












































































































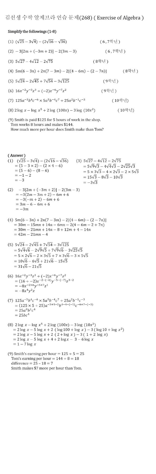
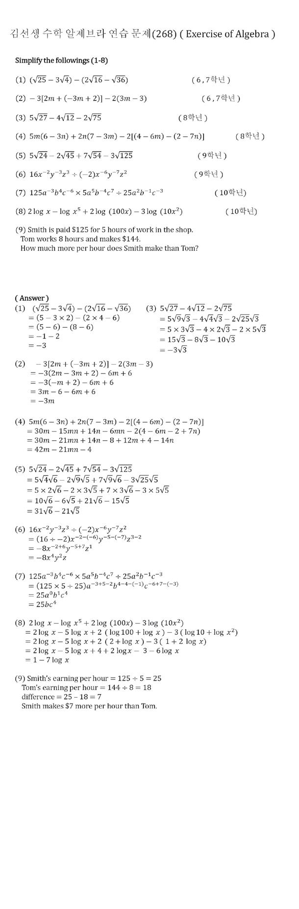
![]()













































































































by 청량음료 / 브런치
아이슬란드 여행
부산에서 나고 자란 나는 늘 부산이 떠나고 싶었다.
자라는 동안 가족들과 다른 나라로 이민을 가는
친구들이 몇 있었는데 그 친구들이 격렬하게 부러웠던 기억이 난다.
넓은 세상이 그리웠다. 미지의 세계는 선망의 대상이었다.
어떤 길인지 알 수 없다는 것이 나에게는 매혹적이었다.
어렸을 때부터 그랬으니 아마 타고난 것이었을 거다.
소원대로 고등학교 졸업 후
부산을 떠났다. 그리고 어학
연수로 간 러시아를 시작으로
운이 좋게도 외국의 많은 곳
을 여행할 수 있었는데, 결혼
후에는 러시아 상트페테르부
르크에 7여 년 동안 살면서 비
교적 가까운 유럽 여행을 많
이 할 기회가 있었다. 그런데
사람 마음이 참 간사한 것이,
좋은 것도 많이 보다 보면 처
음의 경탄하던 마음도 시들해
지고 나중에는 다 비슷비슷한
풍경으로 보이기 시작한다.
사실 유럽의 여러 도시들은
일정한 패턴이 있다. 도시의
가장 볼 만한 곳은 보통 올드
타운, 구시가지인데 그곳에는
넓은 광장이 있고 커다란 성
당 내지는 교회가 한가운데
위풍당당하게 서 있다. 주변
에는 옛 가옥을 그대로 살린
상점과 호텔 등이 늘어서 있
어서 광장 한가운데 서 있다
보면 마치 옛날 유럽에 와있
는 듯한 느낌이 드는 것이다.
나라마다 조금 더 화려하거나
더 수수할 뿐 거의 그런 모습
이다. 나중에는 독일 쾰른의
대성당이 체코 프라하의 대
성당과 모습이 비슷해 보이는
폐단도 생기기 시작했다.
러시아에서 독박육아를 하던
시절 나의 친구가 되어주었
던 영희언니가 어느 날 우리
집에 놀러 와서 말했다. 이번
여름휴가를 아이슬란드로 간
다고.. 엥 아니 왜? 나의 첫 반
응이었다. 갈 수 있는 멋진 유
럽의 나라들이 얼마나 많은데 왜 하필 이름만 겨우 아는 아
이슬란드? 싶었다. 하지만 평
범함을 거부하며 늘 색다르고
멋진 선택을 하는 그녀였기에
거기에 뭔가가 있구나 싶었 다. 15일간 아이슬란드 일주
를 마치고 돌아온 그녀는 다
시 우리 집에 놀러 와 그곳에


서 찍은 사진을 보여주었다.
사진 속에는 이 세상 같지 않 은 풍경과 퍼핀이 있었다.
그 후 아이슬란드 여행은 나
의 버킷 리스트에 올랐다. 어 린아이들을 끌고 가기에는 만
만찮은 곳이었으므로 우리 아
기들이 조금 더 자란다면 언
젠가 반드시 가리라 다짐했었
다. 언니가 들려준 이야기가 있다. 캠핑장에서 텐트를 쳐
가며 여행을 했던 언니는 한
캠핑장에서 일본 가족을 만
났다고 했다. 아이가 셋이었
는데 막내가 6살 정도밖에 되
지 않았다고 했다. 그런데 그
아이들이 얼마나 일사불란하
게 부모의 식사준비를 도왔던 지, 한 명은 주먹밥을 빚고 한
아이는 거기에다 소금을 넣고
막내는 후리가케를 뿌리는 식
으로 그들의 식사를 스스로
준비했다고 했다. 그 일본 가
족과 같은 삶을 꿈꾸던 나는
우리도 언젠가 아이슬란드 캠
핑장에서 건이완이와 함께 식
사를 준비할 수 있는 그날을
상상했다. 그때부터 아이슬란
드는 꼭 가보아야만 하는 나
라로 내 마음에 각인이 되었 다. 2013년이었다.
나만의 버킷 리스트가 있으면 꼭 하고 싶은 일을 하나씩 이
루어가는 성취감이 생긴다.
이 일을 이루지 못하면 후회 할 것 같기에 아무래도 좀 더 노력하는 인생을 살게 되는 것 같긴 하다.
반면 버킷 리스트가 마음의
짐이 되기도 한다. 이루지 못
하면 숙제를 덜 끝낸 것 같은
찝찝한 기분이 계속 들기 때
문이다. 예전 우리 아이들이
어릴 때는 아이슬란드 여행이
많이 고되므로 할 수 없다는
이유가 있었지만, 9년이라는
세월이 지나 이제는 스스로
주먹밥을 빚을 수 있게 된 두
아들과 함께 아이슬란드 여행
을 하지 않을 핑계가 없어졌
다. 사실 일상을 살다 보면 여
름휴가만큼은 좀 편안하게 해
변에 누워 수영하거나 일광욕
을 하면서 남이 해주는 밥을


슬란드의 풍경을 눈에 담을 때가 왔다. 독일에서 아이슬 란드까지는 비행기로 4시간.
우리 집 아이들은 집에 있는 것을 심하게 좋아한다. 그래 서 방학 동안 가고 싶은 곳이 있냐고 물으면 그냥 집에 있 고 싶다고 이야기한다. 여행 을 꼭 해야 한다면 많이 돌아
다니기보다는 눕다가 쉬다가
먹다가 수영하다가 하는 타
입을 선호한다. 그럼에도 불
구하고 엄마의 버킷 리스트 를 알고 있는 아들들은 엄마
의 꿈이라며 기꺼이 지난여름 휴가에 아이슬란드 여행 가는 것을 허락해 주었다. 아이슬
란드는 섬을 일주하는 여행이
기 때문에 차를 많이 타야 하
고 산에도 올라가야 하고 많
이 걷기도 해야 한다고 했지
만 괜찮다고 했다. 엄마가 꼭
가고 싶기 때문에 같이 가겠
다고 했다. 감사한 마음으로 비행기표를 끊었다. 좀 숙제
를 해치우는 느낌이기도 했
다. 저세상 같은 풍경은 꼭 눈
과 마음에 담고 싶었지만 고
생길이 뻔한 여행길이 될 것
이 자명했기에 마음을 단단히
먹어야 했기 때문이었다.
이제 비행기표는 샀는데 숙박 이 문제이다. 미리 그곳을 다 녀온 사람들에 따르면 아이슬 란드는 인구밀도가 너무나 낮 은 데다가 인구자체도 얼마 없어 숙소가 별로 없고 있는 숙소들은 가격이 매우 비싸 다고 했다. 고심 끝에 우리는 캠핑카를 빌리기로 했다. 잠 은 캠핑카에서 자고 밥을 해 먹거나 씻거나 하는 문제들은 캠핑장에서 해결하기로 했다. 커다란 캠핑카는 말도 못 하 게 비쌌기 때문에 우리는 커 다란 SUV뒤에 박스를 얹은 듯한 좀 작은 캠핑카를 예약 했다. 물론 그 차도 말도 못 하 게 비쌌다. 하지만 차를 렌트 하는 것과 잠을 자는 것 둘 다 한꺼번에 해결한다고 생각을 하고는 과감히 저질렀다. 9년 동안 가보길 고대했던 아 이슬란드는 기대했던 대로 비 현실적인 풍광을 간직하고 있 었다. 마치 태초에


먹고 싶은 유혹이 짙다. 그런
데 나에게는 이루고 싶은 버
킷 리스트가 있고 마침 우리
는 유럽에 있다.
배부른 소리겠지만 우리 눈에
는 일반적인 유럽 도시들의
모습이 더 이상 새롭지 않다.
그러므로 지금이야말로 세상
어디서도 보기 힘들다는 아이















































































































































던 양과 말들. 섬의 북쪽으로
올라가면 화성과 같은 풍경이 펼쳐진다.
화산 활동이 남쪽보다 활발
한 지형이라 그런지 과거 언
젠가 이루어졌던 화산 폭발로
땅에 떨어진 용암과 화산재, 돌덩이 같은 것들 때문에 땅
이 검다. 게다가 아래 지방에
서는 흔하게 보았던 양과 말
마저도 보이지 않았다. 인기
척이 없어도 너무 없으니 무
서울 지경이었다. 렌터카 업
체에서 차와 함께 빌려주었던
와이파이 공유기도 잘 터지지
않았다. 숙소인 캠핑장에 도
착해서야 사람들이 많음을 보
고 안심했다.
아이슬란드는 눈앞에 있는
풍경이 믿어지지 않을 정도
로 아름다웠고 여행은 고되었
다. 첫날부터 바람이 너무 심
하게 부는 바람에 캠핑카가
마구 흔들리고 여름이라 백야
현상 때문에 완전히 어두워지
지 않아 잠이나 잘 수 있을까
싶었는데 역시나 첫날에는 잠 을 설쳤다.
하지만 둘째 날부터는 피곤함
덕분인지 좁은 캠핑카 안에서
아주 푹 잘 잘 수 있었다.
여행의 성공 요인의 팔 할은
날씨라고 생각한다. 날씨가
좋은 날은 눈길이 닿는 곳마
다 감탄사가 나왔고 날씨가
좋지 않은 날은 안개 덕분에
눈에 보이는 것이 없었다. 바
닷바람에 날아갈 것 같아 바
닥에 납작 엎드린 적도 있었
다. 우리가 갔던 7월 초는 날
씨가 변덕스러웠는데 일기예
보를 보며 비를 피해 다니는
여행을 할 수밖에 없었다.
일주일의 여행 기간 동안 우
리 가족은 20킬로 트렁크를
가득 채워왔던 음식들을 요리 해 먹었고, 6군데의 캠핑장에 서 각국의 사람들을 만났다. 한여름에 한겨울 잠바를 입 고 다녔고, 추운 야외 개수대
에서 설거지를 했다. 어느 캠 핑장에서 다른 여행자들이 남 겨 놓은 음식들, 스파게티 소 스나 유럽식 라면 같은 것들 을 챙겨 오기도 하고 다른 캠
핑장에서는 설거지용 트리오
를 얻어와 여행 내내 잘 사용 하기도 했다.
공용 식당에서 다른 여행자들
은 어떤 음식을 해 먹나 흘깃
거리며 훔쳐보는 재미도 있었 다. 아이슬란드는 동네마다



온천수를 이용한 실내외 수영
장이 있었는데 몇 천 원만 내
면 수영도, 사우나도, 샤워도
즐길 수 있어서 가는 동네마
다 잘 이용했다. 이런 류의 여
행을 좋아하지 않는 아들들의
마음을 달래어 주기에도 수영












장은 더없이 훌륭한 시설이었
다. 두 평 남짓한 캠핑카 안에 서 밥을 하고, 식탁을 차려 먹
고, 밤이 되면 내부를 개조하
여 침낭을 깔고, 함께 영화를 보았다.
그렇게 우리 집의 남자 셋은 나의 버킷리스트 목록 하나를 지워주었다. 첫째 아들보다는 좀 더 살가운 둘째 아들이 물 었다. 엄마의 다음 소원은 뭐 에요? 엄마의 다음 소원은 오
로라를 보는 거란다.
2주 남짓의 겨울 방학을 앞두
고 있는 지금 아이들에게 가 고 싶은 곳이 있는지 물었다. 또다시 집에 있고 싶다는 말
을 한다. 하지만 둘째 아들이 덧붙인다. 핀란드가요, 오로
라 보러. 진짜? 거기도 아이슬
란드만큼 힘들 텐데 가도 되 겠어? 네, 엄마 소원이잖아요.












by 하정필 / 브런치
마이크로소프트에서는
Github에 Copilot라는 AI자 동 코딩 자동완성 서비스를
베타로 출시했단다. 코딩의
속도와 완성도가 놀라워 개발 자들이 벌벌 떨고 있다는 소 문이다. 진짜 개발자들은 목 숨을 부지하고 그렇지 않은 어중이떠중이들은 방을 빼야 할 것 같다. 월 5.8달러의 유료
화를 계획하고 있단다. 짬뽕 한 그릇 값만 투자하면 한 달 내내 24시간 일하는 믿음직 한 개발자 한 명을 둘 수 있다. 난다 긴다 하는 개발자들이

ChatGPT가 화제다.
나오자마자 닷새 만에 사용자 100만을 돌파했단다.
어떤 사람들은 경악, 놀라움, 위기감을 느끼고
어떤 사람들은 결과물을 꼼꼼히 살펴보며 문제점을 발견한다.
각 주제의 석학, 전문가들의
반응은 대체로 비슷하다.
잘 아는 것처럼 보이게
짜깁기를 해서
제대로 모르는 사람이 보면 굉장히 그럴듯하게 보이지만, 자세히 들여다보면
문제들이 보인단다.
보면 Copilot의 코딩에서 실 수를 발견할 거다. 프로그램
을 기획하고 AI가 만든 코딩 의 실수를 잡아내며 AI가 만
든 코딩 블록을 창의적으로
조합하는 일이 인간 개발자의
일이 될 듯 하다. ChatGPT가
만든 텍스트를 해석하며 문제
를 발견하며 자신만의 독창적
전문성을 구축할 수 없는 사
람들은 각자의 영역에서 빠르
게 도태될 것 같다.
월 2만원만 투자하면 만물 박
사처럼 묻는 말에 다 대답해
주는 실무자, 제법 실력 있는
개발자까지 채용할 수 있는
타인의 생각, 타인의 신념도 정보다. 시각과 청각의 형태 로 입력되는 개념의 덩어리
들, 오감으로 뇌를 건드리는
자극과 의미들. 이 모든 정보 를 비판적으로 받아들이며 제
대로 해석할 수 있는 능력을 갖추지 못한다면 해변의 모래 성 같은 삶이 될 지 모르겠다.
한 줄의 텍스트, 한 문단의 글, 한 장의 텍스트를 읽든 한 블
럭의 코딩을 보든 인간의 길 을 생각하며 비판적 해석을
하지 않는 사람은 미래가 없 을 지 모르겠다. 왜 사는지, 우
고 진실한 고민은 하고나 있 는지 궁금하다. 급변하는 세 상에서 여전히 뚝심 있게 정 보 입력 중심의 성적과 스펙 중심의 대학만 중시하는 지난 시대의 교육을 아직도 꿈꾸고 있는지 궁금하다.


세상이 열리겠다. 문제는 입
력이 같다면 출력물도 누구에
게나 똑같다는 것이지만, 뭘
물어봐도 자신만의 생각이 없
어 아무 말도 하지 못하는 사
람, 편향에 치우쳐 자신의 고
집만 부리는 구성원보다는 나
을 것 같다. 인간은 두 종류로
나뉠지 모른다. 인공지능이
리는 어떤 세상에서 살아야 하는지 진지하게 묻지 않고
인공지능이 만든 텍스트나 코
딩처럼 남에게 보여줄 한 줄
의 스펙을 더 쌓기 위해 번지
르르한 자격과 조금 더 나은
기능을 갖추기에 급급한 사
람들에게는 일할 기회가 없
는 세상이 곧 올지 모르겠다.



만든 결과물과 경쟁하는 일
인간답게 사는 것이 무엇인




을 가진 인간과 그것을 활용
하는 일을 가진 인간. 어떤 영
역이든 주체적으로 기획하고
편집하는 능력을 갖추지 못하
면 인간에게 일의 기회가 없
는 세상이 쓰나미처럼 밀려올
지도 모르겠다.



