔다. 야외예식인데 하필 비가
올 듯 말 듯 우중충해서 찬바
람이 훅하고 소매로 들어왔다.
"카디건 가져올걸..."
나는 울상이 되어 맨 살을 쓸 어내렸다. 그러자 시아버지께
서는 구석 자리를 가리키며 말
씀하셨다.
"저 쪽은 바람이 안부는 것 같
으니까 저기 뒤쪽에 앉아라.
우리는 앞쪽에 앉을게."
시아버지의 말씀대로 뒤쪽은
바람이 잔잔했다. 나는 맨 뒷
자리로 쪼르르 달려가 냉큼
앉았다. 남편도 나를 따라 옆



에 앉았다. 나는 남편에게 소
곤댔다.
"나만 추운 거 아니지? 아버님
은 안 추우신가?"
남편도 목소리를 낮춰 말했다.
"추워도 안 추운 척하시는 거 같은데? 그래도 가까운 친척
이니까 앞자리를 채워야 한다
고 생각하시나 봐."
"아, 그렇구나. 우리도 앞으로
가면 좋은데 너무 추워서 못
가겠어."
멀리서 지켜보니 시아버지는
찬바람에 닭살이 돋은 듯했고,
시어머니도 추우신지 자꾸만 스카프를 돌돌 동여매셨다. 다
행히 예식은 짧게 끝났고 식사 까지 마치고 나니 깜깜한 밤이 되었다. 우리 부부는 시부모님 께 말했다.
"돌아가실 땐 저희랑 가요."
시부모님은 또다시 버스를 타 고 돌아가겠다고 하시다가 결 국 못 이기는 척 말씀하셨다.
"그래, 같이 가자."
차에 올라탄 우리는 댄스 음악
을 클래식으로 바꾸고, 뒷좌석
을 넓히기 위해 앞 좌석을 앞 으로 당겼다. 남편은 어깨를 으쓱하며 말했다.
"아빠, 우리랑 가니까 훨씬 편 하죠?"
"흠흠, 편하긴 뭐... 좋긴 하네."
나는 시아버님의 말씀에 헤헤 웃었다. 고물차라고 서운해하 던 남편도 기분이 좋아진 듯 했다.
우리는 화기 애애한 분위기로 이런저런 얘기를 나눴다. 친척 중 누군가 취업했다는 얘기, 아파서 병원 신세를 지고 있 다는 얘기, 요즘 사람들은 결 혼을 안 해서 걱정이라는 얘 기, 나는 솔로가 재밌다는 얘 기 등으로 이야기 꽃을 피웠 다. 그러던 중 시아버지께서 말씀하셨다.
"나이 들면 인생이 참 허망해 져."
남편이 고개를 저으며 말했다.
"에이, 아빠는 자식 셋을 의대 에 보냈으니까 그 정도면 잘 살았죠. 혹시 지금까지 살면 서 후회되는 게 있어요? 내 나
이로 돌아가면 뭐 할 거예요?"
"음..."
나는 시아버지께서 무슨 말씀
을 하실까 궁금해서 귀를 쫑긋
세웠다. 동시에 내 머릿속에는 여러 가지 후보가 떠올랐다.
예를 들면 서울에 집을 사놨
어야 했다던가, 재개발될 땅을
사놨어야 했다던가, 로또를 샀
어야 한다던가, 더 좋은 직업
을 갖었어야 한다던가, 운동을
열심히 했었어야 한다던가, 여 행을 많이 다녔어야 한다던가
하는 수십
그리고 퍼즐이
듯 왜 시아버지께서 우리 차 를 타지 않고 버스를 타고 가 겠다고 우기셨는지 이해할 수 있었다.
서울에서 집으로 내려가는 고 속도로는 한산했다. 금세 톨게 이트를 지나 시내로 진입했다. 남편은 시댁 쪽으로 핸들을 꺾 었다. 그러자 시아버지께서 말 씀하셨다.
"굳이 집 앞까지 갈 필요 없다. 큰 사거리에서 내려주면 알아 서 갈게."
우리는 손사래를 치며 말했다. "아니에요. 바로 코 앞인걸요. 당연히 집 앞까지 가야죠." 우리는 또 이 문제로 한창을 실랑이하다가 결국 시부모님 을 집 앞으로 무사히 내려드렸 다. 시아버지께서는 손을 흔들 며 말씀하셨다. "고맙다.



by 서지현 / 브런치
위트와 위용 넘치는 이 한줄
멘트는 내가 올린 SNS 살림
피드에 지인이 달아 놓은 댓 글이었다. 그가 농 치듯 던지
할 필요, 이 또한 집안일의 '끝 이 없음'이라는 속성에서 기 인하는 일일 것이다.
그러나 아무리 헤어나오고 싶
은 집안일이라도 예외의 날이 있다. 햇살이 기분 좋게 집안


고 갔을 이 한 마디 말을 나는
마음에 담아두고 몇 번이고 곱씹었는지 모른다. 창밖 자
유와 주어진 생활의 의무 사
이에서 고뇌하는 현실 주부
의 자화상을 이보다 재치 있
고 능란하게 표현할 길이 있
을까. 아무리 찬란하고 눈부
신 봄날이라도, 산처럼 거대
하게 쌓인 집안일을 눈앞에
두고 미련 없이 제 몸을 내
뺄 수 있는 이가 과연 몇이
나 될까.
안과 밖의 구분이 없는 면으
로 이어져 있어 풀 길이 없다
는 신비의 뫼비우스의 띠. 한
때 영유아를 키우는 부모들
사이에서는 '뫼비우스의 감
기'란 표현이 유행처럼 나돌
았다. 아이들 감기가 끝이 없
다는 상황을 빗댄, 부모의 절
망적인 마음을 여실히 드러
낸 표현이었다. 나는 집안일
의 속성 또한 뫼비우스의 띠
를 똑 닮았다 생각했다. 시작
은 있되 끝은 없고, 아무리 부
지런을 떨어도 매듭지어지지
않는 살림이라는 희한한 세
계. 나는 온종일이라도 집구
석에 틀어박혀 꼼지락거릴 자
신이 있을 정도다. 자신만의
명확한 기준을 가지고 하루치
집안일의 시작과 끝을 분명히
으로 들이치는 날이면 계산 적이기만 하던 마음이 슬그머 니 경계를 허문다. 도리어 뫼
비우스의 살림, 돌고 도는 그
끝없는 순환의 세계로 제 발 로 찾아 들어가 오래 묵혀 두 었던 살림을 들쑤셔가며 계획
에도 없던 일을 벌이게 된다.
주부에게 볕이란 에너지의 다 른 이름이다. 예로부터 '볕이
논다'는 표현을 써 왔는데, 이 좋은 볕이 혼자 놀다 가도록
버려둘 순 없다. 그대로 손 털
고 집 밖을 나서기에는 꽤나
많은 미련이 남는 것이다. '노
는' 볕을 잘만 활용하면 많은
일을 수월하게 해낼 수 있다
는 사실. 이것은 나름 오랜 시
간 살림을 돌보며 터득한 살
림의 노하우와 같은 것이다.
하물며 장마철인데, 아침부
터 기세 등등하게 밀고 들어 온 햇살이라니. 이만하면 답
은 이미 정해져 있는 것 아닌 가. 그 귀하신 존재가 내뿜는
무언의 압박 속에서 그날 하 루의 일정과 움직임이 전면 수정된다.
나는 우리 집에 들른 햇빛을 버선발로 나가 마중하기 시작 했다. 굽굽한 이불을 펼쳐 널 고 아직 자줏빛이 선명한 햇
그런 흐 뭇한 기대를 품고 예정에 없 던 세탁기도 한두 번 더 돌린 다. 그러고도 노는 볕이 아까 워 뭐 더 내어 말릴 게 없나 작 은 살림살이까지 꼼꼼히 굽어 살핀다. 결국 수세미와 샤워 타월, 커피 내릴 때 쓰는 삼베 보자기까지 알뜰하게 앞 베 란다 선반에 내놓는다. 그러 고 나면 비로소 오늘 할 일을 마쳤다는 생각에 미치며 미소 가 난다. 햇볕은 원없이 놀면서도 제 할 일을 똑 부러지게 해내는 어느 숙련된 살림꾼인가. 똑 순이 햇살을 동무 삼아 힘든 줄 모르고 많은 일을 해낸 날











































요즈음 마을 학교 수업에 불
안한 마음을 안고 간다. 아픈
학생들이 많아서 결석자가 자
꾸 늘어나기 때문이다. 마을
학교에 도착하면 신발 수부터
재빠르게 확인하는 버릇이 생
겼다. 오늘도 신발 수가 적은
것을 보니 '아직 아프시구나'
내 마음마저 아파진다.
오전에 담당 주무관으로부터
다음 달부터는 10명이 안 되
면 마을 학교 문을 닫아야 한
다는 연락을 받았다. 10명을
만들면 계속할 수 있단다. 다
음 달은 오늘부터 계산해도 2
주 남았다. 2주라고 해야 일주
일에 이틀 수업이니 오늘 수
업 말고 3번밖에 남지 않았다.
5월엔 교과서 마칠 때까지 수
업해도 된다고 했다. 그런데
갑자기 다음 달부터 방침이
바뀌어서 어쩔 수 없단다. 2주
앞두고 연락하면서 새 규칙이
그렇다는데 어쩌겠는가.
그렇지만 어르신들 몸이 아파
병원에 다니며 치료하느라 결
석인 것을. 그분들이 언제 몸
이 회복되어 학교에 오실지
어떻게 알겠는가.
새로운 학생을 받을 수도 없
다. 진도를 따라오지 못하니
까. 6학년 과정 배우는데 자
모음부터 배워야 하는 학생을
어떻게 받을 수 있는가.
80대 중반의 어르신들을 일
반 정규 학생들처럼 규정대로
한다는 것은 모호하다는 생각
이 들었다. 그렇지만 힘없는 나는 따를 수밖에. 배우고 있 는 학생들이 문제다. 학생 10명 안 되면 마을학교 문 닫는답니다 by 이상자 / 브런치

학생들이 더 아쉬워하는
수업 종료
교과서 12권 중의 2권만 끝나
면 초등부 과정이 끝난다. 현
재 11권째 4단원을 배우고 있
다. (참고 : 성인문해교과서는
총 12권으로 1, 2, 3단계로 돼 있다. 1단계는 1~2학년 과정, 2단계는 3~4학년 과정, 3단계
는 5~6학년 과정으로 각 단계
별 4권씩으로 되어있다. 11권
은 6학년 과정이다.) 끝을 맺 고 싶은 학생들은 있는데 여 기서 중단하자니 난감하다.
코로나 19만 아니었으면 초
등부 과정을 마칠 수 있었다.
코로나19 때문에 이렇게 된 것이다.
담당 주무관의 말이 갑작스
러워 나도 당황했다. 그만둬
야 할 시기를 2주 남기고 수업
을 중단해야 한다는 말을 학
생들에게 하자니 난처하다.
담당 주무관의 말을 빨리 전
해야 어르신 학생들도 마음의
준비를 할 것이다. 그런데 공
부 시작할 때 중단해야 한다
는 말을 해야 할까, 수업을 마
치고 해야 할까, 아니면 다음
수업 날에 전해야 할까 고민
하며 마을 학교 교실문을 열 었다. 들어서자마자 최 학생 이 말했다.
"선생님 어쩌면 좋대유? 나 한글 다 알 때까지 배워야 하 는디 학생이 자꾸만 줄어서 걱정되유."
늦게 입학한 최 학생은 글자
를 띄엄띄엄 읽을 수 있게 돼 아주 열심히 하는 학생이 다. 결석자가 많아 최 학생이 더 걱정하는 것이다. 마을 학
교의 적정 인원수 미달로 그
만두게 된다는 말을 지금 해
야 할 것 같았다. 이분들도 마
음의 준비가 필요하니까. 나
는 좀처럼 떨어지지 않는 입
을 뗐다.
"그러지 않아도 오늘 시청 담
당자한테서 연락이 왔어요.
학생 수가 10명이 안 되면 이
번 달까지만 수업할 수 있다
고 하네요."
한동안 침묵이 흘렀다. 어떻 게 하면 좋으냐고 어디 다른
공부할 수 있게 보내달 라는 최○○ 학생. 2권만
내가 마음을 진정하고 끝나는
날까지 공부는 평소처럼 하자 고 했더니 기○○ 학생이 '끝 도 못 맺을 것을 뭐 하려 하느
냐', '책 펼 생각이 안 나면서
정신이 멍하다'라고 했다. 나 는 학생들에게 말했다.
"내일 세상이 멸망한다고 해
도 나는 오늘 사과나무를 심
겠다"라는 말이 있습니다. 마
지막 날까지 공부 열심히 하 자고요. 이 말은 스피노자라 는 사람이 한 말이라고도 하 고 마틴 루터 일기장에 있던
말이라고도 해요. 이 말처럼 세 번 남은 수업이지만 우리 는 마지막 날까지 하던 공부
는 계속해서 하자고요. 자, 26페이지 문제를 풀 차례지 요. 문제를 풀기 위해 24페 이지 아리랑과 밀양 아리랑 본문을 읽고 문제를 풀어볼 게요."
이번 단원의 문제는 다행히 재미있게 만들어져 있다. 오 늘처럼 무거운 날 안성맞춤이 다. 1번 문제는 '밀양 아리랑' 을 불러보기다. 내가 책상을 두드려 장단을 치고 학생들
이 노래를 불렀다. 당신들이 잘 아는 노래를 소리 내 불러 보니 기분이 한결 좋아졌다.
'아리랑'이 무슨 뜻인지 물으
니, 아무도 모른다고 했다. '아 리'는 '고운'이란 뜻이고 '랑' 은 '임'이라는 뜻이라고 했더
니 그동안 뜻도 모르고 즐겨 불렀는데 어떤 뜻인지 알게
돼 좋다고 했다. 그리고 이렇 게 배우면 좋은 것을 그만두 게 되어 아쉽다고 했다. 오늘
이 말의 뜻을 알게 돼 여러분 지식이 손가락 한 개 길이만 큼 늘어났다고 칭찬했다.
밀양 아리랑 가사 바꿔 부르기
3번 문제가 흥미진진하다. '밀 양 아리랑'의 노랫말을 지어 보고 불러보기다. 노랫말 짓 기 시간을 10분으로 정했다. 학생들이 10분도 되기
유." 두 권만 끝내면 되는 것을 마 치지 못하는 내
고 무겁다.
많이 들어서 한동안 가슴앓이 로 일상이 힘들 것 같다.

























































