

ELAIA
VOLUME 7/8 2024/2025
THE HONORS JOURNAL OF OLIVET NAZARENE UNIVERSITY
VOLUME 7/8 2024/2025
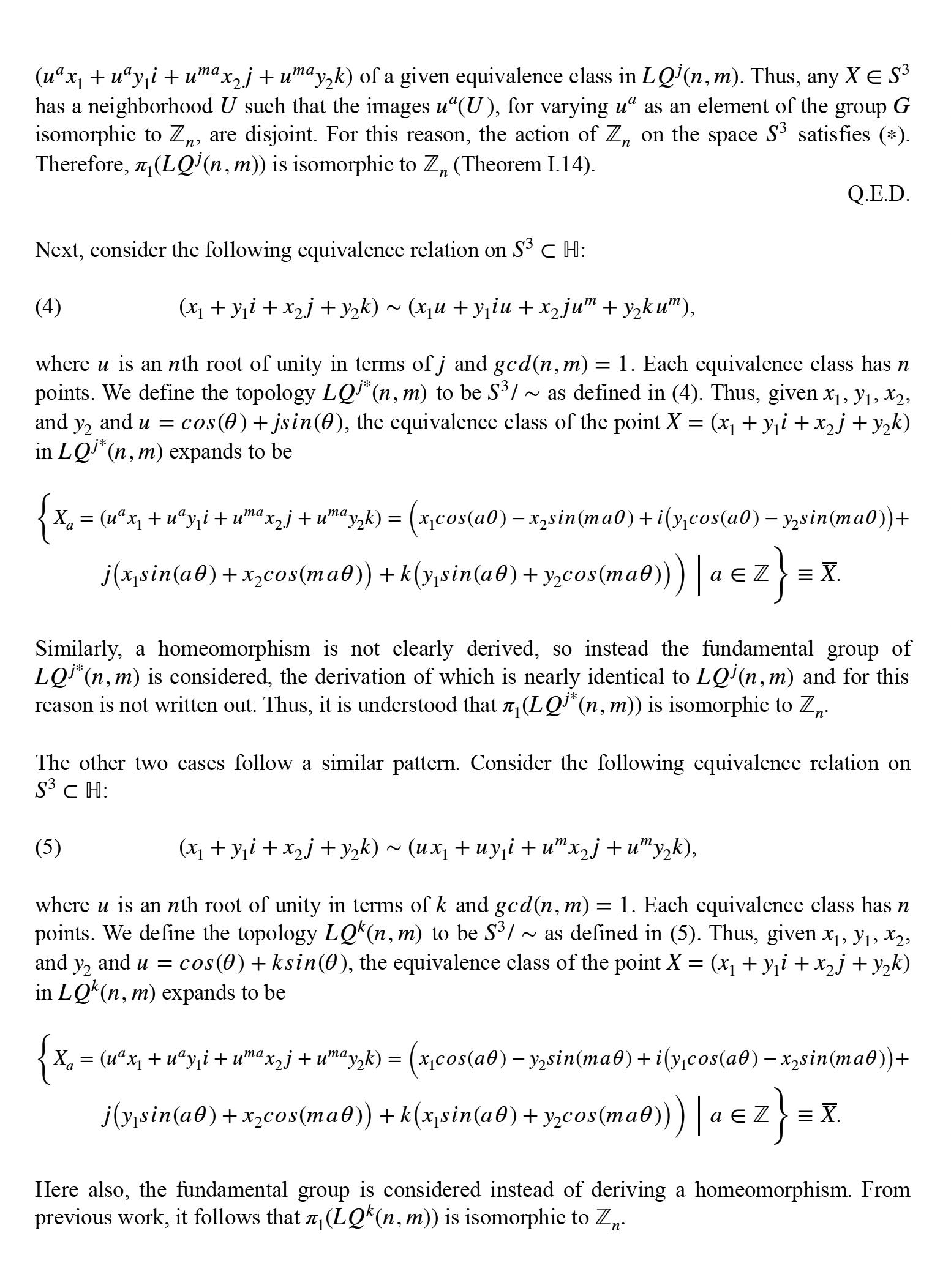
THE HONORS JOURNAL OF OLIVET NAZARENE UNIVERSITY
BLANK ELAIA

Honors Program Administration
Stephen Case, Editor and Director
Melody Grimm, Administrative Assistant
Honors Faculty Council
Justin Brown, Mathematics
Pam Greenlee, Benner Library
Tiffany Greer, Nursing
Laurie Hofman, Education
Dave Horton, Accounting
Dave Johnson, English
Chad Maxson, Philosophy
Dan Sharda, Biology
Michael Wade, Engineering
Neal Woodruff, Music
Honors Program Teaching Faculty
Stephen Case, Earth and Space Sciences
Ryan Himes, Biology
Dave Johnson, English
Karen Leonard, Modern Languages
Chad Maxson, Philosophy
Charles Perabeau, Theology and Christian Ministry
Kyle Robinson, History
Jon Seals, Art and Digital Media
Dan Sharda, Biology
Nicole Vander Schaaf, Biology
Laura Widstrom, Christian Ministry
BLANK
| ELAIA: The Honors Journal of Olivet Nazarene University
FROM THE DIRECTOR
I have a colleague who speaks on the importance of thinking slowly. He believes that’s what a university is all about: giving students the tools to think deliberately about complex problems. Thinking with care. It seems counterintuitive to much of what society values today: speed, efficiency, and immediate results. But, my friend argues, the most important issues — faith, community, how to build just, equitable, and sustainable societies — require people who can think patiently.
I think my friend is right.
The honors program at Olivet gives students the chance to grow into faithful Christian scholars in a community where students and faculty come together to explore God’s creation. And the tools for scholarship are the tools of thinking slowly: patience, care, attention, diligence. Students enter the program with innate gifts, curiosity, and God-given talents. They leave four years later having created works of scholarship. These works are what you hold in your hands: the results of hundreds of hours of careful thought, diligently wrestling with ideas or developing works of art, patiently gathering data in the laboratory or in the field. Thinking slowly.
We think this work is important. We think this work is a form of worship.
I hope, as you peruse the work of these young scholars, you will perceive the fidelity and passion on their part to put their academic talents to the service of God’s kingdom. From careful thought on how to treat dementia through the therapeutic use of music, to an analysis of the relationship between spirituality and burnout in educators, to a careful survey of how teachers are using diverse literature in the classroom, these students have learned the value of slow thought. As you read, I hope you will consider partnering with us to sustain the long, slow, essential work of Christian scholarship!
Thank you to all the faculty and staff — especially the honors teaching cohort, the Honors Council, and all the faculty who work as research mentors — for continuing to shape the next generation of Christian scholars and enriching the academic life of the university!
Stephen Case, Ph.D. Director, University Honors Program
Latinx Student Identity and its Impact on Perceptions of Academic and Social Belonging in a Predominantly White University
Effects of Older Siblings Within Families on Social-Emotional Behaviors in Early Childhood Classrooms
Advancing Women’s Health in Papua New Guinea: Screening for High-Risk HPV and the Optimization of a Low-Cost HPV Detection Assay (Abstract)
Agricultural Tractor Data Analysis of Diesel Fuel Consumption Based on Maximum Horsepower and Powertrains for Updating GREET Life Cycle Analysis Model
Analysis of Olivet Nazarene University’s Historical Electricity Consumption and Proposal for Solar Battary Installation
| ELAIA: The Honors Journal of Olivet Nazarene University
VOLUME 7
ELAIA: The Honors Journal of Olivet Nazarene University
| ELAIA: The Honors Journal of Olivet Nazarene University

Optimism and Spirituality on Burnout in Educators
Mackenzie M. Coats
ACKNOWLEDGEMENTS
I extend my gratitude to my mentor, Dr. Veit, for his guidance, insight, and continuous support throughout the course of this research. His expertise and encouragement have been instrumental throughout this process. I am also deeply thankful to the professors of the honors program and Olivet Nazarene University who have had a hand in shaping my education and an involvement in my growth as a student and a person throughout my years of college.
ABSTRACT
Burnout in educators can be attributed to high stress, increased demands, and a lack of resources, leading to high levels of turnover. Personal resources, such as optimism and spirituality, have been shown to individually have a negative correlation with burnout but have not been evaluated jointly to predict burnout in an educational setting. This research determines the relative contribution of optimism and spirituality to the three facets of burnout: emotional exhaustion, depersonalization, and reduced personal accomplishment. An electronic survey consisting of the Maslach Burnout Inventory, the Life Orientation Test-Revised, and the Spirituality at Work Scale was completed by educators of different levels ranging from preschool to post-secondary education. The regression analysis of both predictors, optimism and spirituality, were overall significant for each facet of burnout. The results support that both optimism and spirituality, together, negatively correlate with emotional exhaustion and depersonalization. In contrast, optimism and spirituality, together, positively correlate with personal accomplishment. With these results in mind, fostering a more supportive work environment for educators may mitigate the effects of burnout, increasing educator satisfaction and improving the overall quality of education. This could provide valuable insight to future research in developing interventions to enhance the well-being of educators and employees experiencing burnout.
Keywords: burnout, optimism, spirituality, educators
INTRODUCTION
Burnout in educators
Burnout is a psychological syndrome in response to prolonged stress that can create negative physical symptoms. Everybody experiences stress, but when these feelings persist for a period of time, an individual experiences burnout. Burnout is correlated with work- related problems, health issues, and lower life satisfaction (Nahrgang et al., 2011). There are three facets of burnout: exhaustion, depersonalization, and reduced personal efficacy (Maslach, Schaufeli, & Leiter, 2001). Exhaustion is drained energy that prevents an employee from performing their job; depersonalization is an impersonal response to others, while personal efficacy is a lower self- perceived ability to handle life events (Barkhuizen et al., 2013).
The Job Demands-Resources (JD-R) model categorizes the characteristics of jobs into two groups: job resources and job demands (Hakanen et al., 2008). Job demands are the aspects of the job that require effort and, therefore, are associated with psychological and/or physiological costs. Resources are the aspects of the job that may reduce demands and aid in achieving occupational goals, leading to greater motivation of employees at work. Teaching is a high-stress profession that places educators at a higher risk of burnout because of increased job demands, such as workload and students, that are difficult to manage due to a lack of resources (Barkhuizen et al., 2013). Studies show that half of teachers will leave the profession before their sixth year of teaching (LaBarbera & Hetzel, 2015), with two-thirds leaving prematurely for reasons other than retirement (Carver- Thomas & Darling-
| ELAIA: The Honors Journal of Olivet Nazarene University
Hammond, 2017). According to Carver-Thomas & Darling-Hammond (2017), the most common reasons for educators leaving a school or the profession are accountability pressures, dissatisfaction with the career, working conditions, and a lack of support and advancement opportunities. In an academic setting, burnout prevention is paramount as high turnover rates directly affects students’ achievement in the classroom (Carver-Thomas & Darling-Hammond, 2017).
Lowering job demands (Hakanen et al., 2008) and increasing resources available have been shown to motivate employees and increase job engagement (Nahrgang et al., 2011). Barkuizen et al. (2013) state that employees with larger pools of resources can meet the demands of their position more easily than those with limited resources. The JD-R model centers on work characteristics, with the role of personal resources being understood very little. Barkuizen et al. (2013) explored how personal resources, such as dispositional optimism, can shape how an individual reacts to and engages with their environment and better prevent burnout. The current study will explore optimism and spirituality as personal resources and how they help prevent burnout.
Dispositional optimism as a resource in the workplace
Dispositional optimism is a generalized expectation that good outcomes will occur. Amore et al. (2020) state that humans naturally tend to be positive, with physical and mental health benefits such as lower mortality rates and a lower risk of chronic disease or stroke (Amore et al., 2020). In the workplace, high levels of optimism led to lower stress levels and job burnout (Hayes & Weathington, 2017), and decreased employee turnover. Dispositional optimism reduces mental exhaustion (Fastame et al., 2021) and was shown to have a direct effect on cynicism (Rothmann & Essenko, 2007), as well as an indirect effect on burnout overall due to it increasing the perception of job resources available. An individual’s level of optimism affects their emotions; therefore, optimists are more likely to have greater positive feelings, even during a demanding situation. Alternatively, a lack of optimism can cause individuals to experience more negative feelings, decreasing perceived job resources (Barkhuizen et al., 2013). This is because increased optimism in a workplace creates resource caravans to help cope with a negative work environment, which can lead to more positive outcomes (Barkhuizen et al., 2013). Approaching stressful situations optimistically allows an individual to adjust and overcome challenges, which has been shown to relieve problems related to stress, such as burnout (Hayes & Weathington, 2017).
Spirituality in the workplace
Spirituality is a broad term that is not restricted to religiosity. Chirico et al. (2020) define spirituality as “the search for the meaning in life” that involves connecting to something greater than ourselves. It contains internal beliefs, such as an individual’s personal belief system that gives their life purpose and meaning, and external practices, such as prayer or meditation (Doolittle & Windish, 2015). Spirituality and its various aspects (prayer, meditation, and attendance at religious events) in the workplace have been found to encourage work engagement and positively affect organizational goals and personal growth (Dal Corso et al., 2020). Workplace
spirituality can predict employee well- being (Nwanzu & Babalola, 2021) and aid individuals in adaptation to physically and psychologically stressful challenges (Fastame et al., 2021). In a group of Italian teachers, Chirico et al. (2020) found that meditative prayer has protective effects in preventing burnout in the workplace. LaBarbera & Hetzel’s (2015) study also points to a relationship between prayer and job satisfaction. They found those in a sample of Christian educators who prayed daily were more resilient and committed to their job. A few studies have shown that spirituality, both inside religious contexts such as attending a church service and outside religious contexts like daily meditation, can diminish the effects of burnout in the workplace, specifically among educators (Chirico et al., 2020).
The study
Based on a review of the literature, there is a benefit in employers providing support through resources to combat burnout in the workplace. It is argued that personal resources, such as spirituality and optimism, both individually have a negative correlation with burnout. It has also been demonstrated that spirituality and optimism positively correlate with one another. However, no study has been found that evaluates how spirituality and optimism jointly predict burnout. The present research analyzes how both spirituality and optimism correlate with the three specific facets of burnout: exhaustion, depersonalization, and reduced personal efficacy forming Hypothesis 1: Increased spirituality and increased optimism together will have a negative correlation with burnout. This research will also evaluate how spirituality and optimism correlate with each other, forming Hypothesis 2: Increased spirituality will have a positive correlation with optimism. Identifying personal resources that interact with one another and protect against burnout may help create a healthier work environment and prevent turnover of educators.
METHOD
Procedure
The data for this study were collected through an electronic survey containing three validated measures: the Maslach Burnout Inventory (MBI) (Maslach & Jackson, 1981), the Life Orientation Test-Revised (LOT-R) (Scheier et al., 1994), the Spirituality at Work Scale (SAWS) (Kinjerski, 2013), an informed consent document, and a demographic questionnaire.
Participants
Participants consisted of 138 educators at different levels (preschool, elementary school, middle school, high school, and higher education) who were recruited to voluntarily participate in this study through personal and electronic networking, the Olivet Nazarene University Education Department, and the Olivet Nazarene University Alumni network. Of the total participants, 83.9% identified as Christian, with only 2.9% stating no religious affiliation. The average age of the sample of educators was 47.3, and participants had an average of 19.3 years of teaching experience. Only twelve participants did not teach through the COVID-19 pandemic.
| ELAIA: The Honors Journal of Olivet Nazarene University
Measures
The MBI consists of twenty-two items that measure job burnout. Specifically, nine items were used to assess emotional exhaustion, five items were used to assess depersonalization, and eight items were used to assess personal accomplishment. Participants responded to each item using a 7-point scale (0 = never, 1 = a few times a year, 2 = once a month or less, 3 = a few times a month, 4 = once a week, 5 = a few times a week, and 6 = every day). The LOT-R is a ten-item scale with three items measuring optimism, three items measuring pessimism, and four items as fillers. Participants indicated the extent of their agreement to each item using a 5-point scale ranging from “0=strongly disagree” to “4=strongly agree.” An overall optimism score was calculated by summing the ten items. The SAWS is a seven-item instrument that was used to assess workplace spirituality. Five items were used to assess mystical experience, three items to assess a spiritual connection, and three items to assess a sense of community. Participants responded to each item using a 6-point scale ranging from “1=completely untrue” to “6=completely true.” An overall spirituality score was calculated by summing the seven items. Demographic data was collected through seven questions regarding each participant’s gender, ethnicity, age, years of experience, grade level, religion, and whether they taught through the COVID-19 pandemic.
Statistical analyses
The data was examined for a relationship between variables using four regression equations. There were separate regression equations for each of the three facets of burnout (exhaustion, depersonalization, and reduced personal efficacy), and one for optimism and spirituality. In three of the regression equations, burnout (or one of its facets) made up the dependent variable, while the independent variable was optimism and spirituality. In the fourth equation, optimism made up the dependent variable and spirituality the independent variable. The software Jamovi 2.4.8 was used for all statistical analyses.
RESULTS
Correlations between the major variables of interest appear in Table 1. All correlations between the predictors (e.g., spirituality and optimism) and the three facets of burnout are significant (all have p-values <.01) and moderate in magnitude, with the highest correlation between spirituality and personal accomplishment (.60), and the lowest correlation between optimism and depersonalization (-.34). The two predictors, spirituality and optimism, are also positively and moderately correlated (.39).
Multiple regression was used to predict each facet of burnout from optimism and spirituality. The overall regression for emotional exhaustion was significant. Of the predictors investigated, both optimism were significant predictors of emotional exhaustion (Table 2). The overall regression for depersonalization was significant. Of the predictors investigated, both optimism and spirituality were significant predictors of depersonalization (Table 3). The overall regression for personal accomplishment was significant. Of the predictors investigated, both optimism and spirituality were significant predictors of personal accomplishment (Table 4).


ELAIA: The Honors Journal of Olivet Nazarene University
DISCUSSION
The aim of this study was to evaluate the relative contributions of optimism and spirituality to the three facets of burnout; emotional exhaustion, depersonalization, and reduced personal efficacy, in educators. The results supported Hypothesis 1, which stated that optimism and spirituality would simultaneously predict each of the three burnout facets. It was found that optimism and spirituality had a moderate negative correlation with emotional exhaustion and depersonalization, and a moderate positive correlation with personal accomplishment. These findings extend previous evidence found by Rothmann & Essenko (2007) that optimism has a direct effect on the traits of burnout in educators, and corroborates a study by Barkhuizen et al. (2013) that optimism in the education system is an important resource to create a positive work environment. These results are also in line with Chirico et al.’s (2020) and Dal Corso et al.’s (2020) studies which state that religion or spirituality lowers burnout syndrome in both the workplace and education systems.
This study also showed a significant positive correlation between spirituality and optimism, supporting Hypothesis 2. This contradicts Fastame et al. (2021) who found no correlation between optimism and religion, which could be explained by the specificity of religion in their study and how that differs from the broadness of spirituality used in this study, which includes all forms of meditation and mindfulness (Chirico et al., 2020).
However, Fastame et al. (2021) later concluded that prayer and spiritual-based treatment was an effective coping mechanism for stress, mental illness, and promoted optimism in older populations giving support to the current findings.
Limitations
The current study was limited by the sample size. Due to time constraints and a possible lack of incentive for participants, there was only a sample size of 138. Additionally, a limitation of the current study was the self-reported nature of the data collected. All information was collected through an online survey which could result in response bias. Participants may have responded to questions in ways that may seem more desirable or in ways to purposefully alter the data results. The data sets for two of the facets of burnout, depersonalization and personal accomplishment, were skewed positively and negatively respectively. The data set for spirituality had a negative skew as well. The skewness in these sets was not the most desirable and data transformation may have been needed to arrange the data closer to a normal distribution.
Implications
Further research should be conducted on the effects of a supportive work environment and how fostering this environment for educators may mitigate the effects of burnout. The results of this study conclude that personal resources may lend to this temporarily, especially when material resources are not available. As optimism and spirituality predict each other, inspiring the use of one or both personal resources
(optimism and spirituality) through intervention or burnout prevention programs may be an innovative way to increase the overall well-being of educators.
Dal Corso et al. (2020) discusses in their study on burnout and spirituality in the workplace how an employer’s ability to recognize employee spiritual needs may influence burnout and how this aligns with an organization devoted to organizational development and their employees. In regards to encouraging optimism, it has been found that lasting optimism can only be created through experiencing actual positive outcomes, however it is possible to create temporary optimism. Through a best possible self (BPS) manipulation exercise, participants in Peters et al.’s (2010) study experienced an increase in optimistic thinking, but experiencing enduring change in optimism levels requires further research. Overall, this study contributes to the understanding of burnout in educators and indicates possible resources for fostering better workplace environments.
REFERENCES
Amore, M., Garofalo, O., & Martin-Sanchez, V. (2022). Dispositional optimism and business recovery during a pandemic. PLOS ONE, 17(6).
Barkhuizen, N., Rothmann, S., & van de Vijver, F. J. (2013). Burnout and work engagement of academics in higher education institutions: Effects of dispositional optimism. Stress and Health, 30(4), 322–332.
Carver-Thomas, D., & Darling-Hammond, L. (2017). Teacher turnover: Why it matters and what we can do about it. Learning Policy Institute.
Chirico, F., Sharma, M., Zaffina, S., & Magnavita, N. (2020). Spirituality and prayer on teacher stress and burnout in an Italian cohort: A pilot, before-after controlled study. Frontiers in Psychology, 10
Dal Corso, L., De Carlo, A., Carluccio, F., Colledani, D., & Falco, A. (2020). Employee burnout and positive dimensions of well-being: A latent workplace spirituality profile analysis. PLOS ONE, 15(11).
Doolittle, B. R., & Windish, D. M. (2015). Correlation of burnout syndrome with specific coping strategies, behaviors, and spiritual attitudes among interns at Yale University, New Haven, USA. Journal of Educational Evaluation for Health Professions, 12, 41
Fastame, M. C., Ruiu, M., & Mulas, I. (2021). Mental health and religiosity in the Sardinian blue zone: Life satisfaction and optimism for aging well. Journal of Religion and Health.
Hakanen, J. J., Schaufeli, W. B., & Ahola, K. (2008). The job demands-resources model: A three-year cross-lagged study of burnout, depression, commitment, and work engagement. Work & Stress, 22(3), 224–241.
| ELAIA: The Honors Journal of Olivet Nazarene University
Hayes, C. T., & Weathington, B. L. (2007). Optimism, stress, life satisfaction, and job burnout in restaurant managers. The Journal of Psychology, 141(6), 565–579.
Kinjerski, V. (2012). The spirit at work scale: Developing and validating a measure of individual spirituality at work. Handbook of Faith and Spirituality in the Workplace, 383–402.
LaBarbera, R., & Hetzel, J. (2015). Christian educators’ use of prayer to cope with stress. Journal of Religion and Health, 55(4), 1433–1448.
Maslach, C., & Jackson, S. E. (1981). The measurement of experienced burnout. Journal of Organizational Behavior, 2(2), 99–113.
Maslach, C., Schaufeli, W. B., & Leiter, M. P. (2001). Job burnout. Annual Review of Psychology, 52, 397–422.
Nahrgang, J. D., Morgeson, F. P., & Hofmann, D. A. (2011). Safety at work: A meta- analytic investigation of the link between job demands, job resources, burnout, engagement, and safety outcomes. Journal of Applied Psychology, 96(1), 71–94.
Nwanzu, C. L., & Babalola, S. S. (2021). Effect of workplace spirituality on perceived organizational support and job performance among University Administrative Employees. Contemporary Management Research, 17(2), 127–155.
Peters, M. L., Flink, I. K., Boersma, K., & Linton, S. J. (2010). Manipulating optimism: Can imagining a best possible self be used to increase positive future expectancies? The Journal of Positive Psychology, 5(3), 204–211.
Rothmann, S., & Essenko, N. (2007). Job characteristics, optimism, burnout, and ill health of support staff in a higher education institution in South Africa. South African Journal of Psychology, 37(1), 135–152.
Scheier, M. F., Carver, C. S., & Bridges, M. W. (1994). Distinguishing optimism from neuroticism (and trait anxiety, self-mastery, and self-esteem): A reevaluation of the Life Orientation Test. Journal of Personality and Social Psychology, 67(6), 1063– 1078.
| ELAIA: The Honors Journal of Olivet Nazarene University

An Evaluation of Environmental, Social, and Governance Standards on Fund Performance: Comparison of ESG Funds in the United States and the European Union
Graciela V. Del Real
ACKNOWLEDGEMENTS
I would like to thank the Olivet Nazarene University honors program, led by Dr. Case, for equipping me with the assistance and resources to complete this research project during my undergraduate collegiate years. I would also like to thank my project mentor, Professor Nielsen, for giving his time, patience, and expertise to this process. Finally, I will extend a huge thanks to my family for their support and allowing me to chat about this subject for many hours over the last few years. To all who have listened to my project at its various stages, I appreciate your feedback and suggestions.
ABSTRACT
The growing importance of environmental, social and governance (ESG) policies in global industries has attracted special attention from investors seeking to evaluate companies beyond traditional financial metrics. Given the evolving social climate, investors are seeking ways to utilize their money not only for financial success but for societal change. ESG offers the opportunity to retain money in the market while being responsible concerning the environmental and societal impact companies are having on the communities in which they operate. Being a responsible investor can go beyond making strong returns. This study aims to determine if there is a statistically significant difference in the returns of ESG funds between the United States and the European Union. ESG factors encompass environmental, social and governance standards, with each region exhibiting unique regulatory approaches and implementation levels. The project recognizes the current lack of universal standards in ESG assessment and the prevalence of issues of misinformation, greenwashing, and transparency in reported data. By comparing randomly selected mutual or exchange traded ESG index funds in the US and EU, the study aims to contribute to the understanding of the impact of regional regulatory variations on fund performance. Given the changing nature of ESG and its growing investment, this research provides insights into responsible and informed investment decision-making.
The global importance of this study lies in the conflicting stages of adoption and implementation of ESG initiatives in the US and EU. Though the EU has moved forward with comprehensive rules, the US is in the early stages of establishing unified regulations. The research emphasizes the need for standardized measurements and the potential risks associated with substantial investments in ESG funds. This project underscores the importance of examining ESG data from companies of all sizes and industries to understand the environments in which ESG is most effective. As ESG is developing rapidly, this research contributes to the current discourse on its credibility, implications, and suitability for different companies and environments. Ultimately, the study addresses clients’ responsibility in shaping the financial and environmental future, emphasizing the need for comprehensive analysis to discern the true impact of ESG funds on social and financial aspects.
Keywords: economics, ESG, investing, stewardship, funds, environmental, social, governance, returns, finance, analysis.
INTRODUCTION
Environmental, Social, and Governance policies (ESG) are of concern in all industries and areas of the globe today; more rigorously than ever before, investors are conscious of the impact companies are having on the environment, social constructs, and governing outcomes. The abbreviation ESG refers to investors’ evaluation of environmental, social, and governance factors—factors beyond traditional financial metrics— when evaluating investments (Baker et al., 2021). Each letter represents a broad spectrum of categories within environmental (carbon emissions, toxic chemicals, sustainability), social (within and outside the company,
| ELAIA: The Honors Journal of Olivet Nazarene University
gender, racial diversity, labor management), and governance (government relations, internal hierarchy, shareholder interactions) standards, meaning these standards can look different in each company (Curry, 2022). As such, organizations are incorporating guidelines to take the initiative to meet the moral expectations. Yet fake reports, greenwashing, and a lack of transparency proliferate the information companies supply to news outlets and investors. To combat potential deceptions, ESG regulations seek to create equal standards of measurement, quantifying values and ensuring that each industry is evaluated properly. Investors can in turn use these standards to make responsible and educated investment decisions.
REVIEW OF LITERATURE
This project seeks to determine whether a statistically significant difference in return exists between United States-based and European Union-based ESG funds. The evaluated funds will be composed of equity funds randomly selected from ESG index funds. The null hypothesis for this study is that there is no statistically significant difference in fund returns between the US and EU funds, indicating little to no influence of governmental regulations and regional economics on fund performance. The alternative being that there is a significant difference in returns of US and EU ESG funds, indicating an influence of governmental regulations and regional economics on fund performance.
Global Significance
The goal of transparent, structured ESG policies is not equally achieved in practice. Countries within the European Union have further developed broad-based standards, whereas the United States is just beginning the stages of implementing general, unified regulations. Since ESG is a relatively new phenomenon created with the intention of alleviating environmental, social, and governance issues within the business world, the impact it has on funds is still not fully known. This category warrants additional research due to the prominence it has gained, in addition to the large amount of money being invested into it, which poses a potential risk to clients.
Investors are consistently seeking new and more effective ways to generate superior performance, and one new performance method is ESG. Curry (2022), an investment editor and advisor at Forbes, says, “The ESG strategy means investing in companies that score highly on environmental and societal responsibility scales as determined by third-party, independent companies, and research groups.” The concept dates to the 1960s, when socially responsible investing (SRI) was originally introduced and gained US and EU ESG notability. SRI is different than ESG in that it involves selecting or excluding investments based on particular ethical criteria. An example of SRI investing would be selecting companies that do not support or include companies’ part of the tobacco industry in a portfolio (Hicks, 2023).
The modern SRI process has three pillars consisting of value-based avoidance screens, proactive sustainability-focused analytics, and corporate engagement and impact investing (Townsend, 2020). Avoidance screens are certain products or
industries, such as alcohol and tobacco, that are ‘screened’ and excluded from SRI portfolios for ethical reasons determined by the investor. Proactive sustainabilityfocused analytics, on the other hand, focus on data that support sustainable initiatives such as renewable energy. Corporate engagement and impact investing come along side in allocating funds to what is deemed important, this ‘speaking’ monetarily. Both SRI and ESG have roots in faith-based investing, civil rights, and antiwar and environmental movements, which helps explain the contemporary importance of climate change and poor corporate governance as catalysts in substantial ESG growth. ESG is also proved to be much more widely available in the last ten years. Ratings pertaining to ESG are now prominently featured in the financial and academic press and regulatory and policy debates and are also a subject matter of much discussion in investment practices. These ratings also shape investment decisions of organizational investors representing trillions of dollars in assets under management (Gibson, 2021). Because of all of this, the importance of clear, transparent, and effective ESG rankings is crucial for corporate and individual investors today.
Evaluation Disparity
The true influence of ESG initiatives are currently difficult to evaluate due to divergence in ratings between various ESG rating systems providers. This divergence is especially evident in the rating differences between ESG funds in the US versus participating nations in the EU. Individual attempts have been made to bring greater uniformity to ESG ratings, yet no universal standard has yet been established. Principles for Responsible Investment (PRI), an independent educational and supporting organization for ESG investing factors, have reviewed and constructed an ESG integration framework, analyzing some of the various techniques used by implementors around the world. They created this as a reference for ESG practitioners to compare themselves with their peers, and identify suitable techniques in the developmental process, as not every ESG integration is right for every company. To construct this broad framework, PRI began collecting qualitative ESG data via company questionnaires, red-flag indicators, watch lists, SWOT (strengths, weaknesses, opportunities, threats) analysis, materiality US and EU ESG Fund Comparison frameworks, integrated and centralized research notes, and committee meetings in addition to active voting within the responsible investing community and engagement activity. Each of these represents a point of data to gain a comprehensive idea of what the essence of ESG entails and how to measure its presence. Following the collection process, they investigated ESG in terms of security, using equity and fixed income as indicators. Finally, PRI looked at ESG at the portfolio level, assessing risk management, portfolio construction, and asset allocation. Identifying the policies and initiatives each company takes is important in defining, analyzing, and recording the evolution of ESG, as it gives the opportunity to observe firsthand what works in specialized situations and general commonalities. Understanding this will reveal what makes up ideal ESG candidates or environments.
The US and EU funds are quantifiable due to the large availability of data as well as the progression of ESG policies in both regions. The EU appears to be further along
| ELAIA: The Honors Journal of Olivet Nazarene University
in their adoption and implementation of ESG initiatives. Brett Wolf (2022), a senior financial crime correspondent for Thomson Reuters, finds that, “The differences come not only from the volume of new regulations emanating from EU authorities, but also from a more measured, less prescriptive approach from US agencies, notably the Securities and Exchange Commission.” When it comes to implementing ESG, resources and intentions matter. By including a variety of firm sizes in the research it will be easier to differentiate the environments that best suit the goals and purposes of ESG. Surprisingly, it has been observed that smaller firms have made significant strides in policy implementation; these small firms have made a noticeable contribution toward ESG efforts (Simmonds, 2021).
ESG Niche Benefit
Often ESG policies are seen as the goal, whereas the actual change intended is minimized by the public in new and long-term evaluations of company efforts. In a report issued by Barings, a global investment manager, Simmonds (2021) writes that, “Smaller companies often operate in niche/specialist areas that are too small to attract significant interest from new entrants. But these exciting niches are precisely what make the small-cap asset class so compelling, particularly when considering the strides many companies are taking when it comes to ESG.” It is a vital piece of the current project to observe ESG data at work in firms of all sizes for the purpose of better understanding what environments ESG best operates in and what ESG practices best suit certain companies. ESG is developing at a rapid pace and thus demands thorough analysis to ensure its credibility, define its repercussions, and understand where and when it is best employed.
Stewardship remains a responsibility no matter the volume of assets involved, or the policy being addressed. In any situation, all factors and options must be considered to make the best decision. Things are not always what they seem, and the right choice is not always evident; yet responsible stewardship conducted with an informed perspective can aid in uncovering the best path forward. Ultimately, the organizations consumers invest in play large roles in shaping the current and future financial and environmental state of the world. Choices made today will affect each individual tomorrow. By studying the performance of ESG funds, it can be determined whether they are indeed profitable, realistic investments, and in comparing fund performance between the US and EU, it can be discovered what funds best prompt both social impact and financial security.
METHODS
This project was initiated to discover whether ESG funds in the United States and the European Union perform differently based on an evaluation of Environmental, Social, and Governance standards. For this purpose, fund returns will be individually and collectively used to measure the evident or lacking differences in regions.
United States
In the United States, fund returns are based on the annual monetary value made or lost by the fund. This amount was determined for each fund by looking at the fund directly on either their website or a fund list. Historically, fund transparency in US-based organizations has been minimal or carefully curated for public image. Opportunities for green-washing and deceptive data presentation are more apparent in companies that phased in ESG fund options. This is why it was vital that the selected funds in this study had been operating from an ESG policy-focused strategy since inception. Further, random selections allowed for unbiased results, irrespective of firms’ various industries, sizes, and locations.
European Union
The European Union was selected as the comparison subject due to its similar trading platform structure to the United States, yet vastly different regulatory standards. Though the funds were selected in an identical manner compared to the US funds, the pool for selection was already curated to a greater degree due to the years of intentional, progressive regulations that have been and are currently being integrated and applied in the EU. Transparency is greater and standards are higher in the EU, making this an ideal comparison candidate. Through the study, results of fund returns could give evidence to the role of transparency and operation regulations in influencing ESG returns.
Data and Statistical Process
In both the US and EU fund pools, twenty-two funds were randomly selected with the criteria of 1) having an existence of a minimum of three full years; 2) being registered as a publicly traded fund; 3) publishing a transparent report of internal, external, and furthering initiatives; 4) being classed as an equity fund. All funds were chosen through the rating system Refinitiv, an American-British global provider of financial market data and infrastructure. Once funds were selected via a stratified random sample, they were run through a paired differences two-tailed t-test to determine the degree of similarity. The measure of return was the primary focus of the test and determiner of statistical variability. This test was conducted via Microsoft Excel. The most crucial part of this analysis was in the initial fund collection, and ensuring the returns were entered with uniform measurement. To make the results as accurate as possible, the data was entered manually and cross-checked with the posted return. The returns were based on the past three years of data. Each was taken from publicly published data from the sites Yahoo Finance and Fidelity.
RESULTS
The research results revealed that US ESG funds and EU ESG funds demonstrated no statistically significant difference in returns. This analysis was conducted with a consideration for precision, utilizing an alpha level of 0.01 to ensure a strong threshold for statistical significance.
The two-tailed paired difference t-test was employed to compare the returns of the two fund sections, aiming to determine whether any meaningful distinction existed between them. The obtained p-value and t-statistic were key indicators in this assessment. To reiterate, the null hypothesis for this study is that there is no statistically significant difference in fund returns between the US and EU funds. Given the results, the p-value, which stands above the predetermined alpha of 0.01, suggests that the observed data is not sufficiently extreme to warrant rejection of the null hypothesis. The stringent alpha level ensures a more conservative approach, requiring stronger evidence to reject the null hypothesis. Consequently, the findings affirm the similarity in returns between the US and EU, offering a perspective on their comparative performance. This outcome underscores the importance of robust statistical methods in investment research, providing investors with valuable insights into the relative performance of different fund categories. The primary source of value extracted is the numerical significance of ESG funds being essentially equal between the US and EU. It merits importance due to the large conversation surrounding ESG, fought with misinformation and misleading conclusions not backed by data. Additionally, it highlights similarities in US and EU fund performance despite governmental policy differences. The observable menial difference in numerical returns supports the theory that US and EU ESG funds do not present differently in a statistically significant manner. This confirms that, despite different ESG policies, the funds preform in very similar manners. While many ESG standards are in the process of being incorporated, this could change how seriously the standards are taken. It also draws into question the importance of standards and how strict they need to be in order to maintain success and organization. Perhaps ESG can be financially competitive and of genuine intent without a large number of policies. Table 1 displays the 3-year returns on selected funds. Table 2 displays the results of the t-test.


DISCUSSION
Limitations
Current limitations are mainly confined to data collection. Gaining access to fund lists was the most challenging part of this project. These lists are generally guarded with the purpose of maintaining a competitive advantage against competitors. Within the data, the biggest limitation is with industry diversification. Since my study focused on funds, these funds are invested in a wide variety of industries. Given the scale and time constraints specific industries were not analyzed. Additionally, many of the ESG funds in both the US and EU are younger than three years old or listed as closed. Neither of these types of funds were acceptable, as current data that had a strong base of yearly data to draw upon was required.
Policies concerning COVID-19 and other world crises within the governmental organizations at work in the US and EU are also possible limitations at play in the role of fund returns. Trading experienced disruptions in the last few years and underwent changes to the structures and guidelines of what ESG entails at an organizational level. Though this particular limitation cannot be fully explained or explored, it is important to keep it in mind when evaluating the results of this study.
Company lifetime is also a deciding factor in overall return averages. For this reason, using a variety of firm ages to minimize bias were used. This was difficult, largely due to the extremely new funds or funds that had not been formally listed as closed. Lifetime is important due to the recent developments in ESG progress. Accurate, current, funds were desired for this study, offering investors the opportunity to act on the results.
Dialog concerning current studies measuring the performance of ESG vs. nonESG funds would be a good starting point for future research. This could give an enlightening perspective on both regions and whether the impact of ESG values are worth considering when seeking profits. Additionally, given this study used exclusively equity funds, conducting this experiment again with fixed income funds could be an area for further ESG research.
Further Research
I recommend delving into the legal and ethical considerations surrounding the accessibility of information on ESG options for clients. It is crucial to assess whether financial institutions are transparent in providing ESG-related data and to thoroughly examine potential legal ramifications or ethical concerns associated with limited research options. This ought to be the primary area of future studies, as it is the most crucial to investing motives and successes. As part of this, conducting a comprehensive analysis of ESG fund performance within specific industries would aid in determining whether industry-specific standards should be implemented. This approach will allow us to understand how ESG factors influence the financial success of companies in sectors such as technology, energy, or healthcare. This research could unveil patterns or outliers that could significantly influence investment decisions based on industry-specific ESG performance.
Exploring the challenges and limitations associated with implementing ESG principles across various industries is also vital to determining the validity and worth of these kinds of funds. By doing so, we can gain insights into whether certain sectors face unique obstacles in integrating ESG criteria and experiment with potential solutions. This information will provide investors with a clear understanding of the practicality and effectiveness of ESG approaches in different business environments. Part of these limitations is return equality in ESG vs. non-ESG funds. Conducting a future-focused analysis comparing the financial performance of ESG funds against non-ESG funds within the same industry sectors addresses this challenge, making investors aware of the potential decrease in returns when choosing ESG over nonESG funds. This will allow us to analyze historical data and determine whether investing with an ESG focus comes at a cost of profit compared to traditional investment strategies. Such insights will be crucial for investors considering the financial trade-offs of aligning their investments with values.
When assessing ESG funds, it will be important that researchers assess the quantifiable increase of environmental, social, and governance factors within ESG funds. By determining the metrics used to assess ESG performance and analyzing measurable improvements over time, it will be possible to offer valuable insights. This research will help investors ascertain whether ESG funds genuinely fulfill their claims and whether the incorporation of ESG factors positively influences returns. Incorporating these recommendations into future research endeavors will provide investors with valuable insights, assisting them in aligning their investment strategies with both their values and financial objectives.
REFERENCES
Aguilera-Caracuel, J., & Duque-Grisales, E. (2021). Environmental, social and governance (ESG) scores and financial performance of multilatinas: Moderating effects of geographic international diversification and financial slack. Journal of Business Ethics, 168(2), 315–334.
Avramov, D., Cheng, S., Lioui, A., & Tarelli, A. (2021, June). Sustainable investing with ESG rating uncertainty. (n.p.).
Baker, A., Fanter, T., & Graff, C. (2021, December 15). The history and evolution of ESG. RMB Capital. https://rmbcapital.com/news-insights/history-evolution-esg
Belanger, D., Lancetti, S., Mussalli, G., & Sorensen, E. (2022). ESG, fundamentals, and stock returns. Journal of Portfolio Management Novel Risks 1.408.
Bhagat, S. (2022, March 31). An inconvenient truth about ESG investing. Harvard Business Review. https://hbr.org/2022/03/an-inconvenient-truth-about-esg-investing
Bioy, H., Boyadzhiev, D., Chow, W., Hall, E., Jmili, S., Petit, A., Sato, H., Seunghye Jung, A., Stankiewicz, A., & Tam, I. (2022, January 31). Global sustainable fund flows 10-Q. Morningstar. https://assets.contentstack.io/v3/assets/ blt4eb669caa7dc65b2/blt608d2560e8c97e65/61f43439df9e4f26248691ea/Global_ ESG_Q4_2021_Flow_Report_FINAL.pdf
Brandon, R., Glossner, S., Krueger, P., Matos, P., & Steffen T. (2022, September). Do responsible investors invest responsibly? (ECGI Working Paper Series in Finance No. 712).
Cakici, N. & Zaremba, A. (2022, January 9). Responsible investing: ESG ratings and the cross-section of international stock returns. (n.p.).
Curry, B., & Napoletano, E. (2022, February 24). Environmental, social, and governance: What is ESG investing? Forbes. https://www.forbes.com/advisor/ investing/esg-investing/
Dor, A.B., Guan, J., & Sun, Y. (2022, July). Is incorporating ESG considerations costly? The Journal of Portfolio Management, 48(7) 75-87.
Flugum, R. & Souther, M. (September 13, 2022). Stakeholder Value: A Convenient Excuse for Underperforming Managers?
Gibson, R., Krueger, P., & Schmidt, P.S. (2021, May). ESG rating disagreement and stock returns. (ECGI Working Paper Series in Finance No. 651).
| ELAIA: The Honors Journal of Olivet Nazarene University
Hicks, C. (2023, May 24). Socially Responsible Investing (SRI). Forbes. https://www. forbes.com/advisor/investing/sri-socially-responsible-investing/
Huang, N. S., & Shell, A. (2021). Introducing the Kiplinger ESG 20. (Cover story). Kiplinger’s Personal Finance, 75(11), 18–30.
Kick, A & Rottmann, H. (2022, June). Sustainable stocks and the Russian war on Ukraine – An event study in Europe. (CESifo Working Papers No. 9798).
Raghunandan, A. & Rajgopal, S. (2022, May). Do ESG funds make stakeholderfriendly investments? Review of Accounting Studies, forthcoming.
Simmonds, R. (2021, July). ESG in smaller companies: an overlooked opportunity? Barings. https://www.barings.com/globalassets/1-perspectives/viewpoints-articlefiles/07.2020_esginsmallcaps.pdf
The ESG integration framework. (2018, October 8). Principles for Responsible Investing. https://www.unpri.org/fixed-income/the-esg-integration-framework/3722. article
Townsend, B. (2020). From SRI to ESG: The origins of socially responsible and sustainable investing. The Journal of Impact and ESG Investing, 1(1) 10-25.
Wolf, B. (2022, June 1). ESG gap widens: EU rules become more prescriptive as US proposals wait in the wings. Thomson Reuters. https://www.thomsonreuters.com/enus/posts/investigation-fraud-and-risk/esg-gap-widens/
ELAIA: The Honors Journal of Olivet Nazarene University

The Neuroprotective Effects of Anthocyanins Against Oxidative Stress in Sh-Sy5y Cells
Abigail F Lynn
ACKNOWLEDGEMENTS
I would like to thank my advisor, Dr. Sharda, for making this study possible. You been an incredible mentor and friend, and I am honored to know you in both an academic and personal manner. Your intellect and encouragement, your wonderful ability to listen and care, were crucial to my ability to carry out this work. I am grateful to know you and to understand the awe-inspiring nature of research more fully through your mentorship.
I owe a huge thank you to Pence-Boyce and Catalyst, as this project would not have been possible without their generous funding and support. They serve ONU students in the life sciences, offering summer research grants and connecting ONU students with alumni. This created a sense of community and camaraderie with other student researchers that was essential for passionately persevering through the difficulties that research inevitably has.
I would like to thank FutureCeuticals (Momence, IL) for their innovative work and interest in working with Olivet students. They provided many of the reagents used for cell culture and neuronal differentiation, as well as the powdered extracts used to treat the cells for experimentation. This study would have been impossible to accomplish without their generosity.
To the rest of the staff and faculty of Olivet that have come alongside me to support my education and personal growth, I thank you. There are countless people who deserve credit for their part in making this study possible through their patience, encouragement, generosity, and insight.
I would not have been able to complete this research without support from my family. To my parents: you celebrated my achievements with me and gave me practical advice and encouragement in the midst of my frustrations. I am incredibly grateful for your guidance and the values you instilled in me. Your sacrifices and the work you did to make sure that I had every opportunity to grow in all the areas of my life do not go unnoticed. To my siblings: you gave me encouragement and insights that were far beyond your years, and when all I felt was exhaustion, you reminded me of the joy and fun that life offers. To my chosen family, Jordyn, Lydia, Adriana, and Emily: thank you for your patience and encouragement through the busyness of a life in research, for the meals you prepared to make sure I ate when I was stuck in lab, and for your prioritization of celebrating my accomplishments with me. Life is surely better with all of you in it.
God has been continually revealing His goodness, power, and faithfulness to me throughout my research. Through every hardship, He instilled a sense of determination and patience to persevere. He reminded me of His promises and His hand in my life, that He called me to this work so He will see it through, if only I continue in diligent work. He revealed my strengths and taught me how to overcome weaknesses I did not know I had. Without the overwhelming love and divine guidance of Jesus, I would not have been able to achieve what I have with this study.
ABSTRACT
Background
Parkinson’s and Alzheimer’s are debilitating neurodegenerative diseases that are thought to be exacerbated, and perhaps even caused by oxidative stress in and around neurons. Green tea is known to contain various nutrients that reduce oxidative stress and has been shown to reduce oxidative stress in neurons. Anthocyanins are group of phytonutrients that are found in plants that have red, purple, or black fruit. They have been shown to directly reduce oxidative stress in non-neuronal cell models, and may also affect the activity of enzymes such as catalase that reduce oxidative stress. However, it is not known if anthocyanin rich phytonutrients can reduce oxidative stress in neuronal cells.
Methods
SH-SY5Y neuronal cells were differentiated using all-trans-retinoic acid over a span of 8 days. Differentiated cells were pretreated with green tea extract (GTE), tart cherry extract (WTC), elderberry extract (ELE), or coffee berry extract (CBE) alone or in combination with GTE. After 24 hours of pretreatment, half of the cells were treated with either lipopolysaccharide (LPS) for 12 hours or D-galactose (DG) for 72 hours to induce oxidative stress. After treatment, cells were lysed using a hypotonic lysis buffer, and then assessed by spectroscopy assays to measure catalase activity and protein concentration.
Results
Even though anthocyanin-rich phytonutrients did not reduce oxidative stress in neuronal cells with statistical significance in this study, we did observe some trends in the data. DG-treated cells that were pretreated with only GTE or WTC trended
| ELAIA: The Honors Journal of Olivet Nazarene University
higher in catalase activity than those that were stressed with DG without any extract pretreatment. DG-treated cells that were pretreated with both CBE and GTE trended lower in catalase activity than those that were pretreated with GTE alone. Unstressed cells that were pretreated with ELE had lower catalase activity levels than those that were not pretreated. WTC, ELE, and CBE do not appear to have synergistic neuroprotective effects with GTE through the upregulation of catalase. Together, the data suggest that more study is needed to definitely determine the role of anthocyanins in reducing oxidative stress in neurons.
Keywords: catalase, neurodegeneration, oxidative stress
INTRODUCTION
Parkinson’s and Alzheimer’s are debilitating neurodegenerative diseases that are thought to be exacerbated, and perhaps even caused, by oxidative stress in and around neurons. In order to protect against these neurodegenerative diseases, it is important to understand how neurons protect themselves against oxidative stress and then use that knowledge to support those systems.
Oxidative stress
High concentrations of reactive oxygen species (ROS) and reactive nitrogen species (RNS) that cause oxidative stress are toxic to neurons and are believed to play a role in aging, especially in neurodegenerative diseases (Biswas et al., 2022). Deficiencies in antioxidative enzymes such as catalase and glutathione peroxidase are associated with a number of neurodegenerative diseases such as Alzheimer’s disease, bipolar disorder, Parkinson’s disease, and schizophrenia (Nandi et al., 2019). For example, Glorieux et al. (2015) studied the effects of catalase deficiency in mice and found that the mice developed normally with low catalase expression but suffered defective oxidative phosphorylation in mitochondria after exposure to ROS. In contrast, the upregulation of catalase was associated with a nearly twenty percent increase in lifespan when exposed to ROS (Glorieux et al., 2015).
Oxidative stress can cause significant damage to DNA, RNA, and other crucial parts of a functioning cell (Kim & Jung, 2020). In particular, proteins synthesized from mRNA translation are crucial to the function of axons, impacting nearly every aspect of developing axons, including axon guidance, elongation, target selection, survival, and regeneration. (Kim & Jung, 2020). Axons carry electrochemical signals from neuron to neuron, and these developmental aspects are necessary for neuroplasticity, which is the ability of the nerves to reorganize themselves in response to stimuli such as oxidative stress.
The purpose of this study was to determine if plant extracts that have high levels of certain phytonutrients can increase the activity of cellular enzymes that reduce oxidative stress in SH-SY5Y neurons, and how their effects differ when combined with green tea extract (GTE), an extract that has been extensively studied for its antioxidative properties.
Polyphenols
Many phytonutrients (nutrients found in plants) seem to reduce oxidative stress in various cell types, including neural cells. However, because this research field has only recently increased in popularity, the antioxidative effects of relatively few phytonutrients have been studied, and almost none have been studied in conjunction with nutrients that belong to different subgroups of phytonutrients.
Polyphenols are one of the largest groups of phytonutrients, allowing them to be cheaply and abundantly obtained by readily incorporating plants into diets (Almeida et al., 2016). Flavonoids, of which anthocyanins are a subgroup, are one of the most prominent and most studied groups of polyphenols (Gamba et al., 2021). Anthocyanins have been observed as having antioxidative properties in neurological diseases by inhibiting stress-inducing oxidants and upregulating cellular antioxidants (Andres-Lacueva et al., 2005; Hwang et al., 2019; Matrella et al., 2022; Rashid et al., 2014; Yamakawa et al., 2016). Some common anthocyanins (delphinidin, cyanidin, and pelargonidin) have been found to be scavengers of free radicals, which cause significant oxidative stress (Noda et al., 2002). However, the impact of anthocyanins has not been studied in conjunction with green tea extract (GTE), which is rich various polyphenols and has been demonstrated to consistently induce catalase and glutathione peroxidase (Bernatoniene & Kopustinskiene, 2018). We hypothesized that GTE and anthocyanins will have synergistic effects on neuroprotection.
Modeling oxidative stress in cultured neurons
An effective way to study oxidative stress in neurons is to use mammalian cell cultures, which allow observation of neuronal health over time. SH-SY5Y cells are a subclone line of mammalian neural cells whose parent line was derived from a neuroblastoma that metastasized to bone marrow (Kovalevich & Langford, 2013). Isolated cancerous cell lines are often used for cell culturing because of their proliferative properties, which allow for reproducible experimentation and results.
The tumor that SH-SY5Y cells were derived was comprised of neural stem cells, which are undifferentiated cells that are intended to undergo regulated proliferation (Dravid et al., 2021). This means that while some metabolic research can be done on the undifferentiated SH-SY5Y cells, they do not behave like neurons and should be differentiated for research that includes morphological and certain cell physiological factors (Dravid et al., 2021). Particular stimuli are necessary to differentiate the stem cells into neuronal cells with specific form and function. The neurons that are most involved in oxidative-stress-induced neurodegenerative diseases are dopaminergic (Kovalevich & Langford, 2013; Niaz, 2021). Dopaminergic differentiation of SHSY5Y has been commonly achieved by introducing retinoic acid (RA) to the cells, along with other alterations to the cell media that supports the growth and stability of differentiated neurons (Dravid et al., 2021; Kovalevich & Langford, 2013; Messmer & Reynolds, 2005; Pandur et al., 2019; Wiatrak et al., 2022). This is the general model that was replicated in this present study.
Two common ways of introducing oxidative stress to in vitro mammalian cells are by exposing them to LPS and DG. LPS is an extracellular component on the membrane of gram-negative bacteria. The innate immune response to LPS is to increase the production of ROS and RNS at the cellular level to breakdown invading pathogens. This response acts as a sort of cellular grenade, harming nearby cells as well as the bacteria (Farhana & Khan, 2023). Similarly, DG is a reducing sugar that, while necessary in low concentrations, begins a cascade of biochemical reactions that result in the formation of ROS at high concentrations (Guo et al., 2020).
Since anthocyanins have been shown to reduce oxidative stress in other models, we sought to determine if they could also reduce LPS- or DG- induced oxidative stress in neuronal cells. Moreover, we hypothesized that the phytonutrients of GTE would have synergistic interactions with extracts rich in anthocyanins to upregulate the defense systems in SH-SY5Y cells. If so, consuming foods rich in these nutrients could aid in preventing or delaying neurodegenerative diseases.
METHODS
Treatment
SH-SY5Y cells were differentiated as detailed below, then pretreated with 2% anthocyanin rich extracts (elderberry (ELE) (Futureceuticals, Elderberry, Freeze Dried), coffee berry (CBE) (Futureceuticals, Coffeeberry Extract, 40% Chlorogenic Acids), or tart cherry (WTC) (Futureceuticals, Cherry, Tart, VitaCherry, Freeze Dried), 1% green tea extract (GTE), or a combination of 2% anthocyanin rich extract and 1% GTE for 24 hours (Fig. 1). ELE, CBE, and GTE were dissolved in phosphate-buffered saline (PBS), while WTC was dissolved in dimethyl sulfoxide (DMSO). Concentrations of phytonutrients were selected based on prescreened cell viability studies conducted in the Sharda lab. After pre-treatment, the cells were treated with 10μg/mL LPS for 8 hours or 300 mM D-galactose (DG) for 72 hours. LPS and DG serve as agents to cause oxidative stress in the cells. After treatment, the cells were lysed using a hypotonic lysis buffer (Shangari, 2006).
Catalase activity assay
Catalase breaks down hydrogen peroxide, so the activity of catalase can be measured by adding a known amount of hydrogen peroxide to the lysate and using spectroscopy to determine how much hydrogen peroxide remains after a set amount of time. The assay for catalase uses FOX 1 reagent, which is comprised of 250 μM ammonium ferrous sulfate, 100 μM xylenol orange, 0.1 M sorbitol, and 25 mM H2SO4 (Shangari, 2006). 10 uL 2.2 mM hydrogen peroxide was added to 100 μL cell lysate. 50 μL cell lysate was removed after 3 minutes of incubation and were rapidly added to 950 μL FOX 1 reagent to stop the catalase reaction. Samples were incubated at room temperature for 30 minutes and micro centrifuged for 3 minutes at 12,000 × g (Hettich® Mikro 220R). A spectrophotometer (Agilent 8453) was used to read the absorbance at 560 nm (Shangari, 2006).

BCA protein assay
Fig. 1. Treatment of differentiated SH-SY5Y cells. Differentiated SH-SY5Y cells were pretreated with GTE, WTC, ELE, or CBE or with GTE and WTC, ELE, or CBE. Each plate contained positive, negative, and GTE controls. After 24 hours of pretreatment, half of the cells were treated with either LPS or D-galactose (DG). LPS treatment lasted for 12 hours, while DG treatment lasted for 72 hours. Created using BioRender.com.
Protein concentration was determined spectrophotometrically using the Thermo ScientificTM PierceTM BCA Assay Kit (ThermoFisher Scientific, 23225) according to the kit instructions. Results were used to standardize catalase activity to protein concentration.
DCFDA assay and imaging
A dichlorofluorescin diacetate (DCFDA) assay protocol was adapted from Rahimi et al. (2018) and was run on some of the treated cells to assess the presence of ROS. This provided additional evidence that the extracts are meaningfully affecting antioxidative enzyme activity. Stained cells were imaged on a fluorescent microscope (Nikon Eclipse Ti) with neurite-tracing analysis using NeurphologyJ (version 1.43u), a free software of the NIH ImageJ suite. The morphology of the cells in the images can be used as indicators of overall cell health as well as the effects of ROS and the antioxidant treatments.
Differentiation
Undifferentiated SH-SY5Y cells were maintained in basic growth media (defined below) at 37 °C/5% CO2.
The differentiation protocol was adapted from Kovalevich & Langford (2013) and Dravid et al. (2021). 12-well plates (MidSci, TP92012) were coated with Extracellular Matrix-Growth Factor Reduced (ECM GFR) Gel from EngelbrethHolm-Swarm Mouse Sarcoma (Sigma, E6909) diluted 1:100 in basic media and incubated at 37 °C/5% CO2 for 24 hours before plating cells. Any additional liquified ECM GFR left in wells was aspirated 1 hour before cells were plated. Cells were plated at a concentration of 12,987 cells/cm². The following day, the media was changed to differentiation media. Differentiation media was changed every 48 hours. After 8 days of differentiation, cells were ready for experimentation. Cultivated cells were maintained at 37 °C/5% CO2
Media
Basic growth media
Basic growth media was made with Dulbecco’s Modified Eagle Medium (DMEM) (Sigma, D6546), 10% heat-inactivated fetal bovine serum (hiFBS) (ThermoFisher Scientific, 10082147), 1× glutaMAXTM Supplement (glutamax) (ThermoFisher Scientific, 35050061), and 1×penicillin streptomycin solution (pen/strep) (Sigma, P4333).
SH-SY5Y cells were attained from ATTC (CRL-2266) and grown from frozen cryovial samples. This was done by warming 9 mL and 20 mL of basic growth media in separate 50 mL centrifuge tubes. The frozen cells were thawed in a 37oC bead bath for about 2 minutes. The entire contents of the cryovial were then removed and resuspended in 9 mL warmed media, then centrifuged at 1500 rpm for 5 minutes (Eppendorf Centrifuge 5810 R). The supernatant was aspirated, and the cell pellet was resuspended in 20 mL of basic growth media and placed in a sterile T75 tissue culture flask (MidSci, TP90076). The cells were then allowed to incubate at 37 °C/5% CO2 for about a week until the cells reach about 80% confluency before being passaged to new flasks. At least 2 passages occurred before cells were plated and differentiated.
Differentiation media
Differentiation media was made with Neurobasal medium (ThermoFisher Scientific, 10888022), 1×serum-free B-27TM Supplement (B27) (ThermoFisher Scientific, 17504001), 1×glutamax, 20 mM sodium potassium (KCl), and 10 μM all-transretinoic acid (RA) (ThermoFisher Scientific, 207340010). B27, glutamax, and KCl were added to neurobasal medium in advance, and RA was added immediately before media was applied to cells.
Statistical analysis
The data were analyzed using Microsoft Excel and presented as mean ± standard deviation. Statistical significance was determined by single factor ANOVA and a post hoc two-tailed t-test using the Bonferroni correction. A p-value of ≤ 0.05 was
considered statistically significant. 2 out of 36 samples that were part of DG analysis were found to be statistical outliers by the Grubbs test and excluded from the data.
RESULTS
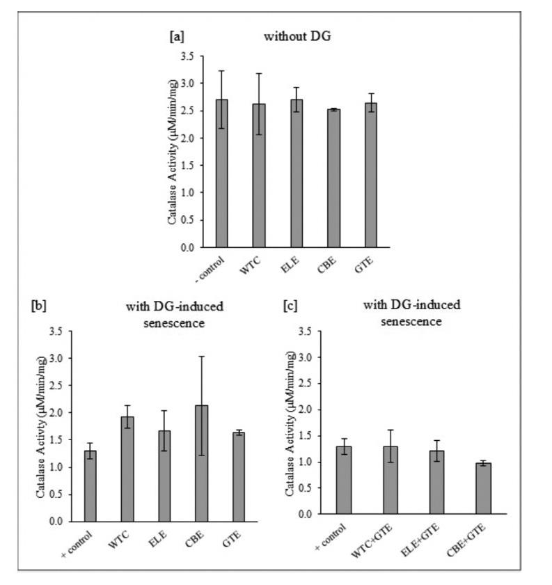
In order to gain a better understanding of the effects of anthocyanin rich polyphenols on neuronal catalase activity, we pretreated differentiated dopaminergic SH-SY5Y cells with WTC, ELE, or CBE. Cells were then stressed with either DG as a model of senescence or with LPS as a general inflammatory model prior to assessing catalase activity. As shown in Figure 2, consistent with published findings, treatment with DG alone reduced catalase activity by approximately two-fold. DG-stressed cells pretreated with only WTC, ELE, CBE, or GTE did not reveal any statistically significant differences in catalase activity, although trends show that they may have a positive effect (Fig. 2.).

Fig. 2. Anthocyanin rich extracts did not significantly enhance catalase activity in DGsenesced SH-SY5Y cells. Differentiated SH-SY5Y cells were (a) treated with the given anthocyanin extract alone for 96 hours, (b) pretreated with the anthocyanin extract for 24 hours and induced into senescent stress with DG treatment for 72 hours, and (c) pretreated with the anthocyanin extract and GTE for 24 hours and then induced to senescence with DG for 72 hours to determine if synergistic protection would be observed. Experimental values were expressed as mean ± standard deviation.
Our lab has previously observed synergistic effects of these phytonutrients when combined with green tea extract (GTE) in a macrophage model of inflammation (Sharda, manuscript in prep). To our surprise, however, when induced to senescence with DG, protective effects of these extract appear to be lost. Although not statistically significant, DG-stressed cells pretreated with CBE and GTE demonstrated lower catalase activity than non-pretreated senescent cells, as seen in Figure 2. We sought to determine if these anthocyanin rich phytonutrients could protect neuronal cells in an LPS-induced inflammatory model (Fig. 3). Results comparing the various combinations of pretreatments were inconsistent. In fact, our data suggests that twelve hours of LPS treatment was insufficient to measurably impact catalase expression in control or phytonutrient pretreated cells.

