Skip to main content

Journal of Automation, Mobile Robotics and Intelligent Systems, vol. 17, no. 4 (2023)

Page 1

WWW.JAMRIS.ORG pISSN 1897-8649 (PRINT)/eISSN 2080-2145 (ONLINE) VOLUME 17, N° 4, 2023

Indexed in SCOPUS

Journal of Automation, Mobile Robotics and Intelligent Systems

A peer-reviewed quarterly focusing on new achievements in the following fields:

‱ automation ‱ systems and control ‱ autonomous systems ‱ multiagent systems ‱ decision-making and decision support ‱ ‱ robotics ‱ mechatronics ‱ data sciences ‱ new computing paradigms ‱

Editor-in-Chief

Janusz Kacprzyk (Polish Academy of Sciences, Ɓukasiewicz-PIAP, Poland)

Advisory Board

Dimitar Filev (Research & Advenced Engineering, Ford Motor Company, USA)

Kaoru Hirota (Tokyo Institute of Technology, Japan)

Witold Pedrycz (ECERF, University of Alberta, Canada)

Co-Editors

Roman Szewczyk (Ɓukasiewicz-PIAP, Warsaw University of Technology, Poland)

Oscar Castillo (Tijuana Institute of Technology, Mexico)

Marek Zaremba (University of Quebec, Canada)

Executive Editor

Katarzyna Rzeplinska-RykaƂa, e-mail: office@jamris.org (Ɓukasiewicz-PIAP, Poland)

Associate Editor

Piotr SkrzypczyƄski (PoznaƄ University of Technology, Poland)

Statistical Editor

MaƂgorzata KaliczyƄska (Ɓukasiewicz-PIAP, Poland)

Typesetting

SCIENDO, www.sciendo.com

Webmaster

TOMP, www.tomp.pl

Editorial Office

ƁUKASIEWICZ Research Network

– Industrial Research Institute for Automation and Measurements PIAP

Al. Jerozolimskie 202, 02-486 Warsaw, Poland (www.jamris.org) tel. +48-22-8740109, e-mail: office@jamris.org

The reference version of the journal is e-version. Printed in 100 copies.

Articles are reviewed, excluding advertisements and descriptions of products.

Papers published currently are available for non-commercial use under the Creative Commons Attribution-NonCommercial-NoDerivs 4.0 (CC BY-NC-ND 4.0) license. Details are available at: https://www.jamris.org/index.php/JAMRIS/

LicenseToPublish

Editorial Board:

Chairman – Janusz Kacprzyk (Polish Academy of Sciences, Ɓukasiewicz-PIAP, Poland)

Plamen Angelov (Lancaster University, UK)

Adam Borkowski (Polish Academy of Sciences, Poland)

Wolfgang Borutzky (Fachhochschule Bonn-Rhein-Sieg, Germany)

Bice Cavallo (University of Naples Federico II, Italy)

Chin Chen Chang (Feng Chia University, Taiwan)

Jorge Manuel Miranda Dias (University of Coimbra, Portugal)

Andries Engelbrecht ( University of Stellenbosch, Republic of South Africa)

Pablo Estévez (University of Chile)

Bogdan Gabrys (Bournemouth University, UK)

Fernando Gomide (University of Campinas, Brazil)

Aboul Ella Hassanien (Cairo University, Egypt)

Joachim Hertzberg (OsnabrĂŒck University, Germany)

Tadeusz Kaczorek (BiaƂystok University of Technology, Poland)

Nikola Kasabov (Auckland University of Technology, New Zealand)

Marian P. KaĆșmierkowski (Warsaw University of Technology, Poland)

Laszlo T. KĂłczy (Szechenyi Istvan University, Gyor and Budapest University of Technology and Economics, Hungary)

JĂłzef Korbicz (University of Zielona GĂłra, Poland)

Eckart Kramer (Fachhochschule Eberswalde, Germany)

Rudolf Kruse (Otto-von-Guericke-UniversitÀt, Germany)

Ching-Teng Lin (National Chiao-Tung University, Taiwan)

Piotr Kulczycki (AGH University of Science and Technology, Poland)

Andrew Kusiak (University of Iowa, USA)

Mark Last (Ben-Gurion University, Israel)

Anthony Maciejewski (Colorado State University, USA)

Copyright

Krzysztof Malinowski (Warsaw University of Technology, Poland)

Andrzej MasƂowski (Warsaw University of Technology, Poland)

Patricia Melin (Tijuana Institute of Technology, Mexico)

Fazel Naghdy (University of Wollongong, Australia)

Zbigniew Nahorski (Polish Academy of Sciences, Poland)

Nadia Nedjah (State University of Rio de Janeiro, Brazil)

Dmitry A. Novikov (Institute of Control Sciences, Russian Academy of Sciences, Russia)

Duc Truong Pham (Birmingham University, UK)

Lech Polkowski (University of Warmia and Mazury, Poland)

Alain Pruski (University of Metz, France)

Rita Ribeiro (UNINOVA, Instituto de Desenvolvimento de Novas Tecnologias, Portugal)

Imre Rudas (Óbuda University, Hungary)

Leszek Rutkowski (Czestochowa University of Technology, Poland)

Alessandro Saffiotti (Örebro University, Sweden)

Klaus Schilling (Julius-Maximilians-University Wuerzburg, Germany)

Vassil Sgurev (Bulgarian Academy of Sciences, Department of Intelligent Systems, Bulgaria)

Helena Szczerbicka (Leibniz UniversitÀt, Germany)

Ryszard Tadeusiewicz (AGH University of Science and Technology, Poland)

StanisƂaw Tarasiewicz (University of Laval, Canada)

Piotr Tatjewski (Warsaw University of Technology, Poland)

Rene Wamkeue (University of Quebec, Canada)

Janusz Zalewski (Florida Gulf Coast University, USA)

Teresa ZieliƄska (Warsaw University of Technology, Poland)

Publisher: All rights reserved

i
© 2023 by Ɓukasiewicz Research Network - Industrial Research Institute for Automation and Measurements PIAP

Journal of Automation, Mobile Robotics and Intelligent Systems

VOLUME 17, N˚4, 2023

DOI: 10.14313/JAMRIS/4-2023

Contents

1

Matrix Transposition Algorithm Using Cache Oblivious

Samuel Guzmån López, Adolfo Javier San Gil Santana, Jorge Alberto Cuba Alonso del Rivero, Sonia Pérez Lovelle, Humberto Díaz Pando

DOI: 10.14313/JAMRIS/4‐2023/25

8

On Various Types of Soft Ground – A Case Study on Various Types of Soft Ground – A Case Study

Maciej Trojnacki, PrzemysƂaw Dąbek

DOI: 10.14313/JAMRIS/4‐2023/26

17

The Overview of Challenges in Detecting Patients’ Hazards During Robot‐Aided Remote Home Motor Rehabilitation

Julia Wilk, Piotr Falkowski, Tomasz Osiak

DOI: 10.14313/JAMRIS/4‐2023/27

28

Binary Shuffled Frog Leaping Algorithm for Optimal Allocation of Power Quality Monitors in Unbalanced Distribution System

Ashkan Doust Mohammadi, Mohammad Mohammadi

DOI: 10.14313/JAMRIS/4‐2023/28

40

Lyapunov‐L Lasalle Based Dynamic Stabilization for Fixed Wing Drones

Jean Sawma, Alain Ajami, Thibault Maillot, Joseph el Maalouf

Doi: 10.14313/JAMRIS/4‐2023/29

49

New Robust Model for Stability and H∞ Analysis for Interconnected Embedded Systems

Amal Zouhri

DOI: 10.14313/JAMRIS/4‐2023/30

56

Wimax Network Optimization Using Frame Period with Channel Allocation Techniques

Mubeen Ahmed Khan, Awanit Kumar, Kailash Chandra Bandhu

DOI: 10.14313/JAMRIS/4‐2023/31

68

Extended State Observer Based Robust Feedback Linearization Control Applied to an Industrial CSTR

Ali Medjebouri

DOI: 10.14313/JAMRIS/4‐2023/32

79

Implementing Visual Assistant Using YOLO and SSD for Visually‐Impaired Persons

Ratnesh Litoriya, Kailash Chandra Bandhu, Sanket Gupta, Ishika Rajawat, Hany Jagwa

DOI: 10.14313/JAMRIS/4‐2023/33

ii

MATRIXTRANSPOSITIONALGORITHMUSINGCACHEOBLIVIOUS MATRIXTRANSPOSITIONALGORITHMUSINGCACHEOBLIVIOUS MATRIXTRANSPOSITIONALGORITHMUSINGCACHEOBLIVIOUS

Submitted:11th January2023;accepted:18th March2023

DOI:10.14313/JAMRIS/4‐2023/25

Abstract:

TheParallelandDistributedComputinggroupbelonging totheIntegratedTechnologicalResearchComplex(CITI). hasbeenengagedinthecreationofgeneral‐purpose componentsthatsupporttheprocessingoflargevolumes ofinformationthatcharacterizetheproblemsinvolvedin parallelcomputing.

Usingtheobliviouscachemodel,whichworksinde‐pendentlyofthecomputerarchitecture,andthedivide andconquerprinciple,analgorithmformatrixtrans‐positionisimplementedtoreducetheexecutiontime ofthisalgebraicoperation.Thealgorithmensuresthat mostofthedatacontentisloadedtothecacheforfast processing,andmakesthemostofitsstayinthecache tominimizemissedreadsandachievegreaterspeed.

Theworkincludesconclusionsandstatisticaltests carriedoutfromexperimentsoncomputerswithdifferent architectures,reflectingthesuperiorityofthealgorithm thatusesobliviouscachefromanorderofmatrixdeter‐minedaccordingtothecharacteristicsofeachPC.

Keywords: Cacheoblivious,Matrixtransposition,Missed readings

1.Introduction

TheIntegratedTechnologicalResearchComplex (CITI)wascreatedasacoordinationprojectbetween the TechnologicalUniversityofHavana(CUJAE)and theMinistryofInterior(MININT).Thisentityis designedtohostthemostadvancedtechnologies beingworkedwithworldwide[1].

CITI’smissionistodeveloptechnologiesto enhancethesecurityandinternalorderofthe country.Itsvisionistobeacreative,innovative andbenchmarkorganizationinhumancapital management.Inaddition,tobeareferencein theapplicabilityoftheresultsobtainedinthe developmentofsystems,technologiesandinnovative integratedapplications,withimpactonsecurityand internalorder,forwhichitwillbaseitsworkonthe integrationofhighlyquali iedprofessionalswith talentedstudents[1].

AtCITIthereareprojectsinwhichmatrixtranspo‐sitionisintensivelyused,sothistaskwasassignedto theParallelandDistributedComputinggroup,which isdedicatedtoreducetheexecutiontimeofvari‐ousalgorithmsbyemployingparallelismandrecur‐rencetechniques.Thistime,thetechniqueselectedby thegroupwasthecacheoblivious,arecurrenttech‐niqueaboutwhichthereissomeliteratureandimple‐mentationtestedanddocumentedbyotherauthors [2–4].Thismethodwasusedbytheauthorsina researchworkonmatrixmultiplicationobtaining goodresults[5].

2.CachingAlgorithms

2.1.Cache‐awareAlgorithms

Cache‐awarealgorithmstakeintoaccountthe hardwarearchitectureonwhichtheyarerunning, mainlythecachearchitecture,i.e.thenumberofcache levelsandthesizeofeachlevel.Theyarespeci ically developedtoperformaswellaspossibleintheenvi‐ronmentforwhichtheywerecreated.

Thisposesaproblemwhenchangingtheenviron‐ment,sinceifacache‐awarealgorithmisexecuted outsidethearchitectureforwhichitwasdesigned, itwillnotperformwell.Tocounteractthisproblem, cacheobliviousalgorithmswerecreated,ablework ef icientlyonanyarchitecture[6].

2.2.CacheObliviousAlgorithms

Cacheobliviousalgorithmshaveadesignthatwill alwaysbe“cache‐optimal”,regardlessofthecache hierarchy.In1996,theideaofrealizingalgorithms thatdonottakeintoaccountthearchitectureofthe computerwheretheyareexecutedwasconceivedby CharlesE.Leisersonandcalledcacheobliviousalgo‐rithms.Thistopicwas irstpublishedin1999byHar‐aldProkopinhismaster’sthesisattheMassachusetts InstituteofTechnology[4].Theuseofthecache obliviousmodelhasawidevarietyofapplications suchas:matrixmultiplication,matrixtransposition, Bioinformatics(RNAsecondarystructureprediction), ShortestPathAlgorithmwithorderO(n),dynamic programmingoftheGaussiansolution(Numerical Mathematics).

Theuseofthecacheobliviousmodelaimsto decreasemissedreadsorcachemissessincethese algorithmsusethedivide‐and‐conquerprincipleto dividetheproblemintosmallsubproblemsuntila cache‐ ittingsizeisreached,regardlessofthesizeof thecache.

2023 © Lópezetal.ThisisanopenaccessarticlelicensedundertheCreativeCommonsAttribution-Attribution4.0International(CCBY4.0) (http://creativecommons.org/licenses/by-nc-nd/4.0/) VOLUME17,N∘ 42023 JournalofAutomation,MobileRoboticsandIntelligentSystems
SamuelGuzmånLópez,AdolfoJavierSanGilSantana,JorgeAlbertoCubaAlonsodelRivero,SoniaPérezLovelle, HumbertoDíazPando
1

Byreducingthenumberofmissedreadsorcache misses,executiontimesaresigni icantlyreduced, resultingingreateref iciency.

Oneofthefeaturesbywhichitoutperformsthe traditionalcacheisself‐tuning.Intypicalcachealgo‐rithms,thealgorithmsrequiretuningtovariouscache parametersthatarenotalwaysavailablefromthe manufacturerandareoftendif iculttoextractauto‐maticallywhichhinderscodeportabilitywhereasin cacheobliviousalgorithmsnosuchtuningisrequired, asinglealgorithmshouldworkwellonallmachines withoutanymodi ication[3,4,7–9].

2.3.MatrixTransposition

Matrixtranspositionisafundamentaloperation oflinearalgebraandothercomputationalprimitives suchasthemultidimensionalFastFourierTransform; itisalsoappliedinnumericalanalysisineconomics, imageandgraphicsprocessing,aswellasbeingused incryptographicmethods[10].

Thisseeminglyinnocuouspermutationproblem lacksbothtemporalandspatiallocalityandisthere‐foredif iculttoimplementef icientlyformatriceswith alargevolumeofdata.Infact,thereisnotemporal localitytoexploit,sinceeachelementofthematrixis accessedatmostonce[10].

Asfarasspatiallocalityisconcerned,thematrix elementswaps(i,j)and(j,i)implicitinthetranspose semantics,whentranslatedintomemoryaddresses usingcanonicalrow‐majororcolumn‐majorordering, equalsthememorylocalitiesni+jandnj+i.Depending onthevaluesofiandj,thesemaybecloseorfar apartintermsofcachesetsormemorypages.Care‐fulschedulingoftheseswapoperationsisrequired togainanyadvantagefromthesemultiwordcache lines[10].

Explicittranspositionofanarrayintomemorycan oftenbeavoidedbyaccessingthesamedatainadif‐ferentorder.Forexample,softwarelibrariesforlinear algebra,suchasBLAS,generallyprovideoptionsto specifythatcertainmatricesshouldbeinterpretedin transposedordertoavoidtheneedfordatamove‐ment[10].

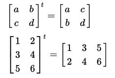
Describingthealgebraicoperationassuch,atrans‐posedmatrixistheresultofrearrangingtheorigi‐nalmatrixbyexchangingrowsforcolumnsinanew matrix(seeFigures1and2).

Inotherwords,thetransposedmatrixistheaction ofselectingrowsfromtheoriginalmatrixandrewrit‐ingthemascolumnsinthenewmatrix.

Examples:

2.4.TranspositionofBlockMatrices

Themanipulationofmatriceswithalargenum‐berofrowsandcolumnsinvolvesbigproblems,even whentheyarehandledwithacomputer.Therefore, itisofteninterestingtoknowhowtodecomposea problemusinglargematricesintosmallerproblems, i.e.,usingsmallermatrices[11].

Thepossibilityofdecomposingamatrixinto smallermatriceshasmanyapplicationsincommuni‐cations,electronics,solvingsystemsofequations,tak‐ingadvantageofthevectorstructureofsomecomput‐ers,andsoon.And,especially,itgivesthepossibility ofwritingamatrixinamorecompactway[11].

Theblocksareobtainedbydrawingimaginaryver‐ticalandhorizontallinesbetweentheelementsofthe matrix.Theirdimensiondependsonthesizeofthe cacheblocksandaimstostoreasmuchinformation aspossible.

3.AlgorithmImplementation

3.1.DescriptionofOperation

Thefundamentalideaistoreducethetransposeof amatrixtothetransposeofsmallsubmatrices.Thisis achievedbydividingthematricesinahalfalongtheir largestdimensionuntilonlyonematrixtransposethat itsinthecacheneedstobecarriedout(intheory, onecouldfurtherdividethematricesdowntoabase caseofsize1×1,butinpracticealargerbasecaseis used,e.g.,16×16,inordertoamortizetheoverhead ofcallingrecursivesubroutines)[12].

3.2.DescriptionoftheImplementation

Insection 2,allthetheoreticalfoundationsthat supporttheimplementationofamatrixtransposition algorithmusingthecacheobliviousmodelwerepre‐sented.Algorithm 1,adaptedfromtheonefoundin https://es.stackoverflow.com,wasused.

Thisalgorithmhasfourintegersandapointeras parameters,ofwhichthe irstandthirdarefunda‐mentaltodividetheoriginalmatrixintosmallsub‐matrices.Thesecondandfourthrefertothenumber ofrowsandcolumnsrespectively,whilethepointer referstotheresultmatrix.

JournalofAutomation,MobileRoboticsandIntelligentSystems VOLUME17,N∘ 42023
Figure1. Exampleoftranspositionofasquarematrix andanotheroforder2x3(takenfrom[11]) Figure2. Exampleoftranspositionofamatrixoforder 3x7(takenfrom[11])
2

Table1. Computercharacteristics

Characteristics

PC1 PC2 PC3 PC4 PC5 PC6 PC7

Processor Intel(R)Core (TM) i3‐5020UCPU @2.2GHz 2.2GHz

RAM 4,00GB

Single‐Channel DDR3 @798MHz

Intel(R) Celeron(R) CPUG3900@ 2.8GHz 2.8GHz

4.00GB

(2.95GB utilizable) DDR4‐2133

Intel(R) Celeron(R) CPUG1840@ 2.8GHz 2.8GHz

2,00GB

Single‐Channel DDR3 @665MHz

Intel(R)Core (TM) i3‐7130UCPU @2.7GHz 2.7GHz

8.00GB (7.95GB utilizable) DDR4‐2400

Intel(R)Core (TM)i3‐4130 CPU@ 3.4GHz

Intel(R)Core (TM) i7‐1165G7@ 2.8GHz 2.8GHz

8.00GBDDR3 16.2GB (15.8GB utilizable) DDR4‐3200

Intel(R) Pentium(R) CPUG4560@ 3.50GHz 3.50GHz

8.00GB (7.95GB utilizable) DDR4‐2400

Typeof system Windows64 bits Windows64 bits Windows64 bits Windows64 bits Linux64bits Windows64 bits Windows64 bits

Motherboard ASUSTek COMPUTER INC.X540LA

Gigabyte Technology Co.,Ltd. B85M‐DS3H

Gigabyte Technology Co.,Ltd. B85M‐DS3H

voidcachetranspose(int rb, int re, int cb, int ce, Matrix*T)

{int r=re-rb,c=ce-cb; if (r<= 16 &&c<= 16){ for (int i=rb;i<re;i++){ for (int j=cb;j<ce;j++){

T->data[j*rows+i]=data[i*columns+j];}}} else if (r>=c){

cachetranspose(rb,rb+(r/2),cb,ce,T); cachetranspose(rb+(r/2),re,cb,ce,T);} else {

cachetranspose(rb,re,cb,cb+(c/2),T); cachetranspose(rb,re,cb+(c/2),ce,T);}}

Algorithm1. Recursivematrixtranspositionalgorithm usingcacheoblivious

4.Experiments

Forthedevelopmentoftheexperimentsitwas necessaryapreviousstudyofseveralalgorithms(tra‐ditional,blocksandblocks_for_squared_matrices)to establishacomparisonwiththoseusingthecache obliviousmodel(forsquareandnon‐squareorders). Theseexperimentsconsistofrunningeachalgorithm 5timesonorderswithdifferentcharacteristics(see Table1).Fromtheresultsobtained,astatisticalanaly‐sisisperformedtodeterminewhetherthealgorithms usingthecacheobliviousmodelaresuperior(interms ofexecutiontimeandmissedreads)tothosethatdo notusethismodel.

4.1.Results

Inthissectionwepresentdiagramsshowingthe averageexecutiontimeandthemissedreadings(the latteronlyinPC5),foreachofthealgorithmsanalyzed.

Inthosecases,wherenon‐squaredmatriceswere tested,thesewere illedwithzerosinordertousethe blocks_for_squared_matricesalgorithmforthecorre‐spondingcomparisons.

DellInc. 02DG7R (U3E1)

VersiĂłnA00

Gigabyte B85M‐DS3H HPSpectre 14‐EA GigabyteGa‐H110m‐S2h

AscanbeseeninFigure3,forthecomputeriden‐ti iedasPC1,theblocks_for_squared_matricesalgo‐rithmisfasterthantherestofthoseanalyzedfor orderslowerthan14000,fromwhichthealgorithm usingcacheobliviousstartstobesuperior.

Figure4showsthatforthecomputeridenti iedas PC1,thealgorithmusingcacheobliviousissuperior intermsofexecutiontimetothetraditional,block andblock_for_squared_matricesalgorithmsforallthe ordersanalyzed.

JournalofAutomation,MobileRoboticsandIntelligentSystems VOLUME17,N∘ 42023
CacheL1 (instructions) 64KB. 64KB 64KB 64KB. 64KB. 128KB 64KB CacheL1 (data) 64KB. 64K 64K 64KB. 64KB. 192KB 64KB CacheL2 512KB 512KB 512KB 512KB 512KB 5MB 512KB CacheL3 3MB 2MB 2MB 3MB 3MB 12MB 3MB
Figure3. BehaviorofthealgorithmsinPC1forsquare orders Figure4. BehaviorofthealgorithmsinPC1for non‐squareorders
3

ItisevidentfromFigure5 that,forthecomputer describedasPC2,thealgorithmusingcacheoblivious issuperiorintermsofexecutiontimetothetradi‐tionalandblockalgorithmsforallorders,whilethe blocks_for_squared_matricesalgorithmhasloweror similartimestotheoneusingcacheobliviousupto order10000,fromwhichthecacheobliviousalgo‐rithmpresentslowervalues.

Figure6showsthat,forthecomputeridenti iedas PC2,thealgorithmusingcacheobliviousissuperior intermsofexecutiontimetothetraditional,block andblock_for_squared_matricesalgorithmsforallthe ordersanalyzed.

Figure 7 showsthat,forthecomputeridenti‐iedasPC3,thealgorithmusingcacheobliviousis superiorintermsofexecutiontimetothetradi‐tionalandblockalgorithmsforallorders,whilethe blocks_for_squared_matricesalgorithmhaslowerexe‐cutiontimesthantheoneusingcacheobliviousup toorder6000.Between8000and12000theresults aresimilarandfromthelatter,thecacheoblivious algorithmstartstohavelowervalues.

Figure8showsthat,forthecomputeridenti iedas PC3,thealgorithmusingcacheobliviousissuperior intermsofexecutiontimetothetraditional,block andblock_for_squared_matricesalgorithmsforallthe ordersanalyzed.

non‐squareorders

Figure 9 showsthat,forthecomputeridenti‐iedasPC4,thealgorithmusingcacheobliviousis superiorintermsofexecutiontimetothetradi‐tionalandblockalgorithmsforallorders,whilethe blocks_for_squared_matricesalgorithmhaslowerexe‐cutiontimesthantheoneusingcacheobliviousuntil order12000,whentheystarttohavesimilarvalues.

Figure10showsthat,forthecomputeridenti ied asPC4,thealgorithmusingcacheobliviousissuperior intermsofexecutiontimetothetraditional,block andblock_for_square_matricesalgorithmsforallthe ordersanalyzed.

Figure11showsthat,forthecomputeridenti ied asPC5,thealgorithmusingcacheobliviousissuperior intermsofexecutiontimetothetraditional,block andblock_for_squared_matricesalgorithmsforallthe ordersanalyzed.

Figure12showsthat,forthecomputeridenti ied asPC5,thealgorithmusingcacheobliviousissuperior intermsofexecutiontimetothetraditional,block andblock_for_squared_matricesalgorithmsforallthe ordersanalyzed.

ItisevidentinFigure 13 that,forthecomputer identi iedasPC6,thealgorithmusingcache

JournalofAutomation,MobileRoboticsandIntelligentSystems VOLUME17,N∘ 42023
Figure5. BehaviorofthealgorithmsinPC2forsquare orders Figure6. BehaviorofthealgorithmsinPC2for non‐squareorders Figure7. BehaviorofthealgorithmsinPC3forsquare orders Figure8. BehaviorofthealgorithmsinPC3for non‐squareorders Figure9. BehaviorofthealgorithmsinPC4forsquare orders Figure10. BehaviorofthealgorithmsinPC4for
4

Figure17. Performanceofthealgorithmsintermsof missedreadingsonPC5forsquareorders

Figure18. Performanceofthealgorithmsintermsof missedreadingsonPC5fornon‐squareorders

obliviousissuperiorintermsofexecutiontime tothetraditionalalgorithms,byblocksand blocks_for_squared_matrices,startingfromthe order10000x10000.

Figure14showsthat,forthecomputeridenti ied asPC6,thealgorithmusingcacheobliviousissuperior intermsofexecutiontimetothetraditional,block

andblock_for_squared_matricesalgorithmsforallthe ordersanalyzed.

Figure15showsthat,forthecomputeridenti ied asPC7,theblocks_for_squared_matricesalgorithmis superiortotheothersanalyzedanditcanbeobserved thatthealgorithmusingcacheobliviousobtainsa certainparityfromtheorder14000x14000.

JournalofAutomation,MobileRoboticsandIntelligentSystems VOLUME17,N∘ 42023
Figure11. BehaviorofthealgorithmsinPC5forsquare orders Figure12. BehaviorofthealgorithmsinPC5for non‐squareorders Figure13. BehaviorofthealgorithmsinPC6forsquare orders Figure14. BehaviorofthealgorithmsinPC6for non‐squareorders Figure15. BehaviorofthealgorithmsinPC7forsquare orders Figure16. BehaviorofthealgorithmsinPC7for non‐squareorders
5

Table2. ResultsobtainedinPC1forsquareorders

Algorithms traditional blocks blocks_for_squared_matrices

Table3. ResultsobtainedinPC1fornon‐squaredorders

Algorithms traditional blocks blocks_for_squared_matrices

Table4. ResultsobtainedinPC5formissedreadingsinsquareorders

Algorithms traditional blocks blocks_for_squared_matrices

Table5. ResultsobtainedinPC5formissingreadingsinnon‐squareorders

Algorithms traditional blocks blocks_for_squared_matrices

Figure16showsthat,forthecomputeridenti ied asPC7,thealgorithmusingcacheobliviousissuperior intermsofexecutiontimetothetraditional,block andblock_for_squared_matricesalgorithmsforallthe ordersanalyzed.

4.1.1.Missedreadings

ThePAPI(PerformanceApplicationProgramming Interface)library,developedattheUniversityofTen‐nessee,wasusedtoaccountformissedreads.Itsmain purposeistoprovideaccesstothePMCs(Perfor‐manceMonitoringCounter)ofadiversecollectionof modernprocessors[13].PAPIprovidesanabstraction layerthatallowsdeveloperstoaccessPMCs.Instead, thedeveloperusescallstothePAPIAPI(Application ProgramingInterface),makingthecodeportable,i.e. itcanbeusedonanyarchitecturesupportedbythe librarywithoutmodifyingaccesstoPMCs[14].

ThemissingreadingswerecountedonthePC5 computer,whichhasaLinuxoperatingsystem becausethelibraryused(PAPI)hasnotprovidednew updatessincetheXPversionofWindows.

Figure17showsthat,forthecomputeridenti ied asPC5,thealgorithmthatusescacheoblivioushasthe lowestnumberofmissedreadings.

Figure18showsthat,forthecomputeridenti ied asPC5,thealgorithmusingcacheoblivioushasfewer missedreadings.

5.StatisticalAnalysis

TheWilcoxonnonparametrictestwasusedforsta‐tisticalanalysis.Itwasselectedsinceitwasproven thatthedatadonotfollowanormaldistributionand duetothesmallsamplesize.Itisexpectedthat,when thetestisrun,itwillreturnap<∝value,ifthisoccurs H0 isrejectedanditisconcludedthattheexecution timeofthecacheobliviousalgorithmislessthanthat ofthetraditionalalgorithm.

Severalsignedranktestswereappliedwhenthe sampleswerepaired,oneforeachofthelastthree ordersofthealgorithmsoneachcomputerdescribed.

ThefollowingaretheresultsobtainedonPC1in termsofexecutiontimeandonPC5intermsofmissed readings:

ItisevidentintheresultsofTable 2 thatthe blocks_for_squared_matricesalgorithmisfasterthan therestoftheanalyzedalgorithmsfororderslower than14000,fromwhichthealgorithmusingcache obliviousstartstobesuperior.

TheresultsinTable 3 showthesuperiorityin termsofexecutiontimeofthealgorithmusingthe cacheobliviousmodelforalltheordersanalyzed.

Table 4 showsthesuperiorityintermsofmissed readingsofthealgorithmusingthecacheoblivious modelforallordersanalyzed.

Table 5 showsthesuperiorityintermsofmissed readingsofthealgorithmusingthecacheoblivious modelforallordersanalyzed.

JournalofAutomation,MobileRoboticsandIntelligentSystems VOLUME17,N∘ 42023
p-value Analysis p-value Analysis p-value Analysis 10000 0.03125<ïżœïżœ RejectsH0 0.03125<ïżœïżœ RejectsH0 1>ïżœïżœ DoesnotrejectH0 12000 0.03125<ïżœïżœ RejectsH0 0.03125<ïżœïżœ RejectsH0 1>ïżœïżœ DoesnotrejectH0 14000 0.03125<ïżœïżœ RejectsH0 0.03125<ïżœïżœ RejectsH0 0.03125<ïżœïżœ RejectsH0
p-value Analysis p-value Analysis p-value Analysis 8000x10000 0.03125<ïżœïżœ RejectsH0 0.03125<ïżœïżœ RejectsH0 0.03125<ïżœïżœ RejectsH0 10000x12000 0.02895<ïżœïżœ RejectsH0 0.02895<ïżœïżœ RejectsH0 0.03125<ïżœïżœ RejectsH0 12000x14000 0.03125<ïżœïżœ RejectsH0 0.03125<ïżœïżœ RejectsH0 0.03125<ïżœïżœ RejectsH0
p-value Analysis p-value Analysis p-value Analysis 10000 0.03125<ïżœïżœ RejectsH0 0.03125<ïżœïżœ RejectsH0 0.03125<ïżœïżœ RejectsH0 12000 0.03125<ïżœïżœ RejectsH0 0.03125<ïżœïżœ RejectsH0 0.03125<ïżœïżœ RejectsH0 14000 0.03125<ïżœïżœ RejectsH0 0.03125<ïżœïżœ RejectsH0 0.03125<ïżœïżœ RejectsH0
p-value Analysis p-value Analysis p-value Analysis 10000 0.03125<ïżœïżœ RejectsH0 0.03125<ïżœïżœ RejectsH0 0.03125<ïżœïżœ RejectsH0 12000 0.03125<ïżœïżœ RejectsH0 0.03125<ïżœïżœ RejectsH0 0.03125<ïżœïżœ RejectsH0 14000 0.03125<ïżœïżœ RejectsH0 0.03125<ïżœïżœ RejectsH0 0.03125<ïżœïżœ RejectsH0
6

Thetestwasperformedwiththestatisticalsoft‐wareR.Afterthetestitwasdemonstratedthatthe matrixtranspositionalgorithmusingthecacheobliv‐ious,dependingonthearchitectureofthecomputer whereitwasusedandfromacertainorder,willbe betterthantheotheralgorithmsanalyzed.

6.Conclusion

Underthecomputationalconditionsusedforthe experiments:

1) OnacomputerwithaWindowsoperatingsystem, inthematrixtranspositionoperation,forsquare ordermatricesitisnotfeasibletoemploythealgo‐rithmusingthecacheobliviousmodelforanorder lessthan14000x14000.

2) Regardlessofthecomputerarchitecture,itwas shownthatfromorder6000x8000fornon‐square ordermatrices,thematrixtranspositionalgorithm usingcacheobliviousisfasterthantherestofthe algorithmsstudied.

3) Theblocks_for_squared_matricesalgorithmhasa lowerperformancewhenusedfornon‐square matricessincethesemustbecompletedwithzeros untiltheirorderissquareandthereforethealgo‐rithmincreasesitsexecutiontime.

4) Forlargevolumesofinformation,theexecution timeisindirectcorrespondencetothemissed readings.

5) Algorithmsthatusethecacheobliviousmodelfor largevolumesofinformationhavefewermissed readingsthantherest.

AUTHORS

SamuelGuzmĂĄnLĂłpez∗ –TechnologicalUniversity ofHavanaJosĂ©AntonioEcheverrĂ­a,Cuba,e‐mail: samuguzmanlopez97@gmail.com.

AdolfoJavierSanGilSantana –TechnologicalUni‐versityofHavanaJosĂ©AntonioEcheverrĂ­a,Cuba, e‐mail:asang@ceis.cujae.edu.cu.

JorgeAlbertoCubaAlonsodelRivero –Techno‐logicalUniversityofHavanaJosĂ©AntonioEcheverrĂ­a, Cuba,e‐mail:jcuba@ceis.cujae.edu.cu.

SoniaPĂ©rezLovelle –TechnologicalUniversity ofHavanaJosĂ©AntonioEcheverrĂ­a,Cuba,e‐mail: sperezl@ceis.cujae.edu.cu.

HumbertoDĂ­azPando –TechnologicalUniversityof HavanaJosĂ©AntonioEcheverrĂ­a,Cuba,e‐mail:hdi‐azp@ceis.cujae.edu.cu.

∗Correspondingauthor

References

[1] www.portal.citi.cu.(accessed4/6/2019).

[2] C.Mayer.“Cacheobliviousmatrixoperations usingPeanocurves,”DepartmentofComputer ScienceTechnischeUniversityMunchen,Ger‐many,2006.

[3] M.Frigo,Leiserson,H.Prokop,andRamachan‐dran.“CacheObliviousAlgorithms”,MITLabo‐ratoryforComputerScience,Cambridge,USA, 1999.

[4] H.Prokop.“Cache‐ObliviousAlgorithms,” DepartmentofElectricalEngineeringand ComputerScience,MassachusettsInstituteof Technology.,Massachusetts1999.

[5] A.J.SanGilSantana,S.GuzmánLópez,andJ. A.CubaAlonsodelRivero.“Algoritmodemul‐tiplicacióndematricesutilizandocach incon‐scienteycurvadePeano,” XVIIIConvencióny FeriainternacionalInformática2020, 2020.

[6] T.M.Chilimbi.“CacheConsciousDataStructues DesingandImplementation,”UniversityOfWis‐consin1999.

[7] M.Frigo,C.E.Leiserson,H.Prokop,andS. Ramachandran.“Cache‐ObliviousAlgorithms,” ACMTransactionsonAlgorithms, 2012.

[8] Ritika.“Cache‐awareandcache‐obliviousalgo‐rithms,”MasterofEngineeringComputersci‐enceandengineering,ThaparUniversityPatiala 2011.

[9] S.NeerajandS.Sandeeep.“E?cientcacheobliv‐iousalgorithmsforrandomizeddivide‐and‐conqueronthemulticoremodel,”2018.

[10] S.ChatterjeeandS.Sen.“CacheEf icientMatrix Transposition,”DepartmentofComputerSci‐ense,UniversityofNorthCarolinaChapelHill,NC 27599‐3175,USA–IndianInstituteofTechnol‐ogyNewDelhi110016,India,2005.

[11] M.Palacios.“Matrices,”Departamentode MatemáticaAplicadaUniversidaddeZaragoza, 2018.

[12] D.Tsifakis,P.Alistair,Rendell,andP.E.Strazdins. “CacheObliviousMatrixTransposition:Simu‐lationandExperiment,”DepartmentofCom‐puterScience,AustralianNationalUniversity Canberra,Australian,2004.

[13] V.M.Weaveretal..“PAPI5:MeasuringPower, EnergyandtheCloud,” International-Symposium onPerformaceAnalysisofSystemsandSoftware, 2013.

[14] P.J.Mucci,S.Browne,C.Deane,andG.HO.“PAPI: APortableInterfacetoHadwarePerformance Counters,”UniversityofTennessee,Knoxville, Tennessee,1999.

JournalofAutomation,MobileRoboticsandIntelligentSystems VOLUME17,N∘ 42023
7

SIMULATIONRESEARCHOFMOTIONOFLIGHTWEIGHTWHEELEDMOBILEROBOT

SIMULATIONRESEARCHOFMOTIONOFLIGHTWEIGHTWHEELEDMOBILEROBOT ONVARIOUSTYPESOFSOFTGROUND–ACASESTUDY

Submitted:13th October2023;accepted:27th November2023

MaciejTrojnacki,PrzemysƂawDąbek

DOI:10.14313/JAMRIS/4‐2023/26

Abstract:

Aproblemofinfluenceofthreetypesofsoftground onlongitudinalmotionofalightweightfour‐wheeled mobilerobotisconsidered.Kinematicstructure,main designfeaturesoftherobotanditsdynamicsmodel aredescribed.Anumericalmodelwaselaboratedto simulatethedynamicsoftherobot’smulti‐bodysystem andthewheel‐groundinteraction,takingintoaccount thesoildeformationandstressesoccurringonthecir‐cumferenceofthewheelintheareaofcontactwith thedeformableground.Numericalanalysisinvolvingfour velocitiesofrobotmotionandthreecasesofsoil(dry sand,sandyloam,clayeysoil)isperformed.Withinsim‐ulationresearch,themotionparametersoftherobot, groundreactionforcesandmomentsofforce,driving torques,wheelsinkageandslipparametersofwheels werecalculated.Aggregatedresearchresultsaswellas detailedresultsofselectedsimulationsareshownand discussed.Asaresultoftheresearch,itwasnoticed thatwheelslipratios,wheels’sinkageandwheeldriving torquesincreasewithdesiredvelocityofmotion.More‐over,itwasobservedthatwheels’sinkageanddriving torquesaresignificantlylargerfordrysandthanforthe otherinvestigatedgroundtypes.

Keywords: Lightweightwheeledmobilerobot,Longitudi‐nalmotion,Deformableground,Dynamicsmodel,Tire‐groundinteraction,Wheelslip,Wheelsinkage,Simula‐tionstudies

1.Introduction

Lightweightwheeledmobilerobotsareversatile vehiclesthatworkinbothindoorandoutdoorenvi‐ronments.Thelargestgroupofsuchvehiclesare lightweightmobilerobots,anexampleofwhichare robotsforspecialapplications.Suchrobotsmoveon avarietyofsurfaces,bothpaved[1]andunpaved[2].

Atthestageofdesigningrobotstructuresand controlsystems,itisbene icialtoknowtherobot dynamicsmodel[3,4].Theformoftherobotdynamics modelisfundamentallyin luencedbyitskinematic structure[5],whichdependsontheareaofapplication oftherobot.Suchamodelcanbedevelopedusingclas‐sicalmethods,e.g.,usingtheNewton‐Eulerformalism orLagrangeformalism[6].

Alternativemethodsmayalsobeusedinwhichthe dynamicsmodelcanbebuiltusingsystemidenti ica‐tionthroughmeasurementsoftheinputandoutput signalsofthesystem[7].Thisprocesscanbecar‐riedoutbothof line[8]andonline,dependingonthe method.Italsomayormaynotrequiretheknowledge oftherobot’smodelstructure.Arti icialintelligence methodscanalsobeused[9],e.g.,basedonarti icial neuralnetworks[10],toapproximateunknownnon‐linearfunctionsinthedynamicsmodel.

Regardlessoftheadoptedmethodofcreating thedynamicsmodel,itisimportantthatittakes intoaccountthewheel‐groundinteraction.Forthis purpose,tiremodelsareintroducedinthedynam‐icsmodel.Tire‐groundinteractioninthecaseof lightweightmobilerobotsmovingatrelativelyhigh speedsshouldtakeintoaccountthepossibilityof wheelslippage.Ifrobotmotionoccursondeformable ground,theninadditiontowheelsliptheground deformationhastobeconsideredaswell.Modeling theinteractionofwheelswithunpavedgroundisthe subjectofterramechanics,thebasisofwhichwasfor‐mulatedinthework[11].

Theproblemofmotionondeformablegroundis ofcriticalimportanceinthecaseofoutdoorwheeled mobilerobotsusedforreconnaissanceincivilandmil‐itaryscenariosandisrelatedtotheproblemofrobot mobility.Inthiscase,thequestionsofhowtheground typeanddesiredrobotvelocityaffectwheelslips,soil deformation(orwheelsinkage)anddrivingtorques shouldbeanswered.Examplesofstudiesofmotion ofvehiclesondeformablegrounds,especiallytracked andwheeledones,are[11,12]and[13].Themajority ofworksisfocusedonmannedvehicles;however, onecanalso indworksconcerningwheeledmobile robots,forinstance[14],andinparticularplanetary rovers[15,16].Heavyoff‐roadvehiclestypicallyuse pneumaticwheels.Apartfromthetread,theirdriving propertiesaredeterminedbytirepressure,aswellas wheeldiameterandwidth.Theresearchresultsinthis areaaredescribed,amongothers,inworks[11,12]. Inturn,lightweightvehicles,suchasmobilerobots forspecialapplicationsoftenhavenon‐pneumatic wheels.Therefore,intheircase,themechanicalprop‐ertiesofthewheel illingsusedareimportant.

2023 © TrojnackiandDąbek.ThisisanopenaccessarticlelicensedundertheCreativeCommonsAttribution-Attribution4.0International(CCBY4.0) (http://creativecommons.org/licenses/by-nc-nd/4.0/) VOLUME17,N∘ 42023 JournalofAutomation,MobileRoboticsandIntelligentSystems
ONVARIOUSTYPESOFSOFTGROUND–ACASESTUDY ONVARIOUSTYPESOFSOFTGROUND–ACASESTUDY ONVARIOUSTYPESOFSOFTGROUND–ACASESTUDY
8

Theaimofthispaperistostudythein luence ofthreetypesofdeformablegroundonthemotion parametersofalightweightwheeledmobilerobot duringitslongitudinalmotion.Theanalysisiscar‐riedoutfortherobotmovingwithvariousdesired velocitiesonthreedifferenttypesofsoftground,i.e., drysand,sandyloamandclayeysoil.Inthepresent work,thenumericalanalysisonlyispresented,but asimilarstudywithexperimentalveri icationwas carriedoutfordrysandinpaper[17].Inthepresent article,theissueoftheinteractionofthewheelwith thesoftgroundisalsodescribedinmoredetail.Inpar‐ticular,thedistributiononthewheelcircumference ofsoildeformationsandstressesinthecontactarea ofthewheelwiththegroundisanalyzed,whichis verydif iculttoperformatthestageofexperimental research.

2.RobotandItsModel

Withinthispaper,thePIAPGRANITEfour‐wheeledmobilerobotwithnon‐steeredwheelsis analyzed.Therobot’swheelsarenon‐pneumatic,i.e., theyare illedwithstiffeningfoam.Thisrobotisa platformdedicatedtoresearch(Fig. 1a).Therobot’s kinematicstructureisillustratedinFigure1b,where theparticularsubsystemsaredistinguished,i.e.:0–body,1–4–wheels,5–6–optionaltoothedbelts.

Therobotcanbecon iguredtoworkinseveral versions,i.e.:1.thefrontorreardrivecanbedecou‐pledandonlytheremainingwheelscanbedriven; 2.onlythefrontorrearwheelscanbedriven,but additionaltoothedbeltscanbeusedtotransferdrive totheremainingwheels;3.allwheelscanbedriven independently.Inthecaseanalyzedinthispaper,the toothedbeltswereremoved,andindependentdriveof allwheelswasused.

Inthecaseoftherobotmovingonsoftground, doublewheelswereusedbecausetheuseofstandard‐widthwheelsresultedintoomuchwheels’sinkageon sand,makingtherobotunabletomove.Thefollowing designationsofgeometricparametersoftherobot wereintroducedinFigure1b: L –wheelbase, W –track width(ïżœïżœ1ïżœïżœ3 =ïżœïżœ2ïżœïżœ4 =ïżœïżœ,ïżœïżœ1ïżœïżœ2 =ïżœïżœ3ïżœïżœ4 =ïżœïżœ),ïżœïżœïżœïżœ,ïżœïżœïżœïżœ –respectivelyradius,andwidthofthe i‐thwheel,where ïżœïżœ=1,
,4

Thevelocityofthepoint R oftherobotwas assumedasthegivenparameteroftherobot’smotion, thatis ïżœïżœïżœïżœïżœïżœïżœïżœ = ïżœïżœïżœïżœïżœïżœïżœïżœïżœïżœ.Theleftsuperscript O means thatthedesiredvelocityisexpressedinthestation‐arycoordinatessystem.Iftherobotisinlongitudinal motion,thevelocitiesofthegeometriccentersofthe wheelsareequaltothevelocityofpoint R,i.e., ïżœïżœïżœïżœïżœïżœïżœïżœ = ïżœïżœïżœïżœïżœïżœïżœïżœïżœïżœ = ïżœïżœïżœïżœïżœïżœïżœïżœ

Withregardtodesiredangularvelocitiesofwheel spinsïżœïżœïżœïżœïżœïżœ,iftherobotmoveswithoutslip,theycanbe determinedbysolvingtheinversekinematicsproblem forthemobileplatform,thatis,fromtherelationship:

ïżœïżœïżœïżœ = ïżœïżœïżœïżœïżœïżœïżœïżœ/ïżœïżœïżœïżœ (1)

Figure1. PIAPGRANITErobotduringtestsinacontainer filledwithsand(a),kinematicstructureoftherobot(b)

However,wheelslippagemayoccurwhilethe robotismoving.Themeasuresofthatslippageare instantaneouslongitudinalslipratios ïżœïżœïżœïżœ andmean longitudinalslipratioïżœïżœïżœïżœ (longitudinalslipratioofthe wholerobot).

Thoseslipratiosaregivenwiththeformulas:

–wheelcircumferentialvelocity,

–distancetraversedbypoint R oftherobotinlon‐gitudinaldirection,ïżœïżœïżœïżœïżœïżœïżœïżœ –desireddistancetraveledby point R whenrollingwithoutslip.

Forthepresentinvestigations,thefollowing assumptionsareadopted:

‐ wheelsaretreatedasrigidbodies, ‐ theso‐calledmulti‐passeffect(inwhichafollow‐ingwheelissubjecttosmallerrollingresistance, becauseitmovesinarutmadebyaleadingwheel) arenotconsidered,

‐ treadblocksoftiresareneglected.

JournalofAutomation,MobileRoboticsandIntelligentSystems VOLUME17,N∘ 42023
ïżœïżœïżœïżœïżœïżœ =ïżœïżœ
ïżœïżœ
= 0 forïżœïżœ
(ïżœïżœïżœïżœïżœïżœ ïżœïżœïżœïżœïżœïżœïżœïżœïżœïżœ)/ïżœïżœïżœïżœïżœïżœ otherwise
ïżœïżœïżœïżœ =(ïżœïżœïżœïżœïżœïżœïżœïżœ âˆ’ïżœïżœïżœïżœïżœïżœ)/ïżœïżœïżœïżœïżœïżœïżœïżœ
ïżœïżœïżœïżœ =ïżœïżœïżœïżœïżœïżœïżœïżœ
ïżœïżœ
ïżœïżœïżœïżœ =0,
, (2)
, (3) where: ïżœïżœ
ïżœïżœïżœïżœïżœïżœ
9

Amulti‐bodydynamicsmodelwasderivedforthe robot.Itwasassumedthatontherobotacttheground reactionforces,i.e., ïżœïżœFïżœïżœïżœïżœ =[ïżœïżœïżœïżœïżœïżœïżœïżœïżœïżœ, ïżœïżœïżœïżœïżœïżœïżœïżœïżœïżœ, ïżœïżœïżœïżœïżœïżœïżœïżœïżœïżœ]ïżœïżœ (ïżœïżœ= 1,
,4)andgravityforce ïżœïżœG =ïżœïżœïżœïżœ ïżœïżœg (Fig.2a),where ïżœïżœïżœïżœ isrobottotalmass, ïżœïżœg =[ïżœïżœïżœïżœïżœïżœ, ïżœïżœïżœïżœïżœïżœ, ïżœïżœïżœïżœïżœïżœ]ïżœïżœ the vectorofgravityacceleration,andtheleftsuperscript R meansthatmentionedvectorsareexpressedinthe movingcoordinatesystemattachedtotherobot.

Thefollowingindexesareintroducedforindivid‐ualpairsofwheels: f –frontwheels(ïżœïżœ=1,2), b –rear wheels (ïżœïżœ=3,4).Oneachwheel,apartfromforce ofgravityandforcesfollowingfromtheinteraction withtheground,actdrivingtorque ïżœïżœTïżœïżœ =[0,ïżœïżœïżœïżœ,0]ïżœïżœ andmomentofmotionresistanceïżœïżœMïżœïżœïżœïżœ =[0, Mïżœïżœïżœïżœ,0]ïżœïżœ (Fig.2b).

Asaresultofthereductionofforces ïżœïżœFïżœïżœïżœïżœ tothe axesofrotationofwheels,theforces ïżœïżœFïżœïżœïżœïżœ = ïżœïżœFïżœïżœïżœïżœ = [ïżœïżœïżœïżœïżœïżœïżœïżœïżœïżœ, ïżœïżœïżœïżœïżœïżœïżœïżœïżœïżœ, ïżœïżœïżœïżœïżœïżœïżœïżœïżœïżœ]ïżœïżœ areobtained.

Themulti‐bodydynamicsmodelisbasedonthe followingequationsofdynamicsforthewholevehicle andforindividualwheels(associatedwiththeirspin):

Θ and ïżœïżœïżœïżœ = ïżœïżœïżœïżœ –angularaccelerationsofrotationof respectivelymobileplatformandwheelaboutmen‐tionedaxes, ïżœïżœïżœïżœïżœïżœïżœïżœïżœïżœ and ïżœïżœïżœïżœïżœïżœïżœïżœïżœïżœ –componentofthe linearaccelerationoftherobotmasscenter.

Thedevelopedmodelenablesthesolutionofthe forwarddynamicsproblemfortherobot.According tothismodel,inasingletimestepofsimulation,the followingquantitiesaredetermined:

1) Instantaneousslipratiosforwheelsïżœïżœïżœïżœ (ïżœïżœ=1,
,4) andfortherobotïżœïżœïżœïżœ fromequations(2)and(3).

2) Geometricquantitieslikemaximumwheelsinkage ïżœïżœ0ïżœïżœ andanglesofwheel‐terraincontact ïżœïżœ1ïżœïżœ and ïżœïżœ2ïżœïżœ =ïżœïżœïżœïżœ2ïżœïżœ1ïżœïżœ (Fig.3a).

3) Soilsheardeformation ïżœïżœïżœïżœ(ïżœïżœ1ïżœïżœ)accordingto[13] andwheelsinkage ïżœïżœïżœïżœ(ïżœïżœ1ïżœïżœ) intherangeofwheel‐terraincontactanglesfrom âˆ’ïżœïżœ2ïżœïżœ to ïżœïżœ1ïżœïżœ basedon dependencies:

ïżœïżœïżœïżœ(ïżœïżœïżœïżœ)=ïżœïżœïżœïżœ((ïżœïżœ1ïżœïżœ âˆ’ïżœïżœïżœïżœ)−(1âˆ’ïżœïżœïżœïżœ)(sinïżœïżœ1ïżœïżœ sinïżœïżœïżœïżœ)), (8) ïżœïżœïżœïżœ(ïżœïżœïżœïżœ)=max(ïżœïżœ0ïżœïżœ âˆ’ïżœïżœïżœïżœ(1−cosïżœïżœïżœïżœ),0). (9)

4) Pressureïżœïżœïżœïżœ(ïżœïżœ1ïżœïżœ)accordingtoBekker[11]:

ïżœïżœïżœïżœ(ïżœïżœïżœïżœ)=ïżœïżœ(ïżœïżœïżœïżœ(ïżœïżœïżœïżœ))ïżœïżœ = ïżœïżœïżœïżœ ïżœïżœïżœïżœ +ïżœïżœïżœïżœ (ïżœïżœïżœïżœ(ïżœïżœïżœïżœ))ïżœïżœ , (10) where: ïżœïżœïżœïżœ(ïżœïżœïżœïżœ)–cohesive(frictional)modulusof terraindeformation, n –terraindeformationexpo‐nent.

where: ïżœïżœïżœïżœïżœïżœ =ïżœïżœ/2âˆ’ïżœïżœïżœïżœïżœïżœïżœïżœ, ïżœïżœïżœïżœïżœïżœ =âˆ’ïżœïżœ/2âˆ’ïżœïżœïżœïżœïżœïżœïżœïżœ, ïżœïżœïżœïżœïżœïżœïżœïżœ and ïżœïżœïżœïżœïżœïżœïżœïżœ –robotmasscentercoordinates, ïżœïżœïżœïżœïżœïżœïżœïżœ –robotmassmomentofinertiaabouttheaxisparallel to ïżœïżœïżœïżœ andpassingthroughrobotmasscenter, ïżœïżœïżœïżœïżœïżœïżœïżœ –wheelmassmomentofinertiaaboutitsspinaxis,E=

5) Normalstressïżœïżœïżœïżœ(ïżœïżœ1ïżœïżœ)â‰ˆïżœïżœïżœïżœ(ïżœïżœ1ïżœïżœ),maximumshear stress ïżœïżœïżœïżœïżœïżœïżœïżœïżœïżœ(ïżœïżœ1ïżœïżœ),basedonmodi iedMohr‐Coulombfailurecriteria[18](Fig. 3b)including thecaseofmovingtiresurfacewithrespecttosoil: ïżœïżœïżœïżœïżœïżœïżœïżœïżœïżœ(ïżœïżœïżœïżœ)=min(ïżœïżœïżœïżœïżœïżœïżœïżœ(ïżœïżœïżœïżœ),ïżœïżœ+ïżœïżœïżœïżœ(ïżœïżœïżœïżœ)tanïżœïżœ), (11) thatistakingintoaccountsoilcohesion c,internal frictionangleïżœïżœandcoef icientofstaticfrictionïżœïżœïżœïżœ forthewheel‐terrainpairaccordingto[19].

