La “media” naranja
“Donde los datos encuentran su otra mitad”
![]()
“Donde los datos encuentran su otra mitad”
“Siamaslospromediosestaestumedia naranja”
¿CREES EN LAS MEDIAS NARANJAS? NOSOTROS SÍ… PERO LAS CALCULAMOS. BIENVENIDO A LA MEDIA NARANJA, LA REVISTA DONDE LOS DATOS SE MEZCLAN CON EL HUMOR, LA PROBABILIDAD COQUETEA CON LA ESTADÍSTICA, Y LAS GRÁFICAS TIENEN MÁS CURVAS QUE UNA TELENOVELA.
SI ALGUNA VEZ TE PREGUNTASTE QUÉ TIENEN EN COMÚN EL AZAR, LOS PROMEDIOS Y LOS CRUSHES IMPOSIBLES, ESTA ES TU LECTURA IDEAL. ¡NO TE LO PIERDAS!
INTRODUCCIÓN
ORGANIZACIÓN Y PRESENTACIÓN DEL CONJUNTO DE DATOS 1 2 3 4 5 6 7
8 9 10 11 13 12
MODELO MATEMATICO
FENÓMENOS PROBABILÍSTICOS
NATURALEZA Y OBJETIVOS DE LA ESTADISTICA
EL METODO ESTADISTICO Y LA FRECUENCIA RELATIVA
ESTADISTICA DESCRIPTIVA
ORDENACION Y TABLA DE FRECUENCIA
LA SUMATORIA Y SUS PROPIEDADES
CONSTRUCCION NUMEREICA DE LA TABLA DE FRECUENCIA
DISTRIBUCION DE FRECUENCIA RELATIVA ACUMULADA
MEDIDAS DESCRIPTIVAS PARA UN CONJUNTO DE DATOS
MEDIDAS DE CENTRALIZACION O TENDENCIA CENTRAL
MEDIDAS DE DISPERCION O ESPARCIMIENTO
VARIABLES
DEFINICION LA
DIFERENTES
UNIFORME
��
¿Qué tienen en común lanzar un dado, revisar el clima y predecir cuántos memes verás hoy?
¡Exacto! Todo eso tiene que ver con Probabilidad y Estadística.
Imagina que eres un detective... pero en lugar de resolver crímenes, resuelves misterios de datos: ¿cuál sabor de helado es el más popular?, ¿qué equipo tiene más chance de ganar?, o ¿cuál ruta es más rápida para llegar a casa?
La probabilidad es como tu bola de cristal científica: te dice qué tan posible es que algo ocurra (aunque a veces parezca que el universo juega a los dados).
Y la estadística es tu superpoder para entender el mundo a través de números: tomas datos, los ordenas, los analizas, y ¡zas! descubres patrones, tendencias y sorpresas escondidas.
Así que si te gusta resolver acertijos, tomar decisiones inteligentes o simplemente ganar más apuestas con tus amigos, estás a punto de entrar a un mundo donde los números hablan y predicen el futuro (más o menos). ��
Bienvenido al universo de la Probabilidad y la Estadística… donde el azar no es tan al azar como parece.
�� ¿Qué es la probabilidad?
La probabilidad es como el arte de predecir el futuro… pero con matemáticas.
Por ejemplo:
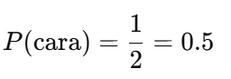
Si lanzas una moneda, ¿qué probabilidad hay de que salga águila?
→ 50% (¡a menos que la moneda esté cargada ��!)
¿Qué probabilidad hay de que llueva mañana?
→ El clima no lo adivinan: usan datos pasados, modelos matemáticos y... ¡estadística!
En resumen, la probabilidad nos dice qué tan posible es que algo ocurra. Se expresa como números entre 0 (imposible) y 1 (seguro), o en porcentajes.
�� ¿QUÉ ES UN MODELO MATEMÁTICO?
UN MODELO MATEMÁTICO ES UNA REPRESENTACIÓN DE LA VIDA REAL
USANDO MATEMÁTICAS PARA ENTENDER, EXPLICAR O PREDECIR ALGO.
