2984 Kestrel St, Brighton -HC

Page 1


Knownforhercommitmenttoclient satisfactionandakeenunderstandingof thelocalmarket,Briispassionateabout helpingfamiliesfindtheirdreamhomes.

Withablendofprofessionalismanda personaltouch,sheguidesherclients througheverystepofthebuyingorselling process.Whenshe’snotassistingclients, Brienjoysexploringthecommunityand stayingconnectedwithitsvibrant neighborhoods TrustBritoturnyourrealestate dreamsintoreality!

Property Details

Maps

Local Schools

Community Utilities & Resources

Title & Escrow

The information contained is provided by WFG’s Customer Service Department to our customers, and while deemed reliable, is not guaranteed.

PROPERTY DETAILS

2984 KESTREL ST BRIGHTON CO 80601

R0196864

ADAMS COUNTY CO

OwnerInformation

Owner Name: KROHN MEGHAN L / Vesting: TENANTS IN SEVERALTY

Mail Address: 2984 KESTREL ST BRIGHTON CO 80601

Owner Status: OwnerOccupied

LocationInformation

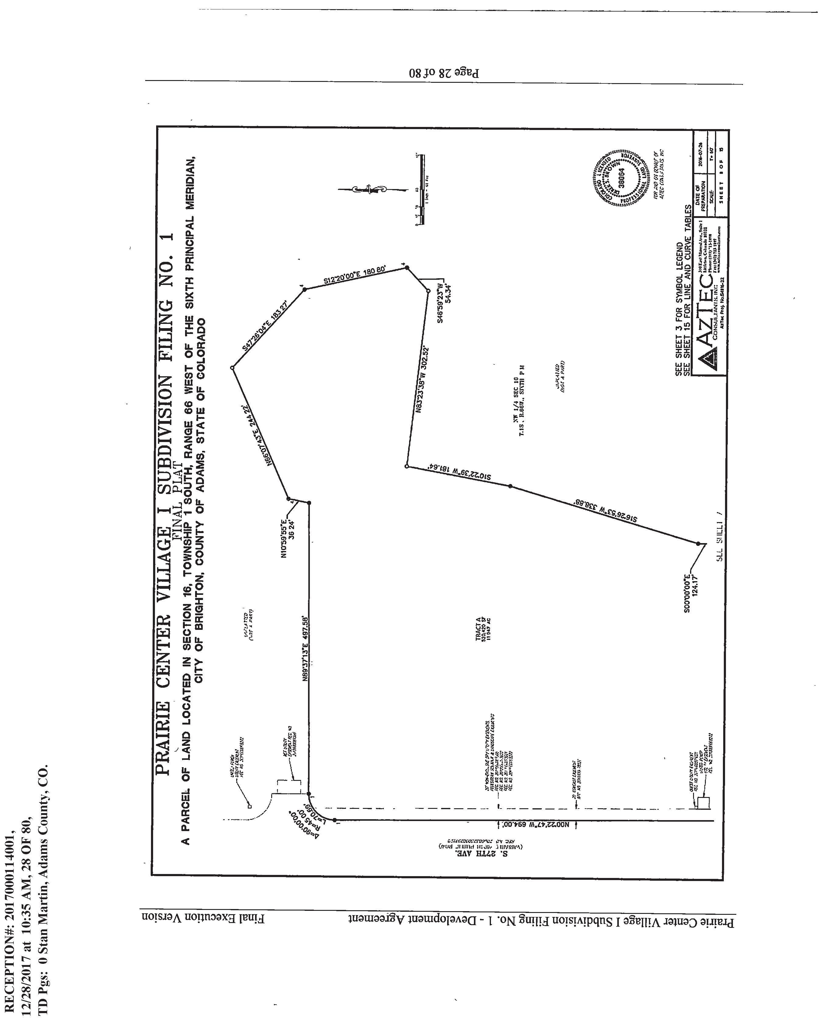
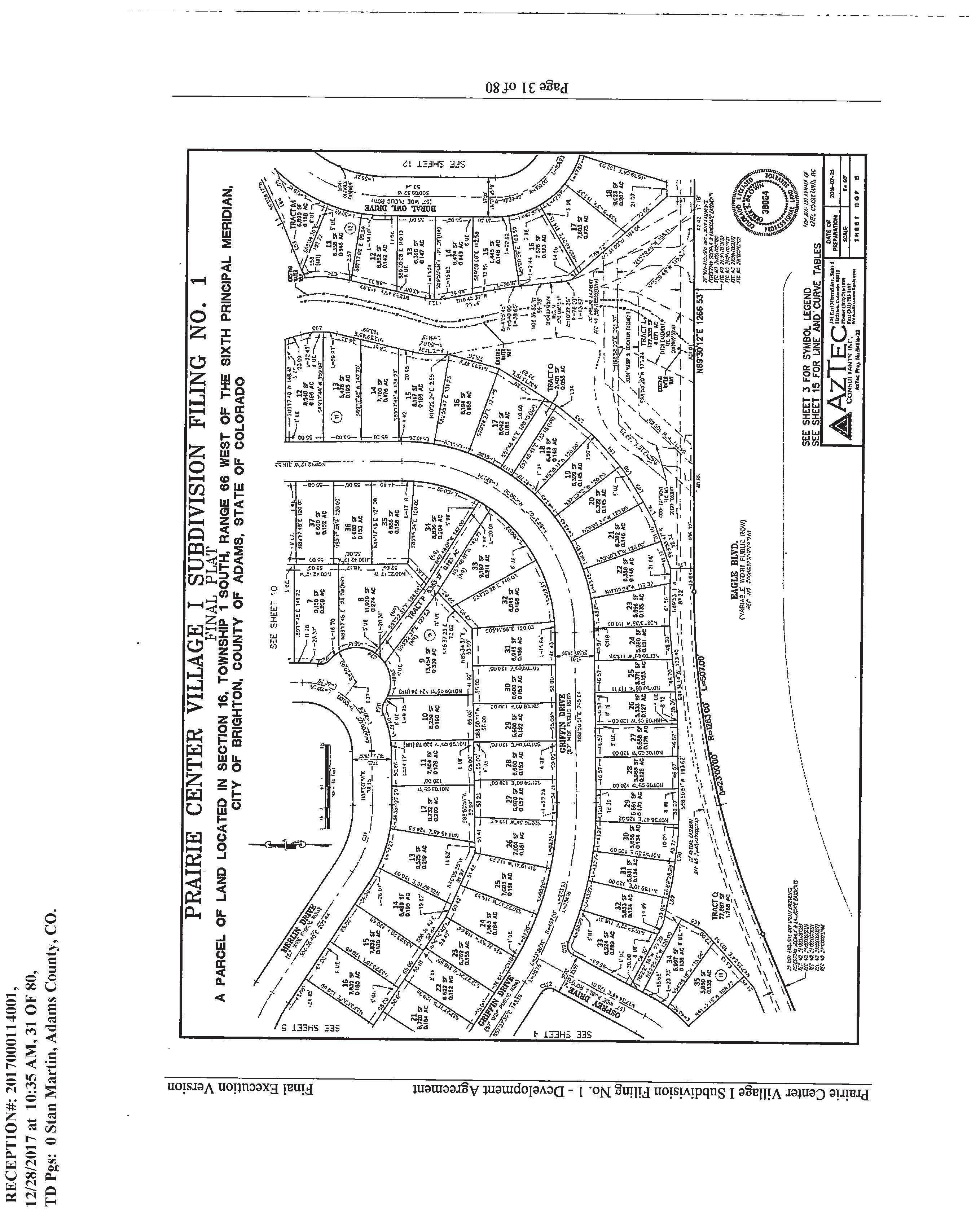
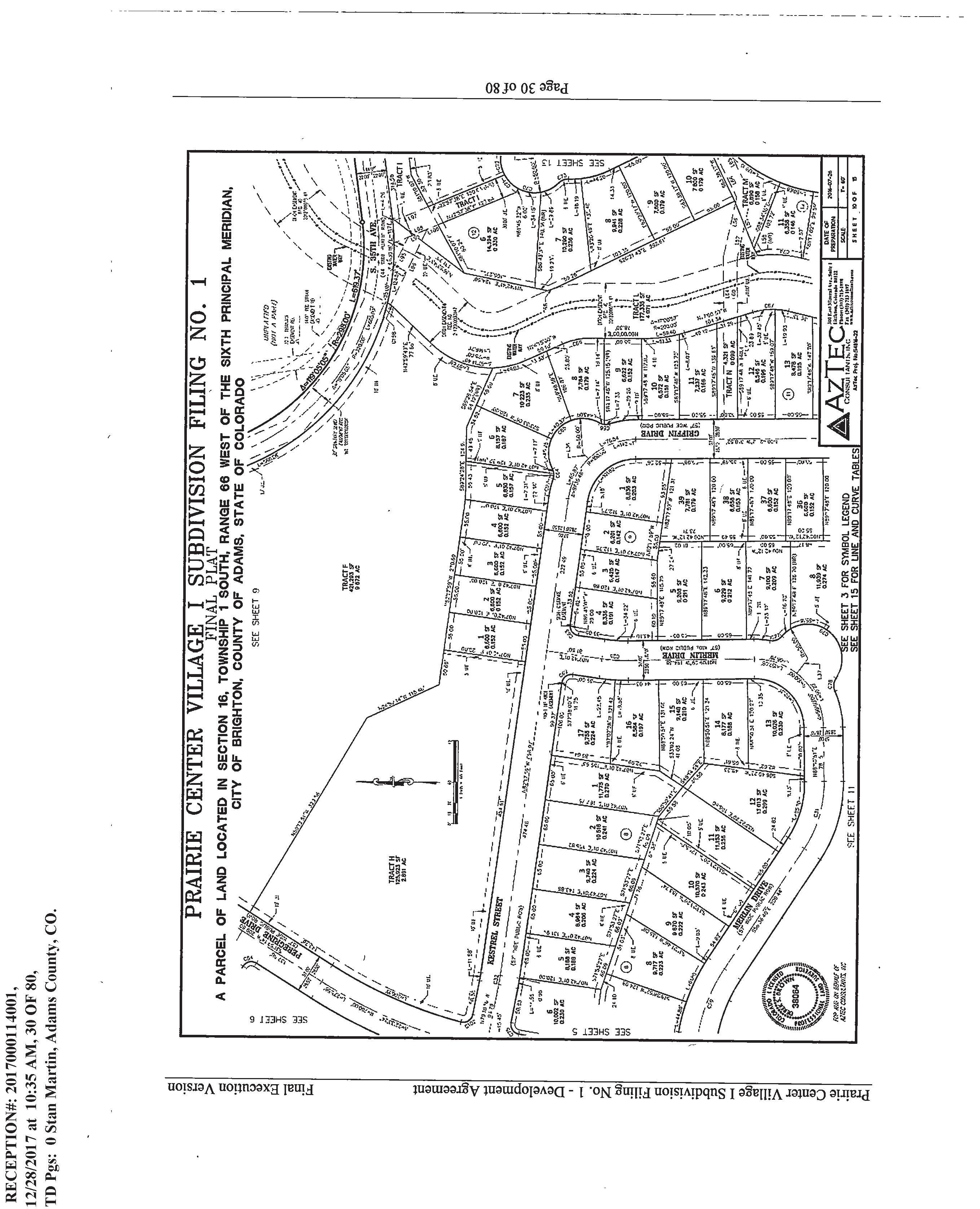
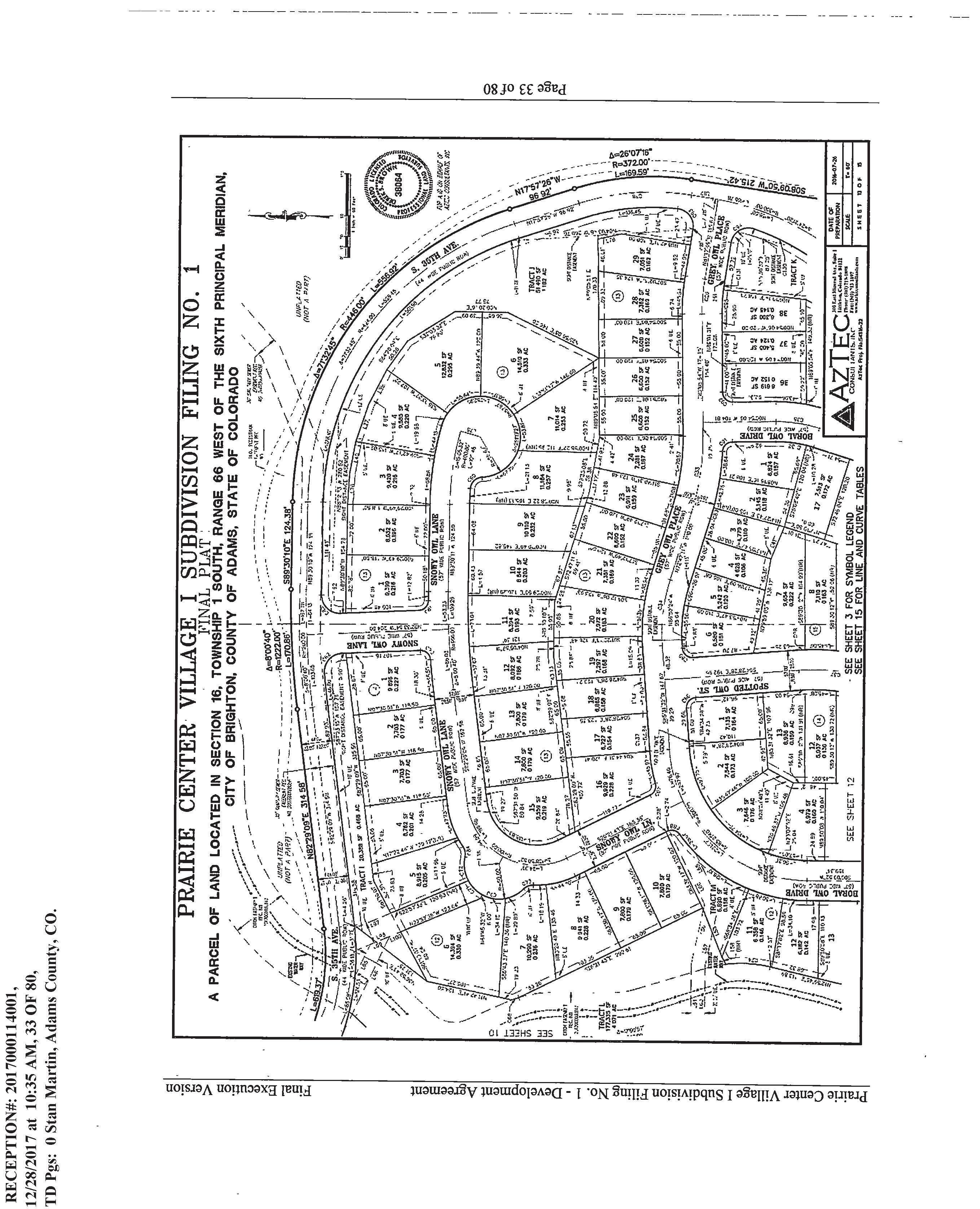
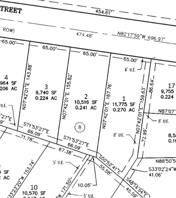
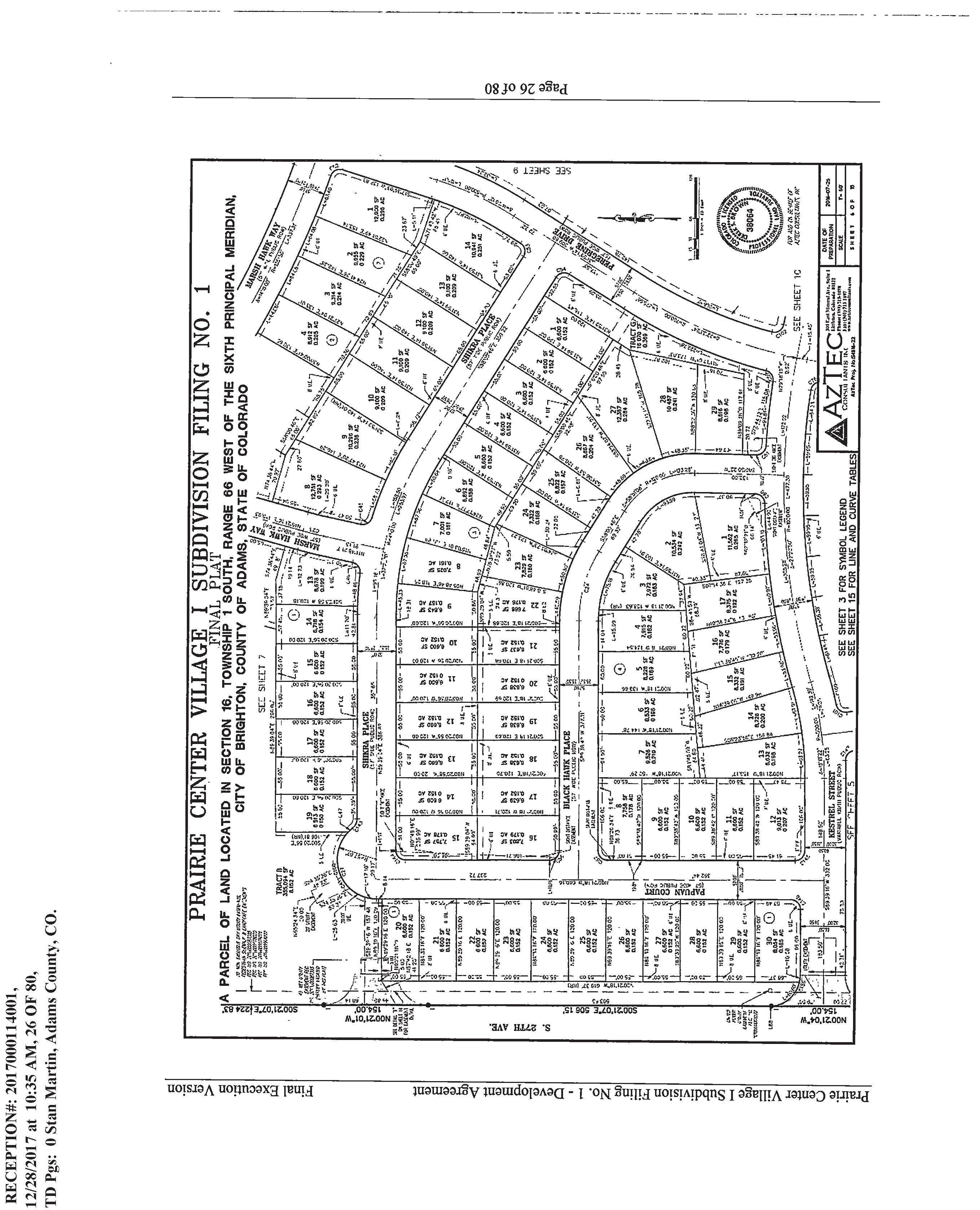
Legal Desc: PRAIRIE CENTER VILLAGE 1 SUBD FILING NO 1 BLK: 8 LOT: 2

