Luz, lámparas, luminotécnia

Page 1


¿

qué es la luz ?

1 fundamentos I

Radiación electromagnética de una longitud de onda comprendida entre 380 y 780 nm, que produce percepción visual

Pablo Martínez –Michela Mezzavilla

fundamentos I

Pablo Martínez –Michela Mezzavilla
LUZ
Pablo Martínez –Michela Mezzavilla
Pablo Martínez –Michela Mezzavilla

¿Porquésedescomponelaluzal pasarporunprisma?

Al hacer pasar la luz por un prisma de cristal, las distintas longitudes de onda que componen el haz de luz viajan dentro de él a diferente velocidad y se curvan de manera diferente al entrar y al salir (doble refracción al cambiar de medio) dando como resultado un haz desviado de la dirección inicial y con sus componentes separados. Así surge el espectro solar.

El disco de Newton es un dispositivo inventado por Isaac Newton, que consiste en un círculo con sectores pintados en colores rojo, naranja, amarillo, verde, azul, añil y violeta. Al girar rápidamente, los colores se combinan formando el color blanco. Con este dispositivo se demuestra que la luz blanca está formada por los siete colores del arco iris, y que el color negro es la ausencia de todos los colores.

Martínez –Michela Mezzavilla 8 fundamentos I

5 fundamentos I

Pablo
Pablo Martínez –Michela Mezzavilla
Pablo Martínez –Michela Mezzavilla
Pablo Martínez –Michela Mezzavilla

la visión

fundamentos I

fundamentos

Pablo Martínez –Michela Mezzavilla
Pablo Martínez –Michela Mezzavilla retina

…estasensibilidadespecificasedebealapresenciadeunassustancias llamadas opsinas.Laeritropsinatienemayorsensibilidad paralaslongitudesdeonda largasdealrededorde560nanómetros(luzroja),lacloropsinaparalongitudesde ondamediasdeunos530nanómetros(luzverde)yporúltimolacianopsinacon mayorsensibilidadparalaslongitudesdeondapequeñasdeunos 430 nanómetros (luzazul).El cerebro interpretalos colores apartirdelarazónde estimulacióndelostrestiposdeconos.

…Contienenrodopsina,queesunaproteínaquepresentaunamayorsensibilidada laslongitudesdeondacercanasa500 nanómetros,esdecir,alaluzverdeazulada.

…Estascélulassonmuysensibles,capacesdedetectarlaenergíadeunsólo fotón y lasresponsablesportantodequeseaposiblelavisiónnocturna. 12 fundamentos I

11 fundamentos I

Pablo Martínez –Michela Mezzavilla
Pablo Martínez –Michela Mezzavilla
Visión fotópica
Visión mesópica
Visión escotópica
Efecto Purkinje
Casquillos para incandescentes

Incandescencia

Halógenas

Fluorescencia (Lineal y compacta)

Halogenuros metálicos

Vapor de Sodio LED

Types of light sources (or lamps)

Incandescent Halogens

Fluorescence (linear and compact)

Metal halides

Sodium Vapor Led

LÁMPARAS

¿Cómo diferenciarlas?

· Potencia eléctrica

· Potencia “luminosa”

· Temperatura de color

· Índice de reproducción cromática

· Restricciones técnicas -encendidos -regulación -vida -estabilidad

· Otras no cuantificables -Calidad de la sombra

LAMPS

How to differentiate them?

· Electric power

· "Luminous" power

· Color temperature

· Color rendering index

· Technical restrictions -Switching on -regulation -lifetime -stability

· Other non-quantifiable -Shadow quality

Tipos de fuentes de Luz (o lámparas)

LÁMPARAS

Potencia eléctrica

LAMPS

Electric power

1w3w20w35w45w60w70w100w150w200w300w1000w2000w

(Rendimiento)

LIGHT EFFICIENCY (Performance)

Lm / W

EFICACIA LUMINOSA

IRC / Índice de Reproducción cromática

CRI / Color renderingindex

Restricciones técnicas

Technicalrestrictions

Incandescente Incandescent Fluorescent Fluorecent

Halogenuros Metálicos Metal Halides

-Encendidos > -númerodeencendidosposibles -tiempodeencendido

-Regulación > -esregulable? -cuanto? -modificacióndesuspropiedades atravésdelaregulación