"도를 아십니까?"라고 물으
며 길에서 다가오는 사람, 인 터넷, 카톡을 떠다니는 정보, AI가 만든 결과물은 모두 정 보다. 나의 생각, 나의 신념,
지 가르치고 배우지 않으면
사람의 일자리는 공룡의 운명
이 될 지 모르겠다. 5년, 10년
안에 완전히 변할 지 모르겠
다. 게임과 패스트푸드가 현
실 속 유일한 존재 가치가 되
지 않기를 바란다. 그래서 궁
금하다. ChatGPT와 copilot
를 바라보며 학교와 교육은
무엇을 생각하며 어디로 가
고 있는지. AI와 인간이 일이
라는 접점에서 어떻게 관계
맺고 살아야 하는지 진지하
뉴욕시 교육청은 학생의 ChatGPT 사용 금지 결정을 내렸다 한다. 보여주기 위한 당장의 그럴싸한 결과물보다 시간이 걸리고 초라하더라도 스스로 찾고 고민하며 상호 작용하는 지난한 과정이 교육 의 본질이라는 믿음 때문이리 라. 찬반을 떠나 한국의 학교 와 교육은 인간의 길을 진지 하게 고민하는지, 교육을 책 임지는 사람들이 인간의 마 음 한 조각은 지니고 있는지 궁금하다. 한 조각 휴머니즘이 있다면 희망은 있다. 교육이란 아이 들의 마음 속에 한 조각 햇볕 이라도 심어주는 일이니까. 그





by Rabbitgumi / 브런치
<캐리와 슈퍼콜라>(2023)
아이와 시사회에 가는 날이 다. 아이와 처음 가는 시사회
에서 볼 영화는 <캐리와 슈퍼 콜라>라는 어린이 애니메이 션이다. 유튜브 채널 캐리TV
에 등장하는 캐리가 주인공으
로 등장하는 극장용 애니메이 션이다. 전날 아이에게 이야
기했을 때, 아이는 시사회가
무엇인지 내게 되물었다. 새
로운 영화를 좀 더 빨리 볼 수
있는 행사이고 아빠가 시사회
에 신청해서 당첨되었다고 이 야기했다. 아이는 신나 했다. 유튜브에서 가끔씩 보던 캐리 가 주인공으로 등장하는 영화 라니, 아이는 무척 기대했다.
수많은 시사회에 참석했지만 아이와 함께 가는 시사회는 처음이었다. 영화에는 캐리와 그의 장난감 강아지 인형 콜 라가 등장한다. 외계에서 악 당에게 쫓기던 마스터가 우연



















































































































최근 화제작 '더글로리'
최근 '더글로리' 기사들과 이
야기들이 무성하다. 공중파
드라마를 제시간에 맞춰서 봐
야 하는 시대는 끝이 나고 이
제는 사람들의 기호에 따라
능동적, 적극적인 미디어 콘
텐츠 선택 시대가 되었다. 그
래서 OTT에 직접 클릭해서
들어가 시간을 할애해서 보고
거기에서의 호응은 충분히 대
중성을 반영하는 것 같다.
'더글로리'는 간략히 요약하
자면 송혜교 주연의 드라마
로 유년시절 학교폭력(이하
학폭) 피해자가 치밀하게 오
랜 기간 철저하게 준비해서
가해자들에게 찾아가 복수하
는 내용이다. 그 피해자 송혜
교가 성인이 되어 가해자 딸 의 담임이 된다.
그렇다. 한마디로 복수극이
다. 청불 등급을 받을 만큼 극
초반에 학폭 가해 장면은 고
개를 돌리게 할 만큼 잔인하
고 사람들의 분노를 야기하기
에 충분했다.
'더글로리'가 가지는
비현실적 판타지
그만큼의 분노를 키운 대가로
시청자들은 주인공의 복수 과
정에 빠져들어 응원하고 결말
의 통쾌함을 기대하게 된다.
왜 사람들은 나를 비롯해서
이렇게 몰입하여 이 드라마에
빠져드는 것일까?
사실 학폭이라는 모티브 소재 외엔 대부분의 인물들이 전부
하나같이 비현실적인 판타지
같은 사람들이다. 일단 주인
공부터가 그렇다. 공장일 하
며 검정고시 보고 교대 입학
하여 임용고시까지 합격한 신
화 같은 스토리를 지닌 송혜
교 문동은.
몇 년 동안 문자 답장도 하지
않는 여자 동은에게 끊임없이
구애하는 의사 주여정. 그는
심지어 인물뿐 아니라 지성, 재력 모든 걸 갖췄다. 김은숙
작가 드라마에 흔히 등장하는 상처 안은 여자를 자존심 상
하지 않게 백마에 자연스럽게
태워주는 백마 탄 왕자님.



선(善)이라고는 1도 모를 것


같이 태어난 악(惡) 그 자체로 묘사되는 주인공 동은을 괴롭 히는 학폭 가해자 박연진. 그 녀는 성인이 되어서는 현모양
처인양 인격 세탁하며 뻔뻔하
게 살아간다.
그 밖에 송혜교 동은의 학폭
사실을 알고도 가해자편만 들
면서 2차 가해 시전하며 교무
실에서 뺨을 수없이 휘갈기
는 담임교사. (얼차려만 시켜
도 대서특필되는 이 시대에
이 배경은 영화 장동건 주연
의 '친구' 시대인가? 의심을
하게 됨)
딸의 잔인한 학폭 사실을 알
고도 가해자와 돈으로 합의하
려고 하는 친엄마가 맞나 의
심하게 만드는 주인공 엄마.
캐릭터의 색깔은 확실하지
만 인물의 입체성은 전혀 없
는 선과 악으로만 단편적으로
묘사되고 판타지 같은 비현실
성을 안고 있는 인물들. 그럼에도




회사를 다니다 보면 '일머리'란 용어를 한 번쯤
은 들어봤을 것이다. 보통은 학벌이 좋은 신입
이 입사하였지만, 기대보다 업무 능력이 떨어
질 때 이렇게 말한다.
"얘는 공부머리는 좋은 것 같은데, 일머리는 별로인 것 같아."
이와 반대로 학벌이 좋지 않은데, 업무 능력
이 좋은 경우에 '일머리가 있다'라고 평가한 다. 공부머리와 일머리를 따로 놓고 이분법적
으로 사람을 평가하는 것이 결코 좋은 표현은
아니지만, 윗사람들이 말하는 일머리라는 것
이 대체 무엇인지 짚고 넘어갈 필요는 있겠다.
우선 공부머리를 살펴보도록 하자. 앞서 얘
기했듯이 공부머리란 직장에서 대체로 학벌
을 얘기한다. 사람들은 대학을 어디 나왔는지
에 따라서 직장에서 기대하는 바가 달라진다.
아무래도 학벌이 좋다면, 일도 잘한다는 인식
이 고정관념처럼 박혀 있다. 지금껏 직장 생활
을 해오면서 이런 고정관념이 꼭 맞아떨어지
는 것은 아니지만, 대체로 그런 틀 안에서 움직
이는 것은 맞다는 생각을 한다. 좋은 대학에 가
려면 공부를 '잘' 해야 한다. 공부를 '잘'하려면
그에 맞는 소양이 평균 이상이 되어야 할 것이 다. 대체적으로 성실함, 메타인지, 집중력, 이
해력, 문해력, 응용력 등이 그런 소양이 될 덴
데, 이런 것들이 모두 직장에서도 기본적으로 필요한 능력과 겹친다. 물론 엄청난 사교육을
by 똥이애비 / 브런치
통해 기본적인 소양이 부족해도 좋은 대학에
입학할 수는 있지만, 대학에서까지 그런 방식
을 유지하는 사람은 잘 없기 때문에 대학에서
의 학점과 활동들까지 면밀히 살펴보면 대략
적으로 공부머리가 원래 있었던 건지 판단이 가능하다. 어쨌든 이런 공부머리가 회사에서
업무적으로도 통용이 가능한 부분이 있을 테
지만, 공부머리는 좋은데 일머리가 나쁜 경우
는 도대체 왜 그럴까? 일머리를 한번 정의해
보도록 하자.
일머리란 보통 윗사람들이 아랫사람들을 평
가할 때 쓰는 표현이다. 윗사람들끼리의 대화
를 엿들어 보면 대략 이런 식이다.
"이번에 들어온 신입 어때?"
"아, 별 기대 안 했는데 걔 일머리 좋아. 잘 뽑 은 것 같아."
"왜? 어떤데?"
"업무에 적응을 잘해서 한번 말하면 바로 이해
하더라고... 일 처리 속도로 빠르고 정확해. 게
다가 선배들 보면 인사도 깍듯이 잘한다니까."
이 대화에서 보는 것과 같이 일머리는 업무 적
응력, 이해력, 일 처리 능력, 처세술 등의 소양
을 두루 갖춘 상태를 의미한다. 결국 일머리가
좋다는 것은 앞서 얘기한 직장인에게 필요한
소양들이 잘 조합되어서, 수행하고 있는 업무
에 적절히 녹아들어 가 있는 것을 말하는 것이 다. 따라서 일머리가 좋다는 표현을 아래와 같 은 표현으로 바꿔볼 수 있겠다.
1) 일 처리 속도가 빠르고 정확하다.
2) 군더더기 없이 일을 깔끔하게 처리한다.
3) 업무 적응력이 좋고 이해가 빠르다.
4) 선임이 원하는 바를 정확히 인지한다.
5) 업무 계획에 충실하고 실수가 적다.
대략 이 정도의 표현을 빗대어 윗사람들은 '일
머리'라는 용어를 쓴다고 볼 수 있겠다. 그렇
다면 앞서 의문이 있었던 공부머리는 좋은데, 일머리는 나쁜 상황에 대한 이유를 찾아볼 수 있을 듯싶다. 결국 공부머리에서 필요한 소양
은 있는데 일머리에서 필요한 소양은 없는 경
우를 따져보면 되겠다.
우선 가장 큰 차이는 공부는 혼자 하지만, 일
은 혼자 할 수 없다는 데 있다. 일이란 게 사람
들 간 유기적으로 연결되어 있고, 그에 따라 내
가 원하는 것을 어떻게 수월하게 얻을 것인가
가 일을 하는 데 있어서 주요한 전략이 된다.
따라서 혼자서만 공부하듯 매몰되어 일하는
사람에게 일머리가 좋다고 말하지 않는다. 또 한 공부처럼 여유롭게 나만의 시간을 계획하 는 것은 불가능하다. 업무의 완료 일정이나 데
드라인은 보통 반강제로 주어지는 경우가 많 고, 이를 지키려면 급박하게 계획을 세워 일을







쳐내야 하는 능력이 중요해진다. 공부처럼 한 문제 한 문제에 정성을 들여 깊은 고민을 하 는 문제 해결력보다는 일의 중요도를 파악하 여 몰입할 일과 쳐내야 할 일을 구분해 내는 대 응 능력이 더욱 부각되는 것이다. 마지막으로 일에선 비언어적 표현을 인지할 수 있는 능력 또한 중요하다. 윗사람이 굳이 말로 다 풀어서 설명하지 않아도 눈치껏 분위기와 표정, 몸짓 을 통해 어떻게 일을 해결해 나가야 하는지를 파악하는 것이다. 반대로 공부는 문제를 이해 할 수 있는 문해력과 유사 문제를 풀어낼 수 있 는 응용력이 핵심이 된다. 지금껏 공부머리와 비교하여 일머리가 대체 무엇인가를 알아보았다. 이제 윗사람들이 얘 기하는 "공부머리는 좋은데, 일머리는 약간 부 족한 것 같아."라는 말의 의미를 이해할 수 있 을 것이다. 여기서 부족한 일머리는 앞서 얘기 했듯 타인과의 협력, 문제 대응력, 비언어 인 지 능력 등이 해당된다고 볼 수 있다. 이는 공 부머리와 일머리에 공통적으로 포함되지 않 지만, 일머리에서 만큼은 중요하게 여겨지는 소양들이다. 드디어 일머리가 무엇인지 윤곽 이 잡혔다면, 그 소양들을 어떻게 길러낼 것인 가는 여러분들의 몫이 되겠다. 요즘은 경기가 어려워지면서 본업 유지에 대 한 중요성이 부각되고 있으니, 이제부터라도 일머리를 키워서 윗사람들에게 인정받는 '프 로 일잘러'의 길로 나아가 보도록 하자!




















































by 하눕 / 브런치
집으로 출근하던 시절, 이전에 누려보지 못한 한 가지 호사가 있었으니, 그것은 바로 나의 온 감각을 총 동원하여 느껴본 ‘자연(自然)’ 의 신비로움이었다.
사계절의 아름다움과 자연의 경외함이 내 눈과 마음에 비로소
들어오게 된 시기는 바로 집에서 아이와 함께 보낸 시간 동안이었다.
서른이 넘은 엄마도, 태어난 지 몇 해 되지 않은 아이도,
자연과 사계절을 오롯이 처음 경험하는 시간이었다.
늘 앞만 보고 달려가던 경주마 같은 삶 가운데, 주변을 둘러볼 여유 따윈 없었다.
‘꽃이 피면 봄이 온 것이고, 더워지면 여름이 왔나 보다’ 내가 느꼈던 계절은
이렇게 아침밥 먹으면 점심때가 오듯, 경이로울 것도 없는
그저 당연하게 지나가는 세월에 불과했다.
하지만 아이와 함께 느끼는 사계절은 달랐다.
목표를 향해 전진만 하던 내 삶에 마치 슬로우 모션이 걸린 듯
주변이 하나씩 눈에 들어오게 되었다.
겨울 내 앙상한 가지로 추위
를 버티다 봄이 채 이르기도
전, 새 순을 하나 둘 틔어 낸
나무들이 눈에 띄었다. 아이
에게 설명해 주려고 돋아난
새순을 유심히 관찰하였다.
생각해 보니 처음이었다. 어
른이 된 이후, 나무에 돋아난
새순을 이렇게 자세히 들여다
본 일이.
겉은 앙상한 나무인데, 군데
군데 파릇한 새순이 나오려 고 꼼틀대는 모습이 이토록 귀여울 일인가. 옆에 있던 아 이보다 더 해맑게 웃으며 신 기하다는 듯 시선을 뗄 수 없 다. 김훈 작가가 <자전거 여 행>에서 묘사한 자연을 비로 소 조금이나마 이해할 수 있 을 것만 같았다.
계절마다 냄새와 공기가 다르 다던 말 정말 사실이었다. 봄 에는 따뜻하고 포근한 무언가 로 가득 찬 밀도 있는 공기가 느껴진다. 마치 기온과 습도
가 완벽하게 섞인 비율인 듯 하다. 거기다 가끔 은은한 봄
꽃향기도 더해진다.
벚꽃이 흩날리는 계절이면, 떨어지는 꽃을 잡기 위해 빙
글빙글 돌며, 연신 박수를 쳐
본다.
어쩌다 예쁜 꽃이 손안에 들
어왔을 땐 아이도 나도 그 꽃
의 생김새가 너무도 아기자기
하여 두 손 곱게 모은 채 꽃을 탐색한다. 얇은 꽃잎을 조심 스레 만져볼 때면, 적당히 촉
촉한 벨벳 느낌의 부드러운
촉감도 느껴진다.
작은 꽃 하나도 이렇게 아름
다운 형상으로 각기 다른 재 질로 만들어진 게 그저 신기 했다. 많은 꽃들이 가지에 풍
성히 매달려 하나의 완벽한
벚꽃나무를 이룰 때에도, 바 람에 흩날려 떨어진 작은 꽃
에 지나지 않을 때에도, 모두 눈부시게 빛났다.
활짝 핀 꽃들이 지고, 새로운 계절이 오는 것도 경이로웠
다. 서로 약속이라도 한 듯, 때에 맞춰 각자의 자리에서 역할을 다하는 자연의 섭리 가 새삼 그렇게 오묘할 수가 없었다.

벚꽃 속에서 봄의 향기를
느꼈던 거야
























옥잠화야, 맥문동아.
너희는 참으로
근사한 이름을 가졌구나.








정수리에 관통하는 뜨거운 여 름 햇살을 한 차례 보낸 후에 는, 흔치 않은 이름의 맥문동 과 옥잠화도 만난다. 일 년을 손꼽아 기다렸다 여름이 지나 가기 직전, 딱 한 철에만 피는 아이들이다. 일 년 동안 이 날 을 위해 잘 버티고 나타나준 녀석들이 그리 또 대견할 수 가 없다.
아이와 나는 매년 여름이 되 면, 싱그럽게 피어오를 녀석 들을 기다린다. 맥문동과 옥
잠화가 피었던 자리를 지나칠
때면, 보이지도 않는 땅 속 어 딘가에 있을 그들에게 인사하 는 것도 빠뜨리지 않는다. 옥
잠화 꽃이 완전히 질 때쯤이 면, 이제 가을의 문턱에 완연 히 접어들었음을 달력을 보지
않아도 알게 되었다.
형형색색의 단풍이 드는 가을 이 되면, 아이와 단풍잎을 주 으러 다녔다. 5갈래 또는 7갈 래의 단풍 모양이, 마치 쫙 핀
손바닥 같다는 재밌는 사실을 발견한 우리는 주워 온 단풍 잎 중 가장 예쁜 단풍잎을 서 로에게 선물해 주었다.
단풍 빛깔이 이토록 다양하고 아름다웠던가. 찬란하기 그 지없는 빛깔에 홀려 자꾸만 단풍나무를 올려다본다. 봄
과 여름을 버텨 이토록 황홀 한 빛깔을 내보이기까지, 그 수고로움이 괜스레 짠하게 느 껴진다. (모성애 탓인지, 나이 탓인지 뭐든 애쓰고 수고로운
과정이 자꾸만 눈에 밟혀 그
저 모든 게 짠하다.)
코 끝 시린 차가운 겨울, 시원 한 공기를 먼저 코로 한가득 들이마시며 겨울을 느낀다. 겨울을 좋아하진 않지만 코안
으로 불어오는 시큰한 공기와
하얀 입김의 조화가 한 번씩
그리울 때가 있다. 모락모락
김 나는 붕어빵이 세상 제일
맛있게 느껴질 때이다.
눈 쌓인 공원은 그럴싸한 분
위기를 품어낸다. 단 하나의
발자국도 없는 뽀얀 눈 위를
걸어갈 때면 누가 먼저랄 것
도 없이 연신 웃어 대던 우리
였다. 하지만 겨울의 공원은
대부분 거칠고 황량하다. 온
기도 습기도 없이 바짝 말라
버린 생기 없는 나무들이 그
득하다. 몇 해 지났을 때였을 까? 그 적막한 엄동의 시절을
견디며, 봄을 위해 바삐 움직
이는 생명체들의 존재를 알게
되었을 무렵, 그곳의 겨울이 그제야 사랑스럽게 느껴졌다. 아이와 산책하며 공원의 사계
절을 여러 해 동안 보고 느껴
보았다. 이제는 눈을 감아도 그 공원의 봄, 여름, 가을, 겨 울의 공기와 냄새, 소리, 주변 풍경을 머릿속에서 그려볼 수
있다. 전업주부로 집에 있는
동안, 내게 허락된 작은 호사 였지만, 아이와 나에게는 선 물 같은 시간이었다.

