































































































































































































































































































































































































































































































![]()
































































































































































































































































































































































































































































































by 지식노동자 / 브런치
애플페이와 은행의 진검승부, 승자는?
2023년 3월 21일, 애플은 대한민국에서 애플페이 출시를 밝혔습니다. 이제 한국에서도 애플페이를 사용할 수 있을 것으로 예상됩니다.
애플페이는 2014년도 미국에서 처음 소개되었습니다.
2023년 현재 애플페이를 사용하는 미국 소비자 증가하고 있으며 미국인의 신용카드 사용은 감소하고 있습니다.


애플페이, 은행을 위협하다.
최근 몇 년 동안, 소비자 금
융에서 애플페이, 구글페이
와 같은 디지털 월렛의 영향
력은 급격히 증가하고 있습
니다. 아래 표가 보여주듯 매
년 디지털월렛의 사용은 온라 인과 오프라인에서 지속적으
로 증가하고 있습니다. 코로
나 기간 동안 온라인 결제 수
요가 폭발하면서 디지털 월렛
은 신용카드를 바탕으로 하는
은행을 위협할 정도로 성장했 습니다.
2021년 제이피모건 CEO인 제이미 다이먼은 "우리는 디
지털 월렛을 두려워해야 한
다"라고 언급했듯이 미국 은
행들은 금융 기술의 성장이
은행 비즈니스를 위협하고 있
는 상황에 대해 걱정하고 있 습니다. 특히 애플페이는 은 행 비즈니스에 가장 큰 위협 이 되고 있습니다.
애플페이, 어떻게 은행 비즈니스를 잠식하고 있나요?
2014년 애플페이가 처음 선 보였을 때 영향력은 크지 않 았습니다. 은행의 경쟁자로 애플을 생각하는 사람은 없었 습니다. 2023년 현재 애플은 은행의 비즈니스를 잠식하고 있습니다. 아이폰의 애플페 이는 78%의 미국 아이폰사 용자는 애플페이를 활성화했 습니다. 다수의 미국 아이폰 사용자는 오프라인 매장에서 도 신용카드가 아닌 애플페이 를 사용하고 있습니다.
은행은
전 수수료를 받습니다. 신용 카드로 구매할 때 은행은 구 매한 금액의 1~3%의 환전 수 수료로 가져갑니다.
예를 들어보면, 비빔밥을 먹 고 10,000원을 신용카드로 결제했습니다. 은행은 환전 수수료 2%를 청구하고, 200 원을 수수료로 가져갑니다. 개별 거래로 보면 큰 금액이





아니지만 전체 소비자 거래금
액의 2%는 엄청난 수익이자
비즈니스입니다.
애플페이가 미국 시장 결제
시장에 대한 지배력이 높기
때문에 울며 겨자 먹는 식으
로 미국 은행은 애플에 수수
료를 지급하고 있습니다. 애
플페이는 은행의 비즈니스를
빠르게 잠식해가고 있습니다.
은행이 환전수수료로 가져가



는 2% 중 1.5%는 애플의 몫 입니다. 다시 말해, 애플페이 로 결제하는 환전수수료의 75%는 은행이 아닌 애플의 수익입니다.
2022년 애플페이는 7억 7200달러(약 1조 원)를 벌었 습니다. 아래 표에서 알 수 있 듯이 매년 애플페이는 엄청난
성장을 기록하고 있습니다.
2022년 기준 애플의 매출에 서 애플페이가 차지하는 비 중은 1% 밖에 되지 않습니 다. 그러나, 향후 성장잠재력
을 고려할 때 애플은 애플페


이에 사활을 걸 것으로 예상 됩니다.
은행에 대한 애플페이의 공격 은 더욱 거세지고 있습니다.
2019년에는 골드만 삭스와 협력하여 애플 카드를 만들었 고, 은행을 통하지 않고 애플 페이로 구매하고 추후 지불하 는 프로그램을 출시했습니다.
이와 더불어, 애플의 자회사 인 Apple Financing LLC가 대출 기관이 되어 많은 은행 과 다른 금융 기관의 역할을 대체하려는 야망을 드러내고 있습니다.
은행의 반격, 지면 죽는 싸움의 시작 애플페이의 위협에 은행들도 발 빠르게 움직이고 있습니 다. 은행은 자체 기술을 개발 하여 모바일과 온라인에서 결 재를 할 수 있는 방법을 도입 하고 있습니다.
BOA, PNC, Wells Fargo 등 7개 대형 은행은 협력하여 paze를 만들어 애플페이와의 진검 승부를 준비하고 있습니 다. 한국에서는 KB PAY가 자 체 시스템을 만들어서 서비스 하고 있습니다.
은행과 애플 간의 싸움은 외 나무다리에서의

























강아지의 눈이 하얗게 변하 는 이유 첫 번째는 백내장 이다. 강아지 백내장은 눈
의 렌즈 역할을 하는 수정 체에 문제가 생겨 발병하는
질환이다. 수정체가 하얗게
변하면서 시력이 점점 떨
어지게 된다. 백내장은 나
이와 상관없이 생길 수 있
지만, 가장 주된 원인은 노
화이기 때문에 노령견에게
서 많이 볼 수 있다. 백내장
은 질병 초기에는 잘 나타
나지 않을 수 있다. 그래서
강아지 눈동자가 조금이라
도 뿌연 것 같다면 진찰을 받는 게 백내장 발견에 중 요하다. 당뇨로 인한 백내
장인 경우 물을 많이 마시 고 소변을 많이 보게 되는
다뇨, 체중 감소 등의 당뇨 증상도 함께 보인다. 나이 가 많은 경우 오히려 수술
이 위험할 수 있어서 수술 하지 않고 관리만 하는 경
우도 있다.
사람에게도 많이 발병되는 녹내장, 강아지에게도 자 주 생긴다. 녹내장은 안압



























by Sunny Choi / 브런치

친구가 얼마 전 코펜하겐의
한 힙한 카페에 파트타임을
구했다고 했다. 그래서 어제
그녀를 응원해 줄 겸 저녁 식
사 전 눈도장을 찍으러 카페
에 들어갔는데, 핫플답게 손
님이 꽉 차 있었다. 겨우 자리
를 잡고 앉으려는데 옆에 낯
익은 얼굴에 범상치 않은 아
우라를 뽐내는 가족이 있어서 흠칫하여 돌아보니 덴마크에 서 유명한 셀럽 가족이었다.
리얼리티 프로그램에도 나
오는 가족인데, 여자분이 모
델이자 인플루언서이고 비영
리 단체를 운영하시는 분이
라 오래전부터 알고 있었다.
애초 한국, 해외 할 것 없이 연
예인에 관심이 거의 없는 나 도 알고 있을 정도로 유명한
가족이라 나름 너무나 신기했
다. 무엇보다 매번 우연히 잡
지, 인스타그램이나 티브이에
서만 보다가 실제로 보니 너
무 아름다워서 눈을 뗄 수가
없었다. 덴마크에서는 특히
코펜하겐 시티에서 종종 지

나가거나 뜨고 있는 카페나 맛집을 가면 가수나 배우 등 등 흔하게 유명인들을 마주칠 수 있다고 한다. (한국에서 인 기가 많은 덴마크 가수 크리
스토퍼 가족들도 종종 마주칠 수 있다고 한다) 아무튼 내가
아는 덴마크 유명인이 별로
없어서 사실 마주쳐도 못 알
아봤겠지만 말이다.

카페 안에는 나보다 어린 10 대-20대 친구들도 보였고, 나
처럼 30대처럼 보이는 사람
들 등 굉장히 다양했는데 손
님 그 누구도 그 가족을 빤히
쳐다보지 않았고 수근 거리
지도 않았다. 심지어 새로 카
페 안으로 들어오는 사람들
도 똑같았다. 나중에 그 가족
들이 떠나고 친구와 카페 사
장님과 이야기를 했는데 아
않은 척해준 거예요. 사인회 가 있거나 공식적인 자리에서
만나면 그때 아는 척을 하면 서 팬이라고 말하는 게 덴마 크 문화예요”
머리를 한 대 맞은 것 같았 다. 너무나 당연한 말인데 내 가 그동안 한국에서 혹은 다
른 아시아 국가에서 유명인을
마주했을 때 본 주변 사람들 의 태도와 너무 달랐기 때문 이다.
한국에서 회사 생활을 할 때
였다. 논현동에 있던 숨겨진
맛집에 갔었다. 시간이 좀 늦 은 편이라 사람이 많지는 않
았는데 옆 테이블에 범상치
않은 비주얼의 여성분이 모 자를 푹 눌러쓰고 식사를 하
시다 점점 사람이 줄어들자마


니나 다를까 다들 알고 있었
다고 했다. 마침 그 카페 안에
친한 덴마크인 친구의 언니도
있었고 나중에 언니에게도 물
어보니, 그 연예인 가족이 카
페에 있었다는 것을 인지했
다고 한다. 그리고 덴마크에
서 정말 유명한 셀럽 가족이
자 그제야 한숨 놓인 듯 모자
를 벗으셨다. 나는 인지 못했
는데 앞에 앉아 있던 동료가
내게 문자를 보냈다.
“여배우 XX가 옆에 앉아 있
어요. 대박.”



라 모르는 사람이 없을 거라
고도 말했다. 나는 그 유명한
그래서 옆을 슬쩍 보니 정말
그 유명한 여배우였다. 뭐 그
워질 만큼 듣기 거북했고 연 예인으로 사는 게 정말 힘들 겠다는 생각을 했던 적이 있 다. 결국 그 여배우는 식사를 아주 빠르게 하시고 아무렇 지 않게 나가셨던 걸로 기억 한다. 그런 일이 한두 번이 아 닌 것처럼.
그뿐만이 아니라 부산 여행을 갔을 때도 한 개그우먼을 식 당에서 마주쳤는데 다들 식 사하는 그분께 다가가 사인 과 사진을 모습을 봤었던 기 억이 난다. 그분도 혼자 여행 을 오신 것 같았는데 굉장히 불편해하시면서 그래도




연예인 가족을 카페에서 마주
친 사실보다도 카페 안에 있
는 사람들의 태도와 배려에
놀랐던 것 같다.



모두가 내게 말하길, “덴마크에서는 사적으로 연
예인 혹은 유명인을 마주치
면 모르는 척해주는 게 예의
예요. 그들도 사람이고 그들
만의 삶이 있으니까요. 그래
서 다들 모르는 척, 아무렇지
때도 역시나 나는 관심이 없
어서 그러려니 하고 밥을 먹
고 있었다. 당연히 신기하긴
했다. 유명한 여배우가 내 옆
에 밥을 먹고 있는데 안 신기
할 수가 없었다. 그래도 그러
려니 하고 아무렇지 않은 척
을 했는데 우리 반대 테이블
에 앉은 20대 후반에서 30대
중반 사이의 여성 두 분이 그
연예인분에 대한 이야기를 하는 게 아닌가. 그냥 연예인 을 봐서 신기하다는 게 아니 라, 칭찬도





by 정지은 Jean / 브런치
영화 '오토라는 남자' 리뷰




일상에서 오는 소중한 것들은 모두 사소한 것들로부터 태어 난다. 그 사소한 것들은 소소


해 보여도 사람의 인생이 어 떠한 방향으로 나아갈지에 대 한 나침반이 되어준다. 그러
기에 삶이 주는 사소한 힌트
를 놓치지 않는 것이야말로,
또다른 내일을 살기 위해 기
울여야 할 중요한 노력이다.
영화 '오토라는 남자'(감독 마 크 포스터)는 베스트셀러 '오
베라는 남자'를 바탕으로 제
작된 영화로 소중한 사람을
잃은 후 죽고 싶어 했던 남자
가 어떻게 살아나갈 이유를
찾게 되는지에 관한 이야기가
담겨있다.
한평생 사랑했던 아내와의 이
별 후 모든 삶의 의욕을 잃어
버린 오토(톰 행크스)에게는
그저 이웃에게 매일 불평불 만만 늘어놓는 못된 심보만 이 남았을 뿐이다. 그를 단편
적으로 본 이웃들은 그를 고
집불통 꼰대라고 욕하지만 그
는 사실 한때 누구보다도 따 뜻했던 사람이었다.
하지만 따뜻했던 시절을 잊은 채, 오토는 상실감에 아내를 따라가려 한다. 하지만 여러
번의 극단적인 시도에도 불 구하고 그의 노력은 새로 이 사 온 한 이웃에 의해 처참히 실패한다.
그의 이름은 마리솔(마리아 나 트레비노)로 약간은 푼수
끼가 있는 남편과 그를 계속 쫓아다닌다. 사다리와 공구 를 빌리는가 하면 운전을 해 서 목적지로 태워달라고까지 한다. 처음에는 짜증이 가득 했던 오토도 결국 그들이 눈
에 밟히기 시작하고, 점차 오 토는 자신의 삶에 변화가 찾
아왔다는 것을 직감한다.
'오토라는 남자'는 은근하고 따뜻하게 다가온다. 인생의 본질적인 가치에 대해 직접적 으로 묻는 영화는 많지만 이 토록 은은하게 메시지를 전하
는 영화는 흔치 않다. 극중 그 누구도 주인공에게
행크스가 주인공을 맡으며 그만이 연기할 수 있는 '오토 라는 남자'를 완성시켰다. 그 의 오랜 연기 내공은 고집 아 래 따뜻한 마음이 느껴지는 한 노인의 모습을 훌륭히 표 현해냈다. 톰 행크스뿐만 아니라 그와 함께한 조연들도 상당한 연 기력을 자랑한다. 그중에서도 우연히 오토를 알게 된 이웃 인 마리솔, 마리아나 트레비 노의 연기가 마음에 남는다. 따뜻한 마음, 그리고 명석한 두뇌를 가진 엄마로 오토에게 삶의 의미를 가지게 해 주는 메인 캐릭터인 마리솔을 마치 실제 본인인 것처럼 스스럼없 이 연기했다. 오토와 콤비로 서 스크린
























by 이상 / 브런치
여행기
공항에서 환승을 하던 중 주
머니를 더듬어보니 지갑이 온
데간데없다. 비행기에 두고
내렸나. 어디쯤 떨어진 건지
감도 오지 않는다. 4개의 카드
와 운전면허증, 현금, 단골 식
당 쿠폰까지 몽땅 증발.
엎친 데 덮친 격으로 발리를
떠나기 전 잘만 되던 심카드
도 작동하지 않았다. 휴대폰
도 먹통인 상태로 자정 넘어 공항에 떨어진 답도 없는 이
방인이었다.
다행히 무슨 바람이 들었는
지 입국 전 온라인으로 비자
도 발급했고, 픽업 택시도 미
리 예약해 뒀다. 늘 지갑 안에
보관했던 집 키도 이번엔 웬
일인지 가방에 두었다.
4월부터 감사 일기를 써보
려 했는데 이런 식으로 감사
하게 될 줄이야. 이런 심각한
수준의 덜렁이에게 국제 미아
가 되지 않게 일말의 예지력
을 남겨주셔서 감사합니다.
여행지에서 날거지로 돌아
다니지 않게 집에 돌아갈 때
쯤 잃어버리게 해 주셔서 감 사합니다.
집 나가면 개고생
워낙 잘 싸돌아다니니 지인들
은 나의 안위를 그다지 걱정 하지 않는다. 하지만 먼발치
에서 고요한 호수 같은 여정
은 가까이서 지켜보면 대환장


쓰나미 파티다. 4분 차이로 첫
해외여행날 출국 비행기를 놓
쳤었고, 기차를 타고 가다 소
매치기를 당할 뻔한 적이 두
차례 있었으며, 휴대폰과 블
루투스 이어폰도 각각 두 번
씩 잃어버렸다. 그중 한 번은
휴대폰 없이 비행기를 타고
국경을 넘어 다른 나라로 이
주를 해야 했다.
한국은 안전과 편의로는 세
계 최고 국가다. 때문에 한
국에서 나고 자라면 어쩔 수
없이 작은 일에도 파들짝 놀
라는 온실 속 화초로 자란다.
그 정신머리로 세상 밖에 나
오면 ‘그렇게 약해빠져서 어
떻게 이 험한 세상을 살아갈
래’, 하고 잊을만하면 벌어지
는 고난과 역경에 뺨을 찰싹
찰싹 맞는다.
일화 1: 브라질에서 자란 내
친구는 내가 파티에서 휴대
폰을 도둑 맞고 울고 있을 때, ‘괜찮아, 칼빵은 맞지 않았잖 아. 휴대폰만 가져가서 다행 이야.’라는 얼토당토않은 위 로를 해주었다. 이해는 되었 다. 그의 어머니는 집 앞에서 타고 있던 차를 강도당했었 으니까.
일화 2: 3년 전 영국에서 데
이트를 하던 밤, 광장에서 세 명의 괴한에게 뚜드려 맞고 피를 흘리고 있는 남자를 목 격했었다. 그때 나의 동행은 아무렇지 않게 재킷에서 응급
처치 키트를 꺼내더니 상처를 소독하기 시작했다. 뭘까? 이 신박한 준비성은?
일화 3: 미국 버지니아에 한 홈파티를 초대받았을 땐,

시간과 에너지를 허비하게 한
다. 대신 한 가지 장점은, 이런
상황에 익숙해질수록 다음 찾
아오는 역경에 내성이 생긴다
는 점이다. 처음 해외 생활을
할 땐 비련의 여주인공마냥





울고불고 난리였는데. 이젠 그냥 허 이 똥멍청이가 또? 하
고 툭툭 털고 일어난다.
성장의 경험은 결코 행복하
고 온화한 순간들만 켜켜이 쌓여 이루어지지 않는다. 반
대로 슬퍼도 보고 아파도 보 며 겪는 시련들이 나를 더 욱 강하게 길러낸다. ‘What doesn’t kill you makes you stronger’라는 노래도 있지 않은가.
외부의 시련에 대한 역치가 높아질수록 오히려 사람은 신체적으로, 정신적으로 훨
씬 더 안정된다. 역설적으로 너무 편안하고 안락하기만 한 공간은 나를 한 단계 업그레 이드 시키는 자극제가 되지 못한다.
중요한 것은 꺾여도 받고 따블로 가는 마음 여행은 사서 하는 고생이 맞 다. 지불한 값으로 하는 일이 란 하루하루 내가 똥멍청이임 을 증명하는 것.
이번 일을 겪고 확실히 느꼈 다. 앞으로도 나는 분명 칠칠
이 덜렁이일 것이라는 것. 금 번의 충격 요법으로 당분간은 소지품을 각별히 주의해 챙길 것이란 것. 어찌 되었든 지갑 없이도 길거리에 나앉지 않 는 생존력에 위안을 얻을 것 이라는 것.
똥멍청이가 거친 세상을 나 는 데 필요한 건 안전한 담장 이 아니다. 그보단 이 어리바 리 앞에 닥칠 문제들을 의연 히 받아들이고 살아남는 법을 배우는 것이다. 그렇게 하루 하루 좀 더 강력한 똥멍청이 가 되어 나선 담장 밖 세상은 단언컨대, 그만한 가치가 있 다. 항상 내가 잃은 것 이상의 해결책을 돌려주니까.