Fig. 3. Anthocyanin rich extracts did not significantly enhance catalase activity in LPSsenesced SH-SY5Y cells. Differentiated SH-SY5Y cells were (a) treated with the given anthocyanin extract alone for 36 hours, (b) pretreated with the anthocyanin extract for 24 hours and induced into senescent stress with LPS treatment for 12 hours, and (c) pretreated with the anthocyanin extract and GTE for 24 hours and then induced to senescence with LPS for 12 hours to determine if synergistic protection would be observed. Experimental values were expressed as mean ± standard deviation.
DISCUSSION
Anthocyanin rich extracts from whole tart cherry (WTC), elderberry (ELE), and coffee berry (CBE) did not exhibit a significant induction or preservation of catalase activity when differentiated SH-SY5Y cells were stressed with either LPS or DG. Moreover, we did not observe any synergistic effects, or even additive effects, when the cells were exposed to both GTE and an anthocyanin-rich extract.
As a whole, in our study, anthocyanin-rich extracts by themselves seem to have little effect on catalase activity in both stressed and unstressed cells. Contrary to expectations, stressed SH-SY5Y cells demonstrated diminished catalase activity when pretreated with both anthocyanin-rich extracts and GTE. This indicates that there may be an antagonistic interaction between these extracts’ influence on catalase activity, whether directly or through the signaling pathways they initiate.
Previous studies regarding catalase activity levels in DG- or LPS-stressed cells yielded results that included statistically significant results between positive and negative controls, as well as between GTE-pretreated cells and controls, including those that have used SH-SY5Y cells as their in vitro models. SH-SY5Y cells were chosen as a model in this study because they are easily manipulated to emulate a variety of conditions, and they generally produce reliable and repeatable results. Yao et al. (2022) discovered significantly lower catalase activity in the brain tissue of rats that had been treated with DG than those who had not. On the other hand, Zhao et al. (2017) did not find a significant difference in catalase activity in their in vivo demonstration of DG-induced neurological senescence in CD-1 mice. In light of these conflicting results, it cannot be confidently asserted that the results of this present study in regard to DG treatment have a strong correlation with previous research. Wiatrak et al. (2022) and Zhang (2020) found that LPS treatment, both in high and low concentrations, results in significantly lower catalase activity in SHSY5Y cells.
Levites et al. (2001) found that components of GTE increased catalase activity compared to their oxidative stress-inducing positive control. However, the results in this present study did not show significant differences between the positive and negative controls or GTE and the controls. The reason for this is unclear, although there are many possibilities. Many previous studies used varying concentrations of DG and LPS in their stimulated cells. Due to limited time and funds, this study was conducted using only one mid-range concentration of DG or LPS. The use of higher concentrations of these cell-aging molecules might have yielded clearer differences in catalase activity among the various treatment combinations. Furthermore, although some previous studies did use whole extracts as pretreatments, many only pretreated using purified components of said extracts, which may have enabled them to have greater contact and effects on the cells. It may be beneficial to study how the individual components of these extracts impact SH-SY5Y cells’ catalase activity.
The discrepancies between the results of this present study and previous research,
especially in regard to lack of statistically significant differences between the positive and negative controls, may have resulted from an array of reasons. One example could be the lack of BDNF supplementation after differentiation with RA. BDNF has been shown to augment and stabilize the differentiation of neurons (Dravid et al., 2021; Kovalevich & Langford, 2013). It is costly, however, so this study did not include the use of BDNF following RA treatment. Another factor is the fact that there were few samples that were tested, which reduced statistical power for detecting meaningful differences in the results.
Further research may include what specific molecules in WTC, ELE, CBE, and GTE interact with neuronal cells, and which receptors or signaling pathways they each interact with. This could aid in understanding the biochemical pathways that these extracts use to signal and their downstream effects. Even though the anthocyaninrich extracts did not result in an increase in catalase activity, they may still have neuroprotective effects. If they were acting as free-radical scavengers, they would eliminate some oxidative stress in the cells, in which case it may not be necessary for catalase to be upregulated. Additionally, there are other antioxidant enzymes that are prevalent in these cells that may have been positively impacted by these extracts. Studying the activity levels of other common antioxidant enzymes such as glutathione peroxidase and superoxide dismutase would help in better understanding the effects of anthocyanin-rich extracts, both alone and in conjunction with GTE, on the overall oxidative stress in SH-SY5Y cells.
REFERENCES
Almeida, S., Alves, M., Sousa, M., Oliveira, P., & Silva, B. (2016). Are Polyphenols Strong Dietary Agents Against Neurotoxicity and Neurodegeneration? Neurotoxicity Research, 30(3), 345–366.
Bernatoniene, J., & Kopustinskiene, D. M. (2018). The Role of Catechins in Cellular Responses to Oxidative Stress. Molecules, 23(4), Article 4. https://doi.org/10.3390/ molecules23040965
Biswas, K., Alexander, K., & Francis, M. M. (2022). Reactive Oxygen Species: Angels and Demons in the Life of a Neuron. NeuroSci, 3(1), Article 1.
Dravid, A., Raos, B., Svirskis, D., & O’Carroll, S. J. (2021). Optimised techniques for high-throughput screening of differentiated SH-SY5Y cells and application for neurite outgrowth assays. Scientific Reports, 11, 23935.
Farhana, A., & Khan, Y. S. (2023). Biochemistry, Lipopolysaccharide. In StatPearls. StatPearls Publishing. http://www.ncbi.nlm.nih.gov/books/NBK554414/
Gamba, M., Asllanaj, E., Raguindin, P. F., Glisic, M., Franco, O. H., Minder, B., Bussler, W., Metzger, B., Kern, H., & Muka, T. (2021). Nutritional and phytochemical characterization of radish (Raphanus sativus): A systematic review. Trends in Food Science & Technology, 113, 205–218.
Glorieux, C., Zamocky, M., Sandoval, J. M., Verrax, J., & Calderon, P. B. (2015). Regulation of catalase expression in healthy and cancerous cells. Free Radical Biology and Medicine, 87, 84–97.
Guo, B., Guo, Q., Wang, Z., Shao, J.-B., Liu, K., Du, Z.-D., & Gong, S.-S. (2020). d-Galactose-induced oxidative stress and mitochondrial dysfunction in the cochlear basilar membrane: An in vitro aging model. Biogerontology, 21(3), 311.
Kim, E., & Jung, H. (2020). Local mRNA translation in long-term maintenance of axon health and function. Current Opinion in Neurobiology, 63, 15–22.
Kovalevich, J., & Langford, D. (2013). Considerations for the Use of SH-SY5Y Neuroblastoma Cells in Neurobiology. Methods in Molecular Biology (Clifton, N.J.), 1078, 9–21.
Matrella, M. L., Valletti, A., Marra, F., Mallamaci, C., Cocco, T., & Muscolo, A. (2022). Phytochemicals from Red Onion, Grown with Eco-Sustainable Fertilizers, Protect Mammalian Cells from Oxidative Stress, Increasing Their Viability. Molecules, 27(19), Article 19.
Messmer, K., & Reynolds, G. P. (2005). An in vitro model of inflammatory neurodegeneration and its neuroprotection. Neuroscience Letters, 388(1), 39–44.
Nandi, A., Yan, L.-J., Jana, C. K., & Das, N. (2019). Role of Catalase in Oxidative Stress- and Age-Associated Degenerative Diseases. Oxidative Medicine and Cellular Longevity, 2019,
Niaz, A. (2021). Robust Dopaminergic Differentiation and Enhanced LPS-Induced Neuroinflammatory Response in Serum-Deprived Human SH-SY5Y Cells: Implication for Parkinson’s Disease. Journal of Molecular Neuroscience, 71(3), 565–582.
Noda, Y., Kaneyuki, T., Mori, A., & Packer, L. (2002). Antioxidant Activities of Pomegranate Fruit Extract and Its Anthocyanidins: Delphinidin, Cyanidin, and Pelargonidin. Journal of Agricultural and Food Chemistry, 50(1), 166–171.
Pandur, E., Varga, E., Tamási, K., Pap, R., Nagy, J., & Sipos, K. (2019). Effect of Inflammatory Mediators Lipopolysaccharide and Lipoteichoic Acid on Iron Metabolism of Differentiated SH-SY5Y Cells Alters in the Presence of BV-2 Microglia. International Journal of Molecular Sciences, 20(1), Article 1.
| ELAIA: The Honors Journal of Olivet Nazarene University
Rahimi, V. B., Askari, V. R., & Mousavi, S. H. (2018). Ellagic acid reveals promising anti-aging effects against d-galactose-induced aging on human neuroblastoma cell line, SH-SY5Y: A mechanistic study. Biomedicine & Pharmacotherapy, 108, 1712–1724.
Scientific Image and Illustration Software. BioRender. (n.d.). https://www.biorender.com/
Shangari, N. (2006). Catalase Activity Assays. Current Protocols in Toxicology, 27(1), 1–15.
Wiatrak, B., Jawień, P., Matuszewska, A., Szeląg, A., & Kubis-Kubiak, A. (2022). Effect of amyloid-β on the redox system activity in SH-SY5Y cells preincubated with lipopolysaccharide or co-cultured with microglia cells. Biomedicine & Pharmacotherapy, 149, 112880
| ELAIA: The Honors Journal of Olivet Nazarene University

Comparing the Effects of Mat Pilates on Lower Limb Strength and Agility in Young Adults with Sedentary to Active Lifestyles
Morgan E. McCammon
ACKNOWLEDGMENTS
I would like to express my gratitude to the faculty involved in the honors program at Olivet Nazarene University. The collaboration of many minds made this project feasible, and I am thankful for your unwavering support through this extensive process of research. I would like to mention a special thank you to my mentor Dr. Brian Hyma for his continued assistance and encouragement through the years of research, writing, and planning. His role as my professor and research advisor was fundamental to completing my project and degree. I am forever thankful for my friends and family who have been the greatest support system. This study has been one of the most challenging and rewarding experiences of my collegiate years, and I am so thankful for this opportunity and the people who made it possible.
ABSTRACT
Background: Meeting physical activity guidelines is essential for maintaining physical health, decreasing the risk of chronic disease, and improving fitness. Pilates is a form of low to moderate exercise that can be implemented to improve multiple components of fitness and be considered active. Today, Pilates is available to the general population through online instruction.
Objectives: The purpose of this study was to compare the effects of a four-week, self-led online Pilates program or a walking routine on inactive and active young adults. This study analyzed changes in lower limb strength and agility.
Methods: This experiment involved eighteen young adults from Olivet Nazarene University (ages 18-22) who were categorized as inactive or active. The two groups were randomly assigned to the Pilates Group (PG; initial n=13; final n=6) or the Control/Walking Group (WG; initial n=13; final=12). The PG followed an online, twenty-minute Pilates video four times per week for four weeks. The WG walked at a brisk pace for twenty minutes for the same duration. Both groups were instructed to maintain their current activity level and log each session they completed.
Results: Vertical jump was improved by 0.53% in the PG and 5.99% in the WG. Active and inactive participants in the PG improved by 0.61% and 0.44% respectively. Active and inactive participants in the WG improved by 6.73% and 4.87%. Shuttle Run times improved by 5.26% in the PG and 5.41% in the WG. Active and inactive participants in the PG improved by 6.86% and 2.08% respectively. Active and inactive participants in the WG improved by 6.08% and 4.08%.
Conclusion: The program retention rates were twice as high in the WG compared to the PG. On average, each group and subgroup recorded improvements in all categories. However, a reliable conclusion may not be made with the small sample size of each subgroup and the limited number of inactive participants in the PG (n=2) and WG (n=4) by the conclusion of the study. The active participants in each group consistently improved vertical jump and shuttle run scores at a higher percentage than their inactive counterparts, indicating a need for future research to investigate active versus inactive individuals. The results conflict with the proposed hypothesis. Pilates and walking were both effective at improving lower limb strength and agility in active and inactive young adults.
Keywords: Pilates, walking, lower limb strength, agility, vertical jump, shuttle run, inactive, sedentary, active, young adults, fitness.
INTRODUCTION
Half of American adults, over 100 million people, have one or more preventable chronic diseases often linked to poor diet and physical inactivity (Schap, 2016).
The risk of most chronic diseases, like heart disease, cancer, diabetes, and obesity, decreases with regular physical activity and exercise. People who meet the physical activity guidelines lower risk of these chronic diseases and all-cause mortality by 33% compared to inactive individuals (Physical Activity Guidelines for Americans, 2018). There are significant health benefits to participating in any amount of moderate or vigorous physical activity. For instance, routine exercise can lower resting heart rate and systolic and diastolic blood pressure (Niya et al., 2020). Not only can regular exercise reduce the risk of chronic diseases, but it is also associated with improved cognitive function, sleep, bone health, and quality of life. Physical activity is linked to a decreased risk of anxiety and depression. Conversely, inactive or sedentary lifestyles have been shown to increase the risk of all the aforementioned conditions and all-cause mortality (Physical Activity Guidelines for Americans, 2018).
Guidelines for Physical Activity
In 2020, only 24% of adults met the guidelines for both aerobic and musclestrengthening activity (Elgaddal et al., 2022). The current guidelines for physical activity for adults recommend 150-300 minutes/week of moderate-intensity exercise or 75-150 minutes/week of vigorous-intensity exercise to observe significant health benefits. At least two days each week should incorporate muscle-strengthening activities. Adults that do not meet these recommendations are considered inactive. The guidelines outline the importance of participating in any level of physical activity throughout the day – especially regarding inactive individuals. Positive health effects can be observed immediately after moderate or vigorous exercise (Physical Activity Guidelines for Americans, 2018).
Most inactive individuals would benefit from simply increasing their physical activity, often beginning with light to moderate-intensity activities over vigorous exercise. Light aerobic exercise, like walking, is suggested for sedentary adults starting to exercise. Current recommendations assert that health professionals should target that initial exercise raises a sedentary individual’s heart rate to twenty to thirty beats per minute above their resting heart rate. This will condition the cardiorespiratory system for aerobic exercise (Traynor, 2016). Active individuals are advised to exercise at varying intensities to meet and exceed the physical activity guidelines for increased health benefits.
To assess the intensity of exercise, physiologists can use estimated energy expenditures. Energy expenditure is often expressed in one metabolic equivalent (MET). One MET is the amount of oxygen consumed while at rest, so an increase in METs indicates a more strenuous activity that requires a higher degree of oxygen consumption (Jetté et al., 1990). Low-intensity physical activities are leisurely walks, light chores, or cooking. These activities are usually less than three METs and keep an individual’s heart rate steadily at 50% of their maximum heart rate when sustained for at least thirty minutes (St. Luke’s Health, 2019). Moderate intensity is defined as a physical activity that is three to six METs, like a brisk walk or mopping the floor. Participating in low to moderate-intensity physical activity is a way for both active and inactive individuals to observe positive health benefits and reduced risk of preventable chronic disease.
Pilates
Pilates has been around since the 1920s. Though it was originally used as a method of rehabilitation for injured dancers, Pilates continues to be an increasingly popular workout style throughout the 21st century (Anderson & Spector, 2005). Needing only a mat on the ground, mat Pilates can be an accessible form of exercise. Though it was previously only experienced through in-person classes, it is now available for free through online instruction via YouTube or other platforms.
Typical Pilates sessions are based on six guiding principles: centering, concentration, control, precision, flow, and breathing (Deep et al., 2020). Pilates movements emphasize the core or the center of the body. Centering uses the body’s center, the lower trunk between the pubis and ribs. Concentration is vital to Pilates because the exercise requires full attention as there is little repetitive movement. To maintain the flow of Pilates, participants must practice concentration. Control is central to every movement in Pilates; the body must be able to power and maintain proper form. Body awareness is strengthened through the focus on precision of movement during Pilates. In Pilates workouts, there is a seamless flow that allows different exercises to blend into each other. Lastly, one of the fundamentals of Pilates is purposeful breathing. Instructors direct participants to take deep breaths in on the eccentric phase of movement and deep breaths out during the concentric contraction (Tribe Pilates Studio, 2023). The six core principles of Pilates are the backbone of the program and set it apart from other exercises.
Due to the core principles, Pilates is an established method for strengthening the core and improving overall trunk strength, posture, mobility, and balance (Preeti et al., 2019). Utilizing a series of stretching and strengthening movements, Pilates targets specific muscle groups while improving core strength and stability. These improvements are known to improve postural control and balance (Soysal et al., 2020). Core strength is essential for maintaining proper function, posture, and body mechanics. Findings in previous literature indicate that Pilates has positive effects on muscular endurance, balance, and functional movement, making it a potentially advantageous form of exercise for improving several areas of fitness (Pal et al., 202). Pilates has been shown to improve different components of fitness in active and inactive individuals alike. Concerning inactive populations, elderly patients showed improved confidence in balance during everyday activities and decreased fear of falling after adhering to a twelve-week Pilates program (Aibar-Almazán et al., 2019). For active individuals, recent literature suggests that incorporating Pilates into typical athletic training can increase sport-related functionality (Famisis et al., 2017). Some studies suggest Pilates training can promote short-term improvement in flexibility and Range of Motion (ROM), which is essential for athletic functionality and performance (Famisis et al., 2017). Regardless of the age, gender, or athleticism of participants, there is research that demonstrates the potential benefits of Pilates on many components of fitness.
Purpose
Little literature is focused on comparing the effects of Pilates on active versus inactive individuals who are performing the same protocols. Similarly, few studies analyze strength and agility outside of an athletic or sports team setting. Therefore, there is a need for a study to investigate if Pilates has a higher degree of effectiveness in improving lower limb agility and strength depending on the typical activity level of a participant. The findings of this research have many applications in the healthcare and fitness industries. Healthcare professionals encounter individuals who aim to improve their lower limb strength and agility, and the findings of this study may indicate if Pilates is an effective modality of exercise to reach those goals when considering their typical weekly physical activity.
This study will compare the effects of a four-week Pilates program and walking on the improvement of lower limb strength and agility in active and inactive young adults. It is hypothesized that participants in the Pilates group who are considered inactive will have a higher percentage of improvements in strength and agility compared to their active counterparts.
METHODS
Participants
An experimental study was conducted with twenty-six (final n=18) college students from Olivet Nazarene University. The inclusion criteria for participation were: (a) eighteen to twenty-five years old; (b) had not experienced any musculoskeletal or neurological injuries within the past thirty days; (c) did not have any existing injury or condition that limits their physical activity. Ethical approval was granted by the university’s institutional review board. Each participant signed an informed consent document before beginning the study.
Procedures
Prospective participants from Olivet Nazarene University were emailed with information and a short Google Form to complete if they were interested in joining the study. The form included questions about their weekly moderate and vigorous activity participation for the last three months. They were informed that they would be entered into a raffle for five $10 Amazon gift cards upon successful completion of the study. There were sixty-five responses to the survey, and twenty-six began participation in the study.
Per the Physical Activity Guidelines for Americans (2018), the participants were categorized as active or inactive from their answers to the form. They were considered active if they met the following criteria: (a) exercise at a moderate intensity for at least thirty minutes, five days a week; or (b) exercise at a vigorous intensity for at least twenty minutes, three days a week. The questions qualified their answers to be true for the last three months.
Active and inactive individuals were randomly assigned to the PG (PG; initial n=13; final n=6) or the Control/Walking Group (WG; initial n=13; final=12). Initially, the PG had eight active and five inactive participants, and the WG had nine active and four inactive. At the conclusion of the study, the PG was comprised of four active and two inactive participants, and the WG ended with eight active and four inactive. Initially, there were twelve females and one male in each group. By the conclusion of the study, there were seventeen females and one male.
All participants were to maintain their current level of physical activity for the extent of the study. Subjects were familiarized with the vertical jump and shuttle run test procedures.
The tests were completed before (pre-intervention) and after (post-intervention) the four-week Pilates and walking protocols. All data was collected, stored, and analyzed using Google Sheets and Excel.
Lower Limb Strength: Vertical Jump Test
Lower limb strength was measured by the vertical jump test using the Vertec Jump Tester (Jump USA, n.d.). The reach height of the dominant hand was recorded. Subjects were instructed to stay in one place and jump to reach the highest rung on the apparatus possible. This test was performed three times. The distance between participants’ reach height and jumping reach was calculated in inches and averaged over three trials.
Agility: Shuttle Run Test
Agility, or the ability to accelerate between marked lines and change direction, was measured by the ten-meter shuttle run test (Preeti et al., 2019). This test was done on a wooden gymnasium floor. The materials needed were four cones, measuring tape, and a stopwatch. Time was recorded in seconds. Two parallel lines ten meters apart were established by cones. Before performing the test, participants were instructed to warm up for two minutes. Participants were asked to run from one line to the other and back as fast as possible, crossing both feet over the line each time. This test was performed three times with a minute of rest in between trials. The times for all three trials were averaged.
Pilates Protocol
Participants in the PG followed a twenty-minute, moderate-intensity Pilates YouTube video [https://www.youtube.com/watch?v=ezke0GlKeM4&t=1092s] created by a certified Pilates and Yoga instructor (McPherson, 2023). This procedure was self-led, so the subjects were to do the Pilates video at their convenience four times a week for four weeks. It did not matter what day or time they completed the session. To ensure adherence to the program, participants kept a log of each time and day they completed all sixteen sessions. If they reported they missed more than two sessions, they were excluded from the study.
Control/Walking Protocol
Participants in the WG walked at a brisk pace for twenty minutes four times a week for four weeks. The twenty minutes were consecutive and could not be split into smaller time segments throughout the day. Participants were allowed to walk outside or inside according to their preferences. They were instructed to walk on days and times that were convenient for them, just like the PG, and walking at the same brisk pace for 20 consecutive minutes was necessary. They were required to log the time and day they completed each session and had the same exclusion criteria as the PG.
Results
After participating in a four-week Pilates and walking intervention, overall scores on the vertical jump test and shuttle run test improved in both groups. Across all groups and subgroups, participation in this study led to an average improvement in strength and agility. The average percentage of improvement was dependent on the group.
Lower Limb Strength
Vertical jump was improved by 0.53% in the PG (n=6) and 5.99% in the WG (Figure 1). Active (n=4) and inactive (n=2) participants in the PG improved by 0.61% and 0.44% respectively. Active (n=8) and inactive (n=4) participants in the WG improved by 6.73% and 4.87%. Differences in vertical jump results dependent on activity level can be observed in Figure 2


Agility Shuttle Run times improved by 5.26% in the PG (n=6) and 5.41% in the WG (n=12) (Figure 3). Active (n=4) and inactive (n=2) participants in the PG improved by 6.86% and 2.08% respectively. Active (n=8) and inactive (n=4) participants in the WG improved by 6.08% and 4.08%. Differences in shuttle run times dependent on activity level can be found in Figure 4.


DISCUSSION
This study was performed to compare the effects of a four-week online Pilates program on lower limb strength and agility in inactive and active young adults. The key findings of this study suggest that the moderate intensity exercise of both Pilates and walking at a brisk pace can improve both agility and lower limb strength. Additionally, these findings indicate that self-paced program retention rates may be higher in walking interventions compared to Pilates. Though the cause of this discrepancy was not studied, it may suggest that both inactive and active young adults find it easier to adhere to a walking protocol. This may be due to the familiarity of walking, the higher perceived exertion of Pilates compared to walking, or many other subjective reasons. Pilates in this format requires participants to have time, access to physical space, and a screen to stream a YouTube video. The walking protocol requires the same amount of time, but the space and technology requirements are less demanding because brisk walking may be done in a wide variety of places. Walking can be less taxing, both mentally and physically, and it is a more common physical activity, so it may have been more comfortable and enjoyable for the participants. In a study that requires physical activity, there is a large psychological component connected to adherence. Though the participants were incentivized with gift cards, this may not have been enough to motivate them to the point of adherence. Intrinsic motivation can easily outweigh outside factors. This is important for future researchers to understand as new studies are being created. This research, and the collateral findings about retention rates, have important implications for the education of health professionals and individuals who are creating workout programs.
The effects of Pilates have been studied in various demographics. Specifically, in terms of flexibility, strength, agility, and other areas of fitness. Improving strength and agility are common goals for active and inactive individuals alike. Athletes and coaches are constantly trying to improve performance, specifically in skill-related components like agility, strength, and flexibility. One study established that elite badminton players improved their agility, strength, balance, and coordination by approximately 60% overall after introducing Pilates to their traditional practice routines for only five weeks (Preeti et al., 2019). Another found that Pilates improved balance and core strength in karate competitors (Pal et al., 2021). Similarly, other studies suggest Pilates training can promote short-term improvement in flexibility and Range of Motion (ROM), which is essential for athletic functionality and performance (Famisis et al., 2017). Conversely, young male basketball players did not significantly improve their vertical jump performance after a 6-week Pilates intervention (Fonseca de Cruz et al., 2014). Pilates has been shown to have potential sport-related functional benefits, even after a short intervention.
In terms of inactive individuals, Pilates has been found to decrease fall risk and improve physical fitness in elderly populations. Pilates focuses on improving core and postural control, which may improve risk factors associated with falling. When following a 12-week Pilates program, elderly women significantly improved their balance, confidence, and postural stability and decreased their fear of falling (AibarAlmazán et al., 2019). Another study found that older women with chronic low back pain showed improvement in their fear of falling, functional mobility, and balance after six weeks of Pilates and physiotherapy compared to physiotherapy alone (CruzDiaz, D., 2015). The effects of Pilates exercise for older adults can be long-term. One study found that balance improvements after a five-week Pilates intervention were maintained after a year and improved with continued participation (Bird, M. & Fell, J., 2014). Fourie et al. (2012) discovered that eight weeks of Pilates provides sufficient improvement in muscular strength and endurance in elderly women, as to not require conventional modes of exercise. Another study reported significant improvement in lower limb strength in elderly adults after twelve weeks of biweekly Pilates (Campos de Oliveira, L. et al., 2015).
Pilates was created as a mode of rehabilitation for dancers, and there is evidence to suggest that it continues to be a successful method of rehabilitation (Anderson & Spector, 2005).
In one study, the severity of sagittal spinal conditions like lordosis and kyphosis in adolescents and young adults significantly decreased after a Pilates protocol. This is accredited to the indication that functional spinal curvature abnormalities are directly related to core strength and endurance (Ahmadi et al., 2021; González-Gálvez et al., 2020). Another study found that incorporating Pilates into a treatment plan for obese patients improved oxygen intake at the ventilatory threshold after 8 weeks. This is attributed to the focus on breathing deep, intentional breaths during Pilates classes (Rayes et al., 2019). Conversely, patients with heart arrhythmias observed no
significant difference in resting heart rate, or systolic and diastolic blood pressure between interventions of Pilates, walking, or a combination of the two. Therefore, no group was superior at decreasing the variables (Niya et al., 2019).
This study concurs with previous literature as active individuals improved in strength and agility. However, the control group reported a higher percentage of improvement in both areas, which was contradictory to the hypothesis. In many ways, these results offer a unique perspective that challenges the effectiveness of Pilates in improving strength and agility compared to walking. Neither of these exercises are traditional methods used to improve lower limb strength and agility, but routine exercises like these may improve those components of fitness in as short as four weeks.
Both Pilates and walking can be effective methods of exercise to meet and exceed the physical activity guidelines and potentially improve lower limb strength and agility. With limited participants in this study and a relatively short time frame of four weeks, it is important to include a larger sample size and increase the duration of future research. This research indicates there may be higher retention rates in beginning a walking program compared to self-led online Pilates, so increasing the size of the original sample is essential to obtain statistically significant results. The reason behind this discrepancy in retention may be studied through surveys of participants, especially on the perceived exertion of Pilates. There is still more to learn about the varied ways that inactive and active adults respond to Pilates programs. Further research may be conducted to study the compared effects of additional components of fitness like muscular endurance, postural control, and balance on active and inactive participants.
REFERENCES
Ahmadi, F., Safari Variani, A., Saadatian, A., & Varmazyar, S. (2021). The impact of 10 weeks of Pilates exercises on the thoracic and lumbar curvatures of female college students. Sport Sciences for Health, 17(4), 989–997.
Aibar-Almazán, A., Martínez-Amat, A., Cruz-Díaz, D., De la Torre-Cruz, M. J., Jiménez-García, J. D., Zagalaz-Anula, N., Pérez-Herrezuelo, I., & Hita-Contreras, F. (2019).
Effects of Pilates on fall risk factors in community-dwelling elderly women: A randomized, controlled trial. European Journal of Sport Science, 19(10), 1386–1394.
Bird, M. L., & Fell, J. (2014). Positive long-term effects of Pilates exercise on the agedrelated decline in balance and strength in older, community-dwelling men and women. Journal of Aging and Physical Activity, 22(3), 342–347.
Campos de Oliveira, L., Gonçalves de Oliveira, R., & Pires-Oliveira, D. A. (2015). Effects of Pilates on muscle strength, postural balance and quality of life of older adults: a randomized, controlled, clinical trial. Journal of Physical Therapy Science, 27(3), 871–876.
Cruz, T. M. F. D., Crisp, M. D. G. A. H., Sindorf, M. A. G., Verlengia, R., Mota, G. R. D., & Lopes, C. R. (2014). Does pilates training change physical fitness in young basketball athletes? Journal of Exercise Physiology Online, 17(1).
Cruz-Díaz, D., Martínez-Amat, A., De la Torre-Cruz, M. J., Casuso, R. A., de Guevara, N. M., & Hita-Contreras, F. (2015). Effects of a six-week Pilates intervention on balance and fear of falling in women aged over 65 with chronic low-back pain: A randomized controlled trial. Maturitas, 82(4), 371–376.
Deep, V., Methe, A., & Patil., H. (2020). Effect of mat Pilates versus traditional plank on core muscle strength, balance and agility in elite badminton players: A randomized clinical trial. International Journal of Physical Education, Sports and Health. 7(5), 342-347.
Eladdal, N., Kramarow, E., Reuben, C. (2022). Physical adults aged 18 and over: United States, 2020. NCHS data brief.
Famisis, K., Grammatikopoulou, M. G., Kyranoudis, A., Ispirlidis, I., Giannakos, A., Galazoulas, C., Thoma, P., & Zakas, A. (2017). Does the number of repetitions of mat Pilates exercises affect flexibility in female amateur soccer players? International Journal of Current Research, 9, 5.
Fourie M, Gildenhuys G, Shaw I, Toriola A, Goon D (2012) Effects of a mat Pilates programme on muscular strength and endurance in elderly women. AJPHERD 18:299–307.
González-Gálvez, N., Marcos-Pardo, P. J., Trejo-Alfaro, H., & Vaquero-Cristóbal, R. (2020). Effect of 9-month Pilates program on sagittal spinal curvatures and hamstring extensibility in adolescents: Randomised controlled trial. Scientific Reports, 10(1), 1–8.
Institute of Medicine (US) Division of Health Promotion and Disease Prevention; Berg RL, Cassells JS, editors. The Second Fifty Years: Promoting Health and Preventing Disability. Washington (DC): National Academies Press (US); 1992. 15, Falls in Older Persons: Risk Factors and Prevention.
Jump USA. (n.d). Vertec jump tester. [Apparatus]. https://www.power-systems.com/ shop/product/vertec
Niya, S. H., Vahidian-Rezazadeh, M., & Mokarrar, H. H. (2020). The effects of 8 weeks pilates, walking, and combined Pilates and walking on heart arrhythmia. Zahedan Journal of Research in Medical Sciences, 22(1), 1–6.
Pal, S., Yadav, J., Sindhu, B., & Kalra, S. (2021). Effect of plyometrics and Pilates training on dynamic balance and core strength of karate players. Journal of Clinical & Diagnostic Research, 15(1), 5–10.
| ELAIA: The Honors Journal of Olivet Nazarene University
Physical Activity Guidelines for Americans, 2nd edition. (2018).
Preeti, Kalra, S., Yadav, J., & Pawaria, S. (2019). Effect of Pilates on lower limb strength, dynamic balance, agility and coordination skills in aspiring state level badminton players. Journal of Clinical & Diagnostic Research, 13(7), 1–6.
Rayes, A. B. R., de Lira, C. A. B., Viana, R. B., Benedito-Silva, A. A., Vancini, R. L., Mascarin, N., & Andrade, M. S. (2019). The effects of Pilates vs. aerobic training on cardiorespiratory fitness, isokinetic muscular strength, body composition, and functional tasks outcomes for individuals who are overweight/obese: a clinical trial. PeerJ, 7, e6022.
Schap, T. (2016). The healthy eating index: how is America doing? U.S. Department of Agriculture. https://www.usda.gov/media/blog/2016/03/16/healthy-eating-indexhowamericadoing#:~:text=About%20half%20of%20all%20American,eating%20 patterns%20and%20physical%20inactivity.
Scheffer AC, Schuurmans MJ, van Dijk N, van der Hooft T, de Rooij SE. Fear of falling: measurement strategy, prevalence, risk factors and consequences among older persons. Age Ageing, 37, 19–24.
Soysal Tomruk, M., & Kara, B. (2020). Effects of Pilates exercises on pain, disability and postural control in patients with chronic neck pain: randomized controlled trial. Cukurova Medical Journal, 45(3), 985–991.
Tribe Pilates Studio. (2023). https://tribepilatesstudio.com/
| ELAIA: The Honors Journal of Olivet Nazarene University

Attachment and
Anxiety
in Stepfamilies: How Does One’s Family Type Correlate with Anxiety Levels and Attachment Type?
Cheney D. Ohler
ACKNOWLEDGMENTS
I would first like to extend my deepest gratitude for my supervisor, Dr. John Adams. His guidance and instruction were instrumental in the formation, creation, and completion of my study and this paper. I also cannot overstate my appreciation and gratitude for my honors program mentor, Dr. Steve Case. The completion of my thesis would not have been possible without his direction and encouragement throughout my entire Olivet honors program experience. Special thanks to my former honors program mentor, Dr. Brian Stipp. His insight and knowledge were crucial in my research and study formation and his excitement and curiosity inspired me.
I am extremely grateful to both the Olivet Nazarene University Behavioral Sciences Department and the Olivet Nazarene University honors program for funding this study. Their support was integral to the production and completion of this project.
Finally, I am deeply indebted to my family for their constant support throughout this process and I must thank my friend Megan Schager, who despite working on her own thesis, provided invaluable support.
ABSTRACT
Background
Poor attachment formation and unhealthy family dynamics can often result in mental health issues for a child later in life. Unhealthy family dynamics can often be compounded if there are stepparents within the household, and research indicates that having healthy relationships within stepfamilies is very important for normal child development. This study fills in gaps within the psychological sphere of attachment by investigating the relationship between insecure attachment types, levels of anxiety, and family type (i.e., growing up in a stepfamily).
Methods
A survey containing the Beck Anxiety Inventory (Beck et al., 1988), the Adult Attachment Questionnaire (Simpson et al., 1996) and a family structure/ demographics questionnaire was distributed online through Amazon Mechanical Turk and by email to the students at a small, private, Midwestern, denominational university; almost 500 (N = 492) usable responses were collected in total.
Results
Respondents who reported having stepparents reported slightly higher levels of avoidant attachment and moderately higher levels of anxiety when compared to respondents without stepparents. Respondents who gained a stepparent prior to the age of twelve indicated slightly higher levels of avoidant attachment and symptoms of anxiety than respondents whose stepparent(s) did not enter their lives prior to that age. Both forms of insecure attachment (avoidant and anxious) were weakly positively correlated with anxiety. The findings demonstrate a need for early intervention in children within blended families to mitigate the psychological effects of familial transitions on the children—particularly ones under the age of twelve.
Keywords: attachment, anxiety, stepparents, blended families, family dynamics
INTRODUCTION
Attachment theory revolutionized psychology and child development—primarily due to the discovery and clinical utility of insecure attachment types. The distinction between healthy and unhealthy (insecure) attachment formation became notably important for the appropriate adjustment of children in society and within the context of interpersonal relationships when early research began to highlight the consequences of insecure attachment in young children (Ainsworth and Bell, 1970; Bowlby, 1969). The three insecure attachment types identified by Ainsworth and Bell (1970) are known as anxious attachment, avoidant attachment, and disorganized attachment. An anxious attachment style refers to a child/individual who is afraid of abandonment and therefore reacts emotionally in an attempt to stop their caregiver or partner from “leaving” them (Ainsworth and Bell, 1970). An avoidant attachment style refers to a child or individual who shows no signs of an issue without their caregiver or partner and in some cases resists others for a fear of becoming too reliant on or vulnerable in front of them (Neilson et al., 2017). The disorganized attachment style was identified in the late 1980s
ELAIA: The Honors Journal of Olivet Nazarene University
based off of the work of Ainsworth and Bell; children/individuals with this type of attachment style behave very inconsistently and erratically towards others due to a lack of consistency from caregivers (Main and Solomon, 1986).
Insecure attachment has been connected to a multitude of behavioral and cognitive issues—primarily depression, anxiety, and oftentimes aggression (Ding et al., 2014). Insecure attachment has been shown to have a positive correlation with anxiety levels in both personal anxiety (Neilson et al., 2017) as well as relational anxiety (Burnette et al., 2009; Love and Murdock, 2004; Neilson et al., 2017). Relational anxiety can take on many forms and can instigate interpersonal conflicts or difficulties in both romantic relationships as well as friendships. With the knowledge that anxiety (in general) can have significant negative impacts on a person’s life, and knowing the connection between insecure attachment and anxiety, it is imperative to consider other variables that may exacerbate these issues. Another aggravating factor in this case is the introduction of a stepparent into the home and life of a child. Research conducted by Gunter-Castelton (2020), Planitz et al. (2009), and Love and Murdock (2004) demonstrates that children raised in a blended family (with one or more stepparents) have the tendency to develop insecure attachment—especially anxious or avoidant attachment.
Past research indicates adverse outcomes associated with insecure attachment formation (Ding et al., 2014; Kerns and Brumariu, 2014). Nonetheless, current research connecting attachment styles, family dynamics, and anxiety is lacking. Age did appear to be a significant factor in select research on the timing of parental divorce (Brewer, 2010; Pan, 2014), and the ages indicated in the studies were preand post-puberty (around age twelve). However, neither of the aforementioned studies used the age of parental divorce to assess anxiety symptoms or insecure attachment; only romantic expectations and depression were dependent variables. Therefore, we developed three primary hypotheses. The first was that people from stepfamilies experience higher levels of anxiety and insecure attachment than people without stepfamilies. The second was that the age of the individual when a stepparent enters the home is related to the levels of anxiety and insecure attachment that the individual experiences. The third hypothesis was (to reinforce previous studies) that, in general, there is a positive correlation between insecure attachment and anxiety. Disorganized attachment has minimal research surrounding its origins and implications and as a result, avoidant and anxious attachment types were the focus of these hypotheses to best promote more reliable conclusions.
METHODS
Participants
There were 511 participants from two sources: a small, private, denominational university in the Midwest and a public survey platform called Amazon Mechanical Turk. After eliminating responses that failed both questions that were included to ensure participants were paying attention and answering the questions purposefully, there were 492 usable responses. The distribution was such that 273 of the responses were collected from the private university and the remaining from Amazon
Mechanical Turk. Participants from the private university were recruited through a mass email sent to the entire student population that advertised a raffle for a chance to win one of four gift card incentives. Participants from the Amazon Mechanical Turk platform were recruited randomly through notifications of the survey being published on the website. Those recruited from Amazon Mechanical Turk received a fifty-cent compensation for completing the survey. The requirements to complete the survey were only that the participant had to be over eighteen years old.
Materials
The survey had three separate components: the Beck Anxiety Inventory (Beck et al., 1988), which is a Likert scale with twenty-one items, the Adult Attachment Questionnaire (Simpson et al., 1996), which is also a Likert scale with seventeen items, and a demographics questionnaire with nine items in multiple choice format. Included once after the Beck Anxiety Inventory and once after the Adult Attachment Questionnaire were two attention check questions in multiple choice format to eliminate inattentive or fraudulent responses. With each Likert scale, the participants were told to select the items that described them best as well as rank statements ranging from strongly agree to strongly disagree. The Beck Anxiety Inventory (Beck et al., 1988) had an internal consistency reliability coefficient of .96, and the Adult Attachment Questionnaire (Simpson et al., 1996) had an internal consistency coefficient of .64 for its Anxiety subscale and a .76 for its Avoidant subscale. Anxiety, in the context of this research, was defined as the score a participant received on the Beck Anxiety Inventory (Beck et al., 1988). Similarly, insecure attachment, specifically avoidant or anxious attachment, was defined by the scores a participant received on each of the Adult Attachment Inventory (Simpson et al., 1996) subscales.
Procedure
The participants were welcomed to the survey by an informed consent document, which they read and agreed to the terms of, before beginning the survey. By starting the survey and moving on past the informed consent document, participants were agreeing to the information and to have their responses used anonymously in this research project. The survey took roughly ten to fifteen minutes, and the first section was a demographics questionnaire that, in addition to race, ethnicity, gender, etc., also asked participants if they had ever had a stepparent. If the participant said yes, they would be asked if they were younger than twelve years old when the stepparent entered their family and if the stepparent was their stepmom or stepdad. The next two portions were the Adult Attachment Questionnaire (Simpson et al., 1996) and the Beck Anxiety Inventory (Beck et al., 1988), which were labeled as “Questionnaire 1” and “Questionnaire 2”, respectively. The study design varies depending on the particular hypothesis targeted. The third hypothesis, which indicates that there is positive correlation between insecure attachment and anxiety, is a correlational design. The first two hypotheses, which state that people from stepfamilies experience higher levels of anxiety and insecure attachment and that the age of the individual when a stepparent enters the home is related to the levels of anxiety and insecure attachment that the individual experiences, are quasi-experimental in nature. Data from the surveys were compiled and analyzed through the R version 4.1.1. Two independent samples t-tests and a correlation were run in R version 4.1.1 for the data analysis.
RESULTS
Hypothesis 1: People from Stepfamilies Experience Higher Levels of Anxiety and Insecure Attachment
An independent samples t test was utilized to obtain and compare the means of two groups, one being participants who had stepparents (N = 155) and the other being participants who did not have stepparents (N = 337). Participants who reported having stepparents were found to have higher scores on the Avoidance subscale of the Adult Attachment Inventory, t(490) = 4.22, p < .001, d = .41, and the Beck Anxiety Inventory (BAI), t(489) = 7.40, p < .001, d = .72, compared to participants who do not have or did not grow up with stepparents. (See Table 1 for complete results.) The Cohen’s d value for the AAQ Avoidance (d = .41) indicated that the effect size of the comparison between group means on anxiety levels was just under a medium effect. The Cohen’s d value for the BAI was d = .72, which was just under a large effect size. Results did not demonstrate significant mean differences regarding the Anxiety subscale of the Adult Attachment Inventory, t(490) = -0.80, p = .422, d = -0.08.
Table 1 - Comparisons between Participants with Stepparents versus Participants without Stepparents

Hypothesis 2: The Age of the Individual When a Stepparent Enters the Home is Related to the Levels of Anxiety and Insecure Attachment That the Individual Experiences
For the second hypothesis, a second independent samples t test was conducted to compare participants who had a stepparent before the age of twelve (N = 142) and participants who had a stepparent after the age of twelve (N = 13). For this hypothesis and comparison, much like the first, participants who had stepparents before the age of twelve had higher scores on the AAQ Avoidance subscale, t(153) = 3.53, p = .001, d = 1.02, as well as the BAI levels, t(152) = 3.55, p = .001, d = 1.03 when compared to participants who had a stepparent enter their life after they were twelve years old. The Cohen’s d value for the BAI (d = 1.03) indicated that the effect size of the comparison between group means on anxiety levels was very large. Similarly, the Cohen’s d value (d = 1.02) for the AAQ Avoidance demonstrated a very large effect size. As it was with hypothesis one, the Anxiety subscale of the Adult Attachment Inventory did not demonstrate significant differences between group means, t(153) = 2.50, p = .422, d = .72. (See Table 2 for complete results.)
Table 2 - Comparisons between Participants with Stepparents before Age Twelve versus after Age Twelve

Hypothesis 3: There is a Positive Correlation between Insecure Attachment and Anxiety
In regards to the third hypothesis, a correlation was run between Beck Anxiety Inventory scores and the scores on both the Avoidance and Anxious subscales of the Adult Attachment Questionnaire. The correlational data mirrors the findings of the previous hypotheses but to a more severe effect. All correlations were found to be statistically significant. (See full results in Table 3.) The correlation between BAI total and AAQ Avoidance Total was a strong, positive correlation, whereas the correlation between AAQ Avoidance Total and AAQ Anxiety Total was a weak, positive correlation.
Table 3 - Correlations between Anxiety Scores and the Two Attachment Subscales

DISCUSSION
The first hypothesis, which stated that people from stepfamilies experience higher levels of anxiety and insecure attachment than people who do not have stepfamilies, was in response to the lack of overarching research across all three factors of attachment, belonging to a stepfamily, and anxiety. Prior research, for example work done by Jeong et al., 2023 and Snyder et al., 2023, illustrated the connections between relevant variables such as poor mental health and specific attachment styles or adverse childhood experiences and improper attachment formation. However, little to no prior research investigated insecure attachment styles in direct correlation with
¹ The marking of three asterisks indicates the p value is less than .001.
levels of anxiety and belonging to a stepfamily. Therefore, concluding results indicate hypothesis one was supported by the finding that children from stepfamilies differed significantly from those without stepfamilies on avoidant attachment and anxiety levels. However, it was not supported in regards to the Anxious Attachment subscale, which was not found to be statistically significant because of the p-values that were obtained after applying the Bonferroni’s correction for repeated comparisons for six comparisons. Due to the correction being made for six corrections during data analysis, both hypotheses one and two are only partially supported, because data associated with the Anxious Attachment subscale was not statistically significant. (Similar conclusions were made in relation to anxious attachment in Love and Murdock’s 2004 study.) The data supports that participants who had stepparents scored higher on and displayed higher incidences of anxiety symptoms and avoidant attachment than the participants who did not report having stepparents.
The second hypothesis, which stated that the age of the individual when a stepparent enters the home is related to the levels of anxiety and insecure attachment that the individual experiences, was also partially supported in the Avoidance subscale of the Adult Attachment Questionnaire (Simpson et al., 1996) and Beck Anxiety Inventory (Beck et al., 1988) comparisons but, again, was not supported in the Anxiety subscale, which was found to not be statistically significant. These results indicate that respondents who had one (or more) stepparent enter their lives before the age of twelve scored higher on and displayed higher incidences of anxiety symptoms and avoidant attachment than the participants who had a stepparent enter their lives after they were twelve years old. The importance of age as a factor in divorce/separation of families, more specifically children around the age of twelve, is corroborated with Pan’s 2014 study as well as Brewer’s 2010 study despite their studies not relating directly to attachment or anxiety. Other than the aforementioned literature relating to a child’s age being a significant factor in research, hypothesis two was developed directly from hypothesis one and therefore much of the same literature went into the background research of hypothesis two that was discussed in the Introduction as well as the Discussion for hypothesis one. In general, hypothesis two is a significant query because even though it still responds to the lack of research in this field, it also draws a line for future researchers to use as a benchmark for conducting attachment research on age; they can see if changing the age (either younger or older) changes the results that this study demonstrated.
Lastly, since the correlations between avoidant attachment, anxious attachment, and levels of anxiety calculated for the third hypothesis were all statistically significant, this indicates that when a participant had higher levels of anxiety, they were more likely to have avoidant or anxious types of attachment. In addition, participants who had avoidant attachment were more likely to have anxious attachment. Research conducted by Kerns and Brumariu (2014) and Nielson et al. (2017) demonstrate similar findings. These findings are necessary and relevant because they simultaneously confirm prior research conducted in the field and affirm the reliability and credibility of this study and older studies like it.
Limitations
One limitation of this study is that the number of people who had stepparents enter their lives before versus after the age of twelve was very unequal, which could have skewed the results for the second hypothesis (n=147 in the group who had stepparents before the age of twelve; n=13 in the group who had stepparents after the age of twelve). In addition to this, there does not appear to be a consensus among clinical/development researchers on the age at which attachment development should be examined (especially within the context of divorce). Therefore, although there were several sources which also used the age of twelve (or thirteen) in the context of parental separation (Brewer, 2010; Pan, 2014), not every study or researcher focuses on that period in a child’s life when assessing facets of child development/attachment which could be a limitation.
A third limitation involves the use of college students from a small, denominational, university for a large portion of the sample. The use of such a specific and narrow sample population could have affected the results; however, the use of a second source of participants from the public survey domain, Amazon Mechanical Turk, did expand the diversity in the overall study sample. A fourth and final limitation is that the internal consistency reliability coefficient of the Anxiety subscale from the Adult Attachment Questionnaire (Simpson et al., 1996) did not meet the standards for acceptable reliability coefficients and that most likely contributed to a lack of statistically significant findings in the t tests for both the first and second hypothesis. The internal consistency reliability coefficient results were most likely related to the Bonferroni’s correction for (all six) repeated comparisons made during statistical analysis.
Implications
This research has implications for the psychological treatment of individuals with anxiety, as well as individuals who struggle with anxiety or insecure attachment as a result of having grown up in a stepfamily. The understanding of this, and future research findings, can aid in mindful parenting within stepfamilies to limit the impact of potentially dysfunctional family dynamics on a child’s development. It is also beneficial to be aware of one’s tendencies within relationships and how those patterns may have been affected by one’s family of origin so that any current and future relationships can become healthier and more intentional.
Future Directions
Future research should inquire about the participant’s feelings toward their biological parents and their stepparent(s) to ascertain how that correlates with anxiety levels, mood, and attachment formation. Future researchers could also investigate the participant’s feelings about or towards their home life and how they would personally ‘rate’ their familial dynamics. A third, interesting possible direction of future research could surround the significant number of participants who reported having a stepparent before the age of twelve and why the older an individual is, the less it affects them when there is a remarriage or family change (such as gaining a stepparent). The factor of age could be further analyzed by pinpointing various ages at which the stepparent entered the child/participant’s life, and then assessing if the outcomes of the study change. Finally, in the future, psychologists should expand beyond measuring anxiety symptoms in correlation with family and attachment types and explore other psychological problems and disorders such as depression or borderline personality disorder.
| ELAIA: The Honors Journal of Olivet Nazarene University
REFERENCES
Ainsworth, M. D. S., & Bell, S. M. (1970). Attachment, exploration, and separation: Illustrated by the behaviour of one-year-olds in a strange situation. Child Development, 41, 49–67.
Beck, A. T., Epstein, N., Brown, G., Steer, R. A. (1988). An inventory for measuring clinical anxiety: Psychometric properties. Journal of Consulting and Clinical Psychology, 56, 893-89
Bowlby, J. (1969). Attachment and loss: Vol. 1. Attachment. New York: Basic Books.
Brewer, M. M. (2010). The effects of child gender and child age at the time of parental divorce on the development of adult depression (Order No. 3404338). Available from ProQuest Dissertations & Theses Global. (502127902).
Burnette, J. L., Davis, D. E., Green, J. D., Worthington, E. L., & Bradfield, E. (2009). Insecure attachment and depressive symptoms: The mediating role of rumination, empathy, and forgiveness. Personality & Individual Differences, 46(3), 276–280.
Ding, Y., Xu, X., Wang, Z., Li, H., Wang, W. (2014). The relation of infant attachment to attachment and cognitive and behavioural outcomes in early childhood. Early Human Development, 90 (9), 459-464.
Gunter-Castleton, J. (2020). Marital outcomes and attachment in children of divorce versus children of intact families [ProQuest Information & Learning]. In Dissertation Abstracts International: Section B: The Sciences and Engineering (Vol. 81, Issue 8–B).
Jensen, T. M., & Lippold, M. A. (2018). Patterns of stepfamily relationship quality and adolescents’ short-term and long-term adjustment. Journal of family psychology: JFP: journal of the Division of Family Psychology of the American Psychological Association (Division 43), 32(8), 1130–1141.
Jeong, J., Shimono, M., Mallinckrodt, B., & Baldwin, D. R. (2023). Adult attachment, emotional intelligence, affect regulation, and self-reported distress in first-year college students at a predominantly White university. Professional Psychology: Research and Practice.
Kerns, K.A. and Brumariu, L.E. (2014). Is insecure parent–child attachment a risk factor for the development of anxiety in childhood or adolescence? Child Development Perspectives, 8: 12-17.
Love, K. M., & Murdock, T. B. (2004). Attachment to parents and psychological well-being: An examination of young adult college students in intact families and stepfamilies. Journal of Family Psychology, 18(4), 600–608.
Main M., & Solomon J. (1986). Discovery of a new, insecure-disorganized/disoriented attachment pattern In Yogman M. & Brazelton T. B. (Eds.), Affective development in infancy. Norwood, NJ: Ablex, 95-124.
Nielson, S. K. K., Lønfeldt, N., Wolitzky-Taylor, K. B., Hageman, I., Vangkilde, S., & Daniel, S. I. F. (2017). Adult attachment style and anxiety – The mediating role of emotion regulation. Journal of Affective Disorders 218, 276-280.
Pan, E.-L. (2014). Timing of parental divorce, marriage expectations, and romance in Taiwan. Journal of Comparative Family Studies, 45(1), 77–92.
Planitz, J. M., Feeney, J. A., & Peterson, C. C. (2009). Attachment patterns of young adults in stepfamilies and biological families. Journal of Family Studies, 15(1), 67–81.
Simpson, J. A., Rholes, S. W., & Phillips, D. (1996). Conflict in close relationships: An attachment perspective. Journal of Personality and Social Psychology, 71, 899-914.
Snyder, K. S., Luchner, A. F., & Tantleff-Dunn, S. (2023). Adverse childhood experiences and insecure attachment: The indirect effects of dissociation and emotion regulation difficulties. Psychological Trauma: Theory, Research, Practice, and Policy
| ELAIA: The Honors Journal of Olivet Nazarene University

Therapeutic Use of Music for Geriatric Dementia Patients
Katelynn E. Roscioli
ACKNOWLEDGEMENTS
Thank you first and foremost to my family. To my parents: who have supported me and encouraged me every step of the way despite being nearly 750 miles away. I would not be the person I am today without your love and guidance. To my mom specifically: had it not been for your acts of selflessness in caring for my grandfather for six years as he battled Alzheimer’s disease, I would have never been inspired to help other caregivers fighting the same battle. Thank you for showing me what it’s like to be the hands and feet of Jesus in all that you do.
Thank you to the faculty, mentors, and council of the Olivet Nazarene University honors program for teaching us that scholarship extends far beyond research. Your investment in me, my project, and my personal growth has allowed me to become a more confident, service-driven researcher. Thank you to my cohort peers and project reviewers for helping me make my project as impactful as it could be.
Thank you to my mentor, Dr. Kenyon, for listening intently, keeping me grounded in my work, and helping to make my ideas a reality. None of this would have been possible without your support. To Dr. Case: thank you for continuously pouring into my project and into me as a student. Your input has been invaluable in allowing me to utilize research in a way that truly has the power to make a difference in people’s lives. To Dr. McLaughlin, thank you for taking the time to invest in me and teach me about website creation despite never having me as your own student. Your kindness and encouragement helped make this project possible.
Finally, thank you to the faculty of the School of Music for always believing in me. To Professor Evans, Professor Comer, Professor Luzeniecki, Dr. Ring, and Dr. Woodruff, among others, thank you for encouraging me along the way and for making me into the person I am today. I am so grateful for all of you.
ABSTRACT
Dementia impacts millions of individuals and their families worldwide, yet many caregivers remain untrained, unpaid, and unable to maintain their own health while caring for their patients. Despite the need for support, limited resources exist to aid these caregivers in combatting this progressive, debilitating disease. One possibility lies in practices rooted in music therapy, which have been shown to restore memory retention, personhood, and quality of life in dementia patients. However, individuals outside of music therapists, especially those with limited musical backgrounds, may not consider implementing music therapy within their care plan. To make this approach more accessible, a website was created that educates caregivers of geriatric dementia patients on how to implement the therapeutic use of music in their own caregiving situations regardless of their musical ability. Six reviewers, five caregivers and one music therapist, evaluated the website in a survey that assessed the website navigation, comprehensibility of the content, educational value, accessibility, and practicality for caregivers of dementia patients. The results of the survey indicated that the website content was easy to navigate, accessible, practical for a variety of caregiving settings, comprehensible to the general public, and educational for individuals of diverse musical backgrounds. Open-ended feedback from the survey was reviewed and used to revise the website content for re-publishing. The intent of this website is to reach as many caregivers as possible to help better not only the lives of their dementia patients but their own lives as well.
Keywords: dementia, Alzheimer’s, music, music therapy, geriatric, caregiving, website
INTRODUCTION
The silent epidemic of dementia has been progressing for decades, and with no cure in sight its victims are left captive in their own bodies as caregivers do all in their power to preserve their quality of life. According to the World Health Organization, more than 55 million people worldwide have been diagnosed with dementia as of 2023. With 10 million new cases annually, dementia has become the seventh leading cause of death among the elderly on a global scale (World Health Organization, 2023). Though pharmaceutical treatments exist to slow the progression of the disease, victims ultimately succumb to its irreversible and crippling nature, losing their independence and cognitive strength (Alzheimer’s Association, 2023). When one thinks of therapy options, music may not be the first that comes to mind, especially as many caregivers may come from limited musical backgrounds. This project explores how practices in music therapy can be implemented in home-based settings by caregivers, regardless of their musical experience, to improve memory retention, personhood, and quality of life in geriatric dementia patients. Though limited resources rooted in music therapy exist beyond the assistance of certified music therapists for caregivers of dementia patients, the practice of Personalized Music Listening (PML) can be implemented by anyone in any setting to help those suffering from dementia (Chin, 2021). The resulting website aims to educate caregivers on implementing practices in music therapy in their own homes in a way that is accessible, practical, and beneficial for all involved.
| ELAIA: The Honors Journal of Olivet Nazarene University
Dementia
REVIEW OF LITERATURE
Dementia is defined as “a chronic condition characterized by a progressive, irreversible decline in mental ability, accompanied by changes in behavior, personality, and in the late stage, motor functions” (Swartout-Corbeil et al., 2020, para. 1). According to the Alzheimer’s Association, the term “dementia” serves as an umbrella term for diseases that cause damage to brain cells and inhibit cognitive function (2023, p. 1600). Categories of dementia include Alzheimer’s disease, multi-infarct dementia, Lewy body dementia, frontal lobe dementia, and other dementias (Swartout-Corbeil et al., 2020). The Alzheimer’s Association states that risk factors for dementia include being over 65 years of age, having first-degree relatives who were diagnosed with a form of dementia, inheriting the APOE-e4 gene, having poor cardiovascular health, smoking, alcohol abuse, maintaining unhealthy diet and exercise habits, getting poor sleep, having one or more traumatic brain injuries, receiving limited formal education, and experiencing minimal social or cognitive engagement (2023). Other common contributing factors and forms of dementia include Cerebrovascular disease, Frontotemporal degeneration (FTD), Hippocampal sclerosis (HP), Parkinson’s disease (PD), Human Immunodeficiency Virus associated dementia, Huntington’s disease, Creutzfeldt-Jakob disease, normal pressure hydrocephalus, and mixed pathologies (Alzheimer’s Association, 2023; National Institute on Aging, 2022). Though symptoms vary on a case-by-case basis as well as in severity, common symptoms of dementia include decreased information processing, impaired motor function, slower thinking speed, decreased attention span, episodic memory deficits, lack of mental flexibility and independent reasoning, inability to recognize familiar people or complete familiar activities, inappropriate social behaviors, language and reading comprehension deficits, lack of appropriate judgement, loss of motivation, and difficulty communicating (Swartout-Corbeil et al., 2020).
Dementia is diagnosed by a neurologist or specialist in geriatric medicine through a process that examines the patient’s medical history, neurological status, laboratory results, and diagnostic images of their brain (Swartout-Corbeil et al., 2020). According to a 2023 report by the Alzheimer’s Association, the population of Americans aged 65 and older living with dementia reached 6.7 million and is projected to increase to 7.2 million in 2025 and 13.8 million by 2060. The statistics indicate that one in nine Americans (10.8 % of the current population) over the age of 65 are living with dementia. Two-thirds of that population are women, and a disproportionate amount are of ethnic minority. In 2019 alone, an estimated 270,000 individuals died from some form of dementia. The mortality rate may have reached an estimated 700,000 in 2020, though the COVID-19 pandemic made the cause of death unclear in certain cases (Alzheimer’s Association, 2023). Despite the alarming projections set for the dementia population, no cure has been effectively developed.
Caregiving
The majority of the dementia workforce is untrained and unpaid. According to the Alzheimer’s Association, 83% of American caregivers who attend to dementia patients are family members, friends, or other unpaid individuals (2023). In a report
done by the Centers for Disease Control and Prevention, two-thirds of dementia caregivers were found to be women, one in three (34%) aged 65 or older, and approximately one-quarter falling under the category of “sandwich generation” caregivers, meaning that they care for aging parents as well as children under age 18 (2023, para. 3). The total amount of informal, unpaid assistance provided by American caregivers in 2022 was 18 billion hours, a contribution valued at $339.5 billion. The physical, emotional, and financial burdens of caregiving and failure to strengthen the dementia care workforce has resulted in over 74% of caregivers reporting that they are “somewhat” or “very concerned” about maintaining their own health (Alzheimer’s Association, 2023). The strain of completing caregiverrelated tasks has shown an increase in depression and mental health issues as well as increased levels of stress, higher rates of cardiovascular disease and cancers, higher risk of stroke, and other health problems. Considering that 48% of all caregivers who provide care for geriatric patients do so for someone with some form of Alzheimer’s or dementia, the lack of quality services and supportive resources for dementia caregivers has created a significant issue for the caregiver community (Alzheimer ’s Association, 2023). Thankfully, therapeutic use of music offers effective and accessible practices that all caregivers can integrate in their care plans.
Music Therapy
Music therapy is a clinical, non-pharmaceutical practice used to treat a wide spectrum of cognitive disorders. Practices rooted in music therapy are designed specifically to improve communication, cognitive ability, emotional stability, behavioral regulation, and social function. Music therapists often engage clients by having them play instruments, sing, complete aural training activities, participate in creative movement, engage in music-related socialization, or take part in guided imagery and music activities. Music therapy has shown many benefits for clients, including improved mood, increased relaxation, reduced stress and anxiety, decreased symptoms of depression, improved pain management, increased socialization and communication, improved focus and memory recall, and overall improved quality of life (Music Therapy, 2016). This practice can be used as an approach to a wide spectrum of cognitive-related issues, meaning that it will be implemented differently depending on the individual’s needs and preferences.
Music therapists are highly trained, generally board-certified practitioners who administer music therapy or related services to clients in a wide variety of settings, including schools, hospitals, nursing homes, and other facilities. According to a 2020 study, the “client in context theory” best identifies the core focus of music therapists in their clinical practices (Thompson, p. 6). In an interview, the majority of music therapists indicated that therapeutic focuses are influenced by three factors: the attributes of the music therapist, the attributes of the client, and the context surrounding the client’s circumstance and the implementation of music therapy as treatment (Thompson, 2020, p. 6). This indicates that music therapists first focus on their client’s medical history, physical and emotional needs and abilities, mental health background, musical preferences, and any other needs specific to the context of the individual before selecting a therapeutic approach. Music therapy is then
| ELAIA: The Honors Journal of Olivet Nazarene University
uniquely administered to each client depending on their specific needs and desires, thus being most effective when the client is well-known by and has a relationship with the administrator.
Music and Dementia
In neurologist Oliver Sacks’ Musicophelia, music therapy is shown to effectively stimulate the “response to music”, which triggers preserved memories and emotions in the brain that are associated with familiar songs (2007, p. 336). The “response to music” often survives in even the most advanced dementia cases as musical perception, sensation, emotion, and memory are able to function long after the deterioration of other forms of memory (Sacks, 2007, p. 336). In a 2022 study conducted at the Houston Methodist Hospital, functional magnetic resonance imaging (fMRI) was used to examine the brain activity of twenty-five healthy participants as they listened to culturally familiar music. The results showed a significant correlation between brain modularity (the degree to which regions of the brain interact in communities) and flexibility (the rate that regions of the brain switch communities) (Bonomo et al., 2022). This shows that culturally familiar music has the ability to activate neural networks in regions of the brain that are otherwise shut off. Culturally familiar music and its activation of neural modularity is also highlighted in the documentary Alive Inside (2014), which showcases seven neurologically impaired geriatric patients experiencing positive changes in behavior and verbal response while listening to personalized playlists in iPod headphones. In this documentary, the “response to music” was preserved in even the most severe dementia cases and brought otherwise unresponsive individuals back to a state of consciousness (Rossato-Bennett, 2014; Sacks, 2007, p. 336). Personalized Music Listening (PML) appears to be an effective treatment for improving memory recall and restoring personhood in geriatric dementia patients, which is especially effective when paired with positive socialization (Chin, 2021).
Benefits of music therapy for dementia patients include improved autobiographical memory retention, restoration of personhood, reduced need for antipsychotic drug intervention, behavioral improvement, increased motor function, improved cognitive function, decrease in mental-health issues, and improved quality of life (Bakerjian et al., 2020; Cuddy et al., 2017; Fraile et al., 2019; Rossato-Bennet, 2014; Thomas et al., 2017). In dementia patients specifically, immediate changes are more likely to be seen in behavior, mood, and physical response (Rossato-Bennett, 2014). Considering that music can access regions of the human brain in a way that nothing else can, it is vital a vital element in treating dementia patients. Furthermore, it does not need to be implemented in strictly clinical settings to be effective, thus making home-based implementation possible for caregivers.
Home-Based Music Therapy
Many caregivers may not realize that music therapy-based practices may be easily and effectively implemented in non-clinical settings without the need for extensive therapeutic or musical experience. Personalized Music Listening (PML) may be implemented by any caregiver who has access to an auditory device and culturally
familiar or preferred music of the patient (Murphy et al., 2018). When PML is paired with positive socialization, the process yields relationally constructive results and shows, at minimum, short-term retention of music-associated memories and restoration of personhood (Otera et al., 2020). According to a 2020 study conducted by the Nihon University of Japan, an Alzheimer’s patient underwent a therapeutic intervention in which culturally familiar music was played in her own household over a period of sixteen months. The study resulted in successful memory recall and improved familial relationships, specifically between the patient and her daughter (Otera et al., 2020). Additionally, Beer et al.’s study suggests that caregivers may be taught other music-related skills such as personalized verbalization and gesture acknowledgement, which utilize vocal tone, mirrored melodic or rhythmic vocalizations, and matched gesture nuances, regardless of their personal musical background or experience (2017). Based on this research, a website that educates caregivers of dementia patients on how to implement PML in their care plan could have significant benefits. To date, other organizations such as the Alzheimer’s Association and Music & Memory have provided information about implementing music in caregiving settings, though they have not provided pre-made, accessible resources that coincide with the information provided for viewers to use.
METHODOLOGY
Website Creation
In creating a resource that was accessible, educational, and beneficial for caregivers of dementia patients in diverse caregiving situations, it was imperative for the content to be easily comprehensible to the general public, practical, and reliable. Due to this, the content was written in simplified, accessible language and organized into a sitemap (Figure 1). The website content was divided under five main headings: “Home,” “Music and Dementia,” “Resources,” “Community,” and “About”.

Figure 1: Sitemap
The “Home” page included a general overview of the benefits of music therapy and its practical implications for caregivers of dementia patients in any setting, allowing visitors to understand the main purpose of the website. The page “Music and Dementia” provided an overview of music therapy and its uses, the typical role of music therapists within the field of music therapy, and the benefits of music therapy for the demographic of dementia patients. This portion of the website introduces visitors to the field of music therapy and its applications for dementia patients in a variety of settings. The “Resources” page was divided into two sections, one which provided resources for caregivers with musical experience, and one which provided resources for caregivers without musical experience, allowing visitors to tailor the sources on the website to their own musical skill level and situation. The page “Resources for Musical Caregivers” provided links to resources such as Guitar Tab, MuseScore, JWPepper, and the International Music Score Library Project. These resources either provide free access to sheet music and chords for songs that apply to a variety of instrumentalists and vocalists, or they allow users to search for specific charts whichmay be purchased from the publisher. The “Resources for Musical Caregivers” page also included a PDF that explained various Rhythmic Activities for seniors and a YouTube example of a music therapy session with geriatric patients as completed by a certified music therapist for credibility purposes. The experience-based resources allow caregivers with musical backgrounds to use music therapeutically in helping patients or loved ones suffering from dementia. The page “Resources for Non-Musical Caregivers” provided links to YouTube and Spotify playlists intended for Personalized Music Listening and instructions on how one can implement the use of familiar music in any caregiving situation (Chin, 2021). The “Community” page highlighted an interview with a caregiver of a dementia patient for viewers to relate to. This page also provided a link to an interactive discussion forum from “Website Toolbox” that was designed to allow caregivers and music therapists alike to share their testimonies, experiences, questions, and resources. The “About” page included a personal testimony, information about the importance of educating and equipping caregivers with the knowledge and resources that they need, and a dedication. In summary, the various components of the website were designed with accessibility, usability, and comprehensibility in mind to reach the largest demographic of dementia caregivers possible.
Playlist Creation
Considering that much of the dementia demographic consists of individuals aged 65 and older, playlists were created from the 1920s through the 1980s to best suit the current dementia population (Alzheimer’s Association, 2023). “Dave’s Music Database” was consulted, as well as a master list of music therapy repertoire from the University of Kansas, when creating these playlists. “Dave’s Music Database” ranks songs of specific genres based on chart success, sales, radio airplay, streaming, and awards, therefore making it a reputable, unbiased source for selecting music. In addition to over 100 top charts from the 1920s-1980s, playlists were also created with popular jazz charts, classical works, patriotic tunes, popular hymns, and childhood folk songs. Genre variety gives users broader access to music that will be applicable to their patient or loved one’s needs and preferences. The playlists were then made
public on YouTube and were also imported into Spotify for user convenience and accessibility (Figure 2). Both YouTube and Spotify provide free tiers of services to users, making them the most accessible platforms to access playlists on. The resources which were primarily consulted for selecting the appropriate songs were also linked on the “Resources for Non-Musical Caregivers” page so that users could also reference them if desired.

Website Design
The website content and all resources were compiled and transferred onto the website creation platform “Weebly”. In choosing a website creation platform, it was important for the platform to be user-friendly for the creator and the viewer alike as well as professional in appearance. “Weebly” is a free website creation platform that includes user-friendly guides and tutorials, customizable templates, and easyto-use tools for individuals of all technological backgrounds. After a customizable website layout was selected, all pre-written content was formatted onto the respective webpages with the integration of photographs. All links to external resources were then made live on the website. Accessibility of information and ease of navigability was prioritized in formatting the website’s content. For example, a drop-down menu was integrated within the heading of the website so that users can navigate directly to any page from anywhere on the website (Figure 3). All live links also appeared as clickable buttons or were underlined in a different font color when integrated within text so that users could easily navigate external sources.
Figure 2: Website Playlists

In addition, an RSS News Feed of active research from the Alzheimer’s Association was added on the “Home” page using a widget from “Elfsight” for viewers to stay up to date on the latest advances in Alzheimer’s research (Figure 4). The website was then published on the “Weebly” domain so that reviewers could access the website and navigate the links on their respective devices.