병실에 계시던 치매 할머니
는 매일 주삿바늘을 뽑겠다
고 소란을 피우셨고, 집에 보
내달라고 소리를 지르셨다.
오기가 나서 의사에게는 경
찰이라고 하고, 간호사에게
는 욕을 하셨다. 그러다 밥그
릇도 던져버리고 밤이면 더
심해지셔서 병실에 계신 분
들이 잠을 설치기 일수였다.
할머니의 간병인으로는 사
위와 아들이 번갈아오셨다.
사위는 차분하고 인내심 있
게 어르고 달래시며 간병하
셨고 아들은 울그락불그락
화도 내고 짜증도 내면서,
화가 나면 병실 밖으로 잠깐
씩 나갔다 들어오곤 했다. 치
매 할머니께서 너무 심하게
by 아인잠 / 브런치
난동을 부리실 때는 사위는 곤혹스러워하셨고, 아들은 같이 싸우고, 때리고 따박따
박 말대답을 했다.
그런데 치매 할머니를 보면 서 알게 된 것이 있다. 사위 가 밤에 잠을 잘 때는 그러
지 않으셨는데, 아들이 옆
에 간이침대에서 밤을 지새
우자 계속해서 이불을 덮으
라고 하셨다. 나중엔 간호사
를 불러서 이불을 갖다 달라
고 요청하셨다. 아들이 잠든
새 이불을 잘 덮었는지 잠을
잘 자는지 계속 신경 쓰시는 듯했다.
사위가 잠을 잘 때에는 이불 을 챙긴 적이 없으셨다. 나
에게는 살짝 사위 흉도 보셨 다. 사위가 돈을 안 줘서 딸
이 고생을 많이 했고, 안 해
본 일이 없다며 사위가 나쁜
사람이라고 하셨다.
보기엔 아들이 더 나빠보였
다. 열 받으면 노모와 맞서
싸우고, 혼내고, 집에가라고
소리를 질렀다. 그런데 사위
옆에서는 비교적 가만히 계
시는 치매 할머니를 보면서
사위는 어려운 존재, 아들은 아까운 존재로 느껴졌다. 흰
머리가 희끗희끗한 늙은 아
들이 치매 할머니를 모시고
겨우 겨우 밥을 떠먹여 드리 고, 수발을 들었다. 할머니는 그런 아들 앞에서 한사코 소
변을 실수할까 봐 참으셨다.
결국엔 소변줄을 꽂는 상태 까지 나아갔다.
할머니는 나에게 자꾸 손짓
으로 부르셔서 집으로 보내 달라고 하셨다. 병원에 있으 니 답답하다고 하시면서 아 들이 말을 안 들어준다고 하 셨다.
"할머니 힘드셔도 조금만 참으세요, 안 그러면 아드님 이 힘들어요. 어서 기운 차리 시고 밥도 잘 드시고, 아들이 가자고 할 때 가세요."
할머니는 애써 참으시며 '그 래도 집에 가야 하는데...'라 고 하셨다. "내가 병원에서
이러고 있으면 울 아들이 힘



드는데... 아들이 나이가 들 어 힘들어요..." 하시면서 아 이처럼 가만히 계셨다.
몸이 온전치 않은 상황에 서도 오직 자식 걱정인 할 머니를 보면서 '엄마'는 그 런 존재인 것 같다는 생각 을 했다.
치매 할머니의 말씀이 가끔 씩 생각난다.
"우리 사위가 돈을 안 벌 어줘서 우리 딸이 고생을
많이 했어요..."
오락가락 온전치 않는 정
신에도 한가닥 줄을 붙잡 고 계신 듯 정신이 잠깐씩 맑아질 때마다 딸 얘기를 하
셨던 할머니를 보며 나의 친
정부모님이 생각났다. 건강 하게


안녕하세요? 어떤 분의 질문을 받았습니다. “어
드레스를 할 때 손은 얼마나 왼쪽으로 빼야 하
나요?” 라는 질문이었습니다. 여러분들의 생각
은 어떤가요?
어드레스를 할 때 두 팔과 골프 클
럽이 보여주는 글자가 알파벳의 ‘Y’자 모양입니
다. 그런데 어떤 사람은 소문자 ‘y’를, 어떤 사람
은 대문자 ‘Y’가 좋다고 말 합니다. 과연 누구의
말을 들어야 할까요? 그리고 두 가지의 경우 모
두다 왼손의 정확한 위치는 어디일까요?
골프 클럽을 바닥에 세워 놓고 보면 조금 이해
by 티칭 프로 원성욱 (0402 598 961) 있게 됩니다. 그렇지만 핸드 퍼스트란 말 자체 에 너무 충실한 나머지 클럽의 길이를 염두 하 지 않고 또는 공의 위치를 무시하고 무조건 손 을 왼쪽으로 빼고 자세를 잡는 나쁜 습관이 스 윙을 망치게 됩니다. 어떤 분은, “그런 준비를 해 야 다운 스윙에서 왼팔이 리드를 쉽게 합니다.” 라고 하기도 하죠. 하지만 정작 그런 경우의 다 운 스윙을 보면 클럽 헤드를 많이 닫아서 잡고, 아웃-투-인의 궤도를 그리는 경우가 많습니다. 슬라이스가 아닌 낮은 풀 훅의 구질로 플레이가 어려운 지경에 이르게 됩니다.
가 될 것 같습니다. 제가 온라인에서 사진을 한
장 받아왔습니다. 각각 다른 길이의 클럽 3개를 가지고 헤드의 위치를 보여주고 있습니다. 아마
도 어드레스에서 클럽 헤드의 위치와 공의 위치
를 설명하고 싶은 사진인 듯 합니다. 그런데 여 기서 우리가 한가지 눈 여겨 봐야 할 부분이 있 습니다. 바로 클럽을 잡고 있는 왼손의 위치입 니다. 세 가지의 클럽 모두다 왼손은 왼쪽 무릎 보다 약간 위쪽으로 허벅지 안쪽에 자리를 잡고 있습니다. 하지만 길이가 서로 다른 세 클럽의
헤드는 드라이버는 오른발에서 왼쪽으로 멀리,
숏 아이언은 오른쪽 발에 가깝게 놓인 것을 알
수 있습니다. 다시 말하면, 드라이버의 경우에
는 손이 왼쪽에 나가 있다는 느낌이 올 수 없습
니다. 하지만 숏 아이언의 경우에는 왼손이 헤
드보다 왼쪽으로 나와 있는 모습을 볼 수 있습 니다. 이 부분을 우리가 ‘핸드 퍼스트’ 라고












by 트래비 매거진 / 브런치
백제의 고도, 부여로 향했다. 자동차를 타고 물 위를 달렸고
열기구에 올라 부여의 하늘을 여행했다.
부여 백마강을 달리다
부소산성 앞 주차장으로 버스 한 대가 들어왔다. 여태껏 본 적 없었던, 독특하게 생긴 버스
다. 2층 버스도 아닌 것이 높이만 해도 3m는 족히 되어 보인다. 버스가 아니라 장갑차를 보 는 느낌이었다. 배기구가 버스 위에 굴뚝처럼 달려 있는가 하면, 앞면에는 숨구멍 같은 것 을 열어 놓기도 했다. 뒤에는 프로펠러도 두 개나 숨겨져 있었다. 전국에서 유일하게 부여 에서 운행 중이라는 ‘수륙양용 시티투어 버스’다. 육지에서는 일반 차량처럼 도로를 달리는 버스로, 물에 ‘입수’한 뒤에는 프로펠러에 동력을 실어 달리는 보트 형태로 운행하는 방식 이다. 탑승 전에 승선신고서를 작성했던 것도 우리가 배를 타기 때문이라고 한다.
수륙양용버스는 육지에서는 일반 대형 버스와 거의 동일한 성능으로 달릴 수 있으며, 물 위
에서는 10노트(약 18km/h)로 나아간다. 버스를 운전하는 선장은 해기사 6급 이상의 자격
을 보유하고 있으며, 대형버스 운전면허도 취득한 베테랑이다. 문화유산해설사 역할을 하
는 승무원 또한 기관사 면허와 소형선박 조종면허를 갖추고 있어 비상 상황에 대비하고 있 다. 매월 전 직원이 자체적 또는 공공기관과의 협력을 통해 안전 교육을 진행하고, 비상조
끼 등 탈출용품 점검과 방역 소독도 꾸준히 이루어진다.


운전대가 2개다. 1개는 버스 운전용, 1개는 타륜이다
부여관광 수륙양용 시티투어 버스 뱃고동 인사 수륙양용버스가 힘차게 출발했다. 부소산성 주차장에서 시내 를 빠져나간 뒤, 국도 40호선을 타고 백마강교를 건넜다. 다리 위에서 백마강을 도하하고 있는 또 다른 수륙양용버스를 만났 다. 기분이 오묘해졌다. 우리가 타고 있는 이 버스도 곧 저렇게 강으로 뛰어든다는 것이 아닌가.
도로를 벗어나 비포장도로를 달리는 버스는 유난히 힘찬 엔 진 소리를 내면서 박차를 가했다. 승무원이자, 안전요원, 그리 고 문화유산해설을 도맡는 선생님이 외쳤다. “우리 버스는 곧 강물에 입수합니다. 자, 준비하세요. 하나, 둘, 셋!” 버스의 앞 부분이 슬로프를 따라 미끄러지듯 내려가더니, 이내 강물 속 으로 빠져들었다. 버스가 배로 변신하거나 한 것도 아니고, 그 냥 물에 빠져 버린 것이다. 심지어 한쪽으로 살짝 기울어지기 까지 했다.
당황했지만, 아무도 입을 열지는 않았다. 그저 동공만 이리저 리 움직일 뿐. 선생님이 침착하게 말을 이었다. “자, 좌우 균형 을 맞춰야 해서 자리를 옮기겠습니다.” 승객들이 선생님의 지 시에 따라 좌우측 좌석에 나누어 앉았다. 그제야 버스는 수평 을 유지했다. 안심이다. 곧이어 생소한 기계음이 들리더니, 버 스가 강을 힘차게 가르고 나아갔다. 두 개의 프로펠러가 돌아 가기 시작한 것이었다. 선장님은 무심한 표정으로 운전석 우 측에 설치된 또 하나의 스티어링 휠을 조작하며 방향을 잡고 있었다. 아, 저 특이하게 생긴 것이 타륜이구나.
백마강에 입수한 수륙양용버스는 부소산성 낙화암이 있는 곳 까지 달렸다. 배를 타고 있다는 느낌보다는 버스에 앉아 물을 가르고 있다는 느낌이 강했다. 물에 훨씬 더 가까웠다는 이야 기다. 좌우로 펼쳐지는 자연경관과 유적지를 두고 문화유산해 설사 선생님의 설명이 이어졌다. 죄송하게도 선생님의 말씀보 다는 이 순간에 우리가 버스를 타고 물 위를 달리고 있다는 것 이 더욱더 신기할 따름이었다.
반환점인 천정대에 이르자, 반대편에서 또 하나의 수륙양용버
부여의 명물, 수륙양용 시티투어버스

스가 다가왔다. 마치 인사를 나누듯 두 대의 수륙양용버스가
동시에 뱃고동을 울렸다. 그렇다. 분명히 버스의 경적이 아니 라, 뱃고동이었다. 우리는 창문 너머로 반대편 승객들에게 손
인사로 화답하며 40여 분에 걸친 백마강 항해는 끝을 맺었다.
슬로프를 타고 올라온 버스는 프로펠러를 접은 뒤, 다시 도로 를 내달렸다. 한 번도 강을 누빈 적이 없다는 듯이.
스카이배너 열기구 체험
진짜 하늘을 날았다니까
이른 새벽, 아직 잠이 덜 깬 눈을 비벼가며 백마강 강가에 도착 했다. 예정된 시각보다 조금 일찍 왔음에도 이미 약속 장소는 북적거리고 있었다. 거대한 바스켓에 매달린, 거대한 구피를
펼치며 이륙 준비를 하는 모습을 지켜보고 있는 순간까지만 해도 내가 날아오를 것이라고는 생각하지 못했다. 실감이 나 지 않았다는 뜻이다.
테이블에 놓인 체험 비행 동의서를 쓰고는 항공기 탑승권처
럼 생긴 티켓을 받았다. 이름과 날짜, 이륙 장소 등이 적혀 있 었다. 그러는 새에 열기구를 운용하는 스카이배너 팀 크루들
이 구피 안에 공기를 한껏 집어넣고는, 버너를 점화하며 온도
를 높이는 게 보였다. 신기하게 바라보는 승객들을 향해 스카
이배너 팀의 수장이자, 열기구 국가대표, 30여 년의 비행 경력
을 자랑하는 치프 파일럿 ‘서정목 대표’가 말했다. “이 정도 크 기의 구피에는 12톤의 공기가 들어갑니다. 버너의 열기로 구
피 내 공기의 온도가 100℃ 이상으로 높아지면, 기구가 공중 에 떠오릅니다. 반대로 공기의 온도가 낮아지면 기구는 천천 히 하강하죠.”
다들 궁금한 점을 묻다 보니 어느덧 이륙 준비 완료. 파일럿이 탑승하는 한가운데를 제외하고 네 개 구역으로 나뉜 바구니
에 차례로 올라탔다. “이륙합니다!” 치프 파일럿의 외침과 함
께 열기구가 둥실 떠올랐다. 패러글라이딩 경험은 전무, 집라
인도 덜덜 떨면서 타는 내가 열기구를 타고 있다니. 금방이라
도 주저앉아 눈을 질끈 감을 것만 같았지만, 이게 웬걸. 생각보 다 부드럽게 이륙하고 있었다. 엘리베이터를 타고 있을 때의 느낌과 비슷하달까.