엄마는 이 멋진 걸, 이렇게나 어른이 된 후에 알았는데 넌 훨씬 먼저 알게 되어 다행이야.
온몸으로 느낀 사계절과 자연의 경이로움이
너의 삶 속에 오래도록 기억되길.
이번 주말에는 꼭 산책하러 가자.








세계 주요 국가 언론매체가 선
정하는 ‘올해의 차’ 상을 전기차
가 휩쓸고 있다. 신형 전기차 출
시가 급증하고 있는 반면 엔진
차 출시는 크게 줄어든 결과로
보여진다.
지난 11일(현지시각) 발표한
‘2023 북미 올해의 차(NACTOY)’에서 기아 전용 전기차
EV6가 스포츠 유틸리티 차량 (SUV) 부문 ‘올해의 차’로 선정 됐다. 또 트럭 부문은 포드 전기 픽업트럭 F-150 라이트닝이 선 정됐다.
소형 세단 부문은 혼다 럭셔리 브랜드 어큐라의 '인테그라'가
차지했다. 3개 부문 가운데 2개
부문에서 전기차가 ‘올해의 차’ 로 뽑혔다.
기아 EV6는 지난해 ‘2022 유럽 올해의 차’에 이어 ‘2023 북미 올해의 차’로 선정되면서 세계
3대 올해의 차 중 2관왕에 올 랐다.
2023 북미 올해의 차 SUV 부
문에서는 기아 EV6 외에 제네 시스 GV60, 캐딜락 리릭 등 총
3개 전기차 모델이 최종 후보 에 올랐다. 12일(현지시간) 발

표한 ‘2023 유럽 올해의 차’에 는 스텔란티스의 소형 전기 SU 짚 어벤저(Jeep Avenger)가 선정됐다.
유럽 올해의 차는 유럽 전역의 23개국 59명의 자동차 저널리 스트 패널이 지난 12개월 동안
의 평가를 거쳐 최고의 차를 선 정하며, 최종 후보에는 폭스바 겐 전기차 ID 비즈, 닛산 전기차 아리야(Ariya), 기아 니로, 푸조 408, 르노 아스트랄(Austral), 스바루 솔테라( Solterra), 토요 타 bZ4X가 올랐다.
짚 어벤저는 유럽에서 사이에 서 빠르게 늘어나고 있는 B 세 그먼트 SUV에 대한 니즈에 맞 춰 개발된 보급형 전기차 모델 로, 지난해 10월 첫 공개 이후 현재까지 약 2만 대 이상의 계 약이 이뤄진 것으로 알려졌다.
어벤저는 길이 4,080mm로 컴 팩트 모델인 레니게이드 보다 160mm가 짧으며, 프론트 및 리어 오버행을 짧게 디자인해 비율적인 완성도를 높인 것이 특징이다.
또한, 스텔란티스의 합작법인 인 이모터스(EMotors)가 출시

한 2세대 400V 전기모터를 탑
재해 최고 출력 156마력과 최
대 토크 26.5kg.m의 파워를 발 휘한다.
일본 ‘2022-2023 일본 카 오
브 더 이어’에서는 닛산자동 차의 경 전기차 ‘사쿠라’와 ‘미 쯔비시 ’eK 크로스 EV‘가 대상 을, 현대자동차의 전기차 아이 오닉5가 올해의 수입차로 선 정됐다.
지난해 5월 판매를 시작한 닛산 경형 전기차 사쿠라는 20kWh급 배터리팩이 장착, 항속거리가 최대 180km에 불

과하지만 경차 혜택 등을 배 경으로 일본에서 폭발적인 인 기를 끌고 있다. 이 외에 13일 발표한 인도 2023 ICOTY에서 도 기아 EV6가 그린카 상을






































































































































































줄을 서는 건 큰 결심이 필요하지만 충분한 보상을 받을 수 있는 곳들이 있다. 12월, 직접 기다리고 끝내 맛을 본 도쿄 가게들이다. 도쿄에는 수많은 맛집이 있는데,
츠지한
일본 〒103-0027 Tokyo, Chuo City, Nihonbashi, 3 Chome−1−15 久栄ビル1階







츠지한(つじ半)은 참치와 새우, 조개, 오징어, 오이, 파 등을 다져 밥 위에 올린 특별한 회덮 밥을 판매하는 식당이다. 코로나19 이전에는 영업 1시간 전부터 줄을 서고, 영업시간 내내 사람이 몰렸다. 3년이 지난 지금 ‘조금은 인기가 덜하겠지’라고 생각했지만, 여전히 줄을 서고 있었다. 식사 시간도 아닌 오후 4시에 도착했으나 여전히 많은 사람이 이 한 그릇을 먹기 위해 40~50분을 대기했다.
총 4가지인데 금액이 비싸질수록 연어알, 게살, 우니 등 양과 재료가 추가된다. 맛과 가성비를 다 잡으려면 연어알과 게살이 더해진 중간 메뉴 타케(take, 1650엔)를 추천한다. 이 식당의 식사는 3단계로 나눠진다. 전채 요리로 참깨소스를 곁들인 회가 3~4점 나온다. 2점 정도 먹고 마지막 단계를 위해 2점은 남겨야 한다. 메인은 고소하고 담백한 회와 고슬 고슬한 밥이 어우러진 회덮밥을 먹는다. 마지막으로 도미 육수에 남은 밥을 말아 먹거나 밥 을
❷ 하루 3시간만 키친 펀치
Kitchen Punch
2 Chome-7-10 Kamimeguro, Meguro City, Tokyo 153-0051
요리사와 종업원 단 2명이 운영하는 요쇼쿠 전문점 키친 펀치(キッチン パンチ). 나카 메구로에서 오므라이스와 나폴리탄, 함박스테이크, 새우튀김 정식 등 요쇼쿠를 즐기 려면 잊지 말아야 할 식당이다. 아쉬운 건 영업시간이 매우 짧다는 점. 일~월요일 쉬는 데다가 식사가 가능한 날에도 오전 11시30분부터 오후 2시까지 단 3시간만 문을 연 다. 요리사 한 분이 모든 음식을 제공하다 보니 느긋하게 기다려야 한다. 그럼에도 맛 은 확실하니 걱정하지 않아도 된다.
오므라이스와 나폴리탄을 메인으로 하고 반찬처럼 튀김을 곁들여 먹을 수도 있다. 새우튀김, 미니 함박, 멘치카츠, 게 크림 고로케, 치킨 가라아게, 감자 샐러드 등이 있다. 특히, 엄청난 크기의 새우튀김은 랍스터 부럽지 않고, 10~3월까지는 굴 튀김이 있으니 꼭 맛보는 걸 추천한다. 모두 친근 한 메뉴지만, 간이 선명에 입에 쫙 달라 붙는 맛이다.
일하는 분들의 친절함은 덤이다.








❸ 카페의
스타벅스 리저브 로스터리 도쿄 2 Chome-19-23 Aobadai, Meguro City, Tokyo 153-0042
나카메구로에 갈 이유가 하나 더 생겼다. 세계에 단 6개밖에 없는 스타벅스의 특화 매장 리
저브 로스터리 도쿄(Starbucks Reserve Roastery Tokyo)가 있기 때문이다. 스타벅스에 대한 호감도와 별개로 커피에 관심이 있다면 한 번쯤 갈 만하다. 일단, 방문하면 대기 번호
부터 등록해야 한다. 주말 오후에 가면 보통 45~60분 정도 기다리는데, 바로 옆에 돈키호 테가 있고, 메구로강도 있어 구경하면서 기다릴 만하다.
긴 대기 끝에 4층 규모의 단독 건물에 입장한다. 그 자체로 커피 테마파크다. 커피는 물론 티바나, 테라스, 베이커리, 바 등 다양한 공간이 준비돼 있다. 특히 3층 테라스는 나무와 눈
맞춤하는 높이라 벚꽃 시즌에 엄청난 인파가 몰릴 것 같다. 게다가 흥미로운 원두가 많다.
한국에서 만날 수 없는 리저브 원두 리스트가 많고, 구매할 수 있는 원두도 꽤 다양하다. 위
스키 통에서 숙성한 배럴 에이지드 콜드브루 같은 특별한 커피 메뉴도 있다.




1 Chome-4-1 Nihonbashimuromachi, Chuo City, Tokyo 103-0022


여러 상점과 백화점이 있다. 특히, 백화점에 들어가면 지갑을 조심해야 한다. 패션 상품만 아니라 디저트, 화과자 등 눈을 사로잡는 먹거리가 밀집해 있으니 말이 다. 긴자 미츠코시(三越) 백화점 지하 2층 누아드뵈르(noix de beurre)의 피낭시에도 그냥 지나칠 수 없다. 갓 구운 피낭시에의 향긋함의 파괴력은 엄청나다. 이 가게를 모르고 왔다 하더라도 줄을 서게 만들 정도다.
이미 인기가 많은데, 한 번에 50~60개를 구매하는 이들도 여럿 있다. 겉에는 바삭하고, 속은 촉촉한 피낭시에는 버터와 아몬드 향이 절묘하게 어우러져 있다. 여기에 적 당한 단맛은 한 번 맛보면 끊을 수 없다. 피낭시에 외에도 마들렌, 까눌레, 레몬케이크, 갈레 트브루통, 캐러멜 바나나 케이크 등도 추천 메뉴다. 또 신주쿠 이세탄 백화점, 니혼바시 미 츠코시 백화점에도 매장이 있으니 가까운 곳으로 방문하면 된다.

원 프로와 나누는 골프이야기
글 : 티칭 프로 원성욱 (0402 598 961)
안녕하세요?
시간, Time이라는 것이 인생에서 중요하다
는 것은 누구나 다 아는 사실이죠. 하지만
어렸을 때는 이 시간의 중요성을 잘 모릅니
다. 그저 등교 시간을 지켜야 한다는 정도만
알고 지내죠. 성인이 되어가면서 시간의 중
요성을 깨닫고 계획을 세워서 허튼 시간을
줄이며 살아가는 법을 배우고 실행하게 됩
니다. 그렇게 시간을 잘 활용하는 사람이 소
위 성공한 사람이라는 말을 듣게 되죠.
어떤 사람은 철저하게 시간을 쪼개어 살아
가지 않고 그냥 탄력 있게 시간을 지키기도
그렇지 않기도 하며 살아가지만 남 부럽지
않게 살아가기도 합니다. 한편 시간에 대하
여 아무런 느낌을 갖지 않은 사람이 있다
면… 이를테면 아무 때나 일어날 정도로 시
간에 대한 개념이 없다면 생활이 불가능 하 겠죠?



골프에서 골프 채도 중요하고 스윙 동작도 중요합니다. 하지만 그 모든 것들이 움직일 때 시간을 못 맞춘다면 어떤 일이 생길까 요? 여기서 말 하는 시간은 Timing입니다.
Timing 이란 이렇게 설명할 수 있겠죠. 골 프 클럽의 헤드와 그것을 잡고 있는 두 손과 그 손이 움직이게 해주는 상체와 상체를 받 쳐주고 있는 하체 이렇게 4부분의 움직임 이 각각 다른 크기의 동작을 하면서 일정한 비율에 맞게 움직이는 중 클럽 헤드 페이스 가 정확한 방향과 각도로 공을 맞추도록 하 는 것이라고 할 수 있습니다. 좀 어렵나요? 그렇다면 이렇게 상상을 해 보죠. 두개의 톱 니 바퀴가 있습니다. 하나는 50개의 톱니가 다른 하나는
한 바퀴 돌 때 25개톱니를 가진 바퀴는 두바퀴를 돌겠죠?










by 숲속의 작가 / 브런치
물가를 어떻게 하면 잡을 수 있을까
❶ 몇 해 전 여름, 임대차 3법이 시행이 되었다. 여러 가지 조항이 있지만 그중에 가장 중요한
건, 2년 전세 계약이 만기 될 때 기존 임차인은 임대료 5% 상한선 이내로 추가 2년 임대 갱신
이 가능한 것이다.
"음. 임대료를 올리지 못하게 만들었으니 전세가가 안정이 되겠군."
예상은 보란 듯이 빗나갔다. 향후 4년간 임대료 인상을 할 수 없게 된 임대인들은 그만큼 초기
임대료를 높게 받았으니깐. 덕분에 전세가는 폭등에 폭등을 거듭했다. 전세가가 너무 비싸다
고 툴툴대는 임차인들에게 임대인들은 이런 말을 남겼다. "너 말고도 여기 들어올 사람 많아. 전세금 안 올려줄 거면 나가든가. 확 내가 들어와 살아버 린다?"
❷ 고물가와 취업난에 허덕이는 청년들에게 주택 및 상가 월세 지원금을 주는 지자체가 있 다. 청년들은 숨통이 트인다고 좋아했지만, 임대인들은 그 지원금을 반영해서 빠르게 월세를 올렸다. 너희들 돈 생겼잖아? "너희들 국가에서 지원받고 있지? 그거 감안해서 임대료 올려야겠어. 너 말고도 여기서 장사 하고 싶은 사람 많아. 임대료 안 올려줄 거면 나가든가."
❸ 몇 해 전부터 청년층의 주거난을 해결하기 위해 정부에선 전세대출제도를 시행하기 시작 했다. 목돈이 없어서 전세금을 마련하지 못하는 청년들에게 전세대출을 해주면 주거비 안정 에 이바지할 수 있겠지. 예상은 보란 듯이 빗나갔다. 청년들의 전세금 마련이 쉬워지자 임대 인들은 그만큼 전세금을 높게 받았으니깐. "너희들 국가에서 저렴한 이자로 전세대출받고 있지? 그거 반영해서 전세금 올려야겠어. 전
세금 더 올려도 가지고 올 수 있잖아? 너 말고도 여기 들어올 사람 많아. 전세금 안 올려줄 거
면 나가든가."
예상치 못한 일은 또 있었다. 사람들이 청년들의 전세대출을 지렛대 삼아서 마구잡이로 주택 을 사들이기 시작한 것. 덕분에 (전세 낀) 주택 가격은 폭등에 폭등을 거듭했다. 그 유명한 '갭 투자'의 시초가 전세대출제도에 있는 건 지금 와선 누구나
"보유세 올린다고? 그래 마음껏 올려봐. 어차피 우리는 그거 임차인들한테서
거야. 세금 반영해서 임대료 더 올려야겠어. 너 말고도 여기 들어올 사람 많아. 임대료 안 올려줄 거 면 나가든가."

비록 우수한 경제발전을 이루어냈고 세계 최정상급 선진국인 한국이지만, 막상 그 안에서 안 정된 삶을 살아내기엔 정말 쉽지 않다. 인생은 멀리서 보면 희극, 가까이서 보면 비극이니깐. 사람들의 삶에 가장 큰 영향을 주는 것은 바로 '물가'다. 물가가 너무 높아서 사는 게 너무 힘 들다. 무슨 김밥 하나에 5천원이야? 서울에 원룸 월세가 100만원? 왜 내 월급 빼고 다 오르는 거지? 이런 의문점이 끊이질 않는다. 도대체 정부는 뭐 하는 거야? 청년들은 안정된 직장과 꿈을 찾아 서울/수도권으로 몰린다. 하지만 주거형편은 정말 형편없 다. 서울 중심부는 언감생심이고 점점 더 외곽으로, 오피스텔에서 빌라로 고시원으로, 지상에 서 지하층으로 밀려난다. 비가 올 때마다 불안하다. 하지만 그러지 않으면 돈을 모을 수 없다. 미래를 위한 현재의 희생이 너무 크다.
어떻게 하면 임대료가 낮아질 수 있을까? 고민은 비단 한국만 하는 게 아니다. 저 멀리 태평양 건너 미국도 같은 고민을 한다. 그러니깐 한국에서 살기 힘들다고 영어 배워서 외국 나가봤자 똑같다는 소리다. 실리콘밸리에선 우리 돈으로 300만원이 넘는 월세도 흔하다. 임대료도 결국 수요/공급 법칙을 따른다. 임대료가 올라가는 건 임대 수요가 많기 때문이다. 한국의 경우 국토의 70%가 산지이고, 나머지 30% 평지 중에서 괜찮은 직장, 풍요로운 삶의 인프라를 누릴 수 있는 지역은 극히 일부분에 불과하다. 임대 수요가 몰리는 건 당연하다. 그럼 답은 간단하네? 임대주택을 많이 지으면 되잖아? 초등학생도 생각할 수 있는 답이다.
























