











































































































































































































































































































































































































































































![]()












































































































































































































































































































































































































































































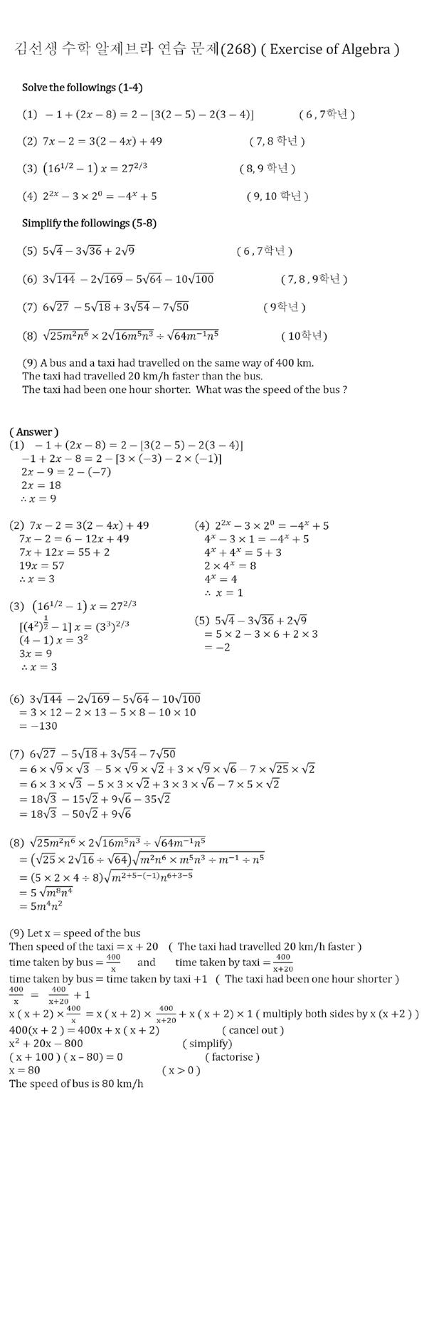
by 김성호 / 브런치
오마이뉴스 게재, 베트남 여행기
연유커피, 코코넛커피 등 베트남 여행에서 만난 커피의 역사


베트남은 커피의 나라입니다.
번화한 도시가 아니라도 어디
서나 쉽게 카페며 커피를 만
날 수 있습니다. 그런데 그 커 피가 한국에서와는 제법 다릅 니다. 베트남이 저만의 방식
으로 커피 문화를 발전시켜온 때문입니다. 베트남 젊은층의 서구브랜드 선호 경향에도 세 계적 기업 스타벅스가 뿌리내 리지 못한 건 상징적이기까지 합니다.
베트남 카페에선 베트남식
커피를 맛볼 수 있습니다. 핀 (Phin)이라는 도구로 내린 커 피는 카페인이 그대로 느껴지 는 강렬한 쓴 맛이 특색입니 다. 쓴 맛 덕분에 맛을 중화하
는 기술도 함께 발전했습니
다. 한국에서도 유명해 식품
기업들이 앞다퉈 제품화한 연
유커피, 코코넛커피, 달걀커
피가 그 대표 주자입니다.
베트남 커피는 프랑스 식민시
대를 거쳐 발달했습니다. 제
가 좋아하는 걸 식민지에서
도 먹고 마시려 한 식민통치
자들이 베트남에서 와인이며
커피를 생산하기 시작한 탓입
니다. 그런데 문제가 있었습
니다. 커피도, 와인도 제가 자
란 토양을 반영하는 것인지라
프랑스인들이 좋아하던 맛과
는 상당히 다른 결과물이 나
온 것이었죠.
고난과 우연에서 진화한
베트남 커피
커피에 연유와 코코넛, 달걀
을 섞은 건 연구와 우연의 결
과물입니다. 처음 프랑스인
들은 베트남에서 자란 커피

콩으로 만든 커피가 너무 쓰
다는 사실에 당황했습니다.
때문에 저들이 좋아하는 카 페오레, 즉 우유를 타서 마시
려 했습니다. 그런데 또 문제 가 있었습니다. 베트남은 기 후가 더워 신선한 우유를 유 통하기 좋은 환경이 아니었던 것이죠.
그래서 내놓은 답이 연유였 습니다. 우유를 수분을 날리 고 가공한 것입니다. 보존성 을 극대화하기 위해 설탕을 첨가하고 수분도 적어 세균이 번식하기도 어렵습니다. 연유 에 물을 더하면 제법 우유와 비슷해지니 아열대지방에서 까지 우유의 맛을 느낄 수 있 었습니다. 프랑스인들은 연유 를 커피에 타 단 카페오레를 만들어 마셨습니다. 그 결과 물이 오늘의 카페쓰어다입니
다. 카페(Caphe)는 커피, 쓰 어(Sua)는 연유, 다(Da)는 얼 음이지요.
좀 더 현지화한 무엇을 원했
던 이들은 연유에서 멈추지 않았습니다. 베트남에서 유 명한 과일, 그중에서도 수분
이 많은 코코넛을 사용했습 니다. 코코넛물을 넣는데 그
치지 않고 아예 코코넛 속을 갈아 올리기도 했습니다. 무 엇이든 제법 특색 있는 맛이 나왔죠.
달걀커피도 우연히 개발되었 습니다. 어느 호텔 바텐더가
카페쓰어다를 주문받았는데 연유가 없어 대신 달걀노른자 를 넣은 것이죠. 이 커피가 대
박을 친 덕분에 베트남 카페 의 주요 메뉴가 또 하나 늘게 되었습니다.
한국인이 가장 많이 마시는 커피 프랑스 식민지를 거치며
생산량 기준 브라질에 이어 2위로, 전 세계 시장점유율 17% 정도를 기록하고 있습니다.
한국에서도 베트남 커피는 남 다른 친숙함이 있습니다. 흔 히 마시는 믹스커피 원산지에 서 베트남산 커피가 차지하는 비율이 높기 때문입니다. 믹 스커피 뒷면 원산지를 보면 ' 페루35%, 콜롬비아20%' 같 은 식으로 적혀 있는데, 이런 경우 나머지 비율 대부분은 베트남산이기 마련입니다. 한 국에서 베트남보다 남미 커피 의 이미지가 좋은 탓에 베트 남을 원산지로 따로 적지 않 는 겁니다. 눈 가리고 아웅이 따로 없습니다. 사실 베트남 커피가 한국에 서 좋지 않은 인상을 갖게 된 데 이유가 없진 않습니다.



있는 땅이면 쉽게 자랍니다.
이러한 이유로 베트남은 북부
고산지대를 제외하곤 로부스
타를 주로 재배합니다.
아라비카의 산미와 향이 상대
적으로 풍부하다는 인식에 더
해, 베트남의 로스팅방식까지
투박하다보니 아라비카는 고
급, 로부스타는 저급이란 생
각도 널리 퍼져있습니다. 실
제로 베트남인들은 전통 방식
으로 카페인 센 쓴 커피를 내
린 뒤 단 것을 섞어 마시니, 에
스프레소나 핸드드립커피로
본연의 맛을 즐기겠다는 이들
이 만족할 리 없었습니다.
특색이 곧 개성으로, 베트남 커피의 진화
하지만 최근엔 베트남식 커피
를 고급화한 카페들도 늘고
있습니다. 경제가 성장하며
품질관리에 신경을 쓰는 로부
스타 농장이 생겨났고, 블렌
딩 대신 싱글오리진 로부스타
커피를 파는 매장도 늘어나는
추세입니다.


아라비카보다 못한 게 아니라
다른 것이라는, 제 나름의 특 색을 충분히 강조하는 커피가
속속 등장하고 있는 겁니다.
로부스타 특유의 구수한 풍미
는 의외로 한국인들의 입맛과
어울리기도 하니 한 번 맛보 고 다시 이를 찾는 이들도 적
지 않습니다.
베트남인들의 고집도 한몫을 합니다. 저는 베트남에서 너
덧 번쯤 아메리카노나 에스프
레소를 주문해보았지만 그중
절반쯤은 주문이 받아들여지


지 않았습니다.
한 카페 사장은 몇 년 전 에스 프레소 기계를 들여놨지만 사
람들이 베트남식 커피만 주문
하는 통에 쓰지 않고 있다고
말했습니다. 프랜차이즈 카페
를 찾지 않는 이상 베트남식
커피가 아닌 서구식 커피를
만나기는 쉽지 않습니다.
베트남은 앞으로도 오랫동 안 제 전통을 그대로 간직한
커피문화가 살아남을 듯합니 다. 커피는 이미 베트남의 국
민 음료가 되었고, 그들은 서 구식이 아닌 베트남식으로 커 피를 즐깁니다. 이는 문화가 되어 베트남을 찾는 관광객들 이 에스프레소나 아메리카노 가 아닌 카페를 마시도록 합 니다. 카페쓰어다(연유커피), 카페쯩(달걀커피), 카페두아 (코코넛커피)는 저가 커피가 아닌 매력적인 선택지가 되 었습니다.
베트남의 커피는 그저 음료 가 아닙니다. 어느 문화든 공 들여 가꾸고 즐기다 보면 자
산이 될 수 있음을


























블랙 푸드에는 안토시아닌
등의 항산화 물질과 케라 틴 같은 성분이 풍부해 노 화 예방과 모발 건강에 좋
다고 알려져 있습니다. 반
면 화이트 푸드는 면역력
을 강화시키는 흰색 식품으
로 아이보리와 흰색 사이에
있는 배, 도라지, 양파, 마늘, 버섯, 인삼 등을 말합니다.
주로 뿌리식품들이 화이트 푸드에 속합니다.
한국의 1인당 연간 마늘 소 비량은 세계에서 가장 많습
니다. 세계적으로 마늘을 많이 먹는 브라질, 이탈리 아 등도 1인 연간 소비량이 1㎏이 채 안 되는 데 반해 한국인은 6~7배 정도 많은
마늘을 섭취하는데요, 마늘
은 미국 국립암연구소가 뽑
은 항암 식품 중 하나로 꼽
힐 만큼 항산화 효과가 좋
은 식품입니다. 또한 마늘
에는 섬유질, 비타민B, 칼 슘, 철, 알리신 등 다양한 영 양소가 함유되어 있습니다.
콜리플라워는 하얀색의 브
로콜리처럼 보이지만 식감 은 더 아삭하고 단단합니 다. 비타민C가








by 정지은 Jean / 브런치
영화 '에어' 리뷰

"신발은 신발일 뿐이지. 누군
가가 신기 전까지는." 이 말이
전 세계 운동화 판매 점유율
을 바꿨다면 믿겠는가. 스포
츠 의류 업계에서 삼류 브랜
드라 취급받던 1984년의 나
이키가 운동화 시장을 점령했
던 컨버스를 인수하고 아디다
스를 뛰어넘는 현재의 나이키
로 재탄생하기까지의 배경에
는 에어 조던이 있었다. 그리
고 에어 조던은 한 사람의 아
이디어와 그에서 우러나온 진
심 어린 말이 마이클 조던을
움직이며 탄생됐다.
'에어'(감독 벤 애플렉)는 모
두가 우러러보는 스포츠 스타
마이클 조던과 그의 독점 운
동화 라인인 에어 조던의 탄
생 비화를 담은 작품이다. 농
구화 관련 부서를 없애는 것
을 고민할 정도로 시장 내 나
이키의 입지가 불안했던 시
절, 이에 대해 고민하던 소니
바카로(맷 데이먼)는 올해에

도 그저 그런 선수들을 영입
해 나이키를 신게 하는 방안
대신 모든 예산을 투자해 마
이클 조던을 섭외하려는 계획
을 세운다.
하지만 당시 신인임에도 불구
하고 몸값이 높은 유망주였던
마이클 조던의 마음을 얻기에
나이키의 인지도는 낮았고 아
디다스를 원했던 마이클 조던
에게 제대로 어필할 미팅 기 회조차 얻기 힘들었다. 그런

소니는 마치 'Just do it(그냥 해)'이라는 나이키의 대표 카 피처럼 무작정 에이전트를 지
나쳐 가족들을 만나보기로 결 정한다. 업계 관행을 뒤집는 무모한 결정을 성공으로 이끌
기 위해 소니는 자신과 자신
을 돕는 드림팀의 커리어까지 걸게 된다.
'에어'는 그 유명한 나이키의
독점 슈즈 라인인 에어 조던
의 탄생 비화를 다룬다. 나이
키는 에어 조던 이전과 이후
로 나뉜다는 말을 하게 될 정

도로 에어 조던의 성공은 나
이키의 운명을 바꿨다. '마이
클 조던이 신었던 신발을 나
도 신을 수 있다'라는 대중들
의 심리를 제대로 자극한 슈
즈 라인 에어 조던은 첫해 수
입만 나이키 사상 최고의 매
출을 찍으며 승승장구했다.
신발 한 켤레가 역사의 한 페
이지에 오르기까지, 이러한 성공 뒤에는 수많은 이들의 피, 땀, 눈물이 있었다. 작품
속에서는 나이키를 삼류 브랜
드라고 칭하고, '멋진 사람들
은 모두 나이키를 안 신고 아
디다스를 신는다'는 이야기를 너무나도 당연하게 꺼내는 등
장인물들의 모습이 등장하는 데, 이는 현재 나이키가 가진
위상과 대비되며 그들이 일궈
낸 성공을 더욱 부각시킨다. 특히, '에어'는 나이키라는 브
랜드가 지닌 핵심 가치를 꿰
뚫는다. 작품 속에서 소니 바
카로가 보여주고 있는 행동은
현재 나이키가 지향하는 가치
관과 매우 닮아 있다. 특히 나
이키 CEO 필 나이트(벤 애플
렉)가 자신의 사무실에 걸어
놓은 1984년 당시의 행동 강
령을 보여주는 신과 소니의
도전하는 모습이 교차되는
한 부분은 마이클 조던보다는 신발 그 자체의 가치에 관한 서사에 집중할 수 있게 만들 어준다. 또한 소니의 상사인 롭(제이슨 베이트먼)의 딸 일 화를 통해 그들이 만드는 신 발이 삶에 어떤 의미를 더하 는지를 시사한다.
*이 글은 서울경제스타 페이지에 발행된 글입니다.




















by 박성옥 / 브런치 청소부 시급을 무시하면 안 되는 이유

호텔에서 자동 입금되는 월급
통장에 닉네임을 붙일 수 있 다. 그래서 그 통장을 “벤츠”
고. 내가


“니 미친 나?”
부산에서 이민 오신 복귀이모
가 자식 혼내듯이 말하셨다.
“니 마 교수나 잘해라, 뭔 청
소가!”
복귀이모는 내가 미네소타로
이사 온 첫 해에 딸내미 생일
파티 해주던 호텔에서 처음
만났다. 내가 지금 일하는 그
메리어트 호텔 말이다. 복귀
이모 또한 돈이 필요하기보다
는 집에 그냥 앉아있느니 운
동삼아 주 이틀 파트타임으로
일하신다. 많은 사람들이 시
급 얼마나 받는다고 교수가
막노동을 하나 의아해한다.
지금 내 시급은 $17.00이다.
지금 환율로 22,500원 꼴이
다.
토요일 6시간 아르바이트하
면 135,000원을 버는 셈이다.
한 달이면 540,000원이다.
라고 지었다. 그리고 벤츠를 주문했다. 벤츠는 맞춤형 주 문을 받기에 주문을 도와줬던
매니저와 한참을 앉아서 옵셥 을 하나하나 추가하는 과정에 서 이런 생각이 들었다.
“두 시간만 더 일하면 이런 옵 션도 추가할 수 있겠군. 두 시
간이면 집에 드러누워 드라마 도 볼 지라, 까짓것 드라마 틀
어 놓고 두 시간 더 청소하고 이 옵션을 추가해야겠다."
사람들이 우습게 보는 시급
17불은 결코 작은 돈이 아니
다. 내가 청소를 한다고 했을
때 “그런 일"을 왜 하냐며 놀
라는 사람들이 있다. 이 사람
들에게는 공통점들이 있다.
사지 멀쩡하면서도 일을 하지
않는다, 4년제 대학까지 졸업
했다, 자존심이 강하다, 명품
가방 하나 정도는 있다, 청소
같은 일은 절대로 할 수 있다
고 생각하지 않는다, 그리고
집이 없어 월세생활을 한다.
나에게는 지독히도 가난했던
많다. 내가 살고 있는 미 네소타는 유학시절 미국 뿐 아니라 전 세계를 경제적 위 기로 몰은 서브프라임 모기지 (subprime mortgage crisis) 사태 때도 끄덕 없었던 경제 적으로 매우 튼실한 주로 알 려져 있다. 그런 미네소타도 11%의 어린이들이 빈곤층 자녀로 급식비 및 식료품 구 입비 지원을 받는다 (MN Department of Health, 2023). 빈곤층이 되기까지는 그만한 사연들이 있다. 그 어떤 빈곤 층 가정도 그렇게 되기를 원 했던 건 아니다. 하지만, 미 국은 일자리가 많아서 직업 에 대한 편견만 없다면 어떤 일이라도 해서 극빈곤층에서 는 벗어날 기회는 있다는 것 이다.
사지가 멀쩡하다면