County: ADAMS

Census/Block: 008552 / 2005

Tsp-Rng-Sec: T01S-R66W-S16

Lot / Block: Lot: 2 Block: 8

Housing Tract: PRAIRIE CENTER VILLAGE LastMarketSale

Date: 2020-03-26/2020-03-25

Sale Price: 416000

Document #: 2020.27733

Doc Type: SPECIAL WARRANTY DEED

$ Sqft: $271.72

Alt Parcel # 1569-16-3-10-014

School District:

Municipality:

Parcel #: R0196864

Lender: HOMEAMERICAN MORTGAGE CORP

Loan: 408465

Document #: 2020.27734

Loan Type: FEDERAL HOUSING ADMINISTR

Loan Term: 30 PriorSaleInformation

Date: 2019-07-01/2019-06-28

Lender: Price: 2604000

Document #: 2019.50839

Doc Type: QUIT CLAIM DEED

Loan:

Document #:

Loan Type:

The above is believed to be accurate, but is not guaranteed. Copyright © 1995-2025 CDS Marketing, Inc.

2984 KESTREL ST BRIGHTON CO 80601

R0196864

ADAMS COUNTY CO

PropertyCharacteristics

Gross Area: 2 257

Living Area: 1 531

Above Grade: 2,257

Bedrooms: 3

Bath (F/H): 2/

Fireplace:

Year Built: 2020

Parking Type: Garage

Garage Units: 3

Basement:

PropertyInformation Land Use: SFR

TaxandAssessmentInformation

Garage Area:

Roof Shape: GABLE

Interior Wall

Porch Type: COVERED SLAB

Foundation: CONCRETE Patio Type:

Roof Material: COMPOSITION

Construction: FRAME Fixtures:

Heat Type: CENTRAL F

Cooling Type: CENTRAL Equipment:

Exterior Wall: FRAME SIDING

Rooms: 6

1

Pool: No

MAPS

ASSESSOR MAP

This map/plat is being furnished as an aid in locating described land in relation to adjoining streets, natural boundaries and other land, and is not a survey of the land depicted. Except to the extent a policy of title insurance is expressly modified by endorsement, if any, the company does not insure dimensions, distances, location of easements, acreage or other matters shown thereon.

STREET MAP

This map/plat is being furnished as an aid in locating described land in relation to adjoining streets, natural boundaries and other land, and is not a survey of the land depicted. Except to the extent a policy of title insurance is expressly modified by endorsement, if any, the company does not insure dimensions, distances, location of easements, acreage or other matters shown thereon.

AERIAL MAP

This map/plat is being furnished as an aid in locating described land in relation to adjoining streets, natural boundaries and other land, and is not a survey of the land depicted. Except to the extent a policy of title insurance is expressly modified by endorsement, if any, the company does not insure dimensions, distances, location of easements, acreage or other matters shown thereon.

CITY BOUNDARY MAP

This map/plat is being furnished as an aid in locating described land in relation to adjoining streets, natural boundaries and other land, and is not a survey of the land depicted. Except to the extent a policy of title insurance is expressly modified by endorsement, if any, the company does not insure dimensions, distances, location of easements, acreage or other matters shown thereon.

SCHOOLS

2984 KESTREL ST BRIGHTON CO 80601

R0196864

ADAMS COUNTY CO

Brighton School District No. 27j

ElementarySchools

Southeast Elementary School

1595 E Southern Street BRIGHTON CO 80601

Grades: PK to 05

Charter School: N

Mary E Pennock Elementary School

Magnet School: N

3707 Estrella Street BRIGHTON CO 80601

Grades: PK to 05

Charter School: N

MiddleSchools

Vikan Middle School

879 Jessup Street BRIGHTON CO 80601

Grades: 06 to 08

Charter School: N

Overland Trail Middle School

Magnet School: N

Magnet School: N

455 North 19th Avenue BRIGHTON CO 80601

Grades: 06 to 08

Charter School: N

HighSchools

Bolt Academy

Magnet School: N

1850 Egbert Street BRIGHTON CO 80601

Grades: 09 to 12

Charter School: N

Brighton High School

Magnet School: N

270 South 8th Avenue BRIGHTON CO 80601

Grades: 09 to 12

Charter School: N

Magnet School: N

303-655-2650

Area Desc:

Distance: 2.3 Miles

Title One: SWP

720-685-7500

Area Desc:

Distance: 1.57 Miles

Title One: NO

303-655-4050

Area Desc:

Distance: 1.83 Miles

Title One: NO

303-655-4000

Area Desc:

Distance: 2.46 Miles

Title One: NO

720-685-5475

Area Desc:

Distance: 1.72 Miles

Title One: NO

303-655-4200

Area Desc:

Distance: 2.05 Miles

Title One: NO

Your assigned school should be the first school in each category, but it is recommended you check with the district or school. The above is believed to be accurate, but is not guaranteed. Copyright © 1995-2025 CDS Marketing, Inc.

Whatistheperformance framework?

2024PerformanceFrameworkResults

PerformanceIndicatorRatings

Howdidstudentsperformondifferentpartsofthe performanceframework?