앤소니 알바니지 총리는 1월 22일 음력 설날을 맞아 한호일보 등 동포 언론사에 설 날 연방 총리의 축하 메시지를 보내 한국어로 “새해 복 많이 받으세요(Sae hae bok mani badeuseyo!) 설날을 보내는 모든 분들이 즐거운 새해를 맞이하시기를 바랍 니다!”라고 인사를 전했다.
총리실에서 한인 커뮤니티에 음력 설날을 축하한다(Happy Seollal to everyone celebrating the Lunar New Year!)는 인사 메시지를 전하며 '설날(Seollal)'이란 한국어를 발음대로 영문으로 표현한 것은 종전보다 진일보한 것으로 보인다. 영문 과 한글 인사 메시지를 동시에 전했다.



알바니지 총리는 “설날의 즐거움과 풍경은 더 나은 미래를 만들기 위해 최선을 다 했던 이전 세대의 업적을 상기시켜준다. 수 세대에 걸친 노력, 헌신 및 창의성 덕분 에 우리는 2023년에 미래에 대해 기대하고 낙관할 수 있다”고 지난 세대의 기여 를 강조했다. 알바니지 총리는 “함께 즐기는 명절을 앞두고, 2023년에 모든 분들이 안전하고, 평 화롭고, 풍요로운 한해가 되기를 바랍니다”라고 인사했다.
가스・석탄 가격상한제, 전기요금 완화에 영향...
보웬장관 “정부의 시장 개입, 플러스 효과 발휘 예상” 2023-24년 가구 당 ‘$230’ 절감 기대 앤소니 알바니지

qldkoreanlife.com.au qldkoreanlife - 한국내 �성급호텔, 레스토랑, 프랜차이즈�납품 - 호주에서�한국으로�직수입된�호주산�양고기 (단품, 선물세트)
크리스 보웬 연방 기후변화 겸 에너지장관은 “호주 정부의 에너지 가격상한제가
2023년 예상 도매 전기요금을 낮추는데 일조하고 있다”고 21일 밝혔다.
연방정부는 지난해 12월 가스와 석탄의 도매가격을 제한하는 계획을 발표해 해당
업계와 야당의 강한 저항에 부딪혔다.
특히 가스 생산업계는 상한제에 대한 불만이 컸고, 일부 업체들은 불확실성을 거론
하며 소매업체와의 신규 계약을 꺼리고 있다.
하지만 보웬 장관은 ASX(호주 증시) 자료를 기반으로 한 재무부 분석을 제시하면
서 정부의 가격 완화 계획이 효과가 있다고 방어했다. 그는 “오늘 발표된 수치는 아
직 가야 할 길이 있고 해야 할 일도 많지만 우리의 개입이 영향을 미치고 있음을 보
여준다”고 주장했다.
재무부는 연방정부가 에너지 가격 완화 계획을 발표한 전과 후의 예상 도매가격 을 비교했다. 그 결과, 퀸즐랜드주 소매업체들은 12월 21일에 향후 전력 공급을 확
보하기 위해 11월 30일보다 메가와트시당 44% 낮은 값에 도매전력을 구매했다.
NSW 업체들은 38%, 남호주는 32%, 빅토리아주는 29% 싸게 샀다.
연방정부는 호주 가구가 2023-24년에 납부했을 것으로 예상된 에너지 요금보다 정
부 계획 덕택에 $230를 절약할 수 있을 것으로 전망했다.
하지만 보웬 장관은 이러한 가격 완화가 언제 일어날지에 대해서는 명확히 언급 하지 못했다.
내년 중반까지 평균 가정용 에너지 요금이 $700 오를 것으로 예상되기 때문에 정작 소비자들은 요금 절감 효과를 체감하지 못할 수도 있다.
앵거스 테일러 야당 재무 담당 의원은 “지금 당장 어려움을 겪고 있는 가계를 돕 는 조치가 필요하다”고 주장했다. 그는 “소비자들은 청구서가 오르고 있다고 말한 다”며 “가격을 낮추기 위해 가장 중요한 것은 시장에 더 많은 공급을 확보하는 것” 이라고 말했다.
보웬 장관은 가계에 약간의 요금 고통은 있겠지만 더 많은 지원이 있을 것이라고 말 했다. 그는 “에너지 경감 측면에서 아직 해야 할 일이 더 있고, 가장 저렴한 형태의 에너지, 재생에너지가 우리 시스템에 점점 더 도입되도록 보장하는 측면에서 해야 할 일도 더 많다”고 말했다.
연방정부는 일부 가구에 선별적 에너지 요금 지원을 제공할 계획이며, 3월까지는 주 및 준주 정부들과 세부 사항을 마무리할 방침이다.










프랜치랙 �kg 양�한마리�세트







신년벽두부터 새로운 변이 출현에 대한 국
내 언론 보도가 자극적이기 그지없습니다.
미국 내에서 빠르게 확산되고 있다는 오미
크론 하위 변이 XBB.1.5는 지금까지 보고
된 변이 중 가장 전염성과 면역 회피력이 강하다고 합니다. 개량백신이라고 이름 붙
은 오미크론용 백신도 별 효과가 없는 듯 하고요.
그런데 이제는 미국의 주류언론 측에서
도 분위기 파악이 시작된 듯한 조짐이 보 입니다.
대표적 주류 언론 중 하나인 월스트리트 저 널에 그동안 극소수 연구자들에 의하여 계

속 제기되어왔던 주장인 <백신이 바이러스 변이 발생을 주도하고 있을 가능성>에 대 한 기사가 실렸군요. 정식 기사가 아닌 오 피니언 기사입니다만, 불과 몇 달 전까지만 하더라도 백신이 감염과 전파를 막을 수 없 다는 명백한 팩트에 기반한 주장조차 빅텍 과 주류언론의 검열 대상이었음을 고려하 면 세상이 변하고 있음은 분명한 것 같습 니다. 이 기사에서는 최근 발표된 Nature, NEJM, Cell 논문 등을 인용하면서 바이러

백신이 새로운 변이
촉발하고 있다? by 이덕희
스가 자신들 복제에 방해가 되는 인간이 만 든 인위적 장치에 대한 회피능력을 빠르게 획득하고 있음을 보여주는 여러 연구결과 를 소개하고 있었습니다. 그리고 바이러 스 변이가 거듭됨에 따라 반복적인 백신접 종이 오히려 감염 위험을 높일 수 있음을 시사하는 최신 연구결과도 인용하고 있었 고요.






기사의 마지막은 바이든 정부가 치료제가 아닌 백신에 대한 편집광적인 집착을 보임 으로서 고위험군 미국인들을 새로운 변이 에 더욱 취약하게 만든다는 우려로 마무리 하고 있군요.
2021년 봄 전 세계적으로 백신접종이 시
작되면서 참으로 이상한 현상이 목격되기 시작했습니다. “확진자 수 급증, 인도뿐만
이 아니군요”에서 적었듯, 백신이 존재하
지 않았던 2020년 코비드 19 유행양상에
큰 차이가 있었던 세계 각국에서 동시다발
로 확진자가 폭증하기 시작하는 것입니다.
특히 확진자 증가 패턴이 통상적인 유행곡
선 형태와는 매우 달라서 백신접종이 어떤
식으로든 관계가 있을 것이라는 의구심을
버릴 수가 없었죠. 대규모 백신 접종이 바
이러스와 숙주 간의 공진화 과정에 오히려
방해가 되고 있는 것이 아닌가라는 생각을
하고 있던 와중에 벨기에의 Geert Vanden
Bossche박사가 쓴 WHO에 보내는 공개편
지를 읽게 됩니다.
Bossche박사의 주장을 요약하면 팬데믹
이 진행되고 있는 상황에서 시행하는 대규
모 백신접종은 진화적 선택압이 작동하기
쉬운 환경조건을 제공함으로써 더욱 전파
력이 높으면서 골치 아픈 바이러스 변이를

유도할 수 있다는 것이었습니다. 특히 코비 드 19 백신처럼 감염과 전파를 막을 수 없 는 leaky 백신의 대규모 사용은 유행을 통 제불가능하게 만들 수 있다는 그의 주장
은 진화론적 관점에서 매우 설득력이 있어
보였으며 당시 관찰되고 있던 real world
data와도 잘 맞는 듯했습니다. 이번 월스
트리트 저널 기사에서 언급하고 있는 내용
대부분은 2년 전 이미 Bossche박사에 의
하여 예견되었다는 점에서, 코비드 19 사
태는 최단기간 내에 misinformation이 진 실이 되고 진실이 misinformation이 되는
과정을 생생히 보여주는 매우 드문 역사적
사례가 아닐까 싶습니다.
이와 같이 해외에서는 주류 측의 내러티브 에 심각한 균열을 가져오는 연구결과에 대 한 논의로 사회가 점점 더 뜨거워지고 있 는데 비하여, 한국에서는 놀랍게도 현시점 백신접종을 원하지 않는 사람들을 두고 무 단횡단 교통사고에 비유하는 일이 벌어지 고 있군요. 아직까지 코비드 19 백신이 가진 한계와 문 제점에 대하여 제대로 이해하지 못한 것으 로 보이는 그들의 발언에 대하여서는 유구 불언입니다만, 진정으로 무단횡단 교통사 고에 가까운 일이 무엇인지는 시간이 좀 더 지나면 드러날 것으로 생각합니다.

코리안라이프






오늘은 발레 수업이 있는 날
이다. 시골마을에 발레 학원
이 어디 있겠나. 차 타고 30분
을 달려가야 하지만 일주일에
한 번 듣는 발레 수업이 요즘
내 삶의 유일한 낙이자 사치
다. 발레 수업을 듣는 날은 허
둥지둥거리지 않고 새하얀 도
화지 상태를 유지하다가 온통
음악과 동작으로 채워오고 싶
다. 그래서 흰쌀밥만 안쳐 놓
기로 했다. 냉장고에 진미채, 꽈리고추 볶음, 김장 김치, 달
걀이 있으니 밥만 있어도 한
끼는 거뜬하게 넘길 수 있다.
아침 일찍 일이 있는 날에는 화려하게 조미료를 뿌리거나
솜씨 좋게 채소를 다듬는 여
유를 부리지 못해 아쉽다. 좀
체 빨리빨리 요리하지 않는
내 부족한 실력 때문이지만,
천천히 흘러드는 아침을 방 해하고 싶지 않다. 오래간만
에 만난 안정적인 아침이 도
망갈까 무서워서 절로 눈치를
보게 된다.
대충 눈대중으로 쌀을 붓고
물을 틀었다. 깨끗하게 세척
해야 한다. 처음 자취를 시작
했을 때, 쌀을 얼마큼 붓고 물
을 어느 정도 넣어야 하는지, 몇 번 쌀을 씻어내야 하는지
혼란스러웠다. 물을 너무 조
금 부었더니 되다만 밥이 나
왔고, 물을 많이 부었더니 떡
이 나왔다. 부모님 집에 얹혀
살 때는 늘 차려진 밥상만 먹
었고, 해외에선 햇반만 먹었
던지라 밥솥 사용법도 익숙
하지 않아 버벅거리기 일쑤
였다.
“엄마, 이거 물 이만큼 넣는
거 맞나? 엄마가 손 잠길 정도
랬잖아.”
“그렇긴 한데, 엄마 손보다 네
손이 얇잖아. 잘하면서 왜 그
래. 잘해봐.”
걱정으로 가득하던 엄마 목소
리는 언제부턴가 놀림과 여유
로 가득하다. 다행히 지금은
밥 짓는 일도 익숙하니 대충
부어도 얼추 맞다. 이래서 요
리는 실전이라고 하나 보다.
‘흰 쌀만 보니 조금 아쉽네.’
잡곡밥의 열렬한 신봉자로서
흰쌀밥은 맛과 상관없이 덜
건강하다고 믿는 쪽이다. 냉
장고에 엄마가 챙겨준 강낭
콩이 한 봉지 들어있으니 오
랜만에 강낭콩 밥을 해 먹기
로 했다. 엄지 손가락 한 마디
크기의 동그스름한 강낭콩을
10알 정도 꺼내 쌀과 함께 씻 었다.
‘자동세척 기간이 경과했습 니다.’
밥솥을 켜니 분명 지난주에 세척했는데도 위생 신호를 보내고 있다. 분명 그저께 세
척을 했는데 왜 또 이런 알림
이 뜨는 건지 밥솥의 날짜 시
스템을 이해하지 못하겠지만, 바쁜 아침 시간에 10분도 아 껴야 한다.
‘그냥 하자.’
윤기가 흐르는 쌀을 깨끗하게
씻어서 밥솥에 안쳐놓고 예약
취사를 돌린 후 서둘러 집을
나섰다. 아마 발레 수업에 갔
다 오면 맛있는 밥이 완성되
어 있을 것이다.
방앗간에서 쌀도 판다는 사
실을 이번에 처음 알았다. 지
인에게 방앗간 쌀을 선물 받
았는데 먹어보고 깜짝 놀랐
다. 이게 진짜 소문으로만 듣 던 한국의 밥상에 올라가는
밥인가?!
“밥만 먹어도 맛있어! 쫀득하
고, 윤기가 좔좔 흐르고, 달아.
밥알 모양도 예뻐.”
가래떡과 참기름, 미숫가루
말고도 진짜 쌀을 팔다니! 경
산의 한 방앗간에서 공수해
왔다는 햅쌀은 먼 옛날 임금
님 밥상에 올라갔을 갓 지은
밥을 연상케 했다.
어릴 때부터 방앗간은 익숙한 공간이었다. 가래떡도 뽑고, 미숫가루도 빻아오고, 참기름 도 살 수 있는 구수한 마트나 다름없다. 묵은쌀로 가래떡
방앗간에서
by 히레 / 브런치
이나 절편을 뽑아오는 날이면 한 덩어리로 뭉쳐있는 뜨끈한
가래떡을 하나씩 떼어내 포
장하는 부모님 곁에 앉아 길 고 하얀 가래떡을 하나씩 집 어 조청에 푹 찍어 먹곤 했다.
고등학교 때, 얼마나 자주 떡
을 싸갔으면 반 친구들은 나
를 방앗간집 딸내미라고 생각
했단다. 우리 집의 방앗간 역
사가 나름 깊긴 하다. 무려 30
년이 넘도록 미숫가루에 들어
가는 각종 곡물을 직접 배합
해서 찌고, 말린 후 방앗간에
서 빻아와서 아침마다 타 먹
는다. 외할머니도 방앗간에서
참기름과 들기름을 직접 짜서
드시고 우리 집에도 나눠주신
다. 방앗간에 참기름을 의뢰
하러 가는 날이면, 모든 작업
이 완료될 때까지 방앗간 플
라스틱 의자에 앉아 기다린다 고 하셨다.
"힘든데 왜 앉아 계세요. 그냥 사 오세요."
“아니, 중간에 다른 걸 섞는다 니께. 감시해야혀”
우리 집 미숫가루도 할머니한
테 맡기고 오면 할머니가 참 기름을 짜는 방앗간에서 미 숫가루를 빻아온다. 알갱이
가 가루가 되어 비닐에 담길 때까지 자리를 지키고 앉아 계신다.
“나중에 따로 덜어가니께, 지 키고 있어야혀.”
방앗간에 무슨 신비한 힘이라 도 있는 걸까? 미숫가루도 직 접 빻은 것이, 참기름도 직접 짠 것이, 쌀도 직접 도정한 것
이 더 맛있다. 중간 상인 없이 다이렉트로 신선한 식품을 납 품받아서 그런 걸까? 시간이 고여있는 방앗간의 간판과 미 닫이 문을 보면 전래동화에 나오는 신령님이 특별한 기 운을 부리는 게 틀림없다. 수 시로 열리는 미닫이문을 타고 고소한 냄새가 흘러나오는 탓 에 지나가는 사람들은 신령의 요술이 섞인 냄새를 쫓아 고 개를 휙휙 돌린다. 이미 냄새 에 넘어가 버렸을 테다.
현관문을 열고 들어서니 밥 냄새가 진동을 했다.