맞다. 내가 꼴랑 시간당 17불

을 벌기 위해 꿀 같은 주말 6
시간을 호텔에서 청소를 한
다는 건 기가 막힌 일이 아
닐 수 없다. 하지만 내가 일주
일에 딱 하루만 알바를 해서
540,000원을 벌 수 있다면, 신형 벤츠 할부금을 낼 수 있
는 거다. 이처럼 간단한 계산
법을 알았더라면 진작에 차를
바꿔 탔을 거다.
유학시절이 있었다. 장학금
받는 돈으로 월세를 내고, 남
편이 힘들게 보내주는 돈으로
간신히 기저귀와 입에 풀칠을 할 정도로만 살아봤다. 유학
비자로 돈을 번다는 것은 불
법이었기에 늘 돈을 버는 상
상을 했다. 할 수 만 있다면 식
당에서 접시라도 닦고 싶다
고. 시급 10불만 받아도 스테
이크고기 사 먹을 수 있겠다






















너무 싸우는 우리 커플, 결혼해도 괜찮을까?
우리는 연인관계에서 다툼이
있을 때, ‘이게 맞는 걸까?’라
는 생각을 하게 된다. 그저 사
랑만으로 서로가 마냥 예쁘고
멋져 보이는 시기가 지나면, 다른 점들이 하나씩 부각되
기 시작하며 갈등을 빚기 시
작하기 때문이다. 이때 떠오
르는 하나의 질문은, 과연 연
인 관계에서의 다툼이 좋은
것이냐 나쁜 것이냐는 것이
다. 실제로 거슬리는 점들을
하나둘씩 담아두다 보면, 상
대와의 만족도가 낮아지는 경
향이 있다.
이를 나타내듯, 심리학자들이
관계에 관한 여러 가지 연구
결과를 통해 우선적인 견해로
보고 있는 점은 갈등이 친밀
감과 유대감을 높이기 위해서
반드시 필요한 요소라는 점이
다. 관계를 자라게 하고 윤택 하게 하는 점은 갈등의 부재
가 아닌, 갈등의 능숙한 관리
와 대처다. 과연 이 경향이, 연 인 관계의 끝이자 최종 목표
이기도 한 결혼생활에서도 적 용될까?
갈등을 일으키는 요소 중 우 리가 흔히 아는, 손에 꼽을 수
있는 요소들이 있다. 이혼에
관해 연구한 사례들을 살펴보
면 비교적 낮은 사회적/경제








168쌍의 부부 중 과반수는 '이것' 때문에 이혼했다.
결혼 관계의 지속성과 갈등
에 관한 연구를 위해 1981년 결혼한 168쌍의 커플들을 지 속적으로 트래킹 해온 프로 젝트를 살펴보자. 이는 PAIR (Processes of Adaptation in Intimate Relationships, 친밀한 관계의 적응 과정) 프 로젝트라고 불리며, 현재는 처음의 반도 되지 않는 수의 부부들만이 결혼 관계를 유지 하고 있음을 보여주었다. 이 프로젝트를 통해 심리학자들 은 세 가지 ‘이혼 예측 변수’를 추론해내었는데, 각자의 요소 를 부부들에게 적용해 이혼율 을 예측하였다.
이 PAIR 프로젝트에서 추론 한 첫 번째 예측 변수인 ‘지 속 역학’
적 지위에 있는 사람들이 이 혼율이 더 높고, 결혼 스트레 스가 더 높았다. 또한 결혼 전
아이를 가질 경향이 더 많았
으며, 평균 자녀의 수가 더 많
았다. 낮은 사회적/경제적 지
위는 우리의 삶과 연인관계
를 포함한 인간관계를 더 어
렵게 만드는 과제들을 노출시
킨다. 이는 낮은 경제력이 적
은 자원, 더 많은 건강 관련 문
제, 낮은 교육 수준, 적은 여가
시간으로 직결되기 때문이다.
미국의 한 연구 결과에 의하
면 평균 소득이 낮은 지역 여
성의 25%가 결혼 5년 후 이혼
을 택했다고 한다. 이는 중간
소득 지역의 수치인 20%, 고
소득 지역의 15%와 확연히
비교되는 수치임을 알 수 있
다. 돈이 행복의 전부는 아니
라는 말도 있지만, 돈이 평탄 한 결혼 관계를 보장해주지
는 않더라도 명백히 손해를 끼치지는 않는다는 점을 보 여준다.
첫 번째는 '지속 역학 (enduring dynamics)', 즉 계속되는 고질적인 문제의 발생이다. 쉽게 말해 연애 때의 문제가 결혼까지 이어졌을 때 이혼 율이 더 높았다는 뜻이다. 예 시로 연애 때의 흡연, 연락 두 절, 책임감 회피, 혹은 신뢰 저 버림 등의 문제는 바꾸기 어 려운 점이기 때문에 결혼 후 생활에까지 영향을 끼칠 확률 이 높다.
두 번째는 ‘응급 고난 (emergent distress)’, 즉 결혼해야 만 발생하는 깊이 있고 무거 운 가정에서 발생하는 문제 들이다.
대부분 결혼 초기에 발생하는 문제들은 관계에 큰 영향을 끼치지 않지만, 후에 발생하
는 육아, 상대의 부모님, 재산 문제, 지병 등의 문제는 관계
에 있어 가볍게 넘길 수 없는
목구멍 속 깊은 가시와 같다.
세 번째는 두 번째 요소를 반
영하는데, ‘환멸 (disillusionment)’ 이라고 불리며 그 단
어 자체를 증명하듯 시간이
지나고 로맨틱한 사랑이 줄
어듦에 따라 서로의 실체를 마주하며 실망감이 늘어남을 뜻한다.
만족도가 현저 히 낮아졌으며, 이들의 이혼 율이 실제로 가장 높았다. 결 혼 생활이 시작했을 때 눈에 띄게 애틋하고 다정했던 이들 도 그 사랑의 ‘마법’이 사라졌 을 때, 몇 년 후 높은 이혼율 을 보였다.
물론 결혼을 제약하는 점과 따져야 할 점은 무수히 많겠 지만, 몇 가지는 반드시 지켜 져야 한다. 내가 나에 대해 알 고, 상대를 객관적으로 바라 볼 줄 알며, 관계를 ‘우리’로서 아끼고 사랑할 수 있어야 한 다. 상대가 내가 생각했던 사 람이 아님을 받아들이는 과 정은 - 더욱이 그 상대가



by 서지현 / 브런치 보물찾기 하듯 살림을 산다

살림을 살면서 별 것 아닌 일
로 보람을 얻는다. 돈으로 환
산할 수 없으나 큰 위안과 만
족이 되는, 자기만 아는 모종
의 기쁨일 것이다.
핸드크림을 끝까지 쓴다. 손
으로 짜서 더 이상 내용물이
안 나온다 싶으면 커터칼로
배를 가른다. 튜브 가장자리
와 입구 부근에 상당한 양의
크림이 고여 있다. 한 번에 콩
알만큼 찍어 쓰면 너댓 번은
너끈히 쓸 양이다. 핸드크림
은 개봉 상태에서도 잘 굳지
않아 그대로 두고 쓴다. 물건 을 완전히 비워내는 과정에서

누리는 즐거움은 차치하고라
도, 물건에 대한 작은 관심과
노력만으로 또 다른 소비
를 일주일이나 연장시킬 수 있어 신이 난다.
마침내 핸드크림을 완전 히 비운 날, 이게 다 뭐라고
뿌듯하다 못해 통쾌할까. 커
다란 희열마저 느낀다고 하
면 무슨 소리냐 할지 모르지
만 과장된 마음이 아니다. 아
는 사람은 안다. 이 작고 사소

에 얼마나 큰 활력과 기운을
불어넣어 주는지를.
일분일초가 아까운 아침, 치
약마저 속시원히 나오지 않는
날의 답답함이란 이루 말할
수 없다. 요령 없는 아이들이
"엄마, 치약이 짜도 안 나와"
하고 울상을 지으며 다가오
면, 하던 일을 멈추고 손을 내
미는 게 꽤 성가시게 느껴진
다. 이런 이유로 웬만큼 치약
을 썼다고 생각하면 새 치약
을 낸다. 치약의 마지막을 책
임지는 일을 온전히 나의 몫
으로 남겨둔 채.
봉합선을 따라 커터칼로 치약
배를 가르면 투명하고 끈적한
내용물이 훤히 드러난다. 핸
드크림과 마찬가지로 몇 번
이고 쓸 수 있는 양이지만 치
약은 몇 시간만 지나도 쉬 굳
기에 그 즉시 쓸모를 도모해
야 한다. 나는 주로 남은 치약
을 발라내 세제를 만든다. 작
은 볼에 물을 받고 치약 안쪽
에 물에 적셔가며 칫솔로 꼼
꼼히 닦아낸다. 쓰다만 치약


개를 다루는 것만으로도 쌀뜨물같이 뽀얀 액체 세제를 상당량 얻을 수 있다.
치약 세제는 통에 담아두고
욕실 청소에 활용한다. 지금 껏 욕실 세제를 따로 사 쓴 기
억이 없다. 사용하고 어설프 게 남긴 샴푸나 린스, 치약, 여 행용 키트에 들어 있는 바디 워시 등을 세제 대용으로 사 용해 왔기 때문이다. 단언컨
대 그중 제일의 효용을 자랑
하는 건 치약이다. 치약은 세
정 뿐 아니라 표백, 살균 효과
까지 있어 욕실 청소에 탁월 하다. 수전, 변기, 타일 등에
치약물을 휘휘 흩뿌려 닦으면
뽀득뽀득 광이 나고, 욕실 바
닥에서는 상쾌한 향이 난다.
내가 꾸려 나가는 살림은 겉
은 화려하지 않아도 뒤가 아
름다운 모양새였으면 한다.
꺼진 불도 다시 보자는 어느
오랜 구호를 수줍게 떠올리며
오늘도 나는 수명이 다한 물
건을 눈여겨본다. 다 쓴 물건
의 새로운 쓰임을 오래도록
고민한다.
값이 많이 나가든 그렇지 않
든 애초 최고의 상품가치를 입고 우리 집에, 또 내 손에 도 달한 생활용품들이 아니던가. 그것들이 제 모든 쓰임을 다 하도록 마음을 쓰는 것, 이것
이야말로 값을 치르고
물건을 소유한 소비자 의 작은 양심이요, 생 산자와 물건, 그리고 지구에 대한 최소한 의 도리일 것이다.

나는 오늘 손바닥만 한 핸드 크림과 두 개의 치약을 완전 히 비운 대가로 반짝이는 기 쁨을 되돌려 받았다. 아무도 몰라주는 혼자의 애씀이기에 그로 인한 기쁨도 홀로 누린 다. 그리고 언박싱, 새 제품의 포장을 풀어 제 위치를 찾아
주는 일은 언제나 설레는 순 간이 아닌가.
살림은 일종의 보물 찾기가 아닐까 한다. 기대를 품고 보 물찾기 놀이에 나선 어린아
이의 마음으로 오늘도 곳곳에
숨겨진 크고 작은 살림의 가
치를 찾아 나선다.






















































































By Flying Pie / 브런치

by Artist Jin, 0455 872 743


일반 서민들이 애호하던 그림이며 민속적인 관습으로 제작되었던 실용화로서 한 시대를 살아가는 일반 대중의 전통 미술 작품으로, 일상 생활 속에서 겪는 경험과 자연, 종교, 역 사, 전설 등을 표현한 작품입니다. 민화는 한 국의 문화와 철학적인 요소를 반영하고 있으
며, 자연과 인간, 무형적이고 정신적인 요소 들을 형상화하여 표현한 공예적 회화라 표
현합니다.
민화는 실용성에 중점을 두었기 때문에 사람
들의 삶 즉, 신앙, 소원, 일상 생활과 정치, 사
회 질서를 유지하기 위한 교육, 생활 공간 장
식과 민중의 미의식 같은 것들과 밀접하게
연결되었습니다. 또한 민화의 특징 중에 하
나인 민중들이 공감하는 상징성을 가지고 있
는데, 이 상징성은 토착 종교와 관련된 많은
관습에 부와 명예, 무병장수, 다산, 행운과 같
이 모든 사람들의 삶의 애착에 대한 공통된
소망을 염원하는 샤머니즘적 의미가 부여되
어 있음을 반영합니다.
민화는 독특한 붓질, 물감, 색채, 라인 등의 기
술을 활용하여 그림을 완성합니다. 또한, 작
품에는 종종 강렬한 대비와 대조가 나타나는
데, 이는 민화 작가들이 자연을 표현하는 방
식과 관련이 있습니다. 민화는 일상적인 삶
의 장면들과 자연의 다름다움을 담은 작품으 로, 한국의 역사와 문화를 이해하는 데 큰 역 할을 합니다. 민화는 고대부터 한국에서 벽 화 등의 형태로 나타나고 있습니다. 그러다 가 고려시대에는 불교 미술과 함께 민화도 발전했습니다. 그리고 조선 시대에는 민화 가 한창 발전하면서 일상적인 삶과 자연의 아름다움을 표현하였습니다. 특히, 조선 후 기에는 질제적인 사물 묘사에서 벗어나, 비 현실적인 표현으로 진화하였습니다. 하지만 일제강점기에는 한국의 전통 미술이 차별 및 억압을 받는 상황이 되면서, 민화는 큰 위축 을 겪게 되었습니다. 그러나 근대 이후에는 다시 주목받고, 현재는 한국의 대표적인 미 술 형식 중 하나로 자리 잡았습니다. 민화는 고유한 한국적인 예술로서 역사와 전통적인 면모를 지니고 있지만, 현대적인 시각에서도 여전히 매력적인 예술로 인정받고 있습니다. 앞으로 이 칼럼을 통해서 현대 민화 작가들 의 전통적인


























