5920 Griffin Creek Rd - Additional Info

Page 1

SUPPORTING DOCUMENTATION

5920 GRIFFIN CREEK ROAD

M EDFORD, OREGON

Table of Contents Title Report......................................................................................... 3-56 General Property Information......................................................57-71 Septic Information.........................................................................72-121 Well Information..........................................................................122-123 Mapping......................................................................................... 124-133 Disclosure.......................................................................................134-135
Chris Martin - Alex Larson - Ashley Lacer

Title Report

1225 Crater Lake Avenue, Suite 101

Medford, OR 97504

Phn - (541)779-7250

Fax - (866)400-2250

Order No.: 7161-4169693 May 31, 2024

FOR QUESTIONS REGARDING YOUR CLOSING, PLEASE CONTACT: LISA TATE, Escrow Officer/Closer

Phone: (541)779-7250x5435 - Fax: (866)839-7125- Email:LTate@firstam.com First American Title Insurance Company 1225 Crater Lake Avenue, Suite 101, Medford, OR 97504

FOR ALL QUESTIONS REGARDING THIS PRELIMINARY REPORT, PLEASE CONTACT: Regina Cranston, Title Officer

Phone: (541)779-7250 - Email: rcranston@firstam.com

Preliminary Title Report

This report is for the exclusive use of the parties herein shown and is preliminary to the issuance of a title insurance policy and shall become void unless a policy is issued, and the full premium paid.

Please be advised that any provision contained in this document, or in a document that is attached, linked or referenced in this document, that under applicable law illegally discriminates against a class of individuals based upon personal characteristics such as race, color, religion, sex, sexual orientation, gender identity, familial status, disability, national origin, or any other legally protected class, is illegal and unenforceable by law.

Situs Address as disclosed on Jackson County Tax Roll: 5920 Griffin Creek Road, Medford, OR 97501

We are prepared to issue Title Insurance Policy or Policies of First American Title Insurance Company, a Nebraska Corporation in the form and amount shown above, insuring title to the following described land:

The land referred to in this report is described in Exhibit A attached hereto. and as of May 21, 2024 at 8:00 a.m., title to the fee simple estate is vested in:

Todd J. Marthoski and Sara E. Marthoski, as Trustees of the Todd and Sara Martowski Trust, dated April 1, 2024

FirstAmericanTitleInsuranceCompany
2021 ALTA Owners Standard Coverage Liability $ 899,000.00 Premium $ 1,949.00 2021 ALTA Owners Extended Coverage Liability $ Premium $ 2021 ALTA Lenders Standard Coverage Liability $ Premium $ 2021 ALTA Lenders Extended Coverage Liability $ TBD Premium $ TBD Endorsement 9.10, 22 & 8.1 Premium $ 100.00 Govt Service Charge Cost $ 30.00 Other Cost $ Proposed Insured Lender: Lender To Be Determined Proposed Borrower: TBD

Subject to the exceptions, exclusions, and stipulations which are ordinarily part of such Policy form and the following:

1. Taxes or assessments which are not shown as existing liens by the records of any taxing authority that levies taxes or assessments on real property or by the public records; proceedings by a public agency which may result in taxes or assessments, or notices of such proceedings, whether or not shown by the records of such agency or by the public records.

2. Facts, rights, interests or claims which are not shown by the public records but which could be ascertained by an inspection of the land or by making inquiry of persons in possession thereof.

3. Easements, or claims of easement, not shown by the public records; reservations or exceptions in patents or in Acts authorizing the issuance thereof; water rights, claims or title to water.

4. Any encroachment (of existing improvements located on the subject land onto adjoining land or of existing improvements located on adjoining land onto the subject land), encumbrance, violation, variation, or adverse circumstance affecting the title that would be disclosed by an accurate and complete land survey of the subject land.

5. Any lien, or right to a lien, for services, labor, material, equipment rental or workers compensation heretofore or hereafter furnished, imposed by law and not shown by the public records.

The exceptions to coverage 1-5 inclusive as set forth above will remain on any subsequently issued Standard Coverage Title Insurance Policy.

In order to remove these exceptions to coverage in the issuance of an Extended Coverage Policy the following items are required to be furnished to the Company; additional exceptions to coverage may be added upon review of such information:

A. Survey or alternative acceptable to the company

B. Affidavit regarding possession

C. Proof that there is no new construction or remodeling of any improvement located on the premises. In the event of new construction or remodeling the following is required:

i. Satisfactory evidence that no construction liens will be filed; or

ii. Adequate security to protect against actual or potential construction liens;

iii. Payment of additional premiums as required by the Industry Rate Filing approved by the Insurance Division of the State of Oregon

6. Water rights, claims or title to water, whether or not shown by the public record.

7. Any claim to (a) ownership of or rights to minerals and similar substances, including but not limited to ores, metals, coal, lignite, oil, gas, uranium, clay, rock, sand, and gravel located in, on, or under the Land or produced from the Land, whether such ownership or rights arise by lease, grant, exception, conveyance, reservation, or otherwise; and (b) any rights, privileges, immunities, rights of way, and easements associated therewith or appurtenant thereto, whether or not the interests or rights excepted in (a) or (b) appear in the Public Records.

8. The assessment roll and the tax roll disclose that the premises herein described were specially assessed as Forest Land pursuant to O.R.S. 321.358 to 321.372. If the land becomes disqualified for the special assessment under the statute, an additional tax may be levied for the last five (5) or lesser number of years in which the land was subject to the special land assessment.

9. The premises herein described are within and subject to the statutory powers of the Rogue Valley Sewer Services.

Preliminary Report Order No.: 7161-4169693 Page 2 of 11 FirstAmericanTitle

10. The rights of the public in and to that portion of the premises herein described lying within the limits of streets, roads and highways.

11. Deed Declaration, including terms and provisions thereof.

Recorded: October 06, 2005 as Document No. 2005-061358

12.