Figure 3: Website Homepage
Figure 4: RSS News Feed
Survey
Following the design and creation of the website, it was imperative to get feedback from music therapy experts and prospective website users. A survey was designed as a Google Form that included a direct link to the website and eleven questions, nine multiple-choice and two optional open-ended questions. Most multiple-choice questions were given based on a five-point Likert scale of agreeableness, ranging from “Strongly Agree” to “Strongly Disagree”. The multiple-choice questions assessed the background of the reviewer, the navigability of the website on their respective device, their comprehension of the content, whether the content was educational, the accessibility of the resources, and the likeliness of the reviewer to use the given resources in their own caregiving situation. The open-ended responses provided reviewers with an opportunity to give personalized feedback based on their own knowledge, experience, and situation.
Participants
Survey participants were limited to music therapists, caregivers of dementia patients, and individuals working within the field of assisted living or in similar settings (i.e. nursing homes, retirement homes, etc.). Contacts consisted of senior living facilities, members of the Alzheimer’s Association, caregivers of dementia patients, and music therapists in the United States for voluntary response via email. A total of eleven individuals or programs were contacted via phone call or email regarding the goal of this project and their willingness to view the website and take the survey. Six of the eleven contacts participated. Participants were grouped by their self-identified roles within their respective fields as well as by their musical background when analyzing the results. The survey evaluated website navigation, comprehensibility of the content, educational value, accessibility, and practicality for caregivers of dementia patients.
CRITICAL REVIEWS AND RESPONSE
Website Navigation and Usability
All reviewers were asked about the ease of navigation on their respective devices. All six reported that they agreed or strongly agreed that the website was easy to navigate and use on their own device. Four used desktop devices and two used smartphones.
Musical Background
Half of the reviewers self-reported having a musical background while half selfreported having a limited musical background. The responses indicated that regardless of their musical background, reviewers were able to understand the content, learn from it, and find resources that were accessible to them. Those with limited musical backgrounds found that the website was educational and reported that they found resources that were both practical and useful for their own caregiving situation. Those with musical experience also found the website to be educational and agreed that they would use the resources provided to help a patient or loved one.
Caregiver Reviews and Responses
Five of the six reviewers of this website were self-reported caregivers of dementia patients or individuals who worked in the field of senior life. All five caregivers either agreed or strongly agreed that the website content was comprehensible, educational, and accessible for people of diverse musical backgrounds. All caregivers also agreed or strongly agreed that they were able to find resources that were applicable to their own caregiving situation and that they would use them to help their patients or loved ones. In the open-ended feedback section, one reviewer suggested adding lists of music groups that can play live music for groups of seniors. This would provide caregivers with access to additional resources that could be used to effectively implement music in care settings for dementia patients while simultaneously facilitating networking within the community and raising awareness surrounding the cause of music and dementia. Another commented that they planned on using the resources from the website with their residents in the future.
Music Therapist Review and Response
One of the six reviewers was a board-certified music therapist with a master ’s degree in music therapy. Overall, this reviewer found the website to be comprehensible, educational, and accessible for people of diverse musical backgrounds. However, they found that they were unsure whether they would use the resources on the website in their own work situation, though they did agree that they would use it to help a patient or loved one. In the open-ended feedback section, they noted that it is important to make a distinction between “music therapy” and “therapeutic use of music.” Interventions can only be called “music therapy” when provided by a board-certified music therapist with a minimum of a Music Therapist-Board Certified (MT-BC) credential, whereas activities involving the use of music to help others can be identified as “therapeutic use of music.” They also mentioned that the website should acknowledge that music has the potential to cause agitation and harm. Patients may even cry when retrieving memories associated with music, but that may be a therapeutic relief despite the negative connotation that crying can have. Crying may occur in response to a happy memory, or any memory strongly associated with a specific emotion that evokes tears, so this emotional release may be a positive sign of memory retention and preservation of musical emotion (Sacks, 2007). This is a necessary caution to include so that caregivers can understand and be prepared for a variety of responses from their patient or loved one when implementing therapeutic music listening.
CONCLUSION
Dementia progressively impacts millions of individuals and their families around the world daily, yet no cure is in sight. Congruently, caregivers of dementia patients indicate substantial emotional, financial, and physical difficulties across all domains (Alzheimer’s Association, 2023). This website was created to provide an accessible, comprehensible, educational, and practical resource for caregivers of dementia patients to help their patients or loved ones regardless of their musical background. All reviewers of this project, both caregivers of dementia patients and music
therapists, found that the website was easy to navigate and understand, educational for individuals with varying levels of musical experience, and accessible to those in diverse caregiving situations. Though some reviewers made suggestions for minor revisions or additions to be made to the website, all agreed that they would use the resources provided to help a patient or loved one suffering with dementia.
Multiple limitations must be considered when evaluating the results of this project. The primary limitation was the minimal number of contacts and consequentially low response rate to the request for website feedback and evaluation. Larger organizations associated with dementia or senior life either did not reply to emails or were not receptive to phone calls, such as the Alzheimer’s Association and the Music and Memory organization. Furthermore, all contacts were made through personalized emails to garner more responses, a method which exhibited challenges in reaching larger groups of individuals. Time also served a constraint, as recipients only had two weeks to respond and only received one email regarding the survey.
The revisions suggested by reviewers were used to edit the website before it was re-published on “Weebly’s” public domain. The website will remain public and revisions will be made with any new developments in research or the availability of new resources. Considering the potential of this resource given the feedback from reviewers, it could be used as a model for the creation of similar resources in the future. Additionally, this website may be tested by caregivers in the future for efficacy or it may be sent to larger organizations to partner with them. The goal is that this website will eventually be published on a larger platform or hosted on its own domain so that the content can be advertised more publicly to reach as many caregivers of dementia patients as possible.
REFERENCE
Alzheimer’s Association. (2023). 2023 Alzheimer’s disease facts and figures. 19(4), 1598-1695.
Bakerjian, D., Bettega, K., Cachu, A. M., Azzis, L., Taylor, S. (2020). The impact of music and memory on resident level outcomes in California nursing homes. Journal of Post-acute and Long-term Care Medicine, 21(8), 1045-1050.
Beer, L. E. (2017). The role of the music therapist in training caregivers of people who have advanced dementia. Nordic Journal of Music Therapy, 26(2), 185–199.
Bonomo, M. E., Brandt, A. K., Frazier, J. T., Karmonik, C. (2022). Music to my ears: Neural modularity and flexibility differ in response to real-world music stimuli. IBRO Neuroscience Reports, 12(1), 98-107.
| ELAIA: The Honors Journal of Olivet Nazarene University
Centers for Disease Control and Prevention. (2023). Caregiving for a person with Alzheimer’s disease or a related dementia. U.S. Department of Health and Human Services. https://www.cdc.gov/aging/caregiving/alzheimer.htm#:~:text=The%20majority%20 (80%25)%20of,Alzheimer%27s%20disease%20and%20related%20dementias.
Chin, N. (Host). (2021, February 11). The powerful benefits of music on memory loss [Audio Podcast Episode]. In Dementia Matters. Alzheimer’s Disease Research Center. https://www.adrc.wisc.edu/dementia-matters/powerful-benefits-musicmemory-loss
Cuddy, L. L., Sikka, R., Silveira, K., Bai, S., Vanstone, A., & Walla, P. (2017). Music evoked autobiographical memories (MEAMs) in Alzheimer disease: Evidence for a positivity effect. Cognent Psychology, 4(1), N.PAG.
Fraile, E., Bernon, D., Rouch, I., Pongan, E., Tillmann, B., & Lévêque, Y. (2019). The effect of learning an individualized song on autobiographical memory recall in individuals with Alzheimer’s disease: A pilot study. Journal of Clinical & Experimental Neuropsychology, 41(7), 760–768.
Murphy, K., Liu, W. W., Goltz, D., Fixsen, E., Kirchner, S., Hu, J., White, H. (2018). Implementation of personalized music listening for assisted living residents with dementia. Geriatric Nursing, 39(5), 560-565.
Music therapy. (2016). In J. L. Longe (Ed.), Gale Virtual Reference Library: The Gale encyclopedia of psychology (3rd ed.). Credo Reference.
National Institute on Aging. (2022). What is dementia: Symptoms, types, and diagnosis. National Institutes of Health. https://www.nia.nih.gov/health/what-isdementia
Otera, M., Saito, S., Kano, H., Ichie, M. (2020). Clinical characteristics of homebased music therapy in supporting personhood in people with dementia. The Arts in Psychotherapy, 70(1), 1-5.
Rossato-Bennett, M. (Director). (2014). Alive inside: A story of music and memory [Film]. Projector Media.
Sacks, O. (2007). Music and identity: Dementia and music therapy in, Musicophilia (pp. 335-347). Alfred A. Knope Inc.
Swartout-Corbeil, D. M, Aleksanderek, I., & Colby, H. (2020). Dementia. In J. L. Longe (Ed.), Gale encyclopedia of medicine (6th ed.). Credo Reference. https://go.openathens.net/redirector/olivet.edu?url=https%3A%2F%2Fsearch. credoreference.
Thomas, K. S., Baier, R., Kosar, C., Ogarek, J., Trepman, A., Mor, V. (2017). Individualized music program is associated with improved outcomes for U.S nursing home residents with dementia. The American Journal of Geriatric Psychiatry, 25(9), 931-938.
Thompson, G. A. (2020). A grounded theory of music therapists’ approach to goal processes within their clinical practice. The Arts in Psychotherapy, 70(1), 1-10.
World Health Organization. (2023). Dementia. World Health Organization. https://www.who.int/news-room/fact-sheets/detail/dementia#:~:text=Key%20 facts,nearly%2010%20million%20new%20cases
Appendices to this paper can be found in the online version.
ELAIA: The Honors Journal of Olivet Nazarene University

Approachable Narratives in Game Design
David B. W. Rush
ACKNOWLEDGMENTS
I want first to thank my parents, who have always encouraged me to try and persevere. I remember so many times when you have pulled me up from defeatism. You’ve encouraged and guided me creatively, academically, and spiritually. No matter how many times you say, “I love you” and “I’m proud of you,” they don’t lose their meaning. Thank you for always being there to give me support and advice, never more than a phone call away.
I also want to thank the faculty, mentors, and council of the honors program for inviting me to participate, showing us the depth and significance scholarship can have. Thank you for surprising me by allowing me to pursue this project, and even encouraging me to do so. I would also like to thank my peers in cohort fourteen, and all those who reviewed this project, for helping me to make this project the best it can be.
Thank you to my mentor, Dr. Hoag, for helping to develop my narrative voice, listening to my ideas, and presenting new angles to consider. To Dr. Case, for supporting my ideas and this project even when I was not confident in it.
Thank you also to the faculty of the Department of Mathematics and Computer Science, to Dr. Rice, Dr. Brown, Professor Kender, Dr. Lyle, and others. Thank you for encouraging me, listening to me, and for your advice along the way.
I want to express my appreciation to the many playtesters, including peers, friends, and family, for their thoughtful and constructive feedback. Finally, a thank you to the developers of and the communities around the tools I used in this project. Your work lowers the barrier to entry and is appreciated by so many.
ABSTRACT
Though video games have become mainstream in recent years, many game designers and developers continue to consider novice players – unfamiliar with common game-design tropes and expectations – as an afterthought. The consequence is that people interested in trying video games may not be adequately introduced to the novel design of a specific game, or the common gameplay elements of wider genres. Would-be players, frustrated by hastily constructed tutorials, might not complete a game, and could miss out on the unique strengths of the medium.
This paper considers the goals that game designers should set when designing tutorials to teach novice players and evaluates many tutorial strategies. It also considers the unique techniques games can use to add narratives, both linear and nonlinear. This paper also explains in detail how some of these tutorial and narrative strategies have been incorporated into an original game, and this paper describes how these strategies were implemented. Finally, a playtesting campaign was used to evaluate the game’s use of tutorial and narrative techniques through the feedback of multiple volunteers. Playtesting revealed the gaps between how player and developer perceive the game and how it can be improved. This paper presents the techniques used in playtesting and discusses the effectiveness of the playtesting campaign in finding areas for improvement in the game’s design.
Keywords: Video games, tutorials, narratives, playtesting, game design.
INTRODUCTION
Video games have been a common medium for entertainment for over forty years now since they transitioned into a household form of entertainment with the first generation of home consoles in the 1970s, and the third generation of consoles revived North American interest following the Video Game Crash of 1983 (Beren, 2023). Early text adventure games had simple narratives like those in tabletop role-playing games, but gradually developers began to fuse action gameplay with narrative storytelling (Byrne, 2016). In 1998, the first-person-shooter (FPS) Half-Life took influence from Stephen King to tell a suspenseful story of government cover-ups and alien invasion, now remembered as one of the most important games in history. An analysis of entertainment in 2020 found that the video game market had grown larger than both film and North American sports. Global spending on video games exceeded $179 billion in 2020, while global movies and North American sports made $100 billion and $75 billion respectively, (Witkowski, 2021, para. 1). Video games have – in the span of about forty years – grown from an electronic novelty to one of the largest entertainment mediums by revenue.
The appeal is obvious to those who play them; games can have all the rich storytelling of a favorite movie, while being more immersive and interactive (Jondreau, 2020, para. 1). Successes and failures become personal, and relationships can be formed or ruined by the player’s own choices. And yet to those who do not play them this immersion is sometimes difficult to understand.
Surveying the landscape of games, it seems many designers have been treating tutorials – sections of games intended to teach new players – as an afterthought, (Mental Checkpoint, 2021). Often, this means games will lack a tutorial or will resort to simple tutorial designs that fail to properly inform or excite players. The consequence is new players feel unwelcome playing video games and are likely to put them down quickly. Poor tutorials are effectively gatekeeping the medium by frustrating and discouraging would-be players.
This paper will simultaneously document a journey trying to make a game that is approachable to the non-gamer audience and a strategy for doing the same for other projects. It will first explore the assumptions that games and their developers often make about players, the origins of some of these assumptions, and their consequences. Second, it will examine some of ways games have tried to teach players: effective techniques, poor techniques, and the “invisible tutorial.” It will explore the ways games can adapt to a specific players without them noticing. Finally, it will detail how those ideas about story and teaching in games influenced the development of my game, Collect Call, and how its design was evaluated through playtesting for a more refined final product.
REVIEW OF LITERATURE
Tutorial Techniques
Many game designers have shared their ideas on communicating to players, with some considering ways to communicate subtly so that players do not realize they are being taught or assisted. Developer of the indie puzzle game Mouse Dreams, Damien Allan (2017, sec. Re-using Things) stresses that games should build complexity slowly so that players have a chance to build understanding with game components in isolation, and references Portal (2007) as a strong example. Marsh Davies (2015, sec. 4), one of the developers of Minecraft (2009), interviewed several puzzle game developers and concluded that a good puzzle or problem is elegant but not necessarily minimal, avoiding unnecessary components that might just add confusion. Though these sources are focused on puzzle games, nearly all games contain problem-solving elements that can be viewed as puzzles. These developers stress that problem solving is a part of the fun, so any effort to teach or guide the player must be careful to not rob the player of the “I did it” feeling.
Before players reach the depth of a game’s story, there is the risk that they will be pushed away by a failure of a tutorial. A tutorial is a section of a game, often at the very beginning, where game mechanics are presented to new players in an instructional manner. However, tutorials are often implemented at the last minute as an afterthought rather than properly integrated into a game, (Nelson, 2020). A poor tutorial might overwhelm a player with information all at once, leading to poor knowledge retention. The first step in making a good tutorial is to identify the things a player needs to learn; this means asking others to try the game in a process called playtesting. Razbuten (2019) presents an example of one “non-gamer” struggling due to the assumptions game developers sometimes make about players. Experienced
ELAIA: The Honors Journal of Olivet Nazarene University
players will know that falling from a ledge in a 2D platformer game, such as Hollow Knight (2017), is almost always safe so long as some kind of floor is visible. New players are unlikely to know this and may overestimate the danger of a situation. Tutorials can be a source of frustration and annoyance for many, with Mental Checkpoint (2021) suggesting that tutorials are a threat to immersion. Poor tutorials can ruin a game in the same way that poor exposition can ruin a book or movie. The ideal is what Nelson (2020) and others call the “invisible tutorial,” one that conveys all the necessary information without the player’s notice.
Games are naturally an interactive process, and so it seems natural that the way games teach should be interactive. Any game section intended to teach the player is called a “tutorial.” Asher Vollmer, developer of Threes (2014) and other wellreceived puzzle games, gave a presentation at the 2014 Game Developers Conference where he named four things that a tutorial should do: teach, comfort, excite, and respect (GDC, 2016). The most basic goal of a tutorial is to teach players something. A good tutorial should also comfort players by making the game seem doable for them and by setting a good pace. Since tutorials are usually placed at the beginning of the game, Vollmer also suggests that tutorials should get players excited to play the rest of the game. Finally, tutorials need to respect players by not annoying or underestimating them. Bad tutorials often spell everything out, depriving players of the rewarding experience of learning things on their own.
As an example of a tutorial style that does not match Vollmer’s goals, consider pop-ups. A pop-up tutorial usually entails a box filled with text and possibly an image appearing on screen to inform the player, (Mental Checkpoint, 2021). In most cases, but not all, the game is paused automatically when the pop-up appears and resumes once the player dismisses the pop-up. Perhaps the most obvious flaw in this design is their jarring and annoying nature; pop-ups put an immediate pause on the game’s action, and thus fail to comfort the player. Since pop-ups do not feature any real interaction besides pressing a button to dismiss them, they are usually not exciting either. Pop-ups typically present plain instructions to players, removing their opportunity to solve something on their own. Since pop-ups have a reputation for being annoying and stating obvious information, many players have developed a habit of immediately dismissing pop-ups as soon as they appear and risk missing the occasional pop-up with helpful information. Pop-ups fail to teach, comfort, excite, or respect.
Many of Valve Software’s games are icons of the invisible tutorial. Their Portal and the Half-Life games and their sequels make excellent use of the philosophy (Allan, 2017; Davies, 2015, Nelson, 2020). Most of Valve’s single-player games since 2004 have included developer commentaries. I specifically referenced their most recent full-length games: Portal 2 (2011) and Half-Life: Alyx (2020). These are especially interesting games because both are iterations upon Valve’s previous work. Half-Life: Alyx’s developer commentary mentions a game design device their designers call a “gate,” that functions as both a teaching moment and a knowledge check. The developers explain one level where the game is programmed to wait until the player loads the shotgun before allowing an enemy ambush to occur. The gate
design ensures the player has a loaded shotgun and knows how to reload it when they need to. Many of the levels in Valve’s 2011 puzzle game Portal 2 can be viewed as gates also. Portal 2’s Chamber 00, for example, requires the player to place a cube on a button to open an exit door. Chamber 00’s design ensures that a player will not proceed to the more difficult later levels unless they understand that cubes can press down buttons. Gates present an opportunity for players to understand an individual aspect of gameplay before they are expected to use it with other elements.
Sometimes it is not enough to leave players to their own devices in hopes that they will eventually figure out a solution on their own. Instead, some prompting may be necessary. In these cases, environmental clues or button prompts may be useful. The key difference between button prompts and pop-ups is that prompts do not interrupt the game and often occupy only a very small portion of the screen. A button prompt can be merely an image of the button the player should press, but some might also include a very short explanation of what that button will do. Often, games trust the player’s intuition to understand what a button will do through context. If an ability is used in a very different context than before, or if it has not been used recently, it might be wise to use another button prompt to gently remind the player. As an example, Half-Life 2 uses the E key for a variety of interactions, including picking up objects, entering and exiting vehicles, mounting ladders, and others. Even though E is a common “use key” in many games, Valve chose to use button prompts for the first few times the key is used so that even novice players can get accustomed to it.
A game’s camera can also serve as a framing device that can help to guide players. Games employ a virtual camera that moves about the environment and can zoom in and out, defining what the player is able to see. Cameras can be adjusted to keep irrelevant elements off screen and direct the player’s attention. Gris, a 2D puzzle platformer game released in 2018, uses its camera to keep irrelevant puzzle elements off-screen so the player can better focus on what is important. Most 3D games will give players more direct control over the camera, and thus cannot use the camera to guide the player like a 2D game would. However, 3D games can still influence the player’s use of the camera through level design. Just as a painter or movie director cannot control exactly where the audience looks on the painting or screen, level designers must instead draw the player’s attention through visual cues. Light is an especially useful tool here. Portal’s Chamber 14 requires the player to obtain a cube from a high ledge, and the level is designed to cast a bright light on that ledge to draw the player’s attention (Valve, 2007). Depending on the type of game, designers may need to think like a cinematographer when communicating visually with players. Designers who want their tutorials to teach, comfort, excite, and respect the player should consider their use of gates, button prompts, and intelligent level design as they build their tutorials.
Narrative Techniques
For many people, stories are why they play games, as stories inject meaning into the challenges, successes, and failures experienced in-game. A discussion of making games approachable needs to also consider how games tell stories. A game’s
story may allow players to personalize their experience, though exactly what this means will vary by game and by player. Homan and Homan (2014) compare game storytelling to an interactive theater, suggesting that the player is simultaneously the playwright, director, and actor by making choices on behalf of characters in the game. A playwright makes decisions about the story’s direction, controlling the choices made along the way. A director controls the pacing and focus of the story by choosing to linger on certain moments or picking a certain camera angle. An actor is responsible for doing the action, down to minute details like the path taken between locations or the timing of a task. Depending on the game, players may occupy any or all these three roles to some degree.
A more personal experience means greater significance to the player. Jondreau (2020) examined how several games incorporate storytelling, such as letting players inhabit multiple characters to perceive different perspectives, or making some dialogue optional so that story-hungry and story-averse players are both satisfied. Heavy Rain (2010), as examined by Lavigne (2018), gives players several choices that alter the game’s plot, making the drama more personal than a movie’s. Brooke Maggs (2019, para. 1), a writer for the indie adventure-puzzle game The Gardens Between (2018), stresses that almost everything in a game can contribute to narrative, everything from music to level design and art. Narrative elements do not need to be obvious to the player, and subtle narrative elements can be rewards for interested players. Some players might not be interested in narratives in games, and optional story elements are a way to let players avoid some of the narrative if they wish.
The strength that video games have over most other forms of entertainment is their interaction. Strong narratives lean on this unique aspect of video games to make stories feel more personal and immersive. Though a movie’s plot is determined before the audience enters the theater, a game’s plot can adjust to the individual player. One popular concept in games is the idea of a diverging plot that reacts to choices made by the player. In The Stanley Parable (2013), players hear the voice of a narrator instructing them on how to play the game. Players regularly have the option to disobey the instructions, and doing so often triggers a humorous reaction from the frustrated narrator. Diverging plots can give players the feeling that they are having a conversation with the game, its characters, or even the designer. If a player of The Stanley Parable chooses to always obey the narrator, they will be led on a quest to deactivate a mind-control device and be liberated from a boring office job, ironically not using their freedom as a player in the process. Players who disobey the narrator instead are led to different a path in that the narrator agonizes about the challenges of making a game that will satisfy the wishes of players. Depending on when the player chooses to obey or disobey the narrator, the choices in The Stanley Parable branch out into nineteen different endings.
Interestingly, the lack of player choice and agency can also contribute positively to a game’s design. Davey Wreden, the lead designer of The Stanley Parable, made The Beginner’s Guide two years later in 2015, following an entirely different design. The Beginner’s Guide is perfectly linear – with exactly one ending and minimal player
choice. The game is presented as a series of small games created by Coda, a nowmissing developer, with Wreden sharing his thoughts on each game as the player makes their way through them. Unlike in The Stanley Parable, Wreden’s narration in The Beginner’s Guide hardly ever responds to the player’s actions. The game’s twist ending reveals Wreden’s dependance on Coda’s validation, the misunderstanding of Coda’s work on Wreden’s part, and that Wreden has modified Coda’s work to better fit his own version of events. Throughout the entire game, the player has no way of speaking to Wreden, and instead must listen to his attempts to understand Coda. The Beginner’s Guide is a game where the story has already happened, and the player understands it better than the narrator. Though the free choice is the more common route for games, Wreden has shown that the lack of choice can be equally interesting.
Whether a game allows for multiple storylines or not, the player’s control does alter the pacing in a way that is unique each time the game is played. A movie will play out the same way every time it is viewed. A game’s plot, however, will only resolve if the audience participates. Even perfectly linear plots are made more interesting simply because the player needs to achieve the ending.
Gameplay can be a storytelling device on its own. A video game is ultimately a simulation that a player has some degree of control over. The amount or type of control offered to the player says something about the role they occupy in that simulation (Jondreau, 2020). This is apparent in games where the player switches between multiple protagonists. In The Last of Us (2013), the main protagonist, Joel Miller, must protect the fourteen-year-old Ellie Williams, who is thought to be the key to curing the zombie plague. Players switch between Joel and Ellie’s perspectives throughout the game, allowing players to see Ellie hone her skills as a survivalist by learning from Joel. Joel initially does not trust Ellie with firearms due to her age, and so players must do without them in segments from Ellie’s perspective. The comparison between Joel and Ellie’s gameplay enables players to feel both Ellie’s frustration with Joel and her excitement when she is finally allowed to have a weapon. Intentional design choices about gameplay can help players understand and empathize with characters.
A similar effect can be produced even without switching perspectives. The empowerment or disempowerment of a single character can signify narrative progression (Jondreau, 2020). Many games allow the protagonist to improve their skills or gain new ones over time. A good example might be Cal Kestis, the protagonist of Star Wars: Jedi: Fallen Order (2019). Cal learns new lightsaber moves and Jedi abilities over the course of the game’s plot, symbolically representing his character development. At the game’s beginning, Cal has abandoned his Jedi training and gone into hiding from the evil Galactic Empire, and his time in exile has caused him to forget some skills. The progression of Cal’s abilities lets the player feel Cal’s confidence growing as he steps out of hiding. A game that focuses on the story of one character can represent the protagonist’s growth in the same way.
| ELAIA: The Honors Journal of Olivet Nazarene University
Every player is unique, and so every player should receive a slightly different experience with a game. The addition of lore, optional dialogue, and extra detail in the environment can deeply enrich the experience for many players (Jondreau, 2020; Maggs, 2018). Some players crave lore and worldbuilding and are willing to investigate every nook and cranny of a game’s world to find secrets. Other players are only interested in the action. Games, being interactive, can adapt to this preference by hiding secrets for curious players to find. The plot of Half-Life 2 features several nonplayer-characters, or NPCs. If a player walks near one, the NPC will say something to give the player information about the world. This is very noticeable when the player is walking through a train station in the first chapter of the game, hearing bits of exposition from nearby NPCs. Optional dialogue combines with world details like polluted environments and run-down buildings for Half-Life 2’s environmental storytelling of a dystopian future, all without annoying players who only care about the action.
A game does not need to use all these techniques. Often games will only focus on a few. They might use a branching narrative or optional story moments to personalize the experience to the player, or they could use contrasting gameplay between one or multiple characters to highlight unique traits and progression, or use environmental details for exposition.
METHODS AND RESULTS
Collect Call’s Design
Collect Call, the game I created alongside this paper from 2022 to 2024, includes a few of the previously described strategies in both its narrative and tutorials while trying to avoid the weaker strategies like pop-ups. Significant thought went into guiding players to solve puzzles without directly explaining them and allowing players to pursue the narrative at their own pace and to the degree that interested them. For players that only want a puzzle game, Collect Call should be a puzzle game first. For players who enjoy lore, it should provide that as well.
Whether or not a game is in the puzzle genre, it can make use of the same techniques when guiding their players. All games are problem solving exercises at their core. Half-Life is mostly regarded as a first-person-shooter game, but players are constantly solving “puzzles” even in shooters. Half-Life might expect players to think about which weapon is most useful in a situation or how they can sneak past enemies without being seen. Half-Life teaches players by introducing new enemy and weapon types gradually just as a puzzle game would slowly add new puzzle elements.
Taking cues from Vollmer and Portal, Collect Call’s tutorials respect the player’s intuition by rarely stating a solution directly. Instead, players are trusted to figure things out on their own, with things being hinted at where necessary. Collect Call’s first level is a very simple gate that keeps the player from crossing a gap until they flip a lever. Since future puzzles will involve the use of levers, the design needs to ensure that the player can recognize a lever and knows which button will activate it.
Telling the player to flip the lever would be patronizing and would violate Vollmer’s principle of respecting the player. Instead, the lever glows slightly as the player gets closer to it, and a button prompt appears above it. This gives the player ample opportunity to notice the lever and delivers the necessary information to interact with the lever. Many levels throughout Collect Call are designed as gates, often introducing one new concept at a time, and then checking understanding before moving on to the next level.
Button prompts present a unique challenge for developers producing games for PCs. Since the PC keyboard exists primarily as an instrument for work, it was not designed for video games. Depending on what genre a game belongs to, or which era it was developed in, any number of keyboard control schemes may have been implemented. Depending on which other games the audience has played, if any, they might have different keyboard habits than designers expected. It is generally a bad idea to assume that the player knows which buttons a given game uses. For this reason, Collect Call employs button prompts the first time most abilities are used, and some button prompts are repeated for reinforcement. Players move around a level almost constantly, but pick up objects infrequently, so the button prompt to pick up objects appears multiple times but the one to explain movement only appears once. Playtester feedback about the frequency of button prompts will appear later in this paper.

Collect Call makes use of a dynamic camera system to keep the player’s attention focused on relevant puzzle elements. Each level in Collect Call defines the default zoom of the camera. The camera is programmed to move such that the player appears slightly left of the center so that players can better see what is ahead of them as they move from left to right (Figure 1).¹In most levels, the player begins on the left side and ends on the right side. It is common for 2D games to have players move from left to right as they play, possibly because it mimics reading text on a page. A similar
Figure 1: The start of Collect Call’s First level
design can be spotted in most of the 2D Super Mario games (1985 – present) and in the 2D Sonic the Hedgehog games (1991 – present). Celeste (2018), a much more recent 2D platformer, also generally has players progress from left to right. Starting the player to the left side of the screen’s center presents a visual que for players to move right.
A camera can do more than follow the player from left to right to keep the relevant parts of a level in focus. Levels can contain invisible boundary boxes that can define exceptions to a level’s default camera behavior (Figure 2). When the player enters an invisible box, the camera begins following the parameters associated with that box. Often, these boxes are placed around puzzles and are set to make the camera center itself on the puzzle. This design keeps relevant puzzle elements on screen and irrelevant elements such as parts of other puzzles out of view. It is intended to be a clue about which parts of the environment matter to the puzzle.

Understanding that not all players enjoy lengthy dialogue in games, whereas others enjoy the quest to uncover hidden lore, Collect Call hides extra worldbuilding details in labs. Each lab requires a passcode to open the door, that can be obtained by speaking to a character over one of the phone booths scattered throughout the game. None of these phone booths are required; players can use or skip them as they wish. For those interested, the labs contain clues that can inform their decision at the end of the game. This design allows Collect Call to adjust the presentation of its narrative to the individual player.
¹ Collect Call was programmed in the Java programming language using the IntelliJ Idea. Several free and opensource libraries and tools were used in development, including gdx-controllers, gdx-vfx, LibGDX, packr, Tiled, and Xelu’s Free Controller Prompts.
Figure 2: A screenshot from the level editing software showing the boundary boxes for camera controls
Collect Call features two endings. The labs contain the research logs of scientists who developed a teleportation device but stumbled upon the means to duplicate matter instead. The logs also explain that there were negative side effects when living subjects were duplicated, and this led to a safeguard device being developed to prevent duplication. At the end of the game, the player has the choice to either leave the safeguard device running or to deactivate it. One character encourages deactivation, but lore hidden in the labs implies that it should be left running. This choice splits the game into two possible endings that make sense within the context of the game’s lore. It is expected that players who do not care so much about lore and narrative will also not be particularly interested in the ending they receive.
Evaluating a Game’s Design
The second component of this project is to consider techniques for evaluating a game’s design, seeing how well or poorly it achieves the goal of integrating a narrative and comfortably introducing new players to its gameplay. The process of asking people to try a game and give feedback is called playtesting. Mirza-Babaei et al. describe the kinds of questions that indie developers should ask playtesters. Indie developers are small teams or even singular developers working on their own without the funding of a major publisher. Indie developers often have a smaller quantity of playtesters or might have less time with them than larger studios do. They advise asking open-ended questions that might reveal which design choices lead to positive and negative player experiences. Some of the questions are intended to give playtesters a chance to explain which parts of the game caused confusion or frustration.
Valve’s developer commentaries also stress the importance of playtesting, ideally done simultaneously with game design and development. Playtesting reveals the ways that players might perceive a game differently than the designer intended and might point out things that need to be improved. When a designer creates a level, they might expect it to be completed in a specific way that might not be apparent to players. In the developer commentary for Portal, a Valve developer mentions that many playtesters assumed that the game’s portals – a gameplay element that allows players to teleport across vast distances – were one-way. The two linked portals were colored blue and orange, but many players assumed that the blue end was only an entrance, and the orange was only an exit. This issue was addressed by inserting a new level early in the game that would require players to enter through the orange portal and disprove the one-way assumption.
A popular idea among game designers is the belief that games should feel “fair.” If players think that the game is unfair, they might feel unmotivated to continue playing. Designer for games in the Earthlight franchise Jennifer Scheurle explains that “Failure needs to feel like your mistake, and the game should be telling you how to improve” (Scheurle, 2017). Ken Levine, the creative director for the Bioshock series, said that “First shots from an enemy against you in BioShock always missed…that was the design, think it got fully implemented. No ‘out of the blue!’” BioShock’s design ensured that players were not killed by enemies they could not see, as those initial shots indicated where the enemy was. In a 2020 livestreamed interview,
Minecraft game designer Jens Bergensten explained that the game lacked natural disasters because he felt it was unfair to include destructive elements that players could not prevent (Minecraft, 2020). Playtesters were asked to rate Collect Call’s fairness and explain what parts of its design felt unfair to them.
Collect Call’s playtesting entailed asking students at Olivet Nazarene University to try the game, with most sessions lasting about 45 minutes to an hour. In total, there were fourteen responses. Upon completing the game, playtesters were asked to complete a survey. Playtesting is often a qualitative process rather than quantitative. Developers see each individual playtester as a unique angle that the game can be seen from and a unique challenge to their designs. Questions on playtesting surveys are often open-ended so that playtesters can describe their personal experience with the game. The questions used on Collect Call’s playtesting survey are a mix of both multiple choice, Likert scale, and free response. For free response questions, a summary of playtester feedback is provided instead of each playtester’s reply.
The first group of questions are intended to learn about the participants’ gaming habits and their familiarity with video games. Participant reporting on the number of hours they spent playing video games each week, along with their self-identified familiarity with game design, suggested a broad range of exposure to video games and the field of game design. Participants were split almost equally between typically using a keyboard and mouse or a game controller. All but one participant said they play video games for the plot.
Other questions asked which parts of the game caused frustration or confusion, or simply asked what parts participants disliked. Many reported that the ending felt anticlimactic or confusing, or that the control layout had led to accidental inputs. Multiple controller users were observed accidentally pressing Y as they pressed X. Multiple users reported feeling frustrated that they could not go back and re-visit certain dialogues in the game or were locked out of lore because they entered an incorrect passcode when trying to enter the labs.
Some questions asked participants about the control scheme of the game. Some players were asked to use a keyboard and others a game controller. The general sentiment was that controls were intuitive and usable. When asked if the game should have more direct instructions, participants generally felt the current amount was good.
When asked about the game’s story, the feedback was generally positive. Several playtesters remarked that the brief subplot involving cats as test subjects was a high point of the game for them. Some playtesters responded well to the use of the labs to slowly introduce lore. Multiple playtesters mentioned wishing they had been able to visit more of the labs.
An A-B test was used to determine what quantity of button prompts should be included in the game. Playtesters were assigned to play one of two versions of the game. Version A had button prompts only where their inclusion felt critical, and
version B included button prompts in almost all situations where one could be implemented. Version B placed a button prompt on all interactable puzzle elements, on all objects players could pick up, and on most doors. Due to this difference, questions twenty-four and twenty-five are split between group A and B.
Interestingly, participants in the B group were more likely to say they felt the controls were adequately explained to them and felt that they saw the right quantity of button prompts. This might suggest that I, as the developer, am too close to the game to accurately determine what the right quantity of button prompts is.
Conclusions from Playtesting
The development of a video game is an intense process that involves many hours of programming, designing, and testing. I spent at least fifty hours testing the game’s functionality before playtesting began, not including the time spent writing and debugging code or creating visual assets. As the game’s designer and programmer, I became too close to the game to accurately evaluate the game’s difficulty and teaching elements on my own. This is the purpose of playtesting. Prior to publishing, Collect Call will be adjusted in response to the feedback received.
The A-B testing to determine the correct frequency of button prompts yielded a surprising result. Version A had what I believed to be the correct quantity of button prompts, and I believed Version B to be an excessive and perhaps annoying quantity. I was wrong. Playtesters assigned to Version A were more likely to say they wished to see more button prompts, and playtesters from Version B typically reported being satisfied with that quantity. It seems the correct quantity of button prompts might be more than a developer would expect.
Collect Call’s tenth level requires the player to throw a box across a large gap. This level is designed to be difficult but possible. However, what I as the developer consider difficult is not what a new player would consider difficult. Several players expressed frustration with this specific level, with many spending several minutes trying and failing to make the throw. Playtesting demonstrated that this challenge is unrealistic for new players. A future revision might either make the gap smaller or place similar but easier challenges before it to give players a chance to practice throwing objects.
Playtesting also revealed an issue with Collect Call’s implementation of optional dialogue. The intention was that curious players would seek out the hidden labs and read their dialogues, but many curious players were unable to enter the labs because an incorrect passcode would lock them out. Some players were also confused about how to find the passcodes. A simple solution would be to give players multiple chances to enter a correct passcode and to make passcodes easier to find.
Since players were unable to find optional dialogue, many of them were not given the lore and worldbuilding that was intended to explain the game’s ending. This contributed to the overall feeling that the ending was abrupt and confusing. A future
revision might add some additional dialogue at the very end of the game to explain the ending, and the passcode function will be changed so players can more easily reach the labs.
This project set out to consider the techniques that game designers have used to incorporate comfortable tutorials and thought-provoking narratives into their games. Playtesting is a necessary step to refine and improve the implementation of these techniques. Playtesters indicated that the intention of the worldbuilding through optional dialogue is a good idea that was unfortunately limited by inadequate implementation. The techniques were solid; the implementation needs work. The fact that playtesting illuminated these issues also shows the validity of this approach to playtesting. Feedback generally revealed that the tutorials implemented in the game worked well for most players, with few players being frustrated by the puzzles or gameplay. Vollmer claimed that a good tutorial should simultaneously teach, comfort, excite, and respect players. Collect Call’s tutorial taught players well enough for them to understand and complete the game’s puzzles.
It did not present challenges in an uncomfortable way, instead giving the player room and time to gradually learn individual gameplay elements. Playtester feedback indicated that many players were excited to play more puzzles like those in Collect Call. Finally, the gentle use of button prompts and gates was respectful of players. Vollmer’s goals and the tutorial strategies used led to a generally positive experience for most players, evidenced by the generally positive feedback from playtesters.
DISCUSSION
As video games progress further into the mainstream, it is unfortunate that many developers continue to treat the integration of tutorials as an afterthought. This trend represents a barrier to entry for those who would like to pick up video games. However, the development of Collect Call and the results of playtesting indicate that games can be designed to be welcoming to new players but that developers should consider new players from the beginning of development.
Tutorials should not be added late in development. Instead, the first levels of a game should be designed as an “invisible tutorial” that lets players learn to play the game at a comfortable pace. If tutorials are going to teach, comfort, excite, and respect, then they need to be integrated carefully. Doom Eternal (2020) offers an example of what hastily made tutorials look like, with wordy pop-ups that are quickly dismissed by annoyed players. A tutorial added early in development has a chance to introduce each concept in isolation and then verify the player’s understanding with a gate. The progression of levels in the game can match the introduction and testing of new concepts.
The feedback offered by the playtesters showed that Collect Call’s approach to narrative integration was on the right track. Playtesters reported that they enjoyed reading the experiment logs in the labs, and more than a few of them wished they had read more of them. Collect Call’s implementation of branching ending could have
been better. After explaining the intention to some of the playtesters, they replied that the idea would have worked better if players had seen more of the labs, and that some dialogue at the end might go a long way to improve the ending.
Video games have a common problem with other forms of artistic expression: they are understood and perceived differently by their creators than they are by the audience. It is difficult for creators to put themselves in the minds of an audience because they are so close to their work. A tricky puzzle might not seem difficult to a game developer who has been refining a game’s controls for days but might feel challenging to someone who has only picked up the game half an hour ago. Similarly, it is difficult for a writer to really understand how a game’s story is changed by skipping some optional story beats. The writer who wrote those story moments cannot un-know them. As the person who decided which button a player should press to flip a lever, it was not apparent to me that I should have included frequent reminders of which button to use. I expected players to think Version B had more button prompts than necessary, just as I did, but instead they felt that it had the correct quantity. Playtesting reveals the gap between these perspectives, and developers should use the time in between playtesting and release to fix such issues.
Playtesting will reveal the flaws in a design, but it will also point out the features players enjoyed. Playtesters for Collect Call indicated they would have enjoyed more story, more lore. If playtesting is done early on, developers know which things a game should focus on, and which parts need to be reworked or removed. Valve has said that they conduct playtesting throughout the entire development process, from the prototyping phase all the way up to release. One limitation of this project might be that Collect Call’s playtesting did not truly begin until the game was featurecomplete, and the game’s direction might have been very different if playtesting had started a year earlier. Alternative story directions could have been considered, and playtester feedback could have sparked other creative ideas for new puzzles and locations. Of course, finding enough playtesters to handle a long and iterative development process is out of the reach of many developers. Future research might investigate the value of playtesting throughout development rather than near the end. A limitation of research like this is the difficulty of making a proper control group. How could an experiment create two separate games that only differ in when their playtesting begins?
An alternative path of investigation might ask playtesters to play a game that lacks the “invisible tutorial” or makes the optional dialogue mandatory. How would players respond to a more lecture-like tutorial? It seems intuitive to expect players to have worse retention of information with such a tutorial, but could this difference be measured? Collect Call‘s levels are merely files on a computer, they were created in Thorbjørn Lindeijer’s free and open-source level editor called Tiled. Using Tiled, just about anyone could create custom levels that could be loaded and played in Collect Call. These custom levels must be made in a matching format to those included in the game, but can provide their own art assets, dialogue, and puzzles. To assist in creating custom levels, a free kit of level creation assets can be found
ELAIA: The Honors Journal of Olivet Nazarene University
at collectcallgame.com. Within the kit, the file named README.md contains instructions to create maps that are compatible with Collect Call‘s interpretation of Tiled level files. A future project could experiment with other designs without needing to change much – or perhaps any – of Collect Call’s programming.

The famous Nintendo game designer Shigeru Miyamoto is often credited with the saying, “A delayed game is eventually good. A rushed game is bad forever.” The quote is from a time before games could be easily updated or patched through the internet, but it is still relevant. Tutorial and narrative integration are sometimes rushed in the process of game development. Sometimes, playtesting is treated as quality assurance rather than an integral part of game design. For examples of games that were needlessly rushed against the advice of the developers, look at the development history of Sonic the Hedgehog (Xbox 360 and PlayStation 3, 2006) and Cyberpunk 2077 (2020). Doom Eternal (2020) also suffered from poor tutorial design. From developers to upper management to investors, more people should heed Miyamoto’s advice, and many others have offered their own versions of the quote. The playtesting process will reveal unforeseen issues with a game’s design. This is a good thing, and game designers should be willing to re-evaluate their design based on feedback. Collect Call’s development journey has demonstrated the utility of “invisible tutorials,” dynamic cameras, and gentle button prompts, and the playtesting process used in this project was effective for identifying areas for improvement. The process works; developers need only take the time to let players guide them. Future game developers should not be afraid to slow down if it means crafting more approachable experiences for gamers of all experience levels.
Figure 3: A screenshot of a Collect Call level within the Tiled level editor.
REFERENCES
Allan, D. (2017, May 1). “Designing video game puzzles.” Game Developer. Retrieved December 10, 2023 from https://www.gamedeveloper.com/design/ designing-video-game-puzzles
The Beginner’s Guide (PC version) [Video game]. (2015). Everything Unlimited Ltd. Beren, D. (2023, July 31). “What was the video game crash of 1983 and why did it happen?” History-Computer. Retrieved February 2, 2024 from https://historycomputer.com/what-was-the-video-game-crash-of-1983-and-why-did-it-happen/
Byrne, S. (2016, December 2). “Play me a story: How video game storytelling has evolved.” CNET. Retrieved February 2, 2024 from https://www.cnet.com/tech/ gaming/video-game-storytelling-evolution-bushnell-schafer-morhaime/
Celeste (PC version). [Video game]. (2018). Maddy Makes Games
Cyberpunk 2077 (PC version). [Video game]. (2020). CD Projekt
Davies, M. (2015). “A good puzzle game is hard to build.” Rock, Paper, Shotgun. Retrieved December 10, 2023 from https://www.rockpapershotgun.com/how-tomake-a-puzzle-game
Doom Eternal (PC version). [Video game]. (2020). Bethesda Softworks
Gris (PC version). [Video game]. (2018). Devolver Digital
Half-Life (PC version). [Video game]. (1998). Valve Corporation
Half-Life 2 (PC version). [Video game]. (2004). Valve Corporation
Half-Life: Alyx (PC version). [Video game]. (2020). Valve Corporation Hollow Knight (PC version). [Video game]. (2017). Team Cherry
Homan, D., & Homan, S. (2014). “The interactive theater of video games: The gamer as playwright, director, and actor.” Comparative Drama, 48(1/2), 169–186. https:// www.jstor.org/stable/24615358
Jondreau, A. (2020). “The unique storytelling power of video games.” Medium. Retrieved December 10, 2023 from https://anthonyjondreau.medium.com/theunique-storytelling-power-of-video-games-e68f36f74145
The Last of Us (PlayStation 3 version) [Video game]. (2013). Sony Computer Entertainment
Lavigne, C. (2018). “Pressing X to Jason: Narrative, gender, and choice in Heavy Rain.” Studies in Popular Culture, 41(1), 15–36.
Maggs, B. (2019). “Art of video game storytelling 101.” Medium. Retrieved December 10, 2023 from https://medium.com/@brooke.maggs/art-of-video-gamestorytelling-101-84a36ceb365d
| ELAIA: The Honors Journal of Olivet Nazarene University
Mental Checkpoint (2021). Any tutorial you remember playing sucks. [Video] YouTube. Retrieved December 10, 2023 from https://www.youtube.com/ watch?v=wG4Yy-1G-wc
Minecraft (PC version). [Video game]. (2009). Mojang Studios
Minecraft. (2020, October 4). Minecraft Live: Game Design with Jeb [Video]. YouTube. Retrieved December 10, 2023 from https://www.youtube.com/ watch?v=lZjItR4hBAM
Mirza-Babaei, P., Moosajee, N., & Drenikow, B. (2016). Playtesting for indie studios. Proceedings of the 20th International Academic Mindtrek Conference, 366–374.
Nelson, W. (2020, March 19). “Designing an invisible tutorial.” Culture of Gaming. Retrieved December 10, 2023 from https://cultureofgaming.com/designing-aninvisible-tutorial-2/
Portal (PC version) [Video game]. (2007). Valve Corporation
Portal 2 (PC version) [Video game]. (2011). Valve Corporation
Razbuten. (2019, September 28). What games are like for someone who doesn’t play games. [Video] YouTube. Retrieved December 10, 2023 from https://www.youtube. com/watch?v=ax7f3JZJHSw
Scheurle, J. (2017, September 8). “Games aren’t always fair, the magic lies in making you think they are.” Polygon. Retrieved December 10, 2023 from https://www. polygon.com/2017/9/8/16263050/game-design-magic-tricks
The Stanley Parable (PC version). [Video game]. (2013). Galactic Café
Sonic the Hedgehog (Sega Genesis version). [Video game]. (1991). Sega
Sonic the Hedgehog (Xbox 360 version). [Video game]. (2006). Sega
Star Wars: Jedi: Fallen Order (PC version). [Video game]. (2019). Electronic Arts
Super Mario Bros. (Nintendo Entertainment System version). [Video game]. (1985). Nintendo
Witkowski, W. (2021, January 2). “Videogames are a bigger industry than movies and North American sports combined, thanks to the pandemic.” MarketWatch. Retrieved December 10, 2023 from https://www.marketwatch.com/story/ videogames-are-a-bigger-industry-than-sports-and-movies-combined-thanks-to-thepandemic-11608654990
Appendix to this paper available in the online version.
| ELAIA: The Honors Journal of Olivet Nazarene University

Life Stories: Exploring Personal Identity through Illustrations
Emma G. Williams
ACKNOWLEDGEMENTS
I am grateful to the Olivet Nazarene University honors program for the chance to do a research project like this. I am thankful for the help of Professor Jon Seals and the guidance he gave me as my mentor. I would also like to acknowledge Professor Koszut for playing a key role in the development of this project as she guided me through my senior thesis class and reviewed the works regularly. I am also thankful for the critiques from Professor Dombrowski and Professor Spence. A special note of thanks to my friends and family who came out to the show and encouraged me throughout this process, especially my roommates Emmalee and Alex as well as my boyfriend Bryce for cheering me on and pushing me when I needed it. Thank you as well to my friends in Cohort 14. I’m so grateful for your support, encouragement, and guidance through our classes and through this project.
ABSTRACT
Through graphite illustrations laden with deep symbolism and nostalgic imagery, the artist shares their identity in stories from their life. This thesis seeks to utilize the tools of narrative and self-identity to express the identity of the author and artist behind it. Scholarly sources were reviewed to understand narrative identity, works from professional visual artists were examined, and historical sources were consulted to deepen symbolism. The end product is this thesis, as well as a body of art. The identity understanding and symbolic elements allow the artist to reflect on their identity and share it through visuals of intricate and intimate drawings.
Keywords: art, storytelling, identity, symbolism, drawing, illustration, transdisciplinary
INTRODUCTION
Our stories are essential to how we experience and interact with the world around us. Sharing those stories offers a chance to connect with others who may be similar or opposite to us in various ways. These stories express parts of who we are, what we hold dear, and what we stand for. These stories are unfolding, being written before our very eyes with unexpected twists and turns, moments that make us change our minds and shift our perspectives on the world, others, and ourselves. They weave together to form one large storybook of our life, continuing until we reach our final pages.
Sharing stories is essential for connecting with other people. Through the telling of stories, we learn more about the experiences of others. Simply put, we are our stories. Identity can be understood more deeply through the recounting of an autobiographical life narrative. This idea has been noted by thinkers in varying fields of study from the sciences to religion to psychology in various writings and quotes. The agreement among this diverse group of thinkers shows that the life story as a narrative is not a new or unique thought (Jacobson, 2014).
When it comes to the methods of sharing stories, often the first method that comes to mind is verbal or written forms of storytelling. Stories were passed down verbally for many years before we had the means to write them down and written stories are a part of our lives from an early stage of development. There is another form of storytelling that is not so often discussed, however: that of visual art. Humankind has been storytelling through art since paleolithic times with paintings having been created on the walls depicting stories of hunts, religious rituals, and other aspects of life important to them (Doyle et al., 2018).
Whatever the form of storytelling, we can always learn something new from it about the speaker, writer, or artist. In many ways storytelling can be, at least somewhat, autobiographical and reveals some of the identity of the creator whether that story is their own or something new. Specifically with personal stories told to friends, families, new acquaintances, etc. our life story sharing becomes a clear way to state who we are, that is to say, what our identity is.
| ELAIA: The Honors Journal of Olivet Nazarene University
This paper focuses on my project, an illustrative, journalistic retelling of the stories in my life that have shaped who I know myself to be and who I am constantly becoming, allowing others to peek into my world and hopefully find some sense of connection. This project involved many separate but interacting parts. Articles and journals were read and analyzed for greater understanding on storytelling and identity formation. Artwork inspirations and references were gathered. Time was spent in reflection and reminiscing on the past. Further time was spent diving into the symbolism and specific visual compositions behind each piece, creating graphite drawings, and bringing everything together as a whole.
REVIEW OF LITERATURE
Narrative identity/personal narratives
Narrative identity comes from stories individuals craft about their life experiences (Adler et al., 2018). When the concept of narrative identity was first introduced, it was suggested that narrative was a basic form of thinking about the self and the world (Bruner, 1987). Since then, narrative identity has become widely accepted and utilized in many different areas within psychology. Three basic components of narrative identity are autobiographical memories, narrative scripts, and life stories. The dual memory system involves interaction between the aspect of self which is focused on short term goals, called the “working self” and an episodic memory system which reconstructs memories by recalling sensations. This working self can then use these episodic memories in development of the long-term self.
Within autobiographical knowledge bases past experiences, memories, are categorized. The smallest category includes general events, then larger periods of significant portions of the life story, and finally the entirety of the life story. These components form a system that builds upon itself with smaller recollections leading to more expansive long-form experiences, which then ultimately end in the culmination of the life story. This life story is an overarching narrative taking into account new experiences and understandings to provide a sense of unity and cohesiveness throughout the life of an individual (Singer et al., 2013). Every element in the model of narrative identity works with each other to find patterns and build upon the narrative that is being shaped in an individual’s life. (Figure 1).

Figure 1: Narrative identity model.
Due to the responsive nature of narrative identity, it connects well with other identity concepts specifically with that of intersectionality. Intersectionality is the overlap between identities and how they interact together, reflecting the multifaceted aspects of the human psyche. No identity category will address every single aspect of who we are and how we interact with others on its own (Shields, 2008). The art created as a part of this project uses intersectionality mostly between the aspects of identity I outline within the paper and my identity as a woman.
The autobiographical dilemma
Any narrative relies on a certain amount of coherence and within autobiographical narratives, an understanding of unreliable narrators. Often, we are not able to think critically about times and events in our lives; we can’t see them clearly and objectively enough to know the truth. Individuals can also sometimes have trouble remembering or relating to the person they were during a certain period of their life in which they faced a traumatic or life-changing event. There may be an element of shame, misunderstanding, personal blind spot, or memory block that contributes to this incoherence in personal stories (Jacobson, 2014). Even though memories shared by an individual about their own life can be reflexive and unstable, this is not a reason to completely disregard life stories and narrative identities, as they can still tell a lot about an individual (Bruner, 1987).
Some studies have tried to rectify some of the issues with coherence in story sharing and find ways to combine aspects of the stories that form an underlying coherence. One such study used coherence tests from personality, developmental, and clinical psychologists, combining aspects of them to create a more overarching test. This test accounted for temporal details, psychological context, and meaning/interpretation of the stories shared adding a deeper level for coherence (Adler et al., 2018). Further studies looked into this coherency test in regards to stories from periods of psychological stress, how stressful and traumatic experience stories are often the least objective retellings and may alter results of coherency (Graci et al., 2018). It is important to understand how coherency is found and how to rectify the incoherent parts of the life story so that they aren’t completely disregarded.
Storytelling medium: visual art
The main goal of this project is to use the tools of narrative and self-identity to convey the artist’s identity through illustrations of specific identity-shaping memories. Identity is an immensely popular topic within the art community, with many artists attempting to express who they are through various visual means. Artist inspirations are a major part of the artistic process and can shape the way a body of works is thought about and ultimately formed. Picking artists that inspire and can inform the process is important to having a well-rounded art exhibition.
Much of the concept for this show, from the first thoughts about the topic of identity and portraiture, drew on the works of Hispanic painter Frida Kahlo (1926-1954). She historically used self-portraiture within her works that connect with and reflect on her heritage and identity (Velasquez, 2022). The use of specific locations, objects, and
| ELAIA: The Honors Journal of Olivet Nazarene University
other figures in her works connects the viewer with her past and the ways she sought to share who she was with others through her art. The memory visual aspects of this project were influenced by her family portrait painting as well as her sketches made while in the hospital. These works translate emotion as well as the details of specific stories being told in each.
The project works’ portrayal of memories in a collage style was informed by the works of Neva Hosking (2012- Present), an Australian artist who works mainly with portraiture. Her works often combine these portraits with plants from her greenhouse and breathe new life into the art. Much of her art is less planned and more stream-ofconsciousness-based, seeking to portray memories more fluidly. The collaged aspects of a few specific works and her general style of pencil work inspired the works in this project (It’s All in the Fine [Art] Print: Neva Hosking | Keenia Savannah, n.d.). Some of the style basis of the works also derives from the works of the artist Adria Mercuri (2013–present). Her delicate and intimate linework creates portraits and detailed tattoo work alike. In her personal works and in some collaborative pieces she has explored the use of botanical elements to create compositional shapes on her paper, something that heavily inspired the works in this project (Etc., n.d.).
In the process of creating the art pieces, an incredible amount of thought was put into the specific personal imagery used as well as the botanical elements. To add another layer of emotion to the artwork and to allow for deeper meaning, I looked into the history of Victorian flower language. Attributing meanings to specific flowers is a concept that has been around for a great many years before it took hold in the West. These meanings can come from the origins of the names of plants, stories from mythology, what the medicinal uses are, and other preconceived ideas. In England during the Victorian era, understanding the meanings of flowers and other plants added a deeper and more discreet level of communication between individuals, most often between lovers exchanging bouquets (Seaton, 2012).
Two different books on the Victorian language of flowers were consulted when choosing the botanical elements for each artwork, The Language of Flowers printed in 1834 and The Language of Flowers: An Alphabet of Floral Emblems from 1857. These are two of the oldest books on Victorian flower language available through public domain websites. Each of these botanical elements were chosen to help express the tones of the pieces and to allow for the added symbolism found in how the elements are arranged on the page. Many of these works can be very vulnerable and expository, so keeping an element of mystery requiring the desire and effort on behalf of the viewer to look deeper to understand was important to the content of the overall body of works.
Adding a secretive code to the works reflects the use of this flower language to convey messages that would not be easily decoded to anyone who was not aware. This code allows for vulnerability without having to explicitly state in words the complexities of the memories shared. For instance, in one piece periwinkle flowers are placed above one of the portraits of my grandparents as a nod to my deceased
grandmother, but also just fits with the happy memories I have with my living relatives. A similar secret can be found in the piece Innocent Belief, where I use convolvulus flowers to represent uncertainty in an otherwise very positive seeming image. This leads into the next work which enters a time of great uncertainty for me with my faith.
The material of graphite drawings was also intentional as it connects with the ideas of narrative identity, specifically the reflexivity of the life story. Graphite lends itself to being used for both sketching and for producing a final art piece. It can be reworked to a certain extent, allowing for change at other points in time using an eraser or simply adding darker lines over top. Conceptually this is what connects the pieces to the overall end goal of narrative identity, a reflexive life-story that is added to and amended as we live and retell our stories through different understandings. Even with this change, the narrative scripts that make up our life story stay reflective of the core of our being, so the material used in these artworks stayed the same. Graphite has always come naturally to me so using it as my medium reflects this core of who I am.
DESCRIPTION
There are many details included in the body of work that tell the viewer about the life of the artist and allow them to connect with the visualized experiences. The overall works follow the breakdown pattern of story-formed identity through specific memories and general event periods, which come together to tell a “life story,” my life story. Many visual elements within each work directly tie to specific stories and aspects of the artist’s identity, some of which draw on historical symbolism.
Visual life story
I began the artistic process for this project by dwelling on who I feel I am today and how the notion of my identity has changed or shifted throughout my life. I spent time with myself deciding what identity aspects are most important to express to others, especially upon first meeting. I chose three main categories for the identity aspects that best represent me: familial, religious, and passion-formed identity. With those categories in mind, I began to pick specific stories I have told before about momentous times in my life, stories that I felt could be illustrated to share more thoughts. These stories were sometimes specific moments, or they could be memories from a certain period in my life with individual experiences that came together to form a certain aspect of myself. Once I had chosen specific stories or periods of time to illustrate, I started gathering imagery of myself from those times. I dug through family photo albums, social media accounts, and personal documents to find images and sorted through school projects to find quotes I had written through the years about “who I am”.
Through the process of reflection and choosing memories to illustrate there were aspects of my identity and life that I chose not to illustrate for different reasons. Being young and just about to finish college, some memories I have are too recent to process in a more objective way and some I don’t have enough similar memories to call upon in order to compare and to form any sort of narrative script from. For instance, my
| ELAIA: The Honors Journal of Olivet Nazarene University
identity as a significant other, as an artist, or my identity as someone dealing with mental illness are all not explored at all or are explored very little through my show because I didn’t feel I had either the imagery or enough establishment in these areas although I consider them to be important parts of who I am. I have no way of knowing whether certain memories pertaining to those areas will become scripts that shape who I am in the future and so I wanted to focus my efforts on those that have become patterns in my life and shape who I am currently and going forward.
The final exhibition consists of eight artworks illustrating moments from my life that shaped who I am. The drawings were made with graphite on 11x14 white drawing paper. The works are displayed in groups pertaining to the identity aspects that they express: familial, religious, and identity through passions. Within these groups, I was able to visually represent changes in aspects of my identity or multiple aspects of one facet of my identity through my twenty-one years of life so far. The final piece in the series and the only piece that doesn’t fit into a group is a self-portrait of myself now using aspects of the symbology found in the rest of the pieces.
Familial identity
The first couple of pieces have to do with my familial identity specifically as a sister and daughter/granddaughter. The starting piece of my show entitled “Personal Best” (Figure 2) focuses on my relationship and memories of growing up with my little sister. The circular composition of this piece was used to represent the way that my sister completes me and because the circle is representative of femininity. The flowers in this piece include the daisy for innocence, violets, which are the birth flower for February, and primrose for early youth. The focus of the piece is the imagery of a younger me holding my newborn sister, one of my first life-changing episodic memories, with a smaller image above depicting our feet as we lay upside down in bed together. This second image is another event memory, but the imagery also alludes to growing up sharing beds on trips and sleepovers together as we’ve gotten older; it connects to the narrative script I’ve seen in my life of being an older sibling who provides comfort and encourages fun. Even the title of this piece has a deeper meaning to me, Personal Best being the title of a song written by the artist Maisie Peters to her sister, a song that my sister and I now associate with each other.
The second familial identity piece centers around my identity as a daughter and granddaughter, reflecting on those who have paved the way for me and influenced me in many ways. Entitled “Family Tree” (Figure 3), this work offers imagery of my sister and I looking back on our parents as well as their parents behind/beside them. Each image was chosen based on specific memories as well as identities I see in my parents and grandparents. My parents have both always been hikers and lovers of the outdoors, so I chose to reference the selfies they take at the tops of mountains and trails together. For my mother’s parents I chose a post-church photo as reference because my grandfather is a retired pastor and because most of my childhood memories of them take place in or around their churches. Finally, for my father’s parents I chose a photo of them taken at the beach where we used to do family vacations with them and where some of my grandma’s ashes were spread. The flowers below us are the wild plum
blossom as a symbol of independence and the geranium meaning ‘I desire to please’. The flowers are all arranged around the figures in a heart shape as the layout lent itself to that composition and allowed for certain flowers to sit next to their references. Other flowers in the artwork are the garden cress for stability, agrimony for thankfulness, and periwinkle for pleasure of memory.

| ELAIA: The Honors Journal of Olivet Nazarene University

Religious identity
In the second set, the pieces primarily relate to my religious identity as a Christian. I chose to use the triangle and make three of these pieces as a reference to the Holy Trinity within Christian belief. In these pieces, I explore different thoughts and feelings I had towards the church and my religious beliefs throughout my life. The first piece in the set, titled “Innocent Belief” (Figure 4) was created based on a time in my life when, externally, my faith seemed to be at its strongest, but I was just doing what I had always known and following expectations blindly. During this time, I was no less a Christian but looking back, it was performative, and I was not understanding my faith for myself. The main image of myself comes from a photo taken of me at a youth event at a moment when I remember being so aware of how I was being perceived despite the way it may look from my pose. I also chose an image of my youth group praying in the pews at my church, something I remember feeling that made me look like a better Christian to be doing, but that didn’t always have my whole heart behind it. The burning candle in this piece represents my faith, drawing on the symbolism of candles through art history, and has a personal connection as it is the Christ candle from my home church, which we keep lit every Sunday. The flowers used in this work include lychnis to symbolize religious enthusiasm, convolvulus for uncertainty, and cowslip for pensiveness and grace.
Figure 3: “Family Tree”
Titled “Empty Pews, Empty Faith”, the second religious identity piece visualizes a time in my life when I had lost much of my faith in God and in the church. In this piece (Figure 5), the triangle is no longer stable on the page, and there’s a lot of emptiness in the work with the empty pew, open and transparent door, and the general negative space of the images on the page. During this time, I felt abandoned by God and by people I considered family within the church for many different reasons, so I wanted to symbolize this through the use of open spaces and a general empty feeling. The center image is from the specific memory I have of running the media for my church’s first online service during the COVID-19 outbreak. During this time, I was sad and felt lost; it caused me to reflect on my dependencies and where I was placing my trust and value, I had started to veer away from the narrative I had been following as a Christian and didn’t know how to get back. Due to the overlap of this time period with the global pandemic there is also a surgical mask included in the right corner of the triangle as representation of that.
Flowers included in this artwork include the Carolina spring beauty for disappointment, raspberry blossom for remorse, meadow saffron for best days past, and wilted periwinkle for (dis)pleasure of memory, the negative of what periwinkle means. Wilting flowers commonly hold a negative association and aren’t pleasant to look at, so I used those correlations to form this opposite meaning for a flower which usually represents a positive meaning. These flowers express more of my sadness, my hopelessness, and general discontent within this period of life and in my spiritual life as well.

Figure 4: “Innocent Belief”


Life Stories: Exploring Personal Identity through Illustrations | 115
Figure 5: “Empty Faith, Empty Pews”
Figure 6: “Eternally Faithful”
Identity through passions
Each of the last two pieces has to do with my identity as formed through the things I am most passionate about. The first is my identity as someone who loves being outdoors and traveling. In my piece titled “Wanderer” (Figure 7), I included images of memorable times I’ve spent in nature throughout my life, from hiking with my dad as a baby, helping with bird captures and releases as a young girl, and just recently on a camping road trip through northern California. Each of these specific moments have come together to form my deep love of nature and every living thing on it, something I think I will hold on to for the rest of my life. Botanical elements in this artwork include magnolia meaning love of nature, laurel kalmia meaning wanderer, lucerne meaning life, and mugwort meaning happiness. They are arranged in a downward triangle reminiscent of the alchemic symbol for earth to represent that deep connection with the earth.

Figure 7: “Wanderer”
The piece entitled “Passion Project” (Figure 8) relates to some of the more positive memories I have as an artist and the ways that has impacted me. The images come from specific memories and moments: my first date at an art museum, drawing as a kid, and a moment of me drawing with colored pencils from one of my favorite projects I’ve made during my time as an art major at ONU. I think all these moments are some of the ways I have seen my passion for art the most and seen how those around me have acknowledged it too. They represent a common narrative in my life of passion and creativity that overflows into other aspects of my life, especially in my relationships with others. The botanical elements chosen also have specific meanings: acanthus for fine arts, auricula for painting (one of my preferred mediums), bay leaf for success, osmunda for dreams, and belvedere princess peony for ambition.

Figure 8: “Passion Project”
Identity unified
The final piece in the show (Figure 9) is the culmination of every other piece in a self-portrait of me as I am at the point of completion of the show. Using elements from the previously described artworks, this piece accounts for how these individual experiences have shaped the core aspects of who I am. These core aspects aren’t visualized in personal imagery in this piece because our identity and life-story is not always obvious from the outside. Instead, this piece relies on previously mentioned botanical elements of wild plum blossom, convolvulus, canary grass, acanthus, and osmunda to symbolize those core aspects of my identity which are featured in the other individual artworks. It also introduces some new flowers: clarkia pulchella meaning know yourself, pimpernel for change, and narcissus for self-love. These all represent specific meanings to me as an individual and, combined with the other elements, explore the intersectionality aspect of identity to represent me as the sum of all my parts, a complicated and whole person.