기를 안 좋아한다. 고기 중에
소고기가 제일 싫다. 친정아
빠가 안 드셨기 때문에 어릴
때 많이 안 먹어봐서인지 별
로 안 좋아한다고 말했다.
"어릴 때 몬 살았나?"
시어머니는 물으셨지만 80
년대 건축붐이 일어서 집 짓
는 업자였던 아빠덕에 잠깐
잘 살았다. 엄마랑 아빠는 밤
마다 장부를 펼치고 몇 천만
원과 몇 백만 원을 이야기했
다. 커튼집, 페인트집 사장님
들은 늘 선물상자를 들고 우
리 집으로 왔다. 파인애플이
흔하지 않던 시절에도 상자
로 선물이 들어왔다. 친구들
은 커튼과 침대커버가 세트로
된 내 방을 부러워했다. 아빠
가 아파서 1년 넘게 입원하고
일을 못하게 되었던 고등학교
시절 이전에는 부잣집 막내딸
인 줄 알았다.
소고기는 냄새도 싫었다. 아
빠는 소고기보다 돼지고기를
좋아했고 언니와 엄마는 소고
기를 좋아했다. 주로 먹는 음
식은 가장인 아빠와 가장보다
성질 더러운 부잣집 막내딸
인 줄 알았던 쏘가지를 부리 던 나를 위한 돼지고기였다.
그래서 결혼 전에 한 번도 먹 어본 적이 없다. LA갈비라니.
그건 미국식으로 케첩 양념을 하는 건가 했다.
결혼하고 소고기만이 고기라 고 생각하는 남편과 그의 아 버지는 한우를 특별히 좋아했 다. 특히 시아버지는 호주산 미국산은 고기도 아니라며 치
우라고 하셨다. 어느 명절에
들어온 LA갈비는 처지곤란 이었다. 음식 못 하는 시어머
니는 갈비탕을 끓여 먹겠다고 하셨지만 갈비라고 하기엔 불
고기용 고기처럼 얇았다. 저
걸로 갈비탕을 끓이면 안 될
것 같아 용기를 냈다. 한우 갈
비를 하듯 한 번 데치고 양념
에 재워서 구웠다. 이 갈비는
국물 없이 빠싹하게 구워야
한다고 했지만 난 LA에 가본
적이 없으니 부산갈비다 하
며 국물을 많이 잡았다. 감자
와 대파도 듬뿍 넣었다. 소고
기 안 좋아해서 내 입에 소고
기는 국거리나 꽃갈비나 갈비
나 등심이나 다 같은 맛이다.
식구들은 맛있다며 엄지 척을 했다. 고기가 얇아서 먹기 좋 다며 시아버지도 좋아하셨다.
by 주머니 / 브런치
몇 년 전 명절처럼 아버지 잘 드시던 생각이 나서 혹시나 이건 좀 드시지 않을까 싶어 정육코너로 가서 말했다. 환 자에게 수입고기 안 좋을 것 같아 큰소리로 말했다. "아저씨 LA 갈비 한우로 주 세요" "푸훗. 어무이 LA갈비는 원래 수입이에요. 한우가 오데 있 다고..." 하며 젊은 총각들은 웃었다. 부끄러웠지만 어쩌란 말인가. LA도 못 가봤고 LA 갈비도 못 먹어봐서 한우에도 그런 부위 가 있는 줄 알았다. 미국으로 이민 간 한국 사람들이 미국 식으로 도축된 갈비를 그렇 게 불렀다는 걸 검색하고 알

by 오토브런치 / 브런치



레스틱 역시 이 옵션이 제외 된다고 한다. 다만 내연기관 에서는 계속 유지될 것임을 붙였다.
판단했다는
자동차는 점점 스마트폰과의
연결성을 강화하고 있다. 특 히 애플 카플레이, 안드로이
드 카플레이와 같이 스마트폰 의 운영체계에 맞는 인포테인 먼트 시스템이 개발되면서 과
거처럼 스마트폰을 연결해 음 악을 듣거나 내비게이션을 보
는 것뿐 아니라 메신저를 확
인하는 등 여러 기능을 지원
하게 되었다.
하지만 GM은 최근 발표를 통
해 자사의 신형 전기차에는 더
이상 애플 카플레이나 안드로
이드 카플레이를 탑재하지 않
겠다고 밝혔다. 이는 핸드폰을
연결하여 사용하는 많은 운전
자에게는 청천벽력 같은 소식
이었으며, 이에 해외 네티즌
들은 크게 반발하고 있는 상
황인데, 이에 대해서 조금 더
자세히 알아보도록 하자.
대부분이 탑재하는
시스템
올해 말부터 뺀다고
현재 시판되고 있는 대부분
의 차량은 애플, 혹은 안드로
이드 카플레이 시스템을 제공
하고 있다. 세계에서 가장 많
은 사람이 사용하는 운영 체
계가 애플, 혹은 안드로이드
이기 때문에 이 시스템을 제
공하는 것은 소비자의 편의를
감안하면 매우 당연한 것처럼
보인다. GM 역시 지금까지 판
매해왔던 모델에 대부분 이
시스템을 제공해왔다.
하지만 GM은 특히 곧 출시
될 신형 전기차에 이를 적용
할 예정이라고 한다. 2024년
형 실버라도 EV는 애플, 안드
로이드 카플레이가 적용되지 만, 올 하반기에 출시될 쉐보 레 블레이저
자체 소프트웨어가 더 좋다? 특히 구글과 협력 강화
GM이 이러한 선택을 내린 이 유는 사내에서 판단하기에 새 롭게 출시될 전기차의 운전 자 보조 시스템, 그리고 디스 플레이가 카플레이를 통해 연 결되는 스마트폰보다 자체적
으로 개발한 소프트웨어 시스 템, 얼티파이 소프트웨어 플
랫폼을 탑재했을 때 더 큰 효
과를 볼 수 있을 것이라 예상 했기 때문이라고 밝혔다.
특히 이 얼티파이 시스템은 GM이 구글과의 협력을 통해
개발했다는 것이 밝혀졌다.
이에 따라 구글의 강력한 데
이터 풀 및 처리 능력, 그리고
GPS 시스템과 AI 체계를 자 동차에 이식하는 것이 스마
트폰 연결이 특화된 카플레
이보다 더 높은 성능과 상품
성으로 이어질 것이라 GM이
정적인 반응을 보였다. 한 네 티즌은 '소비자들이 편하다는 데 선택권도 안 주고 탑재를 안 한다는 건 너무 배짱 장사 가 아니냐'라는 댓글을 달아 많은 공감을 받았다. 반면 '음 악은 그냥 블루투스 연결하면 되고, 내비게이션이랑 자율주 행이 더 잘된다면 이것도 마 냥 나쁘진 않을 것 같다'라는 댓글을 단 네티즌도 있었다.
































































































































































by 농반진반 / 브런치
(우당탕탕 미쿡일기3)
여긴 서양 사람들이 참 많네. (당연하지. 서양이니까) 마이
클무어와 똑같이 생긴 사람
이 건들건들 지나간다. 계산
대에서 떠들고 있는 저 직원
은 모건프리먼 할아버지 아
니신가? (아님. 에디 머피랑
더 닮았음) 다코타패닝과 아
네트베닝이 마주 앉아서 피
자를 먹고 있다. 피자집 주인
은 로버트드니로? 서양 사람
이 동양인을 보면 장동건이 나 김경래나 거기서 거기라지 만(그냥 예를 들었을 뿐이다), 내 눈에는 로버트드니로나 피 자집 주인 알베르토나 요기서 요기다.
생활이라는 걸 하다 보니 뭔가 좀 까끌까끌했다.
여기가 현실이 아니라 가상세 계, 혹은 거대한 할리우드 세 트장이라는 느낌이 자꾸 들었 다. 사람들은 모두 서프라이
부를까. 수도를 돌리면 진짜 물이 나올까. 여기서 흐르는 시간은 진짜일까 가짜일까.
자본주의는 무섭고 위대하다.
들어가서
제 작 서 비 스
공항에 내렸을 때는 몰랐는데


즈 서양 재연 배우들 같이 생 겼고, 집은 진짜 사람이 거주 하기에는 부실한 가건물처럼 느껴진다. 달러는 아무리 봐
도 블루마블 게임 머니 비슷
하고, 음식은 촬영용으로 대
충 만들어서 사람이 먹을 수
있는 음식이 아닌 것 같다.
혹시 2023년 판 트루먼 쇼 아
닐까. 방송국을 헤매다 우연
히 세트장에 들어왔는데 누군
가 밖에서 문을 걸어 잠근 뒤
앞으로 평생 세트장에서 살아
야 한다는 말을 남기고 표표
히 사라졌다. 나는 이제 여기
서 어떻게 살아야 하나. 일면
식도 없는 재연 배우들과 말 이다. 가짜 밥을 먹으면 배가
세트장 이곳저곳을 둘러봤 다. 낯선 재연 배우들은 말도 통하지 않고 불편하다. 그런 데 저 멀리 한국에서도 친숙 한 미국 브랜드가 보인다. 맥 도널드, 버거킹, 쉑쉑버거를 발견하고 고향에 온 것처럼
마음이 급 편안해진다. 차도 에 매달린 신호등 위에 비둘 기 한 마리, 건너 빌딩의 웬디 스 햄버거 간판을 읽고 있다.
정태춘의 ‘92년 장마 종로에 서’에는 나오지만 한국에서 는 오래전 사라진 웬디스를 발견했을 때는 콧잔등이 시큰 했다. 코스트코는 서촌 통인
시장처럼 친숙하고, 스타벅스
는 그냥 말 그대로 스타벅스 처럼 편안했다. 소비를 할 때
만큼은 이민자의 스트레스가
벅스는 한국보다 미국이 싸다 고 했는데 환율도 높고 물가 도 많이 올라서 이제 한국보 다 비싸다.
여기는 미쿡이니까 아메리카 노 한 잔, (톨은 비싸니까) 숏 사이즈로 주세요. 손님, 숏 사 이즈 컵이 없는데 톨 사이즈 컵에 드려도 될까요? 슈어. 노 프라블럼. 카드를 꽂고 계산 을 하는데 팁을 누르라고 한 다. 응? 팁? 테이크 아웃인데 팁? 망설이다 망신당할까 무 서워 제일 낮은 18%를 눌렀 다. 팁에 세금까지 더하면 3달 러 쯤 하던 커피가 4달러가 되 는 마술이

오래된 대학가의 스타벅스는























































숏 사이즈 커피가 톨 사이즈
컵에서 한강처럼 넘실댄다.
커피 인심은 대륙의 풍모인데
맛은 더럽게 없다. 싱겁다. 역
시 스타벅스는 전통(?)의 한
국 스타벅스인가. 그런데 테
이블은 왜 이렇게 더럽나. 반
납대 주변은 거의 쓰레기통이
다. 여기는 청소를 열심히 하
지 않는 것이 미덕인가 보다.
한국 스타벅스에서 느끼는 팬
시함 따위는 여기 트루먼쇼
설정집에 존재하지 않는다.
미국 스타벅스는 내가 아는
한국 스타벅스와 다른 종류였
다. 남쪽 귤나무를 북쪽에 옮
겨 심으면 탱자나무가 된다고
했다. 여기는 겨우 강남과 강
북을 가르는 회수가 아니라
수십만 배쯤 넓은 태평양을
건넌 곳이다. 귤은 탱자가 아
니라 커다란 오렌지가 돼 버
렸다. (사실 거꾸로인가.)
교통 법규라든가 금융이나 교
육 시스템 같은 것들은 그냥
다른 거라고 여기고 배우고
적응하면 된다. 어렵지 않다.
저기 대통령이 윤석열이고 여
기 대통령은 바이든이라는 사
실도 생활인에게는 크게 중요
하지 않다. 어려운 건 오히려
아주 사소한 것들이다.
여기 주택은 신발을 신고 걸
어 들어가도록 설계 돼 있다.
그럼 우리 한쿡살암은 신발을
어떻게 처리해야 할까. 샤워
실에는 긴 호스가 아니라 벽
에 붙어 있는 샤워 꼭지만 달
랑 달려있다. 씻을 때는 편리
하다. 여행할 때는 괜찮다. 청
소를 하려면 문제가 생긴다.
호스를 끌어서 구석구석 물을
뿌려 깨끗하게 헹궈야 하는 데. 어쩌란 말인가. 조명은 왜 이렇게 어두운 것이며, 왜 방
에는 먼지 풀풀 날리는 양탄
자를 깔아 고정해 놨고, 왜 아
직 번호키가 아닌 열쇠를 가
지고 다니며, 음식물 쓰레기
봉투는 왜 없고, 결정적으로
왜 여기는 220 볼트가 아니라
죄다 110 볼트인 것인가.
정말 짜증 나는 건 노안이 와
서 니켈과 다임과 쿼터가 분
간이 가지 않는다는 점이다.
100원과 500원은 눈 감고도
구별할 수 있다. 이건 나의 잘
못인가. 유나이티드 스테이츠
화폐 주조 당국의 잘못인가.
다이아몬드를 감별하는 자
세로 동전을 노려보고 있으
신발을 둘 곳이 없다. 미개한 나라다.

면 마트 캐셔의 눈초리가 점 점 따가워진다. 포기하고 지 폐로 계산하고 동전은 점점 쌓인다.
‘살인적인’ 물가(상상을 초월 한다. 서부는 더 하다고 하는 데 정말 먹고살기 힘든 곳이
미국이다. 물가 얘기는 다음 에)에 우울해하던 중 통인시
장 같은 코스트코에서 5달러
에 두 개를 묶어 놓은 멜론을 발견했다. 보기에는 평범한
멜론인데 이름은 칸탈루프?
이건 학명인가? 구글에 쳐보
니 멜론의 한 종류라고 한다. 오. 득템.
잘랐다. 누구냐 넌. 색깔이 초 록이 아니라 주황이다. 멜론
인가 호박인가. 너마저 나를 기만하는 것이냐. 입에 넣었 다. 응? 뭐야. 야. 너무 맛있잖 아. 앉은자리에서 한 접시를 다 비웠다.
보통 사람은 ‘걱정 편향’적이 다. 나도 그렇다. 23시간 편
안해도 1시간이 불편하면 그
날은 문제가 있는 날이 된다.
그리고 다음날 24시간은 모
두 불편해진다. 불편한 1시간
이 편안한 23시간을 압도한
다. 사람은 또 ‘다름 편향’적이
다. 눈 코 입이 똑같은데 피부
색 하나 다르다고 불편하다.
‘작은’ 다른 점에 집중하면 ‘큰’ 같은 점이 전혀 보이지 않
는다. 뭔가 공평하지 않다. 왜
작은 게 큰 걸 지배하도록 내


버려 두고 있나.
제까짓게 주황색이어도 멜론
은 멜론이다. 스타벅스가 맘 에 들지 않으면 다른 커피숍 이 백만 개쯤 대기하고 있다. 110 볼트야 변압기 하나면 해 결될 문제 아니겠나. 영어를
써도 쏘련말을 써도 우리는 모두 휴먼빙이고 스마트폰을 쓰는 호모사피엔스다. 기대와 다르기 때문에 실망한 다. 하지만 가끔은
원 프로와 나누는 골프이야기 준비된 임팩트 by 티칭 프로 원성욱 (0402 598 961)
안녕하세요? 공이 잘 안 맞을때 여러분이 의
심하는 구간의 동작 또는 자세가 있나요? 공
을 때리는 동작 또는 자세는 보통 어드레스
와 비슷하다고 설명합니다.
어드레스를 어떻게 했는지에 따라서 공을 잘
때릴수도 못 때릴수도 있습니다. 즉 어드레 스가 좋아야 임팩트가 단단하게 된다는 말이 죠. 다들 알고 계신다구요? 하지만 많은 골퍼
들이 자신의 어드레스에 잘못된 확신이나 어
드레스를 소홀히 여기는 경우가 많습니다.
어드레스를 할때 첫번째로 점검해야 하는 것
은 중심의 위치입니다. 중심은 척추입니다.
척추의 위치를 파악하기 위해서 머리의 위치
나 목뼈가 바르게 세워져 있는지 확인해 볼
필요가 있습니다. 초보 골퍼인 경우에는 공을
똑바로 보기위해서 머리의 위치가 스탠스 중
앙이 아닌 공을 따라다니는 경우가 있습니다.
목을 한쪽으로 꺾지 않고 머리의 위치를 스
탠스 중앙에 두고 공을 바라보아야 합니다.
두번째로 중요한 부분은 왼쪽 손목의 위치입 니다. 이 또한 공의 위치가 달라질 때마다 왼