백마강과 하늘을 가르는 열기구, 아름다운 부여


하늘을 나는 기분
“저희, 얼마나 높이 올라와 있는 건가요?” 한 승객의 물음에 파일럿은 손가락 4개를 펴 보
이며 웃었다. “400m쯤 올라왔어요. 최고 600m까지도 올라가는데 오늘은 날씨가 좋아서 평균치보다 조금 더 높게 올라올 수 있었네요.” 다들 놀라는 눈치였다. 그도 그럴 것이, 정 말이지 순식간이었다. 아니, 그보다는 바스켓 너머로 펼쳐지는 백마강 일대와 부여의 풍경 을 넋 놓고 바라보다가 시간과 거리 감각을 잃은 것에 가까웠다. 파일럿은 능숙하게 기구 를 회전시키기도 했다. 바스켓 내에서 이동할 수 없는 승객들에게 부여의 다채로운 풍경을 선보이고 싶다는 이유였다.
발아래로 궁남지와 부소산성이 눈에 띄었다. 부여 시내에 옹기종기 모여 있는 집들도, 백 마강을 가로지르는 부여대교와 백제교를 건너는 자동차들의 행렬도 그저 귀여울 따름이 었다. 맑은 날씨 덕분에 탁 트인 풍경을 감상할 수 있었다. 백마강을 따라 은은하게 피어오 른 물안개도, 산의 능선을 타고 넘나드는 구름도 그저 완벽했다. 하늘 위에서 직접 두 눈 으로 이 모든 풍경을 만나게 될 줄이야. 감동적인 순간이었다. 40여 분의 비행은 순식간 에 끝났다. 열기구는 천천히, 그리고 부드럽게 백마강변 들판에 착륙했다. 바스켓에서 내 려온 뒤, 스카이배너 팀에서 준비한 무알콜 샴페인으로 성공적인 비행을 축하하는 세레머 니를 즐겼다. 파일럿 서정목 대표가 설명했다. “옛날에 열기구는 유럽 귀족들의 산물이었어요. 그들은 하인들을 데리고 열기구 비행을 즐겼습니다. 하늘을 둥둥 떠다니는 열기구는 갑작스레 백 성들이 살아가는 집 앞마당에, 경작지에 착륙하는 경우가 많았다고 해요. 당연히 백성들의 원성이 자자했죠. 그래서 귀족들은 열기구를 착륙시킨
열기구를 탄 사람들이 착륙 후에 식사하는 문화처럼




















TSMIT 53,900 - 70,000 졸업생 비자 기간 최대 6년까지



호주 이민법은 세법과 함께 가장 변화가 많은 분야로 이민자들의 삶에도 큰 영향을 끼친다. 연방 정부는 변화되는 국내외 노동, 경제 환경에 따라 지난 5월 이민법 개 편 방향을 발표한 바 있다.
이에 따라 한호일보는 2023년 7월 1일부터 시행되는 이민 규정 변화와 그 의미를 다음과 같이 정리했다.
1. TSMIT(임시 이민 비자 소득 기준) 인상 (53,900 -> 70,000)




TSMIT는 고용주 지명 임시 비자 (SC482) 신청시 비자 신청자에게 지급되어야 하 는 최소 임금이다. 지난 10년간 53,900로 인상없이 유지되어 왔던 TSMIT가 이번 개편에서 70,000 달러로 대폭 오른 것이다. 통계에 의하면 기존 고용주 지명 임시 비자 소유자의 90%가 새로운 임금 요구사항을 이미 만족하고 있는 것으로 나타났 다. 다만 영세 사업주의 경우에는 해외 숙련 노동자를 고용하는데 부담이 더 늘어 날 전망이다.
정부는 노미네이션 (nomination) 신청서가 7월 1일 이전 접수된 경우에 대해서는 인상 전 TSMIT 기준 (53,900 달러)으로 비자 심사를 진행한다고 밝혔다.
2. 학생 비자 소유자 허용되는 근로 시간 증가 7월 1일부터 학생 비자 소지자는 학기 중 2주당 최대 48시간 동안 일할 수 있다. 이 는 팬데믹 기간에 한시적으로 허용되었던 풀타임 근로 권리를 없애고 이전과 같이 근로 시간 제한을 복구 시킨 것이다. 다만 이번 변화는 팬데믹 이전 2주당 최대 40시간 일할 수 있었던 것에 비하면 소 폭 증가한 것이다.
3. 졸업생 비자 (SC485) 기간 연장

qldkoreanlife.com.au qldkoreanlife - 한국내 �성급호텔, 레스토랑, 프랜차이즈�납품 - 호주에서�한국으로�직수입된�호주산�양고기 (단품, 선물세트)
눈에 띄지 않지만 졸업생 비자는 이번 개편에서 가장 큰 폭으로 변화된 영역이다. 팬데믹 이전 최대 2년이었던 비자 기간이 전공 과목에 따라 4-6년으로 늘었다. 4-6 년의 비자 승인을 얻기 위해서는 호주의 대학 이상에서 교육, 공학 및 농업 분야 의 과정을 공부했어야 한다. 해당되는 학위는 다음의 사이트에서 확인할 수 있다.
https://www.education.gov.au/extended-poststudy-work-rightsinternational-graduates/resources/list-occupations-and-qualificationseligible-poststudy-work-rights-extension
위의 목록 중 하나의 과정을 공부해야 하고 해당 과정이 학사 학위라면 4년, 석사 학위라면 5년, 박사 학위라면 6년의 졸업생 비자가 주어진다. 위의 목록에 해당하
지 않는 졸업생들은 기존과 같이 18개월~2년까지의 졸업생 비자를 승인 받게 된 다. 이는 7월 1일 이후 졸업생 비자를 신청하는 학생들뿐 아니라 7월 1일 기준 졸업
생 비자 소유자에게도 적용된다.
또한 자신의 졸업생 비자가 2022년 9월 1일과 2023년 7월 1일 사이에 만료된 학생
들은 코비드 비자 (408)을 신청할 수 있는데 승인되면 추가로 2년 동안 일할 수 있 는 자격이 주어진다.
4. 비자 신청 수수료 인상
비자 수수료가 6-40%까지 인상되었다. 관광 비자, 워킹 홀리데이 비자, 훈련 비자, 임시 근로 비자 등은 15%가 올랐으며 사업 및 투자 관련 비자는 40% 올랐으며 다 른 비자 수수료도 일괄적으로 6%씩 올랐다.
5. 뉴질랜드 시민, 호주 시민권 신청 자격 완화
2023년 7월 1일부터 호주에 4년 이상 거주한 뉴질랜드 시민은 영주 비자를 신청할 필요 없이 바로 호주 시민권을 신청할 수 있다.
이러한 변경 사항은 특수 카테고리 비자(444-SCV)를 소지한 뉴질랜드 시민에게만
적용되며 이는 SCV 소유 뉴질랜드인의 시민권 신청에 대하여 호주 영주권자와 동
일한 규정을 적용한다는 것을 의미한다.
6. 고용주 지명 영주 비자 대상 직군 확대
연방 정부는 올 연말 고용주 지명 영주권 (SC186)비자 신청 규정을 대폭 손질하겠 다고 예고한 상태다. 이에 따라 올해 12월부터 영주권 신청 가능 직업군이 대폭 늘
어난다.
기존에는 오직 중장기 전략적 직업군 (Medium and Long-Term Strategic Skills List)에 포함된 직업을 가진 사람만











주문/문의 0431 54 00 56




























































묠니르 대신 총을 잡은 햄식이
의 <익스트랙션>(2020)은 작
전 성공이었다. 방글라데시를
배경으로 납치된 마약왕 아들
을 구출하는 과정은 아드레날
린 분출 액션으로 꽉꽉 채워졌
다. 크리스 헴스워스의 액션은
스턴트맨 출신인 샘 하그레이
브의 연출력, <어벤져스: 인피
니티 워> <어벤져스: 엔드게임>
의 조 루소 감독의 스토리가 만
든 무대라서 더 강렬하고 빛났
다. 공개 이후 한 달도 안된 시
점에서 속편 제작을 알린 지 3
년이 흐른 올해 6월 <익스트랙
션 2>가 공개되었다. 2편은 과
연 어떤 액션을 보여줄까? 그리
고 햄식이는 왜 또 한 번 총을 잡 았을까?

중상을 입고 쓰러진 타일러(크
리스 헴스워스). 팀원 닉(골쉬프
테 파라하니)의 정성 가득한 간
호에 의식을 차리고, 교외 별장
에서 조용한 일상을 보낸다. 그
러던 어느 날 의문의 남성 엘콧 (이드리스 엘바)이 나타나 구출
작전을 의뢰한다. 의뢰인은 다
름 아닌 타일러의 전 와이프 미
아(올가 쿠릴렌코). 조지아 마약
수장인 남편의 강압에 아이들
과 감옥에 갇힌 그녀의 여동생
을 구하는 일이었다. 타일러는
그 즉시 몸 상태를 끌어올리고
닉을 포함한 팀원들과 함께 조
지아 감옥으로 향한다.
<익스트랙션 2>의 무기는 1편
과 크게 다르지 않다. 액션이다.
속편이라면 1편보다 더 크고 재
미있게 만들어야 한다는 고민
이 따르게 되는데, 샘 하그레이
브 감독과 조 루소는 액션으로
정면 돌파한다. 이번 작품은 1편
과 상반된 배경과 환경, 인물 구
성 등을 설정하면서 시각적으
로 새로움을 전한다.
더운 방글라데시에서 추운 조
지아로, 동남아 도심이 아닌 조
지아 감옥과 오스트리아 빈 도
심지로, 구출 인원이 1명에서 3
명으로, 카체이스 액션에서 열
차 액션으로 바꾸는 등 영화는
다변화를 꾀한다. 이런 상황에


서 구출 작전을 실행하는 타일
러와 팀원들의 공조는 1편에서
느꼈던 그 맛과 전혀 다르다. 구
출 인원이 많아 짐에 따라 액션 스케일은 커지고, 갖가지 변수
에 따라 달라지는 액션 루트가
많아 시시각각 변하는 액션 비
주얼의 재미가 쏠쏠하다.
이 시리즈를 대표하는 롱테이
크 액션 장면을 빼놓을 수 없다.
1편의 18분 카체이스 롱테이크
액션 장면에 이어 2편 감옥에
서부터 열차까지 이어지는 22
분의 롱테이크 액션 장면은 그
자체만으로도 완성도가 뛰어나
다. 400명 이상의 스턴트가 참
여한 조지아 감옥 탈출에서는
총, 칼, 삽까지 등장하며 죄수들 과의 육탄전을, 오토바이를 탄
적들과 대치하는 카체이스 장
면에서는 멋들어진 자동차 액
션을, 그리고 화물열차 내외부
를 넘나들며 적들과 대치하는
장면에서는 헬기 격추 액션까
지 구현할 수 있을 최대치를 끌
어올린다. (이 장면은 집에서 보
기에 너무 아까울 정도다. 이벤
트성이라도 극장에서 상영한다
면 무조건 간다!) 이 장면은 장 소마다 어떤 액션을 주로 보여
줄 것인지, 그에 따라 어떤 무기


를 사용할지, 동선은 어떻게 가
져갈 것인지에 대한 감독의 고
민과 노력이 빛을 발하는 결과
말할 수 있다.
앞서 소개한 롱테이크 장면
이 수평 액션을 주로 구사했다
면, 오스트리아 빈 도심지 액션
은 수직 액션을 구사하며 변별
력을 가져간다. 높이가 높은 호
텔을 기점으로 주차장까지 내
려가 탈출을 시도했다가 실패
하고 다시 헬기로 움직이기 위
해 옥상으로 올라가는 액션 동
선은 그 자체로 긴박감이 느껴
진다. 상층부 유리 지붕에서 타
일러와 빌런 주라브(토니케 조 그릭치아니)의 액션 장면은 누 가 떨어지지 않고 살아남을 것
인지에 대해 초점이 맞춰지며, 살얼음판 위 혈전의 짜릿함까
지 얹어준다.
1편의 기시감을 최대한 없애려
는 감독의 노력과 더불어 2편의 또 하나의 무기는 타일러의 전
사다. 1편의 팬이라면 그가 왜 위험천만한 삶을 사는지에 대 한 궁금증이 있을 터. 전편에
서 살짝 보여줬던 내비쳤던 그
의 전사는 이번 영화에서 큰 동 력이다.
각
동생(or 자식)을 위해 어떤 노력을 하고
혈전이 벌어지는 장소를






도시의 생활에 지친 주인공
이 고향 시골로 내려와서 직
접 수확한 작물로 소박한 음
식을 만들어 먹으며 사는 생
활을 그린 영화 ‘리틀 포레스
트’를 재미있게 보았었다. 원
작인 일본판에서 자기도 생을
즐기겠다며 고등학생 딸을 놔
두고 떠나버린 엄마를 이해하
기는 힘들었지만, 주인공이 4
계절 해 먹는 소소한 음식들
을 만드는 과정이 잔잔한 감
동으로 다가왔었다.
그 영화에서 주인공은 시간
이 흐르면서 자신도 요리 솜
씨가 좋았던 엄마와 비슷한
수준의 맛을 구현했다고 생
각하지만, 이상하게도 나물
요리만은 과거 엄마가 해준
맛이 나지 않는다는 것을 깨
닫는다. 고민해 본 결과, 그것
은 양념의 문제가 아니라 재
료 손질의 문제였다. 연한 잎
을 먹는 나물은 상관없지만
시골의 밭에서 딴 채소들은
줄기를 먹는 경우도 많은데
초기에 여릴 때를 제외하고
는 대부분 줄기가 굵어져서
질겨지는 경우가 많다. 그것
을 그냥 조리하면 섬유질이
너무 세서 식감이 좋지도 않
을 뿐 아니라 양념이 속까지
배지 않을 때가 많은 것이다.
잘 생각해 보니 그녀의 엄마
는 항상 줄기의 껍질을 까서
조리했었다. 자신도 그렇게
하니 엄마가 해주던 그 맛있
는 나물이 되었다.
나도 주부 경력이 꽤 길어지
다 보니 셀러리를 먹을 때 껍
질의 섬유질을 벗기는 정도
의 기본은 한다. 그러나 아직
도 친정엄마처럼 고구마 줄
기를 사다가 일일이 껍질을
벗기는 것은 엄두도 안 낸다.
남이 해준 고구마 줄기 볶음
은 아주 좋아하지만, 그 정도
의 시간을 들여서 나물 한 가
지를 하는 것은 너무 가성비
가 떨어지는 일이라고 생각하
기 때문이다. 그 시간이면 가
족들이 감탄할 수 있는 근사
한 요리 한 가지를 할 수도 있
는 것이다. 게다가 그 나물은 나만 좋아한다.
by 윤병옥 / 브런치
토마토 마리네이드
남편이 좋아하는 해산물도 다
듬는 게 만만치 않다. 새우도
귀찮아서 그냥 요리하면 무언
가 불편한 이물감이 느껴진 다. 새우 등 쪽에 내장이 있는
데 그것을 이쑤시개로 일일이
빼내야 깔끔한 요리가 된다.
겁먹을 필요는 없다. 시간이
없으면 과감하게 생략하거나
냉동 새우를 사용하면 된다.
또 그는 서해안 명물인 맛조
개를 정말 좋아한다. 초기에
는 눈치도 없이 껍질이 있는
맛조개를 나에게 내밀었다가
눈총을 맞고, 이제는 눈치껏
시장 할머니가 친절하게 까
서 주시는 맛조개를 사 온다.
그러나 이게 끝이 아니다. 시
장에서 오랫동안 해감을 하
고 껍질을 까서 사 와도 조갯
살 둘레의 검은 부분을 제거
해야 깔끔한 조개 맛을 볼 수
있다. 그래도 갯벌에서 조개
를 캐서, 하루 이상 해감을 하

받
아서 요리를 한다. 데쳐서 초 장을 찍어 먹어도 맛있고, 호 박과 두부를 넣고 맛조개 고 추장찌개를 해서 먹으면 국물 이 달큰하니 아주 맛있다. 결 국 맛있는 요리를 하려면 재
료의 성질을 이해하고 잘 다
듬는 작업이 필수이다. 이 번거로운
다른 말 로 하면 ‘정성’이다. 귀찮다고 생각하면 절대로 할 수 없는 일이다.
내가 사랑하는 사람들을 위 해 하는 일이니 기꺼이 시간 을 들여 하는 것이다. 그러니 요리의 비법은 미원이 아니라 정성이다.
최근에 가족의 건강을 위해 토마토와 올리브 오일을 주재
료로 하는 마리네이드 토마토
를 만들어서 먹었다. 주재료 는 아니지만 들어갔을 때 전
문가의 향기를 풍기는 허브가
없을때는 만들기를 망설이는
데, 주택에 살면서 텃밭을 가
꾸는 예쁜 내 친구가 민트 잎
을 따다가 주어서 당장 만들
었다. (바질도 좋고 민트도 괜 찮다.)
토마토가 좋은 식재료인 것
을 모두 알지만 껍질의 식감 이 불편할 수도 있고 껍질이 있으면 양념이 속까지 배지 않게 되는 문제가 있다. 역시 번거롭지만 껍질을 벗기는 정 성을 들여야 한다. 방울토마 토로 하면 한입에 먹을 수 있 어서 좋지만 작은 방울토마토 는 껍질 벗기는데 시간이 더 많이 걸린다. 그래서 내가 타 협한 것은 방울토마토일 경우