Flower explanations
Since this exhibition relies on understanding of the hidden meanings of flowers, I thought it was important that the viewers be able to understand those meanings. Through discussions with my professors, we decided that I would create a booklet displaying the flowers drawn, their names, and the meanings attributed to them. I designed this booklet with the flowers listed in alphabetical order by name and added a compendium on the back pages so that viewers could figure out where the flowers were without relying on having to match visuals. By providing this booklet I also was urging my viewers to get up close and personal with the pieces, which also allows them to notice the details within the linework and imagery.
CONCLUSION
I have done much reflecting through the process of this project on my life and my identity. From the initial brainstorming, finding imagery, and adding symbolism, to the actual drawing and creating process, every step was deeply thought through. Some steps in the process involved moments that were hard to process or to think about, some memories bringing back feelings of hurt or abandonment. I think it was important for me to sit and process these memories though because through thinking more deeply I was able to understand how even when I felt the most lost in my personal understanding, I was still becoming who I am today, and the hard times matter just as much as the good memories.
What was difficult for me most through this process was trying to think about how I wanted to label myself in terms of identity. Labels can come with preconceived notions and understandings and can put you in a box you don’t necessarily want to be in. With aspects of my identity that I am still figuring out and processing for myself, I wasn’t sure that I wanted to try and create a category for them that would mean boxing myself in quite yet. So much of the way that I think about myself is just in terms of “this is who I am” without labels so this project pushed me to think more deeply and categorize who I am, something that I think was important for me to better understand the intersectionality aspect of identity.
WORKS CITED
Adler, J. M., Waters, T. E. A., Poh, J., & Seitz, S. (2018). The nature of narrative coherence: An empirical approach. Journal of Research in Personality, 74, 30–34.
BRUNER, J. (1987). Life as narrative. Social Research, 54(1), 11–32.
Etc. (n.d.). Adria Mercuri. Retrieved December 10, 2023, from http://www. adriamercuri.com/drawings-etc
Graci, M. E., Watts, A. L., & Fivush, R. (2018). Examining the factor structure of narrative meaning-making for stressful events and relations with psychological distress. Memory, 26(9), 1220–1232.
It’s All in the Fine [Art] Print: Neva Hosking | Keenia Savannah. (n.d.). Retrieved December 10, 2023, from https://keeniasavannah.wordpress.com/2016/06/25/fineart-print-neva-hosking/
Jacobson, R. A. (2014). We are our stories: Narrative dimension of human identity and its implications for Christian faith formation. Word & World, 34(2), 123–130.
Seaton, B. (2012). The Language of Flowers: A History. University of Virginia Press.
Shields, S. (2008). Gender: An intersectionality perspective. 59, 301–311.
Singer, J. A., Blagov, P., Berry, M., & Oost, K. M. (2013). Self-defining memories, scripts, and the life story: Narrative identity in personality and psychotherapy. Journal of Personality, 81(6), 569–582.
Velasquez, R. (2022). Frida Kahlo: The masterworks. Rizzoli Electa. Williams, D. (Director). (2023, December 8). Life stories: Artist talk. https://youtu.be/PQPRUnenzMs
APPENDIX: ARTIST DISCUSSION
As part of my exhibition of these works, I gave an artist talk going into more depth on the process and meanings behind the pieces. This talk ended with an opening for questions from the audience to me about the works and the ideas behind them. I’ve selected some of those questions and my responses to them from a video recording of my talk as it adds a personal element to the final part of this process and allows for further understanding. Some quotes are slightly edited to account for human errors, but I tried to keep them as honest to the video as I could.
You look through a lot of old photos as references for a lot of your pieces. How is that experience and looking at all those memories and picking specific ones? Tedious and a little bit frustrating sometimes, there were a couple images that was like, I know I have this picture and I don’t know where it is. Some of them were quite easy to know what I wanted right away. I knew I wanted that picture of my sister; I love that picture. The picture in that first religious piece, that image has been in my life for forever, it was posted on Facebook for all the Nazarenes to see. It was a fun process to look back through photos, having to go through unnamed folders and finding pictures of me that I didn’t know existed. It was very reflective on those times in my life, trying to find which picture symbolized best what I was trying to convey.
| ELAIA: The Honors Journal of Olivet Nazarene University
Did you have a favorite to work on, one that was the most fun or interesting to structure or shade?
I think the spiral was the most fun to figure out the composition for just looking at how it was going to make it a spiral. And picking the triangle shapes for the religious identity pieces were fun. I have a whole sketchbook page that’s just me drawing different triangles at different angles.
I was wondering if there’s one or more in particular that you had a hard time figuring out how to visually represent how you felt that was supposed to represent your identity?
There are a few sketches that I abandoned because I did not know how I wanted to go about them. And definitely the current religious identity piece, trying to figure out what I wanted to put in that one, what is a good symbol of what I feel now. It’s so vulnerable to talk about this in front of all of you and so for some of those pieces I said, “Maybe I need more time to figure out how I want to visualize this and whether I want to share it in front of a bunch of people”.
How did you first get into the symbolism behind flowers, what was your first experience with that?
I don’t know when I first found out about that. But I know that it has come back into popularity. I definitely knew about it before this project which is why I wanted to include it.
122 | ELAIA: The Honors Journal of Olivet Nazarene University
VOLUME 8
ELAIA: The Honors Journal of Olivet Nazarene University
| ELAIA: The Honors Journal of Olivet Nazarene University

DNA Metabarcoding of Bombus Pollen in Kankakee County
Grace E. Beatty
ACKNOWLEDGEMENTS
Mentorship and guidance were graciously provided by Dr. Nicholas Troendle and Dr. Derek Rosenberger of Olivet Nazarene University. Financial support was given by the honors program and Biology Department at Olivet Nazarene University. Additional support was provided by Constance Beatty, Jillian Becksfort, and Gabriel Estby.
ABSTRACT
Bumblebees are an important pollinator organism, contributing to the success of plants. However, there is limited information about what plants are pollinated by bumblebees in Kankakee County. Current research describes bumblebee surveys, but no studies analyze bee products such as pollen using genetic technology. In this project, DNA metabarcoding was used to determine the species of flowers used by Kankakee County bumblebee populations, leading to a better understanding of what species are most important to these pollinators throughout the flowering season. This process of sequencing gave a better understanding of the species of flowers represented in pollen samples taken from local bumblebees because of the in-depth genetic analysis performed. The most prominent flowers found in the pollen were unexpected compared to the flowers that the bumblebees were found on. Also, the results showed that bumblebees without pollen in corbiculae were not suitable for sequencing because the DNA concentration of the samples was too low. The knowledge gained through this project can help conservationists understand what resources local bumblebee species prefer to increase healthier population numbers.
Keywords: bumblebee, DNA metabarcoding, Geneious Prime
REVIEW OF LITERATURE
Bumblebees are one of the best pollinators because they are very hairy and have larger bodies than other bees, which allows them to collect more pollen and efficiently pollinate flowers (Nayak, 2020). These species are important to the agriculture industry because of their stellar pollination ability. It is important to understand the role bumblebees play in their environment, since they are a species that is important to human survival.
Kankakee County, Illinois has an understudied bumblebee population. This is partially due to limited historical conservation work being done in this area, specifically at the new Swanberg Sanctuary in Momence, IL as well as the ONU Prairie in Bourbonnais, IL. The Swanberg Site was used as farmland until the Swanberg family decided to restore the property to native prairie. In early 2023, the family granted the land to Olivet Nazarene University so that students and faculty could work together to continue the restoration process. Since this land is in the process of being restored, little information about its bumblebee populations has been gathered. It is unknown whether the restoration is affecting the populations of pollinators. Studying this area will help conservationists better understand what resources these familiar species need to improve population numbers. The ONU Prairie has finished restoration but the bumblebee populations have not been thoroughly studied. The two species that were researched are Bombus griseocolis and Bombus impatiens. These species are common to the Midwestern United States, so understanding their ecological networks will help conservationists create healthier populations of these species in this area as well as across the Midwest.
| ELAIA: The Honors Journal of Olivet Nazarene University
Because little is known about what flowers Kankakee County bee populations are visiting, the use of high-throughput DNA metabarcoding sequencing traces of genetic information from a sample, was performed to identify the types of plants visited. This technique has become a fast-growing technology for genetic sequencing in the last few years. It allows researchers to do sequencing faster and at a much higher volume than previously with Sanger sequencing (Taberlet 2012) Most older methods were time consuming and yielded relatively little information; however, the power of DNA barcoding allows for quick and accurate identification of pollen and has become a standard method for these types of studies especially as the cost of DNA sequencing continues to fall (Prudnikow, 2023). DNA metabarcoding attaches barcodes to samples and reads the bases that are found at each barcode. The nucleotide sequences found in the samples are then submitted to an online database to look for matches to other organisms.
Many researchers have considered using barcoding technology for understanding pollinator networks. Some of the applications for this include understanding native versus cultivated bee populations, pollen protein content, and identification of pollen in herbal products. In one study, native and cultivated bee populations were examined to determine if cultivated species were threats to native species. Pollen was collected from both sets of bees to see if they used the same resources. DNA metabarcoding was able to help determine that honeybees carried more pollen and were more prevalent than native bees (Elliot, 2021). Sequencing was used to identify matching genes in multiple samples of herbal products to find evidence of animal, plant, and fungal species. Eight barcodes successfully matched with controls, indicating that this method could be used for reliable genetic identification (Zhang, 2023).
Another study was conducted where researchers used metabarcoding to determine whether bees chose certain flowers because of specialization. They found that many bumblebees are opportunists: rather than specializing in a single plant type they utilize flowers to maximize food intake (Pornon, 2019). However, another study showed that protein content of flowers mattered to the bees more in later summer months when bees were storing protein for winter than in the earlier summer months (Quinlan, 2021). This was determined through using DNA metabarcoding to quantify the amount of protein in the pollen during different seasons.
Another use of DNA metabarcoding is determining what flower resources bumblebees are using. Multiple studies have been conducted on this, including on orchid species, where the researchers did not use PCR amplification in order to examine relative abundance of flower species, not just composition (Huili, 2021). This study determined that PCR, originally thought to be a necessary part of DNA metabarcoding, is not necessary to produce meaningful results. DNA metabarcoding has become the most common method for molecular palynology (the study of pollen) in the last decade (Prudnikow, 2023). A study similar to the present study examined pollinators to determine flower species composition by trapping bees, vortexing them, extracting DNA from their pollen using a Machery-Nagel Nucleospin Food kit, amplifying it with PCR, and then comparing it to GenBank (Bell, 2017).
Another paper discussed nanopore-sequencing generally, specifically in the field of palynology in terms of plant-pollinator interactions.
These studies have demonstrated DNA metabarcoding as an effective tool for studying plant-pollinator networks. This technique can reveal multiple flower species that a bee has visited, something that could not be easily determined by simply recording the flower that the bee has landed on, which is the predominant method for studying bumblebee populations currently. DNA metabarcoding is promising for learning more about the bumblebee populations in Kankakee County.
METHODS
The first portion of this study was surveying the ONU Prairie and the Swanberg Sanctuary mid-June through September to collect pollen from two species of Bombus. These locations were chosen because they have large amounts of prairie that bumblebees inhabit and are easily accessible. Time constraints limited this project to one field season; however, it spanned late spring to fall to cover multiple weather patterns and times of year. This pollen was analyzed using National Center for Biotechnology Information (NCBI) online databases for species of local flora the bees have visited across a field season (Sickel 2015). There were twenty samples collected from the ONU Prairie and one sample collected from the Swanberg Sanctuary. Twenty-two samples were also taken from Riverside Medical Center on non-prairie flowers to examine non-native floral use. This could show the importance between the difference in native and nonnative flowers for pollinator use. Samples of B. griseocolis and B. impatiens were collected with butterfly nets and collection tubes across these two locations over the summer and fall of 2024. Each site was sampled by walking for thirty minutes along a 100-meter transect to find bumblebees with pollen. Pollen was taken from the bumblebee’s pollen sacs, called corbiculas, in the field, so that the bees could be released. In the lab, DNA was purified using a DNeasy Plant spin kit according to Qiagen protocol and sequenced using a MinION sequencer according to Oxford Nanopore protocol. Data was analyzed with Geneious software to determine what species of plants matched with the barcodes from the bumblebee samples. The files from sequencing were imported to Geneious and then run using the BLAST tool. These runs created a hit table that showed the description of what organism the sample matched with and a grade of confidence. Hits with a grade of 70% or higher were noted and tallied to build a chart of most prominent species of flower per bumblebee. This number was chosen to exclude poor quality hits while allowing a large amounts of hits per bumblebee to encompass all of the species the bee visited.
A second portion of the project looked at whether bees that did not have pollen in their pollen sacks could be washed and sequenced to determine flower species composition. This was done by collecting bees and washing them with deionized (DI) water, as outlined in Aringstall et al. (Aringstall, 2023). Bees without pollen in their sacs were collected at Riverside Medical Center in October of 2024 and vortexed in water. The DNA was purified using a DNeasy Plant spin kit and would have followed the same workflow for sequencing and analysis as the first phase of the project; however, none of the samples were up to the quality standard for sequencing.
ELAIA: The Honors Journal of Olivet Nazarene University
RESULTS
Plant data was compiled for the ONU Prairie and the Swanberg Sanctuary. When doing transects at these locations, the Prairie was split in half and the Sanctuary was split into quarters. The plant data for these locations are reflected in Figures 1 through 6.


| ELAIA: The Honors Journal of Olivet Nazarene University

These plant data show lower numbers of wildflowers than expected, especially at the Swanberg Sanctuary. There were no records of floral composition since it was replanted in 2008, however it was thought that because of the restoration there would be a healthy wild flower population.
Forty-three bumblebees were collected across the three sites. Twenty-one were collected for the seasonal part of the project, four were collected from non-native plants, and eighteen were collected without pollen sacs, called corbiculas. Table 1 gives a breakdown of the mass of pollen collected from the seasonal bumblebees, the amount of DNA extracted, and the absorbance values from each sample. These values give context for the amount of pollen that was taken off of the bee and the amount and quality of DNA extracted from those pollen samples. Sequencing criteria required that samples to have absorbance values of at least 1.5 at OD 260/280 and at least 1.5 at OD 260/230. These ratios of wavelengths are used to assess the quality of DNA and to determine if there are unwanted compounds in the sample. The concentration of DNA also needed to be above 5 ng/uL. These parameters were set because the MinION sequencer needed enough quality DNA in the samples to be able to read them properly.


Table 2 highlights the results of the mass of pollen collected from the bumblebees that did not have any pollen in corbiculae form. None of these samples were able to be sequenced because their concentrations and absorbance values were too low for the sequencer to be able to read by the MinION sequencer.
Table 2. Mass, nanograms of DNA per uL and absorbance values for samples that did not have visible pollen
None of these samples were sequenced

The Geneious software produced hits that were tallied to understand the plant species that the pollen contained. The hits describe areas in the genetic information of the sample that match a specific organism, as found in the NCBI databases. There were multiple hundreds or thousands of species results per bumblebee, demonstrating that each bee visited hundreds or thousands of species of flowers. The plant species with the most hits tallied per bumblebee were compiled into a chart. Figures 7 through 21 show the top plant species by number of hits for bumblebees 1, 2, 3, 5, 6, 7, 10, 14, and 17. Bumblebee 6 did not have any results when it was run through Geneious, so it is not represented in a chart.

| ELAIA: The Honors Journal of Olivet Nazarene University

Metabarcoding of Bombus Pollen in Kankakee County

| ELAIA: The Honors Journal of Olivet Nazarene University



138 | ELAIA: The Honors Journal of Olivet Nazarene University


| ELAIA: The Honors Journal of Olivet Nazarene University

DISCUSSION
One of the major obstacles during the data collection period was a lack of wildflowers. At the Swanberg Sanctuary, there were not high volumes of flowers at the beginning of the field season. However, when August arrived, there were even fewer. There was a general lack of pollinator species present, and bumblebees were especially few and far between. In contrast, the ONU Prairie hosted a large number and variety of flowers throughout the summer, but it also was not very abundant in July. This led to an overall lack of pollinator species, especially bumblebees. During the month of July there were more honeybees and wasps at the ONU Prairie than at the Swanberg Sanctuary, however there were not more than twenty pollinators seen per survey.
In late July and early August this lack of blooming flowers led to a lack of bumblebees. This was unusual, as usually flowers in Kankakee County are in bloom and bumblebee activity peaks during these months. This could be related to a dry summer, although the rainfall in August was only a tenth less than the mean rainfall for August in the last 24 years (U.S. Department of Commerce). Multiple surveys were conducted throughout the season (especially late July and early August) that no bees were collected during, which hindered the sampling size and results. In addition, many of the bumblebees active at this time had no pollen on them, and therefore could not be collected. The second phase of the research project, where bees were rinsed for pollen, was added to determine if those bees without visible pollen in corbiculae had enough non-visible pollen to still be sequenced. The results of this test were negative, as many of the DNA concentrations that came off the washed bees were unviable and had unusable absorbance values. The methods for this phase of
the project were based off previous research projects that demonstrated viable results, so the unviable results were most likely the result of either human error or truly no pollen on the bumblebees (Aringstall, 2023).
The sequencing results were somewhat unexpected. The bees that were able to be sequenced were caught on one of two main plant species: Asclepias syriaca (Common Milkweed) or Achillea millefolium (Yarrow). These species, despite being the site of capture, were not represented in the top hits. Also, many of the species that were in the top hits were not represented in the plant surveys taken throughout the season. One explanation for this could be that the ONU Prairie, where all sequenced bees except for bee #1 were caught, is close to a neighborhood with multiple gardens. Many of the species in the top hits are common garden herbs such as Mentha (Mint), Origanum (Oregano), and Salvia (Sage) that were not flowering within the prairie itself but within reasonable distance for the bumblebees to travel for pollen. This could explain why many of the common prairie flower species found on the prairie transects, such as Rudbeckia hirta, Monarda fistulosa, and Solidago juncea are not as prevalently found within the pollen samples as the herbs are. It could also explain the lack of bees on the prairie wildflowers that were being surveyed. Mint, oregano, and sage species were commonly found in the bumblebee pollen, so the next time Olivet Nazarene University plants these sites, herbs might be a top choice to foster Bombus populations. This research seems to present that home gardens could be just as important for bumblebee populations as prairies, since the pollinators seemed to be more interested in the garden herbs than the wildflowers.
The data analysis was arduous. The computer that Geneious Prime was logged into was old and did not have much processing speed. Geneious was used to perform a BLAST search, which searches the databases of the NCBI for matching genetic data. The BLAST runs took a long time to complete, often stalling in the middle of a run because the computers available could not process how large the files were. The files were large in part because of the choice to not perform PCR before sequencing, which would have created smaller sections of DNA and would have decreased the overall size of the files. The number of files per bee ranged from 435 to more than 300,000, which had to be sorted through individually. These files yielded upwards of 10,000 hits per bee, which also had to be sorted through to tally the number of hits. This led to a painstaking number of hours spent sifting through millions of hits to compile in Excel, which was too complicated to fit into the time frame of this project. Bumblebee #8 yielded no results from sequencing, which was only realized after hours of running BLAST. The technology difficulties were a learning curve that kept presenting more issues. In the future, using a computer with a higher RAM capability and using PCR before sequencing to limit the file size would limit technology issues. Also, capping the grade of hits at 90% would have scaled down the amount of data to sift through, which might have made data analysis faster.
This project aimed to show the usefulness of DNA metabarcoding in pollinator surveys, and this goal was accomplished. The plants represented in the pollen samples show a broader story of what plants bumblebees prefer. Examination of
solely the flower species a bee has landed on gives only a very small glimpse into the reality of the multitude of species the bumblebee has visited. This is not as helpful to conservationists as the whole story that DNA metabarcoding presents. This is significant, as most research on bumblebees has not been done on the genetic level. DNA metabarcoding presents a different way to explore plant-pollinator interactions, which could determine new methods for conservations to foster healthy bumblebee populations.
REFERENCES
Arstingstall KA, DeBano SJ, Li X, Wooster DE, Rowland MM, Burrows S, Frost K. 2023. Investigating the use of pollen DNA metabarcoding to quantify bee foraging and effects of threshold selection. PloS ONE. 17(4): 1–19.
Bell KL, Fowler J, Burgess KS, Dobbs EK, Gruenewald D, Lawley B, Morozumi C, Brosi, BJ. 2017. Applying pollen DNA metabarcoding to the study of plant-pollinator interactions. Appl plant sci. 5(6): apps.1600124.
Elliott B, Wilson R, Shapcott A, Keller A, Newis R, Cannizzaro C, Burwell C, Smith T, Leonhardt SD, Kämper W, Wallace HM. 2021. Pollen diets and niche overlap of honey bees and native bees in protected areas. Basic and Applied Ecology. 50. 169-180.
Heckenhauer J, Barfuss MH, Samuel R. 2016. Universal multiplexable matK primers for DNA barcoding of angiosperms. Applications in plant sciences. 4(6), apps.1500137.
Li H, Xiao W, Tong T, Li Y, Zhang M, Lin X, Zou X, Wu Q, Guo X. 2021. The specific DNA barcodes based on chloroplast genes for species identification of Orchidaceae plants. Sci Rep.11:1424.
Lowe A, Jones L, Witter L, Creer S, de Vere N. 2022. Using DNA metabarcoding to identify floral visitation by pollinators. Diversity. 14(4):236.
Nurhasanah S, Nurmaya P. 2019. Amplification and analysis of rbcl gene (Ribulose-1,5- Bisphosphate Carboxylase) of Clove in Ternate Island. IOP Conf. Ser.: Earth Environ. Sci. 276.
Oliver AE, Newbold LK, Gweon HS, Read DS, Woodcock BA, Pywell RF. 2021. Integration of DNA extraction, metabarcoding and an informatics pipeline to underpin a national citizen science honey monitoring scheme. MethodsX. 8.
Pornon A, Baksay S, Escaravage N, Burrus M, Andalo C. 2019. Pollinator specialization increases with a decrease in a mass-flowering plant in networks inferred from DNA metabarcoding. Ecology & Evolution. 9:24 13650–13662.
Porter TM, Hajibabaei M. 2018. Over 2.5 million COI sequences in GenBank and growing. PloS ONE. 13:9 1–16.
Potter C, de Vere N, Jones LE, Ford R, Hegarty MJ, Hodder KH, Diaz A, Franklin EL. 2019. Pollen metabarcoding reveals broad and species-specific resource use by urban bees. PeerJ
Prudnikow L, Pannicke B, Wünschiers R. 2023. A primer on pollen assignment by nanopore-based DNA sequencing. Frontiers in Ecology and Evolution. 11.
Qu Y, Legen J, Arndt J, Henkel S, Hoppe G, Thieme C, Ranzini G, Muino JM, Weihe A, Ohler U, Weber G, Ostersetzer O, Schmitz-Linneweber C. 2018. Ectopic transplastomic expression of a synthetic matK gene leads to cotyledon-specific leaf variegation. Frontiers in Plant Science. 9.
Quinlan G, Milbrath M, Otto C, Smart A, Iwanowicz D, Cornman RS, Isaacs R. 2021. Honey bee foraged pollen reveals temporal changes in pollen protein content and changes in forager choice for abundant versus high protein flowers. Agriculture, Ecosystems & Environment. 322.
Sickel W, Ankenbrand MJ, Grimmer G, Holzschuh A, Härtel S, Lanzen J, SteffanDewenter I, Keller A. 2015. Increased efficiency in identifying mixed pollen samples by meta-barcoding with a dual-indexing approach. BMC ecology. 15(20).
Swenson NG. 2023. Pollen load analysis of native spring bees in Eastern Wisconsin. United States – Wisconsin, US: University of Wisconsin – Green Bay.
Taberlet P, Coissac E, Pompanon F, Brochmann C, Willerslev qE. 2012. Towards next-generation biodiversity assessment using DNA metabarcoding. Molecular Ecology. 21:2045-2050.
US Department of Commerce, N. (n.d.). NOWData - NOAA Online Weather Data. Retrieved March 14, 2025.
van der Heyde M, Bunce M, Nevill P. 2022. Key factors to consider in the use of environmental DNA metabarcoding to monitor terrestrial ecological restoration. Science of The Total Environment. 848.
Zhang Z, Mu W, Kong W, Liu J, Zhao J, Zhao Q, Shi M, Zhao H, Liu J, Shi L. 2023. Validation of the shotgun metabarcoding approach for comprehensively identifying herbal products containing plant, fungal, and animal ingredients. PloS one. 18(7) e0286069.
| ELAIA: The Honors Journal of Olivet Nazarene University

Characterization of the Current Tallgrass Prairie Plant Communities and the Effect of Burning on Prairie Plant Communities at the Swanberg Sanctuary
Jillian E. Becksfort
ACKNOWLEDGEMENTS
Financial support for this project was provided by the Pence Boyce Foundation and the Biological Sciences Department. Mentorship and guidance was provided by Dr. David Hoekman, Associate Professor at Olivet Nazarene University. Assistance with the implementation of controlled burning was provided by Joe Galloy, Director of Parks and Facilities at Bourbonnais Township Park District. Assistance with data collection was kindly provided by Dr. Hoekman, Grace Beatty, and the Advanced Botany class of Fall 2024.
ABSTRACT
In 2022, a 100-acre restored prairie was donated to Olivet Nazarene University by the Swanberg family, and Olivet was tasked with its continued management and care. Prairie management techniques such as burning, mowing, and grazing are all forms of periodic disturbance, each with unique benefits for the prairie plant communities. Controlled burning, for example, can positively impact root growth as well as increase seed germination by exposing the soil to the sun. This research study evaluates two different hypotheses: H1: the grassland plant community at the Swanberg Sanctuary will reflect but have diverged from the species composition that was planted in 2008. H2: the land management practices of burning will significantly change the grassland plant communities compared to control plots. The first hypothesis, which addresses potential changes in the Sanctuary plant community, was evaluated by performing point counts and wandering transects and comparing them to historical data. Our data show that only seventeen of the original forty-six plant restoration species remained on the site, while forty-three new species appeared in the prairie. We tested the second hypothesis by burning nine small (1x3m) plots in the prairie and performing stem counts and biomass collections in both burned plots and adjacent unburned areas. We found that burning the prairie in the spring resulted in a 33.8% increase in large grass stem biomass, as well as a 250% increase in large grass stem density. We demonstrated that spring burning is an effective way to maintain the Sanctuary as a grass-dominated prairie. Characterizing the current community creates a foundation of initial data that future research projects can build on, and evaluating the effects of burning on the Sanctuary prairie will provide the prairie managers with data that may help them make a management decisions that will be the most beneficial to the prairie.
Keywords: prairie management, controlled burning, restored habitat, plant communities, stem counts, biomass, transect, grass stem, forbs
INTRODUCTION
Prairie management methods
Managing a restored prairie ecosystem is an involved process that focuses on maintaining the existing plant and animal communities. Woody encroachment is the most notable challenge when managing tallgrass prairies. Woody encroachment is the process through which, in the absence of disturbance, the community of grasses, forbs, and all the prairie-associated wildlife will become taken over by shrubs and trees (Bragg & Hulbert, 1976), eventually turning a grassland into a woodland. The encroachment of woody plants has far-reaching effects on not just the plant community in the prairie but the hydrology and topography of the prairie as well (Acharya 2017). When woody plants are present, water drains deeper into the ground, making it harder for forbs and grasses to access that water. This decreased resource availability for prairie plants promotes the growth of more shrubs and trees, reinforcing woody encroachment and filling the spaces where tallgrass prairie plants once were.
Periodic disturbance of the prairie can prevent this from happening, killing woody species and stopping shrubs and trees from growing large enough to cause these changes. There are many methods of disturbance, but two of the most popular methods are mowing and burning. Both prevent woody encroachment successfully but have different side-effects on the prairie. These effects need to be carefully evaluated before implementing them on a large scale at a restoration site like the Sanctuary.
Effects of burning
Fire is a form of natural disturbance that prairies are well adapted for. Before humans got involved, lightning strikes would start these fires. Later, Native Americans began the process of actively and intentionally managing the landscape through fire. Regardless of how the fire was started, the effects of the burning are the same. Fire removes litter and dead biomass from the surface of the ground, which is hard on woody stem species but helpful for native grasses. Fire also exposes the soil and shallow roots to the warmth of the sun and increases seed germination (Helzer, 2021). Burned plots of land have been shown to have increased root biomass and root depth (Kitchen et al., 2009) that could have a positive effect on aboveground plant biomass and plant productivity, since plants with larger root systems have better access to nutrients and water. Burning also correlates with higher amounts of carbon sequestered in plant roots as compared to unmanaged plots, which could lead to higher growth rates and increased overall plant biomass (Kitchen et al., 2009).
Burning can also impact the diversity and distribution of plant species within the tallgrass prairie. Increased fire frequency can lead to an increase in plant species diversity and decreases in distribution evenness when implemented in a midsuccessional plant community (Bowles & Jones, 2013). The Sanctuary is a recently established prairie (restored in 2008), putting it somewhere in the early-to-mid successional range. As such, these effects could potentially be observed in the burned plots. On the other hand, a lack of management or disturbance has been observed to cause issues with decreasing numbers of spring forbs and decreasing numbers of nitrogen-fixing species (Bowles & Jones, 2013). It’s possible that the data could support these observations in the mowed and unmanaged plots.
Fire affects not only the plants in the prairie, but other variables in the prairie’s ecosystem such as animals and fungi. The effects of fire on ground-dwelling arthropods are highly variable and hard to predict. These organisms are affected by fire in a variety of ways that are dependent on the timing of the burn, arthropod mobility, life stage, and feeding (Kral et al., 2017). Ground-dwelling arthropods are also highly impacted by ground litter and available shelter, with different species of arthropods having different preferences for open-air, shelter, and amount of litter (Kwok & Eldridge, 2015). In order to evaluate how burning affected prairie arthropod communities, pitfall samples were collected in both burned and unburned areas of the prairie.
Effects of mowing
Mowing affects many of the same environmental factors of the prairie ecosystem as burning does but in different and variable ways. In a 2001 study performed on coastal prairie grasslands at the Bodega Marine Preserve in Bodega Bay, California, Maron & Jefferies noted that mowing and subsequent biomass removal had dramatic effects on plant species diversity, with lower amounts of exotic grasses and higher amounts of native and non-native wildflowers in mowed plots at the end of a five-year trial. This change in plant species caused significant changes in the ability of the soil to retain nitrogen, with mowed plots retaining higher amounts of nitrogen due to higher belowground biomass (Maron & Jefferies, 2001).
A Nebraska study on restored prairies found that mowing without removing plant biomass has little to no effect on root biomass. Consistent mowing has been shown to have a relatively neutral effect on root biomass and root carbon storage (Kitchen et al., 2022). In areas of land that had previously been burned and were then mowed, root biomass and carbon storage decreased by nearly 30%, but if the plots had never been burned, there was no significant decrease in root biomass or carbon storage when the plots were mowed (Kitchen et al., 2022).
Mowing and burning effects on soil communities
Soil bacteria and fungi may also play a role in the effects of burning and mowing on the plant community (Zhu et al., 2021). Due to their role in decomposition, bacteria and fungi are critical members of any soil community. In a 2021 study done on tallgrass prairie restoration sites at the Glacier Creek Preserve in Nebraska, Zhu et al. looked at the differences in soil bacteria and soil fungi between mowed and burned plots. The largest difference was not in the abundance of soil bacteria or fungi, but differences in the types of fungi and bacteria. Mowed areas showed higher levels of pathotrophic fungi (fungi that gain nutrients from attacking host cells and are considered to cause disease), whereas burned areas showed high levels of saprotrophic (responsible for decaying natural organic matter) and symbiotrophic fungi (fungi that establish symbiotic relationships with other soil microbes) (Zhu et al., 2021). Diseases caused by pathotrophic fungi can reduce the growth rates and biomass of plants that are affected.
The kinds of bacteria and fungi found in burned areas are generally considered to be beneficial for plant growth and species richness (Zhu et al., 2021), so burned areas in the Sanctuary may show higher plant biomass or varied plant diversity. The measurement of prairie soil communities on a microbial density and activity would be an excellent addition to the proposed study but lies outside the scope of the proposal due to limitations of time and budget.
Setting and background: the Swanberg Sanctuary
The Sanctuary is 100 acres of land located in Momence, Illinois, north of the Kankakee River and roughly a 15-minute drive east of Olivet’s campus. This prairie was used as agricultural land before its restoration to natural prairie habitat in 2008. The ONU biology department faces a lack of recent information about
the Sanctuary’s plant communities, as well as uncertainty about which prairie management techniques to implement. In the past, the Sanctuary’s prairies have been managed through mowing. It is the goal of this study to evaluate the impacts and effects of burning and mowing on the Sanctuary. Images of the Sanctuary can be found in Figure 1.


We have some knowledge of which plant species are present in the prairies of the Sanctuary. The restoration work was done by the Land Resource Management Group. A total of 55 species were planted initially. In addition, in the summer of 2023, ONU students surveyed bee and butterfly populations along two transects in the prairie at the Sanctuary and noted on which plants these insects were found. A total of 19 different plant species were recorded during these transects.
Goals of research
Plant communities in tallgrass prairies are influenced by different management techniques such as mowing, strip tilling, grazing, and burning. The effects of these prairie management techniques on plant communities have been previously studied in a variety of contexts (Packard et al., 1997). The Sanctuary contains a recently restored prairie that has to this point only been mowed. However, fire is costeffective and increasingly recognized as a crucial method of grassland disturbance that promotes healthy prairies. The goal of this study will be to document existing prairie plant communities at the Sanctuary, compare the existing plant community to the original Sanctuary restoration plans from 2008, and research how mowing and burning may affect those plant communities in the future. This research will inform our management of the sanctuary moving forward.
Significance of research
This study is designed to inform future prairie management decisions and build a solid foundation for future research done at the Sanctuary. Though we have some knowledge of the prairie plant communities at the Sanctuary, this work involves a more extensive plant survey. Establishing an understanding of the Sanctuary’s existing prairie plant communities will allow for more in-depth research to be performed in the future. This study is not only limited to plant community description; it also aims to take existing research about the effects of burning and mowing on plant communities and apply it to the Sanctuary. We need to make decisions about how we’re going to maintain and perhaps even enhance the restored prairie, and there’s debate over how exactly to do it. Trying the different management methods on small sections of the prairie will facilitate decisions about what course of action to take in the future.
METHODS
Plot locations
A total of 10 treatment plots were demarked in the prairie habitat on April 16, 2024. Nine of these treatment plots were burned and can be found in the lower eastern prairie, but in contrast the 10th plot was mowed and can be found in the lower western prairie (Figure 2). When these plots were created, factors such as soil hydrology were taken into account. Differences in elevation and slope can have impacts on the growth of tallgrass prairie plants. Lower elevations and slopes hold more water and may result in increased aboveground biomass for the plants growing there (Nippert et al., 2011). It is important to note that there are moisture gradients present in the prairie at the Sanctuary, with a slight slope downhill from north to south. Plots were grouped in the southeastern prairie area to reduce the effects of the moisture gradient on the results.

The mowed plot was an opportunistic addition to this study. It was mowed during the summer of 2023 due to a tree falling across the path, effectively implementing another form of treatment a full 8 months earlier than the burning treatment. Due to the timing of the mow, we felt that no more mowed plots could be added as ‘time of year’ would become an additional variable for any mowed treatments. Additionally, at the time of burning, no more mowed plots could be added because there was nothing to mow. All of the grass that had died the previous fall was now flattened into the ground, and there weren’t any new grasses yet. In order to implement mowing, we would have needed to be mowing plots during the previous summer of 2023.
Burning methods
Prior to burning, basic certifications of wildland firefighting had to be obtained in order to be able to implement any burn treatment. The courses that were taken included S-190, S-130, IS-100, and L-180, and they were completed online through the Emergency Management Institute and the National Wildfire Coordinating Group. Additional in-person training was completed with local firefighters and land managers. After our certifications were completed, staff members from Perry Farms (Bourbonnais, IL) provided equipment and assisted with the controlled burning. Burning of the research plots was completed on April 16, 2024. We used matches to light the fires, then snuffers and water backpacks were used in order to control the size of the area being burned. Though the burned areas varied in size, all plots were generally 1x3 meters in area. Exact size of the plots could not be controlled due to factors such as wind and temperature that impacted the speed and spread of each individual burn.
We established three 0.25m2 subplots within each burned plot and three more just outside each plot in the adjacent unburned prairie (paired sub-plots). The total number of subplots (both in and out of the treated area) was six for each plot. The mowed plot had an identical setup to allow for easier comparison between burn and mow data. A variety of variables were measured in each of these sub-plots to evaluate the effects of the burning/mowing treatments, including stem counts, biomass collections, and pitfall traps.
Burn treatment data collection
In order to survey plant biodiversity and density in each treated area, we conducted stem counts. This process began by identifying locations for subplots. These subplot locations were selected when no plants had yet grown, which prevented any unconscious bias. Yellow flag markers were placed at two opposite corners of a 0.25m2 PVC pipe square frame, creating an outline of the data collection area. Later in the season, after the plant species had become identifiable, the PVC outline was placed around the base of the subplot perimeter, and all the stems inside the subplot were identified and counted. Plant species identification was done using iNaturalist as well as field guides such as “Prairie Plants of Illinois”. (Chadde et al., 2019) This was done for each subplot in each plot totaling 60 samples. Fifty-four samples had received the ‘burn’ treatment, and 6 samples had received the ‘mow’ treatment. Biomass collections were performed at the end of the growing season, on September
ELAIA: The Honors Journal of Olivet Nazarene University
15. Aboveground biomass was collected from each subplot, roughly from the locations of the 6 subplots. Each sample was collected by using a 45 cm2 template to outline the area from which biomass was harvested. We used gardening shears to slice the biomass off at the ground level. The biomass was placed into labeled brown paper bags and air dried for one week, oven dried at 35 degrees Celsius for 24 hours before weighing. We used a t-test to compare biomass measurements in the treated areas vs untreated areas.
Pitfall traps were dug and placed in late May. Two cups were used in each trap – the first cup to hold the soil in place and maintain the location of the trap, and the other to sit inside the first cup and collect arthropod samples. Corrugated plastic covers were used to prevent debris, rain, and unwanted organisms from entering the pitfall trap. Each time the traps were set, the cups were filled with roughly three ounces of propylene glycol and a few mL of soapy water and then placed into the lower cup and covered. After 15 days, the top cups containing the sample were removed from the pitfall traps and the samples were strained and placed in glass bottles with ethanol for storage. Arthropod samples were collected at the beginning of June, the end of July, and the beginning of September. Identification and analysis of the arthropod samples has not yet been done.
Plant community composition data collection
The most thorough information available about the Swanberg Sanctuary’s plant communities is a list of the plant species used during the restoration process in 2008. Over 16 years have passed since the Sanctuary was first restored, and though the restoration list may be helpful in providing a baseline for what plants might be found in the prairie, the current prairie plant community is relatively unknown.
For hypothesis 1, regarding prairie plant community composition, two types of transects were performed over the course of the research period: wandering transects and point count transects.
Wandering transects were performed within a set time period that was dependent on the size of the area being covered. For the upper eastern prairie, upper western prairie, and lower western prairie, the time period was one hour. For the two lower sections of the eastern prairie, the time period was twenty minutes due to greatly decreased area. During each transect, no specific line was followed while the plant species within each area were found, identified, and recorded. These transects were repeated twice during the summer season, on July 2-3 and August 23-24.
Point count transects were performed once, in the middle of August, largely due to the timing of the emergence of grass seed heads that were crucial for grass identification. Performing these transects any sooner would have produced unsatisfactory results with high degrees of uncertainty. Diagonal transects were taken across each section of the prairie, and after each step was taken, the plant species directly next to the outside arch of the foot for both the right and left feet were identified and recorded. Each step resulted in two data points that were used to characterize the main species present in each prairie.
In addition to above-ground plant data, soil data was also collected. Soil samples from each of the 10 treatment plots were collected in late May. Phosphorous and potassium tests were run on these soil samples (LaMotte Soil Testing Kit 5934-01, Baltimore, Maryland). Nitrogen tests were attempted but were unsuccessful due to complications with the reagents.
RESULTS
Hypothesis
1: Differences in plant community composition
The plant communities that were surveyed in 2024 differed from those planted in 2008 (Figure 3). The left side of the diagram shows the plant species originally planted, whereas the right side of the diagram shows the plant species that were found during the summer of 2024. Only 17 species overlap between the two lists. 55 total plant species are listed in the restoration plans, showing a loss of 37 plant species in between 2008 and 2024. However, an additional 49 species were identified that were not on the original restoration list.

Spatial variation can be found across the two halves of the prairie. The point counts that were performed across each prairie section were combined to create summarizing pie charts of each major prairie section (Figure 4). The west prairie contains 33% big bluestem and 21% goldenrod, that is in high contrast to the east prairie, which contains only 16% big bluestem and 37% goldenrod. All of the plant species found in the pie charts vary across space in this environment


The pie charts in Figure 5 were combined to form the west prairie pie chart in Figure 4. Each pie chart goes with the appropriate prairie section labeled in Figure 2. The three pie charts found in Figure 5B were combined to form the east prairie pie chart in Figure 4.
There is also spatial variation within each of the smaller sections that make up each half of the Sanctuary prairie. The west prairie can be divided into an upper and lower sections, and the east prairie can be divided into an upper section and two lower sections (left and right). Each of these has their own unique plant community composition. For instance, the lower west prairie is made up of 14% other forbs, whereas the other sections range from 3-8%. Additionally, most of the prairie sections averaged between 15-35% goldenrod composition, whereas the lower right east prairie is made up of 57% goldenrod. All of the burned plots were located in this lower right section of the east prairie. The plant communities in the Sanctuary vary across space. This variability in community composition and concentration of our plots in one area of the prairie is a potential weakness in our experimental design.


Hypothesis 2: Effect of burning on prairie plant communities
The experimental data analysis began with comparisons of burned plant communities to unburned plant communities. This was done with data collected from stem counts. Three samples were counted inside the burned area and three samples were counted outside the burned area, and this was done for each of the 9 burned plots. Stem count data samples from in and out of burned plots were averaged together to form summarizing pie charts of burned and unburned plant community composition (Figure 6).
Big bluestem benefited from the burned treatment, making up 24% of burned plots compared to 8% in unburned plots. Indian grasses saw an increase as well, rising from 8% in unburned plots to 13% in burned plots. The ‘other grasses’ category decreased in burned areas, dropping from 63% in unburned plots to 43% in burned plots.
Overall, unburned plant communities (Figure 6A) were made up of over 60% ‘other grasses’, 19% goldenrod, 8% Indian grass, 8% big bluestem, and 2% gray headed coneflower. Little bluestem and other forbs made up less than 1% of samples, so they were not included in the pie chart. Burned plant communities (Figure 6B) are made up of 43% other grasses, 13% Indian grass, 24% big bluestem, and 3% other forbs. Gray headed coneflower and little bluestem made up less than 1% of samples, so they were not included in the pie chart.

Comparisons between burned and unburned stem counts revealed that the burn treatment increased the number of large stems present (Figure 7). ‘Large stems’ is a combination of several species of grasses, all of which grow to an average of 8 feet high. These grasses are Big Bluestem, Indian Grass, and Switchgrass.
In contrast, stem count data collected from the one mowed plot showed a decrease in the number of large stems present. The three mowed samples had an average of 4 big stems, whereas their paired adjacent unmowed area samples had an average of 15.6 big stems.


Not only did large grass stem density increase, but aboveground plant biomass also increased in response to our burn treatments. In burn plots we found 57.56 g (51% more) of plant biomass compared to unburned paired plots with 38.11 g (Figure 8). The data was analyzed by averaging the burned samples from each plot and the unburned samples from each plot and running a paired t-test on the data. Figure 8 shows a boxplot depicting the differences in aboveground biomass. Plants that grew in burned areas (left side of plot) were more productive and produced 51% more biomass than their counterparts in unburned areas (right side of plot). The p-value for this data was significant at 0.005. The t-test and boxplot were performed and created in R 4.4.1.
The limited number of mowed samples showed a similar trend in data. Areas that had been mowed produced 16 grams (33%) more aboveground biomass on average than the paired unmowed samples.


DISCUSSION
One major focus of this research was creating a baseline understanding of what plant species can be found at the Swanberg Sanctuary. This community composition data is a foundation for future researchers and ecological projects at the Sanctuary. Additionally, the changes in plant communities and growing patterns of the prairie plants in response to burning are important to consider when making long-term decisions about prairie management. The results of small-scale burning on plant biomass and community composition give an impression of what the future prairie may look like if burning were implemented on a larger scale. The consequences and benefits of each management technique must be weighed carefully, as this is a decision that could alter the plant community and habitat that the Swanbergs restored, and Olivet seeks to preserve.
The Sanctuary prairie is broken into two sections, and each of these prairie sections is broken into several smaller subsections. In this study, we characterized the differences in plant community composition between these subsections (Figure 5AB). For example, the lower right side of the east prairie is made up of 60% goldenrod, whereas only 25% of the upper west prairie is goldenrod. The overall compositions of the East and West prairies are similar, but the relative abundance of dominant species varies between these smaller subsections. At this time, no conclusions can be drawn
about what caused this spatial variation. A 2019 study by Markham et. al indicates that prairie plants tend to distribute differently across hydrological and elevation gradients, with plant species such as Andropogon gerardii (big bluestem) and Sporobolus heterolepis (prairie dropseed) preferring drier conditions and species such as Carex pellita (woolly sedge) preferring wetter conditions (Markham, 2019). Future Sanctuary projects could include hydrology testing and measurements of elevation across each prairie section, which could indicate whether hydrology or elevation are the causes of the current species distribution throughout the Sanctuary. For now, our data on plant species locations can be used only as observational data to establish a foundation for future researchers to use.
Hypothesis 1
Our first hypothesis was that the grassland plant community at the Sanctuary would reflect but have diverged from the species composition that was planted in 2008 and we found evidence to support this hypothesis. However, the majority of the plant species from the restoration plan have disappeared from the prairie habitat. Of the 55 species that were planted in 2008, only 17 were found in 2024. 49 new species have found their way into the prairie (Figure 3). New arrivals at the prairie include invasive species such as common yarrow, smooth brome, and Queen Anne’s lace, which may have migrated into the area from the surrounding environment. Why did these species move out and new ones move in? It’s possible that the nutritional and hydrological needs of some of these restored plant species were not being met at the time of the initial restoration. Plant species prefer certain types of soil, certain amounts of water, and certain amounts of sun – having those needs go unmet results in plant death, and as a result the plants will sort themselves into different locations based on their needs. (Markham, 2019). This can be exacerbated by the movement and introduction of invasive species to the area. Invasive species are known for their ability to take nutrients, light, and water away from native species, thereby starving them out and reducing the invasive species’ competition for those resources. Native species that were not included in the original restoration plan have also made their way into the current prairie plant community. These species include but are not limited to common milkweed, gray headed coneflower, purple prairie clover, goldenrod, and Virginia mountain mint. The original plant community has influenced the current one, but it’s clear that a lot has changed over the 16 years since the Sanctuary was restored.
Hypothesis 2
Our 2nd hypothesis was that the management practice of burning would lead to changes in plant community composition. We first evaluated community composition by measuring prairie plant species presence and stem density. Stem counts were used to evaluate species density in subplots both inside and outside the burned area. Burned plots showed a decrease in smaller grass species, a decrease in goldenrod stems, and an increase in large grass stems. Unburned areas were composed of 63% small grass species – burned plots only contained 43% small grass species (Figure 6). In the same vein, big bluestem stems increased by 2.5x in burned plots when compared to unmanaged areas (Figure 7). These increases in large grasses are typical
| ELAIA: The Honors Journal of Olivet Nazarene University
of what we might expect from a spring burn, as established by Towne and Owensby in their 1984 study focusing on temporal differences in prairie burning.
These changes in community composition show the possible changes in plant community composition that large-scale spring burning might cause to the prairie. If Olivet decides to pursue a majority-grass prairie, spring burns would work well and encourage grass growth. If Olivet would prefer a more wildflower-dominant prairie, some other management method or implementation time would work better. Changing the timing of the controlled burn to the fall season may allow for a more wildflowerdominant prairie. Supplemental planting of more forb species may also be helpful for increasing the number of wildflower species present. Some native prairie species that we might expect to do well, but are not present, include flowering spurge, prairie blazingstar, common spiderwort, great blue lobelia, and wild white indigo. These factors should be considered when deciding how best to manage the prairie moving forward.
Changes in prairie plant community composition were also evaluated by performing biomass collections. Our study showed that biomass responded positively to the burning treatment (Figure 8). This result did line up with previous studies performed by Kitchen et al. in 2009, which showed that burned plots increase root biomass, root depth, and carbon sequestering in plants – all factors that can positively increase aboveground biomass. Additional studies from Hulbert in 1988 also show that burning leads to an increase in plant biomass, with this specific study achieving a 151% increase in burned areas.
We also proposed that burning would lead to a more diverse plant community. This hypothesis was not supported by the collected data. Though burning did impact the frequency and proportion of each plant species in the community’s composition, there was no significant change in the identities of the plant species that made up the community (Figure 6). No additional plant species were found in the burned areas.
This result was unexpected due to literature that supported opposing results. Helzer et al showed in their 2021 study that the use of fire can increase seed germination and activate the dormant seed bank, and Bowles and Jones showed in their 2013 study that increased fire frequency can cause increases in species diversity. One reason why our data may not line up with existing data is because of the small size of the treated area in our study. The treatment plots didn’t have much area, lessening the chances of finding statistically significant plant community changes. A more thorough sampling methodology, with more than one person searching through the plot, may allow for more confidence that plant species were not missed during the sampling and observation process. Another point that may have impacted the plant diversity in the treated area was the distribution of the treated plots. The plots that were burned were located in the most homogenous section of the prairie, the lower right east section, which was made up of 57% goldenrod (Figure 5B). If the plots were scattered across more varied areas of the prairie, the burned treatment may have been able to work with a more diverse seed bank. As it was, the seed bank in that lower eastern section of the prairie was mostly goldenrod.
Limitations and future research
We did face challenges with the scope of the project. The original research proposal included plans for an in-depth mowing evaluation and the analysis of arthropod communities in burned and unburned areas. The arthropod collections were completed during the research period and will serve as the basis for future analyses. The mowing evaluation was conducted, but on a smaller scale than originally anticipated, with one mowed plot. As such, no conclusions can be drawn from it, as the sample size is too small for statistical significance. A more in-depth mowing evaluation would be an excellent avenue of future research and would be beneficial for informing the Sanctuary’s management decisions.
There are several other key areas of research that could be explored in the future. The timing of the burn in the year is an important variable that, due to the timeline of the project, could not be changed for this specific study. This project performed a spring burn, which may have influenced which plant species benefited from the burn. It’s thought that grass species benefit from spring burns, which is supported by the data found during this study. It’s also theorized that a fall burn may benefit wildflower and forb species, not grasses. A study that conducts a burn in the fall may be able to address how the timing of the fire may affect the plant communities and impact which plant species benefit from the burn. Another variable that could be addressed is the size of the burned plots. The burned plots were fairly small, which may have impacted the change (or lack thereof) in community composition in the treated areas. Burning a larger area may make any changes in plant species presence more likely to occur. Additionally, in order to evaluate all possible management options for the Sanctuary, studies that conduct additional research on the effects of mowing and grazing may be helpful.
REFERENCES
Acharya BS, Hao Y, Ochsner TE, Zou CB. 2016. Woody plant encroachment alters soil hydrological properties and reduces downward flux of water in tallgrass prairie. Plant and Soil, 414(1-2): 379–391.
Bowles, M. L., & Jones, M. D. (2013). Repeated burning of eastern tallgrass prairie increases richness and diversity, stabilizing late successional vegetation. Ecological Applications, 23(2), 464–478.
Bragg, T. B., & Hulbert, L. C. (1976). Woody plant invasion of unburned kansas bluestem prairie. Journal of Range Management, 29(1), 19.
Chadde, S., Voigt, J. W., & Mohlenbrock, R. H. (2019). Prairie plants of Illinois: A field guide to the wildflowers and prairie grasses of Illinois and the Midwest (Version 1.0, 11/01/2019). Orchard Innovations
Gardner AB, Hurst M, Clark LG, Lewis D. (2014). Grasses in Your Pocket. Iowa City (IA): University of Iowa Press.
| ELAIA: The Honors Journal of Olivet Nazarene University
Helzer, C. (2021, January 11). Is fire really essential in prairies? The Prairie Ecologist. https://prairieecologist.com/2021/01/11/is-fire-really-essential-in-prairies/
Hulbert, L. C. (1988). Causes of fire effects in tallgrass prairie. Ecology, 69(1), 46–58. iNaturalist.org web application at http://www.inaturalist.org. (Accessed 18 May 2024).
Kral, K. C., Limb, R. F., Harmon, J. P., & Hovick, T. J. (2017). Arthropods and fire: Previous research shaping future conservation. Rangeland Ecology & Management, 70(5), 589–598.
Kitchen DJ, Blair JM, Callaham MA. (2009). Annual fire and mowing alter biomass, depth distribution, and C and N content of roots and soil in tallgrass prairie. Plant Soil, 323(1–2): 235–247.
Kwok, A. B. C., & Eldridge, D. J. (2015). Does fire affect the ground-dwelling arthropod community through changes to fine-scale resource patches? International Journal of Wildland Fire, 24(4), 550. https://doi.org/10.1071/WF14088
Markham J. (2019). Niche differentiation of tallgrass prairie plants species along soil hydrological gradients. Botany, 97(9):487–494. Available from: 10.1139/cjb-20190024.
Maron, J. L., & Jefferies, R. L. (2001). Restoring enriched grasslands: Effects of mowing on species richness, productivity, and nitrogen retention. Ecological Applications, 11(4), 1088–1100.
Nippert JB, Ocheltree TW, Skibbe AM, Kangas LC, Ham JM, Shonkwiler Arnold KB, Brunsell NA. (2011). Linking plant growth responses across topographic gradients in tallgrass prairie. Oecologia, 166(4):1131–1142.
Packard, S., Mutel, C. F., & Society for Ecological Restoration (Eds.). (1997). The tallgrass restoration handbook: For prairies, savannas, and woodlands. Island Press.
Smith D, Williams D, Houseal G, Henderson K. (2010). The Tallgrass Prairie Center guide to prairie restoration in the Upper Midwest. Iowa City (IA): University of Iowa Press.
Towne, G., & Owensby, C. (1984). Long-term effects of annual burning at different dates in ungrazed Kansas tallgrass prairie. Rangeland Ecology & Management/Journal of Range Management Archives, 37(5), 392-397.
Zhu L, Dickson TL, Zhang Z, Dere A, Xu J, Bragg T, Tapprich W, Lu G. (2020). Effects of burning and mowing on the soil microbiome of restored tallgrass prairie. European Journal of Soil Science, 72(1): 385–399.
Appendixes to this research may be found in electronic version.
| ELAIA: The Honors Journal of Olivet Nazarene University

Analyzing Second Grade Teacher Perceptions of Using the Mood Meter as a Tool to Integrate Emotion Identification with Mathematics
Mackenzie Doolittle
AGKNOWLEDGMENTS
I would like to thank my mentor, Dr. Hofman, for her guidance and continuous support throughout this research journey. Her encouragement and expertise have helped me grow both academically and personally. I am also thankful for the other professors of the honors program and Olivet Nazarene University who have pushed me in my academics and cultivated a mindset of continuous learning.
ABSTRACT
This study examines second grade teachers’ perceptions of using the Mood Meter, a social-emotional learning (SEL) tool, to connect emotion identification with math by having students create bar graphs to reflect their feelings. As SEL becomes increasingly central to student development, educators seek ways to integrate these skills into academic subjects like math to enhance learning and optimize time.
The research investigates how combining the Mood Meter with math lessons supports students in identifying and interpreting emotions while improving bar graph skills. To gather data, teachers viewed a video explaining the Mood Meter and its classroom implementation, read additional resources, and completed a survey. Teachers highlighted the tool’s potential to enhance emotional awareness, promote student ownership of emotions, and demonstrate real-world applications of math. However, they also noted challenges, particularly the limited time available to incorporate new activities into the schedule.
In conclusion, the Mood Meter has strong potential to enhance both emotional and mathematical skills but requires thoughtful integration to meet classroom needs. Combining SEL with math could lead to deeper learning and a stronger understanding of content. Future research could examine the long-term impact of this tool and include a broader range of teacher perspectives to enrich findings.
Keywords: Social Emotional Learning, Mood Meter, educators, emotion identification, bar graphs
INTRODUCTION
Throughout the school day, students experience a wide range of emotions, with some shifting between different feelings and others remaining stuck in a single emotion. Emotion identification is the skill of recognizing and labeling one’s feelings, while emotion regulation involves managing those emotions in healthy and appropriate ways. Together, these abilities enable individuals to understand their emotions, respond to them effectively, and make better decisions, ultimately supporting their overall well-being. Many educators seek ways to help students address their feelings and teach these complex skills in order to foster a more positive learning experience. This need has led to the practice of Social Emotional Learning (SEL), which aims to help students manage their emotions and make responsible, caring decisions towards personal and collective goals (Collaborative for Academic, Social, and Emotional Learning, n.d.). Recognizing the importance of SEL, twenty-seven states have implemented SEL standards in public school classrooms. Daily SEL has been proven to lead to an increase in academic attainment and prosocial skills, with a decrease in disruptive behaviors (Roegman et al., 2022; Totan et al., 2014). However, finding time to add another lesson into the already busy school day can be difficult for teachers already crunched on time. One possible solution is integrating SEL with other core subjects, such as mathematics, which has the potential to help students
| ELAIA: The Honors Journal of Olivet Nazarene University
avoid developing negative emotions that arise when learning math skills (Joswick et al., 2022). This integration could even help math anxiety, which has been detected in students as young as first and second grade (Ramirez et al., 2013). This would allow students to focus on learning math content with positive, motivated feelings while deepening learning and saving time for the educator.
One current curriculum approach that supports educators is RULER, developed by Yale University to promote emotional intelligence and healthy development (Hoffmann et al., 2020). RULER emphasizes five key emotional intelligence skills: recognizing emotions in oneself and others, understanding the causes and consequences of emotions, labeling emotions with nuanced vocabulary, expressing emotions, and regulating emotions with strategies. It provides four tools for engaging the school community in fostering these skills. One notable tool is the Mood Meter, designed specifically to help students identify and regulate emotions. However, there is no current research on teachers’ perceptions of the integration of the Mood Meter and its potential benefits. To address this gap, the study focuses on analyzing secondgrade teachers’ perceptions of the benefits and challenges of integrating math and SEL instruction, specifically by using the Mood Meter to teach bar graphing skills as a tool for supporting emotion identification.
Second grade teachers involved in this study all have one common outlet that guides their learning goals, lessons, and targets for their students. The Common Core State Standards (CCSS) give clear expectations of what students should be learning in each grade that help provide unity and clarity for educators. The purpose of this study is to combine SEL and CCSS standards together to deepen the learning experience for students. For second grade, the Math CCSS used in this study is 2.MD.10: “Draw a picture graph and a bar graph (with single-unit scale) to represent a data set with up to four categories. Solve simple put together, take-apart, and compare problems using information presented in a bar graph.” This standard will be combined with the Social Emotional Learning standard 1A.1a: “Recognize and accurately label emotions and how they are linked to behavior” for early elementary students. These standards ensure that all second graders are learning and mastering this content at the same time regardless of school or state.
The findings show that integrating SEL strategies like the Mood Meter into academic subjects has the potential to support both emotional and academic development. Educators see the Mood Meter as a practical tool for improving emotional awareness, self-regulation, and social skills while teaching concepts like bar graphing. While most participants were interested in using the tool, some raised concerns about time and implementation challenges. Overall, participants agreed on the importance of SEL for teaching life skills such as managing emotions, conflict resolution, and perseverance, highlighting the need for flexible and engaging SEL strategies.
REVIEW OF LITERATURE
Emotion Identification and Regulation
The Collaborative for Academic, Social, and Emotional Learning (CASEL) is a leader in Social-Emotional Learning (SEL) research. It has pioneered the SEL framework by combining evidence-based research, practical resources, and policy advocacy to integrate SEL into education systems worldwide. In doing so, they outline five competency domains for students to achieve SEL: self-awareness, self-management, responsible decision-making, relationship skills, and social awareness. CASEL asserts that self-awareness and self-management allow students to recognize their emotions and the emotions of others to “build confidence [and] manage stress” (Joswick et al., 2022, p.233). In other words, key aspects of social-emotional learning include identifying emotions and regulating them to achieve success. Emotion regulation can be defined as the process by which “individuals influence which emotions they have, when they have them, and how they experience and express these emotions” (Hoffmann et al., 2020, p. 105). These skills lead to academic achievement and future success, causing the current study to focus on how these skills are developed (Krachman et al., 2018). Emotion identification is the first step students need to use strategies and skills to shift feelings and regulate themselves. This is critical even in elementary years as the research from Ramirez et al. (2013) highlights how a “self-report measure of math anxiety is already associated with math achievement in children as early as first and second grade” (p. 196). This means that even young children get stressed and have negative feelings of math. Not only that, but in later academic years this negative feeling is shown to grow into anxiety, “negatively impacting mathematical knowledge, math grades, and standardized test scores” (p. 187). If students are taught emotion regulation skills through resources like the Mood Meter at an early age, they may develop the knowledge and strategies needed to manage their negative feelings, carrying these skills with them in later years.
Mood Meter
RULER is a program that provides resources for educators to teach SEL skills in classrooms, in particular emotion identification. This tool teaches students to recognize emotions in oneself and others, understand the causes and consequences of emotions, label emotions with nuanced vocabulary, express emotions, and regulate emotions with strategies. This curriculum is composed of different subsections targeting different goals, such as developing empathy and learning how to process emotional situations. In particular, the Mood Meter is as a tool to “enhance self and social awareness and support the development of nuanced emotion vocabulary and a range of strategies for regulating emotion” (Yale Center for Emotional Intelligence, n.d., par. 3). Understanding how Mood Meter works is necessary to implement it correctly for each group of students. One benefit of Mood Meter is its ability to help students think through ways of shifting their emotions. Once students can label their emotions using language skills, students can then better learn how to handle them (Oades-Sese et al., 2020). One study exemplified how students who were feeling frustrated from an assignment could set an emotional goal of feeling calmer and use visuals and strategies to achieve calmness (Hoffman et al., 2020). The Mood Meter is
a resource to help students expand their emotion identification skills. Educators can implement this teaching tool through academic methods like this research proposes, to deepen their social-emotional learning and apply specific strategies.
SEL and Mathematics
While twenty-seven states have implemented SEL standards in public school classrooms, integrating it with academics is less common and can be seen as more work for the teacher and less beneficial for the students. However, when teachers model and discuss SEL skills during academic learning time, students can develop stronger skills that lead to more engaged and less disruptive learning. In other words, providing examples and practicing SEL skills alongside academic content like mathematics can help students deepen their understanding and explicitly practice what they are learning (Taylor & Lien, 2023). Another study concluded that integrating SEL with academics allows students to use “SEL competencies to actively listen to one another and to respond appropriately, at appropriate times” during academic learning (Joswick et. al, 2022, p.233). Regarding mathematics specifically, Lee (2022) conducted a study on project-based mathematics (PBM) lessons that align with CASEL’s five competencies. The study found that students developed self-management skills by demonstrating self-motivation, goal-setting, and organizational skills on hands-on math projects that benefited the community. Though the integration of SEL and academic subjects is becoming more prevalent, when examining emotion identification and mathematics there is still a gap.
METHODOLOGY
Participants
I reached out to thirty second-grade teachers from public elementary schools across Illinois. These participants were identified through personal connections and referrals from professors at Olivet Nazarene University. All participants teach in Illinois, a state that follows the Common Core State Standards (CCSS) and are white women with teaching experience ranging from four to thirty-five years. Each teacher received an email containing all necessary materials and instructions to explore the Mood Meter and complete a post-survey. They were asked to watch a three-minute video introducing the Mood Meter, review the RULER resource individually, and then complete a post-survey to share their thoughts and perceptions. All surveys were received and completed in Fall of 2024. As an incentive, the first five participants to complete the post-survey received a $10 Starbucks gift card, and the remaining participants were entered into a raffle for a $10 Chick-fil-A gift card.
Procedures
Each participant received an email containing all the necessary information and resources for the study. The email included a link to a brief, three-minute video, in which I explained the Mood Meter, its classroom applications, and how it integrates emotion identification with bar graph skills (See Appendix A for Transcript). The video was designed to be concise and engaging, respecting each participant’s time. Following the video, participants were invited to explore the Mood Meter further
via a link to the RULER website. Additionally, a PDF of the Mood Meter was attached, allowing participants to examine the resource more closely and save it for future use. Participants were then asked to complete a survey consisting of twelve questions (see Appendix B). The survey included both open-ended and closed-ended questions, encouraging teachers to share their perspectives on how the Mood Meter might impact student’s bar graph skills and emotional awareness. Data collection began after receiving approval from Olivet’s Institutional Review Board. I collected both qualitative and quantitative data using Google Forms, with informed consent obtained from all participants (see Appendix B).
RESULTS
This section presents the findings of the study, which aimed to explore teacher perceptions of integrating SEL with core subjects specifically through using the mood Meter’s emphasis on emotion identification to help support the teaching of bar graphing. The results are organized to first highlight overarching themes pulled from qualitative responses, followed by quantitative analyses of ten teacher perceptions and implementation likelihood. Preliminary analysis revealed strong support for SEL integration, with teachers mentioning benefits for both emotional development and mathematical skills. The following tables and charts summarize the key data points, offering a detailed breakdown of qualitative and quantitative findings. Data was compiled and analyzed using Google Sheets.
Figure 1 presents the potential influence of the Mood Meter on students’ emotion identification skills, as identified through participant feedback. The figure highlights four key themes derived from participant responses: enhancing emotional awareness, application of SEL strategies, ownership of emotions, and the value of a visual learning experience. These themes, supported by participant quotes and frequency counts, demonstrate how the Mood Meter can serve as a practical tool for helping students recognize, understand, and manage their emotions.

Table 2 illustrates the potential influence of the Mood Meter on developing students’ bar graphing skills, as described by participants. The figure identifies four key themes: real-world application, consistent impact, incorporation of familiar math skills, and enhancement of mathematical understanding. These themes, supported by participant quotes and frequency counts, demonstrate how integrating the Mood Meter into math lessons can make bar graphing more meaningful and engaging for students. Participants highlighted the relevance of connecting real-life data to mathematical concepts, the value of repetition for skill development, and the benefits of integrating familiar math skills with SEL strategies

Figure 1 displays the participants’ responses to the question, “How likely are you to implement the Mood Meter into your classroom?” represented as a pie chart. The chart reveals that 80% of participants indicated they were likely to implement the Mood Meter, while 20% selected a neutral response.
Figure: How are you to implement the Mood Meter into your classroom?

