

1.2. Pojęcia podstawowe
rowanie
Ste-
System sterowania
Obiekt sterowania to







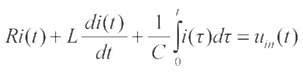
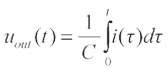
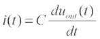
6.2. Dokładność dynamiczna układu sterowania



















Jak to zrobić w programie LabVIEW™
Simulation
SimTime Waveform
Step Signal
Step Signal
Graph Utilities
Simulation
Continuous Linear Systems
RC
Signal Generation
Derivative
Simulation Parameters…
Control Design
Step Response Time Response
CD
TF Transfer
Function Model
CD Construct Transfer Function Model
CD Convert to Transfer Function Model Model Conversion Time Range



CD Step Response
Design
t0 dt tf Time Range 1 Initial Conditions
Step Response Graph Create->Indicator
Step Response Data
CD Get Time Response Data Time Response
SS blok CD Step Response State Trajectory Graph

Blok CD Get Time Response Data
Blok










Jak to zrobić w programie LabVIEW™