ES COMO DECIR:
�� “¿QUÉ PASARÍA SI CONVIERTO ESTA SITUACIÓN REAL EN NÚMEROS, FÓRMULAS O GRÁFICAS?”
�� EJEMPLO SÚPER SIMPLE:
SITUACIÓN REAL:
CADA ENTRADA AL CINE CUESTA $5 Y COMPRAS 2 PALOMITAS A $3 CADA UNA.
MODELO MATEMÁTICO:
COSTO TOTAL=5X+3Y
DONDE:
X = NÚMERO DE ENTRADAS
Y = NÚMERO DE PALOMITAS
�� ¿PARA QUÉ SIRVE?
PARA PREDECIR LO QUE VA A PASAR
PARA ENTENDER CÓMO FUNCIONA ALGO
PARA TOMAR DECISIONES CON LÓGICA (NO CON SUPOSICIONES)
�� ¿PARA QUÉ SIRVE?
PARA PREDECIR LO QUE VA A PASAR
PARA ENTENDER CÓMO FUNCIONA ALGO
PARA TOMAR DECISIONES CON LÓGICA (NO CON SUPOSICIONES)
EN RESUMEN: ✅ ES UNA HERRAMIENTA MATEMÁTICA PARA REPRESENTAR LA REALIDAD ✅ USA FÓRMULAS, FUNCIONES, ECUACIONES O GRÁFICOS
✅ NOS AYUDA A PENSAR ANTES DE ACTUAR (¡COMO UN SUPERPODER LÓGICO! ��
)
1.2 3
LOS FENÓMENOS PROBABILÍSTICOS SON SITUACIONES O EVENTOS QUE
NO SABEMOS CON CERTEZA QUÉ VA A PASAR, PERO SÍ PODEMOS
PREDECIR LO QUE PODRÍA PASAR CON CIERTOS NÚMEROS LLAMADOS PROBABILIDADES.
DICHO DE OTRA FORMA:
SON COSAS DE LA VIDA QUE DEPENDEN DE LA SUERTE, EL AZAR O LA
INCERTIDUMBRE… COMO CUANDO ABRES UNA BOLSA DE PAPITAS Y
ESPERAS QUE TRAIGA MUCHAS, ¡PERO SOLO HAY AIRE! ��
EJEMPLOS
1. �� TIRAR UN DADO
¿QUÉ PASA? NO SABES QUÉ NÚMERO VA A
SALIR.
¿PROBABILIDAD? TODOS LOS NÚMEROS
DEL 1 AL 6 TIENEN LA MISMA (1 DE 6).
FENÓMENO PROBABILÍSTICO: ¡ADIVINAR EL NÚMERO ES TAN DIFÍCIL COMO
GANARTE LA LOTERÍA CON 6 AMIGOS!
3. �� SACAR CALCETINES DE UN CAJÓN A OSCURAS
TIENES 5 CALCETINES NEGROS Y 5 BLANCOS.
¿CUÁL SACARÁS? NO SABES, PERO PUEDES PREDECIRLO.
FENÓMENO PROBABILÍSTICO: SEGURO
SACAS UNO NEGRO Y UNO BLANCO...
PORQUE LA VIDA NO QUIERE QUE HAGAS JUEGO.
2. �� SACAR UN DULCE DE UNA BOLSA CON LOS OJOS CERRADOS
HAY 5 DE FRESA, 3 DE LIMÓN Y 2 DE MENTA.
NO SABES CUÁL SACARÁS, ¡PERO PUEDES
CALCULAR LAS PROBABILIDADES! FENÓMENO PROBABILÍSTICO: TUS PAPILAS GUSTATIVAS JUEGAN A LA RULETA RUSA. ��
4. �� QUE TU PERRO HAGA SUS NECESIDADES JUSTO DESPUÉS DE LIMPIAR
ESTO YA ES CASI UNA LEY UNIVERSAL. ��
NO SABES CUÁNDO LO HARÁ, PERO SABES QUE PASA MUY SEGUIDO. FENÓMENO PROBABILÍSTICO: ¡EL
PERRITO Y LA ESTADÍSTICA SON MEJORES AMIGOS!