-Vida > -largaocorta? -esimportante? -factordemantenimiento

-Estabilidad > -curvadedepreciación -índicedefallos

-Switching on > -numberofpossibleignitions -usefullifetime

-Regulation > -isitadjustable? -howmuch? -modificationofitsproperties throughregulation

-Life > -longorshort? -Itisimportant? -maintenancefactor

-Stability > -depreciationcurve -failurerate

Vapor de Sodio Sodiumvapor

Otras NO cuantificables

(Flickering)

Agentesfísicosqueintervienenenlaproduccióndelaluz +halógenas +fluorescentes+LED (electroluminiscencia)

Calidad de la sombra
Brillo
Confort (Flickering)

El ser humano conoce la luz sobretodo a través del Sol

El Sol es una enorme bola de hidrogeno en estado incandescente en la que una reacción de fusión nuclear está constantemente transformando Hidrogeno H2 en Helio He.

De la energiaemitida por el sol, un 40% se transforma en luz visible, el cual corresponde al máximo rendimiento óptico a 6500K.

Este fenómeno se llama termorradiaciónnatural

Thomas Alva Edison (1847-1931)

fue un importante inventor y hombre de negocios de Estados Unidos.

Aunque se le atribuye la invención de la lampara incandescente en realidad sólo fue perfeccionada por él, quien, tras muchos intentos consiguió un filamento que alcanzara la incandescencia sin fundirse. Este filamento no era de metal, sino de bambu carbonizado.

Así, el 21 de octubre de 1879, consiguió que su primera bombilla luciera durante 48 horas ininterrumpidas.

Por lo tanto no invento la primera luz electrica si no que invento la primera luz incandescente comercialmente practica. Ya se habían desarrollado varios diseños y Edison habia comprado patentes de Henry Woodward, Mathew Evans, Moses G. Farmer, Joseph Swan, James Bowman Lindsay, William E. Sawyer, Sir Humphry davy, Heinrich Gobel.

Algunas de estas primeras bombillas tenian una vida muy breve, eran muy caras de producir, consumian mucho, haciendo imposible su aplicación comercial a gran escala.

Su mayor inovacion fue abrir el primer laboratorio de investigacion industrial. En 1880 se asociò con J.P. Morgan y fundò la General Electric.

En 1897 empezò una guerra de patentes con los hermanos Lumiere respecto al invento de la primera maquina de cine.

¿ Como se consiguela termorradiación artificial?

Seobtiene calentando cualquier materiaocuerpo sólido auna elevada temperatura,bienseapor combustión o incandescencia

ncandescentes Halógenas

Descarga de alta tensión entre electrodos fríos “neones”

Descarga de baja tensión entre electrodos calientes “halogenuros”

Descarga de baja tensión con fotoluminescencia “fluorescentes”

Fluorescentes (Lamparas de vapor de mercurio a baja presión)

Los electrones (2) que parten del electrodo (1) chocan con los átomos de mercurio (3). De este modo son excitados los electrones de este átomo de mercurio (4), y éstos ceden a su vez unos rayos ultravioletas (5).

Los rayos ultravioletas son convertidos, dentro del recubrimiento a base de polvo fluorescente (6), en luz visible (7).

Dischargelamps Others

Descargaotras

Tipode LED

SMD y COB

¿Cuál elegir?

LED type SMD and COB which one to choose?

SMD(Surfacemounteddevice)oCOB(chiponboard)

Diferencias:COBmayorrendimientoydisipaciónquelasSMD

SMD(Surfacemounteddevice)orCOB(chiponboard)

Differences:COBhigherperformanceanddissipationthanSMD

¿Cómo funciona?

Howdoesitwork?

¿Cómo funciona?

Howdoesitwork?

Otros…..

Others….

Luz negra

Black Light

Otros…..

Others….

