PROYECTO DE CONSOLIDACIÓN ESTRUCTURAL, RESTAURACIÓN, REHABILITACIÓN ARQUITECTÓNICA E IMAGEN URBANA D

Page 1

UNIVERSIDAD DEL VALLE

FACULTAD DE ARQUITECTURA Y URBANISMO

CARRERA DE ARQUITECTURA Y URBANISMO

CASONA 25 DE MAYO

PROYECTO DE CONSOLIDACIÓN ESTRUCTURAL, RESTAURACIÓN, REHABILITACIÓN ARQUITECTÓNICA

IMAGEN URBANA

Estudiantes:

Valeria Alejandra Maldonado Frias

Anahi Claudia Guereca Spicchi

Tutor:

Arq. Ximena Santa Cruz de Torrico

Docente:

Arq. Mayra Bustamante

E

Estudiantes de arquitectura y urbanismo

Con los conocimientos inculcados en nuestra formación académica en la Universidad Privada del Valle, el tema a resolver: “PROYECTO DE CONSOLIDACIÓN ESTRUCTURAL, RESTAURACIÓN, REHABILITACIÓN ARQUITECTÓNICA E IMAGEN URBANA DE LA CASONA 25 DE MAYO” el cual fue aprobado para optar el titulo de licenciatura en Arquitectura y Urbanismo.

Anahi Claudia Guereca Spicchi Valeria Alejandra Maldonado Frias

INDICE

Antecedentes Problemática

Planteamiento del problema Justificación Objetivos Metodologia Alcances

Marco conceptual Marco referencial

Marco teórico legal

Marco teórico histórico

Marco teórico contextual

Análisis de usuario

Análisis de referentes

Análisis Foda

Análisis de sitio Macro

Análisis de sitio Micro

antropometría ergonometría organigrama programación

problematicas centro historico proyecto base principios propuesta urbana propuesta urbana

panel análisis de sitio micro panel análisis de sitio macro paneles propuesta urbana

02 03 04 05
01

AGRADECIMIENTOS

A nuestra familia

A nuestra tutora Arq. Ximena Santa Cruz

Anuestra tallerista Arq. Mayra Bustamante

INTRODUCCIÓN

A lo largo de los años, alrededor del mundo, se fueron consolidando diferentes bienes, ya sean tangibles, intangibles o incluso naturales que aportaron con la transmisión y resignificación entre generaciones de los mismos, atribuyendo de esta manera su propia esencia tras cada época. Dicho conjunto de elementos hoy en día es conocido como patrimonio histórico.

Con respecto a Bolivia, debido a la diversidad de bienes patrimoniales con los que cuenta cada departamento, la UNESCO en 1987 declara 11 patrimonios de la humanidad como parte de la lista representativa, entre estos, 6 corresponden al patrimonio artístico-histórico, cuatro al patrimonio inmaterial o de las culturas vivas, y uno al patrimonio natural (Cajias de la Vega, 2016).

Específicamente, en el departamento de Cochabamba, se puede encontrar el centro histórico, el cual cuenta con inmuebles de carácter patrimonial con un estilo arquitectónico colonial que permaneció hasta la actualidad gracias al Plan Director que incluyó por primera vez un punto dedicado a la protección y preservación de los valores arquitectónicos y urbanos de la ciudad.

Lamentablemente, a pesar de las reformas anteriormente mencionadas, debido a unas normas impuestas por los años 50 por la Honorable Alcaldía Municipal, cuya finalidad era modernizar la ciudad, se perdieron edificaciones con valor arquitectónico. Entre estos afectados se encuentra la Casona 25 de mayo, situada en el manzano Nº 15, Comuna Adela Zamudio, Distrito 10, Subdistrito 12, Zona Sudeste. Por lo que, en este proyecto (para la obtención de la titulación de licenciatura en Arquitectura y Urbanismo), para evitar más pérdidas y mantener una continuidad histórica, además de potenciar la preservación y restauración de dichos inmuebles, se propone la realización de consolidación estructural, restauración, rehabilitación arquitectónica y de la imagen urbana de la Casona 25 de mayo, el cual podrá aportar como una guía para futuros trabajos con la misma finalidad.

01

ANTECEDENTES

Anteriormente, en el año 1918 para ser precisos, parte de la Casona 25 de mayo, que en ese entonces era el mercado de la Carbonería, fue cedida oficialmente a la municipalidad por su dueño de ese entonces, Ramón Rivero López. Esto debido a que, en 1904, se manifestó la intención de abrir cuatro mercados seccionales los cuales estarían distribuidos de forma conveniente por la ciudad. Entre estos lugares se encontraba, valga la redundancia, el mercado de la Carbonería, perteneciente a un espacio abierto de la escuela para niñas San Alberto ubicada al sur la manzana Nº 15. Sin embargo, no es hasta 1912 que esta noción se formaliza.

Más adelante, en mayo de 1921 se propone una modificación más en la zona, la cual consistía en la apertura de un pasaje que pasaría en medio de la manzana Nº15 conectando de esta forma las calles 25 de mayo y San Martín. Se informa que a finales del año de 1924 se concreta la apertura de este proyecto conocido como pasaje “General Pedro Blanco” (actualmente denominado Pasaje G. Aldunate) el cual contaría con tiendas en sus límites

Cabe aclarar que, actualmente, la Casona pertenece desde 1998 por herencia a los hermanos Oscar, Carlos y Amalia Medinaceli tras el fallecimiento de Amalia Medinaceli vda. De Camacho.

Posteriormente, en marzo de 2021 se realizó una intervención de restauración de fachada de la Casona colindante a la calle 25 de mayo esquina Sucre a solicitud del propietario Sr. Jorge Moreno. Cabe resaltar que esta operación no incluía el sector perteneciente a los dueños Hnos. Medinaceli. Razón por la cual, el 18 de febrero de 2023 se provocó un desmoronamiento en dicha sección de la fachada. Además, tras el análisis correspondiente se destacó la existencia de una intervención estructural previa, la cual fue paralizada debido al incumplimiento de normativa.

02

CAPITULO

01
Foto: Rodolfo Torrico Samudio

PLANTEAMIENTO DEL PROBLEMA

El centro histórico de Cochabamba Bolivia, actualmente se ve afectado debido a la constante reducción de importancia con respecto al mantenimiento, tomando en cuenta que para que este sea efectivo para la preservación de la arquitectura de carácter patrimonial, debe cumplir con la limpieza y el aseo constante y periódico del inmueble, limpieza periódica de la cubierta, canaletas y bajantes, a su vez el retiro de plantas o hiervas, la reposición de revoques, la renovación de pintura de muros y carpintería, la revisión periódica de las instalaciones, por ende, al no cumplirse estos factores se puede apreciar cada vez más el deterioro de la misma. (Reglamento del centro historico, 2019)

Entre estas edificaciones afectadas dentro de la ciudad se encuentra la Casona 25 de mayo, la cual inicialmente pertenecía a Ramón Rivero, de la cual en el año 1918 gran parte de ella fue cedida a la municipalidad con el propósito de abrir el pasaje G. Aldunate con dirección a la calle San Martín. Cabe resaltar que debido al entorno en el que se encuentra, está actualmente fue adaptada para uso comercial en la planta baja y se encontraba deshabitada en la planta alta.

Lamentablemente, debido a un cuidado y mantenimiento escaso y una intervención previa mal ejecutada, se provocó un desmoronamiento el 18/02/2023 en la fachada principal, al igual que diversas patologías al interior.Es importante tomar en consideración que, debido a la antigüedad de la Casona, esta no cuenta con planos digitalizados los cuales pueden ser un factor influyente para el estado en el que se encuentra la construcción.

Lo anteriormente mencionado generó diferentes complicaciones como ser: el afectar la imagen urbana debido a los escombros producidos, atentar contra la seguridad de los comerciantes inquilinos y transeúntes, y bajar la calidad socio cultural que brinda el centro histórico de la ciudad, además afectar la imagen urbana del sector.

Es por ello que se propone realizar un proyecto de consolidación estructural, restauración, rehabilitación arquitectónica y de la imagen urbana de la Casona 25 de mayo, para la obtención de un resultado adecuado y duradero tomando en cuenta sistemas estructurales artesanales que vayan acorde a los utilizados originalmente en la edificación.

ÁRBOL DE PROBLEMA

EFECTOS

- Perdida del patrimonio cultural cochabambino.

- Impactos negativos en la imagen urbana porcolapso en la casona.

- Inseguridad para los transeúntes del sector.

- Intervención estructural previa mal realizada en la casona.

- Perdidas económicas tanto para propietarios e inquilinos

- Actos vandálicos .

- Descuido por parte de propietarios e inquilinos respecto a la casona.

y una mala aplicación de normativa, provoco un colapso considerable en la fachada colindante al pasaje g. Aldunate, teniendo como consecuencia la pausa de la actividad principal de la casona siendo esta comercial.

Ausencia de mantenimiento en patrimonios arquitectónicos del centro histórico de la

De ciente manejo e incumplimiento de normativa preventiva a agentes climatológicos.

Inversión ine ciente e insu ciente en propuesta de rehabilitación de la casona.

CAUSAS

Abandono de la planta alta de la casona por parte de los propietarios.

De ciencia en procesos educativos para fomentar la conservación y restauración del patrimonio arquitectónico de la ciudad.

El notable deterioro tanto estructural, como del interior y exterior de la casona 25 de mayo, debido a su falta de mantenimiento
03

FORMULACIÓN DEL PROBLEMA

¿Cómo mediante la aplicación adecuada de un diseño de consolidación estructural, restauración y rehabilitación tanto arquitectónica como de la imagen urbana de la Casona 25 de mayo, permitirá cubrir con las necesidades requeridas para las personas involucradas en el uso de la Casona, obteniendo un resultado acertado y duradero en construcciones con un sistema estructural artesanal, reactivando de este modo la actividad comercial de la Casona?