껍질을 벗기지 않고 반을 잘 라서 만들고, 중간 사이즈의 토마토의 경우 껍질을 벗겨 서 마리네이드 하는 것이다. 토마토는 익을수록 흡수도 잘 되고 껍질이 없으면 부드러운
- 끓는 물에 30초쯤 데친 후 찬물에 잠깐 담근다. - 토마토의 껍질을 깐다. - 양파 1/4개, 레몬 1/4 개, 민트잎 5개를 다진 다.(생 허브가 없으면 파슬리 가루나 바질 가 루를 넣어도 된다.)
- 올리브 오일 4큰술, 발 사믹 비네거 2큰술, 레 몬 반개를 짠 레몬즙, 유자청 2큰술, 소금 1 작은술, 후추 약간을 넣 고, 다진 재료를 넣은 다음 잘 섞는다.(생레 몬이 없으면 시판 레몬 즙 2큰술, 유자청 대신 매실청이나

















1. 방패 모양으로 만든 연
3. 글을 읽을 줄 모르는 무식한 사람의 눈
5. 하루의 몫이나 분량
6. 모질고 악독스러운 말을 함
8. 싸움을 치르는 장소
9. 남의 물건을 잽싸게 채어 달아나는 짓
11. 세계에서 두 번째로 큰 바다
14. 속에 간직하고 있는 든든한 힘 15. 가짜나 모조품
17. 돌로 만든 선사 시대의 무덤
19. 무대 장치나 분장에 쓰는 작은 도구류
20. 관우가 탔었다는 준마
1. 한국을 방문함
2. 새해 인사로 보내는 그림 있는 서장
3. 설날의 전날. 섣달 그믐날
4. 욕심을 내어 눈여겨보는 기운
7. 설을 맞이하여 새로 장만하여 입는 옷
8. 전선을 늘여 매기 위하여 세운 기둥
10. 상황에 따라 재빠르게 움직이는 능력
12. 좋은 약은 입에 쓰다
13. 묶어 놓은 짐의 한 덩이
14. 앞뒤를 생각하지 않고 내닫거나 덤비는 것















“비가 내린다. 아침부터 컨디션이 안 좋다. 환경
적 자극이나 어려움이 온다. 슬프다, 불안하다, 화가 난다”. 이런 불편한 감정들은 어디에서 오
는 것일까?
한 엄마는 시집살이를 하면서 시부모님이 주시
는 스트레스와 남편이 주는 스트레스를 참아내 기가 힘들었는데 그렇다고 시부모님과 남편에 게 대들 수가 없어서 첫째 딸에게 그 분노를 다
쏟아내었다고 한다. 아이에게 엄마가 힘든 이야 기를 하는 것도 아이에게는 힘든 일인데 스트레
스가 있을 때 마다 아이를 사정없이 내리쳤고 영
문을 모른 채 그 아이는 수 없이 매를 맞으면서
자라나야 했다. 성인이 된 그 엄마는 어느 날부 터 원일 모를 통증을 온 몸에서 경험하게 되어
정상적인 삶을 살아 내기가 힘든 사람이 되었다.
또한 엄마는 막내를 늦게 낳았다. 딸만 많은 집
이었기에 아들이 태어난 것이 너무나 기쁘고 좋
지만 체력이 예전 같지 않아 아이를 보면서도 짜
증이 날 때가 많아졌다고 한다. 남편이 아이를
돌 봐주기를 기대하지만 일로 바쁘게 뛰어다니
는 남편은 실제로 도움이 별로 되지 않고 하루
종일 아이들과 씨름해야 하는 엄마는 자신도 모
르게 아이들에게 화를 낸다고 한다. 엄마의 야단
을 듣는 아이는 자신도 모르게 자꾸 손톱을 물어
뜯게 되고 그것은 엄마의 야단을 더 듣게 만드는
요인이 되었다.
불편함으로 다가오는 많은 감정들은 그냥 표출
이 되진 않는다. 삶에서 다양하게 경험하는 일 상의 경험들이 감정을 느끼게 한다. 우리는 아 주 멋있는 사람을 보았을 때 가슴이 뛰고 설레
는 감정을 경험하게 되고 소중한 물건을 잃어버
렸을 때 슬퍼하고 때로는 절망감에 휩싸이기도 한다. 아주 오랫동안 바라고 소망하던 일이 이루
어지면 우리는 아주 기뻐하기도 한다. 이렇게 감
정은 외부의 자극에 의해서 나타나게 되는데 적
절한 감정은 우리의 삶에서 필요한 것이고 우리
가 어디에 우선 순위를 두어야 하는 지 우리 마
음에 무엇이 있는 지를 살펴보게 하는 좋은 신호
등이 될 수 있다.
그런데, 불편한 감정으로 많이 힘들어 하는 사람
들은 외부의 자극에 예민하게 반응이 되는 분들
인데 유전적 소인으로 태어날 때부터 예민하게
태어난 사람도 전체 인구의 20% 정도 있긴 하
지만 어린 시절에 자신이 감당하기에는 무리가
되는 큰 자극이나 트라우마가 될 법한 상처들로
인해서 신경 조절 체계의 경보음이 다른 사람보
다 훨씬 더 예민하게 반응되어지는 경우가 많다.
예를 들면, 아주 어린 시절에 부모님이 이혼을 하 게 된 경우 부모로부터 습득해야 하는 안정감, 소
속감, 가치 감 대신 불신과 불안감을 대신 경험해
야 했을때 그것이 큰 상처로 남아 있어서 조금만
불안한 일이 닥치면 그것에 위험 경보 신호가 발
동이 되어 나도 모르게 그 불안감을 주는 대상에 게 짜증과 분노가 일어나는 현상을 경험하게 되
기도 한다. 그 대상이 감당하기 만만한 대상일
경우 특히 그 부분이 자연스럽게 일어날 수 있고
그런 대상을 찾기가 어려울 경우에는 자기 자신
에게 짜증과 분노를 낼 수 있게 된다.
그래서 우리는 불편한 감정이 올라올 때 한 번씩
질문을 해볼 필요가 있다. 내가 지금 느끼는 감정
이 지금 경험하고 있는 일과 비추었을 때 경험되
어져야 하는 적절한 감정인지? 아니면 과거의 상
처로 인해서 과민하게 반응하고 있는 감정인지?
아니면 유전적으로 나는 예민한 부분을 타고 태
어난 사람이어서 매사에 예민하게 느끼고 반응
하는 편은 아닌지? 를 점검해 보는 것이 감정이 나를 지배하지 않고 내가 감정을 조절하면서 살
아갈 수 있게 하는 방법이다.
예를 들어, 오늘 아이가 노느라 숙제를 하지 않 았을 경우 엄마는 아들에게 실망을 할 수도 있고
하라는 것을 성실하게 하지 않는 아들이 염려스 럽다. 엄마가 다양한 방식으로 훈육을 할 수 있 지만 하나의 예로 “숙제를 하지 않았으니 오늘은 저녁에 보는 프로그램을 볼 수 없어!” 하는 벌을
줄 수 있을 것이다. 이것은 엄마가 느낄 수 있는
적절한 감정일 수 있고 적절한 훈육 방식일 수 있 다. 그런데, 또 다른 엄마는 똑 같은 상황에서 말
안 듣는 아이를 보면서 결혼 이후 자신의 말을 전 혀 듣지 않고 맘대로만 하는 것 같은 남편의 얼굴
이 떠올랐고 순간 남편에 대한 분노가 아이에 대 한 분노와 함께 떠올라 아이에게 폭풍 같은 분노
를 쏟아낸다 “ 너는 왜 이렇게 아빠를 닮아서 속
을 섞이니? 너, 엄마 죽는 꼴 보려고 그래? 너 하
나 보고 내가 지금까지 참아왔는데 너까지 그러
면 내가 어떻게 살라고 그래!” 라고 하면서 아이
의 엉덩이를 후려친다고 한다면 그것은 이해가 될 만한 감정이지만 적절한 감정이 아니고 과거
의 상처로 인해서 과민하게 아이에게 반응하고
있는 감정이라고 볼 수 있을 것이다. 특히, 자녀 양육을 할 때 어떻게 해야 하는 지를 유튜브라던가 방송 또는 책을 통해서 많이 배웠 고 머리 속으로는 너무나 잘 아는 데 실제 삶에
서는 늘 감정적 조절
에서 실패를 경험하는 엄마들이 있다면 지식
으로 아이를 키우려고 하기 보다 먼저 엄마 가 자신의 감정을 들 여다보는 작업을 해야 할 필요가 있다. 엄마 가 불안하다 보면 그

불안감을 상쇄하기 위한 수단으로 아이에게 과 도한 통제와 요구를 지속적으로 한다든가 아이 에게 자신의 불안한 감정을 짜증이나 분노로



























장원순 목사
사우스포트한인교회
포스트 코로나 시대를 살아
가면서 우리들의 마음이 더
욱 삭막해져 가는 것은 아닌
지 돌아보게 됩니다. 현장 예
배를 통한 만남이 자연스럽
게 줄고, 비대면 방식이 예배,
모임 등에서 활성화되어 가면
서 아예 공동체성을 잃게 되
지는 않을까 염려되기도 합니
다. 그래서 이번 달에는 독자
여러분들과 황금률의 말씀을
여러 각도에서 생각해 보려고 합니다.
마태복음을 읽다 보면 예수님
께서 말씀하신 실로 황금과
도 같은 규칙이 나오는데, 우
리는 그 말씀을 ‘황금률’이라
고 부릅니다. 예수님의 이 말
씀을 좀 더 깊이 묵상해 보면,
오늘 우리가 관계를 맺고 살
아가고 있는 이웃에 대한 생
각을 돌아보게 됩니다. 우리
들에게 이웃이란 어떤 존재일 까요? 우리들은 이웃이나 주
변 사람들과 어떤 관계를 맺
고 살아가고 있습니까?
참된 신앙이란 이웃을 비판 과 정죄의 대상으로 보는 것
이 아니라 사랑과 섬김의 대
상, 즉 대접하는 대상으로 보
는 것이라는 점을 기억해야
합니다. 창세기 18장에 보면
아브라함이 부지중에 세 천
사를 극진히 대접하여 놀라운
축복을 받은 사건이 기록되어
있습니다. 아브라함이 정오쯤
졸다가 눈을 떠 보니, 맞은편
에 어떤 세 사람이 서 있었습
니다. 아브라함은 그들을 자
기 집으로 모셔 들이고, 떡과
고기 등 자기 집에 있는 모든
것을 다 동원하여 극진하게
대접하고 발도 씻어 주었습니 다. 그런데 알고 보니 그들은 사람이 아니라 하나님의 사자 들이었습니다.
마태복음 18:1-10에도 보면, 예수님께서 어린아이라 할지
라도 극진히 사랑하셔서 머
리를 쓰다듬고, 안아 주시면 서 영접하신 일이 있고, 창녀 나 세리, 죄인을 구별하지 않 고 극진하게 대접하셨습니다.
이와 같이 우리가 이웃과 주 변 사람에 대해 지녀야 할 기 본적인 태도는 사랑입니다.
그런데 언뜻 황금률의 이 말
씀이 우리가 다른 사람에게
대접받기 위한 이기적인 생각
으로 다른 사람을 먼저 대접
하라는 것처럼 보여질 수 있 습니다. 하지만 이 말씀은 그 런 이기적인 동기가 아니라
사랑에서 비롯된 것을 말씀합 니다. 이것은 주기도문에서 “
우리가 우리에게 죄지은 자를 사하여 준 것 같이 우리 죄를 사하여 주옵시고”라는 기도 가 내 죄를 용서받기 위해 다 른 사람의 죄를 용서하는 것 이 아니라, “내가 하나님께로
부터 용서를 받았기 때문에 나도 다른 사람을 용서하는 것이 마땅하다”라는 뜻인 것 과 같습니다.
마찬가지로 “단순히 내가 대
접을 받기 위해서가 아니라, 사랑으로 내가 남을 대접하면 영적인 법칙에 의해 다른 사 람도 나를 대접하게 될 것이 다”라는 뜻입니다. 즉, 이 말씀 의 핵심은, 이웃은 비판의 대 상이 아니라 섬김의 대상, 대
접하는 대상이 되어야 한다는 것이며, 또한 내가 대접을 받 기 위해서 남을 대접하는 것
이 되어서는 결코 안된다는 것입니다. 그렇기 때문에 이 말씀은 예수님의 말씀 가운데 가장 핵심적이고 결정적인 메
세지인 “네 이웃을 네 몸과 같
이 사랑하라(마 22:39)”는 말 씀과 일맥상통하는 말씀입니
다. 사랑은 율법의 완성이요, 모든 계명은 “사랑하라”는 그 한마디에 모두 포함되어 있습 니다. 따라서 “남을 대접하라” 는 말씀은 곧 율법서와 선지 서의 핵심이 됩니다.
등살, 겨드랑이살, 팔뚝살 정리하고
민소매의 계절이 찾아오며 가장 고민이 되는 부분중의 하나가 팔뚝! 해변에 놀러가 수영복을 입으면 더 눈에 띄는 겨드랑이 주변과 등에 붙어있는 지방들.. 구독자분들의 요청으로 올해 여름맞이 상체 다이어트 시퀀스를 준비했어요. 오늘 알려드리는 동작은 어떠한 도구도 필요없이 맨몸으로 하는 운동이구요. 같은 동작을 다른 위치에서 포지셔닝만 다르게 하는 것이기 때문에 몇 번만 반복하면 금방 숙지하고 익히실 수 있을 거예요. 굽은 등과 앞으로 말린 어깨 펴는데도 도움이 되는 동작들이니 한번에 끝내지 마시고 주 3회 이상 관련 영상 되풀이 하시면서 자세교정 효과도 얻어 가시길 바랍니다. 오늘 알려드릴 동작들은 제 유튜브 채널 ‘요가읽어주는 여자 hayeon’에서 (DAY3) 살빠지는 요가 | 등살 빼고 싶으면… 편을 찾아 따라하면 더 정확하고 바른 자세로 안전하게 운동하실 수 있을 거예요.
팔, 어깨 라인 정리, 등 근육 강화, 안벅지 슬리밍 효과
STEP 1. 두 발을 벌린 상태에서 무릎을 바깥 쪽으로 접어 스쿼트로 앉아줍 니다.
STEP 2. 무릎을 접을 때 팔을 길게 뻗어 날갯짓하듯 천정 쪽으로 보냈다가 다 리를 펼 때 팔을 내립니다.
STEP 3. 척추를 편상태를 유지하며 두동작을 이어서 10-15회 이상 반복합 니다.
STEP 4. 두 팔을 길게 뻗고 등을 강하게 수축하는데 집중합니다.
TIP! 하체의 균형을 잘 잡기 위해 무릎을 발가락과 같은 방향으로 벌려주 고 복부의 힘을 쓰며 허리를 곧게 펴주세요.