Postsecondary& WorkforceReadiness: Approaching

Achievement: Approaching

Growth: Approaching

Exceeds Expectations Meets Expectations Approaching Expectations

DoesNotMeet Expectations

Howdothedifferentperformanceindicators factorintotheofficialperformancerating?

ImprovementStrategies

Whatstrategieshavebeenputin placetoaddressrootcauses?

Whatdoesthisratingmeanandhowdoesit comparetootherdistricts?

2024-25UnifiedImprovementPlan

Whatissuesunderliethese challenges?

Whereisthedistrictfocusingits attention?

2024PerformanceFrameworkResults

Whatistheperformance framework? OfficialPerformanceRating

PerformanceIndicatorRatings Howdidstudentsperformondifferentpartsofthe

Achievement: Approaching

Growth: Approaching

Exceeds Expectations Meets Expectations Approaching Expectations

DoesNotMeet Expectations

Howdothedifferentperformanceindicators factorintotheofficialperformancerating?

WhatisUnified ImprovementPlanning?

ImprovementStrategies

Whatstrategieshavebeenputin placetoaddressrootcauses?

Howareperformanceframeworkratingsdetermined?

Whatdoesthisratingmeanandhowdoesit comparetootherschools?

2024-25UnifiedImprovementPlan

RootCauses

Whatissuesunderliethese challenges?

PerformanceChallenges

Whereistheschoolfocusingits attention?

Whatistheperformance framework?

2024PerformanceFrameworkResults

Howdothedifferentperformanceindicators factorintotheofficialperformancerating?

ImprovementStrategies

Whatstrategieshavebeenputin placetoaddressrootcauses?

EngaginginContinuousImprovement throughGELLContinuum

Whatdoesthisratingmeanandhowdoesit comparetootherschools?

2024-25UnifiedImprovementPlan

RootCauses

Whatissuesunderliethese challenges?

Whereistheschoolfocusingits attention?

Assessmentpracticesarenotatthegrade levelexpectations.

Needtobuildcapacityinevidence-based writinginstruction. Listcontinues.Clickbelowtoviewmore. Lackofclarityongrade-levelskillsand concepts

2024PerformanceFrameworkResults

Whatistheperformance framework? OfficialPerformanceRating Howareperformanceframeworkratingsdetermined?

PerformanceIndicatorRatings Howdidstudentsperformondifferentpartsofthe

Postsecondary& WorkforceReadiness: Meets

Achievement: Approaching

Growth: Approaching

Exceeds Expectations Meets Expectations Approaching Expectations

DoesNotMeet Expectations

Howdothedifferentperformanceindicators factorintotheofficialperformancerating?

WhatisUnified ImprovementPlanning?

ImprovementStrategies

Whatstrategieshavebeenputin placetoaddressrootcauses?

CreatingaSafe,Structured,Predictable LearningEnvironment

IncreaseStudentParticipationin

PSAT/SAT

IncreasingTeacherClarity

Whatdoesthisratingmeanandhowdoesit comparetootherschools?

2024-25UnifiedImprovementPlan

RootCauses

Whatissuesunderliethese challenges?

Listcontinues.Clickbelowtoviewmore. ClarityofWhatStudentsShouldKnowand BeAbleToDo ClarityofWhatStudentsShouldKnowand BeAbletoDo AssessmentParticipation

ClickHeretoViewFullUnifiedImprovementPlan

PerformanceChallenges

Whereistheschoolfocusingits attention?

ELAAchievement

LowTestParticipation

MathAchievement

ClickHeretoViewFullPeformanceFrameworkReport

COMMUNITY

CITY OF BRIGHTON

42,591 POPULATION

$96,775

MEDIAN INCOME

37 MEDIAN AGE

Brighton, Colorado, straddling Adams and Weld counties, is a vibrant city known for its blend of small-town charm and growing suburban energy. Located about 25 miles northeast of downtown Denver, it offers easy access to both urban amenities and outdoor adventures, with the Rocky Mountains visible on the horizon. Brighton is home to a mix of agricultural roots and expanding residential neighborhoods, with a thriving local farmers market, community events, and plenty of parks and trails for outdoor enthusiasts. The city’s steady growth reflects its appeal as a family-friendly community that balances progress with a welcoming atmosphere.

SCHOOL DISTRICTS

Weld County School District RE-3J

School District 27J

HOUSING

69.3 of Homes Owner Occupied

30.7% of Homes Rented

POPULATION DENSITY

2,005 Inhabitants per Sq. Mile

14,213 Housing Units for a Density of 668.9 Homes per Square Mile

AGE DEMOGRAPHIC

24.4% under age 18

10.3% between ages 18 to 24

29.9% between ages 25 to 44

23% between ages 45 to 64

12.7% above age 65

CITY QUICK FACTS

Known as the “City of Choice”

21.536 Square Miles

5,023 Feet Elevation

Highest Average Temperature 90º

Lowest Average Temperature 16º

Brighton's history is deeply rooted in its agricultural beginnings and its strategic location along early transportation routes. Originally inhabited by Native American tribes, the area later became a key stop for settlers and traders in the 19th century. The arrival of the railroad in the late 1800s spurred growth, transforming Brighton into an important hub for farming and livestock shipping. Over the years, the city expanded from a rural farming community into a vibrant suburban area, while still honoring its agricultural heritage through events like the annual Corn Festival. Brighton’s evolution reflects a blend of tradition and modernization, making it a unique and enduring Colorado city.

ADAMS COUNTY BASE MAP

World Gym Fitness Center1292 E Bridge St303-655-83822.07

Fitness35 N 42nd Ave303-659-12612.09

Brighton Care Center2025 E Egbert St303-659-45801.69

Re7150 Poplar St303-289-711011.31

Paisley, Ian J4700 E Bromley Ln #201303-659-06671.57

Jaclynn SpencerS 20th Ave303-659-30621.66

George A Cope2700 E Bridge St303-659-51851.78 Mi Ehrhardt, Mark S Dds27 S 18th Ave303-659-18251.93 Mi Bruce L Peterson1790 E Bridge St #3303-659-10641.95 Mi

Bruggeman, Scott DDS - Prairi2223 Prairie Center Pky, #C303-654-34300.60

2984 KESTREL ST BRIGHTON CO 80601 R0196864

Vanek, Scott M MD - Platte Va1600 Prairie Center Pky303-498-16000.77

Barcz, Dennis V MD - Barcz &1606 Prairie Center Pky, #250303-431-88810.78 Mi

Norman, Sonya J MD - Brighton1606 Prairie Center Pky, #240303-659-11520.78 Mi

Campbell, Debra L DO - Premie1606 Prairie Center Pky, #300303-655-16850.78 Mi

UTILITIES & RESOURCES

BRIGHTON UTILITIES

Emergency/Police/Medical/Fire 911

Poison Control (800) 222-1222 www.aapcc.org

United States Postal Service (800) 275-8777 www.usps.com

Xfinity (800) 266-2278 www.xfinity.com

Spectrum (844) 509-8921 www.spectrum.com

Dish Network (800) 318-0572 www.dish.com

DIRECT TV (800) 531-5000 www.directtv.com

Brighton Standard Blade (303) 566-4100 www.coloradocommunitymedia.com/ brighton-standard-blade/

Colorado Natural Gas (800) 720-8193 www.coloradonaturalgas.com

Xcel Energy (800) 895-4999 co.my.xcelenergy.com

United Power (303)-637-1300 www.unitedpower.com

Brighton Water & Sewer (303) 655-2009 www.brightonco.gov/294/Utilities

Republic Services (303) 286-1200 www.republicservices.com

Waste Management (303) 286-1200 www.republicservices.com

Brighton School District 27J (303) 655-2900 https://www.sd27j.org/

CHANGE OF ADDRESS

USPS

Below is the website if you would like to change your address online or you can visit your local post o ce, they will provide you with the change of address packet.

https://moversguide.usps.com

Bene ts you will receive when you change your address online are:

♦ Exclusive mover savings coupons

♦ Safe and secure with identity veri cation by a simple $1.00 charge to your credit or debt card

♦ Email con rmation at the end of registration of your change of address

* Must have valid email address and credit card to register online.

Colorado Department of Transportation

Below is the website if you would like to change your address online or have any questions.