보온 모드로 들어선 지 20분 정도 지났다는 사인이 떠 있 었다. 갑자기 허기졌다. 허벅
흰 밥 사이사이 강낭콩 이 껴 있었다. 냉장고에서 각 종 반찬을 꺼내서 접시에 옮 겨 담고, 달걀을 꺼내 프라이 를 했다. 차리고 보니 나름 3첩 반상이 다. 국은 없지만 반찬이 색깔 별로 줄지었다. 빨간 진미채, 노란 달걀 프라이, 녹색 멸치 볶음, 화려한 김장김치, 화룡 정점 강낭콩 밥까지. 이렇게 또 한 끼를 해결했다.
'취사가 시작됩니다.' 어릴 때 끼니때가 되면 압력 밥솥 돌아가던




본 광고 이미지는 코리안라이프가 제작하였습니다.
화폐(돈)이 생기기 전인 옛날에는 필요한 물건을 서로 교환하는 물물교환을 했습니 다. 장날이 되면 계란을 가져와서 떡으로 바꾸고, 양과 염소를 몰고 와서 쌀로 바꾸 어 갔습니다. 오 천년 전, 화창한 봄날 주 변 마을의 사람들이 모인 장날에 달걀을 팔러간 두 친구 삼돌이와 맹구의 경우를 생각해봅시다. 삼돌이는 달걀을 12개씩 묶어서 한꾸러미로 만들었습니다. 그러나 맹구는 달걀을 열 개씩 묶어서 한꾸러미 로 만들어 시장에 가지고 왔습니다.

* 정답은 40p에 있습니다.

세 사람이 와서 삼돌이와 맹구의 달걀을
사려고 왔습니다. 삼돌이는 아무 문제없 이 세 사람에게 달걀을 네 개씩 나누어 주
고 떡이나 채소를 받았습니다. 그런데 맹
구는 문제가 생겼습니다. 세 사람에게 달
걀을 세 개씩 나누어 주니 한 개가 남았습
니다. 남은 한 개를 서로 가지려고 사람들
끼리 싸움이 난 것입니다. 처음부터 12개
씩 한꾸러미로 만든 삼돌이는 의기양양하
게 집으로 돌아갔지만 10개씩 한꾸러미
로 만들었던 맹구는 싸움에 휘말려 달걀
도 다 깨지고 아무 것도 얻지 못하고 오히

려 다리에 상처만 입고 아픈 몸을 이끌고
처량하게 집으로 돌아갔습니다. 그 후부
터 맹구는 달걀 12씩으로 한꾸러미로 만
들어 시장에 가지고 갔고 물물교환도 잘
할 수 있었습니다.
위의 이야기처럼 그 옛날부터 사람들은
10진법이 아닌 12진법을 주로 사용했습
니다. 10의 약수는 1,2,5,10 뿐이므로 3으
로도 나누어지지 않습니다. 그러나 12는
약수가 1,2,3,4,6,12를 가지므로 2,3,4,6
으로 다 나누어지므로 어떤 경우에도 나
누기가 쉽습니다. 나누기 쉬운 그런 편리
한 점때문에 사람들은 12진법을 더 많이
사용했던 것입니다. 하지만 인구가 늘어
나면서 사회가 복잡해지자 5로도 나누어
지는 수인 60을 사용하기 시작했습니다.
그래서 1 시간을 60 분 60초로 나누게 된
것입니다. 한바퀴를 360도로 정한 것도
바로 그러한 이유 때문입니다. 60의 약수
는 1,2,3,4,5,6,10,12,15,20,30,60 입니다.
이렇게 약수가 많으므로 어떤 경우에도
나누기가 쉽습니다. 그래서 60진법을 오
랫동안 사용했고 지금까지도 많은 나라에 서 사용하고 있으며 시간과 각도는 아직 도 60진법을 기준으로 합니다. 60 진법을 기준으로 하여 사람의 일생을 15년씩 나
누어 초년, 중년, 장년, 노년으로 나누었습
니다. 60살까지를 인생의 끝으로 본 것입 니다. 전쟁이나 질병으로 죽는 경우가 많 아서 60살까지 사는 사람은 참으로 드물 었습니다. 그래서 61살이 되면 새로 태어 난 것으로 생각하여 크게 잔치를 하였습 니다. 그것이 바로 환갑 잔치였습니다. 옛 사람들은 하늘을 10, 땅을 12로 나누었습 니다.
하늘의 10을 십간(十干), 땅의 12를 12지 (12支)라고 불렀습니다.
- 십간 : 갑, 을, 병, 정, 무, 기, 경, 신, 임, 계
- 십이지 : 자(쥐), 축(소), 인(범), 묘(토끼), 진(용), 사(뱀), 오(말), 미(양), 신(원숭이), 유(닭), 술(개), 해(돼지)
십간과 십이지를 한 글자 씩 따서 갑자, 을 축, 병인, …, 계해까지 하여 총 60가지가
생깁니다. 10과 12의 최소공배수가 바로 60입니다. 10진법과 12진법이 만나 60진 법이 생긴 것입니다. 갑자로 시작하여 한 바퀴 60년을 돌고 다시 갑자가 시작되면 돌아온 갑(환갑 還甲) 이라고 하여 환갑이 라고 하는 것입니다. 환갑을 한 평생으로 본 것입니다. 지금은 그보다 평균수명이 더 길어져서 환갑이 되어도 노인으로 취 급하기 않습니다. 이렇듯이 10 진법, 12진 법, 60진법은 우리의 일상생활과 관련하 여 자연스럽게 생긴 것입니다. 수학이 우 리의 생활의 일부인 것이지요. 학생 여러 분, 항상 열심히 공부합시다. 파이팅~!

















1. 말의 새끼
3. 쓰레기나 폐기물을 태우는 곳
5. 하얗게 센 머리털
6. 추위를 막기 위하여 입는 옷
8. 마지막으로 도착하는 곳
10. 술을 마심
13. 남을 대할 만한 체면, 낯
15. 어떤 지역의 가장자리가 되는 곳
17. 다른 나라의 물품을 사들여 오는 상인
19. 한 물체에서 다른 물체까지의 거리나 공간
20. 어떤 일이나 현상의 마지막 단계
21. 남들이 하는 말 따위를 얻어들어서 앎
세로 열쇠
1. 망령이나 실수로 그릇된 말이나 행동을 함
2. 서울 이외의 지역
3. 하얗게 차려입은 옷
4. 좋거나 잘하는 점
5. 벼슬 없이 군대를 따라 싸움터로 감
7. 중도에 쉬지 아니하고 한 번에 달려감
9. 기사나 글이 실리는 인쇄물의 면
11. 어떤 대상의 둘레
12. 현장 부재 증명
14. 목에 거는 물건
16. 귓구멍 안쪽에 있는 막
17. 아랫도리에 입는 옷
18. 드나드는 목의 첫머리
19. 총이나 올가미로 야생의 짐승을 잡는 일 낱말퍼즐


























귀하게 쓰시는 인물일수록,

양병구 목사
골드코스트 온누리교회
바울이 감옥에 갇힘으로 인해
서 빌립보교회 성도들이 근심
했습니다. 그래서 바울은 걱정
하는 빌립보교회 성도들에게
자신이 감옥에 갇힌 것이 오
히려 그리스도의 복음에 진전
이 있었다고 말하면서 상황에
상관없이 복음에 합당한, 열매
맺는 삶을 살아가라고 권면했
습니다(1장). 그런 후에 바울
은 빌립보교회에 있었던 분
열과 여러 가지 문제들을 생
각하면서 공동체가 하나 되기
위해서 겸손의 모범을 제시합
니다. 바울이 제시하는 모범
은 온유하고 겸손하신 그리
스도 예수의 마음을 품는 것
입니다.
비우는 마음(5절)
공동체가 하나 되기 위해서는
마음을 비워야 합니다. 비운다
는 것은 여러 가지 의미가 있 습니다. 먼저 비움은 자신의
권리를 내려놓는 것입니다.
자신의 위치를 내려놓는 것입
니다. 예수님께서 하나님의 위
치를 내려놓으셨습니다. 또한
비운다는 것은 집착하지 않는
다는 것입니다. 우리가 집착을
버릴 때 초연해지고 자유로워
집니다. 비운다는 것은 맡기
는 것입니다. 우리는 자신이
소중히 여기는 것에 집착하는
경향이 있습니다. 그것 때문에
염려하고 근심합니다.
요한복음 2장에 나오는 가나
혼인잔치의 기쁨은 모자람을
통해 주어진 기쁨입니다. 포도
주가 모자랐기 때문에 예수님
의 능력이 드러났습니다. 포도
주가 모자랐기 때문에 기적을 경험했습니다. 그래서 하인들
이 예수님을 알게 되고, 제자 들이 예수님을 믿게 되었습니
다. 모자람의 기쁨은 기도 응
답의 기쁨이기도 합니다. 우
리는 모자랄 때 기도하게 됩
니다. 대표적인 사람은 죠지
뮬러 목사님입니다. 죠지 뮬
러의 일기는 모자람의 은혜
와 기쁨으로 가득 차 있습니
다. 그는 수많은 고아들을 먹
이기에는 늘 무언가가 모자랐 습니다. 그때마다 그는 기도했
고, 그때마다 하나님께서 채워
주셨습니다. 그는 하나님께서
채워주신 것을 다시 나눔으로 비웠습니다.
낮추는 마음(8절 상)
공동체가 하나 되기 위해서
는 자신을 낮춰야 합니다. 공
동체를 섬기는데 가장 중요한
것은 자기보다 남을 낫게 여
기는 겸손한 마음입니다(빌 2:3). 사탄 마귀는 우리를 높은
데 세우고 흔들기를 좋아합니
다. 예수님을 유혹했던 마귀가
예수님을 데리고 올라간 곳은
성전 꼭대기였습니다. 마귀는 높은 곳, 교만한 자리를 좋아 합니다. 그런데 마귀가 보여 주는 교만한 길은 멸망의 길
입니다. 반대로 예수님은 겸
손하셔서 낮은 곳을 좋아하십 니다. 예수님께서 보여주신 길 은 생명의 길입니다.
낮추는 마음에 하나님의 은혜 가 임합니다. 하나님의 은혜는
위에서 아래로 흐릅니다. 그러
므로 하나님의 은혜를 경험하 는 기쁨을 누리기 위해서는
마음을 낮추어야 합니다. 낮
추는 마음에는 쉼이 있고 여
유가 있고 유머가 있습니다.
한 알의 밀알은 땅에 떨어져
죽어야 많은 열매를 맺을 수
있습니다. 자신을 낮추고 아
래로 떨어져 죽어 뿌리를 내
려야 열매를 맺습니다. 하나
님께서 쓰신 인물들은 한결
같이 떨어지는 경험을 했습 니다. 하나님께서 귀하게 쓰
시는 인물일수록 고난을 통해 낮추십니다. 그런 점에서 낮아 짐은 축복입니다. 하나님께서
는 교만한 사람을 물리치시지 만, 하나님과 사람들 앞에 겸 손한 사람들에게 은혜를 베푸 십니다.
순종하는 마음(8절 하) 공동체가 하나 되기 위해서는 순종해야 합니다. 인류의 비극 은 아담과 하와의 불순종에서 시작되었습니다. 반면에 예수 님의 순종으로 인류에게 영생 의 길이 열렸습니다. 예수 그 리스도의 ‘성육신’과 ‘십자가 죽음’에 나타난 겸손과 순종 이야말로 그리스도인들이 따 라야 할 최상의 모범입니다.
그러나 순종은 쉽지 않습니 다. 히브리서 기자는 예수님께 서도 ‘그가 아들이시면서도 고 난을 통해서 순종을 배우셨다 (히5:8)’고 증언합니다. 그러
므로 우리가 경험하는 고난을
낭비하지 마시기를 바랍니다. 고난 때문에 낙망하고 원망하 지 마시기를 바랍니다.
예수님은 자기를 비우시고 종 의 형체를 입으셨습니다. 예수 님은 섬기는 종으로 오셨습니 다. 종의 마음은 섬기는 마음 입니다. 우리가 종의 마음을 품게 될 때 순종할 수 있습니 다. 그런데 우리의 육신은 섬 기는 것을 불행으로 여기고 짐으로 생각합니다. 그러나 우리의 영은 예수님의 마음 을 품고 섬김을 통해 진정한 기쁨을 누리고 부요를 경험 합니다. 예수님의 마음을 품읍시다.
애써 다른 생각을 하려 해도 선명하게 기억
나는 악몽에 사로잡혀 하루 종일 불안했던
적이 있는가? 살인마에게 밤새도록 쫓기거 나 귀신을 마주치는 등 생각도 해보기 싫은
장면들을 생생한 꿈으로 꾸고 나면 다음 날
찝찝한 마음에 되던 일도 잘 되지 않는다. 우
리는 도대체 ‘왜’ 악몽을 꿀까? 악몽의 정의, 악몽을 꾸는 이유부터 그동안 궁금했던 악몽 에 대한 진실과 거짓까지! 우리를 괴롭히는 악몽 이야기.
악몽은 간단히 말하면 수면 중에 꾸는 아주 무서운 꿈이다. 악몽은 렘(REM)수면 상태에 서 만들어지기 때문에 렘수면이 왕성한 새벽 에 많이 꾼다. 일반적으로 악몽은 길고 정교 한 꿈속에서 이루어지며 대부분 잠에서 깨어 나면서 끝나게 된다. 잠에서 깨어나면 완전 한 각성 상태로 돌아오며 꿈의 내용을 명확 하게 기억한다.
악몽을 꾸는 이유는 뭘까? 일반적으로 수면 은 렘수면과 논렘수면이 반복적으로 나타 났을 때 질 좋은 수면이라고 한다. 렘수면은 몸은 자고 있으나 뇌는 깨어있는 상태의 수 면을 말한다. 렘(REM)수면은 이 수면의 특 징적인 현상인 급속 안구 운동(Rapid Eye Movement)의 머리글자를 따서 붙인 것이
다. 대부분의 꿈은 얕은 잠인 렘수면 상태에
서 이뤄진다. 악몽은 논렘수면에 비해 렘수
면의 주기가 잦아질 때 찾아오게 된다.
가위눌림은 악몽과 다르다. 빠져나올 수 없
는 터널을 겨우 헤치고 나온 듯한 불쾌하고
무서운 경험이다. ‘가위눌림’은 의학적으로
는 ‘수면 마비’라고 표현한다. 이 같은 가위
눌림은 정말 큰 가위에 몸이 짓눌린 듯 꼼
짝 못 하는 느낌을 받게 되는데 유독 자주 경험하는 사람이 있는가 하면 그렇지 않은
사람도 있다.
가위눌림은 악몽, 공황 발작 증상과 혼동되 곤 한다. 하지만 가위눌림의 주요 증상은 몸 이 내 맘대로 움직여지지 않는 마비 증상이 다. 악몽은 나쁜 꿈을 꾸어 불안감을 느끼
는 것이며 공황 발작은 숨이 막힐 것 같거
나 가슴이 답답해지는 느낌을 받는다. 두 가 지 모두 몸이 마비되는 느낌은 뚜렷하지 않
다는 점에서 가위눌림의 증상과는 차이를 보인다.
자기 전에 많이 먹으면 악몽을 꾼다는 설이 있다. 이것은 사실일까? 실제로 자기 전에 음식을 많이 먹으면 신진대사를 촉진하여, 자는 동안 뇌가 활동하는 시간이 길어진다. 몸은 잠든 상태인데 뇌는 활동 중이면 악몽 을 꾸게 될 확률이 높아진다는 것이다. 그러
므로 악몽을 꾸고 싶지 않다면 자기 전에 많 이 먹지 말 것.
렘수면은 얕은 잠의 단계로 뇌 활동과 안구 운동이 계속적으로 이어져 우리가 꿈을 꾸 게 된다. 그래서 수면 장애로 이 얕은 수면의 단계가 비정상적으로 길어진다면 악몽을
꿀 확률도 높아진다. 또한 최소 6시간 30분
이상은 잠을 자야 하며 수면 시간이 적은 사
람들은 그렇지 않은 사람들보다 꿈을 꿀 확 률이 높아지고, 악몽의 빈도수도 높아진다.
술을 마시면 악몽과 같은 ‘좋지 않은 꿈’을
꿀 확률이 높은 것으로 나타났다. 우리의 몸
은 술을 마신 후 기억을 잃기 전 가능한 한
많은 정보를 수집하는데, 이때 만약 감정적
으로 술을 마시는 사람이라면 이러한 생각
과 감정은 꿈에 반영되어 강렬하게 잊혀지 지 않거나 연상시키는 꿈을 꿀 수 있다. 악 몽을 꾸는 것이 두렵다면 술은 꼭 적당히 마
시도록 노력하자.
영국의 한 연구팀이 발표한 연구 결과에 따
르면 중년기에 악몽을 자주 꾸는 사람은 치 매 발병 위험이 높은 것으로 나타났다. 스트 레스, 불안, 수면 부족 등의 원인으로 적어도 일주일에 한 번꼴로 악몽을 꾸는 사람은 성 인의 약 5% 정도다. 파킨슨병 환자를 대상 으로 한 이전 연구에서 악몽을 꾸는 것이 미

래 인지 기능 저하 속도와 치매 발병 위험과 연관성이 있는 것으로 밝혀졌다.
악몽은 주로 3~6세의 어린아이들이 많이 경 험하며, 열 살이 넘으면 악몽을 꾸는 빈도가 점점 줄어든다. 어린아이 중 40%가량이 악 몽을 빈번하게 꾸며, 10대와 청년들도