코어와 척추 강화, 자세교정 효과
STEP 1. 배를 대고 누워서 두다리와 팔을 중심부에서 멀어지게 뻗어줍니다.
STEP 2. 숨을 들이쉴 때 두 팔을 머리 너머로 보냈다가 가슴을 들었다가 숨을 내쉴 때 등을 조이고 팔을 몸통 옆으로 조여줍니다.
STEP 3. 손을 뒤로 가져갈 때 겨드랑이까지 함께 조이며 두 동작을 이어 10회 이상 반복합니다.
STEP 4. 가슴이 바닥에서 잘 떼어지지 않으면 가슴을 바닥에 대고 팔만 움직 여도 등을 수축할 수 있을 거예요.
TIP! 등에 처음부터 자극이 안 온다고 포기하지 마시고, 집중하면서 반복 하다 보면 어느 순간엔 보이지 않은 등 근육의 움직임도 함께




Life) 대표 https://bit.ly/3w9ks4u (KOR)
https://bit.ly/SubscribeToYogasong (ENG) yogafulnesslife

: connect@yogafulness.life
홈페이지 : www.yogafulness.life


인스타그램 https://instagram.com/yogasong_hayeon
집에 있는 에어컨은 주기적으로 청소하는 사
람들이 많은데, 정작 매일 타고 다니는 차량
용 에어컨에는 무심한 사람들이 많습니다.
차량용 에어컨 역시 가정용 에어컨 못지않 게 주기적으로 꼼꼼히 관리를 해주어야 하
는데요, 에어컨 필터의 교체 주기는 어떻게
되는지 그리고 셀프로 에어컨 청소하는 법까
지 알아보았습니다.
자동차 에어컨 신경 써야
여름철 출퇴근 시나 나들이를 갈 때 자동차
에어컨은 선택이 아닌 필수가 되어버렸습니
다. 하지만 제대로 관리하지 않으면 꿉꿉한
날씨 속 에어컨에서 악취가 날 수 있는데, 창
문을 닫고 가까이서 트는 에어컨인 만큼 호
흡기 건강을 위해서라도 미리 점검을 할 필
요가 있습니다.
에어컨 바람 타고 세균 이동
에어컨을 사용하기 전 반드시 차량의 내부
와 외부를 청소해야 합니다. 자동차는 공
간 특성상 밀폐되고 환기가 잘 되지 않아
세균과 곰팡이가 생길 위험이 크며 에어컨
바람을 타고 곰팡이가 날아다니면 호흡기
질환이 생길 수 있기 때문입니다. 천식이
나 비염 등 알레르기 질환이 있는 사람 중
곰팡이 알레르기가 있다면 이는 더욱 치명
적일 수 있습니다.
에어컨에서 냄새가 난다면?
자동차 에어컨 냄새의 원인은 곰팡이인데,
습기가 많은 에어컨 내부는 곰팡이가 서식
하기 좋은 환경이 됩니다. 일단 에어컨 작동
전 곰팡이를 제거한 후 에어컨 작동 시 10분
정도 환기를 시켜주며 2주마다 에어컨 날개
와 필터를 청소해줍니다. 또 에어컨을 끄기
10분 전에 송풍 모드로 전환해 에어컨 내부
의 습기를 제거해주며 이러한 과정을 루틴
화하여 사용하면 냄새로부터 벗어날 수 있
습니다.
방향제나 디퓨저는 금물
자동차 에어컨에서 냄새가 난다고 해서 송풍
구에 방향제를 뿌리면 어떻게 될까요? 근본
적인 원인을 해결하지 못한 상태에서 곰팡이
냄새와 방향제 냄새까지 섞여 더 심한 악취 가 날 수 있습니다. 청소하기가 귀찮다거나
냄새가 심한 것 같지 않다고 생각해서 디퓨
저나 방향제를 사용하는 것은 절대 하지 말
아야 할 방법 중 하나입니다.
송풍구 꼼꼼히 청소
자동차 송풍구를 자세히 들여다보면 먼지
가 촘촘히 쌓여있는 것을 볼 수 있습니다.
대충 먼지를 털기보다는 이물질과 물기를 제대로 닦고 면봉에 세정제, 항균 제품 등을 묻혀 깊숙한 곳까지 닦아내도록 합니다. 이 외에 오염도가 높고 습기를 잘 빨아들이는
시트까지 주기적으로 청소해주면 더욱 좋 습니다.
6개월에 한 번 필터 교체 자동차 에어컨 필터는 6개월에 한 번 혹은 15000㎞ 주행 후 교체를 해야 합니다. 이 외 에 에어컨을 가동했는데 곰팡이 냄새가 난다 면 필터를 교체해야 한다는 신호입니다. 자동 차 에어컨을 작동시키면 외부 미세먼지, 배기 가스, 각종 세균 등이 차량 내부로 들어오는 데 에어컨 필터는 이런 오염 물질을 걸러 차
안으로 들어오는 것을 막아주는 중요한 역할
을 한다는 것을 잊지 말아야 합니다.
필터 셀프 교체 가능
차량용 에어컨 필터는 셀프로도 쉽게 교체 가 가능합니다. 조수석 앞쪽의 수납 공간인 글러브 박스 내에 있으며 글러브 박스를 열 고 양쪽의 연결고리를 분리한 다음 직사각 형 덮개를 열고 필터를 교체하면 끝! 스스로 교체하기가 번거롭다면 카센터에 방문해 도 무방합니다. 에어컨 필터를 구매할 때는

곰팡이나 세균 서식을 방지할 수 있는 항균 필터 제품을 선택하는 게 좋습니다.
교체 시기 조금 짧아도 좋아 자동차에서 마스크 역할을 한다고 해도 과 언이 아닌 에어컨 필터는 자주 교체하지 않 으면 본래의 기능을 하는 게 어렵게 됩니다. 에어컨 필터라는 이름 때문에 여름에만 쓴 다고 오해할 수 있는데 사실 필터는 공기 순
시원한 정도가 약해졌다면









한국통합민원센터 ㈜
해외에서 ‘국제운전면허증과 국내운전면허증’
재발급 및 갱신, 온라인 · 모바일 해결 가능
전 세계 어디서든 손쉽고 간편하게 처리 가능해

글로벌 민원서류 발급 대행 서비스를 하고 있는 한국통합민원센터(주)가 국제운전면허증 갱신
및 재발급을 해외에서도 손쉽게 비대면 원스톱
으로 처리할 수 있는 서비스를 진행중에 있다.
해외에 장기 체류중인 교민, 유학생, 주재원 등
의 경우, 상황에 따라 필요한 해외 민원서류를
준비하는 데에 많은 어려움을 겪고 있다. 특히,
생활에 필수적인 국제운전면허증의 유효기간
이 임박하거나 기존 운전면허증의 분실로 인한
갱신 및 재발급을 하는 경우가 대표적이다.
국제운전면허증 및 기존 운전면허증을 재발급
및 갱신하기 위해서는 개인이 직접 귀국 후 발
급 신청을 하거나 대리인을 통해 신청해야만 한 다. 대리인을 통할 경우, 위임장 및 여권 사본, 신
분증 등 많은 서류가 필요하며, 각 관련 행정기 관을 방문해야 하는 등 그 절차가 매우 복잡하고 까다롭다. 무엇보다 해외 현지에서 이를 개인이 처리하기에 물리적, 비용적으로 비효율 적인 문 제점이 있다.
최근 미국에서 귀국한 강씨는 "국제운전면허증
의 유효기간이 만료되기 전이라 재발급 받기 위 해 알아보던 중 국내는 물론 해외 현지에서도 빠
르고 신속하게 발급 및 갱신 서비스가 가능한 대
행 업체가 있다는 사실을 알게 됐다"며 "국제 운
전면허증 재발급을 통해 앞으로 해외에서 번거
로움 없이 운전 할 수 있게 돼서 기쁘다"라고 말 했다.
한국통합민원센터를 운영중인 후엠아이글로벌
은, 전 세계 150여개 국가의 기업 및 개인을 대상
으로 각종 민원행정 서비스를 제공하고 있으며, 민원서류 발급부터 번역, 공증촉탁대행, 아포스 티유, 영사확인, 대사관인증 등의 복잡하고 까다
로운 절차를 원스톱으로 진행하는 글로벌 민원
행정 컨시어지 서비스도 제공하고 있다.
한편, 지난 2022년에 미국 지사를 설립한 한국
통합민원센터는 현재 중국, 베트남, 홍콩 등 해
외 지사 설립을 확대 추진하는 등 전 세계로 서
비스를 확장해 나아가고 있으며, 2024년 코스닥
상장을 추진 중에 있다.
ACC 온라인 특강 (화요일 저녁 7시30분)
7월 4일 지혜로운 대인관계 기술 -김기환 박사
7월 18일 자기돌봄 - 서미진 박사
연락처: info@accu.edu.au, 02 6255 4597, 0402 140 905
개혁주의 성경 학당 특강
주제: 요한계시록 뼈대 읽기
일시: 7월 7일(금) 오후 2시~5시, 7월 8일(토) 오전 10시 ~ 오후 5시
장소: ACC(호주기독교대학, 로즈켐퍼스)
강사: 장 영 교수(Th. D. Stellenbosch Univ.) 현)
개신대학원대학교, 전) ACC(호주기독교대학) , SCD(시드니신학대학)
* 7월 7일 첫날은 공개강좌입니다. 교실이 좁은 관계로 수강자를 한정할 수밖에 없어
선착순으로 진행하오니 양해바랍니다.
* 미리 자리를 예약하실 분은 한국 전화번호 010 7227 2096(장 영)입니다.
카톡으로 연락 주시면, 자리를 미리 예약해놓겠습니다. 02 6255 4597. info@accu.edu.au
주최: 개혁주의 성경 학당 후원: 호주 기독교 대학
월드옥타, 2023년 대양주 대통합 차세대 무역스쿨 성황리에 마쳐
호주, 뉴질랜드 200여명의 청년 및 경제인들 동포사회 경제화설화에 대해 토의 하다.

세계한인무역협회(회장 장영식, 이하 월드옥타)가 재외동포 청년들의 해외 취·창업을 지원하기 위해, 5년 만에 대양주 지회 대통합으로 지난 23일 시작된 차세대 글로벌 창업무역스쿨이 25일 폐회식을 끝으로 2박 3일간의 일정을 마치고 성황리에 막을 내렸다.
2023 대양주 차세대 글로벌 창업무역스쿨은 호주의 시드니, 멜버른, 브리즈번, 애들레이드, 퍼스, 타즈매니아 6개 지회와 뉴질랜드의 크라 이스트처치, 오클랜드 2개 지회를 포함한 총 8 개 도시의 한인 차세대 CEO와 예비 창업가 등 이 참가했다.
23일 입교식을 시작으로 본격적인 교육이 시작 됐고, 입교식에는 월드옥타 대양주 지회 임직원 들과 호주 정부 인사 등이 대거 참석해 교육생들 의 입교를 축하했다.
24일부터 교육생들은 본격적으로 조별 토론 및 아이디어 공유 등을 통해 조별 과제 수행과
취·창업 아이템에 대한 열띤 논의를 통해 교육 생 간의 네트워킹 확대를 진행해 나갔다. 아울
러 대양주 경제 무역동향, 4차산업 시대의 기술 력과 사업방안 등에 대한 주요 연사들의 특강도 함께 진행됐다.
마지막 날인 25일에는 월드옥타의 핵심인 글
로벌 네트워킹 활용 방안 및 사례 공 유와 조별
로 3일간 이루어진 조별 창업 아이템들의 발 표가 진행됐다. 이번 창업무역스쿨의 아이템
최우수상은 ‘박스를 활용한 참 맑은소주의 호 주시장 점유율 향상 방안’이 차지했다. 이외에
Ryde council 한정태 시의원과 한인 밀집지역 Eastwood 한인타운 활성화 방안, 오라나 캄포
도마 마케팅 확대 방안 등이 우수 아이템으로 채 택됐다.
교육생들의 아이템에 현지 기업관계자들의 높 은 관심이 보였고, 총영사관 재외동포담당 영사 와 기업에서 직접 해당 마케팅 아이템에 적용을 위한 자리를 차주 마련하기로 했다. 조용운 시드니지회장은 폐회사를 통해 “오늘 수료하신 교육생분들은 이제부터 월드옥타의 진정한 가족이 됐다”며, “앞으로 월드옥타 활동 에 더욱 많은 참여를 통해 발전된 모습을 보여주 길 부탁드린다”고 말했다.
이번 대회를 통해 104명의 대양주 통합 창업무 역스쿨 수료생을 배출했다. 참가자 들은 대회 이후에도 지속적인 교류로 대양주 차세대들의 네트워킹 강화를 통해 취·창업 활성화와 대양 주 지역 경제를 넘어 모국의 경제 활성화에 기 여할 수 있는 미래 경제인으로 발돋움 할 것을 다짐했다.
대회 총괄 담당인 대양주 최원준 차세대 부위원 장은 “교육을 준비하면서 어려움도 있었지만, 올해 참가한 교육생들의 열정적인 모습을 통해 대양주 차세대 무역인들 의 교류가 계속 될 수 있도록 꾸준한 커뮤니티를 운영하겠다”고 말했 다. 차세대 글로벌 창업무역스쿨은 국외에서 나 고 자란 우리 청년들에게 한국의 얼과 민족정신 을 일깨워 한민족의 자긍심을 심어주고 모국을 체험할 수 있도록 지원하 는 월드옥타의 재외동 포 차세대 인재양성 프로그램이다.