Perceived benefits and drawbacks of the integration of SEL with math
When asked about the potential benefits and drawbacks of the integration of SEL with math, teachers left various responses. Teachers noted that “students can become more aware of their emotions” and “evaluate their own feelings toward learning,” fostering self-awareness and emotional growth. Additionally, participants noted that SEL integration can support teachers by highlighting “times of day in which students are struggling,” enabling targeted interventions for emotional triggers like math anxiety. This awareness allows educators to “have discussions/mini
lessons to reduce that anxiety”, promoting a more supportive learning environment. However, the primary drawback is the lack of time, as “there is never enough time to cover what is already expected in the school day.” Despite this challenge, many believe that integrating SEL into core subjects allows educators to “knock out multiple skills at once,” making it an efficient and impactful approach.
Importance of teaching SEL in schools
When asked about the importance of teaching SEL in schools, responses highlight a strong consensus among educators about the critical importance of teaching SEL in schools. SEL is perceived as foundational to students’ success, both academically and in life, as it equips them with essential skills like self-regulation, emotional awareness, conflict resolution, and perseverance. Many participants emphasized that SEL is not just restricted to structured lessons but is integrated throughout the school day to foster character development and social skills, enabling students to “do life”. Additionally, the increasing need for SEL in recent years was frequently noted, with educators pointing to factors such as the COVID-19 pandemic and advances in technology as contributors to losses in social skills and emotional regulation. Without these foundational skills, respondents stressed that academic learning becomes significantly hindered, as children must first “know and control their emotions” before they can fully engage with the curriculum. Overall, the insights suggest that SEL is not merely an add-on but an essential component of effective teaching, particularly in addressing the growing emotional and social challenges faced by students today.
DISCUSSION
The main goal of this study was to explore teacher perceptions of using the Mood Meter as an educational tool to integrate emotion identification within the context of math instruction. This resource specifically aims to investigate how teachers can help students recognize, understand, and regulate their emotions, thereby addressing common emotional challenges like math anxiety (Ramirez et al., 2013). By utilizing the Mood Meter, teachers might provide students with a resource to identify emotions, which is the first step to managing feelings of stress, frustration, or anxiety that often arise in math learning environments (Collaborative for Academic, Social, and Emotional Learning, n.d.). Prior to this study, no participants were familiar with the RULER approach to SEL or the Mood Meter tool. The findings reveal that integrating social-emotional learning (SEL) with core subjects like math has the potential to support students’ emotional awareness and foster a more positive learning environment. Ultimately, combining SEL with math not only aids emotional development but also equips students to better navigate academic frustrations, aligning real-life skills with academic growth. However, time constraints and competing academic demands present significant challenges to successful implementation. Despite these challenges, 80% of participants reported they were likely to incorporate the Mood Meter into their teaching, while 20% felt neutral, possibly reflecting hesitation due to practical concerns such as time limitations or integration challenges.
Educators identified multiple potential impacts of integrating tools like the Mood Meter on both student emotion identification and bar graphing skills. This dual focus offers a unique opportunity to merge SEL strategies with core academic concepts, creating a whole-child approach to education. The Mood Meter provides a concrete way for students to visualize and articulate their emotions, fostering greater selfawareness and emotional ownership. One of the key benefits of this integration is the potential for tools like the Mood Meter to enhance emotion identification skills while also applying other SEL strategies. Teachers emphasized the value of a visual learning experience that helps students not only recognize their feelings but also regulate and shift them effectively in academic settings. When integrated into daily routines and instruction, the Mood Meter could serve as a bridge between emotional and cognitive development, making it a practical and impactful tool in the classroom. The feedback reflects a need for resources that are flexible, engaging, and capable of addressing both emotional and academic goals. Teachers emphasized that SEL is not merely an add-on but an essential component of effective teaching, particularly in addressing the growing emotional and social challenges faced by students today. The study demonstrates how tools like the Mood Meter can bridge emotional intelligence and academic performance, creating a supportive, inclusive learning environment. By helping students recognize, understand, and regulate their emotions, SEL strategies empower them to handle academic frustrations more effectively. These insights suggest that integrating SEL into core subjects like math is not just beneficial but essential for equipping students with lifelong skills. While challenges remain, the optimism among educators underscores the importance of finding practical ways to implement SEL tools in daily instruction. Ultimately, all participants agreed that SEL is essential, describing it as “crucial” and “very important” for equipping students with lifelong skills. This feedback highlights the need for tools that are flexible, engaging, and capable of supporting both emotional and academic growth in a way that aligns with diverse classroom needs. The Mood Meter is one promising option for addressing these goals effectively.
Limitations
The main challenge of this study was participant recruitment. An earlier version of the research had to be modified due to insufficient engagement. Initially, the study aimed to have educators integrate the Mood Meter into their classrooms during bar graph instruction to evaluate its impact on student learning. However, a major hurdle emerged when participants revealed they typically teach bar graphs in March, which fell outside the study’s timeframe. This made real-time classroom implementation unattainable. Therefore, teachers could not observe students interacting with the Mood Meter directly, potentially affecting their perceptions and conclusions. Instead, they were asked to review the resource and share their thoughts on its anticipated impact, which limited the study’s depth and its ability to capture authentic classroom dynamics.
Another significant limitation was the low level of participant engagement. Despite reaching out to over thirty teachers multiple times, participation remained limited. This was surprising, as many were personal contacts, leading to an assumption of
higher engagement. However, factors such as heavy workloads, time constraints, lack of awareness, or personal disinterest likely contributed to the low response rate. As a result, the smaller sample size of ten may not adequately represent the broader population or diverse experiences related to social-emotional learning (SEL) and mathematics integration.
Future studies could address these challenges by extending the study over multiple years, allowing for greater flexibility in timing and enabling real-time classroom implementation. This would provide richer insights into the Mood Meter’s practical impact. Additionally, expanding recruitment efforts through diverse channels— such as social media, educational forums, or partnerships with school districts— could increase participant numbers and improve the reliability of findings. These steps would strengthen the study’s validity and provide a more comprehensive understanding of how SEL tools like the Mood Meter can deepen the learning experience for students by learning both math curriculum and SEL instruction in at one time.
REFERENCES
Collaborative for Academic, Social, and Emotional Learning. (n.d.). Collaborative for Academic, Social, and Emotional Learning (CASEL). https://casel.org/
Common Core State Standards Initiative. (2010). Common Core State Standards for Mathematics. http://www.corestandards.org/
Common Core State Standards Initiative. (2010). Common Core State Standards for English Language Arts & Literacy in History/Social Studies, Science, and Technical Subjects. Retrieved from http://www.corestandards.org/
Hoffmann, J. D., Brackett, M. A., Bailey, C. S., & Willner, C. J. (2020). Teaching emotion regulation in schools: Translating research into practice with the RULER approach to social and emotional learning. Emotion, 20(1), 105–109.
Jameson, M. M. (2014). Contextual factors related to math anxiety in second-grade children. Journal of Experimental Education, 82(4), 518–536.
Joswick, C., Olsen, A. A., & Taylor, C. N. (2022). Social and emotional learning in the mathematics classroom: Opportunity for integration, practice, and research. School Science & Mathematics, 122(5), 233–234.
Krachman, S., LaRocca, R., & Gabrieli, C. (2018). Accounting for the whole child: Educators increasingly recognize the role of students’ social-emotional skills in academic outcomes. The next step is to figure out how to foster and measure them. Educational Leadership, 75(5), 28–34.
Lee, Y. (2022). Promoting social and emotional learning competencies in science, technology, engineering, and mathematics project-based mathematics classrooms. School Science & Mathematics, 122(8), 429–434.
Oades-Sese, G., Cahill, A. Allen, J., Rubic, W., & Mahmood, N. (2020). Effectiveness of sesame workshop’s little children, big challenges: A digital media SEL intervention for preschool classrooms. Psychology in the Schools, 58(10), 1887–2084.
Ramirez, G., Gunderson, E., Levine, S., & Beilock, S. (2013). Math anxiety, working memory, and math achievement in early elementary school. Journal of Cognition & Development, 14(2), 187–202.
Roegman, R., Tan, K., Tanner, N., & Yore, C. (2022). Following the data: An analysis of two schools’ use of social emotional data. Journal of Educational Administration. 60(6), 561–578.
Taylor, A. J., & Lein, A. E. (2023). Integrating social and emotional learning (SEL) into academic content: A path for education preparation programs. Kentucky Journal of Excellence in College Teaching & Learning, 19, 38–55. https://kjectl.eku.edu/sites/ kjectl.eku.edu/files/files/KJECTL_Volume%2019_March%202023.pdf
Totan, T., Deniz, E., Ozyesil, Z., & Kiyar, F. (2014). The importance of township and urban life in the interaction between social and emotional learning and social behaviors. Educational Sciences: Theory & Practice, 14(1), 41–52.
Yale Center for Emotional Intelligence. (n.d.). RULER. https://www.rulerapproach.org/
Appendices to this research may be found in the online version of the paper.
| ELAIA: The Honors Journal of Olivet Nazarene University

Educator Perceptions and Practices of the Illinois State Board of Education Culturally Responsive Teaching and Leading Standards in ELA Curricula
Abigail
R. Eaton
ACKNOWLEDGEMENTS
To all the teachers in my life who have continued to selflessly inspire and equip future generations of critical thinkers through the power of literature, thank you.
To Mrs. Stellpflug, Mr. Scott, my mother, Dr. Lamszus, and Dr. Schurman, thank you for embodying the kind of teacher I hope to be one day. To Dr. Schurman, I have been so blessed by your guidance and mentorship for this project. Thank you for understanding my passions and connecting me with the resources to study and share this project with those it will benefit the most. Your commitment to inspiring young educators is astounding, and I am grateful to have had your bountiful guidance. To the countless teachers in Illinois who offered their direct insights into this project, thank you for your honesty and willingness to share your experiences with me.
I would like to thank my parents and brothers who have consistently acted as sounding boards, visionaries, and cheerleaders. I am also immensely grateful for my incredible support systems at Olivet including my roommates and friends who have grounded me, peers in the honors program who have challenged and gracefully critiqued my work, spiritual mentors who have encouraged me to learn and research for a greater purpose, and my honors and department professors who have inspired a justice-bent pursuit of knowledge.
ABSTRACT
This project examines the perceptions and practices of Illinois secondary English Language Arts (ELA) in the context of the Illinois State Board of Education’s Culturally Responsive Teaching and Leading Standards (ISBE CRTLS). This study specifically investigates educators’ perceptions of the CRTLS sections A and G, addressing educators’ self-awareness and relationship to others, along with their content selections in all curricula. This study uses a mixed-method approach of a standards-based survey and follow-up interviews. Thirty-six survey responses were collected from Illinois-based secondary ELA educators and fourteen phone call interviews were conducted and coded for common themes.
Through a Likert Scale, survey participants self-reported their familiarity with and likeliness to implement the CRTLS practices in sections A and G. Results indicated that though many educators had limited familiarity with the ISBE CRTLS, many had high levels of self-efficacy and positive perceptions of the CRTLS practices. Within each standards-based survey question, educators most frequently selected “often.” The fourteen interviews revealed varying degrees of comfort and efficacy in implementing CRT strategies. Qualitative coding reveled themes including limited diversity in curriculum resources, positive and negative district support, lack of professional development on CRT, gaps between educator’s culturally responsive teaching goals and practical resources, and a recognized significance of aligning curricula with students’ diverse backgrounds and identities.
The findings of this project suggest that many educators value the significance of the CRTLS and the importance of self-reflecting. However, some are limited by a lack of resources and diverse curricula, highlighting the need for purposed professional development and full district support. This study actively contributes to the ongoing professional discussions on how secondary ELA educators are perceiving the upcoming ISBE CRTL standards in recognition of the importance of culturally responsive teaching.
Keywords: culturally responsive teaching, culturally responsive pedagogy, multicultural literature, curriculum diversity, Illinois state board of education culturally responsive teaching and leading standards, ISBE CRTLS, secondary education
INTRODUCTION
A classroom is a place where students can learn and build community; however, this requires curriculum and pedagogical practices representative of the diverse student population of today’s classrooms. Research indicates there is still a significant lack of racially, ethnically, and culturally diverse high school literature curricula (Berchini, 2016). When students feel their culture is not being represented in the literature they read and learn about, they struggle to develop a multifaceted world view and may feel like their lived experiences are inconsequential (Adam, 2021). For students to
make meaningful text-to-world connections, they must engage with representative literature. It is the role of the educator to shape these students’ experiences. In the context of secondary English Language Arts (ELA) classrooms, teachers can develop Culturally Responsive Pedagogy (CRP), which encourages the implementation of diverse literature curricula and educator self-reflection. In July of 2022, the Illinois State Board of Education (ISBE) implemented a new set of standards called the Culturally Responsive Teaching and Leading Standards (CRTLS). These standards are intended to be implemented in pre-service education and may also be used in professional development programs for in-service educators to encourage self-reflection and changes to a school environment that reflect the diverse climate of the students’ cultures. Though these standards do not go into effect until 2025 for in-service educators, there remains a significant gap in research describing how ELA educators are currently upholding these standards or how they plan to implement them within their pedagogy, practices, and curricula. Thus, this project investigates the extent to which Illinois Secondary Educators are implementing sections A and G of the ISBE CRTLS standards in the context of their ELA curricula.
This project surveyed thirty-five anonymous secondary ELA educators within Illinois to discover how they are interacting with the newly implemented ISBE CRTLS. The survey included questions developed directly from two subcategories of the ISBE CRTLS: Section A, “Self-Awareness and Relationship to Others” and section G, “Content Selections in all Curricula.” Educators were prompted to respond via Likert scale quantification. A portion of participants also opted to complete a follow up phone call interview to expand on their survey responses. Gift cards were awarded to interviewees, and survey participants were entered into a drawing to win gift cards. Both qualitative and quantitative data was collected and coded, revealing trends such as teachers’ perceptions on the limitations, supports, or challenges they experience in meeting these standards. Findings were presented at the Illinois Association of Teachers of English (IATE) convention in October 2024 to a professional audience to share the impact that an educator’s self-awareness and classroom curricula has on students, as per the ISBE CRTLS.
CONTEXT
Culturally responsive teaching and multicultural literature
Before discussing the implications of this research project and ISBE CRTLS, it is crucial to define the implications of CRP, and within that, multicultural literature. Many unique definitions of CRP exist throughout current academic educational research. Howard (2018) defines CRP as the establishment of a curriculum focused on teachers’ recognition of the implications of their actions towards students, the meanings of their words, and the biases they carry towards ethnic groups.
Additionally, Paris and Alim’s (2014) definition assesses educational practices that fall into specific standards. CRP must first establish and extend the “previous visions of asset pedagogies” by incorporating “explicitly pluralist outcomes” that are not
| ELAIA: The Honors Journal of Olivet Nazarene University
grounded or centered on “white, middle-class, monolingual, and monocultural norms of educational achievement” as literature that resists “static, unidirectional notions of culture and race that reinforce...difference and inequality without attending to shifting and evolving ones” (Paris & Alim, 2014, p. 95). Educators who implement CRP within their curricula are often already implementing a version of the CRTLS. This project examines how educators in Illinois are meeting these standards through their curricula and self-awareness of their mindset and self-efficacy.
Within the context of secondary English classrooms, CRP encompasses the presence of multicultural literature as books written by diverse authors or books that feature protagonists of color. Research has shown that this literature is beneficial in encouraging positive identity development, developing a sense of classroom unity and diversity, and the promoting of cultural awareness among students (Terza & Bekele, 2021). Educators recognize that these texts remain significant in the classroom because they foster a space where students feel like their culture is represented and respected. Texts that respect student diversity are often othercentered (Choo, 2018), debunk harmful stereotypes and discourage name-calling or bullying (Kim, 2014), foster justice-oriented discussions (Jiménez, 2021), and represent accurate historical details, illustrations, and cultures. These narratives center around stories of heritage and communities of color as literature that is fundamentally valuable in developing knowledge and empathy (Jiménez, 2021; McNaughton, 2020). Both white-centered and multicultural literature can represent real-world scenarios that foster student engagement, whether in their analysis, understanding, discussion, or opinions. Research reveals that as students engage with this literature, they are encouraged to explore diverse values, discuss ethical dilemmas, and hold justiceoriented conversations focusing on modern-day contexts (Choo, 2018). This literature is intended to mirror current social and political climates, representing diversified past and present first-hand experiences.
This is not to say that there is no space for white-authored or white-centered texts within diverse curricula. Instead, these texts should represent a small selection to make room for other voices. Choo (2018) suggested that a proper mix of whiteauthored and diverse texts would follow the principles of orientation towards self and world, promotion of openness to difference, other-centric nature, and dialogical conversations. However, for multicultural literature to be discussed and implemented in the classroom, educators must be willing to select and teach these texts. This highlights the significance of the ISBE CRTLS, which define the significance of representative curricula. Multicultural literature is multidimensional in the fact that it both encourages complex literary development for students while also encouraging them to develop empathy towards diverse people groups. The educator’s role is to implement and foster these conversations, and the ISBE CRTLS is an important resource for accomplishing this.
The benefits of multicultural literature
Considering the need for CRP and a new implementation of the ISBE CRTLS in ELA classes, teachers must recognize the unique and multidimensional aspects
of multicultural literature. This literature highlights the multifaceted identities of marginalized individuals (Jiménez, 2021). Representative literature fosters student growth in analyzing texts, developing cognitive mindsets, and engaging in critical conversations. Research reveals that student populations that read representative literature develop strong senses of identity, and spaces of belonging and community are developed in their classrooms (Adam, 2021; Peterson et al., 2015). For example, a recent study found that a sample of educators and parents recognized limited book selections and restricted educator understanding in meeting principles of diversity (Adam, 2021). One unfortunate theme that emerged from this was that the students and educators would “other” non-dominant cultures and consider them “exotic” or “strange,” which resulted in the educators failing to consider the lived experiences of their students. This illustrates the importance of educators valuing CRP. When students can read about and positively identify themselves within the narratives discussed, they hear the message that their stories and heritage matter.
Research has uncovered the psychological correlation between language, naming, and identity, as multicultural literature has the unique ability to debunk stereotypes and reverse name-calling or bullying (Peterson et al., 2015). Additionally, reading multicultural literature leads to critical thinking in secondary classrooms (Choo, 2018; Kim, 2014; McNaughton, 2020; Peterson et al., 2015). In a tenth grade ELA class, McNaughton (2020) prescribed diverse texts to small reading circles, developed group discussion topics, and surveyed students by asking them about their interactions with diverse texts, their ability to make personal connections, and whether or not they felt represented within the texts selected. McNaughton discovered significant trends in students’ text to self (TS) and text to world (TW) connections, revealing evidence of student critical thinking. As students engage with this multicultural literature, these stories can challenge preconceived notions concerning model minorities and stereotypes because they represent protagonists and historical contexts that students might not have otherwise interacted with (Kim, 2014). Multicultural literature also encourages student discussions about equity and social justice (Adam, 2021; Howard, 2021; Jiménez, 2021; Neely, 2022; Peterson et al. 2015). The aspect of critical thinking fostered within traditional curriculum still exists here, but through this literature students are encouraged to exercise these skills in new applications. Therefore, all students, regardless of their gender, socioeconomic class, or ethnicity, can benefit from diverse literature.
Educator censorship and self-efficacy
Nationally, many studies confirm the importance of multicultural education, with some focusing on the attitudes and self-efficacy of educators in implementing these texts. In states like Illinois, educators follow the ISBE Common Core State Standards (CCSS). The CCSS, however, do not directly prescribe specific curricula or texts to teach, which is why the concept of educator influence on text implementation remains crucial. When educators decide which texts to teach from their curriculum, they must exercise their professional judgment on what to incorporate based on principles including literary elements, strengths, or relevance to the themes of the curriculum. Educator’s self-efficacy is defined as the educator’s belief that they can commit to
| ELAIA: The Honors Journal of Olivet Nazarene University
and confidently implement certain strategies. In the context of CRP, this relates to the teacher’s known ability to engage classes, utilize pertinent instructional strategies, and demonstrate efficacy in engaging students to recognize diversity within and outside of the classroom (Terza & Bekele 2021). Terza and Bekele (2021) discovered that educators who employed multicultural education literature (MEL) perceived an increase in student engagement in their awareness of the multifaceted impact of culture. Additionally, Mohr’s (2022) study in sampling Illinois educator preparedness to implement the ISBE CRTLS recognized that educators who had higher views of CRP had a high confidence in implementing the CRTLS, whereas those who were unsure of CRP would have a resulting lower confidence. Because teachers play an essential role in implementing specific texts within their classroom, their self-efficacy toward teaching this curriculum have a direct impact on what students learn. These processes and findings inform this study’s exploration of how educators perceive the implementation or lack-thereof of MEL in their classrooms through the lens of the ISBE CRTLS.
Although research shows that a teacher’s self-efficacy and attitude toward implementing multicultural literature have a positive relationship, Terza and Bekele (2021) found that many limitations remain within the application of these strategies. Thus, the ISBE CRTLS focusing on the educator’s self-recognition of his or her own biases becomes significant in the context of how teachers select their texts and how they are burdened or supported to do so. Because the CCSS remain ambiguous, teachers could choose to preemptively censor certain texts or develop their own selection principles by accepting or rejecting texts due to fear of controversy (Hartsfield, 2019). For example, Hartsfield (2019) found that certain parents, administrations, and educators have stigmatized diverse literature as sometimes controversial or problematic. Oftentimes, multicultural literature contains themes surrounding keywords such as suicide, racism, sex, ableism, diversity, and sexuality, which causes these texts to be targeted. Educators might develop “figured worlds,” or ideologies personally constructed to consciously attempt to protect their students from the exposures of controversies or harsh realities (Hartsfield, 2019). Due to these stigmas, many teachers have admitted to feeling uncomfortable teaching multicultural literature in favor of selecting novels featuring protagonists who are predominantly middle-class, straight, white, and cisgender (Ginsberg & Glenn, 2019). Cruz et al. (2020) found that teachers are confident in creating relationships with diverse students; however, they feel less confident in incorporating culturally specific knowledge in their pedagogy. Teachers might miss opportunities to create classroom experiences that aim to reduce the achievement gap if they feel uncomfortable building on the cultural backgrounds of students (Cruz et al., 2020). Questions remain about how educators will confidently implement the ISBE CRTLS within their classrooms in a beneficial manner.
SIGNIFICANCE
Effects of monocultural literature
Though research trends reflect the benefits of multicultural literature and the significance of the educator in implementing CRP, the reality remains that dominant learning environments enforce teaching monocultural literature which still largely impacts modern classrooms (Sandoval et al., 2023). The CCSS do not require specific genres or books to be taught, which raises the question of what kinds of texts are currently being taught in various regions of Illinois in secondary ELA classrooms. Some teachers may focus on literature dominated by a single shared belief or story and focusing on dominant cultural ideologies or perspectives. Though research does not reflect definitive data since the text make up of each individual classroom curricula differs significantly, the types of literature historically published and canonized are chiefly British and Anglo-American (Aston 2017). According to Adam (2021) and Berchini (2016), when literature centers around monocultural narratives, specific pedagogical practices emphasize whiteness and marginalize characters of color in the narrative by placing them in “background roles.” This type of literature can be counterproductive to lessons about social justice and diversity (Adam, 2021).
Questions remain as to why teachers might have limited access to narratives representing authentic or inclusive portrayals of cultural diversity. Educators may have limited understanding of the role of literature in valuing diversity (Adam, 2021; Ginsberg & Glenn, 2019). McNaughton (2020) suggests that they may have differing beliefs about diversity and the corresponding provisions of multicultural texts, as they may feel more comfortable teaching a more canonically traditional curriculum. Within the context of these diverse educator perceptions, the ISBE CRTLS section G highlights the importance of content selection in all curricula. Within the framework of this standard, educators are expected to curate curricula that embraces multicultural texts and enriches diverse worldviews to represent the wide variety of identities in the classroom.
Though many scholars discuss the benefits of multicultural education and diverse literature, significant gaps remain in understanding why teachers might push back on implementing this literature. According to Ginsberg (2019), some educators fear the discomfort that conversations about race, injustice, violence, and the historical contexts surrounding some of these harsher realities can cause. However, questions remain regarding the impact of these choices on students in modern contexts. Though these fears do exist, Jiménez (2021) calls educators to consider these texts as multidimensional in literary and educational scopes, instead of merely including them to meet standards. McNaughton (2020) suggests these texts must be completely infused into curricula; however, not many resources offer descriptions as to how educators may go about doing this.
Common Core State Standards (CCSS)
The Illinois State Board of Education has adopted Common Core State Standards in full, which define grade-specific learning standards as what students should know
| ELAIA: The Honors Journal of Olivet Nazarene University
at the end of each school year. Within the CCSS, high school English students are expected to understand specific elements such as finding central ideas, analyzing story structures, understanding meanings of words, and exploring grammatical and reading skills. The only definitive standard listed in the CCSS is that students must analyze “seminal U.S. documents” including “The Declaration of Independence, the Preamble to the Constitution, the Bill of Rights, and Lincoln’s Second Inaugural Address, the Gettysburg address, and King’s ‘Letter from Birmingham Jail’” and a few other texts (ELA CCSS, p.40). Additionally, students are required to demonstrate knowledge of “nineteenth- and early-twentieth-century foundational works of American literature” (ELA CCSS p. 38) There are a few suggestions of diverse texts listed within the “Texts Illustrating the Complexity, Quality, and Range of Student Reading 6-12” section; however, there is no broad statement requiring multicultural curricula or texts, which reflects the potential lack diversity in texts taught in classrooms today and requires the need for updated goals or strategies (ELA CCSS p.58). Within the non-standardized goals section of the CCSS, students are supposed to “come to understand other perspectives and cultures,” (ELA CSS, p. 58) but there are no other requirements for multicultural literature to be implemented or assessed. Considering this ambiguous goal, uncertainty remains in research and best practices as to how the educators should implement this cultural understanding and how this understanding will be measured.
Illinois Culturally Responsive Teaching and Leading Standards (CRTLS)
In July of 2022, ISBE released a set of standards pertaining to Culturally Responsive Teaching and Learning Standards, designed for teachers to implement within their pedagogy and curricula. These standards represent eight subcategories outlining self-awareness and relationships to others, understanding systems of oppression, students and individuals, students as co-creators, leveraging student advocacy, family and community collaboration, content selections in all curricula, and student representation in the learning environment (Illinois State Board of Education, 2021). Implemented for preservice teachers and in-service educator professional development, these standards require educators to shape their curricula to be reflective of the listed goals. The CRTLS are intended to be in place by 2025, but little research has described how these goals will be quantified or how teachers will adhere to them. The ISBE released a statement declaring that these standards were adopted to aid in narrowing the achievement gap through culturally responsive educators who actively reflect on their teaching strategies and are familiar with the values and families of students (Illinois State Board of Education 2021). These standards frame my research project, as it is currently unknown how ELA teachers go about implementing these within their curricula and text choices.
Since educators are often dependent on district and administrative support, significant questions remain on how they will meet the CRTLS with their given materials. Specifically, I plan to focus on sections A and G of these standards. Section A outlines the educators’ “Self-Awareness and Relationship to Others.” When meeting this standard, educators must understand how their identity and bias contributes to how they view the curricula they teach and the implications of their pedagogy and
practices. They should work to understand and become educated about the diversity of identities and perspectives within their classroom. Within the context of my research project, I ask teachers to describe how frequently they interact with this standard and what that might look like within their classroom or what the impacts of the absence of this implementation might look like. I also explore section G, which explores the “Content Selections in All Curricula.” This standard outlines how class curricula is curated with a balance of viewpoints and representation of identity, family, community, and culture. The standards also outline the significance of curricula that fosters critical thinking and robust discussion. In exploring this standard, I hope to investigate what texts are implemented and what demographics are represented in the curricula of the teachers surveyed. Overall, with the emergence of these new standards, it is crucial to understand how educators are responding and developing best practices for meeting these goals in consideration of their outside resources and self-efficacy.
METHODOLOGY
This study investigated the extent to which Illinois Secondary Educators are implementing sections A and G of the ISBE CRTLS standards in the context of their ELA curricula.
Survey Design
This project was designed as a two-part research process including a survey and a set of interview questions. Within the survey created using Microsoft Forms, the first section included the informed consent document and required signature slot. The second part of the form consisted of five demographic sections including the identification of the participants’ racial background; years of teaching and class size; a description of students’ racial demographic and socioeconomic background; and their familiarity with the CRTLS. The main part of the survey was created using exact phrasing from the ISBE CRTLS. The first two questions were developed from section A, “Self-Awareness and Relationship to Others,” and the following four from section G, “Content Selections in all Curricula” standards. Participants were asked to rate the extent to which they implement each standard. They responded by rating their likelihood of implementing the following standard on a Likert scale, which was scaled as never, rarely, sometimes, often, or all the time. The final part of the survey included an opportunity for educators to include their email addresses indicating willingness to participate in a follow-up phone call interview. Prior to being sent out, the survey was piloted by four Olivet Nazarene University faculty members for feedback and revision, prompting a few changes in wording. The survey took an average of seven minutes for participants to complete. All participants were entered into a drawing and four electronic gift cards were randomly awarded. Each response was recorded in confidentiality.
Interview Design
Participants who included their email in the final response question were contacted and sent a PDF with the questions when the interview was scheduled. During the
phone call, the layout of the questionnaire was described, and the participants verbally consented to the interview being voice recorded in confidentiality. Interview questions were based directly on the eight main survey questions. For each standardbased question, participants were asked to describe what rating they selected and why, as well as what limitations, challenges or supports they have experienced from their district in meeting the standard. Additionally, one follow-up question was created for each standard-based question. The interviews averaged about thirty minutes per participant. Interviews were recorded using Apple voice memos and transcribed using Microsoft Word and Otter.AI. Each participant who completed an interview was awarded a five-dollar electronic gift card.
Participants
Upon receiving IRB approval, an initial email was sent out to approximately 250 individuals who had graduated from Olivet Nazarene University with a degree in English Education. Included in the email was an introduction to the standards and a description of the design of the study with the survey link. After a few months, fewer than ten survey responses were received, and IRB was contacted to approve the expansion of the research pool to educators who had relationships with the research mentor, the researcher, or with an individual who had already taken the survey or completed an interview. This method sought to avoid any bias considering the range in diversity of how each teacher implements their ELA curricula and the resulting impacts of their community and district.
Coding
The interviews were transcribed from voice memo audio files through the Microsoft Word transcription feature and Otter.AI transcriptions. Transcriptions were manually coded using a Microsoft Word Document. Descriptive coding was applied to discover certain themes about educators’ experiences. The coding technique used was based on Graham Gibbs’ (2007) manual and SAGE research kit Analyzing Qualitative Data. Gibbs’ technique of open coding consists of examining the text phrase by phrase to make comparisons and form theoretical codes or themes that reveal theoretical issues behind the text (Gibbs, 2007). Themes were discovered through analyzing the transcription texts for repeated phrases, concepts, and ideas. For example, if an educator talked repeatedly about the support of his or her district, those phrases would be highlighted and categorized as “positive district support;” whereas if an educator talked repeatedly about representative text selections, those phrases would be categorized as “representative texts.” Each code found by the researcher was confirmed with the research mentor to avoid bias.
RESULTS
Survey
After five months of data collection, thirty-six participants completed the survey Two responses were voided due to the participants not meeting the criteria of being an Illinois-based secondary English educator. According to the demographic section of the survey, there were two males and thirty-three females, all of whom were Caucasian. There was representation of Illinois regional urban and rural school
settings and middle and high school teachers. Years of teaching experience ranged from one year of teaching to fifty-four years of teaching. The mean was 15.8 years, and the median was eighteen, signaling a large range of participants’ experience in education. Sixty percent of educators teach at schools where the ethnic makeup is less than 50% Caucasian students, and 34% of educators teach at schools where the ethnic makeup is greater than 50% Caucasian students. This leaves a remaining 6% in which their responses were inconclusive.
Concerning the familiarity of the participants with the ISBE CRTLS in accordance with Figure 1A, only four of the participants were fairly to very familiar with the standards. The majority of the educators were either not familiar or somewhat familiar with the standards.

Survey questions seven and eight, based on section A.2 and A.7 of the CRTLS, revealed teachers’ perceptions of themselves and their relationships to others. Survey question A.2 prompted educators to reflect on how they approach their “work and students with an asset-based mindset” that affirms and validates the backgrounds and identities of students. Survey question A.7 prompted educators to consider how their “identity… [affects their] perspectives and beliefs about pedagogy and students.” Educators responded via selecting their likelihood on a Likert-based scale and percentages were tabulated.

The final four questions of the survey were based on section G of the ISBE CRTLS, which focuses on educator content selections in all curricula as seen in table 2A. Also based on a Likert scale, participants responded to survey questions G. 2, “identify and articulate the purposeful ways in which marginalized communities are represented in curriculum, including print, digital media, and other classroom resources,” G.5, implement curricula by “embrac[ing] and encourag[ing] a balance of viewpoints and perspectives that leverage asset thinking toward traditionally marginalized populations,” G. 8, “text selections [within your classroom] reflect students’ classroom, community, and family culture,” and G.11 ,“promote [or discourage] robust discussion with the intent of raising consciousness that reflects modern society and the ways in which cultures and communities intersect.”

Interviews
A total of fourteen interviews were conducted and recorded via voice memos. Interviews lasted an average length of thirty minutes. Each interview was submitted to the Microsoft Word transcription service. Multiple codes and themes were discovered from the transcriptions based on manual qualitative coding. Overall, a few common themes were found across section A and G of the ISBE CRTLS, as well as overall barriers, challenges, and supports. Table 3A references common themes found within section A and table 4A references common themes found within second G. Finally, table 5A references the overall barriers, challenges, and supports discovered.



192 | ELAIA: The Honors Journal of Olivet Nazarene University




DISCUSSION
Due to the dual parts of this study with the survey and interviews, the results will be outlined in sections. The beginning section will describe the significance of the demographics of the survey participants. The following section will outline the survey results and interview themes for section A of the ISBE CRTLS, which focuses on an educator’s self-awareness and relationship to others. The final section will outline survey results and overall themes found within the section G of the ISBE CRTLS.
Survey demographics
The demographic section of the survey revealed that though all of the survey participants were Caucasian, around sixty percent of them teach at schools with student populations that are more than fifty percent non-white. This leads to a significant cultural mismatch in which many of the educators are working at schools with a significantly diverse student ethnic makeup. Additionally, with the participant years of experience ranging from one to fifty-four, this study included a diverse variety of educators’ experiences in the field with the average years of
experience being fifteen. Given that 66% of participants were unfamiliar or only somewhat familiar with the ISBE CRTLS, it reflects that standards introduced in 2021 have not been widely integrated into educator practices. Many participants have likely developed some form of CRT over periods of time, though this approach was not previously mandated. As listed within the Common Core standards in the non-standardized goals section, students are supposed to “come to understand other perspectives and cultures;” however, that is the only aspect listed (ELA CCSS, p. 58). With the implementation of these new standards within teacher prep-programs, there may be a more significant difference between tenured teachers and newer teachers.
Section A survey results
The first section of the survey focused on section A of the ISBE CRTLS, exploring how the thirty-six educators engage in self-reflecting. Participants responded to two questions about maintaining an asset-based mindset as well as recognizing how their identities influence their pedagogy. Based on the Likert scale, educators selected “often” most frequently in both questions, with A.2 being 58.82% and A.7 being 46.06%. Though most educators practice self-reflecting “often,” both questions revealed how only 26.47% consider doing this “all of the time.”
Section A interview themes
Throughout the interview portion, each teacher shared multiple examples of their positive asset-based mindsets within the classroom. Asset-based thinking is defined by the ISBE as “affirming the validity of the students’ backgrounds and identities” (Illinois State Board of Education, 2021, p.1). One educator said that they “firmly believe that every student has different strengths” and they recognize when student perspectives differ from their personal perspectives, “that can be a strength.” Another educator spoke on trying to “never assume anything” and “giving everybody a completely blank slate policy” that lets students speak to who they are and how they operate. This educator described the importance of being “sensitive to any cultural, gender, race, [and] socioeconomic differences” so that she can “learn to better frame things to make sense” for students from all backgrounds. Ten educators spoke to having high levels of self-efficacy, noting conscious desires to incorporate CRT practices in the way that they are thinking about the impact of their identities on how they interact with students. These reflections aligned with Mohr’s (2022) findings which linked high educator self-efficacy to a greater confidence in implementing CRT through the ISBE standards.
Asset-based mindsets and self-reflection
In thinking about culturally responsive teaching strategies and asset-based mindsets, five educators spoke on the helpful practices of asking for student feedback. Many educators talked about the importance of learning about students’ backgrounds and interests. These educators discussed polling students at the beginning of the school year or sending out interest surveys to learn about personal and academic strengths and preferences. For example, one educator talked about getting to know their students through “interest surveys, background surveys, and surveys on how they best learn” which then informs how the educator selects curriculum that “best reflects
the student population.” Another teacher spoke about her practice of polling students “on whether they have felt they’ve seen themselves in texts before,” which then informs the way she selects class texts that represent his or her student backgrounds. Nine educators discussed frequently engaging in self-reflection and having a conscious awareness of their personal assumptions. Considering the research pool being 100 percent Caucasian, most educators spoke to recognizing the personal differences between the educator and student. One educator spoke about being “a 47-year-old white woman standing in a room in front of a very diverse bunch of teenagers that have had different life experiences” stressing the importance of considering “everything she says and does” because she was not “going to get buy- in and trust” from students who feel misunderstood. Another teacher talked about being intentional about not assuming anything from his or her students and creating an “open book, blank slate policy” within her class that lets the students dictate “who they are, and how they operate.” In recognizing the differences within the classroom, an educator described how self-reflecting caused her to want to learn to “have empathy, even though” she can’t have similar experiences to what her “students are going through.” Research by Sandoval et al. and the ISBE in 2023 has revealed a subsequent mismatch between the increasing diversity of student bodies and predominantly Caucasian educators. Considering this cultural mismatch, an educator noted in their interview that “it is so important, especially for teachers who are typically white middle class to really read and understand what they could do to better empathize and support their students in the classroom” revealing a strong commitment to understanding the backgrounds and values of their students (p.3).
Section G survey results
The survey responses offered unique insights into section G of the ISBE CRTL standards, which explored educators’ “content selection in all curricula.” For subsection G.2, educators discussed how they “identify and articulate the purposeful ways in which marginalized communities are represented in curriculum, including print, digital media, and other classroom resources.” Of the thirty-six survey participants, 57.58% felt as if they saw this happening “often,” and 24.24% felt as if they did this “sometimes.” Section G.5 explored how educators implement curricula by “embrac[ing] and encourag[ing] a balance of viewpoints and perspectives that leverage asset thinking toward traditionally marginalized populations.” Similarly, “often” was again the most selected response with 57.58% of educators engaging in this regularly, and only 18.18% incorporating these balanced perspectives some of the time. Section G.8 of the CRTLS explored how educators’ text selections “reflect students’ classroom, community, and family culture.” Forty-seven percent of participants described that they felt like their content was “often” reflective and 27.27% said “all the time.” Finally, section G.9 of the ISBE standards investigated how educators “promote robust discussion with the intent of raising consciousness that reflects modern society and the ways in which cultures and communities intersect.” Though no educators in the survey responded with “never,” 63% responded “often,” and 8% responded “all the time.”
| ELAIA: The Honors Journal of Olivet Nazarene University
Section G interview results
Student-relations and buy-in
Within the educator interviews, one common theme was the importance of students’ feeling as if they can relate to the texts taught in the class. Nine educators highlighted the value of students seeing their lives reflected in characters’ themes or situations in assigned readings. For one teacher, this looked like being “conscious of their reallife experiences” and age levels, “not asking them to read things that go over their head” while also exposing them to “the truth about the world” in a way they could meaningfully grapple with. This educator described how students would “come up and say, ‘I really like this story because I’m a black student and so that one really spoke to me’ or, ‘I loved reading this one about the Chinese American girl because my parents immigrated here.’” In making sure that the texts “reflect the classroom” one educator found that their students would “feel comfortable sharing their experiences,” which in turn let their students learn about other students in the class.
As students feel as if they can relate to texts taught in the classroom, four teachers noted the theme of culturally responsive teaching leading to increased student buy-in. Student buy-in is the degree to which students are motivated to invest in their own learning. When looking for novels, short stories, and pieces of nonfiction, one teacher talked about finding stories that “really relate to the students” because she would succeed in getting “more buy in from students, [and] more production” which was “meeting the needs” of their student population “as opposed to just sticking to classics.” Many educators found that as students were able to identify with certain individuals in various forms of texts throughout the course, the students would be more interested in truly engaging with the text through means of writing, reading, and speaking about them. In attempting to pique interest and broaden student horizons, one teacher described the burden of a lack of representative texts. She claimed that if their students “don’t see themselves interested in” in the texts they were not “going to read it.”
Viewing literature as multidimensional
Two educators also spoke to the importance of viewing diverse literature as multidimensional. When bringing in these texts, teachers talked about the importance of teaching about culture and literature in a holistic manner. For one educator, teaching in this culturally responsive way looked like focusing on “fiction and nonfiction that does not only talk about hardships that nonwhite people face, but also triumphs and positive stories… things that aren’t rooted in trauma” or “finding stories that are about joy and success for characters who are like nonwhite, or who come from different backgrounds.” McNaughton (2020) emphasizes this point in describing that the value of multicultural literature is not only fundamental in developing a student’s worldview, but it is simultaneously beneficial for typical class activities such as literary analysis, Socratic discussion, and critical thinking. Teachers also described the significance of recognizing the study of multicultural literature as a practice beyond just the study of cultural identity. For example, an educator said that when she teaches “in a culturally responsive way,” she focuses on “normal literary analysis stuff” while also “reading a lot of different experiences and voices.” Another teacher described how instead of using typically cannoned books to teach
literary analysis, she would try to “find something that is written by authors that [their students] have probably never been asked to study and speaks to a different demographic” and is still beneficial for teaching the same skill.
Text representation
Overall, six of the interviewed educators described their class curricula as wholly representative of their class demographic and diverse communities. In teaching this literature, some of them spoke about how diverse texts offer the unique opportunity to discuss new viewpoints and perspectives. One educator described the benefits of teaching this literature in the classroom as it provides “lots of opportunities to talk about viewpoints and perspectives from different groups” and “exposes the students to a different way of living that they may not be exposed to on a daily basis.” This is supported by Peterson et al.’s (2015) findings that when these critical conversations are held, students find the classroom as a space of belonging. In bringing in these stories, teachers also talked about being mindful of the ways in which they have class conversations about these texts. One teacher said that “does everything [she] can” to ensure that students are “seeing themselves in the literature” and that they are “addressing multicultural texts in ways that are not boxing students in.” For this educator, this looks like refraining from using terms such as “the Asian experience” or “the African American Experience,” and instead offering a more holistic view on multicultural texts in the classroom. This mindfulness seeks to dismantle harmful stereotypes. Research describes that when students are not exposed to diverse literature, they tend to experience this “boxing in” by considering non-dominate cultures as “exotic” or “strange” (Adam, 2021). When taking a holistic approach to CRT, English teachers should carefully consider the way in which individuals and cultures are represented in their class texts.
In the interviews, four teachers talked about how they felt like they did not have diverse texts within their classroom. For example, one teacher who had been in the field for ten years said that “I have seen the demographics of my classroom changing, and I haven’t seen the curriculum and the resources changing to match it.” In considering their class curriculum, another teacher described how “there’s not that much current literature that represents marginalized communities in the curriculum” and that though she is passionate about pioneering for those texts, she does not have “freedom in the district to just up and redo everything.” Three teachers talked about the limitations of their school’s cannoned curriculum and how their class curricula does not foster opportunities for this representation to occur. Even if educators recognize the importance of incorporating diverse narratives, when they are not supported in bringing in these texts, it remains difficult to see this representation. One educator described how “there’s been times when we’ve tried to add something in new and been told no, which is frustrating” and though she remains hopeful that it will happen less, she is “a little bit limited by the cannoned curriculum” and so she “tries to add in supplemental materials.” Though many teachers have demonstrated a common recognition of the values of teaching diverse literature, many still face challenges in implementing these texts.
ELAIA: The Honors Journal of Olivet Nazarene University
Diverse texts causing controversy
Three educators discussed feeling hesitancy when incorporating diverse texts within their courses. With some of these texts delving into controversial discussions involving themes of politics or violence, some educators have reported self-censorship. This tendency toward hesitancy is also considered in Cruz et al.’s (2020) findings. Cruz describes that educators may feel confidence in the relationship-building aspect of CRT but feel less confident in implementing culturally specific language in their pedagogy. These barriers provide narratives to some of the reasons why only eight percent of educators responded that they are having these robust discussions “all of the time.”
One educator talked about how “the discussion part can be very tricky and sometimes a little bit complicated or uncomfortable.” For students to have these “robust discussions” as defined in section G of the ISBE CRTLS, four educators spoke to the struggles in maintaining a sensitive environment. The previous educator also described how she desires to have these discussions with students, but it can be “really difficult to manage” her own personal views “while also having students talking and trying to make sure that they are remaining sensitive to one another when they are offering their ideas and opinions” to the class.
Four educators talked about experiences with parent complaints when students bring home controversial information to discuss. One educator reflected that “with some of the books that we used to teach, the district would say ‘we’ve got too many parent complaints’… so then we were just told not to teach it.” This finding is supported considering Hartsfield’s (2019) study in which the researcher discussed how certain parents can have a stigmatized view of diverse literature, considering certain key concepts and ideas to be problematic. In experiencing parent complaints, four teachers discussed either experiencing being called into the office or knowing educators who have been fired for conversations misrepresented in the classroom. These experiences speak to the controversies of having robust discussions in the classroom.
Overall barriers, challenges, supports District support
Regarding incorporating CRT practices in their classrooms, four educators reported experiencing limited support from their districts, and ten felt as if they had extensive district support. One teacher who felt supported by the district described that they do a “great job at supporting the teachers” as long as they are provided with “sound rationale” for what is being taught. On the other hand, the four that felt limited district support shared that the district involvement felt rather reactive rather than proactive. For example, one educator spoke about a time when they were told to add in diverse texts during Black History month because students had complained, leading the educator to see support as “responsive only in terms of individual circumstances” rather than a proactive stance. Another teacher described how their “district doesn’t really do anything to support what it is [they] need to affirm backgrounds of students.” With each unique educator response, district support seemed to vary greatly.
Professional development in CRT practices
Considering the purpose of the CRTLS and its implementation within pre-service education programs, in-service teachers might rely on professional development (PD) opportunities to learn about current CRT practices. Within the interviews, four teachers felt as if they had experienced helpful PD sessions. One educator said that their PD allowed them to “become more aware of how much CRT impacts a student’s learning environment” and the importance of students feeling “like their culture is represented and that they are they can see themselves in the curriculum.”
On the other hand, an additional four teachers shared that they had not had positive experiences in learning from PD. In considering their training on CRT, one teacher described that there was “a systemic problem with the district” and their “PD was entirely irrelevant” and “low quality” because it would only be implemented after a student complaint. One teacher suggested that “rather than telling teachers that it is super important to understand that cultures are different” which is where she sees her PD, but “a more proactive stance would be giving [teachers] the tools to accommodate [their] students.” She sees her district struggling to offer “practical applications” and would prefer PD in the form of “methods and actual practical takeaways that include stories to teach her class or guides for lessons that go beyond saying CRT is important.” Future research might explore which PD strategies can best support in-service teachers in developing CRT practices.
Pushback
Along with experiencing the barriers of a lack of district support or helpful professional development programs, multiple educators also spoke to struggling with community and co-worker pushback. Three educators struggled to implement diverse texts within their class curricula due to having negative experiences in more conservative communities. One teacher described how certain community voices described her curricula as “a political agenda” as she was “trying to discuss topics of race.” Another teacher noted how many of the culturally responsive resources the department would try to incorporate would not make it past the conservative school board because it would be viewed as “sensitive content” or “divisive content.” Considering other forms of pushback, four educators discussed struggling to incorporate CRT and diverse texts due to their co-workers feeling uncomfortable with some of the themes. One educator talked about attempting to teach a short story that used a derogatory racial term in reference to a historic time period. The teacher’s co-worker was “not comfortable because of the words in the first paragraph” and the text was then dismissed. Another teacher mentioned how they had experienced “pushback from coworkers who are not necessarily comfortable” with bringing in literature that “they can’t relate to, or that they’re unfamiliar with” due to fear of student misunderstanding. These feelings of hesitation are also described in Ginsberg and Glenn’s (2019) research, as they found that many educators who have been in the field for long periods of time favor teaching traditional and more conservative canonized literature due to feelings of discomfort.
Constraints
Four educators spoke on a lack of time in having to create the resources needed to incorporate representative content in the classroom. For example, one educator said
that she has “a hard time finding resources” that she can use, so she “ends up having to do a lot more work” because she has to create many of the materials she needs. Three teachers spoke to having limited relevant resources in their classroom. One felt limited by the cannoned curriculum and said that teachers in her district had to “fend for themselves and create their own resources.” However, in having to start from the ground up, multiple teachers reported this to be very “time consuming” because they are “creating everything.”
Limitations and future studies
Overall, the design of this project including the survey and interview results led to many meaningful themes and discussion points. One area in which the project could have been more refined would be the expansion of the research pool. Though teachers from varying regions of Illinois completed the survey, there were only thirty-six respondents. A larger research pool would continue to point to more statistically significant data. Along those lines, the limited timeline of the project led to only fourteen educator interviews. Having more educator voices would greaten the significance and variety of the themes discussed. Instead of sending initial emails out in April, contacting teachers during a more convenient time may have been more beneficial for an increased response.
Considering the ever-increasing relevance of culturally responsive teaching for the future of education, there are multiple avenues in which this project could be expanded upon and researched further. Initially, expanding the research pool to a greater amount such as 100 to 200 teachers would provide a more accurate representation of educators’ perceptions of the ISBE CRTLS. Further studies also may look beyond sections A and G and take a more holistic approach to understanding how educators interact with each of the subcategory of the CRTLS. Additionally, one focus might look into the effects of implementing required forms of CRT into the state mandated Common Core Standards for in-service teachers. Considering pre-service teachers, future studies may observe the preparedness of students in educator preparation programs in Illinois in meeting the CRTLS. Finally, considering the response of educators experiencing a lack of resources and helpful PD, future exploration of this topic could look like creating resources and strategies to supplement these gaps.
CONCLUSION
The findings of this study offer valuable insights for ELA educators both in Illinois and beyond greater regions regarding the prevalence and practices regarding the ISBE CRTLS. This model is beneficial for all pre-service and in-service teachers in the way that it incorporates specific standards and sub-standards for implementing CRT practices into curricula and educator reflection. An overall reflection on sections A and G of the standards revealed that educators have demonstrated high levels of self-efficacy and positive attitudes toward CRT. They have high levels of self-efficacy and recognize the significance of asset-based thinking. Educators recognize the importance of creating and implementing diverse texts and pedagogy that reflects their student bodies and communities. They understand the significance of diverse
literature, multiple viewpoints, and robust discussion that affirms the identities of students and promotes school-wide equity. However, though most educators have this positive outlook, many of them struggle with the practical limitations of a lack of diverse curricula, inadequate or absence of district support, or limited exposure to professional development programs that promote and train educators in CRT. There exists a gap between the educators’ generally positive perceptions of ISBE CRTLS and the limitations of the lack of supports in fully implementing these practices. This study highlights the significance of CRT and the benefits of implementing diverse ELA curricula. Future research may investigate how educators are interacting with sections beyond A and G for a more holistic perception of the standards. Additionally, forward research may identify how targeted professional development and supportive district involvement may impact educator’s implementations of CRT.
REFERENCES
Adam, H. (2021). When authenticity goes missing: How monocultural children’s literature is silencing the voices and contributing to invisibility of children from minority backgrounds. Education Sciences, 11(1), 32.
Aston, R. (2017). A culture of text: The canon and the Common Core. Journal of Curriculum Theorizing, 32(2), 39-52.
Berchini, C. (2016). Curriculum matters: The Common Core, authors of color, and inclusion for inclusion’s sake. Journal of Adolescent & Adult Literacy, 60 (1), 55– 62.
Choo, S. (2018). The need for cosmopolitan literacy in a global age: Implications for teaching literature. Journal of Adolescent & Adult Literacy, 62(1), 7– 12.
Ginsberg, R., & Glenn, W. (2019). Engaging with multicultural YA literature in the secondary classroom: Critical approaches for critical educators (1st ed.). Routledge
Gunn, A. (2014). Honoring my students’ names! Using web 2.0 tools to create culturally responsive literacy classrooms. Childhood Reading and Literacy Education, 90(2), 150-153.
Hartsfield, E., & Kimmel, C. (2020). Exploring educators’ figured worlds of controversial literature and adolescent readers. Journal of Adolescent & Adult Literacy, 63(4), 443– 451.
Howard, K. (2021). Lessons learned from a review of diverse literature in the Reading Teacher (2015–2020). The Reading Teacher, 75(1), 51–60.
Illinois State Board of Education. (n.d.). Common core standards for English language arts & literacy in history/social studies, science, and technical subjects.
| ELAIA: The Honors Journal of Olivet Nazarene University
Illinois State Board of Education. (2022). Culturally responsive teaching and leading standards.
Jiménez, L. (2021). Mirrors and windows with texts and readers: Intersectional social justice at work in the classroom, Language Arts Lessons. 3(98), 156-161.
Kim, E. (2014). Korean and Korean American adolescents’ responses to literature: Impact of narratives and interpretive community. International Literacy Foundation, 57(8), 666–675.
McNaughton, D. (2020). Utilizing multicultural literature to foster critical literacy in a secondary English classroom, [Rowan University, New Jersey] Master’s thesis. ProQuest Dissertations and Theses.
Mohr, M. (2022). Addressing the preparedness to implement the Illinois culturally responsive teaching and leading standards, [Murray State] Master’s Theses. 271.
Neely, D. (2022). A multicultural literature evaluation tool: Looking at texts through a lens of equity and social justice, [California State University, Sacramento] Master’s thesis. ProQuest Dissertations and Theses.
Paris, D., & Alim H. (2014). What are we seeking to sustain through culturally sustaining pedagogy? A loving critique forward. Harvard Educational Review 84(1), 85–100.
Peterson, B., Gunn, A., Brice, A., & Alley, K. (2015). Exploring names and identity through multicultural literature in K-8 classrooms. Multicultural Perspectives, 17(1), 39–45.
Tereza, D., & Bekele, G. (2021). Effect of teachers’ self-efficacy on their attitude towards the implementation of multicultural education literacy in Harari government secondary schools. International Journal of Education & Literacy Studies, 9(1), 172-182.
Sandoval, C., Cunningham, J., Jacobs, J., & Warner, S. (2023). Research and evidence-based best practices for preparing educators for culturally responsive teaching and leading. WestEd.
| ELAIA: The Honors Journal of Olivet Nazarene University

Latinx Student Identity and its Impact on Perceptions of Academic and Social Belonging in a Predominantly White University
Brianna Guzman
ACKNOWLEDGEMENTS
I would like to thank Dr. Schurman, my wonderful project mentor, professor, academic advisor, and role model for assistance in developing my project idea, providing helpful feedback and conversation about the qualitative research process, my honors project timeline, and being a constant positive support throughout these years I have spent at Olivet. I would also like to thank Dr. Cynthia Taylor, Ms. Shemara Fontes, and the Multiethnic Student Services (MSS) for their support in contacting Latinx students and providing their support and advocacy for minority students at Olivet. Their mission and work at the MSS are a great source of support for minority students at Olivet. Thanks also goes to Dr. Ingram, Dr. Stipp, Dr. Robinson, Dr. Sharda, Dr. Vander Schaaf, and the Olivet honors program for helping me grow as a scholar and student throughout honors classes and this project. I would also like to thank Dr. Case, for allowing me to continue in the honors program after returning to Olivet and working with Dr. Schurman to help get me back on track.
ABSTRACT
Background: This study explored the experiences and perceptions of belonging and identity of Latinx students at a predominately white institution (PWI). As rates rise in the number of Latinx students attending all types of universities within the United States, there are specific issues with acclimation in the social and academic settings of predominately white universities. Research has shown that this is due to cultural differences between Latinx students and their peers, and there is a lack of spaces where they feel they can belong. From past research which shows that one’s own culture can create barriers to assimilation, it is evident that the tentative university supports (i.e. programs, clubs, curricula, etc.) for Latinx students needs be identified and studied.
Hypothesis: Latinx students will lack a strong sense of belonging on a predominately white campus because of the lack of representation socially, lack of diversity in teaching staff, and poor financial assistance.
Methods: This was a qualitative research study consisting of 15 Latinx students at Olivet Nazarene University—which is a predominately white institution of higher education. Data was gathered via individually held semi-structured interviews. Questions were based on the interview questions of Harris (2020) who interviewed Black and Latinx alumni of a Christian PWI. Data was transcribed by the program RevMax and coded using the software Delve.
Results: From the content of the interview participants, four main themes emerged: conflicts between personal culture and campus, cultural identity’s implications in a sense of belonging, the need for Latinx leadership in higher education settings, and token minority experiences in academic and social settings.
Conclusion: Results from this interview project partially supported the hypothesis. Lack of representation was discussed as a main factor in Latinx students’ lack of belonging which confirms the hypothesis partially. Secondly, participants discussed the lack of Latinx leadership at Olivet Nazarene University which confirms the second part of the hypothesis. However, no student mentioned or discussed financial aspects having an impact on their decision to attend an institution of higher education. Overall, conversations within this project highlight the imperativeness of hiring more Latinx staff for positions at Olivet Nazarene University. Additionally, Latinx student voices emphasize the need for more Latinx-affiliated groups oncampus to provide more opportunities.
Keywords: Latino, Latina, Latine, Latinx, multiethnic, belonging, sense of belonging, predominately white university (PWI), racism, People of Color (POC), centers of multiculturalism/centers of equity and inclusion.
| ELAIA: The Honors Journal of Olivet Nazarene University
INTRODUCTION
As there is a rise in Latinx students who desire to attend and are accepted into institutions of higher education, there is an increase in attention which predominantly white universities (PWIs) must create and effectively establish to lessen racist campus climates and strengthen academic support systems. Additionally, only half of Latinx students who attend higher education complete their program and earn a degree. There is a plethora of problems that Latinx students face as they navigate through predominately white university social and academic climates which are factors in the poor graduation rate. Within the academic discourse on the subject, there is discussion on the various factors that can impact Latinx students’ assimilation into the social climate of PWIs as well as the Latinx sub-culture.
Spanish-speaking influences Latinx student acclimation into the Latinx-sub culture and predominately white social scheme. Additionally, ethnic identification can negatively impact connection to these communities as those perceived and who identify as Latinx struggle with fears and experiences of racism. Contrastingly, Latinx students who are white-idenitfying or are perceived as white struggle to assimilate into the Latinx sub-culture. A positive connection between Latinx students to PWIs is campus events as these provide more possibilities for befriending peers in general.
There are two factors that have the potential to positively impact Latinx student assimilation— familial support and university inclusion efforts. Studies have shown that families provide emotional support throughout Latinx students’ time in higher education. Students are better able to rely on family for support when crossing academic struggles and social barriers. However, despite strong emotional support from Latinx families, many students are not supported financially by family
Academic discourse also highlights the tentative positive impact that PWIs could have on Latinx students through the integration of liberatory design thinking. When this manner of organization and planning is implemented, leaders in higher education can help campuses change policies and practices to become more inclusive and equitable. Additionally, it was found that increasing faculty diversity allows learners (regardless of race or ethnicity) to have a more relevant and engaging learning environment. The research and results of this study indicate the tentative measures that other institutions could use to increase animosity and amicable reception to Latinx students in PWIs. Through these efforts of the PWI administration and staff, there is hope to create a more inclusive environment and thus increase Latinx degree completion rate.
LITERATURE REVIEW
University support for diversity has become increasingly relevant as there is an increase in the enrollment of minority students overall. Specifically, 95% of Latina and 84% of Latino students want to pursue higher levels of education (AcevedoGil 2019, 2). Although there is an increase in interest and attendance of Latinx students, the degree completion rate is low as only 14% of Latinx over the age of
25 have a bachelor’s degree (Acevedo-Gil 2019, 2). For the sake of clarity, both Latino and Latina students will be collectively referred to as Latinx. In previous research, Latinx students experienced feelings of displacement and harsh experiences of cultural difference which negatively impacted their feelings of social belonging (Mendoza et al. 2021; Passano 2021). From this disparity, it is evident that research needs to be conducted on the barriers Latinx students face throughout their time in applying for and attending institutions of higher education. Throughout the academic discourse, there are gaps in the literature which researches these impacts on Latinx students in U.S. private universities. It is important to consider the factors which lie in smaller, private universities as there is a need to add Latinx students’ experiences from these schools to the overarching academic discourse. Between larger, public institutions and smaller, private universities, there are differences in resources, outreach possibilities, and diversity among faculty and students. This literature review highlights the various factors that impact Latinx students’ social and academic success at predominately white institutions (PWIs). Through one-on-one interviews, this study will investigate the different obstacles which Latinx students face as they work to assimilate to academic and social settings of a predominately white university setting, Olivet Nazarene University.
Defining Latinx Rodriguez (2018) discusses the specific aspects of those considered to be Latinx. They compare and define the two terms “Hispanic” and “Latino” (gender neutral version) as these two terms are often used interchangeably. Rodriguez explains that the ethnic label “Hispanic” often refers to those who had an origin from Spanishspeaking countries in Latin America or Spain (excluding those from Portugal and Brazil). However, the term “Latino” (gender neutral version) is defined to be those who have a background from a Latin, Spanish- speaking country (but also including Brazil and Portugal). The term “Latino” (gender neutral version) is used to both refer to males with Latin background and as a gender-neutral term to refer to all who are of Latin descent. Throughout this literature review, multiple qualitative studies gathered data through interviews.
A unique component of research through interviewing Latino students is whether or not they identify as Hispanic or Latino (Mendoza et al. 2021). This aspect has the potential to affect the “perceptions of phenotypic race frame [to] their definitions of normative and non-normative subjectivities” (Mendoza et al., p. 13). Research has found that Latino students sometimes base their own perceptions of belonging to white or Latino communities on their identities as either white or Latino (Cordova 2019; Mendoza 2021). Studies have shown how identifying and expressing Latino culture authenticates “a clear making vulnerable of the self” (Mendoza et al., p. 9). Many Latino students who identify as a person of color (POC) are still experiencing systemic racism and inequality within their institutions of higher education (Cordova 2019).
Defining Latino Critical Race Theory
For the sake of background knowledge in relation to the methodology of the discourse, LatCrit will be defined. Latino Critical Race Theory (LatCrit) is a common
| ELAIA: The Honors Journal of Olivet Nazarene University
theoretical framework used within the academic discourse of Latinx students belonging to PWIs. Gonzalez et al. (2021) discuss Latino Critical Theory as a theory which specifically provides a gateway for discussion on the past of inequality and representation for the Latinx community. It is a form of critical race theory which allows for conversation specific to the historical and current Latinx experiences. It has been used for the past 25 years by scholars and has the potential to create an impact on the current circumstances and inequality that has occurred and worsened as a result of the COVID- 19 pandemic. They analyze three different aspects of LatCrit—the theory itself, the community surrounding it, and the practice of it.
Gonzalez et al. explain that LatCrit theory is a framework that has been produced by many scholars and activists over the course of 25 years.
Rates of Latinx Students in Higher Education
As diversity has increased within the education system of the United States, there has been an increase in Latinx student interest and enrollment in higher education (Acevedo-Gil 2019; National Center for Education Statistics 2020). Specifically, Latinx students have shown an overall increase in desiring to attend an institution of higher education. This is because many Latinx students want to “work as a way to validate their parents’ migration into the United States” (Sanchez 2021, pp. 983). Thus, they seek degree completion which will provide a higher-paying occupation (Sanchez 2021). Despite this development, many Latinx students either drop out and do not finish their degree or they complete a four-year degree in 150% of the time (around 6 years) (National Center for Education Statistics 2020). College enrollment ratesfor Latinx students aged 18-24 have increased from 22% in 2000 to 36% in 2018 (National Center for Education Statistics 2020). In the years after the pandemic of COVID-19 (2020- 2023), there was a slight decrease in Latinx student enrollment from 3.5 million to 3.3 million. Although this shift in trends means that there is a current downward trend in Latinx attendance, there was a decrease in attendance of all students by 15%. However, attendance trends are projected to increase by 9% for full-time students and 10% for part-time students over the next seven years (National Center for Education Statistics 2020). Despite these trends in higher education data, Latinx students still only take up 3.3 million students out of 15.4 million total. Thus, Latinx students (in addition to other ethnicities) are still in the minority in relation to college enrollment rates. In comparison, the two highest demographics of 18- to 24-year olds attending U.S. universities are Asian (59 percent) and White (42 percent) (NCES 2020).
Although Latinx students wishing to complete a degree and acceptance rates have been increasing, there is a significant difference in the percentage of students who complete their degree within 4-6 years. The National Center for Education Statistics (NCES, 2020) discusses how 32% of Latinx students finish a 4-year degree program within 4 years. In regard to degree completion (of a 4-year program) within 5 years, only 17% of Latinx can complete the program within the extended time period. The NCES additionally discusses how 6% of Latinx students finish a 4-year program in 6 years. The overall graduation rate for 4-year degree programs of Latinx students is 54%. Overall, only half of Latinx students who enter higher education graduate from their university. This disparity highlights the number of barriers they face within
higher education. It is one of the reasons there needs to be more discussion about Latinx student acclimation to PWI climates and stronger university efforts which actively integrate students of color into the broader white community.
Support Systems for Latinx in Higher Education
Within PWIs, aspects like community, representation, and resources have an impact on a sense of belonging and overall academic success. Specifically, studies have shown that these are important struggles for Latino students during their time in higher education (Acevedo-Gil 2019; Mendoza et al. 2021; Ponjuán & Hernández 2021). There is a diverse number of familial pains and struggles unique to Latinx students and faculty (especially those who are undocumented) as they continue their journey to and through higher education (Gomez 2020). Academic literature on Latinx familial support discusses two facets—financial and emotional provision. Many Latinx students find comfort and strength within the support of their family (Gandía 2019). This helps push students past other barriers they may face in their time in higher education. Although many Latinx parents have not spent time in higher education or earned degrees, their children (Latinx students) have discussed how their families provided an important emotional support system as it “stems from the relationships and strong bonds they have with their family” (Gandía, 2019, 44). Other support systems from universities, like mentorship, can be helpful; however, results from the participants agreed that these other positive influences do not compare to the support of family (Gandía, 2019). Throughout discourse on Latinx family support, there have been differing opinions on the influence which familial support can have. Harris (2021) interviewed Black and Latino graduates at a religiously affiliated, private, PWI. In contrast to the data of Gandía (2019), they found that “family support was not a contributing factor to success for most of the participants” (45). Throughout the interviews, the participants detailed contributing factors to this lack of influence, such as: poor relationships with family, personal problems of parents (i.e. divorce), not wanting to cause extra stress or tension to their family, and being raised to be self- reliant (Harris 2021). In addition to the controversies of emotional familial support, many Latinx students identify lack and fear of receiving financial support from families (Gandia 2019).
Additionally, Latinx students experience feelings of guilt and anxiety over producing more financial burdens for their families (Harris 2021).Thus, it is evident that Latinx students’ reliance on a familial support system is dependent on a number of variables. In the instances where there are strong relationships with family, students have an impactful support system which they can rely on (Gandía 2019). However, this support system is not a universal experience for Latinx students as there may be issues concerning poor family relationships which leads to little to no support (Harris 2021).
Barriers to Assimilation
Within PWIs, there are a variety of experiences which Latinx students face that can prevent assimilation into academic and social settings. Specifically, there are cultural differences which bar Latinx students from assimilating to predominately white university climates (Cordova et al. 2019; Mendoza et al. 2021; Gandia 2019).
Additionally, Latinx students who have different experiences with Latin culture, do not speak Spanish, or identify more closely as white have problems with fitting into the Latinx sub-cultures of PWIs (Mendoza et al. 2021). Throughout this section, there will be discussion on the barriers which impact Latinx students’ identity and social belonging at PWIs.
Spanish-speaking and Social Settings
Throughout predominately white institutions, Latinx students’ preferred language can impact both their identity and social sense of belonging. Specifically, one’s lack of capability to speak Spanish can negatively impact their acclimation to the Latinx sub-culture of PWIs. Cordova (2019) explored the manner in which Spanishspeaking is an important component of Latinx identity as it can impact one’s sense of belonging to Hispanic or Spanish-speaking communities. Students who identify as Latinx noticed and noted more experiences of systemic racism and inequality within their PWI. However, “Latinx white students reported feeling more discrimination and discomfort in Spanish classes” (53). Additionally, there was discussion on acts of exclusion from speaking Spanish in a public place from Latinx Spanishspeaking students (Cordova 2019). When speaking Spanish in a predominately white institution, many students have had more negative experiences in general with nonethnic peers (Cordova 2019). Passano (2021) additionally discussed students feeling unsafe when speaking Spanish within their predominately white campus. Both the issues of poor assimilation into the Latinx sub- culture and fears of speaking Spanish in public places “weakens their (Latinx students’) sense of belong and makes them question their place within the campus space” (Passano 2021, pp. 30).
Ethnic Identification and Assimilation
Academic discourse over Latinx social belonging highlights two different aspects— students feeling displaced within the larger white community on campus and others who appear white- washed—portraying oneself or appearing to be like a Caucasian person (Cordova 2019; Gandia 2019; Mendoza et al. 2021 Passano 2021). Within predominately white institutions, many Latinx students who identify as POC are still experiencing systemic racism and inequality within their institutions of higher education (Cordova 2019). Many of these perceptions of experiencing racism are related to displays of pride for one’s Latino culture. Mendoza et al. (2021) discussed the identity and community of Latino students in PWIs. Through their research, they highlighted the various effects on identity that impacted Latinx students’ sense of belonging and perception of racist experiences at PWIs. The study had interviewees who identified as Latinx, while others felt as if they were more white or white-washed. Additionally, Latinx students who identified as white felt that their feelings of exclusion came from the different Latin groups that held a resistance to normative whiteness.
A Hispanic student’s identity as being “whitewashed” or “white” creates a barrier to belonging to Latinx communities within one’s university (Mendoza et al. 2021). Additionally, it was found that Latinx students who identified more as white felt displaced with the Latinx communities on their campus (Mendoza et al. 2021). Although a sense of pride for one’s culture is a prominent trait in many – Latinx
students, research has shown that familial support has influenced students’ perceptions of assimilation into PWIs (Passano 2021). Specifically, family support expresses concerns about racial discrimination and general safety on PWI campuses. Suggestions made to students about staying safe included encouragement “to behave in a way that would please the white community and […] to remain hypervigilant of their surroundings so that they would not be targeted” (Passano 2021, pp. 29). Although the advice of family stem from love, they have the ability to be destructive by pre-establishing fears of racism and negative perceptions of the campus climate.
Campus Involvement
Involvement within campuses has the ability to provide positive experiences with the broader student body; thus, it is imperative that there be more connections and tentative opportunities established for positive student experiences (Gandia 2019; Harris 2021). Gandía (2019) conducted seven interviews with first- and second-year students at multiple PWIs. One of the themes from these interviews discussed student involvement in general campus programs and Latinx-specific clubs. They found that “six out of the seven participants interviewed mentioned how involvement upon arrival to their campus played a significance role in their ability to persist past their first and/or second years” (Gandía, 2019, 44). Within their qualitative interviews of Latinx and Black students at a private, religiously- affiliated, PWI, Harris (2021) discusses how involvement in campus programs, like being a residential assistant, provide opportunities to establish relationships with both students and faculty. Seeking these types of opportunities create the ability to develop leadership skills as a mentor and acclimation to the campus climate as a mentee. Overall, it is imperative that a welcoming campus climate is developed at PWIs as it will help in appreciating diverse cultures (Harris 2021). Through diverse representation in student leadership opportunities, there is more of an opportunity to educate and create a safer PWI climate.
University Support for Minority Students
As diversity increasingly grows across campuses, it is important to assess the university support for minority students. Through stronger support from universities, Latinx students will be better assisted in continuing in higher education and acclimating better to the environment (Culver et al. 2021; Harris 2021). Research highlights how universities have the potential to provide better access to information (Acevedo-Gil 2019). Additionally, it is noted that representation of Latinx culture within centers for equity and inclusion and other university programs are imperative (Hoffman 2020; Gandia 2019). This is because these aspects of PWIs are created to help provide a safe space and place where culture does not have to be hidden. Thus, the purpose is lost if there is little to no representation.
Access to Information
Many Latinx students have found that challenges to accessing information were eased through the efforts of faculty (Acevedo-Gil 2019). Acevedo-Gil (2019) established a nonlinear model of analyzing the college choice of Latinx students. Within this research, the conceptual framework analyzes two different stages of the college process for Latinxs — searching for college information and foreseeing university-
| ELAIA: The Honors Journal of Olivet Nazarene University
related issues. The findings showed that Latinx students discussed how they felt they were provided with a limited amount of college information— making access to resources and applications more challenging. Additionally, it was found through the students’ reflections that Latinx students analyzed information concerning higher education while reflecting on their personal identities. Acevedo-Gil determined that Latinx students are expectant of obstacles—like lack of access to information. Overall, these two components—information seeking and the anticipation of obstacles—are gaps that Latinx students within the study faced. The bridge between the gap was la facultad (faculty).
Faculty Assistance
A facet of support for higher education students is assistance from faculty and other university staff. Barnett (2020) urges that universities need to be mission and valuefocused because it will otherwise lead to poor student support. This is because when the various needs of an increasingly diverse student body are not considered, then “we may design curriculum that benefits one (majority, white) group over another (minority, non-white) group” (Barnett 2020, pp. 28). Through poor student support, there is a lack of academic preparedness and an increase in drop-out rates. Thus, it is apparent that university faculty plays a significant role in academic support for Latinx students. These approaches are specific to the preparedness of staff and faculty, as well as an overall effort to develop more unity within university community. Through the usage of liberatory design thinking (method of thinking/though which focuses on increasing inclusion and equity), leaders in higher education can help campus educators change policies and practices to become more inclusive and equitable (Culver et al. 2021).
There are many areas in which universities need to re-evaluate practices in order to establish a stronger connection to minority students. Harris (2021) studied the tentative supports in private, faith-based, predominately-white universities through interviewing two Black, two Latino, and one bi-racial (who identifies as Black) alumni of Wilmington University (WU). In relation to the assistance provided from academic institutions, the study participants noted that there is a lack of representation in regards to faculty. Two participants specifically mentioned the manner in which they “dealt with challenges and microaggressions, a few being in their disciplines from faculty and staff” (Harris 2021, pp. 65). Through hiring diverse faculty, Latinx students have the ability to feel safer in academic settings and better represented culturally. Discourse concerning diverse faculty within PWIs highlights Latinx students’ experiences in universities where administration and professors may not have been as diverse, but there was an emphasis on connection to students and “ensuring that students feel challenged but comfortable” (Passano 2021, pp. 38). Harris (2021) discusses how all participants within his study “indicated that they had staff and faculty members who showed interest in them academically and personally and helped keep them grounded” (52). Mentorship is an important aspect of acclimating to the university and developing a stronger sense of persistence. In “Restructuring the Master’s Tools,” Sulé (2011) discusses the role that black female and Latina (female Latinxs) professors play in predominately white
institutions (PWI). It is seen that POC professors are connected to a climate of inclusivity. Sulé discusses the manner in which black female and Latina faculty establish their classrooms in a public institution. The findings show that the faculty participants of the study developed two different ways of navigating a classroom— “enacting legitimacy and employing equity-based pedagogy” (1). These two strategies reflect the professors having an awareness of the experiences of particular group marginalized by society, as well as an active resistance against subordination both on the individual and collective level.
University Infrastructure and Culture
In relation to the importance of diversity, equity, and inclusion, Barnett (2020) researches the gaps in support provided by universities. The results detail that it is imperative for university leaders to address, create, and unify goals for the support of POC students within the school. Barnett lists seven key recommendations for universities. Firstly, it is important to integrate and engage the campus values and community with equity and inclusion efforts. They must also ensure that these efforts will indeed happen. Next, it is important to unify the policies of the institution with these efforts. Institutions of higher education need to increase the amount of diversity on campus. Additionally, it is important to give resources and incentives to faculty for the purpose of bettering their work towards diversity goals like creating a safe multicultural classroom. It is also important to provide resources to at-risk students. Lastly, it is important to work towards developing a welcoming campus culture that embraces diverse backgrounds.
Gandía (2019) explored the tentative necessary support at PWIs for Latinx students. Through the interview process, it was found that there is “an urgent need to belong, an urgent need to feel accepted and supported, not only by their peers, but also by their institution” (57). The support comes from both the institution’s efforts to develop resources and the Latinx community within the PWI.
Centers for Equity and Inclusion
Hoffman (2020) describes the term “Centers Focused on Equity and Inclusion” from the SAGE Encyclopedia of Higher Education. They detail that these types of institutions are offices specifically designated to provide resources and/or a physical place for focusing on equity, diversity, and inclusion of minority students (i.e. LGBTQ+, African American, Hispanic/Latinx, Jewish, Pacific Islander, etc.) in a university setting. These centers usually provide students with different events, programs, initiatives, and activities that allow for cultural representation of minority students. The staff within centers focused on equity and inclusion are usually a mix of student, faculty, and administrators. Unfortunately, minority students are often marginalized. Thus, these centers dedicated to equity and inclusion allow for a safe space for the groups of students who face these difficulties.
Within interviews conducted by Gandía (2019), Latinx student interviewees found that there was a lack of representation of their culture in the centers for equity and inclusion. Through the participants’ experiences “it is evident that multicultural
| ELAIA: The Honors Journal of Olivet Nazarene University
centers should have staff that reflects their student’s population because they will feel more connected to their university” (Gandía, 2019, 47). Within centers for equity and inclusion, students need to feel represented through the staff whom is hired and the physical representations of culture and community within the space (Gandia 2019; Harris 2021). If these spaces are meant to support various minority students (including the Latinx student population), then it is important for schools to assess the level of accurate cultural representation multicultural centers have and evaluate if equity-minded practice is taking place.
METHODOLOGY
Research Design
In order to identify the experiences of Latinx students at a PWI, fifteen full-time Latinx students from Olivet Nazarene University were interviewed about their own experiences in relation to their culture, identity, and sense of belonging at a PWI. The interviews were semi- structured and contained questions which were adapted from study by Harris (2021). Within the study, Harris interviewed four Black and Latino graduates of a Christian university about their experiences in relation to identity, academic and social settings, and faith.
Participants
In order to participate in the study, students needed to have been enrolled as an undergraduate student at ONU for at least one school year. This is to ensure that students have been exposed to at least a year of ONU’s cultural, social, and academic environments. Additionally, students needed to have at least one parent of Latinx descent to qualify.
Through the assistance of the Multiethnic Student Services (the center of equity and inclusion at ONU), all Latinx students were contacted via email. Students who were interested in the project had to respond to an online background information form. A week after the email was sent, the qualifying respondents were contacted individually about a date and time for the interview. Each participant was given a $15 Amazon gift card to incentivize participation for the study.
Procedure
Data collection began upon approval of the Institutional Review Board. Participants electronically signed a letter of informed consent for the process of this project upon taking the initial demographics form. All participants were assigned pseudonyms. The process of interviewing involved an in-person, 30-60-minute interview conducted over the Spring 2024 semester. Each interview was recorded and transcribed verbatim using Revmax—an online recording and transcription service. In order to ensure overall audio content quality, participants were interviewed and recorded in a quiet space.
Analysis
After conducting and transcribing interviews verbatim, the data was coded using an interpretive analysis inductive coding approach to create common themes of each interview question and relate the topics of the interview content if applicable. Each question was assigned a theme; and, some were grouped together based on content similarity. After, the transcripts and themes were uploaded to the Delve AI software which correlated quotes from each participant to relevant themes. Quote lengths spanned from 1 sentence to an entire question response. Some parts of the transcripts were coded into multiple themes due to its content being applicable to multiple aspects. After the initial coding process, the themes were grouped into overarching genres in order to consolidate results. Lastly, prevalent quotes from each interview participant were broken down and discussed in connection to their connected theme and overarching genre. After this process, conclusions were drawn from the content of each theme and corresponding genres.
RESULTS
In order to discover and discuss the experiences of Latinx students at Olivet Nazarene University, fifteen undergraduate students were asked about their cultural identities, experiences on campus, and how these aspects of university life have impacted their persistence in obtaining a degree. During the interview, each student’s response was transcribed verbatim. Prevalent quotations from participants are displayed verbatim as well.
Data Sources
There were two methods of gathering data about the participants. Firstly, each participant had to fill out the preliminary demographics form (see Appendix A) where they answered questions about their background. The purpose of these questions is to gather information about the participants’ ethnic and familial background and contact information. All data from the preliminary form were confirmed with the participant before the interview. The second source of information was the interview. Students were asked open-ended questions in a thirty to sixty minute in- person interview.
Participants
Fifteen undergraduate Latinx ONU students were interviewed. Out of all the interviewees, ten out of fifteen were of Mexican ethnic background; one student was Costa Rican; one student was Guatemalan; one student was Peruvian; and two students were of two or more Latin ethnic backgrounds. All ethnic background data of students was sourced primarily from the initial background form and confirmed by word-ofmouth at the interviews. Thus, each participant’s ethnic background was self-identified and self-confirmed. There were 10 female participants and five male participants.
The grade levels of each participant were categorized by Freshman (first year of attendance), Sophomore (second year of attendance), Junior (third year of attendance), and Senior (fourth year of attendance). There was one Freshman (who had completed college courses prior), four Sophomores, seven Juniors, and three Seniors. This data was disclosed via background form and confirmed by word-of-mouth
| ELAIA: The Honors Journal of Olivet Nazarene University
Themes
Questions for the interview were based on a study by Harris (2021). They interviewed and coded data from four Black and Hispanic alumni from a private, Christian university. For this research project, themes were established by grouping related interview questions together and summarizing the content into one theme. The questions, correlating themes, and frequency of mentions are seen below:

The most frequently used code was Influence of Cultural Background, which has 182 mentions across all fifteen transcripts. This theme discusses the sense of culture students held and its influence in experiences and perceptions of belonging. Content from this theme is seen within four out of four overarching genres. These four genres encompass the main ideas of which each interviewee discussed within their interview. The first genre discusses the conflictions between personal culture—as defined by the participant—and campus climate. The second genre discusses how one’s cultural identity impacts sense of belonging on campus. The third overarching genre discusses the lack of Latinx leadership representation at Olivet Nazarene University. Lastly, the fourth overarching genre will discuss token minority experiences in the classroom. Token minority experiences are when students are specifically targeted and questioned about experiences related to their race, ethnicity, and cultural backgrounds. From these events, minority students can experience feelings of separation and isolation from their white peers.
Throughout all discussion of overarching genres, interviewees’ first or last names will not be used to ensure privacy. All names used will be pseudonyms not related to the interviewees’ real names.
Overarching Genre 1: Conflictions Between Personal Culture and Campus
Throughout coding the data from the interviews, the most frequently mentioned aspect was the conflictions between personal culture and campus culture. This genre encompasses content from the themes Cultural Influence in College Attendance (and Continuation of Attendance) and Influence of Cultural Background. The experiences of the 15 interviewees were analyzed for similarities and differences in relation to the overarching theme. All participants mentioned that their culture did not impact their decision to attend Olivet Nazarene University. Additionally, 14 out of 15 participants noted that there were aspects of their personal Latinx cultural identity which they felt were not accepted by the larger demographic of Olivet Nazarene University. One story of not feeling accepted culturally is from a Latina student named Juanita. Within her interview, she spoke about her general feeling of not belonging and specific experiences with lack of acceptance of cultural food. Within her interview, Juanita spoke on the issue, saying:
I know there’s other students who also have their own traditions, but they wouldn’t be traditions that would be accepted here, and that goes for clothing, food. I don’t even want to cook here anymore. Like, well, I don’t want to stink up the place. The comments we’ve gotten like, oh, are you sure that food (i)s okay? It hadn’t gone bad. Fine. So, then we’ll just eat normal food. And that’s why I actually going home a lot on weekends. I like to go home and just feel like I can recharge my battery because I feel like here, I’m a completely different person than if I was back home.
Within this quote, Juanita discusses how she felt her own traditions related to food, clothing, and practices were not accepted by her peers. Specifically, her experience details how others believe that her cultural food was spoiled due to the different smells.
Similarly, Latino student Luis described his experiences with a hostile living environment his freshman year, saying, “There was a lot of drama, a lot of racial tension for some reason when it comes to foreign students and a couple of the black students. There were some instances where I had some advertisements on my door and there was a racial term written on it, so that was pretty weird.” Luis described that his later experiences in different living environments were more positive and that the resident director from his freshman year was supportive throughout the circumstances. Within the university, there were still supports for students who were having adverse experiences. ONU student Petra describes poor experiences with speaking Spanish in public spaces here freshman year. She said, “I didn’t talk Spanish as much when I was here because I had multiple people told me that, especially in my dorm, they told me that, especially when I was on the phone with my mom or grandma in a common area, it would always be we are in America, we speak English.” Petra’s story reflects feelings of unacceptance due to comments from her peers. Academic discourse on the impact of language within PWI spaces reflects similarities to Petra’s experiences. Specifically, it was discussed that Latino students note experiences of racism and inequality within university settings as Spanish speakers (Cordova 2019).
Overarching Genre 2: Cultural Identity’s Implications in Sense of Belonging Throughout discussion on perceptions of belonging on a PWI campus, 13 out of 15 participants mentioned aspects of their own Latinx identity and how it impacted their sense of belonging in social spaces at Olivet Nazarene University (ONU). To clarify, the first genre specifically discusses students’ general experiences with racism and non-acceptance from peers, and inability to speak Spanish in university spaces. Contrastingly, this genre specifically discusses interviewees’ perceptions of cultural identity and how it impacts their sense of belonging at campus activities and within student groups and/or clubs.
At ONU, there are events specifically catered toward the representation of Black, Asian, and Latinx culture. These three races/ethnicities have affinity groups ran under the supervision of the Multiethnic Student Services (MSS)—a center dedicated to cultural inclusion. On the subject of cultural events, Luis discusses how he feels a sense of community at events run by the Hispanic Student Christian Association (HSCA). He states, “Definitely, when it has to do with MSS and the HSCA specifically, I feel like there’s a great sense of community when it comes to us hanging around or going to do stuff or events. I feel like not everyone just says, oh, you’re Mexican. You know what I mean? It’s really respectful of what different countries we come from, and even respectful in that way that we don’t really just make that basic assumption between Hispanic people that we’re all just from one place.” Throughout his interview, Luis discussed how he overall has felt
a sense of community when attending HSCA events. He notes how there is more of an awareness of the diverse amount of Latinx cultures and ethnicities, rather than holding the assumption that all are of one specific ethnicity. Additionally, Latino student Edgar discusses his sense of community on the subject of HSCA events, saying “I feel like I’m back at home at a party where it is just me and a bunch of like, my cousins and a bunch of family relatives that we call family or even blood related. Just having good time of our lives and just dancing.” Both participants discussed how these large Latinx cultural events provided representation and a sense of community.
However, Luis also discusses how this sense of community can become segregated at smaller events (i.e. bible studies, hang-out sessions, etc.), saying, “I feel like there’s been more Hispanic students, but the group doesn’t come together as much in a way. You mostly just see the girls hanging around together and the guys, they just kick it with whoever they want.” Within this quote, Luis discussed how there is sometimes a lack of connection between the HSCA and Latinx students. At ONU, the HSCA is the only group which is Latinx-affiliated; thus, there is only one club on campus which is specifically dedicated to providing a safe space and place of cultural connection to Latinx students.
Some interviewees reported that they created their own space with other Latinx students. Annette said, “I would say I surround myself with people from my cultural background, Latino, Latina.” As a result of those who Annette chose to surround herself with, she reports, “For me it’s very diverse. So, I feel like to an extent, yeah, a big extent is that my culture is represented here on campus.” Through encompassing herself with those of Latinx culture, Annette discussed how it created a sense of cultural representation. However, Annette also reported that this selfmade community is “only a group of 10 […] So, it’s hard to feel like you have a community surrounding you.” Annette later references cultural differences and feelings of unacceptance as to why she feels an overall lack of belonging to the broader campus community. She said, “I guess you could say they do say, oh, well, everybody belongs here, but it doesn’t sometimes feel like that for other people. And it goes back to the cultural differences again, it’s just some people just don’t like it. Some people aren’t accepting of it, and in a way they’re always going to put you aside. So, it’s hard to feel like you have a community surrounding you.”
Interviewees also discussed feelings of lack of belonging when attending all-campus events (large-scale events which are provided to all students). On the subject of allcampus events, Latina student Salem discussed that “I think they cater more to like white students and like do more activities for like the American students or even like the Europeans.”
Interviewee Norena discusses that it is easier to go to these larger events with friends. However, she reports, “but since most of my friends, actually all of my friends are American [non-Latinx], there’s some events that they even feel out place and then I don’t have anybody else to go with. So then I’m like, do I want to go by myself? No.”
Norena continues by discussing how this feeling of unbelonging is a main reason for not attending university events.
ELAIA: The Honors Journal of Olivet Nazarene University
Overarching Genre 3: Need for Latinx Leadership in Higher Education Settings
Within the interviews, Latinx students discussed that there is a need for Latinx leadership at ONU. Some participants who discussed this issue referred positively to their professors and did not express a negative view of current leadership; but rather, they discussed the manner in which Latinx professors, leaders, faculty, etc. would provide a model and connection with Latinx college students. Other students reported that they feel like there is bias and favoritism and a lack of connection to the current center of multiculturalism—the Multiethnic Student Services (MSS).
Twelve out of fifteen students having overall positive experiences with non-POC professors and faculty at ONU. Latino student Johnathan discusses his positive experiences with non- POC professors at ONU, saying, “I think the professors are pretty cool to talk to. They really give an insight of like, the real world gives some really good advice. Especially […] my advisor, she’s helped me a lot these three years here giving me, uh, insights in the business world and stuff like that. Giving me advice here.” Johnathan continues his discussion on staff by telling about how his advisor helped him his freshman year when he was making new friends and throughout difficult courses where he needed more financial help. Latina student Celeste explains a similar experience on the subject of helpfulness of professors. She discussed that “I think all my professors are wonderful people and I definitely appreciate, especially those who go out of their way after class and ask how you are or thinking about certain chemistry professor that it didn’t start off well. But now I’ve learned how to take her humor and she’s just spread cheer. Her class makes my day. Sometimes we chat little bit after class. So it’s been really good overall.” Overall, most interviewees reported that their interactions with non-POC faculty and staff were mainly positive.
Other students reported that they specifically felt more connected with their POC teachers. Juanita highlighted the importance of having POC professors because it leads to better representation and connection with teachers. She discussed how “most of my favorite professors have been POC professors, but it’s more because I think I connected with ‘em in a different perspective than I would with my other professors.” She later discusses how a POC school of education professor helped her get through tough experiences her freshman year. Despite being from different racial backgrounds, Juanita discusses how she was able to connect culturally over different topics and experiences. She said, “she would tell me about how she grew up, and then I’d be like, oh, my parents did the same thing to me, and we would talk about it. Whereas other teachers, it was a bit difficult for me to connect with them because they were more focused on the class itself.” Overall, Juanita was able to discuss how having a POC professor allowed her to feel safer and create a more connected feeling.
On a similar note, Latino business student Luis discussed how there needs to be more awareness about the positive impact Spanish-speaking can have on one’s career. It was expressed that this is especially important in relation to his major, as he says, “I feel like they [School of Business] don’t really exploit the opportunities that comes from speaking multiple languages, and they don’t actually express how important
it is or how beneficial it can be in the job market as well, especially in the school of business, since there’s nobody in the school of business from the administration side that actually speaks Spanish.” Luis continued in his interview by discussing how there is a need for Latinx faculty overall because then there would be more Latino representation, cultural connection, and awareness. He says, “I feel like it starts off really strong in September because of Hispanic Heritage Month, and then from there it just kind of dies down. I haven’t seen one Hispanic speaker at chapel, or there’s hardly any Hispanic/Latino professors. The only Hispanic people that I do see on campus are janitors or lunch ladies or some service member rather than actual heads of administration. Off of the top of my head, I only know two Hispanic people that I know have some type of leadership role.” Throughout his interview, Luis continued to discuss the importance of having more Latinx faculty in professorial and leadership roles.
In terms of faculty who work with Latinx students, ONU student Natalia discusses how there is a specific need for Latinx faculty in mentoring roles. She talked about how there is nobody of Latinx descent who specifically works within the MSS. Although there is currently POC staff who work within the center of inclusion at ONU, Natalia reported feelings of bias and favoritism of those staff members towards students of their own racial backgrounds. On the subject of the current MSS staff and leadership, Natalia said, “I hate saying the phrase, I understand you or hearing the phrase, I get you. Everyone has their own story. And I guess that’s her [Dean of MSS] attitude because she is of color, she understands us; but she doesn’t […] we as Latinos should have a mentor that’s a Latino.” The experiences of ONU students confirm that there is a need to have more Latinx leadership overall, but especially with those who work in multicultural centers of inclusion and equity.
Overarching Genre 4: Stereotyping and Token Minority Experiences
As students delved into their positive and negative experiences at ONU, there were stories shared about stereotyping and tokenism. Tokenism (token minority) is the practice of providing unequal opportunities to students of color because of their race or ethnicity (Encyclopedia of Diversity and Social Justice 2014). Castagno et al. (2013) discuss that Tokenism is a “problem common to environments where structural diversity is low” (p. 9) On the subject of stereotypes, Petra discusses, “I think freshman year was really hard for me because I wasn’t used to being around predominantly white people and at a predominantly white campus. And I think my freshman year experience was definitely hard because I tried. I never actually stood up for myself in any of the situations I had, because everyone’s stereotype is, Latinas are crazy, Latinas are loud, they’re just petty, they whistle. So, I never stepped up for myself, and I’m still getting bit in the butt because of that.” Throughout her time in higher education, Petra expressed that she saw herself being stereotyped by her peers. This eventually led to conflict with others which was difficult to resolve because of the stereotyping which was taking place.
Other interviewees reported that they changed themselves to acclimate to the larger demographic of ONU. Yessenia reported that she feels she has masked her
| ELAIA: The Honors Journal of Olivet Nazarene University
personality to not feed into Latina stereotypes. She said, “I do think there is a tendency for me to mask who I really am at the beginning. So I’ll be a little bit more preppier, a little bit more like, you know what I mean? I’ll talk a certain way or just not really show my complete personality just because of you don’t want that type of judgment, or you also don’t, I mean, obviously you’re Hispanic, so there might be some sort of stereotype already when they’re getting to know you. So, you just kind of want to try to not be whatever it is that they think you are. So yeah, just not feed into the stereotype.” In order to avoid judgement and stereotyping, Yessenia discussed how she was hyperaware of her personality and behavior and felt she had to change to fit in. Similarly, Jose discussed how he mainly speaks English on campus to avoid the stereotype of Spanish being used to gossip or talk ill of others. He discussed, “One of the main reasons I don’t really speak Spanish is because if I speak Spanish, a lot of people will assume that I’m gossiping, so the best way to sit to avoid that is simply talking in English.” In order to acclimate to ONU’s predominately white setting and avoid stereotyping, Jose reported that he mainly speaks the main language of the campus—English.
In terms of familial background, Annette discussed how she has the tendency to hide her parents’ immigrant background. She explained that both of her parents are immigrants and that she was the first to go to college. She discussed how she often feels a lack of connection to others because they do not understand her experiences. She says, “I don’t want people to feel bad for me, because sometimes my cultural background affects it a lot. When I tell ‘em, oh, my parents are immigrants. Ooh, they look at me like, Ooh, that’s a tough life. But it wasn’t always like that. Sometimes there’s good aspects to it and there’s also bad.” Annette’s story highlights how it can be difficult to connect to others due to culture and culturally-related experiences.
On the subject of lack of belonging in academic settings, Juanita discussed her experiences of tokensim and microaggressions in her classes. Upon discussion about sense of campus community, she said, “I’ve had experiences with students making certain comments, which I know they don’t mean in a bad way, but it’s not microaggressions, but ignorant comments. And I know they don’t have ill intentions with saying it, but they just don’t know any better. […] There’s a lot that people don’t know about Latinos in education and it was kind of sad to hear a stereotype in the classroom.” Juanita continued to explain her experiences by discussing how she was asked about what school was like as an English as a Second language student in Chicago, IL. She told about how some of the questions were based on stereotypes of Latinos which was hurtful to see within a teacher education course. She continued by saying, “it was kind of scary being the only Latinx student in the classroom. And I even had that experience with one of the classes I took, even though it was about multicultural education, it was still weird because they would directly ask me questions about the Latino experience in education because I was the only Latina. I can’t speak for all the Latino students. So, I didn’t even know how to answer some of the questions anyways.” Juanita’s story shows how tokenism and discrimination in higher education settings can lead to lack of belonging and feelings of isolation from peers.
DISCUSSION
In order to discover and discuss the experiences of Latinx students at a small predominately white institution, 15 semi-structured interviews were conducted with Latinx students. Interview questions asked about these students’ experiences, identity, perceptions of culture, and sense of belonging in academic and social settings. From the data, four overarching genres were drawn. These genres discussed correlating experiences and testimony from the participants. Academic discourse suggests that there is a need for more diversity in university faculty so that POC students are able to connect better to their school (Gandia, 2019; Harris, 2021).
Previous academic discourse has shown that with an increase in Latinx student attendance in institutions of higher education, there are problems with acclimation into university settings. This is especially evident within predominately white institutions as their communities, representation, and resources can impact Latinx students’ sense of belonging and academic success (Acevedo-Gil 2019; Mendoza et al. 2021; Ponjuán & Hernández 2021). POC- identifying Latinx students report experiences of racism and inequality within their institutions of higher education and many of these experiences were related to expressing pride for one’s Latinx culture (Cordova 2019; Mendoza et al. 2021).
Within this study, experiences and feelings expressed by the Latinx students of Olivet Nazarene University (ONU) reflected the discussion from previous subjects. Specifically, ONU Latinx undergraduate students in predominately white higher education settings perceived their ethnicity and culture as a factor in their identity. Additionally, 14 out of 15 participants reported feelings of lack of inclusivity and belonging at ONU. Throughout the interviews, all 15 participants referred to influences of their cultural background on their perceptions of belonging at ONU.
The first overarching genre was “Conflictions Between Personal Culture and Campus.” This specifically discussed participants influences of cultural background and cultural representation. Representation and background were seen in several different aspects—chapel services, religion, social events, and living situation. The second genre discussed Latinx students’ “Cultural Identity’s Implications in Sense of Belonging.” This theme encompasses instances where participants noted both positive and negative instances of social belonging. Positive instances mainly circulated around finding a group of friends with similar ethnic backgrounds, experiences, and understanding of culture. The negative experiences highlighted feelings of isolation or hiding one’s culture through manner of dressing, what food was eaten or discussed, not speaking Spanish, and not discussing one’s own cultural practices or beliefs. Additionally, participants discussed lack of safety to express oneself and connection within the Latinx affinity groups and spaces on-campus. Silver (2020) reported that PWIs extracurriculars, activities, etc. often support the larger demographic. Latinx students are not necessarily supported by having a large number of activities available. Excess of activities does not mean historically underrepresented students will be acknowledged or supported.
| ELAIA: The Honors Journal of Olivet Nazarene University
The third overarching genre discusses the “Need for Latinx Leadership in Higher Education Settings.” Within this overarching genre, there was discussion about the importance and high need for Latinx professors and faculty at ONU. Specifically, positive stories from participants about connections to other POC professors were discussed. This feeling of connection and being able to confide in a professor was then applied to the lack of Latinx leaders. Lack of Latinx in leadership roles on campus means that there is less representation, and thus less motivation and cultural support in academic areas, for undergraduate Latinx students on-campus. Additionally, it was expressed by participants that there is a significant lack of Latinx faculty in roles of those who specifically work with minority students. Participants expressed this as one of the main factors in lack of connection to the multicultural center and events at Olivet. Academic discourse suggests that there is a need for more diversity in university faculty so that POC students are able to connect better to their school (Gandia, 2019; Harris, 2021). Due the dearth of Latinx representation and cultural connection to leadership, students have additionally expressed feelings of lack of neutrality and advocacy within ONU’s multicultural support system. Research shows that “it is evident that multicultural centers should have staff that reflects their student population because they will feel more connected to their university” (Gandía, 2019, 47).
Lastly, “Stereotyping and Token Minority Experiences” was discussed as the fourth and final overarching theme. This section highlighted experiences within social and class settings where Latinx students experienced or feared stereotyping because of their appearance, behavior, friendships, and languages spoken. Additionally, experiences of tokenism were discussed. This was seen when a participant discussed how she was specifically called on to discuss her culture because she was the only Latinx student in the class and despite not feeling able to speak for all who identify with their same Latin heritage. Latinx students who discussed feeling like the “token minority student” expressed feelings of isolation from classmates.
In terms of limitations and future research, studies could use statistical data about feelings of belonging on PWI campuses as a baseline for qualitative interviews. This is to have the ability to connect overall campus feelings to the important stories of individuals. Additionally, future research could establish comparisons between different Latinx university support systems and their effectiveness on sense of belonging and academic success.
Overall, the voices of the Latinx students at ONU reflect the data of the overarching academic discourse. These interviews allowed for current positive and negative experiences to be expressed and solutions to be explored. Latinx students at ONU expressed feelings of isolation and stories of racist experiences from peers and faculty due to stereotyping and discrimination. Through these 15 interviews, it is evident that there needs to be more Latinx faculty employed to work in professorial and leadership settings. It is especially important that Latinx staff be hired to work within the Multiethnic Student Services, as participants discussed feelings of bias and lack of connection to the current leadership. Additionally, many Latinx interviewees
highlighted the manner in which they had to create their own community which respected and understood their culture. Previous research has shown that programs and activities at PWIs mainly support the largest demographic of students (Silver 2020). Because of this, there are very few spaces which will specifically support minority students. At ONU, there is one option of support specifically dedicated to Latinx students— the MSS and its Latinx-affinity group the Hispanic Student Christian Association. Participants discussed that they sometimes felt segregated or isolated at HSCA’s smaller events. Thus, it is imperative that more Latinx-affiliated groups (whether social or academic) be established. Throughout these interviews, participants’ stories, experiences, and reflections were voiced. It is imperative that the testimonies of Latinx students be shared and discussed so that future students with Latin backgrounds are able to be advocated for.
REFERENCES
Acevedo-Gil, N. (2019). College-going facultad: Latinx students anticipating postsecondary institutional obstacles. Journal of Latinos & Education, 18(2), 107–125.
Barnett, R. (2020). Leading with meaning: Why diversity, equity, and inclusion matters in US higher education. Perspectives in Education, 38(2), 20-35.
Castagno, A., E., JonesBrayboy, B., McKinley, & Ryujin, K. (2013). Education, discrimination in higher. In P. L. Mason (Ed.), Encyclopedia of Race and Racism (2nd ed.). Gale.
Córdova, A. M. (2019). Latinx Spanish-speaking students’ experiences with language and race on campus. [Doctoral dissertation, University of Texas at Austin]. Texas ScholarWorks.
Culver, K. C., Harper, J., & Kezar, A. (2021). Design for equity in higher education. Pullias Center for Higher Education.
Gandía, Z. (2019). Their story: College persistence of Hispanic/Latino students at predominately white institutions (264). [Doctoral dissertation, University of New England]. DigitalUNE.
Gomez, R. (2020). Success is being an example: Trajectories and notions of success among Latinx faculty, staff, and students in academia. Journal of Latinos & Education, 19(3), 258–276.
Gonzalez, M., Matambanadzo, S., & Martinez, S. (2021). Latina and Latino critical legal theory: LatCrit theory, praxis and community. Universidade Do Estado Do Rio De Janerio.
| ELAIA: The Honors Journal of Olivet Nazarene University
Harris, A. L. (2021). Reflections at the well: Stories of success from Black and Latino male graduates of a Christian university. [Ed.D., Wilmington University (Delaware)].
Hoffman, G. D. (2020). Centers focused on equity and inclusion. In M. E. David, & M. J. Amey (Eds.), The SAGE Encyclopedia of Higher Education. Sage UK.
Mendoza, C., Taylor, A., Montano, L., Lucero, A., & Dorantes, A. (2021). Too Latinx or not Latinx enough? Racial subtexts and subjectivities in a predominately white university. Journal of Latinos and Education, 1-16.
National Center for Educational Statistics. (2020). College enrollment rates. The Condition of Education, 1-3. https://nces.ed.gov/programs/coe/pdf/coe_cpb.pdf
National Center for Educational Statistics. (2023). Undergraduate enrollment. The Condition of Education, 1-7. https://nces.ed.gov/programs/coe/pdf/2023/cha_508.pdf
National Center for Educational Statistics. (2019). Indicator 23: Postsecondary graduation rates. Institute for Education Sciences. https://nces.ed.gov/programs/ raceindicators/indicator_red .asp.
Passano, B. C. (2021). Yo pertenezco aquí: Uncovering the experiences and sense of belonging of Latinx/a/o students at a predominantly white institution. ProQuest Dissertations & Theses Global.
Ponjuán, L., & Hernández, S. (2021). Different yet similar: The educational experiences of Latinx male students at Texas PWI, HSI, and HBCU institutions. Journal of Hispanic Higher Education, 20(4), 453-465.
Rodríguez, A. P. (2018). Latinos: An overview. In S. Bronner (Ed.), Encyclopedia of American studies. Johns Hopkins University Press. Credo Reference.
Sánchez, V. S. (2021). “Dando las gracias a mis papás”: Analyzing the enactment of callings across generations of Latinx immigrants. Journal of Communication, 71(6), 976– 1000.
Silver, R. B. (2020). Inequality in the extracurriculum: How class, race, and gender shape college improvement. Sociological Forum, 35(4), 1290-1311.
Sulé, V. (2011). Restructuring the master’s tools: Black female and Latina faculty navigating and contributing in classrooms through oppositional positions. Equity & Excellence in Education, 44(2), 169–187.
Thompson, S. (2014). Tokenism. In S. Thompson (Ed.), Encyclopedia of Diversity and Social Justice (1st ed.). Rowman & Littlefield Publishers.
228 | ELAIA: The Honors Journal of Olivet Nazarene University

Effects of Older Siblings Within Families on Social-Emotional Behaviors in Early Childhood Classrooms
Abigail A. Lovell
ACKNOWLEDGEMENTS
I would like to thank my mentor, Professor Kristin Mathews, of the ONU School of Education, for all of her guidance and support throughout this project. I would like to acknowledge my cooperating teacher and the Momence Early Childhood Center for their support and permission to complete my project. I would also like to thank all of my wonderful students and their parents for participating in this study, helping me identify trends that may impact teachers and students for years to come. Finally, I would like to thank my family and friends for providing encouragement, support, and care throughout this entire project.
ABSTRACT
Social-emotional learning (SEL) is a foundational aspect of development, especially for preschool-aged children. During the COVID-19 pandemic, concerns of delays in social-emotional development quickly spread throughout schools, as lockdown mandates decreased socialization. This qualitative case study sought to identify trends between the presence of older siblings and social-emotional development in preschool children.
This study used parent questionnaires and student observations for data collection. The Minnesota Preschool Affects Checklist was used for five weeks of qualitative student observations. Six students were observed: two students without siblings, three students with one older sibling, and one student with multiple older siblings. This study found that the presence of older siblings increased positive behavioral affect and decreased negative behavioral affect in the preschool classroom.
Keywords: Social-emotional learning, sibling relationships, preschool, socialization, learning standards
INTRODUCTION
As children grow and develop, they learn how to interact with others. They figure out how to hold conversations, share items, and manage their emotions. Developing these skills is known as social-emotional learning (SEL). Exponential growth in SEL typically occurs while the child is in early childhood, or around ages three to eight (Bandura, 1977). Additionally, this is the developmental stage that children begin to receive a formal education, encountering a significant number of children around their age, all of whom are experiencing similar developmental processes. This can lead to a variety of outcomes in classrooms, spanning from developing close friendships to creating constant conflict.
The Illinois State Board of Education (ISBE) emphasized a need to support students’ SEL, implementing a set of social learning standards for early childhood education (Illinois State Board of Education, 2013). Teachers are expected to help students meet these learning standards by the end of the school year, ensuring they are appropriately developing social-emotional skills.
Over the past several years, Illinois has experienced a teacher shortage, leading to incentives such as a grant for early childhood educators. This grant provided free education to individuals already working in early childhood positions (Early Childhood Access Consortium for Equity Act, 2021). Though this grant provided the opportunity to increase the early childhood educator workforce, the challenge of addressing social-emotional skills in the early childhood classroom remains the same. These novice teachers need to determine how to provide varied support to their struggling students, increasing the stakes of entering an already challenging field.
Research Question
The goal of this research is to provide teachers, especially those new to the classroom, with possible insights regarding the presence of older siblings in students’ homes and incoming social-emotional development. This research was a five-week qualitative case study involving six preschool students in a local, rural school district, addressing the following research question: How does a child’s relationship with their older sibling(s) influence observable behavior in a preschool classroom?
REVIEW OF LITERATURE
Theories of Socialization
Socialization is a very important influence on child development. In early childhood, children examine the behaviors of those around them, learning how to distinguish between appropriate and inappropriate actions. This concept is articulated through the social learning theory: children learn how to act based on the observation of others’ behaviors (Bandura, 1977). Children are naturally very observant. One way they process their observations is to apply what they see to their own lives, which influences their behavior. Social learning theory relates to the social cognitive theory, which explains that behavior, cognition, and environment all influence how people function (Bandura 1986). Children’s homes are typically the environment where they spend most of their time. A major influence in that environment is the people they are around, including siblings. For example, Kramer (2014) analyzed the effects sibling interactions have on emotional learning and regulation in early childhoodage children, finding that social learning, as established by Bandura (1977), had the largest effect on developing emotions and emotional regulation. In other words, siblings are greatly influential in helping young children learn.
Sibling Socialization
Children with siblings may socialize differently than those without siblings, as they have individuals to interact with at home. McAlister and Peterson (2013) have shown that sibling relationships have impacts on theory of mind (ToM) and executive functioning (EF). ToM can be defined as the understanding of one’s own beliefs and mental states. Meanwhile, EF is one’s ability to manage cognitive function and behavior. Both ToM and EF have been found to increase due to sibling socialization and play (McAlister & Peterson, 2013). A child’s sense of self is developed during early childhood, and increased socialization during this period can lead to an increase in ToM and EF (“Early childhood development,” 2004). Because the presence of siblings naturally increases socialization, having siblings may cause an increase in a child’s self-awareness of emotions and behavior.
Sibling Relationships
Sibling relationships have two main factors: hierarchal status and peer-like relations. Hierarchal status causes older siblings to teach younger siblings. In this situation, older siblings act as mentors for younger siblings. Peer-like relations are founded on shared interests and commonality (Harist et al., 2014). Because they are usually around the same age as each other, siblings can be considered peers. Additionally,
most siblings share a family that fosters the same desires and interests, such as the music they listen to, the activities they participate in, and the television shows they watch. Each sibling is an individual, but there are often common interests that arise from living in the same environment. Because of this unique sibling relationship, children are widely influenced by their siblings. However, these interactions may have varying effects, both positive and negative. For example, some siblings are relationally very close, exhibiting a sense of mutual respect. They share many common interests, and the older siblings positively influence the younger siblings by acting as good role models. This would have a positive influence on the younger siblings, developing their ToM (Olson, 2022). However, if the relationship between the siblings lacks shared interests, or if the older sibling models undesired behaviors, the younger sibling can be negatively influenced. Regardless, siblings are oftentimes the longest and most consistent playmates, heightening the importance of these relationships and their influences (Olson, 2022).
Sibling Relationship Conflict
Conflict is found in every relationship, and sibling relationships are no exception. Siblings will face disagreements and argue with each other, but how they handle it can change the impact they have on each other. Borairi et al. (2023) conducted a study that examined the influence of siblings on each other in the face of conflict. These researchers found that younger siblings and older siblings both affect each other but in different areas. Older siblings tend to cause younger siblings to respond more constructively (resolving the issue positively), whereas younger siblings tend to influence their older sibling more behaviorally (leaning towards risk-taking) and emotionally (synchronizing with the younger sibling’s emotions) (Borairi et al., 2023). For example, during a disagreement, older siblings can use their more advanced emotional regulation to calm down the younger siblings, resolving the issue more positively. They don’t feed into the negativity of the younger siblings. Rather, they use their emotions as a co-regulation strategy, known as therapeutic use of self (Delahooke, 2019). However, younger siblings may cause older siblings to respond more emotionally, reciprocating the negative emotions of the younger sibling. This can lead to intense arguments, possibly escalating to a physical conflict. It is important to acknowledge that regardless of birth order, sibling relationships influence behavior.
Moral Development
The influences of sibling relationships can lead to cognitive, moral, and behavior development due to the exposure of socialization. According to da Silva et al. (2022), behavioral morality is founded on feelings of shame, guilt, and pride. These three emotions determine one’s perception of morality. Therefore, if children feel that they will be shamed for an action, they are less likely to engage in it. Conversely, if they believe they will feel proud, they are more likely to behave in this way. Awareness of others, which is learned over time, controls a child’s behavior. According to Kohlberg’s (1984) theory of moral development, people process events, situations, and experiences by linking current situations to what has previously happened. Children input emotional responses to their previous actions (shame, guilt, or pride) and apply it to the current situation to determine if its morality. Olson (2022) supports
ELAIA: The Honors Journal of Olivet Nazarene University
this theory, claiming that as young children play, they mimic observed behaviors and take in others’ feedback. This feedback, along with ToM, helps them determine morality, or their beliefs of right and wrong behaviors. Clearly, siblings have a very significant role in the moral formation of children.
Social Awareness
In addition to having their own needs met, children desire to meet the needs of others, known as prosocial behavior. The development of prosocial behavior involves willingly helping others, requiring the child to identify needs, figure out how to address them, and then address them (Tavassoli et al., 2019). This social awareness causes children to think about others, prompting them to act in accordance with receiving positive reinforcement. This awareness of others develops emotional sensitivity and empathy, impacting the child’s self-control. Similarly, it has been found that older siblings help develop the younger sibling’s empathy and emotions towards others (Olson, 2022). For early childhood students, controlling their desired behaviors and emotions involves high levels of self-control and an understanding of social standards (McClelland et al., 2018; Vygotsky, 1962). Therefore, socialization experiences can help children conquer the captivating desire to act in certain ways.
Social-Emotional Assessment for Early Childhood Educators
Although sibling relationships play a significant role in SEL development, it is beneficial for students to receive SEL support in the classroom (Mahoney et al., 2021; Smith & Dearborn, 2016). Higher social-emotional competencies allow students, rather than teachers, to control their behaviors. This self-efficacy, or a willingness to take care of oneself, promotes more learning, and an overall more efficient classroom. Teachers will often assess students using the ISBE SEL goals to determine what support is needed within the classroom. Therefore, the effects of sibling relationships on SEL development are often assessed using the ISBE SEL goals.
ISBE SEL Goals
To assist in social-emotional development, the Illinois State Board of Education (ISBE) has created three SEL goals for students in early childhood programs to meet. These goals are then divided into learning standards, which are further broken into benchmarks (Illinois State Board of Education, 2013). Benchmarks are the most specific form of the goals and are often used in SEL lessons, as the specificity is easiest to align directly with pedagogy. Because students enter the classroom from a variety of family backgrounds, it is important for teachers to understand their students’ readiness level for social-emotional development, as established by the ISBE SEL standards.
The first goal in the ISBE SEL standards is “Develop self-management skills to achieve school and life success and develop positive relationships with others” (Illinois State Board of Education, 2013, p. 95). This goal focuses heavily on personal identity and emotions. As part of this goal, students should be able to identify their emotions and behaviors (including understanding their behaviors have consequences), identify how they are unique, and contribute to the community within the school (Illinois State Board of Education, 2013).
The second goal is “Use social-awareness and interpersonal skills to establish and maintain positive relationships” (Illinois State Board of Education, 2013, p. 98). This goal is focused heavily on interpersonal connections. As part of this goal, students should be able to form positive relationships with others, communicate effectively, and resolve conflicts in a positive manner (Illinois State Board of Education, 2013).
The final goal in the ISBE SEL standards is “Demonstrate decision-making skills and behaviors in personal, school, and community contexts” (Illinois State Board of Education, 2013, p. 101). This goal is focused on creating an understanding that the child’s actions have implications for those around them, as well as understanding that there are factors that determine their behaviors. For example, a teacher may create a rule regarding playground safety. The child should be able to identify that the rule exists to keep the child safe, which then encourages the child to follow the rule.
Minnesota Preschool Affect Checklist
The Minnesota Preschool Affect Checklist (MPAC) is a tool designed to measure nine social-emotional competencies through multiple five-minute observations. These competencies include positive affect, negative affect, productive involvement, unproductive involvement, lapses in impulse control and negative reactions to conflict, positive reactions to conflict, unusual behavior, leading and joining, and empathy and prosocial behavior (Denham et al., 2012). The MPAC was approved by ISBE for assessing SEL competencies (Denham et al., 2010).
ISBE SEL Standard Alignment
This checklist is greatly aligned with the ISBE SEL standards, addressing each of the three standard goals. The positive affect and negative affect competencies both appeal to the first two SEL standard goals by focusing on the child’s display of emotions and socialization. The productive competency within the MPAC focuses on the first goal of the SEL standards by focusing on the student’s involvement in activity (contributions to the classroom environment). Meanwhile the unproductive involvement competency appeals to the second goal, as this is coded when the student avoids socialization. Lapses in impulse control and negative reactions to conflict greatly align with the second and third goals, as both categories indicate the child is lacking skills in communicating effectively, resolving conflict in a positive manner, understanding their actions have implications on others, and understanding how factors determine their behavior. The positive reactions to conflict competency aligns with all three SEL goals, focusing on identifying emotions and behaviors, communicating effectively, resolving conflict in a positive manner, understanding their actions have implications on others, and understanding that factors determine their behavior.
The unusual behaviors sections of the MPAC align with the second and third goal, as it is coded when the student displays the inability to form positive relationships with others and understand how their actions have implications on others. The leading and joining competency aligns with the first two SEL goals, as it gives students an opportunity to identify their unique characteristics (leadership qualities) and form positive relationships with others. Finally, the empathy and prosocial behavior competency applies to all three goals, indicating the child’s ability to contribute to the school community, form positive relationships with others, communicate effectively, resolve conflicts in a positive manner, and understand their actions have implications on others. Considering a substantial alignment to the ISBE SEL standards, the MPAC is a great tool to use to assess the students’ current level of social-emotional development, as well as record their SEL throughout the study.
Gaps in Literature
After the COVID-19 isolations, acquisition of social and emotional competencies became a heightened concern in education. Schools began implementing more direct SEL curriculum to increase social-emotional development. With this increased emphasis on SEL, combined with varying developmental pacing between childing, teachers need to be prepared to supplement their curriculum to support the students’ level of social-emotional competencies from the moment they enter the classroom. There is an abundance of information regarding social-emotional learning, but there is very little research linking older siblings to social-emotional development. This study hopes to contribute to a wave of new information, providing a possible link between older siblings and SEL development, helping teachers prepare to supplement their curriculum based on the students’ background.
METHODS
Recruiting Participants
After receiving my student teaching placement, I scheduled a meeting with the teacher in the assigned classroom to discuss my research project. I explained what the project would require of her students and their parents. She consented to this study taking place in her classroom and I obtained a letter of cooperation from the program director. I began my study by collecting parent and student participants through home visits, which are conducted annually by the Momence Early Childhood Center prior to the beginning of the school year. The teacher provided me with a list of new preschool students, as well as the number of siblings in each family. When I visited the homes, I brought consent forms and parent questionnaires in case families were interested in participating in my study. I introduced myself and explained that I would be
attempting to identify trends regarding how the presence of older siblings in the household might impact a child’s classroom experiences. I also described that I would be interacting with the students from a merely observational position over the course of the study. I then asked the parents if they would be willing to allow their student to participate in the study. Each parent consented and completed the consent form, followed by the questionnaire.
I originally wanted three students from each of the two classes for a sample of six students: one only child, one student with one older sibling, and one student with multiple older siblings. I only had one student with multiple older siblings (from the morning class) that consented; therefore, in the afternoon class of students there was one student that was an only child and two students with one older sibling. After conducting the home visits, I obtained nine consenting families. I removed three of the nine students from the study to limit confounding variables. One of these students did not speak English, which would have created a natural barrier to socialization. Another student was removed because the parent informed me that the child attended daycare from infancy, allowing for significant opportunities of socialization not attributed to the presence of an older sibling. Finally, I removed the third student because they were four years old (I wanted my participants to be three years old for consistency). After narrowing down my sample size, I prepared to begin observations.
Data Collection
During the first two days of school, I observed the six student participants in the classroom. Each student was observed on both days. All my observations were conducted during the students’ center time, during which they partook in free play. I sat in various locations throughout the classroom, depending on where the student was playing. I was very intentional to not interact with any students during my observation time, maintaining distance and avoiding eye contact. Occasionally, students, including those I was actively observing, attempted to socialize with me. However, I would tell the student, “I am busy right now working on homework. Please go play.” As I observed, I recorded detailed notes of the student’s actions. Once the five-minute observation was complete, I scored the student on the Minnesota Preschool Affect Checklist (MPAC). Students were assigned a score from 0 to 3, depending on the extent that each description was displayed. Students received a 0 if the behavior was not observed, a 1 if it was mildly observed, 2 if it was moderately observed, and 3 if it was greatly observed.
Following the first two days of observation, I repeated the student observations once a week for the next four weeks. This followed the same
| ELAIA: The Honors Journal of Olivet Nazarene University
process as the initial observations, occurring in five-minute increments. The students were observed at the same time for each follow-up observation. The goal was to observe each student every week on the same days and at the same times. For example, Students 1 and 4 were observed on Mondays, Students 2 and 5 on Wednesdays, and Students 3 and 6 on Fridays, all at the beginning of the center play time. It was common for a student to be absent during a day of observation. When this occurred, I conducted the missing observation when the student returned later in the week, noting this change in my data collection. There was also one day that I was unable to attend observations, so I conducted those observations using the same procedure indicated for a student absence.
Data Analysis
Once data was collected, I began to focus on coding my observations. There were three main themes I coded: physical affect, positive interactions, and negative interactions. Additionally, I used the numerical scoring from the MPAC to identify trends. I compiled each students’ weekly scores for the categories. Lower scores indicate the described behaviors were not as greatly observed as the categories with higher scores.
Limitations
Unfortunately, there were a few limitations present in my research. As mentioned in a previous section, I did not receive the desired number of students with multiple older siblings. Therefore, I increased the number of students with one older sibling. This may have created skewed data results, as there was a disproportional number of students in each group. Additionally, I had developed relationships with the students in the study due to the nature of student teaching. This could have potentially impacted my perceptions of the children’s behaviors, as I began to learn about their personalities from natural interactions outside the study.
RESULTS
Overall, students without siblings averaged a score of 6.229 points for positive affect, a score of 1.5 for negative affect, and a score of 2.667 for positive reactions to conflict. Students with one older sibling averaged 5.311 points for positive affect, 1.417 points for negative affect, and 2.111 points for positive reactions to conflict. The student with multiple older siblings scored 7.333 points for positive affect, 0 points for negative affect, and 0.667 points for positive reactions to conflict. Table 1 shows a comparison between the three groups.

Within the qualitative observations, the only child group either interacted with the teachers or played alone. When they played with others, an excessive number of conflicts were present. This indicates a lack of proficiency in interpersonal connections (ISBE SEL goal 2) (Illinois State Board of Education, 2013). The students with one older sibling had a lot of teacher interactions and were oftentimes willing to share with others but sometimes needed teacher guidance. This displays a mild proficiency in SEL goals 2 and 3 (Illinois State Board of Education, 2013). The student with multiple older siblings displayed many positive physical affects, moderate interactions with the teacher, and played well with others. This student displayed great proficiency in SEL goals 1 and 2 (Illinois State Board of Education, 2013).

During observations, students were scored on nine main categories, as shown in Table 2. First, students were scored based on general positive and negative affect, including the child’s overall disposition and social interactions. The results of this category demonstrate higher positive affects in students with older siblings than students without siblings. Inversely, students without siblings demonstrated a higher score in negative affect, as compared to students with older siblings.
The next two categories involve (un)productive and (un)focused use of energy while involved in activities. The student with multiple older siblings displayed the highest level of productive and focused energy, with a score of 17 points. Meanwhile, the students with one older sibling had the highest score in unproductive and unfocused energy, scoring an average of 1.167 points. The students without siblings scored 14.5 points in productive and focused energy and 0.25 points in unproductive, unfocused energy.
In terms of aggressive behaviors, students without siblings scored an average of 1 point and students with one older sibling averaged 0.167 points. There were no instances of aggression regarding the student with multiple older siblings. When conflict arose, the students without older siblings responded very positively, scoring 2.667 points. Tables 1 and 2 indicate that the students without older siblings are the most effective at resolving conflict and the student with multiple siblings is least effective. However, that is misleading. As shown in the anecdotal observations, Student 3 did not display any negative affect or conflict. Because no conflicts were present, that data was coded a value of 0, leading to a lower average. Meanwhile, the students without older siblings presented higher opportunities for conflict, leading to more opportunities to code positive conflict resolution. Students with one older sibling had the highest instances of unusual behavior, including a lack of socialization for at least three minutes. These students scored 1.667 points, compared to 1.5 points in those without older siblings. Regarding leading their peers and joining preexisting activities, the student with multiple older siblings had the highest score, averaging 5 points. Additionally, this student was the most proficient in displaying empathy and prosocial behavior, followed by the students with one older sibling.
DISCUSSION
Research has shown that siblings can have a variety of effects on each other (Borairi et al., 2023; Harist et al., 2014; Kramer, 2014; McAlister & Peterson, 2013; Olson, 2022). Additionally, social learning theory, social cognitive theory, and theory of moral development all indicate that socialization with others, including siblings, has a significant impact on emotional and behavioral development for preschool- and early-elementary-aged children (Bandura, 1977, 1986; Kohlberg, 1984; Kramer, 2014). The research question this study sought to answer was, “How does a child’s relationship with their older sibling(s) influence observable behavior in a preschool classroom?” Utilizing the foundational research of Bandura (1977, 1968), Kohlberg (1984), and Kramer (2014), potential trends were identified regarding the number of older siblings in a home and the child’s observable classroom behavior. The trends were identified through the use of the MPAC, which is in direct alignment with the ISBE standards.
Only Child
Throughout the study, the two students without siblings typically avoided socialization with their peers. Instead, they were drawn to the adults in the room. On many occasions, Student 1 would approach me during observations. I would often move to another area of the classroom, and the student would continue to approach me. The student also continually called me the nickname of an adult family member. Rather than experiencing development in the presence of siblings, the child often interacted only with adults. Therefore, adults were the primary people with whom the student attempted to interact. A child’s sense of self is greatly developed during early childhood and is significantly impacted by those they are around (“Early childhood development,” 2004). Therefore, the child’s sense of self that would normally be built by siblings was instead substituted for a greater need for adult support and affirmation.
Student 4 was more social than Student 1 but exhibited greater negative affect. On multiple occasions, the student struggled with peers for specific toys. In one instance, the student was playing with a toy computer, then left to play with toy food. After Student 4 moved to play with toy food, a peer began to play with the computer. Student 4 scowled, exclaimed “No!,” and tried to sit on the same chair as the peer. Student 4 tried to actively force the peer away from the computer, even though Student 4 was done playing with it. During the first two observations, the student was excited to play with others and share toys. However, all four of the following observations indicated an unwillingness to share toys and negative affect surrounding that. These behaviors demonstrate the student’s inability to meet ISBE SEL Benchmark 30A.ECb, which is the student’s ability to use appropriate communication when expressing needs, wants, and feelings, as well as Benchmark 30A.ECd: Understanding and following rules (Illinois State Board of Education, 2013). This student appeared to display poor executive functioning, as well as a theory of mind focused on satisfying immediate desires (McAlister & Peterson, 2013). Additionally, this student was seemingly deficient in social awareness and concern for others’ emotions, which could be developed by the presence of an older sibling (Olson, 2022; Tavassoli et al., 2019). Finally, Student 4 may be lacking in moral development. The student has not previously interacted with children in a peer setting, so the child was less proficient in understanding socially acceptable behavior, as compared to students with older siblings. In other words, the student has not had the opportunity to experience the guilt, shame, and pride involved with interacting with other children, as the student was lacking peer-like relationships at home (da Silva et al., 2022, Harist et al., 2014).
One Older Sibling
Generally, the students with one older sibling tried to interact with the teacher and had difficulties sharing toys but were generally willing to share if directed by the teacher. They were satisfied playing with others but only if the play was teacher-led. Student 2 often needed teacher guidance to decide where to play. It was as if this student wanted to play with others but could never figure out how to engage with their peers; the student had difficulties engaging in cooperative play, which directly aligns with Benchmark 31.B.ECc: Engage in cooperative play (Illinois State Board
ELAIA: The Honors Journal of Olivet Nazarene University
of Education, 2013). In one observation, I recorded the child as “mostly standing and watching,” as well as “interacting mostly with the teacher, does not talk to other students.” This was consistent with other observations. Additionally, this student displayed reluctance to share toys but was willing to share when asked by the teacher. On the questionnaire, this child’s parent claimed that the student is not quick to take on a leadership role, which is supported by the child’s hesitant interactions with peers. The parent, however, did agree that the child is eager to share with an older sibling. This was partially (yet not fully) supportive of my observations, as the parent did not strongly agree with the statement. These interactions contained greater positive affect, as compared to the students without siblings, indicating possible impacts from having an older sibling. Student 2’s need for teacher direction could be due to the hierarchal nature of sibling relationships (Harist et. al, 2014). This student’s older sibling may often lead their play interactions, which causes underdeveloped self-efficacy in the student’s drive to play.
Though Student 2 had difficulties becoming engrossed in play, Student 5 was very animated and engrossed in imaginative play throughout all observations. For example, this student pretended to cry after sticking a hand in a fake flame. During another observation, the student demonstrated thinking through the hyperbolic mannerisms of scratching their chin and vocalizing, “hmm.” These expressions indicated the student has spent considerable time internalizing observations of others by mimicking behaviors (Bandura, 1977; Kohlberg, 1984; Olson, 2022). Though the student was engrossed and lively during play, Student 5 typically played alone. Only a handful of observations were made that involved the student interacting with others. A notable one, however, involved the student inviting a peer to play after school. Unfortunately, no other context for that observation was recorded. This invitation, however, indicated an initiative for leadership, which the parent strongly indicated on the questionnaire. Student 5 was eager to play with this peer and was willing to take the initiative to ask the student to play outside of school, which they previously deemed as a socially acceptable behavior (da Silva et al., 2022; Kohlberg, 1984). It is possible that the student observed their older sibling inviting a friend to play after school. Student 5 would have observed this, considered it acceptable, and did the same. This again indicated an awareness and continual state of observation of others.
Aligning with ISBE Standard 31.B: Use communication and social skills to interact effectively with others, Student 6 engaged with other students somewhat often throughout the observations (Illinois State Board of Education, 2013). However, these engagements were both positive and negative. This student initiated several struggles with sharing toys but was willing to share at other times. However, the student often smiled at the teacher and occasionally talked to peers. These interactions with the teacher and peers were encouraging in nature. During the week two observation, the student looked at a tower a peer was building and exclaimed, “Whoa, that’s cool!” Shortly after, however, the student took a ball and knocked down the peer’s tower, indicating a lack of moral development (da Silva et al., 2022; Kohlberg, 1984). Though the child has some strengths in encouraging other students, Student 6 laughed when a peer fell and started crying. As previously established,
social awareness involves a child identifying a peer’s need, finding a solution to address the need, then addressing the need (Tavassoli et al., 2019). If the child had properly developed social awareness, the child would have identified that the peer was hurt and sad, figured out how to help the peer feel better, then approached the peer, acting on the solution they perceived as supportive. However, the child’s laughter seemed to indicate a lack of empathy for others, which could suggest under-developed social awareness. Similar to Students 2 and 5, Student 6 had partial positive social-emotional development, but could be lacking in many critical areas.
Multiple Older Siblings
Of all the students in the study, Student 3 exhibited the highest level of socialemotional development. The child did not display any negative affect throughout all six observations. The student was quick to engage with others, both following and leading as needed. Most of the time, Student 3 followed peers, joining appropriately. This could be due to the nature of having four older siblings, all of whom have hierarchal status over the student (Harist et al., 2014). However, the child occasionally adopted a leadership role in the classroom. During one of the observations, a group of three students, including Student 3, were trying to find a center to play at. Student 3 tried to direct them to the blocks center, wanting to play with the toy cars. However, the student realized there was not enough room at that center, so the student led the peers to the kitchen center, where they all played together. Student 3 was often singing, smiling, jumping, or creating dialogue during play in all observations. The student displayed a great awareness of the surrounding environment, one time exclaiming, “We need more Chick-Fil-A!” after another student showed them a play menu. The student was able to create a connection between a home experience (eating Chick-Fil-A) and play (Bandura, 1986; Kohlberg, 1984). Additionally, this exclamation emphasized the child’s leadership qualities, as they gave an order that other students were expected to fulfil. Though it was an imaginary command, the student still demonstrated their competency in taking charge when needed, providing an order for others. The student was able to apply decisionmaking skills to deal responsibly with daily academic and social situations (the need for more Chick-Fil-A), displaying proficiency in ISBE Standard 32.B (Illinois State Board of Education, 2013).
CONCLUSION
As children age, the people around them have a significant influence on their socialemotional development (Bandura, 1977, 1986; “Early childhood development,” 2004; Kramer, 2014). Since the COVID-19 pandemic, society’s awareness of the importance of socialization has greatly increased, leading to a movement to incorporate more intensive social-emotional learning in the classroom. Illinois teachers use the ISBE SEL standards to measure students’ social-emotional competencies, providing instruction and supplements as needed (Illinois State Board of Education, 2013). This study sought to identify trends between the presence of older siblings and social-emotional development in preschool children to help teachers better understand and prepare for the level of social-emotional development in incoming students, many of them entering a structured learning environment for the first time.
| ELAIA: The Honors Journal of Olivet Nazarene University
The data demonstrated that the presence of older siblings can likely increase positive social-emotional affects and lower negative social-emotional affects. The students with older siblings were more drawn to playing with other students and sharing toys, although those with just one older sibling often needed teacher guidance. The student with multiple older siblings was comfortable leading their peers, as well as following their peers’ leads. Meanwhile, the students without older siblings were more drawn to either interacting with adults or playing alone.
Overall, the students with older siblings met more of the ISBE SEL standards, indicating a lower need for curricular and supplementary supports (Illinois State Board of Education, 2013). Teachers with information regarding the siblings of their incoming students may use these findings to better prepare for the needs of their students. For example, if a teacher notices their class has a higher number of students lacking siblings, the teacher can anticipate a higher need for SEL curriculum and support. This knowledge will allow teachers to be proactive, rather than reactive, preparing for the needs of their students before they even enter the classroom.
Implications for Future Research
There are many ways this study could be built upon. By the end of the study, I had developed relationships with all students in the classroom, including those in this study. Therefore, this study should be duplicated by an individual lacking personal connection to the students. The effects of both birth order and different genders in sibling groups on social-emotional development could be researched further. This research only focused on children who are the youngest siblings (at the time of this study), but there may be varying results for a child with both older and younger siblings. Additionally, brothers interact with each other in different ways than sisters do, as well as mixed-gender sibling groups. Therefore, the gender breakdown between sibling groups should be researched as well. Future research could also provide insight on how students of a variety of sibling relationships are impacted by the curriculum. Also, there are several factors besides siblings that affect socialization, so I do not know the exact extent that siblings affected the level of social development observed. Finally, this study could be replicated with a larger sample size to achieve more accurate results.
REFERENCES
Bandura, A. (1977). Social learning theory. Prentice-Hall, Inc.
Bandura, A. (1986). Social foundations of thought and action: A social cognitive theory. Prentice-Hall, Inc.
Borairi, S., Plamondon, A., Rodrigues, M., Sokolovic, N., Perlman, M., & Jenkins, J. (2023). Do siblings influence one another? Unpacking processes that occur during sibling conflict. Child Development, 94(1), 110–125.
da Silva, B. M. S., Ketelaar, L., Veiga, G., Tsou, Y., & Rieffe, C. (2022). Moral emotions in early childhood: Validation of the Moral Emotions Questionnaire (MEQ). International Journal of Behavioral Development, 46(2), 157–168.
Delahooke, M. (2019). Beyond behaviors: Using brain science and compassion to understand and solve children’s behavioral challenges. PESI Publishing.
Denham, S. A., Bassett, H. H., Thayer, S. K., Mincic, M. S., Sirotkin, Y. S., & Zinsser, K. M. (2012). Minnesota Preschool Affect Checklist-Revised/Shortened. The Journal of Genetic Psychology, 173(3), 246–278.
Denham, S. A., Ji, P., & Hamre, B. (2010, October). Compendium of preschool through elementary school social-emotional learning and associated assessment measures. Illinois State Board of Education.
Early Childhood Access Consortium for Equity Act, 110 ILCS 28 § 5 (2021).
Early childhood development. (2004). In W. E. Craighead, & C. B. Nemeroff (Eds.), The concise Corsini encyclopedia of psychology and behavioral science (3rd ed.). Wiley.
Harist, A. W., Achacoso, J. A., John, A., Pettit, G. S., Bates, J. E., & Dodge, K. A. (2014). Reciprocal and complementary sibling interactions: Relations with socialization outcomes in the kindergarten classroom. Early Education & Development, 25(2), 202–222.
Illinois State Board of Education (2013, September). Illinois early learning and development standards.
Kohlberg, L. (1984). Stage and sequence: The cognitive-developmental approach to socialization. In The psychology of moral development: The nature and validity of moral stages (pp. 7–170). Harper & Row.
Kramer, L. (2014). Learning emotional understanding and emotion regulation through sibling interaction. Early Education and Development, 25(2), 160–184.
Mahoney, J. L., Weissberg, R. P., Greenberg, M. T., Dusenbury, L., Jagers, R. J., Niemi, K., Schlinger, M., Schlund, J., Shriver, T. P., VanAusdal, K., Yoder, N. (2021). Systematic social and emotional learning: Promoting educational success for all preschool to high school students. American Psychologist, 76(7), 1128–1142.
McAlister, A. R., & Peterson, C. C. (2013). Siblings, theory of mind, and executive functioning in children aged 3-6 years: New longitudinal evidence. Child Development, 84(4), 1442–1458.
| ELAIA: The Honors Journal of Olivet Nazarene University
McClelland, M., Geldhof, J., Morrison, F., Gestsdóttir, S., Cameron, C., Bowers, E., Duckworth, A., Little, T., Grammer, J. (2018). Self regulation. In N. Halfon, C. B. Forrest, R. M. Lerner, E. M. Faustman (Eds.), Handbook of Life Course Health Development (pp. 275–298). Springer.
Olson, T. L. (2022). Early sibling play interactions as a source of developmental support for toddlers: Observation of young children’s developmental support during play with toddler siblings (8481.) [Doctoral dissertation, Utah State University). DigitalCommons @ USU.
Smith, R., & Dearborn, G. (2016). Conscious classroom management: Unlocking the secrets of great teaching. Conscious Teaching.
Tavassoli, N., Recchia, H., & Ross, H. (2019). Preschool children’s prosocial responsiveness to their siblings’ needs in naturalistic interactions: A longitudinal study. Early Education and Development, 30(6), 724–742.
Vygotsky, L. S. (1962). Thought and language (E. Hanfmann & G. Vakar, Trans.). The Massachusetts Institute of Technology. (Original work published 1934).
Appendixes to this paper can be found in the online version.
| ELAIA: The Honors Journal of Olivet Nazarene University