Easement, including terms and provisions contained therein:

Recording Information: August 30, 2006 as Document No. 2006-044220

In Favor of: Todd Marthoski

For: Fuelbreak

13. Deed of Trust and the terms and conditions thereof.

Grantor/Trustor:

Todd J Marthoski, Sara E Marthoski, as tenants by the entirety

Grantee/Beneficiary: Mortgage Electronic Registration Systems, Inc., MERS solely as a nominee for Suntrust Mortgage, Inc., its successors and assigns

Trustee: First American Title Insurance Co. of OR

Amount:

$417,000.00

Recorded: February 25, 2008

Recording Information: Document No. 2008-006436

A document recorded December 08, 2010 as Document No. 2010-040548 of Official Records provides that First American Title Insurance Company was substituted as trustee under the deed of trust.

The beneficial interest was assigned by successive assignments, the last of which was; Recorded: March 12, 2014 Recording information: Document No. 2014-005579 To: Federal National Mortgage Association, its successors and/or assigns.

14. Easement, including terms and provisions contained therein:

Recording Information: March 28, 2014 as Document No. 2014-007311 For: septic leach line, pumphouse and holding tank

15. Deed of Trust and the terms and conditions thereof.

Grantor/Trustor: Todd J. Marthoski and Sara E. Marthoski

Grantee/Beneficiary: Umpqua Bank

Trustee: Brad Williams

Amount:

$200,000.00

Recorded: April 29, 2019

Recording Information: Document No. 2019-011219

Note: This Deed of Trust contains Line of Credit privileges. If the current balance owing on said obligation is to be paid in full in the forthcoming transaction, confirmation should be made that the beneficiary will issue a proper request for full reconveyance.

Modification and/or amendment by instrument:

Recording Information: July 26, 2022 as Document No. 2022-023377

16. In order to insure a transaction involving the herein named trust, we will need to be provided a Certification of Trust pursuant to ORS 130.800 through ORS 130.910.

17. Unrecorded leases or periodic tenancies, if any.

18. This Preliminary title report does not include a search for Financing Statements filed in the Office of the Secretary of State, or in a County other than the County wherein the premises are situated and no liability is assumed if a Financing Statement is recorded in the Office of the County Clerk

Preliminary Report Order No.: 7161-4169693 Page 3 of 11 FirstAmericanTitle

(Recorder) covering timber, fixtures or crops, on the premises wherein the lands are described other than by metes and bounds or under the rectangular survey system.

-

END OF EXCEPTIONS -

NOTE: We find no matters of public record against TBD that will take priority over any trust deed, mortgage or other security instrument given to purchase the subject real property as established by ORS 18.165.

NOTE: Taxes for the year 2023-2024 PAID IN FULL Tax Amount: $4,706.23

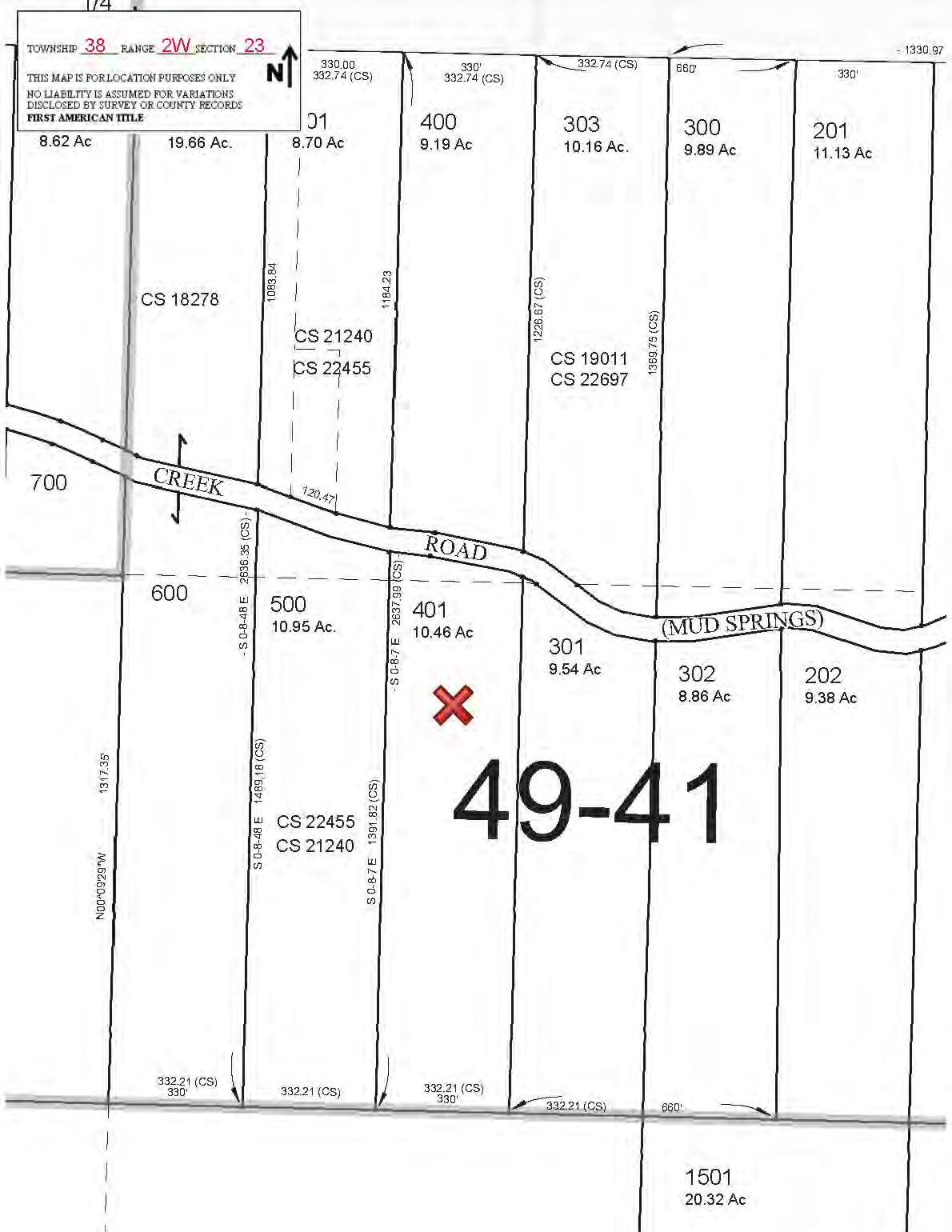
No.: 382W23 401

NOTE: According to the public record, the following deed(s) affecting the property herein described have been recorded within 24 months of the effective date of this report: Warranty Deed recorded April 04, 2024 as Document No. 2024-006497, Todd J. Marthoski and Sara E. Marthoski to Todd J. Marthoski and Sara E. Marthoski, as Trustees of the Todd and Sara Martowski Trust, dated April 1, 2024.