2023 순천만 국제 정원박람
회가 지난 주말에 개막했다.
주말에는 사람이 많을 게 뻔
하기 때문에 이틀을 참았다
가 월요일이 되자마자 순천만
국가정원으로 향했다. 사람들
은 주말에 꽃구경도 안 가고
뭘 했는지 오늘도 사람이 많
았다. 입구와 가까운 주차장
은 이미 만차였기 때문에 조
금 멀리 주차를 하고 걸어가
야 했지만 그 정도쯤은 감수
할 수 있었다. 입구에 들어서
자마자 넓게 펼쳐진 정원에
가득 핀 꽃을 본 순간 스마트
폰을 꺼내 카메라부터 켰다.
이럴 줄 알았으면 사진을 배
웠어야 했다. 사진은 '무엇'을
찍었는지만 알 수 있으면 된
다고 여겼는데, 어차피 카메
라는 절대 사람의 눈을 따라
가지 못한다고 믿었는데 오늘
만큼은 내가 본 그 느낌 그대
로를 담아내지 못하는 내 똥
손이 원망스러웠다. 어디서
어떻게 찍어도 실제로 본 감
동의 반의 반도 담아낼 수 없
었다. 그렇다고 카메라를 집
어넣을 수도 없었다. 눈앞에
이렇게 예쁜 꽃들이 바람에
살랑살랑 흔들리며 나를 유혹
하는데 모르는 척할 수는 없
었다. 카메라를 들고 여기서
도 찍어보고 저기서도 찍어보
다가 사진에 집착하느라 정작
중요한 걸 놓치고 있다는 생
각이 들었다. 이러다가는 사
진을 찍은 기억 말고는 남는
게 없을 것 같았다. 큰맘 먹고
카메라를 끄고 주위를 둘러봤
다. 사진을 안 찍고 있는 사람
은 아무도 없는 것처럼 보였
다. 나는 혼자였지만 대부분
일행이 있었기에 누군가는
사진을 찍고 있었고 누군가
는 사진을 찍히고 있었다. 그
by 개짱이 / 브런치

때부터 나는 사진을 찍는 사
람들 옆을 지나갈 때면 그들
을 유심히 관찰했다. 사람들
의 성격이 다 다르듯 사진을
찍는 유형도 다 달랐다.
1. 다정한 중년 부부 유형
소녀 같은 분위기의 50대 아
주머니를 만났다. 아주머니는 꽃 사이에 쭈그려 앉아 수줍 게 미소 지으며 손가락으로
브이를 그리고 있었다. 관광
객이 많은 곳에서 포즈를 취
하고 있는 게 조금 부끄러운
지 남편에게 "아유, 얼른 찍어 줘~" 하고 애교를 가득 담아
말했다. 남편은 아내의 모습
을 조금이라도 더 예쁘게 담
고 싶은지 화면을 진지하게
바라보며 "아이 참, 잠깐만 기

귀여운 동물 친구들이 반겨주는 순천만 국가정원
나와 같은 유형의 사람들이 '아재'들이었다는 게 조금 찝 찝했지만 인정하기로
5. 끝판왕
다려봐~"했다. 두 분이 평소
에도 얼마나 서로에게 다정한
지 눈에 보이는 듯했다. 두 분
의 사랑이 느껴져 괜히 나까
지 행복했다.
2. 단체 관광객 유형
조금 더 가니 단체 관광객 무
리가 나타났다. 단체 관광객
은 사진도 요란하게 찍는다.
사진을 잘 찍는 사람이 사진
을 찍는 게 아니라 목소리 큰
사람이 사진을 찍는 것 같았
다. 결혼식 단체 사진을 찍을
때처럼 이미 꽃밭 앞에 열댓
명의 아주머니 아저씨들이 줄
을 맞춰 서 계셨다. 사진을 찍
는 사람은 누군가에게 손을
흔들며 목청껏 외쳤다.
"빨리 와!! 사진 찍는다고!! 여
기야 여기!!"
저 멀리 일행으로 보이는 아
주머니 세 분이 호탕하게 웃
으며 달려오시는 게 보였다.
3. 20대 인스타 감성 유형
20대 여자 친구들은 사진을 한 두 번 찍혀본 게 아닌 것 같
았다. 꽃을 만지는 손 끝, 고개
를 돌린 각도, 시선 처리에서
이미 인스타 감성 전문가의
느낌이 났다. 찍는 사람도 찍
히는 사람도 긴 말이 필요 없
었다. 찍는 사람이 주위를 두
리번거리며 장소를 물색하다
가 "저기"하고 손가락으로 가
리키면 찍히는 사람이 "좋아"
하고 가서 기가 막히게 그 분
위기에 어울리는 포즈를 취했
다. 요즘 젊은 친구들은 사진
에 얼굴이 나오는 걸 안 좋아 하는 것 같다. 어떻게든 손으 로 얼굴을 가리거나 고개를
돌렸다. 지금 예쁜 얼굴 많이
찍어두라고 오지랖을 부리고 싶은 걸 꾹 참느라 힘들었다.
4. 아재 유형
드디어 나와 같은 유형의 사 람들을 만났다. 아저씨 한 분 이 포즈를 잡고 다른 분이 카
메라를 잡았다. 최대한 성의 없게 포즈를 취한 아저씨는 카메라를 잡은 아저씨에게 빨 리 찍으라고 다그쳤다.
"뭐 작품 사진 찍냐? 대충 찍 어."
"대충 찍고 있는 거여."
그래, 사진 뭐 대충 찍기만 하
면 되지 뭘 그렇게 공을 들여.

우리 사 는 모습이 이렇게 다 다르면 서 또 비슷비슷하지 않을까 하는 생각이 든다. 따뜻한 봄 날, 정원을 실컷 누리고 점심 을 먹으러 갔는데 식당 사장 님이 내 얼굴을 유심히 바라 보셨다. 순간 빠르게 '내가 아 는 사람인가?', ' 내 얼굴에 뭐 가 묻었나?', '뭐지?' 하는 생 각들이 스쳐 지나갔다. 내 표 정을 읽으셨는지 사장님이 웃 으며 말씀하셨다. "너무 행복해 보이셔서요." 얼마나 행복해 보였으면 처음 보는 사장님이 내 마음을 알 아챘을까. 민망해서 크게 웃 어버렸다.
행복해지고 싶으면 지금 당 장 순천만 국제정원박람회 에 가자!















by fragancia / 브런치


매년 봄이 추위를 밀어내면
옷장은 직물들을 토해낸다.
셔츠며 바지를 아들 몸에 대
보지만 올해 입을 수 있는 옷
은 손에 꼽힌다.
하루가 다르게 커간다는 말 을 실감하는 요즘. 2년 전, 11cm, 작년엔 8.5cm, 녀석은
올해 내 키를 훌쩍 뛰어넘을
것 같다. 키가 자라는 만큼 마 음도 잘 크고 있는 걸까? 귀찮
을 만도 한데 내 옆에서 작아
진 옷들을 분류해 주는 아들 이 사정없이 사랑스럽게 보이
는 오후.
"엄마는 왜 제 옷에 한 번도
이름을 안 써요?"
"그건 말이야. 엄마가 어렸을
때..."
바지를 정리하던 손이 느려졌 다. 한 번도 꺼내지 않는 상자
를 열어 아주아주 오래된 이
야기를 너에게 할 거야라고
말하자 아들은 눈을 동그랗게
뜨고 나를 바라봤다.
내가 국민학교를 입학하던 해
에 우리 가족은 반지하 단칸
방을 탈출했다. 컴컴한 방에
서 꼽등이와 그리마를 보지
않아도 된다는 사실보다 커다
란 빗자루를 들고 우리를 혼
내던 주인아주머니와 영원한
이별이 더 반가웠다. 비록 5층
짜리 빌라에 엘리베이터는 없
었지만 반지하로 내려가는 계
단에 비할까? 숨이 차오르고
맥박은 사정없이 뛰었지만 집
으로 올라가는 계단은 천국으
로 향하는 계단처럼 늘 환하
게 우리를 반겼다.
집이 바뀌었다고 형편이 나아
진 건 아니었다. 여전히 타인
의 손때 묻은 물건들이 내 손
에 들려졌다. 남동생과 나는
한 번도 새것을 욕심낸 적도
그 흔한 투정 한번 부리지 않
았다. 동네 친구들이 새 인형
과 장난감을 가지고 놀이터에
오면 나는 툭툭 모래를 털고
일어나 "집에 가자"라며 동생
의 손을 잡았다. 보란 듯이 그
들을 휙 지나쳤다. 하나도 부

럽지가 않은 것처럼.
옷들도 마찬가지였다. 때때로
엄마는 피난민처럼 짐 보따리
를 이고 집에 들어오셨다. 옷
으로 가득 찬 보자기가 입을
벌리면 우리는 엄마 옆에 딱
붙어 앉았다. 내가 입어 작으
면 동생 옷이었으므로 성별을
구분하기 어려운 옷들이었다.
주는 대로 몸에 걸치고 학교 를 다녔다.
여름이 가까운 계절, 엄마는
또 옷을 이고 집에 오셨는데
내 눈에 확 띄는 옷이 있었다. 까끌까끌한 소재에 하얀 꽃들
이 넥 카라에 촘촘하게 수 놓
인 분홍색 원피스. 내 몸에 비
해 약간 크긴 했지만 흉하게
보일 정도는 아니었다. '내일 학교 갈 때 입고 가야지.' 잠
깐 눈을 감았다 뜨면 아침이
기를 간절히 바라면서 잠이 들었다.
이상한 나라의 앨리스처럼 아 니 오즈의 마법사의 도로시처 럼 양 갈래로 머리를 땋고 원 피스를 입고서 집을 나섰다. 학교로 가는 길엔 노란 벽돌 길이 깔려 있을 것만 같았다.
'하얀 레이스 양말에 빨간 구
두라면 더 예뻤을 텐데...' 헌 운동화를 벗고 교실로 들어가 야 한다는 점이 그날따라 맘 에 쏙 들었다.
"어?" 교실에 들어섰을 때, 반 에서 가장 큰 키를 가진 수진 이 말했다.
"너 이거 어디서 샀어? 이상 하다. 나도 이 옷 있었는데... 야. 잠깐만." 내가 말릴 틈도 없이 수진은 내 목뒤에서 원 피스의 목부분을 뒤집었다.
"내 거잖아. 내 이름 있잖아" 목을 돌려 확인할 수 없었다.
'아침에 옷 입을 때 어디에 도 이름 비슷한 것도 없었는 데 무슨 일이지?' 나는 "거짓 말"이라며 수진을 쏘아보았 다. 몇몇 아이들이 주변에 몰 렸다.
"여기 있지? 이 옷 작아서 우
리 엄마가 버렸을걸"
수진의 말에 나와 단짝인 주
희가 내 대신 이름을 확인했 다.
"김수진이라고 적혀있어." 잔
뜩 미안한 표정으로 내게 말
하는 주희. 그 말이 떨어지기 무섭게 나는 자리에 머리를 박고 엎드렸다.
쥐구멍을 찾아 숨고 싶었다.
하지만 아무리 내가 왜소해도 아이가 들어갈 쥐구멍은 교 실 어디에도 없었다. 그날 수 업을 어떻게 받았는지 생각나 지 않는다. 떠오르는
"진짜 난감했겠다. 정말 옷에 이름이 쓰여있었어요?" "응 있었지. 택 앞쪽이 아니라 뒤쪽에." "외할머니께 말했어요?" "아니 말 안 했어. 속상하실 것 같아서... 원피스는 덥고 불 편하다고 말했던 것 같아."
버릇이 생겼다. 사람 들은 가난이 부끄러운 일은 아니라고 말한다. 그러나 '가 난'은 그 시절 내가 배우지 않 아도 될 감정들을 강요했다. 나는 아들이 태어나 지금까 지 옷에 이름을 쓰지 않는다. 누가 될지는 모르겠지만 물 려 입을 아이들에게 그 옷은 온전히 자신의 것이 되길 바 라는 마음 때문일까. 아니면 8살 꼬꼬마였던 내게 건네는 위로일까.
봄바람이 몰고 온 누런 황사 에도 피어난 꽃들은 알록달록 한 세상을 보여준다. 뿌연






















by 라봇 / 브런치



나는 한국인들이 전 세계에 서 음주가무를 제일 좋아하는 민족이라고 생각했다. 남다른
음주 양을 비롯해 춤과 노래
를 즐기는 문화는 그냥 태어
나면서부터 뼈에 새겨져 있는
한국인의 민족성 같은 거라고
의심치 않았으며, 나는 그에
부응하기 위해 일요일 아침마
다 전국 노래자랑을 보고, 뻔
질나게 노래방에 드나들었다.
하지만 베트남에 와서 한국은
아직 멀었다는 것을 깨달았
다. 그들은 집집마다 노래방
기계를 두고 밤이고 낮이고
마이크와 상시 함께하는 삶을
살고 있었던 것이다. 가전제
품 마트에 가면 크고 작은 노
래방 기계가 전시되어 있었는
데, 들고 다닐 수 있는 소형 노
래방 기계도 많았다. 기계뿐
만 아니라 무선 마이크도 엄
청 잘 팔렸다. 세탁기나 냉장
고처럼, 마치 집 안에 꼭 필요
한 가전제품 취급을 받았다.
집집마다 노래방 기계가 있는
것도 신기한데, 밖에 나가도
마찬가지였다. 바닷가에 가
도, 술집에 가도, 오토바이에
소형 노래방 기계를 싣고 다
니며 여기저기서 노래를 부르
는 사람을 매우 쉽게 찾을 수
있었다. 베트남에서 노래방이
라는 특정 장소가 별로 없는
이유는, 그들이 마이크를 잡
는 곳 어디든 노래방이 될 수
있으니, 굳이 노래를 부르기 위해 어딘가를 따로 갈 필요 가 없기 때문이었다. 언제든
노래 한 소절 뽑고 싶으면, 거
실에 있는 마이크를 집어 들
면 되고, 집에서 부르는 게 지
겨우면 기계를 들고 문 밖을
나서면 될 일이었다.
그런 문화이기에, 스피커를 통해 울려 퍼지는 그들의 노
랫소리가 자연스레 내 알람
이 되어버렸다. 오늘은 옆집
노랫소리, 내일은 뒷집 노랫
소리, 그리고 다음 날은 앞 집, 뒷집 동시에 섞이는 노랫소 리.. 그들이 열심히 열창해 준 덕에 낯설었던 베트남 노래 를 나도 모르게 흥얼거릴 때 가 있었다.
문제는 그들이 노래 부르는 시간이었다. 그들의 노래 사 랑은 도무지 정해진 시간이 없었다. 아침 5시부터 눈 뜨 자마자 노래가 땡기면 기계부 터 틀었다. 밤이 깊어 2시 3시
가 되어도 노래방 기계에 예 약된 그들의 번호는 끝이 없 었고, 오히려 해가 떨어지니
노래 부를 맛 난다며 진성에, 두성까지 써가며 고래고래 노
래를 불렀다. ‘부른다’라기보
다는 ‘지른다’라는 표현이 맞 을 것이다.
외국인으로 이 마을에 살며, 현지 사람들의 눈 밖에 나고
싶지 않았던 나는, 아침부터 질러 대는 그들의 노랫소리에
도 아무 말 하지 않고 묵묵히 들어주려 했지만, 새벽 2시가
넘어가도록 끝나지 않는 이웃 들의 흥겨움은 도무지 참기
가 어려웠다. 이쯤 되면 베트
남 사람들은 한밤 중 남의 집
노랫소리를 신경 안 쓰나 싶 겠지만, 신경 안 쓰는 게 아니 라 시끄러워도 보통 아무 말 을 하지 않는다. 본인도 부를 것이기 때문이다.
오늘은 옆집이 불러도 내일은
내가 부를 것이니, 서로서로 같은 문화를 공유하는 이상, 시끄러워 잠을 설쳐도 그들
끼리는 아무 말 하지 않았다.
종종 서로의 노랫소리를 못
참고 칼부림이 낫다는 베트남 기사를 볼 때도 있었지만, 그 건 그만큼 예외적인 사건이니 신문에 실리는 것이었다.
하지만 나와
싶었 는데, 거너가 집으로 돌아오 고 얼마 후, 거짓말처럼 노랫 소리들이 멎기 시작했다. 감 히 우리의 흥에 불만을 갖냐 며, 동네 사람들이 집으로 쳐 들어오지 않을까 긴장도 되었 지만, 그런 일은 없었다. 덕분 에 오랜만에 꿀 잠을 잘 수 있 었다.
하지만 그때뿐, 한 밤의 순회 가 그들의 흥을 오래도록 붙 잡아 둘 수는 없었다. 바로 다 음 날부터 다시 그들은 마이 크의 전원 버튼을 눌렀고, 그 때마다 동네 순회를 다시 할 수 없었던 우리는, 사는 곳은 주택가였으나 유흥가의 한복 판에

by 임요세프 / 브런치

세상은 아는 만큼 보이는 법 이다. 내가 맛본 세상에서
가장 맛있는 커피는 <CAFE-SANN>에 있다. 참고로,
라는 캐치프레이즈로 우리를 유혹하는 <CAFE-SANN>은, 그래서 추천할 만하다.