Advancing Women’s Health in Papua New Guinea: Screening for High-Risk HPV and the Optimization of a Low-Cost HPV Detection Assay
Lucy J. Martinson¹ in collaboration with Melissa Riven², Imelda Assaigo², Mark Crouch², Nicole Vander Schaaf¹ ¹Olivet Nazarene University, Bourbonnais, IL, USA ²Nazarene General Hospital, Jiwaka, Kudjip, Papua New Guinea
ACKNOWLEDGEMENTS
We thank Elbert Pence & Fanny Boyce, Catalyst ONU, the ONU honors program, and the ONU Biology department for the funding of this research. Additionally, we thank ONU’s Hippenhammer Grant and the McGraw Fellowship for their financial support. We especially thank Andrew Vallely for his generous donation of hundreds of GeneXpert HPV cartridges to Kudjip Nazarene Hospital, which were used in this study. We also thank staff at Nazarene General Hospital for their gracious professional support and hosting this study, ONU Shalom Projects for coordinating this trip, and to those who donated to the ONU Shalom Project for covering travel, lodging, and meal costs while in PNG
ABSTRACT
Papua New Guinea (PNG) bears one of the highest cervical cancer burdens globally, due in part to limited access to human papillomavirus (HPV) vaccines, poor HPV education, and limited resources for HPV testing. In this study, 215 women from the Nazarene General Hospital – Jiwaka in PNG participated in a pilot same-day HPV screen-and-treat program. Participants were briefed on HPV, cervical cancer, and vaginal self-collection and were then tested for high-risk HPV strains using the PCR-based GeneXpert HPV test. In the same day, participants were notified of their GeneXpert test results and offered treatment as needed, after which they completed a brief survey assessing their experience and acceptability of HPV testing. GeneXpert results showed the prevalence of high-risk HPV to be 21.24%. Survey results indicated a high level of acceptability toward the HPV testing process and future implementation. Though PCR assays are the current standard for HPV testing, they are cost-prohibitive in economically challenged regions. Thus, residual patient specimens collected in this study were also used to try to optimize a cost-effective HPV-16 Loop-mediated Isothermal Amplification (LAMP) assay. Various reaction conditions including time, temperature, and concentrations of air-dried polymerase, betaine, and MgCl2 were tested in different combinations. While further optimization is still needed, our results provide hope for the validation of a LAMP assay for lowcost HPV testing in low-resource settings like PNG.
Keywords: human papillomavirus, cervical cancer, HPV testing, Papua New Guinea, women, loop-mediated isothermal amplification, GeneXpert
250 | ELAIA: The Honors Journal of Olivet Nazarene University

Agricultural Tractor Data Analysis of Diesel Fuel Consumption Based on Maximum Horsepower and Powertrains for Updating GREET Life Cycle Analysis Model
Khendel R. Rolison
ACKNOWLEDGEMENTS
I would like to express my gratitude to those who supported and guided me throughout the course of this research and the completion of my thesis. First and foremost, I would like to thank my honors mentor, Dr. Keith Schimmel, for his guidance and encouragement. I would also like to thank my mentor at Argonne National Laboratory, Chris Kolodziej, for his invaluable advice, expertise and mentorship throughout this time. His support helped me grow as a researcher and deepened my understanding of the field.
ABSTRACT
The transportation sector is a major contributor to greenhouse gas (GHG) emissions, with off- road equipment accounting for approximately 10% of U.S. transportationrelated emissions and 3.3% of total U.S. GHG emissions. Hard-to-decarbonize vehicles, including agricultural, construction, and marine vessels, represent a critical focus area in decarbonization efforts. A team at Argonne National Laboratory is conducting a comprehensive study to understand the energy use, GHG emissions, and potential cleaner energy sources for these vehicles, with the goal of achieving net-zero emissions by 2050. This includes evaluating powertrain technologies such as battery electrification (BEV), hybrid systems (HEV), fuel cells (FCV), and internal combustion engines (ICEV), as well as clean energy options like renewable electricity, hydrogen, and low-carbon fuels. Life Cycle Analysis (LCA) plays a key role in assessing the environmental impacts of these decarbonization technologies, utilizing the GREET (Greenhouse gases, Regulated Emissions, and Energy use in Technologies) model, developed by Argonne National Laboratory. GREET simulates the energy use and emissions of various vehicle and fuel combinations across different powertrains, integrating data from multiple sources, including the Energy Information Administration, U.S. Geological Services, and technology developers. A primary focus of the 2024 update to GREET is to enhance its capability by allowing users to input specific tractor horsepower rather than using the default of 300 horsepower. This study compiles data on various tractors to derive equations based on horsepower, pull, and powertrain, providing more accurate assessments of the environmental impacts of agricultural machinery.
The study’s outcomes will assist in identifying pathways for reducing GHG emissions from off- road equipment and contribute to broader decarbonization goals.
Keywords: life cycle analysis, GREET, powertrain, decarbonization
INTRODUCTION
There is a significant effort toward decarbonization plans for hard-to-decarbonize vehicles like agricultural, construction, and marine vessels. About 33% of greenhouse gas (GHG) emissions are created from transportation, with Off-Road Equipment contributing 10% of the US Transportation GHG emissions. This means that Off-Road Equipment accounts for 3.3% of all US GHG emissions. Agriculture, construction, mining, etc. are all included within the category of Off-Road Equipment [11]. Currently, a team at Argonne National Laboratory, a federally funded research and development center in Lemont, Illinois, is gathering data on how many of these vehicles and vessels exist in the U.S., how much energy they use, and how much GHG emissions they produce. They are also assessing the types and amounts of cleaner energy sources that could be available for them between now and 2050 to help achieve net-zero emissions. This includes looking at new powertrain technologies like battery electrification (BEV), hybrid systems (HEV), fuel cells (FCV), and improved internal combustion engines (ICEV), as well as clean energy options such as renewable electricity, various types of hydrogen, and low-carbon fuels.
| ELAIA: The Honors Journal of Olivet Nazarene University
A Life Cycle Analysis (LCA) is a data-intensive computational approach that can be used to compare the environmental impact of different powertrains and decarbonization options. It is a cradle-to-grave analysis from the raw materials to the end of product life. The primary computational tool used in LCA studies is GREET (Greenhouse gases, Regulated Emissions, and Energy use in Technologies). It is a free software package developed by the Department of Energy Argonne National Lab. GREET examines life cycle impacts, simulating the energy use and emissions output for vehicle and fuel combinations, covering road, air, rail and maritime transportation [12]. For any given energy and vehicle system, GREET can calculate the total energy consumption, greenhouse gas emission, air pollutant emissions, fossil fuel energy use and water consumption. The results obtained by GREET can be used to help guide important decisions, R&D (Research and Development) and regulations related to the energy sector and transportation [4]. Since GREET plays a role in decision making and regulations, it is important that it remains up to date with the latest research. The purpose of this project is to compile data necessary for the new 2024 version of GREET.
The goal of the update for the 2024 version is to allow users to input specific horsepower for the tractor they are analyzing, instead of assuming 300 horsepower, which was the default or the previous version. Currently, the user has the option to choose from four different powertrains (ICEV, HEV, BEV, FCV), but another addition to the 2024 update is to expand HEV and BEV. HEV can be spilt up into series and parallel while BEV can be split up into short range (BEV SR) and long range (BEV LR). In a series HEV (SER HEV), the electric motor is the only source that provides power to the wheels whereas in parallel HEV (PAR HEV) the electric motor and engine work together to produce the power to drive the wheels [1]. In order to address this need, this study compiles data on various tractors to derive generalized equations based on horsepower, pull and powertrain. Pull refers to a tractor pulling a load that creates a drag or resistance equal to that percentage. For example, if a tractor weighs 12,000 lbf (pounds of force) and is being measured at 50% pull, this means it can pull a load that generates 6,000 lbf of resistance or drag. The powertrain includes various components, such as the engine, transmission, driveshaft, and axles. All these components work together to transmit energy from the engine to the wheels, which allows the vehicle to move [3].
REVIEW OF LITERATURE
Every year, Argonne uses research to update and create a new version of GREET. Currently, the 2023 version of GREET equations and data for analyzing the total life-cycle output of tractors are all based off the John Deere 8R 280 tractor model at 300-horsepower (hp). GREET users are able to input the powertrain type (ICEV, HEV, BEV, FCV) and fuel type (diesel, renewable diesel, Fischer-Tropsch diesel (FTD), dimethyl ether (DME), biodiesel). The life cycle results provided are the energy intensity by powertrain type. Energy intensity is a measure of how much energy is used to produce a unit of economic output. These results are a table that includes energy consumption in BTU (British Thermal Unit) per hour for all four tractor types (ICEV, HEV, BEV, FCV) at three different pulls (50%, 75%, and 100%, also known as full).
The University of Nebraska Tractor Test Laboratory (NTTL) is the official tractor testing station for the United States and tests tractors according to the Organization for Economic Co-operation and Development codes. This is where many tractors are tested each year and compiled into public files that can be found on their website. Examples of testing include power-take-off (PTO) tests, drawbar tests, rollover protection structure tests, and hydraulic lift capacity tests. The files also comprise basic information on each tractor model including size of tractor wheels, weight, speed, fuel density and temperature [2].
In order to help analyze the results of these tests and apply them to vehicle efficiencies, the Vehicle and Mobility Systems Group at Argonne has developed a software tool called Autonomie. Autonomie is a vehicle system simulation tool designed to evaluate energy consumption, performance, and cost for a wide range of advanced vehicle technologies including tractors. It covers various vehicle classes, from light-duty to medium and heavy-duty, as well as diverse powertrains, including conventional, hybrid electric, plug-in hybrid electric, battery electric, and fuel cell electric vehicles. Some of the use cases for Autonomie include component technologies and powertrain sizing. Component technologies compare the different technologies in terms of weight, cost, and efficiency. Powertrain sizing looks at the differences between energy consumption, cost, and performance (ex: battery sizing vs fuel cell system). It’s the only commercial software that integrates vehicle control algorithms derived from dynamometer test data across numerous powertrain configurations. A dynamometer is a device that measures the force, torque, or power of a vehicle. For the vehicle’s engine, a dynamometer test applies a load to duplicate various speed and torque requirements needed for the vehicle. This data is used to calculate and measure the vehicle’s overall performance and power [6]. Additionally, Autonomie offers full access to component models and control algorithms, allowing users to create or modify vehicles, components, and control systems [5]. Autonomie has simulated and compiled data on various tractors with the six different powertrains, fuel types, and pull levels. This data can be used to compare to the Nebraska Tractor Data and create an energy consumption ratio of ICEV to the other powertrains (BEV SR, BEV LR, SER HEV, PAR HEV and FCV).
METHODS
Using the Nebraska Tractor Testing Data, values for the years 2020-2022 were organized into a spreadsheet. Maximum horsepower, density of the fuel, and brakespecific fuel consumption (BSFC) were recorded for three different pulls for each of the sixty-seven tractors tested between the years 2020 to 2022. From this data, diesel fuel consumption was calculated in BTU/hr using information collected, basic conversions, and diesel fuel default values (density of diesel fuel is 0.835 kg/L and heating value of diesel fuel is 42.5 MJ/kg). Table 1 shows the values and method that was used to obtain values within the equation. Any values found using the NTTL Data varies based on the specific tractor being analyzed.
| ELAIA: The Honors Journal of Olivet Nazarene University
The following equation was used for each tractor:

The relationship between horsepower, pull, and diesel fuel consumption for all tractors in the spreadsheet were analyzed. The next step was to create linear equations that represent the relationship between maximum hp and diesel fuel consumption at the three pull levels. To assert that these equations are truly generalized, the correlation coefficient must approach 1, indicating that a linear equation fits the data well. If the correlation coefficient is not close to 1, the equation is not linear and cannot be used as a generalized equation for all variables.
When the data was originally graphed, the R value (also known as the correlation coefficient) shows that the equation was not linear and could not be used as a generalized equation. The reason for the low R value is due to outliers within the data. Further investigation is required to understand the reasons for outliers. Outlier analysis involves identifying and examining data points that differ significantly from the rest of a dataset. A crucial part of this process is finding similarities among the outliers and investigating the reasons behind their deviations. By understanding why these outliers exist, researchers can decide to exclude them and create a more generalized conclusion about their findings.
Further investigation revealed that all outliers were tractors with tracks and duals as tires. As shown in figure 1 below, track tires are continuous treads that push a tractor forward instead of being pulled like standard wheels. Figure 2 shows that dual tires are extra tires that are added to increase stability and traction. They can be added to the rear axles totaling four rear tires or to all axles totaling eight tires.


Many factors such as the cost of the tractor, the type of soil that is being worked on, weather conditions, and personal preference, can all play a part in the choice of tires. Many choose tracks when dealing with a farm that is narrow or needs to operate in wet soil conditions [10]. Both tracks and dual tires are used in cases of heavy duty, high horsepower work. Track tires weigh more than regular conventional tires, creating a higher rolling resistance. Dual tires mean there are more tires on the tractor instead of the basic four, which also creates a higher rolling resistance. The higher rolling resistance leads to an increase in diesel fuel consumption [9]. Since all the outliers were consistent with being track or dual tires, these tractors can be removed, and the generalized equation can be used for tractors with tires only.
| ELAIA: The Honors Journal of Olivet Nazarene University
Once a clear trend is revealed in all three pulls, these three equations can be added to GREET for the ICEV tractor. Since these equations are based off the Nebraska Tractor Testing Data, which is an ICEV tractor, ratios need to be included in the final equations that are integrated into GREET for the other three powertrains. Autonomie provides data for 100 hp and 300 hp tractor for all six powertrains. The fuel economy for all three pull levels for each of the powertrain types was calculated in BTU/hr. Energy consumption ratios of SER HEV, PAR HEV, BEV SR, BEV LR, and FCV to ICEV were then calculated at both horsepower levels. For example, the ratio of SER HEV to ICEV for 100 hp at low pull was found by dividing the SER HEV (100hp) value at 50% by the ICEV (100hp) value at 50%. A graph for Horsepower vs Ratio to ICEV was made for each of the powertrains at the three different pulls. Fifteen total linear equations were obtained.
The last step is to combine the data from the Nebraska Tractor Data and the Autonomie Data. As stated above, the NTTL Data provides the energy consumption for the ICEV tractor at all three pull levels that is based off the horsepower that the user can input. For the rest of the powertrains, the ratios need to be multiplied by the Nebraska Tractor Data. For example, the ICEV data for 50% pull is multiplied by the ratio equation of SER HEV to ICEV at 50% pull. By multiplying the correlating ratio to the ICEV energy consumption, the user obtains the energy consumption of SER HEV at low pull. The same process is used to obtain the equations for the other powertrains. These final equations are then inputted into GREET.
RESULTS
First, all the tractors were graphed at the three different pull levels for Max HP Rating vs Diesel Fuel Consumption in gal/hr based on the Nebraska Tractor Data. As seen in Figure 3, there are many outliers around 370 HP, creating a vertical line upward. The R value for each of the pull levels ranges from 0.83-0.88, which shows that this cannot be a generalized equation due to the outliers.

After further research was done, the track and dual tractors were removed. The graph was adjusted as shown in Figure 4. The R value has now increased to 0.98 for all three pull levels. This shows that these equations are linear and can be used as generalized equations for single tire ICEV tractors.

This analysis allows the generalized equations for the ICEV tractor to be integrated into GREET. To calculate the diesel fuel consumption of the other powertrains, data from Autonomie provides the ratios of the other powertrains to ICEV. Table 2 shows the ratios of FCV, BEV, and HEV to ICEV for 100 hp. Table 3 shows the ratios to ICEV at 300 hp.

| ELAIA: The Honors Journal of Olivet Nazarene University
Using the data from Tables 2 and 3, three graphs are generated. Figure 5 illustrates HP vs the Ratio of ICEV to BEV at the three different pull levels. Similarly, Figures 6 and 7 depict the same relationship for FCV and HEV.


| ELAIA: The Honors Journal of Olivet Nazarene University

The data from Figure 4 is combined with the data from Figures 5-9 to create the final equations for all powertrains. Below, Figure 10 is a screenshot from GREET where the user selects the powertrain and fuel source. Dark shaded cells indicate that the user can select key options from the drop-down menu specific to their simulation. Pale shaded cells are key input assumptions that users can change for their specific simulations. As shown in Figure 10, the user has selected the powertrain and fuel type from the drop-down menus. The horsepower has also been inputted into cell G5.


An example for the equation that goes in the cell can be shown with PAR HEV at 50% pull in Figure 11. The following equation is inputted in cell C217:
The first part of the equation in the parathesis is the ratio equation of HEV to ICEV found from the Autonomie Data. For this specific example, refer to Figure 9 for HEV to ICEV ratio equations. G5 refers to the cell where the user inputs horsepower (refer to Figure 10). $B$217 refers to the ICEV energy consumption based on the NTTL Data. By multiplying the low pull ratio of HEV to ICEV by the low pull ICEV, the user obtains the HEV energy fuel consumption in BTU/hr at 50% pull.
DISCUSSION
The purpose of this study was to compile data on various tractors and derive generalized equations based on hp, pull and powertrain. This data can then be used to update GREET 2024 to allow users to input specific horsepower, instead of simply assuming 300 hp, as well as expanding the various powertrains. BEV was specified to BEV SR and BEV LR while HEV was divided into SER HEV and PAR HEV. As shown in Figure 3, there is a cluster of consistent outliers forming a vertical line around the 370 hp mark. Further investigation revealed that these outliers correspond to tractors equipped with tracks or duals instead of traditional tires. Unlike standard tire wheels, track and dual wheels are significantly larger, resulting in increased contact with the ground surface. This larger surface area correlates with higher fuel consumption, as depicted in the graph. However, since these tractors consistently deviated from the norm, they were excluded from the analysis, as demonstrated in Figure 4. The equations incorporated into the GREET model specifically reflect tractors with conventional wheels.
When comparing energy consumption ratios relative to ICEV across different horsepower categories, a few noteworthy trends emerge. For both horsepower ranges analyzed, BEVs exhibit energy consumption levels between 30% to 50% of that of ICEVs. This suggests that BEVs are a highly efficient and viable powertrain option. In contrast, FCVs consume between 46% to 80% of ICEV energy at 100 HP, and between 80% to 88% at 300 HP, further highlighting their potential as a sustainable alternative.
Figure 11: Screenshot from GREET showing final energy consumption for all powertrains
Interestingly, HEVs demonstrate higher energy consumption ratios compared to ICEVs for both 100 and 300 Hp categories. This finding is unexpected given that HEVs are specifically designed to reduce fuel consumption and emissions by combining a combustion engine with an electric motor. This discrepancy presents an opportunity for further research to uncover the underlying factors contributing to the increased energy usage in HEV tractors.
Looking ahead, there are several promising avenues for expanding this research. One potential area of interest is to analyze how fuel consumption patterns shift when using track-equipped tractors versus those with standard tires. This could enable the development of refined equations that allow users to select specific wheel types and sizes based on their needs. Additionally, the current dataset, sourced from the Nebraska Tractor Testing Laboratory, includes data on approximately 65 tractors spanning from 2020 to 2022. Expanding this dataset with a larger sample size and more recent data would help to expand this project. The Nebraska Tractor Test Laboratory conducts tests during the fall and spring seasons each year. They average roughly 20 tractors tested each season [2]. Compiling further data with NTTL as well as looking into another data source, will help to add new data to this analysis. Lastly, there can be further research to address tractors with tracks or duals as wheels. A similar process as this study can be done with track and dual wheeled tractor data. This will help show researchers the environmental impacts of track and dual tire tractors and help them to do more in depth life cycle analysis.
REFERENCES
[1] “Series vs parallel VS series/parallel drivetrains,” Union of Concerned Scientists, https://www.ucs.org/resources/all-about-drivetrains (accessed Mar. 11, 2025).
[2] “Nebraska Tractor Test Laboratory | Nebraska.” https://tractortestlab.unl.edu/
[3] A. Research, “What is a powertrain?” ACT Research, Jun. 20, 2023. https://www. actresearch.net/resources/knowledge-center/what-is-a-powertrain
[4] US Department of Energy, “GREET,” Energy.gov. https://www.energy.gov/eere/ greet (accessed Mar. 05, 2025).
[5] UChicago Argonne, “Autonomie suite,” Vehicle & Mobility Systems Department - Argonne National Laboratory. https://vms.taps.anl.gov/tools/autonomie/ (accessed Mar. 06, 2025).
[6] Power Test Inc., “What is a Dynamometer?,” Power Test. https://powertestdyno. com/what-is-a-dyno/ (accessed Mar. 07, 2025).
[7] C&B Operations, “2024 John Deere 9RX 640 Track Tractors FOR SALE NOW at C & B Operations (Mitchell, SD),” C & B Operations, Mar. 03, 2025. https:// deerequipment.com/in-stock-equipment/2024-john-deere-9rx-640- 3_356411/
[8] C&B Operations, “2024 John Deere 9R 490 Articulated 4WD Tractors FOR SALE NOW at C & B Operations (Roscoe, SD),” C & B Operations, Oct. 16, 2024. https://deerequipment.com/in-stock-equipment/2024-john-deere-9r-490- 2_364296/
[9] E. Hardsock, “Rolling resistance in hauling and commerical trucks,” IMI, Jun. 25, 2021. https://www.imiproducts.com/blog/rolling-resistance-intrucks/#:~:text=often%20unaware%20of.,WHAT%20IS%20ROLLING%20 RESISTANCE?,the%20weight%20of%20the%20payload. (accessed Mar. 07, 2025).
[10] Bridgestone Americas Tire Organization, “What You Need to Know About Tracks vs Tires | Firestone Commercial Tires.” https://commercial.bridgestone.com/ en- us/resource-center/articles/what-are-the-differences-between-rubber-tracks-vstires (accessed Mar. 07, 2025).
[11] C. Kolodziej, ‘Cradle-to-Grave Life Cycle Analysis of Decarbonization pathways for a Large Agricultural Tractor,’ Argonne National Laboratory, 2024
[12] M. Wang, “Overview of the GREET Life-Cycle Analysis Model,” presented at the GREET Training Workshop, Argonne National Laboratory, Nov. 07, 2022.

Analysis of Olivet Nazarene University’s Historical Electricity Consumption and Proposal for Solar Battary Installation
Anna M. Shoup
ACKNOWLEDGEMENTS
I am incredibly grateful to the honors program faculty that have supported our cohort throughout the research process, especially those that taught us throughout the first and second years of the program. I also am indebted to those in my cohort, all of whom have been nothing but enthusiastic and encouraging of my research. Most importantly, this project would not have happened at all without the ongoing work of Dr. Ryan Himes. I am honored to have worked with such a wonderful professor, mentor, and leader, and it is truly his undying commitment to creation care that has paved the way for renewable energy on the campus of Olivet Nazarene University.
ABSTRACT
Responding to geologically recent climate change requires solutions that increase energy efficiency and support the transition to renewable energy sources. These actions must be taken by all sectors of society, including colleges and universities. Olivet Nazarene University (ONU) is a private Christian institution with experience in efficiency and renewable energy due to previous projects, including the installation of two solar arrays. This project collected ONU’s electricity data from the years 2019-2024, resulting in forty-eight months of consumption data. After analyzing consumption over time, price of electricity over time, and consumption broken down by location, we found that changes in consumption were due to seasonal trends in heating and cooling, changes in price were largely due to fluctuating surcharges that are determined by consumption, and that consumption by location over time could not be analyzed due to inner campus consumption being collected on a single electrical meter. During this portion of the project, we discovered an incentive program available through ONU’s electricity supplier, which has potential to fund on-campus energy efficiency projects in the future. The goal of the project was establishing a baseline for electricity consumption across campus so future efforts to reduce consumption can be quantified. This project also proposed the installation of solar batteries for the on-campus arrays, which would be constructed by Continental Energy Solutions (CES). ONU could install up to two batteries, each of which can be 530-kW or 979-kW. The batteries would last fifteen to eighteen years and after incentive funding and a payback period could save ONU up to $3,870,000 based on a preliminary cost/benefit analysis.
Keywords: electricity, solar arrays, climate change, renewable energy, energy efficiency, incentives, consumption baseline, solar batteries.
INTRODUCTION
Energy is a critical resource, and its use and distribution encompass many environmental and ethical implications. Growing awareness of anthropogenic climate change, resulting from human consumption of fossil fuels and subsequent greenhouse gas emissions, is pushing the industrial sector, both commercial and residential, toward reduced consumption and increased incorporation of renewable energy sources. Furthermore, various factors such as the cost of fossil fuel production, political conflicts and trade negotiations, and government subsidies continue to increase the price of non-renewable energy sources, resulting in ever more expensive consumption practices. These realities provide incentive to increase reliance on renewable energy sources as well as improve energy efficiency across all areas of society. This is a significant challenge, as most often both environmental and economic gains must be realized simultaneously in order to justify changes in technology or consumption patterns.
When considering the goal of reducing reliance on non-renewable energy sources, one must remember that the success of renewable alternatives is dependent on the
extent of implementation. Wide-scale participation is necessary to begin addressing global warming or decarbonization, meaning that any and all participation is invaluable to these broader goals. Furthermore, there should be particular interest in gaining traction for renewables among Christians or Christian institutions. Although many agree that environmental stewardship is a biblical principle consistent with mainstream Christian teaching, conservative Christian denominations of the United States have historically been particularly resistant to climate change education and solutions. Many of these institutions or organizations are dominated by conservativeleaning Christians, creating a perceived gap between biblical teaching and political exercise. Implementing solutions to global warming on a Christian college campus may work to lessen that gap, as well as provide a point of intersection between belief and environmental practice that is infrequently reflected in broader society
In this study, we applied the goals of environmental and economic improvement in electrical energy consumption (electricity) to the campus of Olivet Nazarene University (ONU). It was first necessary to determine a baseline consumption level, which required a campus-wide energy audit. We collected six years of electricity consumption data through historic electricity bills. Based on data collected, we conducted analyses to determine what electrical meters on campus consume the most energy, when consumption is highest, and how consumption trends and energy price has changed over time. Through this process, we discovered available unutilized efficiency incentives through Commonwealth Edison (ComEd), one of the electrical companies ONU currently utilizes. In order to take better take advantage of incentive opportunities moving forward, an ongoing relationship was established between ComEd and ONU’s facilities team to track efficiency projects and check for available incentives during future projects. This relationship, resulting from improved communication and organization, will soon save ONU $3,500 through rebate incentives for rooftop air-handling units installed in the summer of 2024. Finally, in conjunction with data collected, we were able to recommend changes in campus infrastructure for environmental and economic improvement. The primary result of this research is a cost/benefit analysis for the installation of solar batteries on ONU’s campus, which will work in tandem with existing solar arrays.
REVIEW OF LITERATURE
A primary context of this project is the broader push to decarbonize, or decrease reliance on fossil fuel sources, across all sectors of society. Consistently clear scientific consensus has revealed the global climate crisis, which is driven by anthropogenic greenhouse gas emissions (IEA, 2021). Historically, electricity production has depended largely upon coal, oil, and natural gas, all of which produce energy when heated in a combustion reaction as well as carbon dioxide (CO2) and various other byproducts (Rabbi et al., 2022). These so-called “non-renewables” still dominate the energy market, accounting for eighty percent of global energy supply, whereas “renewables” such as solar, wind, and hydroelectric energy sources constitute twenty percent (Bi et al., 2024). Nuclear power also contributes to the twenty percent “renewable” measurement, but is not considered fully renewable due
| ELAIA: The Honors Journal of Olivet Nazarene University
to radioactive uranium waste produced. Carbon dioxide produced by non-renewables contributes to global warming due to the greenhouse effect, leading scientists and policy makers to collaborate in understanding the impacts of climate change and ways to mitigate it (Rabbi et al., 2022). These efforts have led to international, national, and state-wide timelines for decarbonization, which are determined based on models of how to prevent the worst effects of climate change by limiting global CO2 emissions (IEA, 2021; Path to 100 Coalition Secures 50% Renewable Energy, 2021; Press release, 2021). Among such agreements, a high level of consensus indicates that preventing the most harmful impacts of climate change requires a fifty percent reduction of CO2 emissions by 2030 and net-zero emissions globally by 2050 (Net Zero by 2050 – Analysis, 2021; Rabbi et al., 2022). These goals are highly ambitious, and they provide much of the pressure to expand use of renewable energy and decrease fossil fuel consumption quickly across all divisions of society.
However, it is not enough to consider the environmental demands of the future, as economic demands frequently determine an institution’s ability to meet sustainability goals. With regards to renewable energy expansion, the Inflation Reduction Act (2022) contains substantial federal subsidies and incentives for the expansion of renewable energy technology (Bistline et al., 2023). On a smaller scale, various state incentives are available. In Illinois, there is ongoing political support for the energy transition away from non-renewables, and the market for solar energy credits supports options such as power purchase agreements with outside investors (Himes et al., 2020; Press release, 2021). Regardless of incentives or outside support, however, many of the actions needed to improve environmental impact are investments that will save money in the long term (Himes et al., 2020; Rabbi et al., 2022). Generating renewables on-site, for example, provides free and clean energy for an institution, following a payback period for the solar array or wind turbine. Any effort made to conserve energy or increase efficiency results in less energy that must be purchased, putting money back in the pocket of the benefitting institution. The goal, then, is to strike a balance between cost of installation and setup for a project and the money that the improvement will save long-term, producing net savings.
This project turns the goals of environmental and economic improvement toward the campus of ONU. An administrative initiative in 2021 set forth goals of improving energy efficiency, with a named goal of efficient stewardship and various efficiency projects falling under it (Olivet Nazarene University, 2023). Thus, momentum already exists internally to reduce energy consumption and pursue future efficiency projects. Furthermore, ONU has already installed and implemented two solar arrays, which have saved the university $141,000 and 4.15 million kilowatt-hours (kWh) of electricity as of October 2024 (Solar Production Records, 2024). Together, these projects represent a starting point for continuing energy efficiency projects and renewable energy projects on ONU’s campus. In this way, the current university context provides an excellent backdrop for further improvements, particularly to build on what has already been done. Additionally, ONU is a Christian college campus, implying that the biblical principle of environmental stewardship and creation care provides a further rationale for pursuing a project like this (Hayhoe,
2021). The professed faith-based goals of the university provide an opportunity to link faith and environmental practice as an example for the broader community. Other projects seeking solutions to energy efficiency and decarbonization on college campuses have begun with establishing a baseline consumption level (Boharb et al., 2022; Nagpal et al., 2019). Within ONU’s overall energy consumption, this project focuses on electricity consumption. Thus, historical electricity consumption data must be gathered and cataloged in order to understand ONU’s consumption over time (Jung et al., 2016; Kerem, 2022). This data is available due to the recent solar panel installation, and the first part of this project is tabulating the available data (Himes et al., 2020). The goal is to determine consumption in the past as well as today, which may help identify areas of high consumption (Boharb et al., 2022). If we can see when or where most consumption is taking place, recommendations for improvement can be tailored to target areas of weakness (Nagpal et al., 2019). Additional considerations such as price over time can be derived from the data, providing fiscal information regarding any potential projects moving forward. In both electricity consumption and spending, a baseline for any proposed changes is necessary (Boharb et al., 2022).
Following data collection, it will become possible to move toward proposed changes. Given the success of the solar installation project, solar battery installation could help further harness the renewable energy already available on campus. When the solar arrays were first implemented, solar batteries were explored as an option but not pursued or fully investigated. This incomplete inspection provided inspiration for including them in this project, and the cost/benefit analysis provided sheds light on their potential benefits for ONU. Solar batteries would be another large step forward for ONU’s campus with regards to decarbonization and has potential to be fiscally beneficial. The existing solar arrays were a good investment due to the current state of the solar market as well as the power purchase agreement ONU utilized (Apeh et al., 2022; Himes et al., 2020). Similar partnerships might be available for the installation of solar batteries as well as various incentive and rebate programs to mitigate the upfront cost.
Adding battery storage to solar arrays can be financially beneficial because the batteries can supply electricity to the grid even in the absence of sunlight (Fang et al., 2020). Because renewable energy production is intermittent due to the unpredictable availability of energy sources, access to on-demand energy is necessary in case renewable sources are not available to generate. A battery stores this energy to be used on demand, reducing the amount and cost of otherwise necessary alternative energy (Okwako et al., 2022). The environmental benefit of batteries also results from renewable energy’s unreliability, as the on-demand energy needed when renewables are not available is much more likely to come from a non-renewable source or a mix comprised of predominantly fossil fuel sources (Fang et al., 2020). Due to these benefits, solar batteries were selected as a proposed next step, as they address both economic and environmental concerns and can be fiscally incentivized as an expansion of renewable energy resources on ONU’s campus.
| ELAIA: The Honors Journal of Olivet Nazarene University
METHODS
Data Collection and Analysis
ONU’s historical electricity bills are available online through an Etrieve content database, where they are stored after being sent from the company and processed by ONU’s financial team. In order to view the bills, we had to gain access to the database after being approved by ONU to view bills from Commonwealth Edison (ComEd), Dynegy, Engie, and Constellation Energy. ComEd and Constellation Energy are energy suppliers for ONU, whereas Dynegy and Engie are distributors of electricity. In any given month, ONU receives an electricity bill from both the supplier and distributor. Whether we were able to recover only one bill or a bill from both the supplier and distributor varied from month to month over the surveyed months because we had to work with what was available in the database, which was missing various bills. Furthermore, both suppliers and distributors are subject to change, but these four companies were used during the time surveyed from 2019-2024. We were able to search for a supplier or distributor once inside the database, which organizes bills, receipts, and various transaction records that ONU has received.
ONU has all of the major inner-campus buildings’ electricity consumption collected at one service location (240 Marsile St. Bourbonnais) under the general account number. This is the only service location that we collected data from, as it accounts for all of the electrical meters needed in order to compile a consumption record for the main campus. Data collection consisted of locating all the bills for the service location that were available within the database and contained viable data. If we determined that data was not viable, it was because it was illegible or because a particular month displayed substantial discrepancies between bills received from the supplier versus the distributor, especially discrepancies between total price or total kWh reported. The reasons for these discrepancies were unclear. We later communicated directly with ComEd regarding more recent or pertinent discrepancies but did not receive clear resolution, and seeking to address all the discrepancies in the database lay outside the scope of this project.
After collecting all viable bills within the database, we transferred the data to an excel spreadsheet. Our collection base contained both itemized and unitemized data sets. Itemized bills came primarily from ComEd and Constellation, with a few Engie bills also containing itemized data. Itemized bills included the totals for the month, such as price and kWh, as well as the consumption and on-peak consumption for each of the seventeen meters that make up the 240 Marsile St. Bourbonnais service location. On-peak consumption is the maximum consumption at a single time, measured once during the month, which is differentiated from total consumption only on itemized bills. Unitemized bills only contained information for the service location as a whole as opposed to being broken down by meter and were primarily issued by the electricity distributors Engie and Dynegy in the time surveyed. Itemized data was particularly valuable, as the breakdown of the seventeen meters allows analysis of consumption location. Furthermore, delineation of total versus peak consumption are relevant to savings available through the implementation of solar batteries. During the data collection period, we met with ComEd in order to identify the locations of all seventeen meters on our main campus.
ComEd Incentives
While collecting and tabulating electricity data, multiple questions arose regarding particular surcharges, the location of meters, and the itemization of data. We reached out to ComEd throughout the research process for answers to these questions, resulting in three meetings with representatives from the company. Through these meetings, we learned about substantial incentives available through ComEd that ONU has not utilized and that can be accessed for energy efficiency projects on campus. Methodology for this portion of the project evolved into both getting specific bill-related questions answered by the representatives from ComEd as well as working to set up a relationship between ComEd and ONU’s facilities team for the purpose of improved communication about available incentives moving forward. The contents and implications of these meetings are included as results of this project.
Solar Battery Proposal
The development of the project through learning about incentives available through ComEd led us to search for possible projects to improve campus energy efficiency and take advantage of financial incentives available for such projects. Over email, we reinitiated a conversation regarding the possibility of installing solar batteries on our current solar arrays with a representative from Continental Energy Solutions (CES), and ONU’s administration expressed interest in the idea. This initial communication with the CES representative and ONU led to a meeting involving our research team, the CES representative and ONU’s Vice President (VP) of Operations. In this meeting, various possible combinations of battery implementation were discussed for ONU’s campus, as well as the methods used by the company in achieving environmental and economic benefits for customers. Furthermore, cost/benefit analyses were presented for all of the possible routes forward, which will be included in the results section.
RESULTS
Baseline Data Analysis
We collected thirty-six months of fully itemized data through ComEd, Engie and Constellation spanning over five calendar years as well as an additional twelve months of unitemized data spanning over two calendar years, resulting in partially continuous data from 2019 to 2024 (Figure 1). Collecting data from various years allowed us to represent each month of the year more than once to analyze trends over the course of a typical calendar year. This required spanning over many years, as monthly bills were often missing or deemed not viable. Aside from the few bills deemed not viable due to illegibility, it is unknown why bills were missing from the database or contained discrepancies, and settling all the unknowns with both ComEd and ONU’s financial team lay outside the scope of this project. Therefore, we moved forward in data collection with the data we had available. The annual trends that can be seen in this data set indicate that, as expected, consumption is higher in summer and winter months and lower in spring and fall months. The highest consumption month within the data occurred in July 2019 at 1,411,137 kWh, whereas the lowest occurred in April 2020 at 557,405 kWh (Figure 1). Evidently, there is a wide range
| ELAIA: The Honors Journal of Olivet Nazarene University
in consumption levels from month to month, which is largely accounted for by the seasonal trends of heating and cooling demands. The years 2019 and 2021 were very high consuming years as a whole, but no other anomalously high consumption months exist within our data set (Figure 1). Regarding low consumption months, there are large dips in consumption occurring in April, May and December of 2020 (Figure 1). This is due to campus closure during the COVID-19 pandemic, and would presumably reflect in the missing months of 2020 if that data were available.

In addition to ONU’s total consumption, we sought to gain a better understanding of where electricity consumption was happening on campus. We wanted to know what the highest consuming areas are for the purpose of prescribing where to target improvement in the future. This information can only be determined from itemized data, and since we wanted to look at trends over time, we sought to collect a full year of itemized data that could be broken down by location. This did not exist in our database; instead, the closest alternative resulted in eleven months of continuous itemized data from ComEd beginning in March of 2023 and ending in January of 2024 (Figure 2).

In the process of collecting data, we discovered that all of inner campus is tied to one electrical meter. This meter is represented in Figure 2 as “Main” and includes all major campus buildings such as Ludwig Dining Hall, Benner Library, Weber Leadership Center, Reed Hall of Science, Larson Fine Arts Center, Burke Administration Building, inner campus dorms, and a few peripheral buildings. We asked ComEd representatives during our meetings about the possibility of breaking this main meter down further so that we could gain a more detailed picture of campus consumption. This was not possible without substantial infrastructural changes. In Figure 2, the Perry Student Life and Recreation Center and Centennial Chapel are grouped together because they are both represented by net metering on ComEd bills due to the solar arrays, meaning that we do not have an accurate representation of each building’s individual consumption as consumption is combined and averaged on the bills. Consumption is reduced in Perry/Chapel during the summer months due to the production of the solar arrays. In this data set, the highest consumption month is September 2023, with 1,143,492 total kWh; 847,703 kWh on the main meter and 200,472 kWh between the Perry Center and Centennial Chapel. Considering September 2023 as an example, if total consumption can be considered 100%, the main meter comprised 74.1% whereas Perry/Chapel comprised 17.5%. The remaining fourteen meters on the bill account for only 8.4% of the total consumption. They monitor very specific areas of campus, such as the Bowling Admissions building, the Warming House or the tennis courts lights.
In addition to consumption over time, we analyzed price of electricity over time. We were able to collect monetary data for all the same months as total consumption, resulting in forty-eight total months of data (thirty-six itemized and twelve unitemized) spanning from 2019 to 2024 (Figure 3). This representation communicates how much ONU is paying from month to month in electrical bills over time. High and low prices generally correspond with high and low consumption but there is also some varience due to changes in set rates, which fluctuate depending on market price as well as changing contractual agreements with suppliers and distributors. The highest bill was in September 2021 at $120,837.11 and the lowest bill was in April 2020 at $50,944.20. Much of the price of monthly bills is dictated by surcharges, which are in addition to the price of the electricity itself and determined based on set rates multiplied by consumption. The surcharges are thus consumption dependent, despite being listed separately.

Related to price over time, we chose to consider price per kWh over time (Figure 4). This data set more clearly isolates how the price is impacted by changing rates, both in the price of electricity and surcharge rates, as opposed to by consumption. What we can tell from Figure 4 is that the price/kWh has stayed relatively constant throughout the data set until more recent years. There appears to be an upswing in price beginning in 2022 and continuing through 2023 and 2024, indicating that ONU has been paying more per kWh of electricity in recent years. This trend is especially evident in late 2023, with the highest data points occurring in October and December. There are a few months that are exceptions to the overall trend, such as January and
April 2023. During these months, ONU was paying less per kWh of electricity than in the same month of 2022. However, despite these anomalies, the trend is clear and fairly consistent across all three most recent calendar years. To provide relevant demographics for all of the above data, ONU is an undergraduate residential campus with approximately 3,500 students. There are twenty-five major buildings, and the campus occupies 275 acres of land. For the entire campus, we calculated an average annual electricity budget of $1,072,226.19. This number represents years prior to the solar panel installation, which occurred in November 2021.

ComEd Incentives
Over the course of the project, we had meetings with representatives from ComEd, ONU’s facilities team, and our research team. The first meeting involved ComEd and our research team and was scheduled to answer questions regarding electrical bills and rates. It was in this meeting that our team learned about ComEd’s incentive program for improving energy efficiency. Within this program, we learned that ONU can access an annual budget of available incentives based on a surcharge in our electrical bills, which is substantial due to the size of the university. The amount varies every year based on amount of electricity paid for, as it is calculated by a set rate that is multiplied by consumption, but in that initial meeting we were quoted a maximum of $2,000,000 per year. This incentive budget has not been previously utilized by ONU. It is available in the form of cash rebates from ComEd via an application process requiring the documentation of energy efficiency projects on campus.
| ELAIA: The Honors Journal of Olivet Nazarene University
After learning of this program, we sought to set up a second meeting with ComEd representatives and ONU’s facilities team to facilitate communication about upcoming energy efficiency projects so that the proper paperwork can be filled out on time and incentives can be received. This provides potential for ONU to better take advantage of available incentives moving forward. For example, ONU was scheduled to replace several HVAC units on various buildings during the summer of 2024, which was done as a project already scheduled based on university priorities. At the time of the initial meetings, the parts had been ordered and had arrived but had not been installed. ONU’s facilities team was able to work with ComEd to file for incentives for this project, which will result in $3,500 redeemed from our incentive budget after installation. The updated units are projected to save ONU $9,700 annually on heating and cooling costs, and should reduce campus-wide energy consumption by 2.9% (Olivet Nazarene University, 2023).
Solar Battery Cost/Benefit Analysis
In the meeting with our research team, CES, and ONU’s VP of Operations, various possible combinations of solar batteries were discussed for ONU. Because of the two solar arrays installed on the Perry Center and Centennial Chapel, ONU could support up to two 979-kW batteries. The university could also choose to install 530kW batteries or choose to only install one battery of either size at either of the two locations with arrays. We were presented with two detailed cost-benefit analyses, one for installing two 979-kW batteries and one for two 530-kW batteries (Tables 1 and 2). If ONU were to proceed with installing either 530-kW or 979-kW solar batteries, there would be an upfront investment cost that could be paid back through electric bill savings over time. These amounts are $800,000 and $766,000 and have payback periods of 5.3 and 2.9 years for the 530-kW and 979-kW batteries, respectively. Over fifteen years, the estimated cashflow for ONU would be $1,640,000 for the 530-kW batteries or $3,870,000 for the 979-kW batteries. Based on total savings, the monthly savings quotes for these units are $14,666.67 for the 530-kW and $26,916.67 for the 979-kW batteries. Savings are estimated based on ONU’s current infrastructure and electricity consumption.
These are potentially conservative estimates, as the batteries are known to last up to eighteen years. The various incentives contributing to the reduced cost of the projects come from different sources, resulting in the money arriving at different stages within the first year of the project. The cash incentives all come from ComEd as part of the company’s incentive program, and the tax incentives come from the federal government due to current policy. Specifically, the Inflation Reduction Act (2022) allows for non-profit organizations to receive federal cash incentives in lieu of tax incentives for renewable energy development. Thus, ONU is able to receive such incentives, despite being a non-profit and therefore exempt from paying federal taxes. The amounts presented below are all-encompassing, including assessments, parts, installation, maintenance, and proper disposal at the end of the batteries’ lifetime. The batteries are made by Tesla, installed by CES, and are recycled by Tesla at disposal.

As mentioned, ONU’s VP of Operations was present at this meeting after having expressed interest in the project over email. ONU is seriously considering the battery proposal; ongoing investigation was included in an annual report as a stated goal of ONU’s energy efficiency initiatives (Olivet Nazarene University, 2023). If ONU were to move forward, the next step toward installation is an on-site analysis conducted by CES, including detailed design plans based on ONU’s existing infrastructure and a concrete financial analysis. This step requires an upfront investment from ONU and represents sustained interest in the project, with a reassessment included at the end of the analysis prior to formal commitment. Inclusion in the university’s annual report does not ensure that the project will happen, but the priorities set in the report have historically been significant for the university at large, establishing a level of commitment to the project and recognition from university administration.
DISCUSSION
Considering ONU’s historical electricity data, Figures 1, 2, and 3 all display a seasonal trend. Consumption across campus is higher in summer and winter months than it is in spring or fall, which is most likely due to heating and cooling demands in the summer and winter. Air conditioning needs in the summer are produced directly from electricity. Heating demands in the winter are produced by natural gas boilers but electricity is utilized in the circulation and delivery of heat, creating heightened demand in the winter as well. Interior temperature needs are consistent year-round, but the outside temperature is closer to the preferred inside temperature in the spring and fall, accounting for the seasonal difference. Initially, we suspected we might see a substantial drop in summer consumption due to lack of students, but most on-campus buildings are occupied throughout the summer by camps and community activities and are kept air-conditioned for year-round staff. This is reflected in the data, with summer months often very high in consumption compared to the rest of any given year. Years within the data that are consistently higher or lower consumption than the rest of the graph may simply be due to particularly harsh summers or winters, corresponding to increased electricity demands. The lowest consumption month in April 2020 can be explained by the onset of COVID, during which the campus closed.
One of the goals of collecting itemized data containing meter location information was to gain a better understanding of where consumption is happening on campus. The results of this pursuit are shown in Figure 2, but as mentioned, we discovered during the project that all of the inner-campus buildings are tied to one meter and cannot be separated out without changes to infrastructure. Based off this data set, it is difficult to make specific recommendations for improvement or where to target energy efficiency goals. The main meter containing all of the major buildings is the largest meter on ONU’s account, indicating that we should move forward with projects to reduce electricity consumption in main campus buildings, but this is not new information arising as a result of this research. Thus, the consolidation of so many buildings on one meter has been a limitation of the project, and conclusions cannot be drawn regarding what specific buildings on campus are consuming the most electricity. All that can be said conclusively is that the main meter’s constituents, and potentially the Perry Center and Centennial Chapel, ought to be focused on for reduction as opposed to peripheral buildings, as the main meter and Perry/Chapel meters comprise the vast majority of total consumption. An additional limitation of this portion of the project was the availability of itemized data, with the only continuous option being from March 2023 to January 2024. This is only eleven months of data with no representation from February; lacking a full calendar year is less than ideal. Based on the available data, we can see some of the same seasonal trends from earlier graphs, and we can also see that the proportion of the total made up by the main and Perry/Chapel meters remained relatively consistent. If more itemized data could be obtained, an area of future research might include exploring how consumption across the two specific areas of the main meter and Perry/Chapel have changed over time.
Regarding how much ONU is spending on electricity over time, the total price of electricity from month to month closely follows consumption patterns (Figure 3). The same seasonal trends seen in Figure 1 are found here, and the lowest price point shown in April 2020 corresponds with the lowest consumption month included in our data set. One minor difference between the data sets occurs between the highest price point, September 2021, and the highest consumption month in July 2019. Across both graphs, these two months are very similar, with July 2019 being a close second in price and September 2021 being very high consumption as well. The discrepancy might be attributed to an overall trend of rising electricity prices, with ONU consuming slightly less and paying slightly more in September 2021 as compared with July 2019. This trend cannot be conclusively drawn from this single comparison but can be more clearly seen when considering price per kWh over time in Figure 4. When price is isolated from consumption, the price/kWh over the years 20192024 appears to have risen substantially (Figure 4). With few exceptions, the cost of electricity for every month is rising as compared to the same month in previous years. There are particularly high jumps in October and November 2023, with 2022 and 2023 being overall the most expensive and also the most recent years according to the data (Figure 4). Price has been calculated here to include the price of electricity itself as well as all surcharges that are dependent on consumption, indicating that ONU was paying more for the same amount of electricity in 2023 as compared to 2019, 2020, 2021 or 2022 (Figure 4). Rising prices may provide incentive to work toward reducing electricity consumption on campus.
Gaps, discrepancies, or missing months within the data itself proved a limitation substantially affecting our data. This remains outside of our control, as we have collected and included all viable data available. However, a more complete picture of on-campus consumption, particularly regarding seasonal trends, would require more viable data. This is especially true for some of the later months, as multiple years’ worth of data is missing in July and November. If more data were available from July, for example, we might be able to draw conclusions about whether the all-time high of 1,411,137 kWh in July 2019 is an anomaly or if consumption is always highest in July (Figure 1). As it stands, no such conclusions can be drawn because we only have one other year of data from July, which displays no analogous trend of a large jump in consumption for the month. We do not know why the database is so incomplete. Some of the data deemed not viable was merely illegible due to poor copying or ONU’s financial team having written over the numbers prior to photocopying it, but this was a small proportion. There are many months that are simply missing from the database, and it is unknown if a bill was not sent for that month or if it was sent and not filed in the database. Theoretically, these bills could be recovered through extensive coordination with ComEd. We have tried multiple times to get bills from ComEd, but ComEd has been unresponsive. Another remaining mystery are the months that had multiple bills within the data set but that contained substantial discrepancies. The reason for this is also unknown, and determining what bill is correct for a certain month would require working with ONU to figure out which one was actually paid, which is being continually investigated. Most of this work was beyond the time allotted for this project, and the value of doing the work in the future
to fill in these gaps would need to be determined in light of whether consistent, more recent data is available to utilize for assessment.
Considering our ongoing work with ComEd’s incentive program, much of the significance of this portion of the project is the potential for future incentive recovery With improved communication, incentives might be available within this program for energy efficiency projects ONU is already doing or planning to do. This research was able to connect ONU’s facilities team with representatives from the program, allowing for it to be harnessed for on-campus projects. The role of our research team in this relationship has diminished since introducing ONU’s facilities team to the program’s representatives, but we understand that a limitation to the success of incentive recovery is the current workload of ONU’s facilities team. Acquiring the incentives requires extensive documentation of projects, and the time necessary to accomplish this administrative work is currently running in addition to the facilities team’s normal work. Depending on the determined potential of this program, future improvements might include denoting specific hours in the work week to this paperwork within the existing jobs of our facilities team or hiring an additional staff member to do this work.
Another aspect of this project involved the viability of installing solar batteries, and there remain many questions to be answered if ONU is to move forward with solar battery implementation. Many of the feasibility questions will be answered in the secondary analysis, which ONU has said they will likely conduct within the next year in partnership with CES. This analysis would provide an in-depth design plan for the battery units based on ONU’s current infrastructure, a precise financial analysis including specific cost of materials based on the design for the units, and various diagnostic tests on our electrical grid to ensure it can handle the batteries. The goal of these tests is to predict unanticipated costs associated with the project, therefore allowing CES to construct a concretely accurate financial analysis. It seems clear from the quotes we received as a result of this research that battery installation would be a net economic gain for ONU, but the extent to which the profit margin might fluctuate as a result of unexpected challenges such as changes to our electrical grid, changes in policy, and contractual agreements is a current unknown. Hopefully, a secondary analysis will be able to dispel these concerns, but a degree of uncertainty will remain if ONU decides to proceed with installation.
With regards to the batteries, a major issue of future research is the environmental benefit. They are advertised by CES as environmentally beneficial due to the expansion of renewable energy, and CES has provided quotes on the environmental impact of the batteries in terms of how much CO2 they would prevent from entering the atmosphere due to non-renewable energy sources. However, there is debate among environmentalists and opponents as to whether large battery storage is a net gain for the environment, particularly given the materials that are mined in order to produce the batteries. The batteries are made and serviced by Tesla, and the company claims to recycle the materials at the end of the battery’s lifetime. Our research team has concerns that taking this claim at face value may not be substantial
enough investigation, as it has been presented as a no-loss renewable solution, but few materials can be recycled with one hundred percent efficiency. Thus, further research into the impact of making the batteries and the efficiency of their recycling under Tesla should be conducted prior to ONU committing to this project. The environmental cost of creating, implementing and recycling the batteries needs to be concretely comparable to the environmental benefits, and such a comparison is not available at this stage.
In summary, we have provided a historical picture of Olivet’s electricity consumption and costs that can be used to help determine if future renewable energy projects will be worth pursuing. The solar battery proposal could reap significant financial and environmental benefits, and this potential will become clearer in coming months as Olivet continues to investigate this project. We also hope that Olivet will continue to partner with ComEd’s incentive program in order to help finance needed projects on campus that will also improve energy efficiency.
BIBLIOGRAPHY
Apeh, O. O., Meyer, E. L., & Overen, O. K. (2022). Contributions of solar photovoltaic systems to environmental and socioeconomic aspects of national development—A review. Energies, 15(16), 5963.
Bi, Z., Guo, R., & Khan, R. (2024). Renewable adoption, energy reliance, and CO2 emissions: A comparison of developed and developing economies. Energies, 17(13), 3111.
Bistline, J. E. T., Mehrotra, N. R., & Wolfram, C. (2023). Economic implications of the climate provisions of the inflation reduction act. Brookings Papers on Economic Activity, 2023(1), 77–182.
Boharb, A., Allouhi, A., El-houari, H., Markhi, H. E., Jamil, A., & Kousksou, T. (2022). Energy audit method applied to tertiary buildings: Case study of a university campus. AIMS Energy, 10(3), 506–532.
Fang, Z., Hu, X., & Yu, D. (2020). Integrated photo-responsive batteries for solar energy harnessing: Recent advances, challenges, and opportunities. ChemPlusChem, 85(4), 600–612.
Hayhoe, K. (2021). Saving us: A climate scientist’s case for hope and healing in a divided world. One Signal Publishers
Himes, R., Withers, L., & Black, A. (2020). Financial and environmental cost-benefit analyses support the continuation of government incentives for solar power. Journal of Science Policy & Governance, 17(01).
| ELAIA: The Honors Journal of Olivet Nazarene University
IEA. (2021). Net zero by 2050: A roadmap for the global energy sector.
Jung, J., Ha, G., & Bae, K. (2016). Analysis of the factors affecting carbon emissions and absorption on a university campus – focusing on Pusan National University in Korea. Carbon Management, 7(1–2), 55–65.
Kerem, A. (2022). Assessing the electricity energy efficiency of university campus exterior lighting system and proposing energy-saving strategies for carbon emission reduction. Microsystem Technologies, 28(12), 2623–2640.
Nagpal, S., Hanson, J., & Reinhart, C. (2019). A framework for using calibrated campus-wide building energy models for continuous planning and greenhouse gas emissions reduction tracking. Applied Energy, 241, 82–97.
Okwako, O. E., Lin, Z.-H., Xin, M., Premkumar, K., & Rodgers, A. J. (2022). Neural network controlled solar pv battery powered unified power quality conditioner for grid connected operation. Energies, 15(18), 6825.
Olivet Nazarene University Board and Workforce. (2023, September 22). Annual PAVER status report. Olivet Nazarene University.
Path to 100 coalition secures 50% renewable energy standard for Illinois. (2021, September 13). SEIA: Solar Energy Industries Association.
Press release: Gov. Pritzker signs transformative legislation establishing Illinois as a national leader on climate action. (2021, September 15). Illinois.Gov.
Rabbi, M. F., Popp, J., Máté, D., & Kovács, S. (2022). Energy security and energy transition to achieve carbon neutrality. Energies, 15(21), 8126.
Solar production records. (n.d.). Retrieved September 16, 2024, from https://apps. alsoenergy.com/powertrack/C21031/overview/sites
ELAIA: The Honors Journal of Olivet Nazarene University

Paige Terpstra
ACKNOWLEDGEMENTS
I would like to express the deepest appreciation for all of those who advised and supported me through this project. A special thanks is owed to Dr. Derek Rosenberger, who advised every step of the scientific portion of this project, offered his aid in the field, and poured hours into this research out of the goodness of his heart even after leaving Olivet Nazarene University. I would also like to thank Prof. Jon Seals, whose artistic expertise inspired my own creativity, and whose guidance as I perused my first art show was invaluable to me. Both professors were willing to take a chance on me, giving their all to support me and my goals for this project. They have shown me what it means to be an honorable scientist and artist. I am also so grateful for my peers and friends who helped me in my field work. Makana Punohu, Curran Allison, Henry Lopez, Karly Kiogima, Marcail McBride, Amber Jaskula, Alex Powell, Noah Bailey, Sophia Hahn, Amanda Listermann, and Lucy Martinson gave up their time and energy for this project, and I truly could not have done it without them. Lastly, I would like to thank the ONU honors program, Department of Biological Sciences, and Department of Art for providing me the funds and equipment necessary to carry out this work. None of this would have been possible without this funding, and it is only because of their generosity that I was able to complete this project to the standard that I did.
Avian Acorn Herbivory in Midwestern Oak Savannas
ABSTRACT
Oak trees are an important piece of many midwestern savanna habitats, providing food to fauna in the form of acorn mast. Knowing what oak species are most preferable to wildlife enables a deeper understanding of what species are valuable to foraging wildlife in such ecosystems. Oak savanna birds are one of such wildlife that rely on acorns as a food source, yet little is known about their year-round acorn species preferences in this habitat. This study aimed to determine the acorn species preferences of birds of the midwestern black oak savannas of Pembroke, Illinois. To do this, acorns from the three oak species present in the savanna, black (Quercus velutina), white (Quercus alba), and pin (Quercus palustris) oak, were collected. Wooden trays held the acorn species, and two motion-triggered field cameras were suspended above each tray and captured videos of bird visitors and their acorn selections. Trials took place in the late fall of 2023, and the winter, spring, and fall of 2024. Our results showed that blue jays (Cyanocitta cristata) were the most common visitor and had a strong preference for pin oak acorns, with a much weaker preference for white and black oak. In spring and fall 2024, tufted titmice (Baeolophus bicolor) visited and only selected pin oak acorns. Red-headed woodpeckers (Melanerpes erythrocephalus), who are acorneating savanna specialists, never visited the platforms, despite being prevalent in the Pembroke savannas. The findings of this study suggest that different oak species may be differentially important foraging resources for birds in savanna ecosystems. They suggest that pin oaks are especially important components in black oak savannas as birds select their acorns over other species. Ensuring the prevalence of pin oak trees in midwestern savannas in the future may aid in conserving acorn-eating savanna birds.
Research providing an understanding of the wildlife in endangered midwestern savannas is extremely important, but so is public awareness. Art is a powerful medium which has been successfully used to expose the public to environmental issues and inspire care and a push for positive environmental changes in local communities. However, despite ecological issues being the subject of many creative pieces, midwestern oak savannas are sparsely advocated for in this way. In addition to the research portion of this project, an art exhibition inspired by work and research in Pembroke savannas was designed and presented to the public. The exhibition, entitled “Savanna Stories: Memories from the Midwest’s Most Endangered Ecosystem”, was displayed from October 14th to November 1st, 2024, in the Sims Gallery at Olivet Nazarene University, with an artist talk being hosted on October 23rd. It contained multimedia pieces, including scientific equipment from avian acorn herbivory research, a mobile constructed of natural materials collected from the savanna, audio and video collections recorded in the savanna, and three painted banners depicting the fall, winter, and spring seasons in this habitat. These elements were designed to envelop visitors into the unique atmosphere of midwestern oak savannas and expose them to its beauty. The artist talk drew in a diverse crowd from the local community, and here they were told the story of the savanna, the scientists who study it, the birds who rely on it, and the threats facing them. They were encouraged to ask questions and engage with the gallery space and topic. Exposing this community to the beauty of and dangers facing threatened local habitats raises
| ELAIA: The Honors Journal of Olivet Nazarene University
awareness within diverse communities and inspires positive change and public attitudes. Because change begins in the hearts of a community, it is the hope that this inspiration will support the push to conserve remaining midwestern savanna lands.
Keywords: oak savanna, acorn, blue jay, tufted titmouse, red-headed woodpecker
INTRODUCTION
Midwestern savanna habitats are a unique environment characterized by prairie speckled with open-grown trees (Bray 1955). However, in the midwestern United States, approximately 99.98% of oak savannas have been lost due to the reduction of wildfires and conversion of land for human uses (Hoekstra et al. 2005, Nuzzo 1986). Lack of conservation of savanna land poses a problem for many bird species that utilize savannas (Brawn 2006). Midwestern savannas host the greatest avian species diversity and the highest number of threatened species when compared to open and forested habitats (Grundel & Pavlovic 2007). However, in comparison to forested and open land, savannas have a lower concentration of birds, suggesting that birds use savannas as ecotones between open and forested habitats (Grundel & Pavlovic 2007). Ecotones are regions of steep transition between two ecological communities, which often contain heightened biodiversity due to the mixing of the more homogenous bordering ecosystems (Kark 2013).
Due to this mixing of characteristics, ecotones contain properties that do not exist in either adjacent ecosystem, and may support unique ecotonal species (Odum 1953).
As an ecotone, the savanna is valuable to a vast number of birds, especially savanna specialists, who rely on the distinctive characteristics that this ecotone provides. One savanna specialist is the red-headed woodpecker, a near-threatened species that is attracted to savannas for their openness and the abundance of snags, standing dead trees, for nesting and caching (Brawn 2006, Frei et al. 2020). Red-headed woodpecker populations have been declining, which appears to be a result of warmer temperatures and forests succession within their range (Koenig et al. 2017). Clearly, the erasure of savanna lands by forest succession or other means greatly affects the populations of savanna specialists as well as the distinctive ecotonal resources that savannas offer the multitudes of wildlife that frequent them.
Midwestern savannas are extraordinarily sparse when compared to their historic range. Threatened by forest succession and urbanization, only about 0.02% remain, yet they are important ecotones which host a high diversity of bird species. As conservation efforts persist, it is important to understand what components of these ecosystems are most valuable to savanna birds. An asset that midwestern black oak savannas offer to birds is their rich supply of acorns. Several studies have observed acorn species selection among these birds, though none have observed acorn preferences in savanna ecosystems specifically (Moore & Swihart 2006, Richardson et al. 2013, Scarlett & Smith 1991, Wright et al., 2022). Knowing what acorn species savanna birds rely on most could provide insight into savanna management decisions in the future and ensure that the resources these birds use most will be conserved.
Birds have been shown to select acorns of different species differentially. In past research done in urban, agricultural, captive, or forested environments, blue jays exhibited preferences for small acorns, especially pin oak acorns when available (Richardson et al. 2013, Moore & Swihart 2006, Scarlett & Smith 1991). Black oak also was selected, though second to pin, over white oak acorns or chestnuts (Castanea dentata) (Richardson et al. 2023, Wright et al. 2022). Tufted titmice expressed variable interests but in one study selected pin and white oak acorns over black oak acorns (Richardson et al. 2013, Wright et al. 2022). Red-headed woodpeckers have previously shown a preference for black oak acorns over white oak acorns, when no pin oak acorns were offered (Wright et al. 2022).
Knowledge of how acorn herbivory among these species’ changes across the duration of several seasons is sparse. However, in two studies done across two seasons, preference for certain acorn species or characteristics (i.e. smaller acorns) remained the same, though preferences would sometimes strengthen in the second season (Scarlett & Smith 1991, Wright et al. 2022). Though past acorn herbivory studies including bird species found in midwestern savannas have been done in the fall, winter, and/or spring, none have been done across all three seasons in one environment (Moore & Swihart 2006, Richardson et al. 2013, Scarlett & Smith 1991, Wright et al. 2022). One of the aims of this study is to better understand acorn species preferences among savanna birds in the fall, winter, and spring to determine if and how acorn preferences change in this ecotone throughout the year.
Although studies in the past have shown that smaller acorns, like pin, tend to be preferred by birds in urban and forested environments, no such studies have been conducted in savanna ecosystems, which have unique characteristics that may alter acorn selection. For example, the sandy soil in Pembroke savannas may differentially affect nutrient composition across the different acorn species. The abundance of open and wooded areas and diverse plant composition within these unique ecotones may affect foraging behaviors among birds in different ways than those in forests. The goal of this study was to observe acorn species preferences among savanna birds in the fall, winter, and spring. To do so, acorn trays with pin, white, and black oak acorns were set up at six savanna locations in Pembroke, Illinois. Pembroke savannas were chosen as they are high quality examples of historic midwestern savannas and are considered the best example of dry sand savanna in Illinois (Pembroke Savanna [date unknown]). Pin, white, and black oak acorns were the species of interest for this study, as these were the three species of oaks present in these savanna study locations. Presenting these acorn species would replicate the acorn species choices these savanna birds would encounter in the wild. Camera traps were used to observe behavior and acorn selection of visiting birds. Observing what acorn species these birds chose at different parts of the year displayed what foraging resources available in savanna landscapes were most preferred and should be especially protected.
METHODS
Acorn foraging preferences were studied at six sites in Pembroke, IL, in the fall of 2023, and winter, spring, and fall of 2024 (Figure 1, Table 1). In fall 2023, and winter and spring 2024, sites were located in three savannas: Pembroke Savanna, Mskoda Land and Water Reserve, and Sweet Fern Savanna. Two sites were located at each savanna, and sites were at least 200 meters apart from one another to reduce the chances that an individual bird would visit more than one platform (Figure 1 A, Table 1). Due to no bird activity occurring at the two Mskoda sites in the first three trials, Mskoda sites were taken down and moved, one to Sweet Fern Savanna and one to Pembroke Savanna, in the fall 2024 trial (Figure 1 B, Table 1). All sites were located in midwestern oak savanna habitats, consisting of open land interspersed with mainly black oaks. Pin and white oaks were also present at these sites.