JournalofAutomation,MobileRoboticsandIntelligentSystems VOLUME17,N∘ 42023
Figure2. Illustrationofforcesandmomentsofforceactingontherobotanditswheels
ïżœïżœïżœïżœ ïżœïżœïżœïżœïżœïżœïżœïżœïżœïżœ = 4 ïżœïżœ=1 ïżœïżœïżœïżœïżœïżœïżœïżœïżœïżœ +ïżœïżœïżœïżœïżœïżœsinΘ, (4) ïżœïżœïżœïżœ ïżœïżœïżœïżœïżœïżœïżœïżœïżœïżœ = 4 ïżœïżœ=1 ïżœïżœïżœïżœïżœïżœïżœïżœïżœïżœ âˆ’ïżœïżœïżœïżœïżœïżœcosΘ, (5) ïżœïżœïżœïżœïżœïżœïżœïżœÎ˜=− 4 ïżœïżœ=1 ïżœïżœïżœïżœïżœïżœïżœïżœïżœïżœ ïżœïżœïżœïżœïżœïżœïżœïżœ 4 ïżœïżœ=1 ïżœïżœïżœïżœïżœïżœïżœïżœïżœïżœ ïżœïżœïżœïżœïżœïżœ, (6) ïżœïżœïżœïżœïżœïżœïżœïżœïżœïżœïżœïżœ =ïżœïżœïżœïżœ +ïżœïżœïżœïżœïżœïżœ
, (7)
10

6) ShearstressesaccordingtoJanosi‐Hanamoto hypothesis[12]intherangeofwheel‐terrain contactanglesfromâˆ’ïżœïżœ2ïżœïżœ toïżœïżœ1ïżœïżœ:

where K isthesheardeformationparameter.

7) Forcesandmomentsofforcelike:staticnormal loadïżœïżœïżœïżœ,tractionforceïżœïżœïżœïżœ,motionresistanceforce ïżœïżœïżœïżœïżœïżœ andmomentofmotionresistanceïżœïżœïżœïżœïżœïżœ basedon theknownstressdistributionoverwheelcircum‐ference,accordingtoformulasin[13],i.e.,basedon equations:

and inally,resultantforces:longitudinal ïżœïżœïżœïżœïżœïżœïżœïżœïżœïżœ = ïżœïżœïżœïżœ +ïżœïżœïżœïżœïżœïżœ andnormal ïżœïżœïżœïżœïżœïżœïżœïżœïżœïżœ =ïżœïżœïżœïżœ +ïżœïżœïżœïżœïżœïżœ,which includescomponentforceresultingfromthetire‐groundsystemdampingïżœïżœïżœïżœïżœïżœ =ïżœïżœïżœïżœïżœïżœ 0ïżœïżœsgn(ïżœïżœ0ïżœïżœ).

8) Linearandangularaccelerations,i.e.: ïżœïżœïżœïżœïżœïżœïżœïżœïżœïżœ, ïżœïżœïżœïżœïżœïżœïżœïżœïżœïżœ, Θ and ïżœïżœïżœïżœ (ïżœïżœ=1,
,4),forthemulti‐body systemoftherobotbasedontheequationsof dynamics(4)–(7).

Itshouldbenoted,thatvelocities ïżœïżœïżœïżœïżœïżœ, ïżœïżœïżœïżœïżœïżœïżœïżœïżœïżœ, ïżœïżœïżœïżœ necessaryfordeterminationofslipratios ïżœïżœïżœïżœ and ïżœïżœïżœïżœ inthe irststageofthealgorithmdescribedabove, coordinatesofcentersofwheelsnecessaryforcalcu‐lationofwheels’sinkageïżœïżœ0ïżœïżœ andanglesïżœïżœ1ïżœïżœ andïżœïżœ2ïżœïżœ in thesecondstageofthatalgorithmaretakenfromthe previoustimestepofcalculations.

3.ResultsofNumericalStudies

NumericalstudieswereconductedintheMat‐lab/Simulinkenvironment.

Aspartofthepreliminarysimulationtests,a numericalveri icationofthewheel‐groundinterac‐tionmodelwascarriedout.Inthesestudies,theprevi‐ouslymentionedparametersofthismodelweretaken intoaccount.

Inthecalculations,itwasassumedthatthechange oftheangleïżœïżœïżœïżœ âˆˆâŸšâˆ’ïżœïżœ2ïżœïżœ,ïżœïżœ1ïżœïżœâŸ©willbeimplementedwith astep Î”ïżœïżœ=ïżœïżœ/180 rad.Moreover,itwasassumed that ïżœïżœ2ïżœïżœ =ïżœïżœïżœïżœ2 ïżœïżœ1ïżœïżœ,where ïżœïżœïżœïżœ2 =0.4.Calculations wereperformedforthefollowinginputdata: ïżœïżœïżœïżœïżœïżœïżœïżœ = 0.0815 m, ïżœïżœïżœïżœïżœïżœïżœïżœïżœïżœ =1 m/s, ïżœïżœïżœïżœ =14 rad/s, ïżœïżœïżœïżœ = 1Nm.Theassumedangularvelocityofthewheelsis themaximumfortheGRANITErobotandcorresponds tothecircumferentialvelocityequaltoïżœïżœïżœïżœïżœïżœ =1.4m/s.

Figure4showsthestressdistributionsïżœïżœïżœïżœ(ïżœïżœïżœïżœ)and ïżœïżœïżœïżœ(ïżœïżœïżœïżœ)onthewheelcircumference,theresultingforces ïżœïżœïżœïżœïżœïżœïżœïżœïżœïżœ, ïżœïżœïżœïżœïżœïżœïżœïżœïżœïżœ andmomentofforce Mïżœïżœïżœïżœ aswellasthe inputandoutputdatafortheanalyzedtest.

Illustrationofthedistributionofstresses ïżœïżœïżœïżœ(ïżœïżœïżœïżœ) and ïżœïżœïżœïżœ(ïżœïżœïżœïżœ) onthewheelcircumferenceaswellas theresultingforces ïżœïżœFïżœïżœïżœïżœïżœïżœ, ïżœïżœFïżœïżœïżœïżœïżœïżœ andmomentof force Mïżœïżœïżœïżœ

ïżœïżœïżœïżœïżœïżœ =âˆ’ïżœïżœïżœïżœ(ïżœïżœïżœïżœ)2 ïżœïżœ1ïżœïżœ âˆ’ïżœïżœ2ïżœïżœ ïżœïżœïżœïżœ(ïżœïżœïżœïżœ)dïżœïżœïżœïżœ, (16)

JournalofAutomation,MobileRoboticsandIntelligentSystems VOLUME17,N∘ 42023
Figure3. Modelofaninteractionofthewheelwith deformableground(a), ïżœïżœïżœïżœïżœïżœïżœïżœ(ïżœïżœ) dependencyaccording to[13](b)
ïżœïżœïżœïżœ(ïżœïżœïżœïżœ)=ïżœïżœïżœïżœïżœïżœïżœïżœïżœïżœ(ïżœïżœïżœïżœ) 1−exp âˆ’ïżœïżœïżœïżœ(ïżœïżœïżœïżœ) ïżœïżœ ,
(12)
ïżœïżœïżœïżœ =ïżœïżœïżœïżœ ïżœïżœ1ïżœïżœ âˆ’ïżœïżœ2ïżœïżœ ïżœïżœïżœïżœ(ïżœïżœïżœïżœ)dïżœïżœïżœïżœ =ïżœïżœïżœïżœïżœïżœïżœïżœ ïżœïżœ1ïżœïżœ âˆ’ïżœïżœ2ïżœïżœ (ïżœïżœïżœïżœ(ïżœïżœïżœïżœ)cosïżœïżœïżœïżœ +ïżœïżœïżœïżœ(ïżœïżœïżœïżœ)sinïżœïżœïżœïżœ)dïżœïżœïżœïżœ, (13) ïżœïżœïżœïżœ =ïżœïżœïżœïżœïżœïżœïżœïżœ ïżœïżœ1ïżœïżœ âˆ’ïżœïżœ2ïżœïżœ ïżœïżœ
=ïżœïżœ
ïżœïżœïżœïżœ
âˆ’ïżœïżœ
ïżœïżœ
ïżœïżœ
ïżœïżœ(ïżœïżœïżœïżœ)dïżœïżœïżœïżœ
ïżœïżœ
ïżœïżœ1ïżœïżœ
2ïżœïżœ
ïżœïżœ(ïżœïżœïżœïżœ)cosïżœïżœïżœïżœ dïżœïżœ
, (14)
ïżœïżœ
âˆ’ïżœïżœ
âˆ’ïżœïżœ
ïżœïżœïżœïżœïżœïżœ =ïżœïżœïżœïżœïżœïżœïżœïżœ
1ïżœïżœ
2ïżœïżœ ïżœïżœïżœïżœïżœïżœ(ïżœïżœïżœïżœ)dïżœïżœïżœïżœ =ïżœïżœïżœïżœïżœïżœïżœïżœ ïżœïżœ1ïżœïżœ
2ïżœïżœ ïżœïżœïżœïżœ(ïżœïżœïżœïżœ)sinïżœïżœïżœïżœdïżœïżœïżœïżœ, (15)
11
Figure4.

Itshouldbenotedthattheobtainedvalueofthe groundnormalreactionforceisequalto ïżœïżœïżœïżœïżœïżœïżœïżœïżœïżœ = 105.2N.Inthecaseoftheanalyzedtire,suchaforce wouldcauseitsradialdeformationequalto Î”ïżœïżœïżœïżœ = 0.0026m,whichissmallincomparisonwiththemax‐imumgrounddeformationïżœïżœ0ïżœïżœ =0.015m.

Inturn,Figure5presentsdistributionsofdeforma‐tionsofthegroundandstressesonthewheelcircum‐ferenceasafunctionoftheangleïżœïżœïżœïżœ fortheanalyzed case.

Accordingtothepreviouslygivenformulas,after integrationofstresses wïżœïżœ(ïżœïżœïżœïżœ), rïżœïżœïżœïżœ(ïżœïżœïżœïżœ), fïżœïżœ(ïżœïżœïżœïżœ), fïżœïżœïżœïżœ(ïżœïżœïżœïżœ) andïżœïżœïżœïżœ(ïżœïżœïżœïżœ),theresultantforcesandmomentofforce, areobtained,i.e.: Wïżœïżœ, Rïżœïżœïżœïżœ, Fïżœïżœ, Fïżœïżœïżœïżœ and Mïżœïżœïżœïżœ.

Itcanbenoticedthatthevalueoftheforce Fïżœïżœïżœïżœ is signi icantlyin luencedbythestressdistributionin therearpartofthetireinrelationtothedirectionof movement.

Inparticular,stress rïżœïżœïżœïżœ(ïżœïżœïżœïżœ)hasnegativevaluesin therange ïżœïżœïżœïżœ ∈(0,ïżœïżœ1ïżœïżœ) whilstpositivevaluesinthe range ïżœïżœïżœïżœ ∈(âˆ’ïżœïżœ2ïżœïżœ,0),whilestress fïżœïżœ(ïżœïżœïżœïżœ) haspositive valuesintherangeïżœïżœïżœïżœ ∈(âˆ’ïżœïżœ2ïżœïżœ,ïżœïżœ1ïżœïżœ),withthelargestin therangeïżœïżœïżœïżœ ∈(âˆ’ïżœïżœ2ïżœïżœ,0).

Aspartofthemainsimulationstudiesforthe entirerobot,thelongitudinalmotionfordesiredmax‐imumvelocities ïżœïżœïżœïżœïżœïżœ from0.2m/sto0.7m/swas analyzed.Desiredmaximumaccelerationïżœïżœïżœïżœïżœïżœïżœïżœïżœïżœ dur‐ingspeedingupandbraking,aswellasdesiredtotal distanceïżœïżœïżœïżœ tobetraveledwerechosenindividuallyfor theparticularcaseofmotion.Desiredparametersof robotmotionaresummarizedinTable1

ThevaluesofthebasicparametersofthePIAP GRANITEmobilerobotusedinsimulationstudiesare showninTable 2.Soilparametersrequiredbythe adoptedmodelandbasedonwork[14]arepresented inTable3

Theaggregatedresultsoftheresearchareshown inFigure 6.Itcanbenoticedthatthesmallestslip ratiosarefordrysandandthelargestforsandyloam andthattheslipratiosincreasewithdesiredvelocity. Thelargestwheelsinkageoccursfordrysand,andfor theotheranalyzedgrounds,itismuchsmaller.The wheelsinkageincreasesslightlywithrobotvelocity.

Inthecaseofdrysand,wheelsinkageismuch largerincomparisontoradialdeformationofthetire, whichwouldoccuronrigidground.Tireradialdefor‐mationwouldbe2–3mmbecausetheradialstiffness ofthetireisïżœïżœïżœïżœïżœïżœ =40,000N/m[17].Fortheremaining typesofground,wheelsinkageisofcomparableorder tothisdeformation.Thedrivingtorquesincreasewith velocity,i.e.,torquesincreasenearlytwotimeswhen comparingresultsfor0.2m/sand0.7m/scasesof desiredrobotvelocity.

InFigures7–10,detailedresultsforrobotmotion withdesiredvelocity ïżœïżœïżœïżœïżœïżœïżœïżœ = 0.5m/sondrysand, sandyloamandclayeysoilareillustrated.

Figure5. Distributionsonthewheelcircumferenceof soildeformations:tangential ïżœïżœïżœïżœ(ïżœïżœïżœïżœ) (a)andnormal ïżœïżœïżœïżœ(ïżœïżœïżœïżœ) (b),aswellasstressesresultingfromthem: tangential ïżœïżœïżœïżœ(ïżœïżœïżœïżœ) (c),normal ïżœïżœïżœïżœ(ïżœïżœïżœïżœ) (d)andresultants: wïżœïżœ(ïżœïżœïżœïżœ), rïżœïżœïżœïżœ(ïżœïżœïżœïżœ), fïżœïżœ(ïżœïżœïżœïżœ), fïżœïżœïżœïżœ(ïżœïżœïżœïżœ)= rïżœïżœïżœïżœ(ïżœïżœïżœïżœ)+ fïżœïżœ(ïżœïżœïżœïżœ) (e–h)

JournalofAutomation,MobileRoboticsandIntelligentSystems VOLUME17,N∘ 42023
-0.6-0.300.30.60.9 0 0.005 0.01 0.015 0.02 0.025 i (rad) ji (m) -0.6-0.300.30.60.9 0 0.005 0.01 0.015 0.02 i (rad) zi (m) -0.6-0.300.30.60.9 0 1500 3000 4500 6000 i (rad) i (Pa) -0.6-0.300.30.60.9 0 5000 10000 15000 20000 i (rad) i (Pa) -0.6-0.300.30.60.9 0 5000 10000 15000 20000 i (rad) wi (Pa) -0.6-0.300.30.60.9 -5000 -2500 0 2500 5000 i (rad) rti (Pa) -0.6-0.300.30.60.9 0 1500 3000 4500 6000 i (rad) fi (Pa) -0.6-0.300.30.60.9 -3000 0 3000 6000 9000 i (rad) fdi (Pa)
12

Table1. Desiredrobotmotionparametersforthe investigatedcases

Table2. BasicparametersofthePIAPGRANITEmobile robotusedinsimulationstudies

Dimensions ïżœïżœ=0.425m, ïżœïżœ=0.59m, ïżœïżœïżœïżœ =0.0965m, ïżœïżœïżœïżœ =2⋅0.064m

Massesofthebodies ïżœïżœ0 =36.54kg, ïżœïżœïżœïżœ =1.64kg

Robotmasscentercoordinates ïżœïżœïżœïżœïżœïżœïżœïżœ =−0.012m, ïżœïżœïżœïżœïżœïżœïżœïżœ ≈0m, ïżœïżœïżœïżœïżœïżœïżœïżœ =0.06m

Massmomentsofinertia ïżœïżœïżœïżœïżœïżœ =0.016kgm2 , ïżœïżœïżœïżœïżœïżœïżœïżœ =0.51kgm2

Tireparameters ïżœïżœïżœïżœïżœïżœ =40000N/m, ïżœïżœïżœïżœïżœïżœ =1000Ns/m

Table3. Soilparametersassumedfortheresearch[14]

Figure6. Influenceoftypeofsoilanddesiredmotion velocityon:longitudinalslipratiosfortherobot(a), wheelsinkage(b),drivingtorques(c)

InparticularinFigure7,timehistoriesofdesired andactualrobotvelocitiesaswellascircumferential velocityresultingfromwheelspinarepresented.It canbenoticedthatduringsteadymotion,valueof theactualrobotvelocity ïżœïżœïżœïżœïżœïżœïżœïżœ isnoticeablysmaller withrespecttodesiredvelocity ïżœïżœïżœïżœïżœïżœïżœïżœ.Thisisbecause therobotdoesnotachievethedesiredacceleration, especiallyintheinitialstageofmovement.

This,inturn,resultsfromthehighvaluesofthe longitudinalslipratiosofthewheels ïżœïżœïżœïżœ occurring especiallyduringtheaccelerationoftherobot.The robot’sactuallongitudinalvelocity ïżœïżœïżœïżœïżœïżœïżœïżœ isclosestto thedesiredvelocity ïżœïżœïżœïżœïżœïżœïżœïżœ forthecaseoftherobot movingondrysand.Inallcases,itcanbeseenthat themaximumcircumferentialvelocityofwheelsïżœïżœïżœïżœ is reachedwithadelay,whichresultsfromtheinclu‐sionofthedynamicsofthedriveunitsinthemodel, describedinpaper[17].

InFigures 8–9 thetimehistoriesoflongitudinal slipratiosandsinkageforfrontandrearwheelsare shown,respectively.Thetimehistoriesoflongitudi‐nalslipratiosaresimilarforfrontandrearwheels. However,adifferencecanbenoticedinthecaseof wheels’sinkage,duetothefactthatthecenterof massislocatedintherearpartofthevehicle.For thisreason,highervaluesareobtainedfortherear wheels.Similartothevelocity,thetimehistoriesofthe longitudinalslipratiosaresimilartoeachotherforthe

analyzedgroundcases,butduringaccelerationthey areapparentlythesmallestforthemovementondry sand.However,therearelargedifferencesinthetime historiesofwheels’sinkagefortheanalyzedtypesof theground.De initelythehighestvaluesofwheels’ sinkageoccurfortherobot’smovementondrysand. Inturn,thesmallestvaluescanbeseeninthecaseof clayeysoil.

Finally,inFigure 10,thetimehistoriesofdriving torquesforfrontandrearwheelsareillustrated.Dur‐ingacceleration,thehighestvaluesofdrivingtorques areachievedwhentherobotmovesondrysand.Inthe caseofothergrounds,similarresultswereobtained, moreover,thedrivetorquesforthefrontandrear roadwheelsarelessdifferentiatedinrelationtothe movementondrysand.

Simulationstudieswerealsocarriedouttoanalyze theimpactofwheelgeometricparametersonlongitu‐dinalslipratios,wheelsinkageanddrivingtorques.

Inthisresearch,inrelationtostandardcon igura‐tionoftherobot,thefollowingwheelsolutionswere analyzed:

1) wheelswithwidthreducedby50%,

2) wheelswithadiameterincreasedby50%.

Theresultsofsimulationresearchindicatethat fortheanalyzedrobotmotionvelocities,changing thegeometricparametersofthewheelshasasmall impactonthedrivingtorques.

JournalofAutomation,MobileRoboticsandIntelligentSystems VOLUME17,N∘ 42023
ïżœïżœïżœïżœïżœïżœ (m/s) 0.2 0.3 0.5 0.7 ïżœïżœïżœïżœïżœïżœïżœïżœïżœïżœ (m/ïżœïżœ2) 0.6 1.2 1.2 2.4 ïżœïżœïżœïżœ (m) 1.0 2.0 2.5 3.0
Drysand Sandyloam Clayeysoil n(‐) 1.1 0.7 0.5 ïżœïżœïżœïżœ (kN/mïżœïżœ+1) 0.9 5.3 13.2 ïżœïżœïżœïżœ (kN/mïżœïżœ+2) 1523 1515 692 ïżœïżœ(kPa) 1 1.7 4.14 ïżœïżœ(deg) 30 29 13 ïżœïżœ(m) 0.025 0.025 0.01
13

Figure7. Timehistoriesofdesiredvelocity ïżœïżœvïżœïżœïżœïżœ and actualvelocity ïżœïżœvïżœïżœïżœïżœ oftherobotaswellas circumferentialvelocityofwheels ïżœïżœïżœïżœ obtainedin simulationoftherobot’smovementwiththemaximum velocity ïżœïżœïżœïżœïżœïżœ =0.5 m/son:drysand(a),sandyloam(b) andclayeysoil(c)

Figure9. Timehistoriesofsinkageforfrontandrear wheelsobtainedinsimulationoftherobot’smovement withthemaximumvelocity ïżœïżœïżœïżœïżœïżœ =0.5 m/son:drysand (a),sandyloam(b)andclayeysoil(c)

Figure8. Timehistoriesoflongitudinalslipratiosfor frontandrearwheelsobtainedinsimulationofthe robot’smovementwiththemaximumvelocity ïżœïżœïżœïżœïżœïżœ =0.5 m/son:drysand(a),sandyloam(b)and clayeysoil(c)

Figure10. Timehistoriesofdrivingtorquesforfrontand rearwheelsobtainedinsimulationoftherobot’s movementwiththemaximumvelocity ïżœïżœïżœïżœïżœïżœ =0.5 m/s on:drysand(a),sandyloam(b)andclayeysoil(c)

JournalofAutomation,MobileRoboticsandIntelligentSystems VOLUME17,N∘ 42023 t (s) 01234567 -0.2 0 0.2 0.4 0.6 R vRd (m/s) R vRx (m/s) vo (m/s) t (s) 01234567 -0.2 0 0.2 0.4 0.6 R vRd (m/s) R vRx (m/s) vo (m/s) t (s) 01234567 -0.2 0 0.2 0.4 0.6 R vRd (m/s) R vRx (m/s) vo (m/s)
t (s) 01234567 -100 -50 0 50 100 f (%) b (%) t (s) 01234567 -100 -50 0 50 100 f (%) b (%) t (s) 01234567 -100 -50 0 50 100 f (%) b (%)
t (s) 01234567 0 0.005 0.01 0.015 0.02 z 0f (m) z 0b (m) t (s) 01234567 0.001 0.002 0.003 0.004 0.005 z 0f (m) z 0b (m) t (s) 01234567 0 0.001 0.002 0.003 0.004 z 0f (m) z 0b (m)
t (s) 01234567 -1 0 1 2 3 4 Tf (Nm) Tb (Nm) t (s) 01234567 -1 0 1 2 3 4 Tf (Nm) Tb (Nm) t (s) 01234567 -1 0 1 2 3 Tf (Nm) Tb (Nm)
14

Whenwheelswithasmallerwidthwereused, slightchangesinlongitudinalslipratiosandasignif‐icantincreaseinwheelsinkagewereobserved.The changeinwheelsinkagecanbeseenfromthecom‐parisonoftheresultsshowninFigure6bforwheels withalargerwidthandinFigure11forwheelswith asmallerwidth.Thisobservationisconsistentwith theeffectsofpreliminaryexperimentaltestsforthe PIAPGRANITErobotandwasthereasonfortheuse ofwheelswithlargerwidth.

Theresultsofsimulationstudiesalsoindicatethat theuseofwheelswithadiameter50%largerleads toareductioninwheelsinkage,butthischangeis notsigni icant.However,theuseoflargerdiameter wheelsleadstoasigni icantreductioninlongitudinal slipratios,especiallyathighervelocities.Thiscanbe seenbycomparingtheresultsshowninFigure6afor wheelswithasmallerdiameterwiththeresultsin Figure12forwheelswitha50%largerdiameter.

4.ConclusionandFutureWorks

Withinthispaperthesimulationstudiesofin lu‐enceoftypeofdeformablegroundonlongitudinal motionoflightweightwheeledrobotwascarriedout.

Investigatedcasesincludedfourdesiredvelocities ofmotion,i.e.:0.2m/s,0.3m/s,0.5m/sand0.7m/s andthreetypesofground:drysand,sandyloamand clayeysoil.

Forallthosecases,aggregatedresultsofwheelslip ratio,wheelsinkageandwheeldrivingtorquewere

presented.Detailedresultsforthecaseof0.5m/s velocityonallanalyzedtypesofsoilwerealsoshown. Thefollowingmainconclusionscanbedrawnfrom theconductednumericalresearch.

Ifalightweightwheeledmobilerobotmovesona deformableground,then:

‐ longitudinalslipratiosigni icantlyincreaseswith desiredvelocity;

‐ wheelsinkageincreaseswithdesiredvelocity–in caseofmotionondrysand,wheelsinkageismuch largerthanradialdeformationoftirewhichwould occurforcomparablewheelloadonrigidground;

‐ wheeldrivingtorquesincreasewithvelocityand reachthelargestvaluesforrobotmotionondry sand;

‐ changingthewheelwidthsigni icantlyaffectswheel sinkage,i.e.,itishigherfornarrowerwheels;

‐ changingthewheeldiametercauses,inturn,a changeinthelongitudinalslipratios,i.e.,they decreaseasthewheeldiameterincreases.

Thescopeoffurtherresearchmayinclude:

‐ modelingthedynamicsofbothlightweightand heavyvehiclesusingwheelswith illingsofvarious mechanicalproperties;

‐ simulationstudiestakingintoaccounttiredeforma‐tion,treadblocksandmulti‐passeffectintiremodel;

‐ experimentalstudiesoftherobotmotiononsandy loamandclayeysoil;

‐ simulationandexperimentalstudiesofrobotturn‐ingandrotationinplaceforvarioustypesofthe ground.

AUTHORS

MaciejTrojnacki∗ –WarsawUniversityofTechnol‐ogy,FacultyofMechatronics,InstituteofMicrome‐chanicsandPhotonics,Boboli8,02‐525Warsaw, Poland,e‐mail:maciej.trojnacki@pw.edu.pl.

PrzemysƂawDąbek –ƁUKASIEWICZResearch Network—IndustrialResearchInstitutefor AutomationandMeasurementsPIAP,Al. Jerozolimskie202,02‐486Warsaw,Poland,e‐mail: przemyslaw.dabek@piap.lukasiewicz.gov.pl.

∗Correspondingauthor

References

[1] K.Zhou,S.Lei,andX.Du.“Modellingand dynamicanalysisofslippagelevelforlarge‐scaleskid‐steeredunmannedgroundvehicle,” SciRep,vol.12,no.1,Art.no.1,Sep.2022,doi: 10.1038/s41598‐022‐20262‐z.

[2] J.Guo,H.Gao,L.Ding,T.Guo,andZ.Deng.“Linear normalstressunderawheelinskidforwheeled mobilerobotsrunningonsandyterrain,” Journal ofTerramechanics,vol.70,pp.49–57,Apr.2017, doi:10.1016/j.jterra.2017.01.004.

[3] M.Ciszewski,M.Giergiel,T.Buratowski,andP. MaƂka, ModelingandControlofaTrackedMobile

JournalofAutomation,MobileRoboticsandIntelligentSystems VOLUME17,N∘ 42023
Figure11. Influenceoftypeofsoilanddesiredmotion velocityonwheelsinkageforwheelswithwidth reducedby50% Figure12. Influenceoftypeofsoilanddesiredmotion velocityonlongitudinalslipratiosfortherobotfor wheelswithadiameterincreasedby50%
15

RobotforPipelineInspection.SpringerNature, 2020.

[4] L.Liangetal.“Model‐BasedCoordinatedTrajec‐toryTrackingControlofSkid‐SteerMobileRobot withTiming‐BeltServoSystem,” Electronics,vol. 12,no.3,Art.no.3,Jan.2023,doi:10.3390/elec‐tronics12030699.

[5] A.J.Moshayedi,A.S.Roy,S.K.Sambo,Y.Zhong, andL.Liao.“ReviewOn:TheServiceRobotMath‐ematicalModel,” EAIEndorsedTransactionson AIandRobotics,vol.1,pp.e8–e8,Feb.2022,doi: 10.4108/airo.v1i.20.

[6] K.Peng,X.Ruan,andG.Zuo.“Dynamicmodel andbalancingcontrolfortwo‐wheeledself‐balancingmobilerobotontheslopes,”in Proceedingsofthe10thWorldCongressonIntelligent ControlandAutomation,Jul.2012,pp.3681–3685.doi:10.1109/WCICA.2012.6359086.

[7] P.Lichota.“WaveletTransform‐BasedAircraft SystemIdenti ication,” JournalofGuidance,Control,andDynamics,vol.46,no.2,pp.350–361, Feb.2023,doi:10.2514/1.G006654.

[8] S.SutuloandC.GuedesSoares.“Analgorithmfor of lineidenti icationofshipmanoeuvringmath‐ematicalmodelsfromfree‐runningtests,” Ocean Engineering,vol.79,pp.10–25,Mar.2014,doi: 10.1016/j.oceaneng.2014.01.007.

[9] J.Giergiel,K.Kurc,andD.Szybicki.“Identi ica‐tionoftheMathematicalModelofanUnderwa‐terRobotUsingArti icialInteligence,” MechanicsandMechanicalEngineering,2014,Accessed: Jan.16,2024.[Online].Available:https://www. semanticscholar.org/paper/Identification‐of‐the‐Mathematical‐Model‐of‐an‐Giergiel‐Kurc/5 b4cfa76e8916013fa613c40ff06d3a966542853

[10] A.PerrusquíaandW.Yu.“Identi icationandopti‐malcontrolofnonlinearsystemsusingrecurrent neuralnetworksandreinforcementlearning:An overview,” Neurocomputing,vol.438,pp.145–154,May2021,doi:10.1016/j.neucom.2021. 01.096.

[11] M.G.Bekker, Off-the-roadLocomotion:Research andDevelopmentinTerramechanics.University ofMichiganPress,1960.

[12] J.Y.Wong, TheoryofGroundVehicles,3rdEdition, 3rdedition.NewYork:Wiley‐Interscience,2001.

[13] Sh.Taheri,C.Sandu,S.Taheri,E.Pinto,andD. Gorsich.“AtechnicalsurveyonTerramechan‐icsmodelsfortire–terraininteractionusedin modelingandsimulationofwheeledvehicles,” JournalofTerramechanics,vol.57,pp.1–22,Feb. 2015,doi:10.1016/j.jterra.2014.08.003.

[14] K.IagnemmaandS.Dubowsky, MobileRobots inRoughTerrain:Estimation,MotionPlanning, andControlwithApplicationtoPlanetaryRovers. Springer,2004.

[15] L.Ding,H.Gao,Z.Deng,K.Yoshida,andK. Nagatani.“Slipratioforluggedwheelof planetaryroverindeformablesoil:de inition andestimation,”in 2009IEEE/RSJInternational ConferenceonIntelligentRobotsandSystems,Oct. 2009,pp.3343–3348.doi:10.1109/IROS.2009. 5354565.

[16] Z.Wangetal.“Wheels’performanceofMars explorationrovers:Experimentalstudyfromthe perspectiveofterramechanicsandstructural mechanics,” JournalofTerramechanics,vol.92, pp.23–42,Dec.2020,doi:10.1016/j.jterra.202 0.09.003.

[17] M.TrojnackiandP.Da̧bek.“Studiesofdynamics ofalightweightwheeledmobilerobotduring longitudinalmotiononsoftground,” Mechanics ResearchCommunications,vol.82,pp.36–42,Jun. 2017,doi:10.1016/j.mechrescom.2016.11.001.

[18] G.N.B.Hathorn,K.Blackburn,andJ.L.Brighton. “AnInvestigationintoWheelSinkageonSoft Sand,” TireScienceandTechnology,vol.42,no.2, pp.85–100,Apr.2014,doi:10.2346/tire.14.42 0201.

[19] “Tirefrictionandrollingcoef icients,”HPWiz‐ard.Accessed:Jul.25,2023.[Online].Available: https://hpwizard.com/tire‐friction‐coefficient. html

JournalofAutomation,MobileRoboticsandIntelligentSystems VOLUME17,N∘ 42023
16

THEOVERVIEWOFCHALLENGESINDETECTINGPATIENTS’HAZARDSDURING

THEOVERVIEWOFCHALLENGESINDETECTINGPATIENTS’HAZARDSDURING

ROBOT‐AIDEDREMOTEHOMEMOTORREHABILITATION ROBOT‐AIDEDREMOTEHOMEMOTORREHABILITATION ROBOT‐AIDEDREMOTEHOMEMOTORREHABILITATION

Submitted:13th September2022;accepted:6th March2023

JuliaWilk,PiotrFalkowski,TomaszOsiak

DOI:10.14313/JAMRIS/4‐2023/27

Abstract:

Minimally‐supervisedhomerehabilitationhasbecome anarisingtechnologicaltrendduetotheshortages inmedicalstaff.Implementingsuchrequiresproviding advancedtoolsforautomaticreal‐timesafetymoni‐toring.Thepaperpresentsanapproachtodesigning thementionedsafetysystembasedonmeasurements andmodellingtheinterfacebetweenapatient’smuscu‐loskeletalsystemandarehabilitationdevice.Thecon‐tentcoversthesegmentationofpatientsregardingtheir healthconditionsandassignsthemsuitablemeasure‐menttechniques.Thedefinedgroupsaredescribedby thehazardswithwhichtheyaremostendangeredand theircauses.Eachcaseiscorrelatedwiththeappropriate datatypethatmaybeusedtodetectpotentialrisk. Moreover,aconceptofusingpresentedknowledgefor trackingthesafetyofbonesandsofttissuesaccordingto thebiomechanicalstandardsisincluded.Thepaperforms asetofguidelinesfordesigningsafetysystemsbasedon measurementsforrobot‐aidedhomekinesiotherapy.It canbeusedtoselectanappropriateapproachregarding aspecificcase;whichwilldecreasecostsandincreasethe accuracyofthedesignedtools.

Keywords: Biosignals,Biomechanics,Homerehabilita‐tion,Kinesiotherapy,Minimally‐supervisedtreatment, Rehabilitationrobotics

1.Introduction

Kinesiotherapyistreatmentwithmotiondesigned torestoremaximumfunctionalityofpatients.Itspur‐poseistorecoverfromdiseasesofthemusculoskele‐talsystem.Duringkinesiotherapyofextremities,a physiotherapistinteractsphysicallywiththepatient’s limbsinaspeci icwaytoregaintheirmobility[61].

Bringingbackmaximumfunctionalityisessen‐tialforbasicdailyactivities(ADL).Themotortreat‐mentoftenrequiresalotofprofessionalphysical engagement,whichmaybeovertakenbyrehabili‐tationrobots.Moreover,workingwithpeoplewho donothavetheabilitytositorstandthemselves oftenrequiresuprightstandingwiththehelpofup tothreephysiotherapists[21].Inaddition,theageing societyrequiresmoreintensiveandfrequenttreat‐mentwhilethenumberofmedicalpersonnelongo‐inglydecreases.Hence,themostsigni icantproblemis

aninsuf icientnumberofphysiotherapistsandcare‐giversinnursinghomes[50].Itispossibletoreduce theparticipationofprofessionalsinthetherapyeven whilebeingdependentonfamilymembers.However, thisrequiresthedevicestosupportperformedexer‐cisesinapreciseandcontrolledway[53].Research indicatesadvantagesofprovidingstrokepatientsand peoplewithparesis,whorequirepermanentrehabili‐tation,withtransportable,lightweight,andwearable devices.Suchmaybeinvolvedinthepost‐discharge homerehabilitation[60].

DuetotheCOVID‐19pandemic,patientsneeding constanttherapywereseverelydisadvantaged.This wascausedbypandemicrestrictionsinhumanmeet‐ings[25],overcrowdingofhospitals,andtheshortage ofhealthcaremembers.Toavoidsuchsituations,it iscrucialtodevelopwell‐validatedtoolsforremote homerehabilitation[26].

Consideringthementionedconditions,adapting rehabilitationdevicestohomeself‐useisanarising needandchallengeformedicalrobotics.Asthether‐apistmaybenotprovidedwithhapticfeedbackdur‐ingremotehomerehabilitation,developingarobust safetysystemiscritical[80].Suchshouldanalyse dynamicsoftherehabilitatedbodysegmentandaddi‐tionalmeasurementstoassessthesafeoperationof auserwithoutinvolvingaphysiotherapist[23].The followingpaperpresentsanapproachtomodelling patients’physicalloadstodetectpotentialpainor discomfortautomatically.Thisispossibleforpartic‐ularcasesbymeasuringandinterpretingbiosignals ordynamicparameters.Thepaperclassi iespatients accordingtotheirdisorderslevel.Basedontheselev‐els,potentialhazardsduringkinesiotherapyarelisted andmatchedwiththecorrespondingmeasurements. Thesemaybeusedtobuildamodelenablingcontinu‐oushuman‐lesssafetymonitoring.

2.Methodology

Basedonaliteratureoverview,thepaperconsists ofasystematicanalysisofthepotentialautomatic detectionofhazardoussituationsduringremotehome treatment.Thisincludesdiseasecasesegmentation, possiblecausesofinjuries,andmeasurementmeth‐ods.Withthese,amultibodymodelmaybecreated andusedtoassessthesafetyofthetreatment.

2023 © Wilketal.ThisisanopenaccessarticlelicensedundertheCreativeCommonsAttribution-Attribution4.0International(CCBY4.0) (http://creativecommons.org/licenses/by-nc-nd/4.0/) VOLUME17,N∘ 42023 JournalofAutomation,MobileRoboticsandIntelligentSystems
17

TheScopus,ResearchGate,GoogleScholar,and PubMeddatabaseswereanalysedtocreatethis paper.Thefollowingkeywordswereused:home telerehabilitation,kinesitherapy,stroke,paresis, spasticity,extremityexoskeleton,paindetection, measurablebiologicalsignals,ROMmeasurement, OpenSim.92articleswerereviewedwiththe limitationofbeingpublishedin2016orlater,of which37wereconsiderednottocontributemuch tothispaper.Papersdescribingtheexactconcept ofspeci icrehabilitationdeviceswererejected. However,itisworthnoticingthatmostofthem assumetheconstantpresenceofaphysiotherapist nexttothepatientorpriorlimitingjointsrangeof motion(ROM),whichaffectsthedevice’sworking area.Papersmainlydealingwiththepharmacological treatmentofstrokes,spasticity,orparesiswerealso rejected,asthisisnotrelevantfortheuptakentopic.

3.ResultsandDiscussion

3.1.SegmentationofCases

Thepatientsweresegmentedinto ivegroupsto assignthemcorrespondingpotentialrisks.Thanksto this,thenumberofmeasurementtechniquesneeded forsafetymonitoringislimitedforeverycase.The de inedgroupsare:

1) Patientswithsensationaftermechanicaltrauma (e.g.,fractures)orlightmusculoskeletaldisor‐ders(e.g.,jointcalci ication)andpost‐surgical patients–withapossiblecompletereturntopre‐injuryperformance

2) Patientswith laccidmuscles,deprivedofsensa‐tion

3) Patientswith laccidmuscles,withsensation

4) Spasticpatients,deprivedofsensation

5) Spasticpatients,withsensation

Thepatientswithmuscle laccidityareunderstood astheoneswithmissingconnectionsbetweenthe brainandspinalcordcircuitsessentialforvolun‐tarymovement[22].Spasticityisamotordisorder characterizedbyavelocity‐dependentexaggerationof stretchre lexesresultingfromabnormalintraspinal processingofprimaryafferentinput.Suchmalfunc‐tioningimpliesincreasedmuscletone,enhancedten‐donre lexes,andextendedre lexzones[14]andis usuallytheresultofstroke[8].Tocorrectlyreferto individualcasesinthepaper,theyareassignedwith thenumbersoftheabove‐proposedsegments.

Thedivisionaboveincludescasesofpatientseli‐gibleforrobotichomerehabilitationandreferstothe partofthebodyrehabilitated(e.g.,whileperforming kinesiotherapyofthelowerlimbofapatientwiththe laccidlowerhalfofthebodyandsensation,theyare treatedasthegroup3–eventhoughtheirupperhalf ofthebodymaybenotaffectedbyanydisorder).For everygroup,thesignalswhichcanbemeasuredfor paindetectionpurposeswereselected.Theproposed approachtodetectriskpriortopatients’injuriesby theroboticrehabilitationsystemsispresentedbelow.

3.2.MethodologyofMeasurements

Selectionoftheappropriateapproachto measurementspriortoandduringkinesitherapeutic robot‐aidedsessionsiscriticaltoautomatingthe process.Themethodsmaybecombinedandused alongwitheachothertoimprovethereliabilityof thesafetysystemofthedevice.Currently,themost commonsensorsforrehabilitationdevicesareIMU, encoders,pressuregauges,andEMGsensors.The irst twoareusedtoobtaininformationonthedevice’s kinematicscon iguration,whiletheothersarefor biofeedback[19, 72].Thissubsectionpresentsan overviewoftheconsideredtechniquesandcorrelates themwiththesegmentspresentedbefore.

Measurementofthepatient’srangeofmotion

Measurementofthepatient’srangeofmotion(ROM) isconnectedwithactivelyexercisedjoints.The resultedvaluesdescribetheoperationalspaceofthe individualbodysegment,wheretheexercisemay beperformedwithoutpainoranyriskoftrauma. Suchmeasurementmayberealisedmanuallywith goniometersorwitharehabilitationdeviceitself, e.g.,bytheSFTRmethod[31].Beforestartingthe actualtreatmentsession,thedeviceshouldlauncha measuringmoduletodeterminethepatient’sROM andadjusttheexercisespace.

Thereisnocertaintythatstayingwithin singlejointlimitswillensurethepatient’ssafety duringcomplexmovements.Inotherwords, thedecompositionofacomplexmotionintothe appropriatecomponentsinthefundamentalplanes: sagittal,frontalandtransverse,doesnothave tocorrespondtothesumofthesemovements intermsofthemuscleloads.Moreover,sucha measurementshouldtakeplaceseveraltimesthe duringrehabilitationprocesstoconsiderpotential ROMincreaserelatedtotheconvalescenceprocess[2]. However,thistime‐consumingprocessdoesnotfully safeguardfurtherautomatickinesiotherapy.Ifsucha calibrationistobeperformedwithoutanadditional operatorofthesystem,eitherintelligentalgorithms havetosensemotionlimitsorthedevicemust receiveequivalentinformationfromapatient.The irstapproachisdif iculttoimplementforpatients withsevereneuraldiseases.Ontheotherhand, con irmingtheendofpossiblemotionrequiresthe user’scapabilityofphysicalinteractionwiththe human‐machineinterface(HMI)orimplementation ofvocalcommands.Thisimpliestheneedforan excellentcommandandsoundrecognitionsystem, potentiallywithanadvancedneuralnetwork[37]. Theserequirementsalsoaffectthenumberofpatients whomayusethedevice.

PulseandECGmeasurement

TomeasurepulseorECG,thedevicehastobe equippedwiththededicatedsensors.Asthesevere stressrelatedtopainsensationscausesthechange inreadings[71],thistechniquecanbeusedto detectemergencystatesoftherehabilitation

JournalofAutomation,MobileRoboticsandIntelligentSystems VOLUME17,N∘ 42023
18

system.However,thevaluesofrestingheartrate andthemeasurementsduringexercisingvaryfor individuals[78].Additionally,theabnormalitiesmay beregisteredtoolatefortherobottoreactbefore harmingthepatient.Moreover,theexpectedaccuracy ofaround60–80%andnodistinctionbetweenpain levelsmaynotbeenoughreal‐timepainrecognition forrobot‐aidedkinesiotherapy[56].

Estimatingthestrengthparametersoftissues

Thesafetyalgorithmscanbebasedonthemultibody modelofthecooperatingdeviceandmusculoskeletal system.However,thisapproachrequirescomparing computedresultsofloadswithinindividualtissues withtheirstrengthparametersdifferentforeveryper‐son.

Themostvulnerabletoinjuriesaretendonsand ligaments[42].Forthisreason,machinesshouldnot exceedthestrengthlimitsofthesetissues.Itispartic‐ularlychallengingtoobtaindataontheirparameters, suchasYoung’smodulus.Thecorrespondingexper‐imentaltrialsareusuallycarriedoutonanimals[7] ortissuesfromthedeceased[34],whichdonotfully correspondtothetissuesofalivehumans.Moreover, tissuepropertieschangewithage,gender,andexperi‐encedillnesses[59].

Topreventhazardoussituations,estimatingthe tensilestrengthismostcriticalforindividualsoft tissues,astheyaremostvulnerabletodamagein thisdirection[3].Beforethetreatment,theirvalues maybeobtainedwithaspeci icdevicesuchas MyotonPRO[5].Themeasurementmethodconsists ofregisteringthedampednaturalvibrationsofsoft biologicaltissueintheformofanaccelerationsignal andthencalculatingthedesiredparameters.Such technologyenablesmeasuringthetone,stiffness, lexibility,relaxation,andcreepoftissues[5].The proposedsolutioncouldalsobetransferredto therehabilitationrobotbyequippingitwitha dedicatedsensorysystem.Nevertheless,thereare alsolimitationstothismeasurementtechnique,e.g., theresultsarelessaccurateforobesepatientsaswell asthedeeplylocatedandtoothintissuesaredif icult toworkwith[1].

EDAmeasurement

EDAiselectrodermalactivity,demonstratedtobe effectiveinarousalestimation[73].Asapatient’s sweatingchangesattimesofseverestress[32], analysingcorrelatedEDAsignalscancontributeto detectingincreasingpain.Thistechnologyisbeing continuouslydeveloped,anditdoesnothavemany validatedapplicationsyet[4].Thereareserious doubtswhetheremotionssuchasjoyorstresscaused byprovidingtreatmentbyarobot,notahuman,will notcauseexcessivesweating[64].Suchaneffectcan leadtoconfusionofhazardsituationswitharegular operationofthedevicebytheautomaticsafety monitoringsystem.Forthisreason,implementing EDAwithinareal‐timesystemfordetectingrisksin homerobot‐aidedtreatmentisnotsuggested.

EEGmeasurement

EEG,electroencephalography,isanon‐invasive methodofanalysingbrainelectricalactivitybased ontherecordingsfromthescalp.Asapatient’s intentionsaredetectablewiththismeasurement[46], arehabilitationrobotcanuseEEGsignalsfor predictivecontroltointeractwithauserandnot exceedtheirrangeofmotion[80].However,not everyintentionofmotionresultsinthemovement–itsimagemaybeenoughforthecorresponding areaofthebraintobecomeactive[49].Onthe otherhand,researchersprovedthatphysicalpain, particularlyacute[70],canbedetectedbasedon EEGwithanaccuracyofalmost95%andusedfor real‐timere lexinprostheses[75].Thisimplies theapplicabilityofthetechniqueforrobot‐aided rehabilitation.Nevertheless,usingadvancedEEG systemsisrelativelyexpensiveandrequiresprecise placementoftheelectrodesonapatient’sscalpto providerepetitiveresults[12].Thesemightbethe mainbarrierstousingsuchforhometherapy.

EMGmeasurement

EMG,electromyography,maybeeitheraninvasive ornon‐invasiveinvestigationoftheelectrical activityofmuscleunitsorwholegroups.Registered signalsprovideinformationregardingthetemporal behaviourandmorphologicallayoutofactivemotor unitsduringmusclecontraction[68].Thismaybe usedtoestimateinternalstressinthesetissues andcomparethemwiththeirbiomechanicallimits. Thesafetysystemmustreacttosuddenpeaksin theregisteredsignals.Thesemayeitherberelated tothenociceptive lexionre lexcausedbypain stimuliorthespasticre lexcausedbyasudden noise,unexpectedtouch,orstress[13].Thetwo mentionedhavetobedistincted.Hence,theEMG maybeuselessfordetectinghazardoussituations forspasticpatientsinspasticity‐relatedsituations. Theresearchersalsopresentthemethodofdetecting painbasedonEMG‐registeredfacialexpressions. However,thisrequiresnon‐affectedfacialmuscles andgeneratessimilarproblemsasforEEG,including preciseplacementoftheelectrodes[39].The valuesregisteredwithEMGcanbeusedtoestimate temporarymuscletension[58].However,thesurface EMG,theonlyapplicablewithinrobot‐assistedhome kinesiotherapy,isvulnerabletonoisesfromelectrical devices,othermusclegroups,andfatlayers[77].

Selectionofmethodsforcases

Inordertoproposethesolutiontailoredtothecapa‐bilitiesofaspeci icgroupofpatients,adecisiontree formeasurementselectionispresentedinFigure 1. The irststepistoassesswhetherapatienthasphysi‐calsensations.Itisassumedthatpost‐traumapatients meetthisrequirement–ifnot,theyareassignedto groups2or4.

JournalofAutomation,MobileRoboticsandIntelligentSystems VOLUME17,N∘ 42023
19

Moreover,patientswithspasticityhavetobemed‐icallyquali iedforrobot‐aidedexercising.Thisdeci‐siondependsontheseverityoftheproblemaccording tooneofthescalessuchasAshworthscore,modi ied Ashworthscore,Tardieuscale,ormodi iedTardieu scale[74].Theoneswiththedegreeofspasticity exceedingacertainthresholdcannotworkoutby themselvesduetotheirspastic,uncontrolled,intense musclecontractions[14].Suchapre‐treatmentmed‐icalassessmentshouldbebasedonseveraldoctors’ independent,expertopinions[35].

Ontheotherhand,patientsdeprivedofsensation oftensufferfromexcessivesweating[33].Theyare unabletoidentifytheirownpainailments[33],and thus,theiravailablerangeofjointmobility.

AsmaybeobservedinFigure 1,patientsfrom groupnumber1aresuitableforallthemeasurement methods.Themostchallengingtaskistomeasure biologicalsignalsforgroup2becauseitisnotpossible togatherdatarelatedtotheirmuscletensionortheir senseofmotionlimits.

Moreover,thereisadifferenceintheapplicability ofEMGmeasurementsbetweennon‐spasticandspas‐ticpatients.Forthe irstgroup,thesensedelectrical signalsmaybecorrelatedwiththemuscularforces andthenanalysedregardingbiomechanicallimitsfor safeguardingpurposes.Whenitcomestothesecond group,theiruncontrolled,rapid,andseveremuscle contractionsmayturnEMGsignalsunabletobeused asdescribedabove.However,signi icantchangesin themeasuredsignalscanbeassignedtotheemer‐gencystopoftherehabilitationdevice(markedin Figure 1 asEMG*).Thismaycounteractthehazard ofmusclerippingduringtheinvoluntary,disease‐relatedcontraction.Furthermore,forpatientswithout sensation,theROMrangecannotbemeasuredasthey cannotfeeltheirphysicallimits.

Besidesthementionedabove,itisnecessarytobe awarethatforindividualcasesfallingintooneofthe proposedsegments,assignedmeasurementsmaynot giveexpectedresults.Therefore,thepatientshouldbe treatedas ittinganothergroup,eventhoughtheydo notmeetitscriteria.

3.3.HarmfulSituationTypes

Apartfromavoidingauser’sdiscomfort,theauto‐maticsafetysystemforrehabilitationrobotsshould preventsituationscausingphysicaldamagetotissues. Thismayberealisedbymodellingthecausesofpar‐ticularhazardsandcomparingtheirreal‐timevalues withestimatedthresholds.Table1containssegmen‐tationofthese.Iftheriskofaparticularcauseoccuring istypicallyneglectableduringrobot‐aidedtreatment, the“high‐riskgroups”cellislabelledas“lowrisk”.

Thebone‐relatedtraumasaretypicallyhazardous forthepatientsrehabilitatedaftersimilartraumas. Regardingsegment1ofpatients,itissimilarforthe injuriesofmuscles,ligaments,andtendons.Therefore, high‐riskgroup1*referstothepersonaftersimilar fracturesordamagetothesofttissues.Onthecon‐trary,B4traumamayonlyappearduringlong‐time forceappliedtotheextremity’ssegment,whichis noticeableasapainstimulusbypatientswithunaf‐fectedsensation.Thedevicemaybestoppedimme‐diatelyinsuchasituationandnotcauseanyharm. Onlygroups2and4arenotabletonoticesucha casethemselves.Therefore,anadditionalsafetysys‐temmonitoringcontinuousloadshastobeprovided.

JournalofAutomation,MobileRoboticsandIntelligentSystems VOLUME17,N∘ 42023
Figure1. Segmentationofcaseswithcorresponding measurementtechniques
20

Trauma Symbol Cause High-riskgroups Measurementtechnique(otherthan trackingdevice’sdynamicparameters)

Transversebonefracture

Impactedbonefracture

Thedevicehastoreacttotheriskofbonefractures beforeanactualdangeroussituationappears.There‐fore,nopain‐basedmeasurementswillbehelpful. Instead,theoverallsystemshouldbemonitoredbased onitsmultibodymodelsuppliedwiththemeasured dynamicparameters.Moreover,greenstickfractures andsimilar,morecomplexvariants(B4,B7,B8)may appearwhileexceedingnaturalROM.Therefore,this shouldalsobeimplementedforsafeguardingsuch cases.

Asthestrainsandcontusionsarelessseverethan othertypesoftraumarelatedtosofttissues,theymay bedetectedwithpain‐basedmethods.Moreover,they typicallyappearprecededbynoticeablephysicaldis‐comfort.Therefore,thedevicemaybestoppedbefore harmingtheuser.Formuscletearsandligamentor tendonruptures,thesystemhastoreactpriortothe contusion.Hence,apredictionbasedonthemulti‐bodymodelandmeasureddynamicparametersofthe deviceissuggested.

Moreover,asthemajorityofmuscles’andliga‐ments’traumas(notM3)arerelatedtotheforcegen‐eratedinthecorrespondingmuscles,theyarerelevant onlyfornon‐ laccidpatients.Furthermore,theirrisk maybetrackedwithEMG.Forthepatientswithno sensation,anadditionalsystembasedonthemulti‐bodymodelandthedevice’sdynamicsparametershas tobeprovided.

Thedamagetosofttissuesmayalsobecausedby exceedingtheindividual’sanatomicallimits.There‐fore,constantmonitoringofthedevice’scon iguration relatedtothemeasuredROMshouldberealised.

Apersonassignedtooneofthesegmentspre‐sentedbeforehandshouldbeassignedtothepoten‐tialrisksbasedonthe“high‐risk”columninTable 1 Subsequently,asensorysystemandamathematical modelshouldbebuilttodetectandreacttohazardous situations.Thankstosuchanapproach,arehabilita‐tiondevicemayimplementitsemergencyroutines whenriskappearstopreventharmtoauser.Asmay beobserved,detectingeverypossibletraumarequires trackingthedevice’sdynamicsparametersandbuild‐ingatleastasimplemultibodymodelofaphysical interfacebetweenamachineandahuman.

3.4.ApplicabilityofResults

Themeasurementsproposedintheprevious section,alongwiththedynamicsparametersofthe device(drives’torquesandencoders’positions),can beusedtobuildamultibodymodelofthesystem. Suchcanbeusedtoestimateinternalforces,torques andstressesoccurringinthebodysegmentsduring atreatmentsession.Thesevaluesshouldremain belowtheacceptablethresholds,whichmayvary forindividualcases.Assumingcorrectestimations regardinganatomy,comorbidities,andapatient’s medicalhistoryregardingavailablebibliography sourcesenablesthebuildingareliablesafetysystem. Thefollowingsectionpresentstheindividualtissue strengthparametersforvariouscases.

Methodologyoftesting

Generally,inmaterialengineering,theleadingtest carriedouttoidentifythestrengthpropertiesofa materialistheuniaxialstatictensiletest.Themajor challengeistoselectthetestingsampleshape.This isduetothefactthatsofttissuesarepreparedpost‐mortem(tissuesofbloodvesselsandskintissues, amongothers)and,hence,theyarepre‐tensioned. Therefore,theirsusceptibilitytodeformationmakes itchallengingtopreparetheappropriate ittingof asample.Forthisreason,softtissuesareusually examinedintheformofabar[47].