LA ESTADÍSTICA ES COMO EL DETECTIVE MATEMÁTICO DE LA VIDA. ��
SE ENCARGA DE RECOLECTAR, ORGANIZAR, ANALIZAR Y PRESENTAR DATOS PARA AYUDARNOS A TOMAR DECISIONES, ENTENDER LO QUE PASA A NUESTRO ALREDEDOR Y NO VIVIR ADIVINANDO TODO EL TIEMPO.
ES COMO CUANDO QUIERES SABER CUÁL ES LA PIZZA FAVORITA DEL SALÓN, Y HACES UNA ENCUESTA... ¡ESA ES ESTADÍSTICA EN ACCIÓN!
OBJETIVOS
1. �� RECOLECTAR DATOS
OBJETIVO: OBTENER INFORMACIÓN DEL MUNDO REAL.
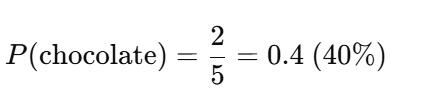
EJEMPLO: HACES UNA ENCUESTA A TUS AMIGOS PARA SABER SI LES GUSTA MÁS EL CHOCOLATE O LA VAINILLA. ����
(ESTE PASO ES COMO EL "MODO CHISMOSO" DE LA ESTADÍSTICA: ¡QUIERE SABERLO TODO!)
2. �� ORGANIZAR Y CLASIFICAR LOS DATOS
OBJETIVO: QUE LOS DATOS NO SEAN UN CAOS.
EJEMPLO: PONES LOS RESULTADOS EN UNA TABLA O EN UNA GRÁFICA
PARA VER CUÁNTOS ELIGIERON CADA SABOR.
(ESTE PASO ES COMO ORDENAR TU CUARTO: AL PRINCIPIO HAY UN DESASTRE, PERO LUEGO TODO SE ENTIENDE MEJOR.) ���� 1.3
EL METODO ESTADISTICO Y LA FRECUENCIA RELATIVA
�� ¿QUÉ ES EL MÉTODO ESTADÍSTICO?
ES EL PASO A PASO QUE SEGUIMOS CUANDO USAMOS LA ESTADÍSTICA
PARA ESTUDIAR UN PROBLEMA O ANALIZAR INFORMACIÓN.
ES COMO UNA RECETA DE COCINA PARA TRABAJAR CON DATOS. ��
�� PASOS DEL MÉTODO ESTADÍSTICO:
PLANTEAMIENTO DEL PROBLEMA
“¿QUÉ QUIERO SABER?”
EJEMPLO: ¿CUÁL ES EL SNACK FAVORITO DEL GRUPO?
RECOLECCIÓN DE DATOS
SALGO A ENCUESTAR COMO REPORTERO CHISMOSO.
EJEMPLO: PREGUNTO A 20 AMIGOS SI PREFIEREN PAPITAS, CHOCOLATE O GALLETAS.
ORGANIZACIÓN Y PRESENTACIÓN
ARMO MI TABLA Y QUIZÁS UNA GRÁFICA LINDA.
EJEMPLO: 10 PAPITAS, 6 CHOCOLATES, 4 GALLETAS.
ANÁLISIS DE LOS DATOS
¿QUÉ ME ESTÁN DICIENDO LOS NÚMEROS? ��
EJEMPLO: “¡LA MAYORÍA AMA LAS PAPITAS!”
CONCLUSIONES Y TOMA DE DECISIONES
¿QUÉ APRENDÍ Y QUÉ HARÉ CON ESTO?
EJEMPLO: LLEVO PAPITAS A LA PRÓXIMA REUNIÓN. ���� 1.4

"REFRESCA TU DÍA CON EL SABOR ÚNICO DE COCA-COLA."
ESTADISTICA DESCRIPTIVA
�� ¿QUÉ ES LA ESTADÍSTICA DESCRIPTIVA? ES LA PARTE DE LA ESTADÍSTICA QUE RECOLECTA, ORGANIZA, RESUME Y PRESENTA DATOS DE FORMA CLARA Y ORDENADA, SIN SACAR CONCLUSIONES GENERALES.