J의 꿈은 현실이 된다 대한 궁금증이라기보다는, 내 과거를 되돌아보고, 앞으 로의 인생을 설계하는데도, 그곳이
그곳은 아메리카노 한 잔 가
격이 5천 원은 족히 넘는다.
다행히, 대부분의 소비자들
은 같은 재료의 커피와 빵이
라 하더라도, 가격은 차별적
일 수 있음을 받아들인다. 보
이는 풍경에 따라 가격이 달
라질 수 있다는 말에는 고개
를 끄덕일 가능성이 더 크다.
<하늘과 가장 가까운 카페>
단언컨대, 산의 정상에서, 붉 게 물들어가는 노을을 내려
다보며, 커피도 마시고, 눈앞 에서 패러글라이딩 체험까
지 즐길 수 있다면, 커피값 5 천 원이 아깝다는 생각은 들
지 않는다.
얼마 전, J로부터 전화가 걸
려 왔다. 그는 충북 단양에서
<CAFE-SANN>을 운영하는 청년 기업가다. 무려 5년 만
의 연락이다. 종종 그의 안부
가 궁금했지만, 바쁘다는 핑
계로, 무소식이 희소식이라는
생각으로 얼렁뚱땅 넘기고 있
었는데, 그가 먼저 연락을 해
왔다. 가족이나 친한 친구 한
두 명을 제외하면, 전화 진동
벨이 울리는 그 짧은 시간 동
안에도, 받을지 말지, 과연 무
슨 일로 전화가 왔을지, 복잡 하게 고민을 하는 편이다. 그 런데, 이번 J의 연락은, 찰나

의 망설임도 없을 만큼 반가 웠다. 어쩌면, 그의 연락을 기
다리고 있었는지도 모르겠다.
“아! J대표, 잘 지냈어요? 오
랜만이네”
“선배님, 오랜만에 연락드렸
습니다. 잘 지내십니까?”
“나야 뭐, 매일 비슷하지요. J
대표는 어때요?”
“선배님이 가끔 올리시는 브
런치 글은 잘 읽고 있습니다.
제 즐거움 중 하나입니다. 하
하”
“커피 마시러 한 번 가야 하는
데, 시간을 못 내서 미안해요.
조만간 좋은 분들과 함께 꼭
방문할게요”
“근데, 혹시 뭐 궁금한 거라도
있어요?”
“아 네, 실은 선배님께 조언을
좀 구하고 싶은 일이 있어서 전화를 드렸습니다. 잠시 통 화 가능하실까요?”
업무시간에 걸려 온 전화였 다. 웬만해선 전화를 받지 않 거나, 받더라도 아주 급한 일 아니라면, 점심시간 이후에, 혹은 퇴근 후에 다시 통화하 자고 했을 텐데, 그날만큼은, 난 전혀 다른 사람이 되어 있 었다. 자칫하다간, 무척 여유
롭고, 마음 넓은 사람으로 오
해받을 수도 있을 만큼.
J대표와의 인연은 약 7년 전 으로 거슬러 올라간다. 지방
발령으로 충북 지역에 근무
할 때의 일이다. 20대 호기로
운 청년 기업가였던 그는, 돌
우물의 임 대표와 재회하기
전, 내가 아는 가장 젊은 CEO 였다. 훤칠한 키에, 뚜렷한 이
목구비, 호소력 있는 목소리
에, 특유의 넉살까지, 그는 사
업가로서의 기질을 타고난 것 같았다.
사실, 그와 나의 업무상 첫 미 팅은 긍정적인 내용이 아니었
다. 그는 충북 단양에서 나고
자란 토박이였는데, 단양 팔 경을 품고 자란 청춘이어서
그런지, 여행업을 하던 차였 다. 어떤 이유로 여행업에 투
신하게 되었는지까지는 묻지
못했다. 다만, 지금 주력하고 있는 <CAFE-SANN>의 분위
기, 사실상 그가 주도하고 있
는 또 하나의 사업 <패러글 라이딩 체험학교>까지 연결 해 보면, 여행(旅行)은 그에 게 천직이라는 생각이다. 하
여튼, 그는 불가피하고 부득
이한 이유로, 그 사업을 접고, 갑작스레 군에 입대했다. 제 3
자가 보기에는 생뚱맞기도 하 고, 당황스럽기도 한 결정이 다. 갑자기 하던 사업을 폐업 하게 되면, 정책자금은 즉시 상환되어야 하기 때문이다.
그러나, 그런 것까지 일일이 염두에 두고 살아갈 만큼 여 유 있는 사람은 많지 않다. 더 구나, 피치 못할 사유로 생업
을 중단해야 하는 경우라면 더욱 그러하다. 우리의 첫 만 남이 유쾌할 수만은 없는 일 이었다.
하지만, 전도유망한 청년 기
업가는 위기(危機)를 기회 (機會)로 바꾸어 읽는다. J는
그런 유형이다. 신속하게 상 황을 수습하고 나자, 그에 대
한 인간적 호기심이 생겨났
다. 공교롭게도, J는 나의 동 향 후배 겸 대학 후배이기도 했거니와, 별 기대감 없이 찾
아간 <CAFE-SANN>이 결정 타였다. 그의 인생과 꿈이 궁 금해졌다. 그곳에서 근무한 2
년여의 기간 동안, 알게 모르
게 10번은 <CAFE-SANN>에
방문했던 것 같다.
지금 돌이켜보면, 단순히 J에
받아 집으로 돌아갈 수 있었다.
내게 <CAFE-SANN> 커 피 한 잔의 가치는 <STAR BUCKS>의 그것과는 비교 불가다.
단양의 절경이 한눈에 내려 다보이는 <CAFE-SANN>은, 무려 해발 600미터 높이에 위 치 잡았다. 어떻게 저 높이에 저런 카페를 만들 생각을 했 을까. 지금이야 커피와 빵 맛 을 보러, 뷰(View)를 즐기러, 패러글라이딩을 체험하러, 전 국 팔도에서 수많은 사람이 찾는 지역 명소가 되었지만, 그 시작은 설렘보다는 두려움 이 더 크지 않았을까? 처음부 터 당연한 건 없다. 그렇다. 저곳은 불과 십여 년 전만 해도, 아무도
강사였다. 아니, 지금

도 여전히 현역일지 모른다.
패러글라이딩 실습소, 교육장
이 필요했을 것이고, 산이 제
격이었으리라. 평지에서 하늘
을 날긴 어려우니까. 위험은
높이로 확보된다. 기업가정
신과 맞닿은 지점이다. 마음
을 먹었으니, 이제 남은 건 실 행뿐이다. 그는 산 하나를 통
째로 구매했다. 생각만큼 비
싸지도 않았다. 하긴, 수요가
있어야 수요-공급 곡선을 들
먹이며 가격 흥정이 가능하
다. 문의도 없고, 발전 가능성
도 없어 보이는, 단양 시골구
석 이름 없는 뒷동산이 비쌀
리 없다.
싼 게 비지떡이라지만, 아직
은 그의 행보를 누가 말릴 일
도, 딱히 그럴 필요도 없다. 하
지만, 산꼭대기에 패러글라이
딩 체험장을 만들고, 그 옆에
커피숍을 열겠다고 하면, 이 야기가 달라진다. 없던 길도
내야 하고, 인근 주민들의 민
원과 원성도 온몸으로 받아내
야 한다. 내가 가는 곳이 곧 길
이 되지만, 그 길은 가시밭길 이다. 실제로 얼마만큼의 시
련이 있었는지는 잘 모르지
만, 힘들었을 시간이 충분히

상상은 된다. 덧붙여, 나의 경
우엔 99.9%의 확률로 중도
포기했을 거라는 것도 안다.
하지만, J와 그의 가족은 포기
를 몰랐다. 그들은 기필코, 마
침내, 드디어, 해발 600미터
고지에 <CAFE-SANN>을 일
구었다. 평지부터 저 높은 곳
까지, 양방향 차들이 왕래할
수 있을 만큼 길을 내야 했다.
얼마나 많은 장애물이 도사리
고 있었을까. 동물, 식물, 나 무, 심지어 사람들까지. 무엇 하나 누구 하나 그들에게 쉬
길을 터주지 않았으리라. 천
지개벽, 상전벽해를 아무런
저항 없이, 순순히 받아들일 자는 흔치 않다. 저 높은 곳까 지, 물길도 트고, 전기길도 내 고, 몇 년의 시간이 걸릴지 예
측하기도 힘든 상황에서 계속
벽돌과 흙을 날라야 했다.
살면서 건축설계, 시공, 건축,
준공은 두 번은 못 할 일이라
고들 한다. 정신적, 육체적, 금
전적으로 필요 이상의 에너지
가 들어가고, 예측 불가능한
일들의 연속이기 때문이다.
부리는 사람은 내 맘 같지 않
고, 화수분처럼 여기저기 돈

은 계속 투입되어야 한다. 특 히, 관공서의 인허가를 받는 것이 하이라이트다. 이번 경
우는 도심지역에서 비슷한 모
습으로 올려지는 주택/상가/ 집합건물 등과는 아예 시작부 터 다르니, 더욱 불안하고, 위 험했다. 자연경관을 헤치고, 환경을 파괴한다는 이유로 허 가가 나지 않으면, 회복 불능
이기 때문이다. 사실, 내가 만
나본 J와 J가족들도 그저 평
범한 우리 이웃의 모습이다.
MBTI가 남달라 호기롭게 시
작한 일이었다 하더라도, 얼
마나 많은 불면의 밤을 보냈
을지 쉬 짐작하기 어렵다. 어 떤 우여곡절이 있었는지, 얼
마의 시간이 걸렸고, 얼마의
돈이 들었는지, 잘 알지 못한
다. 아니, 솔직히 말하자면, 별
로 알고 싶지도 않다.
어찌 됐든 간에, 건물 준공
등기와 사용 허가를 취득한 <CAFE-SANN>에 앉아, 커피 의 맛과 풍경의 멋을 모두 누
릴 수 있음에 감사할 따름이 다. 헤아리기 힘든 시간을 애 써 외면하는 나, 그리고 우리 는, 그래서 평범한 사람들 일 지 모른다. Normal이 있어 야 Ab-normal이 빛날 수 있 음이 세상의 이치다.
J대표는 그의 아버지로부터
사업가 기질을 그대로 물려받 았다. 그는, 대를 이어, 바리스
타임과 동시에 패러글라이딩 강사로 살아간다. 그래서, 그
는 수시로 하늘을 난다. 손님
중 태반은 처녀비행일 터, 곡
예를 섞으면서도 안전하게 비
행해, 그들에게 안전감과 쾌
감을 동시에 제공해야 한다.
그는 아침에는 커피와 빵을
만들어 내고, 오후에는 노을
의 풍경 속으로 뛰어들며, 저
녁 늦게는 <CAFE-SANN>
너머의 새로운 미래도 그려
야 하는, 다이내믹한 꿈을 꾸
는 청년 기업가다. 비범하다
못해, 다소 위태롭기까지 한
인생이다.
<CAFE-SANN>은 별, 노을, 강, 그리고, 산을 같은 방향 으로 바라본다. 당초에, 그곳 은 황량한 곳이었다. 화전민 들이 살던 두산마을이, 고독 과 번민을 즐기는 비행인을 만나 패러글라이딩 활주로로 변모했다. 산과 들의 고독함 이 배어 있던 곳이, 시대와 필 요를 만나 제3의 공간 <CAFE-SANN>이 되었다.
현실에서는 리얼리스트가 되 고, 가슴속에는 이룰 수 없는
꿈을 꾸는 이상주의자가 되자 는 쿠바 혁명가의 외침은, 이 곳에서 더 큰 울림으로 다가 온다. J는, 꿈을 꾸는 리얼리 스트, 그 자체다. 아니나 다를 까, <CAFE-SANN>의 홈페이 지에는 커피, 노을, 비행, 꿈, 현실, 그리고, 체 게바라의 메 시지까지 풍성하다.
내게 전화를 걸어온 J는, <CAFE-SANN> 옆에 새로이 <문화 복합공간>을 만들고 싶다고 했다. 역시나, 내가 함
부로 가늠할 수준이 아니다!
자기 자금 보유액은 어느 정 도이니, 얼마의 자금이 추가
로 필요하고, 어떻게 조달하
는 게 제일 나을 것 같냐는 질 문이었다. 그는 F&B, 굿즈, 사
진, 그림, 문화예술 공연, 패러
글라이딩 체험관, 리싸이클 링 제품관까지 아우르는 <꿈
의 공간> 조성계획을 그리고 있었다.
주력 하는 데, J는 오히려 공격적인 경영전략을 택한 듯하다. 물론, 이번에도 그의 역발상, 도전정신이 빛을 발할 거라 믿는다. J대표에게 중도 포 기란 없다. 돈이 부족하면, 새로운 취향을 덧입힌 <CAFE-SANN> 2호점이라도 오 픈할 기세다. 이제는 단양을 넘어, 도시와 농촌, 산과 호수, 들과 강의 경계를 넘어, <CAFE-SANN> 3호, 4호점, 아니, 99호, 100호점이 생길지도 모 를 일이다. 그리되면, 내가 할 수 있는 일은 무엇인지도 고 민해 봐야겠다.
나는 J대표의 위태로움과 비 범함, 좌충우돌하는 모습까지 응원한다. 어설픈 충고나 조 언, 비판과 비난 따위는 금물 이다. 10분 남짓한 짧은 통화 였지만, 여운은 참 길다. 퇴근길,
금리가 만만치 않으니, 시중 은행을 통한 시설자금 조달 보다는, 중소기업진흥공단이 나 시/도의 정책자금을 우선 알아보라고 했다. 전화보다 는 직접 찾아가서 문의하고, IR 자료도 만들어 가기를 권 유했다.























































by 구론산바몬드 / 브런치
영어 바보는 그 후
어떻게 되었나


건강하기만 하면 어떤 모습
으로 살아도 행복할 거라 믿 었는데 어느 날 건강에 적신
호가 들어왔다. 언젠가부터
소변을 보고 나면 거품이 심 하게 일었다.
내 오줌발이 너무 강했나, 아 님 소변의 낙차가 커서 그런
가 하고 지켜보아도 거품은 좀체 사그라들지 않았다. 결 국 건강에 이상이 있음을 인 정해야 했다.
이런 제길, 하필 내게... 분노 의 단계는 빨리 왔다. 관련 정보를 찾아보았다. 주원인 은 당뇨병 또는 신장질환에 의한 단백뇨였다.
이 나이에 당뇨? 설마 아니 겠지. 신장에 이상이 있는
거라면... 생각은 소변 거품
처럼 커져 신장 투석과 신장
이식을 하는 내 모습을 상상 했다.
죽을병은 아니었지만 마치 생을 곧 마감해야 하는 단계
에 와 있는 것 같은 절망감이

들었다. 신변 정리를 해야 할 것 같기도 했다. 직장, 지위, 가족 등 가진 모든 것을 저 울질하다 생각이 비자금에 미쳤을 때 마음이 급 심란해 졌다. 힘들게 아내 몰래 축적 한 비자금 때문에라도 살아 야 했다.
병원에 가서 진단을 받고 투 병생활을 시작해야 할지 고 민은 커졌다. 충격받을 아내 를 생각하면 쉬 말을 꺼내기 도 어려웠다. 한동안 고민하 다 아내에게 사실을 말했다. 비자금 얘기는 안 했다. 아내 도 근심 가득한 표정을 지으 며 정보 검색에 몰입했다. 건 강 관리를 제대로 하지 못한
불찰에 괜히 미안해졌다.
아내는 직접 소변을 보고 싶
다고 했다. 물을 잔뜩 마시 고 기다렸다. 방광에 신호가 왔을 때 힘차게 오줌을 뿜었 다. 역시나 거품이 심하게 일 었다. 거품은 뭉게뭉게 피어 나 주변 거품과 하나 되며 세 포 분열하듯 커졌다. 좌변기 를 살펴보던 아내가 내 등을
치며 웃었다. "저거 안 보여요?" "...."
아내의 손가락은 좌변기에 걸려 있는 세정제를 가리키 고 있었다. 앗, 그랬다. 아내 가 코스트코에서 사다 변기 에 걸어둔, 이름도 더럽게 긴 그것, '브레프 파워액티 브 스파클링 레몬 변기세정 제'. 이놈 때문에
원 프로와 나누는 골프이야기
로프트 각도 by 티칭 프로 원성욱 (0402 598 961)
안녕하세요? 골프 공이 높이 날아가려면 클럽
헤드의 페이스가 누워 있을때 공이 맞아야 하
고 그 클럽헤드가 공에 접근 할때의 진입 각도
가 가파른 각도로 진입 할 수록 높이 뜨게됩니
다. 일반적으로 초보 골퍼들은 이 두 가지의 원
리를 잘 모르기때문에 자신의 행동으로 공을
띄우려는 실수를 하게 됩니다. 클럽을 걷어 올
리려는 동작을 하려고 하는 시도는 때로는 공
을 잘 맞춰서 띄우기도 하지만 대부분은 공 보
다는 땅바닥을 먼저 때리는 실수를 하게되죠.
특히 아이언의 경우에는 걷어 내려는 동작 즉,
클럽 헤드를 땅바닥에서 떠오르게 할때 공을
맞추려는 동작은 심하게는 공의 윗부분이나
아예 헛 스윙을 하게 만듭니다. 하지만 드라이
버 에서는 이 걷어 올리는 동작이 도움을 주게 되죠. 드라이버의 헤드가 내려가면서 공을 맞
추는 것이 아니라 올라갈때 공을 맞추면 더 좋
은 임팩트 느낌이 생기죠. 이것 때문에 골퍼들
은 각각 다른 스윙을 연습한다고 착각하게 됩 니다.
골프 스윙은 한 동작으로 연습을 해야합니다.
어떤 클럽을 잡고 샷을 하더라도 같은 이론으
로 움직이며 샷을 할 때 클럽마다 공을 날리는
탄도와 비거리가 나오게 됩니다. 초보 골퍼들
이 아이언 7번으로 스윙을 배울때 공을 못 띄우



도를 할때와 클럽 전체를 직선으로 밀어 내려 는 시도를 할때 입니다. 이 두가지 시도는 공을 정확하게 맞출 수 있는 자세에 집중하기 보다 는 공이 떠서 날아가는 장면에 집중하다 보면 생기는 경우가 많습니다. 드라이버가 잘 안되 는 경우도 비슷한 이유죠. 이런 실수가 연속으 로 나오면 반드시 공을 맞추는 순간, 즉 임팩트 자세에 집중해야 합니다. 임팩트 자세에 클럽 을 잡고 리드하는 손이 공보다 왼쪽에 있는지 아니면 공과 같은 라인에 있는지 또는 공보다 오른쪽에 있는지 확인해 봐야하며 그때에 클럽 헤드의 페이스가 세워졌는지 아니면 누워 있는 지도 알고 있어야 합니다. 클럽 헤드의 페이스는 공을 띄울 수 있도록 눕 혀져 있습니다. 그 고유의 로프트 각도를 이용 해서 공을 띄우는 스윙이 정석이죠. 로프트 각 도를 정확하게 이용하려면 공의 위치 또한 각 클럽마다 다르다는 것도 알고 있어야 하겠습니 다. 일반적으로 7번 아이언은 자신의 몸 중앙에 공을 두고 샷을 했을때 헤드 페이스의 로프트 각도가 좋은