한국통합민원센터
해외 학력서류에 대한 현지 아포스티유, 원스톱 서비스 ‘배달의민원’ 통해 원어민 강사, 영어교사 등도

글로벌 O2O 민원행정 플랫폼 기업인 한국통
합민원센터 ‘배달의민원’에서 해외 현지 학력
서류에 대한 아포스티유를 국내외 어디서든
원스톱으로 간단히 처리할 수 있는 서비스를
제공한다고 밝혔다.
해외에서 학교를 졸업한 사람의 경우, 본인의
학력 증명을 위해 아포스티유를 받아야 하는
경우가 종종 발생한다. 취업, 유학, 국가자격
시험 응시 등을 위해 (현지)학력서류에 대한
아포스티유를 사전에 받아 제출해야 하는 상
황이 그렇다. 하지만, 출신학교가 자신이 거주
하고 있지 않은 해외에 있는 경우, 현지에서 아
포스티유를 받기에는 많은 시간과 비용이 소
모될 수밖에 없다.
호주에서 유학 경험이 있는 이씨는 “한국 대학
원 진학을 위해 호주 대학교 졸업증명서를 현
지에서 아포스티유 받아 제출해야 하는데, 시
간과 비용이 너무 많이 든다”고 호소했다. 다
행히 민원서류 발급대행 전문기관의 도움으 로 해당서류를 신속히 발급받을 수 있었으며
대학원에 무사히 입학할 수 있었다.
실제 많은 개인과 기업, 해외 교민들이 민원서
류를 제출함에 있어 여러 부분에서 애로사항
을 겪고 있다. 특히 한국에서 입시를 준비하는
유학생들과 취업을 앞둔 청년들이 자신의 성
적, 졸업 등 학력 관련서류에 대한 아포스티유
받는 데 많은 시간과 비용을 지불하는 등 어
려움을 겪고 있다. 한국통합민원센터 해외사업팀은 해외 학력
서류에 대한 아포스티유를 원스톱으로 간단
히 처리할 수 있는 서비스를 제공하고 있다. 해
외사업팀 유태형 차장은 “최근, 대학(원) 진학
을 위한 아포스티유 문의가 급증하고 있다”고
전하며, “해외 학교 졸업자의 경우 아포스티유
인증을 필수로 요구하고 있는 만큼 전문기관
의 도움을 받아 신속하고 안전하게 처리할 것
을 추천한다”고 말했다.
한국통합민원센터 ‘배달의민원’은 원어민 강
사, 영어교사 등록을 위한 해외 학력서류 아포
스티유도 인터넷과 모바일을 통해 클릭 한 번
으로 원스톱으로 진행해주고 있다. 또한 각종
해외서류에 대한 번역 및 공증촉탁대리, 외교
부인증, 대사관인증 등 필요한 모든 절차를 비
대면으로 간단히 처리할 수 있는 서비스도 제 공하고 있다.
한편, 작년에 미국 지사(www.quikquik.us) 를 설립한 한국통합민원센터는 현재 중국, 베
트남, 캐나다 등 지사 설립을 확대 추진하는 등 전 세계로 서비스를 확장해 나아가고 있으며, 2024년 상반기 코스닥 상장을 추진 중이다.
검사 (FibroScan) - 비자에 상관없이 무료
담당자: 송준석
연락처: 0428 484 595 | korean@eccq.com.au
조찬기도회 기독실업인과 전문인들이 뜻을 합하여 예수 그리스도가 구주임을 증거하고, 주님의 지상명령을 성취하는 국제적 사명 공동체로(세계 96개국) 매주 1회 조찬기도회로 모여, 기도하는 형태가 다른 교회입니다.
한국에는 281개 지회와 해외에는 130개 한인지회가 있으며, 호주에는 브리즈번, 시드니, 멜버른, 퍼스에 지회가 있습니다.
예배인도 : 지태영 목사 (UCA 은퇴목사 / 창신대 석좌교수)
모임 : 매주 목요일 아침 7시 ~ 8시 | 장소 : 베스트 웨스턴 호텔 다이아나 연락처
알파크루시스대학교
브리즈번 캠퍼스 개설과정
브리즈번 한국학부 캠퍼스 2023년 2월 Open!
1948년 개교한 알파크루시스대학교는 시드니 본교를 중심으로 브리즈번, 멜번, 에들레이 드, 퍼스, 호바트 그리고 오클랜드(NZ)에 캠퍼스를 두고 있으며, 한국학부는 지난 25년간 호주내 한인이민교회와 다문화사역, 해외선교를 위한 목회자, 전문사역자 양성에 일익을 담당해 왔습니다.
브리즈번 캠퍼스 개설과정: 준학사 목회사역 훈련과정
- Certificate IV in Ministry & Discipleship (1년, 11088NAT, CRICOS 112109M)
- Diploma of Christian Ministry (1.5년, 11089NAT, CRICOS 112110G)
- Advance Diploma of Christian Ministry (1.5년, 11090NAT, CRICOS 112111F)
알파크루시스대학교 온라인과정
- 신학과정: Bachelor of Theology / Master of Thoelogy / Master of Arts
- 상담과정: Diploma of Counselling / Master of Counselling
- 음악과정: Diploma of Music / Bachelor of Ministry(Worship)
- 박사과정: Doctor of Philosophy / Doctor of Ministry / Master of Philosolhy
* 전과정 FeeHelp /Austudy / student visa 상담
본 과정의 특징
- 학생비자 4년(졸업 후 신학 학사과정 연계)
- 교회사역을 위한 컴퓨터 활용, 다문화 사역을 위한 신학영어
- 교회교육을 위한 전문훈련(교사 및 사역자)을 포함하고 있습니다.
- Flexible한 수업운영과 저렴한 학비, Term별 납부
- Term별 수시 입학 2월, 4월, 7월, 9월
입학문의
- korean@ac.edu.au / 0450 752 150
- 브리즈번 캠퍼스 주소 : 48 O'KEEFE ST, WOOLLOONGABBA, QLD 4102
퀸스랜드주 한인회비
퀸스랜드주 한인회는 많은 회원분들 의 회비로 운영되고 있습니다.
회비: 1인 $20 / 4인 가족: $50
- Bank: NAB
- Account Name: The Korean Society of Queensland
- BSB: 084 255
- ACC: 77 348 7068
송금하실 때에는 레퍼런스란에 본인의 한글 이름을 영문으로 적어주세요.
한인회비 납부 상황은 하반기는 전년도 12월말까지, 상반기는 당해 6월말끼지 회비 상황을 업데이트합니다. 누락이 되었거나, 수정사항이 있으신 분은 secretary@ksqld.org 로 연락주시기 바랍니다.
골드코스트 한인회비
한인 여러분들께서 납부해 주시는 회 비는 골드코스트한인회의 운영과 교 민사회의 단합과 발전을 위한
회비: 1인 $20 - Bank: BOQ (Bank of Queensland) - Account Name: The Korean Society of Gold Coast Australia Inc - BSB: 124 022 - ACC: 21549471
입금 시 보내시는 분의 이름을 영문으 로 꼭 기재해 주십시오.
<한인회비 납부자> 김광수, 손미란, 이상옥, 이재호, 전예숙, 채웅, 최인옥, 최형욱, 홍상녀 후원금 : 김치은
새해 음력설인 1월 22일 일요일, 호주의 남단 태즈메이니아 호바트에서 뜻깊은 음력설 행사가 성대하게 열렸다. 이 행사는 태즈메이니아 호바트 카 운슬에서 주최하였으며 음력설을 지내는 중국 커뮤니티, 한인커뮤니티가 함께 대 성황을 이루며 성대하게 진행되었다. 원래 베트남도 포함 3개국이 음력설을 지내지만 한국과 중국 2개국 단체가 주축으로 진행되었고 추가로 네팔 등, 공연팀 소수가 참여하였다. 이곳 한인 커뮤니티는 태즈메이니아 한인회와 태즈메이니아 한인봉사연합회 (이하 한인봉사연합회: 회장 박찬원)가 몇 년째 꾸준히 참여하고 있다. 이에 시드니 문화원(원장: 김지희)과
모국의 재외동포재단(이사장: 김성곤)에서 후원하였고 시드니의 한인 단체인 터울림의 한국 전통 무용단원들이 공연하여 매우 값진 행사가 되었다.
그 동안 코로나로 2년 동안 못하다가 3년만에 행사가 열렸다. 이번 2022년 행사 개막식에는 태즈메이니아 주총독과 호바트 시장을 비롯한 많은 인사 들이 참여하였다. 중국인들의 용춤과 폭죽행사가 성대하게 행사를 열었다. 우리 한인들은 한국의 전통 장구춤과 선비춤, 그리고 라인댄스 등, 3차례 에 걸쳐 흥겹고 멋지게 공연하였다. 특히 이 행사에 우리가 자주 참가치 못하면 중국 커뮤니티 혼자하는 상황으로 진행 될 수밖에 없었다. 그러면 행
사명칭도 음력설에서 중국설로 원래대로 되돌리자는 의견이 더 커질 수 있기에 어려움이 많아도 행사에 동참을위해 발벗고 나섰다. 그래서 한인봉
사연합회 측에서는 모국의 공연팀을 찾아가 초청을 협의하였으나 여러 어려움이 있어 결국 무산되었다. 그 사연을 접한 본토 시드니의 터울림 단체 (회장 윤석우/고문 손홍철 )에서 발벗고 적극 도와 주었다. 한국전통무용 단원들이 바다 건너 자원 봉사로 달려와 공연을 해주었다. 이에 태즈메이니 아 한인들과 중국 인들은 아름답고 멋진 공연에 감격의 환호를 열렬히 보냈다. 터울림의 값진 자원봉사 덕분에 대한민국의 위상과 한민족의 찬란한 문화가 더욱 빛난 행사라고 한다. 이에 이곳의 한인봉사연합회 임원들의 따뜻한 환대로 더욱 뜻깊은 행사가 되었다. 특히 한인부스 앞에 전통 한복
을 전시하며 현지인들에게 입어보기 체험도 경험하게끔 도와주며 즐거워 헸다. 또한 전통놀이인 윷놀이, 제기차기와 오징어게임으로 유명한 <딱지>
를 즉석에서 제작하고 서로 즐기는 놀이를 했다.
이 날, 한국 및 한류에 관심있는 호주인들이 한인부스로 찾아와 함께 동참하여 즐기며 더욱 값진 행사가 되었다.
한인봉사연합회 측은, 그 동안 호주군 한국전 참전 용사들에게 보은의 활동을 몇 년간 하였고 입양동포 가족들 행사도 꾸준히 하고 있다. 그와 더불어 이런 값진 행사에 참여와 각나라 커뮤니티와의 유대도 매우 중요하다 하였다. 그래서 추후에도 꾸준히 활동할 예정이라 하였다. 끝으로 한인봉사연합회 측은 이 행사를 위해 후원해 주신 시드니 문화원과 재외동포재단에 감사인사를 드리며 특히 공연으로 행사를
빛내주신 터울림의 모든 회원분들께 깊은 고마움을 전한다고 하였다.
기사 제공 : 타즈메이니아 한인봉사연합회






안내전화
긴급전화(경찰, 앰블런스, 화재) 000 Police Liaison Unit(한국어) 3364 3217
경찰업무 관련 한국어로 통화를 원할 때 Police Link 131 444
가정폭력 1800 811 811
여성상담센터 0425 252 372
성폭행 상담 3636 2414
수도 1300 366 692
독극물, 생명전화(24시간) 13 11 14
위기구호, 아동학대 1800 177 135
음주, 마약 3236 2414
간판/인쇄/디자인
i-hub 0435 831 116
NB Signs - 간판, 인쇄, 디자인 0421 790 885
Sunny Creative 0412 840 533
건강식품/기념품
뉴질랜드 초록홍합,녹혈,녹용 캡슐 판매 0403 736 998
드림로드 양모, 한국이불 3209 5445
New Core 건강식품 3012 7886
SINI 건강 (써니뱅크점) 3344 7881
건축/인테리어/집수리
브리즈번 시티카운슬 3403 8888
골드코스트 시티카운슬 5582 8211
골드코스트 관광청 5592 2699
서프사이드 버스 시간표 13 12 30
센터링크 13 61 50 / 13 12 02(한국어)
이민성 13 18 81
일기예보 1900 914 450
임신상담, 정보 1300 139 313
의료기관 정보 3236 4833
전화번호 안내 12 455, 1233
전기, 가스 문의 13 12 53 / 13 62 62 (사고)
텔스트라 문의 125 111 / 1800 773 421(한국어)
통역서비스 13 14 50
대한무역진흥공사 02 9299 1790
나이스 블라인드 3133 8330, 0421 594 083
대니 핸디맨 0402 299 915
백향건설 0434 763 843 / 0421 025 230
스타 블라인드 0430 715 906
한국
호주지회 0452 188 070
외
핸디맨 0428 123 800
리모델링, 타일, 방수) 0452 471 080
블라인드 0408 288 789
ARCHIONE Design Builders 0402 533 628
Beauty Home Blind 0408 011 021
Blue River Design & Construction 0478 709 032
BL Handy Home Maintenance 0416 911 444
City Garage Doors 차고문 당일수리, 제작 0492 889 349
Dr 핸디맨 0478 833 415




한인
한인회 0418 763 186 대양주 한인회 총연합회 0427 566 474 월남전 참전자 전우회 퀸즐랜드지회 0411 378 391
재향군인회 퀸즐랜드 분회 0412 629 358
퀸즐랜드 주 한인회 3390 0024/ 0424 724 624
퀸즐랜드 한국 참전 유공자회 0414 295 709
퀸즐랜드 한인 골프회 0430 202 239
퀸즐랜드 한인경로회 0418 883 377/3345 1400
퀸즐랜드 ROTC 동문회 0415 695 635
퀸즐랜드 한인 비즈니스 협회 0408 889 792
퀸즐랜드 한인 오케스트라 0411 820 800
퀸즐랜드주 해병 전우회 0427 334 521




G1 Painting 0450 959 010
Happy Blinds 0481 711 500
Hi Design & Construction 0430 900 630
J Plus Building Inspections 0422 773 031
KIM’S HOUSING 0411 097 908
NEXUS PLUMBING 0459 999 754
CS Education 0402 855 802
EduPlanet College & QCM 3343 6343
Eight Mile Planes 유치원 3841 3350
Elite Tuition 0400 328 187(영 어) 0400 163 227(한국어)





















OkayPainting 0430 889 559
OneStop Bath & Tiles 07 3034 1075 Shop4, 655 Toohey Rd, Salisbury
SUNSHINE 블라인드 0481 148 692
LE SPA MASSAGE ACADEMY 3368 3362
SP 에듀케이션(하이스쿨, ATAR 대비) 3195 8532, 0411 168 007
Winny Family Care 0420 720 894



Total Cabinet 3299 1978
TOV Construction 0452 578 001
꽃집



















WINDOW
디멘션스 헤어 0414 892 018




건축사 0451 377 843
0408 688 010 i-Care 0433 494 281

Sunny Flower 3345 2323 / 0407 333 302
농장/목장
자연농장 5498 8904
헤어(시티점) 3172 1173
아하바 목욕탕 3391 2279
0481 982 486
0414 060 369


Victoria Park Golf Learning Centre 한국어 0451 899 874
떡집
만나떡집 0452 088 959, 0424 818 959
오복떡집 3711 2155
레저/캠핑
피아노
Wi (캠퍼&트레일러 판매 및 대여) 3706 1553
미용/뷰티
강남스타일 헤어 0401 822 140
시티점 3210 1049 alabuu 0493 475 995 Eros Skin Spa & Massage 마사지/뷰티 0428 695 555 K Bridal Studio(Julie) 0451 373 313 M nails & beauty 0432 346 799
광고문의 0422 258 092, 0432 008 985 admin@qldkoreanlife.com.au

가영 NAATI 3급 번역공증 0410 672 485
나티공인 한영/영한 번역사 0431 232 673
데레사 통역 0402 307 090
손지은 NAATI 3급 0412 088 428
호주 닷컴 온라인 번역공증 info@hojoo.com
JINO NAATI 통역서비스 0430 812 205 변리사 김현태 특허상표변리(호)사 040 433 5914
Park & Co ㆍ 대표번호(유선) 3345 6665 ㆍ 대표번호(모바일) 0490 130 012
박창민 변호사 0452 435 447
김희용 변호사 0431 628 082
허성은 변호사 0425 030 220
H & H Lawyers 02-9233-1411
ㆍ홍경일 대표변호사
ㆍ강현우 형사전문변호사 0487-192-566
ㆍ김진한 변호사(이민)
ㆍ김현태 변호사·상표변리사
리틀즈 법무법인
ㆍ NSW 1800 000 119
ㆍ QLD 1800 082 082
ㆍ 김경태 변호사 0452 480 920
ㆍ 이종일 변호사 0434 980 635
성도 법무법인
ㆍ대표번호 3392 3981
ㆍ김문기 변호사 0411 211 227
ㆍ김태규 변호사 0403 689 714


KLS Legal Practitioners
ㆍ사무실 (07) 3113 3790
ㆍ나윤제 대표변호사 0423 005 035
ㆍ신선미 변호사 0412 693 115
김린 변호사 0404 871 986
김영규 변호사 07 3210 6489, 0411 624 779
박근영 변호사 0433 372 566
주광훈 변호사 0405 694 497
정회림 변호사 07 3195 4807
진승희 변호사 0403 503 530