Region 1 and Headquarters

Denver/Central Colorado 2829 W Howard Place Denver, CO 80204 (303) 759-2368

www.codot.gov

VOTER REGISTRATION

Below is the website if you would like to change your address online or you can ll out the paperwork provided and mail it back to your County Elections O ce listed below.

sos.state.co.us/voter/pages/pub/home.xhtml

County Elections O ce Contacts

Adams County

4430 S Adams County Pkwy 1st Floor, Suite E3102 Brighton, CO 80601 (720) 523-6500

Arapahoe County 5334 S Prince St Littleton, CO 80120 (303) 795-4511

Boulder County 1750 33rd St, Suite 200 Boulder, CO 80301 (303) 413-7740

Broom eld County One DesCombes Dr Broom eld, CO 80020 (303) 438-6332

Denver County 200 W 14th Ave Denver, CO 80204 (720) 913-8683

Douglas County 125 Stephanie Place Castle Rock, CO 80109 (303) 660-7444

El Paso County 1675 W Garden of the Gods Rd Suite 2201 Colorado Springs, CO 80907 (719) 520-6202

Je erson County 3500 Illinois Street, Suite 1100 Golden, CO 80401 (303) 271-8168

MOVING CHECKLIST

UTILITIES

Electric

NW Natural Gas

Water District

Sewer District

Garbage Provider

Cable/Satellite

Fuel (Propane)

Phone Services

Internet

FINANCIAL INSTITUTIONS

Banks and Credit Unions

Credit Card Companies (including department store credit cards)

Lenders

(Mortgage, Home Equity, Auto, Student Loans)

Insurance Companies (Health, Renters, Auto, Home, Medical, Dental, Disability, Life)

Retirement (Pension plans, 401K, Social Security, Veterans A airs)

Investments

(Investment Agencies and Brokers)

Online Bill Payer

Paypal

GOVERNMENT OFFICES

US Post O ce

Department of Motor Vehicles

(Obtain your driver’s license and change vehicle registration)

IRS

Passport O ce

Veteran A airs

Unemployment O ce

(If you are currently receiving unemployment bene ts)

HEALTH

Physician

Pharmacies

SERVICE PROVIDERS

Childcare

Housecleaning Services

Delivery Services

Lawn Care Services

Veterinarian

Pool Service

MEMBERSHIPS

Health Clubs

Membership Clubs (AAA or similar)

Community Groups (PTA, Neighborhood Associations, Civic Clubs)

Children’s Extracurricular Activities (Dance Classes, Music Lesson, Sports Clubs)

SUBSCRIPTIONS

Newspapers

Magazine (USPS will only forward 2 months)

Movie Subscriptions

(Net ix, Blockbuster, etc)

Book or Music Clubs

OTHER

Friends and Family Employers

(typically notify the Human Resources Department)

MOVING CHECKLIST

8 WEEKS BEFORE YOUR MOVE

Inventory Sheets: Create an inventory sheet of all your belongings which need to be moved

Research Moving Options: You’ll need to decide if yours is a do-it-yourself move or if you’ll be using a moving company.

Request Moving Quote: Solicit moving quotes from as many moving companies and movers as possible. There can be a large di erence between rates and services within moving companies.

Discard Unnecessary Items: Moving is a great time for ridding yourself of unnecessary items. Have a yard sale or donate unnecessary items to charity.

Packing Material: Gather moving boxes and packing material for your move.

Contact Insurance Companies: You’ll need to contact your insurance agent to cancel/transfer your insurance policy.

4 WEEKS BEFORE YOUR MOVE

Start Packing: Begin packing all things destined for your new location.

Obtain Your Medical Records: Contact your doctor, physician, dentist and other medical specialists who may currently be retaining any of your family’s medical records. Obtain these records or make plans for them to be delivered to your new medical facilities if changing. Security is critical of personal records.

Note Food Inventory Levels: Check your cupboards, refrigerator and freezer. Use up as much of your perishable food as possible.

Small Engines: Service small engines for your move by extracting gas and oil from the machines. This will reduce that chance to catch re during your move.

Protect Jewelry and Valuables: Transfer your jewelry and valuables to a safety deposit box; you don’t want them to be lost or stolen during your move.

Borrowed and Rented Items: Return items which you may have borrowed or rented. Collect items borrowed to others.

1 WEEK BEFORE YOUR MOVE

Your Change of Address: Change your address with the USPS, DMV, Financial Institutions, Utilities, Government O ces, Health Care Service Providers, Memberships, Subscriptions and Insurance Provisions.

Bank Accounts: Transfer or close bank accounts if changing banks. Make sure to have a money order for paying the moving company.

Service Automobiles: If automobiles are to be driven long distance, you’ll want to have them serviced so you have a trouble-free drive.

Cancel Services: Notify any remaining service providers (newspapers, lawn services, etc.) of your move.

Travel Items: Set aside all items you’ll need while traveling. Make sure these are not packed on the moving truck..

Contact Utility Companies: Set utility turno date, seek refunds and deposits and notify them of your new address.

MOVING DAY

Plan Your Itinerary: Make plans to spend the entire day at the house or at least until the movers are on their way. Someone will need to be around to make decisions. Make plans for kids and pets to be at a sitters for the day.

Review the House: Once the house is empty, check the entire house (closets, attic, basement, etc.) to ensure no items are left or no home issues exist.

Double Check With Your Mover: Ensure the mover has the new property address and all of your most recent contact information, should they have any questions during your move.

Vacate Your Home: Make sure utilities are o , doors and windows are locked and notify your real estate agent you’ve vacated the property.

Questions To Ask: Where is the garage door opener? Where are the keys to the house, mailbox and other lockable area? Did you retrieve all keys from neighbors and friends?

AIRPORT

RESOURCE GUIDE

Denver International Airport (720) 730-4359 www. ydenver.com

AUTO & DRIVER REGISTRATION

Department of Transportation (303) 759-2368 www.codot.gov

BUS SERVICE

RTD (303) 299-6000 www.rtd-denver.com

Greyhound (800) 231-2222 www.greyhound.com

CABLE TV, INTERNET, PHONE & SATELLITE

Century Link (877) 803-8414 www.centurylink.com

Dish Network (800) 318-0572 www.dish.com

DIRECT TV (800) 531-5000 www.directtv.com

Spectrum (844) 509-8921 www.spectrum.com

XFINITY (800) 934-6489 www.comcast.com

CITY CONTACT

Arvada - (720) 898-7000 www.arvadaco.gov

Aurora - (303) 739-7000 www.auroragov.org

Boulder - (303) 441-3388 www.bouldercolorado.gov

Brighton - (303) 665-2000 www.brightonco.gov

Broom eld - (303) 469-3301 www.broom eld.org

Castle Rock - (303) 660-1015 www.castlerock.org

Centennial - (303) 325-8000 www.centennialco.gov

Colorado Springs (719) 385-2489 www.coloradosprings.gov

Commerce City (303) 289-3600 www.c3gov.com

Denver - (720) 913-1311 www.denvergov.org

Englewood - (303) 762-2300 www.englewoodgov.org

Erie - (303) 926-2700 www.erieco.gov

Federal Heights (303) 428-3526 www.fedheights.org

Fountain - (719) 332-2000 www.fountaincolorado.org

Glendale - (303) 759-1513 www.glendale.co.us

Golden - (303) 384-8000 www.cityofgolden.net

CITY CONTACT

Greenwood Village (303) 773-0252 www.greenwoodvillage.com

Highlands Ranch (303) 791-0430 www.highlandsranch.org

Lafayette - (303) 665-5588 www.cityo afayette.com

Lakewood - (303) 987-7000 www.lakewood.org

Littleton - (303) 795-3700 www.littletongov.org

Lone Tree - (303) 708-1818 www.cityo onetree.com

Longmont - (303) 776-6050 www.longmontcolorado.gov

Louisville - (303) 666-6565 www.louisvilleco.gov

Manitou Springs (719) 685-5481 www.manitouspringsco.gov

Northglenn - (303) 451-8326 www.northglenn.org

Parker - (303) 841-0353 www.parkeronline.org

Superior - (303) 499-3675 www.superiorcolorado.gov

Thornton - (303) 538-7575 www.cityofthornton.net

Westminter - (303) 658-2400 www.cityofwestminster.us

Wheat Ridge - (303) 234-5900 www.ci.wheatridge.co.us

RESOURCE GUIDE

COUNTY CONTACTS

Adams 4430 S Adams County Pkwy Brighton, CO 80601 (303) 659-2120

Arapahoe 5334 S Prince St Littleton, CO 80120 (303) 795-4400

Boulder County 1750 33rd St Boulder, CO 80301 (303) 413-7740

Broom eld County One DesCombes Dr Broom eld, CO 80020 (303) 469-3301

Denver County

200 W 14th Ave Denver, CO 80204 (720) 913-1311

Douglas County 125 Stephanie Place Castle Rock, CO 80109 (303) 660-7400

El Paso County 1675 W Garden of the Gods Rd Colorado Springs, CO 80907 (719) 520-7276