Avian Acorn Herbivory in Midwestern Oak Savannas

Acorn collection
Pin, white, and black oak acorns were used in fall 2023, and winter and spring 2024 trials, as these were the species present in Pembroke savannas. Only pin and black were used in fall 2024 trials as white oak trees were not in a mast year and fresh white oak acorns were extremely sparse. Acorn collection took place at Sweet Fern Savanna between September 23rd and October 17th, 2023, for fall 2023, and winter and spring 2024 trials. Acorn collection for fall 2024 took place at Sweet Fern Savanna between August 26th and October 31st, 2024. To ensure that acorns were of quality, each acorn was inspected visually for unusual damage such as chips or cracks, heavy discoloration, and rattling, and then were subjected to a float test (Morina et al. 2017). Only intact acorns that sank in the float test were used experimentally. Passing acorns were then heat-treated in forty-nine degrees Celsius water for twenty minutes to kill any weevil larvae that may be inside (Dixon et al. 1997). Selected acorns were placed into plastic bins and put into a freezer at negative nine degrees Celsius for preservation. When the acorns were needed, they were retrieved and put into acorn trays.
Platform design
One acorn platform was constructed at each of the six sites. Platforms consisted of a 0.6m by 0.6m tray propped up on a 1.5m high PVC pole (Figure 2, Richardson et al. 2013, Wright et al. 2022). During the first three trials, PVC poles were attached to a fence post that anchored it into the earth. In the fall 2024 trial, these fence posts were replaced by steel T-posts, a sturdier alternative. During all trials, a piece of aluminum flashing was wrapped around the PVC in order to prevent squirrels and other animals from climbing onto the acorn trays (Richardson et al. 2013). Trays were designed with nine quadrants, each with a five-by-five grid of holes. The holes were 2.54 cm in diameter and about two cm deep, small enough to keep the acorns secured inside but large enough so that birds could have easy access to them (Richardson et al. 2013, Wright et al. 2022). The nine quadrants were painted in alternating colors (white, gray, and wood) for easy identification on field camera footage and were then numbered one through fifteen on one side and A through O on the adjacent side (Figure 2, Richardson et al. 2013, Wright et al. 2022). Hence, each cell was given a unique address, with one letter and one number assigned to it. Acorn species were arranged in the tray so that each species had three quadrants, each containing twentyfive acorns for a total of seventy-five per tray, with no two neighboring quadrants
containing the same acorn species (Figure 2). Arrangements on the board varied from site to site to ensure that acorn orientation on the tray did not affect bird preference. Platforms were monitored by two downward-facing Browning field cameras (Models BTC-SHDPX & BTC-5HDX) propped above the acorn trays by two 1.5m conduit poles, which were bracketed onto the sides of the tray (Figure 2). During the fall 2023 trial, one of the cameras was set to take ten-second videos when motion was detected, and the other was set to take photographs when motion was detected as well as timelapse photos every ten seconds. In the following trials, both cameras were set to take ten-second videos when motion was detected, as that proved more useful for analysis. Two cameras were used so that in the case that one camera did not pick something up or ran out of battery or storage, the other one could potentially catch whatever bird activity it missed.

Fieldwork
The fall 2023 trial was conducted for 26 days in November (Nov 2-28, 2023). For several days prior to beginning this trial, trays were filled with peanuts and left out so that birds could get accustomed to their presence and associate the tray with the existence of food. The winter 2024 trial took place over forty days in January and February (Jan 20-Feb 28, 2024). The spring 2024 trial was conducted for 24 days in March and April (Mar 20-Apr 13, 2024). In the fall 2024 trial, platforms collected data for 31 days in November and December (Nov 2-Dec 3, 2024). Each site was checked on multiple times a week throughout the duration of each trial. Field cameras were monitored, and their SD cards and batteries were changed on an as needed basis. Acorns were not replaced unless the tray had fallen over, in which case acorns were restored to the orientation shown on the last trail camera video taken of the platform while it was still standing.
Avian Acorn Herbivory in Midwestern Oak Savannas
A point count was conducted towards the beginning and the end of each trial to gain an understanding of what and how many birds were present in each location during each season. This was done by standing within a few feet of the platform and allowing for a one-minute settling time before counting any bird seen or heard from that point for five minutes. Its species, activity, and approximate distance from the platform were noted. Merlin Bird ID, an app that can identify birds by sound, was used to aid in identification (Webber 2014).
An acorn survey was also conducted towards the middle of each trial by finding the three nearest mature oak trees to each platform. Three random points on the ground around each tree canopy were selected. A one-by-one meter section was blocked off around these random points, and the acorns in that section were counted and recorded. In addition to noting down the quantity of acorns in a plot, each plot was given a quality rating on a scale of one (Zero-20% quality acorns) to five (80-100% quality acorns) based on the percentage of high-quality acorns present in the plots.
A high-quality acorn has no cracks or chips, no rattling, and has bright, healthy coloration. Acorn surveys provided supplemental information about how many acorns would have been available to birds from the ground during each trial, as well as the estimated quality of the acorns available. Knowing the context of the acorns available in the environment may inform why birds are behaving in certain ways or selecting certain acorns in the different trials.
Lastly, measurements were taken of each species of acorn in order to gauge their comparative sizes, as acorn sizes may be a selecting factor for birds. In fall 2023, pin, white, and black oak acorns were collected and used for the fall 2023, and winter and spring 2024 trials.100 of each species of acorn was taken from this collection and massed and measured for length and width (Table 2). This process was repeated for the acorns collected in fall 2024 for the fall 2024 trial. White oak acorns were not collected in fall 2024 due to the lack of white oak mast on the ground.
Data analysis
Following each trial, photos and videos were reviewed, and every occurrence of a bird was noted for its species, time and date of visit, site of visit, activity, acorn choice, and whether the acorn was taken or just moved around. An acorn was considered taken if a bird carried it in their beak out of frame. An acorn was considered tampered with but not taken if it was lifted out of its cell but dropped into another or rolled off the platform. To ensure standardization, one individual was the sole interpreter of all photos and videos collected. Frequency of acorns taken were measured as percentages of the total number of each species taken by birds on camera over the total number of each species taken plus the number of each species of acorn left on the board by the end of the trial.
RESULTS
Although six acorn trays were put up at six different sites, not all trays had birds come to them and make acorn selections. The figures shown for each trial represent only the sites that had birds making acorn selections (Figure 3).

Avian Acorn Herbivory in Midwestern Oak Savannas
Fall 2023
Out of all six sites, only two experienced activity in the fall 2023 trial. These were site two at Sweet Fern Savanna and site four at Pembroke Savanna. The most frequent visitors at both sites were blue jays, with eighty-seven visits in total. Across sites, there was one incidence of a black-capped chickadee (Poecile atricapillus), and two visits by eastern bluebirds (Sialia sialis). These birds appeared to mainly be using the platforms as a perch.
At both sites, pin oak acorns were selected for only on the first day of activity until all or the majority of pin oak acorns were taken (Figure 3). White oak acorns were also selected to a much smaller degree at both sites (Figure 3). At site two, no black oak acorns were taken, and at site four, 32.14% were selected gradually (Figure 3). All acorn selections were made by blue jays.
Winter 2024
In the winter 2024 trial, sites three and four experienced high levels of blue jay activity, with 159 visits in total. Between the two sites, birds chose ninety-two pin oak acorns, twenty-five white oak acorns, and twenty-two black oak acorns. Interestingly, twenty of twenty-two black oak acorns were selected at site three, and all twentyfive white oak acorns were selected at site four (Figure 3). Across sites there was one black capped chickadee visit, four eastern bluebird visits, and one American robin visit, however, none of these birds tampered with or took any acorns and seemed to be using the tray as a perch.
Most bird activity at sites three and four occurred during the first few days in which the platforms were up (Figure 3). At both sites, pin were selected until none were left on trays, with 100% being taken on the first day of activity at site three, and pin being taken over the course of a week at site four (Figure 3). At site three, black was selected gradually until 36.36% were selected (Figure 3). At site four, 5.56% of black oak acorns were selected. White oak acorns were not selected at all at site three, and 46.29% of white were selected at site four (Figure 3).
During this trial, two of six platforms fell over for a period of four days due to harsh weather. Platforms were up righted, and acorns were placed back into trays as they were best captured in trail camera videos taken of the platforms before they fell.
Spring 2024
Sites three and four received the most bird activity throughout the duration of this trial. In total, there were seventy-four blue jay visits at these sites, in which sixtynine pin oak acorns, eight white oak acorns, and two black oak acorns were selected. There were twelve tufted titmouse visits, in which five pin oak acorns were selected, and an American robin visited but did not take any acorns.
Pin oaks were strongly preferred, with 100% being taken on the first day of activity (Figure 3). Black and white oak acorns were hardly selected, and no black were selected at site three at all (Figure 3). Of the acorns selected at site three, 88% were
taken by blue jays, with the remaining 12% being selected by tufted titmice. All acorns at site four were taken by blue jays.
During the spring of 2024, intense storms caused four of six platforms to fall over on multiple occasions. Each time a platform fell, acorns were reset to the best approximation of the acorn arrangement on the tray before the fall, according to trail camera footage. The frequency in which each species was selected for could have been affected by the amount of time platforms spent on the ground.
Fall 2024
In fall 2024, sites two, three, and four had birds coming to acorn trays and making selections. Due to the lack of white oak mast on the ground during 2024 acorn selection, only black and pin oak acorns were included in this trial. In total, there were fifty-four blue jay visits, thirteen tufted titmouse visits, and one eastern bluebird visit to the platforms. Across all sites, blue jays selected eighty-four pin oak acorns and tufted titmice selected nine pin oak acorns. The eastern bluebird made no selection. No black oak acorns were tampered with or taken on camera across all sites.
At all sites with activity, pin oak was the strong preference among all species, with black oak never being selected. (Figure 3). Blue jays made 100% of selections at site two. At site three, 92% of acorns were selected by blue jays, with 8% being taken by tufted titmice. At site four, 100% of pin oak acorns were taken, with 61% being selected by blue jays and 39% being taken by tufted titmice.
Comparative Acorn Species Measurements
The white oak acorns collected for the fall 2023, and winter and spring 2024 trials were on average about 3.55 times heavier than pin oak and approximately 1.88 times longer and 1.34 times wider than pin oak (Table 2). Black oak acorns were on average 3.12 times heavier, 1.48 times longer, and 1.38 times wider than pin oak acorns (Table 2). Only black and pin oak acorns were collected in fall 2024 due to the lack of white oak acorn mast. Among these acorns, black were on average 3.31 times heavier, 1.52 times longer, and 1.42 times wider than pin oak acorns (Table 2).
Table 2. Relative sizes of acorn species
Average mass, length, and width of black, white, and pin oak acorns collected in fall 2023 and fall 2024. Acorns collected in fall 2023 were used in the fall 2023 trial and the winter and spring 2024 trials. Acorns collected in fall 2024 were used in the fall 2024 trial. Lack of white oak acorns on the ground in fall of 2024 prevented white oak acorns from being collected, surveyed, and used.

Point counts
In order to understand the species diversity and abundance of each site during each season, a point count was conducted towards the beginning and end of each trial. Point counts revealed that red-headed woodpeckers were the most abundant species in three of four trials, with blue jays being the most abundant in the fall 2024 trial (Table 3). Other species were also observed to lesser degrees, some being only seen in one or two seasons (Table 3).

DISCUSSION
Many birds in midwestern oak savannas rely on acorns as a food source, although little is known about their acorn species preferences in this habitat. The aim of this study was to better understand acorn herbivory preferences among birds living in a midwestern savanna across fall, winter, and spring seasons.
Pin oak acorns were selected to a higher degree than were black or white oak acorns across all sites, seasons, and species (Figure 3). Past research on acorn preference has shown that blue jays in captive and other non-savanna settings have preferred pin oak acorns over alternative choices (Moore & Swihart 2006, Richardson et al. 2013, Scarlett & Smith 1991). Studies have suggested that this preference was due to pin oak acorns being smaller and easier for the birds to crack, requiring less energy from the bird (Moore & Swihart 2006, Richardson et al. 2013, Scarlett & Smith 1991). It is likely that this reasoning could be applied here, as the pin oak acorns used in this study were smaller than the black and white acorns used (Table 2).
On the trail cameras, blue jays were often observed taking multiple pin oak acorns at once, selecting up to four pin oak acorns in one visit. Blue jays appeared to store the acorns in their crops, or even hold multiple acorns in their beaks at once. When interacting with black or white oak acorns, however, they never took multiple in one trip, except in one instance in the fall 2023 trial where a bird took two white oak acorns. It is possible that due to the increased size of white and black oak acorns, birds are unable to take more than one of them in one trip, or that carrying multiple would be too energetically expensive due to their greater size and mass (Table 2). Tufted titmice were only seen taking one pin oak acorn at a time; however, these birds are smaller than blue jays with comparatively smaller beaks. It is very possible that the size of their beaks could have been a limiting factor in acorn selection, causing tufted titmice to only choose pin oak acorns and never select multiple in a single trip. It seems likely that pin oak acorns may be a more popular choice among both species seen taking acorns, as they are smaller, and therefore require less energy to crack and eat (Table 2, Moore & Swihart 2006, Richardson et. al 2013, Ritchison et al. 2020, Scarlett & Smith 1991). Additionally, as they are less massive, some birds can take multiple acorns with them in only one visit, potentially reducing the energy that might otherwise be spent making multiple trips to trays and only gaining one acorn each time (Table 2).
Another interesting observation was the tendency for blue jays to tamper with, but not take, acorns. In this study, a tampered-with acorn that is not taken from the board to eat was often rolled around the tray by birds, dropped off the tray, or dropped into another cell. Of the pin oak acorns picked up by a bird on camera (across sites and seasons), an average of 82.34% of acorns were taken, however only 42.31% of black oak and 44.18% of white oak acorns were taken after being picked up by a bird. The reasoning for this behavior is unknown, however some birds appear to have the capacity to understand and manipulate their environments in order to derive a desired outcome. Juvenile blue jays have been observed to play, maneuver twigs, and even manipulate materials like paper in order to use it to retrieve food (Jones & Kamil 1973). Acorn trays were a new object for blue jays to investigate, so tampering with acorns by picking them up out of cells and rolling or tossing them could have been an attempt to understand the workings of or “play” with the tray. Birds also seemed to struggle picking up white and black oak acorns at times due to their size. Acorns appeared to slip down their beaks, causing blue jays to need to adjust their grip on them, or drop them completely. This could have contributed to the lower percentages of white and black oak acorns being taken by birds when compared with pin, as pin was smaller and potentially easier to pick up and keep in the beak. The tendency of birds to drop or roll white and black oak acorns more implies that gathering these larger acorns may pose more risk, as they may lose the acorn and have to retrieve it or select a new one.
Across all three trials, five of the nine sites with activity saw a spike in pin oak selection over a single day, followed by a plateau in activity, indicating that all or most pin oak acorns had been removed from the tray. Selected acorns would not be refilled throughout the trials, meaning that pin oak acorns were not replenished
even when 100% of them had been taken. Activity for black and white oak acorns often stopped the day of or in the days immediately following the absence of pin oak acorns and remained that way until the end of the trial. Since pin oak acorns are selected on the first day of activity, and pin oak appears to be the preferred acorn species in all cases, visiting birds may have noticed the absence of pin oak acorns in subsequent days and, after perhaps making a selection from the black or white oak acorns left, stopped visiting.
One exception to this trend was activity at site four (in Pembroke Savanna) during the winter 2024 trial. Pin oak acorns were still selected most rapidly and at higher percentages than were black or white but were selected over the course of several days rather than only on the first day of activity. Black oak acorns were barely touched at this location, but white oak acorns were selected at a variable rate until three weeks after, when about 46.29% of white oak acorns had been chosen (Figure 3). This prolonged activity could be an outlier, though the strong preference for white oak acorns at this site during the winter poses a stark contrast to what can be observed in all other trials, making it an interesting detail to note.
Another example of prolonged selection of pin oak acorns is at sites two, three, and four during the fall 2024 trial. At all three sites, selection of pin oak acorns occurred over the course of days to weeks (Figure 3). This is in contrast to activity in fall 2023, in which pin oak acorns were selected entirely on the first day of activity (Figure 3). Birds do alter their foraging activity when predator abundance is high and have been shown to prefer to forage in places with more coverage (Tvardíkováin & Fuchs 2010, Westrich & Garrity 2016). It is possible that predator populations were higher in fall 2024 than in past seasons, which could have caused blue jays to forage from platforms more cautiously, hence the prolonged duration of activity. Due to the low foliage of late fall and the relatively open canopy of the savanna land, birds may forge at a slower rate as they would be high-profile to any nearby predators (Westrich & Garrity 2016). However, without data about predator populations in the savanna, this can only be speculated.
In all trials, site four experienced abundant bird activity. Though pin was the leading choice in every instance, black and white oak acorns were chosen to varying degrees between the seasons. By the conclusion of the fall 2023 trial, 32.14% of black oak acorns had been taken and 17.39% of white oak acorns had been taken (Figure 3). At the end of the winter 2024 trial, 5.56% of black oak acorns had been taken and 42.29% of white oak acorns had been taken (Figure 3). 6.90% of black oak acorns and 13.97% of white oak acorns were chosen by birds by the end of the spring 2024 trial, and 0% of black oak acorns were taken in fall 2024 (Figure 3). Pembroke savannas have high concentrations of black oak trees, and 2023 was a mast year for these trees, so a high number of acorns were on the ground in fall 2023 (Appendix I, A1). Additionally, fall is when many birds collect acorns to eat and cache for later, with acorn mast making up about two thirds of diet in blue jays from October to March (Beal 1926). It is possible that since birds were already eating and storing
ELAIA: The Honors Journal of Olivet Nazarene University
acorns for the wintertime while mast was high, they took advantage of selecting and potentially storing black and white oak acorns, which were easily available on the platforms in fall 2023.
Though there was an abundance of acorns on the ground in fall 2023 at site four in comparison to winter and spring, only about 34% of these acorns were high quality according to acorn surveys, whereas acorns on the tray were all high quality (Appendix I, A2). In the wintertime, birds would likely be more reliant on caches than scavenging for acorns in trees or on the ground. Acorn abundance on the ground at site four in the wintertime had gone down by about half, and quality remained approximately the same (Appendix I, A1 & A2). The lack of foraging for black oak acorns in the wintertime due to less availability of acorns on the ground and the tendency of birds to rely on caches could have impacted the lower degree to which black oak acorns were selected for. However, this does not explain why white oak acorns were so popular at this site in the winter but in no other season. Additionally, at site three (in Pembroke Savanna) in winter 2024, there was no selection of white oak acorns by birds, and black oak selection was high, being at 36.36% (figure 3). The discrepancies between black and white oak selection at sites three and four could have been a result of individual birds occupying the separate territories around the two sites having different personal acorn preferences. However, this cannot be determined with certainty.
At site four in spring 2024, the preference for black and white oak acorns seem to dwindle, with only 6.9% of black oak being taken, and 13.97% of white oak acorns being taken, when compared with 100% of pin. Though blue jays have reportedly fed on insect eggs and hibernating larvae in the winter, insect herbivory increases as the weather warms and insects become more abundant (Beal 1926). Additionally, predation on small birds and egg clutches is present as local birds are breeding, and increases during the blue jay’s own breeding season, which starts as early as late march and continues to August (Beal 1926, Smith et al. 2020). It is possible that as the weather warmed and insects and other food sources like wild bird eggs had likely become more abundant, birds still selected their preferred acorn species, pin, but tended to be less reliant on their secondary choices, white and black, due to being able to fulfill more of their dietary needs from other sources. It is interesting to note that in fall 2023 and spring 2023, sites two (In Sweet Fern Savanna) and three (the other sites with activity) saw little to no selection of black or white oak acorns at all, but high proportions of pin oak being taken (Figure 3).
Site four in fall 2024 experienced only the selection of pin oak acorns. White oak acorns were not available on trays during this trial due to the lack of white oak mast that fall, and black oak acorns were available, but never selected by a bird. This is notably different from site four in fall 2023, which did have some selection of both black and white oak acorns (Figure 3). Acorn surveys at site four revealed that in fall of 2024, fewer acorns were available on the ground with lower quality than those of fall 2023 (Appendix I, A1 & A2). It is possible that due to the poorer quality and lower amount of black oak acorns on the surrounding ground, blue jays frequenting the tray were relying
less on black oak acorns due to their slight lower quality that season, and only opted to select pin. However, this is only speculation, as acorns were not dramatically less abundant (thirty-two counted in 2024 in comparison to fifty-eight in 2023), and not of much lower quality (1/5 in 2024 compared to 1.88/5 in 2023).
During seasonal point counts, red-headed woodpeckers were seen at sites two through six in fall 2023, sites three through six in winter 2024, sites two through six in spring 2024, and sites two through five in fall 2024 (Table 3). The total amount of red-headed woodpeckers seen during each season was also greater than that of any other savanna bird species except in fall 2024, when they were slightly less abundant than blue jays. Despite this, however, red-headed woodpeckers were not seen on the trail cameras, neither selecting acorns nor even visiting acorn trays. Since the acorns did not appear to have been approached and inspected by the woodpeckers, it is very unlikely that acorn quality was a dissuading factor for the birds. It is also unlikely that intraspecific competition kept the woodpeckers away. Red-headed woodpeckers do hold small territories and guard caches in the wintertime. However, despite being territorial over their caches, red-headed woodpeckers have been observed visiting the same acorn collection sites as other birds, and do not seem to be territorial towards other individuals over neutral acorn collection sites (Moskovits 1978, Skutch 1985). Another possibility is that since acorn trays are foreign environments, they are ignored or avoided by red-headed woodpeckers. Different bird species experience different degrees of neophobia, the tendency to avoid novel items. In a study done on various corvid species and their neophobia to novel food and objects, it was found that characters such as habitat type (Urban or not), flock size and sociality, food caching specialization, and live hunting were correlated to the degree of neophobia in each species (Miller et al. 2022). Blue jays are urban, participate in specialized food caching, are social in pairs, have small flocks, and are not live hunters, all of which, except social behaviors and small flocks, correlate to lower neophobia (Miller et al. 2022). This is consistent with the curiosity exhibited by blue jays visiting the trays in this study. Red-headed woodpeckers exhibit solitary behavior, associating in loose flocks during fall migrations and pairs during the breeding season. They are not usually urban, being savanna specialists, and participate in specialized food caching (Frei 2020). All of these traits correlated to higher levels of neophobia in species of corvids, and if the same trends extend to other birds, may support the idea that red-headed woodpeckers may have avoided trays due to high levels of neophobia. However, one study observing acorn herbivory in forested environments had ninety-one red-headed woodpeckers come to visit, and this study used an extremely similar platform design to this one (Wright et al. 2022). This may suggest that some circumstance other than neophobia may be preventing birds from visiting sites. This study was conducted in a forested environment, which would have more coverage than a savanna would, which is characteristically more open. It is possible that red-headed woodpeckers may have avoided foraging on platforms due to increased predation risk in a more open environment (Tvardíkováin & Fuchs 2010, Westrich & Garrity 2016). It cannot be said definitively why red-headed woodpeckers were not visiting the platforms, and more research should be done on savanna acorn herbivory in the future to potentially explain this phenomenon.
ELAIA: The Honors Journal of Olivet Nazarene University
CONCLUSION
Midwestern oak savanna lands are important habitats for birds. Many birds occupying midwestern savannas rely on acorns as an important food source. The aim of this study was to better understand acorn species preferences among savanna birds across the fall, winter, and spring seasons. About 94% of visits to acorn trays were made by blue jays, with six percent being made by tufted titmice. Blue jays expressed a strong preference for pin oak acorns across all sites and seasons, with black and white oak acorns being selected at various lesser degrees. Tufted titmice only ever selected pin oak acorns and were only seen in spring and fall 2024. It seems likely that birds preferred pin oak acorns over other species as they are smaller, and hence less energetically expensive to forage. Future research should focus on if the presence of pin oak trees in a savanna correlate to the higher abundance of blue jays or other species, and direct observations should be done to see if birds forage at trees with smaller acorn species over larger ones. Additionally, work should be done to better understand the foraging behaviors of red-headed woodpeckers. As midwestern savanna lands have been shrinking in past centuries, the push for conservation is needed more than ever. Understanding acorn species preferences among savanna birds could provide direction for conservation efforts, enabling informed decisions on preserving the presence of oak trees that provide important foraging resources for savanna birds.
SAVANNA STORIES: MEMORIES FROM THE MIDWEST’S MOST ENDANGERED ECOSYSTEMS
A scientific paper ripe with jargon about the importance of midwestern oak savannas and their acorns to birds is not the sort of reading material you would expect to find in the hands of the general public. Most of those in the non-scientific community would find something of the sort intimidating at best, and perhaps boring at worst. Yet one would agree that the story told here is not any less important than it would be in a song or an art piece, it is just harder to approach, convoluted by scientific language and buried in paragraphs about methodology and background information. So, to bring the narrative of threatened midwestern oak savannas and their birds to light, I decided to create an art exhibition to bring the public into these issues in a way that is simple to understand, as well as pleasant.
Art is a language of emotion that can be understood by both scientists and the public alike. A powerful artistic experience also tends to stick with a viewer, and change their outlook or actions, which is why I found it to be the perfect medium to introduce this scientific topic with. Past exhibitions that have married both scientific and environmental topics with art have shown to have positive effects on public attitude towards conservation efforts. In one study, a survey was done at an Australian art festival called Floating Land, where a series of installations integrating art and the local landscape were opened to the public. This study showed that over half of the viewers of the art felt a deeper connection to the land, and nearly half wanted to change their environmental behaviors (Marks et al. 2016). “Insects in art during
an age of environmental turmoil” detailed how art involving insects were able to touch on a broad range of environmental issues (Klein & Brosius 2022). Artists Kate MccGwire and Yusuke Asai have been able to use natural materials like feathers and mud to discuss vastly diverse issues and themes (Kate MccGwire 2023, Yusuke Asai 2014). Art like this can change whole communities, and environmental topics and materials enable essentially limitless ways for compelling expression.
Despite the wide ranges in which artists have been able to use the environment and create surrounding ecological topics, art regarding topics of midwestern savannas and the birds who need them was virtually nonexistent prior to this study. Topics involving this habitat type are especially neglected in the current climate of environmental discussion, and by creating an immersive gallery display, there was great hope that the story of the savannas could be brought to the attention of the local community.
In order to create a moving gallery experience, a series of multimedia pieces were developed. The intention was that by appealing to as many senses as possible, visitors would be able to immerse themselves in the art and become more invested in the message. The first piece was a large mobile constructed out of twigs collected from the savanna, dried savanna plants, and twine. Twigs were collected during the late fall from Sweet Fern Savanna in Pembroke, Illinois. Some twigs were intentionally chosen for the black, charry scars they bore, which referenced the controlled burns that took place in the savanna that prior spring. These burns became a conversation starter, which opened discussion about the nature conservancy’s efforts to care for the savanna in Pembroke, as well as the benefits of wildfires in savanna environments. Plants were collected from Pembroke Savanna in the fall, winter, and spring, and then hung upside down to dry. Summer was excluded since summer was the one season in which no acorn trials were done. Fall flowers included staghorn sumac (Rhus typhina), rough blazing star (Liatris aspera), common boneset (Eupatorium perfoliatum), partridge pea (Chamaecrista fasciculata), spurges (Euphorbia), and goldenrod (Solidago). Winter plants included dried grasses and bush clover (Lespedeza). Spring flowers included cleft phlox (Phlox bifida), birds-foot violet (Viola pedata), rock cress (Arabis), small-leaf pussytoes (Antennaria parvifolis), butterweed (Packera glabella), and narrow-leafed blue-eyed grass (Sisyrinchium angustifolium). When setting up the room, sticks were suspended on hooks in the ceiling with a single piece of twine from their center of gravity. Flowers were then separated into bundles of varying numbers of stems and hung onto the twigs with twine. They were hung at an assortment of lengths to give the mobile an organic feel and allow it to take up a floor-to-ceiling area in the middle of the room (Figure 4). The result was a mobile of flowers that visitors had to pass to see the rest of the exhibit. As the structure was hung in the very center of the gallery, it acted as an intervention of the space, which forced visitors to acknowledge and respond to the material, either by taking closer look or having to physically move around it. In response, the mobile, which was not secured in place, but instead hung by only one string per twig, could move as the person moved around it. Hence, this element served to represent how this exhibit, as both an art piece and environmental statement, forced people to acknowledge the themes of an endangered savanna and interact with it somehow.
| ELAIA: The Honors Journal of Olivet Nazarene University
Just as the mobile could move in response to the people of the room, the environment itself moves in response to the choices people make in regard to it.
The second element was a video loop playing on a television located on one of the walls (Figure 4). This video loop was composed of videos captured on the field cameras, which were suspended above each acorn tray. Videos contain examples of the wildlife one may see in the savanna, as well as their behavior and interactions. Examples of animals that could be observed in the video included blue jays collecting acorns, rolling acorns off platforms, and interacting with one another, a family of pigs that had escaped from a local farm, a starling, a squirrel eating an acorn, and more. The goal was to give visitors a chance to see the animals that Pembroke savanna lands support up close and personal. Though most of the animal life in the savanna would be skittish to humans, trail cameras give the unique ability to see nature up close. As my research in the savanna was a large part of the exhibition, trail camera footage also gave observers a better understanding of how I was collecting my data as well as how trail camera’s function.

Avian Acorn Herbivory in Midwestern Oak Savannas
Another important piece of this exhibition was an audio loop that could be heard playing throughout the gallery space. Audio clips were recorded in Sweet Fern Savanna in the late summer and edited together by Sean Paine, a senior in the Olivet Nazarene University art department. The audio served to bring in what the summer season in the savanna may feel like, as the rest of the exhibit focused mainly on the other three seasons. The audio clip contained many prominent sounds of the savanna, including the piping of tufted titmice, calling blue jays and red-headed woodpeckers, the humming of insects, footsteps, and wind. These noises could fill in as the background ambiance for visitors as they enjoyed the displays, giving them the opportunity to hear the savanna as they looked at different representations of it.
To bring in aspects of the research done on acorn preferences of birds in the savanna, parts of the acorn platforms were included in the display. Five of the wooden acorn trays were put up on the gallery walls and one tray was assembled to its platform and laid on its side in the corner of the gallery space. The platform itself included the 1.5-meter PVC stand, the tray, the 1.5-meter conduit camera props, and two trail cameras attached to the piece of wood that laid across the conduit. The entire structure was about ten feet long when laid on its side and gave visitors a good idea of the scale of the tray, as well as the way that data collection took place in this study. It also served as relic of what research in the field can look like. Throughout my research in the field, I had many issues with platforms falling over, which caused major setbacks in data collection. This issue required adaptability, creativity, and perseverance to overcome, and at points pushed me to my limits. It was imperative that visitors of the gallery not only took away the beauty and importance of the savanna, but that its survival requires compassion and hard work from not only scientists but the public as well. The fallen platform lent itself to this theme, not only serving as an example of a scientific tool, but also of the labor and creativity that must go into learning about and preserving a piece of nature.
The last elements of the exhibition were three painted banners (Figure 5). Each banner was about 1.8 meters tall and 0.6 meters wide and constructed of duck cloth with wooden supports at the top and bottom. Banners were hand painted with acrylic paints. Each banner represents one season in which research was done: Fall (Figure 5, A), winter (Figure 5, B), and spring (Figure 5, C). One banner was put up on each of the three free gallery walls (the television with the video loop took up the fourth wall). Each banner expresses the colors, plants, animals, and general feeling of each of the three seasons in a midwestern oak savanna. Despite having major differences, especially with color scheme, several elements unite the pieces together. Each banner has a large, round sun as the focal point of the piece, ringed with varying bird species. The trunks and branches of two large oak trees frame the sky, and thin, vertical gold borders keep the scenes inside the edges of the cloth. Layering patterns on the ground add unity between the pieces, and in each, similar placement of hands on the second to lowest layer of the earth ties them together.
Many symbolic differences are also included in each piece, however. In the fall piece, the sun is the most vibrant and warm and is highest in the sky, representing the last long, hot days of the year that take place in the fall. Colorful oak leaves still cling to the branches, taking on shades of orange and red as they begin to die and fall from the trees. Some of the brightest fall plants, staghorn sumacs and bright yellow goldenrod, contrast with the neutrals of the ground and sky. The hands at the bottom of the banner represent the harvest, which affects many of the local farmers whose fields surround that of the Pembroke savannas. One hand bears an ear of corn, and the other a plenty of soybeans, as these crops are very prevalently grown in fields around Pembroke. Blue jays and an eastern bluebird surround the sun in the sky, as these two species were seen visiting the acorn platforms in the fall trial. Red-headed woodpeckers were very prevalent in the fall as well, so two were placed in the trees.
The winter banner displays the sun as low in the sky, and cooler and more bronzy, representing the short, cold days of winter. The oak trees bear icicles, and one redheaded woodpecker, as the birds were still present, but not as abundant. Blue jays rim the sun, being the only bird seen visiting acorn platforms, and a squirrel runs along the snow, as in an instance where a platform fell, they fed on some of the acorns that fell with it. Layers of snow line the ground, and dead grass and young oak trees jut out against the white. Two hands reach across, one bearing some winter plants, and the other holding a ball of snow. Beneath the layers of snow is a layer of leaves and acorns, very reminiscent of how the snow covers up all of what fall left behind.
The spring banner has a sun that is a bit brighter, and hangs in the middle of the sky, referencing how spring days get longer and warmer. The oak trees bear gentle green buds, and red admiral butterflies (Vanessa atalanta) adorn the sky, as they became quite common in the spring. A red-headed woodpecker perches on a tree with a caterpillar in its mouth. Blue jays and tufted titmice surround the sun, as both were seen coming to platforms and making acorn selections in the spring. Layers of greening earth make up the ground, and six prominent flower species grow from the mud. They include cleft phlox, birds-foot violet, rock cress, small-leaf pussytoes, butterweed, and narrow-leafed blue-eyed grass. Their colors illustrate the liveliness of the savanna after winter’s cold touch. Two hands again are featured at the bottom of the banner, one holding a match, which represents the controlled burns and wildfires that have been raging through the savannas for centuries, and the other holding a kernel of corn, reminding the viewer that the agricultural cycle of the surrounding community is once again beginning.

This exhibition was hosted in the Sims Gallery in the Sims Education Center of Olivet Nazarene University. It was displayed from October 14th to November 1st, 2024, and an artist talk was hosted on October 23rd. During this artist talk, the public was invited in for snacks and refreshments, and I was able to give a talk about the gallery and the ecological issues it addressed. Following the talk, guests mingled, and I was present to answer any questions they may have about the space. Outside of this artist talk, the public was invited to tour the gallery on their own any time that the building was open.
The artist talk drew in a crowd of diverse people, from ages thirteen to ninetytwo. Among them were many college students, of which, over ten different majors were represented. The question-and-answer portion of the talk was dominated by questions regarding environmental and conservation issues, as well as inquiries about the research process. Optimistically, the art show brought in a manifold of people, many of whom would have likely not been exposed to such environmental topics in their daily lives or field of study or work. Their questions displayed curiosity, understanding, and even investment in the narrative of the savanna.
Art is a powerful form of expression, and if done correctly, can be utilized as a tool to bring awareness of ecological issues to the public eye. Art can tug on viewer’s emotions and immerse them in spaces and stories they would have not otherwise heard. By creating this exhibition and inviting the public in, dozens of people who may have never even heard of a midwestern savanna were able to be immersed in a display that carefully told the story of a savanna local to them.
Sitting on a little gray stand in the corner of the gallery was a book and a pen that visitors could use to sign. Among the names, compliments, and words of encouragement were a few quotes that moved me deeply, and I believe exemplified the general mood of many visitors to the gallery space. One wrote, “you and your savanna have won my heart! I don’t know what I enjoyed more, the sounds, the sights, video and still, and the novelty of your equipment”. Another said “beautiful artwork and a lovely engaging theme. Your artist statement and chosen prose challenged me to think in a new way and see a different perspective”. These quotes represent everything I hoped to accomplish through this artwork. It solidified for me the importance of merging science with the creative fields and inspired me to continue to engage in works like this in the future. Ecological issues must speak with a voice that the public can hear, understand, and desire to reconcile, and through this experience I believe that voice is through art.
APPENDIX: ACORN ABUNDANCE AND QUALITY
Once per trial, a survey of acorn abundance and acorn quality was taken at each site. This was done by selecting the three closest mature oak trees to the platform, measuring the tree’s distance from the platform and the tree’s canopy from trunk to longest point. Three sections were marked around the trunk of the tree, and a random number generator was used to generate the distance out from those three points (within the length of the canopy) that acorn surveys would be taken. For each spot around the tree, the distance generated would be measured, and a one-by-one meter plot would be marked in that spot. The acorns in that plot would be counted, and an estimated quality rating between one and five would be given (A1, A2, A3). Low quality acorns exhibited chips or cracks, weevil holes, discoloration, and missing or decaying parts. A rating of one indicated that zero to twenty percent of acorns in the plot were quality, and a rating of five indicated that eighty to 100 percent of acorns in the plot were quality (A2, A3). Acorn abundance is the sum of acorns found in each of the nine plots measured per site. Acorn quality is calculated as the average quality rating between the nine plots measured per site.

| ELAIA: The Honors Journal of Olivet Nazarene University

REFERENCES
Beal FEL. Some common birds useful to the farmer. 1926 Ed. Washington, D.C: Government Printing Office; 1926. [Accessed 7 December 2024].
Brawn JD. 2006. Effects of restoring oak savannas on bird communities and populations. Conservation Biology. 20(2): 460-469.
Bray JR. 1955. The savanna vegetation of Wisconsin and an application of the concepts order and complexity to the field of ecology [PhD Thesis]. Madison (WI): University of Wisconsin-Madison; 340 p.
Dixon MD, Johnson WC, Adkisson CS. 1997. Effects of weevil larvae on acorn use by blue jays. Oecologia. 111(2):201–208.
Frei B, Smith KG, Withgott JH, Rodewald PG, Pyle P, Patten MA. Red-headed woodpecker (Melanerpes erythrocephalus). Version 1.0. Ithaca (NY): Cornell Lab of Ornithology; March 4 2020 [Updated 5 January 2017, Accessed 31 January 2025].
Grundel R, Pavlovic NB. 2007. Distinctiveness, use, and value of midwestern oak savannas and woodlands as avian habitats. The auk (American Ornithologists Union). 124(3), 969–985.
Hoekstra JM, Boucher TM, Ricketts TH, Roberts CR. 2005. Confronting a biome crisis: global disparities of habitat loss and protection. Ecology Letters. 8:23-29.
Kark S. Ecotones and ecological gradients. In: Ecological Systems. Springer, (NY); 2013 [Accessed 20 November 2024].
Kate MccGwire [Internet]. London: Kate MccGwire; 2013 [Accessed 5 Apr 2023]; https://katemccgwire.com
Avian Acorn Herbivory in Midwestern Oak Savannas | 309
Klein BA, Brosius T. 2022. Insects in art during an age of environmental turmoil. Insects. 13(5): 448-474.
Marks M, Chandler L, Baldwin C. 2016. Re-imagining the environment: using an environmental art festival to encourage pro-environmental behavior and a sense of place. Local Environment. 21(3): 310-329.
Miller R, Lambert ML, Frohnwieser A, Brecht KF, Bugnyar T, Crampton I, GarciaPelegrin E, Gould K, Greggor AL, Izawa E, et al. 2022. Socio-ecological correlates of neophobia in corvids. Current Biology. 32(1): 74-85.
Moore JE, Swihart RK. 2006. Nut selection by captive blue jays: Importance of availability and implications for seed dispersal. Condor. 108(2): 377–388.
Morina D, Lashly M, Chitwood MC, Moorman C, DePerno CS. 2017. Should we use the float test to quantify acorn viability? Wildlife Society Bulletin. 1(4): 776–779.
Moskovits DK. 1978. Winter territorial and foraging behavior of red-headed woodpeckers in Florida. Wilson Bulletin. 90(4): 521-531.
Nuzzo VA. 1986. Extent and status of midwest oak savanna: Presettlement and 1985. Natural Areas Journal. 6(2): 6-36.
Odum EP. Fundamentals of ecology. Philadelphia (PA): W. B. Saunders Company; 1953. [Accessed 20 November 2024].
Pembroke Savanna. Springfield (IL): Illinois Department of Natural Resources. [Accessed 27 November 2024]. https://dnr.illinois.gov/inpc/area. area3kankakeepembrokesavanna.html.
Richardson K, Lichti N, Swihart R. 2013. Acorn-foraging preferences of four species of free ranging avian seed predators in eastern deciduous forests. Condor. 115(4);863–873.
Ritchison G, Grubb Jr. TC, Pravosudov VV. Tufted titmouse (Baeolophus bicolor). Version 1.0. Ithaca, (NY): Cornell Lab of Ornithology; 4 March 2020 [Updated 2 April 2015, Accessed 7 February 2025].
Scarlett TL, Smith KG. 1991. Acorn preference of urban blue jays (Cyanocitta cristata) during fall and spring in northwestern Arkansas. Condor. 93(2): 43844.
| ELAIA: The Honors Journal of Olivet Nazarene University
Skutch AF. Life of the woodpecker. Santa Monica (CA): Ibis Publishing Company; 1985. [Accessed 7 December 2024].
Smith KG, Tarvin KA, Woolfenden GE. Blue jay (Cyanocitta cristata). Version 1.0. Ithaca, (NY): Cornell Lab of Ornithology; 4 March 2020 [Updated 4 December 2013, Accessed 7 December 2024].
Tvardíková K, Fuchs R. 2010. Do birds behave according to dynamic risk assessment theory? A feeder experiment. Behavioral Ecology and Sociobiology. 65: 727-33.
Webber D. 2014. Merlin bird ID. Version 3.5. The Cornell Lab of Ornithology. [Accessed 23 November 2024].
Westrich J, Garrity A. 2016. Bird Feeding Experiment: Do Wild Birds Feed in a More Wooded or Exposed Area? Journal of Emerging Investigators
Wright JR, Matthews SN, Pinchot CC, Tonra CM. 2022. Preferences of avian seed-hoarders in advance of potential American chestnut reintroduction. Forest Ecology and Management. 511(4): 120133.
Yusuke Asai [Internet]. Houston (TX): Rice University; 2014. [Updated 2017; Accessed 5 Apr 2023]. http://www.ricegallery.org/yusuke-asai
Additional appendices available in online version of paper.
| ELAIA: The Honors Journal of Olivet Nazarene University

Perceptions of Autism Spectrum Disorder in Females
Emma V. Wadhams
ACKNOWLEDGMENTS
I would like to thank Dr. Veit for encouraging me to pursue this topic and for his mentorship and guidance throughout the completion of this project. Thanks also to Dr. Robinson, Dr. Fulton, Dr. Allen, and Dr. Frisius for their help in recruiting participants. Thanks especially to Kathy Heck for her administrative assistance during data collection and for her interest in my research. Thank you to Professor Martinson, Dr. Gassin, Dr. Adams, and the Olivet Department of Behavioral Sciences for all their support. I also want to thank Dr. Himes, Dr. Perabeau, Dr. Vander Schaaf, Dr. Case, and the rest of the Olivet Honors Program faculty for investing in me and this project. Most of all, I would like to thank my parents for their support, curiosity, and willingness to learn and grow with me throughout my own autism discovery process over the last four years.
ABSTRACT
Research in the past decade has demonstrated that a historically male-focused perspective of autism spectrum disorder (ASD, or autism) has contributed to an underdiagnosis of ASD in females. Furthermore, gender-related differences in behavioral presentations of autism, or phenotypes, may also influence this underdiagnosis. This study investigated whether a person’s gender, phenotype, and combination of the two impact the likelihood that others perceive him or her as autistic. Participants consisted of 88 undergraduate students at a private, denominationally affiliated university. Each participant was randomly assigned to read one of four case studies describing an autistic child, varying by gender and phenotypical presentation. Participants were then asked to complete a questionnaire and indicate how likely they considered it to be that the described child was autistic on a scale of 0 to 100. Data was analyzed using a two-way between-subjects ANOVA. The results of this experiment support the hypothesis that students would perceive a male as more likely to be autistic than a female. The second hypothesis, that students would perceive someone displaying the male autism phenotype as more likely to be autistic than someone displaying the female autism phenotype, was not supported. Finally, the hypothesis that students would perceive a person whose gender matched his or her phenotypical presentation as more likely to be autistic than a person whose gender did not match his or her phenotype was also not supported.
Keywords: autism, ASD, phenotype, gender
INTRODUCTION
Autism spectrum disorder underdiagnosed in females
Autism spectrum disorder (ASD, or autism) is a developmental condition impacting a wide range of traits and behaviors, including social functioning, communication, and sensory processing (American Psychiatric Association, 2022). Historically, ASD has been diagnosed more frequently in males than in females, and the condition has long been considered to be a male disorder (Lockwood Estrin et al., 2021; Loomes et al., 2017). In 2013, the American Psychiatric Association noted in the DSM-5, the fifth edition of the Diagnostic and Statistical Manual of Mental Disorders, that there are four males diagnosed with ASD for every one female diagnosed with the disorder. However, more recent research estimates the actual gender ratio for incidents of ASD at closer to three males for every one female (Loomes et al., 2017). The DSM-5-TR now reflects this estimate (American Psychiatric Association, 2022). Researchers argue that higher rates of males diagnosed with ASD than females diagnosed with ASD indicate an underdiagnosis of girls and women with the condition rather than a true reflection of the male-to-female ratio (Loomes et al., 2017).
The underdiagnosis of autism in girls and women has been well-documented, in addition to the discrepancy found between estimates of the male-to-female ratio in autism. For example, Petrou et al. (2018) found that for children of 5 years or older, girls with ASD are diagnosed later than boys with ASD of the same age. Additionally, a
| ELAIA: The Honors Journal of Olivet Nazarene University
study of potentially autistic adults observed a significantly higher number of men given a positive diagnosis of ASD compared to women (Wilson et al., 2016). Even when presenting with the same ASD symptoms and at the same severity level, girls are less likely than boys to be identified and diagnosed with ASD (Geelhand et al., 2019).
Obstacles to female diagnosis
Though a wide range of different sociocultural factors interact to hinder the proper diagnosis of ASD in females, one primary obstacle is a lack of understanding of autism in women. As previously stated, autism has been thought of as a mainly male condition for most of its history (Lockwood Estrin et al., 2021). This misperception of autism heavily contributes to the underdiagnosis of ASD in females (Lockwood Estrin et al., 2021). Because most people view autism as a condition that affects males and not females, key actors in the identification and diagnostic process are likely to dismiss signs of autism in girls that they would be less likely to dismiss in boys (Lockwood Estrin et al., 2021). These figures include teachers (Whitlock et al., 2020), parents (Lockwood Estrin et al., 2021), and clinicians (Tsirgiotis et al., 2022). Furthermore, gender-based expectations of behavior interact with this misperception of autism and contribute to the failure to identify many girls and women with ASD. Girls are often expected to behave differently than boys, so a girl displaying certain autistic social traits may be labeled as shy or anxious. In contrast, a boy displaying the same traits may be referred for an assessment of autism (Kreiser et al., 2014).
Another factor that further complicates the diagnosis of autistic females is the potential existence of a female-typical autism presentation, or female autism phenotype, that differs from the male-typical autism presentation or male autism phenotype (Hull et al., 2020). Research is still ongoing to examine the extent of differences displayed in the female autism phenotype compared to the male autism phenotype. The present literature describes variations in core symptoms characteristic of the female phenotype that include greater social motivation and different displays of repetitive and restricted behavior and interests (Hull et al., 2020). Additionally, autistic females tend to develop more internalizing problems - like anxiety or depression - compared to autistic males, who tend to display more externalizing problems – like loud meltdowns or acting out in class (Hull et al., 2020). This increase in internalizing issues and corresponding lack of externalizing issues could result in difficulties in girls being noticed and identified as ASD less frequently than their male counterparts (Hull et al., 2020).
Due to autism’s history of being viewed as a male disorder, tools and tests designed to diagnose autism, as well as the diagnostic criteria themselves, are mainly developed with the male autism phenotype in mind (Lockwood Estrin et al., 2021). This bias towards autistic males and their typical ASD presentation results in the female-typical presentation of autism being misunderstood or even unacknowledged (Wilson et al., 2016). According to a review by Howes et al. (2021) concerning clinicians’ views of barriers to making an autism diagnosis, many of these clinicians acknowledge that girls are harder to diagnose than boys because of gender-related differences in symptom expression.
Impact
When autism in females is commonly misunderstood, girls and women with ASD are more likely to be diagnosed later in life and less likely to be properly identified or diagnosed overall (Bargiela et al., 2016). Earlier diagnosis of ASD often allows for more opportunities for better quality support, and earlier intervention is related to better life outcomes for autistic people (Howes et al., 2021). Conversely, the lack of a proper ASD diagnosis early in life denies autistic girls the support they may need (Howes et al., 2021). Participants in a qualitative study of the female autism experience by Bargiela et al. (2016) claimed that if they had been diagnosed earlier, they believe their lives would have been easier. In addition to missing out on support and treatment, undiagnosed girls and women with ASD miss out on the opportunity to identify with the autism community, which could provide them with a stronger sense of self as well as a sense of connection with others (Bargiela et al., 2016). Furthermore, undiagnosed autistic girls still experience deficits related to the disorder. However, unlike diagnosed autistic people, these girls have no explanation for why they experience these deficits and may blame themselves (Kreiser et al., 2014).
Although several studies have previously been conducted on perceptions of autism, these studies tend to focus heavily on parents of autistic children or occasionally diagnostic clinicians (Lockwood Estrin et al., 2021). Very few studies have examined the view of the general public, especially regarding gender bias in the identification of autism. Further research on how people view autism in girls and women is needed beyond the perceptions of parents and clinicians. College students are a useful demographic to study to gauge public perception of autism in girls and women. These students are preparing to enter the workforce and live their own family lives, and the way they perceive autistic people has the potential to shape our society’s general understanding, as well as identification, of the disorder in the future. Additionally, college and early adulthood is a time when many autistic women who went unidentified in childhood notice their differences and seek out a diagnosis (Bargiela et al., 2016). Investigating the way these autistic women’s peers understand autism may be beneficial for their journeys of ASD discovery.
Present study
Research on ASD in the past decade has demonstrated that females with the disorder are underdiagnosed, and a historically male-focused perspective of ASD has contributed to this underdiagnosis (Lockwood Estrin et al., 2021; Loomes et al., 2017; Tsirgiotis et al., 2022). Furthermore, a growing body of evidence on the female autism phenotype suggests that gender-related differences in presentation may also contribute to the slower identification of autism in females (Bargiela et al., 2016; Hull et al., 2020; Kreiser et al., 2014). Current college students’ understandings of ASD have the potential to either reinforce or counteract societal misconceptions about autism that contribute to underdiagnosis and lack of support for women with ASD. The present study investigated how students’ perceptions of an autistic person relate to that person’s gender as well as the typicality of ASD presentation the autistic person displays. Student participants in this experiment were each given a case study describing an autistic child. The case studies differed by the gender of the described child, using the
name “Jack” to indicate a male and “Chloe” to indicate a female. The case studies also differed by phenotype; one described a female-typical autism presentation and the other described a male-typical autism presentation. Between these two factors, a participant could receive one of four possible case study conditions. After reading the case study, participants were asked to respond with how likely they considered it to be that the child described had ASD.
Because autism is often predominantly viewed as a male disorder, I first hypothesized that there would be a main effect of gender on autism; students would perceive a male as more likely to be autistic than a female. Second, taking the lack of understanding of the female autism phenotype into account, I hypothesized that there would be a main effect of phenotype on perception; students would be more likely to perceive a person as autistic if that person displays a male autism phenotype than if he or she displays a female autism phenotype. Additionally, I hypothesized that there would be a significant interaction between gender and phenotype on perception; students would be more likely to perceive a person as autistic if that person’s phenotypical presentation type matches his or her gender.
METHODS
Participants
Participants were 88 students enrolled at a small, private university; they were asked to sign up for participation through certain classes in exchange for extra credit. Participants consisted of both men and women, with females making up the majority at 69.3% (SD = 0.50). The average age of participants was 19 years old (SD = 3.26), with a minimum age of 17 and a maximum of 39. Participants were of several races and the majority (63.6%) were white (SD = 1.64). Participants were split evenly between the four experimental conditions, with 22 participants per condition. When asked whether they had any prior experience with autism, 48.9% of participants indicated that they had not, and 51.1% of participants indicated that they had (SD = 0.503).
Materials
Two main independent variables, gender and phenotype, were investigated. These variables were combined to get a total of four conditions, each represented by a variation of a case study describing an autistic child. The case studies described a male child with a male autism phenotype, a male child with a female autism phenotype, a female child with a male autism phenotype, and a female child with a female autism phenotype (see Appendix A). Case studies were modeled after those used by Whitlock et al. (2020) in their investigation of perceptions of autism in primary school teachers. I made slight adjustments in the wording of these case studies to make the prose sound more natural to a mostly American group of participants, but nothing of substance regarding the descriptions of autism was changed.
The main dependent variable in this study was perception, which was measured based on participants’ ratings of likelihood that the child described in a case study is autistic. Participants were asked to give a score on a scale of 0 through 100 indicating how likely they thought it was that the child they read about was autistic. A score of 100
indicated the participant was certain the described child had a given mental condition; a score of 0 indicated the participant was certain the described child did not have a given mental condition. Both the question and the scale were also based on the study done by Whitlock et al. (2020). The psychometric properties of this scale have not been assessed.
The demographic items assessed in this study include age, year at university, major, gender, race, and perceived social class. These questions were all based on suggestions made by Hughes et al. (2022).
Procedure
This study utilized a two-way between-subjects experimental design. Undergraduate students at the university were recruited to voluntarily sign up for a date and time to participate. Each participant completed a single data collection session, and each session took no more than twenty minutes to complete. These sessions took place in an academic building on campus during the spring semester of 2024. Approval from Olivet Nazarene University’s institutional review board was obtained prior to all data collection.
Before beginning the study, all participants were given an informed consent document, which was also read to them by the researcher. The informed consent document provided a brief overview of the study procedures, reminded participants that their participation was voluntary, and reminded participants that they could withdraw from the study at any time. The informed consent document also described how participants’ privacy would be protected. Contact information for the researchers, the university IRB, and university counseling services were also provided.
After informed consent was obtained, each participant was randomly assigned one case study from a stack of papers and given the questionnaire. These documents were all printed on paper and based on the materials used by Whitlock et al. (2020). There were four total variations of case studies that any participant may have been assigned, depicting a male with a male autism phenotype, a male with a female autism phenotype, a female with a male autism phenotype, and a female with a female autism phenotype. The male and female phenotypes were described in the same way when describing both a male child and a female child; the gender conditions were differentiated by giving the child depicted in the description either a clearly female name (Chloe) or a clearly male name (Jack).
Participants were asked to thoroughly read through the case study and then to fill out the questionnaire once they finished the case study. The first section of the questionnaire consisted of four questions. Participants were asked to rate how likely they would consider the described child to have four different mental conditions by providing a number on a scale of 0 to 100. These four mental conditions included attention deficit hyperactivity disorder (ADHD), anxiety disorders, autism spectrum disorder, and disruptive behavioral disorders such as oppositional defiant disorder or conduct disorder. Participants were instructed not to change their answers once they completed this section of the questionnaire.
ELAIA: The Honors Journal of Olivet Nazarene University
After data was collected from the first 25 participants, it was discovered that some participants may have had access to a document detailing the study’s aim to investigate perceptions of autism in females. This information was more detailed than what participants were told during the informed consent process and had the potential to influence participant responses. Once this problem was identified, a new question was added to the first part of the remaining questionnaires. This item asked if participants had prior knowledge of the study’s purpose beyond the description given during informed consent, prompting a yes or no response.
The second part of the questionnaire included a question asking whether participants had personal experience involving any of the four previously mentioned mental conditions. This question was meant to gauge whether prior knowledge of or experience with autism is at all related to how participants evaluate the given case studies. Once the questionnaires were completed, they were collected by the researcher.
RESULTS


Figure 1: Average rating of ASD likelihood by gender

| ELAIA: The Honors Journal of Olivet Nazarene University
DISCUSSION
The results of this experiment support my first hypothesis; participants rated case studies with a male name as more likely to be autistic than case studies with a female name, even when the content of the case studies was identical. This finding suggests that students at this university perceive males as more likely to be autistic than females.
However, my second hypothesis, that participants would perceive case studies describing a male autism phenotype as more likely to be autistic than those describing a female autism phenotype, was not supported. There was a small difference between likelihood ratings for the male and female phenotypes, but this was not found to be significant. One possible explanation for this finding could be that students at the university are not very familiar with autism in general. If participants lack an awareness of what autism looks like in both males and females, then it would make sense that phenotype does not have much impact on likelihood ratings.
This idea could also explain the discrepancy between my results and those found by Whitlock et al. (2020). The study done by Whitlock et al. found support for their hypothesis that participants would make different decisions based on a child’s autism phenotype, with case studies displaying a male autism phenotype rated as more likely to be autistic than case studies displaying a female autism phenotype. One key difference between these two studies is in samples: Whitlock et al. studied primary school educators, whereas I studied university students. It is possible that primary school educators have a greater awareness of the male autism phenotype than students at a university.
Furthermore, these results do not support the hypothesis that participants would be more likely to perceive a person as autistic if that person’s phenotype matched his or her gender. The interaction between phenotype and gender was not found to be significant. Even if a statistically significant interaction between phenotype and gender had been found, the results of the study still would not have supported this hypothesis. Based on my third hypothesis, one would predict that the male with male phenotype and female with female phenotype groups would be rated as more likely to be autistic than the male with female phenotype and female with male phenotype groups. Whereas the male with male phenotype group was rated most likely to be autistic out of the four conditions, the female with female phenotype group was rated least likely to be autistic.
This study’s main significant finding is that students at this university consider males as more likely to be autistic than females. Other studies on different populations, including that of Whitlock et al. (2020), report similar findings. Though the perceptions of students at this university do not necessarily represent the views of all university students, it is concerning that this population still views females as less likely to be autistic than males. The misperception of autism as a male disorder has been engrained in the public consciousness for decades, impacting the diagnostic process for autistic girls and women. Although most university students do not have
a direct influence on the diagnostic process, their perceptions are still relevant now and in the future. Students’ views of autism as being more likely in males can impact who is identified as autistic and who seeks out autism diagnoses, perpetuating the underdiagnosis of autism in females.
Limitations
One major limitation of this study is that some participants could have had advanced knowledge of the study’s main focus beyond the information given to them during the informed consent process. As previously described, it was brought to my attention about a quarter of the way through data collection that some participants could have had digital access to a section of the proposal for this study, including information related to the study’s investigation of perceptions of autism in women. This information could have influenced participant responses on the questionnaire, possibly making them a less accurate portrayal of participants’ perceptions. In response to this issue, I added an item to the questionnaire for participants to indicate whether they were aware of the study’s true purpose. This item was included in a 3-way between-subjects ANOVA along with the two main independent variables to determine if knowledge of the study’s goals impacted participant responses, but no significant interaction was found.
Additionally, a potential limitation of this study is sample size. Although enough participants were recruited to conduct the statistical analysis, a larger sample size could have influenced the statistical significance of my findings, allowing for more minute differences between groups to be found significant. If this study were to be replicated in the future, it would be helpful to recruit a greater number of participants. Another related limitation of this study is sample characteristics, specifically participants’ levels of familiarity with autism. The questionnaire did include an item asking participants whether they had prior experience with autism, but this item only prompted a yes or no response. The setup for this question ignores the differences in levels of familiarity that could occur based on where a given participant’s experience with autism comes from. Participants who are themselves autistic would have a different awareness of the condition than participants who have immediate autistic family members, and both of these groups of participants would likely have greater familiarity with autism than participants who have distant family members or acquaintances who are autistic. In a future replication of this study, it could be beneficial to include a question that acknowledges and investigates different types of prior experiences with autism.
Furthermore, the implications of this study have limited external validity. The results of my study are not easily generalizable to populations beyond the students at the private university where the study was conducted. This study cannot determine whether students at other institutions or non-student populations share similar perceptions of autistic people.
Future directions
Beyond conducting an exact replication of this study, another direction for future research could be changing the case studies to focus specifically on autistic adults.
| ELAIA: The Honors Journal of Olivet Nazarene University
The case studies used in this experiment each described a young autistic child. Though current diagnostic criteria for ASD as well as most media attention tend to center around autism in children, autistic adults also exist. It could be useful to use case studies describing autistic adults to examine perceptions of the disorder in older age groups. A replication of the study could be conducted by just changing the case studies to describe autistic adults. Furthermore, age could be substituted for phenotype as an independent variable in a similar two-way between-subjects experiment. Researchers could use case studies depicting both autistic children and autistic adults, still varying by gender, and investigate whether there is a difference in perceptions of autism with regard to age group.
Additionally, future research could examine the potential impact of education on perceptions of autism in females. If participants are given some amount of information at the beginning of the study, about either autism in general or autism in females, would their responses change? Based on the results of this study, it could be replicated, keeping gender as one of two independent variables. The second independent variable could be education. Before assigning case studies and questionnaires, researchers could randomly assign participants to an experimental condition, giving them information about autism, or a control condition, giving them information about some other topic. Then participants would be randomly assigned to a male or female case study and asked to give likelihood ratings. If the experimental group responds with higher ratings of likelihood for autism, either in the female group or for both gender groups, it could indicate that education can help ameliorate the lack of understanding of autism in females.
CONCLUSION
This study demonstrates that students at this private university view females as less likely to be autistic than males regardless of differences in autism symptom presentation. General perceptions of autism impact the process of identifying and diagnosing the disorder, contributing to the underdiagnosis of autism in girls and women. The results of this study highlight a lack of understanding and awareness of autism in females. Greater education on autism in girls and women is necessary; increased awareness has the potential to improve identification of the disorder and increase proper and timely autism diagnosis for girls and women.
REFERENCES
American Psychiatric Association. (2013). Neurodevelopmental disorders. In Diagnostic and statistical manual of mental disorders (5th ed.).
American Psychiatric Association. (2022). Neurodevelopmental disorders. In Diagnostic and statistical manual of mental disorders (5th ed., text rev.).
Bargiela, S., Steward, R., & Mandy, W. (2016). The experiences of late-diagnosed women with autism spectrum conditions: An investigation of the female autism phenotype. Journal of Autism and Developmental Disorders, 46(10), 3281–3294.
Geelhand, P., Bernard, P., Klein, O., Bob, V. T., & Kissine, M. (2019). The role of gender in the perception of autism symptom severity and future behavioral development. Molecular Autism, 10.
Howes, A. E., Burns, M. E., & Surtees, A. D. R. (2021). Barriers, facilitators, and experiences of the autism assessment process: A systematic review of qualitative research with health professionals. Professional Psychology: Research and Practice, 52(5), 449–460.
Hughes, J. L., Camden, A. A., Yangchen, T., Smith, G. P. A., Domenech Rodríguez, M. M., Rouse, S. V., McDonald, C. P., & Lopez, S. (2022). Guidance for researchers when using inclusive demographic questions for surveys: Improved and updated questions. Psi Chi Journal of Psychological Research, 27(4), 232–255.
Hull, L., Petrides, K.V. & Mandy, W. (2020). The female autism phenotype and camouflaging: A narrative review. Review Journal of Autism and Developmental Disorders, 1–12.
Kreiser, N. L., & White, S. W. (2014). ASD in females: Are we overstating the gender difference in diagnosis? Clinical Child and Family Psychology Review, 17(1), 67–84.
Lockwood Estrin, G., Milner, V., Spain, D., Happé, F., Colvert, E. (2021). Barriers to autism spectrum disorder diagnosis for young women and girls: A systematic review. Review Journal of Autism and Developmental Disorders, 8, 454–470.
Loomes, R., Hull, L., & Mandy, W. P. L. (2017). What is the male-to-female ratio in autism spectrum disorder? A systematic review and meta-analysis. Journal of the American Academy of Child & Adolescent Psychiatry, 56(6), 466–474.
Petrou, A.M., Parr, J.R., & McConachie, H. (2018). Gender differences in parentreported age at diagnosis of children with autism spectrum disorder. Research in Autism Spectrum Disorders, 50, 32–42.
Tsirgiotis, J. M., Young, R. L., & Weber, N. (2022). A mixed-methods investigation of diagnostician sex/gender-bias and challenges in assessing females for autism spectrum disorder. Journal of Autism & Developmental Disorders, 52(10), 4474–4489.
Whitlock, A., Fulton, K., Lai, M., Pellicano, E., & Mandy, W. (2020). Recognition of girls on the autism spectrum by primary school educators: An experimental study. Autism Research, 13(8), 1358–1372.
Wilson, C. E., Murphy, C. M., McAlonan, G., Robertson, D. M., Spain, D., Hayward, H., Woodhouse, E., Deeley, P. Q., Gillan, N., Ohlsen, J. C., Zinkstok, J., Stoencheva, V., Faulkner, J., Yildiran, H., Bell, V., Hammond, N., Craig, M. C., & Murphy, D. G. M. (2016). Does sex influence the diagnostic evaluation of autism spectrum disorder in adults? Autism, 20(7), 808–819.
| ELAIA: The Honors Journal of Olivet Nazarene University
APPENDIX A
Case Studies
Case Study 1 (female phenotype, female name):
Chloe is a 7-year-old student. She is best friends with another girl in her class, Mia, although Chloe does not seem to be friends with any of the other children. Her teacher has noticed that Chloe dislikes it when Mia begins to play with the other children, wanting her exclusive focus. Chloe will also copy a lot of Mia’s behaviours. Chloe loves meerkats, and has pictures of them over her books, and will often reference them in her creative writing in English. Chloe is a bright student, however she is generally quite nervous and will worry a lot about her work, as well as scary stories she hears from other children. The only times her teacher really has difficulties with Chloe is during lunchtime, particularly in the summer; she suffers from mild eczema, so the teacher is required to put cream on her during the summer months, which Chloe becomes very distressed about. The lunch time staff at school has also noted that she is a picky eater and will leave a fair amount of her food every lunchtime.
Case Study 2 (female phenotype, male name):
Jack is a 7-year-old student. He is best friends with another boy in his class, Mike, although Jack does not seem to be friends with any of the other children. His teacher has noticed that Jack dislikes it when Mike begins to play with the other children, wanting his exclusive focus. Jack will also copy a lot of Mike’s behaviours. Jack loves meerkats, and has pictures of them over his books, and will often reference them in his creative writing in English. Jack is a bright student, however he is generally quite nervous and will worry a lot about his work, as well as scary stories he hears from other children. The only times his teacher really has difficulties with Jack is during lunchtime, particularly in the summer; he suffers from mild eczema, so the teacher is required to put cream on him during the summer months, which Jack becomes very distressed about. The lunch time staff at school has also noted that he is a picky eater and will leave a fair amount of his food every lunchtime.
Case Study 3 (male phenotype, female name):
Chloe is a 7-year-old student. She loves playing tag and really enjoys being able to play during break time. She tries to join in with the other children but tends to be ignored. If there is any free time in her classroom, Chloe will spend it playing with her Harry Potter cards. There are a couple of girls in the class who love Harry Potter too, but Chloe is the most obsessed with it. She likes the routine of the classroom, but her teacher has noticed that she can struggle moving from playtime where she is engaging in tag, back to the classroom. She is quite a nervous child who will worry a lot about things going wrong. When she gets upset she does find it quite difficult to calm herself down and her teacher has observed that she responds well to quite clear rules and boundaries. She has been involved in a couple of arguments and fights with her peers which the staff at her school have to keep a close eye on. Generally, Chloe is a fit and healthy child but her teacher has noted that her lunch lacks healthy options like fruit.
Case Study 4 (male phenotype, male name):
Jack is a 7-year-old student. He loves playing tag and really enjoys being able to play during break time. He tries to join in with the other children but tends to be ignored. If there is any free time in his classroom, Jack will spend it playing with his Harry Potter cards. There are a couple of boys in the class who love Harry Potter too, but Jack is the most obsessed with it. He likes the routine of the classroom, but his teacher has noticed that he can struggle moving from playtime where he is engaging in tag, back to the classroom. He is quite a nervous child who will worry a lot about things going wrong. When he gets upset he does find it quite difficult to calm himself down and his teacher has observed that he responds well to quite clear rules and boundaries. He has been involved in a couple of arguments and fights with his peers which the staff at his school have to keep a close eye on. Generally, Jack is a fit and healthy child but his teacher has noted that his lunch lacks healthy options like fruit.
Other appendices included in the online version of this paper.

A Homeomorphism of Lens Space Constructions
Kyle B. Weeks
ACKNOWLEDGEMENTS
I want to thank Dr. Justin Brown for his dedication and guidance through this process of scholarship and Dr. Steve Case for his encouragement in the pursuit of this rewarding work.


| ELAIA: The Honors Journal of Olivet Nazarene University


ELAIA: The Honors Journal of Olivet Nazarene University


ELAIA: The Honors Journal of Olivet Nazarene University


ELAIA: The Honors Journal of Olivet Nazarene University


| ELAIA: The Honors Journal of Olivet Nazarene University


ELAIA: The Honors Journal of Olivet Nazarene University


ELAIA: The Honors Journal of Olivet Nazarene University
| ELAIA: The Honors Journal of Olivet Nazarene University