JUSTIFICACIÓN TÉCNICA

El patrimonio arquitectónico es de gran importancia porque forma parte de la documentación histórica del mismo a gran detalle y de forma cronológica, a través de esta se pueden identificar los elementos por los cuales es conformado, como ser: su época, técnica constructiva, el material que se usó y las herramientas entre otros. (Carreton, 2016) Por esta razón su intervención debe ser cuidadosa y realizada por expertos en el tema, donde mediante análisis se podrán identificar el tipo de material, técnicas de construcción, elementos originales y cuales fueron añadidos posterior mente dentro del hecho arquitectónico patrimonial, etc. Siendo este análisis de gran importancia para obtener una intervención de restauración y rehabilitación de la Casona 25 de mayo, que permitirá tomar en cuenta un diseño de consolidación estructural que genere resultados adecuados y duraderos mediante la utilización de un sistema estructural artesanal que posteriormente podrá ayudar como referencia en la aplicación de técnicas de restauración patrimonial.

JUSTIFICACIÓN SOCIO - CULTURAL

Los hechos arquitectónicos de carácter patrimonial son de gran importancia cultural debido a que brindan un estudio histórico de la sociedad y su evolución con el transcurso de los años, es el reflejo de la historia de un dicho lugar, por ende, es el reflejo de un pasado y tradición por este motivo es de gran importancia su conservación. (Carreton, 2016)

La Casona 25 de mayo forma parte del centro histórico de ciudad y es considerado patrimonio de categoría 2, esta Casona forma parte de la historia de Cochabamba por lo que su preservación permitirá que futuras generaciones puedan apreciar parte de esta historia, actualmente debido a la ausencia de mantenimiento de hechos arquitectónicos de carácter patrimonial dentro del centro histórico de Cochabamba esta Casona sufrió un colapso en parte superior de su fachada, afectando de este modo a la imagen urbana del sector, comenzando con una intervención de emergencia, se optó por cerrar el perímetro de la Casona con un muro preventivo, obligando a los peatones a circular por la calzada, poniendo en riesgo su seguridad, por lo que su pronta intervención permitirá reactivar la normalidad del sector y recuperar su imagen urbana.

04 07

JUSTIFICACIÓN ECONÓMICA

La Casona 25 de mayo está ubicada aledaña al pasaje G. Aldunate, formando parte del centro histórico de Cochabamba, esta zona resulta ser de carácter comercial en un gran porcentaje, por lo que la actividad principal de la Casona era de uso comercial, de este modo sea los propietarios que los inquilinos generaban ingresos económicos mediante la Casona, el colapso de la fachada a causa del deterioro de la misma y su intervención de emergencia suspendió estas actividades económicas que se realizaban en planta baja del hecho arquitectónico, perjudicando de manera considerable a los afectados. La consolidación, restauración y rehabilitación de este patrimonio permitirá reactivar estas actividades comerciales de manera segura, aportando así a la economía del país.

JUSTIFICACIÓN URBANA

En año 1925 se cedió una parte correspondiente a la Casona 25 de mayo, con el propósito de abrir un pasaje comercial que conectara las calles 25 de mayo y san martín, esto ocasionó que la Casona sufriera un corte brusco perdiendo gran parte de ella, en ese entonces no se realizó ningún tipo de proyecto de intervención para la rehabilitación de la misma, por lo que hoy en día aún se puede visualizar como elementos de la Casona están al descubierto en el módulo faltante, afectando desde un principio la imagen urbana del lugar.( Lavayén. 2020)

Actualmente la Casona por medio de herencia pertenece a los hermanos Medinaceli, en el transcurso de los años no se generó ningún tipo de intervención para regenerar o reconstruir dicho modulo faltante del inmueble.

A su vez el día 18 de febrero del año 2023, debido a la falta de mantenimiento en la Casona, se generó un colapso severo en la fachada colindante al pasaje G. Aldunate. Esto provocó un daño alterando aún más la imagen urbana del centro histórico de Cochabamba. Por lo que, al realizar su debida restauración, consolidación y reconstrucción del módulo faltante se podrá recuperar y revitalizar la imagen urbana del manzano #15 de la ciudad.

05 HEROÍNAS SANTIVAÑEZ GRAL. ACHA ÑAPSE A TPAB I ATS ONETNEZ 080 081 092 093 073 009 PZ. 14 DE SEPTIEMBRE
072 BOLIVAR 2 5 ED OYAM A.DE IBA9EZ ERCUS SUCRE G. ALDUNATE PJE.F.C. SANCHEZ 081 082 074 075 001 002 005 006 004 079

RAL. ACHA

OBJETIVOS

PZ.

14 DE SEPTIEMBRE

OBJETIVO GENERAL

092

Elaborar un proyecto de consolidación estructural, restauración y rehabilitación arquitectónica y de imagen urbana de la Casona 25 de mayo para cubrir con las necesidades requeridas para la obtención de un resultado acertado y duradero en construcciones con un sistema estructural artesanal reactivando de este modo la actividad comercial de la Casona.

OBJETIVO GENERAL

•Consolidar la estructura de la Casona 25 de mayo.

•Rehabilitar los ambientes de la Casona para que puedan retomar su función acorde a la actividad económica actual, beneficiando a los comerciantes.

•Reconstruir el módulo faltante de la fachada adyacente al pasaje G. Aldunate.

•Recuperar la imagen urbana del manzano Nº 15 del centro histórico de Cochabamba.

009

06 VA . NAS TRAM I N
SANTIVAÑEZ
ÑAPSE A UGA I ERR TPAB I ATS 080 081
093 008 010
07 BOLIVAR 2 5 ED OYAM A.DE IBA9EZ ERCUS SUCRE G. ALDUNA 081 082 074 001 002 003 005 006 004

ALCANCE

Alcance socio – cultural:

Conservar la identidad histórica del centro de Cochabamba, a través de la preservación de su patrimonio arquitectónico dando paso a que futuras generaciones puedan apreciar parte de esta historia, generando hitos patrimoniales aportando al turismo de la ciudad.

Alcance Patrimonial: generar un proyecto de restauración de la Casona 25 de mayo con los procedimientos adecuados, mediante la aplicación correcta de la normativa, posibilitando su futura preservación.

Alcance económico:

Destinar mayor espacio funcional de la Casona a la actividad comercial, mediante la adecuación de los ambientes existentes y nuevos de la Casona 25 de mayo, permitiendo de este modo retomar las actividades comerciales generando ingresos económicos para los propietarios y de los inquilinos comerciantes, reactivando la economía del país.

Alcance urbano:

Restablecer la imagen urbana del manzano 15 del centro histórico de Cochabamba mediante la recuperación de la fachada de la Casona 25 de mayo, a través de la restauración de la misma y la reconstrucción del módulo faltante en el lado sur debido al corte del pasaje Aldunate.

Alcance técnico:

Intervenir de forma cuidadosa la Casona 25 de mayo, tanto arquitectónicamente como estructuralmente, aplicando herramientas, materiales y técnicas acordes a la construcción, para obtener un resultado acertado y duradero en construcciones con un sistema estructural artesanal.

08 VA . NAS TRAM I N
02 CAPITULO

MARCO CONCEPTUAL

•Mantenimiento del inmueble:

El mantenimiento es parte fundamental para la conservación de algún elemento o inmueble, cuyo objetivo es evitar el deterioro del mismo, el cual consiste en: la limpieza y el aseo constante y periódico del inmueble, limpieza periódica de la cubierta, canaletas y bajantes, a su vez el retiro de plantas o hiervas, la reposición de revoques, la renovación de pintura de muros y carpintería, la revisión periódica de las instalaciones, de este modo la intención es prevenir ante las patologías que se genera en el inmueble a través del tiempo, y en caso de ver el inicio de alguno de ellos, poder darle una solución antes de que se genere algún dipo de deterioro o colapso, siendo que esto puede llegar a generar una perdida irreversible en el inmueble.

(Reglamento del centro historico, 2019)

•Consolidación:

La consolidación es la técnica que reduce al mínimo de repercusiones negativas en intervenciones sobre arquitectura de tipo patrimonial. (Reglamento del centro historico, 2019)

•Rehabilitación:

se refiere a las intervenciones cuyo objetivo es la reposición de elementos o sistemas constructivos del inmueble, a su vez responde a las acciones necesarias para mejorar o recuperar la habitabilidad dentro de un espacio o inmueble patrimonial. (Reglamento del centro historico, 2019)

•Restauración:

son acciones cuya finalidad es la de conservar y revelar los valores tanto estéticos como históricos y culturales de una edificación de carácter patrimonial, este siempre va de la mano del respeto por los elementos patrimoniales, en el caso de tener que restituir elementos originales por daños irreversibles o piezas faltantes, esta reposición debe distinguir los elementos nuevos de los originales. (Reglamento del centro historico, 2019)

•Reposición:

este se refiere a la intervención total o parcial del inmueble en elementos o sistemas constructivos deteriorados que deben ser repuestos, respetando los materiales, formas y técnicas originales, estos deben ir acorde y no romper con la esencia de la edificación. (Reglamento del centro historico, 2019)

•Refacción:

la refacción responde al mantenimiento preventivo o correctivo con técnicas constructivas que puedan garantizar la estabilidad estructural y a su vez que este pueda prevalecer con el paso del tiempo. (Reglamento del centro historico, 2019)

•Técnicas de estabilización estructural:

son las acciones cuya intención es estabilizar la estructura de la edificación, a su vez preservar los componentes de valor patrimonial que conforman la edificación con valor histórico, para esto se deben emplear sistemas y técnicas de construcción aplicando materiales apropiados que garanticen la estabilidad y a su vez vayan acorde con la edificación. (Reglamento del centro historico, 2019)

09 SANTIVAÑEZ GRAL. ACHA ÑAPSE A U I ERR TPAB I ATS ONETNEZ 080 081 092 093 008 010 009
14 DE SEPTIEMBRE
PZ.

MARCO REFERENCIAL

Intervención en Casona España

La Casona está ubicada en la Calle España entre Heroínas y Colombia #136 acera este de la ciudad de Cochabamba Bolivia, la Casona se realizó el seguimiento por parte de la arquitecta Ximena Santa Cruz de Torrico a las obras de consolidación para entrepisos de bóvedas de ladrillo pastelero y de modificación de cubierta de grada principal, en el primer patio de dicha Casona, la intervención inicio con un análisis mediante la recopilación fotográfica de toda la Casona y su estado actual en la que se encontró para poder determinar cuáles eran los elementos a intervención inmediata.