Je erson County 100 Je erson County Pkwy Golden, CO 80419 (303) 271-6511

ELECTRICITY

CORE Electric (303) 688-3100 www.core.coop

Xcel Energy (303) 615-5000 my.xcelenergy.com

MAJOR MEDICAL FACILITIES

AllHealth Network (303) 730-8858 www.allhealthnetwork.org

Anschutz (720) 848-0000 www.uch.edu

Avista (303) 673-1000 www.avistahospital.org

Boulder Community Hospital (303) 440-2273 www.bch.org

Castle Rock Adventist (720) 455-5000 www.centura.org

Centennial Medical Plaza (303) 699-3000 www.auroramed.com

Children’s Hospital Colorado (720) 777-1234 www.childrenscolorado.org

Craig Hospital (303) 789-8000 www.childrenscolorado.org

Denver Health (303) 436-6000 www.denverhealth.org

Good Samaritan (303) 689-4000 www.sclhealth.org

Kaiser Permanente (303) 338-3800 www.kp.org

Littleton Adventist Hospital (303) 730-8900 www.littleton-adventist-hospital

Lutheran Medical Center (303) 425-4500 www.lutheranmedicalcenter.org

MAJOR MEDICAL FACILITIES

Medical Center of Aurora (303) 695-2600 www.auroramed.com

North Suburban Medical (303) 451-7800 www.northsubruban.com

Parker Adventist Hospital (303) 269-4000 www.parkerhospital.org

Platte Valley Medical (303) 498-1600 www.pvmc.org

Porter Adventist Hospital (303) 778-1955 www.mylittletonhospital.org

Presbyterian / St Luke’s (303) 839-6000 www.pslmc.com

Rocky Mountain Hospital (720) 754-1000 www.rockymountainhospitalforchildren.com

Rose Medical Center (303) 320-2121 www.rosemed.com

Sky Ridge Medical Center (720) 225-1000 www.skyridgemedcenter.com

St. Anthony Medical Center (720) 225-1000 www.stanthonyhosp.org

Swedish Medical Center (866) 779-3474 www.swedishhospital.com

UCHealth (720) 516-1000 www.uchealth.org

University of Colorado Hospital (303) 372-0000 www.uch.edu

RESOURCE GUIDE

RECREATION

Aquarium (303) 561-4450 www.downtownaquariumdenver.com

Black Canyon of Gunnison 9800 Hwy 347, Montrose www.nps.gov

Butter y Pavilion (303) 469-5441 www.butter ies.org

Boondocks (720) 842-1100 www.boondocks.com/parker

Castle Rock Adventure Park (720) 733-9477 www.castlerockziplinetours.com

Cheyenne Mountain Zoo (719) 633-9925 www.cmzoo.org

Children's Museum Denver (303) 433-7444 www.mychildsmuseum.org

Colorado State Parks (303) 470-1144 www.colorado.gov/capitol

Coors Brewing Company (303) 277-2337 www.coors.com

Denver Botanic Gardens (720) 865-3500 www.botanicgardens.org

Denver Zoo (720) 337-1400 www.denverzoo.org

Dinosaur Ridge (303) 697-3466 www.dinoridge.org

Elitch Gardens Amusement Park (303) 595-4386 www.elitchgardens.com

RECREATION

Family Sports Center (303) 708-9500 www.ssprd.org

Four Mile Historic Park (303) 399-1859 www.fourmilepark.org

Garden of the Gods (719) 634-6666 www.gardenofgods.com

Great Sand Dunes National Park and Preserve 11999 State Hwy 150, Mosca www.nps.gov

Heritage Square (303) 727-8437 www.heritagemusementpark.com

Hudson Gardens (303) 797-8565 www.hudsongardens.org

Lakeside Amusement Park (303) 477-1621 www.lakesideamusementpark.com

Lollipop Park (303) 761-8700 www.lollipoppark.com

Mile High Flea Market (303) 289-4656 www.milehigh eamarket.com

National Center for Atmospheric Research (303) 497-1174 www.ucar.edu

Pikes Peak Cog Railway (719) 685-5401 www.cograilway.com

Pirates Cove Family Aquatic (303) 762-2683 www.piratescovecoloardo.com

RECREATION

Rocky Mountain National Park 1000 US Hwy 36, Estes Park www.nps.gov

Tiny Town (303) 697-6829 www.tinytownrailroad.com

Waterworld (303) 427-7873 www.waterworldcolorado.com

SHOPPING

Arapahoe Marketplace 8505 E Arapahoe Rd Greenwood Village, CO

Arapahoe Crossings 6400-6700 S Park Rd Aurora, CO

Bowles Crossing 8055 W Bowles Ave Littleton, CO

Centennial Promenade 9555 E County Line Rd Centennial, CO

Chapel Hills Mall 1710 Briargate Blvd Colorado Springs, CO

Cherry Creek North 299 Milwaukee St Denver, CO

Cherry Creek 3000 E 1st Ave Denver, CO

Citadel Mall 750 Citadel Dr E Colorado Springs, CO

Colorado Mills 14520 W Colfax Ave Lakewood, CO

RESOURCE GUIDE

SHOPPING

Denver Pavilions 16th Street Mall and Glenarm Pl Denver, CO

Downtown Boulder Pearl Street and Broadway Boulder, CO

Festival Shopping Center 8110 S University Blvd www.festivalshoppingcenter.com

FlatIron Crossing One W Flatiron Crossing Dr Broom eld, CO

Heritage Hills 9227 Lincoln Ave Lone Tree, CO

Larimer Square 1430 Larimer Denver, CO

Marketplace at Northglenn 104th Ave and I-25 Denver, CO

Marina Square

8101 E Belleview Ave Denver, CO

Oakbrook

311 E County Line Rd Littleton, CO

Outlets at Castle Rock

5050 Factory Shops Blvd Castle Rock, CO

Park Meadows 8401 Park Meadows Center Dr Lone Tree, CO

Shops at Highland Walk 4000 Red Cedar Dr Highlands Ranch, CO

Southlands E Smoky Hill Rd and E-470 Aurora, CO

SHOPPING

Shops at Highland Walk 4000 Red Cedar Dr Highlands Ranch, CO

Southwest Plaza 8501 W Bowles Ave Littleton, CO

The Streets at SouthGlenn 6991 S Vine St Centennial, CO

Town Center at Aurora 14200 E Alameda Ave Aurora, CO

Twenty Ninth Street

Arapahoe Ave and 28th St Boulder, CO

Willow Creek 8200 S Quebec St Centennial, CO

Village at the Peaks 1250 S Hover Rd Longmont, CO

TRANSFER STATIONS

Colorado Springs Transfer Station

wmsolutions.com 1965 Commercial Blvd Colorado Springs, CO 80906

South Metro Transfer Station wmsolutions.com 2400 West Union Avenue Englewood, CO 80110

D&R Transfer Station wmsolutions.com 6091 Brighton Blvd Commerce City, CO 80022

VOTER REGISTRATION

Adams County 4430 S Adams County Pkwy 1st Floor, Suite E3102 Brighton, CO 80601 (720) 523-6500

Arapahoe County 5334 S Prince St Littleton, CO 80120 (303) 795-4511

Boulder County 1750 33rd St, Suite 200 Boulder, CO 80301 (303) 413-7740

Broom eld County One DesCombes Dr Broom eld, CO 80020 (303) 438-6332

Denver County 200 W 14th Ave Denver, CO 80204 (720) 913-8683

Douglas County 125 Stephanie Place Castle Rock, CO 80109 (303) 660-7444

El Paso County 1675 W Garden of the Gods Suite 2201 Colorado Springs, CO 80907 (719) 520-6202

Je erson County

3500 Illinois Street, Suite 1100 Golden, CO 80401 (303) 271-8168

TITLE & ESCROW

CYBER SECURITY

Because of you… we obsess over cyber security!