Bones

Thereisastrongcorrelationbetweenanindividual’s gender,age,orbonetypeandthetissue’sstrength.For example,loadingawoman’sradiusorhumeruswitha torqueofapproximately61Nmwillcauseafracture witha50%probability[63].Thedifferencesinthe criticalvaluesmaybeassigni icantas100Nmforthe criticalbendingmomentofthehumerus,depending onthegender.Analysingshearforceinthisbone, itscriticalvalueis1.7kNforwomenand2.5kNfor men[63].

JournalofAutomation,MobileRoboticsandIntelligentSystems VOLUME17,N∘ 42023
Table1. Segmentationoftissuesdamages
B3 Impacttransverseforce[10] 1* ROM Stressbonefracture B4 Continuousforce[30] 2,4 ROM
B5 Impactforceatanangle[29] 1* –
B1 Impacttransverseforce[81] 1* –Spiralbonefracture B2 Impacttwistingmoments[54] 1* –Greenstickbonefracture
Obliquebonefracture
B6
Impactlongitudinalforce[28] Lowrisk –
Impacttransverseforce[69]
ROM
Segmentalbonefracture B7
1*(lowrisk)
Impacttransverseforce[45]
ROM MuscleStrain M1 Impactlongitudinalforce[82] 1*,4,5 EMG+pulse+ECG+EEG+ROM MuscleTear M2 Continuouslongitudinalforce[76] 1*,4,5 EMG+ROM MuscleContusion M3 Impacttransverseforce[18] 1*,4,5 EMG+pulse+ECG+EEG+ROM Ligamentstrain L1 Impactlongitudinalforce[67] 1*,2,3,4,5 EMG+pulse+ECG+EEG+ROM Ligamentrupture L2 Impactlongitudinalforce[67] 1*,2,3,4,5 ROM Tendonstrain T1 Impactlongitudinalforce[57] 1*,4,5 EMG+pulse+ECG+EEG+ROM Tendonrupture T2 Impactlongitudinalforce[67] 1*,4,5 EMG+ROM
Comminutedbonefracture B8
1*(lowrisk)
21

Itismuchmoredif iculttodamagethelowerlimb. Theprobabilityofaninjuryincreasesoutstandingly whentheforceof5kNisexceeded[63].Withinthe lowerlimbs,the ibulaisthemostvulnerablebone. Itstensilestrengthisuptotentimeslessthanthe femur’s[63].Formanyapplications,thecriticalbone resultantstresscanbetakenas150MPa[20]and shouldbescaledaccordingtotheindividualcase. Moreover,extraordinaryattentionshouldbegivento theweakestboneoftheexercisedbodypart.

Muscles

Thereisacorrelationbetweenthedirectionofmuscle tensionanditsforce.Moreover,harmtothesetissues istypicallycausedbythetendons’force,orexcessive strain[11].Forthisreason,musclesareoften analysedwithtendonsasuniformbodiesofaverage strengthproperties[41].Correlatedstress‐strain curvespresentthatastrainover0.4leadstoarapid increaseinstressashighas200kPa[63].Moreover, themaximumforceappliedtothemusclemaybe calculatedasthemultiplicationofPCSA,andestimated tetanictension,e.g.,22.5N/cm2 formammalian muscles[51].Thisrequiresmeasurementofthe initialmusclelengthsandmonitoringkinematics oftheextremityduringexercises.Hometreatment shouldberealisedwithalowereffortforthepatient’s safety.Aspresentedintheliterature,monitoring offorceoccurringinthissofttissuecanberealised bybuildingacomputationalmultibodymodelor analysingtheirmeasuredexcitation[15].Hence, apotentiallydangeroussituationresultingfrom exceptionalmuscletensioncouldbedetectedas therapidincreaseoftheEMGsignal,whichleadsto reachingbiomechanicalthresholds.

Tendonsandligaments

Thestrengthandstiffnessofligamentsandtendons dependonapatient’sageandlevelofphysicalactivity. Themaximumforcethatcanloadthesetissuesfora young,athleticpersonisestimatedas6.1kN,while foranolderpersonwithastaticlifestyle–only4.6 kN[16].About10%–15%extensionofthetendon causesstressbeyondtheelasticlimit[63].Thiscre‐atesstressofapproximately50kPaandresultsin adeformationof4mmonaverage[52].Theforce generatedinthetissueisthencloseto200N[20]. Forelderlypeople,Young’smodulusofligamentsand tendonsincreases.Theyaremoredif iculttostretch andbecomeless lexible.Nevertheless,theelastic‐ityofthesetissuesguaranteestheirproperfunction‐ing[20].

Moreover,theworkstateofthetissueisalsoacriti‐calfactorforestimatingsafetythresholds.Contracting tissuesgeneratemorestressandaremoreexposedto thedamagethantheextensingones[20].Ingeneral, Young’smodulusofthetendonmaybeestimatedas 0.9–1.4GPa[20].

3.5.ModelProposal

Asmentionedbefore,thepropertiesoftissuesdif‐feramongindividuals.Thesolutiontopredictthe effectsofagivenexerciseforaspeci icpersonisto

createadigitaltwinofthepatientandarehabili‐tationdevice[27,80].Itispossibletobuildsucha mathematicalmodelinopensoftware,e.g.,OpenSim. Thegeometricalparametersofthefreemodelsmay bemodi ied,aswellasthestrengthparametersofthe tissues[65].

Modellingthephysicalinterfacebetweenareha‐bilitationdeviceandauserenablesthepredictionof thesystemdynamicsinreal‐time.Hence,hazardous situationsmaybemitigatedbeforetheyoccur[25]. Moreover,thismaycontributetooptimisingtherapy effects.

Internalforcesinthetissuesmaybeanalysed regardingtheexternalloadsapplied[62],alsoinan externalenvironmentastheexportedtimeseries[44]. Thankstothis,itispossibletosimulatetheresultsof themostdangerousmovementsforpatientswithpar‐ticulardiseasesandacertainage.Basedonthesesim‐ulations,thepatientmaybequali iedonlyforlimited accesstothedevice’sfunctionality.Thus,thehome treatmentremainssafe.Moreover,theregisteredEMG signalscanbeincludedinthemodelasadditional validationofthesimulations[55].However,inEMG‐basedcontrol,themajorchallengeissigni icantsignal noise[66].Duetotheneedto ilterthisout,almost real‐timeprocessingishindered.Inaddition,themea‐suredparametersvarybetweenindividuals.More‐over,thistypeofcontrolcanonlybeusedbypeople capableofgeneratinganelectricalactivityexceeding acertainthreshold[48].Therefore,theEMGmeasure‐mentsshouldnotbeconsideredastand‐alonetoolfor automaticpainmonitoring.

Withinthepresentedmethodology,buildingan accuratemodelofthepatientandthedeviceiscritical forprovidingthesafeoperationoftherehabilitation robot.Themodel’sgeometryshouldre lectareal‐life patient’sanatomy,whilethesimulatedtissueshaveto beprovidedwithadequatematerialparameters.The researchersprovethattheready‐madeopenhuman bodymodelsmaybeeffectivelyenhancedbyadding rigidmultibodymodelsoftherehabilitationdevices andusedasproposedinthepapers[40,62,65].

4.Conclusion

Mostoftheexistingrobot‐aidedrehabilitationsys‐temsneedthephysicalpresenceofaphysiothera‐pist[79].Forthisreason, indingavalidatedcontext forthepresentedproblemisdif icult.Moreover,the methodsofreal‐timesafetymonitoringbasedonmea‐surementsarenotthesameforallpatients.

Duringthetreatment,physiotherapistsmanu‐allyrecognisesoft(muscular)andhard(bone)resis‐tance[9].Theyknowhowmuchtoexceedthesoft resistancetoimproveapatient’sconditionwhile notexposingthemtoinjury.Thishapticfeedback withaprofessional’sexperienceneedstobetrans‐ferredintomachinealgorithms.Existingpainscales suchastheVisualAnalogueScale(VAS),theVerbal RatingScale(VRS),andtheNumericalRatingScale (NRS)[38]aresubjective.Moreover,theyaremainly basedonapatient’spreviousexperiencecomparedto thepresent[43].

JournalofAutomation,MobileRoboticsandIntelligentSystems VOLUME17,N∘ 42023
22

Onthecontrary,theproposedsegmentation allowsfocusingonindividualdiseaseentitiesand developingdetectionmodelssuitableforspeci ic cases.Inthebeginning,therobot’saimshouldbe de ined.Thiscaneithersupportpeopleafterlighter injuries[17]orserveforagradualrecoveryofmotor activitiesforpeoplewithsevereimpairment[6].

Forthesecondcase,thedevicemaynotevencor‐rectinaccuratemovementsinitiallytoregainbasic mobilitywithoutthepain.Suchshouldbeincludedin therulesforhazardsdetectionalgorithms.

Arti icialintelligencecanbeusedforthesepur‐poses,asitincreasestheaccuracyoftherapists’and doctors’decisions.Moreover,theneuralnetworkscan contributetooptimalsearchamongthepossibleail‐mentscausesandtreatmentoptions.Inaddition,this approachiseasilyscalable.Therefore,itcanbeusedto thoroughlyanalyselargedatasetsonthecourseofthe diseaseandthepatient’streatment[19].

Furthermore,rehabilitationdevicescanbebet‐tersuitedtospasticpatientsbyprovidingthemwith awarming‐upmoduleinvolvingsimple,low‐speed motions.Thiswillnotonlymentallyfamiliarisea patientwiththerobotbutalsorestrainmusclecon‐tractionswithinthemainsession[14].

Thecurrentchallengesinthesafetymonitoringof robot‐aidedkinesiotherapydependonbothsoftware andhardware.Theformerincludesthespeedofreal‐timedataandtheautomaticselectionofaccurately restrainedROM.Thesystemsenablingthesehavenot beenimplementedinanydeviceyet.Thelattercon‐sistsofthemechanicaldesignrequirementstosuit peopleofdifferentanatomyandphysicallylimitthe excludedROM[24,36].

Therefore,whiledesigningthesystemforreal‐timehazardsmonitoringduringthehomerobot‐aided therapy,thefollowingshouldbevalidatedexperimen‐tally:

‐ howcanamuscletensionincreasedtothepainlimit affectthemeasuredsignals;

‐ isthechangeinthesignalrelatedtothehazard confusablewithothersafesituations;

‐ howbigisthesignal‐registrationanddevice‐processingdelay;

‐ whatarethetypicalvaluesofthemeasuredsignal fortheindividual.

Onlyselectingthemeasuringtechnique,whichpro‐videsdetectionofpotentialriskswithhighaccu‐racyandlowdelay,enablesreal‐timemonitoring safetyduringhomerobot‐aidedkinesiotherapy.As describedinthepaper,themethodsmaybecombined, alsowithamultibodymodelofthedeviceandthe user.Suchanapproachmaybecomethebaseforthe computingpredictionofemergenciesandpreventing them.

AUTHORS

JuliaWilk∗ –ƁUKASIEWICZResearchNetwork

IndustrialResearchInstituteforAutomationand MeasurementsPIAP,Al.Jerozolimskie202,02‐486 Warsaw,WarsawUniversityofTechnology,Plac Politechniki1,00‐661Warsaw,Poland,e‐mail: julia.wilk@piap.lukasiewicz.gov.pl.

PiotrFalkowski –ƁUKASIEWICZResearchNetwork

IndustrialResearchInstituteforAutomationand MeasurementsPIAP,Al.Jerozolimskie202,02‐486 Warsaw,WarsawUniversityofTechnology,Plac Politechniki1,00‐661Warsaw,Poland,e‐mail: piotr.falkowski@piap.lukasiewicz.gov.pl.

TomaszOsiak –ƁUKASIEWICZResearchNetwork

IndustrialResearchInstituteforAutomationand MeasurementsPIAP,Al.Jerozolimskie202,02‐486 Warsaw,TheJózefPiƂsudskiUniversityofPhysical EducationinWarsaw,Marymoncka34,00‐809 Warsaw,CenterofFunctionalRehabilitation,Orthos, KobylaƄska30,02‐984Warsaw,Poland,e‐mail: tomasz.osiak@awf.edu.pl.

∗Correspondingauthor

ACKNOWLEDGEMENTS

Thepaperisbasedontheresultsofthe“Smart exoskeletonforremoterehabilitationwiththedigital twintechnology”–SmartEx‐Twinproject, inancedin 2021‐2023(265,800EUR),inthescopeofscienti ic researchanddevelopmentworksbytheNational CenterforResearchandDevelopment(funding programme5thCallforProposalsPoland‐Turkey, contractnumberPOLTUR5/2022/81/SmartEx‐Twin/2023).”

References

[1] “Goniometerde initionfromthenationallibrary ofmedicine”.https://www.myoton.com/techn ology/.Accessed:2022‐07‐29.

[2] “MotonProwebsite”.https://www.ncbi.nlm.nih .gov/books/NBK558985/#article‐77604.s1 Accessed:2022‐07‐29.

[3] A.Abdel‐Wahab,K.Alam,andV.V.Silberschmidt. “Analysisofanisotropicviscoelastoplasticprop‐ertiesofcorticalbonetissues,” Journalofthe MechanicalBehaviorofBiomedicalMaterials, vol.4,2011,pp.807–820,doi:10.1016/j.jmbb m.2010.10.001.

[4] A.Affanni.“Wirelesssensorssystemforstress detectionbymeansofecgandedaacquisi‐tion,” Sensors(Switzerland),vol.20,2020,doi: 10.3390/s20072026.

[5] S.Agyapong‐Badu,M.Warner,D.Samuel,and M.Stokes.“Practicalconsiderationsforstan‐dardizedrecordingofmusclemechanicalprop‐ertiesusingamyometricdevice:Recordingsite, musclelength,stateofcontractionandprior activity,” JournalofMusculoskeletalResearch,

JournalofAutomation,MobileRoboticsandIntelligentSystems VOLUME17,N∘ 42023
23

vol.21,2018,doi:10.1142/S0218957718500 100.

[6] E.Akdoǧan.“Upperlimbrehabilitationrobot forphysicaltherapy:Design,control,andtest‐ing,” TurkishJournalofElectricalEngineeringand ComputerSciences,vol.24,2016,pp.911–934, doi:10.3906/elk‐1310‐50.

[7] R.M.N.Alexander.“Tendonelasticityand musclefunction,” ComparativeBiochemistryand Physiology–AMolecularandIntegrativePhysiology,vol.133,2002,pp.1001–1011,doi: 10.1016/S1095‐6433(02)00143‐5.

[8] L.Alibiglou,W.Z.Rymer,R.L.Harvey,and M.M.Mirbagheri.“Therelationbetweenash‐worthscoresandneuromechanicalmeasure‐mentsofspasticityfollowingstroke,” Journal ofNeuroEngineeringandRehabilitation,vol.5, 2008,doi:10.1186/1743‐0003‐5‐18.

[9] L.L.Andersen,C.H.Andersen,O.S.Mortensen, O.M.Poulsen,I.Birthe,T.Bjþrnlund,andM.K. Zebis.“Muscleactivationandperceivedloading duringrehabilitationexercises,”2010.

[10] Z.AtanelovandT.P.Bentley. GreenstickFracture,StatPearlsPublishing,TreasureIsland(FL), 2021.

[11] G.C.BarrosoandE.S.Thiele.“Muscleinjuriesin athletes,” Revistabrasileiradeortopedia,vol.46, 2011,pp.354–358.

[12] A.M.Beres.“Timeisoftheessence:Areviewof electroencephalography(eeg)andevent‐related brainpotentials(erps)inlanguageresearch,” Appliedpsychophysiologyandbiofeedback, vol.42,no.4,2017,pp.247–255.

[13] B.B.Bhakta,R.J.O’Connor,andJ.A.Cozens. “Associatedreactionsafterstroke:Arandom‐izedcontrolledtrialoftheeffectofbotulinum toxintypea,” JournalofRehabilitationMedicine, vol.40,2008,pp.36–41,doi:10.2340/165019 77‐0120.

[14] F.Biering‐Sþrensen,J.B.Nielsen,andK.Klinge. “Spasticity‐assessment:Areview,” Spinal Cord,vol.44,2006,pp.708–722,doi: 10.1038/sj.sc.3101928.

[15] E.S.Chumanov,B.C.Heiderscheit,andD.G.The‐len.“Hamstringmusculotendondynamicsdur‐ingstanceandswingphasesofhighspeedrun‐ning,” Medicineandscienceinsportsandexercise, vol.43,no.3,2011,p.525.

[16] C.CouppĂ©,R.B.Svensson,J.F.Grosset, V.Kovanen,R.H.Nielsen,M.R.Olsen,J.O. Larsen,S.F.Praet,D.Skovgaard,M.Hansen, P.Aagaard,M.Kjaer,andS.P.Magnusson. “Life‐longendurancerunningisassociated withreducedglycationandmechanicalstress inconnectivetissue,” Age,vol.36,2014,doi: 10.1007/s11357‐014‐9665‐9.

[17] S.Crea,M.Nann,E.Trigili,F.Cordella,A.Baldoni, F.J.Badesa,J.M.CatalĂĄn,L.Zollo,N.Vitiello,

N.G.Aracil,andS.R.Soekadar.“Feasibil‐ityandsafetyofsharedeeg/eogandvision‐guidedautonomouswhole‐armexoskeletoncon‐troltoperformactivitiesofdailyliving,” Scienti ic Reports,vol.8,2018,doi:10.1038/s41598‐018‐29091‐5.

[18] J.J.Crisco,P.Jokl,G.T.Heinen,M.D.Connell,and M.M.Panjabi.“Amusclecontusioninjurymodel: Biomechanics,physiology,andhistology,” The AmericanJournalofSportsMedicine,vol.22, no.5,1994,pp.702–710,doi:10.1177/036354 659402200521,PMID:7810797.

[19] T.DavenportandR.Kalakota.“Thepotential forarti icialintelligenceinhealthcare,” Future healthcarejournal,vol.6,no.2,2019,p.94.

[20] B.DerbyandR.Akhtar.“Finiteelementandsoft computingmethodsengineeringmaterialsand processesmechanicalpropertiesofagingsoft tissues”.

[21] I.Díaz,J.J.Gil,andE.Sánchez.“Lower‐limb roboticrehabilitation:Literaturereviewand challenges,” JournalofRobotics,vol.2011,2011, pp.1–11,doi:10.1155/2011/759764.

[22] C.Ethier,E.R.Oby,M.J.Bauman,andL.E. Miller.“Restorationofgraspfollowingparaly‐sisthroughbrain‐controlledstimulationofmus‐cles,” Nature,vol.485,2012,pp.368–371,doi: 10.1038/nature10987.

[23] P.Falkowski.“Anoptimisationproblemfor exoskeleton‐aidedfunctionalrehabilitationof anupperextremity,” IOPConferenceSeries: MaterialsScienceandEngineering,vol.1239, no.1,2022,doi:10.1088/1757‐899x/1239/1/ 012012.

[24] P.Falkowski.“Lightexoskeletondesignwith topologyoptimisationandfemsimulationsfor ffftechnology,” JournalofAutomationMobile RoboticsandIntelligentSystems,vol.15,no.2, 2021,pp.14–19.

[25] P.Falkowski.“Predictingdynamicsofarehabili‐tationexoskeletonwithfreedegreesoffreedom,” 2022,pp.223–232.

[26] P.Falkowski,T.Osiak,andA.Pastor.“Analy‐sisofneedsandrequirementsofkinesiother‐apyinpolandforrobotdesignpurposes,” Prace Naukowe–PolitechnikaWarszawska.Elektronika z.197,Postępyrobotyki.T.2,2022.

[27] P.Falkowski,T.Osiak,J.Wilk,N.Prokopiuk, B.Leczkowski,Z.Pilat,andC.Rzymkowski. “Studyontheapplicabilityofdigitaltwins forhomeremotemotorrehabilitation,” Sensors, vol.23,no.2,2023,p.911.

[28] G.L.Farfalli,M.A.Buttaro,andF.Piccaluga. “Femoralfracturesinrevisionhipsurgerieswith impactedboneallograft,” ClinicalOrthopaedics andRelatedResearch,vol.462,2007,pp.130–136,doi:10.1097/BLO.0b013e318137968c.

JournalofAutomation,MobileRoboticsandIntelligentSystems VOLUME17,N∘ 42023
24

[29] M.Florin,M.Arzdorf,D.Ing,B.Linke,J.A. Auer,andD.Acvs.“Assessmentofstiffness andstrengthof4differentimplantsavail‐ableforequinefracturetreatment:Astudy ona201obliquelong‐bonefracturemodel usingabonesubstitute,” VeterinarySurgery, vol.34,no.3,pp.231–238,doi:10.1111/j.1532‐950X.2005.00035.x.

[30] M.Fredericson,F.Jennings,C.Beaulieu,andG.O. Matheson.“Stressfracturesinathletes,”1995.

[31] J.J.Gerhardt.“Clinicalmeasurementsofjoint motionandpositionintheneutral‐zeromethod andsftrrecording:Basicprinciples,” Disability andRehabilitation,vol.5,1983,pp.161–164,doi: 10.3109/03790798309167039.

[32] M.Harker.“Psychologicalsweating:Asystem‐aticreviewfocusedonaetiologyandcutaneous response,” SkinPharmacologyandPhysiology, vol.26,2013,pp.92–100,doi:10.1159/000346 930.

[33] H.HeadandG.Riddoch.“Theautomaticbladder, excessivesweatingandsomeotherrelfexcondi‐tions,ingrossinjuriesofspinalcord,”11,1917.

[34] E.Hohmann,N.Keough,V.Glatt,K.Tetsworth, R.Putz,andA.Imhoff.“Themechanicalprop‐ertiesoffreshversusfresh/frozenandpre‐served(thielandformalin)longheadofbiceps tendons:Acadavericinvestigation,” Annalsof Anatomy,vol.221,2019,pp.186–191,doi: 10.1016/j.aanat.2018.05.002.

[35] L.J.Holanda,P.M.Silva,T.C.Amorim,M.O.Lac‐erda,C.R.Simão,andE.Morya.“Roboticassisted gaitasatoolforrehabilitationofindividualswith spinalcordinjury:Asystematicreview,” Journal ofNeuroEngineeringandRehabilitation,vol.14, 2017,doi:10.1186/s12984‐017‐0338‐7.

[36] M.R.Islam,B.Brahmi,T.Ahmed,M.Assad‐Uz‐Zaman,andM.H.Rahman.“Exoskeletons inupperlimbrehabilitation:Areviewto ind keychallengestoimprovefunctionality,” ControlTheoryinBiomedicalEngineering,2020, pp.235–265.

[37] C.Jayawardena,K.Watanabe,andK.Izumi. “Probabilisticneuralnetworkbasedlearning fromfuzzyvoicecommandsforcontrollinga robot,”112022.

[38] O.Karcioglu,H.Topacoglu,O.Dikme,and O.Dikme.“Asystematicreviewofthepainscales inadults:Whichtouse?,” AmericanJournalof EmergencyMedicine,vol.36,2018,pp.707–714, doi:10.1016/j.ajem.2018.01.008.

[39] A.Kelati,E.Nigussie,I.B.Dhaou,J.Plosila,and H.Tenhunen.“Real‐timeclassi icationofpain levelusingzygomaticusandcorrugatoremgfea‐tures,” Electronics,vol.11,no.11,2022,p.1671.

[40] M.KhamarandM.Edrisi.“Designingaback‐steppingslidingmodecontrollerforanassistant

humankneeexoskeletonbasedonnonlineardis‐turbanceobserver,” Mechatronics,vol.54,2018, pp.121–132,doi:10.1016/j.mechatronics.2018. 07.010.

[41] M.Kjaer.“Roleofextracellularmatrixinadapta‐tionoftendonandskeletalmuscletomechani‐calloading,” Physiologicalreviews,vol.84,no.2, 2004,pp.649–698.

[42] C.W.Kolz,T.Suter,andH.B.Henninger. “Regionalmechanicalpropertiesofthelonghead ofthebicepstendon,” ClinicalBiomechanics, vol.30,2015,pp.940–945,doi:10.1016/j.clin biomech.2015.07.005.

[43] T.Koyama,J.G.McHaf ie,P.J.Laurienti,and R.C.Coghill.“Thesubjectiveexperienceofpain: Whereexpectationsbecomereality,”2005.

[44] L.F.LeeandB.R.Umberger.“Generating optimalcontrolsimulationsofmusculoskeletal movementusingopensimandmatlab,” PeerJ, vol.2016,2016,doi:10.7717/peerj.1638.

[45] K.S.Leung,W.Y.Shen,P.C.Leung,A.W..Kin‐ninmonth,J.C.W.Chang,andG.P.Y.Chan.“The journalofboneandjointsurgeryligamentotaxis andbonegraftingforcomminutedfracturesof thedistalradius,”1989.

[46] E.Lew,R.Chavarriaga,S.Silvoni,andJ.delR.Mil‐lán.“Detectionofself‐pacedreachingmovement intentionfromeegsignals,” FrontiersinNeuroengineering,2012,doi:10.3389/fneng.2012. 00013.

[47] S.Liber‐Kneć,AnetaiƁagan.“MetodybadaƄbio‐materiaƂówitkanek–wstępdoćwiczeƄlabora‐toryjnych”.

[48] N.Lotti,M.Xiloyannis,G.Durandau,E.Galofaro, V.Sanguineti,L.Masia,andM.Sartori.“Adaptive model‐basedmyoelectriccontrolforasoftwear‐ablearmexosuit:Anewgenerationofwearable robotcontrol,” IEEERobotics&AutomationMagazine,vol.27,no.1,2020,pp.43–53.

[49] E.López‐Larraz,L.Montesano,ÁngelGil‐Agudo, andJ.Minguez.“Continuousdecodingof movementintentionofupperlimbself‐initiated analyticmovementsfrompre‐movementeeg correlates,” JournalofNeuroEngineeringand Rehabilitation,vol.11,2014,p.153.

[50] P.Maciejasz,J.Eschweiler,K.Gerlach‐Hahn, A.Jansen‐Troy,andS.Leonhardt.“Jnerjournal ofneuroengineeringandrehabilitationreview openaccessasurveyonroboticdevicesfor upperlimbrehabilitation,” JournalofNeuroEngineeringandRehabilitation,vol.11,2014,p.3.

[51] M.L.Martin,K.J.Travouillon,P.A.Fleming,and N.M.Warburton.“Reviewofthemethodsused forcalculatingphysiologicalcross‐sectionalarea (pcsa)forecologicalquestions,” JournalofMorphology,vol.281,no.7,2020,pp.778–789.

[52] R.B.Martin,D.B.Burr,N.A.Sharkey,andD.P. Fyhrie. MechanicalPropertiesofLigamentand

JournalofAutomation,MobileRoboticsandIntelligentSystems VOLUME17,N∘ 42023
25

Tendon,pp.175–225.SpringerNewYork,New York,NY,2015.

[53] M.Mekki,A.D.Delgado,A.Fry,D.Putrino,and V.Huang.“Roboticrehabilitationandspinalcord injury:anarrativereview,” Neurotherapeutics, vol.15,2018,pp.604–617,doi:10.1007/s133 11‐018‐0642‐3.

[54] L.B.MellickandK.Reesor.“Spiraltibialfractures ofchildren:Acommonlyaccidentalspirallong bonefracture,” TheAmericanJournalofEmergencyMedicine,vol.8,no.3,1990,pp.234–237, doi:10.1016/0735‐6757(90)90329‐X.

[55] D.D.Molinaro,A.S.King,andA.J.Young.“Biome‐chanicalanalysisofcommonsolidwastecol‐lectionthrowingtechniquesusingopensimand anemg‐assistedsolver,” JournalofBiomechanics, vol.104,2020,doi:10.1016/j.jbiomech.2020.10 9704.

[56] E.K.Naeini,A.Subramanian,M.‐D.Calderon, K.Zheng,N.Dutt,P.Liljeberg,S.Salantera,A.M. Nelson,A.M.Rahmani,etal..“Painrecognition withelectrocardiographicfeaturesinpostoper‐ativepatients:methodvalidationstudy,” Journal ofMedicalInternetResearch,vol.23,no.5,2021.

[57] A.Neviaser,N.Andarawis‐Puri,andE.Flatow. “Basicmechanismsoftendonfatiguedamage,” JournalofShoulderandElbowSurgery,vol.21, 2012,pp.158–163,doi:10.1016/j.jse.2011.1 1.014.

[58] J.PerryandG.Bekey.“Emg‐forcerelationships inskeletalmuscle,” Criticalreviewsinbiomedical engineering,vol.7,no.1,1981,pp.1–22.

[59] S.R.Piva,E.A.Goodnite,andJ.D.Childs. “Strengtharoundthehipand lexibilityof softtissuesinindividualswithandwithout patellofemoralpainsyndrome,”2005,pp.793–801,doi:10.2519/jospt.2005.35.12.793.

[60] P.Poli,G.Morone,G.Rosati,andS.Masiero. “Robotictechnologiesandrehabilitation:New toolsforstrokepatients’therapy,” BioMed ResearchInternational,vol.2013,2013,doi: 10.1155/2013/153872.

[61] I.A.PopandG.Dogaru.“Roleofkinesio‐therapyintherecoveryofpatientswithpri‐marycoxarthrosis,” BalneoResearchJournal, vol.4,2013,pp.144–148,doi:10.12680/bal‐neo.2013.1054.

[62] M.V.Ruiz.“Simulationoftheassistanceofan exoskeletononlowerlimbsjointsusingopensim memory,”2017.

[63] K.U.Schmitt,P.F.Niederer,D.S.Cronin,B.Mor‐rison,M.H.Muser,andF.Walz. TraumaBiomechanics:AnIntroductiontoInjuryBiomechanics,TaylorandFrancis,2019,pp.1–287,doi: 10.1007/978‐3‐030‐11659‐0.

[64] J.Schumm,M.BĂ€chlin,C.Setz,B.Arnrich, D.Roggen,andG.Tröster.“Effectofmovements

ontheelectrodermalresponseafterastar‐tleevent,” MethodsofInformationinMedicine, vol.47,2008,pp.186–191,doi:10.3414/ME 9108.

[65] A.Seth,J.L.Hicks,T.K.Uchida,A.Habib,C.L. Dembia,J.J.Dunne,C.F.Ong,M.S.DeMers, A.Rajagopal,M.Millard,S.R.Hamner,E.M. Arnold,J.R.Yong,S.K.Lakshmikanth,M.A.Sher‐man,J.P.Ku,andS.L.Delp.“Opensim:Simulating musculoskeletaldynamicsandneuromuscular controltostudyhumanandanimalmovement,” PLoSComputationalBiology,vol.14,2018,doi: 10.1371/journal.pcbi.1006223.

[66] D.Shi,W.Zhang,W.Zhang,andX.Ding.“A reviewonlowerlimbrehabilitationexoskeleton robots,” ChineseJournalofMechanicalEngineering,vol.32,no.1,2019,pp.1–11.

[67] C.S.Shin,A.M.Chaudhari,andT.P.Andri‐acchi.“Valgusplusinternalrotationmoments increaseanteriorcruciateligamentstrainmore thaneitheralone,” MedicineandScienceinSports andExercise,vol.43,2011,pp.1484–1491,doi: 10.1249/MSS.0b013e31820f8395.

[68] D.Stashuk.“Emgsignaldecomposition:howcan itbeaccomplishedandused?,” JournalofElectromyographyandKinesiology,vol.11,2001, pp.151–173.

[69] O.Subasi,A.Oral,andI.Lazoglu.“Anovel adjustablelockingplate(alp)forsegmental bonefracturetreatment,” Injury,vol.50,2019, pp.1612–1619,doi:10.1016/j.injury.2019.08 .034.

[70] G.Sun,Z.Wen,D.Ok,L.Doan,J.Wang,andZ.S. Chen.“Detectingacutepainsignalsfromhuman eeg,” Journalofneurosciencemethods,vol.347, 2021.

[71] V.R.Sweta,R.P.Abhinav,andA.Ramesh.“Role ofvirtualrealityinpainperceptionofpatients followingtheadministrationoflocalanesthe‐sia,” AnnalsofMaxillofacialSurgery,vol.9,2019, pp.110–113,doi:10.4103/ams.ams_26_18.

[72] F.Sylos‐Labini,V.LaScaleia,A.d’Avella,I.Pisotta, F.Tamburella,G.Scivoletto,M.Molinari,S.Wang, L.Wang,E.vanAsseldonk,etal.“Emgpat‐ternsduringassistedwalkingintheexoskele‐ton,” Frontiersinhumanneuroscience,vol.8, 2014,p.423.

[73] R.Sánchez‐Reolid,M.T.López,andA.Fernández‐Caballero.“Machinelearningforstressdetection fromelectrodermalactivity:Ascopingreview,” 2020,doi:10.20944/preprints202011.0043.v1.

[74] R.T.“Clinicalassessmentandmanagementof spasticity:areview,” ActaNeurolScandSupply, vol.190,2010,doi:10.1111/16000404.

[75] Z.Tayeb,R.Bose,A.Dragomir,L.E.Osborn,N.V. Thakor,andG.Cheng.“Decodingofpainper‐ceptionusingeegsignalsforareal‐timere lex

JournalofAutomation,MobileRoboticsandIntelligentSystems VOLUME17,N∘ 42023
26

systeminprostheses:Acasestudy,” Scienti ic reports,vol.10,no.1,2020,pp.1–11.

[76] H.T.Temple,T.R.Kuklo,D.E.Sweet,C.L.M.H. Gibbons,andM.D.Murphey.“Rectusfemoris muscletearappearingasapseudotumor,” The AmericanJournalofSportsMedicine,vol.26, no.4,1998,pp.544–548,doi:10.1177/036354 65980260041301,PMID:9689376.

[77] K.S.TĂŒrker.“Electromyography:somemethod‐ologicalproblemsandissues,” PhysicalTherapy, vol.73,no.10,1993,pp.698–710.

[78] J.J.vanderHeijden‐Spek,J.A.Staessen,R.H. Fagard,A.P.Hoeks,H.A.S.Boudier,andL.M.V. Bortel.“Effectofageonbrachialarterywall propertiesdiffersfromtheaortaandisgender dependentapopulationstudyfromthedepart‐mentofpharmacology,”2000.

[79] L.M.WeberandJ.Stein.“Theuseofrobotsin strokerehabilitation:Anarrativereview,” NeuroRehabilitation,vol.43,2018,pp.99–110,doi: 10.3233/NRE‐172408.

[80] J.WilkandP.Falkowski.“Aconceptofdetecting patienthazardsduringexoskeleton‐aided remotehomemotorrehabilitation,” Prace Naukowe–PolitechnikaWarszawska.Elektronika z.197,Postępyrobotyki.T.2,2022.

[81] T.L.Willett,D.Y.Dapaah,S.Uppuganti, M.Granke,andJ.S.Nyman.“Bonecollagen networkintegrityandtransversefracture toughnessofhumancorticalbone,” Bone, vol.120,2019,pp.187–193,doi:10.1016/j.bone. 2018.10.024.

[82] B.Yu,H.Liu,andW.E.Garrett.“Mechanism ofhamstringmusclestraininjuryinsprinting,” JournalofSportandHealthScience,vol.6,2017, pp.130–132,doi:10.1016/j.jshs.2017.02.002.

JournalofAutomation,MobileRoboticsandIntelligentSystems VOLUME17,N∘ 42023
27

Abstract:

BINARYSHUFFLEDFROGLEAPINGALGORITHMFOROPTIMALALLOCATIONOF POWERQUALITYMONITORSINUNBALANCEDDISTRIBUTIONSYSTEM

BINARYSHUFFLEDFROGLEAPINGALGORITHMFOROPTIMALALLOCATIONOF

BINARYSHUFFLEDFROGLEAPINGALGORITHMFOROPTIMALALLOCATIONOF POWERQUALITYMONITORSINUNBALANCEDDISTRIBUTIONSYSTEM

Submitted:23rd May2021;accepted:7th February2023

AshkanDoustMohammadi,MohammadMohammadi

DOI:10.14313/JAMRIS/4‐2023/28

Thispaperdealswithoptimaldetectionofnumberand bestlocationsofpowerqualitymonitors(PQMs)inan unbalanceddistributionnetworkbasedonthemonitor reachareaconcept.Theproposedmodelusesbinary string,representingtheinstallationmodeofPQMs(Yes orNo)ineachbusofthenetwork.Inthispaper,the binaryversionofshuffledfrog‐leapingalgorithm(BSFLA), becauseofhavingtheabilitytoimprovethesearch capabilitywithafastconvergencerate,isutilizedfor theoptimizationprocess.Theoverallcostfunctionis formulatedtooptimizethetwoindices,whicharethe monitoroverlappingindexandsagseverityindex.The onlyoptimizationconstraintinthisproblemisthatthe numberofmonitorsthatcandetectvoltagesagsdueto afaultataspecificbusmustnotbezero.Inthisstudy, DIGSILENTsoftwareisutilizedforfaultanalysiswhilethe optimizationproblemishandledbytheBSFLA.Toverify theproposedalgorithm,theIEEE34Busunbalanced distributionnetworkisconsideredasacasestudyand resultsarecomparedtosimilarinvestigationssoasto illustratetheeffectivenessoftheproposedalgorithm.

Keywords: Binaryshuffledfrog‐leapingalgorithm,Topo‐logicalmonitorreacharea(TMRA),Powerquality,Power qualitymonitoring

1.Introduction

Activepowerdistributionsneedtobemonitored online.Thismustbeperformedcorrectlyfromthe pointofviewofvariouspowerqualityindices.Har‐monic,voltagesag,voltageswingandotherpower qualityindicesmustbemeasured.Voltagesagsmoni‐toringanditsassessmentgivesinformationaboutthe actualcauseandsourceofvoltagesagsthatcanhelp powerengineersmitigatesuchdisturbances.Thus,to accuratelymonitortheoverallsystem,powerquality monitors(PQM)needtobeinstalledatallbusesina powersystem,whichisverycostlyanduneconomical planning[1].Therefore,newoptimalplacementmeth‐odsarerequiredtodeterminetheminimumnumber andthebestlocationsofPQMstoensurethatthrough anef icientallocationapproach,anyeventthatleads tovoltagesagiscaptured.Afewoptimalallocation techniquesofPQMshavebeenreportedinthelast

fewyears.Generally,thevoltagesagmonitorplace‐menttechniquescomprisefourfundamentalmethods, namely,monitorreacharea(MRA),coveringandpack‐ing(CP),graphtheory(GT),andmultivariableregres‐sion(MVR)[2].DongandSeungproposedanewGT‐basedalgorithmtomonitorthevoltagesaginapower systemwhichrepresentsthepowersystemnetwork usingasimplegraphwithanincidencematrixand analyzedthesysteminanetworkmatrixframe[3]. TheGT‐basedtopologicaltechniquebasedoncover‐agematrixwasutilizedforPQMplacementbyDong andSeung[4].In[5],anovelpowerqualitymonitor‐ingallocationalgorithmbasedontheCPmethodwas discussed.In[6],acombinatorialproblemoftheCP methodwiththeIntegerLinearProgramming(ILP) techniquewasemployedtominimizethecostofPQMs. In[7],amethodwaspresentedbyauthorsforthe optimalplacementofPQMsthatisplannedbasedon theCPapproachandthatusedGAMSsoftwaretosim‐ulatethefaultsonthesystem.TheCPmethodhastwo drawbacks.Oneisevaluatingthesystem’sconnectiv‐itytoanalyzesystemobservabilitybasedonKirch‐hoff’scurrentandOhm’slaw,andthesecondisconsid‐eringsteadystateinformationincomparisonwiththe actualinformationofvoltagesagasconstraintsofthe optimizationproblem.In2011,anewmethodbased ontheMVRmodelwaspresentedintheplacementof PQMs[8].AnovelPQMplacementtechniqueusingCp andRpstatisticalindicesforpowertransmissionand distributionnetworkswasanalyzed[9].Recently,the MVRmethodwascombinedwithCpandRpstatistical indicesandusedforoptimalPQMplacement[10]. Inrecentyears,theheuristicsapproacheshavebeen mixedwiththeCpstatisticalindexapproachto ind thebestlocationandimprovetheaccuracyofthe solution.Forexample,optimalpowerqualitymoni‐torplacementintransmissionnetworksusinggenetic algorithmandMallow’sCpwasaddressedby[11]. Also,asimilarstudybythesameauthorswasreported aboutoptimalpowerqualitymonitorplacementusing theGA_Cpmethodfordistributionnetwork[12].In 2003,Olguinetal.proposedamonitorreachareaor MRAconcept‐basedmethod,whichgivestheareaof thenetworkthatcanbeobservedfromagivenmeter positionbyconstructingabinarymatrix.Accordingto theirproposedmethod,ifafaultoccursinsideMAR, thentheeventwilltriggerthePQM,while,forfaults outsideit,noPQMwastriggered[13].

2023 © MohammadiandMohammadi.ThisisanopenaccessarticlelicensedundertheCreativeCommonsAttribution-Attribution4.0International(CCBY4.0) (http://creativecommons.org/licenses/by-nc-nd/4.0/) VOLUME17,N∘ 42023 JournalofAutomation,MobileRoboticsandIntelligentSystems
28

Thus,theMRAsofallpossiblelocationsusingthe binaryMRAmatrixthroughnetworkfaultslocated alongtheelectricallinesaredeterminedtoestab‐lishandformulatetheoptimizationproblem.InMRA‐basedmethods,theheuristicsoptimizationalgo‐rithmsareemployedtodeterminethenumberof PQMsandbestlocationsthroughoptimizingobjective function,whichisformulatedbaseontheMRAmatrix. ManystudieshavebeenreportedthatusedtheMRA methodcombinedwithheuristicsalgorithmsforopti‐malplacementofPQMs.In[14],authorspresented amethodbasedontheconceptoftheMRAandthe sagseverityindexfortheplacementofPQMswhich usedGAtosolvetheoptimizationproblem.Inthe recentlyreportedstudy,theconceptoffuzzy,which wasusedin[15]isutilizedforfuzzymonitorreach area(FMRA)tolocatePQMsinlargetransmission network.Theimprovedadaptivegeneticalgorithm (IAGA)waspresentedby[16]foroptimalallocation ofPQMsbasedontheMRAandMRMmatricesand redundantvectorconcepts.AlthoughthePQMsloca‐tionintransmissionsystemsusingtheMRAmatrix techniqueisasimpleperformance,theMRAmatrix isgenerallynotsuitableforapplicationinradialdis‐tributionsystems,asitoftenyieldsonePQMplace‐mentsolution.Thus,in2011,AhmadIbrahimpro‐posedthenewconceptoftopologicalmonitorreach area(TMRA)anduseditforoptimalplacementof PQMsindistributionsystems[17].Thementioned paperusedtheDIGSILENTsoftwareforfaultanalysis, whiletheoptimizationproblemwashandledbythe GA.TheTMRAwasproposednotonlytomakeobserv‐abilityapplicablefortransmissionsystems,butalso forradialdistributionsystems.InTMRA,toensure more lexibilityofthesearchalgorithmsinconsenting tosensitivityandeconomiccapability,thealphaasthe monitorcoveragecontrolparameterisimplemented andaddedtoMRAmethod.Authorsin[18]solvedthe optimalpowerqualitymonitorplacementinpower systemsbasedonTMRAusingparticleswarmopti‐mization(PSO)andanarti icialimmunesystem(AIS). Thequantuminspiredparticleswarmoptimization (QPSO)wasintroducedbythesameauthorsforPQM placement[19].TheadaptiveQPSO(AQPSO)was alsoaddressedforPQMplacementbasedonMRA approach[20].The irstinnovationofthisstudyis usingtheDIGSILENTsoftwarecombinedwiththe MATLABprogramfortheunbalancedshortcircuit process.Thistechniqueincreasesthespeedrunof simulation.Thesecondinnovationusesthebinary formatoftheshuf ledfrog‐leapingbasedoptimiza‐tionalgorithmtosolvethisproblem(PQMplacement). Thisaspectofthestudywasnotperformedbythe others.

Themainsectionsofthispaperarelistedasfol‐lows:

Section 2:PowerQualityMonitor/Meters(Func‐tionsandInstallation)

Section3:Fundamentalconceptsabouttheresid‐ualfaultvoltagematrix,monitorreacharea,system topologyandtopologymonitorreacharea.

Section 4:Objectivefunction,illustratethemini‐mizingthenumberofrequiredmonitors(NRM), minimizingthemonitoroverlappingindex(MOI) andmaximizingthesagseverityindex(SSI).

Section 5:Optimizationtechniques,imperialist competitiveapproachanditsbinaryversion.

Section6:SimulationandResults

Section7:Conclusion

2.PowerQualityMonitor/Meters(Functions andInstallation)

ThePQMisanidealchoicewhencontinuousmon‐itoringofathreephasesystemisrequired.Itprovides meteringforcurrent,voltage,realandreactivepower, energyuse,costofpower,powerfactorandfrequency. InFigure 1,theschematicandinstallationofseveral typesofPQMispresented.PQM’sapplicationandthe monitoringandmeteringfunctionofatypicaltypeare listedasfollows:

‐ Applications

1‐Meteringofdistributionfeeders,transformers,gen‐erators,capacitorbanksandmotors

2‐Mediumandlowvoltagesystems

3‐Commercial,industrial,utility

4‐Flexiblecontrolfordemandloadshedding,power factor,etc.

‐ MonitoringandMetering

1‐Harmonicanalysisthrough63rdwithTHDandTIF 2‐Eventrecorder, 3‐Waveformcapture/4‐Datalogger

JournalofAutomation,MobileRoboticsandIntelligentSystems VOLUME17,N∘ 42023
29
Figure1. SchematicandinstallationofPQM

3.FundamentalConcepts

ThemainstructureoftheoptimalPQMplace‐mentproblemusingtheproposedapproachisto understandthemonitorobservabilityconcept.This structureisneededtoexplainthefollowingconcepts, whicharediscussedearlierinsections3.1to3.4:

‐ ResidualFaultvoltagematrix

‐ Monitorreacharea

‐ Systemtopology

‐ Topologymonitorreacharea

3.1.FaultVoltage(FV)Matrix

IntheMRA‐basedapproachofPQMplacement, theresidualvoltagesateachbusofasystemforall typesoffault(singlelinetoground(SLG),twophases toground(LLG),threephasefaults(LLL))andfor allfaultcasesarerequired.Inshortcircuitanaly‐sis,alltypesoffaultsaresimulated,generallyusing theDIGSILENTsoftwareateachbuswithzerofault impedancetoformtheFVmatrix.

Itiscleartheworstfaultwithsevereandcritical resultsisthefaultwithminimumimpedance.Inthe singlephasetogroundandthreephasestoground faults,iftheimpedanceofthepointfaulttoground experimentisthezerovalue,thelargestcurrentfault willbeachieved.Therefore,itisbettertodesignthe systemundertheworstfaultwiththelargestfault current.ThedesignofsystemwithPQMsunderthis conditioncanguaranteethegoodperformanceofthe systemforotherconditionsoffault.Thisnoteisillus‐tratedintherevisedpaper.Intheunsymmetrical faultsforexampleinthesingletogroundfault(SLG), wehave:

Inwhich,XF denotesthefaultimpedance(reac‐tance)atthefaultpoint(faulttoground)and X+ th,Xth andX0 th denotethepositive,negativeandzero sequencesequivalentTheveninimpedancesfromthe faultpointwhichaffectedbytopologyofsystem.The smallertheXF,thehigherthepositiveandnegative sequencefaultcurrentsI+ F,IF,andsowehavehigher faultcurrentsofphasesa,bandc(IF A,IF B andIF C).

Theresidualvoltageateachbusisvaluableinfor‐mationintheformationofthemonitorreacharea (MRA).Therefore,itisnecessarytostoretheresid‐ualvoltagesinamatrixcalledtheFaultVoltage(FV) matrix,wherethematrixcolumnsrepresentthebus numberandthematrixrowsrelatetothesimulated faultposition.Then,theMRAmatrixcanbeobtained bycomparingalltheFVmatrixelementsforeach phasewithathresholdvalue.EachelementoftheMRA matrixis illedwith1(one),whenthebusresidual voltagegoesbeloworequalto ïżœïżœ p.u.inanyphase andwith0(zero)otherwise.Inthestepoftheshort circuitprocessaboutfaultanalysis,itisnecessaryto simulateallthevariouskindsoffault.Thisstepis performedgenerallyateachbususingtheDIGSILENT softwarewithoutfaultimpedance(i.e.,zeroamount forit)toformandconcludetheFVmatrix.Finally,the residualvoltagesoftheFVmatrixarekepttoemploy inMRAformulation.(SeeFigure11forsimulationof theshortcircuitanalysiswithDIGSILENTsoftware andcalculatetheFVmatrix).

Finally,theresidualvoltagesasFVmatrixarekept toemployinMRAformulation.IntheFVmatrix,the matrixcolumn(j)isrelatedtobusnumbersofresidual voltages,anditsrow(k)iscorrelatedtothepositionof thesimulatedfaultforaspeci icfaulttype[17,21].To betterunderstandtheconceptofFV,considerasimple powersystemshowninFigure2

Duringaspeci icfaultatbus3,thevoltagereadings ateachbusofthesystemarecomputedusingDIGSI‐LENT.Thesevoltagevaluescorrespondtothe3rdrow oftheconstructedFVmatrixforthesystem,whichis reportedforacompletefaultanalysisofthesystemas inFigure3

3.2.MonitorReachArea(MRA)Matrix

TheconceptofMRAcanbeexplainedasanarea ofthenetworkthatanyfaultthatleadstovoltagesag canbecapturedbyaspeci iedmonitorlocation[22]. ThisMRAisabinarymatrixwheretheMRA(j,k)= 1,signi iesthatpointkisseenandcoveredbythe installedPQMatbusjwhereasMRA(j,k)=0 iden‐ti iesthatpointkisoutsideofthecoverageareaof theinstalledPQMatbusj.AnyelementoftheMRA matrixcanbeobtainedbycomparingalltheFVmatrix elementsforeachphasewithathresholdvaluewhich isrepresentedbyïżœïżœparameter.

JournalofAutomation,MobileRoboticsandIntelligentSystems VOLUME17,N∘ 42023
ïżœïżœ+ ïżœïżœ =ïżœïżœïżœïżœ = ïżœïżœïżœïżœ.ïżœïżœ ïżœïżœâ„Ž =1 ïżœïżœ+ ïżœïżœâ„Ž +ïżœïżœïżœïżœâ„Ž +ïżœïżœ0 ïżœïżœâ„Ž +ïżœïżœïżœïżœ ,ïżœïżœ0 ïżœïżœ =0 (1)
ïżœïżœïżœïżœ ïżœïżœ ïżœïżœïżœïżœ ïżœïżœ ïżœïżœïżœïżœ ïżœïżœ = 11 1 11∠−1201∠+120 11∠+1201∠−120 × ïżœïżœ0 ïżœïżœ ïżœïżœ+ ïżœïżœ ïżœïżœïżœïżœ (2)
Figure2. Asimpleradialdistributionsystem Figure3. AnexampleoftheFVmatrix
30

IfthebusresidualvoltageoftheFVmatrixisless thanorequaltoïżœïżœp.u.inanyphase,thenMRA(j,k)= 1,andotherwise,i.e.,residualvoltageofFVmatrixis morethanïżœïżœ p.u.atallphases,thenMRA(j,k)=0as expressedfollows:

MRA(j,k)=

1 ifFV(j,k)â‰€ïżœïżœp.uatanyphase

0 ifFV(j,k)>ïżœïżœp.uatallphases (3)

TobetterunderstandtheconceptoftheMRA matrix,considerthesimpleradialdistributionsystem asshowninFigure 2 anditsFVmatrixobtainedin Figure3.Inthisexamplecase,thethresholdissetat ïżœïżœ=0.9p.u.,theformationoftheMRAmatrix‐based equation(3)andtheyieldsMRAmatrixasshownin Figure4.

3.3.SystemTopologyMatrix(T)

LiketoMRAandFVmatrices,theTmatrixcolumn isrelatedtobusnumberanditsrowcorrespondswith faultlocation.Whenthereisapathfromgeneratorbus toaparticularbusinthesystem,thematrixis illed with1(one)andotherwise illedwith0(zero)[23]. Whenafaultoccursinaparticularbus,namelya faultedbus,itbecomesacutvertexthatsplitsintovar‐iousverticesofthesamecomponentasmanyadjacent edges.SomeexamplesofaparticularrowinaTmatrix forasinglefedradialsystem,adoublyfedradialsys‐tem,andaringsystemarepresentedinFigure5.For instanceduringfaultatbus3,dependingonthenum‐beroffeedersconnectedtothisbus,thesystemgraph willbeseparatedintoseveralsections.Bychecking theconnectivitystatusbetweengeneratorbusandthe otherbusbasedonmentionedcriteriatheTmatrix elementsarethen illedwith‘1’or‘0’.Asshownin Figure 5,(a)thesystemhasonlyonepowersource atbus1.Clearly,thereisapathfromthegenerator bus(bus1)tobuses1,2,and3butnotfortherest. Therefore,Tmatrixelementsare illedwith‘1’up tocolumnthreeand‘0’fortherest.Asindicatedin Figure5(b),inthiscase,thebusnumbers4and5have beenconnectedtothesecondpowersourceandthus, theTmatrixis illedwith‘1’uptocolumn5.Inthe lastcase,aringsystem,asshowninFigure5(c),gives all‘1’sfortheTmatrixcolumnbecauseofconnec‐tionsbetweenthegeneratorbus(bus1)andtheother buses.Theseexamplesaredesignedwithafaultonly atbus3,anditneedstobesimilarlyrepeatedonall

busestogivetheinformationaboutsystemtopology throughacompleteTmatrix.

3.4.TopologyMonitorReachAreaMatrix(TMRA)

Thetopologicalmonitorreacharea(TMRA)is introducedtomakeitapplicableforbothdistribu‐tionandtransmissionsystems.TheTMRAmatrixis acombinationofMRAmatrixandsystemtopology (T)matrixbyusingoperator‘AND’asexpressedin (4)[17].

TMRA(j,k)=MRA(j,k)‱T(j,k) (4)

4.ProblemFormulation

Thethreemainpartsofatypicaloptimization problemaredecisionvector,objectivefunctionand constraints.Therefore,eachitemhasbeenillustrated inregardtooptimalsolutionofPQMplacement.

JournalofAutomation,MobileRoboticsandIntelligentSystems VOLUME17,N∘ 42023
Figure4. AnexampleoftheMRAmatrix Figure5. Exampleofrow3inTmatrixfordifferent systemtopologies[22]
31

4.1.DecisionVector

ThedecisionvectorthatrepresentstheMonitor Placement(MP)vectorisintroducedasabinarydeci‐sionvectorinbitsintheoptimizationprocess.

Eachbitindicatesthepositionsofmonitorsthat areinstalledornotinpowersystemnetwork.If MP(n)=1,itindicatesthatasagmonitorshouldbe installedatbusnwhereasavalue0meansthatno monitorneedstobeinstalledatbusn.ThisMPvector canbedescribedasfollows[20]:

1 ifmonitorisrequiredatbusn

0 ifmonitorisnotrequiredatbusn (5)

4.2.ObjectiveFunction

ThePQMoptimizationproblemdiscussedinthis studydealswiththreeobjectivefunctionsthatare addressedfollows.