Australian Federation of Korean Communities Inc
ABN : 15 247 830 975
퀸즐랜드 한인 여러분, 호주한인총연합회(이하 호주총연)는 호주 내 풀뿌리 운동 지원을
통해 동포사회의 정치력을 증대시키고, 동포사회의 권익 신장을 통한
한인 지도자 리더십 향상과 한호 협력관계 증진 및 공공외교에 기여하고
있습니다. 올해 행사의 일환으로 8월 25일, 26일에 걸쳐 호주총연 정기총회, 한인회장단 워크숍 및 차세대지도자 포럼을 개최할 예정입니다.
이에, 여러분의 많은 관심과 협조를 부탁드립니다.
1) 일시 : 2023년 8월 25일 금요일 오후 5시
2) 장소 : 브리즈번 다이아나 호텔 12 Annerley Rd, Woolloongabba QLD 4102
3) 참석대상 : 호주총연 정회원
4) 기타 : 타 지역 참석자 숙박(2인1실, 2박 : 8월25일, 26일) 및 식사 제공
**브리즈번 지역 참석자는 식사만 제공
**숙박의 경우 1인실 또는 추가 숙박, 식사 요청은 본인부담
1) 일시 : 2023년 8월 26일 토요일 오전 9시~12시
2) 장소 : 브리즈번 다이아나 호텔
12 Annerley Rd, Woolloongabba QLD 4102
3) 참석대상 : 현직 한인회장단(회장 및 임원)
4) 내용
- 각 주 한인회의 지원금 신청 우수 사례발표.
- 재외동포 업무 관련(김정혜 영사)
- 각 주의 한인회 운영 성공사례 및 어려웠던 내용 공유로 한인회 운영 의 미래 지향적 방안을 논의
- 네트워킹
- 각 주 한인회 소식 추가
- 한인회 활성화 방안 제안
5) 기타 : 현직 한인회장단 참석자 지원(각 한인회별 회장 포함 3명까지) - 교통비 : 브리즈번 $0, 골드코스트 $0, 시드니 $200, 멜버른 $200, 캔버라 $300, 아들레이드 $300, 태즈매니아 $300, 퍼스 $400, 다윈 $400
- 숙박 : 2인1실, 2박(단 브리즈번은 제외, 골드코스트는 필요시 1박 제공)
합니다. 또한 정회원으 로 등록하지 않은 분들에게도 권유하여 많은 분들이 참석하여 함께 즐거운 시간을 갖기를 소망합니다. 감사합니다.
호주한인총연합회장 김 진 성 드림
1) 일시 : 2023년 8월 26일 토요일 오후 3시
2) 장소 : QLD Winery
Albert River Wines : 869 Mundoolun Connection Rd, Tamborine QLD 4270
3) 참석 예상인원 : 140명(귀빈/초청자 포함), 차세대(퀸즐랜드 20명 + 타주 40명) 등
4) 차세대 참석자 대상 및 선별 방법 : 25세-45세, 각 주 한인회장 추천을 받은 자
- 각 지역 배정 인원(각 지역 한인회 회장 외 임원 포함)
- 브리즈번 + 골드코스트 : 20명, 시드니 : 12명, 멜버른 : 8명,
- 퍼스 : 5명, 아들레이드 : 5명, 캔버라 : 4명, 태즈매니아 : 3명, 다윈 : 3명
- 타 지역 참석자 숙박(2인1실, 1박 : 8월26일) 및 식사 제공
- 교통비 지원은 현직한인회장단 참석자와 동일
- 숙박의 경우 1인실 또는 추가 숙박, 식사 요청은 본인부담
5) 포럼 내용
● 귀빈 초청(대사, 총영사, 출장소장, 대양주총연회장, 퀸즐랜드한인회장, 호주 정치인 등)
● 현역 성공사례발표, 교수/연구원 초청발표, 현역법조인, 정치인 초청 등
- 차세대 지도자 리더쉽 향상, 네트워크 구축, 정계 진출 노하우 전달
6) 사업추진계획
- 참가신청서 접수시작 : 2023년 6월 20일 - 참가자 선발 - 각 주별 선발인원 확정 : 2023년 7월 10일 - ACT, NSW, QLD, VIC, SA, WA, TAS, DARWIN - 행사진행 : 2023년 8월 26일
7) 진행 계획
- 참가신청서 : 구글폼 작성 및 제출(아래 QR 코드 스캔하세요)
8) 행사 : 8월 26일 토요일
- 12.00~13.00 점심 식사 (도시락) - 13.00~14.00 호텔에서 행사장으로 이동 - 14:00~14:30 참가자 등록 및 기타
- 15.00~21:00 행사 개회선언 국민의례 호주총연 소개 회장 인사 말씀 환영인사, 축사, 연설 축하공연1,2 - 18.00~19.00 저녁식사 축하공연3
- 19.20~19.30 귀빈 배웅

- 19.30~21.00 포럼 2부 진행 - 라운드테이블, 참가자 네트워킹
- 21:00~22:00 행사장에서 호텔로 이동
*포럼 프로그램은 사정에 따라 변경될 수도 있습니다.
긴급/주요기관 안내전화
긴급전화(경찰, 앰블런스, 화재) 000
Police Liaison Unit(한국어) 3364 3217
경찰업무 관련 한국어로 통화를 원할 때
Police Link 131 444
가정폭력 1800 811 811
여성상담센터 0425 252 372
성폭행 상담 3636 2414
수도 1300 366 692
독극물, 생명전화(24시간) 13 11 14
위기구호, 아동학대 1800 177 135
음주, 마약 3236 2414
브리즈번 시티카운슬 3403 8888
골드코스트 시티카운슬 5582 8211
골드코스트 관광청 5592 2699
서프사이드 버스 시간표 13 12 30
센터링크 13 61 50 / 13 12 02(한국어)
이민성 13 18 81
일기예보 1900 914 450
임신상담, 정보 1300 139 313
의료기관 정보 3236 4833
전화번호 안내 12 455, 1233
전기, 가스 문의 13 12 53 / 13 62 62 (사고)
텔스트라 문의 125 111 / 1800 773 421(한국어)
통역서비스 13 14 50
대한무역진흥공사 02 9299 1790
간판/인쇄/디자인
i-hub 0435 831 116
NB Signs - 간판, 인쇄, 디자인 0421 790 885
Sunny Creative 0412 840 533
건강식품/기념품
뉴질랜드 초록홍합,녹혈,녹용 캡슐 판매 0403 736 998
드림로드 양모, 한국이불 3209 5445
New Core 건강식품 3012 7886
SINI 건강 (써니뱅크점) 3344 7881
건축/인테리어/집수리





한인
교민단체 골드코스트 한인회 0418 763 186
한인회 총연합회 0427 566 474
월남전 참전자 전우회 퀸즐랜드지회 0411 378 391
재향군인회 퀸즐랜드 분회 0412 629 358
퀸즐랜드 주 한인회 3390 0024/ 0424 724 624
퀸즐랜드 한국 참전 유공자회 0414 295 709
퀸즐랜드 한인 골프회 0430 202 239
퀸즐랜드 한인경로회 0418 883 377/3345 1400
퀸즐랜드 ROTC 동문회 0415 695 635
호주지회 0452 188 070
나이스 블라인드 3133 8330, 0421 594 083
대니 핸디맨 0402 299 915
백향건설 0434 763 843 / 0421 025 230
스타 블라인드 0430 715 906
에벤에셀 인테리어 0421 438 424
윈도우 아트 블라인드 0490 537 244
욕실 누수 전문(욕실 리모델링, 타일, 방수) 0452 471 080
콘솔 블라인드 0408 288 789
ARCHIONE Design Builders 0402 533 628
Beauty Home Blind 0408 011 021
Blue River Design & Construction 0478 709 032
Blue Whale Construction 0402 272 891, 0416 911 333
BL 핸디 홈 메인터넌스 0416 911 444
City Garage Doors 차고문 당일수리, 제작 0492 889 349
Dr 핸디맨 0478 833 415
G1 Painting 0450 959 010
퀸즐랜드 한인 비즈니스 협회 0408 889 792
퀸즐랜드 한인 오케스트라 0411 820 800
퀸즐랜드주 해병 전우회 0427 334 521
결혼 주례 써니뱅크 정부 공인 주례사 0408 688 010
i-Care 0433 494 281
골프레슨
원성욱 프로 레슨 0402 598 961
Victoria Park Golf Learning Centre 한국어 0451 899 874 교육/학원/개인교습

농장/목장
자연농장 5498 8904
떡집
만나떡집
레저/캠핑
Wi (캠퍼&트레일러 판매 및 대여) 3706 1553
미용/뷰티













Happy Blinds 0481 711 500









Hi Design & Construction 0430 900 630
J Plus Building Inspections 0422 773 031

김선생 수학 0430 127 992










K Total Construction 0466 127 884
KIM’S HOUSING 0411 097 908
NEXUS PLUMBING 0459 999 754
탑원 바이올린 0424 783 353
피아노 전공자쌤 0478 548 500
피아노/망고힐/시드니콘석사 장학생
세계대회1등 0433 309 331





OkayPainting 0430 889 559




OneStop Bath & Tiles 07 3034 1075 Shop4, 655 Toohey Rd, Salisbury
SUNSHINE 블라인드 0481 148 692
Total Cabinet 3299 1978
TOV Construction 0452 578 001
호주 라인 댄스 0401 812 610
CS Education 0402 855 802
EduPlanet College & QCM 3343 6343
Eight Mile Planes 유치원 3841 3350
Elite Tuition 0400 328 187(영 어) 0400 163 227(한국어)


WINDOW ART 3114 2145, 0490 537 244 건축 설계
mih architect
황용연 건축사 0451 377 843
LE SPA MASSAGE ACADEMY 3368 3362
SP 에듀케이션(하이스쿨, ATAR 대비) 3195 8532, 0411 168 007
Winny Family Care 0420 720 894
광고문의 0422 258 092, 0432 008 985 admin@qldkoreanlife.com.au
마운트 그라밧 마사지/뷰티 0493 655 970
미 앤 유 헤어 0409 893 239
웨딩메이크업헤어(withBRIDAL)
0481 982 486
살롱 헤드쿼터스(부부미용실) 0430 547 588
아이두 헤어(시티점) 3172 1173
아하바 목욕탕 3391 2279
웨딩메이크업헤어(withBRIDAL)
0481 982 486
제시헤어 0414 060 369
헤어시티 시티점 3210 1049
alabuu 0493 475 995
Hair Captain 헤어캡틴 0481 600 088
K Bridal Studio(Julie) 0451 373 313
M nails & beauty 0432 346 799
M&U Beauty Brow(미앤유 뷰티 쿠파루) 0423 056 137
The Face Shop (가든시티) 3344 6014 (써니뱅크) 3423 2514
번역/통역






가영 NAATI 3급 번역공증 0410 672 485
나티공인 한영/영한 번역사 0431 232 673
데레사 통역 0402 307 090
손지은 NAATI 3급 0412 088 428
호주 닷컴 온라인 번역공증 info@hojoo.com
JINO NAATI 통역서비스 0430 812 205
변리사
김현태 특허상표변리(호)사 040 433 5914
변호사
법무법인 Park & Co ㆍ 대표번호(유선) 3345 6665
ㆍ 대표번호(모바일) 0490 130 012 ㆍ 박창민 변호사 0452 435 447
ㆍ 김희용 변호사 0431 628 082
ㆍ 허성은 변호사 0425 030 220
H & H Lawyers 02-9233-1411
ㆍ홍경일 대표변호사
ㆍ강현우 형사전문변호사 0487-192-566
ㆍ김진한 변호사(이민)
ㆍ김현태 변호사·상표변리사
리틀즈 법무법인 ㆍ NSW 1800 000 119
ㆍ QLD 1800 082 082
ㆍ 김경태 변호사 0452 480 920
ㆍ 이종일 변호사 0434 980 635
성도 법무법인
ㆍ대표번호 3392 3981
ㆍ김문기 변호사 0411 211 227
ㆍ김태규 변호사 0403 689 714
KLS Legal Practitioners
ㆍ사무실 (07) 3113 3790
ㆍ나윤제 대표변호사 0423 005 035
ㆍ신선미 변호사 0412 693 115
김린 변호사 0404 871 986
김영규 변호사 07 3210 6489, 0411 624 779

무담보 소액대출(호주 어디서나) 0412 232 889
미래종합금융 1300 882 595
ANZ Jin Lee 0434 689 100
C-Herald Insurance 1800 998 557 C-Herald Finance 1800 998 557
Focus Loan(오지훈) 0420 847 110
Hana Finance (알렉스) 0410 622 838
AACA (All About Care Australia) 07 3133 0209 (Gemma) 0430 218 030 (Tasha) 0402 595 741 ONE DREAM
1800 841 777
Remax 부동산 써니뱅크
조권현 0452 65 88 78
YONG 부동산(오세진) 040 228 3003
사진
Alicia’s Photography 0478 825 233
상담/심리치료
ACC 상담센터 02 6255 4597
JR 부부상담연구소 0434 487 433
브리즈번 명상센터 0466 211 405
숙박시설
스프링우드 타워 호텔 3387 7077
호텔 다이아나(한국어) 3896 1691
송금/환전

한국송금(구. 코원송금) 0474 373 007
스포츠/체육관
원 태권도 0430 295 881
Sunnybank 테니스클럽 0430 014 221




Sunnybank 당구장 0430 014 221 식당/카페
AKLINKS 손한나 대표 0428 87 5050

Bluedog 부동산 0419 536 071
Bluedog 김수정 0408 622 934
3 Sisters 3195 4481
누나네 해장국 3107 4158
마녹파크 0433 276 449
마루 3221 7778, 3012 9912
모모치킨(city) 3012 8238
모모치킨(runcorn) 3841 8068
박근영 변호사 0433 372 566 주광훈
HD Property 황기철 0413 515 788
0405 694 497
정회림 변호사 07 3195 4807
진승희 변호사 0403 503 530
LinkOz 이정민 변호사 0401 576 978
Harcourts Calamvale (홍성우) 0415 413 769
Ideal Realty Advisors (시드니) 02 8007 4989, 0414 088 089
LJ Hooker 최경식(Kyle Choi) 0429 598 838
Link Plus Realestate 이지영 0450 908 864
Raas Group 0420 486 651
미담 3344 5001
불고기 Bros 3350 2233
샤부하우스 (일식 부페) 3211 5407
소문 삼계탕 3158 3709
차미 푸드 앤 보틀샵 3210 6349
코릴라 바베큐 3211 1212 콩닥
여행/공항픽업
가나안 공항 픽업 0478 833 415
도움 투어 3012 8383
우리여행사 0412 393 713
케니 여행사 3344 3220 / 0402 729 595
현대 투어 0432 140 083
HT 여행사 3003 1771
운송/택배/이사




시온 에어컨 냉동 0434 486 877
에어컨 청소 FreshZone 0431 135 071
Airmazing 0451 104 439, 0402 005 079
Fresh Cool 0401 627 853
LEES 에어컨 설치 0434 378 245
SONG 에어컨 설치 0414 781 645
SWIND 0451 994 144
OK 냉동 서비스 센타 0423 457 898
유통


의류/침구/옷수선
드림로드 3209 5445, 0433 267 953
차밍 옷수선 0403 617 076




한복 대여점 이음 e-uum 04 2121 3656
OUR HANBOK 0423 378 055
자동차운전학원
메이 운전학원 0419 708 177
부부 운전학원 0414 273 087
자동차정비




































웨스티마켓 0450 103 788
Milton Exchange (노브랜드 유통) 0438 545 007
Cordelia International (온리프라이스





제품외 유통) 0450 103 788













유학원
도움 유학 3012 8383
GLOBAL MATE 3221 8318 0451 281 841
극동 한의원 Far East Acupuncture 0402 527 717
라파 한의원 0452 563 365
모유사랑 모유수유클리닉 (상담, 유방관리) 04 5675 5675