스며들었다
2023년,
홍콩이 아름다운 이유에 대하여
홍콩 스카이라인을 두고 ‘아름답다’라는 묘사는
정말 따분한 표현이다. 당연한 소리이기 때문이
다. 홍콩은 도시의 밀도가 높다. 건물이 많기도 많
고 높기도 높다. 홍콩에는 대략 9,000개가 넘는
고층 건물이 있다. 그중 4,000개가 넘는 건물이
100m 이상의 고층빌딩이다. 150m를 넘기는 건
물은 대략 500개를 훌쩍 넘긴다. 아파트 1층 높이
를 보통 3m로 본다. 150m 이상의 건물이라면 적
어도 아파트 50층 정도의 높이가 되는 것이다. 물
론 무작정 높다고 멋질 일이 아니고, 또 많다고 예
쁠 일도 아니다. 아름다운 도시의 스카이라인이
란 개성이 넘치는 동시에 ‘하나의 도시로 어우러 지는 것’에 방점이 찍히기 때문이다.
홍콩은 도시 전체가 건축박물관이다. ‘세계건축
의 격전지’라고 묘사하는 것이 정확할지도 모르 겠다. ‘이오밍 페이, 노먼 포스터, 시저 펠리, 헤르 조그 & 드 뫼롱’ 등 현대 건축사에서 빼놓을 수 없
는 월드클래스 건축가의 작품이 지천이다. 그들 의 예술적인 건축 기법은 홍콩에서 특히 더욱 도 드라진다. 홍콩 정부가 제시한 ‘도시 디자인 가 이드라인’이 그들의 개성을 자극했기 때문이다. 2002년 4월에 홍콩에서 발효한 ‘스카이라인 규제
정책’은 도시가 ‘균형’을 이루는 데 중점을 두었 다. 표면적으로 ‘규제 정책’이지만, 고층 건물을 신
축 허가할 때 일률적으로 층수와 높이를 규제하
지 않았다. 홍콩의 도심과 조화를 이룬다면 별다 른 층수 제한을 걸지 않은 것이다. 덕분에 혁신적 인 아이디어의 마천루가 홍콩에 들어서게 됐다.
개성 넘치는 홍콩 건물의 외관은 ‘풍수’가 한몫을 톡톡히 했다. 홍콩에서 ‘풍수’는 조언 그 이상의 믿
음이다. 홍콩 디즈니랜드는 과거 개장을 앞두고
정문의 위치를 12도 정도 옆으로 옮겼다. 풍수 전
문가가 ‘그렇게 하면 좋을 거다’라고 조언했기 때
문이다. 디즈니랜드 내 건물이 하나씩 완공될 때
마다 고사를 지냈고, 연회장 크기는 888m2로 맞
췄다. 8이 행운의 숫자라는 믿음 때문이다.
‘노먼 포스터’가 설계한 ‘홍콩 상하이 은행 본점
(HSBC)’ 옥상에는 대포가 설치되어 있다. 살상
을 위한 진짜 대포는 아니고 유지관리보수 크레
인을 대포처럼 디자인한 것이다. 이 대포는 ‘더 뱅
크 오브 차이나(BOC)’를 정조준하고 있다. ‘더 뱅
크 오브 차이나’는 ‘이오밍 페이’가 설계한 건축물
인데 홍콩에서 예외적으로 풍수지리적인 조언을
무시하고 지어진 것으로 유명하다. 대나무 죽순
의 우아함을 삼각형 프리즘 모양으로 표현했다. 풍수적으로 날카로운 칼 모양의 모서리 부분에서
는 나쁜 기가 분출된다고 한다. 이것이 ‘HSDC’의 대포가 ‘BOC’의 칼끝을 정조준하고 있는 이유다.
물, 바람, 햇빛처럼 자연스럽게 흐르는 것을 막지
않고 좋은 기를 살리려 애쓰는 것. 홍콩 스카이라 인이 아름다울 수밖에 없는 가장 근본적인 이유 다. 정말 따분한 묘사지만, 홍콩의 스카이라인은
정말이지…, 아름다울 수밖에 없다.
West Kowloon Cultural District
예술의 심장, 서구룡 문화지구 홍콩을 여행자의 시선에서 바라보면 크게 4개의 지역으로 구분할 수 있다. 홍콩섬, 구룡반도, 란타 우섬, 그리고 신계. 이중 여행자가 가장 보편적으 로 찾는 곳이 홍콩섬과 구룡반도다. 홍콩섬에는 ‘
센트럴, 스탠리’ 등의 지역이 속하고 구룡반도에 는 ‘침사추이, 몽콕’ 등의 지역이 속한다. 구룡은 광둥어로 ‘9마리의 용(카오룽)’을 뜻한다. 여기서
용은 구룡반도에 솟아오른 9개의 산봉우리를 지 칭한다.
구룡반도의 북쪽과 동쪽은 대부분 주거지역이다. 남쪽에는 구룡반도에서 가장 번화가인 침사추이 가 자리한다. 구룡반도의 서쪽은 최근 문화와 예
술이 가쁘게 살아 숨 쉬고 있는 ‘서구룡 문화지구 (WKCD)’가 위치한다. 참고로 서구룡 문화지구는 바다에 흙을 메워 만든 간척지다. 새로운 땅 위에
다 꽃을 피움으로써 그 누구의 지배도 받지 않는 홍콩만의 문화적인 장소를 염원했다고 한다.
2023년의 홍콩을 대표하는 키워드는 단연 ‘예술’
이다. 아시아 최대 규모 아트페어인 ‘아트바젤’이
매년 홍콩에서 열린다. 올해는 3월23일부터 3월
25일까지 개최됐다. 이것은 전 세계 미술 애호가
들이 미술 시장의 흐름을 파악하기








재까지 굵직한 대규모 전시장, 공연장, 미술관 등 문화시설이 지속적으로 들어서는 중이다. 대표적 으로 M+ 뮤지엄, 고궁박물관, 시취센터 등이 있 다. 그렇다고 서구룡 문화지구를 단지 ‘무엇을 감 상하기 위한 공간’이라 이해하면 오해다. ‘문화를 피부로 체감할 수 있는 복합 공간’이다. 건너편으 로 홍콩섬이 보이는 산책로를 따라 ‘아트 파크(Art Park)’가 펼쳐져 있다. 1970년까지 영국군의 군 사기지로 사용되던 구룡공원의 푸릇함은 회색빛 홍콩의 번잡함을 씻겨 준다. 조깅을 하고, 책을 읽 고. 낚시도 하고, 커피도 마시고, 낮잠을 청하다 이 따금 강아지가 짖는 소리에 깨어나는 공간이다.
서구룡 문화지구가 추구하는 예술은 보는 것이 아 니라 누리는 것이다. 거닐면 자연스레 알게 된다.
Victoria Harbour
홍콩의 발상지, 빅토리아 하버
빅토리아 하버는 홍콩의 발상지다. 구룡반도와 홍
콩섬 사이에 위치한 항구다. 영국의 식민지 당시
는 아시아에서 가장 중요한 영국의 무역항으로 사
용되었고 현재는 국제 무역의 중심지로서 홍콩의
위상에 가장 중요한 역할을 하고 있다. 매년 빅토
리아 하버를 드나드는 국제 선박이 수천 척에 달 한다.
빅토리아 하버를 따라 거닐면 홍콩의 스카이라 인을 파노라마로 감상할 수 있다. 가장 전통적인 하버의 전망은 침사추이 워터프론트에서 바라보 는 풍경이다. ‘심포니 오브 라이트(A Symphony of Lights)’를 감상하며 산책 삼아 홍콩 문화 센 터, 시계탑까지 함께 둘러보면 좋다. 빅토리아 하 버를 오가는 ‘스타페리’를 타 보는 것도 추천한다.
스타페리는 홍콩에서 가장 오래된 교통수단이다.
무려 1888년 12월부터 운항해 왔다. 스타페리를 이용할 경우 침사추이에서 센트럴 구간은 8분 정 도, 침사추이에서 완차이 구간은 15분 정도 소요 된다. 좀 더 높은 곳에서 빅토리아 하버의 전체적 인 모습을 조망하고 싶다면 ‘스카이100 홍콩 전 망대(Sky100 Hong Kong Observation Deck)’ 도 좋은 선택지다. 홍콩에서 가장 높은 건물인 ICC(International Commerce Centre)의 100층에 자리하는 전망대다.
빅토리아 하버 Admiralty, 홍콩
Avenue of the Stars
낭만의 산책, 스타의 거리 1980년대부터 1990년대 초반까지 홍콩은 그야 말로 동방의 할리우드였다. 홍금보, 성룡, 원표를 시작으로 장국영, 주윤발, 적룡까지. <중경삼림>, <무간도>, <영웅본색>, <홍콩의 연인>. 제목을 읊 기만 해도 눈빛부터 그윽해진다. 그 시절 홍콩 영 화에는 낭만이 있었다.
홍콩 침사추이 남쪽 산책로를 따라 할리우드의
‘명예의 길(Walk of Fame)’을 본떠 만든 ‘스타
의 거리’가 펼쳐진다. 홍콩 슈퍼스타의 핸드프린
팅과 조각상을 통해 그 시절 홍콩 영화의 낭만을 되새길 수 있다. 스타의 거리는 총 457m 길이로
1982년에 조성되었다. 2019년 1월31일, 3년간 의 대대적인 리노베이션을 거쳐 재개장했는데 뉴 욕 하이라인파크를 설계한 ‘제임스 코너(James Corner)’가 참여해 재설계했다.
빅토리아 하버를 따라 광범위하게 조경을 재정비 했고 그늘과 앉을 자리를 대폭 늘렸다. 특수 조명
시스템을 설치해 일몰 이후에도 보행자 데크 아래 쪽 바다를 조망할 수 있게 되었다.
이소룡 동상과 매염방 동상, 그리고 ‘맥덜(McDull)’ 동상은 꼭 함께 둘러봐야 한다. 참고로 ‘맥 덜’은 홍콩에서 가장 사랑받는 애니메이션 캐릭 터다. 한쪽 눈에 갈색 점박이 무늬가 있는 아기 돼 지인데, 주로 홍콩 서민층과 빈민층의 고된 삶을 배경으로 이야기가 펼쳐져 귀여우면서도 은근 먹 먹한 감정을 자아내는 캐릭터다.
Ave of Stars
주소: Tsim Sha Tsui Promenade, Tsim Sha Tsui, Kowloon, Hong Kong
Victoria Peak 홍콩 제일 전망대, 빅토리아 피크
높이 올라야 멀리 볼 수 있는 법. 빅토리아 피크 는 홍콩에서 가장 높은 산(552m)이다. 홍콩섬과 빅토리아 하버, 그 너머 구룡반도까지 한 번에 감 상할 수 있다. 오르는 것도 쉽다. 피크 트램(The Peak Tram)을 타고 산 정상까지 오르는 데 걸리 는 시간은 단 6분. 1,278m 길이의 선로를 따라 단 숨에 396m까지 오른다. 피크트램은 1888년 영국 총독과 피크의 주민들을 위해 운행을 시작했다. 현재는 큰 파노라마 창을 장착한 6세대 피크트램 이 운행 중이다. 오를 때는 오른편, 내려갈 때는 왼편에 앉아야 제대로 된 풍경을 촬영할 수 있다. 빅토리아 피크는 해 질 무렵 한 시간 전쯤 찾는 것 을 가장 추천한다. ‘스카이 테라스 428’에 올라 밝 은 홍콩 전경을 한 번 감상 후 ‘루가드 로드(Lugard Road)’로 이동해 피크 트레일을 따라 15분 에서 20분 정도 천천히 거닐자. 오르막도 내리막 도 없는 평탄한 길이다. 실시간으로 어둑어둑 해 져 가는 홍콩을 오른편에 두고 간단한 트레킹을 거치면 전망대 2곳이 나온다. 한 곳에서는 중국은 행타워(Bank of China Tower)를 정면으로 볼 수 있다. 다만 나무가 양옆으로 우거져 시야가 조금 가린다. 그보다 조금 더 안쪽으로 들어가면 구룡 반도와 홍콩섬, 바다를 두루 조망할 수 있다. 굳이 어딘지 찾지 않아도 된다. 정답에는 항상 사람이 몰리는 법이다.
빅토리아 피크
주소: The Peak, Hong Kong
글·사진 강화송 기자, 이성균 기자
취재협조 홍콩관광청
























국왕 찰스 3세의 대관식을 한 달여 앞두고 호주 정부가 대관식을 위한 공 휴일을 지정할지 여부가 관심이다.
찰스 3세의 대관식은 5월 6일 런던 웨스트민스터 사원에서 거행될 예정이다. 그의 모친인 엘리자베스 2세 여왕이 서거한 지 거의 8개월 만에 열린다.




앤소니 알바니지 총리는 호주 축하 사절단을 이끌고 대관식에 참석할 에정인데 호 주 국민들은 대관식과 관련한 임시 공휴일이 될지에 대해 궁금증이 커지는 상황이 다. 알바니지 총리와 데이비드 헐리 호주 총독은 호주를 대표해 런던을 방문할 예 정이다. 호주의 모든 주 총독들도 대관식에 참석할 계획이다. 알바니지 총리는 버 킹엄궁이 방문단에 특별히 호주 원주민 대표자를 포함할 것을 요청했다고 밝혔다. 연방정부 차원에서는 아직 공휴일에 관한 어떠한 발표도 하지 않았다. 공휴일은 주/준주 정부도 결정할 수 있다. 일단, 서호주의 마크 맥고완 주총리는 고려할 것 이라고 밝혔다. 호주 시간으로는 대관식이 주말에 열리기 때문에 대관식을 실시 간으로 보기 위한 휴일은 필요하지 않을 것이다. 영연방 국가들 중 캐나다는 공휴 일과 관련된 결정을 확정하지 않았는데 뉴질랜드에서는 휴일을 갖지 않는다고 공 식 발표했다.
비킹엄궁이 발표한 대관식 계획에 따르면, 이번 행사는 1953년 엘리자베스 2세의 대관식보다는 검소할 것으로 보인다. 영국인들이 생계비 위기에 씨름하고 있는 터 라, 화려하고 사치스럽게 대관식을 치를 수는 없다는 압박이 있기 때문이다. 이 행 사 비용의 일부는 영국 정부가 부담한다. 찰스 국왕과 카밀라 왕비는 호주에서 제작 된 ‘다이아몬드 주빌리 스테이트 마차’를 타고 사원을 향할 예정이다. 이 마차는 왕 실 소유 마차 중 가장 최신 차종인데 외관은 고풍스럽고 에어컨, 전동식 창문. 최신 형 서스펜션 등을 갖추고 있다.
qldkoreanlife.com.au qldkoreanlife

대관식이 끝나면 ‘골드 스테이트 코치’ 마차를 타고 궁으로 돌아올 예정이다. 1830
년대 이후 모든 영국 군주가 대관식에 사용한 마차다.
마지막 대관식에는 8,000명 이상의 하객이 참석했고 당시에 사원을 새로 단장해야 했다. 공식적으로 이번 대관식 초청장은 약 2,000명에게 발송됐다. 버킹엄궁은 이
행사를 기념하기 위해 찰스 3세가 대관식에서 쓸 왕관인 ‘세인트 에드워드 왕관’의
이모지도 공개했다. 퀸즐랜드, ‘운전면허 갱신’
‘5년간 변경된 도로 규칙’ 교육 목적 ‘제로 투 라이드’ 캠페인... 1년동안 74명 오토바이 운전자 숨져
퀸즐랜드주에서 운전면허를 갱신하려면 온라인 시험을 쳐야 할 수도 있다. 주정부 가 도로 안전 개선을 위해 검토 중인 여러 조치 중 하나다. 다른 주/준주에는 운전면 허증 갱신자에 대한 필수 교육 과정 또는 도로 안전 시험이 없다. 또한 서호주를 제 외한 모든 주/준주에서는 온라인으로 면허를 갱신할 수 있다.
마크 베일리(Mark Bailey) 퀸즐랜드 교통장관은 10일 브리즈번 ABC 라디오 인터
뷰에서 “운전면허 갱신자를 대상으로 한 단기 교육 과정(refresher course)을 고려 하고 있다”고 밝혔다. 그는 “5년 전 면허 취득 때와 면허를 갱신하는 지금 사이 도로 규칙에 많은 변화가 있다”고 말했다.
운전자가 새 도로 규칙을 학습하기 위해 고안된 이 과정은 “많은 시간을 들여야 하
는 부담스러운 시험”이 되지는 않을 것이다. 베일리 장관은 “이 교육 과정은 사람들
이 온라인에서 쉽게 할 수 있도록 설계됐으며 면허증을 딴 이후에 4~5년 동안 어떤 일이 일어났는지에 대한 좋은 리뷰가 될 것”이라고 말했다.
퀸즐랜드 주정부는 이 아이디어를 공개하고 지역사회의 피드백을 구하고 있다. 이
조치는 올해 초 도로 안전 회의에서 다루어진 안건 중 하나다.
운전 제한 속도가 시속 40km를 초과하다가 적발되면 제안된 규정 변경에 따라 즉 시 면허가 정지될 수 있다. 이 규정을 위반한 운전자는 면허 정지가 되기까지 최대 3주가 걸릴 전망이다. 베일리 장관은 “가능한 한 빨리 이러한 운전자들을 도로에서
벗어나게 하는 것은 긍정적인 조치가 될 것”이라고 말했다.
주정부는 오토바이 안전 문제를 해결하기 위한 ‘라이드 투 제로’(Ride to Zero) 계획 도 발표했다. 베일리 장관은 지난 12개월 동안 퀸즐랜드주 도로에서 74명의 오토바
이 사망자가 나온 것이 매우 우려된다고 밝혔다. 그는 “우리는 오토바이 커뮤니티, 특히 클럽과 함께 안전성을
















'빈둥지중후군'이라는 말을
많이 들어왔다. 아이들을
다 키우고나서 느끼는 공허
감이라고 하더라. 아이들을
키우는 동안 내내 꿈꾸었던
독.거.중.년.의 실현을 눈앞
에 두고 있는데 공허감이라
니, 도저히 공감할 수 없다.
아이들에 대한 책임감에서
벗어나 하루빨리 자유로워
지기만을 바라왔던 나는 작
은 아이가 대학에 입학하는
올해를 나의 안!식!년!으로
선포했다.
둘째의 대학합격 발표를 확
인하자마자 떠나겠다 벼르
고 벼러왔고 드디어 그날이
하루 앞으로 다가왔다. 어디
로, 어떻게에 대한 구체적인
계획은 세워놓지 않았지만
떠난다는 생각만으로도 비
실비실 웃음이 새어나오고
마음이 붕붕 날아다닌다.
아이들을 키우는 동안에도
틈틈이 여행-물론 혼자가는
여행은 아니었지만-을 다녔
고, 집 떠나면 안식보다는
개고생이라는데 왜 굳이 떠
나려고 하느냐고?
답은 하나다....
밥에서 해방되기 위해서!
아침 7시도 안되어 하루를
시작해서 밤 11시가 넘어야
끝나는 내 하루일과는 밥으
로 시작해서 밥으로 끝난다.
하루 세끼와 세끼 사이의 간
식에 야식까지, 결혼과 함께
시작되어 27년을 짊어지고
온 돌밥(돌아서면 밥)의 굴
레는 내가 안식년을 간절히
바라는 가장 큰 이유이고,
밥으로부터 해방되지 않는
이상 진정한 안식은 있을 수
없기 때문이다.
그렇다고 내가 의무감에서
만 밥을 해 온 건 아니다. 내
가 준비하는 밥에는 지긋지
by 하이디 / 브런치

긋함만큼 즐거움과 사랑도
담겨있었고, 정성껏 준비한
밥을 맛있게
먹어주는 식구
들을 보며 행복감도 느껴왔
다. 하지만 밥을 하고 싶을
때 하고, 먹고 싶을 때 먹을
수 있는 자유가 지금 내겐
무엇보다 간절하다. 나는
빠져있고 가족들만을 위한
삶에서 이제는 좀 자유로워
지고 싶다.
비할 바는 아니지만, 지금
나는 27년 직장생활을 마치
고 퇴직 후의 인생을 설계
하는 직장인의 마음과 비슷
하달까? 홀가분함과 함께
막막함이 동시에 느껴진다.
나에게 안식년은 가족들이
주인공이었던 지나온 인생
을 정리하는 시간이면서 동
시에 내 자신이 주인공이
되는 앞으로의 인생을 새
롭게 준비하는 시간이기도
하다. 가족들에게 호기롭게
안식년을 선포했고, 남편과
딸들의 적극적인 지지도 받
고 있지만 과연 어떻게 안
식년을 보내야 성공적인 인
생 후반부를 다시 시작할 수 있을까?
여행, 취미, 효도... 무엇 하나 쉽지 않네
막연히 생각해왔던 내 안식 년의 키워드는 여행, 취미, 효도이다. 여행은 물론 혼 자 떠나는 여행이고, 늙어 서까지 행복하게 즐길 수
있는 취미 곧 놀거리를 찾
는 것이고, 내 새끼들 챙기 느라 소홀했던 부모님을 자 주 찾아뵙는 것이다.
그런데 막상 시작하려니 여 행에서부터 삐걱거린다. 혼 자 떠나는 여행에 남편 카 드를 쓰려니 괜히 눈치가 보인다. 비록 대부분 남편 의 수입으로 이룬 재산이지 만 그 안에는 분명 집안일을 충실히 해 온 내 지분이 들
어있는데도 마음이 편하지 가 않다.
직장에서 퇴직하고나면 퇴 직금으로나마 위로를 받는
데, 아이들 때문에 어쩔 수 없이 선택한 전업주부 생활 의 끝에는 아무런 보상도 없 다는 사실이 씁쓸하다. 물론
남편이 내 소비에 대해 한번
도 딴지를 건 적이 없었는데
도 그동안 나 자신만을 위 해 돈을 써본 적이 거의 없 어 어렵다.
취미찾기도 쉽지 않다. 오래
도록 즐겁게 할 수 있는 취 미를 찾으려면 우선 내가 뭘 좋아하는지를 알아야 한다.
마치 어릴 적 꿈이 대통령도 되었다가 선생님도 되었다 가 변호사도 되었던 것처럼, 취미로 악기도 배우고 싶고 그림도 배우고 싶고 운동도 배우고 싶다.
하지만, 이 모든 것이 그저 막연하다. 고기도 먹어본 사 람이 먹을 줄 알고, 노는 것 도 놀아본 사람이 놀 줄
매일같이 아픈 곳 이 늘어가는 부모님은 어느 새 부담으로 다가오기 시작 했고, 마음과 다르게 부모님 과 함께 있는 시간이 별로 즐겁지 않아 선뜻 나서지지 가 않는다. 백세인생에서 막 중반을 넘 어서는 지금, 내 인생의 점 검은 분명 필요하다. 마치 책에서 챕터가 바뀌는 중간 의 간지처럼 아무것도 쓰여 있지 않지만 다음을 기대하 게 만드는 여백이랄까? 그 래서 나의 안식년은 무엇보 다 꼭 필요하다. 하지만 아 무런 준비없이 맞이한 안 식년을 과연 잘 보낼 수 있 을까?