THANK YOU FOR CHOOSING FIRST AMERICAN TITLE! WE KNOW YOU HAVE A CHOICE!

Preliminary Report Order No.: 7161-4169693 Page 4 of 11 FirstAmericanTitle
Property
Tax
Map
ID: 1-050417-1
Code No.: 49-41

RECORDING INFORMATION

As of March 1, 2023 Jackson County recording fees are as follows: Recording Fees: $ 104.00 All Deeds 1st page

$ 5.00 All Deeds for each additional page

$ 121.00 All Other Document Types

$ 5.00 All Other Document Types for each additional page Additional Fees will be imposed by the County Clerk of a document presented for recording fails to meet the requirements established by ORS Chapter 205.

cc: Lender To Be Determined

,

cc: Chris Martin, Land Leader NW, LLC

3811 Crater Lake Highway, Medford, OR 97504

Preliminary Report Order No.: 7161-4169693 Page 5 of 11 FirstAmericanTitle
rcranston@firstam.com

Real property in the County of Jackson, State of Oregon, described as follows:

That portion of the West Half of the East Half of the West Half of the Northeast Quarter of Section 23, Township 38 South, Range 2 West, Willamette Meridian in Jackson County, Oregon, lying South of East Griffin Creek Road.

NOTE: This legal description was created prior to January 1, 2008.

Preliminary Report Order No.: 7161-4169693 Page 6 of 11 FirstAmericanTitle
Exhibit "A"

FirstAmericanTitleInsuranceCompany

SCHEDULE OF EXCLUSIONS FROM COVERAGE ALTA LOAN POLICY (07/01/21)

The following matters are excluded from the coverage of this policy, and the Company will not pay loss or damage, costs, attorneys’ fees, or expenses that arise by reason of:

1. a. any law, ordinance, permit, or governmental regulation (including those relating to building and zoning) that restricts, regulates, prohibits, or relates to:

i the occupancy, use, or enjoyment of the Land;

ii the character, dimensions, or location of any improvement erected on the Land;

iii the subdivision of land; or

iv environmental remediation or protection.

b. any governmental forfeiture, police, regulatory, or national security power.

c. the effect of a violation or enforcement of any matter excluded under Exclusion 1.a. or 1.b.

Exclusion 1 does not modify or limit the coverage provided under Covered Risk 5 or 6.

2. Any power of eminent domain. Exclusion 2 does not modify or limit the coverage provided under Covered Risk 7.

3. Any defect, lien, encumbrance, adverse claim, or other matter:

a. created, suffered, assumed, or agreed to by the Insured Claimant;

b not Known to the Company, not recorded in the Public Records at the Date of Policy, but Known to the Insured Claimant and not disclosed in writing to the Company by the Insured Claimant prior to the date the Insured Claimant became an Insured under this policy;

c resulting in no loss or damage to the Insured Claimant;

d attaching or created subsequent to the Date of Policy (Exclusion 3.d. does not modify or limit the coverage provided under Covered Risk 11, 13, or 14); or

e. resulting in loss or damage that would not have been sustained if consideration sufficient to qualify the Insured named in Schedule A as a bona fide purchaser or encumbrancer had been given for the Insured Mortgage at the Date of Policy.

4. Unenforceability of the lien of the Insured Mortgage because of the inability or failure of an Insured to comply with applicable doing-business law.

5. Invalidity or unenforceability of the lien of the Insured Mortgage that arises out of the transaction evidenced by the Insured Mortgage and is based upon usury law or Consumer Protection Law.

6. Any claim, by reason of the operation of federal bankruptcy, state insolvency, or similar creditors’ rights law, that the transaction creating the lien of the Insured Mortgage is a:

a fraudulent conveyance or fraudulent transfer;

b voidable transfer under the Uniform Voidable Transactions Act; or

c. preferential transfer:

i. to the extent the Insured Mortgage is not a transfer made as a contemporaneous exchange for new value; or

ii. for any other reason not stated in Covered Risk 13.b.

7. Any claim of a PACA-PSA Trust. Exclusion 7 does not modify or limit the coverage provided under Covered Risk 8.

8. Any lien on the Title for real estate taxes or assessments imposed by a governmental authority and created or attaching between the Date of Policy and the date of recording of the Insured Mortgage in the Public Records. Exclusion 8 does not modify or limit the coverage provided under Covered Risk 2.b. or 11.b.

9. Any discrepancy in the quantity of the area, square footage, or acreage of the Land or of any improvement to the Land.

ALTA OWNER’S POLICY (07/01/21)

The following matters are excluded from the coverage of this policy, and the Company will not pay loss or damage, costs, attorneys’ fees, or expenses that arise by reason of:

1. a any law, ordinance, permit, or governmental regulation (including those relating to building and zoning) that restricts, regulates, prohibits, or relates to:

i. the occupancy, use, or enjoyment of the Land;

ii. the character, dimensions, or location of any improvement on the Land;

iii. the subdivision of land; or

iv. environmental remediation or protection.

b. any governmental forfeiture, police, regulatory, or national security power.

c. the effect of a violation or enforcement of any matter excluded under Exclusion 1.a. or 1.b.