HT 유학원 3003 1771




가나안 용달 서비스 0478 833 415
(각종 소형 ‘짐’ 운반)
대한통운 국제택배 0431 571 657
와이즈 국제물류 1800 577 369
한진택배 0431 231 468
현대택배 0430 014 221
HT Logistics 3823 1802
PNL 택배(한국-->호주) 0449 24 8282
이민 컨설팅
가영 비자 이민 컨설팅 0410 672 485
백승용 이민법무사 3323 3186
변기훈 이민법무사 0425 669 799
이정민 법무사 Select Australia 0430 592 230
채정우 이민법무사 0423 687 378
호주닷컴 02 9746 1452
의료/병원/한의원
보화당 한의원 3219 1002
언어치료사(Speech Pathologist) 0473 562 154
엔한스 덴탈 스튜디오 (런콘) 07 3423 0783
족부 의학 클리닉 (써니뱅크) 07 3344 6866 (해밀턴) 07 3741 2825
질미어 치과병원 3265 6010
Carindale 자매치과 (김현아/김은아) 3324 9172
Dr.허 시티 한국인병원 3210 2111
Dr.허병원 Skin Clinic 0407 112 342
Exceptional Dental 3118 5306
Hybrid Physio 3190 9747
JINDALEE Complete Dental 3376 5475
My Clinic (Dr 제임스 강) 3272 2202
The Dental Club 1300 165 768 Stafford | Caboolture | Bellmere | Griffin

조이모터스(정비) 3277 2477
Autocrew Motors 3191 7044 0416 422 099, 0433 649 931
Pro Tinting 0432 390 910
SK 자동차 공업소 3423 8085
Speed mate 자동차 정비 0416 191 319
Top One Motors 0430 123 711
Key 서비스




























3345 5113 토마스 정육점 (런콘점) 3423 1337


0423 333 932
0431 686 296
0433 689 717
청소/방역
원스톱 방역 & 카펫 청소 0401 600 887
원펀치 터마이트&페스트컨트롤 0402 157 905
써니뱅크 터마이트 0412 178 944
짐스 터마이트 & 페스트 컨트롤 0416 515 874
클린킹(청소용품판매) 3208 1333
JCM 터마이트&페스트 닥터팀 0430 318 776
간판/인쇄/디자인
써니 크리에이티브 0412 840 533
NB Signs - 간판, 인쇄, 디자인 0421 790 885
건강식품/기념품
장로교회 0423 733 599 ㆍ
ㆍ
왕성교회 0400 878 882
은혜교회 3376 2143 / 0433 677 241
임마누엘교회 3344 7521 ㆍ 브리즈번 좋은감리교회 3343 1817 / 0413 608 392
ㆍ
브리즈번 주안교회 0432 680 975
ㆍ 브리즈번 평화교회 0425 252 372
ㆍ 브리즈번 한인장로교회 3341 9232
ㆍ 브리즈번 한인중앙장로교회 3202 9553 / 0413 515 737 ㆍ 브리즈번 한인연합교회 0425 306 577
행복한교회 0433 494 281
0414 624 779
3252 1701
0401 458 230 / 0431 259 828
0466 184 366
3191 3743 / 0433 924 843
0433 030 053
AplusHomeCare(터마이트,페스트 컨트롤) 0448 226 179
Kleen Hub(청소용품 판매) 3191 3248
푸드패키징
Kleen Hub 3191 3248
Q Pack 3219 5654
플러밍/가스
HIGH TECH PLUMBING & GAS 0431 409 844
JINSU PLUMBING&GAS 0401 359 573
NEXUS PLUMBING 0459 999 754
PK PLUMBING 0433 772 172
0425 118 471
3290 1113 / 0418 980
한인천주교회 3369 3159 / 0413 016 031
ㆍ 원불교 3219 1002
꿈이 있는 교회 0421 480 870
동행하는 장로교회 3422 0828 / 0400 878 882
브리즈번 순복음교회 3341 9090 / 0433 9933 52
스프링필드 침례교회 킹제임스성경 0469 859 983
호주 가정 상담 대학 0416 069 812
호주 기독교 대학 02 6255 4597
한마음 교회 0410 409 007
Faith Church 써니뱅크
ㆍ 요한계시록 성경예언
ㆍ ilona 목사 0400 374 666
주방용품(상업용)
썬샤인 비즈 솔루션(스시머신, 주방용품) 0413 396 799
All 4 Kitchen 주방용품 수리 0433 974 907
중고 가전
Smart Electrical Clearance Outlet
ㆍ Hyperdome 3133 1805
ㆍ Capalaba 3823 4165
ㆍ Mt Ommaney 3376 7445
ㆍ Browns Plains 3800 1013
폐차/고철/고물
Metal Xchange | Cash for Cars 0410 140 500 컴퓨터/POS/웹사이트








미디어 나라 0412 443 066
GGL 토탈 IT 솔루션 0422 395 706
iComputer (TPG 공식딜러, 컴퓨터 수리) 0450 511 829
M4U 웹디자인 0434 417 933
N2 CREATIVE (웹사이트 제작) 02 8091 7333
VTEQ 컴퓨터 3323 3232
(TPG 공식딜러, 웹사이트, IT솔루션) 핸드폰 수리
Jaetech 핸드폰 수리점 0404 932 988
권신정 회계사(MAZARS) 3218 3924



김상현 회계사(PKF) 0433 379 280
회계사 1300 00 11 08
바른회계법인 한상호 회계사 0450 468 318
백화실 회계사 0421 007 756
신우 회계 법인 3148 8887
심인섭 공인회계사 0432 493 032
안재웅 공인회계사 0420 518 253
이윤 회계사 3299 1031
이정은 공인회계사 3210 0222
조현옥 회계사/세무사 0481 753 282
참 회계법인 0412 221 926
최순영 회계사 0402 998 802
CYS 회계법인 3221 7564
Hello Tax 0413 002 316
Prudent Accountants & Co 0412 447 987
TaxBee 3210 0747
Tax Friend 0422 869 630


뉴질랜드 초록홍합,녹혈,녹용 캡슐 판매 0403 736 998
로얄건강 타운 0401 158 508
장수마을 0422 59 59 79
카사아울렛 5531 3155
건축/인테리어/집수리












가나 집수리 04 02 02 8720
핸디맨 0402 299 915 스타 블라인드 0430 715 906 윈도우 아트 블라인드 0490 537 244
Design & Construction 0430 900 630
LINKS 부동산






레삐헤어 5679 3943
신 헤어 스튜디오 0407 090 270
웨딩메이크업헤어(withBRIDAL) 0481 982 486
킴스헤어(사우스포트) 5527 1990
케이살롱뷰티(사우스포트) 0421 187 046
FOREL Beauty & Spa 0413 753 087
Kausie Hair Salon (코지 헤어) 5531 2963
Meraki Hair 5592 0984
Hair COCO.GC 0413 662 699 / 5511 1892
The Hair 5528 6310
The 9 Brows & Beauty 반영구 화장 0448 019 555
Retreat 마사지 0404 806 887, 5527 1147
번역/통역
0411 624 779
0428 87 5050
Bluedog 부동산 0419 536 071
Bluedog 김수정 0408 622 934
MASTER QLD PROPERTY 서문희
Raas
C-Herald Insurance 1800 998 557
C-Herald Finance 1800 998 557
You and Me Finance 0468 429 180 보험전문



ALICIA’S PHOTOGRAPHY 0478 825 233
WOW CAFE & STUDIO 0401 282 303 스포츠/클럽
AnK 골프 아카데미 0434 142 638
D.I Sports Academy 0425 864
Rice House 5591 2239
RICE VS NOODLE 5538 8803
The Dak 0468 857 692
WOW CAFE & STUDIO 0401 282 303
식품점/편의점
스마일마트 5527 1312
오페마트 5531 0922
유니마트 5608 9860
하나로마트 Helenvale 0493 090 679
Southport Robina
해피마트 0401 337 458
현우식품 5526 3838
Coomera Asian Mart 0424 491 646
K-Town Supermarket 5528 6781







Lotte 편의점 5591 2356
식품제조
명가(김치, 밑반찬) 5531 0906

고기하우스 5591 7465
감성포차 Yacha 5660 9648
김치하우스 5538 8496
다노시스시 5528 3005
두리분식 0413 965 268

대박집 5531 0374
불고기ya 5591 7270
서라벌 고기부페 5538 8465
소공동 순두부 0423 455 599
이조 숯불 BBQ 5531 2423
코리안 키친 5538 8855





파라다이스 숯불구이 5592 3824
해피롤 5528 0588
Hochan 호찬 0424 215 797
AZIT(아지트) 5661 8537
BBQ 빌리지 5532 2700
BBQ 코리아나 5504 5627
Cafe 928 5679 6616
CHIKOR 5531 1254
Cook & Beer 0402 99 66 94
Gal. B 5591 5141
Izakaya ichi 5564 0190
MAMAS KITCHEN 5571 1896
Oppane 오빠네 5532 2413
BB 두부 0406 541 572
안경점
브리즈번안경원 골드코스트점 5531 0420
여행/공항픽업


시티익스프레스 공항픽업 0413 059 206
우리여행사 0412 393 713
운송/택배/이사




KPOST 우체국 택배 0422 59 59 79
대한통운 국제택배 0431 571 657
한진택배 0431 231 468
현대택배 3075 6872 / 0430 014 221
HT Logistics 3823 1802
PNL 택배(한국-->호주) 0449 24 8282
유학원
마린 유학 5591 7070
의류/침구/옷수선
벨라 옷수선 5511 2077
Sweet Closet 0402 148 750 자동차운전교습
메이
운전학원 0419 708 177
부부 운전학원 0414 273 087
자동차정비
CLUB AUTO 이승엽 0421 707 771
메르세데스 벤츠 골드코스트, 레이튼(한국어) 0478 220 828 카톡 MBGCLY
전기/전자/통신
리스(LEES) 전기공사 0434 378 245
하나로 전기공사 0416 868 818
SONG 전기공사 0414 781 645
정수기/비데




DP Motors 5537 8235, 0433 835 293
GCCEM 이승엽 0421 707 771
H&K Motors 5532 9088, 0433 004 310
JD Motors 5591 6772, 5591 6227
TINT MASTER 0421 707 771
차량복원 전문업체 NICK’s Panel & Paint 5531 3459, 0430 123 950 자동차판매


청소/방역
가나 Termite,Pest Control 04 02 02 8720
얼스 와이즈 방역 0436 321 537
원스톱 방역 & 카펫 청소 0401 600 887
원펀치 터마이트&페스트컨트롤 0402 157 905
짐스 터마이트 & 페스트 컨트롤 0416 515 874
클린킹(청소용품 판매) 5532 2342
JCM 터마이트&페스트 닥터팀 0430 318 776
PAULS Clean King 0425 233 118
권신정 회계사(MAZARS) 3218 3924












RAPID CLEAN 청소용품 5572 2284
컴퓨터/POS/웹사이트
미디어 나라 0412 443 066
김상현 회계사(PKF) 0433 379 280
김재미 회계사 0478 221 525
바른회계법인 한상호 회계사 0450 468 318
백화실 회계사 0421 007 756


iComputer (TPG 공식딜러, 컴퓨터 수리) 0435 831 116




VTEQ 컴퓨터 3323 3232 (TPG 공식딜러, 웹사이트, IT솔루션)
안재웅 공인회계사 0420 518 253




Q Pack 3219 5654
이윤 회계사 3299 1031
심인섭 공인회계사 0432 493 032




AK 정수기/비데 0401 558 353
The Bidet Shop 1800 243 387
VCG (엘지 정수기) 07 3924 1870 / 0421 807 981
정육점
신우 회계 법인 3148 8887
CYS 회계법인 07 5503 0366
JY Accountants 07 5679 1619
Prudent Accountants & Co 0412 447 987



고기 박사 5531 3742
서울 정육점 5531 5227, 0405 934 952
종교단체
기독교
ㆍ 골드코스트 가까운교회 0433 447 483
ㆍ 골드코스트 선교교회 0431 232 304
ㆍ 골드코스트 순복음교회 0402 089 896
ㆍ 골드코스트 온누리교회 0412 341 868
(Southport State High School 내)
ㆍ 골드코스트 열방교회 0412 362 029
(장로교회) ㆍ 골드코스트 장로교회 0409 995 456
골드코스트 재림교회 0430 041 022
골드코스트
0433 609 191
0451 472 202
0412 194 829
0426 501 966
0423 932 742
0433 308 436
0421 579 026
0411 725 639
0402 044 331
0478 782 186
주님뜻교회 0450 501 201

그래픽 디자인
위니아트 0401 596 877
식당
Black Curry 5200 0875
Brown Rice(Peregian Springs) 5448 2197
Hanami (Coolum Beach) 5471 7091
HIKARU
ㆍ Birtinya 0432 389 288
ㆍ Baringa 0432 389 288
ㆍ Kawana 0452 028 804
ㆍ Northshore 5406 9017
ㆍ Buderim 5476 6266
MakiMoto(Noosa) 5447 3254
Master Sushi 5526 7557
The Sushi 79 (Currimundi) 5437 8208
Tampopo 5476 7039
Haru Korean Kitchen 5447 2249
식품점
선샤인 마트 0488 515 288
의료/병원
Doctors@Maleny (닥터.노) 07 5413 8066
전기/전자/통신
존 TV&안테나 0491 068 872
정수기/비데

























































































































































































































































































































































































































































부동산 정보 기업인 프롭트랙
(PropTrack)이 최근 내놓은
데이터에 따르면 호주의 주
택 가격은 6월에도 회복세를
이어갔다. 주택 가격은 호주
전체로 봤을 때 중간 값 (median value) 기준 1년 전보
다 0.1% 하락한 것으로 나타
났으며 각주의 주도 (capital cities)만을 두고 볼 때는 오히
려 작년 6월 가격을 넘어섰다.
이는 전월 대비 0.3% 상승한 것이다. 호주중앙은행이 작년
5월 이후12회 연속 금리 인상
을 단행했음에도 주택 가격
상승이 계속되고 있는 것은
신규 부동산의 공급이 충분
치 않고 주택 수요가 높은 수 준으로 유지되면서 고금리의 영향을 상쇄하고 있기 때문으
로 풀이된다.
한편 작년 12월 이후 주요 도 시들의 주택 가격은은 3% 상
시드니

승한 반면 지방의 주택 가격
은 0.8% 상승하는데 그쳤다.
이는 2022년 특히 대도시들
의 주택 가격이 폭락한 것에
비해 지방의 주택 가격 하락
은 크지 않았던 기저 효과가
반영된 것으로 보인다.
시드니 시드니의 주택 가격은 6월에

도 0.6% 상승하며 강한 회복 세를 이어갔다. 6월 주택 가격 중간값은 작년 최저점 대비
4.5% 상승했는데 이는 2022 년 2월에 기록한 역대 최고점 대비 불과 3% 낮은 것이다. 대출 여력이 감소했음에도 매 물 부족으로 인해 입찰 경쟁
최근
이 치열해지면서 가격이 상 승하고 있다. 전문가들은 앞