저 보라색 꽃 이름이 뭐야?
긴장반 걱정반으로 입성했던
멕시코 시티 첫째 날, 가장 먼
저 탄성이 나왔던 순간은 로
터리에 위치한 시벨레스 광장 (Fuente de Cibeles)을 둘
러싼 보랏빛 꽃들의 향연이었
다. 한국에서 좀처럼 보기 드
문 색감의 꽃이었는데 벚꽃을 닮았다.
라일락 색상이 연상되기도 하
는 이 꽃은 이 광장 이외에도
멕시코 시티를 포함해 다른
도시를 가더라도 어김없이 있 었다. 도로나 공원 등 나무가
있는 곳이라면 항상 있었기에
멕시코의 국화인가라고 착각
할 정도였다.
이 꽃 이름이 궁금해서 답답
해하던 차에, 멕시코 친구와 함께 근교 피라미드로 여행
가면서 드디어 물어볼 기회
가 생겼다.
- 저 보라색 꽃 이름은 뭐야?
내가 어딜 가나 있더라고
- 저거?? 자카란다 (Jacaranda) 멕시코의 봄꽃이야. 봄
을 알리는 꽃이지. 그 일본의
사쿠라와 비슷해
- 오, 그럼 멕시코의 국화 같
은 거야?
- 아니. 그건 아니고. 아마 저
거 일본에서 들어온 걸로 알
고 있어
벚꽃이 부러웠던
멕시코 대통령
잠깐 피고 지는 벚꽃과 달리,
멕시코 시티 시벨레스 광장에 핀 자카란다
곧, 꽃의 결실이라 그런걸까.
멕시코의 봄은 한국의 초여름
에 가까운 수준이라, 봄에 나

자카란다는 의외로 그 생명
력이 길었다. 3월 초 멕시코
에 와서 만개한 모습을 봤는
데 4월 초인 지금, 여전히 길
을 걸으면서 자카란다를 매일
1번 이상은 보게 된다. 오늘
마트에서 장 보러 오는 길에
바닥에 떨어진 자카란다 꽃
잎을 보면서 "이제 슬슬 자카
란다 질 때가 되었나"란 생각
을 하는 찰나, 인스타그램 뉴
욕타임스 계정에서 멕시코 자
카란다 관련 아티클이 내 피
드에 떴다.
"멕시코 대통령은 벚꽃을 원
했다 The Mexican President wanted cherry trees"로 첫 문장을 뗀 뉴욕
타임스 기사는 꽤 길었지만, 조금은 궁금했던 자카란다의 기원에 대해 다루고 있었다.
간략하게 정리하자면, 1930
년 멕시코 대통령, 파우스칼 오르티즈 루비오(Pascual Ortiz Rubio)는 미국 워싱턴
벚꽃을 참 부러워했다고 한
다(미국 워싱턴은 1912년, 일
본으로부터 벚꽃을 선물 받았
으며 한국처럼 이맘때쯤 워싱
턴 벚꽃 축제를 한다고 한다).
그의 열망은 멕시코에 "정원
사"란 직업으로 이민 온 한 일
본인 이민자인 타츠고로 마츠
모토(Tatsugoro Matsumoto)에게 닿았다(그는 이민당 시 '정원사'란 직업을 기재했 지만 실제로는 건축가였다고 한다).
추운 겨울을 견디고 난 후에
야 꽃을 활짝 피우는 벚꽃에 게 멕시코의 겨울은 너무 따
뜻해 재배에 적합하지 않았 다. 핑크색 벚꽃은 포기. 대
신 다른 것을 찾아보자. 그렇 게 해서 찾은 꽃이 다름 아닌
오늘날 멕시코를 보랏빛으로 물들인 자카란다(Jacaranda)다.
자카란다는 일본인에 의해 소
개되었지만, 일본산은 아니
다. 아마존 유역에서 자생하
는 나무로, 그 이름은 파라과
이의 원주민 언어(Guaraní) 에서 유래되었다고 한다.
타츠고로 마츠모토는 실제
정원사는 아니었지만, 결국
멕시코 전역을 무대 삼아 보
랏빛 정원을 가꾼 찐 정원사
가 된 셈이다. 어쩌면 건축
가였기 때문에 그는, 대통령
의 염원을 도시 설계 관점으
로 접근 가능했던 걸지도 모 르겠다.
"보라색이 피면, 봄이 온다"
멕시코 대통령의 '미국 벚꽃'
에 대한 부러움과 감수성은
알록달록한 색채가 가득한 멕
시코에 보라색을 더했고, 멕
시코 사람들은 약 100년 째, 자카란다와 함께 봄을 맞이 하고 있다.
너무나 거대했던 5천 원
오는 제철 과일도 훌륭하다.
항상 시내를 돌아다닐 땐 "과
일 사서 숙소에 들어가야지"
생각하다가 막상 숙소에 들어 갈 때 쯤되면 배가 너무 불러 과일을 사야 한다는 사실을 잊어버리고 만다.
태양이 너무나 뜨거웠던 어
느 날, 시장에 들러 돌아다니
다가 어느 가게에 사람들이
아주 거대한 칵테일잔에 무
언가를 가득 담아 먹고 있는
모습이 보였다. 저게 뭐지? 하
고 가까이 다가가는 순간, 주
인장에게 영업 당해 홀린 듯
이 자리에 앉았다.
과일주스나 빙수 등을 전문으
로 하는 거였는데 내 옆에 아
저씨가 맛있게 먹고 있는 게
무엇이냐고 물으니 에스카모 차스(Escamochas)란다. 과
일이 수북이 쌓인 모습이 영
락없이 빙수를 닮아, 미디엄 사이즈(미디엄과 그란데 사
이즈가 있었다)로 주문했다.
(물론 얼음이나 얼린 우유 같
은 건 들어가지 않는다. 비주
얼만 빙수)
곧바로 나온 이 에스카모차스
는 너무나 거대했다. 내가 깜
짝 놀라 미디엄 사이즈냐고
되물었는데 맞단다. 이후 적
응됐지만 멕시코에선 그란데
사이즈를 시키면 거의 슈퍼
점보 사이즈급이므로, 한국인
이라면 그냥 미디엄, 치코 사
이즈를 시키는 것이 좋다.



하단에는 구운 오트밀과 시리
얼 등이 살구빛 요거트와 함
께 한 사발 깔려 있었고 그 위
에 바나나를 포함해 자몽, 파
인애플, 사과, 딸기 등 제철과 일들이 올라와있다. 달콤한
꿀과 튀긴 쌀로 마무리했는 데, 내 기준엔 표준 당수치를 조금 초과한 수준이었다.
꿀이 없어도 괜찮을 거 같은
데, 멕시코 사람들이 워낙 달
게 먹다 보니, 어느 디저트를 먹건 한국 사람들 입맛엔 대
부분 많이 달 수밖에 없다.
밑에 살구빛 요거트가 궁금한
데 위에 과일들이 많아 한참 건져먹어야 했다. 원래는 디
저트 용도로 먹으려고 한 건
데, 이 정도면 저녁 안 먹어도 되겠는데 싶을 정도였다.
마침내 요거트에 도달했는데, 한 스푼 떠먹는 순간 이 살구
빛 요거트의 맛을 낸 과일의 정체가 너무 궁금해졌다.
멕시코 과나후아토
어딘가 익숙하면서 낯선 이 과일 느낌. 내가 정말 좋아하 는 류의 과일맛이어서 이게 대체 뭐지? 하면서 몇 번이고 천천히 음미했다. 아저씨에게 "혹시 이 과일 이름이 뭐냐? 이 요거트맛"이라고 물었다. 그는 이름을 말해주었는데 그 이름을 내가 못 알아듣자, 아 예 과일을 들고 나왔다. 이 과 일은 다름 아닌 마메이 사포 테(Mamey Sapote).
중남미 일대에 나는 과일인 데, 파파야와
















ⓒ 본 광고 이미지는 코리안라이프가 제작하였습니다.
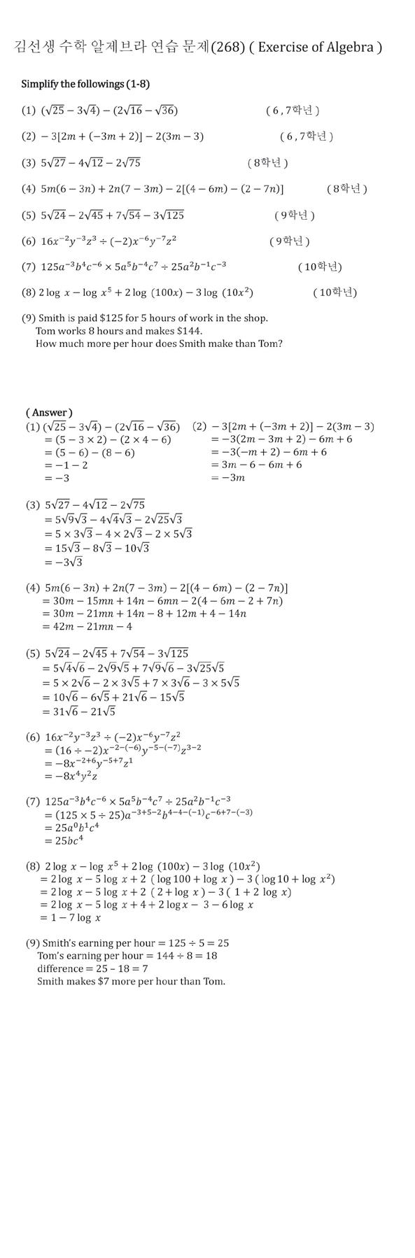
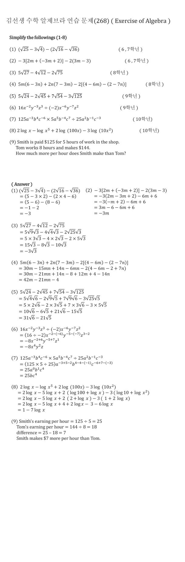
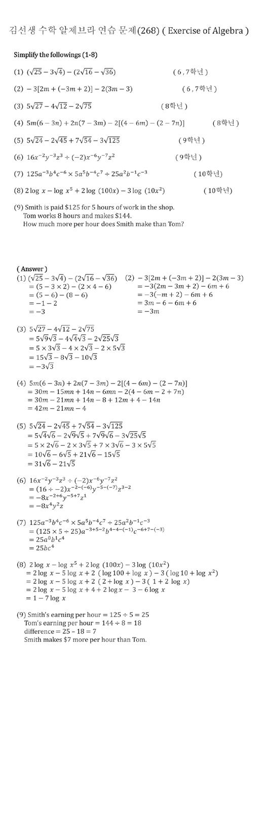
호주 수학 커리큘럼 중에 가장 중요한 것이 수와 연산 (Number and Algebra) 입니 다. 이것은 비단 호주 뿐만 아니라 전세계적으로 다 그렇습니다. 숫자를 빨리 빨리
생각하지 못하면 계산 속도가 느려지기 때문입니다. 그래서 간단한 숫자들의 기본
성질들이 머리 속에서 자기 이름처럼 자유자재로 떠 올라야 합니다. 알제브라는 계
산하는 그 자체입니다. 숫자 뿐만 아니라 미지수인 x, y 등을 더하고 빼고 곱하고 나
누는 것을 자유자재로 해야만 12학년까지의 모든 수학식들을 맘대로 가지고 놀 수 가 있는 것입니다. 그 결과 수학에서 고득점을 하게 되는 것입니다.
수와 연산을 구체적으로 살펴보면 아래와 같습니다.
- 정수integer는 1학년은 백, 2학년은 천, 3학년은 만, 4학년은 십만까지 다룹니다.
- 분수fraction는1학년은 1/2 (반), 2학년은 1/2,1/4(반의반),1/8(반의반의반),


- 3학년은 1/3,1/5, 4학년은 1/10, 1/100 를 배웁니다.
5학년이 되면 약수와 배수, 6학년은 소수(prime number, 2,3,5,7,11,13,… 1과 자 신 외에 약수가 없는 수)와 합성수(composite number, 4,6,8,9,10,12,…소수가 아 닌 수)를 배웁니다.
7학년때 수학의 시작인 미지수(x)가 나옵니다. 또한 지수, 음의 정수 계산 등을 배웁 니다. 8학년때 지수 법칙, 미지수의 본격적인 계산, 직교좌표(x-y 그래프), 간단한 인 수분해가 나오면서 본격적인 알제브라(연산)가 시작됩니다.
9학년이 되면 일차식 그래프, 두점사이거리, 중점, 기울기 계산, 전개하여 동류항 계산하기 10학년이 되면 복잡한 인수분해, 일차방정식, 원과 지수 그래프, 간단한

2차 방정식과 그래프 등등 어려운 알제브라들이 마구 나타나 급격히 수준이 높아 집니다.
9-10학년 수학은 연습장에 연필과 볼펜으로 모든 풀이 과정을 하나 하나씩 써 나 가야 하는 인내가 됩니다. 아무리 머리가 좋아도 손이 게으른 학생들은 성적이 떨
어지기 시작합니다. 책상에 껌처럼 들러 붙어 앉아서 지독한 마음으로 꾸준하게 문
제들을 풀고 다시 반복해서 또 푸는 힘들고도 지루한 시간을 거쳐야만 합니다. 세 상에 공짜는 없는 법입니다. 그렇게 열심히 공부하면 비로소 최고 점수인 A 학점을 얻을 수 있습니다.
8학년에서 10학년까지 수학 공부를 할 때마다 밀려오는 힘든 고비들을 피눈물나는 노력으로 넘어서야만 11-12학년의 여러 단원들(미적분, 벡터, 복소수, 코닉스, 확률 과 조합, 행렬,…)을 무난하게 잘 통과할 수 있습니다.
수학을 잘 하기 위해서는 저학년 때부터 매일 꾸준히 공부를 하는 것 밖에는 없습 니다. 수학 공부에 노력하지 않고도 좋은 점수를 얻을 수 있는 특별한 비법이란 것 은 절대로 존재하지 않습니다. 포기하지 않고 뚝심있게 꾸준히 밀어 부치는 것만이 최고의 공부 비법입니다.
학생 여러분, 항상 건강하고 행복하세요. 화이팅~!
