쪽 손목이 움직이는 것이 아니라 항상 자신 의 턱 보가 약간 왼쪽 밑에 놓이도록 해야합 니다. 오른손 그립을 할때도 그립을 먼저
은 왼쪽 손목의 위치가 달라지지 않도록 조 심해야합니다. 또한 오른손 그립을 할때 그 립이 오른쪽 어깨에서 멀다고 느껴져서 오른 쪽 팔을 쭉 뻗어서 잡는 것 보다는 오른쫃 팔 꿈치를 약간 꺾어주는 느낌을 가지면서 오른 쪽 어깨를 약간 밑으로 내려주면 좋습니다. 앞서 말한 두 가지를 잘 점검했다면 클럽 헤 드의 페이스가 적당하게 누워있게

by 함콩 / 브런치








첫번째 이유
독일에서 쾰른 사람들은 친근하고 유머 있기로 유명해요. 독일 사람들은 지루하기로
유명한데 그래도 쾰른 사람들은 삶을 즐기며 사는 거 같아요. 그중에서도 축구팬들이
열정이 넘치기로 유명한 도시인데 (실력으로나 이기는 걸로 유명하지는 않지만...), 쾰 른에 방문한다면 축구경기를 관람하는 걸 추천합니다. 매년 열리는 쾰른 카니발은 유 럽에서는 굉장히 유명한데 시즌은 11월 11일 11시 11분에 열려서 2월 중순에 거리 에서 큰 퍼레이드랑 파티를 해요. 북미의 할로윈이랑 비슷하게 코스튬을 입고 파티 하는 개념이에요.
두번째 이유
독일 음식, 맥주를 시도해보기 좋아요. 아무래도 다른 도시들 보다 한식당, 중식당, 일 식당도 몇개 없지만 그 덕분에 쾰른에 여행갈 때마다 색다른 독일음식을 시도해보는
데 실패한적은 없어요. 쾰른에만 있는 건 아니지만 독일에


네번째 이유
근처에 뒤셀도르프, 프랭크푸트로 동양인 커뮤니티가 많이 형성 되어있어요. 가끔 한
국 음식 해먹고 싶을 때 뒤셀도르프에 있는 하나로 마트에 가면 없는 게 없어요. 요즘 에는 현지인들 사이에도 한국음식이 인기가 많아서 앞에 줄 서있고 마트에 들어가면
사람이 꽉차있어요. 그리고 가끔 회나 초밥이 먹고 싶을 때, 뒤셀도르프에 있는 리틀도
쿄에 가면 일본 음식점도 많고 맛도 있어서 일본에 있는 거 같은 기분이에요.
다섯번째 이유
지금 여름이 다가오지만 쾰른 크리스마스 마켓을 빼놓을 수 없죠. 쾰른 크리스마스는
독일에서 아름답기로 손에 꼽히고 라인강, 노이마켓 등등 관광명소에 크리스마스 벤 더, 장식, 트리, 등등 너무 예쁘게 장식해 놓아서 제 개인적으로는 독일에서 가장 아름 다운 시즌이라고 생각해요.
여섯번째 이유
유럽에 살면 여행을 빼놓을 수가 없죠. 쾰른에서 출발하면 여행하기 너무 좋아요. 독 일 중심에 있는 도시라 기차타고 어디는 가기도 편하고 근처 공항이 세개나 있어서 프랑스, 스위스, 동유럽


























앤소니 알바니지 총리가 타임지(Time Magazine)의 ‘2023년 세계에서 가장 영향 력 있는 100인(100 most influential people of 2023)’에 선정됐다.
호주 총리로는 세번째다. 앞서 2008년 케빈 러드 총리, 1999년 존 하워드 총리가 이 명단에 이름을 올렸다.
2023년에는 조 바이든 미국 대통령, 기시다 후미오 일본 총리, 루이스 이나시우 룰 라 다시우바 브라질 대통령, 찰스3세 영국 국왕, 올레나 젤렌스카 우크라이나 영부 인 등의 지도자들이 타임지 명단에 올랐다.

축구선수 리오넬 메시와 킬리안 음바페, 가수 비욘세, 미국 패션 디자이너 톰 브라 운도100인 명단에 포함됐다. 티임지는 올해 세계에서 가장 영향력 있는 100명을 지도자, 아티스트, 아이콘, 혁신가 등으로 분류해 이 명단을 발표했다.



쥐스탱 트뤼도 캐나다 총리는 이 잡지에 쓴 글에서 알바니지 총리를 ‘희망과 영감 의 상징’이라고 표현했다. 트뤼도 총리는 올해 있을 호주 원주민 목소리에 대한 국 민투표를 언급하면서, “알바니지 총리가 호주 원주민의 권리를 증폭시키기 위해 앞 장서 일하고 있다”고 찬사를 보냈다. 또한 그는 “알바니지 정부는 우리가 야심찬 기 후 행동을 취할 필요가 있다고 믿으며, 전례 없는 위협 앞에서도 흔들리지 않고 민 주주의를 지지한다”고 말했다. 트뤼도 총리는 미래가 불확실해지는
있지만,
희망과 기회의 길을
엄청난 용기를 가지고 있다”고 칭송했다. 작년 5월 연방 총선에서 야당인 노동당이 승리했을 때 알바니지 총리 당선인은 첫 연설에서 호주인을 하나로 모으고 싶다고 강조했다.
qldkoreanlife.com.au qldkoreanlife





(단품, 선물세트)
'호주�직판연결'

�kg




호주에서 제작된 TV 드라마에 유색인종과 성소수자, 장애인 등 사회의 다양한 구성
원을 대표하는 등장 인물이 여전히 부족한 것으로 나타났다.
시드니에 거주하는 아시아계 호주인 배우 티파니 웡(Tiffany Wong)은 “동료 백인 배우들보다 확실히 캐스팅 기회가 적다. 방송 캐릭터에 인종•문화적 변화가 필요 하다”고 주장했다.
호주영상진흥원(Screen Australia)이 지난 2016년과 2021년 사이에 방영된 호주 드라마 360편의 등장인물 3,000명을 분석한 결과, 2016년 1차 조사 때보다 문화적 다양성은 다소 향상됐으나 인구 대비 대표성은 여전히 낮은 수준이었다.
원주민 캐릭터는 5년간 4.8%에서 7.2%로 증가했다. 이는 호주 총인구 중 원주민 수를 기준으로 약 2배에 해당하는 수치다. 성소수자(LGBTIQ ) 등장인물도 7.4%로 늘었다. 하지만 총인구에서 성소수자가 차지하는 비율인 11%를 반영하기에는 아 직 부족했다.
비유럽인 캐릭터 또한 6.9%에서 16%로 급증했으나 해당 실제 인구의 4분의 1에 도 못 미치는 수준이었다. 장애인과 노인은 더욱 심각했다. 드라마에 등장하는 장
애인 캐릭터는 3.6%에서 6.6%로 늘어났으나 총인구 대비 장애 인구(18%)의 3분
의 1에 그치는 수준이었다.
스크린 오스트레일리아의 그레이엄 메이슨(Graeme Mason) CEO는 “출연지의 다
양성 강화는 문화뿐만

프랜치랙 �kg 양�한마리�세트 �.�kg







드디어 오렌지의 계절이다.
내가 가장 좋아하는 향기.
상큼 달달한 향기만으로도
기분이 좋아지는 오렌지. 시
트러스 계열의 향을 정말 좋
아하기에 향수도, 디퓨저도
무조건 시트러스 계열로 쓰
는 나이지만 그 중에서도 제
일 좋아하는 것은 오렌지 향
이다.
지나가다가 오렌지 향이 나
면 나도 모르게 코를 킁킁
거리며 돌아보게 된다. 내
가 사랑하는 오렌지가 본격
적으로 시중에 나오는 행복
한 계절이 드디어 돌아왔다.
오렌지는 보통 대량으로 팔
다 보니 한 번 사오면 냉장
고에서 자리를 꽤 차지하게
된다. 아무리 좋아해도 막
상 매번 껍질 까는 것이 쉽
지 않고 귀찮아서 냉장고에
넣어두다가 한번씩 꺼내서
오렌지 주스를 만들어 본다.
과즙 짜는 기계를 꺼내면 아
이들이 서로 해보겠다며 달
려온다. 동그란 오렌지 반쪽
을 요리조리 살펴서 남는 곳
이 없도록 돌려가며 야무지 게 즙을 짜내는 장인정신.
사실 오렌지를 그대로 잘라
서 주면 까다로운 둘째군은
신맛이 싫다며 잘 먹지 않는
데 이렇게 직접 짠 즙은 한
컵씩 잘 마시니 한번씩 비타
민C 섭취를 위해서 착즙주
스를 만들곤 한다. 즙을 짜
는 내내 집 안에 퍼지는 싱
그러운 오렌지의 향기가 사
랑스럽다.
오렌지 주스는 어디에나 잘
어울린다. 느끼한 음식을 먹
을 때도 좋고 담백한 빵과
함께 해도 좋다. 특히 나는
치즈와 함께 먹는 것도 좋
아하는데 새콤달콤한 맛이
부드럽고 고소한 부라타 치
즈 샐러드와도 참으로 잘 어
울린다.
by 와이니 / 브런치


냉장고에 있는 과일들을
뚝뚝 잘라 내놓을 때도 주
오렌지와 함께 하면
조화롭게 예쁘다.
이 날은 상큼한 오렌지 향
을 느껴보고 싶어서 에스 프레소보다 은은하고 부드
러운 드립커피를 내려서 함 께 했다.
오렌지의 계절이 돌아오면
한동안 우리집 브런치 식
탁에 빠지지 않고 등장한
다. 귤 하고는 완전 다르다 며 서양 과일이라고 생각해
오게 되었던 오렌지의 원산
지는 의외로 인도이다. 당
연히 유럽에서 온 과일일
줄 알았는데 인도에서 히말
라야를 거쳐 중국으로 오게
되었고, 15세기에 포르투갈 로 다서 발렌시아 오렌지로
퍼져나가게 되었다고 한다.
왠지 스페인, 이탈리아 따
뜻한 남부 유럽 쪽에서 전



해져 왔을 것 같았는데 오 히려 아시아에서 유럽으로
전해진 과일이라고 한다.
이렇게 유럽으로 전해져 온
오렌지의 종류는 발렌시아
오렌지·네이블오렌지·블
러드오렌지로 나뉘게 되는 데 발렌시아오렌지는 세계
에서 가장 많이 재배하는
품종으로 즙이 풍부하기 때
문에 주스로 많이 가공한다 고 한다.
껍질이 얇은 네이블오렌지
는 주로 캘리포니아에서 재
배하는데 밑부분에 배꼽처
럼 생긴 꼭지가 있다. 아마
우리가 시중에서 가장 많이
만나는 오렌지가 이 종류일 것이다.
블러드오렌지는 주로 이탈
리아와 스페인에서 재배하
는데 과육이 붉고 독특한
맛과 향이 난다고 한다. 나
폴리에 갔을 때 해안선을
따라 걸어 내려오면서 길거 리에서 사 먹었던 오렌지의 맛을 잊을 수가 없는데 아마 이 품종이었을 것 같다. 결벽증이 있는 나에게 길에 서 손으로 과즙을 뚝뚝 흘리 며 오렌지를 까먹는다는 것 은 상상할 수 없는 일이었는 데 더운 날씨에 시원하고 상 큼한 오렌지가 어찌나 맛있 었는지 정신줄 놓고 몇 개를 그 자리에서 까먹었던 기억 이 있다.
우리가 흔히 접하게 되는 네 이블 오렌지의 제철이 바로 3월말부터 5월까지 이다. 사 계절 내내 구하기 어렵지 않 은 과일이지만 유독 봄철에 많이

코리안라이프







by Charlie Kim / 브런치
Banff National Park (1)

보우강 (Bow River)이라는
이름은 원주민들이 강둑을
따라 자라는 갈대로 활(Bow)
을 만들면서 그들의 언어로
이 강을 "활 만드는 갈대가
자라는 강"이라는 뜻의 마
카븐(Makhabn)이라고 부
른 데서 유래하였다고 한다.
이 지역은 유럽인들이 유입
되기 전까지 원주민들이 수
천 년 동안 자연과 조화롭게
살며 낚시나 버펄로 사냥 등
으로 생활해 왔던 삶의 터전
이었다
야생 동식물들의 자연 서식지
인 이 강을 따라 밴프시를 통
과하는 구간에는 사람들을 위 한 공원, 피크닉
에서의 도시락 식사는 그 어
느 진수성찬보다 가슴 설레고
풍요롭고 흐르는 강물 소리는
클래식 선율처럼 감미롭다.
보우 강이 흐르는 길을 따라
가다 보면 캐나다의 국립 사
적지로 지정된 Fairmont
Banff Springs 호텔을 만나
게 된다. 1888년에 최초 설립
되어 1900년대 초에 다시 증
축된 이 역사적인 호텔의 고
풍스러운 자태는 캐나다 로키
산맥과 보우 강의 절경과 어
우러져 유럽의 어느 고성 못
지않은 고고한 분위기를 갖
고 있다. 연중 많은 방문객들
이 찾는 5성급 호텔이기 때
문에 숙박료가 비싼 편이기
는 하지만 캐나디언 로키 산
맥의 100년도 넘은 고성에 머
무는 색다른 경험과 위엄있는
호텔에서 럭셔리한 경험을 하 기 원하는 사람들이라면 한
번쯤은 꼭 방문해 볼 만한 명 소인 것 같다. 호텔의 온천수
런들 산(Mount Rundle)을 바라보며 캐나디 언 로키산맥의

















ⓒ 본 광고 이미지는 코리안라이프가 제작하였습니다.


초등학교 저학년부터 분수(fraction)를 배웁니다. 특히 분수 더하기 빼기는 초등학 교 4 - 5 학년들을 무척이나 괴롭히고 있습니다. 또한 대분수(mixed fraction)와 가 분수(improper fraction) 끼리 변환하는 것도 만만치가 않습니다.
7 -8 학년 이상 되면 분수를 다루는 것이 능숙해져서 더 이상 분수가 학생들을 괴롭 히지 못합니다. 그러다가 9-10학년이 되면 그래프 그리기를 본격적으로 하게 됩니 다. 그 동안 조용히 숨어 있던 분수가 갑자기 그래프에 툭 튀어 나와 모든 고등학생 들을 괴롭힙니다.
분수의 아랫부분인 분모(分母, denominator)에는 절대로 0 (zero) 이 와서는 안 된 다는 그 사실이 그래프 그리기를 어렵게 만드는 원인입니다. 분수는 어떤 값을 나누 는 과정입니다. 삶은 계란12개를 여섯 명이 똑같이 나누어 가지려고 한다면 12 나누
기 6 = 2개씩, 두 명이 나누어 가지면 12 나누기 2 = 6개씩 가지면 됩니다.
그러면 0.5명(반 명)이 나누어 가지면 어떻게 될까요 ? 사람이 반으로 될 수 없기에
실제로 0.5명은 있을 수가 없습니다. 하지만 계산은 가능합니다. 12 나누기 0.5 = 24
개가 됩니다. 12개 밖에 없던 계란이 반 명(0.5명)이 나누어 가지면 한 사람당 24개
가 됩니다. 이것은 이해하기가 참으로 힘듭니다. 반 명(0.5명)이란 것도 이해하기 힘
들지만 12개가 24개로 늘어난 것은 더욱 기이합니다.
현실세계에서는 있을 수 없지만 수학계산은 계속할 수 있습니다. 0.1 명이 나누어 가지면 12 나누기 0.1 = 120 개, 0.01 명이 나누어 가지면 12 나누기 0.01 = 1200 개
가 됩니다. 나누려는 숫자가 작아질수록 삶은 계란을 점점 많아집니다. 계속하다

가 결국 0으로 나누면 그 값은 따지지 못할 정도로 큰 수가 됩니다. 그 수를 무한대 (infinity)라고 합니다.
불행히도 인간은 무한대의 숫자를 다루지 못합니다. 그것이 인간의 한계입니다. 그
똑똑하다는 계산기도 못합니다. 학생들이 가지고 있는 계산기로 1나누기 0 을 찍어 보세요. 계산기도 창피하니까 에러라고 창에 표시할 뿐입니다. 그래서 그래프에서 분모를 0으로 만드는 숫자는 점근선(점점 접근하는 선, asymptote)이라는 직선이 됩니다. 그래프 그릴 때 이 점근선 개념이 가장 어렵습니다.
그 선의 좌우에 무한대 값이 존재하기 때문에 우리가 다루기 참으로 힘듭니다. 그런 데 수학에서만 존재하는 줄 알았던 무한대가 실제 세상에도 존재한다는 것이 과학 자들에 의해 밝혀졌습니다. 대표적인 무한대현상이 바로 그 유명한 블랙홀입니다. 블랙홀이라는 별은 중력이 무한대라서 시간이 흐르지 않고 무게가 무한대로 되는 별입니다. 현재 몇 개의 블랙홀이 발견되었습니다. 블랙홀에 접근하는 순간 블랙홀 에 빨려 들어 형체도 없이 사라져 버릴 것입니다. 그래서 무한대가 지배하는 세상은 인간이 갈 수 없는 곳이기도 합니다. 별거 아닌 듯한 분수 계산 속에 무한대의 세계 가 숨어 있는 것이 신기하기만 합니다.
꿈을 향해 노력하는 학생들이여, 이제 노는 시간을 반으로 줄여 분수의 원리를 이용
해서 성적을 두 배로 만드세요. 화이팅~!
















