Mary Clare Martin
Portfolio 2023 Architecture Landscape
About Me

Interests
My name is Mary Clare Martin, and I grew up in Valdosta, Georgia. I am expecting my bachelors in Landscape Architecture as well as a minor in Historic Preservation from the University of Georgia as of May 2025.
Both community planning and residential design are interesting to me. I am passionate about intimate details, having purposes for things, and putting myself in client’s shoes to understand what they want. I am not afraid to ask questions. What has recently piqued my interest is New Urbanism. I am hoping to achieve a certificate in the Charter of New Urbanism. While getting into the nitty-gritty of personal spaces, and developing public spaces that could have everything imaginable, I also find myself intrigued by the way town design and planning have a role in people’s day-to-day lives, and I want to play a role in doing something that spreads goodness, even in unseen ways.
Welton, Virginia
A site in Virginia, was "set aside" for which we were going to design a town.
In collaboration with team members, an in-depth analysis was made for the entire state of Virginia as well as the specific site. To the right are two maps I completed, the Land Cover and Hillshade analysis. I also did analysis on Eco Assessment and Conservation Land as well as the Avian Protection zones. ArcGIS and Illustrator were used to complete the graphics.
Analysis Maps 1







The ability to do so much large scale and small scale analysis really helped me get a grip on aspects of the land that were important to know before beginning design. Using ArcGIS opened up a world of possible analysis, and I curated knowledge and skills in the program through this project.



























Analysis Maps 2

“In Welton, people can truly live, play, and work, all in the same place.”
Welton Masterplan
Completed through sketching, scanning, and finally rendered via Illustrator and Photoshop. I ensured that each corner of the design had encouragement for people to travel to. All corners of the design have both mixed-use buildings and residencies, so commercial encouragement is a factor everywhere you go. There are also specific districts in the town; the SW corner holds more civic places, such as the hospital, fire station, and police station. The NE corner holds the marsh-side resort, with waterfront restaurants, open green spaces, and downtown opportunities. The only places I wanted to be slightly hidden were the schools. C.N.U. says it is best to keep them close, but on the peripheral, so that high traffic areas do not have dead spaces. I moved my middle and high school between rivers; connected, but out of the way from hamlets. The elementary school is a little closer to town so parents can walk their kids to school, but with a green buffer so it is safer.

Welton, Virginia

Land Use Diagram
All housing types, such as single family, apartment, and town homes disperse evenly throughout the design. Mixed use buildings are added in with residencies, so commercial can thrive in hamlets as well. This supports the district feel rather than separation of the hamlets.
Walk-ability is one of the most important aspects in a new urbanist town. Boulevards ensure pedestrian friendly and aesthetic additions to the town. The blocks are all New Urbanism standard, so every block perimeter is less than 1800 feet.
Of the 4200 acres, 30% is developed land, leaving 70% conserved, keeping the natural landscape close to its original form. Bound in by nearby rivers and streams, blocks and traffic are dictated by the flow and structure. The C.N.U. states that “Older suburbs are becoming tomorrow’s ghettos.” Ensuring that urban sprawl would not be a factor in the design, a focal point, the town center, was created and from there radiates out in circles, and branches off into hamlets.
Section 1-Boulevard View







Because of possible overflow from storms, an outlet box and rain garden was added to account for overflow in the event of a heavy storm.

Inspiration was taken from Baldwin Street in Athens, GA. That specific street creates an inspiring environment that is closed in but spacious, and beautiful throughout the seasons. Taking inspiration from that, the pocket park has streets lined with Red Maples. There are varieties of plants, making the area seem less planned and more natural overall.

For the curvilinear path in the middle of my pocket park, I opted to use a recycled permeable paving instead of the regular concrete, to make the area seem more natural. It also added stormwater management benefits, along with a sustainability and structural strength aspect. Some of these details were taken, and then redesigned in order to fit the specifics of the pocket park.




The Riverside
1 Kids Splash Pad and Playground
These next two projects are ones I am most proud of. The Riverside and Classic Park let me showcase a ton of strengths of mine, from hand graphics to AutoCAD and landscape grading. What I sought for most in the process of developing this design was somewhere I would want to go as a person who has lived in Athens year-round for a while. I saw what downtown Athens was, and wanted to create an extension of it.
Public Vegetable Gardens




One notable thing about this project is my integration of multiple spaces for varying ages. There is a children’s park, areas for college students, a place for adults with children who want a safe park, and places for older folks to be able to get their outside time in. It is a design encompassed by the people's need of a park. I created this site with the intention of it being a multi-use space. There are several open lawn areas in which people can lay out and do as they please, as well as several event spaces like the amphitheater and the event space around the museum. I intend this space to be used by all ages, for pleasure and leisure. This area is super walkable, with sidewalks located all around the park, and ADA accessible, with the accessibility ramp located near the west outer sidewalk. Various plants such as Winter Honeysuckle, Rhododendrons, and Red Maples, create an exuberance of color as you walk through the park, year-round.

