숙박시설
스프링우드 타워 호텔 3387 7077
호텔 다이아나(한국어) 3896 1691
송금/환전


LinkOz 이정민 변호사 0401 576 978

무담보 소액대출(호주 어디서나) 0412 232 889
미래종합금융 1300 882 595
보험전문 김옥이 0401 411 000
ANZ Jin Lee 0434 689 100
C-Herald Insurance 1800 998 557
C-Herald Finance 1800 998 557
Focus Loan(오지훈) 0420 847 110
Hana Finance (알렉스) 0410 622 838
AACA (All About Care Australia) 07 3133 0209 (Gemma) 0430 218 030 (Tasha) 0402 595 741
ONE DREAM COMMUNITY ㆍ장애인 복지 서비스
복지 홈케어패키지 1800 841 777
한국송금(구. 코원송금) 0474 373 007
스포츠/체육관
원 태권도 0430 295 881
Sunnybank 테니스클럽 0430 014 221
Sunnybank 당구장 0430 014 221
식당/카페
Korean Cusine
3 Sisters 3195 4481
누나네 해장국 3107 4158


AKLINKS 손한나 대표 0428 87 5050
Bluedog 부동산 0419 536 071
Bluedog 김수정 0408 622 934
HD Property 황기철 0413 515 788
Harcourts Calamvale (홍성우) 0415 413 769
Link Plus Realestate 이지영 0450 908 864
Raas Group 0420 486 651
Remax 부동산 써니뱅크 조권현 0452 65 88 78
YONG 부동산(오세진) 040 228 3003 사진
마녹파크 0433 276 449
마루 3221 7778, 3012 9912
모모치킨(city) 3012 8238
모모치킨(runcorn) 3841 8068
미담 3344 5001
불고기 Bros 3350 2233
샤부하우스 (일식 부페) 3211 5407
소문 삼계탕 3158 3709
차미 푸드 앤 보틀샵 3210 6349
코릴라 바베큐 3211 1212
콩닥 치킨 0491 652 806
한우리 BBQ 부페 3211 5710
BEN 월남 중국 식당 3391 3233
Charim 차림 (North Lakes) 3093 3571
Choi Korean Cuisine 3191 3214
Cream House 3191 9098
Doujo 일식 0499 632 196
0434 487 433
Alicia’s Photography 0478 825 233 상담/심리치료 ACC 상담센터 02 6255 4597 JR
Funny Funny 3012 8108
가나안 공항 픽업 0478 833 415
도움 투어 3012 8383
우리여행사 0412 393 713
케니 여행사 3344 3220 / 0402 729 595
현대 투어 0432 140 083
HT 여행사 3003 1771
운송/택배/이사


현대택배 0430 014 221
HT Logistics 3823 1802
PNL 택배(한국-->호주) 0449 24 8282
에어컨/냉동수리






JINDALEE Complete Dental 3376 5475
My Clinic (Dr 제임스 강) 3272 2202
The Dental Club 1300 165 768
Stafford | Caboolture | Bellmere | Griffin 의류/침구/옷수선
DAVES 토마스
드림로드 3209 5445, 0433 267 953
차밍 옷수선 0403 617 076
OUR HANBOK 0423 378 055 자동차운전학원




















시온 에어컨 냉동 0434 486 877
에어컨 청소 FreshZone 0431 135 071




Airmazing 0451 104 439, 0402 005 079



















Fresh Cool 0401 627 853
LEES 에어컨 설치 0434 378 245
SONG 에어컨 설치 0414 781 645

SWIND 0451 994 144
OK 냉동 서비스 센타 0423 457 898
웨스티마켓 0450 103 788
Milton Exchange (노브랜드 유통) 0438 545 007
Cordelia International (온리프라이스
제품외 유통) 0450 103 788

유학원
도움 유학 3012 8383
GLOBAL MATE 3221 8318 0451 281 841

메이 운전학원 0419 708 177
부부 운전학원 0414 273 087 자동차정비







HT 유학원 3003 1771 이민 컨설팅
모유사랑 모유수유클리닉 (상담, 유방관리) 04 5675 5675
가나안 용달 서비스 0478 833 415
(각종 소형 ‘짐’ 운반)
대한통운 국제택배 0431 571 657
와이즈 국제물류 1800 577 369
한진택배 0431 231 468



가영 비자 이민 컨설팅 0410 672 485
백승용 이민법무사 3323 3186
변기훈 이민법무사 0425 669 799
이정민 법무사 Select Australia 0430 592 230
채정우 이민법무사 0423 687 378
호주닷컴 02 9746 1452
보화당 한의원 3219 1002
언어치료사(Speech Pathologist) 0473 562 154
엔한스 덴탈 스튜디오 (런콘) 07 3423 0783
족부 의학 클리닉 (써니뱅크) 07 3344 6866
(해밀턴) 07 3741 2825
질미어 치과병원 3265 6010
Carindale 자매치과 (김현아/김은아) 3324 9172
Dr.허 시티 한국인병원 3210 2111
Dr.허병원 Skin Clinic 0407 112 342
Exceptional Dental 3118 5306
Hybrid Physio 3190 9747
조이모터스(정비) 3277 2477
Autocrew Motors 3191 7044 0416 422 099, 0433 649 931
Pro Tinting 0432 390 910
SK 자동차 공업소 3423 8085
Speed mate 자동차 정비 0416 191 319
Top One Motors 0430 123 711

























3345 5113
토마스 정육점 (런콘점) 3423 1337
3344 7521
ㆍ 브리즈번 좋은감리교회 3343 1817 / 0413 608 392 ㆍ 브리즈번 주안교회 0432 680 975
ㆍ 브리즈번 평화교회 0425 252 372
ㆍ 브리즈번 한인장로교회 3341 9232
ㆍ 브리즈번 한인중앙장로교회 3202 9553 / 0413 515 737

원스톱 방역 & 카펫 청소 0401 600 887
원펀치 터마이트&페스트컨트롤 0402 157 905
써니뱅크 터마이트 0412 178 944
짐스 터마이트 & 페스트 컨트롤 0416 515 874
써니 크리에이티브 0412 840 533
NB Signs - 간판, 인쇄, 디자인 0421 790 885 건강식품/기념품


ㆍ 브리즈번 한인연합교회 0425 306 577 ㆍ

행복한교회 0433 494 281
북부 한인재림교회 3290 0376 ㆍ
클린킹(청소용품판매) 3208 1333


사랑교회 0414 624 779 ㆍ 사랑의 교회 3252 1701 ㆍ
JCM 터마이트&페스트 닥터팀 0430 318 776
0401 458 230 / 0431 259 828
한인장로교회 0466 184 366
3191 3743 / 0433 924 843
0433 030 053
0423 733 599
AplusHomeCare(터마이트,페스트 컨트롤) 0448 226 179
Kleen Hub(청소용품 판매) 3191 3248 푸드패키징
Kleen Hub 3191 3248
Q Pack 3219 5654
플러밍/가스
3369 3159 / 0413 016 031
사찰)
616 924 / 0413 805 236
3219 1002
꿈이 있는 교회 0421 480 870
동행하는 장로교회 3422 0828 / 0400 878 882
브리즈번 순복음교회 3341 9090 / 0433 9933 52
스프링필드 침례교회 킹제임스성경 0469 859 983
호주 가정 상담 대학 0416 069 812
호주 기독교 대학 02 6255 4597
한마음 교회 0410 409 007
Faith Church 써니뱅크
ㆍ 요한계시록 성경예언
ㆍ ilona 목사 0400 374 666
주방용품(상업용)
썬샤인 비즈 솔루션(스시머신, 주방용품) 0413 396 799
All 4 Kitchen 주방용품 수리 0433 974 907
중고 가전
Smart Electrical Clearance Outlet
ㆍ Hyperdome 3133 1805
ㆍ Capalaba 3823 4165
ㆍ Mt Ommaney 3376 7445
ㆍ Browns Plains 3800 1013
HIGH TECH PLUMBING & GAS 0431 409 844
JINSU PLUMBING&GAS 0401 359 573
NEXUS PLUMBING 0459 999 754
PK PLUMBING 0433 772 172
컴퓨터/POS/웹사이트


www.baronaccounting.com/한국어 M 0450 468 318 (한상호�공인세무




미디어 나라 0412 443 066
GGL 토탈 IT 솔루션 0422 395 706
iComputer (TPG 공식딜러, 컴퓨터 수리) 0435 831 116
M4U 웹디자인 0434 417 933
N2 CREATIVE (웹사이트 제작) 02 8091 7333
VTEQ 컴퓨터 3323 3232 (TPG 공식딜러, 웹사이트, IT솔루션)
회계사(MAZARS)



뉴질랜드 초록홍합,녹혈,녹용 캡슐 판매 0403 736 998
로얄건강 타운 0401 158 508
장수마을 0422 59 59 79
카사아울렛 5531 3155
건축/인테리어/집수리
가나 집수리 04 02 02 8720
대니 핸디맨 0402 299 915
스타 블라인드 0430 715 906
윈도우 아트 블라인드 0490 537 244


















레삐헤어 5679 3943
신 헤어 스튜디오 0407 090 270
웨딩메이크업헤어(withBRIDAL) 0481 982 486
킴스헤어(사우스포트) 5527 1990
케이살롱뷰티(사우스포트) 0421 187 046
FOREL Beauty & Spa 0413 753 087
Kausie Hair Salon (코지 헤어) 5531 2963
Meraki Hair 5592 0984
Hair COCO.GC 0413 662 699 / 5511 1892
The Hair 5528 6310
The 9 Brows & Beauty 반영구 화장 0448 019 555
Retreat 마사지 0404 806 887, 5527 1147
변호사 0410 601 521
김영규 변호사 0411 624 779
김흥수 변호사 5592 1921
정회림 변호사 07 3195 4807 보험/홈론/파이낸스
보험전문 김옥이 0401 411 000
C-Herald Insurance 1800 998 557
C-Herald Finance 1800 998 557 부동산



ALICIA’S PHOTOGRAPHY 0478 825 233
WOW CAFE & STUDIO 0401 282 303 스포츠/클럽
AnK 골프 아카데미 0434 142 638
D.I Sports Academy 0425 864 112 Golf Zero 0435 595 577

유니마트 5608 9860
하나로마트 Helenvale 0493 090 679
Southport Robina
해피마트 0401 337 458
현우식품 5526 3838
Coomera Asian Mart 0424 491 646
K-Town Supermarket 5528 6781
Lotte 편의점 5591 2356
유학 5591 7070






다노시스시 5528 3005
두리분식 0413 965 268
대박집 5531 0374
불고기ya 5591 7270 서라벌 고기부페 5538 8465
소공동 순두부 0423 455 599
이조 숯불 BBQ 5531 2423
코리안 키친 5538 8855


파라다이스 숯불구이 5592 3824
해피롤 5528 0588
Hochan 호찬 0424 215 797
AZIT(아지트) 5661 8537
BBQ 빌리지 5532 2700
BBQ 코리아나 5504 5627

골드코스트부동산 (전주한) 0405 404 696
REMAX Property Centre (서경배) 0431 142 818
AK LINKS 부동산 손한나 대표 0428 87 5050


Bluedog 부동산 0419 536 071
Bluedog 김수정 0408 622 934
MASTER QLD PROPERTY 서문희 대표 07 55 111 888 / 0478 110 290
Ray White 이민정 0431 686 286
Raas Group(Yong Lee) 0420 486 651
Cafe 928 5679 6616
CHIKOR 5531 1254
Cook & Beer 0402 99 66 94
Gal. B 5591 5141
Izakaya ichi 5564 0190
MAMAS KITCHEN 5571 1896
Oppane 오빠네 5532 2413
Rice House 5591 2239
RICE VS NOODLE 5538 8803
The Dak 0468 857 692
WOW CAFE & STUDIO 0401 282 303
식품점/편의점
스마일마트 5527 1312
오페마트 5531 0922
식품제조
명가(김치, 밑반찬) 5531 0906
BB 두부 0406 541 572
안경점
브리즈번안경원 골드코스트점 5531 0420
여행/공항픽업

시티익스프레스 공항픽업 0413 059 206
우리여행사 0412 393 713
운송/택배/이사









KPOST 우체국 택배 0422 59 59 79
대한통운 국제택배 0431 571 657
한진택배 0431 231 468
현대택배 3075 6872 / 0430 014 221
HT Logistics 3823 1802
PNL 택배(한국-->호주) 0449 24 8282
의류/침구/옷수선
벨라 옷수선 5511 2077
Sweet Closet 0402 148 750 자동차운전교습
메이 운전학원 0419 708 177
부부 운전학원 0414 273 087
자동차정비



DP Motors 5537 8235, 0433 835 293
GCCEM 이승엽 0421 707 771
H&K Motors 5532 9088, 0433 004 310
JD Motors 5591 6772, 5591 6227
차량복원 전문업체 NICK’s Panel & Paint 5531 3459, 0430 123 950 자동차판매
메르세데스 벤츠 골드코스트, 레이튼(한국어) 0478 220 828 카톡 MGGCLY
전기/전자/통신
리스(LEES) 전기공사 0434 378 245
하나로 전기공사 0416 868 818
SONG 전기공사 0414 781 645
청소/방역
가나 Termite,Pest Control 04 02 02 8720
얼스 와이즈 방역 0436 321 537





원스톱 방역 & 카펫 청소 0401 600 887
원펀치 터마이트&페스트컨트롤 0402 157 905







짐스 터마이트 & 페스트 컨트롤 0416 515 874
클린킹(청소용품 판매) 5532 2342






JCM 터마이트&페스트 닥터팀 0430 318 776




PAULS Clean King 0425 233 118
RAPID CLEAN 청소용품 5572 2284




AK 정수기/비데 0401 558 353
The Bidet Shop 1800 243 387 VCG (엘지 정수기) 07 3924 1870 / 0421 807 981
정육점
컴퓨터/POS/웹사이트
미디어 나라 0412 443 066
iComputer (TPG 공식딜러, 컴퓨터 수리) 0435 831 116
VTEQ 컴퓨터 3323 3232 (TPG 공식딜러, 웹사이트, IT솔루션)
Q Pack 3219 5654
권신정 회계사(MAZARS) 3218 3924
김상현 회계사(PKF) 0433 379 280
김재미 회계사 1300 00 11 08



고기 박사 5531 3742
서울 정육점 5531 5227, 0405 934 952
종교단체
기독교
ㆍ 골드코스트 가까운교회 0433 447 483
ㆍ 골드코스트 선교교회 0431 232 304
ㆍ 골드코스트 순복음교회 0402 089 896
ㆍ 골드코스트 온누리교회 0412 341 868
(Southport State High School 내)
ㆍ 골드코스트 열방교회 0412 362 029
(장로교회)
ㆍ 골드코스트 장로교회 0409 995 456
ㆍ 골드코스트 재림교회 0430 041 022
ㆍ 골드코스트 지구촌교회 0433 609 191
ㆍ 골드코스트 사랑의교회 0451 472 202
ㆍ 골드코스트 브니엘교회 0412 194 829
ㆍ Logan 예수제일교회 0426 501 966
ㆍ 비전 장로교회 0423 932 742
ㆍ 사우스포트 한인교회 0433 308 436
ㆍ 우리들 침례교회 0421 579 026
ㆍ 푸른파도 교회 0411 725 639
천주교
ㆍ 골드코스트 한인성당 0402 044 331
골드코스트 기쁜우리교회 0478 782 186
골드코스트 주님뜻교회 0450 501 201

바른회계법인 한상호 회계사 0450 468 318
백화실 회계사 0421 007 756
안재웅 공인회계사 0420 518 253
이윤 회계사 3299 1031
그래픽 디자인
위니아트 0401 596 877
식당
Black Curry 5200 0875
Brown Rice(Peregian Springs) 5448 2197
Hanami (Coolum Beach) 5471 7091
HIKARU
ㆍ Birtinya 0432 389 288
ㆍ Baringa 0432 389 288
ㆍ Kawana 0452 028 804
ㆍ Northshore 5406 9017
ㆍ Buderim 5476 6266
MakiMoto(Noosa) 5447 3254
Master Sushi 5526 7557
The Sushi 79 (Currimundi) 5437 8208
Tampopo 5476 7039
Haru Korean Kitchen 5447 2249
식품점
선샤인 마트 0488 515 288
의료/병원
Doctors@Maleny (닥터.노) 07 5413 8066
TV&안테나 0491 068 872
정수기/비데





















































































































































































시드니의 임대 상태가 공급
부족으로 인한 위기로 치닫고
있다. 급여 등 매우 양호한 임
대 기록을 갖고 있는 세입자
들조차 임대가 쉽지 않은 상 황이다. 중개업소가 책정한
임대비보다 더 높은 가격을
오퍼하는 경우도 빈번하다.
지난 1년동안 시드니 시티 인 근 지역인 젯랜드(Zetland), 치펜데일(Chippendale), 얼티모(Ultimo), 비콘필드 (Beaconsfield)와 공항 인근
지역인 마스코트(Mascot)의
아파트 중간 임대비가 20%
이상 폭등했다.
2022년 10-12월 분기의 도 메인 임대보고서(Domain Rent Report)에 따르면 젯 랜드의 고층 아파트는 중개

인이 요구하는 임대비(median asking rents) 보다 주당 $140(25%) 폭등했다. 치펜데 일, 얼티모, 비콘필드, 마스코 트도 20% 이상 급등했다.
크레몬 포인트(Cremorne Point), 라벤더 베이(Lavender Bay), 록스(The Rocks), 포인트 파이퍼(Point Piper), 헤이마켓(Haymarket), 시티 중심지(CBD)의 아파트 임대 비도 19% 올랐다.
시드니 전역에 걸쳐 아파트 중간 임대비가 주당 $575로 18.6% 올랐다. 팬데믹 기간 중 가장 큰 타격 을 받았던 시티와 인근 지역 의 아파트 임대 시장이 빠른 회복세를 보인다.