Exclusion 1 does not modify or limit the coverage provided under Covered Risk 5 or 6.

2. Any power of eminent domain. Exclusion 2 does not modify or limit the coverage provided under Covered Risk 7.

3. Any defect, lien, encumbrance, adverse claim, or other matter:

a created, suffered, assumed, or agreed to by the Insured Claimant;

b. not Known to the Company, not recorded in the Public Records at the Date of Policy, but Known to the Insured Claimant and not disclosed in writing to the Company by the Insured Claimant prior to the date the Insured Claimant became an Insured under this policy;

c. resulting in no loss or damage to the Insured Claimant;

d. attaching or created subsequent to the Date of Policy (Exclusion 3.d. does not modify or limit the coverage provided under Covered Risk 9 or 10); or

e. resulting in loss or damage that would not have been sustained if consideration sufficient to qualify the Insured named in Schedule A as a bona fide purchaser had been given for the Title at the Date of Policy.

4. Any claim, by reason of the operation of federal bankruptcy, state insolvency, or similar creditors’ rights law, that the transaction vesting the Title as shown in Schedule A is a:

a fraudulent conveyance or fraudulent transfer;

b voidable transfer under the Uniform Voidable Transactions Act; or

c. preferential transfer:

i. to the extent the instrument of transfer vesting the Title as shown in Schedule A is not a transfer made as a contemporaneous exchange for new value; or

ii. for any other reason not stated in Covered Risk 9.b.

5. Any claim of a PACA-PSA Trust. Exclusion 5 does not modify or limit the coverage provided under Covered Risk 8.

6. Any lien on the Title for real estate taxes or assessments imposed or collected by a governmental authority that becomes due and payable after the Date of Policy. Exclusion 6 does not modify or limit the coverage provided under Covered Risk 2.b.

7. Any discrepancy in the quantity of the area, square footage, or acreage of the Land or of any improvement to the Land.

Preliminary Report Order No.: 7161-4169693 Page 7 of 11 FirstAmericanTitle

SCHEDULE OF STANDARD EXCEPTIONS

1. Taxes or assessments which are not shown as existing liens by the records of any taxing authority that levies taxes or assessments on real property or by the public records; proceedings by a public agency which may result in taxes or assessments, or notices of such proceedings, whether or not shown by the records of such agency or by the public records.

2. Facts, rights, interests or claims which are not shown by the public records but which could be ascertained by an inspection of the land or by making inquiry of persons in possession thereof.

3. Easements, or claims of easement, not shown by the public records; reservations or exceptions in patents or in Acts authorizing the issuance thereof; water rights, claims or title to water.

4. Any encroachment (of existing improvements located on the subject land onto adjoining land or of existing improvements located on adjoining land onto the subject land), encumbrance, violation, variation, or adverse circumstance affecting the title that would be disclosed by an accurate and complete land survey of the subject land.

5. Any lien" or right to a lien, for services, labor, material, equipment rental or workers compensation heretofore or hereafter furnished, imposed by law and not shown by the public records.

NOTE: A SPECIMEN COPY OF THE POLICY FORM (OR FORMS) WILL BE FURNISHED UPON REQUEST Rev. 07-01-21

Preliminary Report Order No.: 7161-4169693 Page 8 of 11 FirstAmericanTitle

Effective: October 1, 2019

Notice Last Updated: January 1, 2022

Privacy Notice

This Privacy Notice describes how First American Financial Corporation and its subsidiaries and affiliates (together referred to as “First American,” “we,” “us,” or “our”) collect, use, store, and share your information with the exception that a subsidiary or affiliate has their own privacy policy, that policy governs. This Privacy Notice applies to information we receive from you offline only, as well as from third parties, when you interact with us and/or use and access our services and products (“Products”). For more information about our privacy practices, including our online practices, please visit https://www.firstam.com/privacy-policy/. The practices described in this Privacy Notice are subject to applicable laws in the places in which we operate.

What Type Of Information Do We Collect About You? We collect a variety of categories of information about you. To learn more about the categories of information we collect, please visit https://www.firstam.com/privacy-policy/.

How Do We Collect Your Information? We collect your information: (1) directly from you; (2) automatically when you interact with us; and (3) from third parties, including business parties and affiliates.

How Do We Use Your Information? We may use your information in a variety of ways, including but not limited to providing the services you have requested, fulfilling your transactions, comply with relevant laws and our policies, and handling a claim. To learn more about how we may use your information, please visit https://www.firstam.com/privacypolicy/.

How Do We Share Your Information? We do not sell your personal information. We only share your information, including to subsidiaries, affiliates, and to unaffiliated third parties: (1) with your consent; (2) in a business transfer; (3) to service providers; and (4) for legal process and protection. To learn more about how we share your information, please visit https://www.firstam.com/privacy-policy/.

How Do We Store and Protect Your Information? The security of your information is important to us. That is why we take commercially reasonable steps to make sure your information is protected. We use our best efforts to maintain commercially reasonable technical, organizational, and physical safeguards, consistent with applicable law, to protect your information.

How Long Do We Keep Your Information? We keep your information for as long as necessary in accordance with the purpose for which it was collected, our business needs, and our legal and regulatory obligations.

Your Choices We provide you the ability to exercise certain controls and choices regarding our collection, use, storage, and sharing of your information. You can learn more about your choices by visiting https://www.firstam.com/privacypolicy/.

International Jurisdictions: Our Products are offered in the United States of America (US), and are subject to US federal, state, and local law. If you are accessing the Products from another country, please be advised that you may be transferring your information to us in the US, and you consent to that transfer and use of your information in accordance with this Privacy Notice. You also agree to abide by the applicable laws of applicable US federal, state, and local laws concerning your use of the Products, and your agreements with us.

We may change this Privacy Notice from time to time. Any and all changes to this Privacy Notice will be reflected on this page, and where appropriate provided in person or by another electronic method. YOUR CONTINUED USE, ACCESS, OR INTERACTION WITH OUR PRODUCTS OR YOUR CONTINUED COMMUNICATIONS WITH US AFTER THIS NOTICE HAS BEEN PROVIDED TO YOU WILL REPRESENT THAT YOU HAVE READ AND UNDERSTOOD THIS PRIVACY NOTICE.