1. 하나의 물결이 많은 물결을 일으킨다
3. 흙이나 거름을 담아 나르는 데 쓰는 기구
5. 장사하는 재주나 꾀
7. 아무렇게나 굴려도 일어서는 장난감
9. 고대에 만들어진 무덤
10. 학교에 다니면서 공부하는 사람
11. 나이나 수준이 서로 비슷한 무리
13. 몸집
14. 새로운 세상
16. 바다에 이는 물결
18. 진실에 가까운 느낌
19. 길이 구부러지거나 꺾여 돌아가는 자리
1. 한 개인의 형편
2. 고대 이집트의 왕
3. 둥근 쇠 테두리에 발이 세 개 달린 기구
4. 거의 죽을 뻔하다가 도로 살아남
6. 술을 아주 많이 마시는 사람
8. 굳세게 버티거나 감당하여 내는 힘
10. 공부를 파고드는 사람
11. 말이나 글씨가 조리 있고 또렷한 모양
12. 선거에 출마할 당원을 추천함
14. 신랑이 될 만한 인물
15. 가장 쉽고 빠른 방법
17. 짚으로 엮어 어깨에 걸쳐는 옛날 비옷


정답

























이백민
제가 어릴 때 저희 집에 세
를 살던 한 가정이 있었습니
다. 이사를 갔다가 몇 년 후
에 그 집에 살았던 아주머니
가 저희 집에 다시 찾아왔습
니다. 살았던 곳이 보고 싶
기도 하고 저희 어머니도 만
나고 싶어 왔다고 했습니다.
어머니는 그 분이 이사를 더
좋은 곳으로 갔다는 소식을
듣고 좋아하셨습니다. 어머
니는 지금까지 저희 집에 세
들었던 사람들은 모두 잘돼
서 이사를 갔다면서 자랑스
럽게 이야기를 하셨습니다.
그런데, 이 아주머니가 저희
집을 찾은 제일 중요한 이야
기를 듣게 되었습니다. 이사
를 간 후에 어떻게 해서 신
앙생활을 하게 되었는데 저
희가 교회에 다니던 것을 기
억하게 되어 다시 찾아온 것
이었습니다. 그리고, 저희 어
머니에게 “믿음을 가지면 이
렇게 좋은 것을 제가 여기에
살 때 왜 같이 교회 가자고 하
지 않았습니까?”라고 하였습 니다. 신앙생활이 얼마나 좋
았으면 이런 말을 할 수 있었 겠습니까?
우리는 언제 가장 기뻐합니 까? 보통은 자신이 바라던 어
떤 것들이 이루어졌을 때 기
쁨을 느낍니다. 그리고, 맛 있
는 음식을 먹거나 아름다운
노을을 바라보면서 느끼는
순간적인 기쁨도 있고, 합격
또는 승진을 하거나 집을 사
는 것과 같은 비교적 오래 가
는 기쁨도 있습니다. 그리고,
어떤 것들은 순간적으로 기
쁨을 주는 것 같으나 시간이
지나면 불행과 슬픔으로 이
어지는 것들도 있습니다. 술,
담배, 마약, 도박과 같은 것들
입니다.
예수님께서 사역하실 때 많
은 유대인들이 그들 나름대
로의 기쁨 또는 행복을 찾고
있었습니다. 회당에서 높은
자리에 앉는 것, 다른 사람들
이 자신에게 먼저 고개 숙여
인사하는 것, 긴 옷을 입으며
자신의 권위를 나타나기를
원했고, 돈으로 자신이 축복
받은 사람이라는 것을 드러
내면서 병들었거나 가난한
사람들을 저주받은 사람으
로 멸시하였습니다. 여러분
은 지금 행복하십니까? 무엇
때문에 행복하십니까? 신앙
의 삶은 하나님 때문에 기뻐
하는 것입니다.
(합 3:18) 나는 여호와로 말미
암아 즐거워하며 나의 구원
의 하나님으로 말미암아 기
뻐하리로다
사람 사이의 관계가 깨어지
는 이유 중의 하나도 사람
자체가 좋아서 만남이 이루
어지는 것이 아니라 사람이 가진 배경 때문에 만남이 이
루어졌기 때문입니다. 외모
를 보고 만난다면 그 외모가
자신의 마음에 들지 않을 때 사이가 벌어집니다. 재력, 권 력, 직업이나 사회적 위치 때
문에 만남이 이루어졌다면
그러한 것들이 사라질 때 만 남도 함께 사라지고 말 것입 니다.
어떤 부부는 아내가 대기업 에 다니는 남편의 직업 때문 에 결혼했지만 남편이 그 회
사를 그만두게 되었을 때 아
내는 남편에게 이혼을 요구 하였습니다. 그 아내는 남편
의 직장을 기뻐하였지 그 남
편을 기뻐한 것은 아니었습 니다.
기복주의 신앙은 하나님이
아니라 종교 때문에 취할 수 있는 다른 어떤 욕심 때문에 교인의 삶을 사는 것입니다.
신앙의 삶은 다른 어떤 조건 없이 하나님을 기뻐하는 삶
입니다. 하박국 선지자가 그
런 신앙을 가지고 있습니다.
(합 3:17) 비록 무화과나무
가 무성하지 못하며 포도나
무에 열매가 없으며 감람나
무에 소출이 없으며 밭에 먹 을 것이 없으며 우리에 양이 없으며 외양간에 소가 없을
지라도
(합 3:18) 나는 여호와로 말미 암아 즐거워하며 나의 구원 의 하나님으로 말미암아 기 뻐하리로다
힘든 삶을 살았던 바울과 사 도들, 초대교회 성도들의 신 앙이 조건부 신앙이었다면 모두 배교하고 말았을 것입 니다.
제가 아는 한 목사님은 병원 에 가도 원인을 알 수 없는 아픈 병 때문에 힘들어 하는 한 사람에게 심방을 갔습니 다. 교회에 한 번도 가보지 않
은 사람이었지만 지푸라기 라도 잡는 심정으로 목사님 께서 기도해 주셔서 자신의 병이 나으면 교회에 꼭 나가 겠다고 하였습니다. 얼마 후 에 병이 나았습니다. 그리고, 그 사람은 열심히 교회에 출 석하였습니다. 3년 정도 열 심히 출석하던 사람이 어느 순간부터 교회에 나오지 않 았습니다. 목사님이 그 사람 에게 심방을 가서 왜 교회에 나오지 못하였는지 물었습 니다. 그는 이렇게 대답하였 습니다. “3년이나 교회에 나가줬으 면 됐지 얼마나 더 나가야 돼 요?”
엄마는 유달리 약 드시길 싫어하셨습니다. 그러면
서 하시는 말씀이 “나는 약을 안 먹어도 건강하다”
고 하셨습니다. 그런 믿음 때문인지 실제로 엄마
는 여든의 나이가 되었음에도 불구하고 특별한 약
을 먹고 있는 것이 없으시고 건강하신 편입니다.
그런데, 그렇게 입버릇처럼 엄마가 하시던 말 때
문인지 이상하게도 필자는 약에 대한 거부감이 있 습니다. 약을 먹고 나면 건강해지고 회복이 될 거
야 라는 믿음이 필요한데 약을 먹을 때마다 왠지
불쾌감이 있고 긍정적 기대감을 많이 갖지 않게
되면서 의무감으로 먹게 되는 것 같습니다. 심지
어 건강 식품 조차도 인상을 찌푸리며 먹게 되는
나를 보면서 부모가 준 영향이 얼마나 오래가고
또 자녀의 삶에 지대한 영향을 주게 되는 지를 보 게 되었습니다.
결혼을 한 후에 많은 배우자들은 상대 배우자를
바꾸려고 합니다. 예를 들어, 배우자가 컴퓨터 게
임을 좋아할 경우 결혼을 했으니까 이제는 컴퓨
터 게임을 하지 않기를 바랍니다. 그리고 배우자
가 사람을 만나기 싫어하는 경우 어떻게 든 주말
이 되면 바깥에 나가기를 요청하고 사람들을 만
나지 않는다고 잔소리를 하게 됩니다. 이런 경우
많은 배우자들은 자신이 노력을 해서 배우자에게
압력을 가하거나 도전을 주면 배우자는 내가 원하
는 대로 바꾸어 질 수 있을 것이라고 믿음을 가지
고 그 일을 시작하게 됩니다. 그러나 결국 변하지
않는 배우자로 인해서 좌절을 경험하게 되는 경
우가 많습니다.
‘왜 내 배우자는 변하지 않을까요?’ 라고 생각하며
어려움을 호소하는 어떤 사람들은 배우자 변화시
키기를 포기했다고 말하기도 하고 어떤 사람들은
자신이 배우자를 맞추어 준다고 말하기도 합니다.
나의 혼자의 삶에서 나의 문제를 고치려고 할 때
내가 노력하면 바뀌어질 수 있는 가능성이 더 있
지만 결혼을 한 후 상대 배우자가 변하지 않는 것
을 단순히 내가 노력해서 바뀌어질 수 있다고 생각
하는 것은 오산입니다. 단순히 원인과 결과의 공
식처럼 되어지는 문제가 아니기 때문입니다. 배
우자와 내가 만나서 한 가정을 이룰 때는 그냥 한
사람과 한 사람이 만난 것이 아닙니다. 한 사람이
살고 있었던 다른 가정에서 형성되어온 가치, 삶
의 습관, 태도, 대인관계 양상 등을 그대로 가지고
살아가는 사람들이 많기 때문에 이 경우는 한 사
람과 한 사람이 만난 것이 아니라 어쩌면 한 가정
의 대표와 한 가정의 대표가 만난 두 가지 시스템
의 결합이라고 볼 수 있습니다. 그래서 가족 치료
에서는 가정은 단순한 가족 구성원의 합 이상이라
고 말합니다. 그 가정 안에 형성되는 독특한 상호
작용 패턴이나 규칙이나 의사소통 방식과 같은 것
들이 자리를 강하게 자리잡고 있고 그것은 건강한
것이든 건강하지 않은 것이든 그 가정이 유지되는
방식으로 작용해서 배우자의 변화는 생각보다 쉽
지 않는 것입니다.
그래서, 우리 가정의 문제는 나의 배우자야. 또는
문제를 일으키는 나의 아이야 라고 볼 것이 아니
라 우리 가정 전체의 시스템이 어떻게 돌아가는
지를 보아야 하고 그것이 어디로부터 왔는 지를
볼 수 있는 눈이 있을 때 가정의 문제를 건강하게
해결해 나갈 수 있게 됩니다. 예를 들어, 가장인 남 편이 컴퓨터를 너무 좋아한다고 할 때 무조건 컴 퓨터를 많이 하는 것은 나쁘니까 그것을 하지 말
아라 말하고 고치려고 하기 전에 그 문제가 어디
로부터 왔고 지금 현재 가정에서는 어떤 역할을 하
는 지를 큰 그림으로 살펴볼 필요가 있습니다. 그
남편의 이야기를 들어보니 어린 시절에 엄마, 아빠 의 갈등을 많이 경험해야 했는데 어떤 때는 부모님
사이에 오가는 폭력까지 경험해야 하는 상황에서 그 두려움과 고통을 이겨내기 위해서 아이는 컴퓨 터 게임에 몰입을 해야 했다고 합니다. 고통을 이 겨내기 위한 도피 수단으로 또는 고통을 회피하기 위한 수단으로 컴퓨터 게임을 사용하였고 그 컴퓨 터 게임이 삶의 즐거움을 주었던 위로였던 것입니 다. 그러던 남편이 다시 컴퓨터에 몰입하게 된 것
은 아내와의 갈등의 골이 깊어지면서 였다고 합니 다. 그 남편은 어린 시절 자신이 사용한 고통의 회 피 방식을 그대로 현재의 결혼 관계에 가져와서 사
용하고 있었던 것입니다.
어쩌면, 남편의 컴퓨터 중독의 문제를 고치라고 말 하기 전에 어쩌면 남편과 긍정적인 상호 작용을 하는 법을 먼저 익히는 것이 그 가정의 문제를 고
치는 해결책이 될 수 있습니다. 이런 비슷한 경우 는 많은 가정 가운데 일어납니다. 그래서 가정에서
‘문제아’ 라고 불리는 사람은 그 사람 자체가 문제
가 아니라 가정 안에 있는 역 기능적인 시스템의
문제를 그 문제를 통해서 보여주는 것이라고 볼
수 있습니다.
이렇게 가정의 문제를 바라볼 때, 문제 자체를 가
진 사람을 바라보기 보다 우리 가정 안에 있는 상 호 작용 간에 나타나는 역 기능적인 문제를 볼 수 있으면 문제의 답을 훨씬 더 잘 찾아갈 수 있게 됩 니다. 그것 중에 하나가 내가 태어난 원가정에서

형성된 규칙이라던가
삶의 습관이라던가 또
는 대인관계 패턴을 내
가 아직도 가지고 있으
면서 은근히 그것을 내 자신과 내 배우자, 또 는 자녀에게 요구하면 서 힘들게 하고 있지 않은가를 살펴보는 것

도 큰 도움이 될 수 있습니다. 예를 들어, 집안 전 체가 명문 대학 출신이라고 할 때 나도 모르게 우 리 자녀에게도 그것을 기대하면서 암묵적으로 스 트레스를 주고

















한국통합민원센터 ㈜, 미성년자 해외 출국 시
‘부모여행동의서’ 이제 권고 아닌 필수
‘배달의민원’ 통해 원스톱 발급대행 서비스 제공’