호주의 주택가격이 지난달
1.1%가 상승해 4개월 연속 오름세를 이어간 것으로 나타 났다. 국내 주택가격은 지난 2
월 상승세 발판을 디딘 후 지
금까지 3.4%가 올랐지만, 여
전히 2022년 4월의 피크때와
비교하면 -6.0% 수준인 것으 로 나타났다. 코어로직의 Tim Lawless 이사는 지난달 호바 트(-0.3%)를 제외한 국내의
모든 주도들에서 주택가격이
상승했으며, 시드니가 여전히
이 상승세를 리드하고 있다고
말하였다.
지난달 시드니의 주택가격은
1.7%가 올랐으며, 2023년 1
월 집값이 상승세로 전환된
이후 지금까지 +6.7%의 누적
상승율을 기록하고 있는 것으
로 나타났다. Mr Lawless이 사는 주택매물의 공급부족이 계속해서 주택가격 상방압력
으로 작용하고 있다고 말하 였다. 6월 한 달 동안 국내 주
도들의 신규매물 리스팅은 5
년 평균치보다 10% 낮은 수
준이며, 전체 매물량 역시 평 균치보다 약 25%가 낮은 수
준인 것으로 나타났다. 2023
년 2분기 주택거래량은 이전
5년 평균치보다 2.1% 증가한 것으로 나타났다.
국내 주택가격이 지역적으로 광범위하게 상승세를 이어갔 지만, 대부분의 주도들에서 지 난달 그 속도는 둔화된











물가상승률 6.8%→5.6%
경제학자들 “7월 인상 가능성 50%” 예측

호주의 인플레이션이 예상보
다는 빠르게 완화되고 있는
것으로 나타났다. 연간 물가
상승률이 4월 6.8%에서 5월
5.6%로 뚝 떨어지면서 일각
에서는 호주중앙은행(RBA)
이 금리 인상을 중단할 수도
있다는 추측이 나오고 있다.
경제학자들은 7월 4일 RBA
이사회의 기준금리 인상 가
능성을 50%로 예측하고 있 다. 금융시장은 4월 소비자물
가지수(CPI)가 예상보다 큰
폭으로 상승하면서 5월에는
6.1% 수준으로 조정될 것으 로 예상했었다.
통계국(ABS) 물가 통계 책
임자인 미셸 마쿼트는 “이번
달 연간 상승률 5.6%는 지난
해 4월 이후 가장 낮은 상승률
이다. 대부분의 상품 및 서비
스 가격은 계속 상승하고 있
지만, 최근 몇 달 동안 보았
던 것보다는 그 폭이 줄었다”
고 설명했다. 주택(+8.4%)을
포함한 식음료(+7.9%), 가구
및 가정용 장비(+6.0%) 등의
가격 상승분을 어느 정도 상
쇄한 품목은 자동차 연료 가 격(-8.0%)이다. 하지만 마쿼
트는 “변동성이 큰 품목들을
제외하면 인플레이션 하락폭
은 더 적다. 기조 인플레이션 (underlying inflation)을 파
악하려면 가격 변동이 심한
품목은 헤드라인 CPI 지표에
서 제외하는 것이 도움이 될
수 있다”고 말했다. CPI 수치
는 과일 및 채소, 휴가 여행 등 가격 변동이 심한 품목에 영
향을 받는 경우가 많다. 자동
차 연료도 그 중 하나다. ABS
에 따르면, 이러한 품목을 걷
어낸 5월 CPI 연간 상승률은 6.4%다. 4월의 6.5%보다 약 간 낮다. 정점이었던 2022년 12월 7.3%보다는 상당히 내 려갔다. 그동안 높은 인플레
이션율은 RBA가 느린 경제
성장이나 경기침체가 우려 되는 수준으로 금리를 계속 해서 끌어올리도록 압박해 왔다. RBA는 인플레이션을 2~3% 목표 범위 내로 끌어
내리기 위해 지난해 4월부터
시작해 현재까지 기준금리를 4%포인트 인상했다. AMP캐 피탈의 셰인 올리버 수석 경 제분석가는 “5월 CPI 수치가 다음 주에 RBA가 금리 인상 을 멈출 수 있는 여지를 준다. 하지만 ‘임금 리스크’가 RBA 의 긴축 기조를 유지하게 할 요인이 될 수 있다”고 짚었다.

ASX(호주증권거래소)가 인
베스트먼트 트렌즈(Investment Trends)에 의뢰 조사 한 결과에 따르면, 호주인의 15-18%가 암호화폐(cryptocurrency)를 보유하고 있는 것으로 나타났다. 이는 약 460 만명의 호주인이 1가지 이상 의 암호화폐를 소유하고 있다 는 의미다. 호주는 세계에서 세 번째로 암호화폐 채택률이 높은 나라다. 남성보다 여성 이 더 많이 암호화폐를 소유 하고 있다. 18-24세 젊은 연령 그룹에서는 암호화폐 보유율 이 31%로 높아진다. 이 연령 그룹은 다른 연령대보다 투자 포트폴리오의 변동성을 수용
이더리움 (Ethereum, 42%), 카르다노 (Cardano, 26%), 도지코인 (Dogecoin, 23%), 바이낸스 코인(Binance Coin, 14.6%) 순이다.


재무부가 124억 달러의 세 수를 앗아가는 것으로 추산 되는 지하 경제를 효과적으 로 해결하지 못했으며, 코로
나 팬데믹 동안 이 작업을 ‘일시 중단했다’라고 감사원 보고서가 지적했다. 조세 체 게 바깥에서 부정직하거나
범죄적인 활동을 하는 것을
뜻하는 지하 경제에는 범죄 자금 거래, 불법 담배 거래, 돈세탁, 저임금 지급, 자동 차 사기 등이 포함된다.
뿐만 아니라, 노동 착취와 같은 형태로 개인에게 해를 끼칠 수 있다. 정직하고 합 법적으로 일하는 사람들에 게 잠재적인 불이익을 준다.
이에 연방정부는 지하 경제 태스크포스를 꾸렸고, 이 태 스크포스는 2017년에 80개 의 권고안을 발표했다. 당시 정부가 동의한 27개 권고 중 12개(44%)가 이행됐다.
지적
감사원은 국세청(ATO), 재 무부, 내무부의 권고안 이 행 성과를 검토했다.





















































































10만7천명 증가한 퀸즐랜드로 이주하는 이유는?
시드니-멜번 대비 집값 부담 완화
호주 인구가 지난 2008년 이
후 가장 빠른 증가세를 기록

했다. 통계국(ABS)에 따르면
2022년 12월 31일 기준으로
호주의 인구는 2,630만명으로
12개월동안 49만 6800명이나
늘었다. 증가율로는 1.9%로
2008년(12월 2.19%) 이후 최
고 수준이었다. 10년 넘는 기
간 중 최고의 증가율 배경은
코로나 이전 수준을 초과한 이
민자 유입 때문이다.
작년 한 해동안 해외 이민자
도착(overseas migration arrivals) 61만 9600명과 출 국 23만 2600명으로 이민자 순유입(net overseas migration)이 38만 7000명에 달했 다. NSW의 해외 이민자 유입 은 13만4,602명으로 전국에 서 가장 많았다.
2022년 출생은 30만 700명 (4.6% 감소), 사망은 19만 900 명(11.1% 증가)으로 인구 자 연증가는 10만 9800명이었 다. 2021년 대비 23.4% 감소
했다. 사망자 증가는 코로나 감염으로 인한 사망률이 주요 요인이다.
주별 인구 증가율은 서호주 2.3%, 퀸즐랜드 2.2%, 빅토 리아 2.1%, ACT 1.8%, NSW 2.7%, 남호주 1.6%, 노던준주 0.8%, 타즈마니아 0.5% 순이 었다. 2022년에는 해외 입국 자의 증가로 모든 주와 준주의 인구가 순 증가를 경험했지만 일부 지역에서는 주간 이동으 로 인해 인구가 줄었다.


NSW는 지난해에 12만 1071 명이 주를 떠났고 도착한 이 주자 수는 9만명 미만으로 전 국에서 주를 떠난 인구가 가 장 많았다.
빅토리아, 타즈마니아, 북부 준주(NT), ACT(캔버라)도 주 간 이주 순 이동(net interstate migration)이 줄었다. 빅토리아는 거의 1만 명, ACT 는 1,228명 감소했다. 같은 기 간 동안 세 개의 주에서는 주 간 이주로 순 증가가 있었다.
퀸즐랜드주로 3만4,545명이 이주했다. 남호주는 670명, 서호주(WA)는 1만593명의 주간 이주 인구 증가를 기록 했다. 2016-2021년 사이의 5 년 동안 국내 이동(interstate movement)으로 인한 인구 증가를 기록한 주는 '선샤인 스테이트(Sunshine State)' 로 불리는 퀸즐랜드다. 5년동 안 퀸즐랜드는 다른 주에서 이 주한 주민으로부터의 인구 증 가가 10만 7,500명으로 ACT( 수도권 준주, 캔버라)의 1만
600명보다 10배 이상이었다. 타즈마니아주는 1만5,300명 의 인구 증가를 기록했다.
2016-21년 NSW에서 10만 2,200명 이상이 다른 주/준 주로 이주했다. 맥크린들(McCrindle)의 애슐리 펠(Ashley Fell)은 “전국에서 집값이 가 장 비싼 시드니를 비롯한 NSW의 주택가격 부담, 교통 혼잡 및 인프라 병목 현상으 로 인해 사람들이 NSW를 떠 나고 있다"고 지적했다.

‘가장 살기 좋은 도시’... 멜번 • 시드니 3 • 4위
코로나 팬데믹 기간 중 무 려 200일 이상의 록다운으
로 세계에서 가장 폐쇄적
인 도시라는 불명예를 안았
던 멜번이 올해 가장 살기
좋은 도시 순위에서 3위로
선정됐다. 영국의 글로벌
경제 분석센터 이코노미스
트 인텔리전스 유닛(EIU)이
평가한 2023년 ‘글로벌 살
기 좋은 도시 지수(Global Liveability Index)’에서 멜
번과 시드니가 각각 3, 4위
를 차지했다. 코로나 파동
의 영향을 받아 점수가 크

게 하락했던 건강•의료 부
문이 팬데믹 후 빠르게 회
복해 상위권을 되찾은 것
으로 분석됐다. 올해의 글
로벌 살기 좋은 도시 지수
는 173개 도시를 대상으로
안정성과 의료, 문화•환경, 교육, 인프라 등 5개 부문에 걸쳐 30가지가 넘는 질적•
양적 평가가 적용되어 순위 가 선정됐다. 그 결과 평가
점수 100점 만점에서 평균
98.4점을 받은 오스트리아 빈이 1위에 올랐다. 빈은 문
화•환경 부문을 제외한 4개
부문에서 모두 100점을 받
았다. 2위는 덴마크 코펜하 겐으로 평균 98점을 기록했
다. 3위에 오른 멜번(97.7) 은 지난해 순위에서 7단계 나 상승했다. 이어 시드니
(97.4)가 근소한 차이로 4 위, 캐나다 벤쿠버(97.3)가 5위를 차지했다.
샐리 캡(Sally Capp) 멜번 시장은 “멜번은 팬데믹 기 간 가장 폐쇄적인 도시에서 가장 살기 좋은 도시로 일 어서는 놀라운 능력과 회복 력을 보여주었다. EIU가 평 가를 시작한 2002년 이후 꾸준히












































































호주 주재 우크라이나 대사
가 200억 달러에 가까운 재
정 흑자를 본 호주에 우크라
이나를 위해 더 많은 원조를
고려해야 한다고 주장했다.
호주는 70대의 군용 차량, 탄
약, 인도주의적 지원 등 1억 1,000만 달러 규모의 우크라
이나 지원책을 발표했다. 피
터 더튼 야당 대표는 구형 군
용 차량 지원을 청소로 비유
하면서 정부의 원조가 부적 절하다고 비판했다. 이 공방
이후에 발표된 정부 수치는
호주 재정 흑자가 기대치보
다 거의 5배 증가했음을 보여
줬다. 상품 가격 상승과 낮은
실업률이 흑자에 기여했다.
바실 미로시니첸코 주호주
우크라이나 대사는 일요일
ABC 인터뷰에서 호주가 러
시아의 우크라이나 침공으
로 시작된 원자재 가격 급등
에 혜택을 본 국가 중 하나라 고 말했다. 호주가 “의도치 않

은 이익”을 얻었으니, 그 이 익의 일부를 우크라이나 지 원에 쓰기로 할 수 있다는 논 리다. 미로시니첸코 대사는 “캐나다, 노르웨이, 호주와 같은 국가들은 원자재 가격 상승 덕분에 예산과 재정 흑
자에 좋은 성과를 거뒀다”면 서 “우리는 그 나라들이 어떻 게 지원을 강화할지 지켜볼 것”이라고 말했다.
호주는 러시아-우크라이나 전쟁 이후에 약 7억 9,000만

달러의 군사 원조를 제공했 다. 러・우 전쟁이 부채질한 인플레이션은 호주 경제를 침체 근처로 몰아넣고 있다. 높은 물가상승률과 이를 통 제하기 위한 호주중앙은행 (RBA)의 금리 인상은 서민들
에게 타격을 줬다.
시민단체들은 잡시커(JobSeeker・구직수당)를 2주에 겨우 40달러 올린 것은 너무 액수가 적다고 연방정부를 비판하고 있다.
연방정부가 발표한 생계비 경감책이 인플레이션을 자극 할 수 있다던 야당은 이제는 재정을 더 투입해서, 더 많은 대책을 내놓아야 한다고

골드코스트의 에어비앤비 (Airbnb) 호스트들이 영업 이 부진해지면서 장기 임대 시장으로 전환하고 있다. 인 플레이션과 생계비 증가가 사람들의 휴가 욕구를 떨어 트리면서, 에어비앤비와 같
은 단기 숙박 시장의 수익성
이 약화됐다. 그러자 집주인
들은 수익 창출에 조금 더 유
리한 장기 임대 시장으로 전








환을 하고 있는 것.
통계국(ABS) 인구 조사 자
료에 따르면 골드코스트 부
동산의 10개 중 1개는 비어
있는(vacant) 상태였다. 의
회 자료에 따르면, 골드코스
트에는 에어비앤비 부동산 이 1만 1,000개 이상 등록돼
있다. 부동산관리업체인 매
니지 마이 비앤비(Manage
My BnB)의 린다 힐딩슨 사
장은 “지난 6개월 동안 금리
가 오를 때마다 단기 임대 예
약이 감소했다. 부활절 연휴
기간 중 작년보다 거의 40%
줄었다”라고 ABC에 말했다.
그는 그가 관리하는 140개
의 단기 임대 부동산 중 50
개가 장기 임대로 전환했다 고 밝혔다. 이는 일부 집주인
들이 장기 임대 시장이 더 나 은 확실성이 있다고 판단했 다는 의미다.
골드코스트



