1. 같은 핏줄을 이어받은 민족
2. 악성 프로그램
5. 양다래의 열매. 날지 못하는 새
7. 조직의 내부에서 자기들끼리 일으킨 분쟁
9. 널리 알림
10. 남의 눈에 띄지 않게 가만히
11. 관아에서 심부름하던 남자 하인
12. 학교의 문
13. 유독 물질의 섭취로 생기는 급성 소화 기관 병
14. 필요한 비용을 자기가 부담하는 것
15. 특정한 일을 할 수 있게 허가함
17. 윗사람의 일을 도움
19. 현재 사회를 이끌어 가는 나이가 든 세대
20. 유대교의 율법학자
1. 한겨울 동안 계속해서
3. 이불을 덮는 큰 보자기
4. 눈 위에서 즐기는 스포츠
6. 겉으로만 착한 체하는 사람
8. 능, 관아 정면에 세우는 붉은 칠을 한 문
9. 물렁하게 잘 익은 감
11. 독가스로부터 얼굴을 보호하는 기구
12. 침략하기 위한 발판
13. 먹는 데 드는 돈
14. 자리를 빌려 쓰는 대가로 주는 돈
16. 기가 허하여 착각이 일어나 보이는 물체
18. 글씨를 씀


낱말퍼즐











낱말퀴즈 이번호 정답














이백민 목사
골드코스트 브니엘 교회
제가 어릴 때 주일학교에서
아담과 하와가 죄를 짓는 이
야기에 대하여 들으면서 아
담과 하와 때문에 후대의 사
람들에게 병과 죽음, 각종 재
난 등이 일어나게 되었다고
생각하여 아담과 하와를 원
망하였습니다. 그러나, 제가
같은 처지에 있었더라도 저
도 아마 그들과 같은 선택을
하였을 것입니다. 왜냐하면,
지금 저도 하나님께 온전한
순종을 하지 못하기 때문입 니다.
에덴동산에는 두가지 중요한
나무가 있었습니다. 바로 ‘선
악을 알게 하는 나무’와 ‘생명
나무’입니다.
(창 2:9) 여호와 하나님이 그
땅에서 보기에 아름답고 먹
기에 좋은 나무가 나게 하시
니 동산 가운데에는 생명 나
무와 선악을 알게 하는 나무
도 있더라
창조된 사람은 생명나무 보
다 하나님께서 금지하신 선
악을 알게 하는 나무에 더 관
심을 기울였습니다. 하나님
께서 금지하셨지만 볼수록
더 보고싶고, 가지고 싶고, 먹
어보고 싶었습니다. 결국, 사
탄의 유혹과 함께 선악을 알 게 하는 나무의 실과를 먹고 말았습니다.
사람이 죄를 지었더라도 생
명나무의 실과를 먹으면 영
생을 얻을 수 있었습니다. 그
렇게 되면, 선악을 알게 하는
나무의 실과를 먹으면 “반드
시 죽으리라”는 하나님의 말
씀이 이루어지지 않게 됩니
다. 사람은 생명 나무의 실과
를 먹지 못함으로 반드시 죽
을 수밖에 없는 존재가 된 것
입니다.
(창 3:22) 여호와 하나님이 이
르시되 보라 이 사람이 선악
을 아는 일에 우리 중 하나 같
이 되었으니 그가 그의 손을
들어 생명 나무 열매도 따먹 고 영생할까 하노라 하시고
아담과 하와가 하나님께 죄 를 짓고 에덴동산에서 쫓겨 나게 된 것은 하나님과 영적
으로 멀어지게 된 것을 의미 합니다.
(사 59:2) 오직 너희 죄악이 너희와 너희 하나님 사이를 갈라 놓았고 너희 죄가 그의 얼굴을 가리어서 너희에게서 듣지 않으시게 함이니라
아담과 하와가 지은 죄에 대 하여 사도 요한은 이렇게 설 명합니다.
(요일 2:16) 이는 세상에 있는 모든 것이 육신의 정욕과 안 목의 정욕과 이생의 자랑이 니 다 아버지께로부터 온 것 이 아니요 세상으로부터 온 것이라
이러한 마음은 “세상으로부 터 온 것이라”고 하였습니다. 하와가 옛 뱀 즉 마귀의 유혹
을 받아 죄를 범하게 되었습
니다. 하나님께서 금하신 선
악을 알게 하는 나무에 욕심
을 부리지 않고 먼저 생명나
무에 관심을 가졌더라면 영
생을 얻고 살수 있었을 것입 니다. 사람이 하나님께서 금 하신 것에 관심 또는 욕심을 가질 때 죄를 짓게 됩니다. 그 리고, 그 죄로 인하여 사망이 옵니다.
(약 1:15) 욕심이 잉태한즉 죄 를 낳고 죄가 장성한즉 사망 을 낳느니라
아담과 하와가 영생하기 위
해서는 두 가지 조건이 있었
습니다. 첫째는 선악을 알게 하는 나무의 실과를 먹지 말 라는 하나님의 말씀에 순종 하는 것이었습니다. 둘째는
생명 나무의 실과를 먹는 것
이었습니다. 아담과 하와가 죄를 짓고 죽음의 심판을 받 았지만 생명 나무의 실과를 먹으면 영생을 얻을 수 있었 습니다.
아담과 하와가 하나님의 명 령에 순종할 수 없었던 것처 럼 우리도 연약하여 하나님
의 명령에 온전히 순종할 수 없습니다. 아담과 하와가 율 법으로 영생을 얻을 수 없었 던 것처럼 우리도 율법으로 는 구원을 얻을 수 없습니다.
아무도 하나님께 온전히 순
종하는 삶을 살 수 없기 때문
입니다. 그러나, 하나님께서 는 인간의 연약함을 이해하 시고 생명 나무를 이 땅에 보 내 주셨습니다. (롬 8:3) 율법이 육신으로 말 미암아 연약하여 할 수 없는 그것을 하나님은 하시나니 곧 죄로 말미암아 자기 아들 을 죄 있는 육신의 모양으로
입국자 자가격리를 면제하는 나라들이 늘면
서 해외여행을 떠나는 사람들이 많아졌습니
다. 오랜만에 해외여행을 갈 생각에 들뜨는
기분도 잠시, 꼭 챙겨야 할 것들이 있는데요.
여행자 보험부터 응급 상황이 발생했을 때
대처법까지! 해외여행을 떠나기 전 반드시
숙지해야 할 것들에 대해 알아보았습니다.
코로나, 안심하긴 일러
코로나바이러스가 어느 정도 주춤한 상태이
지만 긴장의 끈을 놓아서는 안 됩니다. 어느
나라에 어떤 지역으로, 언제 여행을 떠나는
지에 따라 대비를 달리하는 것도 중요한데, 최근 유행하는 감염병인 코로나뿐 아니라
말라리아, 뎅기열, 지카바이러스 등에도 대
비를 해야 하며 나라별 감염병이나 접종에
대한 정보는 미국 질병통제센터 홈페이지에 서 확인 가능합니다.
임산부와 소아는 특히 주의
임산부가 안전하게 여행하기에 적합한 시기
는 임신 13주 이후입니다. 무엇보다 물갈이
로 인한 설사 증상에 주의하도록 하며 음식
물 섭취에도 주의를 기울여야 합니다. 소아
와 노령층의 경우 예방접종을 다 했는지 확
인하고 노령층은 필수 접종 이외에도 인플루
엔자, 폐렴구균 백신 등을 추가로 접종하는 것이 좋습니다.
여행자 보험은 필수!
여행자 보험은 보장 항목을 꼼꼼히 살펴보
고 가입해야 합니다. 휴대폰 보상 항목도 중
요하지만 질병, 사고 보장 항목과 환자 후송
항목이 있는지 반드시 확인해보아야 하며
동남아 지역으로 갈 경우엔 2~3천만 원, 미
주와 유럽 지역 등은 4~5천만 원 이상 보장
되는 보험 상품이 안전합니다.
비행 중 귀 통증 예방하려면?
이착륙 동안 귀가 먹먹해지기도 하는데 이
때 귀에 위치한 유스타키오관이 오작동하
면 ‘항공성 중이염’이 발생할 수 있습니다. 이
를 예방하는 방법 중 하나가 바로 물을 섭취
하거나 껌을 씹는 등의 행동이며 이런 동작
들은 유스타키오관이 열릴 수 있도록 도움 을 줍니다. 또 귀마개 착용도 도움이 됩니다.
항공사들의 이색 서비스 이용하기
국내 항공사들은 폭증하는 해외여행 수요를 흡수하기 위해 신규 서비스를 대거 쏟아내 고 있습니다. 대한항공은 여객기 13대를 추 가로 도입하고 기내 와이파이 서비스에도 속
도를 낼 예정이며 아시아나항공은 중국 노선
재운항에 힘을 쏟고 있습니다. 저가 항공사 들은 단거리 노선 고객을 타깃으로 하는 이 색 마케팅을 주력으로 멤버십 제도 등을 추 진하고 있습니다.
환전 똑똑하게 하는 법 해외여행할 때 많은 사람들이 신경 쓰는 것
이 바로 환율일 것입니다. 누구나 낮은 환율 로 환전을 하고 싶어 하지만 현실은 쉽지 않
은데요, 주거래 은행을 이용한다든가 특정
신용카드를 보유하고 있다면 환율을 우대
받을 수 있으니 환전하기 전 나에게 유리
한 곳이 어딘지 확인해볼 필요가 있습니다.
더 나아가 요즘은 해외여행객들을 위한 전
용 카드도 출시되어 관심을 받고 있는데, 이
카드는 외화를 미리 충전한 후 해외에서 사
용할 수 있는 카드로, 환율이 유리한 시점에
미리 환전을 해두고 해외로 나가서 사용할 수 있어 해외여행의 필수템으로 꼽히고 있 습니다.
수하물을 분실했다면?
수하물을 파손, 분실했다면 공항에 있는 항 공사 데스크에 즉시 접수해야 합니다. 어떤 항공사든 콜센터 직원과 통화하기가 쉽지 않고 인터넷 접수도 어렵기 때문에 탑승 수 속할 때 보딩패스와 함께 주는 수화물 표는

버리지 않도록 합니다. 핸드폰 카메라로 사 진을 찍어두는 것도 좋습니다. 만약 항공사 의 과실로 수하물을 분실했다면 보상받을 수 있으며 보상 방법은 항공사마다 다르므 로 분실 즉시









한국통합민원센터 ㈜, 전 세계 범죄경력증명서, 해외 어디서든 원스톱으로 받아볼 수 있어 ‘배달의민원’ 통해 전 세계 어디서든 비대면으로 신속하게 발급 가능

글로벌 O2O 민원행정 플랫폼 기업인 ㈜한
국통합민원센터 ‘배달의 민원’ 에서 전 세계
150여개국 범죄경력증명서를 해외 어디서
든 원스톱으로 발급 대행 하는 서비스를 진
행하고 있다.
신원 조회서는 해외 각 범죄경력증명서(미
국일 경우 FBI Chcek)는, 국가마다 발급 방
법이 다양하며, 해외에 6개월 이상 체류한
경우 반드시 필요한 서류이다. 특히 해외 취
업, 유학, 영주권 신청, 외국 비자 발급 신청
시에 요구되는 서류 중 하나로, 국내외 현지
에서만 발급이 가능하다.
더불어 발급받은 범죄경력증명서를 기타 해 외 국가에 제출하는 경우에는, 해당 서류의 번역 및 공증, 아포스티유, 대사관 인증 등 추
가적인 절차를 걸쳐야만 비로소 공문서로서 의 효력이 생긴다. 발급 절차에 따라 최대 3
개월 이상 소요되는 등 해외에 머물고 있는
교민들이 직접 발급받아 제출 하는데에 현
실적으로 어려움이 많다.
한국통합민원센터 해외사업팀 김미연 과장
은 “해외에 거주하고 있는 교민들 입장에서, 이전 체류 국가의 범죄경력증명서를 발급
받기 위해서는 많은 시간과 비용이 든다” 라
고 말하며 급하게 발급 받아 처리해야 하는
경우라면, 본인이 직접 가지 않아도 해결 가
능한 전문기관을 통해 처리하는 것이 효과 적이다” 라고 전했다.
한편, 작년에 미국 지사를 설립한 한국통합 민원센터(www.allminwon.com)는 현재
중국, 베트남, 캐나다 등 해외 지사 설립을 확대 추진하는 등 전 세계로 서비스를 확장 해 나아가고 있으며, 2024년 코스닥 상장을 추진중에 있다.
B형 간염/C형 간염 문의
B형/C형 간염보유자 무료 간탄력도 검사 (FibroScan) - 비자에 상관없이 무료
담당자: 송준석
연락처: 0428 484 595 | korean@eccq.com.au
민화는 우리 고유의 정서와 감성을 그림으로 표현한 실용적인 회화입니다.
민화 수업은 채색화의 정통기법을 심도있게 전달하는
실습 위주의 강의로 수강생들의 표현력과 이해도를 높여줌과 동시에 초급, 중급,심화과정을 남,녀,노소 누구나
재미있고 즐겁게 수준별 맞춤 강의로 진행합니다.
(우울증이나 침해예방에 도움이 되는 우리 전통회화입니다.)
수업 : 매주 금, 토 오전 10시~오후 1시. 원데이 클래스 수업
(재료 준비가 안되신 분은 무료로 공급해 드립니다) 수강문의 : 0447 333 844
사)한국민화협회, 한국전통민화협회, 한국민화센터 호주지부
● Tel. 3879 1382 ● Mob. 0418 883 377
● Fax.3879 1382 ● E-mail. hhpak1043@naver.com
● ABN 92362726522 ● 29 Simpson Way Forest Lake Qld 4078
친애하는 경로회 여러분!!
그간도 별고 없이 잘 지내셨는지요?
고국에는 지금 여름이 봄을 쫓아 내려고 벚꽃 매화, 진달래꽃이 만개하고 있고, 우리 가 사는 이곳 호주에는 가을이 여름을 쫓아내려고 조석(朝夕)으로 매우 쌀쌀 합니다. 자 연의 섭리와 같이 우리 인간도 연령이 60세가 지나면 사랑이 엷어지고 정이 두터워진다 고 합니다. 추워지면 몸이 떨리는 이유는 열이나게 하기 위함이듯이, 아무쪼록 몸을 많이 움직이 도록 노력하되, 무리가 안되는 범위내에서 운동하고, 생각을 비우고 행복과 행운을 많 이 찾으십시다.
2023년 4월 월차모임은 아래와 같습니다.
- 일시: 4월 20일 (셋째 목요일) 오전 10시 30분
- 장소: Old Inala Hall (UBD M-218 F-5참조)
Corner of Rosemary St and Abellia St Inala (KEV Hooper Memorial Park인접) (100번 버스 이용), KFC에서 City가는 버스 방향으로 도보로 5분거리)
The Korean Senior Association of Qld Australia I N C 퀸스랜드주 한인 경로회 회장 박희문

전과정 온라인 가능 / 정부생활비 보조 어스터디 가능 호주 기독교대학은 기존 상담학부인 Diploma of Counselling 과 Graduate Diploma of Relationship Counselling 과정이 있었는데, 상담학부에 좀더 전문성이 있는 코스들이 더 추가가 되어졌습니다. 더 나아가 직접적인 직업적 활동과 연관이 있는 다양한 과정들을 준비 중에 있습니다. 저렴한 학비는 물론 어스타디 (정부 생활비 보조)가 대부분의 학과에서 가능합니다. 상담관련 교육을 위한 Certificate IV in Mental Health (정신건강) , Certificate IV in Chaplaincy and Pastoral Care (교목과 목회 학과) 과정이 있습니다. 호주기독교대학은 로컬 과정 뿐아니라 유학생과정이 있습니다. 유학생과정은 캔버라, 시드니, 브리즈번, 멜번에서 가능합니다. 일주일에 1일 혹은 2일 수업이고, 영어시험이 필요없고, 비자의 기간을 장, 단기 다양하게 선택할 수 있는 장점이 있으며 한국 학생들에게는 장학금을 주어 저렴한 학비로 공부가 가능합니다. 호주상담협회에 인증된 과정이고 한국기독교 가족상담협회 1급으로 지원이 가능한 코스입니다.
연락처: 02 6255 4597 / 0402 140 905 / 0430 045 078 www.accu.edu.au / info@accu.edu.au
국제적 사명 공동체로(세계 96개국) 매주 1회 조찬기도회로 모여, 기도하는 형태가 다른 교회입니다. 한국에는 281개 지회와 해외에는 130개 한인지회가 있으며, 호주에는 브리즈번, 시드니, 멜버른, 퍼스에 지회가 있습니다.
예배인도 : 지태영 목사 (UCA 은퇴목사 / 창신대 석좌교수)
모임 : 매주 목요일 아침 7시 ~ 8시 | 장소 : 베스트 웨스턴 호텔 다이아나 연락처 : 김문기 회장 0411 211 227

















긴급/주요기관 안내전화
긴급전화(경찰, 앰블런스, 화재) 000
Police Liaison Unit(한국어) 3364 3217
경찰업무 관련 한국어로 통화를 원할 때 Police Link 131 444
가정폭력 1800 811 811
여성상담센터 0425 252 372
성폭행 상담 3636 2414
수도 1300 366 692
독극물, 생명전화(24시간) 13 11 14
위기구호, 아동학대 1800 177 135
음주, 마약 3236 2414
간판/인쇄/디자인
i-hub 0435 831 116
NB Signs - 간판, 인쇄, 디자인 0421 790 885
Sunny Creative 0412 840 533
건강식품/기념품
뉴질랜드 초록홍합,녹혈,녹용 캡슐 판매 0403 736 998
드림로드 양모, 한국이불 3209 5445
New Core 건강식품 3012 7886
SINI 건강 (써니뱅크점) 3344 7881
건축/인테리어/집수리
브리즈번 시티카운슬 3403 8888
골드코스트 시티카운슬 5582 8211
골드코스트 관광청 5592 2699
서프사이드 버스 시간표 13 12 30
센터링크 13 61 50 / 13 12 02(한국어)
이민성 13 18 81
일기예보 1900 914 450
임신상담, 정보 1300 139 313
의료기관 정보 3236 4833
전화번호 안내 12 455, 1233
전기, 가스 문의 13 12 53 / 13 62 62 (사고)
텔스트라 문의 125 111 / 1800 773 421(한국어)
통역서비스 13 14 50
대한무역진흥공사 02 9299 1790
나이스 블라인드 3133 8330, 0421 594 083
대니 핸디맨 0402 299 915
백향건설 0434 763 843 / 0421 025 230
스타 블라인드 0430 715 906
한국
호주지회 0452 188 070 교민단체
한인회 0418 763 186
한인회 총연합회 0427 566 474
참전자 전우회 퀸즐랜드지회 0411 378 391
재향군인회 퀸즐랜드 분회 0412 629 358
퀸즐랜드 주 한인회 3390 0024/ 0424 724 624
퀸즐랜드 한국 참전 유공자회 0414 295 709
퀸즐랜드 한인 골프회 0430 202 239
퀸즐랜드 한인경로회 0418 883 377/3345 1400
퀸즐랜드 ROTC 동문회 0415 695 635
퀸즐랜드 한인 비즈니스 협회 0408 889 792
퀸즐랜드 한인 오케스트라 0411 820 800
퀸즐랜드주 해병 전우회 0427 334 521
Beauty Home Blind 0408 011 021
Blue River Design & Construction 0478 709 032
핸디 홈 메인터넌스 0416 911 444 City Garage Doors
당일수리, 제작 0492 889 349
Dr 핸디맨 0478 833 415
G1 Painting 0450 959 010
Happy Blinds 0481 711 500
Hi Design & Construction 0430 900 630
J Plus Building Inspections 0422 773 031
KIM’S HOUSING 0411 097 908




NEXUS PLUMBING 0459 999 754
OkayPainting 0430 889 559
OneStop Bath & Tiles 07 3034 1075 Shop4, 655 Toohey Rd, Salisbury
SUNSHINE 블라인드 0481 148 692
Total Cabinet 3299 1978

만나떡집 0452 088 959, 0424 818 959 오복떡집 3711 2155















TOV Construction 0452 578 001









WINDOW ART 3114 2145, 0490 537
Eight Mile Planes 유치원 3841 3350
Elite Tuition 0400 328 187(영 어) 0400 163 227(한국어)
LE SPA MASSAGE ACADEMY 3368 3362












정부 공인 주례사 0408 688 010 i-Care 0433 494 281
SP 에듀케이션(하이스쿨, ATAR 대비) 3195 8532, 0411 168 007
Winny Family Care 0420 720 894
디멘션스 헤어 0414




원성욱 프로
에벤에셀 인테리어 0421 438 424
김선생 수학 0430 127 992
탑원 바이올린 0424 783 353


윈도우 아트 블라인드 0490 537 244
욕실 세면대 샤워기
부엌 누수배관 수리및설치 외 용접 핸디맨 0428 123 800
욕실 누수 전문(욕실 리모델링, 타일, 방수) 0452 471 080 콘솔 블라인드 0408 288 789
ARCHIONE
피아노 전공자쌤 0478 548 500 피아노/망고힐/시드니콘석사
0433 309 331
호주 라인 댄스 0401 812 610
CS Education 0402 855 802
EduPlanet College & QCM 3343 6343