글로벌 O2O 민원행정 플랫폼 기업인 한국통
합민원센터 ‘배달의 민원’에서 미성년자 해외
여행시 필요한 ‘부모여행동의서’ 서류를 원스
톱으로 발급 대행해 주는 서비스를 진행중에
있다. 코로나 이후 해외 여행이 자유로워지면 서 여행 수요가 급증하고 있다. 여행자들 중 출
국 하려는 만 18세 미만의 미성년자도 많을 것
으로 예상된다. 이때 부모 동반 없이 미성년자 홀로 해외를 나가거나, 친척, 인솔자와 같은 제
3자와 동반 출국 하는 경우 ‘부모여행동의서’ 가 필수 권고 사항으로 외교부에서는 고지하 고 있다.
‘부모여행동의서’ 는 만 18세 미만의 미성년자
가 출국 하는 국가마다 인신매매, 유괴 등 국제
아동 범죄를 방지하기 위한 미성년자 보호 규
정을 강화하면서 서류가 해외 여행의 필수 조
건으로 자리매김 하고 있다. 최근 들어 ‘부모
여행동의서’ 는 항공사, 출입국사무소, 여행 사, 외교부에서까지 권고 하고 있는 상황이다.
권고라는 이유만으로 쉽게 간과했다가 큰 낭
패를 보는 사례가 급증하고 있는데, 여행하는
국가마다 확인하는 서류가 상이해 이에 대한 서류 준비가 미흡할 경우, 항공기 탑승이 어려
워질 뿐 아니라 입국 자체를 거부 당할 수도 있 기 때문에 미성년 자녀의 안전한 해외 여행을
위해서라면 부모여행동의서를 꼭 지참해야 한다.
한국통합민원센터㈜ ‘배달의 민원’ 에서는 미
성년 자녀의 안전한 해외여행을 위한 부모여
행동의서 서류를 인터넷과 모바일을 통해 클
릭 한 번으로 간단하게 발급 대행해 주는 서비
스를 제공하고 있다. 또한, 기타 해외 민원서류
에 대해 번역 및 공증촉탁대리, 아포스티유, 외
교부인증, 대사관인증 등 필요한 모든 절차를
원스톱으로 해결해주는 비대면 서비스도 제
공하고있다.
한편, 한국통합민원센터는 현재 중국, 베트남, 캐나다 등 해외 지사 설립을 확대 추진하는 등 전 세계로 서비스를 확장해 나아가고 있으며, 2024년 코스닥 상장을 추진 중에 있다.
B형 간염/C형 간염 문의
B형/C형 간염보유자 무료 간탄력도 검사 (FibroScan) - 비자에 상관없이 무료
담당자: 김미림
연락처: 07 3844 9166 | korean@eccq.com.au
민화는 우리 고유의 정서와 감성을 그림으로 표현한 실용적인 회화입니다.
민화 수업은 채색화의 정통기법을 심도있게 전달하는
실습 위주의 강의로 수강생들의 표현력과 이해도를 높여줌과 동시에
초급, 중급,심화과정을 남,녀,노소 누구나
재미있고 즐겁게 수준별 맞춤 강의로 진행합니다.
(우울증이나 침해예방에 도움이 되는 우리 전통회화입니다.)
수업 : 매주 금, 토 오전 10시~오후 1시. 원데이 클래스 수업 (재료 준비가 안되신 분은 무료로 공급해 드립니다) 수강문의 : 0447 333 844
사)한국민화협회, 한국전통민화협회, 한국민화센터 호주지부
교민을 위한 영어회화 교실 Term 2 호주 이민생활 중에 가장 힘들어하는 영어 회화!
살면서 하고픈 말을 마음껏 할 수 있도록 여러분과 같이 동행하며 도와 드리겠습니다. 영어 회화는 실력도 아니고 문법도 아닙니다.
저희는 문법과 스펠링은 안 가르칩니다.
저희는 문법도 모르고 스펠링도 잘 모르고 영어 회화만 잘 합니다.
사람들 마다 표현이 다 다르지만 동사와 시제만 잘 이해하고 사투리(억양)를 잘 따라 하면 영어로 듣고 대화하는데 전혀 문제가 없습니다.
많이 참가하셔서 호주 영어 회화를 빨리 배워, 호주 생활이 살 맛이 나는 생활을 하시기 바랍니다.
장소 : 동행하는 교회 (A1, 10-14 Compton Rd, Underwood)
기간 : 5월 6일 ~ 6월 10일, 매주 토요일 아침 9:30 AM – 11:30 AM
수업료 : 하루 수업당 $5 (간식 및 교제)
신청 문의: 0400 878 882 jackjeong@hotmail.com
한마당은 2010년에 창립되어 주정부에 등록된 비영리 법인단체이며 자선단체입니다. 호주와 한국 정부, 여러 단체들의 지원을 받고 있는 한마당은 종교와 지역성을 초월하며 남사당의 전통 연희를 추구합니다. 한국 문화에 관심과 열정이 있으신 분들, 한국 문화를 제대로 알고 싶으신 분들이라면 남녀노소, 국적불문, 모두 회원이 되실 수 있습니다. 강습 : 타악(풍물, 설장구, 사물놀이, 모듬북), 상모, 버나, 민요, 소고춤, 해금, 피리(태평소), 가야금, 아쟁, 대금 연습 일정 : 매주 일요일 오전 2시 반 ~ 오후 6시 반 연습 장소 : 한인회관(Kuraby)
연락처 : 0433 528 588 / 카톡 ID : bboying Facebook : http://facebook.com/ktpghanmadang
Homepage : http://hanmadang.org.au
이메일 : admin@hanmadang.org.au
호주기독교대학 평신도를 위한 신학교육 학비 저렴, 온라인, 유학생 어스터디 가능
ACC 호주기독교대학에서 평신도들의 신앙 성숙을 위한 신학과정이 개설되었습니다. 신앙의 성숙과 신앙을 삶에 적용하고 실천하는 것을 돕기 위한 쉬우면서도 감동이 있는 신학과정이 개설되었습니다. 학비는 아주 저렴하면서도 수준있는 교과과정에 정부생활비 보조 어스터디가 가능합니다.
탁월한 교수진들을 통해 수업을 진행하며 좀더 실제적이고 삶을 변화시키고 회복시켜서 학생들과 가르치는 교수진들과 튜터 모두가 삶의 변화를 경험할 수 있고 하나님들을
더욱더 깊게 만나고 기쁨과 감사가 삶 속에 충만하여 건강하게 변화되어지는 것을 목표로 합니다. 건강하고 균형 잡힌 사람은 정신과 육체 그리고 영이 균형적으로 발달되고 역할을 하는 것입니다.
연락처: 02 6255 4597, 0402 140 905 info@accu.edu.au / accu.edu.au
기독실업인과 전문인들이 뜻을 합하여 예수 그리스도가 구주임을 증거하고, 주님의 지상명령을 성취하는 국제적 사명 공동체로(세계 96개국) 매주 1회 조찬기도회로 모여, 기도하는 형태가 다른 교회입니다. 한국에는 281개 지회와 해외에는 130개 한인지회가 있으며, 호주에는 브리즈번, 시드니, 멜버른, 퍼스에 지회가 있습니다.
예배인도 : 지태영 목사 (UCA 은퇴목사 / 창신대 석좌교수)
모임 : 매주 목요일 아침 7시 ~ 8시 | 장소 : 베스트 웨스턴


긴급/주요기관 안내전화
긴급전화(경찰, 앰블런스, 화재) 000
Police Liaison Unit(한국어) 3364 3217
경찰업무 관련 한국어로 통화를 원할 때 Police Link 131 444
가정폭력 1800 811 811
여성상담센터 0425 252 372
성폭행 상담 3636 2414
수도 1300 366 692
독극물, 생명전화(24시간) 13 11 14
위기구호, 아동학대 1800 177 135
음주, 마약 3236 2414
브리즈번 시티카운슬 3403 8888
골드코스트 시티카운슬 5582 8211
골드코스트 관광청 5592 2699
서프사이드 버스 시간표 13 12 30
센터링크 13 61 50 / 13 12 02(한국어)
이민성 13 18 81
일기예보 1900 914 450
임신상담, 정보 1300 139 313
의료기관 정보 3236 4833
전화번호 안내 12 455, 1233
전기, 가스 문의 13 12 53 / 13 62 62 (사고)
텔스트라 문의 125 111 / 1800 773 421(한국어)
통역서비스 13 14 50
대한무역진흥공사 02 9299 1790
간판/인쇄/디자인
i-hub 0435 831 116
NB Signs - 간판, 인쇄, 디자인 0421 790 885
Sunny Creative 0412 840 533
건강식품/기념품
뉴질랜드 초록홍합,녹혈,녹용 캡슐 판매 0403 736 998
드림로드 양모, 한국이불 3209 5445
New Core 건강식품 3012 7886
SINI 건강 (써니뱅크점) 3344 7881
건축/인테리어/집수리





한국
재향군인회 퀸즐랜드 분회 0412 629 358
퀸즐랜드 주 한인회 3390 0024/ 0424 724 624
퀸즐랜드 한국 참전 유공자회 0414 295 709
퀸즐랜드 한인 골프회 0430 202 239
퀸즐랜드 한인경로회 0418 883 377/3345 1400
퀸즐랜드 ROTC 동문회 0415 695 635
퀸즐랜드 한인 비즈니스 협회 0408 889 792
호주지회 0452 188 070 교민단체 골드코스트 한인회 0418 763 186 대양주 한인회 총연합회 0427 566 474 월남전 참전자 전우회 퀸즐랜드지회 0411 378 391
퀸즐랜드 한인 오케스트라 0411 820 800
퀸즐랜드주 해병 전우회 0427 334 521
나이스 블라인드 3133 8330, 0421 594 083 대니 핸디맨 0402 299 915
백향건설 0434 763 843 / 0421 025 230 스타 블라인드 0430 715 906
에벤에셀 인테리어 0421 438 424
핸디맨 0428 123 800
전문(욕실
타일,
0452 471 080
블라인드 0408 288 789
ARCHIONE Design Builders 0402 533 628
Beauty Home Blind 0408 011 021
Blue River Design & Construction 0478 709 032
Blue Whale Construction 0402 272 891, 0416 911 333
BL 핸디 홈 메인터넌스 0416 911 444
City Garage Doors
차고문 당일수리, 제작 0492 889 349
결혼 주례
써니뱅크 정부 공인 주례사 0408 688 010
i-Care 0433 494 281
골프레슨
원성욱 프로 레슨 0402 598 961
Victoria Park Golf Learning Centre 한국어 0451 899 874
교육/학원/개인교습
김선생 수학 0430 127 992
탑원 바이올린 0424 783 353















Dr 핸디맨 0478 833 415








G1 Painting 0450 959 010
Happy Blinds 0481 711 500



Hi Design & Construction 0430 900 630









J Plus Building Inspections 0422 773 031
K Total Construction 0466 127 884
KIM’S HOUSING 0411 097 908








NEXUS PLUMBING 0459 999 754
OkayPainting 0430 889 559
OneStop Bath & Tiles 07 3034 1075 Shop4, 655 Toohey Rd, Salisbury
SUNSHINE 블라인드 0481 148 692
Total Cabinet 3299 1978
피아노 전공자쌤 0478 548 500


피아노/망고힐/시드니콘석사 장학생


TOV Construction 0452 578 001
WINDOW ART 3114 2145, 0490 537 244 건축 설계
mih architect
황용연 건축사 0451 377 843
세계대회1등 0433 309 331
호주 라인 댄스 0401 812 610
CS Education 0402 855 802
EduPlanet College & QCM 3343 6343
Eight Mile Planes 유치원 3841 3350
Elite Tuition 0400 328 187(영 어) 0400 163 227(한국어)
LE SPA MASSAGE ACADEMY 3368 3362
광고문의 0422 258 092, 0432 008 985 admin@qldkoreanlife.com.au
아하바 목욕탕 3391 2279
웨딩메이크업헤어(withBRIDAL) 0481 982 486
제시헤어 0414 060 369
헤어시티 시티점 3210 1049
alabuu 0493 475 995
K Bridal Studio(Julie) 0451 373 313
M nails & beauty 0432 346 799
M&U Beauty Brow(미앤유 뷰티 쿠파루) 0423 056 137
The Face Shop (가든시티) 3344 6014 (써니뱅크) 3423 2514
번역/통역

가영 NAATI 3급 번역공증 0410 672 485
나티공인 한영/영한 번역사 0431 232 673
데레사 통역 0402 307 090
손지은 NAATI 3급 0412 088 428
호주 닷컴 온라인 번역공증 info@hojoo.com
JINO NAATI 통역서비스 0430 812 205
변리사
김현태 특허상표변리(호)사 040 433 5914
변호사


법무법인 Park & Co ㆍ 대표번호(유선) 3345 6665 ㆍ 대표번호(모바일) 0490 130 012 ㆍ 박창민 변호사 0452 435 447
김희용 변호사 0431 628 082
ㆍ 허성은 변호사 0425 030 220
H & H Lawyers 02-9233-1411
ㆍ홍경일 대표변호사
ㆍ강현우 형사전문변호사 0487-192-566
ㆍ김진한 변호사(이민)
ㆍ김현태 변호사·상표변리사
리틀즈 법무법인 ㆍ NSW 1800 000 119
ㆍ QLD 1800 082 082
ㆍ 김경태 변호사 0452 480 920
ㆍ 이종일 변호사 0434 980 635
성도 법무법인
ㆍ대표번호 3392 3981
ㆍ김문기 변호사 0411 211 227
ㆍ김태규 변호사 0403 689 714
KLS Legal Practitioners
ㆍ사무실 (07) 3113 3790
ㆍ나윤제 대표변호사 0423 005 035
ㆍ신선미 변호사 0412 693 115
김린 변호사 0404 871 986
김영규 변호사 07 3210 6489, 0411 624 779
박근영 변호사 0433 372 566
주광훈 변호사 0405 694 497
정회림 변호사 07 3195 4807
진승희 변호사 0403 503 530
LinkOz 이정민 변호사 0401 576 978
보험/홈론/파이낸스
무담보 소액대출(호주 어디서나) 0412 232 889
미래종합금융 1300 882 595




AACA (All About Care Australia) 07 3133 0209 (Gemma) 0430 218 030 (Tasha) 0402 595 741
ONE DREAM COMMUNITY ㆍ장애인
1800 841 777
사진
Alicia’s Photography 0478 825 233
상담/심리치료
ACC 상담센터 02 6255 4597
JR 부부상담연구소 0434 487 433
숙박시설
스프링우드 타워 호텔 3387 7077
호텔 다이아나(한국어) 3896 1691
송금/환전
한국송금(구. 코원송금) 0474 373 007
스포츠/체육관
원 태권도 0430 295 881
Sunnybank 테니스클럽 0430 014 221
Sunnybank 당구장 0430 014 221
식당/카페
Sushi
ANZ Jin Lee 0434 689 100
C-Herald Insurance 1800 998 557
C-Herald Finance 1800 998 557
Focus Loan(오지훈) 0420 847 110
Hana Finance (알렉스) 0410 622 838





AKLINKS 손한나 대표 0428 87 5050
3 Sisters 3195 4481

Bluedog 부동산 0419 536 071
Bluedog 김수정 0408 622 934
HD Property 황기철 0413 515 788
Harcourts Calamvale (홍성우) 0415 413 769
Ideal Realty Advisors (시드니) 02 8007 4989, 0414 088 089
LJ Hooker 최경식(Kyle Choi) 0429 598 838
Link Plus Realestate 이지영 0450 908 864
Raas Group 0420 486 651
Remax 부동산 써니뱅크
조권현 0452 65 88 78
YONG 부동산(오세진) 040 228 3003
누나네 해장국 3107 4158
마녹파크 0433 276 449
마루 3221 7778, 3012 9912
모모치킨(city) 3012 8238
모모치킨(runcorn) 3841 8068
미담 3344 5001
불고기 Bros 3350 2233
샤부하우스 (일식 부페) 3211 5407
소문 삼계탕 3158 3709
차미 푸드 앤 보틀샵 3210 6349
코릴라 바베큐 3211 1212
콩닥 치킨 0491 652 806
한우리 BBQ 부페 3211 5710
BEN 월남 중국 식당 3391 3233
Charim 차림 (North Lakes) 3093 3571
Choi Korean Cuisine 3191 3214
Cream House 3191 9098
Doujo 일식 0499 632 196
Funny Funny 3012 8108
여행/공항픽업
가나안 공항 픽업 0478 833 415
도움 투어 3012 8383
우리여행사 0412 393 713
케니 여행사 3344 3220 / 0402 729 595
현대 투어 0432 140 083
HT 여행사 3003 1771
운송/택배/이사





시온 에어컨 냉동 0434 486 877
에어컨 청소 FreshZone 0431 135 071
Airmazing 0451 104 439, 0402 005 079



Hybrid Physio 3190 9747
JINDALEE Complete Dental 3376 5475
My Clinic (Dr 제임스 강) 3272 2202
The Dental Club 1300 165 768
Stafford | Caboolture | Bellmere | Griffin
의류/침구/옷수선