1.Minimizingthenumberofrequiredmonitors (NRM)

The irstobjectivefunctionistominimizethenum‐berofrequiredmonitors(NRM),whichcaneasilybe obtainedasexpressedin(6),andthisparameterneeds tobeminimized.

bus

NRM=

=1 MP(n) (6)

2.Minimizingthemonitoroverlappingindex (MOI)

Monitoroverlappingindex(MOI)isintroducedto assessthebestmonitororganizationinapowersys‐tem.Overlapsofmonitorcoverageareasfordifferent arrangementsaretheissueofPQMplacementina powersystem.Here,itisessentialtoconsiderthat theseoverlapsrepresentthenumberofsagmonitors thatreportthesamefaulthappeninginapowersys‐tem.Thus,theseoverlapsshouldbeminimized.The overlapscanbedeterminedbymultiplyingtheTMRA matrixandthetransposedMPvector.Ifalltheele‐mentsintheobtainedresultsare1,itsigni iesthat thereisn’tanyoverlapofthemonitors’coverage.A lowerMOIindexrepresentsabetterorganizationof PQMsinapowersystem[19].

TheMOIisgivenby:

MOI= ∑(TMRA∗MPT)

NFLT (7)

WhereNFLTindicatesthetotalnumberoffault locationsconsideringalltypesoffaults.

3.Maximizingthesagseverityindex(SSI)

Ifseveralmonitorcon igurationshavethesameMOI values,thenintheevaluationstepofmonitorplace‐ment,theuseofanotherindex,whichiscalledthe SagSeverityIndex(SSI),willbenecessary.Thisindex signi iestheseveritylevelofaparticularbusregarding voltagesagwhereanyfaultthathappensatthisbus willmakeaseriousdropinvoltagemagnitudeinmost busesofthesystem.

Thus,itisneededtocalculatetheseveritylevel (SL) irst.TheSListhetotalnumberofphasesfaced withvoltagesags(NSPB)withmagnitudesbelowt p.u.consideringthenumberofphasesintotalforthe system(NTPB)theSLisextractedasbelow[23]:

Finally,theSSIisdeterminedbyweightingcoef‐icientswhichappliedfordifferentseveritylevels.It isnotablethatthelowesttvalueisappointedwith themaximumweightingfactorandviceversa.Inthis study, ivethresholdsareconsidered;0.1,0.3,0.5,0.7 and0.9p.u.

Finally,thecomputedSSIvaluemustbestoredin amatrixformwherethematrixcolumniscorrelated tothebusnumber,andthematrixrowiscorrelated tothetypeoffault(F).AhighervalueofSSIindi‐catesabetterplacementofthemonitor.Thehighest valueofSSIataparticularbusimpliesthatthebus isthemostin luentialbusthatcausesvoltagesagin apowersystem,andtherefore,thisbusneedstobe givenpriorityininstallingaPQMcomparedtoother buseswithlowerSSIvalues.Inordertocombinethe MOIandSSIindices,bothofthemshouldhavesame optimalcriteriaofeithermaximumorminimum.In ourstudy,theSSImatrixshouldberevisedtoconclude minimumvalueinoptimizationasthecaseofMOI.It isworthtonotethatthehighestvalueofSSImatrix elementsisequalto1.SO,thesuitableindexcanbe extractedbytheuseofcomplementarymatrixofSSI. Asaresult,anegativeseveritysagindex(NSSI)ispro‐posedtoassessthebestplacementofPQMs.TheNSSI canbedeterminedbymultiplyingofcomplementary ofSSImatrixwithtransposedMPvectorwithconsid‐eringthenumberoffaulttypes(NFT)asexpressed follows[9].ThenalowerNSSIvalueconcludesabetter organizationofPQMs.

Sincethethreementionedobjectivefunctionshave thesameoptimalcriteria,withcombinationofthem, thesingleobjectivefunctionforminimizationofthe proposedproblemisextractedasfollows:

=(NRM∗MOI)+NSSI (11)

4.3.OptimizationConstraint

Theonlyoptimizationconstraintinthisproblem isthatthemonitoringtimesofthespeci icfaultpoint mustnotbezero.Itisimportanttonotethatthe numberofmonitorsthatcandetectvoltagesagsdueto afaultataparticularbuscanbeobtainedbythemul‐tiplicationoftheTMRAmatrixbythetransposedMP matrix.Sohisconstraintisformulatedasfollows[22]:

JournalofAutomation,MobileRoboticsandIntelligentSystems VOLUME17,N∘ 42023
ïżœïżœïżœïżœ(ïżœïżœ)=
N
n
SLt = ∑NSPB ∑NTPB (8)
SSIF = 1 15 5 k=1 k∗SL 1 2k 1 10 (9)
NSSI= ∑[(1 SSI)∗MPT] NFT (10)
f
N i=1 TMRA(n,i)∗MP(i)≄1 ∀n(12) 32

5.ShuffledFrog‐LeapingAlgorithm

5.1.ClassicalApproach

TheSFLAwasoriginallyintroducedasa population‐basedmeta‐heuristicbyM.Eusuff andK.Lansey[24].Thisalgorithmisinspiredbythe frog’slifeasagroupwhenthefrogsareinsearchof food.Ashuf lingstrategyprovidesthemechanism toexchangeinformationbetweenlocalgroupsfor thepurposeofmovingthesolutiontowardsaglobal optimum[25].ThetermfroginSFLAissimilarto chromosomeinGeneticAlgorithm(GA)orparticlein ParticleSwarmOptimization(PSO)approach.InSFL, thepopulationofthefrogs(solutions)isdividedinto differentgroupsreferredtoas memeplexes

Thestepsofthealgorithmareasfollows:

Initializingthepopulation: Createaninitialpopula‐tionof P frogsgeneratedrandomly,P={X1,X2,
,XP} whichfor z‐dimensionalproblems(z variables),the positionof ith froginthesearchspaceisrepresented asxïżœïżœ =[xi,1,xi,2,
,xi,z].A itnessfunctionisde inedto evaluatethefrog’sposition.Thefrogsarethensorted indescendingorderinaccordancewiththeir itness.

Partitionfrogsintomemeplexes: Dividethefrogs into mïżœïżœ memeplexeseachholding nïżœïżœ frogssuchthat ïżœïżœ=ïżœïżœïżœïżœ Ă—ïżœïżœïżœïżœ.Thedivisionisdonewiththe irstfrog goingtothe irstmemeplex,thesecondonegoingto thesecondmemeplex,the iïżœïżœïżœïżœ froggotothe iïżœïżœïżœïżœ meme‐plexandthe (i+1)ïżœïżœïżœïżœ frogbacktothe irstmemeplex.

Localexploration: Inthisstep,aprocessisappliedto improveonlythefrogwiththeworst itness(notall frogs)ineachcycle.Foreachmemeplex k,thefrogs withthebestandworst itnessareidenti iedas xïżœïżœïżœïżœïżœïżœïżœïżœ,ïżœïżœ and xïżœïżœïżœïżœïżœïżœïżœïżœïżœïżœ,ïżœïżœ respectively.Also,thefrogwiththeglobal best itness xïżœïżœïżœïżœïżœïżœïżœïżœïżœïżœ isidenti iedamongallthememe‐plexes.Forthememeplex k atthetimeoriteration t,theworstfrog xïżœïżœïżœïżœïżœïżœïżœïżœïżœïżœ,ïżœïżœ leapstowardthebestfrog xïżœïżœïżœïżœïżœïżœïżœïżœ,ïżœïżœ andthepositionoftheworstfrogisupdated basedontheleapingrule,asfollows:

xt worst,k =xt−1 worst,k +dt k (13)

dt k =rand(xt 1 best,k xt 1 worst,k) (14)

Where t isthecurrentiterationnumberand dïżœïżœ = [dk,1,dk,2,dk,3,
,dk,z]with âˆ’ïżœïżœïżœïżœïżœïżœïżœïżœ â‰€ïżœïżœïżœïżœ,ïżœïżœ â‰€ïżœïżœïżœïżœïżœïżœïżœïżœ, which Dïżœïżœïżœïżœïżœïżœ isthemaximumallowedchangeoffrog’s positioninonejump.Ifthisprocessproducesabet‐tersolution,itisreplacedfortheworstfrog.Oth‐erwise,thecalculationsinequations(13)and(14) arerepeatedbutwithrespecttotheglobalbestfrog (i.e. xïżœïżœïżœïżœïżœïżœïżœïżœ,ïżœïżœ isreplacedby xïżœïżœïżœïżœïżœïżœïżœïżœïżœïżœ).Ifnoimprovement ispossible,thenanewsolutionisrandomlygener‐atedtoreplacetheworstfrog.BasedonFigure6,the evolutionprocessiscontinuedforaspeci icnumber ofiterations[30].ThestepsofFigure 6 arelistedas follows:

‐ Continuethecalculationofstep3foraspeci icnum‐berofiterations

‐ Reshuf iethefrogsandsortthemagain.

‐ Returnbacktostep2,iftheterminationcriterionis notmet,elsestop.

Accordingly,themainparametersofSFLare:num‐beroffrogs, P;numberofmemeplexes mïżœïżœ;numberof frogsineachmemeplex, nïżœïżœ;numberofgenerationsfor eachmemeplexbeforeshuf ling, g;numberofshuf‐lingiterations;numberofshuf lingiterations, tïżœïżœïżœïżœïżœïżœ InFigure 7,the lowchartoflocalsearchasapartof Figure6,ispresented.

JournalofAutomation,MobileRoboticsandIntelligentSystems VOLUME17,N∘ 42023
LocalSearchIntoEachM Yes No
Figure6. FlowchartoftheBSFLalgorithm
33

5.2.BinaryShuffledFrog‐LeapingAlgorithm(BSFLA)

Indiscretebinarysearchspace,everypositionvec‐torcantakeonly0or1.Themovementmeansthat thecorrespondingvariablevaluechangesfrom0to 1orviceversa.Inordertoproposeabinaryversionof theSFL,itisrequiredtomodifythesomefundamental conceptsofSFL.Theleapingruleofthefrogsmaybe consideredsimilartothecontinuousalgorithm(11).

Figure8. Probabilityfunction

ThemainaspectthatdistinguishesthebinarySFL (BSFL)fromclassicalSFListhatinthebinaryversion, themakingupdateoftheworstpositionmeansthe switchingbetween‘0’and‘1’values.Thisswitching shouldbeperformedinaccordwiththeleapingrule. Theideaistomakethepositionupdateinsucha waythattheBSFLchangesthecurrentbitwitha probabilityvaluewhichisdeterminedinaccordwith theleapingrule.Thismeansthat,BSFLupdatesthe leapingruleandconsidersthenewworstpositionto beeither1or0withagivenprobability.Tointroducea suitabletransferfunctiontomakearelationbetween theleapingruleandtheprobabilityupdatingofworst position,twobasicconceptsmustbeconsidered.

†Whenthecurrentpositionoftheworstsolution isnotpropersoagreatabsolutejumpisneededto arrivethebestpositionandasaresultchangingthe positionoftheworstsolutionmustbeprovidedwith ahighprobability.

†Whenthecurrentpositionoftheworstsolution isclosetothebestpositionsoasmallabsolutejumpis neededtogetthebestpositionandasaresultchang‐ingthepositionoftheworstsolutionmustbeprovided withalowprobabilityclosetozero.Thusconsidering abovepoints,forasmall|dt k|,theprobabilityofmove‐mentxworst,kmustbenearzeroandforalarge|dt k| theprobabilityofchangingxworst,kmustbehigh.To overcomethisproblemthefunctionS(dt k) basedon absolute“tanh”transformationtothecomponentof absolutejumpispresentedasfollows[26].

S(dt k)squashesabsolutejumpintotherangeof[0,1] andincreaseswithincreasing |dt k| asshowninFig‐ure8.OnceS(dt k)iscomputed,themovementoffrogs willbedoneasfollows:

Togetapleasantconvergencerate,thefrogsjump mustlimitas |dt k|≀ Dmax whichbasedonexperi‐ments,Dmax isbettersettobe6.

JournalofAutomation,MobileRoboticsandIntelligentSystems VOLUME17,N∘ 42023 No End Is No Yes t≀g Yes k≀m No Yes
Figure7. Flow‐chartofthelocalsearchintoeach memeplex
ïżœïżœ(ïżœïżœïżœïżœ ïżœïżœ)=|tanh(ïżœïżœïżœïżœ ïżœïżœ)|=
ïżœïżœ|)−1
ïżœïżœ ïżœïżœ|)+1
exp(2|ïżœïżœïżœïżœ
exp(2|ïżœïżœ
(15)
1∶ie.→xt worst,k =xt−1 worst,k +dt k ïżœïżœïżœïżœïżœïżœïżœïżœïżœïżœïżœïżœ<ïżœïżœ(ïżœïżœïżœïżœ ïżœïżœ) 0∶ie.→xt worst,k =xt−1 worst,k elase
(16)
34

5.3.BSFLAforOptimalPQMPlacement

UsingtheBSFLA,analgorithmfortheoptimal placementofPQMscanbeobtained:

Step1: Power lowandshortcircuitanalysesare implemented.

Step2: SLiscalculated,andanSSImatrixis formed.TheMRAmatrixisconstructedsimultane‐ouslybasedontheshortcircuitresults.

Step3: The T matrixisdevelopedfromthenet‐workcon iguration,andtheTMRAmatrixiscon‐structed.

Step4: AllentriesoftheMPvectors(frog’sposi‐tions,xij)inthesystemarerandomlyinitialized.

Step5: IftheMPvectorsdon’tful illthementioned constraints,theentriesofeachMPvectoraremanipu‐latedtoful illtheconstraints.

Step6: AllthePQMplacementevaluationindices, namely,NRM,MOI,andNSSI,areobtained.

Step7: TheperformanceofeachMPvectoriseval‐uatedwiththeformulatedobjectivefunction(f )based ontheobtainedindices.The itnessvaluesforeach frog, fïżœïżœ(t),arerecorded.

Step8: Thefrogsarethensortedindescending orderinaccordwiththeir itness.

Step9: Partitioningfrogsintomemeplexeswas performedusingdividethefrogsinto mïżœïżœ memeplexes eachholding nïżœïżœ frogs.

Step10: Localexplorationasaprocessisapplied toimproveonlythefrogwiththeworst itness(notall frogs)ineachcycleandthepositionoftheworstfrog isupdatedbasedontheleapingrule.

Step11: EachMPvectortoanewpositionis updatedwithcriteriapresentedin(Eq. 13)and (Eq.14).

Step12: Steps5–12arerepeateduntilconver‐genceisobtained,wherethebest itnessvalueisequal totheworst itnessvalue.Uponconvergence,the optimalPQMplacementisobtained.

TheoverallprocedureintheoptimalPQMplace‐mentmethodusingBSFLAisshownina lowchartin Figure9.

6.SimulationandResults

TheIEEE34Bustestsystemisanunbalanceddis‐tributionsystem.Thesystemconsistsof34nodes interconnectedby34linesandthetestsystemdatais providedin[27].TheFVanalysisresultsinamatrix andisextractedwiththeproposedmethodinaDIGSI‐LENTenvironmentasindicatedinFigure10

AlltheoptimizationparametersofBSFLAarestan‐dardizedwherenumberoffrogs,P;numberof memeplexes mp;numberoffrogsineach memeplex,nf;num‐berofgenerationforeach memeplex beforeshuf ling g;numberofshuf lingiterations;numberofshuf ling iterationstmax.Theselectedparametersare:P=60, mp=10,nf=6,g=5andtmax=50respectively.Inthis paper,thebestvaluesfortheaforementionedparam‐etersareobtainedbyrunningtheBSFLAalgorithm 100times.

Table 1 showstheoptimalnumberofPQMsand thecomputationaltimesintheIEEE34BUSsystemat different ïżœïżœ valuesbyBSFLAandarecomparedwith QBPSOandAQBPSOby[20]tovalidatetheoptimal solutions.Ascanbeseeninthistable,intermsofcom‐putationaltime,theBSFLAisfasterthantheQBPSO

JournalofAutomation,MobileRoboticsandIntelligentSystems VOLUME17,N∘ 42023
Yes Manipulatefrog’sposition No partitionfrogsinto memeplexeswasperformed Yes No
Figure9. ImplementationofBSFLAforoptimalPQM placement Figure10. ShortcircuitanalysisintheDIGSILENT environmenttoformFVmatrix
35

Table1. TheoptimalnumberofPQMsandelapsedtimeon34Bussystematdifferent ïżœïżœ values

Table2. TheoptimalarrangementofPQMswithoptimalfitnessvaluesatdifferent ïżœïżœ values

andaswellasAQBPSOasthe ïżœïżœ valuedecreases. Althoughfortheïżœïżœvaluegreaterthan0.55perunit,the computationaltimesbyQBPSOandAQBPSOarecom‐parable;howeverbydecreasingtheïżœïżœvalue,thecom‐putationaltimesbyBSFLAisuniformityincreased.

Table2showstheoptimalPQMplacementatopti‐malbusesofthesystemofBSFLAwithrelatedoptimal itnessvalue,and inally,resultsarecomparedwith AQBPSOandQBPSOby[20]tovalidatetheresult. Theresultsshowedthatthebuslocationsforplacing thePQMsinthe34Bussystemarenearlysimilarfor BSFLAandbothAQBPSOandQBPSO.

Theterm‘N.R’inTable 2 meansthatthecor‐respondingvalueisnotreportedbythatreference.

Table3showstheperformancesofvariousalgorithms intermsofconvergencerateandqualityofsolution afterperforming20runsat ïżœïżœ=0.25.Ascanbe

Figure11. Thebestperformancecharacteristicsof BSFLA,AQBPSOandQBPSOinsolvingPQMplacement for34Bussystemwhen ïżœïżœ=0.85

seenintheTable,allmethodshaveobtainedasame optimalsolution.However,BSFLAshowsgoodopti‐malsolutioninaverageandmoreaccuratebasedon rangeofsuboptimalsolutionsbetweenthebestand theworstvaluesasindicatedbytheaveragevalues incomparedwithAQBPSOandQBPSOby[20].Based onthestandarddeviation(ïżœïżœ),allofthealgorithms provideaprecisesolution.Intermsofcomputational times,BSFLAisfasterthanAQBPSOandismuchfaster thanQBPSO.TheresulthasalsoillustratedthatBSFLA convergefasterthanAQBPSOandQBPSOinwhichit hassolvedtheoptimizationproblemin6iterations comparedtotheAQBPSOin7iterationsandQBPSO in8iterations.

JournalofAutomation,MobileRoboticsandIntelligentSystems VOLUME17,N∘ 42023
ïżœïżœ value BSFLA QBPSO[20] AQBPSO[20] NumberPQMs ElapsedTime(s) NumberPQMs ElapsedTime(s) NumberPQMs ElapsedTime(s) 0.85 3 1.521 3 1.15 3 2.723 0.75 3 1.742 3 1.39 3 2.782 0.65 4 2.107 4 1.63 4 2.762 0.55 5 2.222 5 3.09 5 3.265 0.45 6 2.413 6 4.38 6 3.513 0.35 8 2.541 8 17.13 8 3.786 0.25 9 2.742 9 87.47 9 3.878
ïżœïżœ BSFLA QBPSO[20] AQBPSO[20] Placement(bus) ofPQMs Average Fitnessvalue Placement(bus) ofPQMs Average Fitnessvalue Placement(bus) ofPQMs Average Fitnessvalue 0.85 800,808,832 10.18 800,808,832 N.R 800,808,832 N.R 0.75 800,812,846 11.54 800,812,846 N.R 800,812,846 N.R 0.65 800,808,814,888 12.98 800,808,814,888 N.R 800,808,814,888 N.R 0.55 800,808,814, 852,890 14.72 800,808,814, 852,890 N.R 800,808,814, 852,890 N.R 0.45 800,808,812, 832,850,890 16.76 800,808,812, 832,850,890 N.R 800,808,812, 832,850,890 N.R 0.35 800,808,812, 822,848,850, 854,890 17.18 800,808,812, 822,848,850, 854,890 N.R 800,808,812, 822,848,850, 854,890 N.R 0.25 800,808,814,822, 832,848,850, 854,890 21.62 N.R 23.16 N.R 23.01
Item Worst Average Best Standard deviation BSFLA Fitness 21.65 21.62 21.58 0.241 Iteration 83 13.43 6 13.89 Time(s) 3.121 2.887 2.742 0.265 QBPSO Fitness 26.10 23.16 23.01 0.692 [20] Iteration 30 13.15 8 5.669 Time(s) 182.03 111.98 76.35 34.59 AQBPSO Fitness 23.01 23.01 23.01 0.000 [20] Iteration 72 15.85 7 13.89 Time(s) 3.991 3.956 3.896 0.210
Table3. PerformanceofBSFLAandotherreferenceson 34Bussystemfor ïżœïżœ at0.25P.U
36

Figure 11 showsthebestcharacteristicofeach algorithminobtainingoptimalsolutionfortheIEEE 34Bussystemwhen ïżœïżœ=0.85.Accordingtothis igure,BSFLAhasdemonstratedafasterconvergence thantheAQBPSOwhereasQBPSOgivestheworst performanceintermsofconvergencerate.Although, AQBPSOdoesnotconvergefast,ithasprovidedabet‐teroptimalsolutioninaverageascomparedtoQBPSO.

Hence,BSFLAhasshownthebestperformance oftheoptimizationtechniques,butitdoesnotshow asigni icantdifferentbetweenthemsincethebest obtained itnessvaluesaresame,anditrequirestotest onlargescalesystems.

Inordertofurthervalidatetheplacement,100 faultsatdifferentlocationsarerandomlysimulated. Fromall100simulatedfaults,60%singlephasefaults, 30%twophasefaultsand10%threephasefaults areconsidered.ThePQMswillbetriggeredifone ofthephasevoltagemagnitudesdropsdowntothe thresholdlevel0.75,andtheeventwillberecorded bytheparticularPQM.Table 4 showsasummaryof thefaultdetectionactivityby3PQMsatthesuggested locations.Accordingtothetable,for ïżœïżœ=0.75,all thesimulatedfaultsaredetectedandrecordedbyat least1PQM.Inotherwords,referringtotheresults inTable 4,foralphaequals0.75,novoltagesagwas incorrectlymonitored,whereasforalphaequals0.85, 5twovoltagesagswereincorrectlymonitored.Forthe voltagesagsmonitoredbythreePQMs,20faultsthat resultedinvoltagesagsweremonitoredmorethan onceatïżœïżœ=0.75,whereas10faultsweremonitoredat ïżœïżœ=0.85.However,amoreaccuratePQMmonitoring ofvoltagesagsisachievedatïżœïżœ=0.75comparedwith ïżœïżœ=0.85.Thus,itisproventhattheobtainedPQM placementsarecapableofobservingandcapturing anyfaultoccurrenceinthewholesystem.

7.Conclusion

Inthispaper,duetothediscretebinarysearch spacenatureforPQMsplacement,inwhicheveryposi‐tionvectorcantakeonly0or1,thebinaryversion oftheshuf ledfrog‐leapingalgorithm,BSFLA‐based method,wasintroduced.Theabsolute“tanh”trans‐formationtothecomponentoftheabsolutejumpis presentedandsquashesabsolutejumpintotherange of[0,1].Theobjectivefunctionbaseontheminimum numberofPQMs,alongwiththeminimizingmonitor overlappingindexandthemaximizingsagseverity index,isformulatedandoptimizedusingBSFLA.In thispaper,theresultsofshortcircuitanalysisusing DIGSILENTsoftwareareimportedtotheoptimization mediathatishandledbyBSFLA.Thealgorithmwas appliedtoIEEE34BUSunbalanceddistributionsys‐tem.Fordifferentvoltagesagthresholds,theoptimal

numberandcon iguration,aswellastheMOIand SSIindices,areanalyzed.Theeffectofthethreshold ofthevoltagesagsontheMOIandSSIindicesare evaluated.Thus,thelowerthethresholdofthevoltage sags,thesmallertheMOIandthehigherthenum‐berofmonitorsrequired,whichavoidsoverlappingin themonitoringscheme.Whenthevoltagethreshold reducesfrom0.85to0.25,theMOIindexdecreases from1.132to1.004.

AlsoFitnessvalues,convergencetimeanditer‐ationnumbersaredeterminedandcomparedwith QBPSOandAQBPSO,whichwereutilizedinprevious studies.ResultsdepictthatBSFLAproducesthebest solutioncomparedtotheotheroptimizationmethods. OtheradvantagesofBSFLAincludefastconvergence, smallruntime,capabilityof indingglobaloptimum andnearlyzerostandarddeviation.

AUTHORS

AshkanDoustMohammadi –Department ofElectricalEngineering,BorujerdBranch, IslamicAzadUniversity,Borujerd,Iran,e‐mail: ashkan.doustmohammadi@gmail.com.

MohammadMohammadi∗ –Department ofElectricalEngineering,BorujerdBranch, IslamicAzadUniversity,Borujerd,Iran,e‐mail: mohammadi.m.84@gmail.com.

∗Correspondingauthor

References

[1] A.Rohani,M.Abasi,A.Beigzadeh,M.Joorabian, andG.B.Gharehpetian.“Bi‐levelpowermanage‐mentstrategyinharmonic‐pollutedactivedistri‐butionnetworkincludingvirtualpowerplants,” IETRenewablePowerGeneration,vol.15,no.2, pp.462–476,2021,doi:10.1049/rpg2.12044.

[2] A.Kazemi,A.Mohamed,H.Shareef,andH.Zayan‐dehroodi.“Areviewofpowerqualitymonitor placementmethodsintransmissionanddistri‐butionsystems,” PrzeglÂčdelektrotechniczny,vol. 89,no.3A,pp.185–188,2013.

[3] D.J.Won,I.Y.Chung,J.M.Kim,S.I.Moon,J.C.Seo, andJ.W.Choe.“Anewalgorithmtolocatepower‐qualityeventsourcewithimprovedrealization ofdistributedmonitoringscheme,” IEEEtransactionsonpowerdelivery,vol.21,no.3,pp.1641–1647,2006,doi:10.1109/TPWRD.2005.858810.

[4] D.J.WonandS.I.Moon.“OptimalNumberand LocationsofPowerQualityMonitorsConsid‐eringSystemTopology,” IEEEtransactionson powerdelivery,vol.23,no.1,pp.288–295,2008, doi:10.1109/TPWRD.2007.911126.

[5] M.A.Eldery,E.F.El‐Saadany,M.M.A.Salama, andA.Vannelli.“Anovelpowerqualitymonitor‐ingallocationalgorithm,” IEEEtransactionson powerdelivery,vol.21,no.2,pp.768–777,2006, doi:10.1109/TPWRD.2005.864045.

JournalofAutomation,MobileRoboticsandIntelligentSystems VOLUME17,N∘ 42023
NumberofPQMdetectingfault Total Accuracy ïżœïżœ NoPQM 1PQM 2PQM 3PQM 0.75 0 5 75 20 100 100% 0.85 2 8 80 10 100 98%
Table4. FaultdetectionbythesuggestedPQM
37

[6] N.N.Kuzjurin.“Combinatorialproblemsofpack‐ingandcoveringandrelatedproblemsofinteger linearprogramming,” Journalofmathematical sciences(NewYork,N.Y.),vol.108,no.1,pp.1–48, 2002,doi:10.1023/A:1012778715468.

[7] M.A.Eldery,F.El‐Saadany,andM.M.A.Salama. “Optimumnumberandlocationofpowerqual‐itymonitors,”in 200411thInternationalConferenceonHarmonicsandQualityofPower(IEEE Cat.No.04EX951),Sep.2004,pp.50–57.doi: 10.1109/ICHQP.2004.1409328.

[8] A.Kazemi,A.Mohamed,andH.Shareef.“Anew powerqualitymonitorplacementmethodusing themultivariableregressionmodelandstatisti‐calindices,” INTERNATIONALREVIEWOFELECTRICALENGINEERING-IREE,vol.6,no.5,pp. 2530–2536,2011.

[9] A.Kazemi,A.Mohamed,andH.Shareef.“Anovel PQMplacementmethodusingCpandRpsta‐tisticalindicesforpowertransmissionanddis‐tributionnetworks,”in 2012IEEEInternational PowerEngineeringandOptimizationConference Melaka,Malaysia,Jun.2012,pp.102–107.doi: 10.1109/PEOCO.2012.6230843.

[10] A.Kazemi,A.Mohamed,H.Shareef,andH.Zayan‐dehroodi.“Animprovedpowerqualitymonitor placementmethodusingMVRmodelandcom‐bineCpandRpstatisticalindices,” PrzeglÂčdelektrotechniczny,vol.88,no.8,pp.205–209,2012.

[11] A.Kazemi,A.Mohamed,H.Shareef,andH.Zayan‐dehroodi.“Optimalpowerqualitymonitorplace‐mentusinggeneticalgorithmandMallow’sCp,” Internationaljournalofelectricalpower&energy systems,vol.53,no.1,pp.564–575,2013,doi: 10.1016/j.ijepes.2013.05.026.

[12] A.Kazemi,A.Mohamed,H.Shareef,andH. Raihi.“OptimalPowerQualityMonitorPlace‐mentUsingGACpMethodforDistributionNet‐work,”2013.Accessed:Jan.17,2024.[Online]. Available: https://www.semanticscholar.or g/paper/Optimal‐Power‐Quality‐Monitor‐Placement‐Using‐GACp‐Kazemi‐Mohamed/d6 9169ce58deabed3ff868c3bb5e70a11038797b

[13] G.OlguinandM.H.J.Bollen.“Optimaldips monitoringprogramforcharacterizationof transmissionsystem,”in 2003IEEEPower EngineeringSocietyGeneralMeeting(IEEECat. No.03CH37491),Jul.2003,pp.2484‐2490Vol.4. doi:10.1109/PES.2003.1271033.

[14] A.A.Ibrahim,A.Mohamed,H.Shareef,andS.P. Ghoshal.“Optimalplacementofvoltagesagmon‐itorsbasedonmonitorreachareaandsagsever‐ityindex,”in 2010IEEEStudentConferenceon ResearchandDevelopment(SCOReD),Dec.2010, pp.467–470.doi:10.1109/SCORED.2010.5704 055.

[15] M.HaghbinandE.Farjah.“Optimalplacement ofmonitorsintransmissionsystemsusingfuzzy boundariesforvoltagesagassessment,”in 2009

IEEEBucharestPowerTech,Jun.2009,pp.1–6. doi:10.1109/PTC.2009.5281883.

[16] W.Hong,L.Dan,H.Wenqing,andD.Yuxing.“Opti‐malallocationofpowerqualitymonitorsbased onanimprovedadaptivegeneticalgorithm,”pre‐sentedatthe2015JointInternationalMechani‐cal,ElectronicandInformationTechnologyCon‐ference(JIMET‐15),AtlantisPress,Dec.2015,pp. 774–785.doi:10.2991/jimet‐15.2015.145.

[17] A.A.Ibrahim,A.Mohamed,andH.Shareef.“Opti‐malplacementofpowerqualitymonitorsindis‐tributionsystemsusingthetopologicalmoni‐torreacharea,”in 2011IEEEInternationalElectricMachines&DrivesConference(IEMDC),May 2011,pp.394–399.doi:10.1109/IEMDC.2011.5 994627.

[18] A.A.Ibrahim,A.Mohamed,H.Shareef,andS.P. Ghoshal.“Optimalpowerqualitymonitorplace‐mentinpowersystemsbasedonparticleswarm optimizationandarti icialimmunesystem,”in 20113rdConferenceonDataMiningandOptimization(DMO),Jun.2011,pp.141–145.doi: 10.1109/DMO.2011.5976518.

[19] A.A.Ibrahim,A.Mohamed,H.Shareef,andS. P.Ghoshal.“Aneffectivepowerqualitymonitor placementmethodutilizingquantum‐inspired particleswarmoptimization,”in Proceedingsof the2011InternationalConferenceonElectrical EngineeringandInformatics,Jul.2011,pp.1–6. doi:10.1109/ICEEI.2011.6021845.

[20] A.A.Ibrahim,A.Mohamed,andH.Shareef.“A novelpowerqualitymonitorplacementmethod usingadaptivequantum‐inspiredbinaryparti‐cleswarmoptimization,” RenewableEnergyand PowerQualityJournal,vol.1,no.10,pp.50–56, Apr.2012,doi:10.24084/repqj10.212.

[21] M.Abasi,A.T.Farsani,A.Rohani,andM.A.Shi‐ran.“ImprovingDifferentialRelayPerformance duringCross‐CountryFaultUsingaFuzzyLogic‐basedControlAlgorithm,”in 20195thConferenceonKnowledgeBasedEngineeringandInnovation(KBEI),Feb.2019,pp.193–199.doi: 10.1109/KBEI.2019.8734991.

[22] G.Olguin,F.Vuinovich,andM.H.J.Bollen.“An optimalmonitoringprogramforobtainingVolt‐agesagsystemindexes,” IEEETransactionson PowerSystems,vol.21,no.1,pp.378–384,Feb. 2006,doi:10.1109/TPWRS.2005.857837.

[23] A.A.Ibrahim,A.Mohamed,H.Shareef,andS. P.Ghoshal.“Anewapproachforoptimalpower qualitymonitorplacementinpowersystemcon‐sideringsystemtopology,” PrzeglÂčdelektrotechniczny,vol.88,no.9A,pp.272–276,2012.

[24] M.Eusuff,K.Lansey,andF.Pasha.“Shuf ledfrog‐leapingalgorithm:amemeticmeta‐heuristic fordiscreteoptimization,” EngineeringOptimization,vol.38,no.2,pp.129–154,Mar.2006,doi: 10.1080/03052150500384759.

JournalofAutomation,MobileRoboticsandIntelligentSystems VOLUME17,N∘ 42023
38

[25] M.M.EusuffandK.E.Lansey.“Optimization ofWaterDistributionNetworkDesignUsing theShuf ledFrogLeapingAlgorithm,” Journal ofWaterResourcesPlanningandManagement, vol.129,no.3,pp.210–225,May2003,doi: 10.1061/(ASCE)0733‐9496(2003)129:3(210).

[26] M.BaratiandM.M.Farsangi.“Solvingunitcom‐mitmentproblembyabinaryshuf ledfrogleap‐ingalgorithm,” IETGeneration,Transmission& Distribution,vol.8,no.6,pp.1050–1060,2014, doi:10.1049/iet‐gtd.2013.0436.

[27] U.H.Ramadhani,R.Fachrizal,M.Shepero, J.MunkhammarandJ.Widen.“Probabilistic load lowanalysisofelectricvehiclesmart charginginunbalancedLVdistributionsystems withresidentialphotovoltaicgeneration,” SustainableCitiesandSociety,vol.72,Sep.2021, 103043,doi:10.1016/j.scs.2021.103043.

JournalofAutomation,MobileRoboticsandIntelligentSystems VOLUME17,N∘ 42023
39

LYAPUNOV‐LASALLEBASEDDYNAMICSTABILIZATIONFORFIXEDWINGDRONES LYAPUNOV‐LASALLEBASEDDYNAMICSTABILIZATIONFORFIXEDWINGDRONES LYAPUNOV‐LASALLEBASEDDYNAMICSTABILIZATIONFORFIXEDWINGDRONES

Submitted:2nd March2022;accepted:20th March2023

DOI:10.14313/JAMRIS/4‐2023/29

Abstract:

ThemarketofUnmannedAerialVehicles(UAVs)forcivil applicationsisextensivelygrowing.Indeed,theseair‐planesarenowwidelyusedinapplicationssuchasdata gathering,agriculturemonitoringandrescue.TheUAVs arerequiredtotrackafixedormovingobject;thus,track‐ingcontrolalgorithmsthatensurethesystemstability andthathaveaquicktimeresponsemustbedeveloped. Thispapertacklestheproblemofsupervisingafixed targetusingafixedwingUAVflyingataconstantaltitude andaconstantspeed.Forthatpurpose,threecontrol algorithmsweredeveloped.Inallofthealgorithms,the UAVisexpectedtohoveraroundthetargetinacircular trajectory.Moreover,thethreeapproachesarebased uponaLyapunov‐LaSallestabilizationmethod.Thefirst trackingalgorithmensuresthattheUAVcirclesaround thetarget.However,thepaththattheUAVfollowsin ordertojointhispatternisnotstudied.Inthesecondand thirdapproach,twodifferenttechniquesthatallowthe UAVtointerceptitsfinalcircularpatterninthequickest possibletimeandthusfollowthetangenttothecircular patternarepresented.Simulationresultsthatshowand comparetheperformancesoftheproposedmethodsare presented.

Keywords: UAV,Stabilisation,Lyapunov‐LaSalle

1.Introduction

UnmannedAerialVehicles(UAVs)arenowwidely usedinnumerouscivilapplicationsincludingfor searchandrescue,humanoranimalsurveillance,agri‐cultureandindustrialmonitoring, ire ighting,etc.For thesepurposesmanytypesofUAVaredeveloped, suchasMulti‐Rotordrones,SingleRotorHelicopters, ixedwingdronesandhybridVTOL(VerticalTake‐OffandLanding).SingleandMulti‐rotorUAVsbene it frombeingeasytomanufacture,relativelycheapand easytocontrol.ThesetypesofUAVscantake‐offand landverticallyandcan lywithaspeedequaltozero. However,theysufferfromsomedisadvantages,infact, theseUAVsarerelativelyslow(limitedspeedrange), theyhavelimited lyingtimeandrange,theyarenot ef icientastheyspendahugeamountofenergyto ightgravityand inallytheyhavealimitedpayload. Fixedwingdronesaretotallydifferentinthesense theybene itfromhavingalong lyingtime,longrange, highef iciencyandhighervelocitybutsufferfrom beinghardtocontrol.Indeed,theseairplanesstallat lowspeedandthusareusuallycontrolledby ixingor minimallyvaryingtheirlinearspeed.

Finally,hybridVTOLcombinesthebene itsof singleandmulti‐rotorUAVsalongwith ixedwing dronesbutsufferfrombeingexpensiveandhardto manufacture.

InalmostallUAVapplications,theobjectiveisto tracka ixedormovingtarget.Thispaperfocuses on ixedtargettrackingalgorithmsusing ixedwing UAVsforlongrange, ixedaltitudeapplications.The dronesusedinsuchapplicationsarealsocalledHigh AltitudeLongEndurance(HALE)typeUAVswith ixed wings.Since,asmentionedpreviously,theseUAVs couldnotdropbelowaminimumlinearspeed.Thus, thecontroltrackingalgorithmsappliedtotheseair‐planesarechallenging.Infact,unlikesingleandmulti‐rotordrones, ixedwingsUAVsarenotcapableof reachingandmaintainingthetarget’sposition.Thus, thesedronesshouldfollowaspeci icpathinorder totrackthenhoveraroundthetarget.Consequently, pathplanningandre‐planningbasedtrackingcontrol algorithmsareused[8,14].

Themodelusedinthisarticleisinspiredbythe Dubinsmodel[12, 24]and[9].Ithasbeenexten‐sivelystudiedforthemodelingofvehiclesand ixed wingdrones,especiallyinregardstotrajectoryopti‐mality[2, 7, 18]and[16].Theauthorsin[1, 4, 22] and[21]provideareviewofUAVpathplanningandre‐planningtrackingalgorithms.In[5]and[3],theprob‐lemofdynamicoutputstabilizationofcontrolsystems intheunobservablecasefor ixedwingsdronesis treated.

TheLyapunovmethodhasbeenusedbyseveral authors,indifferentways,suchasin[10,13,15,17] and[19].Lyapunovstrategiespresentedinthelit‐eraturearenotalwayscompletelysmoothandthe inalcurvatureisabitsmallerthanthemaximum curvature.

In[6,18]and[23]theauthorsprovidedadetailed studyofpathplanningUAVtrackingalgorithms usingLyapunov‐LaSallebasedstabilizationandtime‐optimalstabilizingsynthesis.Theproposedmethods havebeenusedtotrackacirclepatternusingaDubins vehicle.

Thepaper[18]presentsthreecontrolalgorithms for ixedtargettrackingusinga ixedwingUAV lying ataconstantaltitudeandaconstantspeedandcom‐paresthemtoaminimum‐timepathplanningalgo‐rithm.Inordertoconsiderthetargetreached,theUAV hastomaintainahoveringpatternaroundthetarget. Theproposedtrackingalgorithmsuseacircleasa hoveringtrajectory.Thiscirclehasthetargetasits center.The irsttrackingalgorithmpresentedherein

2023 © Sawmaetal.ThisisanopenaccessarticlelicensedundertheCreativeCommonsAttribution-Attribution4.0International(CCBY4.0) (http://creativecommons.org/licenses/by-nc-nd/4.0/) VOLUME17,N∘ 42023 JournalofAutomation,MobileRoboticsandIntelligentSystems
JeanSawma,AlainAjami,ThibaultMaillot,JosephelMaalouf
40

isbasedonaLyapunov‐LaSallestabilizationmethod andhasbeenstudiedin[18].Thisresultisgivenforthe self‐consistencyofthispaper.Thismethodensures thattheUAVisreachingandmaintainingthehovering pattern.Inthetwostabilizationmethodspresented herein,theUAVusesthetangenttothecircularpattern asitstrajectoryguidetogettoitsdestination.The performancesoftheproposedmethodsaresimilar; However,thecalculationtechniquesaredifferent.In fact,thesecondtechniqueiscomputedinanewrotat‐ingreferenceframe,whilethethirdoneisperformed inthestationaryreferenceframe.

Therestofthepaperisorganizedasfollows:Sec‐tion 2 presentsthekinematicalmodelofthe ixed wingsUAV.InSection3,thepresentationofthemajor results[18]isexplored.The irsttrackingalgorithm consideredinthispaperandthetime‐optimalsyn‐thesisareusedascomparison.Section 4 presents thesecondandthirdtrackingalgorithms.Simulation resultsandalgorithmscomparisonareaddressedin Section5

2.ProblemUnderConsideration

Thissectiondevelopsthekinematicalmodelofa ixedwingHALEUAVusedhereinforbothsimulation andcontrolpurposes.ThekinematicsofaroughHALE dronearesupposedtobegovernedbythestandard Dubinsequations[11,24]:

Ì‡ïżœïżœ=ïżœïżœ 0 cos(ïżœïżœ) Ì‡ïżœïżœ=ïżœïżœ 0 sin(ïżœïżœ) ïżœïżœ=ïżœïżœ (1)

where (ïżœïżœ,ïżœïżœ,ïżœïżœ)∈ℝ2 Ă—ïżœïżœ1 isthestate. (ïżœïżœ,ïżœïżœ)∈ℝ2 isthedrone’sinertialpositioninaconstantaltitude planeand ïżœïżœ istheyawangle(theanglemadebythe aircraftdirectionwithrespecttotheïżœïżœâ€axis).ïżœïżœ0 ∈ℝ∗is thelinearspeedandïżœïżœâˆˆ[âˆ’ïżœïżœïżœïżœïżœïżœïżœïżœ,ïżœïżœïżœïżœïżœïżœïżœïżœ]isthecontrol drivingUAVkinematics.

Equation(1)expressesthedronesmovementsin the(ïżœïżœ,ïżœïżœ)‐plan.ThealtitudeoftheUAVisconsidered constantthusthealtitudecomponentisomittedin Eq.(1).Moreover,thespeedofthedroneïżœïżœ0 isconsid‐eredconstant.Theboundontheyawangularveloc‐ity(ïżœïżœ)modeledtheUAVkinematicsrestrictiononits turningradius,whichisgivenbyïżœïżœ= ïżœïżœ0 ïżœïżœïżœïżœïżœïżœïżœïżœ

Asmentionedpreviously,inordertotracka ixed point(target),thedronehastohoveraroundthis targetusingacircularpatternofradius ïżœïżœ.This inal circularpatternisdenotedbyïżœïżœandhasthefollowing characteristics:

‐ ïżœïżœcenteristhetarget.

‐ ïżœïżœradiusisïżœïżœ= ïżœïżœ0 ïżœïżœïżœïżœïżœïżœïżœïżœ .

ïżœïżœ couldalsobeseenasthemaximumcurvature patternthatcanbeachievedbytheUAVandcouldbe representedbythefollowingequation:

ïżœïżœ={(ïżœïżœ,ïżœïżœ,ïżœïżœ)âˆŁïżœïżœ=ïżœïżœsinïżœïżœ,ïżœïżœ=âˆ’ïżœïżœcosïżœïżœ}. (2)

3.LyapunovandMinimalPathPlanning

In[18],theauthorsstudiedtwocontrolstrategies fortheproblempresentedpreviously.The irststrat‐egyreliesonaLyapunov‐LaSallestabilizationmethod. Thesecondstrategywasconstructedusingthetime‐optimalcontrolsynthesisfortrackingacirclebya Dubinsvehicule.Inthissection,onlytheprincipal resultsof[18]usedinthispaperareaddressed.

3.1.Lyapunov‐basedStrategy

ThesystemmodeledwithEq.(1)canbesimpli‐iedbywritingitinamoving‐frame.Thisnewframe isstickingtotheUAVandthusrotatingwithit.The systemmodelinthenewmoving‐framecouldbecal‐culatedbyapplyingthefollowingtransformation: = cosïżœïżœ sinïżœïżœ sinïżœïżœ

AndthusthesystemEq.(1)couldberewrittenas:

(3)

(4)

Thesysteminequation(4)possessestwoequilib‐riumpointsfor ïżœïżœ=ïżœïżœmax and ïżœïżœ=âˆ’ïżœïżœmax,namely ïżœïżœ1 =(0,âˆ’ïżœïżœ)andïżœïżœ2 =(0,ïżœïżœ).Theycorrespondtothe targetïżœïżœbeingcirculatedcounter‐clockwiseandclock‐wise,respectively.Inthefollowing,theequilibrium pointïżœïżœ1 isthepointattheendofthemissionwhere theUAVwillhoverïżœïżœ counter‐clockwise.Itshouldbe mentionedthatpointïżœïżœ2 couldalsobechosenwithout modifyingthecontrolalgorithmperformances.

Havingchosen ïżœïżœ1 asanequilibriumpoint,itis possibletoswitchtoanewrotatingreferenceframe (Ì„ïżœïżœ,Ì„ïżœïżœ)wheretheequilibriumpointis(Ì„ïżœïżœ=0,Ì„ïżœïżœ=0) Thetransformationform(Ìƒïżœïżœ,Ìƒïżœïżœ)to(Ì„ïżœïżœ,Ì„ïżœïżœ)isgivenby:

Ì„ïżœïżœ=Ìƒïżœïżœ Ì„ïżœïżœ=Ìƒïżœïżœ+ïżœïżœ (5)

Reachingtheequilibriumpoint (Ì„ïżœïżœ=0,Ì„ïżœïżœ=0) in thisnewrotatingframeisthesameascirclingthe hoveringpattern ïżœïżœ counter‐clockwiseinthe (ïżœïżœ,ïżœïżœ)‐plane.Thesystemmodelcouldbewritteninthenew (Ì„ïżœïżœ,Ì„ïżœïżœ)frameas:

Ì„ïżœïżœ=ïżœïżœ 0 +ïżœïżœÌ„ïżœïżœâˆ’ïżœïżœïżœïżœ Ì„ïżœïżœ=âˆ’ïżœïżœÌ„ïżœïżœ (6)

The ixedtargetthattheUAVshouldtrackiscon‐sideredtobelocatedattheoriginofthe ïżœïżœïżœïżœ ixed referenceframe (ïżœïżœ=0,ïżœïżœ=0).TheUAVstartsits trackingmissionfromaninitialposition(ïżœïżœ=ïżœïżœ0,ïżœïżœ= ïżœïżœ0)andwithaninitialangle(ïżœïżœ=ïżœïżœ0)andhasto ind itspathtointerceptandmaintainacircularhovering patternthathasaradius ïżœïżœ and ïżœïżœïżœïżœ originascenter. SincethespeedoftheUAVisconstantequalto ïżœïżœ0, theonlyparameterthatcouldbemodi iedtomeetthe controlobjectivesis ïżœïżœ= ïżœïżœ,theUAVangularspeed. Itshouldbementionedthat,accordingtoEq.(1),the inputiswithintheinterval[âˆ’ïżœïżœïżœïżœïżœïżœïżœïżœ,ïżœïżœïżœïżœïżœïżœïżœïżœ].

JournalofAutomation,MobileRoboticsandIntelligentSystems VOLUME17,N∘ 42023
cosïżœïżœ ïżœïżœ ïżœïżœ
Ìƒïżœïżœ=âˆ’ïżœïżœÌƒïżœïżœ
Ìƒïżœïżœ=ïżœïżœÌƒïżœïżœ+ïżœïżœ 0
41

Knowingthisinformation,letEq.(7)beaLya‐punovfunctioncandidate.

ïżœïżœ(Ì„ïżœïżœ,Ì„ïżœïżœ)=Ì„ïżœïżœ2 +Ì„ïżœïżœ2 (7)

Afterderiving ïżœïżœ(Ì„ïżœïżœ,Ì„ïżœïżœ) andcombiningitwith Eq.(6),thefollowingequationiscomputed:

ïżœïżœ(Ì„ïżœïżœ,Ì„ïżœïżœ)=2Ì„ïżœïżœ(1âˆ’ïżœïżœïżœïżœ) (8)

Inorderforïżœïżœ(Ì„ïżœïżœ,Ì„ïżœïżœ)tobeaLyapunovfunction,the followingrulesshouldbeapplied:

‐ ïżœïżœ(0,0)=0

‐ ïżœïżœ(Ì„ïżœïżœ,Ì„ïżœïżœ)shouldbepositive.

‐ ïżœïżœshouldbenon‐positive.

The irsttworulesaresatis ied.However,to ensurethethirdoneisveri ied,someconditionson ïżœïżœareneeded.In[18],theauthorsshowedthat,ifthe controlïżœïżœisequaltoaanysmoothfunctionïżœïżœâˆ¶â„2 → [âˆ’ïżœïżœïżœïżœïżœïżœïżœïżœ,ïżœïżœïżœïżœïżœïżœïżœïżœ] thatveri iesEq.(9),then ïżœïżœ isnon‐positive.

ïżœïżœ=ïżœïżœ(Ì„ïżœïżœ,Ì„ïżœïżœ)= ïżœïżœïżœïżœïżœïżœïżœïżœ ifÌ„ïżœïżœâ‰„0 âˆ’ïżœïżœïżœïżœïżœïżœïżœïżœ ≀

ifÌ„ïżœïżœ<0 (9)

Moreover,accordingtoLaSalle’sprincipleand since ïżœïżœ isaproperfunction,allthetrajectoriesof system(6)withfeedbackcontrol ïżœïżœ(⋅) convergeto thelargestinvariantsetcontainedintheset ïżœïżœ= {(Ì„ïżœïżœ,Ì„ïżœïżœ)| ïżœïżœ(Ì„ïżœïżœ,Ì„ïżœïżœ)=0} whichhasbeenprovedin[18] tobetheequilibriumpoint(0,0).Consequently,there existsanexplicitfeedbackcontrolfunction ïżœïżœ(⋅) that hasthefollowingpropriety:thepatternïżœïżœ isaglobal asymptoticallystableattractorfortheclosed‐loopsys‐temasaresultsofapplyingïżœïżœ(⋅).Forexample,wemay considerthefollowingequationwhichsatis ies(9) andsteersasymptoticallysystem(1)toïżœïżœ. ïżœïżœ=

ïżœïżœ ifÌ„ïżœïżœâ‰€âˆ’ïżœïżœ

ïżœïżœmaxâˆ’ïżœïżœ 1+ïżœïżœ1/(ïżœïżœ+ïżœïżœ)+1/ïżœïżœ +ïżœïżœ ifÌ„ïżœïżœâˆˆ(âˆ’ïżœïżœ,0)

ïżœïżœmax ifÌ„ïżœïżœâ‰„0, (10) where ïżœïżœ isapositiverealnumberand ïżœïżœ issuchthat âˆ’ïżœïżœïżœïżœïżœïżœïżœïżœ â‰€ïżœïżœ<ïżœïżœïżœïżœïżœïżœïżœïżœ.

Inotherwords,thefeedbackcontroller(10)turns theUAVwiththeextremalauthorizedcurvatures(ïżœïżœ= ïżœïżœïżœïżœïżœïżœïżœïżœ or ïżœïżœ=ïżœïżœ)whenevertheUAVismovingaway fromthetarget(Ì„ïżœïżœâ‰„0 or Ì„ïżœïżœâ‰€âˆ’ïżœïżœ ).Thus,thedrone willturnuntilitgetsbackontrack.Wheneverthe UAVisontrack,itwillturnwithanangularspeed equalto+ïżœïżœhoppingtogettoits inalcircularpattern withitsminimumturningradius(ïżœïżœ=ïżœïżœïżœïżœïżœïżœïżœïżœ).The UAVangularspeedwillvaryaccordingtoFigure 1 duringthisapproach(when Ì„ïżœïżœâˆˆ[âˆ’ïżœïżœ,0[ )inorderto ensureasmoothtransitionfromïżœïżœ=ïżœïżœïżœïżœïżœïżœïżœïżœ toïżœïżœ=ïżœïżœ andreducethechatteringeffectofthiscontroller.The irsttrackingcontrolalgorithmconsideredhereinis obtainedinapplyingthefeedbackcontrolde inedin Eq.(10).

Inordertoverifytheperformancesofthiscon‐troller,theUAVissimulatedinclosed‐loopusingMAT‐LAB.TheUAVparametersusedinnumericalsimula‐tionsaregiveninTable1,andthecontrolparameters areïżœïżœ=0.2ïżœïżœïżœïżœïżœïżœ/ïżœïżœandïżœïżœ=10ïżœïżœ.

Figure1. Shapeofthefeedbackcontroller ïżœïżœ(Ì„ïżœïżœ,Ì„ïżœïżœ)

Table1. UAVparameters

Figure2. ThepathfollowedbytheUAVusingLaSalle’s principlebasedplanification

ThestartingpositionoftheUAVis(ïżœïżœ0,ïżœïżœ0,ïżœïżœ0)equal to(100ïżœïżœ,60ïżœïżœ,0ïżœïżœïżœïżœïżœïżœ/ïżœïżœ).

Figure 2 showsthepathfollowedbytheUAVto reachitstargetpatterncenteringattheorigin.

OnthisFigure,thepathusedbytheUAVseemsto notbetime‐optimal.Indeed,theUAVisdoingloops beforereachingandmaintainingthe inalpattern.

3.2.Time‐optimalSynthesisBasedStrategy

Anotherstrategywaspresentedin[18]inorder to indasolutiontotheproblempresentedinSection 2.Herein,theminimumtimeproblemforSystem 1 isaddressed,andasummaryofthissecondmethod basedonantime‐optimalcontrolsynthesisispre‐sented.

JournalofAutomation,MobileRoboticsandIntelligentSystems VOLUME17,N∘ 42023
ïżœïżœ(Ì„ïżœïżœ,Ì„ïżœïżœ)â‰€ïżœïżœïżœïżœïżœïżœïżœïżœ
ïżœïżœ(Ì„ïżœïżœ,Ì„ïżœïżœ)=
Description Symbol Value Unit UAVlinearSpeed ïżœïżœ0 10 ïżœïżœ/ïżœïżœ Maximumangularvelocity ïżœïżœïżœïżœïżœïżœïżœïżœ 1 ïżœïżœïżœïżœïżœïżœ/ïżœïżœ Circularpatternradius ïżœïżœ 10 ïżœïżœ
42

Figure3. Theoptimalsynthesis.Alloptimaltrajectories startat ïżœïżœ0 withcontrol −1.Thedashedblackcurveis theswitchingcurve,thepurplecurveisthesingular trajectoryandthegreencurvesarecutloci.Noticethat theminimum‐timefunctionisnotcontinuousalongthe bluedashedcurve[18].