Se realizaron los siguientes análisis: análisis estructural de la obra, los cuales estaban compuestos por un soporte estructural siendo estos muros de adobe, vigas de hormigón armado y columnas de hormigón armado los cuales estaban ubicados debajo de la estructura, los elementos encima de la estructura a intervenir, fueron muros de adobe, de ladrillo, vanos puertas siendo finalmente elementos aledaños a la estructura, la grada, barandado de pasillo perimetral. Posteriormente se realizó la propuesta de intervención, siendo una intervención de consolidación basada en una estructura de ferrocemento, misma que fue ampliamente explicada a los propietarios antes de su implementación en obra, es importante aclarar que la propuesta presentada es una experiencia realizada con anterioridad en otra edificación en un trabajo compartido con el Arq. Mario Moscoso, en la intervención de la consolidación de entrepiso en la Casona de la Familia Mena, ubicada en la calle Esteban Arce esquina plaza principal acera este, al frente de la fachada principal de la Catedral Metropolitana, siendo que este tipo de intervención dio buenos resultados, se vio por conveniente implementar en este caso. Previa a la intervención se comunicó al Departamento de Patrimonio su intervención solicitando los permisos respectivos. (Santa Cruz, Intervención en casona España entre Heroínas y Colombia, 2021)

A.DE IBA9EZ

10
BOLIVAR 2 5 ED OYAM
ERCUS SUCRE G. ALDUNATE PJE.F.C. SANCHEZ 081 082 074 001 002 003 005 006 004

Categoría de conservación estructural

ARTÍCULO 18. (CATEGORÍA 2 DE CONSERVACIÓN ESTRUCTURAL). Las edificaciones que pertenecen a esta categoría tienen las siguientes características:

1.Edificaciones con Valor Patrimonial, que conservan la volumetría y estructura físico espacial original, emplazadas en el Centro Histórico, Anillo de Transición y Áreas

Patrimoniales

2.Edificaciones que, por su singularidad y significación, constituye un referente de configuración arquitectónica de la imagen urbana.

3.Edificaciones de estilo arquitectónico: Colonial, Republicano, Barroco Mestizo, Neo Clásico, NeoGótico, Art Noveu, Art Decó, Ecléctico, Modernismo yotros de principios de siglo XX.

4.Las edificaciones patrimoniales deben ser consolidada en la rasante histórica.

ARTÍCULO 19. (ACCIONES TÉCNICAS DE PROTECCIÓN PATRIMONIAL)

Por ser edificaciones singulares, deben conservarse y/o preservarse, rehabilitarse, restaurarse, todos los elementos interiores y exteriores sean constructivos y/o sistemas de construcción, detallados a continuación: (Reglamento del centro historico, 2019)

a) De la estructura espacial

1.Crujías

2.Patios

3.s. Galerías

4.Escalera

5.Otros elementos que configuren el espacio de Valor Patrimonial

b) De los elementos exteriores e interiores de la fachada y patios

1.Molduras

2.Aleros

3.Parapetos

4. Cornisas

5. Balcones

6. Frisos

7. Herrería

8. Carpintería de madera

9. Cantería

10. Gárgolas

11. Pilastras

12. Otros elementos de Valor Patrimonial

MARCO LEGAL 11

c) De los sistemas constructivos y materiales

1.Muros de adobe, ladrillo pastelero y piedra

2.Revoque de Yeso, Cal y Arena, Cemento

3.Cubiertas (material y estructura)

4.Elementos arquitectónicos: Aleros, Balcones, Zócalos, Carpintería de madera

5.Otros sistemas constructivos de Valor Patrimonial

ARTÍCULO 20. (INTERVENCIONES). Se permite intervenciones por el deterioro o perdida irreversible al interior y exterior de la edificación para su preservación, sin modificar la volumetría, estructura espacial original y que garanticen la estabilidad del edificio. (Reglamento del centro historico, 2019)

I. Se permite la apertura de nuevos pasajes privados que no fracturen la estructura espacial.

II. El edificio a conservar, debe distinguirse como una unidad, planteándose una separación obligatoria para futuras ampliaciones.

III. Deben ser eliminados elementos y/o construcciones añadidas a su concepción original.

ARTÍCULO 21. (RESTRICCIONES).

.1 Empleo de otras técnicas que no se encuentren contempladas en el artículo 20 (Intervenciones).

2. Reponer elementos arquitectónicos faltantes con copias idénticas (Falso Histórico) a los originales.

3. Ejecutar de obras sin un proceso previo de consolidación.

4.Ejecutar obras de remodelación que no sean reversibles.

5. Apertura de vanos (puertas, ventanas, garaje) en fachadas y galerías interiores o fachadas internas contiguas a patios internos.

6. Demolición total y/o parcial de la edificación patrimonial.

7. Alterara el lenguaje arquitectónico original de su categoría.

8. Emplear de maquinarias y otros equipos de alto impacto en ampliaciones y/o remodelaciones.

9. Empleo de carpinterías metálicas y otros materiales no semejantes al original en vanos: puertas, ventanas.

10. Empleo de estructuras metálicas en cubierta, placas de zinc (salvo el original cuente con dicho material), cubierta plana de H°A°. u otro elemento no análogo a original.

11. Empleo de placas de aluminio compuesto, cerámica, porcelanato y/o similares en fachada

12. Empleo de pintura con brillo en fachada.

13. Empleo de gama de color, no establecidos en el Título V Imagen urbana, Articulo 109. 14. Empleo de otro material en aceras, no establecido en el Título V Imagen urbana, Capítulo I, Artículo 95, inciso 3.

ARTÍCULO 22. (MEMORIA TÉCNICA DESCRIPTIVA). Las intervenciones a realizarse en los hechos arquitectónicos de la presente categoría, obligatoriamente deberán ser realizados por profesionales de la materia y contar con un proyecto de intervención a detalle, que presente la siguiente documentación técnica: (Reglamento del centro historico, 2019)

12

Antecedentes de Cochabamba y su Centro Histórico

Es en el 15 de agosto de 1571 que la ciudad es fundada por primera vez bajo el nombre de “Villa de Oropresa” por Gerónimo Osorio y más adelante, por segunda vez, el 1 de enero de 1574 por Sebastián Barba de Padilla. Cabe resaltar que desde entonces se inició con el cambio de la imagen urbana pasando de un poblado a optar por un diseño bajo la tipología del trazado urbano español, el cual consistía en crecer alrededor de un punto central, en el caso de Cochabamba, este sería la plaza 14 de septiembre o “Plaza de armas”, Fue construida la “Plaza de armas o Plaza Mayor” “de la cual se expande la ciudad hacia los cuatro puntos cardinales en manzanas cuadradas de aproximadamente una hectárea, articuladas con calles estrechas, de 8 a 9 metros de ancho” (Arq M Sc., 2009)

Es en esta etapa que el centro histórico de la ciudad empieza a tomar forma, puesto que para ese momento ya se podía apreciar el trazado urbano ortogonal y el crecimiento de la ciudad destacando los elementos urbanos más sobresalientes como ser plazas, teatros, colegios e iglesias. Con respecto a las viviendas y su arquitectura, estas demostraban la posición social de cada familia debido al emplazamiento que ocupaba cada residencia en la ciudad. Aquellos con mayor estatus se encontraban alrededor de la plaza de armas o en sus inmediaciones, por lo tanto, mientras más lejano de la plaza era el posicionamiento de la vivienda, menor era la jerarquía de la familia. Es importante mencionar que, a pesar de que todas las casas contaban con los mismos materiales de adobe crudo, madera y paja, aquellas pertenecientes a familias pudientes y exclusivas incluían piedra en sus construcciones y además de ser amplias y resistentes, estas solían contar con un segundo piso.

Lo anteriormente mencionado, dio paso a la formación de lo que actualmente conocemos como el Centro histórico de Cochabamba, ya que la arquitectura de estilo colonial de la época, a pesar de las normas legales impuestas por la Honorable Alcaldía Municipal en los años 50 para poder modernizar la ciudad, sacrificando así una serie de edificaciones de valor arquitectónico, se logró mantener gracias al Plan Director impuesto como una reformulación de normas del Plan regulador, en el cual se establecía un punto destinado a la preservación del centro Histórico con la finalidad de “preservar y proteger los valores arquitectónicos y urbanos que constituyen el patrimonio histórico y cultural de la ciudad – rescatando así plazas, parques, templos y caserones que reflejan su historia, su arte o su trayectoria y estereotipan su misma identidad.” (Arq M Sc., 2009)

Antecedentes del Mercado 25 de mayo

Según el plano de Cochabamba de 1866 realizado por Benjamín Blanco, en la manzana Nº 15 en el sector sur, colindante al actual mercado 27 de mayo (en ese entonces un Bazar) se encontraba el colegio de niñas San Alberto. Lugar que posteriormente sería el espacio para la construcción del Mercado 25 de mayo. Sin embargo, es importante mencionar que inicialmente dio lugar al Mercado de la carbonería el cual se encontraba en un espacio abierto de la ya mencionada escuela.