Luz negra Black Light

Lámparasqueemiten radiación electromagnética ultravioleta cercana, Conunacomponenteresidualmuypequeñadeluzvisible. Sefabricangeneralmentedelmismomodoquelasfluorescentes,excepto Utilizanunúnicofósforo,yenlugardecristaltransparenteexterior, empleanuncristaloscuroquetieneelnombrede cristal de Wood,quebloquea lamayorpartedela“luzvisible”conlongituddeondaporencimadelos 400nanómetros

Lampsemittingnear ultraviolet electromagnetic radiation, Withaverysmallresidualcomponentofvisiblelight.Theyaregenerally manufacturedinthesamewayasfluorescentlamps,except Theyuseasinglephosphor,andinsteadoftransparentouterglass, Theyemployadarkglasscalled Wood's glass whichblocksmostofthe"visible light"withwavelengthsabovethe 400nanometers

Comparativas

Comparative

Eficacia lm/wirc(%) temperatura decolor(ºK)encolores?regulable? encendido instantáneo ? requiere equipo? bulbo transparent e? filamentoincandescentes10lm/w100%2700ºKnosisinosi halogenasaltovoltaje20lm/w100%3000ºKBLVsisinosi bajovoltaje25lm/w100%3000ºKBLVsiconcuidadosisisi descargaabajapresiónfluorescenteslineales(tubos)100lm/w80-95%2700-6000ºKsi(pasteles)si,5-100%casisino compactas80lm/w80%2700-6000ºKsi(pasteles)si,5-100%casisino conreactancia(CFL)70lm/w80%2700-6000ºKsi(pasteles)si,5-100%(algunas)casinono vapordesodioabajapresión140lm/w-<2000ºkno50%15minsisi/no altapresiónvapordemercurio60lm/w1%6000ºKnono15minsino halogenurosmetálicos100lm/w60%3000-4200ºkBLVno15minsisi vapordesodioaaltapresión120lm/w60%2200ºKno50%15minsisi/no otrasLEDs70lm/w70-95%2700-6000ºksi,muybuenossisisiinducción-plasma-electroluminiscencia-bioluminiscencia-fotoluminiscencia-combustión--

fundamentos I

41
Pablo Martínez –Michela Mezzavilla
Comparación entre lámparas

magnitudes

fundamentos I

Temperatura de Color (CT) Grados Kelvin K

fundamentos I

Pablo Martínez –Michela Mezzavilla
Pablo Martínez –Michela Mezzavilla

16 fundamentos I

La temperatura de color (Tc) es una expresión que se usa para indicar el color de una fuente de luz por comparación de esta con el color del cuerpo negro, o sea del radiante perfecto teórico (cuya emisión de luz es debida únicamente a su temperatura).

Como cualquier otro cuerpo incandescente el cuerpo negro cambia de color a medida que aumenta su temperatura.

Por ejemplo el color de la llama de una vela es similar al color del cuerpo negro calentado a 1800K (1800-273=1627ºC) por lo tanto se dice que la llama tiene una Tc de 1800K.

Pablo Martínez –Michela Mezzavilla
Pablo Martínez –Michela Mezzavilla
fundamentos I
Pablo Martínez –Michela Mezzavilla
fundamentos I
Pablo Martínez –Michela Mezzavilla
19 fundamentos I
Pablo Martínez –Michela Mezzavilla

Reproducción Cromática

Índice de reproducción cromática

IRC, Ra

Reproducción cromática

Se denomina reproducción cromática la calidad de la reproducción de los colores bajo una iluminación dada.

El grado de la infidelidad cromática se indica mediante el índice de reproducción cromática Ra. Como fuente de luz de referencia se utiliza una fuente de luz comparable con espectro continuo, ya sea un proyector térmico con temperatura de color comparable o la luz diurna.

Pablo Martínez –Michela Mezzavilla
Pablo Martínez –Michela Mezzavilla

Rangos de reproducción cromática de diferentes fuentes de luz

Pablo Martínez –Michela Mezzavilla
fundamentos I
Pablo Martínez –Michela Mezzavilla
Flujo luminoso Lumen lm
24 fundamentos I
Pablo Martínez –Michela Mezzavilla
Esfera de Ulbricht

Eficiencia lumínica

Lm/W

La eficacia luminosa describe el rendimiento de una lámpara.