Inordertosimplifythetreatmentuptoadilation inthe (ïżœïżœ,ïżœïżœ)‐planewemayassumewithoutlossof generalitythat ïżœïżœ0 =1 and [âˆ’ïżœïżœmax,ïżœïżœmax]=[−1,1] Thus,weconsiderthefollowingproblemdenoted(P).

(P) Forevery (ïżœïżœ0,ïżœïżœ0,ïżœïżœ0)∈ℝ2 Ă—ïżœïżœ1 indthepair trajectory‐controljoining(ïżœïżœ0,ïżœïżœ0,ïżœïżœ0)toïżœïżœ,which istime‐optimalforthecontrolsystem

Ì‡ïżœïżœ= cosïżœïżœ Ì‡ïżœïżœ= sinïżœïżœ ïżœïżœ=ïżœïżœ,ïżœïżœâˆˆ[−1,1].

(11)

TosolveProblem(P),areducedsystemindimen‐siontwoiscomputedusingEq. 3:theproblemcon‐sideredisthereforerewritteninthefollowingform denoted(Pâ€Č).

(Pâ€Č) Forevery(Ìƒïżœïżœ0,Ìƒïżœïżœ0)∈ℝ2 indthepairtrajectory‐controljoining (Ìƒïżœïżœ0,Ìƒïżœïżœ0) to ïżœïżœ0 =(0,1),whichis time‐optimalforthecontrolsystem

Ìƒïżœïżœ=âˆ’ïżœïżœÌƒïżœïżœ+1

Ìƒïżœïżœ=ïżœïżœÌƒïżœïżœ ,ïżœïżœâˆˆ[−1,1].

Thetime‐optimalstabilizingsynthesisisthecollec‐tionofallsolutionto(Pâ€Č)forevery (Ìƒïżœïżœ0,Ìƒïżœïżœ0) [20]. In[18],authorsstatedthistime‐optimalstabilizing synthesisandconstructedFigure3,whichisrelatedto theinversedynamicoftheproblem.Thetime‐optimal stabilizingsynthesisof(Pâ€Č)isobtainedsimplyby invertingthearrowsofthetrajectoriesrepresented.

Thesolutionstoproblem(P)canbededucedfrom thesolutionstoproblem(Pâ€Č),obtainedthanksto thetime‐optimalstabilizingsynthesisrepresentedin Figure3.Figure4,showsapairofplotsshowingasolu‐tionofproblem(Pâ€Č)(Figure4a)anditscorresponding solutiontoproblem(P)(Figure4b).

(a)

(b)

Figure4. Abang‐singular‐bangoptimaltrajectory solutiontoproblem(4a)andthecorrespondingoptimal solutiontoproblem(4b)

4.ImprovementoftheLyapunov‐LaSalle BasedStabilizationMethod

Theobjectiveofthissectionistoproposetwo trackingcontrolalgorithmsthatresolvetheproblem presentedinSection 2 withashorterpaththanthe oneobtainedwiththe irstLyapunov‐basedmethod statedabove.Theproposedmethodsapproachthe performancesoftheoptimaltechniquebutarecom‐putationallylessdemanding.Thissectionisdivided intotwosubsectionsdetailingthetwomethodsfor computingthesealgorithms.

4.1.AFirstShorterStabilizationMethod

A irsttechniquethatallowsthe ixedwingUAV toslideontothetangenttowardthecircularpattern targetisdetailedinthissubsection.Itisestablished inthesamewayasinSection3;however,inthiscon‐troller,theparameterïżœïżœusedinEq.(10)isconsidered afunctionïżœïżœ2 ∶ℝ∗− ×ℝ→[âˆ’ïżœïżœïżœïżœïżœïżœïżœïżœ,ïżœïżœïżœïżœïżœïżœïżœïżœ[.Thus,the

JournalofAutomation,MobileRoboticsandIntelligentSystems VOLUME17,N∘ 42023
43

Figure6. ThepathfollowedbytheUAVtotrackthe targetusingtheminimumtimestrategyfor ïżœïżœ=0.2ïżœïżœïżœïżœïżœïżœïżœïżœ, ïżœïżœ=0.5ïżœïżœïżœïżœïżœïżœïżœïżœ and ïżœïżœ=0.9ïżœïżœïżœïżœïżœïżœïżœïżœ controllerequation(10)isrewrittenasfollows:

ïżœïżœ=ïżœïżœ(Ì„ïżœïżœ,Ì„ïżœïżœ)=

⎧ âŽȘ âŽȘ ⎚ âŽȘ âŽȘ ⎩

ïżœïżœ2(Ì„ïżœïżœ,Ì„ïżœïżœ) ifÌ„ïżœïżœâ‰€âˆ’ïżœïżœ

ïżœïżœmaxâˆ’ïżœïżœ2(ïżœïżœ,ïżœïżœ)

1+ïżœïżœ1/(ïżœïżœ+ïżœïżœ)+1/ïżœïżœ

+ïżœïżœ2(Ì„ïżœïżœ,Ì„ïżœïżœ) ifÌ„ïżœïżœâˆˆ(âˆ’ïżœïżœ,0)

ïżœïżœmax ifÌ„ïżœïżœâ‰„0,

(12)

commandshaveless luctuation.Itshouldbemen‐tionedthatahighervalueofïżœïżœ leadstheUAVtoslide ontoatangenttowardthehoveringpattern.

4.2.ASecondSimplerComputationStabilization Method

Inthissubsection,anothermethodforcomputing atrackingcontrolalgorithmthatresolvestheprob‐lempresentedaboveisestablished.Thisalgorithm iscomputedusingthestationarycoordinates (ïżœïżœ,ïżœïżœ) insteadofusingarotatingreferenceframe(Ì„ïżœïżœ,Ì„ïżœïżœ).The stabilizationofthissystemisperformedusingthe sameLyapunov‐LaSalletechniqueasinSection 3.As previously,theparameter ïżœïżœ inEq.(10)isreplaced byafunction ïżœïżœ3 ∶ℝ2 →[âˆ’ïżœïżœïżœïżœïżœïżœïżœïżœ,ïżœïżœïżœïżœïżœïżœïżœïżœ[.Thusthe controllerEq.(10)canberewrittenas:

ïżœïżœ=ïżœïżœ(Ì„ïżœïżœ,Ì„ïżœïżœ)=

⎧ âŽȘ âŽȘ ⎚ âŽȘ âŽȘ ⎩

ïżœïżœ3(Ì„ïżœïżœ,Ì„ïżœïżœ) ifÌ„ïżœïżœâ‰€âˆ’ïżœïżœ ïżœïżœmaxâˆ’ïżœïżœ3(ïżœïżœ,ïżœïżœ) 1+ïżœïżœ1/(ïżœïżœ+ïżœïżœ)+1/ïżœïżœ

+ïżœïżœ3(Ì„ïżœïżœ,Ì„ïżœïżœ) ifÌ„ïżœïżœâˆˆ(âˆ’ïżœïżœ,0)

ïżœïżœmax ifÌ„ïżœïżœâ‰„0,

(13)

Considering Ì„ïżœïżœ<0 ,let ïżœïżœ= arctan(Ì„ïżœïżœ/Ì„ïżœïżœ) bethe angularcoordinateoftheUAVinthe (Ì„ïżœïżœ,Ì„ïżœïżœ)‐planeas representedinFigure5.Letïżœïżœ2(Ì„ïżœïżœ,Ì„ïżœïżœ)=ïżœïżœsin(ïżœïżœ)with ïżœïżœsuchthat0â‰€ïżœïżœ<ïżœïżœïżœïżœïżœïżœïżœïżœ.Thus,âˆ’ïżœïżœïżœïżœïżœïżœïżœïżœ â‰€ïżœïżœ2(Ì„ïżœïżœ,Ì„ïżœïżœ)< ïżœïżœïżœïżœïżœïżœïżœïżœ,andthecontrollerde inedinEq.(12)veri ies theconditions(9)andstabilizesthesystem(1)toward theconsideredpatternasstatedinSection3

Figure6showstheperformancesoftheplanning algorithmusingthecontrolequation(12)for ïżœïżœ= 0.2ïżœïżœïżœïżœïżœïżœïżœïżœ, ïżœïżœ=0.5ïżœïżœïżœïżœïżœïżœïżœïżœ and ïżœïżœ=0.9ïżœïżœïżœïżœïżœïżœïżœïżœ and ïżœïżœ=10ïżœïżœ.TheUAVstartingpointis (ïżœïżœ0,ïżœïżœ0,ïżœïżœ0)= (100ïżœïżœ,60ïżœïżœ,0ïżœïżœïżœïżœïżœïżœ/ïżœïżœ),anditsparametersaregiven inTable 1.Byincreasingthevalueof ïżœïżœ,thetime neededtojointhepatternisdecreased(quickertime response),andbydecreasingthevalueofïżœïżœ,theUAV

A irststepforcalculating ïżœïżœ3(ïżœïżœ,ïżœïżœ) istocompute thetangentequationsofthecircularpatternintheïżœïżœïżœïżœ stationaryframe.Let(ïżœïżœ0,ïżœïżœ0)bethecoordinatesofthe UAVintheïżœïżœïżœïżœframe.Anylinethatpassesthroughthe UAVhasthefollowingequation:

ïżœïżœ=ïżœïżœ(ïżœïżœâˆ’ïżœïżœ0)+ïżœïżœ0 (14)

whereïżœïżœ,ïżœïżœâˆˆâ„andïżœïżœistheslopeofthelinetobecal‐culatedinthefollowing.Inordertobeatangenttothe circularpatternEquation(14)mustalsosatisfythe circularpatternequation(ïżœïżœ2 +ïżœïżœ2 =ïżœïżœ2).Combining bothequationsleadstothefollowing:

(15)

with

2 Thesolutionsofequation(15)arethelinesthatlinks theUAVtothecircularpattern.Eachlinecutsthecircle intwodifferentpoints,exceptforthetangent,which onlycutsthecircleatonepoint.Thus,equation(15) doublerootscanhelpcalculatingthetangentequa‐tionsasfollows.

(16)

Solvingequation(16)resultsincalculatingthetwo slopesofthetwotangents ïżœïżœ1 and ïżœïżœ2 (Figure 7).It shouldbementionedthatifnorealsolutionexists,the UAV(ïżœïżœ

JournalofAutomation,MobileRoboticsandIntelligentSystems VOLUME17,N∘ 42023
Figure5. ThefixedwingUAVinthe ïżœïżœïżœïżœ and Ì„ïżœïżœÌ„ïżœïżœ frames
ïżœïżœâ€Čïżœïżœ2 +ïżœïżœâ€Čïżœïżœ+ïżœïżœâ€Č =0
ïżœïżœâ€Č =1+ïżœïżœ2 ïżœïżœâ€Č =2ïżœïżœïżœïżœ0 +2ïżœïżœ2ïżœïżœ0 ïżœïżœâ€Č =ïżœïżœ2 0 +ïżœïżœ2ïżœïżœ2 0 +2ïżœïżœïżœïżœ
0 âˆ’ïżœïżœ
Δ=ïżœïżœâ€Č2 −4ïżœïżœâ€Čïżœïżœâ€Č =ïżœïżœâ€łïżœïżœ2 +ïżœïżœâ€łïżœïżœ+ïżœïżœâ€ł =0
ïżœïżœâ€ł =−4ïżœïżœ2 0 +4ïżœïżœ2 ïżœïżœâ€ł =8ïżœïżœ0ïżœïżœ0 ïżœïżœâ€ł =−4ïżœïżœ2 0 +4ïżœïżœ2
0ïżœïżœ
with
,ïżœïżœ
)
44
0
0
islocatedinsidethecircularpattern.

Knowingtheequationsofthetwotangents,the UAVshouldslideononeoftheminordertoreachits inalcircularpattern.Indeed,Afterthecomputation ofthetwotangentslopes ïżœïżœ1 and ïżœïżœ2,itispossibleto calculatethetwoslopeanglesïżœïżœ1 andïżœïżœ2 (Figure7)by applyinganarctanfunctionasfollows:

ïżœïżœ1,2 =arctan

with:

−8ïżœïżœ0ïżœïżœ0 ±√Δâ€Č

−8ïżœïżœ2 0 +8ïżœïżœ2 (17)

Δâ€Č =ïżœïżœâ€ł2 −4ïżœïżœâ€łïżœïżœâ€ł

Inordertohavevalidslopeangles, Δâ€Č shouldbe positiveorequaltozerowhichmeansthefollowing equationshouldbesatis ied:

ïżœïżœ2(ïżœïżœ2 0 +ïżœïżœ2 0 âˆ’ïżœïżœ2)≄0

ThisequationmeansthattheUAVshouldbeoutside thehoveringpattern.

ItshouldbementionedthattheUAVposition (ïżœïżœ0,ïżœïżœ0)couldbewrittenasfunctionofÌ„ïżœïżœ andÌ„ïżœïżœ using thefollowingtransformation:

ïżœïżœ0 =Ì„ïżœïżœcos(ïżœïżœ)−(Ì„ïżœïżœâˆ’ïżœïżœ)sin(ïżœïżœ)

ïżœïżœ0 =Ì„ïżœïżœsin(ïżœïżœ)+(Ì„ïżœïżœâˆ’ïżœïżœ)cos(ïżœïżœ) (18)

Thetangentthathasthelowestvalueoftheslope angleistheonetobechosensinceitleadstohov‐eringaroundthecircularpatterncounterclockwise. Theothertangentwiththehighervalueoftheslope

angleleadstohoveringaroundthecircularpattern clockwise.Inthefollowing,wewilleitheruseïżœïżœ1 orïżœïżœ2 anddenotedthechosenangleïżœïżœ.

Aftercomputingtheangleïżœïżœ,theangleïżœïżœ=ïżœïżœ/2âˆ’ïżœïżœ iscalculated(Figure7).ïżœïżœshouldbewithintheinterval [âˆ’ïżœïżœ;ïżœïżœ].Havingïżœïżœ,itispossibletocomputeïżœïżœ3(ïżœïżœ,ïżœïżœ)as follows:

ïżœïżœ3(ïżœïżœ,ïżœïżœ)=ïżœïżœïżœïżœïżœïżœïżœïżœ tanh(ïżœïżœïżœïżœ) (19)

Where ïżœïżœ>0 isaproportionalregulationconstant. Whenincreasing ïżœïżœ,thetimeneededinorderto convergetowardsthetangent,willbedecreased.By applyingequation(19),itisensuredthattheUAV willslidetothehoveringpatternusingtheshortest possiblepath(thetangent).Itshouldbementioned thatïżœïżœ3(ïżœïżœ,ïżœïżœ)satis iestheconditionsexpressedinSec‐tion 3 andensurestheconvergenceofacontroller basedontheonegiveninEquation(10)towardsthe circularpatternconsidered.

Finally,theproposedcontrolleralgorithmissum‐marizedbythefollowingsteps:

‐ Computeïżœïżœ1 andïżœïżœ2 thenïżœïżœ1 andïżœïżœ2

‐ Choosethetangentthatleadstohoveringthecircu‐larpatterncounterclockwise

‐ Computeïżœïżœ

‐ Computeïżœïżœ3(ïżœïżœ,ïżœïżœ)usingequation(19)

‐ ComputetheinputtobeappliedtotheUAV(equa‐tion(13))

Figure8showstheperformancesoftheproposed controllerforïżœïżœ=1,ïżœïżœ=3andïżœïżœ=10.TheUAVstarting pointis (ïżœïżœ0,ïżœïżœ0,ïżœïżœ0) equalto(100m,60m,0rad/s) anditsparametersaregiveninTable 1, ïżœïżœ is ixedto 10m.Theresultsofthismethodareverysimilarto theresultsofthe irstmethodconceivedintherotating frame.However,calculatingthetrackingalgorithmin therotatingframeiseasier.

5.SimulationResultsandComparison

Thissectioncomparesthesimulationresultsofthe fourpreviouslypresentedcontrolmethods.The irst

JournalofAutomation,MobileRoboticsandIntelligentSystems VOLUME17,N∘ 42023
Figure7. Minimumtimemethodinthexyreference frame Figure8. ThepathfollowedbytheUAVfor ïżœïżœ=1, ïżœïżœ=3 and ïżœïżœ=10 usingsecondtrackingalgorithm
45

Figure10. ThepathfollowedbytheUAVusingthethree proposedalgorithmsstartingfrom (ïżœïżœ0,ïżœïżœ0,ïżœïżœ0) equalto ïżœïżœ2 =(50ïżœïżœ,−120ïżœïżœ,0ïżœïżœïżœïżœïżœïżœ/ïżœïżœ)

controlmethod(ïżœïżœïżœïżœïżœïżœâ„Žïżœïżœïżœïżœ1)subjecttocomparisonis theLyapunov‐basedmethodpresentedinSection3.1, thesecondone(ïżœïżœïżœïżœïżœïżœâ„Žïżœïżœïżœïżœ2)isthe irstshortersta‐bilizationmethodpresentedinsection 4.1,thethird one(ïżœïżœïżœïżœïżœïżœâ„Žïżœïżœïżœïżœ3)isthesecondsimplercomputation stabilizationmethodpresentedinsection4.2andthe fourthmethod(ïżœïżœïżœïżœïżœïżœâ„Žïżœïżœïżœïżœ4)isthetime‐optimalmethod presentedinsection3.2.

Multipleinitialconditionsareconsideredinorder toshowtheperformancesofeachmethod.Itshould bementionedthatthecontrolparametersofthe irst methodare ïżœïżœ=0.2ïżœïżœïżœïżœïżœïżœ/ïżœïżœ and ïżœïżœ=10ïżœïżœ.The parametersofthesecondalgorithmare ïżœïżœ=ïżœïżœïżœïżœïżœïżœïżœïżœ and ïżœïżœ=10ïżœïżœ.Finally,thethirdalgorithmparam‐etersare ïżœïżœ=10 and ïżœïżœ=10ïżœïżœ.TheUAVparam‐etersaregivenintable 1,andtheinitialconditions (ïżœïżœ0,ïżœïżœ0,ïżœïżœ0) are ïżœïżœ1 =(−200ïżœïżœ,−50ïżœïżœ,0ïżœïżœïżœïżœïżœïżœ/ïżœïżœ) and ïżœïżœ2 =(50ïżœïżœ,−120ïżœïżœ,0ïżœïżœïżœïżœïżœïżœ/ïżœïżœ)respectively.

Figure 9 and 10,showthepathfollowedby theUAVstartingfrom(−200ïżœïżœ,−50ïżœïżœ,0ïżœïżœïżœïżœïżœïżœ/ïżœïżœ)and (50ïżœïżœ,−120ïżœïżœ,0ïżœïżœïżœïżœïżœïżœ/ïżœïżœ)respectively,usingthepro‐posedtrackingcontrolalgorithms.Thethreepro‐posedmethodsareconvergingtowardthehovering pattern.Inthe irstalgorithm(ïżœïżœïżœïżœïżœïżœâ„Žïżœïżœïżœïżœ1)thetrajec‐toryusedtogettothe inalpatternistwisting.The secondandthirdalgorithms(ïżœïżœïżœïżœïżœïżœâ„Žïżœïżœïżœïżœ2 andïżœïżœïżœïżœïżœïżœâ„Žïżœïżœïżœïżœ3) showtrajectoriesinwhichtheUAVfollowsthetan‐genttowardthehoveringpattern.Thesethreecon‐trolmethodsarecomparedtothetime‐optimaltra‐jectory(ïżœïżœïżœïżœïżœïżœâ„Žïżœïżœïżœïżœ4).Table 2 showsthetimeneeded bytheUAVtoreachitscircularhoveringpattern.

ïżœïżœïżœïżœïżœïżœâ„Žïżœïżœïżœïżœ1 isshowingverypoorperformancescom‐paredtoïżœïżœïżœïżœïżœïżœâ„Žïżœïżœïżœïżœ2,ïżœïżœïżœïżœïżœïżœâ„Žïżœïżœïżœïżœ3 andïżœïżœïżœïżœïżœïżœâ„Žïżœïżœïżœïżœ4.Moreover, theoptimalmethodisshowingthebestpossibleper‐formances.ïżœïżœïżœïżœïżœïżœâ„Žïżœïżœïżœïżœ2 andïżœïżœïżœïżœïżœïżœâ„Žïżœïżœïżœïżœ3 showverysimilar performances,despitebeingcalculatedindifferent ways,andtheirresultsareverycloseto ïżœïżœïżœïżœïżœïżœâ„Žïżœïżœïżœïżœ4. Finally,itispossibletoassumethatbycarefullychoos‐ingparameter ïżœïżœ(ïżœïżœ,ïżœïżœ) itispossibletoobtainnearly time‐optimalperformancesusinglesscomputational time.

Insummary,the irstmethodemployedacom‐putationallyef icientalgorithmtoconvergetowards thehoveringpattern.However,itsconvergencetime wasnotablyslow,makingittheleastexpedientamong thefourmethodspresented.Thesecondandthird methodshavecomparableperformance,converging towardsthecircularhoveringpatterninnearlyopti‐maltime.Bothmethodswerecomputationallyef i‐cient,withthesecondmethodbeinglessdemanding thanthethird.Thefourthand inalalgorithmalso successfullyconvergedtowardsthehoveringpattern usinganoptimaltrajectorybutprovedtobecomputa‐tionallydemanding.

6.Conclusion

Thispaperstudiestrackingcontrolalgorithms appliedto ixedwingUAVs lyingatconstantspeedand constantaltitude.Threecontrolalgorithmsarepre‐sentedforthetrackingofa ixedtarget.Theproposed methodensurestheconvergenceoftheUAVstoward acircularhoveringpattern.

Inthe irstmethod,thetrajectoryobtaineddid notallowtheUAVtoreachthepatternquickly.Inthe secondandthirdmethodpresentedabove,thetrajec‐toriescomputedfollowthedirectionofthetangentto thepattern,whichmakesitpossibletoapproachthe time‐optimalmethodresults.

JournalofAutomation,MobileRoboticsandIntelligentSystems VOLUME17,N∘ 42023
Figure9. ThepathfollowedbytheUAVusingthethree proposedalgorithmsstartingfrom (ïżœïżœ0,ïżœïżœ0,ïżœïżœ0) equalto ïżœïżœ1 =(−200ïżœïżœ,−50ïżœïżœ,0ïżœïżœïżœïżœïżœïżœ/ïżœïżœ)
ïżœïżœ
ïżœïżœ2 ïżœïżœïżœïżœïżœïżœïżœïżœïżœïżœïżœïżœ1 ïżœïżœïżœïżœïżœïżœïżœïżœïżœïżœïżœïżœ2 ïżœïżœïżœïżœïżœïżœïżœïżœïżœïżœïżœïżœ3 ïżœïżœïżœïżœïżœïżœïżœïżœïżœïżœïżœïżœ4 ïżœïżœ1 43.3ïżœïżœ 20.3ïżœïżœ 20.3ïżœïżœ 19.88ïżœïżœ ïżœïżœ2 33.0ïżœïżœ 13.9ïżœïżœ 13.8ïżœïżœ 13.38ïżœïżœ
Table2. Thetime(inseconds)neededbyeachcontrol algorithmtoreachthehoveringpatternstartingfrom
1 and
46

AUTHORS

JeanSawma∗ –FacultyofEngineering,Saint JosephUniversityofBeirut,Beirut,Lebanon,e‐mail: jean.sawma@usj.edu.lb.

AlainAjami –FacultyofEngineering,SaintJoseph UniversityofBeirut,Beirut,Lebanon,e‐mail: alain.ajami@usj.edu.lb.

ThibaultMaillot –Agrosup,Dijon,France,e‐mail: thibault.maillot@agrosupdijon.fr.

JosephelMaalouf –CollegeofEngineeringandTech‐nology,AmericanUniversityoftheMiddle,Kuwait, e‐mail:joseph.el‐maalouf@aum.edu.kw.

∗Correspondingauthor

References

[1] S.AggarwalandN.Kumar.“Pathplanningtech‐niquesforunmannedaerialvehicles:Areview, solutions,andchallenges,” ComputerCommunications,vol.149,2020,doi:10.1016/j.comcom.2 019.10.014.

[2] A.Ajami,J.‐F.Balmat,J.‐P.Gauthier,andT.Maillot. “Pathplanningandgroundcontrolstationsim‐ulatorforUAV,”In: 2013IEEEAerospaceConference,2013,doi:10.1109/AERO.2013.6496845.

[3] A.Ajami,M.Brouche,J.‐P.Gauthier,and L.Sachelli.“Outputstabilizationofmilitary uavintheunobservablecase.”In: 2020IEEE AerospaceConference,2020,1–6,doi:10.1109/ AERO47225.2020.9172770.

[4] A.Ajami,J.‐P.Gauthier,T.Maillot,andU.Serres. “Howhumans ly,” ESAIM:Control,Optimisation andCalculusofVariations,vol.19,no.4,2013, 1030–1054.

[5] A.Ajami,J.‐P.Gauthier,andL.Sacchelli. “Dynamicoutputstabilizationofcontrol systems:Anunobservablekinematicdrone model,” Automatica,vol.125,2021,109383,doi: 10.1016/j.automatica.2020.109383.

[6] A.Ajami,J.Sawma,andJ.E.Maalouf.“Dynamic stabilization‐basedtrajectoryplanningfor drones,” AIPConferenceProceedings,vol.2570, no.1,2022,020003,doi:10.1063/5.0099757.

[7] A.Balluchi,A.Bicchi,B.Piccoli,andP.Soueres. “Stabilityandrobustnessofoptimalsynthesis forroutetrackingbydubins’vehicles.”In: Proceedingsofthe39thIEEEConferenceonDecisionandControl,vol.1,2000,doi:10.1109/CDC. 2000.912827.

[8] N.BoizotandJ.‐P.Gauthier.“Motionplanningfor kinematicsystems,” IEEETransactionsonAutomaticControl,vol.58,no.6,2013,1430–1442, doi:10.1109/TAC.2012.2232376.

[9] U.BoscainandB.Piccoli. OptimalSynthesesfor ControlSystemson2-DManifolds,Springer,2004.

[10] D.Campolo,L.Schenato,E.Guglielmelli,andS.S. Sastry.“Alyapunov‐basedapproachforthecon‐trolofbiomimeticroboticsystemswithperiodic forcinginputs,” IFACProceedingsVolumes,vol. 38,no.1,2005,637–641.

[11] H.ChitsazandS.M.LaValle.“Time‐optimalpaths foradubinsairplane.”In: 46thIEEEConference onDecisionandControl,2007,2379–2384,doi: 10.1109/CDC.2007.4434966.

[12] L.E.Dubins.“Oncurvesofminimallengthwith aconstraintonaveragecurvatureandwithpre‐scribedinitialandterminalpositionsandtan‐gents,” Am.Journ.Math,vol.79,no.1,1957, 497–516.

[13] E.W.Frew,D.A.Lawrence,C.Dixon,J.Elston, andW.J.Pisano.“Lyapunovguidancevector ieldsforunmannedaircraftapplications.”In: 2007AmericanControlConference,2007,371–376,doi:10.1109/ACC.2007.4282974.

[14] J.‐P.GauthierandV.Zakalyukin.“Onthemotion planningproblem,complexity,entropy,andnon‐holonomicinterpolation,” JournalofDynamical andControlSystems,vol.12,no.3,2006,371–404,doi:10.1007/s10450‐006‐0005‐y.

[15] M.‐D.Hua,T.Hamel,P.Morin,andC.Sam‐son.“Acontrolapproachforthrust‐propelled underactuatedvehiclesanditsapplicationto vtoldrones,” IEEETransactionsonAutomatic Control,vol.54,no.8,2009,1837–1853,doi: 10.1109/TAC.2009.2024569.

[16] M.‐A.Lagache,U.Serres,andV.Andrieu.“Time minimumsynthesisforakinematicdrone model.”In: 54thIEEEConferenceonDecision andControl(CDC),2015,4067–4072,doi: 10.1109/CDC.2015.7402852.

[17] D.A.Lawrence,E.W.Frew,andW.J.Pisano.“Lya‐punovvector ieldsforautonomousunmanned aircraft lightcontrol,” JournalofGuidance,Control,andDynamics,vol.31,no.5,2008,1220–1229,doi:10.2514/1.34896.

[18] T.Maillot,U.Boscain,J.‐P.Gauthier,andU.Ser‐res.“Lyapunovandminimum‐timepathplan‐ningfordrones,” JournalofDynamicaland ControlSystems,vol.21,no.1,2015,47–80,doi: 10.1007/s10883‐014‐9222‐y.

[19] S.Park,J.Deyst,andJ.How.“Anewnonlinear guidancelogicfortrajectorytracking,”2004,doi: 10.2514/6.2004‐4900.

[20] B.PiccoliandH.J.Sussmann.“Regularsynthesis andsuf iciencyconditionsforoptimality,” SIAM J.ControlOptim,vol.39,1998,359–410,doi: 10.1137/S0363012999322031.

[21] Y.Qu,Y.Zhang,andY.Zhang.“Aglobalpathplan‐ningalgorithmfor ixed‐winguavs,” Journalof Intelligent&RoboticSystems,vol.91,no.3,2018, 691–707,doi:10.1007/s10846‐017‐0729‐9.

JournalofAutomation,MobileRoboticsandIntelligentSystems VOLUME17,N∘ 42023
47

[22] F.Ropero,P.Muñoz,andM.D.R‐Moreno.“Terra: Apathplanningalgorithmforcooperativeugv–uavexploration,” EngineeringApplicationsof Arti icialIntelligence,vol.78,2019,260–272, doi:10.1016/j.engappai.2018.11.008.

[23] J.Sawma,A.Ajami,andJ.ElMaalouf.“Dynamic stabilityforuavpathplanning.”In: 2022InternationalConferenceonCommunications,Information,ElectronicandEnergySystems(CIEES), 2022,1–6,doi:10.1109/CIEES55704.2022.99 90803.

[24] P.SoueresandJ.‐P.Laumond.“Shortestpaths synthesisforacar‐likerobot,” IEEETransactions onAutomaticControl,vol.41,no.5,1996,672–688,doi:10.1109/9.489204.

JournalofAutomation,MobileRoboticsandIntelligentSystems VOLUME17,N∘ 42023
48

Abstract:

NEWROBUSTMODELFORSTABILITYANDH∞ ANALYSISFORINTERCONNECTED

DOI:10.14313/JAMRIS/4‐2023/30

NEWROBUSTMODELFORSTABILITYANDH∞ ANALYSISFORINTERCONNECTED

EMBEDDEDSYSTEMS

EMBEDDEDSYSTEMS ∞ ANALYSISFORINTERCONNECTED EMBEDDEDSYSTEMS

Submitted:22nd June2022;accepted:6th March2023

AmalZouhri

Thispaperpresentsanovelapproachtoanalyzingthe robuststabilityofinterconnectedembeddedsystems.The paperstartsbydiscussingthechallengesassociatedwith designingstableandrobustembeddedsystems,particu‐larlyinthecontextofinterconnectedsystems.Thepro‐posedapproachcombinestheH∞ controltheorywitha newmodelforinterconnectedembeddedsystems,which takesintoaccounttheeffectsofcommunicationdelays anddatalosses.Thepaperprovidesadetailedmathe‐maticalanalysisofthenewmodelandpresentsseveral theoremsandproofsrelatedtoitsstability.Theeffective‐nessoftheproposedapproachisdemonstratedthrough severalpracticalexamples,includinganetworkedcon‐trolsystemandadistributedsensornetwork.Thepaper alsodiscussesthelimitationsoftheproposedapproach andsuggestsseveraldirectionsforfutureresearch.The proposedfilterdesignmethodestablishesasufficient conditionfortheasymptoticstabilityoftheerrorsystem andthesatisfactionofapredefinedH∞ performance indexfortime‐invariantboundeduncertainparameters. Thisisachievedthroughtheuseofthestrictlinearmatrix inequalities(LMI)approachandprojectionlemma.The designisformulatedintermsoflinearmatrixinequalities (LMI).Numericalexamplesareprovidedtodemonstrate theeffectivenessoftheproposedfilterdesignmethods.

Keywords: Interconnectedembeddedsystems,Stability, H∞ analysis,Linearmatrixinequalities

1.Introduction

Interconnectedembeddedsystemsarewidely usedinmanyapplicationdomains,suchasaerospace, automotive,andindustrialautomation.Thesesys‐temsarecharacterizedbytheircomplex,distributed nature,andtheiroperationisoftensubjecttovari‐ousuncertainties,suchascommunicationdelaysand datalosses.Thedesignandanalysisofsuchsystems presentseveralchallenges,particularlyinensuring theirstabilityandrobustness.

Toaddressthesechallenges,researchershavepro‐posedvariousapproachesforanalyzingthestabil‐ityandrobustnessofinterconnectedembeddedsys‐tems.Oneofthemostwidelyusedapproachesisthe H∞ controltheory,whichprovidesaframeworkfor designingrobustcontrollersthatcanhandleuncer‐taintiesanddisturbances.

Severalrecentstudieshavefocusedondevelop‐ingnewmodelsandapproachesforapplyingtheH∞ controltheorytointerconnectedembeddedsystems. Forexample,inthepaper“RobustStabilityandH∞ AnalysisforInterconnectedUncertainSystems”byX. Zhangetal.(2019)[1],thispaperpresentsanovel approachforanalyzingtherobuststabilityandperfor‐manceofinterconnecteduncertainsystemsusingH∞ controltheory.Theauthorsproposeanewmathemat‐icalframeworkformodelinginterconnectedsystems withuncertaintiesandderiveconditionsforrobust stabilityandH∞ performanceusinglinearmatrix inequality(LMI)techniques.Theproposedapproach isappliedtotheanalysisofatwo‐areapowersystem, demonstratingitseffectivenessinhandlinguncertain‐tiesanddisturbancesininterconnectedsystems.The paperalsodiscussesthepotentialapplicationsofthe proposedapproachinother ields,suchastransporta‐tionandcommunicationsystems.Theauthorspresent acomprehensiveanalysisoftheH∞ controltheory forinterconnecteduncertainsystems.Thepaperpro‐videsadetailedmathematicalanalysisofthetheory andpresentsseveralpracticalexamplestoillustrate itseffectiveness.

H∞ controltheoryisarobustcontrolmethodol‐ogythathasbeenusedinvarious ields,including aerospace,automotive,andcontrolsystemsengineer‐ing.Itprovidesasystematicapproachfordesigning controllersthatcanhandleuncertaintyanddistur‐bancesinasystem,whilealsomeetingperformance speci ications.

Inthecontextofinterconnectedembeddedsys‐tems,H∞controltheorycanbeappliedtoensurethat thesystemoperatesreliablyandef iciently,despite thepresenceofuncertaintiesanddisturbances.Itcan helptominimizetheeffectsofexternalfactors,such asnoiseorvariationsinoperatingconditions,onthe system’sperformance.

ResearchhasshownthatH∞ controltheorycan beeffectiveinaddressingvariouschallengesininter‐connectedembeddedsystems.Forexample,ithas beenappliedinthedesignofcontrolsystemsfor autonomousvehicles,wherethecontrolsystemmust beabletohandleuncertaintiesinthevehicle’senvi‐ronment,suchasunpredictabletraf icpatternsand roadconditions.

2023 © Zouhri.ThisisanopenaccessarticlelicensedundertheCreativeCommonsAttribution-Attribution4.0International(CCBY4.0) (http://creativecommons.org/licenses/by-nc-nd/4.0/) VOLUME17,N∘ 42023 JournalofAutomation,MobileRoboticsandIntelligentSystems
49

Anotherexampleisinthedesignofcontrolsys‐temsforindustrialautomation,whereH∞ control theoryhasbeenusedtoensurethatthesystem canhandlevariationsinproductionprocessesand equipmentperformance,whilealsomeetingperfor‐mancespeci ications.

Anotherrecentstudy,“RobustModelPredictive ControlofInterconnectedEmbeddedSystemsSub‐jecttoCommunicationDelays”byM.Osmanetal. (2021)[2],proposesarobustmodelpredictivecontrol approachforinterconnectedembeddedsystemsthat aresubjecttocommunicationdelays.Theproposed approachtakesintoaccounttheeffectsofcommu‐nicationdelaysonthesystem’sstabilityanduses. Thispaperproposesarobustmodelpredictivecontrol approachforinterconnectedembeddedsystemssub‐jecttocommunicationdelays.Theauthorsconsider anetworkedcontrolsystemconsistingofmultiple interconnectedsubsystems,eachwithitsownembed‐dedcontrollerandsensor/actuatornetwork.They proposeapredictivecontrolschemethataccounts forthecommunicationdelaysanduncertaintiesin thesystem,usingarobustoptimizationframework basedonmixed‐integerlinearprogramming(MILP). Theproposedapproachisappliedtothecontrolof atwo‐tanksystem,demonstratingitseffectivenessin handlingcommunicationdelaysanduncertaintiesin interconnectedembeddedsystems.Thepaperalso discussesthepotentialapplicationsoftheproposed approachinother ields,suchasindustrialautomation andsmartgridsystems.

Thepaper“Robuststabilityanalysisandfeed‐backcontrolfornetworkedcontrolsystemswithaddi‐tiveuncertaintiesandsignalcommunicationdelay viamatricestransformationinformationmethod”by Weietal.(2022)[3]presentsanovelapproachfor analyzingthestabilityandrobustnessofintercon‐nectedembeddedsystems.Theproposedapproach combinestheH∞ controltheorywithanewmodel thattakesintoaccounttheeffectsofcommunica‐tiondelaysanddatalosses.Thepaperprovidesa detailedmathematicalanalysisofthenewmodeland demonstratesitseffectivenessthroughseveralpracti‐calexamples.Interconnectedembeddedsystemsrefer toanetworkofintelligentdevicesthataredesigned toworktogethertoaccomplishacommongoal.These systemsaremadeupofsmall,specializedcomputers thatareembeddedinotherdevices,suchasappli‐ances,vehicles,andindustrialequipment.Theycom‐municatewitheachotherandwiththeoutsideworld usingvariousprotocols,suchasBluetooth,Wi‐Fi,and Zigbee.

Interconnectedembeddedsystemsarebecoming increasinglyimportantasmoredevicesbecomecon‐nectedtotheinternetandtheInternetofThings(IoT) continuestogrow[4–7].Theyareusedinawide varietyofapplications,includinghomeautomation, industrialautomation,healthcare,andtransportation.

Oneofthekeyadvantagesofinterconnected embeddedsystemsistheirabilitytoshareinformation andresources[8–12],allowingthemtoworktogether moreef icientlyandeffectively.

Forexample,asmarthomesystemmightusesen‐sorsandactuatorstocontrolthetemperature,light‐ing,andsecurityofahouse,allwhilesharingdatawith othersystemsinthehome.

However,interconnectedembeddedsystemsalso presentnewchallenges,suchassecurityandprivacy concerns,compatibilityissuesbetweendevicesand systems,andtheneedforreliableandrobustcom‐municationprotocols.Astheuseofthesesystems continuestoexpand,itwillbeimportanttoaddress thesechallengesinordertoensuretheirsafeand effectiveuse.

ThestabilityandH∞ analysisforinterconnected embeddedsystemsisaninterestingandcomplexarea ofresearch,whichhasasigni icantimpactonthe designandimplementationofmodernembeddedsys‐tems.

Inthecontextofinterconnectedembeddedsys‐tems,thestabilityoftheoverallsystemiscritically dependentonthestabilityofeachindividualsubsys‐tem.Asaresult,itisessentialtounderstandtheinter‐actionsbetweenthesubsystemsandtoensurethatthe overallsystemdesignisstable.

Onechallengeinanalyzingthestabilityofinter‐connectedembeddedsystemsisthepresenceof delaysandothercommunicationissues.Thesedelays canhaveasigni icantimpactonthestabilityofthe system,anditisimportanttoaccountforthemwhen designingthesystemandanalyzingitsstability.

Anotherimportantconsiderationintheanalysis ofstabilityforinterconnectedembeddedsystemsis theneedtoproperlymodeleachsubsystemandits interactionswiththerestofthesystem.Thisincludes understandingthedynamicsofeachsubsystem,the couplingbetweenthesubsystems,andtheimpactof disturbancesonthesystem.

Inordertoanalyzethestabilityofinterconnected embeddedsystems,H∞ analysisisoftenused.This approachinvolvesmodelingthesystemasasetof matricesandusingoptimizationtechniquesto indthe optimalcontrolstrategythatminimizestheimpactof disturbancesonthesystem.Thiscanbechallenging toimplementinpracticebutcanprovidevaluable insightsintothestabilityofthesystem.

Overall,thestabilityandH∞ analysisforinter‐connectedembeddedsystemsisanimportantarea ofresearch[13–24],whichhassigni icantimplica‐tionsforthedesignandimplementationofmodern embeddedsystems.Itisacomplexarea,butadvances inthis ieldareessentialforensuringthestabil‐ityandreliabilityofthesesystemsinavarietyof applications.

Overall,thesestudiesdemonstratetheimpor‐tanceofdevelopingnewmodelsandapproachesfor analyzingthestabilityandrobustnessofintercon‐nectedembeddedsystems.Theseapproachescanhelp ensurethesafeandreliableoperationofsuchsys‐temsinvariousapplicationdomains.Insection 2, anoverviewofSystemModelshasbeenprovided. Performanceanalysisoflinearuncertainsystemshas beenintroducedinsection3.Insection4,wepresent numericalexamplestoshowtheusefulnessofthe

JournalofAutomation,MobileRoboticsandIntelligentSystems VOLUME17,N∘ 42023
50

proposedresults.Finally,thepaperendswiththebrief conclusioninsection5

2.ProblemFormulation

Weconsiderthefollowinginterconnectedembed‐deduncertainsystemsshowninFigure 1,wherethe ïżœïżœïżœïżœâ„Žsubsystemisgivenby[25]

ïżœïżœ(ïżœïżœ)=ïżœïżœïżœïżœÎ”ïżœïżœïżœïżœ(ïżœïżœ)+ ïżœïżœïżœïżœ ïżœïżœ=1 ïżœïżœïżœïżœïżœïżœÎ”ïżœïżœïżœïżœ(ïżœïżœ)+Î“ïżœïżœÎ”ïżœïżœïżœïżœ(ïżœïżœ)

ïżœïżœïżœïżœ(ïżœïżœ)=ïżœïżœïżœïżœÎ”ïżœïżœïżœïżœ(ïżœïżœ)+ÎŠïżœïżœÎ”ïżœïżœïżœïżœ(ïżœïżœ) (1) andwhereïżœïżœïżœïżœ âˆˆâ„œïżœïżœ isthestatevectorofsubsystemj, theexogenousinputïżœïżœïżœïżœ âˆˆâ„œïżœïżœ1 representsdisturbance signals, ïżœïżœïżœïżœ âˆˆâ„œïżœïżœ1 isthecontrolledoutput, ïżœïżœ,ïżœïżœâˆˆ {1,
,ïżœïżœïżœïżœ},andthematrices ïżœïżœïżœïżœÎ”, ïżœïżœïżœïżœïżœïżœÎ”, Î“ïżœïżœÎ”, ïżœïżœïżœïżœÎ”,and ÎŠïżœïżœÎ” areofappropriatedimensions.Todescribethe uncertainty,thesystemmatricesïżœïżœïżœïżœ,ïżœïżœïżœïżœïżœïżœ,Î“ïżœïżœ,ïżœïżœïżœïżœ,andÎŠïżœïżœ areassumedtobeuncertain,belongingtoaconvex polytopicmodelofthetype.

ïżœïżœïżœïżœÎ” ïżœïżœïżœïżœïżœïżœÎ” Î“ïżœïżœÎ”

ïżœïżœïżœïżœÎ” 0ÎŠïżœïżœÎ” âˆˆÎ ïżœïżœ ≜ ïżœïżœïżœïżœïżœïżœ ïżœïżœïżœïżœïżœïżœïżœïżœ Î“ïżœïżœïżœïżœ ïżœïżœïżœïżœïżœïżœ 0ÎŠïżœïżœïżœïżœ

ïżœïżœ ïżœïżœ=1 ïżœïżœïżœïżœ ïżœïżœïżœïżœïżœïżœ ïżœïżœïżœïżœïżœïżœïżœïżœ Î“ïżœïżœïżœïżœ ïżœïżœïżœïżœïżœïżœ 0ÎŠïżœïżœïżœïżœ , ïżœïżœïżœïżœ âˆˆÎ›ïżœïżœ (2)

Where Î›ïżœïżœ ≜

1,
,ïżœïżœïżœïżœ)∶ ïżœïżœ ïżœïżœ=1 ïżœïżœïżœïżœ =1,ïżœïżœïżœïżœ

ïżœïżœïżœïżœ =ïżœïżœïżœïżœïżœïżœïżœïżœ(ïżœïżœïżœïżœïżœïżœ),ÎŠïżœïżœ =ïżœïżœïżœïżœïżœïżœïżœïżœ(ÎŠïżœïżœïżœïżœ),

ïżœïżœ=[ïżœïżœïżœïżœ 1,
,ïżœïżœïżœïżœ ïżœïżœïżœïżœ]ïżœïżœ,ïżœïżœ=[ïżœïżœïżœïżœ 1,
,ïżœïżœïżœïżœ ïżœïżœïżœïżœ]ïżœïżœ (5)

Consideringthesystem(4),thetransferfunctionfrom ïżœïżœ(ïżœïżœ)toïżœïżœ(ïżœïżœ)isgivenby

ïżœïżœïżœïżœ(ïżœïżœ)=ïżœïżœïżœïżœ(ïżœïżœïżœïżœâˆ’ïżœïżœïżœïżœ)−1Î“ïżœïżœ +ÎŠïżœïżœ (6)

Thesystem(4)satis iestheHin inityattenuation criterionif,forallnonzeroïżœïżœ(ïżœïżœ)âˆˆïżœïżœïżœïżœ 2[0,∞)

ïżœïżœïżœïżœïżœïżœ â€–ïżœïżœ(ïżœïżœ)‖2≠0

â€–ïżœïżœ(ïżœïżœ)‖2 â€–ïżœïżœ(ïżœïżœ)‖2 â‰€ïżœïżœ (7)

Foraprescribedscalarïżœïżœâ‰»0,where‖⋅‖2 stands fortheïżœïżœ2 norm.

Asshownin[26,27],condition(7)issatis iedif: ïżœïżœ(ïżœïżœ)+ïżœïżœïżœïżœ(ïżœïżœ)ïżœïżœ(ïżœïżœ)âˆ’ïżœïżœ2ïżœïżœïżœïżœ(ïżœïżœ)ïżœïżœ(ïżœïżœ)â‰ș0 (8)

Remark1.Theparameteruncertaintiesconsidered inthispaperareassumedtobeofpolytopictype. Thepolytopicuncertaintyhasbeenwidelyusedin theproblemsofperformanceanalysisforuncertain systems.

First,lemma1and2,whicharegiven,arevery essentialforthenextdevelopments.

Thefollowinglemmaprovidesanecessaryand suf icientconditionforthesystem(4)tobestablewith â€–ïżœïżœ(ïżœïżœ)‖∞ â‰șïżœïżœ

(3)

Whereïżœïżœ={1,
,ïżœïżœ}isnumberofpolytopevertices. Theclassofsystemsdescribedby(1)isfrequently encounteredinmodelingseveralphysicalsystems. Thesubsystemsinformula(1)canbereformuledas ïżœïżœ = ïżœïżœïżœïżœ Î“ïżœïżœ ïżœïżœïżœïżœ ÎŠïżœïżœ

With ïżœïżœïżœïżœ

ïżœïżœ ïżœïżœ (4)

ïżœïżœ1ïżœïżœ ïżœïżœ12ïżœïżœ â€Šïżœïżœ1ïżœïżœïżœïżœïżœïżœ ïżœïżœ21ïżœïżœ ïżœïżœ2ïżœïżœ â€Šïżœïżœ2ïżœïżœïżœïżœïżœïżœ ⋟⋟⋱⋟ ïżœïżœïżœïżœïżœïżœ1ïżœïżœ ïżœïżœïżœïżœïżœïżœ2ïżœïżœ â‹Żïżœïżœïżœïżœïżœïżœïżœïżœ ,Î“ïżœïżœ =ïżœïżœïżœïżœïżœïżœïżœïżœ(Î“ïżœïżœïżœïżœ),

Lemma1[9, 18].TheContinuous‐timesystem(4), withpolytopicrepresentation(2)–(3),isasymptoti‐callystablewithâ€–ïżœïżœ(ïżœïżœ)‖∞ â‰șïżœïżœ,forallïżœïżœâˆˆÎ›ïżœïżœ,ifand onlyifthereexistsamatrixfunctionïżœïżœïżœïżœ ≻0andscalar ïżœïżœâ‰»0,suchthatthefollowingLMIhold(thesymbol∗ meansasymmetricblock):

ïżœïżœ (9)

Lemma2[13](Finsler’sLemma).Let ïżœïżœâˆˆâ„œïżœïżœ , ïżœïżœ= ïżœïżœïżœïżœ âˆˆâ„œïżœïżœĂ—ïżœïżœand ïżœïżœâˆˆâ„œïżœïżœĂ—ïżœïżœ suchthat ïżœïżœïżœïżœïżœïżœïżœïżœ(ïżœïżœ)â‰șïżœïżœ, andïżœïżœâŠ„ abasisforthenull‐spaceofïżœïżœ (i.e.ïżœïżœâŠ„ïżœïżœ=0). Thenthefollowingstatementsareequivalent:

1) ïżœïżœïżœïżœïżœïżœïżœïżœâ‰ș0,forallïżœïżœâ‰ 0,ïżœïżœïżœïżœ=0;

2) ïżœïżœïżœïżœ âŠ„ïżœïżœïżœïżœâŠ„ â‰ș0;

3) âˆƒïżœïżœâˆˆâ„œïżœïżœĂ—ïżœïżœ âˆ¶ïżœïżœ+ïżœïżœïżœïżœ+ïżœïżœïżœïżœïżœïżœïżœïżœ â‰ș0

3.MainResult

Inthissection,wepresentastabilityandH∞per‐formanceofinterconnecteduncertainsystems.

3.1.NewRobustStabilityConditionforPolytopic EmbeddedSystems

Inthissection,anewrobuststabilityconditionsfor thepolytopicembeddedsystem(4)isdeveloped.The mainresultforuncertainembeddedsystemisstated inthefollowingtheoremwithïżœïżœ(ïżœïżœ)≡0.

JournalofAutomation,MobileRoboticsandIntelligentSystems VOLUME17,N∘ 42023
=
(ïżœïżœ
≄0
=
Figure1. Interconnectedembeddeduncertainsystems
ïżœïżœïżœïżœ
ïżœïżœ +ïżœïżœïżœïżœïżœïżœïżœïżœ ïżœïżœïżœïżœÎ“ïżœïżœ ïżœïżœïżœïżœ ïżœïżœ ∗ âˆ’ïżœïżœ2ïżœïżœÎŠïżœïżœ ïżœïżœ ∗ âˆ—âˆ’ïżœïżœ â‰ș0,âˆ€ïżœïżœâˆˆÎ›
ïżœïżœïżœïżœ
51

Theorem1.Thepolytopicembeddedsystem(4)is asymptoticallystable,forallïżœïżœâˆˆÎ›ïżœïżœ,ifandonlyifthere existsmatricesïżœïżœïżœïżœ ≻0,ïżœïżœ,ïżœïżœ andïżœïżœâ‰ș0suchthatthe followingLMIsarefeasible.

ïżœïżœïżœïżœïżœïżœ +ïżœïżœïżœïżœ ïżœïżœïżœïżœïżœïżœ âˆ’ïżœïżœïżœïżœïżœïżœïżœïżœ âˆ’ïżœïżœ+ïżœïżœïżœïżœ ïżœïżœïżœïżœïżœïżœ

∗ âˆ’ïżœïżœâˆ’ïżœïżœïżœïżœ âˆ’ïżœïżœïżœïżœ â‰ș0, (10)

Proof

TheLMIs(10)areobtainedbyconsidering

ïżœïżœ= ïżœïżœ ïżœïżœ , (11)

ïżœïżœ= ïżœïżœïżœïżœ âˆ’ïżœïżœ , (12)

ïżœïżœ= 0ïżœïżœïżœïżœ ïżœïżœïżœïżœ 0 , (13) incondition(3)ofLemma2,with

ïżœïżœâŠ„ = ïżœïżœ ïżœïżœïżœïżœ (14)

3.2.H∞ ∞ PerformanceAnalysisofPolytopicEmbedded Systems

Theorem2.Theuncertainembeddedsystem(4) isasymptoticallystablewith â€–ïżœïżœ(ïżœïżœ)‖∞ â‰șïżœïżœ,for allïżœïżœâˆˆÎ›ïżœïżœ,ifandonlyifthereexistsmatrices ïżœïżœïżœïżœ ≻ 0,ïżœïżœ1,ïżœïżœ2,ïżœïżœ3,andïżœïżœ4,suchthatthefollowingLMIsare feasible.

Κ

∗ι

∗∗ι33 ι34

âˆ—âˆ—âˆ—âˆ’ïżœïżœ

Where

2

â‰ș0, (15)

Κ13 =ïżœïżœ1Î“ïżœïżœ +ïżœïżœïżœïżœ ïżœïżœïżœïżœïżœïżœ 3

Κ14 =ïżœïżœïżœïżœ ïżœïżœ +ïżœïżœïżœïżœ ïżœïżœïżœïżœïżœïżœ 4

Κ22 =âˆ’ïżœïżœ2 âˆ’ïżœïżœïżœïżœ 2

Κ23 =ïżœïżœ2Î“ïżœïżœ âˆ’ïżœïżœïżœïżœ 3

Κ24 =âˆ’ïżœïżœïżœïżœ 4

Κ33 =âˆ’ïżœïżœ2ïżœïżœ+ïżœïżœ3Î“ïżœïżœ +Î“ïżœïżœ ïżœïżœ ïżœïżœïżœïżœ 3

Κ34 =ÎŠïżœïżœ ïżœïżœ +Î“ïżœïżœ ïżœïżœ ïżœïżœïżœïżœ 4 (16)

Proof

Choosealyapunovfunctioncandidatetobe ïżœïżœ(ïżœïżœ)=ïżœïżœïżœïżœ(ïżœïżœ)ïżœïżœïżœïżœïżœïżœ(ïżœïżœ) (17)

ïżœïżœïżœïżœ givenby ïżœïżœïżœïżœ = âˆ‘ïżœïżœ ïżœïżœ=1 ïżœïżœïżœïżœïżœïżœïżœïżœ,where ïżœïżœïżœïżœïżœïżœ âˆˆâ„œïżœïżœĂ—ïżœïżœ are constantsymetricmatricesmustbedetermined.