Posteriormente, en 1912 se confirma la creación de mercados seccionales, siendo el primero ubicado en la carbonería para lo cual sería necesaria una expropiación u otro medio de adquisición debido a que esta no pertenecía al municipio. No es hasta diciembre de 1918 que Ramón Rivero, presidente del H. Consejo y dueño de la construcción que conformaba casi un cuadrado perfecto de 55 metros de lado, anuncia oficialmente su transferencia a poder municipal, cediendo aún más espacio en 1921 para la apertura de un pasaje que conecte las calles 25 de mayo y San Martín.

Finalmente, la obra del mercado concluye el 11 de mayo de 1926 con la incorporación de una nueva estructura metálica y una tipología de las grandes salas de exposición europeos del siglo XIX “mediante placas y celosías vidriadas, que además de dotarles de la dimensión necesaria para la comodidad

13

De acuerdo a referencia histórica otorgada por los propietarios se detalla a continuación la cronología de acontecimientos sucedidos con referencia a los propietarios del inmueble analizado.

Originalmente el predio fue parte de la vivienda de mayor dimensión que se encuentra en la parte norte, colindando con la calle Sucre, se tiene como referencia la continuidad de fachada en proporción, altura y elementos ornamentales que la componen, este mismo tuvo como propietarios a los esposos José Morales y Julia López, quienes tuvieron dos hijos Agustín y José, que a la muerte de sus padres heredan el predio en partes iguales.

El 3 de junio de 1929 Agustín Morales López vende su parte de herencia a su hermano menor José Morales López. Este último se casa con María Mercedes Rivero Torres (hija de Ramón Rivero y Mercedes Torres).

El matrimonio no tiene descendientes, José muere y hereda las propiedades su viuda María, después de unos años ella también fallece, por tanto, al no tener herederos la madre Mercedes Torres hereda la propiedad y la inscribe a su nombre el 18 de julio de 1940

El 6 de mayo de 1941, la Sra. Mercedes hace los tramites de sucesión hereditaria a sus otras tres hijas: Bertha Mercedes Rivero Torres, Alicia Blanca Rivero Torres y Olga Hortensia Rivero Torres.

El 31 de agosto de 1944, las tres hermanas Rivero Torres de común acuerdo entre partes proceden a la división y partición de todos sus bienes, quedando con Alicia Blanca Rivero Torres de Moreno la propiedad de la casa ubicada en la calle Sucre y 25 de mayo, cuyos límites para esa fecha resultan ser: al norte – calle sucre, al sur– mercado público, al este - Rene Rivero Torres y al oeste – calle 25 de mayo, y la manzana D de la quinta Muyurina que comprende los lotes 28 y 50, menos el 43. El 26 de enero de 1956 la propietaria de la Casona de la calle sucre y 25 de mayo decide vender una parte del predio correspondiente a aproximadamente un tercio (sector sud colindando con el mercado) a la Sra. Leonor Loma Vargas, con el objeto de modificar la fachada de acuerdo a las disposiciones municipales de esa fecha con la ejecución del ochave de la esquina sucre y 25 de mayo. La venta de parte del inmueble se realiza en la parte posterior de la grada de servicio del segundo patio, quedando el nuevo predio de la calle 25 de mayo y mercado sin grada original para acceso a la planta alta.

La primera propiedad y más grande perteneciente a la Sra. Alicia Blanca Rivero Torres de Moreno, a su muerte es heredada por sus dos hijos Mercedes y Jorge Moreno Rivero

En cambio, la segunda propiedad más pequeña perteneciente a La Srta. Leonor Loma Vargas, en los años 70´s por ordenanza municipal de esa gestión una porción de la casa es mutilada, la misma correspondiente al área colindante con el mercado 25 de mayo, esto con el objetivo de ampliar el ingreso al mercado.

Posteriormente la Srta. Leonor Loma Vargas realiza la transferida a su hermana menor Sra. Amalia Medinaceli Vda. de Camacho (hermanas de madre), en fecha septiembre de 1992. A la muerte de la Sra. Amalia Medinaceli Vda. de Camacho en fecha 22 de mayo de 1998, se realiza la declaratoria de herederos a los cuatro hijos: Carlos Ramiro Camacho Medinaceli, José Antonio Camacho Medinaceli, Oscar Gonzalo Camacho Medinaceli y Amalia Esther Camacho Medinaceli.

Se revisó los planos de la ciudad de Cochabamba registrados en:

En el plano denominado “Ataque de Cochabamba por el ejército real”, mandado por el general Goyeneche – 1812, elaborado por Francisco Mendizábal. Luego de los acontecimientos del 27 de mayo de 1812, la zona del predio analizado ya pertenece a una manzana consolidada de la trama de organización de la ciudad, pero todavía no se nota la presencia del pasaje del mercado, La manzana # 15 figura como una solo unidad, a diferencia de la manzana # 4, en donde se encuentra el mercado 27 de mayo y el convento de la Merced (actualmente demolido)

MARCO HISTÓRICO 14

Cochabamba forma parte de los 9 departamentos de Bolivia y está ubicada al centro de la misma entre los 17° 23' de latitud sur y los 66° 09' de longitud oeste del meridiano de Greenwich a 2558 msnm con una extensión de 55.631 km². Sus límites son; al norte con Beni; al sur con Potosí y Chuquisaca; al este con Santa Cruz; y al oeste con La Paz y Oruro (Net Cochabamba Bolivia, 2019)

Actualmente, el departamento cuenta con una población de 1,938,401 habitantes (Censo 2012) y con 16 provincias de las cuales destacan Quillacollo, Chapare y Cercado, siendo esta última el centro de la ciudad de Cochabamba, el cual incluye al Centro Histórico, también conocido como Casco Viejo. Este abarca un radio significativo de influencia patrimonial, debido a la gran cantidad de inmuebles con valor cultural e histórico que se expanden desde la plaza principal hacia los alrededores. Entre las edificaciones mencionadas anteriormente se encuentra la Casona a intervenir. Específicamente, en la comuna Adela Zamudio (con una población total de 119,715 habitantes), Distrito 10, SubDistrito

12 Zona: Sudeste, sobre la calle 25 de mayo, entre las calles sucre y jordán, en el manzano Nº 015. Siendo el predio N° 001 el cual tiene una superficie según escrituras de 490.00 m2. (Net Cochabamba Bolivia, 2019)

15
MARCO CONTEXTUAL

CAPITULO

03

DETERMINACIÓN DE LA MUESTRA

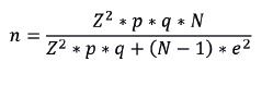
A continuación, se presentan los procedimientos realizados para la determinación de la muestra, comenzado por la definición de la población objetivo y recolección de los datos necesarios para su cálculo.

Según Chaudhuri y Lepkowski, citados por Hernández y Mendoza (2019) “Una población es el conjunto de todos los casos que concuerdan con una serie de especificaciones” (p. 198). En el presente proyecto la población de la cual se busca recabar información relevante para el desarrollo del proyecto son los habitantes de Cochabamba cercado, quienes se son directamente afectados por los proyectos de restauración del patrimonio en cercado Cochabamba

Cuando se determina una muestra probabilística, tienes que preguntarte: dado que una población es de N tamaño, ¿cuál es el número de unidades o casos (personas, organizaciones, objetos, capítulos de una telenovela, etc.) que necesito para conformar una muestra (n) que me asegure un determinado error máximo aceptable y un nivel de confianza? Comúnmente, hay dos niveles de error (5% y 1%, o 0.05 y 0.01 en términos de proporción) y de confianza (95% y 99%, o 0.95 y 0.99 en proporciones) utilizado (Hernández y Mendoza, 2019, p. 203).

Para conocer la cantidad de individuos que corresponden a la población objetivo se utilizaron los últimos datos presentados por el Instituto Nacional de Estadística (INE), sobre la población proyectada para el municipio, que es igual 856. 198 de habitantes (Gobierno Autónomo Municipal de Cochabamba, 2022).

Además, el cálculo de la muestra requiere conocer las probabilidades “p” de que sí ocurra el evento esperado y “q” de que no ocurra, por lo que ambas representan la certeza total (p + q = 1), cuando no se cuenta con fuentes confiables sobre estas probabilidades se debe utilizar un porcentaje estimando para ambas variables, es decir, asumimos que “p” y “q” serán de 50% (Hernández y Mendoza, 2019).

A continuación, se presenta la formula y los cálculos realizados para determinar la cantidad de habitantes a encuestar.

FORMULA APLICADA

n = Muestra

Z = Nivel de confianza

N = Población

e = Error de muestreo

p = Probabilidad de éxito

q = Probabilidad de fracaso

RESULTADO DE DATOS

16

PRESENTACIÓN DE LOS RESULTADOS

Dentro de este apartado se presentan los resultados obtenidos al proporcionar la encuesta a la muestra previamente seleccionada, para así conocer información relevante acerca de la situación actual del patrimonio arquitectico en el centro histórico de Cochabamba

17

ANÁLISIS FODA

MATRIZ PATRIMONIAL

FORTALEZAS

La ubicación de la Casona es cercana a la plaza 14 de septiembre, por lo tanto, tiene un mayor valor patrimonial.

La Casona se encuentra adyacente al pasaje Aldunate que cuenta con una cubierta de alto valor histórico y patrimonial.

A pesar del deslizamiento ocurrido en la fachada principal, se pudieron rescatar piezas de la ornamentación con patologías mínimas.

La fachada de la Casona forma parte de otra que fue previamente restaurada, por lo que se cuenta con una referencia exacta.

Al estar cercana al mercado, a pesar de su valor patrimonial su mantenimiento es de difícil realización debido a factores externos.

La cubierta del Pasaje Aldunate se encuentra descuidada debido al poco mantenimiento realizado.

Las piezas rescatadas requieren mantenimiento e intervención para poder ser reutilizadas.