Cyber fraud and email hacking is on the rise. Fraudsters may access individual email accounts and monitor the life of your transaction. At the time funds are due to the escrow, fraudsters intercept the information for wiring funds and the fraudsters change the information without the knowledge of the sender or recipient, resulting in the funds being sent to an outside account and never credited to the intended party.

To protect and reduce your risk, WFG has implemented the following procedures for outgoing and incoming wires:

Outgoing Wire from WFG to seller or borrower for proceeds

In the escrow paperwork provided you will be asked to provide written instructions on how you want funds dispersed at the close of escrow. If you choose to have the funds sent via wire transfer, WFG will contact you by phone to con rm the wire information provided.

Incoming Wires from buyer and/or lender to WFG bank account

For funds that are to be wired to WFG for your transaction, we will send speci c wire instructions to the remitting person via an encrypted email. We recommend you reach out to your WFG contact to con rm the wire instructions prior to remittance.

We look forward to processing your escrow transaction for you. We know that this can be a stressful time and we are here to assist you in any way we can to make this a good experience.

http://national.wfgnationaltitle.com/2016/04/05/obsess-cyber-security/

WIRE FRAUD

PROTECT YOUR MONEY WHEN BUYING A HOME: YOUR WIRE FRAUD CHECKLIST

Every day, hackers try to steal your money by emailing fake wire instructions. Criminals will use a similar email address and steal a logo and other info to make it look like the email came from your real estate agent or title company. You can protect yourself and your money by following the steps below.

Don’t send sensitive nancial information via email.

Call, don’t email. Con rm your wiring instructions by phone using a known number before transferring funds.

We will never email wiring instructions to you nor change WFG account information after it’s been provided to you by our sta .

Keep your email account clean, remove any stale messages. Hackers can watch your business patterns and use this information against you.

Ask your bank to con rm the name on the account before sending a wire.

Call your title company or real estate agent within four to eight hours to con rm they have received your money.

This is for informational purposes only and should not be considered legal advice.

WHY IS OWNER’S TITLE INSURANCE IMPORTANT?

The purchase of a home is likely going to be one of the most expensive and important purchases you will ever make. You and your mortgage lender want to make sure the property is indeed yours and that no individual or government entity has any right, lien, claim, or encumbrance to your property.

The title insurance company’s function is to make sure your rights and interests to the property are clear, that transfer of title takes place e ciently, and correctly, and your interests as a homebuyer are protected. Title insurance companies provide services to buyers, sellers, real estate developers and builders, mortgage lenders, and others who have an interest in the real estate transfer. Title companies issue two types of policies - “Owners Policy” (which covers the homebuyer) and “Lenders Policy” (which covers the bank, savings and loan, or other lending institution over the life of a loan). Both are issued at the time of purchase for a one-time premium.

The title company conducts an extensive search of public records to determine if anyone other than you has an interest in the property before issuing a policy. The search may be performed by title company personnel using either public records, or more likely, information gathered, reorganized, and indexed in the company’s title “plant”. With such a thorough examination of records, title problems can usually be found and cleared up prior to purchase of the property. Once a title policy is issued, if for some reason any claim, which is covered under your title policy, is ever led against your property, the title company will pay the legal fees involved in defense of your rights as well as any covered loss arising from a valid claim. That protection, which is in e ect as long as you or your heirs own the property, is yours for a one-time premium paid at the time of purchase.

The title company works to eliminate risks before they develop. This makes title insurance di erent from other types of insurance. Most forms of insurance assume risks by providing nancial protection through a pooling of risks or losses arising from unforeseen events, like re, theft, or accident. The purpose of title insurance, on the other hand, is to eliminate risks and prevent losses caused by defects in title that happened in the past. Risks are examined and mitigated before property changes hands. Eliminating risk has bene ts to both of you, the home buyer, as well as the title company. It reduces the chance adverse claims might be raised, and by doing so reduces the number of claims that have to be defended or satis ed. This keeps costs down for the title company and your title premiums low. With title insurance you are assured that any valid claim against your property will be taken on by the title company, and that the odds of a claim being led is slim.

WHAT IS ESCROW

When your o er has been accepted and conveyed, escrow is opened. An escrow is an arrangement made under contract between a buyer and seller. As the neutral third party, escrow is responsible for receiving and disbursing money and/ or documents. Both the buyer and seller expect the escrow agent to carry out their written instructions associated with the transaction and also to advise them if any of their instructions are not being met, or cannot be met. If the instructions from all parties to an escrow are clearly set out, the escrow o cer can proceed on behalf of the buyer and seller without further consultation.

TYPICAL ROLES IN THE CLOSING PROCESS

The Seller/Agent

• Delivers Purchase Sale Agreement to the escrow agent

• Prepares the paperwork necessary to close the transaction

• Approves the commitment for title insurance, or other items as called for by the Purchase Sale Agreement

The Buyer/Agent

• Deposits funds required to close with the escrow agent

• Executes the paperwork and loan documents necessary to close the transaction

The Lender

• Deposits loan documents to be provided by the buyer

• Deposits the loan funds

• Informs the escrow agent of the conditions under which the loan funds may be used

The Escrow Agent

• Clears Title

• Obtains title insurance

• Obtains payo s and release documents for underlying loans on the property

• Receives funds from the buyer and/or lender

• Prepares vesting document a davit on seller’s behalf

• Prorates insurance, taxes, rents, etc.

• Prepares a nal statement (often referred to as the Closing Disclosure or CD) for each party, indicating amounts paid in conjunction with the closing of your transaction

• Forwards deed to the county for recording

• Once the proper documents have been recorded, the escrow agent will distribute funds to the proper parties

Escrow is the process that gathers and processes many of the components of a real estate transaction. The escrow agent is a neutral third party acting on behalf of the buyer and seller.

WHAT IS TITLE

Title insurance insures against nancial loss from defects in title, liens, or other matters. It protects both purchasers and lenders against loss by the issuance of a title insurance policy. Usually, during a purchase transaction the lender requests a policy (commonly referred to as the Lender’s Policy) while the buyers receive their own policy (commonly referred to as an Owner’s Policy).

It will protect against lawsuits if the status of the title to a parcel or real property is other than as represented, and if the insured (either the owner or lender) su ers a loss as a result of a title defect. The insurer will reimburse the insured for that loss and any related legal expenses.

How is title insurance di erent than other types of insurance?

While the purpose of most other types of insurance is to assume risk through the pooling of monies for losses happening because of unforeseen future events (like sickness or accidents), the primary purpose of title insurance is to eliminate risks and prevent losses caused by defects in title arising out of events that have happened in the past. To achieve this, title insurers perform a thorough search and examination of the public records to determine whether there are any adverse claims (title defects) attached to the subject property. These defects/claims are either eliminated prior to the issuance of a title policy or their existence is excepted from coverage. The policy is issued after the closing of your new home, for a one time nominal fee, and is good for as long as you own the property.

What’s involved in a title search?

A title search is made up of three separate searches:

• Chain of Title – History of the ownership of the subject property

• Lien & Encumbrance Search – Discloses liens and encumbrances on the subject property

• Exceptions from Coverage Search –Includes Easements, Covenants, Conditions and Restrictions, etc.

After the three searches have been completed, the le is reviewed by an examiner who determines:

• If the Chain of Title shows that the party selling the property has the rights to do so.

• Whether there are any unsatis ed judgments on the Judgment and Name Search against the previous owners, sellers, or/and purchasers.

Rights established by judgment decrees, unpaid federal income taxes, and mechanics liens all may be prior claims on the property, ahead of the buyer’s or lender’s rights. The title search will only uncover issues in title that are of public record and therefore allowing the title company to work with the seller to clear up these issues and provide the new buyer with title insurance.