Contact Us dataprivacy@firstam.com or toll free at 1-866-718-0097.

© 2022 First American Financial Corporation and/or its affiliates. All rights reserved. NYSE:FAF Form 10-PRIVACY22 (12-7-21) Page 1 of 2 Privacy Notice (2022 First American Financial Corporation) English

For California Residents

If you are a California resident, you may have certain rights under California law, including but not limited to the California Consumer Privacy Act of 2018 (“CCPA”). All phrases used in this section shall have the same meaning as those phrases are used under California law, including the CCPA.

Right to Know. You have a right to request that we disclose the following information to you: (1) the categories of personal information we have collected about or from you; (2) the categories of sources from which the personal information was collected; (3) the business or commercial purpose for such collection and/or disclosure; (4) the categories of third parties with whom we have shared your personal information; and (5) the specific pieces of your personal information we have collected. To submit a verified request for this information, go to our online privacy policy at www.firstam.com/privacy-policy to submit your request or call toll-free at 1-866-718-0097. You may also designate an authorized agent to submit a request on your behalf by going to our online privacy policy at www.firstam.com/privacypolicy to submit your request or by calling toll-free at 1-866-718-0097

Right of Deletion. You also have a right to request that we delete the personal information we have collected from and about you. This right is subject to certain exceptions available under the CCPA and other applicable law. To submit a verified request for deletion, go to our online privacy policy at www.firstam.com/privacy-policy to submit your request or call toll-free at 1-866-718-0097. You may also designate an authorized agent to submit a request on your behalf by going to our online privacy policy at www.firstam.com/privacy-policy to submit your request or by calling toll-free at 1-866-7180097.

Verification Process. For either a request to know or delete, we will verify your identity before responding to your request. To verify your identity, we will generally match the identifying information provided in your request with the information we have on file about you. Depending on the sensitivity of the information requested, we may also utilize more stringent verification methods to verify your identity, including but not limited to requesting additional information from you and/or requiring you to sign a declaration under penalty of perjury.

Notice of Sale. We do not sell California resident information, nor have we sold California resident information in the past 12 months. To the extent any First American affiliated entity has a different practice, it will be stated in the applicable privacy policy. We have no actual knowledge of selling the information of minors under the age of 16.

Right of Non-Discrimination. You have a right to exercise your rights under California law, including under the CCPA, without suffering discrimination. Accordingly, First American will not discriminate against you in any way if you choose to exercise your rights under the CCPA.

Notice of Collection. To learn more about the categories of personal information we have collected about California residents over the last 12 months, please see “What Information Do We Collect About You” in https://www.firstam.com/privacy-policy. To learn about the sources from which we have collected that information, the business and commercial purpose for its collection, and the categories of third parties with whom we have shared that information, please see “How Do We Collect Your Information”, “How Do We Use Your Information”, and “How Do We Share Your Information” in https://www.firstam.com/privacy-policy.

Notice of Sale. We have not sold the personal information of California residents in the past 12 months.

Notice of Disclosure. To learn more about the categories of personal information we may have disclosed about California residents in the past 12 months, please see “How Do We Use Your Information” and “How Do We Share Your Information” in https://www.firstam.com/privacy-policy. © 2022 First American Financial Corporation and/or its affiliates. All rights reserved. NYSE:FAF

10-PRIVACY22 (12-7-21) Page 2 of 2

Form
Privacy Notice (2022 First American Financial Corporation) English

Property Information

Property Details

The property has a physical address of 5920 Griffin Creek Road, Medford, OR 97501. It is made up of 1 tax lot and 1 account number as shown below.

Access: Access is via a gravel drive off of paved Griffin Creek

Present Land Use: Rural residence

2023 Taxes: $4,706.23

Zoning: RR-00 (Rural Residential)

Live Water: +/- 330’ of Griffin Creek

Elevations: +/-2,080’ to +/-2,680’ above sea level

Topography: Terraced home and shop building site. Remainder of the property is steep.

Power Production: 400 Amp Residential Service 16KW backup generator (Propane)

Gas: 500 Gallon propane tank (owned)

Domestic Water: On-site 5 GPM well (JACK_54321)

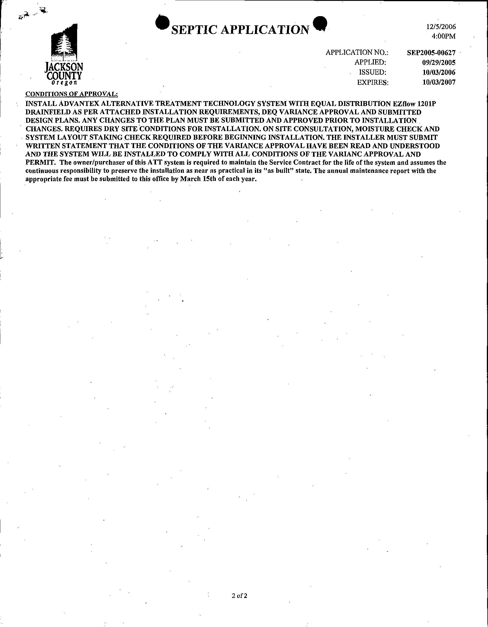
Sanitation: ATT System

Property Identification Township Range Section Tax Lot Account # Acres Zoning 38 2W 23 401 10504171 10.46 EFU
Rd

Gross Area: 3,046 SF

Home

Roofing: Composition

Framing: Traditional

Siding: Lapsiding

Flooring: Hardwood, Tile, and Carpet

Garage: +/- 880 SF Attached

Two overhead doors: 10’ x 8’

HVAC: Heat & AC via Heat Pump

Water Heater: Dual on-demand systems (Propane)

Additional Notes: Concrete and paver patio surround the home. Private lawn area with gazebo, covered patio, and hot tub.