Calculatingthederivativeof ïżœïżœ(ïżœïżœ) from(8),we obtained

ïżœïżœ(ïżœïżœ)ïżœïżœïżœïżœ(ïżœïżœ)+ïżœïżœïżœïżœ(ïżœïżœ)ïżœïżœÌ‡ïżœïżœ(ïżœïżœ)+ïżœïżœïżœïżœ(ïżœïżœ)ïżœïżœ(ïżœïżœ)âˆ’ïżœïżœ2ïżœïżœïżœïżœ(ïżœïżœ)ïżœïżœ(ïżœïżœ)

0ïżœïżœïżœïżœ 0ïżœïżœïżœïżœ ïżœïżœ ∗000 âˆ—âˆ—âˆ’ïżœïżœ2ïżœïżœÎŠïżœïżœ ïżœïżœ âˆ—âˆ—âˆ—âˆ’ïżœïżœ

ïżœïżœ= ⎡ ⎱ ⎱ ⎣ ïżœïżœ1 ïżœïżœ2 ïżœïżœ3 ïżœïżœ4 ⎀ ⎄ ⎄ ⎊ , (21) ïżœïżœ= ïżœïżœïżœïżœ âˆ’ïżœïżœÎ“ïżœïżœ 0 , (22)

ïżœïżœâŠ„ = ⎡ ⎱ ⎱ ⎣ ïżœïżœ00 ïżœïżœïżœïżœ Î“ïżœïżœ 0 0ïżœïżœ0 00ïżœïżœ ⎀ ⎄ ⎄ ⎊ (23)

whichprovides,bycalculationandusingcondition(ii) oflemma2,theequalitybetween ïżœïżœïżœïżœ âŠ„ïżœïżœïżœïżœâŠ„ â‰ș0 and theLMIsin(9).Thus,(9)isequivalentto(15)using Lemma2.

Thiscompletestheproofofthetheorem2.

4.NumericalExample

Inthissection,anexampleisgiventoillustrate theef iciencyoftheproposedmethod.Weconsidera classoflinearembeddedsystemsconsistingofthree interconnectedsubsystemsshownas

1(ïżœïżœ)=ïżœïżœ1ïżœïżœïżœïżœ1(ïżœïżœ)+ 3 ïżœïżœ=1,ïżœïżœâ‰ 1 ïżœïżœ1ïżœïżœïżœïżœïżœïżœïżœïżœ(ïżœïżœ)+Γ1ïżœïżœïżœïżœ1(ïżœïżœ) ïżœïżœ1(ïżœïżœ)=ïżœïżœ1ïżœïżœïżœïżœ1(ïżœïżœ)+Ί1ïżœïżœïżœïżœ1(ïżœïżœ) Subsystem2: 2(ïżœïżœ)=ïżœïżœ2ïżœïżœïżœïżœ2(ïżœïżœ)+ 3 ïżœïżœ=1,ïżœïżœâ‰ 2 ïżœïżœ2ïżœïżœïżœïżœïżœïżœïżœïżœ(ïżœïżœ)+Γ2ïżœïżœïżœïżœ2(ïżœïżœ) ïżœïżœ2(ïżœïżœ)=ïżœïżœ2ïżœïżœïżœïżœ2(ïżœïżœ)+Ί2ïżœïżœïżœïżœ2(ïżœïżœ) Subsystem3: 3(ïżœïżœ)=ïżœïżœ3ïżœïżœïżœïżœ3(ïżœïżœ)+ 3 ïżœïżœ=1,ïżœïżœâ‰ 3 ïżœïżœ3ïżœïżœïżœïżœïżœïżœïżœïżœ(ïżœïżœ)+Γ3ïżœïżœïżœïżœ3(ïżœïżœ) ïżœïżœ3(ïżœïżœ)=ïżœïżœ3ïżœïżœïżœïżœ3(ïżœïżœ)+Ί3ïżœïżœïżœïżœ3(ïżœïżœ) 52

JournalofAutomation,MobileRoboticsandIntelligentSystems VOLUME17,N∘ 42023
⎡ ⎱ ⎱ ⎱ ⎣
11 Κ12 Κ13 Κ14
24
22 Κ23 Κ
⎀ ⎄ ⎄ ⎄
⎊
Κ11 =ïżœïżœ1ïżœïżœïżœïżœ +ïżœïżœïżœïżœ ïżœïżœïżœïżœïżœïżœ 1
12 =ïżœïżœïżœïżœ âˆ’ïżœïżœ1 +ïżœïżœïżœïżœ ïżœïżœïżœïżœïżœïżœ
Κ
=ïżœïżœïżœïżœïżœïżœïżœïżœâ‰ș0 (18) Where ïżœïżœ= ïżœïżœïżœïżœ(ïżœïżœ)Ì‡ïżœïżœïżœïżœ(ïżœïżœ)ïżœïżœïżœïżœ(ïżœïżœ)ïżœïżœïżœïżœ(ïżœïżœ) ïżœïżœ , (19) ïżœïżœ= ⎡ ⎱ ⎱ ⎱ ⎣ ⎀ ⎄ ⎄ ⎄ ⎊ , (20)
TheLMIs(15)isobtainedbyconsidering
incondition(3)ofLemma2,with
Subsystem1:

Table1. ComparisonofMinimumH∞ performance, ïżœïżœmin

Method

SchuleforDecentralizedstate feedbackcontrolforinterconnected systemsin[9]

Figure2. Interconnectedembeddedsystem:firstvertex

Withthefollowingparameters:

,ïżœïżœ32ïżœïżœ = 00 0−1 , AccordingtoLemma1andTheorem2,theobtained guaranteedperformancesarelistedinTable1

Table1showsclearlythatLemma1islessconser‐vativethanTheorem2forthisexample.

Fortheanalysisofinterconnectedembeddedsys‐tems,theH∞normscomputedatthefourverticesof interconnectedembeddedsystemareobtainedfrom theFigures 2 to 5:alltheobtainednormsunderthe guaranteedthe0.5199bound.

5.Conclusion

TheconclusionofthestudyonstabilityandH∞ analysisforinterconnectedembeddedsystemsisthat itiscriticaltoconsiderthestabilityoftheover‐allsystemwhendesigninginterconnectedembedded systems.

Interconnectedembeddedsystem:second vertex

Interconnectedembeddedsystem:thirdvertex

Interconnectedembeddedsystem:fourth vertex

Theinterconnectionofmultiplesubsystemscan leadtoinstabilityandthepossibilityofsystemfailure, whichcanhaveseriousconsequencesinsafety‐critical applicationssuchasautomotiveoraerospacesystems. H∞ controltheoryprovidesapowerfulframework fordesigningrobustcontrolsystemsthatcanmiti‐gatetheeffectsofdisturbancesanduncertainties.By usingH∞ controltechniques,itispossibletodesign controllersthatguaranteestabilityandperformance despiteuncertainorunknownsystemparameters. Thestudyhighlightstheimportanceofconsidering theinterconnectionstructureofembeddedsystems whenapplyingH∞ controltechniques.Inparticular, thestudyemphasizestheneedtoaccountforthecou‐plingbetweendifferentsubsystemsandtheeffectof externaldisturbancesonthesystem.

JournalofAutomation,MobileRoboticsandIntelligentSystems VOLUME17,N∘ 42023
ïżœïżœmin
63.78×10−2 Bytheorem2 51.99×10−2
ïżœïżœ1ïżœïżœ = −2+ïżœïżœ1 0 −2−1+ïżœïżœ2 ,Γ1ïżœïżœ = 0.2 0.2 , ïżœïżœ1ïżœïżœ = 0.20.1 ,Ί1ïżœïżœ =0.5 ïżœïżœ2ïżœïżœ = −1+ïżœïżœ1 0 −1−4+ïżœïżœ2 ,Γ2ïżœïżœ = 0.1 0.3 , ïżœïżœ2ïżœïżœ = 0.20.1 ,Ί2ïżœïżœ =0.2 ïżœïżœ3ïżœïżœ = ïżœïżœ1 1 −1−2+ïżœïżœ2 ,Γ3ïżœïżœ = 0.1 0.5 , ïżœïżœ3ïżœïżœ = 0.1−0.1 ,Ί3ïżœïżœ =0.1 Where−1â‰€ïżœïżœ1 ≀0.1,−0.1â‰€ïżœïżœ2 ≀0.2 Couplings: ïżœïżœ12ïżœïżœ = 10 10 ,ïżœïżœ13ïżœïżœ = 0−1 0−1 , ïżœïżœ21ïżœïżœ = −1−2 36 ,ïżœïżœ23ïżœïżœ = −11 3−2 , ïżœïżœ31ïżœïżœ = 12 12
Figure3. Figure4. Figure5.
53

Overall,thestudyconcludesthattheuseofH∞ controltechniquescansigni icantlyimprovethesta‐bilityandperformanceofinterconnectedembed‐dedsystems,anditisessentialtoconsiderthese techniquesinthedesignofsafety‐criticalembedded systems.

AUTHOR

AmalZouhri∗ –SidiMohammedBenAbdellahUni‐versity,FacultyofSciencesDharElMahraz,Fez, Morocco,e‐mail:amal.zouhri@usmba.ac.ma.

∗Correspondingauthor

References

[1] X.Zhang,X.Liu,G.Yang,andY.Zou.“Robuststa‐bilityandH∞analysisforinterconnecteduncer‐tainsystems,” IEEETransactionsonIndustrial Electronics,vol.66,no.9,2019,pp.6911–6920. doi:10.1109/TIE.2018.2889317

[2] M.Osman,S.Wang,andK.Tang.“Robustmodel predictivecontrolofinterconnectedembedded systemssubjecttocommunicationdelays,” IEEETransactionsonIndustrialElectronics, vol.68,no.3,2021,pp.1893–1903.doi: 10.1109/TIE.2020.2968401

[3] W.Zheng,Z.Zhang,F.Sun,andS.Wen.“Robust stabilityanalysisandfeedbackcontrolfornet‐workedcontrolsystemswithadditiveuncertain‐tiesandsignalcommunicationdelayviamatri‐cestransformationinformationmethod,” InformationSciences,vol.582,pp.258–286,Jan.2022, doi:10.1016/j.ins.2021.09.005.

[4] Z.Wang,G.Feng,H.R.Karimi,andX.Zhao. “RobustH∞ controlforuncertainswitched delayedsystemswithtime‐varyingdelayand inputsaturation,” IEEETransactionsonCircuits andSystemsII:ExpressBriefs,vol.64,no.5,2017, pp.547–551.doi:10.1109/TCSII.2016.2537570.

[5] Y.Hong,andY.Q.Chen.“RobustH∞ iltering fortime‐delaysystemswithsensorfaultsand packetdropouts,” IEEETransactionsonCybernetics,vol.49,no.9,2019,pp.3171–3181.doi: 10.1109/TCYB.2018.2867895.

[6] X.Zhang,J.Chen,andX.Li.“RobustH∞ controlofuncertaint‐sfuzzysystemswith time‐varyingdelayviaswitchedlyapunov functionals,” IEEETransactionsonFuzzy Systems,vol.27,no.8,2019,pp.1577–1589.doi: 10.1109/TFUZZ.2018.2877014.

[7] Z.WangandG.Feng.“Delay‐dependentH∞con‐trolofswitchedsystemswithtime‐varyingdelay andactuatorsaturation,” IEEETransactionson IndustrialElectronics,vol.66,no.3,2019,pp. 2178–2186.doi:10.1109/TIE.2018.2827393.

[8] Z.G.WuandT.Chu.“H∞ controlforaclass ofdiscrete‐timeswitchednonlinearsystems withtime‐delayandactuatorsaturation,”

IEEETransactionsonIndustrialElectronics, vol.67,no.3,2020,pp.1968–1976.doi: 10.1109/TIE.2019.2905538.

[9] S.Schuler,U.MĂŒnz,andF.Allgöwer.“Decentral‐izedstatefeedbackcontrolforinterconnected systemswithapplicationtopowersystems,” JournalofProcessControl,vol.24,2014,pp. 379–388.

[10] H.Li,H.Gao,andJ.Lam.“H∞ ilteringfor switchedlinearsystemswithsensorfaultsand packetdropouts,” IEEETransactionsonCircuits andSystemsII:ExpressBriefs,vol.64,no.4,2017, pp.443–447.doi:10.1109/TCSII.2016.2562325.

[11] G.FengandC.Yang.“H∞ controlofswitched linearsystemswithtime‐varyingdelayand inputsaturation,” IEEETransactionsonAutomaticControl,vol.65,no.4,pp.1779–1786.doi: 10.1109/TAC.2019.2926787.

[12] H.Gao,T.Chen,andJ.Lam.“H∞ stateestima‐tionforswitchedlinearsystemswithsensor faultsandpacketdropouts,” IEEETransactions onIndustrialElectronics,vol.65,no.6,2018,pp. 5006–5016.doi:10.1109/TIE.2017.2771919.

[13] Z.Wang,andG.Feng.“RobustH∞ controlfor uncertainswitchedsystemswithtime‐varying delayandinputsaturation,” IEEETransactions onAutomaticControl,vol.63,no.12,2018,pp. 4227–4234.doi:10.1109/TAC.2018.2821039.

[14] Y.XuandM.Fu.“Robuststabilityandstabiliza‐tionofswitchedinterconnectedsystems:asur‐vey,” IEEETransactionsonAutomaticControl,vol. 66,no.8,2021,pp.3552–3569.

[15] T.ChenandB.Francis.“Robustcontrolofuncer‐taininterconnectedsystems:asurvey,” IEEE TransactionsonControlofNetworkSystems,vol. 7,no.4,pp.1408–1420.

[16] Y.YangandY.Zhang.“RobustH∞ controlfora classofnonlinearinterconnectedsystems,” IEEE TransactionsonAutomaticControl,vol.66,no.3, 2020,pp.1278–1285.

[17] X.GuoandB.Jiang.“Robuststabilizationofinter‐connectedsystemsviadynamicoutputfeed‐back,” Automatica, vol.103,2019,pp.23–31.

[18] Y.MaandJ.Huang.“RobustH∞ controlfora classofnonlinearinterconnectedsystemswith uncertainties,” IEEETransactionsonCircuitsand SystemsII:ExpressBriefs,vol.66,no.3,2019,pp. 500–504.

[19] M.LiandZ.Zhang.“Robuststabilizationofinter‐connectedsystemswithtime‐varyingdelaysvia outputfeedback,” IEEETransactionsonCircuits andSystemsII:ExpressBriefs,vol.65,no.8,2018, pp.1055–1059.

[20] Y.XuandJ.Zhang.“Robuststabilizationofaclass ofuncertaininterconnectedsystemsviafuzzy control,” IEEETransactionsonFuzzySystems,vol. 26,no.2,2018,pp.789–798.

JournalofAutomation,MobileRoboticsandIntelligentSystems VOLUME17,N∘ 42023
54

[21] Y.ZhangandT.Hu.“RobustH∞controlforinter‐connectedsystemswithtime‐varyingdelays,” IEEETransactionsonAutomaticControl,vol.62, no.7,2017,pp.3655–3662.

[22] C.PengandY.Du“RobustH∞controlforaclass ofnonlinearinterconnectedsystemswithtime‐varyingdelay,” NonlinearDynamics,vol.88,no.3, 2017,pp.1783–1793.

[23] S.LiandH.Li.“Robuststabilizationofintercon‐nectedsystemsviafuzzycontrol,” IEEETransactionsonCybernetics,vol.46,no.7,2016,pp. 1656–1667.

[24] X.WangandY.Du“RobustH∞ controlfora classofnonlinearinterconnectedsystemswith parametricuncertainties,” IETControlTheory& Applications,vol.10,no.3,pp.203–210.

[25] L.LiuandT.Chen.“Robuststabilizationofinter‐connectedsystemswithstate‐dependentuncer‐tainties,” Automatica, vol.69,2016,pp.36–43.

[26] X.ZhangandY.Zhang.“RobustH∞ control forinterconnectedsystemswithtime‐varying delaysandpacketdropouts,” IEEETransactions onIndustrialElectronics,vol.62,no.8,2015,pp. 5067–5074.

[27] X.Wang&Y.Du.“RobustH∞ controlforaclass ofnonlinearinterconnectedsystemswithtime‐varyingdelays,” IETControlTheory&Applications,vol.9,no.14,pp.2131–2138.

[28] J.Wang,andY.Li.“Robuststabilizationof interconnectedsystemswithuncertaintime‐varyingdelaysviaslidingmodecontrol,” NonlinearDynamics,82(4),pp.2129–2140.

JournalofAutomation,MobileRoboticsandIntelligentSystems VOLUME17,N∘ 42023
55

Abstract:

WIMAXNETWORKOPTIMIZATIONUSINGFRAMEPERIODWITHCHANNEL ALLOCATIONTECHNIQUES

WIMAXNETWORKOPTIMIZATIONUSINGFRAMEPERIODWITHCHANNEL WIMAXNETWORKOPTIMIZATIONUSINGFRAMEPERIODWITHCHANNEL

WIMAXNETWORKOPTIMIZATIONUSINGFRAMEPERIODWITHCHANNEL ALLOCATIONTECHNIQUES

Submitted:22nd December2022;accepted:27th February2023

MubeenAhmedKhan,AwanitKumar,KailashChandraBandhu

DOI:10.14313/JAMRIS/4‐2023/31

InternetconnectivityinWiMAXnetworks,alongwithvar‐iousapplications,isincreasingrapidly,sotheconnectivity ofinternetanddatatransferspeedarealwayschallenges foreffectivedatatransmissioninwirelessnetworks.Sev‐eralfactorsaffecttheperformanceofnetworks.One importantfactoristochooseasuitableframeperiodfor effectivedatatransmissions.Theperformanceofdiffer‐entframeperiodswithRoundRobinandStrictPriorityis evaluatedinthiswork.AframeperiodinRoundRobin performsbetterthanaStrictPriorityintermsofthrough‐put,butaStrictPriorityperformsbetterintermsofdrop rates.Thispaperalsodemonstratesthataneffective frameperiod,whencombinedwithaproperbandwidth allocationalgorithm,yieldsbetterresults.Thisworkgives theanalysisthatRoundRobinperforms83.8847%bet‐terwhileStrictPriorityperforms86.0020%betterthan theearliestdeadlinefirstalgorithmsfor10subscriber stationsintermsofthroughput.Thisworkishelpfulto researchersandindustrialistsforactualimplementations inWiMAXnetworks.

Keywords: IEEE802.16,WiMAX,Bandwidthallocation algorithm,Frameperiod,Roundrobinalgorithm,Strict priorityalgorithm

1.Introduction

TheWiMAXisakindofBroadbandWirelessAccess (BWA)networkforhigh‐speeddatatransferthatcan beusedwherethelyingofcablesisnotfeasible[1]. Varioustechnologieshavebeendesignedbasedon IEEEstandards.ItincludesIEEE802.11forWi‐Fi, IEEE802.16‐2004for ixedWiMAX,andIEEE802.16e formobileWiMAX.ItisaBWAsystemthatfollows theIEEE802.16‐2004andIEEE802.16estandards[2]. Wirelessservicesarechallenginginrural,denseareas, andsometimes,inunevengeographicalareas,there arehighdataratesinWiMAXnetworkswithlargecov‐erageareasandalargefrequencyspectrumforinte‐gratedvideo,audiovoice,anddataservicesrequired inthoseareas.Networkenhancementandperfor‐manceimprovementarestillachallengeinmobile WiMAXnetworks.Inreal‐lifescenarios,packetsare droppedwhileusingthequalityofservices(QoS)such asaudio,video,orvoice.Thedroppingofpackets usingtheexistingtechniqueaffectssystemperfor‐manceduetovariousfactors,suchasinfrastructure, environments,andappliedalgorithms.

Thisworkisbasedontheappliedalgorithmin whichtheperformanceofthesystemisaffected.The performanceoftheproposedsystemisincreased byoptimizingtheframeperiods.Theframedura‐tion,alongwiththechannelbandwidthalgorithm, isanimportantareatoenhancetheperformanceof WiMAXnetworksinrural,dense,andunevengeo‐graphicalareasfordifferentdataservices.Thecur‐rentimplementationsaredoneusingabasestation andsubscriberstationsforaudio,video,anddataser‐vicesinfourth‐generationtechniques.Theconnectiv‐itybetweentheSSsandBSfordatatransferisdone usingindividualTransmissionControlProtocol(TCP) connectionsandsynchronization,whichisamustfor transmissionofdata[3].AllSSsreceivedatafrom thebasestationatthestartofeveryframeusingan UplinkMap(ULMAP)message[4].TheLightWiMAX usestheprincipleoforthogonalfrequencydivision multiplexingandprovidesvariousqualitiesofservice andmultihoppingtechniques[5].

Thisworkalsofoundthattheexistingframeperiod isnotatpeakef iciencyanddemonstratesbetter results.Whenvaryingtheframeperiodsintheexisting algorithm,optimizednewframeperiodintheexisting algorithmgivesbetterresults.

Thenextsectionsofthispaperincludethelit‐eraturesurveywithnetworkstructure,followedby bandwidthallocationalgorithms,thenresultsanddis‐cussions,and inallytheconclusionandfuturework.

2.RelatedWork

Hugeworkhasbeendoneinwirelesscommunica‐tionsystemsinscheduling,buttherearestillvarious needstobedoneforeffectiveperformanceinWiMAX networks.Previousworkhasbeendoneonvarious algorithmslikeRoundRobin[6],WeightedRound Robin[7,8],andWeightedFairQueuing[9],whichare generallyproposedforWiMAXnetworks.Thesealgo‐rithmsaregeneralalgorithmsanddonottakecareof speci icapplicationsofWiMAXnetworks.Thesealgo‐rithmsarenoteffectiveforhigh‐speeddatanetworks butarestillusedinmanyapplicationsofWiMAXnet‐works.Somewirelessapplicationsarechannelaware applications,whilesomealgorithmsarenon‐aware ofchannelbandwidth.Someoftheprede inedalgo‐rithmsarestillnotsuitableforhigh‐speedinternet services,whilesomealgorithmsarenotsuitablefor mobilityapplications.Whenchannelawareschemes arediscussed,itisrequiredtounderstandchannel stateinformation.

2023 © Khanetal.ThisisanopenaccessarticlelicensedundertheCreativeCommonsAttribution-Attribution4.0International(CCBY4.0) (http://creativecommons.org/licenses/by-nc-nd/4.0/) VOLUME17,N∘ 42023 JournalofAutomation,MobileRoboticsandIntelligentSystems
56

Priorityisgiventothosesubscriberstationswhose channelconditionsaregood.Also,ifchannelcon‐ditionsaregoodandproperallocationtechniques likeradioresourcesandutilizationareavailable,it becomeseasytoenhancetheperformanceofnet‐works.Theissuewiththeseschemesisintheallo‐cationtechniques,inwhichsubscriberstationsstarve forsubstantialintervalsifchannelconditionsarepoor, whileoverprovisionsaremadeforSSswithgood channelconditions.MAClayerschemesaredesigned withidealchannelconditionsinmind.Thepurposeof MAClayerschemesistoassuremaximumthroughput, minimumtraf icrate,andfairness.SincevariousQoS classesarede inedinWiMAXnetworkswithdifferent requirements,animportantschedulingdecisionmust imposesomesortofpriority.Multiantennamode andavailablebandwidthareresponsibleforhigh‐speeddatatransferratesovertheairofabout1Gbps speed.Thistypeofworkissuitableforgoodquality andhighercapacityservicesandinternetprotocols suitableforavastrangeandquality‐basedinternet services.Theseservicesarenotonlysuf icientto maintainfullbackwardcompatibilitybutalsosupport thoseservicesthatmaybeusefulfornext‐generation internetservices.Thisworkmentionedallthetechni‐calaspectsofIEEE802.16minwhichnext‐generation internetservicesareproposedinthefuture[10].

Forfullutilizationofframes,mobileWiMAX allowspacketfragmentation,whichenhancesnet‐workcapacity.Variationsinchannelconditionscause variationsintimeandlocation.De icitroundrobin withfragmentationandtheearliestdeadline irst algorithmsaresomealgorithmsthatwerepreviously proposed.Resourcesareallocatedasperthevaria‐tioninlinkcapacityinmobileWiMAXinaneffec‐tivemannertotransmitfragmentedpacketsinthe network[11].De icitroundrobinwithfragmenta‐tiongivesbetterperformanceintermsofthrough‐putthanDRR,whichisabout80%higher,giving minimumoverheadsthanglobalpositioningsystems. Someworkhasalsobeendoneonframedura‐tionstoimprovetheperformanceenhancementsof WiMAXnetworks.Thispaperconsidersdataratein termsofspectralef iciencies,cellcoverage,latencies, spectrumef iciency,andqualityofservice,includ‐ingcomplexities.Thispaperexplorestheimproved WiMAXtechnologyfocusingonthephysicallayer, MAClayer,andthoseservicesessentialtoimprove qualityofservicesfornetworkbetterments[12].This workfocusesondetailedschedulingandcollaboration withserviceproviders.Channelawarenesscross‐layer schedulingisproposed,whichdescribesthereduction ofpacketlossanddelayandgivesbetterthrough‐put[13].Thispaperdetailsthetransmissioncontrol protocolanduserdatagramprotocolperformancein IEEE802.16[14].Inthiswork,theauthordiscusses andanalysesissueslikecoverageholesandcapac‐ityoptimizations.Thisworkalsosuggeststherelay stationasaneffectivesolutionformulti‐hoprelays thatguaranteeperformance.Thispaperalsogives betterresultswhenoptimalrelaysareusedinthe networks[15].

Endtoenddelayinpackettransmissionand receivinginthenetworksisproposedbyweighted RoundRobinschedulinginWiMAXnetworkstoana‐lyzetheperformance[16].

Designinganetworkstructurewithconstraints inmobilemulti‐hoprelay‐basednetworksisachal‐lengeinIEEE802.16withasuitableframestructure. Theframestructuredesignusingdifferentparame‐tersintermsofdimensions,designconstraints,and challengesisstillaproblem.The lexibleframestruc‐turedesignisproposed,whichisusedtoperform variousmulti‐hopoperationswhilemaintainingback‐wardcompatibilitywithlegacysystemsonmobile stations.Usingsuchasystemincreasesthecapac‐ityimprovementinmobilemulti‐hoprelaysandalso establishesabetterunderstandingintermsofrange extensionsinrelaynetworks[17].

Thisworkproposestheschedulingarchitecture foruplinkanddownlinkconnectionofIEEE802.16. Thisarchitectureincludesvariousqualityofservice parameters,whichincludelatency,sustainedrate,jit‐tertoleration,minimumreservedbandwidth,request transmissionpolicies,traf icpriority,burstsize,SDU size,andqueuingfordifferentservice lows.Inthis paper,twoimportantalgorithms,named irstin, irst out,andearliestdeadline irstandself‐clockfairqueu‐ingalgorithmforef icientbandwidth,areusedalong withthequalityofservices[18].

Thisresearchevaluatesthechoiceforeffective framestructureinnon‐transparentrelaystationsin WiMAXnetworks.Singleframestructureandmulti‐pleframestructurearetwotypesofstandardspro‐posedbyIEEE802.16j‐2009.Nocomparisonsare madeamongtheseframestructures.LightWiMAXis usedtoevaluatetwoframestructuresusingntRSof QoS.Thisworkismainlyfocusedonachievinghigher throughputusingthemulti‐framestructureforvoice capacitiesintermsofdelays[19].

ThisworkproposedforIEEE802.16jqualityof serviceschedulingscalablearchitecturewhichguar‐anteesqualityofserviceforvariousmobileapplica‐tions.Thispaperfocuseson indinganappropriate qualityofserviceimprovements.TheSQSAsupports QoSarchitecturesSQSAmodulesandsupportitsfunc‐tionsformobileapplications[20].

Thisworkisdonetoincreasethedata‐sendingrate andextendthenetworkcoverageareausingrelaysta‐tionswithIEEE802.16.Theperformanceisincreased byallocatinganappropriateresourcetoindividual relaystationsaspertheneedsofthenetworks.This workalso indsthatifresourceallocationisnotprop‐erlydone,thenrelaystationswillexperiencecon‐gestion,whichresultsinperformancedegradationin termsofthroughputanddelay.Basestationsdynam‐icallyschedulethedatatransmissionstorelaysby centrallymanagedrelaystations.IEEE802.16stan‐dardsde inedecentralizedradioresourcesbymeans ofexistingscheduling.Conventionalservicedecreases thesystemperformance;hencethoseservicesare usedthatincreasethesystemperformance.

JournalofAutomation,MobileRoboticsandIntelligentSystems VOLUME17,N∘ 42023
57

Theseservicesareusednotonlytomaximize thethroughputbutalsotominimizepacketdelays andreducesignalingoverheadsbypre‐allocatingand decentralizingcontrolledrelaystations.Thispaper alsomentioneddefaultradioresources,whichshow thatrelaystationsindependentlyassignresources withoutaskingthebasestationsothattraf ic,over‐head,andpacketdelayscanbereduced[21].

Thisworkinvestigatestheimprovedthroughput andminimumdelaysforenduserswithvariousappli‐cationslikevoice,video,andaudioservicesbyreduc‐ingthecostusingtheavailablespectralresourcesby usingrelaystations.Theproposedworkgivesacost‐effectivesolutionbyinstallingthethree‐relaystation withadaptivemodulationandcodingschemes,cell sectoring,anddirectionalantennasinIEEE802.16. Thisworkincreasedthethroughputwithalesser numberofrelaystationswithinthesamebasesta‐tionrangewithoutcompromisingthequalityofser‐vice[22].

ThisworkproposesrelaystationsinWiMAXnet‐workswithdifferentbandwidthallocationalgorithms toenhancethesignalpoweroverlongdistanceswith relaystations.Thispapershowsthattherelaystation extendsthecoveragewithhighthroughputandhigh bandwidthofchannels.Thispaperfocusesonper‐formanceanalysisofbandwidthallocationalgorithms withandwithoutrelaystations.Thisworkcompares thechannelbandwidthallocationalgorithmwithand withoutrelaystation,andperformanceenhancement isproposedandevaluated[5].

3.NetworkStructure

ThenetworkstructureshowninFigure1consists ofonebasestationandmanysubscriberstations.The basestation(BS)isconnectedtosubscriberstations (SS)throughindividualwirelessTCPconnections.The dataistransmittedfromthebasestationtothesub‐scriberstationsthroughawirelessmedium.Adown‐loadinglinkisestablishedfromthebasestationtothe subscriberstation,andthechannelisallocatedtosub‐scriberstationsusingRoundRobinandStrictPriority channelallocationtechniques;thebasestationtrans‐mitsdatatosubscriberstationsusingindividualTCP connectionswithallocatedchannelbandwidth,which isshowninFigure1forperformanceevaluation.

Variousnetworktoolsarealsoavailabletoperform thestudyofWiMAXnetworks,likeMATLAB,Netsim, Opnet,OMnet++,andmanymore.Onesuchsimulation toolisLightWiMAX[5].Toevaluatetheperformance ofWiMAXnetworkstheNetworkSimulator(NS‐2)is used.TheFrame_LWXtimer()functionisusedtoadd theMediumAccessControl(MAC)Layer.Oncethe packetsstarttransmitting,theMACsourceaddress andMACdestinationaddressarede ined.Portnum‐bersatthesourceanddestinationarealsode ined fordatatransmissionsinthecode.Ifnonodematch‐ingthedestinationaddressisfound,thepacketis dropped.DataisonlytransmittedfromBStoSS,and bandwidthallocationisdoneusingavariablede ined inthecode.

JournalofAutomation,MobileRoboticsandIntelligentSystems VOLUME17,N∘ 42023
Figure1. Networkstructure
58

Inthesimulation,twovariablesareused:“1”for theroundrobinalgorithmand“2”fortheStrictPri‐orityalgorithm.Thecollectionofdownlink lowinto acorresponding lowqueueisstoredinthelinkpro‐gram.

4.BandwidthAllocationAlgorithms

Thebandwidthallocationalgorithmensures properbandwidthmanagementforthesmooth transmissionofnetworkstosubscriberstations.The StrictPriorityschedulingbasedoneitherpreemptive ornon‐preemptivebandwidthallocationalgorithm forwirelessnetwork.Priorityschedulinggenerally suffersfromtheproblemofstarvation;highpriority taskapplicationswillbeinreadyorwaitingcondition if,onthebasestation,theprocesslosescontrolin waitingconditions[23].Intheschedulingtechniques, thehigherpriorityprocessesareprocessed,whereas lowerpriorityprocessesareneglected.Innon‐prioritypreemptivescheduling,ittakesalongertime ascomparedtohigherpriorityprocessesonthebase station,whichcanleadtoastarvationcondition[24].

AnotheralgorithmistheRoundRobinalgorithm, whichisthepreemptiveschedulingalgorithm.Each processisgivenasetamountoftimetocomplete; thisisreferredtoasaquantum.Preemptionisneeded fortheexecutionofoneprocesswithinagiventime interval[25].Contextswitchingisusedtosavestates ofpreemptedprocesses[8].

Everybandwidthallocationalgorithmhasitsown channelallocationworkings[26].Thisworkusedthe framedurationwithRoundRobinandStrictPriority algorithms.Therearetwopathsthatcouldbechosen: onethatgoesdirectlytothebasestationandonethat goesthroughrelaystations.Inthispaper,twohop relaysthattransmitdatafromSStoBSonlyareused. VariousstepsareinvolvedwhenusingtheAODVrout‐ingprotocol,whichincludesthediscoveryofpaths, setupofpathselection,forwardpathselection,rout‐ingtablemanagementwithpathmaintenance,and localconnectivitymanagement.Themainadvantage ofusingtheAODVprotocolisthatitisscalableandcan beusedforalargenumberofnodes.Broadcastmini‐mizationisanotheradvantageofusingthisalgorithm. Anotheradvantageofusingthisroutingalgorithmis thatitreducesmemoryrequirementsandcanbeused innetworksforloop‐freeroutingmaintenance.

Forperformingthereal‐worldimplementationof thescenarios,NetworkSimulator2isasimulationtool usedtoperformvarioussimulations.Toexecutethe code,thistoolusedtheC++languageinconjunction withToolCommandLanguage[27].Thesimulation environmentsareusedtocarryouttheentiredeploy‐ment.Thistoolisanevent‐driventoolthatprovidesa dynamicenvironmentforcreatingscenariosthatare identicaltotherealparametersrequiredfornetwork creation.Simplecommandsareusedtoimplementthe toolforde iningnetworkcon igurations.

4.1.Algorithm1:RoundRobin–DownlinkBandwidth Allocation

1) Start

2) Createpointertoeach lowtype’squeuetoallo‐cation

3) GetsymbolnumberofDLandUL

4) Createalgorithmcalculationvariable

5) Resetallrelativevariables’valuein low’s attribute

6) SetPathselection

a) Findthepath(directlytoBSorpassingthough RelayStationRS)

b) SetBWA_Flow_TypeandBWA_Next_Hop

7) Selectpath

a) If(this lowhasrelaylink,usethe irstrelay linkanditsnexthop)

b) Elseuseaccesslink

8) Bandwidthallocation

a) Accesszone:RR+minQoSGurantee

b) Relayzone:onlyRR

i. Collect lowintocorresponding low queue

ii. Bs‐>SSandBS‐>RSshouldalsobe schedulingtogether,becausetheyusethe samebandwidth

9) Downlinkaccessbandwidthallocation

a) Satisfyeachdl low’sRmin

b) Satisfyeachdl lowbyRoundRobin

c) FinaldlBWAsetting

d) Logeachphase’sbandwidthallocationofeach downlink low

10) Downlinkrelaybandwidthallocation(RS‐>SS)

a) Satisfyeachdlrelay lowbyRR

b) FinaldlBWAsetting

c) Logeachphase’sbandwidthallocationtoeach downlinkrelay low

11) Uplinkaccessbandwidthallocation

a) Satisfyeachul lowRmin

b) Satisfyeachul lowbyRR

c) Logeachphase’sbandwidthallocationofeach downlink low

12) Uplinkrelaybandwidthallocation(RS‐>SS)

a) Satisfyeachulrelay lowbyRR

b) FinalULBWAsetting

c) Logeachphase’sbandwidthallocationofeach downlinkrelay low

d) Lwx_tests_msg(“RR’sULRelayBWA”)

e) Osttringstreamlog_send_plt

f) Log_send_pkt

g) Getpacket

h) Getlog

i) Lwx_test_msg(“dl”.Log_bwa.str());

JournalofAutomation,MobileRoboticsandIntelligentSystems VOLUME17,N∘ 42023
59

j) DecreaseBWA_Total

k) Pinthispacket

l) Senddownpacket

13) Timer lowchart:

a) Createpointertodownlinkanduplinkqueue toallocationbandwidthef iciently

b) Classify lowsofthenodeandcallthecorre‐spondingtransmissionfunctionswhosenode IDissourceintocorresponding lowqueue

14) EndTimer

15) End

4.2.Algorithm2:StrictPriority–DownlinkBandwidth Allocation

1) Start

2) Createpointertoeach lowtype’squeuetoallo‐cation

3) GetsymbolnumberofDLandUL

4) CreateStrictPriorityalgorithmcalculationvari‐able

5) Resetallrelativevariablesvaluein low’s attribute

6) SetPathselection

a) Findthepath(directlytoBSorpassingthough RelayStationRS)

b) SetBWA_Flow_TypeandBWA_Next_Hop

7) Selectpath

a) If(this lowhasrelaylink,usethe irstrelay linkanditsnexthop)

b) Elseuseaccesslink

8) Bandwidthallocation(StrictPriority)

a) Accesszone:RR+minQoSGurantee

b) Relayzone:onlyRR

i. Collect lowintocorresponding low queue

ii. Bs‐>SSandBS‐>RSshouldbealso schedulingtogether,becausetheyuse samebandwidth

9) Downlinkaccessbandwidthallocation

a) Satisfyeachdl low’sR‐min

b) Satisfyeachdl lowbyRoundRobin

c) FinaldlBWAsetting

d) Logeachphase’sbandwidthallocationofeach downlink low

10) Downlinkrelaybandwidthallocation(RS‐>SS)

a) Satisfyeachdlrelay lowbyRR

b) FinaldlBWAsetting

c) Logeachpahse’sbandwidthallocationtoeach downlinkrelay low

11) Uplinkaccessbandwidthallocation

a) Satisfyeacheachul‐ lowR‐min

b) Satisfyeachul‐ lowbyRR

c) Logeachpahse’sbandwidthallocationofeach downlink low

12) Uplinkrelaybandwidthallocation(RS‐>SS)

a) Satisfyeachulrelay lowbyRR

b) FinalULBWAsetting

c) Logeachphase’sbandwidthallocationofeach downlinkrelay low

d) Lwx_tests_msg(“RR’sULRelayBWA”)

e) Osttringstreamlog_send_plt

f) Log_send_pkt

g) Getpacket

h) Getlog

i) Lwx_test_msg(“dl”.Log_bwa.str());

j) DecreaseBWA_Total

k) Pinthispacket

l) Senddownpacket

13) Timer lowchart:

a) CreatepointertodownlinkanduplinkStrict Priorityqueueforallocationofbandwidth

JournalofAutomation,MobileRoboticsandIntelligentSystems VOLUME17,N∘ 42023
Figure2. Workflowdiagram:roundrobin–downlinkbandwidthallocation
60

b) Classify lowsofthenodeandcallthecorre‐spondingtransmissionfunctionswhosenode idissourceintocorresponding lowqueue

14) EndTimer

15) End

5.ResultsandDiscussions

5.1.SimulationParameters

Table1showsthevarioussimulationparameters usedinthiswork.Oneoftheparametersusedinthis workisaroutingtablebasedonad‐hoctechniques. On‐demandroutingprotocolsusedinwirelessnet‐worksareloop‐freeprotocols.Thisprotocolisaself‐startingprotocolusedinthesubscriberstationenvi‐ronment.Thisisalsousedtoimplementvariousother parameterslikemobilityofnodes,failurelinkman‐agementprotocols,andlossofpacketidenti ication. Hence,toidentifyalltheseworksinwirelessworks, theAODVprotocolplaysanimportantrole.

Ad‐hocon‐demandroutingprotocolismaintained byaroutingtable,whichkeepsthedetailsaboutthe nearbyrouters[28].Theroutingtablemaintainedby AODVconsistsofthreetypesofinformation,including thenexthopcount,sequencenumbers,andthetotal hopcount,whichisneededtotransferthedataamong thenodes.Next,hopcountisusedtoidentifythe distanceofcurrentnodestotheintendednodes.

Thesecondparameterusedistransmissionpro‐tocol,whichmaybeeitherconnection‐orientedor connection‐less.Inthiswork,atransmissioncontrol protocolisused[29].Twoalgorithms,RoundRobin algorithmandStrictPriority,areusedinthiswork. Also,asustainabletimeof300secondsisusedforsim‐ulationstohaveaccurateresults.Subscriberstations, referredtoasnodesinthispaper,areassignedinitially withtennumbersandincreaseupto100nodeswith adifferenceof10nodeseachtime.Inthiswork,the frameperiodis5ms,2.5ms,1.25,and0.625millisec‐ondsaretaken,andtherestoftheparametersarevar‐iedtoanalyzetheperformanceofWiMAXnetworks.

Table1. Parametersforsimulation

Parameters Values

RoutingProtocols AdHocOnDemandRouting Protocol

TransportProtocol TransmissionControl Protocol(TCP)

BandwidthAllocation Algorithm RoundRobin(RR)and StrictPriority(SP)

SimulationDuration 300Seconds

NumberofWireless

Nodes 10,20,30

upto100

FrameDuration 0.005,0.0025,0.00125, 0.000625Millisecond

FrameSymbol 48

Thefollowingparametersareconsideredforana‐lyzinglightWiMAXnetworks,whichareshownin Table1.

5.2.PerformanceEvaluation

Theperformanceevaluationisdoneonthebasisof thefollowingmatrices:

1) Throughput:Therawdatasentbythesender machineduringaspeci iedduration.

Throughput = NumberofPacketsSent ∗8

SimulationDuration

∗10−6 Mbps (1)

Wherethe,

Numberofpacketssent: Totalpacketssentby sendermachineofsize1024Byteeach.

SimulationDuration: Thedurationofdatatrans‐ferinseconds.

2) Goodput:Thepacketssuccessfullyreceivedand acknowledgedbyreceivermachine.

Goodput = NumberofPacketsReceived ∗8

SimulationDuration

∗10−6 Mbps (2)

JournalofAutomation,MobileRoboticsandIntelligentSystems VOLUME17,N∘ 42023
Figure3. Workflowdiagram:strictpriority–downlinkbandwidthallocation
61

Wherethe, Numberofpacketsreceived: Totalpackets receivedbyreceivermachineofsize1024Byte each.

SimulationDuration: Thedurationofdatatrans‐ferinseconds.

3) PacketDrop:Totalpacketsdroppedduringthe communicationduration.

DropRate = NumberofPacketsDropped ∗8 SimulationDuration

∗10−6 Mbps (3)

Wherethe, Numberofpacketsdropped: Totalpackets droppedofsize1024Byteeach.

SimulationDuration: Thedurationofdatatrans‐ferinseconds.

5.3.PerformanceAnalysis

ItisevidentfromFigure 4 thatathroughputof 9.12Mbpsfor10nodesisobservedintheRound Robinalgorithm,whichismuchbetterthanStrictPri‐ority.Throughputalsodecreaseswiththeincreasing numberofnodes.Acomparativeanalysisrevealsthat RoundRobinhasan88.4%higherStrictPriorityfor 20nodes.Thethroughputfor50subscriberstations is8.79Mbpsand9.92MbpsfortheRRandSPalgo‐rithms,respectively.Similarly,forRoundRobinand StrictPriority,itisobtainedat8.59Mbpsand10.04 Mbpsfor70nodes,respectively.Continuousdegrada‐tionisobservedasthenumberofnodesincreasesin thetwoalgorithms.Thesameresultsarecontinuously observedasthenumberofnodesincreases.Strict Priorityisfoundtobe11.39%moreef icientthan RoundRobinfor50nodesand18.33%betterfor100 nodes.Asthenumberofnodesincreases,throughput decreasesinbothRoundRobinandStrictPriority, duetothefullutilizationofthechannelandmaxi‐mumbandwidthutilizations.Whensubscriberstation

increasessingleorthogonalfrequencydivisionmul‐tiplexingsymbolusesmultiplebitswhichdegrades thethroughputofthechannel.Asthenumberofsub‐scriberstationsincreases,multiplebitsarecarriedin asingleOFDMsymbol.Ashorterframeperioduses thechannel’smaximumbandwidth,andthroughputis higherforfewernodes.Theeffectduetodelayspread isminimizedwhenalongerdatasymbolisused,and whendelayspreadissmall,itbecomesaninsigni icant fractionofthesymbollength.Onincreasingsubscriber stations,fullutilizationofthebasestationisused, whichusesawiderchannel.

Figure5showsthatasmallernumberofnodesper connectioncanalsoleadtohighergoodput,thatis, 9.51MbpsobtainedusingtheRoundRobinalgorithm for10subscriberstations.Theobservedgoodputis 9.03Mbpsfor20subscribers.Italsoobtained8.39 Mbpsand6.75Mbpsgoodputfor60subscribersta‐tionsinroundrobinandStrictPriority.Theobtained goodputfor80subscriberstationsis8.45Mbpsand 8.3MbpsforroundrobinandStrictPriority,respec‐tively.Theobtainedgoodputfor100nodesis8.19 Mbpsand10.15MbpsforroundrobinandStrictPri‐ority,respectively.Whenacomparativeanalysisis done,itisobservedthatroundrobinforrelayper‐forms89.1%betterforStrictPriorityfor10nodes, 87.4%betterfor30nodes,81.8%betterfor60nodes, 82.4%betterfor80nodes,and79.7%betterfor100 nodes.ThisdemonstratesthatStrictPrioritydoesnot performbetterintermsofthroughputforstations withfewersubscribers.Asthenumberofpacketssent persecondwentup,sodidtheamountofdatathat couldbesentthroughthechannel.Themostdata issentthroughchannelswithfewersubscribers[7]. Whenacomparativeanalysisisdone,RoundRobin performsmuchbetterthanStrictPriority.Whenthe numberofnodesincreases,thegoodputinbothcases decreasesduetothedroppingofpacketsoccurring (busychannel).Whenthenumberofnodesincreases, performancesuffersasthechannelisfullyutilized, resultinginanincreaseddroprate.

JournalofAutomation,MobileRoboticsandIntelligentSystems VOLUME17,N∘ 42023
Figure4. Throughputofframeperiodforroundrobinandstrictpriority
62

Figure4showsthatthedroppedpacketsinStrict Priorityaremuchhigherascomparedwithround robin.Therateofpacketdropsincreasedasthenum‐berofsubscriberstationsincreasedbecausesignals wereinitiallytransmittedwithmaximumpowerfrom basestations,reducingthelikelihoodofsignallosses. Similarly,astraf icloadsincrease,itbecomesdif icult tomaintainasmanysubscriberstations,andtheyare droppedafteralongperiodofwaiting[24].Figure4 showsthatthedropratealsoincreasedduetothe unavailabilityofmodulationoverlongdistances.Ini‐tially,packetdropratesof0.005,0.016,0.027,0.032, and0.056Mbpsareobtainedfor10,30,50,70, and100nodes,respectively,forStrictPriorityand RoundRobin,whichisshowninTable2.Asthenodes increase,thepacketdropratealsoincreasesby0.002, 0.007,0.010,0.014,0.019,and0.024Mbpsfor10,30, 50,70,and100nodes,respectively,forStrictPriority. Thevariationindataratedependsonwhetherthe receiverisinlineofsightornot[26].Incasesofnon‐line‐of‐sight(NLOS),thedataratesdropsigni icantly duetotheadaptivemodulation[30].Whencompar‐ingallthreealgorithms,thedroprateishigherin StrictPrioritywhenthesubscriberstationsincrease. Itisobservedthat37.2%,42.15%,41.7%,49.9%,and 37.3%arehigherthanStrictPriorityfor,respectively, 10,30,50,70,and100nodes.

Figure7showsthatroundrobinandStrictPriority algorithmswithanumberofnodesequalto10in eachcasearecomparedwithpreviouslyproposedEDF andDRRFonthebasisofframedurationandchannel bandwidthallocation.ItisobservedthatStrictPrior‐ityandRoundRobinperformmuchbetterinterms ofthroughputascomparedtoEDF,whichisshown inTable 3 whentaking10nodesineachcase.Itis observedfromtheanalysisthatRoundRobinper‐forms83.8847%betterwhileStrictPriorityperforms 86.0220%betterinthecaseofamaximumof10 subscriberstations.

Sincepreviousalgorithmshavenotmentionedthe throughputformorethan10nodes,hencethecom‐parisonsfor20,40,60,and80nodesarenotshownin thiswork.So,forthesenodes,comparisonsbetween thetwoalgorithmsareavailableonly.So,fortherest ofthenodes,thecomparisonsofStrictPriorityand RoundRobinaredoneinthiswork.Itisobserved fromtheanalysisthat,fornodes,throughputis7.84% higherthanRoundRobininthecaseof20nodes. Itisobservedthat14.61%and15.01%arehigher thanRoundRobinfor40and80nodes.Theanalysis showsthathigherthroughputisobservedmorein StrictPrioritythantheRoundRobinalgorithmineach case.Higherthroughputisobservedduetosuccessful sendingofpacketsfrombasestationtosubscriber station.

JournalofAutomation,MobileRoboticsandIntelligentSystems VOLUME17,N∘ 42023
Figure5. Goodputofframeperiodforroundrobinandstrictpriority Figure6. Droprateofframeperiodforroundrobinandstrictpriority
63

Table2. ComparisonofbandwidthallocationalgorithminWiMAXnetworkswiththroughput

Table3. ComparisonofbandwidthallocationalgorithminWiMAXnetworkswithgoodput

Throughputisgenerallyconsideredasaggregate sinceitisdependentonmanyfactorslikeinterfer‐enceincludingradio,physical,andelectricalsignals. Anotherfactorthatimpactsthroughputisdistance betweenthebasestationandsubscriberstations.Var‐iousotherobstacleslikegeographicalinfrastructure ofEarthisalsoaparameterthroughwhichthroughput receiveimpactsin2.4GHzbandinwirelesscommuni‐cationsystems.

Figure8showsthatroundrobinandStrictPrior‐ityalgorithmswithnumbersofnodesequalto10in eachcasearecomparedwithpreviouslyproposedEDF andDRRFonthebasisofframedurationandchannel bandwidthallocation.ItisobservedthatStrictPriority andRoundRobinperformmuchbetterintermsof goodputascomparedtoEDF.Basedontheanalysis, RoundRobinworksbetterforupto10subscribers

by83.8752%,whileStrictPriorityworksbetterby 86.0163%.

Sincepreviousalgorithmshavenotmentionedthe goodputformorethan10nodes,hencethecompar‐isonsfor20,40,60,and80nodesarenotshownin thiswork.So,forthesenodes,goodputcomparisons betweentheproposedtwoalgorithmsareavailable only.So,fortherestofthenodes,thecomparisons ofStrictPriorityandRoundRobinaredoneinthis work.Itisobservedfromtheanalysisthatfornodes, goodputisobservedtobe7.95%higherthanRound Robininthecaseof20nodes,whileitisobservedtobe 17.16%and15.25%higherthanRoundRobinfor40 and80nodes.Theanalysisshowsthathighergoodput isobservedinStrictPrioritythanRoundRobinalgo‐rithmineachcase.Highergoodputisobserveddueto thesuccessfulsendingofpacketsfromthebasestation tothesubscriberstation.

JournalofAutomation,MobileRoboticsandIntelligentSystems VOLUME17,N∘ 42023
Number ofNodes
Percent Higherthan EDF
Percent Higherthan EDF
Percent Higherthan Round Robin 10 9.12179 10.5166 1.47 1.47 1.47 83.8847% 86.0220% –20 9.04207 9.81998 – – – – – 7.84% 40 8.88284 10.4029 – – – – – 14.61% 80 8.49475 9.99818 – – – – – 15.04%
Throughput (Round Robin) Throughput (Strict Priority) Throughput (EDF) Throughput (DRRF) Throughput (EDF-DRRF) Throughput (Round Robin)
Throughput (Strict Priority)
Throughput (Strict Priority)
Figure7. Throughputcomparisonofproposedalgorithmwithexistingalgorithms
Number ofNodes
Goodput (EDF) Goodput (DRRF) Goodput (EDF-DRRF)
Percent Higherthan EDF
Percent Higherthan EDF
Percent Higherthan Round Robin 10 9.11642 10.5123 1.47 1.47 1.47 83.8752% 86.0163% –20 9.03117 9.81304 – – – – – 7.95% 40 8.6067 10.3903 – – – – – 17.16% 80 8.45051 9.97117 – – – – – 15.25%
Goodput (Round Robin) Goodput (Strict Priority)
Goodput (Round Robin)
Goodput (Strict Priority)
Goodput (Strict Priority)
64

Goodputisalsodependentonmanyfactorslike interference,includingradio,physical,andelectrical signals.Anotherfactorthatimpactsgoodputisthe distancebetweenthebasestationandsubscriber stations.Variousotherobstacleslikethegeographi‐calinfrastructureoftheeartharealsoaparameter throughwhichgoodputreceiveimpactsinthe2.4GHz bandinwirelesscommunicationsystems.

Figure9showsapercentwisecomparativeanaly‐sisintermsofthroughputandgoodputfor10nodes ofEDFwithStrictPriorityandRoundRobin.Italso showsacomparisonofStrictPriorityandRound Robinalgorithmsfor20,40,and80nodessincepre‐viousworkforagreaternumberofnodesisnotmen‐tionedinthereferencedpapers.Overall,itisobserved thatStrictPriorityperformsmuchbetteramongall threealgorithmsintermsofthroughputandgoodput.

6.Conclusion

Theworkisusedtoenhancetheperformanceof WiMAXnetworkswithvariousframeperiods.Also, thisworkisdonetoenhancetheperformancebyvary‐ingframeperiodsinthealgorithms,anditisobserved fromtheanalysisthatvaryingtheframeperiodinthe algorithmreallyenhancestheperformanceofWiMAX networks.Theenhancementisdonebychangingthe existingalgorithmandaddingthenewframeperiods. Thisanalysisalsoshowsthatduringthebandwidth allocation,iftheframeperiodisvaried,thensomehow aStrictPriorityalgorithmgivesbetterresultsinthe formofthroughput,goodput,andpacketdroprate.

TheStrictPrioritybandwidthallocationalgo‐rithmsgivebetterresultsascomparedtoroundrobin algorithmsforallframeperiods.Whentheframe periodis0.005milliseconds,roundrobinandStrict PriorityperformmuchbetterthantheEarliestDead‐lineFirstAlgorithm(EDFA)inWiMAXnetworks.It isobservedfromtheanalysisthatRoundRobinper‐forms83.8%,whileStrictPrioritygives86.2%bet‐terthroughputthanthe“earliestdeadline irst”algo‐rithmfor10subscriberstations.Similarly,itisalso observedthatGoodputperforms83.60%andStrict Priority86.01%betterfor10subscriberstationsthan thetraditionalRoundRobinalgorithmand90%better thanStrictPriorityinformsofthroughput.Asmaller frameperiodgivesbetterresultsforef icientdata transmission.Thestudyalsofoundthatwhenthe numberofnodesisreduced,thethroughputincreases [24,31–33].

7.FutureWork

Thewholeworkcanbecarriedoutwithvarious qualityofserviceparameterswhichmayincludebest effort,realtimepolingservice,non‐realtimepoling service,unsolicitedgrantserviceandextendedreal timepolingservices.Differentchannelallocationscan alsobedoneforanalysis.Thiswholeanalysiscould alsobedonewith5Gnetworks.