Al contar con diferentes dueños y patologías, la Casona difiere con respecto a la tipología de mantenimiento y restauración que se debe llevar a cabo

OPORTUNIDADES

Se puede realizar un plan de mantenimiento que sea factible para zonas concurridas como esta.

La propuesta de rehabilitación puede incluir una integración con la cubierta del Pasaje Aldunate que permita incentivar su mantenimiento, al igual que generar una conexión mayor entre la Casona y su contexto.

El poder reutilizar ornamentación original, permitirá tener un resaltado de restauración más verídico y auténtico.

Se puede tomar como referencia la Casona adyacente a la edificación a intervenir para poder lograr un resultado homogéneo con respecto a la restauración y rehabilitación de la misma.

No se podría garantizar en su totalidad el cumplimiento de un plan de mantenimiento.

El mantenimiento de las cubiertas incrementaría en costos.

Debido a ser piezas que sufrieron un daño previo, su resistencia se puede ver afectada.

A pesar de contar con la misma fachada, al tener diferentes dueños, no se puede garantizar un resultado homogéneo.

18
OHCU GRAL ONETNEZ 079 LAD 034 022 035

Al tratarse de una zona de preservación histórica, la imagen urbana se mantiene homogénea. El mercado 25 de mayo y el pasaje Aldunate aportan de forma económica y turística al centro histórico de la ciudad.

Debido a ser el centro histórico de la ciudad, se le dará prioridad al momento de realizar proyectos urbanos.

Debido al crecimiento urbano y la falta de suelo en el sector, está generando la destrucción de inmuebles patrimoniales para dar paso a construcciones con mayor coeficiente de uso de suelo.

Al haber extraído una parte de la Casona para la construcción del pasaje G. Aldunate la imagen urbana se vio afectada negativamente.

Al ser una zona con flujo alto de peatonalidad y movilidad realizar intervenciones se complica.

Al realizar un mejor aprovechamiento del terreno sin deteriorar las Casonas existentes se podrá incrementar el coeficiente de uso de suelo de manera homogénea sin alterar la imagen urbana.

Se puede aprovechar la extracción realizada en la Casona para aplicar una rehabilitación que se integre con el mercado 25 de mayo generando beneficios económicos y turísticos similares a las del mercado. El poder reutilizar ornamentación original, permitirá tener un resaltado de restauración más verídico y auténtico.

Se puede aprovechar el proyecto piloto de cableado 0 para el mejoramiento de la imagen urbana.

Debido a intereses económicos se corre el riesgo a oposiciones por parte de los propietarios de los inmuebles.

Al rehabilitar la parte extraída de la Casona, el flujo de personas incrementaría, aumentando de esta manera las probabilidades de desgaste y deslucimiento de la zona si no se mantiene un mantenimiento recurrente y adecuado.

Es posible que el proyecto de cableado 0 no progrese, perjudicando a la imagen urbana.

19
MATRIZ URBANA
DEBILIDADES AMENAZAS 072 HEROÍNAS VA . NAS TRAM I N SANTIVAÑEZ L. ACHA ÑAPSE A BOLIVAR N I LE UGA I ERR 2 5 ED OYAM A DE IBA9EZ ERCUS SUCRE G ALDUNATE TPAB I ATS PJE.F C SANCHEZ 080 081 092 093 081 082 073 074 075 001 002 003 005 006 008 010 009 004 PZ 14 DE SEPTIEMBRE DISLAO CABRERA BETSE 018 019

MATRIZ SOCIO-CULTURAL

Al encontrarse en el centro histórico, por normativa, las instalaciones deben ser preservadas. El patrimonio arquitectónico forma como registro histórico de la identidad y cronología de Cochabamba.

Al formar parte del centro histórico, aporta al turismo de la ciudad de Cochabamba.

DEBILIDADES

Debido al entorno comercial con el que cuenta, el mantenimiento de las fachadas de las edificaciones se ve afectado de forma negativa.

El mantenimiento escaso en el centro histórico está causando el deterioro del patrimonio arquitectónico, perdiendo de este modo la identidad histórica de la ciudad.

Actualmente, debido al incumplimiento de normativa y un deterioro constante de las fachadas, el atractivo turístico en la zona es mínimo.

Incentivar a la comunicación respecto al valor histórico del patrimonio arquitectónico para su preservación dentro del centro histórico.

Generaciones futuras tendrán la posibilidad de apreciar la identidad histórica de la ciudad. Mediante una restauración y mantenimiento periódico en las fachadas el atractivo turístico en la zona incrementará.

LAD
20
034 035

MATRIZ ECONÓMICA

Al encontrarse en una zona con predominancia comercial, el movimiento económico es abundante.

018

El actual uso por parte de inquilinos dentro de la Casona ayuda a prevenir el abandono tanto en planta baja como en planta alta.

El lote a intervenir cuenta con espacio aprovechable para la ampliación de ambientes comerciales.

DEBILIDADES

Al ser unan zona con predominancia comercial, se genera un alto flujo de personas, provocando así inseguridad a las personas debido a posibles robos.

Deterioros severos ocasionando la paralización de la actividad comercial interior de la Casona.

Actualmente, debido a la existencia de escombros en el Lote, se necesita tomar en consideración un presupuesto para su retiro.

DISLAO CABRERA

Al estar ser una zona céntrica, al construir comercios, estos tienen alta probabilidad de éxito, por lo que aportarían a la economía del país.

Ampliación de áreas comerciales mediante la restauración dentro de la Casona para generar mayor movimiento económico en la zona.

Mediante la ampliación para el aprovechamiento del uso de suelo, los propietarios podrán generar mayor ingreso económico por medio del alquiler de sus ambientes.

21

FODA MATEMÁTICO

Fortal e zas Oportuni dade s De bi l i dade s Ame nazas D1 0 0 0 0 D2 146 178 186 154 D3 118 96 84 106 D4 138 158 178 158 D5 122 122 86 86 Dim en sió n C o m p arac ió n g lo b al d el FODA 0 50 100 150 200 D1 D2 D3 D4 D5 Series1 Series2 Series3 Series4 22

CAPÍTULO

04

ANÁLISIS DE SITIO

UBICACIÓN A NIVEL REGIONAL

UBICACIÓN A NIVEL LOCAL

* UBICACIÓN: Centro de histórico

* DISTRITO: 10

* SUBDISTRITO: 12

* MANZANO: 15

* CALLE: 25 de mayo

* ZONA: Sudeste

* SUPERFICIE : 490,00 m2

* USO ORIGINAL: vivienda

* USO ACTUAL: comercio- vivienda

* UBICACIÓN EXACTA: Centro histórico de la ciudad de Cochabamba, la casona se encuentra en la Calle 25 de mayo, entre Calle sucre y jordán, aledaña al pasaje G. Aldunate que conecta la Calle 25 de mayo y la Calle San Martín.

PLANO CATEGORIZACIÓN DE EDIFICACIONES PATRIMONIALES

C1 Categoría de conservación integral-----------------

C2 Categoría de conservación estructural-------------

C3 Categoría de conservación e integración----------

C4 Categoría de integración urbana --------------------

C4 Categoría de integración urbana

En esta categoría de protección a la imagen urbana no se protege del todo la edificación debido a que están permitidas modificaciones y construcciones nuevas. Sin embargo, existen requisitos que implican la prohibición con respecto a alterar la imagen urbana y el poner en riesgo edificaciones colindantes.

PANDO BENI LA PAZ SANTA CRUZ ORURO COCHABAMBA COCHABAMBA POTOSI CHUQUISACA TARIJA
072 HEROÍNAS A V S A N M A R T I N A V A Y A C U C H O LADISLAO CABRERA SANTIVAÑEZ GRAL. ACHA E S P A Ñ A BOLIVAR N A T A N I E L A G U I R R E E S T E B A N A R Z E 2 5 D E M A Y O A DE IBA9EZ S U C R E SUCRE JORDAN G ALDUNATE B A P T I S T A PJE F C SANCHEZ Z E N T E N O 079 080 081 092 093 081 082 073 074 075 001 002 003 005 006 012 013 018 019 008 021 034 010 022 009 035 004 PZ 14 DE SEPTIEMBRE HEROÍNAS VA NAS TRAM I N VA OHCUCAYA LADISLAO CABRERA NATAN LE UGA I ERR NABETSE EZRA 2 5 ED OYAM 2 5 ED OYAM ÑAPSE A TPAB ATS SANTIVAÑEZ GRAL ACHA BOLIVAR SUCRE G ALDUNATE ONETNEZ
REFERENCIAS PLAZA 14 DE SEPTIEMBRE HEROÍNAS A V . S A N M A R T I N A V . A Y A C U C H O 5 D E M A Y O 2 5 D E M A Y O E S P A Ñ A B A P T I S T A SANTIVAÑEZ GRAL ACHA BOLIVAR SUCRE G ALDUNATE Z E N T E N O PLAZA
LADI 034 035 23
14 DE SEPTIEMBRE

Se puede observar que en la zona predomina el uso de suelo de tipo comercial y administrativo. Esto probablemente sea debido a que el área en cuestión se encuentra en el centro de la ciudad, que tras las intervenciones realizadas debido al plan Regulador 1961, fue destinado a ser un espacio de mercados, lo cual explicaría que, al pasar el tiempo, esa tendencia comercial se esparciera a los alrededores explicando de esta manera la actual predominancia de la misma.