Se expresa mediante la relación del flujo luminoso entregado, en lumen, y la potencia consumida, en vatios.

El valor teórico máximo alcanzable con una conversión total de la energía a 555 nm sería 683 lm/W.

Las eficacias luminosas realmente alcanzables varían en función del manantial de luz, pero quedan siempre por debajo de este valor ideal.

25 fundamentos I

Magnitudes of light ·Luminous efficacy

Theluminousefficiencyofalightsourceindicatesthefluxthat itemitsforeachunitofelectricalpowerconsumedtoobtainit.

Itisexpressedinlumens/Wratio

Pablo Martínez –Michela Mezzavilla
LUMINOTECNIA LIGHTING TECHNOLOGY

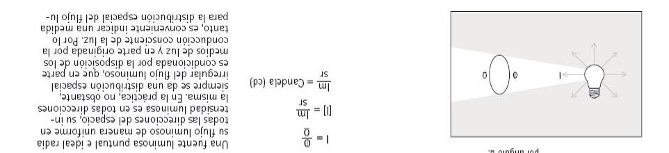
Intensidad luminosa

fundamentos I

Pablo Martínez –Michela Mezzavilla
Candela
27 fundamentos I
Pablo Martínez –Michela Mezzavilla
fotogoniómtero

LIGHTING TECHNOLOGY

Curves fundamentals

Coordinate system

Pablo Martínez –Michela Mezzavilla
LUMINOTECNIA

LUMINOTECNIA

LIGHTING TECHNOLOGY

Curves fundamentals

Coordinate system

30 fundamentos I
Pablo Martínez –Michela Mezzavilla fdt
Pablo Martínez –Michela Mezzavilla
LUMINOTECNIA
LIGHTING TECHNOLOGY
Curves fundamentals
Luminous fluxLuminous intensity Light curves representation

LUMINOTECNIA

Curves fundamentals

Types of diagrams

Illuminancia Lux lx

LIGHTING TECHNOLOGY 31 fundamentos I

Pablo Martínez –Michela Mezzavilla E=i/d2

E=i/d2

fundamentos I

LIGHTING TECHNOLOGY

Illuminance and luminance calculation · Inverse square law of distance

Pablo Martínez –Michela Mezzavilla
LUMINOTECNIA
33 fundamentos I
Pablo Martínez –Michela Mezzavilla
34 fundamentos I
Pablo Martínez –Michela Mezzavilla
35 fundamentos I
Pablo Martínez –Michela Mezzavilla
36 fundamentos I
Pablo Martínez –Michela Mezzavilla
37 fundamentos I
Pablo Martínez –Michela Mezzavilla
38 fundamentos I
Pablo Martínez –Michela Mezzavilla

UNE 12464

BS EN 12464-1:2011

Luminancia Candela por metro cuadrado

Cd/m2

Pablo Martínez –Michela Mezzavilla
Pablo Martínez –Michela Mezzavilla

LUMINOTECNIA

LIGHTING TECHNOLOGY

Magnitudes of light

1Luminousflux

2Intensity

3Illuminance

4Luminance

ALightdistributioncurve

BOpeningangle

CMaximumintensity

DWorkingplan

…..
Flujo>“Cantidad” (direcciónno)

Flujo>“Cantidad” (direcciónno)

Intensidad> “fuerza” (direcciónsi)

…..

….. Flujo>“Cantidad” (direcciónno)

Intensidad> “fuerza” (direcciónsi)

iluminancia> “flujo sobre una superficie” (direcciónsi*)

….. Flujo>“Cantidad” (direcciónno)

Intensidad> “fuerza” (direcciónsi)

Resumen de unidades fotometricas

luminancia> “flujo reflejado por una superficie” (direcciónno)

iluminancia> “flujo sobre una superficie” (direcciónsi*)

fundamentos I

Pablo Martínez –Michela Mezzavilla

Turn static files into dynamic content formats.

Create a flipbook
Issuu converts static files into: digital portfolios, online yearbooks, online catalogs, digital photo albums and more. Sign up and create your flipbook.
Luz, lámparas, luminotécnia by Michela Mezzavilla - Issuu