JournalofAutomation,MobileRoboticsandIntelligentSystems VOLUME17,N∘ 42023
Figure8. Goodputcomparisonofproposedalgorithmwithexistingalgorithms Figure9. Comparativeanalysis(%wise)ofthroughputandgoodputinroundrobinandstrictprioritynodesandEDF
65

AUTHORS

MubeenAhmedKhan –DepartmentofComputerSci‐enceandEngineering,SangamUniversity,Bhilwara, Rajasthan,India,e‐mail:makkhan0786@gmail.com.

AwanitKumar –DepartmentofComputer ScienceandEngineering,SangamUniver‐sity,Bhilwara,Rajasthan,India,e‐mail: awanit.kumar@sangamuniversity.ac.in.

KailashChandraBandhu∗ –DepartmentofCom‐puterScienceandEngineering,Medi‐CapsUniversity, Indore,MadhyaPradesh,India,e‐mail:kailashchan‐dra.bandhu@gmail.com.

∗Correspondingauthor

References

[1] “IEEEStandardforLocalandMetropolitanArea NetworksPart16:AirInterfaceforFixedBroad‐bandWirelessAccessSystems,” IEEEStd802.162004(RevisionofIEEEStd802.16-2001),pp.1–857,2004,doi:10.1109/IEEESTD.2004.226664.

[2] “IEEEStandardforLocalandMetropolitanArea Networks–Part16:AirInterfaceforFixed andMobileBroadbandWirelessAccessSys‐tems–AmendmentforPhysicalandMedium AccessControlLayersforCombinedFixedand MobileOperationinLicensedBands,” IEEEStd 802.16e-2005andIEEEStd802.16-2004/Cor12005(AmendmentandCorrigendumtoIEEE Std802.16-2004),pp.1–822,Feb.2006,doi: 10.1109/IEEESTD.2006.99107.

[3] K.M.Ahmed,K.Sarita,andT.Vibha.“Perfor‐manceAnalysisofWiMAXNetworkswithRelay Station,” InternationalJournalonRecentTrends inEngineering&Technology,vol.8,no.1,p.30, 2013.

[4] C.Eklund,R.B.Marks,K.L.Stanwood,and S.Wang.“IEEEstandard802.16:atechnical overviewoftheWirelessMAN/supTM/airinter‐faceforbroadbandwirelessaccess,” IEEECommunicationsMagazine,vol.40,no.6,pp.98–107, Jun.2002,doi:10.1109/MCOM.2002.1007415.

[5] M.A.Khan,A.Kumar,andK.C.Bandhu.“World‐wideInteroperabilityforMicrowaveAccessnet‐workoptimizationwithandwithoutrelaysta‐tionfornextgenerationinternetaccess,” InternationalJournalofCommunicationSystems,vol.35, no.17,p.e5318,2022,doi:10.1002/dac.5318.

[6] E.L.Hahne.“RoundRobinschedulingforfair lowcontrolindatacommunicationnetworks,” Thesis,MassachusettsInstituteofTechnology, 1986.accAvailable: https://dspace.mit.edu/h andle/1721.1/14932.

[7] M.Katevenis,S.Sidiropoulos,andC.Courcou‐betis.“WeightedRoundRobincellmultiplexing inageneral‐purposeATMswitchchip,” IEEE JournalonSelectedAreasinCommunications,

vol.9,no.8,pp.1265–1279,Oct.1991,doi: 10.1109/49.105173.

[8] A.Silberschatz,P.B.Galvin,andG.Gagne, OperatingSystemConcepts.Wiley,2005.

[9] P.Goyal,H.M.Vin,andH.Chen.“Start‐timefair queueing:aschedulingalgorithmforintegrated servicespacketswitchingnetworks,” SIGCOMM Comput.Commun.Rev.,vol.26,no.4,pp.157–168,Aug.1996,doi:10.1145/248157.248171.

[10] S.Ahmadi.“Anoverviewofnext‐generation mobileWiMAXtechnology,” IEEECommunicationsMagazine,vol.47,no.6,pp.84–98,Jun. 2009,doi:10.1109/MCOM.2009.5116805.

[11] C.So‐In,R.Jain,andA.‐K.Tamimi.“ADe icit RoundRobinwithFragmentationschedulerfor IEEE802.16eMobileWiMAX,”in 2009IEEE SarnoffSymposium,Mar.2009,pp.1–7.doi: 10.1109/SARNOF.2009.4850308.

[12] J.Rakesh,W.V.A.,andU.Dalal.“ASurveyof MobileWiMAXIEEE802.16mStandard.”arXiv, May06,2010.doi:10.48550/arXiv.1005.0976.

[13] R.NandhiniandN.Devarajan.“Comparisonfor WiMAXSchedulingAlgorithmsandProposal QualityofServiceImprovementinWiMAXNet‐works,” AJAS,vol.11,no.1,pp.8–16,Nov.2013, doi:10.3844/ajassp.2014.8.16.

[14] H.K.RathandA.Karandikar.“Performanceanal‐ysisofTCPandUDP‐basedapplicationsinaIEEE 802.16deployednetwork,”in 2011The14th InternationalSymposiumonWirelessPersonal MultimediaCommunications(WPMC),Oct.2011, pp.1–5.Available:https://ieeexplore.ieee.org/ document/6081520

[15] N.Mazhar,M.Zeeshan,andA.Naveed.“Per‐formanceImpactofRelaySelectioninWiMAX IEEE802.16jMulti‐hopRelayNetworks,” InternationalJournalofAdvancedComputerScience andApplications(IJACSA),vol.10,no.9,Art.no. 9,36/302019,doi:10.14569/IJACSA.2019.010 0950.

[16] D.Rathore,A.Shukla,andG.Jaiswal.“Perfor‐manceEvaluationofWeightedRoundRobin SchedulingforWiMAXNetworksUsingQualnet Simulator6.1,” IOSRJournalofElectronicsand CommunicationEngineering,vol.9,pp.77–81, Jan.2014,doi:10.9790/2834‐09257781.

[17] Z.Tao,A.Li,K.H.Teo,andJ.Zhang.“Frame StructureDesignforIEEE802.16jMobileMul‐tihopRelay(MMR)Networks,”in IEEEGLOBECOM2007–IEEEGlobalTelecommunications Conference,Nov.2007,pp.4301–4306.doi: 10.1109/GLOCOM.2007.818.

[18] R.Mahmood,M.Tariq,andM.Khiyal.“ANovel ParameterizedQoSbasedUplinkandDown‐linkSchedulerforBandwidth/DataManagement overIEEE802.16dNetwork,” InternationalJournalofRecentTrendsinEngineering,vol.2,pp.42–46,Nov.2009.

JournalofAutomation,MobileRoboticsandIntelligentSystems VOLUME17,N∘ 42023
66

[19] P.Kolomitro,M.T.Abd‐Elhamid,andH.Has‐sanein.“Aperformancecomparisonofframe structuresinWiMaxrelaynetworks,”in IEEE LocalComputerNetworkConference,Oct.2010, pp.769–776.doi:10.1109/LCN.2010.5735810.

[20] A.F.BayanandT.‐C.Wan.“AscalableQoS schedulingarchitectureforWiMAXmulti‐hop relaynetworks,”in 20102ndInternational ConferenceonEducationTechnologyand Computer,Jun.2010,pp.V5‐326‐V5‐331.doi: 10.1109/ICETC.2010.5530061.

[21] P.MachandR.Bestak.“Radioresourcesallo‐cationfordecentrallycontrolledrelaystations,” WirelessNetw,vol.17,no.1,pp.133–148,Jan. 2011,doi:10.1007/s11276‐010‐0269‐8.

[22] N.Ahmed,M.AliShah,andS.Zhang.“Ef icient DeploymentofRelayStationsinIEEE802.16m forCostEffectivePerformance,” ProcediaComputerScience,vol.10,pp.992–997,Jan.2012,doi: 10.1016/j.procs.2012.06.135.

[23] KhanMubeenAhmedandBandhuKailashChan‐dra.“AnalysisofWiMAXNetworkswithBand‐widthAllocationAlgorithms(RoundRobinand StrictPriority),” InternationalJournalofRecent TechnologyandEngineering,vol.8,no.4,pp.19–22,Jun.2019.

[24] A.Sayenko,O.Alanen,andT.HĂ€mĂ€lĂ€inen. “SchedulingsolutionfortheIEEE802.16base station,” ComputerNetworks,vol.52,no.1,pp. 96–115,Jan.2008,doi:10.1016/j.comnet.200 7.09.021.

[25] D.VandanaandM.Sharma.“RoundRobinCPU SchedulingwithDynamicQuantumusingVague Sets,” InternationalJournalofAdvancedScience andTechnology,vol.29,pp.9940–9950,Jul. 2020.

[26] Y.‐C.LaiandY.‐H.Chen.“DesigningandImple‐mentinganIEEE802.16NetworkSimulatorfor PerformanceEvaluationofBandwidthAlloca‐tionAlgorithms,”in 200911thIEEEInternational ConferenceonHighPerformanceComputingand Communications,Jun.2009,pp.432–437.doi: 10.1109/HPCC.2009.40.

[27] K.C.BandhuandR.G.Vishwakarma.“Perfor‐manceevaluationofTCPVegasinWiMAXnet‐workasymmetry,” IJWMC,vol.10,no.2,p.97, 2016,doi:10.1504/IJWMC.2016.076165.

[28] K.C.Bandhu.“PerformanceComparisonof TransmissionControlProtocolVariantsin WiMAXNetworkwithBandwidthAsymmetry,” in InternationalConferenceonAdvanced ComputingNetworkingandInformatics,R. Kamal,M.Henshaw,andP.S.Nair,Eds.,in AdvancesinIntelligentSystemsandComputing. Singapore:Springer,2019,pp.247–261.doi: 10.1007/978‐981‐13‐2673‐8_27.

[29] S.R.Das,C.E.Perkins,andE.M.Belding‐Royer.“AdhocOn‐DemandDistanceVector (AODV)Routing,”InternetEngineeringTask Force,RequestforCommentsRFC3561,Jul. 2003.doi:10.17487/RFC3561.

[30] S.A.AhsonandM.Ilyas. WiMAX:Technologies, PerformanceAnalysis,andQoS.CRCPress,2018.

[31] A.Kumar. MobileBroadcastingwithWiMAX: Principles,Technology,andApplications.Taylor& Francis,2014.

[32] K.C.BandhuandR.G.Vishwakarma.“TheImpact ofCyclicPre ix,ModulationCodingScheme, FrameDuration,TwoWayTransferandPropaga‐tionModelwithNetworkAsymmetryinWimax NetworkusingTCPNewReno,” International JournalofEngineeringResearch&Technology, vol.3,no.3,Mar.2014,doi:10.17577/IJERTV3 IS030495.

[33] KailashChandraBandhuandRajeevG.Vish‐wakarma.“PerformanceEvaluationofTCPSack1 inWiMAXNetworkAsymmetry,” International JournalofResearchinEngineeringandTechnology,vol.3,no.2,pp.112–120,Dec.2014.

JournalofAutomation,MobileRoboticsandIntelligentSystems VOLUME17,N∘ 42023
67

Abstract:

EXTENDEDSTATEOBSERVERBASEDROBUSTFEEDBACKLINEARIZATIONCONTROL

EXTENDEDSTATEOBSERVERBASEDROBUSTFEEDBACKLINEARIZATIONCONTROL

DOI:10.14313/JAMRIS/4‐2023/32

APPLIEDTOANINDUSTRIALCSTR

APPLIEDTOANINDUSTRIALCSTR APPLIEDTOANINDUSTRIALCSTR

Submitted:25th September2022;accepted:27th February2023

AliMedjebouri

Oneoftheexamplesoftheseclassicaltoolsisthe PIDcontrollerwidelyusedinindustrialapplications [5–7].

Inthechemicalandpetrochemicalindustry,theContinu‐ousStirredTankReactors(CSTR)are,withoutdoubt,one ofthemostpopularprocesses.Fromacontrolpointof view,themathematicalmodeldescribingthetemporal evolutionoftheCSTRhasastronglynonlinearcross‐coupledcharacter.Moreover,modelingerrorssuchas externaldisturbances,neglecteddynamics,andparame‐tervariationsoruncertaintiesmakeitscontroltaskavery difficultchallenge.Eventhoughthisproblemhasbeen thesubjectofawidenumberofcontrolstrategies,this articleattemptstoproposeaviable,robust,nonlinear decouplingcontrolscheme.Theideabehindtheproposed approachliesinthedesignoftwonestedcontrolloops. Theinnerloopisresponsibleforthecompensationofthe nominalmodelnonlinearcross‐coupledtermsviastatic nonlinearfeedback;whereastheouterloop,designed aroundanExtendedStateObserver(ESO)ofwhichthe additionalstategatherstheglobaleffectofmodeling errors,ischargedtoinstantaneouslyestimate,andthen tocompensatetheESOextendedstate.Thisway,the CSTRcomplexdynamicsarereducedtoaseriesofdecou‐pledlinearsubsystemseasilycontrollableusingasimple Proportional‐Integral(PI)linearcontroltoensurethe robustpursuitofreferencesignalsrespectingthedesired performance.Thepresentedcontrolvalidationwasper‐formednumericallybyanobjectivecomparisontoaclas‐sicalPIDcontroller.Theobtainedresultsclearlyshowthe viabilityandtheeffectivenessoftheproposedcontrol strategyfordealingwithsuchnonlinear,stronglycross‐coupledplantssubjecttoawiderangeofdisturbances despitetheprecisionoftheirdescribedmathematical model.

Keywords: CSTR,Robustcontrol,FeedbackLinearization, ESO

1.Introduction

TheCSTRisoneofthemostusedpiecesofequip‐mentinprocessengineering.Itsmainroleistocon‐vertreactantsinto inishedorsemi‐ inishedprod‐ucts;therefore,itplaysaprimaryroleinmanychem‐icalprocesses[1–4].CSTRsaregenerallycontrolled aroundacertainequilibriumpoint,whereitisapprox‐imatedbyalocallyvalidlinearmodel.Thisapproach hastheadvantageofsimplifyingthesynthesisofthe controllersbecauseitallowstheuseofallclassical linearcontroltheorytools.

Unrivaledsinceitappearedin1922[8],thePID controllerhasdominatedtheindustrialsceneallover thepastcentury,allowingthepropulsionofthetech‐nologicalrevolutiontowardnewhorizonseveninits simpleform.ThehugesuccessofPIDcontrolinthe practitioner’ssocietyliesessentiallyinthesimplicity ofthedesignandimplantationtasks.Nevertheless, pressedbymodernindustrydemandsincreasingly moreandmoreexigentintermsofef iciency,control theorywasalwaysconstrainedtodevelopnewcontrol mechanismssatisfyingthenewlyimposedrequire‐ments[9, 10].Insearchofnewadvancedcontrol schemes,theorieshaveevolvedinseveraldirections, givingaveryrichbibliographyover80years.

FortheCSTRcontrolexample,variouscontrol strategies,suchastheexactfeedbacklinearization control[11, 12],thenonlinearbacksteppingcon‐trol[2],themodelpredictivecontrol[4,13–19],dif‐ferentoptimalcontrolstrategies[20–23],theadap‐tivecontrolapproaches[24–27],andtheslidingmode controltheory[1,28–32]havebeenproposedamong others.Wecanalso indseveralarticlesbasedon successfulcombinationsbetweenadvancednonlinear controltheoriesandsoftcomputingtoolssuchasarti‐icialneuralnetworks(ANN)[33,34],fuzzyinference systems(FIS)[3,35],andmanybio‐inspiredoptimiza‐tionalgorithmssuchasthegeneticalgorithm(GA)[7, 36],etc.Thesecombinationshavebeenaddressed,in general,toovercomesomespeci icdif icultiesrelated tocertainsyntheticdif icultiesinducedbythemathe‐maticalrigoroftheoriginalapproaches,ortoalleviate somedisadvantagespresentedbythepreviouslycited controls.

However,inthemidstofthistheoreticalrevolution inthecontrol ield,theindustryseemsuninterested inmostoftheproposedmoderncontrolapproaches bypresentingahighin lexibilityforPIDcontrol,even knowingitsshortcomingswell,despitetheimprove‐mentsintroducedtoitduringthepastdecades.This fact,probably,liesintheirpragmaticwayofre lec‐tion,aimingmostofthetimetoachieveasuf iciently acceptablecompromisebetweenthecontrollerdesign simplicityandtherequiredperformance.Ontheother hand,itseemsthattheyaremissingoutontheoppor‐tunitiesofferedbythegreatdigitalrevolutionasthey

2023 © Medjebouri.ThisisanopenaccessarticlelicensedundertheCreativeCommonsAttribution-Attribution4.0International(CCBY4.0) (http://creativecommons.org/licenses/by-nc-nd/4.0/) VOLUME17,N∘ 42023 JournalofAutomation,MobileRoboticsandIntelligentSystems
68

cannotfullytakepro itfromthemoderndigitalpro‐cessor’scapacities[9,10].

Bornasanecessitytoestablishnewbridges betweenmodernindustrydemandsandmoderncon‐troladvances,theActiveDisturbanceRejectionCon‐trol(ADRC)wasintroducedforthe irsttimeinthe originaltextin[37]andafewyearslaterfortheAnglo‐phonesocietyin[38].Itwasthefruitofmuchwork fedbyadeepcomprehensionofbothpractitioners’ andacademicresearchers’wayofre lectingwhenit comestoaddressingcontrolsystemsproblems,the constraintsandthechallengesfacingthem,andthe opportunitiesofferedbytheaccelerateddevelopment ofdigitaltechnology.

EventheADRCoriginalframeworkiscomposed from ivemaincomponents;theExtendedState Observer(ESO)representsthecontroller’scorner‐stone.TheADRCideaisbasedontherealtimeestima‐tionandtheactivecompensationofthetotalin luence ofthemodelnonlinearitiescombinedwiththediffer‐entdisturbancetypes,suchasexternaldisturbances, modelingerrors,parametersvariationsoruncertain‐ties,etc.Theglobaleffectofthemodelnonlinearities anddisturbancesisconsideredastheobserver’saug‐mentedstate.

Owingtoitsgreatpotentialfordealingwithawide rangeofdisturbancestructures,ESObasedrobust control,includingtheADRCoriginalversion,haspre‐sentedanunmistakableviabilitytoaddressalargeset ofpracticalcontrolapplicationsbeforeevenhavinga rigorousproofoftheoreticalfundamentalquestions suchastheESOconvergenceortheclosedloopstabil‐itywhichcameseveralyearslater[39–43].Moreover, ithasshownahigh lexibilitytohandlemanymore applicationsthanPIDcontrol,suchastimedelayed systemscontrol,multivariabledecoupledcontrol,cas‐cadecontrol,andparallelsystemcontrol[10].Also, ESObasedcontrolhasknownsomemajoradvances inthecontextofitsgeneralizationtomorecomplex problemsinthelastfewpastyears,suchasstochastic systemscontrol[44]anddistributedparametercon‐trolsystems[43].

Motivatedbythehugepotential,thesimplicityof thedesignprocedure,andthewideimmergenceof ESObasedrobustcontrolparadigminsimulationand engineeringapplications,readerscanrefertothelit‐erature[45–49].Inthispaper,weattempttoillus‐tratehowtousetheESOforimprovingthenonlinear multivariabledecoupledcontrolrobustnessinasim‐pleandclearmanner.Theproposedmethod’smain idealiesintheuseofconventionalexactfeedback linearizationcontrol,widelyusedfordealingwith multivariableaf inenonlinearplantsinassociation withanextendedstateobserverchargedtoestimate inreal‐timeandthenactivelycompensatethewhole effectofmodelingerrorscausedbythetotaldiffer‐encebetweentherealplantdynamicsandthenominal descriptivemodelusedforthedesignofthedecou‐plingstaticstatefeedback.Thedesired,robustclosed loopdynamicsareachievedusingaproportional‐integralcontrollerinasecondexternalloop.

Thepresentarticleisorganizedasfollows:After presentingthisintroduction,thesecondsectionis devotedtotheprocesspresentationandmodeling. Then,thetheoreticaldevelopmentoftheproposed controlisexposedindetail.Oncetheprocessmodel andthecontrollerdesignarepresented,thesimu‐lationresultsareshownandcommentedoninthe thirdsection.Finally,theconclusionsummarizingand highlightingmainadvantagesoftheproposedcontrol strategyisgiveninthefourthandlastsection.

2.TheCSTRMathematicalModel

TheproposedCSTRmodel,showninFigure 1, isdescribedbytheequationsgivenbelowasfound in[50]:

(2)

(1) Itisobviousthatthemodel(1)isoftheform: Ì‡ïżœïżœ=ïżœïżœ(ïżœïżœ)+ïżœïżœ(ïżœïżœ)ïżœïżœ ïżœïżœ=ℎ(ïżœïżœ)

where:

‐ ïżœïżœ= ïżœïżœ1 ïżœïżœ2 ïżœïżœ = ïżœïżœïżœïżœ ïżœïżœïżœïżœ ïżœïżœ :isthestatevector.

‐ ïżœïżœ= ïżœïżœ1 ïżœïżœ2 ïżœïżœ = ïżœïżœïżœïżœ ïżœïżœïżœïżœ ïżœïżœ :thecontrolinput.

‐ ïżœïżœ=ℎ(ïżœïżœ)=ïżœïżœ:thecontrolledoutput.

ïżœïżœ(ïżœïżœ)= ⎡ ⎱ ⎱ ⎱ ⎣

âˆ’ïżœïżœ0exp âˆ’ïżœïżœïżœïżœ ïżœïżœïżœïżœ2 ïżœïżœ1 Î”ïżœïżœ.ïżœïżœ0 ïżœïżœ.ïżœïżœ exp âˆ’ïżœïżœïżœïżœ ïżœïżœïżœïżœ2 ïżœïżœ1 + ïżœïżœ.ïżœïżœ ïżœïżœ.ïżœïżœ.ïżœïżœ(ïżœïżœïżœïżœ âˆ’ïżœïżœ2)

⎀ ⎄ ⎄ ⎄ ⎊

(3)

ïżœïżœ(ïżœïżœ)= ⎡ ⎱ ⎱ ⎱ ⎣

1 ïżœïżœ (ïżœïżœïżœïżœïżœïżœ âˆ’ïżœïżœ1) 0 0 1 ïżœïżœ (ïżœïżœïżœïżœ âˆ’ïżœïżœ2)

⎀ ⎄ ⎄ ⎄ ⎊

(4)

Controlinputs,controlledoutputs,andprocess parametersaregiveninTable1

3.FeedbackLinearizationControl

Thenecessaryandsuf icientconditionallowing theexistenceofstatic,nonlinearfeedbackensuring theexactlinearizationofthesystem(2)isguaranteed ifandonlyiftheoutput’sglobalrelativedegreeequals tothesystem’sorder.

JournalofAutomation,MobileRoboticsandIntelligentSystems VOLUME17,N∘ 42023
⎧ âŽȘ âŽȘ ⎚ âŽȘ âŽȘ ⎩ ïżœïżœïżœïżœïżœïżœ ïżœïżœïżœïżœ = 1 ïżœïżœ Î”ïżœïżœïżœïżœ(ïżœïżœïżœïżœïżœïżœ âˆ’ïżœïżœïżœïżœ)âˆ’ïżœïżœ0exp âˆ’ïżœïżœïżœïżœ ïżœïżœïżœïżœïżœïżœ ïżœïżœïżœïżœ ïżœïżœïżœïżœïżœïżœ ïżœïżœïżœïżœ = 1 ïżœïżœ Î”ïżœïżœïżœïżœ(ïżœïżœïżœïżœ âˆ’ïżœïżœïżœïżœ)− Î”ïżœïżœ.ïżœïżœ0 ïżœïżœ.ïżœïżœ exp âˆ’ïżœïżœïżœïżœ ïżœïżœïżœïżœïżœïżœ ïżœïżœïżœïżœ + ïżœïżœ.ïżœïżœ ïżœïżœ.ïżœïżœ.ïżœïżœ(ïżœïżœ
âˆ’ïżœïżœïżœïżœ)
ïżœïżœ
69

ïżœïżœ

ïżœïżœ

ïżœïżœ

ïżœïżœ

Byde inition,theoutputrelativedegreeistheleast numberoftheoutput’stimederivativestogetatleast onecontrolinput[51]:

From(5),itisclearthatïżœïżœïżœïżœ andïżœïżœïżœïżœ relativedegreesare equalrespectivelytor1 =1andr2 =1

Therefore,theoutputvectorglobalrelativedegree isequaltor = r1+r2 =2,andnotingthatthesys‐temordern = 2,theexistenceofastaticnonlinear feedbackallowingtheexactlinearizationof(2)isthen ensured.

Equation(5)canberewrittenasdescribedbelow:

Ì‡ïżœïżœ= ℎ1(ïżœïżœ) ℎ2(ïżœïżœ) =ïżœïżœ(ïżœïżœ)+ïżœïżœ(ïżœïżœ).ïżœïżœ (6) where: ïżœïżœ(ïżœïżœ)= ïżœïżœïżœïżœâ„Ž1(ïżœïżœ) ïżœïżœïżœïżœâ„Ž2(ïżœïżœ) =ïżœïżœ(ïżœïżœ) (7) ïżœïżœ(ïżœïżœ)= ïżœïżœïżœïżœâ„Ž1(ïżœïżœ) ïżœïżœïżœïżœâ„Ž2(ïżœïżœ) =ïżœïżœ(ïżœïżœ) (8) ïżœïżœïżœïżœ,ïżœïżœïżœïżœ denotestheLiederivatives[51].

3.2.LinearizingFeedbackControlDesign

Fromtheequation(5),itisobviousthatthe searchedstaticnonlinearfeedbacklinearizationcon‐trolisde inedas:

ïżœïżœ=ïżœïżœâˆ’1(ïżœïżœ).[ïżœïżœâˆ’ïżœïżœ(ïżœïżœ)] (9) where,ïżœïżœ(ïżœïżœ)andïżœïżœ(ïżœïżœ)aregivenbytheequations(3) and(4)respectively.Thetermïżœïżœ=[ïżœïżœ1 ïżœïżœ2]ïżœïżœ isthenew controlinputissuedfromtheexternalcontrolloop.

Applyingthecontrollaw(9)tothesystem(2)leads tothefollowinglineardecoupledsystem:

(10)

3.3.OuterLoopControllerSynthesis

ApplyingthefollowingPIcontrollawtotheouter controlloop:

(11)

yieldsthefollowingclosedlooptransferfunction:

(12)

where,sistheLaplaceoperator,ïżœïżœi andïżœïżœi arerespec‐tivelytheclosedloopdesireddampingratiosand band‐widthfrequencies.

JournalofAutomation,MobileRoboticsandIntelligentSystems VOLUME17,N∘ 42023
Symbol Description Value
Table1. ProposedCSTRmanipulatedvariablesand parameters[50]
ïżœïżœ Reactant luid lowrate[m
–
3/h]
ïżœïżœ Coolant
lowrate[m
–
luid
3/h]
ïżœïżœ ConcentrationofthereactantAin thereactor[kgmol/m3
–
]
ïżœïżœ TemperatureintheCSTR[K] â€“ïżœïżœ Reactionvolume[m3] 24 ïżœïżœ Effectiveheatinterchangesurface [m2] 24 Î”ïżœïżœ Enthalpyofthereaction[kJ/kmol] 2100 ïżœïżœïżœïżœ activationenergy[kJ/kmol] 2100 ïżœïżœ0 Reactionvelocityconstant[h−1] 59,063 ïżœïżœ DensityofthereactantA[kg/m3] 800 ïżœïżœ Heattransfercoef icientbetween thecoolingjacketandthereactor [kJ/(h.m3.K)] 4300 ïżœïżœïżœïżœ Jacketcooling luidinitial temperature[K] 306 ïżœïżœïżœïżœïżœïżœ Feedconcentrationofreactant A[kgmol/m3] 10 ïżœïżœ Speci icheatcapacityofreactant A[kJ/(kg.K)] 3 ïżœïżœ Idealgasconstant[kJ/kgkmol] 8,314 , , =
Figure1. SimplifiedschemeoftheproposedCSTR 3.1.TheOutputRelativeDegree
Ì‡ïżœïżœ= ℎ1(ïżœïżœ) ℎ2(ïżœïżœ) = ïżœïżœïżœïżœâ„Ž1(ïżœïżœ)+ïżœïżœïżœïżœâ„Ž1(ïżœïżœ).ïżœïżœ ïżœïżœïżœïżœâ„Ž2(ïżœïżœ)+ïżœïżœïżœïżœâ„Ž2(ïżœïżœ).ïżœïżœ = ⎡ ⎱ ⎱ ⎱ ⎱ ⎱ ⎱ ⎣ âˆ’ïżœïżœ0exp âˆ’ïżœïżœïżœïżœ ïżœïżœïżœïżœ2 ïżœïżœ1 + 1 ïżœïżœ (ïżœïżœïżœïżœïżœïżœ âˆ’ïżœïżœ1)ïżœïżœ1 Î”ïżœïżœ.ïżœïżœ0 ïżœïżœ.ïżœïżœ exp âˆ’ïżœïżœïżœïżœ ïżœïżœïżœïżœ2 ïżœïżœ1 + ïżœïżœ.ïżœïżœ ïżœïżœ.ïżœïżœ.ïżœïżœ(ïżœïżœïżœïżœ âˆ’ïżœïżœ2) + 1 ïżœïżœ(ïżœïżœïżœïżœ âˆ’ïżœïżœ2)ïżœïżœ2 ⎀ ⎄ ⎄ ⎄ ⎄ ⎄ ⎄ ⎊ (5)
1 =ïżœïżœ1 2 =ïżœïżœ2
⎧ âŽȘ ⎚ âŽȘ ⎩ ïżœïżœ1 =âˆ’ïżœïżœ11ïżœïżœïżœïżœ âˆ’ïżœïżœ12 (ïżœïżœïżœïżœ âˆ’ïżœïżœïżœïżœïżœïżœïżœïżœ ïżœïżœ )ïżœïżœïżœïżœ ïżœïżœ2 =âˆ’ïżœïżœ21ïżœïżœïżœïżœ âˆ’ïżœïżœ22 (ïżœïżœïżœïżœ âˆ’ïżœïżœïżœïżœïżœïżœïżœïżœ ïżœïżœ )ïżœïżœïżœïżœ
G(s)= ⎡ ⎱ ⎱ ⎱ ⎣ K12 s2 +K11s+K12 0 0 K22 s2 +K21s+K22 ⎀ ⎄ ⎄ ⎄ ⎊ = ⎡ ⎱ ⎱ ⎱ ⎣ ïżœïżœ2 1 s2 +2ïżœïżœ1ïżœïżœ1s+ïżœïżœ2 1 0 0 ïżœïżœ2 2 s2 +2ïżœïżœ2ïżœïżœ2s+ïżœïżœ2 2 ⎀ ⎄ ⎄ ⎄ ⎊
70

3.4.ExtendedStateObserverBasedRobustFeedback LinearizationControl

First,letusintroducethemodelingerrorsbycon‐sideringthemasparametersvariationsanduncer‐taintiesinthenominalmodel(2).Thisleadstothe followingperturbedmodel:

Ì‡ïżœïżœ=ïżœïżœ(ïżœïżœ)+Î”ïżœïżœ(ïżœïżœ)+(ïżœïżœ(ïżœïżœ)+Î”ïżœïżœ(ïżœïżœ))ïżœïżœ ïżœïżœ=ℎ(ïżœïżœ) (13)

Byapplyingthenonlinearcontrolfeedback(9)tothe perturbedsystem(13),theexactlylinearizedsystem (10)becomesoftheform:

Ì‡ïżœïżœ=ïżœïżœ+ïżœïżœ(ïżœïżœ,ïżœïżœ) (14)

where:

ïżœïżœ(ïżœïżœ,ïżœïżœ)=Î”ïżœïżœ(ïżœïżœ)ïżœïżœâˆ’1(ïżœïżœ)(ïżœïżœâˆ’ïżœïżœ(ïżœïżœ))+Î”ïżœïżœ(ïżœïżœ) (15)

Thesystem(14)canbere‐expressedas:

1 =ïżœïżœ1 +ïżœïżœ1(ïżœïżœ,ïżœïżœ)

2 =ïżœïżœ2 +ïżœïżœ2(ïżœïżœ,ïżœïżœ) (16)

Thenextstepconsistsofdesigningtwoextended stateobservers,allowingtheestimationofthesystem statesandthetwounknowndisturbancesfunctions

ïżœïżœ1 andïżœïżœ2.So,eachsubsystemofequation(16)canbe rewritteninthefollowingstateform:

ïżœïżœ1 =ïżœïżœïżœïżœ2 +ïżœïżœïżœïżœ ïżœïżœ2 =Ì‡ïżœïżœïżœïżœ ïżœïżœ=1,2 (17)

Theproposednonlinearextendedstatesobservers (NLESO)arede inedasgivenin[41]:

ïżœïżœ =ïżœïżœ.Ì‚ïżœïżœïżœïżœ +ïżœïżœ.ïżœïżœïżœïżœ +ïżœïżœïżœïżœ.ïżœïżœïżœïżœ(Ì‚ïżœïżœïżœïżœ)

Ì‚ïżœïżœ ïżœïżœ =Ì‚ïżœïżœïżœïżœ1 (18)

where:

ïżœïżœ= 01 00 ,ïżœïżœ= b 0 ,Ì‚ïżœïżœïżœïżœ = Ì‚ïżœïżœ ïżœïżœ1 Ì‚ïżœïżœ ïżœïżœ2 ,ïżœïżœïżœïżœ = ïżœïżœïżœïżœ1 ïżœïżœïżœïżœ2 (19)

Thenonlinearïżœïżœ(ïżœïżœïżœïżœ)functionisde inedas:

ïżœïżœïżœïżœ(ïżœïżœïżœïżœ)= |Ì‚ïżœïżœïżœïżœ|ïżœïżœïżœïżœ.ïżœïżœïżœïżœïżœïżœïżœïżœ(Ì‚ïżœïżœïżœïżœ),ïżœïżœïżœïżœ|Ì‚ïżœïżœïżœïżœ|>ïżœïżœïżœïżœ ïżœïżœ ïżœïżœ1âˆ’ïżœïżœïżœïżœ i , ïżœïżœïżœïżœïżœïżœïżœïżœ ïżœïżœ=1,2 (20)

where:

0<ïżœïżœïżœïżœ <1,ïżœïżœïżœïżœ >0,Ì‚ïżœïżœïżœïżœ =ïżœïżœïżœïżœ âˆ’Ì‚ïżœïżœïżœïżœ (21)

when |Ì‚ïżœïżœïżœïżœ|<ïżœïżœïżœïżœ,thenonlinearstateobserver(18) takestheformofthewellknownlinearLuenberger observer(LESO):

Ì‚ïżœïżœ ïżœïżœ1 =Ì‚ïżœïżœïżœïżœ2 +ïżœïżœïżœïżœ1 ïżœïżœ +ïżœïżœïżœïżœ

ïżœïżœ2 =ïżœïżœïżœïżœ2 ïżœïżœ ,ïżœïżœïżœïżœïżœïżœ = ïżœïżœïżœïżœïżœïżœ ïżœïżœ1âˆ’ïżœïżœïżœïżœ ïżœïżœ,ïżœïżœ=1,2 (22)

Therefore, ïżœïżœïżœïżœ arecalculatedtoensureanobserver dynamicfasterthanthecloselooptrackingdynamic asdescribedbythegivenbelowcondition:

ïżœïżœïżœïżœïżœïżœïżœïżœïżœïżœ(ïżœïżœ)=ïżœïżœ2 +ïżœïżœïżœïżœ2ïżœïżœ+ïżœïżœïżœïżœ1 =(ïżœïżœ+ïżœïżœïżœïżœ0)2 (23)

ïżœïżœïżœïżœïżœïżœïżœïżœïżœïżœ(ïżœïżœ):Theobserver’scharacteristicpolynomial.

ïżœïżœïżœïżœ0:Thedesiredobserverband‐widthfrequency.

ïżœïżœïżœïżœ0:Ischosenasgivenin[52]toensurethebestcom‐promisebetweentheobservingconvergencespeed andthesensorsnoiseinsensitivity:

ïżœïżœïżœïżœ0 =(3to5)ïżœïżœïżœïżœ,ïżœïżœ=1,2 (24)

Thesmallvalueïżœïżœïżœïżœ representsthesetpointlimitingthe NLESO(18)highgain.

Byrede iningtheouterloopcontrol(11)asfol‐lows:

ïżœïżœïżœïżœïżœïżœïżœïżœ 1 =ïżœïżœ1 +Î”ïżœïżœ1 ïżœïżœïżœïżœïżœïżœïżœïżœ 2 =ïżœïżœ2 +Î”ïżœïżœ2 (25)

where:

Î”ïżœïżœ1 =âˆ’Ì‚ïżœïżœ12

Î”ïżœïżœ2 =âˆ’Ì‚ïżœïżœ22 (26)

thecontrolledoutputsinpresenceofmodelingerrors computedintheLaplacedomainbecome:

âŽȘ âŽȘ âŽȘ âŽȘ ⎚ âŽȘ âŽȘ âŽȘ âŽȘ ⎩

(ïżœïżœ))

(27)

Itisobviousthatwhentheestimatedstatesconverge tothesystemstates:

ïżœïżœ1(ïżœïżœ)â†’ïżœïżœ12(ïżœïżœ) ïżœïżœ2(ïżœïżœ)â†’ïżœïżœ22(ïżœïżœ) (28)

thecontrolledoutputsdynamicsconvergetothegiven belowexpressions:

(29)

Itisclearfrom(29)thattheclosedloopdynamicand staticdesiredperformancesareguaranteed.However, weshallemphasizethattheanalyticalconvergence proofoftheNLESO(18)isoutofthescopeofthis paper,andwearelimitedjusttosupposetheassump‐tionsgivenin[42,p.421]aresatis iedandthevalid‐ityoftheproposedcontrolisdemonstratedthrough numericalsimulations.

JournalofAutomation,MobileRoboticsandIntelligentSystems VOLUME17,N∘ 42023
ïżœïżœ
s
ïżœïżœ2 +2ïżœïżœ
ïżœïżœ
2 1
ïżœïżœïżœïżœïżœïżœ
s
+
ïżœïżœ2 +2ïżœïżœ1ïżœïżœ1
2
ïżœïżœïżœïżœ(s)= ïżœïżœ2 2 ïżœïżœ2 +2ïżœïżœ2ïżœïżœ2ïżœïżœ+ïżœïżœ2 2
ïżœïżœïżœïżœïżœïżœ ïżœïżœ
+ 1 ïżœïżœ2 +2ïżœïżœ2ïżœïżœ2ïżœïżœ+ïżœïżœ2 2
2
⎧
ïżœïżœ(
)= ïżœïżœ2 1
1
1ïżœïżœ+ïżœïżœ
ïżœïżœ
ïżœïżœ (
)
1
ïżœïżœ+ïżœïżœ
1 (ïżœïżœ1(ïżœïżœ)âˆ’ïżœïżœ12
ïżœïżœ
(s)
(ïżœïżœ
(ïżœïżœ)âˆ’ïżœïżœ22(ïżœïżœ))
⎧ âŽȘ ⎚ âŽȘ ⎩ ïżœïżœïżœïżœ(s)≅ ïżœïżœ2 1 ïżœïżœ2 +2ïżœïżœ1ïżœïżœ1ïżœïżœ+ïżœïżœ2 1 ïżœïżœïżœïżœïżœïżœïżœïżœ ïżœïżœ (s) ïżœïżœïżœïżœ(s)≅ ïżœïżœ2 2 ïżœïżœ2 +2ïżœïżœ2ïżœïżœ2ïżœïżœ+ïżœïżœ2 2 ïżœïżœïżœïżœïżœïżœïżœïżœ ïżœïżœ (s)
71

4.SimulationResultsandDiscussion

Theproposedcontrolmethodisvalidatedusing numericalsimulationsbycomparingitobjectivelyto theconventionalPIcontrollerdesignedbasingona locallyvalidlinearmodeldevelopedaroundapre‐selectedoperatingpoint.TheconventionalPIsyn‐thesismethodisgivenbellowchoosingthefollowing operatingstate:

ïżœïżœ0 = 2.88297 ïżœïżœ ïżœïżœ0 = 244.96212.56 ïżœïżœ

Hence,thelinearstatemodelisgivenbythefollowing matrices:

ïżœïżœ

ïżœïżœ

Noticethatthelocalbehaviorofthegivenabovemodel isunstableatthechosenoperatingpoint.Thecalcula‐tionofthematrixïżœïżœ0 eigenvaluesyields:

ïżœïżœ(ïżœïżœ0)= −60.8818.19 ïżœïżœ

Tointroducetheintegralactioninthecontrollaw usingstatefeedbackclosedlooppoleplacement method,letusconsiderthefollowingaugmentedsys‐tem:wheretheaugmentedstateisde inedas:

Choosingtheclosedlooppolesasfollows:

theclosedloopPIcontrollerisdescribedbythefol‐lowingequations:

ïżœïżœ=ïżœïżœ0 +Î”ïżœïżœ

where:

Thecomparativestudythatfollowsisbasedontwo scenarios:

Scenario1: Bothproposedcontrolsareappliedtothe nominalnonlinearmodelofwhichtheparametersare giveninTable1.

TheproposedESObasedrobustcontrollerparam‐etersarede inedasgiveninTable2

Scenario2: Thecomparedcontrollersareappliedto theuncertainmodelinordertotesttheirperfor‐mancerobustnessagainstparameter’s,uncertainties, andvariationsofparametersaregivenintablebelow:

TheproposedESObasedrobustfeedbacklin‐earizationcontrolblocschemeandtheobtainedsim‐ulationresultsforeachproposedscenarioarepre‐sentedinFigures2–16.

Table2. ESObasedcontrollers’parameters

Loop Controller/ESOparameters

Table3. Parametersuncertaintiesorvariations

Uncertainties/ variations Absolutevalue Relative value(%)

ΔV(t)

[ 25+25]

ΔA(t) 0,25x24.sin(t) [ 25+25]

ΔCïżœïżœïżœïżœ(t) 0,2x10.sin(t) [ 20+20]

ΔTïżœïżœ(t) 0,02x306.sin(t) [ 2+2]

Figure2. TheproposedESObasedrobustfeedback linearizationcontrolscheme

Figure3. Desiredandactualproduct’sconcentration curvesforscenario1

Figure4. Desiredandactualproduct’stemperature curvesforscenario1

JournalofAutomation,MobileRoboticsandIntelligentSystems VOLUME17,N∘ 42023
−35.44−61.80 −22.08−7.25 ;ïżœïżœ0 = 0.300 00.38
0 =
00 00
0 = 10 01 ;ïżœïżœ0 =
ïżœïżœ= ïżœïżœïżœïżœ ïżœïżœïżœïżœ ïżœïżœ1 =ïżœïżœïżœïżœ âˆ’ïżœïżœïżœïżœïżœïżœïżœïżœ ïżœïżœ ïżœïżœ2 =ïżœïżœïżœïżœ âˆ’ïżœïżœïżœïżœïżœïżœïżœïżœ ïżœïżœ ïżœïżœ
ïżœïżœ(ïżœïżœïżœïżœ)= −61−20−61−20 ïżœïżœ
Î”ïżœïżœ=ïżœïżœïżœïżœ ïżœïżœïżœïżœ ïżœïżœïżœïżœ +ïżœïżœïżœïżœ (ïżœïżœïżœïżœ âˆ’ïżœïżœïżœïżœïżœïżœïżœïżœ ïżœïżœ ) (ïżœïżœïżœïżœ âˆ’ïżœïżœïżœïżœïżœïżœïżœïżœ ïżœïżœ ) ïżœïżœïżœïżœ ïżœïżœïżœïżœ =103 0.15−0.21 −0.060.20 ïżœïżœïżœïżœ =103 4.110 03.25
ïżœïżœïżœïżœ ïżœïżœ1 =1;ïżœïżœ1 =61; ïżœïżœ10 =183;ïżœïżœ1 =0.1;ïżœïżœ11 =0.5;ïżœïżœ12 =0.05 ïżœïżœïżœïżœ ïżœïżœ2 =1;ïżœïżœ2 =20; ïżœïżœ20 =100;ïżœïżœ2 =10−5 ;ïżœïżœ21 =0.495;ïżœïżœ21 =0.005
0,25x24.sin(t)
1 Δk0 0,05x59,063 5 Î”ïżœïżœ +0,05x800 +5 ΔU 0,1x4300 10 ΔC +0,01.3 +1 ΔEïżœïżœ 0,1x2100 10 ’
Δ(ΔH) 0,01.2100
72

Figure9. Calculatedandobservedproduct’s concentrationdynamicsuncertaintiescurvesfor scenario1

Figure10. Calculatedandobservedproduct’s temperaturedynamicsuncertaintiescurvesfor scenario1

Figure11. Desiredandactualproduct’sconcentration curvesforscenario2

Figure12. Desiredandactualproduct’stemperature curvesforscenario2

JournalofAutomation,MobileRoboticsandIntelligentSystems VOLUME17,N∘ 42023
Figure5. Reactantfluidflowratecontrolinputcurves forscenario1 Figure6. Coolantfluidflowratecontrolinputcurvesfor scenario1 Figure7. Measuredandobservedproduct’s concentrationcurvesforscenario1 Figure8. Measuredandobservedproduct’s temperaturecurvesforscenario1
73

4.1.ResultsDiscussionWhentheProcessisOperating inNominalConditions

Whentheparameters’uncertaintiesandvaria‐tionsareequaltozero,theresponsesoftheCSTR underthebothproposedcontrollers,showninthe Figures3and4,remainveryclosetothedesiredset pointafterthetransientphases.ItisalsoclearinFig‐ure3thattheESObasedrobustfeedbacklinearizing controllerensuresabetterdecouplingbetweenthe controlledoutputsandafasterconvergenceofthe productconcentrationtoitsdesiredvalue.Thestrong inertiaoftheprocessagainsttheconventionalPIcon‐trollerdisappearsafteracertainelapsedperiodof time.Concerningthetemperatureresponses,itclearly illustratedinFigure 4 thattheconventionalPIcon‐trolexhibitsaslightlysuperiorconvergencespeed althoughthechosenclosedlooppoleswerethesame. Thisresultisduetothefactthatfortheconventional PIcontrol,theclosedlooptemperaturedynamicsare regulatedasa irstordersubsystem,whereasitis chosenasasecondordercriticallydampedsubsystem fortheESObasedrobustcontroller.

ThecontrolsignalsdepictedinFigures5and6con‐irmthehighinertiaofthecontrolledprocessagainst theconventionalPIcontrollerbyillustratingthehigh controleffortneededtoachievethedesiredvalues whentheprocessisstartedorwhenthesetpoint changessuddenly,thisremarkismoreevidentforthe supplycontrol lowFL.

FromFigures 9 and 10,itisseenclearlythat convergenceoftheproposedESOisverysatisfac‐tory.Theestimateofthetotalmodelingerrorssup‐posedunknownandconsideredasanadditionalstate remainnearzero.Thisexpectedresultislogical sinceinthisscenariothemodel’suncertaintieswere neglectedbysettingtheirvaluestozero.

4.2.ResultsDiscussionWhentheProcessisOperating inPresenceofParameters’,Uncertainties,or Variations

Inscenario2,ouraimwastocomparethetransient andsteadyperformancesoftheproposedcontrollers underthesuppositionsoftheexistenceofuncertain ortimevaryingparameters.Theresultspresentedin Figures 11 and 12 showthateventhenominalper‐formanceswererelativelydegradedcomparedtothe nominalcase;bothproposedcontrollerswereable toachievesuf icientlygoodcontrolperformancein thesensethatthesystemresponsesweremaintained aroundthedesiredsetpointswithinanarrowband. Also,itisclearthattheproposedESObasedrobust feedbackcontrollerrobustnessexceedsthatobtained withtheconventionalPIsinceitwascapableofensur‐ingabetterstaticprecisionbyrejectingactivelythe real‐timeobservedmodelingerrorsasdepictedinFig‐ures15and16

JournalofAutomation,MobileRoboticsandIntelligentSystems VOLUME17,N∘ 42023
Figure13. Reactantfluidflowratecontrolinputcurves forscenario2 Figure14. Coolantfluidflowratecontrolinputcurves forscenario2 Figure15. Calculatedandobservedproduct’s concentrationdynamicsuncertaintiescurvesfor scenario2 Figure16. Calculatedandobservedproduct’s temperaturedynamicsuncertaintiescurvesfor scenario2
74

Intermofcontrolenergy,theFigures 13 and 14 highlightthemainfutureoftheproposedESO basedrobustfeedbackcontrol,whichliesinthefact thatitneedsanetinferiorenergeticconsumptionto achievethedesiredsetpointswhenthesedesiredval‐ueschangeinstantaneouslyandespeciallywhenthe processstartsfunctioning.Thismajorfeature,clearly visibleinTable 4,isduetothepotentialofthepro‐posedmethodtodecouplethewholeprocessdynam‐icsintotwoindependentdynamicsandthuscontrol themseparately,dispensinglessenergycomparedto thePIcontroller.

Theabovepresentedcomparativestudyissum‐marizedbasedontherootedmeansquareerrorand themeancontrolpowercriterionsforeachscenario inTable4

TheerrorRMSandthemeancontrolpowercrite‐rionsarede inedas:

3) Showingastrongrobustnessagainstthenominal model’suncertaintiesbydecreasingthenecessity togetahighlyaccuratemathematicalmodelinthe controllerdesignbyadoptinganextendedstate observerchargedtocompensatethemodel/plant mismatch.

AUTHOR

AliMedjebouri∗ –DepartmentofMechanical Engineering,Universityof20August1955,Skikda, 21000,Algeria,e‐mail:ali.medjbouri@gmail.com, a.medjebouri@univ‐skikda.dz.

∗Correspondingauthor

References

[1] D.Zhao,Q.Zhu,andJ.Dubbeldam.“Termi‐nalslidingmodecontrolforcontinuousstirred tankreactor,” ChemicalEngineeringResearchand Design,vol.94,pp.266–274,Feb.2015,doi: 10.1016/j.cherd.2014.08.005.

where:

T:isthesimulationtime. u(t):representsthecontrolinput.

5.Conclusion

Themainobjectiveofthisarticlewastopropose aviableextendedstateobserverbasedrobustfeed‐backlinearizationcontrollerappliedtothecontrolof anindustrialCSTR.Theideabehindthisparticular choicewastoassociatethedecouplingcapacityof theexactfeedbacklinearizationcontrol,andtherefore guaranteeinghightrackingperformance,andthehigh potentialofthenonlinearextendedstateobserverto estimatethemodelingerrorsandtheexternaldistur‐bancesinordertorejectactivelytheirundesirable effects.Theobtainedresultsvianumericalsimula‐tionshaveobjectivelydemonstratedtheeffectiveness oftheproposedcontrolstrategycomparedtothecon‐ventionalPIintermsof:

1) Providingabettertrackingperformancebyensur‐ingabetterdecouplingbetweenthetwocontrolled dynamics.

2) Presentingaremarkableenergeticef iciency improvementbydiminishingthepower consumption.

[2] S.AlshamaliandM.Zribi.“Backsteppingcon‐troldesignforacontinuous‐stirredtank,” InternationalJournalofInnovativeComputing,InformationandControl,vol.8,pp.7747–7760,Nov. 2012.

[3] NasserMohamedRamliandMohamadSya iq Mohamad.“ModellingforTemperatureNon‐IsothermalContinuousStirredTankReactor UsingFuzzyLogic”,Jan.2017,doi:10.5281/zen‐odo.1128853.

[4] S.Li,X.J.Zong,andY.Hu.“ModelPredic‐tiveControlofContinuousStirred‐TankReactor,” AdvancedMaterialsResearch,vol.760–762,pp. 1000–1003,2013,doi:10.4028/www.scientif ic.net/AMR.760‐762.1000.

[5] R.UpadhyayandR.Singla.“AnalysisofCSTR TemperatureControlwithAdaptiveandPID Controller(AComparativeStudy),” International JournalofEngineeringandTechnology,vol.2,pp. 453–458,Jan.2010,doi:10.7763/IJET.2010.V2 .164.

[6] M.Saad,A.Albagul,andD.Obaid.“Modelingand ControlDesignofContinuousStirredTankReac‐torSystem,”Jan.2013.

[7] A.SinghandV.Sharma.“Concentrationcon‐trolofCSTRthroughfractionalorderPIDcon‐trollerbyusingsofttechniques,”in 2013Fourth

JournalofAutomation,MobileRoboticsandIntelligentSystems VOLUME17,N∘ 42023
ESObasedF-Lcontroller PIcontroller CA TR CA TR RMS 1 0,103 13,64 1,565 10,87 2 0,144 19,00 1,721 15,40 FL FC FL FC Meancontrolpower 1 2,68×104 1,88×104 54,35×106 2,60×104 2 2,34×104 2,86×104 48,27×106 2,99×104
Table4. Rootedmeansquarederrorandmeancontrolpowercriterionsforeachscenario
⎧ âŽȘ ⎚ âŽȘ ⎩ RMS(ïżœïżœ(ïżœïżœ))= 1 ïżœïżœ ïżœïżœ 0 ïżœïżœ2(ïżœïżœ)ïżœïżœïżœïżœ Meanpower(ïżœïżœ(ïżœïżœ))= 1 ïżœïżœ ïżœïżœ 0 ïżœïżœ2(ïżœïżœ)ïżœïżœïżœïżœ
(30)
75

InternationalConferenceonComputing,CommunicationsandNetworkingTechnologies(ICCCNT),Jul.2013,pp.1–6.doi:10.1109/ICC‐CNT.2013.6726501.

[8] N.Minorsky..“DirectionalStabilityofAutomat‐icallySteeredBodies,” JournaloftheAmericanSocietyforNavalEngineers,vol.34,no. 2,pp.280–309,1922,doi:10.1111/j.1559‐3584.1922.tb04958.x.

[9] Z.Gao.“Activedisturbancerejectioncontrol: aparadigmshiftinfeedbackcontrolsystem design,”in 2006AmericanControlConference, Jun.2006,p.7.doi:10.1109/ACC.2006.1656579.

[10] J.Han.“FromPIDtoActiveDisturbanceRejection Control,” IEEETransactionsonIndustrialElectronics,vol.56,no.3,pp.900–906,Mar.2009, doi:10.1109/TIE.2008.2011621.

[11] C.KravarisandC.‐B.Chung.“NonlinearState FeedbackSynthesisbyGlobalInput/OutputLin‐earization,”in 1986AmericanControlConference, Jun.1986,pp.997–1005.doi:10.23919/ACC.1 986.4789080.

[12] M.HajayaandT.Shaqarin.“ControlofaBench‐markCSTRUsingFeedbackLinearization,” JORDANIANJOURNALOFENGINEERINGANDCHEMICALINDUSTRIES(JJECI),vol.2,pp.67–75,Oct. 2019,doi:10.48103/jjeci292019.

[13] U.Kumar,V.Sharma,O.P.Rahi,andV.Kumar. “MPC‐BasedTemperatureControlofCSTRPro‐cessandItsComparisonwithPID,”in Advances inElectricalandComputerTechnologies,T.Sen‐godan,M.Murugappan,andS.Misra,Eds.,in LectureNotesinElectricalEngineering.Sin‐gapore:Springer,2020,pp.1109–1115.doi: 10.1007/978‐981‐15‐5558‐9_94.