Shop

Gross Area:

728 SF (26’ x 28’)

Roofing: Composition

Framing: Traditional

Siding: Wood

Flooring: Concrete slab

Door: 16’ x 10’ overhead door

Additional Notes: 30 amp RV hookup

Office

Gross Area: 432 SF (county records)

Roofing: Metal

Framing: Traditional

HVAC: Ductless Heat/AC

FIRST AMERICAN TITLE Property Research Report SUBJECT PROPERTY 5920 Griffin Cr Rd 10504171 382W230000401 Jackson OWNER Marthoski,Todd J EtAl DATE PREPARED Date: 02/08/2024 PREPARED BY nromano@firstam.com Customer Service Department 541.776.4555 cservice@firstam.com ©2018 FirstAmerican Financial Corporation and/or its affiliates. All rights reserved. | NYSE: FAF | 39203000418 IMPORTANT– READ CAREFULLY:THIS REPORTIS NOTAN INSURED PRODUCTOR SERVICE ORAREPRESENTATION OFTHE CONDITION OFTITLETO REALPROPERTY. ITIS NOTANABSTRACT, LEGALOPINION, OPINION OFTITLE,TITLE INSURANCE COMMITMENTOR PRELIMINARYREPORT, ORANYFORM OFTITLE INSURANCE OR GUARANTY.THIS REPORTIS ISSUED EXCLUSIVELYFORTHE BENEFITOFTHEAPPLICANT THEREFOR,AND MAYNOTBE USED OR RELIED UPON BYANYOTHER PERSON.THIS REPORTMAYNOTBE REPRODUCED INANYMANNER WITHOUTFIRSTAMERICAN’S PRIOR WRITTEN CONSENT. FIRST AMERICAN DOES NOTREPRESENTOR WARRANTTHATTHE INFORMATION HEREIN IS COMPLETE OR FREE FROM ERROR,ANDTHE INFORMATION HEREIN IS PROVIDED WITHOUTANYWARRANTIES OFANY KIND,AS-IS,AND WITHALLFAULTS.ASAMATERIALPARTOFTHE CONSIDERATION GIVEN IN EXCHANGE FORTHE ISSUANCE OFTHIS REPORT, RECIPIENTAGREESTHATFIRSTAMERICAN’S SOLE LIABILITYFOR ANYLOSS OR DAMAGE CAUSED BYAN ERROR OR OMISSION DUETO INACCURATE INFORMATION OR NEGLIGENCE IN PREPARINGTHIS REPORTSHALLBE LIMITEDTOTHE FEE CHARGED FORTHE REPORT, IF ANY. RECIPIENTACCEPTSTHIS REPORTWITHTHIS LIMITATIONANDAGREESTHATFIRSTAMERICAN WOULD NOTHAVE ISSUEDTHIS REPORTBUTFORTHE LIMITATION OF LIABILITYDESCRIBEDABOVE. FIRST AMERICAN MAKES NO REPRESENTATION OR WARRANTYASTOTHE LEGALITYOR PROPRIETYOF RECIPIENT’S USE OFTHE INFORMATION HEREIN.

OWNERSHIPINFORMATION

Customer Service Department

541.776.4555

cservice@firstam.com

Date: 02/08/2024

Owner:Marthoski,Todd J EtAl

CoOwner:

Site:5920 Griffin Cr Rd Medford OR 97501

Mail:5920 Griffin Ln Medford OR 97501

PROPERTYDESCRIPTION

Map Grid:

CensusTract:002300 Block: 1017

Neighborhood:

School Dist:549 Medford

ImprType:

Subdiv/Plat:

Land Use:601 - Forest - Improved (typical of class)

Std Land Use:OTHR - Other

Zoning:County-RR-00 - Rural Residential - 00

Lat/Lon:42.252902 / -122.901716

Watershed:Bear Creek

Legal:

Parcel #:10504171

Ref Parcel #:382W230000401

TRS:38S / 02W / 23

County:Jackson

ASSESSMENTAND TAXATION

Market Land:$424,310.00

Market Impr:$693,240.00

MarketTotal:$1,117,550.00 (2023)

% Improved:62.00%

AssessedTotal:$369,279.00 (2023)

Levy Code:4941

Tax:$4,706.23 (2023)

Millage Rate:12.5091

Exemption:$0.00

ExemptionType:N/A

Bedrooms:1

Baths,Total:2

Baths, Full:0

Baths, Half:0

Total Units:0

# Stories:1

# Fireplaces:1

Cooling:No

Heating:Heat Pump

PROPERTYCHARACTERISTICS

Total SqFt:432 SqFt

First Floor:432 SqFt

Second Floor:0 SqFt

Basement Fin:0 SqFt

Basement Unfin:0 SqFt

Year Built:1980

EffYear Built:2000

Lot SizeAc:10.46Acres

Lot Size SF:455,637 SqFt

BasementTotal:0 SqFt Lot Depth:0

Attic Fin:0 SqFt

Attic Unfin:0 SqFt

AtticTotal:0 SqFt

Building Style:RS0 - Single Family Garage:Detached 728 SqFt

SALESAND LOAN INFORMATION

TODD J MARTHOSKI 08/05/2011 23702

J MARTHOSKI

Roof Material:HEAVYCOMP

Roof Shape:

Ext Walls:CON - Concrete

ConstType:

11324

TODD J MARTHOSKI 04/13/2011 11324

TODD J MARTHOSKI 12/08/2010 40549

TODD J MARTHOSKI 12/08/2010 40549

TODD J MARTHOSKI 02/25/2008 6435

TODD J MARTHOSKI 09/28/2006 49099

TODD J MARTHOSKI 03/10/2003 14514 Deed OfTrust $90,000.00 Private Party Lender

Sentry Dynamics, Inc. and its customers make no representations, warranties or conditions, express or implied, as to the accuracy or completeness of information contained in this report.