지난해 12월 호주 주거용 부동산
의 총가치는 9조 3천억 달러로, 전
월의 9조 4천억 달러보다 1천억 달
러가 감소한 것으로 나타났다.
호주 주거용 부동산의 총가치는
지난 한 해 동안 5.3%가 하락해 2008년 이후 가장 큰 역년 하락
세를 기록한 것으로 나타났다. 지 난 한 해 호주 전지역에서 주택가
격이 가장 많이 오른 지역은 남부
호주 지방도시로 +17.1%를 기록 하였으며, 가장 크게 하락한 지역
은 시드니로 -12.1%를 기록한 것 으로 나타났다.
바이어들의 수요 감소로 거래량은 감소추세를 유지하고 있는 것으로 나타났다. 지난 한 해 호주 전체의
거래량은 514,352건으로 전년대
비 17.0%가 감소한 것으로 나타 났다. 지난해 거래량이 전년대비
임대비 앙등은 임대 수요에 비해 공급이 턱없이 부족해 공실률(rental vacancies)이 낮아졌기 때문이다. 유학생, 이민자, 방문객이 증가하면서 임대 수요가 크게 늘었다. 반 면 팬데믹 기간을 거치며 임 대 주택 공급은
로즈 베이(Rose Bay) 33.4% 페어라이트(Fairlight), 메릴 랜드 웨스트(Merrylands West) 브라이튼 - 르 - 상드 (Brighton-Le-Sands)는 28% 이상 인상됐다.

감소하였음에도 불구하고, 10년 평균치 연간 거래량보다는 여전히 6.3% 높은 수준이었던 것으로 나 타났다. 주택판매 기간도 길어지 고 있는 것으로 나타났다.
12월까지 3개월 동안의 평균 판매 기간은 34일로, 2021년 11월까지 3개월 동안의 평균 판매기간은 20 일보다 크게 늘어난 것으로 나타 났다. 판매금액 할인율도 2021년 11월까지 3개월 동안의 평균 할인 율 -2.9%에서 지난해 12월까지 3 개월 동안은 -4.3%로 증가한 것으 로 나타났다. 2023년 1월 8일까지 4주 동안 국 내의 신규 주택매물량은 13,936채 로, 전체 매물량은 122,062채인 것 으로 나타났다. 신규 매물량은 계 절적으로 낮은 수준이며, 이전 5년 평균치보다도 -22.1% 수준인 것 으로 나타났다. 2022년 12월 18 일까지 4주 동안 국내 주도들의











시드니, 아멕스카드

호주의 3개 주도인 시드니, 멜
번, 퍼스가 올해 세계에서 가
장 인기있는 여행지 순위 10
위권에 이름을 올렸다.
시드니는 숙박 공유업체인
에어비앤비(Airbnb)의 ‘2023
년 세계 최고의 여행지’(best
travel destination in the world)에서 2위로 선정됐다.
1위는 스페인 남부의 말라가 (Malaga)가 차지했다.
멜번은 지난해 5위에서 3위로
두 단계 올랐으며 퍼스는 9위
로 올해 처음으로 톱 10에 진 입했다. 해당 순위는 2022년

에어비앤비 플랫폼의 검색량
을 분석해 선정됐다.
뉴질랜드도 2개 도시가 톱 10
에 포함됐다. 북섬의 오클랜
드가 4위, 남섬의 퀸스타운이 6위에 올랐다. 태국 방콕은 5 위 그리고 브라질의 플로리아
노폴리스와 포르투세구루, 살



바도르가 각각 7위, 8위, 10위
를 차지했다.
시드니는 아메리칸 익스프레 스 트래블(American Express Travel)의 ‘2023년 주목받는
여행지’(trending destination) 순위에서도 상위 10위
안에 들었다. 순위는 2019년 과 2022년 사이 전 세계 아메
리칸 익스프레스 카드 회원들 의 항공권 예약 기록을 바탕으 로 집계됐다.
시드니는 또 세계 최대 여행
안내서 ‘론리 플래닛(Lonely Planet)’이 뽑은 ‘최고의 여 행 도시’(Best in Travel)이기 도 하다. 론리 플래닛은 음식 (food)과 배움(learn), 여정 (journey), 휴식(unwind), 연 결(connect) 등 5개 부문별로 순위를 매겼는데 시드니는 이 중 ‘연결’ 부문에서 1위로 선정 됐다.

호주의 무더운 여름, 뜨거운
길바닥을 맨발로 다니는 사
람들을 종종 볼 수 있다. 그
렇다면 맨발로 운전(drive barefoot)하는 것은 합법일 까 불법일까?
일반적인 대답은 “불법이 아
니다”이다. 하지만 사고가 나 거나 L(Learner) 면허 운전자
라면 상황이 달라질 수 있다.
어느 주/준주에서도 운전자 의 신발을 규정하는 법은 없 지만 경찰이 판단하기에 신 발 착용 여부가 운전에 방해 가 됐다면 처벌이 가능하다. 샌들과 쪼리(thongs), 슬리 퍼 등 헐렁한 신발도 마찬가 지다.
수 있다.

작년에 극단적인 날씨(extreme weather)의 기상 이변으로 여러 번의 홍수 가 났는데 기후전문가들 은 2023년에 홍수와 산불, 폭염(heatwaves) 등 자연
재난이 이어질 수 있다고 경고한다. 연말과 연초 퀸
즐랜드 북부와 서호주 킴
벌리 지역(the Kimberley region)에 집중 호우로 불
어난 강물이 범람하면서 큰
홍수가 났다. 반면 서호주
퍼스 남부와 남호주 애들레
이드힐 지역은 연초부터 산
불로 몸살을 않고 있다.
멜번대 기후과학자인 앤
드류 킹 박사(Dr Andrew King)는 “다음 주까지 비
가 계속될 것이지만 라니
냐(La Nina)의 영향력이 줄
면서 강우량은 감소할 전망
인 가운데 호주 북부와 동
부는 늦여름과 가을을 지
나면서 호우에 이어 늦게
찾아온 폭염( prolonged heatwaves)이 올 가능성
이 있다”고 전망했다. 호주
를 비롯한 지구의 기후온난 화로 평년보다 더운 날씨가
예상된다. 특히 남부 호주
는 이미 고온의 날씨가 이
어졌는데 더 심한 폭염이
올 수 있다
지난 주말 퀸즐랜드 북부 에 호우 쏟아져 큰 홍수 가 계속되고 있다. 퀸즐랜 드 동남부에 많은 비 내 릴 것으로 예보됐다. 극단
다른 주 소 방대원들이 파견됐다. 14일(토) 약 100명 소방대 원들이 6천 헥타르를 태운 산불 억제 안간힘을 썼다.


















멜번 39% 불과, “메디케어 수가로 운영비 감당 불능”
멜번에서 환자 진료 후 치료

비를 직접 메디케어에 청구하
는 벌크빌링(bulk billing) 서
비스를 제공하는 병원과 일반
의 비율이 40%에도 못 미치
는 것으로 나타나 의료 취약
계층이 공공의료의 안전망 밖
으로 밀려날지 모른다는 우려
가 커지고 있다.
온라인 헬스케어 정보사이트
인 클린빌(Cleanbill)이 호주
의 4천여 병원을 대상으로 시
행한 조사에 따르면 광역 멜
번 일반의 가운데 벌크빌링
서비스를 제공하는 비율은 39%에 불과했다. 일반의가
벌크빌링을 중단할 경우, 환
자는 기본적으로 $86의 진료
비를 부담하게 되고, 20분 이
상을 필요로 하는 진료일 경
우에는 $140를 내게 된다. 메
디케어는 여기서 각각 $39.10
와 $75.75씩을 환급해준다.
클린빌의 제임스 길레스피 창
업자는 "호주에 진정한 보편
적 의료 보장이 존재하는지
의문이 든다"며 "벌크빌링을
제공하지 않는 일반의 비율
이 오히려 더 높아진 상황에
서 일반의 진료나 정기 검진
을 포기한 사람들은 안 그래
도 이미 포화상태인 대형병
원 응급실로 내몰리게 된다" 고 지적했다.
일반의들이 벌크빌링 중단에
나서는 건 연방정부에서 지급
받는 이른바 '메디케어 수가
(Medicare Schedule Fee)'
로는 운영비용을 감당할 수
없기 때문이다. 정부는 5분에
서 20분 사이로 책정된 표준
진료 한 건당 $39.75를 지급


Sushi Izu Belmont (내년
Sushi Izu Mermaid Beach (내년
Sushi Izu
Sushi
Sushi Izu Elanora
하고 있다. 일례로 지난해 환 급액 증가분인 1.6%(또는 $0.65)는 연간 7%의 물가상 승률과 비교하면 턱없이 낮은 수준이다.
호주왕립일반의협회(Royal Australian College of General Practitioners)의 브루스 윌렛 박사는 “의사들이 직원 급여, 임대비, 보험료를 맞춰 야 할 뿐 아니라 팬데믹 기간 중 보호복, 마스크, 손소독제, 일회용 장갑 등의 개인보호장
비(PPE) 그리고 원격진료 관 련 비용까지 추가로 지출해야 했다”며 “정부 보조금만으로 는 이 모든 비용을 감당할 수 없다”고 설명했다. 의과대학 졸업생들이 일반의 선택을 주저하고 있는 점 또 한 벌크빌링 위기의 또 다른 원인으로 지적되고 있다. 호 주일반의연대(Australian GP Alliance)의 재러드 다트 이사 는 “의대 졸업생의 최소 60% 가 일반의를 선택해야 이상적 인데 현재는 15%에 불과하
동결로

비응급(elective) 수술 대기 자가 30만 명을 넘어선 것으 로 집계돼 정부의 긴급 조치 가 시급한 상황이다.
호주의학협회(AMA)의 최
신 보고서에 따르면 전국적
으로 30만6,281명의 환자가 비응급 수술을 기다리고 있 다. 적절한 조치가 취해지지
이번 회계연도 말 즈
그 수가

만4,950명)로 가장 높은 비 율을 차지했다. NSW 25%(7 만7,845명), 퀸즐랜드와 서 호주가 각각 10%였다.
AMA는 코로나 팬데믹 기간
에 비응급 수술이 원활히 진
행되지 못한 것이 환자 급증
에 상당한 영향을 미친 것으
로 설명했다. 또 여전히 많 은 환자가 전문의와의 외래
진료 예약을 대기, 수술 대기 명단에 추가되지 않은 상태 인 것으로 나타났다.
무릎과 골반 통증의 요인 중 하나가 하체근력과 유연성의 부족이란 사실… 알고계신가요??
대표적인 하체 운동인 스쿼트나 런지는 척추를 바로 세워 자세를 바로잡고, 하체의 힘을 길러주는데 효과가 있는게 사실이지만, 무릎이 약하거나 현재 무릎통증이 있는 분들에게는 통증을 더 불러일으킬 수 있습니다.
그래서 오늘은 서서하는 운동대신 안전하게 누워서하는 하체근력 강화 운동을 소개해드릴 텐데요.
오늘 배워볼 자세는 제 유튜브채널 ‘요가읽어주는 여자’에서 오분 순삭요가 챌린지 Day11. 누워서 하는 하체운동 편을 보시면 따라하기 쉬울 거예요.
둔근(엉덩이근육) 강화 및 힙업 효과
STEP 1. 배를 대고 누운 상태에서 사진과 같이 한다리를 들어 올립니다.
STEP 2. 들었던 다리를 최대치까지 뻗었다가 무릎을 구부려 엉덩이를 강하 게 수축합니다.
STEP 3. 구부렸던 무릎을 다시 뻗고 바닥에 내린 후 같은 동작을 반복합니다.
STEP 4. 일정한 호흡과 속도로 10-15회 반복 후 반대방향도 진행해주세요.
TIP! 두 엉덩이 근육의 힘이 다르므로 약한 쪽의 엉덩이를 5회정도 더 실시 하며 두 힘의 균형을 찾아주는 연습을 해주세요.




STEP 1. 옆으로 누운 상태 팔꿈치를 어깨 밑에 내리고 위의 다리를 접어 무릎 을 세웁니다
STEP 2. 밑에 있는 다리를 길게 뻗고 내쉬는 숨에 바닥에서 힘껏 올려주세요.
STEP 3. 위에 위치한 엉덩이가 뒤로 빠지지 않게 주의하며 허벅지 안쪽의 힘 과 코어의 힘으로 다리를 멀리 뻗으며 올립니다.
STEP 4. 어깨가 아프신 분들은 머리를 바닥에 대고 팔베개한 후 진행하셔도 좋습니다.
TIP! 처음부터 다리가 많이 안 올라와도 좋으니 최대한 복부를 수축한 상 태에서 다리를 길게 뻗어주는 연습부터 해보세요.


3. 꾸준한 개인회원관리로
우울증 개선의 효과
4. 모니터를 통한 실시간 ‘자세교정’ (1:1개인레슨과
5.
송하연, 요가티처/요가풀니스라이프(Yogafulness Life) 대표

https://bit.ly/3w9ks4u (KOR)
https://bit.ly/SubscribeToYogasong (ENG) yogafulnesslife

이메일 : connect@yogafulness.life
홈페이지 : www.yogafulness.life

인스타그램

https://instagram.com/yogasong_hayeon
연말연초의 연휴동안 호주인
의 해외여행이 급증했다. 올
해 중반이면 해외여행이 코
로나 이전 수준으로 회복될
것으로 여행업계는 예상한다.
통계국(ABS)의 예비 자료에
따르면, 지난해 12월 해외로 출국한 호주인은 150만 명
이다. 11월의 120만 명보다 25% 늘었다.
하지만 코로나 이전의 한창
때보다는 출국자가 적다. 출
국자 수가 최고조였던 2019
년 12월에는 224만 명이 출
국했다.
상장 여행사 플라이트센터 (Flight Centre)의 그레이엄
터너(Graham Turner) CEO
는 “미국, 유럽 등 해외여행에
대한 국내 수요가 크게 억눌
려 있었고 비싼 항공료와 좌
석 부족이 여행객의 수를 제 한했다. 항공좌석을 쉽게 구
매할 수 없었고 여전히 해외 항공편 수용력이 팬데믹 이

전의 70%에 불과하다”고 설
명했다.
지난해 11월 출국자 120만 명
중 66만 5,000명은 휴가철을
맞아 해외로 출국한 호주인이
었다. 2만 2,500명은 장기 해
외 체류를 위해 호주를 떠난
사람들이었고 나머지는 국제
여행객이었다. 12월의 구체
적인 출입국 내용은 아직 공
개되지 않았다.
터너 CEO는 아시아 국가로
의 여행 수요는 팬데믹 이전
시기의 수요보다 훨씬 적지

피지와 발리는 호주인에 게 최고의 휴가지 중 하나라 고 말했다.
코먼웰스증권(CommSec) 의 크레이그 제임스(Craig James) 선임 경제분석가는 “호주인이 해외 여행을 원하
는 것은 분명하다. 해외여행 을 하는 호주인이 더 많아졌 다는 것은 여행사와 항공사, 택시와 같은 운송 사업자들에 게 긍정적이다. 하지만 더 많 은 사람이 해외에서 돈을 쓰 기로 했다면 그들이 국내에 서 지출할 돈은 줄어든다”고 말했다.
국제 항공 요금은 팬데믹 이 전에 비해 확실히 비싸졌다. 항공사들이 값이 오른
무게 2.7kg, 25cm 길이.. 안락사 처리 박물관 보관 기네스기록 1991년 2.65kg 능가

퀸즐랜드주 북부 콘웨이 국 립공원(Conway National Park)에서 무게가 무려 2.7kg이 나가는 ‘자이언트 수수 두꺼비(giant cane toad)’가 발견됐다고 ABC가 20일 보도했다. 이 두꺼비를 처음 발견한 국립공원 관리 원인 카일리 그레이(Kylee Gray)는 “큰 사마귀가 있고, 못생긴 갈색 수수두꺼비가 흙 속에 앉아 있었다. 솔직히 믿을 수가 없었다. 이렇게 큰 건 처음 봤다”고 말했다.
발견 당시 퀸즐랜드주 환 경・과학부의 관리원들은 등 산로를 정리하는 중이었다. 그레이는 “우리 앞에 있는
등산로에 붉은배검정뱀 한 마리가 있어서 뱀이 지나가
도록 차를 멈춰 세웠다. 차에 서 내렸는데 바로 옆에 이 거 대한 수수두꺼비가 있었다” 고 말했다. 그는 두꺼비에 다 가갔을 때 살아있다는 것을 확인하고는 곧바로 상사에 게 ‘이 것 좀 보세요’라고 소 리쳤다고 했다. 너무 커서 관리팀이 ‘토드 질라(Toadzilla)’라는 별명 을 붙인 이 두꺼비는























