ISLAO CABRERA

------------------------

USO DE SUELOS GENERAL USO DE SUELO HISTÓRICO

El hecho de que esta zona sea destinada a preservación histórica es debido a que desde la existencia de la plaza 14 de septiembre, las edificaciones construidas alrededor y cercanas a la misma eran de gran importancia y por ende contaban con una arquitectura destacable ya que pertenecían a familias adineradas. Sin embargo, cabe mencionar que debido al plan regulador y a las normas legales impuestas por la Honorable Alcaldía Municipal en los años 50 para poder modernizar la ciudad, se perdió gran cantidad de dichas construcciones, sin embargo, es gracias al Plan director (1981) que se empieza a reconocer su valor histórico debido a la implementación de nuevas leyes que buscaban preservar y proteger los valores arquitectónicos y urbanos que constituyen el patrimonio histórico y cultural de la ciudad

Área de preservación histórica ----------

Áreas verdes y de recreación ------------

Anillo de transición - Centro Histórico---

072 HEROÍNAS VA NAS TRAM N VA OHCUCAYA LADISLAO CABRERA SANTIVAÑEZ GRAL ACHA ÑAPSE A BOLIVAR NATAN LE UGA I ERR NABETSE EZRA 2 5 ED OYAM A DE IBA9EZ ERCUS SUCRE G ALDUNATE TPAB I ATS PJE F C SANCHEZ ONETNEZ 079 080 081 092 093 081 082 073 074 075 001 002 003 005 006 012 013 018 019 008 021 034 010 022 009 035 004 PZ 14 DE SEPTIEMBRE
072 HEROÍNAS VA NAS TRAM N VA OHCUCAYA LADISLAO CABRERA SANT VAÑEZ GRAL ACHA ÑAPSE A BOLIVAR NATAN LE UGA I ERR NABETSE EZRA 2 5 ED OYAM A DE IBA9EZ ERCUS SUCRE G ALDUNATE TPAB ATS PJE F C SANCHEZ ONETNEZ 079 080 081 092 093 081 082 073 074 075 001 002 003 005 006 012 013 018 019 008 021 034 010 022 009 035 004 PZ 14 DE SEPTIEMBRE
Recreacional
Residencial
Administrativo
Educacional
Comercial ---------------------------
-----------------------
-------------------------
---------------------
018 019 24

CATEGORIZACIÓN Y ESTADO DE EDIFICACIONES PATRIMONIALES

REFERENCIAS Cableado en fachadas --------------------------

Edificaciones de carácter patrimonial deterioradas para estacionamientos -------- XXX

NIVEL DE DETERIORO

Deterioro severo------------ A

Deterioro leve-------------- M

Deterioro casi nulo--------- B

TIPO DE CATEGORÍA

C1 Categoría de conservación integral-----------

C2 Categoría de conservación estructural-------

C3 Categoría de conservación e integración----

C4 Categoría de integración urbana --------------

ALUMBRADO PÚBLICO

El lugar si cuanta con iluminación en las avenidas, calles y haceras, tanto como en plazas y pasajes, esto involucra una gran cantidad de cableado que mayormente se encuentran sujetados a muchas fachadas de carácter patrimonial Mediante este análisis de sitio el cual se realizó en el sector de intervención se pudo identificar, sobre todo en lugares como la plaza principal y todo el centro histórico de la ciudad, la única edificación que se pudo apreciar que no tiene el conjunto de cableado en la fachada, es el Teatro Achá.

Otro de los factores importantes a mencionar es que parte de la luminaria publica se encuentra adherida sobre las fachadas patrimoniales, es decir que no cuenta con un poste que lo sostenga, por lo tanto la estructura de la fachada es la que carga todo el peso y la tensión de la luminaria, esto se cree que puede ocurrir debido a las aceras angostas que se encuentran en el sector, de este modo este factor puede perjudicar el patrimonio arquitectónico Cochabambino acelerando su deterioro.

HEROÍNAS VA NAS TRAM I N VA OHCUCAYA LADISLAO CABRERA NATAN I LE UGA ERR NABETSE EZRA 2 5 ED OYAM 2 5 ED OYAM ÑAPSE A TPAB I ATS SANTIVAÑEZ GRAL ACHA BOLIVAR SUCRE G ALDUNATE ONETNEZ PLAZA 14 DE SEPTIEMBRE A A M M M B B B B B B B B B B B B B B B B B B B B B M M M M M M M M M M M M M M A A A A A A A A A A A XXX XXX 072 H RO NA V S A N M A R T N V A A U H O LA SLAO C BRERA NT VAÑ G L A HA S A Ñ A L VAR A A E L A G U R E E T B N A R E 2 E M A O DE BAÑ U C E CRE ALDUNA B P T JE F C SANC Z E T N O 079 081 093 73 075 01 002 00 00 0 6 01 013 0 8 0 9 0 8 021 01 02 00 03 00 PZ 4 DE SEPT BRE x x x x x x x x x x x x x x x x x x x x x x x x x x x x x x x x x x
x Postes de electricidad-------------------Luminaria publica adherida a casonas patrimoniales-----------------25

CAPÍTULO

05

Edi caciones a intervenir de emergencia

Edi caciones con intervenciones super ciales

Edi caciones en buen estado que deben aplicar el mantenimiento constante

Casona 25 de mayo

Recorrido peatonal propuesta

Corazones de manzanos existentes

Espacio peatonal existente

URBANA

Proyecto

base para la propuesta urbana

Regeneración Urbana Y Patrimonio en el Centro Histórico de Cochabamba

Para esta propuesta urbana se utilizó como base un proyecto realizado por “Ururo Arquitectura” que titula “Regeneración urbana y patrimonio en el centro histórico de la ciudad de Cochabamba”, el cual propone desde un punto de vista patrimonial, un recorrido peatonal que conecte los hitos históricos representativos del centro de la ciudad, con la intención de generar recorridos de atracción patrimonial que podría dar un aporte para la activación turística del departamento, donde el punto de partida seria la Plaza Colon, continuando por la calle Babtista, hasta llegar al convento santa teresa, siguiendo por la España hasta conectar con el correo, el cual desembocaría a la Plaza principal 14 de Septiembre, este recorrido podría llegar a ser una propuesta elemental para que tanto la población cochabambina como su turismo pueda revalorizar el patrimonio arquitectónico de la ciudad.

De este modo se obtendrá un pasaje amplio para el peatón con una calidad espacial que conecte el casco viejo como un solo conjunto, otorgara a los comerciantes un espacio más adecuado para su función.

HEROÍNAS VA NAS TRAM I N VA . OHCUCAYA 52 ED OYAM 52 ED OYAM ÑAPSE A TPAB I ATS SANTIVAÑEZ GRAL ACHA BOLIVAR SUCRE G ALDUNATE ONETNEZ PLAZA 14DE SEPTIEMBRE R R R R R R R R R R R R R R R R R R R R R R R R M M M M M M M M M M M M M M M M M M M M M M M M M M M
PROPUESTA
26

EXTENSIÓN DEL RECORRIDO HASTA

LA CASONA 25 DE MAYO

Después de analizar algunas de las problemáticas del centro histórico de la ciudad de Cochabamba y de haber investigado sobre algunos proyectos similares, respecto al patrimonio dentro del sector, se plantea como propuesta urbana, la extensión el recorrido generado por “Ururu Arquitectura” el cual termina en la Plaza principal 14 de septiembre, que queda a dos cuadras de la casona 25 de mayo. para que este recorrido se extienda hasta la casona 25 de mayo, convirtiéndola en el punto final de este recorrido, es necesario adaptar algunas vias vehiculares en peatonales, para esto se analizo cuales resultaban ser las menos transitadas para no perjudicar al transporte vehicular, tanto publico como privado, teniendo como resultado la calle Sucre, la cual ya había sido alterada en la Plaza 14 de septiembre para su uso peatonal, de este modo se intervendrá la calle Sucre dos cuadras, es decir, la calle Sucre, desde la calle Esteban Arce hasta la calle 25 de mayo, reubicando su transito a las calles aledañas.

Este nuevo espacio peatonal, no solo permitirá mayor actividad social entre vecinos y transeúntes, sino que reactivará los corazones de los manzanos; 001, 002, 003, 004, 005, 006, 009 y 010 del sector, conocidos como los pasajes Sucre y G. Aldunate a través de su conexión, además conectara directamente con la acera existente, ubicada al frente de la casona 25 de mayo, la cual responde a una dimensión optima para el peatón, actualmente esta acera se encuentra ocupada por comerciantes, los cuales dificultan el desplazamiento del peatón por esta zona, por este motivo, se reubicaran en el nuevo espacio peatonal sobre la calle Sucre, tomando en cuenta que su dimensión permite que el peatón pueda desplazarse con normalidad a pesar de la instalación de comercios callejeros, de este modo los comerciantes podrán beneficiarse mediante su reubicación en una zona más cercana a la plaza principal 14 de septiembre donde se encuentra un flujo grande de personas, además este pasaje contara con una instalación de alumbrado publico para brindar mayor seguridad por la noche, de esta forma los mismos comerciantes podrán extender el horario de apertura de sus negocios, generando mayor ingreso económico al día, lo que se pretende con este proyecto es incrementar la visibilidad nocturna, para generar un lugar seguro incluso de noche, y extender mediante el recorrido la actividad social que existe en la plaza principal 14 de septiembre, hasta la casona 25 de mayo.