Lot Width:0
Date Doc # Sale Price DeedType LoanAmt LoanType TODD MARTHOSKI 05/20/2019
$180,000.00 Deed Conv/Unk
Deed
Conventional
Release/Recis ion
REO Sale (REO Out) $417,000.00 Conventional
Owner
13418
TODD J MARTHOSKI 04/29/2019 11219
OfTrust $200,000.00
$417,000.00 Conventional TODD
04/13/2011
Notice
Of Default $417,000.00 Conventional
REO Sale (REO Out) $417,000.00 Conventional
Notice
Default
Of
$417,000.00 Conventional
Deed
$417,000.00 Conventional
Deed OfTrust $524,000.00 Conv/Unk

IMPROVEMENT: 87618

Year Built:1980

Bedrooms:1

BathTotal:0

Garage SqFt:0

Basement Unfin SqFt:0

Basement Fin SqFt:0

Floor Dsc:

IMPROVEMENT: 122208

Year Built:2006

Bedrooms:4

BathTotal:3

Garage SqFt:0

Basement Unfin SqFt:0

Basement Fin SqFt:1965

Floor Dsc:

Total SqFt:0

Finished SqFt:432

1st Floor SqFt:432

2nd Floor SqFt:0

Attic Fin SqFt:0

Attic Unin SqFt:0

PARCELID:

10504171

Condition:

Unfinished SqFt:0

Carport SqFt:0

HeatType:

Ext. Wall:

Foundation:

PARCELID:

10504171

Total SqFt:0

Finished SqFt:3,046

1st Floor SqFt:1,960

2nd Floor SqFt:0

Attic Fin SqFt:0

Attic Unin SqFt:0

Condition:

Unfinished SqFt:0

Carport SqFt:0

HeatType:

Ext. Wall:

Foundation:

Parcel ID: 10504171

SiteAddress: 5920 Griffin Cr Rd

Sentry Dynamics, Inc. and its customers make no representations, warranties or conditions, express or implied, as to the accuracy or completeness of information contained in this report.

Assessor Map

Sentry Dynamics, Inc. and its customers make no representations, warranties or conditions, express or implied, as to the accuracy or completeness of information contained in this report.

Aerial Map
Parcel ID: 10504171

STATEMENT OF TAX ACCOUNT

MEDFORD, OR 97501

2023ADVALOREM $0.00 $0.00 $0.00 $0.00$4,706.23Nov 15, 2023 2022ADVALOREM $0.00 $0.00 $0.00 $0.00$4,588.12Nov 15, 2022 2021ADVALOREM $0.00 $0.00 $0.00 $0.00$4,471.77Nov 15, 2021 2020ADVALOREM $0.00 $0.00 $0.00 $0.00$4,366.08Nov 15, 2020 2019ADVALOREM $0.00 $0.00 $0.00 $0.00$4,264.71Nov 15, 2019 2018ADVALOREM $0.00 $0.00 $0.00 $0.00$4,157.55Nov 15, 2018 2017ADVALOREM $0.00 $0.00 $0.00 $0.00$4,092.59Nov 15, 2017 2016ADVALOREM $0.00 $0.00 $0.00 $0.00$4,015.60Nov 15, 2016 2015ADVALOREM $0.00 $0.00 $0.00 $0.00$3,885.69Nov 15, 2015 2014ADVALOREM $0.00 $0.00 $0.00 $0.00$3,655.83Nov 15, 2014 2013ADVALOREM $0.00 $0.00 $0.00 $0.00$3,430.10Nov 15, 2013 2012ADVALOREM $0.00 $0.00 $0.00 $0.00$3,319.72Nov 15, 2012 2011ADVALOREM $0.00 $0.00 $0.00 $0.00$3,262.43Nov 15, 2011 2010ADVALOREM $0.00 $0.00 $0.00 $0.00$3,203.67Nov 15, 2010 2009ADVALOREM $0.00 $0.00 $0.00 $0.00$3,123.81Nov 15, 2009 2008ADVALOREM $0.00 $0.00 $0.00 $0.00$3,069.79Nov
2008 2007ADVALOREM $0.00 $0.00 $0.00 $0.00$1,652.74Nov
2007 2006ADVALOREM $0.00 $0.00 $0.00 $0.00 $750.61Nov
2006 2005ADVALOREM $0.00 $0.00 $0.00 $0.00 $20.52Nov
2005 2004ADVALOREM $0.00 $0.00 $0.00 $0.00 $20.64Nov
2004 2003ADVALOREM $0.00 $0.00 $0.00 $0.00 $56.77Nov 15, 2003 2002ADVALOREM $0.00 $0.00 $0.00 $0.00 $56.77Nov 15, 2002 2001ADVALOREM $0.00 $0.00 $0.00 $0.00 $56.78Nov 15, 2001 2000ADVALOREM $0.00 $0.00 $0.00 $0.00 $15.78Nov 15, 2000 1999ADVALOREM $0.00 $0.00 $0.00 $0.00 $56.76Nov 15, 1999 1998ADVALOREM $0.00 $0.00 $0.00 $0.00 $56.75Nov 15, 1998 1997ADVALOREM $0.00 $0.00 $0.00 $0.00 $18.74Dec 15, 1997 1996ADVALOREM $0.00 $0.00 $0.00 $0.00 $18.76Nov 15, 1996
15,
15,
15,
15,
15,
(541) 774-6541 MARTHOSKI TODD J ET AL 5920 GRIFFIN LN MEDFORD OR 97501-8510
10504171 Tax Account # Account Status Roll Type Situs Address A Real 5920 GRIFFIN CR RD MEDFORD/COUNTY OR 97501 CLG - NATIONSTAR MRG LLC DBA MR COOPER Tax Summary Tax Year Tax Type Total Due Current Due Interest Due Discount Available Original Due Due Date 4941 Feb 8, 2024 Lender Name Loan Number Property ID Interest To
8-Feb-2024
COUNTY TAX COLLECTOR
COUNTY COURTHOUSE $0.00 $0.00 $0.00 $0.00 Total
JACKSON
JACKSON
[1/1/05 - Current] 2008.6435 Page: 1 of 2
Description: Jackson,OR Document - Year.DocID
Order: 1 Comment:

Order: 1 Comment:

Description: Jackson,OR Document - Year.DocID [1/1/05 - Current] 2008.6435 Page: 2 of 2
For Assessment Year 2022 Account
Situs 5920 GRIFFIN CR RD MEDFORD/COUNTY OR 97501 Mailing MARTHOSKI TODD J ET AL 5920 GRIFFIN LN MEDFORD OR 97501-8510 Description Bldg Code Area Year Built Sqft Comp % Map 382W23-00-00401 Stat Class 14941 1980100 432 $54,140 Total RMV 131 131 - One story Rooms: 1 - BD, 1 - FP Sqft Floors Description ClassComp %OR % First Floor 432 3 100 Improvement Inventory Description Qty/SizeDescription Qty/Size HEAT PUMP 432 WOOD STOVE HEARTH 1 METAL 432 Accessories Description SizeQty GP SHED 160 SPECIAL FEATURE-MINUS 1
Page
Improvement Summary JACKSON County
ID 10504171
3/25/2022
1 of 1
For Assessment Year 2022
Situs 5920 GRIFFIN CR RD MEDFORD/COUNTY OR 97501 Mailing MARTHOSKI
ET AL 5920 GRIFFIN LN MEDFORD OR 97501-8510 Description Bldg Code Area Year Built Sqft Comp % Map 382W23-00-00401 Stat Class 24941 2006100 3,046 $451,590 Total RMV 153 153 - One story with basement Rooms: 4 - BD, 3 - FB, 2 - FP Sqft Floors Description ClassComp %OR % First Floor 1960 5 100 Basement 1965 5 100 Garage 728 3 100 Improvement Inventory Description Qty/SizeDescription Qty/Size DISHWASHER 1 LAUNDRY TUB 1 DISPOSAL 1 LAVATORY 3 DOUBLE FP 1 LAVATORY 1 GARDEN TUB, NO JETS 1 SHOWER 1 HEAT PUMP 1960 TOILET 2 HEAT PUMP 543 TOILET 1 HEAVY COMP 1960 TUB/SHOWER 1 HEAVY COMP 728 TUB/SHOWER 1 HOOD/FAN 1 WOOD STOVE HEARTH 1 Accessories Description SizeQty PATIO 420 CONCRETE 900 DECK-RW/TREX-HVY COMP COVER 343 PATIO-HVY COMP COVER 318
Page
Improvement Summary JACKSON County
Account ID 10504171
TODD J
3/25/2022
1 of 1

Septic Information

Well Information

Mapping

5920 Griffin Creek Road Oregon, AC +/Boundary The information contained herein was obtained from sources deemed to be reliable. MapRight Services makes no warranties or guarantees as to the completeness or accuracy thereof.
5920 Griffin Creek Road Oregon, AC +/Boundary The information contained herein was obtained from sources deemed to be reliable. MapRight Services makes no warranties or guarantees as to the completeness or accuracy thereof.
5920 Griffin Creek Road Oregon, AC +/Boundary The information contained herein was obtained from sources deemed to be reliable. MapRight Services makes no warranties or guarantees as to the completeness or accuracy thereof.
5920 Griffin Creek Road Oregon, AC +/-
The information contained herein was obtained from sources deemed to be reliable. MapRight Services makes no warranties or guarantees as to the completeness or accuracy thereof.
Boundary Stream, Intermittent River/Creek Water Body
5920 Griffin Creek Road Oregon, AC +/-
The information contained herein was obtained from sources deemed to be reliable. MapRight Services makes no warranties or guarantees as to the completeness or accuracy thereof.
Boundary Wetlands Riparian
5920 Griffin Creek Road Oregon, AC +/-
National
Other BLM Local Government Conservation Easements The information contained herein was obtained from sources deemed to be reliable. MapRight Services makes no warranties or guarantees as to the completeness or accuracy thereof.
Boundary Forest Service
State Land Fish and Wildlife
Park
5920 Griffin Creek Road Oregon, AC +/Boundary The information contained herein was obtained from sources deemed to be reliable. MapRight Services makes no warranties or guarantees as to the completeness or accuracy thereof.

| Boundary 10.45 ac

Caris-Offenbacher gravelly loams, 50 to 80 percent north slopes

Ruch gravelly silt loam, 7 to 20 percent slopes

(*) Total acres may differ in the second decimal compared to the sum of each acreage soil. This is due to a round error because we only show the acres of each soil with two decimal.

SOIL CODE SOIL DESCRIPTION ACRES % CPI NCCPI CAP 25G
8.75 83.81 0 12 7s 158D
1.69 16.19 0 52 4e 197F
5 0.01 0.1 0 12 7e TOTALS 10.44( *) 100% - 18.49 6.51
Vannoy-Voorhies complex, 35 to 55 percent south slopes, MLRA
5920 Griffin
Road Oregon, AC +/Boundary The information contained herein was obtained from sources deemed to be reliable. MapRight Services makes no warranties or guarantees as to the completeness or accuracy thereof.
Creek

Disclosures

Notice of Disclosure

No warranty or representation, express or implied, is made as to the accuracy of the information contained herein; all information contained herein is subject to change, errors, and omission and is subject to your independent verification. LandLeader NW LLC assumes no liability for inaccuracy contained herein. The information contained in and transmitted with this communication is strictly confidential, is intended only for the use of the intended recipient, and is the property of the Sender or its affiliates and subsidiaries. If you are not the intended recipient, you are hereby notified that any use of the information contained in or transmitted with the communication or dissemination, distribution, or copying of this communication is strictly prohibited by law. If you have received this communication in error, please immediately return this communication to the sender and delete the original message and any copy of it in your possession.

Turn static files into dynamic content formats.

Create a flipbook
Issuu converts static files into: digital portfolios, online yearbooks, online catalogs, digital photo albums and more. Sign up and create your flipbook.