The Riverside, cont’d.

Waterside Restaurant Enlargement
Hand Rendered
One thing about people in Athens: they love to eat. On every social media platform, I see foodie accounts, even my friends have accounts dedicated to blogging where the goof food of Athens is. This is how I knew to bring a restaurant into my design as a draw factor. Not only does it bring people in, but it also adds value to land, making it a distinct area with a distinct restaurant. I imagine the food served here is something along the lines of coastal food, or Cajun, southern style meals.
Waterfront attractions are a huge draw to the general population. Combining beautiful scenery with food makes an excellent idea for lunch, a date night, or even just a work week unwind meal. The waterfront section shows how close the water is, as well as the walkable aspect of The Riverside.
Waterfront Section (Not to scale)
Hand Rendered


Grading Plan (NTS)
Hand Rendered
Grading can be a pain for those who don’t understand or enjoy it. I will not claim to be even close to mastering grading, but for this project, I put my heart and soul into it. This is quite a steep area, with a huge drop right as you access the land, all the way to the riverside. Being able to have flatter surfaces, or even just less steep slopes was a huge priority of mine. I pushed a lot of contours back into the left side of the plan in order to create an initial drop, but then a mostly flat surface for the area.
Greenrock House
Linework
Hand Rendered
I had so much fun with the Greenrock House, and looking at it brings back that pure passion I had for designing when I first began the Landscape Architecture journey. My interest in hand graphics shines through this project, and my interest in doing some residential design.

Section 1, Fountain and Seating Area (NTS)
Hand Rendered

I found unrendered linework shows detail that wouldn't be as apparent without the black and white contrast. This is a section facing toward the east end of the backyard which features a fountain and chairs.


Pool Lounge Chairs



Cut Stone (Patterned)

Dining Area

Circular Fountain



Cushioned Seating Area

Rock Formations











Integrated Square Stone and Grass
Greenrock Backyard Masterplan
Classic Park

Building/Pool Perspective
This hand-drawn perspective shows an angular view of the residential building and the surrounding green spaces. You’ll notice an inclusion of greenery throughout the design, whether it be green roofs or walls flushed with various vines.
Quad Enlargement (NTS)
As featured in the College Avenue project, I also used an integrated grass and concrete design for Classic Park. I found it was a good way to break the large green space without jeopardizing the natural aspect. I also wanted to create a more intimate space within this, so I put a “wall” of plants around the integrated spaces as well as in between them, making outside rooms for visitors or residents of Classic Park.
I also wanted to create a travel area, and what better way to get modern people out and about than giving them an epic photo opportunity? I took inspiration from the Rock and Roll Hall of Fame sign in Cleveland, OH, and remade it into a Classic City centerpiece.

Section 1-Classic City Sign (NTS)













Circular Stone Seating









Tinsel Fabric Overhang “Infinity” Pool Integrated Stone and







Gateway Center

Gateway Center is a project I hold dear to my heart. A client came to us and asked to redesign a space for a women's rehabilitation center. In collaboration with Savannah Lockert, we decided to base the design around the idea of community and relationships.
This design features repeating hexagonal shapes throughout the landscape. Hexagons are the shape naturally found in beehives, so it encapsulates a true sense of community. Additionally, included are plants that are natural pollinator attractors to add to the idea of the beehive. Our main goal was to create a natural outside space that could be multipurpose, allowing residents and their families fresh air and opportunities to explore the grounds. Keeping the family aspect in mind, it was important to create safe spaces for both younger and older children throughout the site as well as a space for their parents to keep an eye on them.

































17 Gateway Center

Plant Attributes


Specific plants were researched, as well as meanings behind them such as “safety” and “togetherness”. With this I created a full plant attributes chart, as well as a bloom chart, so the clients could visualize the various color palettes the plants would create.

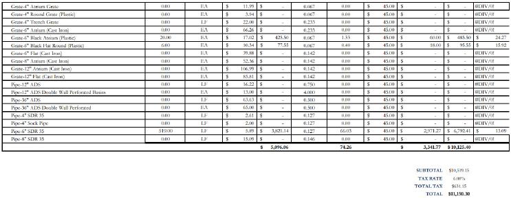
Cost Estimate, Phase 1

Cost Estimate, Phase 2



Another aspect of this project was creating Cost Estimates. Though I was not excited by this at first glance, I actually found myself feeling very fulfilled while creating the charts. Using Excel was also not at the forefront of my abilities, but I am now more comfortable with it’s interface, and from what I’ve heard, Excel skills are useful in the workforce.
Taking into account of what we could do with our design without breaking a real-life budget helped me feel what working on an actual project is like. I enjoyed having restraints that L.A.’s see in the workforce, and I loved every second of it.
Cost Estimate, Phase 3