RUTAS DISPONIBLES PARA TRANSPORTE ESPACIO PEATONAL ESPACIO PEATONAL 072 HEROÍNAS A V S A N M A R T N A V A Y A C U C H O LAD SLAO CABRERA SANT VAÑEZ GRAL ACHA E S P A Ñ A BOLIVAR N A T A N E L A G U R R E E S T E B A N A R Z E 2 5 D E M A Y O A DE BAÑEZ S U C R E SUCRE G ALDUNATE B A P T I S T A PJE F C SANCHEZ Z E N T E N O 079 080 081 092 093 081 082 073 074 075 001 002 003 005 006 012 013 018 019 008 021 034 010 022 009 035 004 PZ 14 DE SEPTIEMBRE CONSTRUCCIÓN CONSTRUCCIÓN CONSTRUCCIÓN CONSTRUCCIÓN CALLE SUCRE PERFILES DE VIA ANTES DE LA INTERVENCIÓN CONSTRUCCIÓN CONSTRUCCIÓN CONSTRUCCIÓN CONSTRUCCIÓN CALLE SUCRE PERFILES DE VIA DESPUES DE LA INTERVENCIÓN 27
Rutas y sentido de la vía

ANTROPOMETRÍA

ALTURA DE CUERPO (ESTATURA) Niños Niñas Jovenes Jovenes Adultos Adultos Varones Altura Altura Mujeres ALTURA AL HOMBRO Niños Niñas Jovenes Jovenes Adultos Adultos Varones Altura Altura Mujeres ALTURA BRAZOS ARRRIBA Niños 1,64 1,62 1,64 1,66 1,67 1,51 1,33 1,05 1,05 1,39 1,41 1,28 1,32 1,31 Niñas Jovenes Jovenes Adultos Adultos Varones Altura Altura Mujeres ALTURA AL GLUTEO Niños Niñas Jovenes Jovenes Adultos Adultos Varones Altura Altura Mujeres ANCHURA LATERAL DE BRAZOS Niños Niñas Jovenes 1,60 1,66 1,51 1,58 Jovenes Adultos Adultos Varones Anchura Anchura Mujeres ALTURA AL CODO Niños 1,00 0,90 Niñas Jovenes Jovenes Adultos Adultos Varones Altura Altura Mujeres 0,58 0,57 0,37 0,77 0,77 0,67 0,81 0,71 2,00 1,20 1,08 1,84 1,70 1,80 1,10 0,96 ANCHURA DE CABEZA Niños Niñas 0,14 0,15 0,53 0,50 0,20 0,15 0,16 0,15 Jovenes Jovenes Adultos Adultos Varones Anchura Anchura Mujeres ALTURA DE CABEZA Niños Niñas Jovenes 0,11 0,11 0,18 0,20 Jovenes Adultos Adultos Varones Altura Altura Mujeres LARGURA DE BRAZO Niños Niñas Jovenes Jovenes Adultos Adultos Varones Altura Altura Mujeres 0,65 0,80 2,10 1,86 20 cm 18 cm ALTURA AL HOMBRO SENTADO Niños Niñas Jovenes Jovenes Adultos Adultos Varones Altura Altura Mujeres ALTURA CODO SENTADO Niños Niñas Jovenes Jovenes Adultos Adultos Varones Altura Altura Mujeres Niños 0,77 0,76 0,43 0,43 0,17 0,18 Niñas Jovenes Jovenes Adultos Adultos Varones Altura Altura Mujeres LARGURA DEL MUSLO SENTADO Niños Niñas Jovenes Jovenes Adultos Adultos Varones Altura Altura Mujeres ANCHURA DEL MUSLO SENTADO Niños Niñas Jovenes Jovenes Adultos Adultos Varones Altura 0,14 0,14 0,16 0,13 Altura Mujeres ALTURA DE CABEZA SENTADO 0,88 0,85 0,55 0,58 0,81 0,90 0,55 0,57 0,55 0,58 0,21 0,28 0,15 0,16 0,16 0,15 0,50 0,52 0,53 0,51 28

ERGONOMETRÍA

TABLA MODELO - CAFETAERÍA

L argo : 0 95 m Ancho : 0 60 m Altura: 1 70 m OBSERVAC I ONES 5 C o cineta ESTANTE DI MENSI ONES SI L L A DI MENSI ONES L argo : 0 50 m Ancho : 0 45 m Altura: 0 85 m OBSERVAC I ONES C AJA DI MENSI ONES L argo : 1 40 m Ancho : 0 70 m Altura: 0 76 m OBSERVAC I ONES NOMBRE DEL AMBI ENTE: C OC I NA - C AFETERÍ A EQU I PO REQU ERRI DO: PL ANTA VI STA EN 3 DI MENSI ONES 1 C aja 2 Silla 3 Estantes 4 Ref rigerado r 6 L avaplato s L argo : 1 30 m Ancho : 0 60 m Altura: 0 95 m OBSERVAC I ONES C OC I NETA OBSERVAC I ONES L AVAPL ATOS DI MENSI ONES PL ANTA VI STA EN 3 DI MENSI ONES REFRI GERADOR DI MENSI ONES L argo : 0 65 m Ancho : 0 60 m Altura: 0 65 m 6 L avaplato s DI MENSI ONES L argo : 0 65 m Ancho : 0 65 m Altura: 1 67 m OBSERVAC I ONES NOMBRE DEL AMBI ENTE: C AFETERÍ A EQU I PO REQU ERRI DO: 1 C aja 2 Silla 3 Estantes 4 Ref rigerado r 5 C o cineta 29

PROGRAMACIÓN LÁMINAS MODELO

LAMINA DE PROGRAMACION CUALITATIVA Y CUANTITATIVA ACTIVIDADES DEL AMBIENTE ORGANIZACION FUNCIONAL ORGANIZACION ESPACIAL ESQUEMA FUNCIONAL INTERIOR RELACIONAMIENTO FUNCIONAL REQUERIMIENTO CUALITATIVO DEL AMBIENTE VENTILACION ILUMINACION NATURAL ASOLEAMIENTO ILUMINACION ARTIFICIAL N° LAMINA: ESTADO ACTUAL REQUERIMIENTO ESPACIAL FUNCIONAL SECTOR: Comercial antes de la intervención AMBIENTE: Tienda comercial N° 1 Ingresar Acceder Almacenar PLANTA BAJA PLANTAS RELEVAMIENTO 25 DE MAYO PLANTA ALTA PLANTA BAJA PLANTAS RELEVAMIENTO 25 DE MAYO Acceso patio Patio Ingreso Baño espacio sin uso Ingreso acceso patio baño patio CORTE A-A 25 DE MAYO ESC. 1:100 CORTE B-B 25 DE MAYO ESC. 1:100 CORTE A-A 25 DE MAYO ESC. 1:100 CORTE B-B 25 DE MAYO ESC. 1:100 CORTE A-A 25 DE MAYO ESC. 1:100 CORTE B-B 25 DE MAYO ESC. 1:100 LAMINA DE PROGRAMACION CUALITATIVA Y CUANTITATIVA ACTIVIDADES DEL AMBIENTE ORGANIZACION FUNCIONAL ORGANIZACION ESPACIAL ESQUEMA FUNCIONAL INTERIOR RELACIONAMIENTO FUNCIONAL REQUERIMIENTO CUALITATIVO DEL AMBIENTE VENTILACION ILUMINACION NATURAL ASOLEAMIENTO ILUMINACION ARTIFICIAL N° LAMINA: REQUERIMIENTO CUANTITATIVO DEL AMBIENTE EQUIPO CANTIDAD TIPO DIMENSIONES FIJO MOVIL LARGO ANCHO AREA DE USO AREA DE EQUIPO AREA PARCIAL AREA PARCIAL % DE CIRCULACION AREA TOTAL DEL AMBIENTE REQUERIMIENTO ESPACIAL FUNCIONAL SECTOR: Comercial AMBIENTE: Tiendas comerciales Comprar Vender Cambiarse Exponer Almacenar Necesidades básicas Estante 10 0.70 1.50 0.50 1.00 0.40 0.40 0.40 0.40 0.40 0.30 1.20 0.40 0.20 0.80 0.16 0.12 1.80 2.80 0.06 0.24 0.048 0.036 30% 0.54 0.84 0.26 1.04 0.208 0.156 7.64 2.29 9.93 2.34 3.64 1 1 2 1 1 Escritorio Silla Banco Inodoro Lavamanos CORTE A-A 25 DE MAYO ESC. 1:100 CORTE B-B 25 DE MAYO ESC. 1:100 CORTE A-A 25 DE MAYO ESC. 1:100 CORTE B-B 25 DE MAYO ESC. 1:100 CORTE A-A 25 DE MAYO ESC. 1:100 CORTE B-B 25 DE MAYO ESC. 1:100 Ingreso Baño Almacen Vestidor Vestidor Ingreso Tienda Caja Baño Vestidores Almacén Ingresar Observar Exponer productos Comprar Necesidades siológicas Cambiarse Almacenar 30
ACTUAL PROPUESTA INGRESO PRINCIPAL INGRESO SECUNDARIO INGRESO TIENDA 2 INGRESO TIENDA 3 INGRESO TIENDA 4 TIENDA 1 PATIO ALMACEN TIENDA 4 DEPOSITO DEPOSITO CONECTOR HORIZONTAL BAÑO BAÑO BAÑO TIENDA DE ROPA 2 TIENDA POLLO 3 TIENDA ROPA 4 ACCESO PATIO ESPACIO DE SERVICIO ZONA PUBLICA CUADROS DE REFERENCIA ZONA SEMIPUBLICA ZONA PRIVADA ZONA DE SERVICIO ZONA EXTERIORES CUADROS DE REFERENCIA ZONA COMERCIAL ZONA ADMINISTRATIVA ZONA SIN USO FLUJO 100 - 75 % 75 - 50 % 50 - 25 % 25 - 1 % INDIRECT0 DIRECCIÓN CUADROS DE REFERENCIA INGRESO PRINCIPAL INGRESO PRINCIPAL INGRESO TIENDA 2 INGRESO TIENDA 3 INGRESO TIENDA 4 ZONA PUBLICA CUADROS DE REFERENCIA ZONA SEMIPUBLICA ZONA PRIVADA ZONA DE SERVICIO ZONA EXTERIORES CUADROS DE REFERENCIA ZONA COMERCIAL ZONA ADMINISTRATIVA ZONA SIN USO FLUJO 100 - 75 % 75 - 50 % 50 - 25 % 25 - 1 % INDIRECT0 DIRECCIÓN CUADROS DE REFERENCIA Restaurante Tiendas comerciales Tiendas comerciales Cowork Espacio recreacional Almacen Deposito Conector Horizontal Baño Tienda de ropa 2 Tienda pollo 3 Tienda Ropa 4 Conector Horizontal Espacio distribuidor Conector Vertical 31
ORGANIGRÁMA

PROBLEMATICAS CENTRO HISTORICO DE COCHABAMBA

Para generar esta propuesta urbana desde el ámbito patrimonial, se tomaron en cuenta distintos factores que ayuden a promover la preservación arquitectónica patrimonial, y de este modo poder recuperar la imagen urbana del sector, para esto se analizo de forma minuciosa algunas de las problemáticas con las que cuenta el centro histórico de la ciudad de Cochabamba.