드림로드 3209 5445, 0433 267 953
차밍 옷수선 0403 617 076
OUR HANBOK 0423 378 055
자동차운전학원
























Fresh Cool 0401 627 853
메이 운전학원 0419 708 177










LEES 에어컨 설치 0434 378 245
SONG 에어컨 설치 0414 781 645
부부 운전학원 0414 273 087
자동차정비


















SWIND 0451 994 144
OK 냉동 서비스 센타 0423 457 898
유통




웨스티마켓 0450 103 788




가나안 용달 서비스 0478 833 415
(각종 소형 ‘짐’ 운반)
대한통운 국제택배 0431 571 657
와이즈 국제물류 1800 577 369
한진택배 0431 231 468
현대택배 0430 014 221
HT Logistics 3823 1802
PNL 택배(한국-->호주) 0449 24 8282
Milton Exchange (노브랜드 유통) 0438 545 007
Cordelia International (온리프라이스
제품외 유통) 0450 103 788
유학원
도움 유학 3012 8383
GLOBAL MATE 3221 8318 0451 281 841
HT 유학원 3003 1771
이민 컨설팅






가영 비자 이민 컨설팅 0410 672 485
백승용 이민법무사 3323 3186
변기훈 이민법무사 0425 669 799
이정민 법무사 Select Australia 0430 592 230
채정우 이민법무사 0423 687 378
호주닷컴 02 9746 1452
라파 한의원 0452 563 365
모유사랑 모유수유클리닉 (상담, 유방관리) 04 5675 5675
보화당 한의원 3219 1002
언어치료사(Speech Pathologist) 0473 562 154
엔한스 덴탈 스튜디오 (런콘) 07 3423 0783
족부 의학 클리닉 (써니뱅크) 07 3344 6866 (해밀턴) 07 3741 2825
질미어 치과병원 3265 6010
Carindale 자매치과 (김현아/김은아) 3324 9172
Dr.허 시티 한국인병원 3210 2111
Dr.허병원 Skin Clinic 0407 112 342
Exceptional Dental 3118 5306
조이모터스(정비) 3277 2477
Autocrew Motors 3191 7044 0416 422 099, 0433 649 931
Pro Tinting 0432 390 910
SK 자동차 공업소 3423 8085
Speed mate 자동차 정비 0416 191 319
Top One Motors 0430 123 711

























정육점 (런콘점) 3423 1337
0423 333 932
0431 686 296
0433 689 717
청소/방역
원스톱 방역 & 카펫 청소 0401 600 887
원펀치 터마이트&페스트컨트롤 0402 157 905
써니뱅크 터마이트 0412 178 944
짐스 터마이트 & 페스트 컨트롤 0416 515 874
클린킹(청소용품판매) 3208 1333
JCM 터마이트&페스트 닥터팀 0430 318 776
크리에이티브 0412 840 533
NB Signs - 간판, 인쇄, 디자인 0421 790 885 건강식품/기념품
0423 733 599 ㆍ
ㆍ
왕성교회 0400 878 882
은혜교회 3376 2143 / 0433 677 241
임마누엘교회 3344 7521 ㆍ 브리즈번 좋은감리교회 3343 1817 / 0413 608 392
ㆍ
브리즈번 주안교회 0432 680 975
ㆍ 브리즈번 평화교회 0425 252 372
ㆍ 브리즈번 한인장로교회 3341 9232
AplusHomeCare(터마이트,페스트 컨트롤) 0448 226 179
Kleen Hub(청소용품 판매) 3191 3248
푸드패키징
Kleen Hub 3191 3248


ㆍ 브리즈번 한인중앙장로교회 3202 9553 / 0413 515 737 ㆍ

한인연합교회 0425 306 577
행복한교회 0433 494 281
0414 624 779
3252 1701
0401 458 230 / 0431 259 828
0466 184 366
0425 118 471
한인천주교회 3369 3159 / 0413 016 031
Q Pack 3219 5654
플러밍/가스
HIGH TECH PLUMBING & GAS 0431 409 844
JINSU PLUMBING&GAS 0401 359 573
NEXUS PLUMBING 0459 999 754
PK PLUMBING 0433 772 172
폐차/고철/고물
Metal Xchange | Cash for Cars 0410 140 500 컴퓨터/POS/웹사이트

ㆍ 원불교 3219 1002
꿈이 있는 교회 0421 480 870
동행하는 장로교회 3422 0828 / 0400 878 882
브리즈번 순복음교회 3341 9090 / 0433 9933 52
스프링필드 침례교회 킹제임스성경 0469 859 983
호주 가정 상담 대학 0416 069 812
호주 기독교 대학 02 6255 4597
한마음 교회 0410 409 007
Faith Church 써니뱅크
ㆍ 요한계시록 성경예언
ㆍ ilona 목사 0400 374 666
주방용품(상업용)
썬샤인 비즈 솔루션(스시머신, 주방용품) 0413 396 799
All 4 Kitchen 주방용품 수리 0433 974 907
중고 가전
Smart Electrical Clearance Outlet
ㆍ Hyperdome 3133 1805
ㆍ Capalaba 3823 4165
ㆍ Mt Ommaney 3376 7445
ㆍ Browns Plains 3800 1013
미디어 나라 0412 443 066
GGL 토탈 IT 솔루션 0422 395 706
iComputer (TPG 공식딜러, 컴퓨터 수리) 0435 831 116
M4U 웹디자인 0434 417 933
N2 CREATIVE (웹사이트 제작) 02 8091 7333
VTEQ 컴퓨터 3323 3232
(TPG 공식딜러, 웹사이트, IT솔루션) 핸드폰 수리
Jaetech 핸드폰 수리점 0404 932 988







권신정 회계사(MAZARS) 3218 3924



김상현 회계사(PKF) 0433 379 280
김재미 회계사 1300 00 11 08
바른회계법인 한상호 회계사 0450 468 318
백화실 회계사 0421 007 756
신우 회계
뉴질랜드 초록홍합,녹혈,녹용 캡슐 판매 0403 736 998
로얄건강 타운 0401 158 508
장수마을 0422 59 59 79
카사아울렛 5531 3155 건축/인테리어/집수리












집수리 04 02 02 8720 대니 핸디맨 0402 299 915
블라인드 0430 715 906
블라인드






레삐헤어 5679 3943
신 헤어 스튜디오 0407 090 270
웨딩메이크업헤어(withBRIDAL) 0481 982 486
킴스헤어(사우스포트) 5527 1990
케이살롱뷰티(사우스포트) 0421 187 046
FOREL Beauty & Spa 0413 753 087
Kausie Hair Salon (코지 헤어) 5531 2963
Meraki Hair 5592 0984
Hair COCO.GC 0413 662 699 / 5511 1892
The Hair 5528 6310
The 9 Brows & Beauty 반영구 화장 0448 019 555
Retreat 마사지 0404 806 887, 5527 1147 번역/통역
변호사 0410 601 521
김영규 변호사 0411 624 779
김흥수 변호사 5592 1921 정회림 변호사 07 3195 4807
C-Herald Insurance 1800 998 557
C-Herald Finance 1800 998 557
You and Me Finance 0468 429 180
보험전문 김옥이 0401 411 000 부동산



ALICIA’S PHOTOGRAPHY 0478 825 233
WOW CAFE & STUDIO 0401 282 303
AnK 골프 아카데미 0434 142 638
D.I Sports Academy 0425 864 112
Zero 0435 595 577

식품점/편의점
스마일마트 5527 1312
오페마트 5531 0922
유니마트 5608 9860
하나로마트 Helenvale 0493 090 679
Southport Robina
해피마트 0401 337 458
현우식품 5526 3838
Coomera Asian Mart 0424 491 646






고기하우스 5591 7465 감성포차 Yacha 5660 9648
김치하우스 5538 8496
다노시스시 5528 3005
두리분식 0413 965 268
대박집 5531 0374
불고기ya 5591 7270
서라벌 고기부페 5538 8465
소공동 순두부 0423 455 599
이조 숯불 BBQ 5531 2423


코리안 키친 5538 8855
파라다이스 숯불구이 5592 3824
해피롤 5528 0588
Hochan 호찬 0424 215 797
AZIT(아지트) 5661 8537
BBQ 빌리지 5532 2700

골드코스트부동산 (전주한) 0405 404 696
REMAX Property Centre (서경배) 0431 142 818


AK LINKS 부동산 손한나 대표 0428 87 5050
Bluedog 부동산 0419 536 071
Bluedog 김수정 0408 622 934
MASTER QLD PROPERTY 서문희
BBQ 코리아나 5504 5627
Cafe 928 5679 6616
CHIKOR 5531 1254
Cook & Beer 0402 99 66 94
Gal. B 5591 5141
Izakaya ichi 5564 0190
MAMAS KITCHEN 5571 1896
Oppane 오빠네 5532 2413
Rice House 5591 2239
RICE VS NOODLE 5538 8803
The Dak 0468 857 692
WOW CAFE & STUDIO 0401 282 303
K-Town Supermarket 5528 6781
Lotte 편의점 5591 2356
식품제조
명가(김치, 밑반찬) 5531 0906
BB 두부 0406 541 572
안경점
브리즈번안경원 골드코스트점 5531 0420
여행/공항픽업


시티익스프레스 공항픽업 0413 059 206
우리여행사 0412 393 713
운송/택배/이사




KPOST 우체국 택배 0422 59 59 79
대한통운 국제택배 0431 571 657
한진택배 0431 231 468
현대택배 3075 6872 / 0430 014 221
HT Logistics 3823 1802
PNL 택배(한국-->호주) 0449 24 8282
유학원
마린 유학 5591 7070
의류/침구/옷수선
벨라 옷수선 5511 2077
Sweet Closet 0402 148 750
메이 운전학원 0419 708 177
부부 운전학원 0414 273 087
자동차정비





DP Motors 5537 8235, 0433 835 293
GCCEM 이승엽 0421 707 771
H&K Motors 5532 9088, 0433 004 310
JD Motors 5591 6772, 5591 6227
차량복원 전문업체 NICK’s Panel & Paint 5531 3459, 0430 123 950
자동차판매
메르세데스 벤츠 골드코스트, 레이튼(한국어) 0478 220 828 카톡 MBGCLY
전기/전자/통신
리스(LEES) 전기공사 0434 378 245
하나로 전기공사 0416 868 818
SONG 전기공사 0414 781 645
청소/방역
가나 Termite,Pest Control 04 02 02 8720
얼스 와이즈 방역 0436 321 537





원스톱 방역 & 카펫 청소 0401 600 887
원펀치 터마이트&페스트컨트롤 0402 157 905







짐스 터마이트 & 페스트 컨트롤 0416 515 874
클린킹(청소용품 판매) 5532 2342






JCM 터마이트&페스트 닥터팀 0430 318 776




PAULS Clean King 0425 233 118
RAPID CLEAN 청소용품 5572 2284




정수기/비데 0401 558 353 The Bidet Shop 1800 243 387
(엘지 정수기) 07 3924 1870 / 0421 807 981
정육점
컴퓨터/POS/웹사이트
미디어 나라 0412 443 066
iComputer (TPG 공식딜러, 컴퓨터 수리) 0435 831 116
VTEQ 컴퓨터 3323 3232 (TPG 공식딜러, 웹사이트, IT솔루션)
Q Pack 3219 5654
권신정 회계사(MAZARS) 3218 3924
김상현 회계사(PKF) 0433 379 280
김재미 회계사 0478 221 525



고기 박사 5531 3742
서울 정육점 5531 5227, 0405 934 952
종교단체
기독교
ㆍ 골드코스트 가까운교회 0433 447 483
ㆍ 골드코스트 선교교회 0431 232 304
ㆍ 골드코스트 순복음교회 0402 089 896
ㆍ 골드코스트 온누리교회 0412 341 868
(Southport State High School 내)
ㆍ 골드코스트 열방교회 0412 362 029
(장로교회)
ㆍ 골드코스트 장로교회 0409 995 456
ㆍ 골드코스트 재림교회 0430 041 022
ㆍ 골드코스트 지구촌교회 0433 609 191
ㆍ 골드코스트 사랑의교회 0451 472 202
ㆍ 골드코스트 브니엘교회 0412 194 829
ㆍ Logan 예수제일교회 0426 501 966
ㆍ 비전 장로교회 0423 932 742
ㆍ 사우스포트 한인교회 0433 308 436
ㆍ 우리들 침례교회 0421 579 026
ㆍ 푸른파도 교회 0411 725 639
천주교
ㆍ 골드코스트 한인성당 0402 044 331
골드코스트 기쁜우리교회 0478 782 186
골드코스트 주님뜻교회 0450 501 201

바른회계법인 한상호 회계사 0450 468 318
백화실 회계사 0421 007 756
안재웅 공인회계사 0420 518 253
이윤 회계사 3299 1031
그래픽 디자인
위니아트 0401 596 877
식당
Black Curry 5200 0875
Brown Rice(Peregian Springs) 5448 2197
Hanami (Coolum Beach) 5471 7091
HIKARU
ㆍ Birtinya 0432 389 288
ㆍ Baringa 0432 389 288
ㆍ Kawana 0452 028 804
ㆍ Northshore 5406 9017
ㆍ Buderim 5476 6266
MakiMoto(Noosa) 5447 3254
Master Sushi 5526 7557
The Sushi 79 (Currimundi) 5437 8208
Tampopo 5476 7039
Haru Korean Kitchen 5447 2249
식품점
선샤인 마트 0488 515 288
의료/병원
Doctors@Maleny (닥터.노) 07 5413 8066
정수기/비데
872













































































































































































































































































































































































































임대비 상승 이유는 급상승
한 이자율과 대규모 이동 인
구 때문이라고 생각할 수 있
다. 실제로 지난 1년 동안 이
자율이 기록적으로 상승한 것
은 사실이며 이동 인구도 확
실히 다시 증가했다. 2022년
9월까지 (최신 공식 통계) 6개
월 동안 입국자가 출국자보다
17만명 이상 많았다.
광고된 임대비가 2021년 말
부터 급격히 상승하기 시작
했다. 이 때는 호주중앙은행 (RBA)이 이자율을 올리기 시
작하기 전이었고 그때는 그렇
게 예상되지도 않았다. 그리
고 임대비가 급등하기 시작했 을 때 순 이동 인구는 마이너
스였다. 입국자수보다 출국자
수가 더 많았다. 임대비가 움 직이기 시작한 이유는 다른
것, 즉 수요와 공급 관계 때 문이다. 실제로 이자율이 상

승하더라도 임대비에 빠르게
영향을 미칠 이유는 없다. 높 은 이자율이 일부 임대인들이
매각하도록 강요한다 해도 그 들이 다른 임대인들에게 판매
한다면 임대용 부동산의 숫자 는 변하지 않는다. 대신 거주 하는 주택 구매자에게 판매
한다면 임대 부동산과 임대인 숫자 모두 감소한다. 임대비 가 호주 전역에서 역대 최고 치에 달했다는 보고서가 나왔 다. 국경 재개방과 이주 인구
대비가 오른다. 공급이 더 많 으면(임대용 부동산이 더 많 이 제공되면) 임대비가 내려 간다. 코로나 팬데믹















증가가 부동산 수요를 촉진하 고 임대비 인상을 초래했다고 지적된다. 임대비 등 다른 가 격의 경우, 가격을 책정하는 제품의 수요와 공급이 중요하
다. 수요가 더 많으면(더 많은 임차인이 부동산을 원함) 임