Sunny Flower 3345 2323 / 0407 333 302
광고문의 0422 258 092, 0432 008 985 admin@qldkoreanlife.com.au
무담보

가영 NAATI 3급 번역공증 0410 672 485
나티공인 한영/영한 번역사 0431 232 673
데레사 통역 0402 307 090
손지은 NAATI 3급 0412 088 428
호주 닷컴 온라인 번역공증 info@hojoo.com
JINO NAATI 통역서비스 0430 812 205
040 433 5914
Park & Co ㆍ 대표번호(유선) 3345 6665 ㆍ 대표번호(모바일) 0490 130 012
박창민 변호사 0452 435 447
김희용 변호사 0431 628 082
허성은 변호사 0425 030 220
H & H Lawyers 02-9233-1411
ㆍ홍경일 대표변호사
ㆍ강현우 형사전문변호사 0487-192-566
ㆍ김진한 변호사(이민)
ㆍ김현태 변호사·상표변리사
리틀즈 법무법인
ㆍ NSW 1800 000 119
ㆍ QLD 1800 082 082
ㆍ 김경태 변호사 0452 480 920
ㆍ 이종일 변호사 0434 980 635
성도 법무법인
ㆍ대표번호 3392 3981
ㆍ김문기 변호사 0411 211 227
ㆍ김태규 변호사 0403 689 714


KLS Legal Practitioners
ㆍ사무실 (07) 3113 3790
ㆍ나윤제

사진
HIKARU
0412 232 889
미래종합금융 1300 882 595
ANZ Jin Lee 0434 689 100
C-Herald Insurance 1800 998 557
C-Herald Finance 1800 998 557
Focus Loan(오지훈) 0420 847 110
Hana Finance (알렉스) 0410 622 838
복지센터
AACA (All About Care Australia) 07 3133 0209 (Gemma) 0430 218 030 (Tasha) 0402 595 741
ONE DREAM COMMUNITY ㆍ장애인

0404 871 986
김영규 변호사 07 3210 6489, 0411 624 779
박근영 변호사 0433 372 566
주광훈 변호사 0405 694 497
정회림 변호사 07 3195 4807
진승희 변호사 0403 503 530
LinkOz 이정민 변호사 0401 576 978
보험/홈론/파이낸스



Alicia’s Photography 0478 825 233
상담/심리치료
ACC 상담센터 02 6255 4597
JR 부부상담연구소 0434 487 433
숙박시설
스프링우드 타워 호텔 3387 7077
호텔 다이아나(한국어) 3896 1691
송금/환전
한국송금(구. 코원송금) 0474 373 007
스포츠/체육관
원 태권도 0430 295 881
Sunnybank 테니스클럽 0430 014 221
Sunnybank 당구장 0430 014 221




AKLINKS 손한나 대표 0428 87 5050

Bluedog 부동산 0419 536 071
Bluedog 김수정 0408 622 934
HD Property 황기철 0413 515 788
Harcourts Calamvale (홍성우) 0415 413 769
Ideal Realty Advisors (시드니) 02 8007 4989, 0414 088 089
LJ Hooker 최경식(Kyle Choi) 0429 598 838
Link Plus Realestate 이지영 0450 908 864
Raas Group 0420 486 651
Remax 부동산 써니뱅크
조권현 0452 65 88 78
YONG 부동산(오세진) 040 228 3003
식당/카페
3 Sisters 3195 4481
누나네 해장국 3107 4158
마녹파크 0433 276 449
마루 3221 7778, 3012 9912
모모치킨(city) 3012 8238
모모치킨(runcorn) 3841 8068
미담 3344 5001
불고기 Bros 3350 2233
샤부하우스 (일식 부페) 3211 5407
소문 삼계탕 3158 3709
차미 푸드 앤 보틀샵 3210 6349
코릴라 바베큐 3211 1212
콩닥 치킨 0491 652 806
한우리 BBQ 부페 3211 5710
BEN 월남 중국 식당 3391 3233
Charim 차림 (North Lakes) 3093 3571
Choi Korean Cuisine 3191 3214
Cream House 3191 9098
Doujo 일식 0499 632 196
Funny Funny 3012 8108
여행/공항픽업
가나안 공항 픽업 0478 833 415
도움 투어 3012 8383
우리여행사 0412 393 713
케니 여행사 3344 3220 / 0402 729 595
현대 투어 0432 140 083
HT 여행사 3003 1771
운송/택배/이사





시온 에어컨 냉동 0434 486 877
에어컨 청소 FreshZone 0431 135 071
Airmazing 0451 104 439, 0402 005 079



Hybrid Physio 3190 9747
JINDALEE Complete Dental 3376 5475
My Clinic (Dr 제임스 강) 3272 2202
The Dental Club 1300 165 768
Stafford | Caboolture | Bellmere | Griffin
의류/침구/옷수선
드림로드 3209 5445, 0433 267 953
차밍 옷수선 0403 617 076
OUR HANBOK 0423 378 055
자동차운전학원

















전기공사




















Fresh Cool 0401 627 853
LEES 에어컨 설치 0434 378 245
SONG 에어컨 설치 0414 781 645
메이 운전학원 0419 708 177
부부 운전학원 0414 273 087
자동차정비

















SWIND 0451 994 144
OK 냉동 서비스 센타 0423 457 898
유통
SONG


웨스티마켓 0450 103 788




가나안 용달 서비스 0478 833 415
(각종 소형 ‘짐’ 운반)
대한통운 국제택배 0431 571 657
와이즈 국제물류 1800 577 369
한진택배 0431 231 468
현대택배 0430 014 221
HT Logistics 3823 1802
PNL 택배(한국-->호주) 0449 24 8282
Milton Exchange (노브랜드 유통) 0438 545 007
Cordelia International (온리프라이스
제품외 유통) 0450 103 788
유학원
도움 유학 3012 8383
GLOBAL MATE 3221 8318 0451 281 841
HT 유학원 3003 1771
이민 컨설팅











가영 비자 이민 컨설팅 0410 672 485
백승용 이민법무사 3323 3186
변기훈 이민법무사 0425 669 799
이정민 법무사 Select Australia 0430 592 230
채정우 이민법무사 0423 687 378
호주닷컴 02 9746 1452
라파 한의원 0452 563 365
모유사랑 모유수유클리닉 (상담, 유방관리) 04 5675 5675
보화당 한의원 3219 1002
언어치료사(Speech Pathologist) 0473 562 154
엔한스 덴탈 스튜디오 (런콘) 07 3423 0783
족부 의학 클리닉 (써니뱅크) 07 3344 6866 (해밀턴) 07 3741 2825
질미어 치과병원 3265 6010
Carindale 자매치과 (김현아/김은아) 3324 9172
Dr.허 시티 한국인병원 3210 2111
Dr.허병원 Skin Clinic 0407 112 342
Exceptional Dental 3118 5306
조이모터스(정비) 3277 2477
Autocrew Motors 3191 7044 0416 422 099, 0433 649 931
Pro Tinting 0432 390 910
SK 자동차 공업소 3423 8085
Speed mate 자동차 정비 0416 191 319
Top One Motors 0430 123 711























3345 5113
토마스 정육점 (런콘점) 3423 1337
청소/방역
원스톱 방역 & 카펫 청소 0401 600 887
원펀치 터마이트&페스트컨트롤 0402 157 905
써니뱅크 터마이트 0412 178 944
짐스 터마이트 & 페스트 컨트롤 0416 515 874
클린킹(청소용품판매) 3208 1333
0430 810 929
0423 333 932 ㆍ
ㆍ
선한목자교회 0431 686 296
0400 878 882
은혜교회 3376 2143 / 0433 677 241
임마누엘교회 3344 7521 ㆍ 브리즈번 좋은감리교회 3343 1817 / 0413 608 392
ㆍ 브리즈번 주안교회 0432 680 975
ㆍ 브리즈번 평화교회 0425 252 372 ㆍ 브리즈번 한인장로교회 3341 9232
3202 9553 / 0413 515
JCM 터마이트&페스트 닥터팀 0430 318 776
AplusHomeCare(터마이트,페스트 컨트롤) 0448 226 179
Kleen Hub(청소용품 판매) 3191 3248
푸드패키징
Kleen Hub 3191 3248
Q Pack 3219 5654
플러밍/가스
HIGH TECH PLUMBING & GAS 0431 409 844
JINSU PLUMBING&GAS 0401 359 573
NEXUS PLUMBING 0459 999 754
PK PLUMBING 0433 772 172
0425 118 471
컴퓨터/POS/웹사이트

3219 1002
꿈이 있는 교회 0421 480 870
동행하는 장로교회 3422 0828 / 0400 878 882
브리즈번 순복음교회 3341 9090 / 0433 9933 52
스프링필드 침례교회 킹제임스성경 0469 859 983
호주 가정 상담 대학 0416 069 812
호주 기독교 대학 02 6255 4597
한마음 교회 0410 409 007
Faith Church 써니뱅크
ㆍ 요한계시록 성경예언
ㆍ ilona 목사 0400 374 666
주방용품(상업용)
썬샤인 비즈 솔루션(스시머신, 주방용품) 0413 396 799
All 4 Kitchen 주방용품 수리 0433 974 907
중고 가전
Smart Electrical Clearance Outlet
ㆍ Hyperdome 3133 1805
ㆍ Capalaba 3823 4165
ㆍ Mt Ommaney 3376 7445
ㆍ Browns Plains 3800 1013
미디어 나라 0412 443 066
GGL 토탈 IT 솔루션 0422 395 706
iComputer (TPG 공식딜러, 컴퓨터 수리) 0435 831 116
M4U 웹디자인 0434 417 933
N2 CREATIVE (웹사이트 제작) 02 8091 7333
VTEQ 컴퓨터 3323 3232
(TPG 공식딜러, 웹사이트, IT솔루션) 핸드폰 수리
Jaetech 핸드폰 수리점 0404 932 988




권신정 회계사(MAZARS) 3218 3924



김상현 회계사(PKF) 0433 379 280
김재미 회계사 1300 00 11 08
바른회계법인 한상호 회계사 0450 468 318 백화실 회계사 0421 007 756
신우 회계 법인
이윤 회계사 3299 1031 이정은 공인회계사 3210 0222 조현옥 회계사/세무사
회계법인 3221 7564
Tax 0413 002 316
3210 0747
NB Signs - 간판, 인쇄, 디자인 0421 790 885 건강식품/기념품






뉴질랜드 초록홍합,녹혈,녹용 캡슐 판매 0403 736 998
로얄건강 타운 0401 158 508
장수마을 0422 59 59 79
카사아울렛 5531 3155









Friend 0422 869 630 간판/인쇄/디자인 써니 크리에이티브 0412 840 533



집수리 04 02 02 8720






레삐헤어 5679 3943
신 헤어 스튜디오 0407 090 270
웨딩메이크업헤어(withBRIDAL) 0481 982 486
킴스헤어(사우스포트) 5527 1990
케이살롱뷰티(사우스포트) 0421 187 046
FOREL Beauty & Spa 0413 753 087
Kausie Hair Salon (코지 헤어) 5531 2963
Meraki Hair 5592 0984
Hair COCO.GC 0413 662 699 / 5511 1892
The Hair 5528 6310
The 9 Brows & Beauty 반영구 화장 0448 019 555
Retreat 마사지 0404 806 887, 5527 1147 번역/통역
변호사 0410 601 521
김영규 변호사 0411 624 779
김흥수 변호사 5592 1921 정회림 변호사 07 3195 4807
C-Herald Insurance 1800 998 557
C-Herald Finance 1800 998 557
You and Me Finance 0468 429 180
보험전문 김옥이 0401 411 000 부동산



ALICIA’S PHOTOGRAPHY 0478 825 233
WOW CAFE & STUDIO 0401 282 303
AnK 골프 아카데미 0434 142 638
D.I Sports Academy 0425 864 112
Zero 0435 595 577

식품점/편의점
스마일마트 5527 1312
오페마트 5531 0922
유니마트 5608 9860
하나로마트 Helenvale 0493 090 679
Southport Robina
해피마트 0401 337 458
현우식품 5526 3838
Coomera Asian Mart 0424 491 646






고기하우스 5591 7465 감성포차 Yacha 5660 9648
김치하우스 5538 8496
다노시스시 5528 3005
두리분식 0413 965 268
대박집 5531 0374
불고기ya 5591 7270
서라벌 고기부페 5538 8465
소공동 순두부 0423 455 599
이조 숯불 BBQ 5531 2423


코리안 키친 5538 8855
파라다이스 숯불구이 5592 3824
해피롤 5528 0588
Hochan 호찬 0424 215 797
AZIT(아지트) 5661 8537
BBQ 빌리지 5532 2700

골드코스트부동산 (전주한) 0405 404 696
REMAX Property Centre (서경배) 0431 142 818


AK LINKS 부동산 손한나 대표 0428 87 5050
Bluedog 부동산 0419 536 071
Bluedog 김수정 0408 622 934
MASTER QLD PROPERTY 서문희
BBQ 코리아나 5504 5627
Cafe 928 5679 6616
CHIKOR 5531 1254
Cook & Beer 0402 99 66 94
Gal. B 5591 5141
Izakaya ichi 5564 0190
MAMAS KITCHEN 5571 1896
Oppane 오빠네 5532 2413
Rice House 5591 2239
RICE VS NOODLE 5538 8803
The Dak 0468 857 692
WOW CAFE & STUDIO 0401 282 303
K-Town Supermarket 5528 6781
Lotte 편의점 5591 2356
식품제조
명가(김치, 밑반찬) 5531 0906
BB 두부 0406 541 572
안경점
브리즈번안경원 골드코스트점 5531 0420
여행/공항픽업


시티익스프레스 공항픽업 0413 059 206
우리여행사 0412 393 713
운송/택배/이사




KPOST 우체국 택배 0422 59 59 79
대한통운 국제택배 0431 571 657
한진택배 0431 231 468
현대택배 3075 6872 / 0430 014 221
HT Logistics 3823 1802
PNL 택배(한국-->호주) 0449 24 8282
유학원
마린 유학 5591 7070
의류/침구/옷수선
벨라 옷수선 5511 2077
Sweet Closet 0402 148 750
메이 운전학원 0419 708 177
부부 운전학원 0414 273 087
자동차정비





DP Motors 5537 8235, 0433 835 293
GCCEM 이승엽 0421 707 771
H&K Motors 5532 9088, 0433 004 310
JD Motors 5591 6772, 5591 6227
차량복원 전문업체 NICK’s Panel & Paint 5531 3459, 0430 123 950
자동차판매
메르세데스 벤츠 골드코스트, 레이튼(한국어) 0478 220 828 카톡 MBGCLY
전기/전자/통신
리스(LEES) 전기공사 0434 378 245
하나로 전기공사 0416 868 818
SONG 전기공사 0414 781 645
청소/방역
가나 Termite,Pest Control 04 02 02 8720
얼스 와이즈 방역 0436 321 537





원스톱 방역 & 카펫 청소 0401 600 887
원펀치 터마이트&페스트컨트롤 0402 157 905







짐스 터마이트 & 페스트 컨트롤 0416 515 874
클린킹(청소용품 판매) 5532 2342






JCM 터마이트&페스트 닥터팀 0430 318 776




PAULS Clean King 0425 233 118
RAPID CLEAN 청소용품 5572 2284




정수기/비데 0401 558 353 The Bidet Shop 1800 243 387
(엘지 정수기) 07 3924 1870 / 0421 807 981
정육점
컴퓨터/POS/웹사이트
미디어 나라 0412 443 066
iComputer (TPG 공식딜러, 컴퓨터 수리) 0435 831 116
VTEQ 컴퓨터 3323 3232 (TPG 공식딜러, 웹사이트, IT솔루션)
Q Pack 3219 5654
권신정 회계사(MAZARS) 3218 3924
김상현 회계사(PKF) 0433 379 280
김재미 회계사 0478 221 525



고기 박사 5531 3742
서울 정육점 5531 5227, 0405 934 952
종교단체
기독교
ㆍ 골드코스트 가까운교회 0433 447 483
ㆍ 골드코스트 선교교회 0431 232 304
ㆍ 골드코스트 순복음교회 0402 089 896
ㆍ 골드코스트 온누리교회 0412 341 868
(Southport State High School 내)
ㆍ 골드코스트 열방교회 0412 362 029
(장로교회)
ㆍ 골드코스트 장로교회 0409 995 456
ㆍ 골드코스트 재림교회 0430 041 022
ㆍ 골드코스트 지구촌교회 0433 609 191
ㆍ 골드코스트 사랑의교회 0451 472 202
ㆍ 골드코스트 브니엘교회 0412 194 829
ㆍ Logan 예수제일교회 0426 501 966
ㆍ 비전 장로교회 0423 932 742
ㆍ 사우스포트 한인교회 0433 308 436
ㆍ 우리들 침례교회 0421 579 026
ㆍ 푸른파도 교회 0411 725 639
천주교
ㆍ 골드코스트 한인성당 0402 044 331
골드코스트 기쁜우리교회 0478 782 186
골드코스트 주님뜻교회 0450 501 201

바른회계법인 한상호 회계사 0450 468 318
백화실 회계사 0421 007 756
안재웅 공인회계사 0420 518 253
이윤 회계사 3299 1031
그래픽 디자인
위니아트 0401 596 877
식당
Black Curry 5200 0875
Brown Rice(Peregian Springs) 5448 2197
Hanami (Coolum Beach) 5471 7091
HIKARU
ㆍ Birtinya 0432 389 288
ㆍ Baringa 0432 389 288
ㆍ Kawana 0452 028 804
ㆍ Northshore 5406 9017
ㆍ Buderim 5476 6266
MakiMoto(Noosa) 5447 3254
Master Sushi 5526 7557
The Sushi 79 (Currimundi) 5437 8208
Tampopo 5476 7039
Haru Korean Kitchen 5447 2249
식품점
선샤인 마트 0488 515 288
의료/병원
Doctors@Maleny (닥터.노) 07 5413 8066
정수기/비데
872
























































































































































































































































































































































































호주 건설회사들이 지난해
보다 거의 두 배 빠른 속도
로 파산하고 있는 것으로 나
타났다. 호주증권투자위원회 (ASIC) 자료에 따르면, 202122년 회계연도 3월까지 836
개의 건설사가 파산했는데,
동기간 올해 3월까지는 1,447
개의 건설사가 문을 닫았다.
이는 당국이 2013-14년에 업계 수준의 자료를 발표하
기 시작한 이후 가장 높은 수 치다.
업계에서는 파산의 급증이
치솟은 건설 비용과 팬데믹
기간에 고정 가격 계약이 적
자로 전환된 것이 반영됐다
고 보고 있다. 건설 투입 비
용은 팬데믹 이전 수준에 비
해 거의 30% 올랐다. 통계 국(ABS)의 생산자물가지수
를 보면, 비용 인플레이션 증 가율은 지난 6월까지 17%로