Once the searches have been examined, the title company will issue a commitment, stating the conditions under which it will insure title. The buyer, seller, and the mortgage lender will proceed with the closing of the transaction after clearing up any defects in the title that have been uncovered by the search and examination.

WHO PAYS FOR WHAT IN COLORADO

The examples below are typical. However, the real estate purchase agreement will ultimately determine who is paying for what expenses.

The Seller

• Real Estate Commission

• Document preparation fee for Deed

• Payo of all loans in the seller’s name (or existing loan balance if being assumed by Buyer)

• Interest accrued to lender being paid o

• Statement Fees, Reconveyance Fees, and any prepayment penalties to Payo Lender

• Home Warranty (according to contract)

• Any judgments, tax liens, etc. against the seller

• Tax proration (for any taxes unpaid at time of transfer of title)

• Any unpaid Homeowners’ Association dues

• Recording charges to clear documents of record against seller

• Any bonds or assessments (according to contract)

• Any and all delinquent taxes

• Notary Fees

Personal Property vs. Real Property

The Buyer

• Title Insurance Premium for Lender’s Policy

• Escrow Fee (one half)

• Document preparation (if applicable)

• Notary fees

• Recording charges for all documents in Buyers’ names

• Tax proration (from date of acquisition)

• Homeowners’ Association transfer fee

• HOA proration (from date of acquisition)

• All new loan charges (except those required by lender for seller to pay

• Interest on new loan from date of funding to 30 days prior to rst payment date

• Assumption/Change of Record fees for takeover of existing loan (if applicable)

• Bene ciary Statement Fee for assumption of existing loan (if applicable)

• Inspection Fees (roo ng, property inspection, geological)

• Home Warranty (according to contract)

• Fire Insurance Premium for rst year

• Any bonds or assessments (according to contract)

The distinction between personal property and real property can be the source of di culties in a real estate transaction. A purchase contract is normally written to include all real property; that is, all aspects of the property that are fastened down or which are an integral part of the structure. For example, this would include light xtures, drapery rods, attached mirrors, and trees and shrubs in the ground. It would not include potted plants, free-standing refrigerators, washer/dryer, microwave, bookcases, lamps, etc. If there is any uncertainty whether an item is included in the sale or not, it is best to be sure that the particular item is mentioned in the purchase agreement as being included or excluded.

DISCLAIMER:

This information is provided for informational purposes only and no warranties are made.

TITLE VESTING

TENANCY IN SEVERALTY

Ownership of property vested in one person rather than held jointly with another.

JOINT TENANCY WITH RIGHT OF SURVIVORSHIP TENANCY IN COMMON

Parties need not be married; may be more than two persons.

Parties need not be married; may be more than two persons.

Also called sole tenancy.

The sole owner may use, encumber, rent, sell, and convey at their discretion.

The owner may transfer the property via a Will, Trust, or a Bene ciary Deed upon their death.

Each joint tenant holds an equal and undivided interest in the estate, unity of interest.

Upon death, the estate of the decedent must be “cleared” through probate or adjudication.

One joint tenant can partition the property by selling his or her joint interest.

Each joint tenant holds an undivided fractional interest in the estate. May be disproportionate interest e.g. 20% and 80%; 40% and 60%; etc.

Each tenant’s share can be conveyed, mortgaged, or devised to a third party.

Requires signatures of all joint tenants to convey or encumber the whole.

Requires signatures of all to convey or encumber the whole.

Estate passes to surviving joint tenants outside of probate.

No court action required to “clear” title upon the death of joint tenant(s).

Upon death, the tenant’s proportionate share passes to his or her heirs by will or intestacy.

Upon death, the estate of the decedent must be “cleared” through probate or adjudication.

DISCLAIMER – The foregoing contains informational examples only and is not to be construed as legal advice. Given the complexities involved in acquiring and holding legal title to real property, WFG strongly recommends that you seek legal advice from an attorney prior to doing so.

55 Madison Street, Suite 690

Denver, CO 80206 (720) 475-8325

NORTH

12050 N Pescos Street, Suite 110 Westminster, CO 80234 (720) 475-8350

8610 Explorer Drive, Suite 105

Colorado Springs, CO 80920 (719) 598-5355

7800 E Union Avenue, Suite 310 Denver, CO 80237 (720) 475-8300

3. DENVER TECH CENTER / COMMERCIAL
4.
METRO OFFICE
2. COLORADO SPRINGS OFFICE
1. CHERRY CREEK OFFICE

TABLE OF CONTENTS

Altos Market Report

WFG’s My Home

Talking House Tent Cards

CC&R’s (if applicable)

The information contained is provided by WFG’s Customer Service Department to our customers, and while deemed reliable, is not guaranteed.

Your Local Market Report

Brighton, CO 80601

REPORT FOR 9/17/2025

Single-Family Homes

This week the median list price for Brighton, CO 80601 is $549,000 with the market action index hovering around 37. This is less than last month's market action index of 38. Inventory has decreased to 163.

Market Action Index

This answers “How’s the Market?” by comparing rate of sales versus inventory.

Real-Time Market Profile

Slight Seller's Advantage

Market Narrative

The market has been cooling over time and prices plateaued for a while. Despite the consistent decrease in MAI, we’re in the Seller’s zone. Watch for changes in MAI. If the MAI resumes its climb, prices will likely follow suit. If the MAI drops consistently or falls into the Buyer’s zone, watch for downward pressure on prices.

Market Segments

Slight Seller's Advantage

Each segment below represents approximately 25% of the market ordered by price.

Median List Price

Again this week we see prices in this zip code remain roughly at the level they’ve been for several weeks. Since we’re significantly below the top of the market, look for a persistent up-shift in the Market Action Index before we see prices move from these levels. 7-Day

Segments

In the quartile market segments, we see prices in this zip code have settled at a price plateau across the board. Prices in all four quartiles are basically mixed. Look for a persistent shift (up or down) in the Market Action Index before prices move from these current levels.

Price Per Square Foot

The market plateau is seen across the price and value. The price per square foot and median list price have both been reasonably stagnant. Watch the Market Action Index for persistent changes as a leading indicator before the market moves from these levels.

Inventory has been relatively steady around these levels in recent weeks.

Market Action Index

The market has been cooling over time and prices plateaued for a while. Despite the consistent decrease in MAI, we’re in the Seller’s zone. Watch for changes in MAI. If the MAI resumes its climb, prices will likely follow suit. If the MAI drops consistently or falls into the Buyer’s zone, watch for downward pressure on prices.

Not surprisingly, all segments in this zip code are showing high levels of demand. Watch the quartiles for changes before the whole market changes. Often one end of the market (e.g. the highend) will weaken before the rest of the market and signal a slowdown for the whole group.

Median Days on Market (DOM)

The properties have been on the market for an average of 75 days. Half of the listings have come newly on the market in the past 50 or so days. Watch the 90-day DOM trend for signals of a changing market.

Segments

It is not uncommon for the higher priced homes in an area to take longer to sell than those in the lower quartiles.

Instant access to

WFG’s MyHome® provides full transparency, real-time updates, and post-closing home information in a secure built with YOU in mind.

Contact information for

Sign up for an account at https://myhome.wfgtitle.com today!

Click Register for MyHome® account on a MyHome® email to https://myhome. wfgtitle.com

Complete a brief registration form. Use your email address on immediate access.

via text, email, or

for your transaction

your escrow team

CONSUMER EXPERIENCE TIMELINE

TRANSACTION CLOSED

GATHER UP

SIGNING SCHEDULED

CLOSE TO SIGNING

TITLE CLEARED

UPDATER INVITATION

TITLE REPORT DELIVERED

TRANSACTION STARTED

MIDPOINT FEEDBACK

EARNEST MONEY

THINGS TO REMEMBER

Covenants, Conditions & Restrictions

We believe these are the correct conditions and restrictions.

However, no examination of title has been made and WFG National Title assumes no liability for any additions, deletions or corrections.

Turn static files into dynamic content formats.

Create a flipbook
Issuu converts static files into: digital portfolios, online yearbooks, online catalogs, digital photo albums and more. Sign up and create your flipbook.