19 Taylor Residence
A residential prject I worked on at Sea Island.
I did a full landscape plan (schedule was included on a separate page) and a drainage plan as well.
Planting Plan
This was the drainage plan. I really enjoyed working on this and learning, since at UGA we didnt do a ton of actual piping on plans. I was also able to do a cost estimate for the drianage plan as well and familiarize myself with the lingo that went along with it.
Drainage Plan
Drainage Cost Estimate


Oglethorpe Sidewalk
A capitol project I headed. 2 miles of sidewalk connecting to an existing sidewalk in the Sea Island neighborhood, on Oglethorpe Drive. This sheet 1 out of about 11 or 12, as the site was winding and long.
I created a detail sheet as well for the site aspects. On the next page, you'll see the cost estimate I did for demo and install of the project. I believe it will be started on around 2027-2028.
Project Cost Estimate
23 Lodge Trial Garden
(113)22"OAK
(116)32"OAK
I learned one of the most important lessons doing this project - flexibility. The real world will throw you unavailable plants, incoming deadlines, and broken drainage lines. It's important to work with your nurseries and install crew directly in order to to efficiently change things up and get things done when bumps in the road come along.
Quick SketchUp Model


Site Photos


Dwarf Podocarpus Install Finishing Installation Finished

25 Cobarrubias Residence
This was a residential project I did in September 2024. The client just wanted a plan with plant specficities and placements.
He also had a heavily shaded area within his cirucluar driveway, and wanted plants on berms he had that also hosted large shady trees.



Renderings created with SketchUp and Lumion.

College Avenue
Through several process drawings, a pleasing curvilinear shape that also made efficient pedestrian circulation dominated. Movement through the space was a driver in the design.
Process Sketch 1



Sketchup Model of Pink Quartz Statue

This square is located in downtown Athens, GA where the road was simply blocked off and some tables were haphazardly thrown in to create a little communal space. Through design it was made better, more interesting square.
College Avenue Aerial (NTS)

The geometry of the statue's harsh and angular form contrasts that of the curvilinear paths, to create emphasis and allows the statue to act as a focal point in the design






























College Avenue Masterplan
29 College Avenue

Section 1, facing NE buildings
Hand Rendered
With the varying heights of downtown Athens buildings, I really wanted to show the size of a person to the size of the buildings, and most importantly, to the Oak trees in my design. My professor actually fought with me a little bit on the Oaks; he thought they didn’t fit the feel of downtown Athens. But, Oaks give off an old, wise vibe, which I thought was perfect for Athens, due to it being college centric and full of rich history. I also enjoyed their overarching form, allowing for shade during those hot months, and creating little secluded areas in a public space.

Section 2, facing SE street
Hand Rendered

Mary Clare Martin
Landscape Designer
CONTACT
229-560-3821
mcm45461@uga.edu
maryc.martin428@gmail.com
SKILLS
AutoCAD
LandFX
SketchUp
Adobe Suite
Microsoft Suite
ArcGIS
EDUCATION
University of Georgia 2021-2025 (Expected)
Bachelor in L.A.
Minor in Historic Preservation
GPA – 3.6
Valwood High School 2008-2021
Diploma
Online Portfolio Link
PROFILE
Current student at the University of Georgia pursuing a BLA and minor in Historic Preservation. Looking to gain experience through jobs related to my field and create more connections within the industry of landscape architecture. Member of GSLA, Delta Delta Delta sorority, Experience UGA, and UGA Heroes.
EXPERIENCE
• Landscape Architect Intern – Sea Island Company May 13 – July 31st, 2024
Assisted the design team with site analysis, schematic design, design development, and production of construction documents on a variety of projects. Surveyed land, creating base maps and marking trees for removal. Assisted with project installation and ordering and receiv-ing of plant material for the installation team. Helped with the preparation and delivery of project budgets and esti-mates and worked with team on developing and review-ing contracts. Gained hands-on experience and exposure in all facets of the landscape department.
• Landscape Designer - Self Employed (February 2022-present)
Worked with clients to complete landscape deisgns for private residences, which included site visits, AutoCAD paper sets, renderings, plant options and specifications, and mockup/final designs.
• Waitress/Bartender – Amici Downtown Athens March 2023 – May 2024
Gained leadership skills by teaching new employees and helping with multiple jobs in the restaurant environment. Developed organizational, teamwork, and communica-tion skills by working within a high intensity, constant work-flow.
CAMPUS AND COMMUNITY INVOLVEMENT
GSLA (2022 -present)
Landscape Architecture Honor Society (2024-present)
Delta Delta Delta (2021-present)
Experience UGA (2023)
UGA Heroes (2022 - present)
Athens Area Humane Society Volunteer (2024-present)