[14] A.M.Deulkar,A.B.Patil.“Temperaturecontrol ofcontinuousstirredtankreactorusingmodel predictivecontroller,”ProceedingsofITResearch InternationalConference,Kolhapur,India,2015, ISBN:978‐93‐85465‐40‐6.

[15] J.PekaþandV.Havlena.“ControlofCSTR usingmodelpredictivecontrollerbasedonmix‐turedistribution,” IFACProceedingsVolumes, vol.37,no.13,pp.793–798,Sep.2004,doi: 10.1016/S1474‐6670(17)31322‐8.

[16] F.Wu.“LMI‐basedrobustmodelpredictivecon‐trolanditsapplicationtoanindustrialCSTR problem,” JournalofProcessControl,vol.11,no. 6,pp.649–659,Dec.2001,doi:10.1016/S0959‐1524(00)00052‐4.

[17] H.Chen,H.Kremling,andF.Allgöwer.“Nonlinear PredictiveControlofaBenchmarkCSTR,” Proceedingsofthe3rdEuropeanControlConference, Rome-Italy.,pp.3247–3252,Jan.1995.

[18] P.B.SistuandB.W.Bequette.“Nonlinearpredic‐tivecontrolofuncertainprocesses:Application toaCSTR,” AIChEJournal,vol.37,no.11,pp. 1711–1723,1991,doi:10.1002/aic.690371114.

[19] A.Krishnan,B.V.Patil,P.S.V.Nataraj,J. Maciejowski,andK.V.Ling.“Modelpredictive controlofaCSTR:Acomparativestudyamong linearandnonlinearmodelapproaches,”in 2017 IndianControlConference(ICC),Jan.2017,pp. 182–187.doi:10.1109/INDIANCC.2017.7846 472.

[20] D.Gao.“FeedbackLinearizationOptimalControl ApproachforBilinearSystemsinCSTRChem‐icalReactor,” IntelligentControlandAutomation,vol.03,pp.274–277,Jan.2012,doi: 10.4236/ica.2012.33031.

[21] K.B.Pathak,A.Markana,andN.Parikh.“Opti‐malControlofCSTR,” NirmaUniversityJournal ofEngineeringandTechnology,2000,Available: https://www.semanticscholar.org/paper/Opti mal‐Control‐of‐CSTR‐Pathak‐Markana/f4a41e 3ef3b742141cbb58bb2ced4906a056f024

[22] P.R.Meghna,V.Saranya,andB.J.Pandian. “DesignofLinear‐Quadratic‐Regulatorfora CSTRprocess,” IOPConf.Ser.:Mater.Sci.Eng., vol.263,no.5,p.052013,Nov.2017,doi: 10.1088/1757‐899X/263/5/052013.

[23] D.‐X.Gao,H.Liu,andJ.Cheng.“Optimaloutput trackingcontrolforchemicalprocessofnon‐isothermalCSTR,”in 2016ChineseControland DecisionConference(CCDC),May2016,pp.4588–4592.doi:10.1109/CCDC.2016.7531811.

[24] R.UpadhyayandR.Singla.“AnalysisofCSTR TemperatureControlwithAdaptiveandPID Controller(AComparativeStudy),” International JournalofEngineeringandTechnology,vol.2,pp. 453–458,Jan.2010,doi:10.7763/IJET.2010.V2 .164.

[25] K.‐U.KlattandS.Engell.“Gain‐schedulingtrajec‐torycontrolofacontinuousstirredtankreactor,” Computers&ChemicalEngineering,vol.22,no. 4,pp.491–502,Jan.1998,doi:10.1016/S0098‐1354(97)00261‐5.

[26] R.B.Gopaluni,I.Mizumoto,andS.L.Shah.“A RobustNonlinearAdaptiveBacksteppingCon‐trollerforaCSTR,” Ind.Eng.Chem.Res.,vol.42, no.20,pp.4628–4644,Oct.2003,doi:10.1021/ ie020412b.

[27] D.Stavrov,G.Nadzinski,S.Deskovski,andM. Stankovski.“QuadraticModel‐BasedDynami‐callyUpdatedPIDControlofCSTRSystemwith VaryingParameters,” Algorithms,vol.14,no.2, Art.no.2,Feb.2021,doi:10.3390/a14020031.

[28] M.C.Colantonio,A.C.Desages,J.A.Romagnoli, andA.Palazoglu.“NonlinearControlofaCSTR: DisturbanceRejectionUsingSlidingModeCon‐trol,” Ind.Eng.Chem.Res.,vol.34,no.7,pp.2383–2392,Jul.1995,doi:10.1021/ie00046a022.

[29] M.Luning,Y.Xiao,Z.Dongya,andS.K.Spur‐geon.“Disturbanceobserverbasedslidingmode

JournalofAutomation,MobileRoboticsandIntelligentSystems VOLUME17,N∘ 42023
76

controlforacontinuousstirredtankreac‐tor(CSTR),”in 201736thChineseControlConference(CCC),Jul.2017,pp.3748–3753.doi: 10.23919/ChiCC.2017.8027943.

[30] J.Feng,L.Ma,D.Zhao,X.Yan,andS.K.Spur‐geon.“OutputFeedbackSlidingModeControlfor ContinuousStirredTankReactors,”in 201912th AsianControlConference(ASCC),Jun.2019,pp. 1443–1448.Available: https://ieeexplore.iee e.org/abstract/document/8765099

[31] W.García‐Gabín,J.E.Normey‐Rico,andEduardo. F.Camacho.“SlidingModePredictiveControl ofaDelayedCSTR,” IFACProceedingsVolumes, vol.39,no.10,pp.246–251,Jan.2006,doi: 10.3182/20060710‐3‐IT‐4901.00041.

[32] A.SinhaandR.K.Mishra.“Controlofanon‐linearcontinuousstirredtankreactorviaevent triggeredslidingmodes,” ChemicalEngineering Science,vol.187,pp.52–59,Sep.2018,doi: 10.1016/j.ces.2018.04.057.

[33] D.Li,D.Wang,andY.Gao.“AdaptiveNeuralCon‐trolandModelingforContinuousStirredTank ReactorwithDelaysandFullStateConstraints,” Complexity,vol.2021,p.e9948044,Oct.2021, doi:10.1155/2021/9948044.

[34] O.Alshammari,M.N.Mahyuddin,andH.Jerbi. “ANeuralNetwork‐BasedAdaptiveBackstep‐pingControlLawWithCovarianceResettingfor AsymptoticOutputTrackingofaCSTRPlant,” IEEEAccess,vol.8,pp.29755–29766,2020,doi: 10.1109/ACCESS.2020.2972621.

[35] O.Alshammari,M.N.Mahyuddin,andH.Jerbi. “AnAdvancedPIDBasedControlTechniqueWith AdaptiveParameterSchedulingforANonlinear CSTRPlant,” IEEEAccess,vol.7,pp.158085–158094,2019,doi:10.1109/ACCESS.2019.29 48019.

[36] A.Soukkou,A.Khellaf,S.Leulmi,andK. Boudeghdegh.“OptimalcontrolofaCSTR process,” Braz.J.Chem.Eng.,vol.25,pp.799–812,Dec.2008,doi:10.1590/S0104‐663220080 00400017.

[37] J.Han.“Autodisturbancesrejectioncontroller anditsapplications,” ControlDecis.,vol.13,no.1, pp.19–33,1998.

[38] Z.Gao,Y.Huang,andJ.Han.“Analternative paradigmforcontrolsystemdesign,”in Proceedingsofthe40thIEEEConferenceonDecisionandControl(Cat.No.01CH37228),Dec.2001, pp.4578–4585vol.5.doi:10.1109/CDC.2001.98 0926.

[39] Y.HuangandJ.Han.“Analysisanddesignfor thesecondordernonlinearcontinuousextended statesobserver,” Chin.Sci.Bull.,vol.45,no.21,pp. 1938–1944,Nov.2000,doi:10.1007/BF0290 9682.

[40] D.Yoo,S.S.‐T.Yau,andZ.Gao.“Onconver‐genceofthelinearextendedstateobserver,”in

2006IEEEConferenceonComputerAidedControl SystemDesign,2006IEEEInternationalConferenceonControlApplications,2006IEEEInternationalSymposiumonIntelligentControl,Oct. 2006,pp.1645–1650.doi:10.1109/CACSD‐CCA‐ISIC.2006.4776888.

[41] X.YangandY.Huang.“Capabilitiesofextended stateobserverforestimatinguncertainties,”in 2009AmericanControlConference,Jun.2009,pp. 3700–3705.doi:10.1109/ACC.2009.5160642.

[42] B.‐Z.GuoandZ.Zhao.“Ontheconvergenceof anextendedstateobserverfornonlinearsys‐temswithuncertainty,” Systems&ControlLetters,vol.60,no.6,pp.420–430,Jun.2011,doi: 10.1016/j.sysconle.2011.03.008.

[43] H.FengandB.‐Z.Guo.“Activedisturbance rejectioncontrol:Oldandnewresults,” Annual ReviewsinControl,vol.44,pp.238–248,Jan. 2017,doi:10.1016/j.arcontrol.2017.05.003.

[44] Z.‐H.WuandB.‐Z.Guo.“Onconvergenceofactive disturbancerejectioncontrolforaclassofuncer‐tainstochasticnonlinearsystems,” International JournalofControl,vol.92,no.5,pp.1103–1116, May2019,doi:10.1080/00207179.2017.138 2720.

[45] Y.Huang,Z.W.Luo,M.Svinin,T.Odashima, andS.Hosoe.“Extendedstateobserverbased techniqueforcontrolofrobotsystems,”in Proceedingsofthe4thWorldCongressonIntelligent ControlandAutomation(Cat.No.02EX527),Jun. 2002,pp.2807–2811vol.4.doi:10.1109/WCIC A.2002.1020036.

[46] Q.ZhengandZ.Gao.“Onpracticalapplicationsof activedisturbancerejectioncontrol,”in Proceedingsofthe29thChineseControlConference,Jul. 2010,pp.6095–6100.Available:https://ieeexp lore.ieee.org/document/5572922.

[47] Q.Zheng,L.Q.Gao,andZ.Gao.“OnValidationof ExtendedStateObserverThroughAnalysisand Experimentation,” JournalofDynamicSystems, Measurement,andControl,vol.134,no.024505, Jan.2012,doi:10.1115/1.4005364.

[48] Q.ZhengandZ.Gao.“Activedisturbancerejec‐tioncontrol:somerecentexperimentaland industrialcasestudies,” ControlTheoryTechnol.,vol.16,no.4,pp.301–313,Nov.2018,doi: 10.1007/s11768‐018‐8142‐x.

[49] S.E.Talole.“Activedisturbancerejectioncontrol: Applicationsinaerospace,” ControlTheoryTechnol.,vol.16,no.4,pp.314–323,Nov.2018,doi: 10.1007/s11768‐018‐8114‐1.

[50] E.F.CamachoandC.Bordons, ModelPredictive control.inAdvancedTextbooksinControland SignalProcessing.London:Springer,2007.doi: 10.1007/978‐0‐85729‐398‐5.

[51] A.Isidori, NonlinearControlSystems.inCom‐municationsandControlEngineering.London:

JournalofAutomation,MobileRoboticsandIntelligentSystems VOLUME17,N∘ 42023
77

Springer,1995.doi:10.1007/978‐1‐84628‐615‐5.

[52] Z.Gao.“Scalingandbandwidth‐parameterizat‐ionbasedcontrollertuning,”in Proceedingsof the2003AmericanControlConference,2003.,Jun. 2003,pp.4989–4996.doi:10.1109/ACC.2003. 1242516.

JournalofAutomation,MobileRoboticsandIntelligentSystems VOLUME17,N∘ 42023
78

IMPLEMENTINGVISUALASSISTANTUSINGYOLOANDSSD

IMPLEMENTINGVISUALASSISTANTUSINGYOLOANDSSD IMPLEMENTINGVISUALASSISTANTUSINGYOLOANDSSD

FORVISUALLY‐IMPAIREDPERSONS

FORVISUALLY‐IMPAIREDPERSONS

Submitted:13th September2022;accepted:3rd January2023

DOI:10.14313/JAMRIS/4‐2023/33

Abstract:

ArtificialIntelligencehasbeentoutedasthenextbig thingthatiscapableofalteringthecurrentlandscape ofthetechnologicaldomain.ThroughtheuseofArtificial IntelligenceandMachineLearning,pioneeringworkhas beenundertakenintheareaofVisualandObjectDetec‐tion.Inthispaper,weundertaketheanalysisofaVisual AssistantApplicationforGuidingVisually‐ImpairedIndi‐viduals.Withrecentbreakthroughsincomputervision andsupervisedlearningmodels,theproblemathandhas beenreducedsignificantlytothepointwherenewmod‐elsareeasiertobuildandimplementthanthealready existingmodels.Differentobjectdetectionmodelsexist nowthatprovideobjecttrackinganddetectionwith greataccuracy.Thesetechniqueshavebeenwidelyused inautomatingdetectiontasksindifferentareas.Afew newlydiscovereddetectionapproaches,suchastheYOLO (YouOnlyLookOnce)andSSD(SingleShotDetector) approaches,haveprovedtobeconsistentandquiteaccu‐rateatdetectingobjectsinreal‐time.Thispaperattempts toutilizethecombinationofthesestate‐of‐the‐art,real‐timeobjectdetectiontechniquestodevelopagoodbase model.Thispaperalsoimplementsa’VisualAssistant’ forvisuallyimpairedpeople.Theresultsobtainedare improvedandsuperiorcomparedtoexistingalgorithms.

Keywords: YOLO,SSD,Objectdetection,R‐CNN,COCO

1.Introduction

Visually‐impairedorblindpeopleareincapableof seeing,whichiscrucialfordailylife.Visually‐impaired people’sautonomyislimitedtosomeextentbytheir inabilitytosee.Inthepast,assistivesystemshavebeen createdusingcomputervisionandmachinelearn‐ing,whichhaverecentlyexperiencedrapidgrowth. Thewaypeoplewithcognitivelimitationsinteract withtheoutsideworldhaschangeddramaticallyasa resultofrecentadvancesinassistivetechnology(AT). Amongthesedisabilities,visualimpairmentstands outasthemostrestrictive.Anytechnologydesigned toaidapersonwithadisabilityisconsideredAT. WiththeaidofAT,peoplewithdisabilitiescanpar‐ticipateincivicactivities,andthejobmarket,and haveahealthy,productive,independentlife[1].The useofATlessenstheneedforlong‐termcare,for‐malhealthandsupportservices,andcaregiverlabor. WithoutAT,peoplefrequentlyexperienceexclusion, isolation,andpoverty,whichworsenstheeffectsof

illnessanddisabilityonanindividual,theirfamily, andsocietyasawhole.Autonomousvehiclesarenow possiblethankstosigni icantadvancementsinarti i‐cialintelligence.Thesealgorithmscanbeusedeffec‐tivelyinATtohelptheblindandvisuallyimpairedin theareasofeducation,navigation,andsocialinterac‐tion.Peoplewhoareblindorvisuallyimpairedcan accessinformationthroughtouchorvoice.Atleast onebillionpeopleworldwidehavenear‐ordistance‐visionimpairmentsthatcouldhavebeenavoidedor havenotyetbeenaddressed,accordingtotheWorld HealthOrganization,whichestimatesthat2.2billion peopleworldwidehavevisualimpairments[2].The expectedcausesofanincreaseintheprevalenceof visionimpairmentarepopulationgrowthandaging. Severalstudieshavealreadybeenconductedtoinves‐tigatethecorrelationbetweentheprevalence,causes, andsocialfactorsofvisualimpairmentsandotherdis‐eases[3–5].MobileapplicationsalongwithMachine learning,AI,andIoThavebeenfoundtobepromis‐ingandprovidelifesavingtechnologiesforassisting humanswithvariousdiseasesanddisabilities[6–9].

Oneoftheprimarygoalsofimage‐basedlearn‐ingistounderstandanddifferentiateamongvarious scenicdescriptionsofcommonobjectsofinterest. Thistaskcanbesubdividedintoseveralsubtasks: boundingboxcreation,objectlocalization,attribute determination,andrelationshipestablishment.The imagesofvariousobjectscanbebroadlyclassi iedinto iconicandscenicviews.Theiconicapproachassumes thepresenceofasingleobjectwithclearboundaries andseparationedges.However,theiconicviewpoint istoosimplistictoaccountforreal‐worldsituations inwhichimagesarerarelyiconicbutinvolvealarge numberofintertwinedobjectsinasmallspace.To detectobjectsofinterest,imagesegmentationand contextminingshouldbeappliedto ilteroutpoints ofinterest.Mostoftheexistingsystemsperformwell undertheseiconicviewsbutachieveloweraccuracy inscenicinstances.Objectsinscenicenvironments arecluttered,overlapping,andwithoutgoodcontrast. Varioustechniquesofsegmentationareappliedto extractusefulinformationfromthesescenicviews. Whenbuildingnewmodels,itisofparamountimpor‐tancetoselectalearningdomainmostsuitabletothe givenneedsandimplementation.Fortrainingthese models,thedatasetemployedplaysacrucialpartin establishinggoodresults.

2023 © Litoriyaetal.ThisisanopenaccessarticlelicensedundertheCreativeCommonsAttribution-Attribution4.0International(CCBY4.0) (http://creativecommons.org/licenses/by-nc-nd/4.0/) VOLUME17,N∘ 42023 JournalofAutomation,MobileRoboticsandIntelligentSystems
79

Oneofthemajorchallengesisto indpertinent trainingimagesandsamplestoaccommodatemore modularandrobustlearning.Variouspioneering workhasbeendoneincollectingtheseimagesamples underoneroofintoadataset.Someofthesedatasets containmillionsofsamplesandtraininginstances, spanningthousandsofobjects.Currently,someof themorepopulardatasetsincludeGoogle’sImageNet, MicrosoftCOCODataset,PASCALVOC,SUN,etc.We takealookatthesedatasetsinthefollowingsections, aimingto indthemostsuitableforourVisualAssis‐tantImplementation.Toimproveavisually‐impaired person’sperception,anewmodelispresentedthat connectsanATdevicewithSmartObjectsandtheir cloud.

Therestofthepaperisorganizedasfollows:A detailedandstate‐of‐the‐artreviewofexistinglitera‐tureinthe ieldispresentedinSection2.Thedetails ofthedatasetusedinthisstudyareexplainedin Section 3.AdetaileddiscussionoftheYOLOobject detectionmodelisincludedinSection 4.Thearchi‐tectureoftheproposedsystemispresentedinSec‐tion 5.Obtainedresultsanddetaileddiscussionsare presentedinSections6.Section7concludesthearticle andsketchesfutureworkdirections.

2.LiteratureSurvey

Numerousassistivesystemshavebeenintroduced forobjectdetectioninthelastfewyearsthatrelyon sensors,theInternetofThings,andcomputervisionto helptheblind.Thesesystemseachhavetheirbene its anddrawbacks.

Zouetal.[10]reviewsmorethan400papers onobjectdetectionspanningfromthe1990sto 2109,focusingonthetechnicaladvancementsmade inthisarea.Thispaperemphasizesseveraltopics whichincludeseveralearly‐stagedetectors,datasets fordetection,metrics,possiblespeed‐uptechniques whichcanbeused,andtherecentstate‐of‐the‐art detectionmethods.Thispaperalsoshedslighton someimportantapplicationsofdetection,suchas textdetection,facedetection,pedestriandetection, etc.,andmakesananalysisofthedevelopmentmade andchallengesfacedinrecenttimes.Variousaspects makethispaperdifferentfromallthereviewsdone onobjectdetection.In‐depthresearchonthekey technologiesandstate‐of‐the‐artobjectdetectionsys‐temshasbeendonehere,whilethepreviousreviews lackedfundamentalanalysistogivereadersacom‐pleteunderstandingofcomplextechniques.Mostof thepreviousreviewswerefocusedonashortperiod orsomespeci icdetectiontaskwithoutconsidering thedevelopmenthistory.

AmbatiandL.Gayer[11]underlinehowcrucial itistocustomizethechoiceofmachinelearning (ML)techniquesbasedontheparticularHAR(Human ActivityRecognition)requirementsandthefeatures oftheassociatedHARdataset.Overall,thisstudyaids incomprehendingthebene itsanddrawbacksofML techniquesanddirectstheapplicabilityofvariousML methodstovariousHARdatasets.

Anaccessiblewebinterfaceforvisually‐impaired individualsispresentedbyIyeretal.[12]tomaximize easeofuseandprovideuserswithahassle‐freeexpe‐rience,thevirtualassistantisanoperatingsystemthat isindependentanddoesn’trelyonkeyboardinput fromtheuser.Communicationwithandcustomiza‐tionofthesystemarepossibleusingspeech‐to‐text andtext‐to‐voiceinterfaces.Thispresentationpro‐videsanoverviewofthesystemdesignandimplemen‐tationmethodologyforthethreemodulescurrently inuse.Toansweruserqueriesquicklyandaccurately, WikipediausesaBERTmodelbuiltfromtheSQuAD dataset.Itwasfoundthat80.88%ofthewordsexactly matched.Anyonewithvisualimpairmentscaneasily accessanywebsiteusingthevirtualassistant.With thisprogram,youdon’thavetomemorizecomplex keyboardcommandsorusescreenreaders.Asatool forinteractingwiththewebsites,theassistantisnot onlyveryconvenientbutalsoquiteeffective.Accord‐ingtotheresults,thesoftwarewassuccessfullyrun onthethreemostpopularsites:Google,Gmail,and Wikipedia.Itwasrunseparatelyoneachofthese sites.ThesoftwareisasteppingstonetowardWeb3.0 whereallfunctionscanbecontrolledthroughvoice commands.Visually‐impairedpeople indthemselves wanderinginsideunusualchallengingareas.Many smartsystemshaveintendedtohelpblindpeoplein thesedif icult,oftendangerous,situations.However, someofthemarenotfree,hardto ind,orsimplytoo expensive.Saffouryetal.[13]presentedalow‐cost wearsystemforblindpeoplethatwasdesignedto allowthemtodiscoverobstaclesintheirplace.The proposedprogramconsistsoftwomaincomponents; hardwarecomponents,andalaserpointer($12),as wellasanandroidsmartphone,whichmakesoursys‐temcheaperandmoreaccessible.ICon lictavoidance algorithmusesimageprocessingtomeasuredistances toobjectsinthesurroundingarea.Thisisbasedon lasertriangularlight.Thisdetectionofobstaclesis enhancedbytheedgediscoverywithinthecaptured image.Anadditionalfeatureforasystemistosee andalerttheuserwhentherearestairsinthecamera viewarea.Obstaclesarebroughttotheuser’satten‐tionusingtheacousticsignal.Oursystemshowedthat solid,withonly5%ofafalsealarmleveland90% sensitivitywithobstacles1cmwide.Thissystemhad somelimitations:Itmaynotworkwellinashiny environmentaslaserintensitymaydecreaseandthe distancebetweenthecameraandthelasershouldnot change.

Mohantaetal.[14]proposedanassistantfor visually‐impairedindividuals.Intheirsetupaftercap‐turingaphotofromasmartphone,theusercaneasily readmenucardsofrestaurants,theroomnumber ofthehotel,andcanalso indtheirbelongings.The voicecontrolfeedbackmechanismisalsousedinthe appthroughwhichtheusercanperformvarioustasks withthehelpofthevoiceassistant.Cloudcomput‐ing,imageprocessing,andMLareusedtodevelop theapplication.ThecentralaimofusingMListo allowcomputerstolearnautomaticallywithoutinter‐ventionfromhumans.Multiplefontscanbedetected whilereadingthetextevenifthefontisuniqueornot common.

JournalofAutomation,MobileRoboticsandIntelligentSystems VOLUME17,N∘ 42023
80

Suchuniquefontscanbefoundingreetingscards, businesscards,etc.Itisalsoprovedtobebene icial indifferentsectorslikebanking,education,traveland tourism,etc.Variousobjectsofdailyuse,vehicles,and foodcanbedetectedandrecognizedwiththehelpof thisapplication.

Sharmaetal.[15]createdasystemthathelpsa personwhoisvisuallyimpairednavigatebyspeaking throughtheearpiecetoidentifytheperson.Theysug‐gesteddevelopingamobileappthatusednumerous deeplearningmodelstoimprovethemanagementof applications.Thecameracontinuouslyfedimagesinto thesystemasinputs,thecoresystemprocessedthis information,andtheearpieceservedastheoutput devicetodeliverthisoutputtotheuser.

AnintelligentvirtualassistantcalledProject Nethra[16]offersvoice‐basedcommunicationto userswhoareblindorvisuallyimpaired.Itenablesa widerangeoffunctionalitybasedonvariousinternet servicesandsocialmediaforthetargetusersto interactwithcomputersandinternet‐basedservices. Nethrawillperformtasksontheuser’sbehalfrather thanjustreturningsearchresults.ProjectNethrawill conversewiththeuserconversationallybyspeaking backtothemafterhearingwhattheysayanddetecting it.Thevoicerecognitionmodule,naturallanguage processingmodule,conversationalagent,andcontent extractionmodulearethesystem’sfourmainparts. Kumaranetal.[17]discussthedevelopmentofvirtual personalassistantsandspeechrecognitionsystems. Thecurrentsystemisoperatedandmaintainedby athirdpartyandoperatesonline.Thisapplication usedthelocaldatabase,speechrecognition,and synthesizerwhilesafeguardinguserdatafrom outsideparties.Torecognizethespeech,aparser calledSURR(SemanticUni icationandReference Resolution)isused.Textisconvertedtophonemesby asynth.

TodesigntheNext‐GenerationofVPAsmodel, KepuskaandBohouta[18]usedmulti‐modaldialogue systems,whichprocesstwoormorecombineduser inputmodes,suchasspeech,image,video,touch, manualgestures,gaze,andheadandbodymovement. Byutilizingvarioustechnologies,includinggesture recognition,image/videorecognition,speechrecogni‐tion,asizabledialogue,aconversationalknowledge base,andageneralknowledgebase,thenewmodel ofVPAswillbeusedtoincreaseinteractionbetween humansandmachines.

Iannizzottoetal.[19]developedavirtualassis‐tantarchitectureforsmarthomeautomationsystems usingsomeofthemostcutting‐edgemethodsincom‐putervision,deeplearning,speechgeneration,recog‐nition,andarti icialintelligence.Thedevelopedproto‐typeofthesuggestedassistantisinteractive,resource‐ef icient,effective,andadaptable,anditrunsona small,inexpensiveRaspberryPI3device.Thesystem wasintegratedwithanopensourcehomeautomation environmentfortestingpurposes,anditranforsev‐eraldayswithusersbeingurgedtointeractwithit.It turnedouttobeprecise,dependable,andappealing.

Aninterestingresearch,GnanaandPraveen[20], suggestedamethodforautomaticallyestimating depthfromasingleimageusingthelocaldepth hypothesisanditsapplicationtohelptheblind.A camerarecordstheenvironmentinfrontoftheuser, andtherecordedimageisscaledforcomputational effectiveness.Edgedetectionandmorphologicaltech‐niquesareusedtoseparatetheobstaclesinthe image’sforeground.Then,basedonthelocaldepth hypothesis,thedepthiscomputedforeachbarrier. Rahmanetal.[21]presentsthearchitecturalframe‐workforasmartblindassistantthatintegratesIoT anddeeplearning.Thesuggestedapproachutilizesa deeplearningparadigm,aRaspberryPi,andacamera moduletocreateanintelligentcap.Thesuggestedcon‐ceptshowsthestructurallayoutofasmartblindstick thatmakesuseofamicroprocessorandnumerous sensors.Forimmediatedatamonitoring,themodel usesBluetoothandtheInternetofThings’connectiv‐ity.UsinganIoTcloudserver,theauthorizedperson continuestokeepaneyeonvisionimpairment.

2.1.RelatedWorkAboutObjectDetectionandRelated Technologies

ObjectDetection: Currentmodelsinobjectdetec‐tionhavetwocategories:(1)one‐stagedetectorsand (2)two‐stagedetectors.Incomparisonwithone‐stage detectors,two‐stagedetectorsarebetterintermsof performance.However,sincetheyrequireinference oftheregionofanobject,theyarelessef icientthan one‐stagedetectors.Here,inbothcases,thedetec‐torsareneededtotraininanof linebatchmodeand theyassumealargenumberoftrainingimagesper class.Duringthemodeldeploymentwhenthenovel classesareneeded,toaddthisrestrictsthescalabil‐ityandusability.Thesecanactasthebackboneof detectionforafew‐shotdetectorsalthoughtheyare non‐incremental.TheONCEthatweareusingisbased ontheone‐stageCenterNet.TheCenterNetischosen becauseitcanbeeasilybrokendownintotheclass‐genericandspeci icparts,competitivedetectionaccu‐racy,andef iciency.

Few-shotlearning: FSL(few‐shotlearning)is studiedforef icientlyregisteringnewclassesin deploymentforimagerecognition.Consideringalarge numberoflabeledexamplesofasetofbaseclasses, FSLtriestometa‐learnadata‐ef icientthathelps toallownewclassestobelearnedfromveryfew examplesforeachclass.FSLissimplerthanobject detection.

Objectdetectionhasgonethroughtwohistori‐calperiods:a(i)traditionalobjectdetectionperiod (before2014)anda(ii)deeplearning‐baseddetection period(after2014).Traditionalobjectdetectionalgo‐rithms,whichincludetheViola‐JonesDetector,the HistogramofOrientedGradients(HOG)detector,and theDeformablePart‐basedModel,werebuiltbasedon handcraftedfeaturesandastheperformanceofhand‐craftedfeaturesbecamesaturated,deeplearning‐baseddetectionmethodsstartedevolving.

JournalofAutomation,MobileRoboticsandIntelligentSystems VOLUME17,N∘ 42023
81

Inthedeeplearningera,objectdetectioncanbe categorizedas:“two‐stagedetection”(whichincludes RCNN,SPPNet,FastRCNN,FasterRCNN,FeaturePyra‐midNetworks),and“one‐stagedetection”(which includesYOLO,SSD,RetinaNet).Inobjectdetection, severalknowndatasetshavebeenreleasedinrecent years,likePASCALVOC,ImageNet,MS‐COCO,etc. ThispaperalsoreviewsAlexNet,VCG,GoogleNet,and ResNetastheengineofdetectorsthataffecttheaccu‐racyofdetectors.

YOLO(YouOnlyLookOnce)isanewapproach toobjectdetectionwithanextremelyfastarchitec‐ture[22].ThebasemodelofYOLOprocessesimages inreal‐timeat45framespersecond,whileFastYOLO, asmallerversionofthenetwork,processesimagesat 155framespersecond.YOLOmakesmorelocaliza‐tionerrorsbutislesslikelytopredictfalsepositives onimagebackgrounds.Itoutperformsotherdetec‐tionmethods,includingtheDeformablePartsModel (DPM)andR‐CNN.Currentdetectionsystemsrepur‐poseclassi iersfordetection.TheDeformableParts Modelusesaslidingwindowapproach,wherethe classi ierrunsatevenlydistributedlocationsthrough‐outtheimage.RecentapproacheslikeR‐CNN,onthe otherhand,generatepotentialboundingboxes irst usingregionproposalmethods,thenrunaclassi ier onthesuggestedboxes.Inpost‐processing,thebound‐ingboxesarere inedandthedetectionsareelimi‐nated,andthescoresarerecalculatedbasedonthe otherobjectsintheimage.Thesemodelsthatusecom‐plexpipelinesarerelativelyslowandhardtooptimize. WithYOLO,youonlylookonceatanimagetopredict whatobjectsarepresentandwheretheyare.YOLOis relativelysimpleandfast,trainingonfullimagesto makethedetectionprocesseffective.BecauseYOLO doesnotuseacomplexpipeline,itisextremelyfast. Itusesaneuralnetworktopredictdetectionsfroma newimageattesttime,whichenablesittoprocess streamingvideoinreal‐time.YOLOanalyzestheimage whilemakingpredictions.Fortrainingandtesting,a fullyconnectedlayerpredictstheoutputcoordinates andtheirprobabilitiesbytakingintoaccountthefull imagesoitcanextractcontextualinformationabout classes.Fortrainingandinferencepurposesitusesthe Darknetframework.YOLOfacesdif icultywithsmall objectsthatappearingroups,forexample,a lockof birds,andalsoitstrugglestogeneralizeobjectsthat appearindifferentaspectratios.Errorsarecaused primarilybyincorrectlocalization.

Despitethesuccessofdeepconvolutionalneural networks(CNNs)inobjectdetection,foralmostall thecurrentmodelsalengthyprocessofnumerous iterationsinabatchisusedtotrainthem.Inthecurrent scenario,allofthetargetclasseshaveagreatdealof trainingdatainterpretedwithtrainingsamples,andall ofthetrainingimagesareusedfortrainingpurposes. Duetotheirhighinterpretationcostandcomplex trainingrequirements,thesemethodshavealimited abilitytoaccommodateonlineclassesandgrow.

Toavoidtheearliermentionedlimitations,wecan studyalearningsettingknownasiFSD(Incremental Few‐ShotDetection)[23].

TheIncrementalFew‐ShotDetectionoriFSDset‐tingisde inedas(1)thesetofbaseclassesthathavea suf icientnumberoftrainingsamplesthatcanbeused topre‐trainthedetectionmodelinadvance,and(2) whenthetrainingpartiscompleted,theiFSDmodel mustbereadyfordeploymenttoareal‐worldappli‐cationwherethenewclassescanbeaddedatany timewiththehelpoffewannotatedexamples.The modelshouldworkwithlearningwithoutforgetting theprinciple,i.e.,itshouldgiveafairresultonall theclassesregisteredsofar.(3)Memoryfootprint, storage,andcomputecostsshouldbefeasibleforthe learningofclassesfromanunbounded lowofexam‐ples.Themodelsshouldbeabletobedeployedonlow‐resourcedevicessuchassmartphonesandrobots.

AguidetothenovelCOCODatasetcreatedfor Objectdetectionandclassi icationispresentedbyT.Y. Linetal.[24].Itmainlyfocusesonthenon‐iconic orscenicviewsofimages,pointingoutthedif icul‐tiesencounteredwhendetectingscenicviews.Itout‐linesimagesegmentation,bounding‐boxgeneration, heatmap,andper‐pixelcolorlocation.Thefocusison 2Dand3Dimagelocalizationandper‐pixelseman‐ticsegmentation.Thepaperoutlinestheneedfora largeandrich‐annotatedimagewithalargenumber ofinstancespersampleofobjects.Thiscollectionaids inbetterlearningandaccuracyonscenicviewsof images.Thedifferenttechniquesofimagesegmenta‐tion,classi ication,anddetectionhavebeende ined withrespectivelimitations.Semanticscenelabeling hasbeende inedaspixelsofimagesbelongingtoeach objectcategory.Thisalsohelpsindetectingobjects whereinindividualobjectsarehardtode ineand establish.Imagelocalizationandboundingboxhave beendescribedasthemajorstepinobjectdetection andfacetracking.Thetaskofobjectclassi ication requiresbinaryimagelabelsandiscomparativelyeas‐ieraswedealwithgeneraliconicimages.Various statisticshavebeenpresentedfortheCOCODatasetin comparisonwithothercontemporarydatasets.

JosephRedmonandAliFarhadi[25]presented somedesignchangestoYOLO,whichmakesitalit‐tlebiggerbutmoreaccurateandfaster.YOLOv3is approximatelyasaccurateasanSSDbutthreetimes faster.YOLOv3clustersthedimensionsofground truthlabelstogenerateanchorboxesforpredicting theboundingboxes,whereeachboundingboxhas4 coordinates,tx,ty,tw,andth.Eachboxpredictsthe classeswhichmaybepresentusingmultilabelclas‐si ication.Duringtraining,itusesthebinarycross‐entropylossformakingclasspredictions.Darknet‐53, ahybridnetworkcomposedofYOLOv2andDarknet‐19,predictsboxshapesat3differentscalesand extractsfeaturesfromthem.Thisnetworkconsistsof successive3x3and1x1convolutionallayerswitha totalof53convolutionallayers.Darknet‐53performs betterthanmanyoftherecentclassi iers.Darknet‐53isevenbetterthanResNet‐101andResNet‐152 intermsofperformanceandspeed.Becauseofthe betterutilizationofGPU,Darknet‐53hasthehighest measured loating‐pointoperationspersecond.On theotherhand,ResNetshavemanylayerswhichmake themveryinef icient.

JournalofAutomation,MobileRoboticsandIntelligentSystems VOLUME17,N∘ 42023
82

YOLOv3performsextremelywellontheolddetec‐tionmetricofmAPatIOU=.5andisalmostasgoodas RetinaNetandmuchaboveSSDvariants.Performance ofYOLOv3decreasesastheIOUthresholdincreases whichmeansthatitfacesdif icultyingettingtheboxes perfectlyalignedwiththeobject.YOLOv3incompar‐isonwithYOLOstruggleswithmediumandlarger‐sizeobjects.Overall,YOLOv3isaprettygooddetector, extremelyfast,andaccurate.

Itisevidentfromtheliteraturesurveythatmany toolsandsolutionshavebeencreatedtoaidand directvisually‐impairedpeoplearoundindoorand outdoorpathways.Nevertheless,theyhaven’tentirely satis iedtheuserneedsandtechnologicalspeci ica‐tions.Currently,themajorityoftheseunanswered questionsarebeingaddressedindependentlyinmany researchareas,includingindoorlocation,computa‐tionof loading,distributedsensing,andtheexami‐nationofspatially‐relatedperceptualandcognitive processesinvisually‐impairedindividuals.However, mobilephonesandothersuchdevices,alongwith state‐of‐the‐arttechnologies,arequicklybecoming integratedintotheirdailylives.Oldandnewsolutions havebecomeworkableinthissetting,andsomeof themarenowonthemarketassmartphoneapplica‐tionsorportabledevices.

3.DatasetUsed

3.1.MicrosoftCOCO(CommonObjectsinContext) Dataset

Therearenumerousimagesdepictingcomplex everydayscenesofeverydayobjectsintheirnatu‐ralsettingcontainedwithinthislarge,richlyanno‐tateddataset.Itaddresses3majorproblemsinscene understanding,i.e.,detectingnon‐iconicviews,con‐textualreasoning,andpreciselocalizationofobjects. Thedatasetconsistsofalargesetofimagescon‐tainingcontextualrelationshipsandnon‐iconicobject views,with91commonobjectcategories,25million labeledinstancesin3,28,000images.COCOhasmore instancespercategorycomparedtoothercontempo‐rarydatasets(Fig.1).

3.2.GoogleImageNetDataset

ResearchusingImageNetaimstodevelopsoftware thatcanrecognizevisualobjects.

Thedatabasehasmorethan14million‐annotated imagesandwithatleastonemillionoftheimages, boundingboxesarealsoprovided.ImageNetcontains morethan20,000categories.

Thenumberofcategoriesisverylarge,but instancespercategoryaresubstantiallylowforrig‐oroustraining.Thedatasetisorganizedaccordingto theWordNethierarchy(currentlyonlythenouns),in whicheachnodeofthehierarchyisdepictedbyhun‐dredsandthousandsofimages(Fig. 2).Theaverage numberofimagespernodeiscurrentlyover500.

3.3.SUNDatabase

Themainaimofthisdatasetistoprovide researcherswithacomprehensivecollectionofanno‐tatedimagescoveringalargevarietyofenvironmental scenes,places,andobjectswithin(Figs.3and4).The samplesarebuiltusingvocabularybasedonscenes andplaces.Thevocabularyisthenqueriedtoobtain imagesfromtheinternet.Ithas16,783imagesofvar‐iousscenes.Thedatasethasbeenoptimallydivided intotrainingandtestingsamples.

JournalofAutomation,MobileRoboticsandIntelligentSystems VOLUME17,N∘ 42023
Figure1. Instancesvsimagesizecomparisonsfor differentdatasets Figure2. Instancesvsno.ofcategories’comparisonsfor differentdatasets Figure3. Percentageofimagesvsinstancesfordifferent datasets
83

4.YOLO–ObjectDetectionModel

TheYOLOsystemdetectsobjectsinreal‐timeusing state‐of‐the‐artsensors.Itisafastobjectdetection approachthatscansthecompleteimagetoextract contextualinformationwithhighaccuracy.Inprior detectionsystems,classi icationorlocalizationfunc‐tionsarerepurposedtoperformdetection.Themodel isappliedtoanimageatmultiplescalesandlocations toaccomplishdetection.YOLOdetectshigh‐scoring regionsusingauniquemethodthatinvolvesapplying 24convolutionallayersfollowedbytwofullycon‐nectedlayerstotheentireimage.Animageisdivided intoregionsbythisnetworkandboundingboxesand probabilitiesarepredictedforeachregion.Predicted probabilitiesareusedtoweightheboundingboxes. TheYOLOpredictsbasedonhowtheimageisglobal atthetimeofthetest,notitscomponents.Unlike systemssuchasR‐CNN,whichrequirethousandsof evaluationsforasingleimage,thismakespredictions usingonenetworkevaluation.FasterthanR‐CNNand 100xfasterthanFastR‐CNN,itismorethan1000x fasterthanR‐CNN.AnewerversionofYOLO,YOLOv3 incorporatesseveralimprovementstoprovidebetter trainingandbetterperformance,includingmulti‐scale predictions,abetterbackboneclassi ier,andmore.

5.Architecture

TheProposedArchitecturecomprisesvarious dependentcomponentsimplementedasstand‐alone modulesasshowninFigure 5.Weadoptaclient‐serverarchitecture,whereintheServerisaremote entityrunningonalocalmachine.TheClientAppli‐cationisimplementedasamobileapplicationthatis connectedtothecameradevicethroughawireless

networkeitherusingBluetooth,Wi‐Fi,orotherwire‐lesstransmissionprotocols.

Theonlyrequirementissuf icientbandwidthand lowlatency.Themobileapplicationsendsarequestto themirrorsitewhich,inturn,forwardsittothelocal server.Thelocalserver,runningaYOLOv3model, detectsobjectswithintheinputimageandcreatesa listofobjectsfound.Thislistis inallyconvertedinto astringandsentasaresponsetothemirrorsite, which,redirectstheresponsetotheclientapplication. Theclientapplicationusingtext‐to‐speechfunction‐alityconvertsthisstringintoaudiothatisfedinto theearpieceofthevisually‐impairedindividual.For simplicity,theentireimageisdividedinto9different zones,viz.,Center,TopLeft,BottomRight.Themodel alsopredictsthezoneofeachobjectdetectedusingthe bounding‐boxlocationreturnedbytheYOLOmodel.

Thevariouscomponentsofthesystemareas follows:

‐ YOLOv3:YOLO modelimplementedin Python using CV2 and Numpy libraries.

‐ LocalServer: Serverimplementedin Python using Flask and ngrok libraries.

‐ MobileApplication: MobileApplicationimple‐mentedin Dart and Flutter using Dio, tts,and camera libraries.

‐ HTTP Mirror: Ngrok createsamirror HTTP site thatredirectsandforwardsrequestsandresponses betweenclientandserver.Therequestismadeto thisHTTPsite.

‐ Camera: Externalcameradeviceinstalledonthe walkingcane.

JournalofAutomation,MobileRoboticsandIntelligentSystems VOLUME17,N∘ 42023
Figure4. Percentageofimagesvscategoriesfor differentdatasets Figure5. Client‐Serverinteraction
OneStageMethods Backbone AveragePrecisionIoU AveragePrecisionArea S M L S M L YOLOv2 DarkNet‐19 21.6 44.0 19.2 5.0 22.4 35.5 SSD513 ResNet‐101‐SSD 31.2 50.4 33.3 10.2 34.5 49.8 DSSD513 ResNet‐101‐DSSD 33.2 53.3 35.2 13.0 35.5 51.1 RetinaNet ResNet‐101‐FPN 39.1 59.1 42.3 21.8 42.7 50.2 RetinaNet ResNeXt‐101‐FPN 40.5 61.1 44.1 24.1 44.2 51.2 YOLOv3608*608 Darknet‐53 33.0 57.9 34.4 18.3 35.4 41.9 84
Table1. ComparisonbasedonaverageprecisiononMScoco

6.ResultsandDiscussion

6.1.YOLOv3Metrics(Table 1)

‐ BasedonCOCO’saveragemeanAPmetric,YOLOv3is comparabletoSSDvariants.YOLOv3’sperformance at320x320is22msat28.2mAP,whichis3times fasterthanSSD.

‐ WhenmAPdetectionisupdatedtoIOU=.5(or AP50),YOLOv3hasaperformancealmostsimilarto RetinaNet.AccordingtoRetinaNet’stests,itachieves similarperformanceto57.9AP50in51ms,butitis 3.8*fasterthanRetinaNet’stests.

‐ TheYOLOv3performancedropssigni icantly,as indicatedbyCOCOaverageAP,astheIOUthreshold increases,indicatingthatitisapoorperformer.

‐ However,YOLOv3isaverystrongandfastdetec‐tor,whichisverygoodontheolddetectionmetric of.5IOU

6.2.ApplicationUI

Sincetheapplicationismadeforvisually‐impaired individuals,itisobviousthataveryrudimentaryuser interface(UI)issuf icient.

Basedonthis,wecreatedasimpleandlucidUIthat isbeingusedonlyfordemonstrationpurposes(Refer toFigs.8–10).Theexternalcamerahardwarehasnot beenusedfordemonstrationpurposes,instead,the mobiledevicecameraisused.Afewsamplesofthe ApplicationUIalongwiththelocalserverareshownin Figure11.Themobileapplicationcanbefoundat[25]

andtheserver.Theresponsetimeonaveragewas foundtobearound5s.Theupperboundresponse timeisalsoaround5s.

JournalofAutomation,MobileRoboticsandIntelligentSystems VOLUME17,N∘ 42023
Figure6. Comparisonbasedoninferencetime Figure7. ComparisonbasedonaccuracyonMScoco Figure8. Homescreenonclientapplication Figure9. SettingtheHTTPmirroraddressontheclient application
85

Object‐detectionmodel.ManyObjectDetection algorithmshavebeenproposedwithwide‐scaleappli‐cability.Choosingonesuchmodelthatpertinently solvestheproblemathandisamajordeterminerin obtaininggoodaccuracy.Wehaveprovidedreviewsof variousobjectdetectiontechniquesthatworkwiththe scenicviewofgenericimages.Awide‐scalecompar‐isonamongthevariousobjectdetectorshasencour‐agedustouseYOLOv3,anincrementallymodi ied formofYOLO,astheobjectdetector.Theaccuracy andmAPscoreofYOLOisaboveparwithmostcon‐temporarydetectors,andforanotherreason,YOLOis simplerinimplementation,allowingthesimpleand robustconstructionofanobjectdetector.Wehavedis‐cussedtheproposedarchitecture,i.e.,aclient‐server

modelalongwiththevariousnecessarycomponents. Themodularapproachhasenabledustoachievea greataverageresponsetimeof5s.

7.ConclusionandFutureWork

Peoplewhoarevisually‐impairedstruggletomove safelyandindependently,whichpreventsthemfrom participatinginroutineprofessionalandsocialactiv‐itiesbothindoorsandoutdoors.Theyalsohavedis‐tressingrecognitionofbasicenvironmentalfactors. Thispaperprovidesacomputervision‐basedsystem thatsupportsblindpeopleinnavigationaswellas triestoaddresstheproblemsposedintheintroduc‐tionsection.Thesuggestedmethodisexaminedunder variouscircumstancesandmeasuredagainstcompet‐ingprogrammesavailableontheAppstore.The ind‐ingsshowthattheprogrammefunctionsreasonably wellundervariousconditionsandisquickerandmore effectivethanitsalternatives.Asopposedtomany otherapplications,thisoneletsblindusersopenit bypluggingtheirmobilephones’earphonejacksin. Thismakesitsomewhataccessibletoblindusers. Thisapplicationcanbeusedfornavigationinitscur‐rentcondition,althoughithasseveralrestrictions. Therearestillalotofthingsthatneedtobe ixed. Toaccountforbetterobjectdetection,theapplication canbeenhancedbycombiningitwiththeInternet ofDevices’technologydevices.Theperformanceof theapplicationwillimproveinthefuturethanksto improvementsindeeplearningandtheYOLOalgo‐rithm.TheapponlyworksonAndroidphones,soit willneedtoberedesignedsothatitcanrunonother platformsaswell.

AUTHORS

RatneshLitoriya∗ –Medi‐CapsUniversity,Indore, India,e‐mail:litoriya.ratnesh@gmail.com.

KailashChandraBandhu –Medi‐Caps University,Indore,India,e‐mail:kailashchan‐dra.bandhu@gmail.com.

SanketGupta –Medi‐CapsUniversity,Indore,India, e‐mail:sanket.jec@gmail.com.

IshikaRajawat –Medi‐CapsUniversity,Indore,India, e‐mail:ishika.rajawat30@gmail.com.

HanyJagwani –Medi‐CapsUniversity,Indore,India, e‐mail:email2hany@gmail.com.

ChirayuYadav –Medi‐CapsUniversity,Indore,India, e‐mail:chirayu725@gmail.com.

∗Correspondingauthor

References

[1] WorldHealthOrganization.“Assistivetechnol‐ogy,” WHO,2018.Assistivetechnology(accessed Mar.20,2022).

[2] WorldHealthOrganization.“Blindness andvisionimpairment,” WHO,2021. https://www.who.int/news‐room/fact‐shee ts/detail/blindness‐and‐visual‐impairment (accessedFeb.20,2022).

JournalofAutomation,MobileRoboticsandIntelligentSystems VOLUME17,N∘ 42023
Figure10. Acameraonclientapplication Figure11. Localserverrunningonalocalmachine
86

[3] L.S.Ambati,O.F.El‐Gayar,andN.Nawar.“In lu‐enceofthedigitaldivideandsocio‐economicfac‐torsonprevalenceofdiabetes,” IssuesInf.Syst., vol.21,no.4,2020,pp.103–113,2020.doi: 10.48009/4_iis_2020_103‐113.

[4] C.Guoetal.“Prevalence,causesandsocialfac‐torsofvisualimpairmentamongChineseadults: basedonanationalsurvey,” Int.J.Environ.Res. PublicHealth,vol.14,no.9,2017,p.1034.doi: 10.3390/ijerph14091034.

[5] C.Albus.“Psychologicalandsocialfactorsin coronaryheartdisease,” Ann.Med.,vol.42,no.7, 2010,pp.487–494.doi:10.3109/07853890.201 0.515605.

[6] O.F.El‐Gayar,L.S.Ambati,andN.Nawar. “Wearables,arti icialintelligence,andthe futureofhealthcare,”2020,pp.104–129.doi: 10.4018/978‐1‐5225‐9687‐5.ch005.

[7] P.PandeyandR.Litoriya.“Anactivityvigilance systemforelderlybasedonfuzzyprobability transformations,” J.Intell.FuzzySyst.,vol.36, no.3,2019,pp.2481–2494.doi:10.3233/JIFS‐181146.

[8] P.PandeyandR.Litoriya.“Ensuringelderlywell beingduringCOVID‐19byusingIoT,” Disaster Med.PublicHealthPrep.,vol.16,no.2,2020,pp. 763–766.doi:10.1017/dmp.2020.390.

[9] L.S.Ambati,O.F.El‐Gayar,andN.Nawar.“Design principlesformultipleSclerosismobileself‐managementapplications:Apatient‐centricper‐spective,”2021.

[10] Z.Zouetal.“Objectdetectionin20years:Asur‐vey,”2019.http://arxiv.org/abs/1905.05055.

[11] L.S.AmbatiandO.F.El‐Gayar.“Humanactivity recognition:Acomparisonofmachinelearning approaches,” J.MidwestAssoc.Inf.Syst.,vol.2021, no.1,2021.doi:10.17705/3jmwa.000065.

[12] V.Iyeretal.“Virtualassistantforthevisually impaired,” 20205thInternationalConferenceon CommunicationandElectronicsSystems(ICCES), 2020,pp.1057–1062.doi:10.1109/ICCES487 66.2020.9137874.

[13] R.Saffouryetal.“Blindpathobstacledetector usingsmartphonecameraandlinelaseremit‐ter,” 20161stInternationalConferenceonTechnologyandInnovationinSports,HealthandWellbeing(TISHW),2016,pp.1–7.doi:10.1109/TI SHW.2016.7847770.

[14] A.Mohantaetal.“Applicationforthevisually impairedpeoplewithvoiceassistant,” Int.J. Innov.Technol.Explor.Eng.,vol.9,no.6,2020,pp. 495–497.doi:10.35940/ijitee.F3789.049620.

[15] V.Sharma,V.M.Singh,andS.Thanneeru.“Virtual assistantforvisuallyimpaired,” SSRNElectron.J., 2020.doi:10.2139/ssrn.3580035.

[16] A.M.Weeratungaetal.“ProjectNethra‐an intelligentassistantforthevisuallydisabledto interactwithinternetservices,” 2015IEEE10th InternationalConferenceonIndustrialandInformationSystems(ICIIS),2015,pp.55–59.doi: 10.1109/ICIINFS.2015.7398985.

[17] N.Kumaranetal.“Intelligentpersonalassis‐tant‐implementingvoicecommandsenabling speechrecognition,” 2020InternationalConferenceonSystem,Computation,Automation andNetworking(ICSCAN),2020,pp.1–5.doi: 10.1109/ICSCAN49426.2020.9262279.

[18] V.KepuskaandG.Bohouta.“Next‐generationof virtualpersonalassistants(MicrosoftCortana, AppleSiri,AmazonAlexaandGoogleHome),” 2018IEEE8thAnnualComputingandCommunicationWorkshopandConference(CCWC),2018, pp.99–103.doi:10.1109/CCWC.2018.8301638.

[19] G.Iannizzottoetal.“Avisionandspeech enabled,customizable,virtualassistantfor smartenvironments,” 201811thInternational ConferenceonHumanSystemInteraction(HSI), 2018,pp.50–56.doi:10.1109/HSI.2018.84 31232.

[20] R.G.PraveenandR.P.Paily.“Blindnaviga‐tionassistanceforvisuallyimpairedbasedon localdepthhypothesisfromasingleimage,” ProcediaEng.,vol.64,2013,pp.351–360.doi: 10.1016/j.proeng.2013.09.107.

[21] M.W.Rahmanetal.“Thearchitecturaldesignof smartblindassistantusingIoTwithdeeplearn‐ingparadigm,” InternetofThings,vol.13,2021, p.100344.doi:10.1016/j.iot.2020.100344.

[22] J.Redmonetal.“Youonlylookonce:uni ied,real‐timeobjectdetection,”2016IEEEConferenceon ComputerVisionandPatternRecognition(CVPR), 2016,pp.779–788.doi:10.1109/CVPR.2016.91.

[23] J.‐M.Perez‐Ruaetal.“Incrementalfew‐shot objectdetection,”2020. http://arxiv.org/abs/ 2003.04668

[24] T.‐Y.Linetal.“MicrosoftCOCO:common objectsincontext,”2014,pp.740–755.doi: 10.1007/978‐3‐319‐10602‐1_48.

[25] J.RedmonandA.Farhadi.“YOLOv3:An incrementalimprovement,”2018.doi:arXiv: 1804.02767.

JournalofAutomation,MobileRoboticsandIntelligentSystems VOLUME17,N∘ 42023
87

Turn static files into dynamic content formats.

Create a flipbook