•Cableado en fachadas arquitectónicas patrimoniales: todo el centro histórico de la ciudad se encuentra saturado por cableados tanto telefónicos como eléctricos, los cuales se encuentran adheridos a la mayoría de las fachadas arquitectónicas de carácter patrimonial, además de puntos de iluminación publica sujetos a las fachadas causando tensión acumulación de humedad, acelerando el deterioro del mismo

•Destrucción del patrimonio arquitectónico: mediante el análisis de sitio realizado previamente se pudo realizar una comparativa del estado actual de los inmuebles que forman parte de la categorización de inmueble patrimonial en el centro de Cochabamba, por lo que se pudo apreciar como algunos de ellos que contaban con una categorización de preservación, según la entrevista con la arquitecta Verónica Murillo, encargada de patrimonio en la alcaldía, esto sucede debido a que los propie-se o sufra algún riesgo de colapso

Destrucción de identidad: Al perder el patrimonio arquitectónico de la ciudad se esta perdiendo parte de su identidad ya que el patrimonio forma parte de la historia de un lugar y de su evolución con el tiempo, es testigo de las técnicas y métodos de construcción de la época.

•Perdida de la imagen urbana: La ciudad al presentar un creci-caciones de carácter patrimonial para la ampliación de las calles por lo que muchas de ellas desaparecieron por completo y algunas una porción de ella, esta división no se realizo en muchos casos con ningún tipo de cuidado o una inter vención posterior, por lo que al transcurrir por el centro histórico de laciones faltantes

•Ausencia de espacio público: en los últimos años en la ciudad de Cochabamba se dio mayor prioridad ala movilidad que al peatón, en el centro histórico las aceras son estrechas y no peatonal es elevado en la zona, debido a que es una zona altamente comercial, además se encuentra cercana la Plaza principal 14 de Septiembre pero la falta de espacio para peatón pone en riesgo la seguridad de los transeúntes de la zona, además el centro histórico debería ser uno de los sectores turísticos mas visitados en la ciudad, pero a causa de su mal cuidado y su falta de recorridos peatonales culturales, este sector es visitado solo por su concentración comercial

PROPUESTA URBANA

PRINCIPIOS PROPUESTA URBANA

eser var el patrimonio arquitectóo ecuperar la imagen urbana del tro histórico de la ciudad •Dar un espacio al peatón en el tro histórico enerar recorridos patrimoniaculturales en base al proyecto de “Ururu Arquitectura” eactivación turística en el centro órica de la ciudad eactivación económica.

PROPUESTA URBANA

Con esta propuesta urbana se pretende recuperar la identidad del centro histórico de la ciudad de Cochabamba, a través de la restauración, recuperación y conservación de su patrimonio mediante un mantenimiento constante para prevenir su deterioro futuro dentro de esta propuesta se plantea recuperar lo mas posible la imagen urbana muchas el daño vías que restau módulos pecialistas Par es tea eliminar desus de alta tensión que están adheridos a las fachadas de las casonas, de esta forma evitar el aceleramiento de deterioro en fachadas, de este modo también se podrá tener un paisaje limpio y homogéneo

Parte de esta propuesta urbana es la adaptación del lugar para el peatón, en el centro histórico hace falta espacios peatonales, de los cuales se podrían generar recorridos culturales y de atracción para el peatón, de esta forma podría ser un aporte para la activación turística, al ser un sector que cuenta con grandes edigenerar recorridos que conecten hitos del centro histórico generando una trayectoria que iniciaría desde la Plaza Colon, conectando por sus vías a las galerías del correo que terminara conectando con la del recorrido conectaremos la plaza 14 de septiembre, adaptando las dos cuadras a continuación de la calle sucre hasta la calle San Martin, para que sea totalmente peatonal, la calle 25 de mayo por su elevadonida, afortunadamente cuenta con una acera peatonal mayor a 3 metros, actualmente esta acera se encuentra ocupada por comercianeste espacio, por esta razón al adaptar la casona 25 de mayo con mayores ambientes comerciales se reubicara estos pequeños espacios comerciales dentro de la casona, de este modo se liberara el paso peatonal y se dará continuidad al recorrido de atracción. Con este recorrido también se generará un juego de luces nocturnas para dar mayor seguridad en la zona y así expandir la actividad peatonal nocturna hasta la casona 25 de mayo

Proyecto base para la propuesta urbana Regeneración Urbana Y Patrimonio en el Centro Histórico de Cochabamba

Para esta propuesta urbana se utilizó como base un proyecto realizado por “Ururo Arquitectura que titula Regeneración urbana y patrimonio en el centro histórico de la ciudad de Cochabamba , el cual propone desde un punto de vista patrimonial un recorrido peatonal que conecte los hitos históricos representativos del centro de la ciudad con la intención de generar recorridos de atracción patrimonial que podría dar un aporte para la activación turística del departamento, donde el punto de partida seria la Plaza Colon, continuando por la calle Babtista, hasta llegar al convento santa teresa, siguiendo por la España hasta conectar con el correo el cual desembocaría a la Plaza principal 14 de Septiembre este recorrido podría llegar a ser una propuesta elemental para que tanto la población cochabambina como su turismo pueda revalorizar el patrimonio arquitectónico de la ciudad

Para el recorrido se aplico un urbanismo táctico mas sutil que vaya acorde con el entorno patrimonial para esto se tomo como referencia, las formas usadas en el piso de la via que fue anteriormente adaptada para ser peatonal que forma parte de la Plaza principal 14 de septiembre, el cual se interpreto debido a sus formas, que encuentran en el centro histórico de la ciudad ya que cuenta con arcos de medio punto que a sus extremos

dimensión, jerarquizando el ingreso de este modo el

De este modo se obtendrá un pasaje amplio para el peatón con una calidad espacial que conecte el casco viejo como un solo conjunto, otorgara a los comerciantes un espacio más adecuado para su función.

Propuesta urbana Extensión del recorrido hasta la casona 25 de mayo

Después de analizar algunas de las problemáticas del centro histórico de la ciudad de Cochabamba y de haber investigado sobre algunos proyectos similares respecto al patrimonio dentro del sector, se plantea como propuesta urbana, la extensión el recorrido generado por “Ururu Arquitectura el cual termina en la Plaza principal 14 este recorrido es necesario adaptar algunas vias vehiculares en peatonales para esto se analizo cuales resultaban ser las menos transitadas para no perjudicar al transporte vehicular tanto publico como privado, teniendo como resultado la calle Sucre la cual ya había sido alterada en la Plaza 14 de septiembre para su uso peatonal, de este modo se intervendrá la calle Sucre dos cuadras, es decir, la calle Sucre desde la calle Esteban Arce hasta la calle 25 de mayo reubicando su transito a las calles aledañas

Este nuevo espacio peatonal, no solo permitirá mayor actividad social entre vecinos y transeúntes, sino que reactivará los corazones de los manzanos; 001, 002, 003, 004, 005, 006, 009 y 010 del sector conocidos como los pasajes Sucre y G. Aldunate a través de su conexión, además conectara directamente con la acera existente ubicada al frente de la casona 25 de mayo la cual responde a una dimensión optima para el peatón, actualmente esta acera se encuentra ocupada por comerciantes los su dimensión permite que el peatón pueda desplazarse con normalidad a pesar de la instalación de comercios callejeros, de este modo los comerciantes podrán benecontara con una instalación de alumbrado publico para brindar mayor seguridad por la noche, de esta forma los mismos comerciantes podrán extender el horario de apertura de sus negocios, generando mayor ingreso económico al día, lo que se pretende con este proyecto es incrementar la visibilidad nocturna, para generar un lugar seguro incluso de noche, y extender mediante el recorrido la actividad social que existe en la plaza principal 14 de septiembre, hasta la casona 25 de mayo

Para la reubicación de rutas de transporte se marcaron en el plano las vías y su sentido por el cual podrán desplazarse con tranquilidad en este caso al ser el centro histórico cuenta con gran cantidad de vías por la cual puede retomar su ruta el transporte vial

Rutas y sentido de la vía

Puntos de conexión mas cercanos

Rutas disponibles para transporte Espacio peatonal

HEROÍNAS VA . NAS TRAM I N VA OHCUCAYA 52 ED OYAM 52 ED OYAM ÑAPSE A TPAB I ATS SANTIVAÑEZ GRAL ACHA BOLIVAR SUCRE G ALDUNATE ONETNEZ PLAZA 14DE SEPTIEMBRE R R R R R R R R R R R R R R R R R R R R R R R R M M M M M M M M M M M M M M M M M M M M M M M M M M M Recorrido peatonal propuesta Casona 25 de mayo de emergencia que deben aplicar el mantenimiento constante
Corazones de manzanos existentes Espacio peatonal existente
B M R G 1 E N Ó C U T N O C N C T N C N Ó C U T N O C N Ó C C U R T S N O CALLE SUCRE PERFILES DE VIA ANTES DE LA INTERVENCIÓN N Ó C C R S N O N Ó C U S N O N Ó C C U R S N O N Ó C U R S O C CALLE SUCRE PERFILES DE VIA DESPUES DE LA INTERVENCIÓN

BIBLIOGRAFÍA

Turn static files into dynamic content formats.

Create a flipbook
Issuu converts static files into: digital portfolios, online yearbooks, online catalogs, digital photo albums and more. Sign up and create your flipbook.