2023년 3월 호주 주거용 부동
산의 총가치는 9조 4천억 달러 로 전월 9조 3천억 달러에서 증 가한 것으로 나타났다. 지난 12 개월 동안 호주 주거용 부동산 의 총가치는 8.0%가 하락해 역 대 최고의 연간 하락율을 기록 한 것으로 나타났다. 큰 연간 하
락폭에도 불구하고 호주의 주택
가격은 지난달 0.6%가 상승하
였으며, 주도들만은 0.8%가 오
른 것으로 나타났다. 국내 지방 도시와 주도들 전체적으로 연간
주택가격이 가장 많이 오른 지역
은 남부호주 지방도시(+13.3%)
인 것으로 나타났다. 이와는 대 조적으로 연간 주택가격이 가 장 크게 하락한 지역은 호바트 (-12.9%)인 것으로 나타났다.
4월 6일까지 4주 동안 국내 주 도들의 주택가격은 0.9%가 상 승한 것으로 나타났다. 지난 3 월 국내 주택거래량은 44,124 채로 전월 대비 조금 증가한 것 으로 나타났다. 그러나 연간 거 래양은 전년대비 20.7%가 줄 어든 것으로 나타났다. 주도들 의 중간 주택판매기간은 34일 로, 2021년 11월까지 3개월 동 안의 중간판매기간 19일에서 크게 늘어난 것으로 나타났다. 국내 지방도시의 주택판매기간 은 더 길어 50일정도가 소요되 는 것으로 나타났다.
전국적으로 셀러들의 판매금액 할인율은 지난해 1분기 -3.1% 에서 금년 1분기 -4.2%로 존 더 확대된 것으로 나타났다. 그러 나 주도들의 셀러 할인율은 금 년들어 좁혀지고 있는 것으로 나타났다. 2023년 4월 2일까지 4주 동안 시장에 새롭게 나온 주택매물은 총 36,464채로 나 타났다. 신규매물량은 계절적













13일 통계국(ABS) 발표에
따르면 3월 호주 실업률은 3.5%로 2월과 같았다. 이 실
얼률 통계는 계절 조정을 거
친(seasonally adjusted) 것
이다. 3월 한달동안 고용이 3
만1,700명 늘었다. 풀타임 고
용은 7만2,200명 증가했고 파
트타임 고용은 1만9,200명 감
소했다. 등록된 실업 인구는
50만8,500명( 600명)을 기록 했다.
청년 실업률(youth unemployment rate)도 7.8%로
변화가 없었다. 풀타임 취업
을 원하지만 일자리를 찾지
못해 파트타임이나 임시직에
근무하는 비율을 의미하는 불 완전 고용율(seasonally ad-
justed underemployment rate)은 6.2%로 0.4 % 포인 트 상승했다. 실업률에 불완
전 고용율은 더하는 노동시
장 비활성화율 (underutilisation rate)은 9.7%로 코로 나 팬데믹이 시작된 2020년 3 월보다 4.2% 낮은 수준이다.
ABS의 로렌 포드 고용통
계 국장은 "고용자 수가 약
53,000명 증가하고 실업자
수가 1,600명 감소하면서 실
업률은 50년래 최저인 3.5% 를 유지하고 있다"라고 설명 했다. 그는 "고용 증가와 함께
고용-인구 비율은 0.1% 포인
트 증가하여 64.4%이며, 노동
시장 참여율은 66.7%로 유지 됐다. 이 두 지표 모두 2022년 11월의 역대 최고치에 가까
운 수준으로 고용 시장이 매
우 타이트하며 빈 일자리를
채우기 어려운 상태"라고 지
적했다.
최근 여성 고용이 연속적으로 강력하게 증가하면서 (지난 2 개월 동안 81,000명 증가) 여
성의 고용 참여율은 62.5%로
사상 최고치를 기록하였으며, 고용-인구 비율 역시 60.4% 로 역대 최고치를 기록했다.

NSW 학교에서 발생한 폭 력 사건이 지난 10년 동안 50%나 급증했다. NSW 범 죄통계조사국의 자료에 따르면, NSW 학교에서 빚 어진 폭행으로 인해 경찰 이 출동한 사건 수는 2013 년 1,297건에서 2022년 1,992건으로 증가했다.
최근 몇 달 동안 벌어진 사 건들은 교내 폭력이 얼마 나 심각한지 보여주었다. 올해 3월에는 한 고교 교사 가 학생을 폭행해 기소된 사건이 발생했다. 지난해 11월에는 여학생 2명이 버


로레알, 37억불로

글로벌 종합 화장품 기업인 프랑스의 로레알(L’Oreal) 이 호주의 고가 스킨케어 브랜드인 이솝(Aesop)을
37억 달러에 인수한다.
3일(현지 시간) 블룸버그에
따르면, 로레알은 이솝 소
유주인 브라질 기업 나투라
앤코(Natura & Co)와 인수
계약을 체결했다. 인수 절
차는 나투라앤코가 보유한
이솝 지분을 로레알에게 양
도하는 방식이며 9월 분기
까지 마무리될 것으로 예
상된다. 나투라앤코는 지난
해 파비오 바르보사(Fabio Barbosa)가 최고경영자
(CEO)로 취임한 이후 이솝
일부 또는 전체 매각을 검 토해왔다.
1987년 멜번에서 첫 출발 한 이솝은 현재 27개 국가
에 걸쳐 전 세계에 약 400 개의 매장을 보유하고 있
다. 이솝은 2012년에 나 투라에 인수된 이후에 10
년 동안 총 매출이 4,100
만 달러에서 7억 9,100만
달러로 증가하는 등 눈부
신 성장을 일궈냈다. 이솝
은 나투라앤코가 운영하
는 에이본(Avon), 나투라 (Natura), 더 바디 샵(The Body Shop) 등 다른 브랜
드 중 수익성이 가장 높다. 나루앤코가 이솝 지분 매각 의사를 밝혔을 때 루이비통 모에헤네시(LVMH)와 로레 알, 시세이도 등 여러 대기 업들이 인수를 타진한 것 으로


















‘주4일
40% ‘5년래 실시’, 21% 10년 예상
남호주대 “3일 주말, 정신・신체 건강 모두 개선”

호주 근로자의 거의 절반은
5년 안에 주4일 근무제로 일
하게 될 것으로 기대한다. 링
크드인(Linkedin) 여론 조사
에 응답한 근로자 4만 2,000
명의 3분의 2는 언젠가는 주
5일제가 사라지게 될 것이
라고 여겼다. 응답자의 16%
는 12개월 안에, 40%가 5년
안에 주4일 근무제가 현실이
될 것이라고 예상했다. 시기
적으로는 멀지만 10년 안에
도입될 것으로 예상한 응답
자는 21%였다. 주4일 근무
제가 실현되지 않을 것이라
고 전망한 비율은 23%에 머
물렀다. 이 여론조사와 관련, 호주・뉴질랜드 고용알선회
사 헤이스(Hays)의 닉 델리
지아니스(Nick Deligiannis)
대표는 “주4일 근무제가 현
실화되리라는 전망에 대해 많
은 근로자가 낙관적인 견해를
가진 것으로 보인다”고 논평
했다. 그는 “찬성론자들은 주
4일 근무가 생산성을 높이고,
직원의 사기와 복지를 증진하
며, 스트레스와 피로를 줄일
수 있다고 주장한다”고 설명
했다. 그는 또 주4일 근무제가
인력을 유치하고 직원 유출을 막는 데도 도움이 될 수 있다 고 했다.
하지만 고용주들은 주4일 근
무제 전환이 인건비를 증가시
키고 근로 시간을 단축해 생
산성을 떨어뜨릴 것으로 우려 한다. 노조는 호주인의 근로


Sushi Izu Ormeau
Sushi Izu Southport Park
Sushi Izu Elanora
Sushi Izu

시간이 더 길어지고 있으며
일과 삶의 균형(working-life balance)을 맞추기가 더 어
려워지고 있다고 주장한다.
호주노총(ACTU)의 샐리 맥
마누스(Sally McManus) 위
원장은 AAP 인터뷰에서 “호
주 근로자의 근로 시간이 선
진국에서 가장 긴 축에 속한
다”라고 지적하고 “우리는 근 로 시간을 줄이고, 더 많은 일
을 원하는 사람과 시간을 공
유해야 한다. 이제 주4일 근무
제를 고려해야하는 시기가 됐
다”라고 말했다.
남호주대학(UniSA)의 최근
연구는 주4일 근무제의 장
점에 무게를 실었다. 연구진
들은 3일간의 주말이 수면과 신체 활동뿐만 아니라, 일반 적인 건강 상태를 상당한 수
준으로 개선할 수 있다는 것
을 발견했다. 이 실험은 생산 성은 100%를 유지하면서, 평상시의 80%의 시간만 일 하고, 임금은 100%를 받는 ‘100:80:100’ 모델을 기반으 로 할 것이다.
지난해에는 호주와 뉴질랜드 의 20개 기업이 주4일 근무 제를 시범적으로 운영했다. 다국적 기업 유니레버(Unilever)는 뉴질랜드 법인에서 결근율이

호주우체국(Australia Post)
기록했다.
료 11잔 이상을 소비하는 것 으로 나타났다. 알콜연구교 육재단(FARE)의 카테리나 지오르기(Caterina Giorgi) CEO는 “모든 휴대전화가 주류점이다. 온라인으로 주 문 후 빠르면 30분 이내에 배송된다”며 “알콜 섭취는 만성질환과 가정폭력에 기 여하고 사망으로까지 이어 질 수 있다. 사람들의 건강 과 안전을 위해 온라인 주 류 판매에
살을 빼기 위해 무조건 매일 땀이 나도록 운동해야하는 것은 아닙니다. 걷고 달리는 유산소 운동과 함께 건강한 식습관과 생활 습관이 함께 병행되어야 하는 것은 대부분 아실텐데요. 거기에 더해 규칙적인 근력 운동은 유산소운동과 함께 체지방을 감소시키고 근력을 향상시켜 효과적인 체중감량을 가져옵니다.
특히 쉽게 살찌는 체질이라 생각되시는 분들은 더더욱 근력을 키워 살이 덜 찌는 체질로 바꾸시는 게 정말 중요합니다. 그래서 오늘은 주 1-2회 정도 반복해 따라하기 좋은 하체 근력 향상에 도움이 되는 운동들을 소개해드릴게요. 특히 평소 무릎이 좋지 않아 하체 운동이 꺼려지셨던 분들은 매우 안전하게 근력 운동하는 방법을 배우시게 될 거예요. 제 유튜브 채널 ‘요가읽어주는 여자 hayeon’에서 최근 영상 중 살빠지는 전신 근력 편을 찾아 따라해 보시면 1시간이 순삭~ 쉽고 재미있게 운동하실 수 있을 겁니다.
무릎 보호, 둔근 강화, 다리 토닝
STEP 1. 일반적인 런지에서 상체를 살짝 앞으로 보내 골반을 접은 상태를 취 해줍니다.
STEP 2. 무릎을 접었다 펼 때 뒷다리를 펴고 바닥에서 뗀 후 뒤로 길게 뻗어 줍니다.(영상 참조)
STEP 3. 복부를 수축하고 허리를 곧게 편 상태에서 다시 런지로 내려갑니다.
STEP 4. 10-15회 반복하고 반대 다리도 실시합니다.
TIP! 무릎이 발목보다 앞으로 쏠려 나오지 않게 주의하며 앞에 놓인 엉덩
이를 살짝 뒤로 보내며 런지해주세요.

옆구리 토닝, 코어강화
STEP 1. 의자 등받이를 사진처럼 잡고 몸을 의자가 있는 쪽으로 살짝 기울 여 줍니다
STEP 2. 반대편 다리와 팔을 접어 옆에서 만나게 크런치해줍니다.
STEP 3. 옆구리를 강하게 수축하며 10-15회 반복합니다.
STEP 4. 의자를 잡고 하다 자세가 잘 잡히면 손을 떼고 해보시는 것도 추천 합니다.
TIP! 지지하고 있는 무릎은 살짝만 접어 무릎을 보호하고 복부의 긴장감을 유지하며 중심을 잘 잡아주세요.

3.

3. Fire Hydrant Hip Abduction + Donkey Kick 둔근 강화, 승마살 정리 및 힙업, 허벅지 토닝
STEP 1. 매트에 무릎을 내리고 의자에 팔꿈치를 사진처럼 내려 자세를 취합 니다.
STEP 2. 한다리를 90도로 접은 상태에서 옆으로 올려 허벅지와 옆구리의 자 극을 느껴봅니다.
STEP 3. 이번엔 뒤로 킥하며 엉덩이의 자극을 느껴보세요.
STEP 4. 호흡을 일정하게 유지하며 위의 두 동작을 이어서 반복합니다.
TIP! 엉덩이(둔부)의 자극이 올때까지 반복하고 다음 다리로 옮겨가 주 세요.


송하연, 요가티처/요가풀니스라이프(Yogafulness Life) 대표 https://bit.ly/3w9ks4u (KOR)


https://bit.ly/SubscribeToYogasong (ENG) yogafulnesslife

이메일 : connect@yogafulness.life 홈페이지 : www.yogafulness.life 인스타그램 https://instagram.com/yogasong_hayeon

호주 소득 상위 10%가 호주
경제 성장의 이익을 거의 독 식하면서 지난 10년 동안 불
평등이 심화되고 있는 것으로 밝혀졌다.
호주연구소(Australia Institute)는 2009년 이후 국민의
소득 하위 90%는 성인 1인
당 실질 경제성장률의 7%만
받았고, 상위 10%가 나머지 93%를 챙겨갔다고 발표했 다. 호주연구소는 호주가 경
제 성장에 따른 소득분배에
서 유럽연합(EU), 미국, 영국, 중국, 캐나다보다 뒤처진다고
지적했다. 보고서에 따르면, 소득 상위 10%는 소득의 상
당 부분을 이자와 자산 가격
의 상승으로 얻는다. 반면, 하
위 90%의 주 소득원은 임금
이다. 임금이 오랫동안 정체
됐었던 사실을 고려하면, 호
주가 소득 하위 임금 근로자
와 경제적 이득을 공유하지
않고 있다는 뜻이 된다.

호주연구소는 “정체된 임금, 불안정한 일자리, 치솟는 기 업 이윤, 불공평한 세금 체계
는 많은 사람이 거꾸로 가고
있다는 것을 의미한다”고 지
적했다. 이번 연구는 1950년
부터 2008년 사이에 나타났
던 장기적 흐름과는 완전히
상반된 결과를 보여준다.
호주연구소 매트 그루드노프
(Matt Grudnoff) 선임 경제
학자는 “1950년대부터 1980 년대까지 호주는 공평한 국
가로 여겨졌고 우리는 경제
성장의 이익을 더 동등하게
얻어왔다”고 설명했다. 그는 “그러나 오늘날, 그 오스트레 일리안 드림은 경제적 이득 에 대한 잘못된 분배가 저소 득 및 중산층 호주인의 생계 비 위기를 부채질하면서 불 평등 악몽으로 변했다”고 비 판했다.
이에 따라 호주연구소는 소 득 상위 10%에게 감세 혜택 을 주는 3단계 감세 정책을 재 고해야 한다고 목소리를 높 였다.
호주연구소는 “3단계 세금 감 면의 약 절반이 연간 18만 달 러 이상을 버는 사람들에게 돌아가는



국제통화기금(IMF)이 호주 주택 시장의 위험 수준이 세계에서 두 번째로 높다고 경고했다.
IMF는 11일 발표한 세계경 제전망 보고서에서, 주택담 보대출을 받은 호주 가구들
이 높은 가계부채, 높은 금
리, 높은 주택 가격으로 인
해 채무불이행에 빠질 위험
이 크다고 밝혔다. IMF는 수
십 개의 선진국을 대상으로
5개의 위험 지표를 적용해
저위험부터 고위험까지 6
단계로 위험도를 식별했다.
5개 지표를 종합한 결과, 호
주는 세계 선진국 중 캐나
다 다음으로 주택 시장 위 험 수준이 높았다. 룩셈부 르크, 노르웨이, 스웨덴, 네 덜란드가 호주의 뒤를 이 었다. 종합 평가에서 초고 위험(6단계)으로 분류된 국 가는 이 6개국뿐이다. IMF 는 “가계부채 수준이 높고, 변동금리인 부채 비중이 큰 경제는 주택담보대출 상환 액이 더 많아서 채무불이행 파동을 겪을 위험이 훨씬 더 크다”고 진단했다.
한껏 오른 집값에 변등금
리 가계부채가 수준이 높 으면 금융권 스트레스에도 취약해진다. IMF는 “코로
나 팬데믹 동안 많은 국가, 특히 선진국에서 실질 주택 가격이 기록적으로 상승했



