�� ES COMO CUANDO TOMAS UNA SELFIE GRUPAL Y SOLO DESCRIBES
QUIÉNES ESTÁN Y CÓMO SE VEN... ¡NO ESTÁS ADIVINANDO NADA, SOLO MOSTRANDO LO QUE HAY!
�� EN OTRAS PALABRAS: ESTADÍSTICA DESCRIPTIVA = “CONTAR LO QUE PASÓ CON LOS DATOS QUE YA TENGO.”
�� ¿QUÉ HACE? REÚNE DATOS
EJEMPLO: LAS EDADES DE TODOS EN TU SALÓN.
LOS ORGANIZA EN TABLAS, GRÁFICOS, LISTAS.
LOS DESCRIBE CON NÚMEROS COMO PROMEDIOS, PORCENTAJES, MEDIANAS, MODAS, ETC.
LOS PRESENTA DE MANERA VISUAL Y FÁCIL DE ENTENDER (GRÁFICAS, DIAGRAMAS, ETC.).
2.1 ORGANIZACION Y PRESENTACION DEL CONJUNTO DE DATOS
�� ¿QUÉ ES LA ORGANIZACIÓN Y PRESENTACIÓN DE DATOS?
ES EL PASO DEL MÉTODO ESTADÍSTICO DONDE PONEMOS EN ORDEN TODOS LOS DATOS QUE HEMOS RECOLECTADO, Y LUEGO LOS MOSTRAMOS DE FORMA CLARA, ORDENADA Y VISUAL PARA QUE SE ENTIENDAN FÁCILMENTE.
�� ES COMO CUANDO LIMPIAS TU CUARTO: TODO ESTABA REGADO (DATOS DESORDENADOS) Y TÚ LO DEJAS BONITO (DATOS ORGANIZADOS EN TABLAS O GRÁFICAS).
�� 1. ORGANIZACIÓN DE DATOS
SIGNIFICA AGRUPAR, CLASIFICAR Y ORDENAR LOS DATOS PARA QUE SEA MÁS FÁCIL ANALIZARLOS.
EJEMPLO: REUNISTE DATOS SOBRE LAS CALIFICACIONES DE 10 ALUMNOS: 7, 8, 9, 7, 6, 8, 10, 7, 9, 6
PUEDES ORGANIZARLOS:
�� EN ORDEN NUMÉRICO: 6, 6, 7, 7, 7, 8, 8, 9, 9, 10 �� EN UNA TABLA DE FRECUENCIA
�� ¿QUÉ ES LA ORDENACIÓN DE DATOS?
LA ORDENACIÓN ES SIMPLEMENTE PONER LOS DATOS EN ORDEN, GENERALMENTE DE MENOR A MAYOR (O A VECES DE MAYOR A MENOR), PARA QUE SEA MÁS FÁCIL ANALIZARLOS.
�� ES COMO CUANDO HACES FILA PARA ENTRAR AL CINE: PRIMERO LOS MÁS BAJITOS, LUEGO LOS MÁS ALTOS. ������
✅ EJEMPLO:
DATOS SIN ORDENAR:
7, 5, 9, 6, 8, 5, 10, 6, 7
DATOS ORDENADOS (DE MENOR A MAYOR):
5, 5, 6, 6, 7, 7, 8, 9, 10
�� ¿QUÉ ES UNA TABLA DE FRECUENCIA?
UNA TABLA DE FRECUENCIA ES UNA FORMA DE ORGANIZAR LOS DATOS PARA SABER CUÁNTAS VECES SE REPITE CADA VALOR. ES MUY ÚTIL CUANDO HAY MUCHOS DATOS REPETIDOS.
�� ES COMO CONTAR CUÁNTOS AMIGOS PREFIEREN CADA SABOR DE HELADO, ¡Y ANOTARLO! 2.2 ORDENACION

➕ ¿QUÉ ES LA SUMATORIA?
LA SUMATORIA ES UN SÍMBOLO MATEMÁTICO (∑) QUE INDICA
QUE DEBES SUMAR VARIOS VALORES.