정점을 찍었고, 현재는 14% 로 완화됐다. 다만, 주택산업 협회(Housing Industry Association: HIA)의 팀 리어든 (Tim Reardon) 수석 경제분
석가는 업계의 상황이 완화되
고 있다고 평가했다. 그는 “건 설업자들은 경기 침체기가 아
니라 경기 상승기에 파산하 는 경향이 있다”며 “(파산 수
치는) 지난 해 일어난 일의 반 향이며 우리는 그 주기의 마
지막에 있다”고 말했다. ASIC 수치에 앞서, 전국주택금융 투자공사(National Housing
Finance and Investment Corporation: NHFIC)는 “급 증하는 이민 유입과 건설 부 문의 침체의 영향으로 새 가 구형성(household formation)이 몇 년 동안 새로운 공 급을 앞지를 것”이라고
















4월 2일까지 4주 동안 호주 국 내의 임대주택 총리스링 수량이 95,000채 아래로 내려간 것으 로 나타났다. 이는 지난해 같은 시기와 비교하면 -17.3%, 지난 5년 평균치와 비교하면 -36.3% 줄어든 수치인 것으로 나타났 다. 코어로직의 Kaytlin Ezzy연 구원은 코로나 이후 급격히 증 가하고 있는 해외 이민자들과
부족한 임대주택 리스팅으로 인
해 국내 임대주택 공실율이 역
대 최저 기록을 다시 한번 경신 했다고 말하였다. 지난 3월 호주 주도들의 임대주택 공실율은 평 균 0.9%로 새로운 최저 기록을 세웠으며, 지방도시들의 공실율
은 1.4%로 조금 상승한 것으로 나타났다.
임대주택이 부족한 상황에서 해
외 이민자들의 수요가 증가해 2023년 1분기 렌트비가 상승한 것으로 나타났다. 특히 큰 주도 들의 아파트 임대수요가 크게 증가한 것으로 나타났다. 저밀 도 주택에 비해 상대적으로 렌 트비가 저렴한 중,고밀도 임대 주택에 대한 수요가 크게 늘어 나, 지난 1분기 국내 아파트의
렌트비는 3.9%가 상승해 단독 주택 렌트비 상승율 2.0%를 크 게 앞지른 것으로 나타났다. 주 도들 전체적으로 아파트 렌트비 가 단독주택보다 더 상승한 것 으로 나타나 렌트비 상승율이 중,고밀도 주거시설로 편향되 게 나타났다고 Ms Ezzy 연구원 은 말하였다.
23.0%를 기록하고 있는 것으로 나타났다. 2023년 1분기 렌트비가 많이 상 승한 주도는 멜버른 (+3.7%), 퍼 스 (+3.6%),
4분기 렌트비 상승율 2.2%를 기록한 브리즈번은
2022년 6월 이후 국내 주도들 의 렌트비 상승율이 지방도시 를 계속해서 앞서고 있는 것으 로 나타났다. 2023년 1분기 주 도들의 렌트비 상승율은 3.0% 로 지방도시 상승율(1.2%)의 두 배가 넘는 것으로 나타났다. 돌아오고 있는 해외 이민자들












팬데믹 이후 임대비 앙등 → 6시간 급여 손실 해당

호주 전역에서 노인 요양, 어
린이 돌봄, 호텔 업계, 우편
및 화물 운수직 등 이른바 필
수 산업 종사자들(essential workers)은 평균적으로 수
입의 약 2/3를 주거비에 지출
하면서 임대 시장에서 밀려나
고 있다. 에브리바디즈 홈(Everybody’s Home)이 발표한
새 보고서에 따르면 코로나
팬데믹이 시작한 2020년 3월
이후 기본급 받는 근로자들 (workers on award wages)
은 평균적으로 임대료 상승으 로 인해 주간 수입에서 6시간 에 해당하는 급여를 다 부담 해야 했다.
이는 매년 급여의 37일분에 해당하지만 어린이 돌봄, 호
텔 업계, 육류 가공업계 종사
자들은 최소한 40일분을 잃고 있는 것이다.
이 보고서는 간호사, 청소부, 노인 요양 및 우편배달부들은 대부분의 급여를 주거 비용
에 지출해야 하는 상황에 놓
여 주거 위기(rental crisis)로 가장 많은 피해를 입은 것으
로 나타났다고 지적했다. 에
브리바디즈 홈 캠페인은 400 개의 주거, 노숙, 복지 단체들 의 연합체로 설립됐다. 이 캠 페인은 투자자와 임대인을 위 한 세금 우대 조건을 축소하
고 자금을 지원하며, 사회적 주택 부족 문제를 해결하기
위해 매년 2만5,000 세대의
정부주택 건설을 연방 정부에 요구하고 있다.
연방 노동당 정부는 5년 동안
3만 세대의 정부주택 및 저렴 한 임대 주택 건설을 지원할
100억 달러의 주택미래기금 (housing future fund)을 포 함한 주택 개혁 패키지를 제
안해 입법화를 추진하고 있 다. 그러나 녹색당을 포함한 크로스벤치 의원들은 이보다 훨씬 더 많은 재원을 투자하 도록 정부를 압박하고 있다.

중국의 케이블TV 운영업 체인 화이트호스(White Horse)가 퀸즐랜드주 연
안에 위치한 린드만섬(Lindeman Island) 리조트를 200만 달러의 손실을 본 가격으로 팔았다.
싱가포르의 부호 가족이 지난 몇 주 전에 이 섬을 1000만 달러에 매입했다 고 디 오스트레일리안(The Australian)지가 보도했다.
이미 호주에서 많은 성 공적인 호텔 자산을 소유 한 이 싱가포르인 부호 가 족은 이 리조트를 재개발 하기위해



"호주중앙은행(RBA)이 2024년 이전에는 통화정 책 완화(easing monetary policy)를 시작하지 않을 것이라는 전망이 호주의
대표적인 경제학자 36명의 일반적인 견해인데 경제지 AFR(오스트레일리안 파이 낸셜리뷰)지의 분기별 경제 학자 조사에서는 응답자의 약 25%가 2023년말 이전 에 금리 인하가 가능할 수 있다고 전망했다. 핀포인
트 거시경제분석(PinPoint Macro Analytics)의 마이 클 블라이스(Michael Blythe)는 올해 말에 금리 인 하가 가능하다는 의견을 제
시하는 경제학자 중 한 명 이다. 반면 모건 금융(Morgans Financial)은 현재
3.6%에서 4.85%까지 기준
금리가 상승할 것으로 예상
한다. 성장과 인플레이션의
둔화, 그리고 세계 여러 나
라의 중앙은행들의 글로벌
완화로 두려운 임금 상승
고리(feared wage spiral)
가 제거되었다는 확신을
얻을 수 있다면, 호주중앙
은행은 내년 초 이른 금리
를 인하할 수 있을 것이다.
AFR지의 경제학자 36명 설
문조사에 따르면 팬데믹 종
료 후 첫 금리 인하는 2024
년 2월이 될 가능성이 있다.
응답자의 25%는 2023년도 가능성이 있다고 예측한다. 미국 실리콘밸리 은행 파산 으로 촉발된 글로벌 금융위 기가 악화될 경우, 금리 인












‘유트’
판매 증가로 대기오염 악화 가속
호주인 못 말리는 유트 선호... 이제 환경도 고려해야
온실가스 배출 2012년 14메가톤 → 2020 17메가톤
호주에서 최다 판매 차량 모
한 인기는 한편으로 디젤 연
약 20% 증가했다. 이 수치는
정에 제동이 걸리지 않는 한

델 1, 2위는 유트(utes) 차종
이다. 2022년 25만6천여대의
유트가 호주에서 팔렸다. 연
간 약 100만대의 신차가 팔리
는 호주 자동차시장에서 유트
는 약 25%를 점유한다.
유트는 근무지에서 일하고 놀 러다니기 편리한 장점 등으로
호주인들의 선호도는 각별하
다. 그러나 이같은 유트에 대
료 증가로 인한 탄소 배출량
상승을 촉진해 기후변화 대응
노력에 도움이 되지 않고 있
다는 비난을 받는다.
기후위원회(Climate Council)의 최신 보고서에 따르
면, 유트를 포함한 경상용 차
량(light commercial vehicles)에서 배출된 온실가스
가 2012년부터 2020년까지
울워스 내 스시바 프랜차이즈 모집
2012년에는 매년 14메가톤 의 이산화탄소가 배출됐는
데 2020년에는 17메가톤으
로 크게 늘었다는 점을 보여
준다.
경전차량 판매 비중은 2012
년에는 신차 판매의 16%에 서 올해 10월까지는 21%로
증가했다. 기후 전문가들은 호주인들의 유트에 대한 열


Sushi Izu Ormeau
Sushi Izu Southport Park
Sushi Izu Elanora

배출량이 2023년부터 2030
년 중반까지 매년 18메가톤
의 높은 수준을 유지할 것이
라고 우려한다.
작년 10월까지 1년동안 호주
에서 21만7천대 이상의 유트
가 판매됐다. 토요타 하이럭
스(Toyota HiLux)와 포드 레
인저(Ford Ranger)가 7년동
안 연간 최다 판매 모델 중 1,
2위를 차지하고 있다. 연간 연 료비와 이산화탄소 배출은 하
이럭스가 17만톤과 1억 달러
이상이고 레인저는 12만5천
톤과 7600만 달러 이상으로 추산된다. 반면, 닛산의 유트 인 나바라(Nissan Navara)
는 유트 모델 중 가장 비싸 고 가장 많은 이산화탄소를 배출하는 토요타 랜드크루저 (Toyota LandCruiser)보다 연료비와 이산화탄소
2년
1년새

2024년까지 2년 동안 65만 명의 이민자가 유입돼 호주 가 역사상 가장 큰 인구 순
유입(net overseas migration: NOM)을 경험하게 될 것이라고 디 오스트레일리 안이 보도했다.
코로나 록다운에 기술 부 족이 겹쳤던 와중에, 외국 인 유학생과 워킹 홀리데이 메이커의 복귀는 이민자 유
입이 컸던 2008년, 2009년
의 ‘빅 오스트엘리아’보다
더
불러일으켰다. 이번 회계연 도 첫 3개월의 순유입 이민 자의 수는 총 10만 6,000명 을 기록했다. 재무부 인구 센터(Treasury’s Centre for Population)는 1979년 통 계국(ABS) 집계 이후 가장 큰 분기별 증가라고 밝혔다.
ABS에 따르면, 9월까지 12 개월 동안 순유입 이민자 수 는 3만 4,000명으로 2009년 3월 이후 가장 높은 연간 증 가율을 기록했다. 아울러 9 월 분기 인구 증가분의 80%
전망한다 고 말했다.
체중감량과
살이 쉽게 찌는 체질이신 분들, 매번 다이어트 할 때마다 실패하시는 분들은 오늘 칼럼에 주목해주세요.
요요없는 다이어트에 성공하려면 무엇보다 규칙적인 운동습관을 리셋하는게 중요합니다. 매일 30분 이상의 유산소 운동과 주 2-3회 강도있는 근력운동을 병행해 주셔야 합니다. 물론 건강한 식습관도 운동만큼이나 중요하다는 것 아시죠? 효과적인 다이어트를 위해 오후보다는 아침엔 비타민 풍부한 과일 듬뿍 드시고 정제된 탄수화물(빵이나 국수)보다는 감자 고구마 현미밥 등을 더 자주 드시는 것을 추천합니다. 오늘 소개해드릴 근력운동 루틴을 위해 덤벨이나 가벼운 물통 준비해주시구요. 도구가 준비 되지 않았다면 웨이트 없이 맨몸으로 따라하셔도 무방합니다. 제 유튜브 채널 ‘요가읽어주는 여자 hayeon’에서 1시간 전신 다이어트 + 근력 영상을 찾아 해보면 훨씬 쉽게 따라하실 수 있을거예요.
팔뚝과 허벅지, 뱃살 정리
STEP 1. 선 자세에서 중심을 한 발에 싣고 다른 무릎을 바깥으로 접어 올립 니다.
STEP 2. 주먹을 쥐거나 덤벨이나 물병을 들고 어깨 앞으로 끌어 올립니다.
STEP 3. 위의 두 동작을 함께 콤보로 이어가며 10-15회 반복해주세요.
STEP 4. 다리를 바꿔 반대방향도 진행합니다.
TIP! 중심이 흔들리지 않도록 복부의 힘을 계속해서 유지하며 척추를 펴 줍니다.

옆구리, 안벅지 슬리밍 효과
STEP 1. 두 다리를 벌리고 와이드 스쿼트 자세를 취합니다.
STEP 2. 한손을 머리 너머로 뻗고 옆구리를 시원하게 스트레칭 해줍니다.
STEP 3. 코어의 힘으로 복부를 끌어당기며 팔꿈치를 접었다 폈다를 반복합 니다.
STEP 4. 팔을 바꿔 반대방향으로도 10-15회 반복합니다.
TIP! 덤벨을 들지 않고 해도 충분히 하체 토닝과 옆구리, 팔라인 정리에 효과가 큰 동작. 자신의 근력과 에너지에 맞게 선택해 운동해줍니다.


3. 꾸준한 개인회원관리로
우울증 개선의 효과
4. 모니터를 통한 실시간 ‘자세교정’ (1:1개인레슨과
다리 근력 강화, 발목 강화, 어깨 팔 라인 정리
STEP 1. 서혜부부터 접고 내려가는 힙힌지 자세와 런지를 함께 진행해주세요.
STEP 2. 허리를 펴고 다리를 앞으로 들어올려 무릎을 가슴 쪽으로 당깁니다.
STEP 3. 손을 가슴 앞에 모았다가 한발 서기에서는 천정으로 뻗어주세요.
STEP 4. 영상에서는 Lateral Raise 동작으로 팔과 어깨 운동을 좀더 강조했으 니 참고하며 변행자세도 따라해보시구요.
TIP! 무릎이 약하신 분들은 한 자세 밸런스가 쉽지 않을 수 있으니 먼저 런 지 동작만 따라하셔도 충분합니다.


고관절 스트레칭, 골반과 허리 통증 완화
STEP 1. 하체 운동이 끝나는 대로 쿨다운 스트레칭을 준비합니다.
STEP 2. 두다리를 사진과 같이 포개어 올라온 무릎을 지긋이 눌러줍니다.
STEP 3. 두 정강이가 서로 포개지도록 최대한 맞춰보고 허벅지 바깥쪽과 둔근 의 스트레칭을 느껴봅니다.
STEP 4. 이 자세가 힘드신 분들은 영상을 따라 다리를 들었다 내렸다를 반복 하시는 걸 추천합니다. (다리 바꿔 반복)
TIP! 처음부터 무리하지 말고 천천히 호흡을 유지하며 움직임을 충분히 갖 고 서서히 고관절의 가동범위를 늘려주세요.

송하연, 요가티처/요가풀니스라이프(Yogafulness Life) 대표

https://bit.ly/3w9ks4u (KOR)
지도

https://bit.ly/SubscribeToYogasong (ENG) yogafulnesslife
이메일 : connect@yogafulness.life 홈페이지 : www.yogafulness.life


인스타그램 https://instagram.com/yogasong_hayeon
주택 건설회사들이 연속적으
로 무너지면서 새 집 준공을
기다리던 많은 고객들을 곤
경에 빠트리고 있다. 부도난
건설사들과 계약을 맺었다면, 어떻게 대응해야 할까?
지난주 주택 건설회사 포터
데이비스(Porter Davis)는
자발적 법정관리(voluntary administration)에 들어갔다
고 발표했다. 이 회사는 빅토
리아주에서 1,500채, 퀸즐랜
드주에서 200채 이상의 집을
짓고 있다. 계약은 했는데 시
공에 들어가지도 못한 집도
779채가 더 있는 것으로 알
려졌다. 불과 몇 시간 후에 또 다른 건설사인 로이드 그룹
(Lloyd Group)도 법정관리인
을 임명했다고 발표했다.
주택건설업자들의 파산 또는 법정관리의 원인은 신축 및
수리에 대한 높은 수요로 인 한 노동력 부족과 전 세계를

강타한 인플레이션이다. 인
력 부족과 자재비 상승을 예
측하지 못한 건설업자들은 고
정 가격으로 계약을 체결했다 가 낭패를 당했다. 건설 비용
이 증가하면서, 건설업자들은
이윤이 적다 못해 손실을 보 는 상황으로 이어졌다.
법무법인 콘월스(Cornwalls)
의 리처드 허칭스(Richard H utchings)는 만약 건설 계약
체결을 앞두고 있다면 “면허
증부터 확인해야 한다”고 조 언했다. 그다음에는 해당 업
자와 관련해, 건축 보류나 취 소가 있는지, 징계 절차나 소
송이 있는지, 재정상태는 어
떠한지 파악해 두어야 한다.
하지만 계약하게 될 건설업 자가 파산할 가능성이 있는 지 확실히 확인하는 것은 어 렵다. 건설업자는 일정 금액 의 비용이 드는 공사를 위해
국내 건축 보험에 가입해야 한다. 통상적으로 건설업자는 대금을 받기 전에 보험증권을 고객에게 제공한다. 만약 건 설업자의 파산으로 인해 공사 가 완료되지 않았다면 보험사 에 남은 공사에 대한 비용을 청구할 수 있다.
하지만 일부 고객은 부족분을 메우기 위해 추가 자금을 마 련해야 할 수도 있다. 공사를 넘겨받을 새 건설업자가 종 전 계약의 잔액보다 훨씬 높 은
옵터스 고객정보 유출 계기 신뢰 추락 메디뱅크 사태로 보험산업도 신뢰 하락
로이 모건이 2018년 신뢰
와 불신을 측정하기 시작한
이래 통신(Telco) 산업이 소셜 미디어 산업을 제치고
다. 옵터스의 불신도가 점
차 높아지면서 페이스북과 불신 기업 1위를 놓고 경쟁 하고 있다.
통신 기업 중 오지 브로드


전체 경제에서 가장 불신도 가 높은 산업이란 불명예를 얻었다.
최근 통신 산업의 신뢰도 추락은 2022년 9월 옵터 스의 대규모 데이터 유출 (data breach) 사태에서
비롯됐다. 옵터스는 2월까
지 12개월 동안 경제에서
두 번째로 불신도가 높은
브랜드였으며 텔스트라는
세 번째로 불신도가 높았
다. 최근 몇 달간 불신도가
약간 낮아졌음에도 불구하
고 페이스북이 호주에서 가
장 불신도가 높은 브랜드
밴드(Aussie Broadband)
는 호주에서 가장 신뢰도가
높은 브랜드 중 하나로, 현
재 모든 브랜드 중 26위에 랭크됐다. 통신 산업에서는
최고로 신뢰받는 브랜드다.
여행 및 관광 산업도 산
업 넷트러스트 랭킹(Net Trust rankings)에서 순위 가 종전 10위에서 13위로
떨어졌으며, 불신도가 신
뢰도보다 높아졌다. 이 산
업은 지난 1년동안 부정적 인 보도가 집중된 콴타스의 높은 불신도로 영향을 받았 다. 콴타스는 이번 달 처음 으로 불신도가 신뢰도보다


