�� ES COMO DECIR: “SUMA TODOS ESTOS NÚMEROS UNO POR
UNO Y DAME EL TOTAL”.
✅ EJEMPLO:
SI TIENES LOS NÚMEROS:
2, 4, 6, 8
LA SUMATORIA SE ESCRIBE ASÍ:

DONDE:
∑\SUM∑ ES EL SÍMBOLO DE SUMATORIA
I=1I = 1I=1 ES EL ÍNDICE INICIAL 444 ES EL NÚMERO TOTAL DE DATOS XIX_IXI ES EL VALOR DEL DATO NÚMERO I
�� PROPIEDADES DE LA SUMATORIA (¡LAS REGLAS DEL JUEGO!)
ESTAS REGLAS HACEN QUE TRABAJAR CON SUMATORIAS SEA MÁS FÁCIL Y ORDENADO. AQUÍ TE VA LA MÁS IMPORTANTE:
1. ✖ CONSTANTE MULTIPLICADA POR LA SUMATORIA SI MULTIPLICAS

2.4
CONSTRUCCION NUMEREICA DE LA TABLA DE FRECUENCIA
�� ¿QUÉ ES LA CONSTRUCCIÓN NUMÉRICA DE LA TABLA DE FRECUENCIA?
LA CONSTRUCCIÓN NUMÉRICA DE LA TABLA DE FRECUENCIA ES EL PROCESO DE ORGANIZAR DATOS EN UNA TABLA PARA VER CUÁNTAS VECES SE REPITE CADA VALOR O GRUPO DE VALORES.
�� ES COMO HACER UN INVENTARIO DE DATOS: ¿CUÁNTOS 5 HAY? ¿CUÁNTOS 6? ¿CUÁL SE REPITE MÁS? ¿QUÉ TAN SEGUIDO APARECEN?
�� ¿QUÉ INCLUYE UNA TABLA DE FRECUENCIA? HAY VARIOS TIPOS DE FRECUENCIAS QUE PUEDES INCLUIR EN UNA TABLA:

DISTRIBUCION DE FRECUENCIA RELATIVA ACUMULADA
�� ¿QUÉ ES LA DISTRIBUCIÓN DE FRECUENCIA RELATIVA ACUMULADA?
��
(PERO EXPLICADO COMO SI FUERAS EN UNA MONTAÑA RUSA DE ESTADÍSTICAS)
IMAGINA QUE ESTÁS EN UN PARQUE DE DIVERSIONES Y HAY UNA
ATRACCIÓN LLAMADA:
�� "MONTAÑA DE DATOS" ��
TIENES VARIOS JUEGOS (QUE REPRESENTAN DIFERENTES VALORES O CATEGORÍAS) Y MUCHOS AMIGOS (QUE REPRESENTAN LOS DATOS) QUE VAN SUBIENDO A CADA JUEGO.
�� PASO 1: FRECUENCIA RELATIVA
PRIMERO CUENTAS QUÉ PORCENTAJE DE TUS AMIGOS SUBIÓ A CADA JUEGO.
ESO ES LA FRECUENCIA RELATIVA. POR EJEMPLO:
MONTAÑA RUSA: 20% DE LOS AMIGOS
CASA DEL TERROR: 30%
CARRUSEL: 10%
RUEDA DE LA FORTUNA: 40%
�� PASO 2: ¡VAMOS ACUMULANDO!
AHORA, IMAGINA QUE HACES UNA FILA Y EMPIEZAS A CONTAR CUÁNTOS
AMIGOS HAN SUBIDO EN TOTAL HASTA CIERTO PUNTO.
ESTO SE LLAMA FRECUENCIA RELATIVA ACUMULADA: VAS ACUMULANDO
LOS PORCENTAJES A MEDIDA QUE AVANZAS POR LOS JUEGOS.
MONTAÑA RUSA: 20% → ¡20% DEL TOTAL HASTA AQUÍ!
CASA DEL TERROR: 20% + 30% = 50%
CARRUSEL: 50% + 10% = 60%
RUEDA DE LA FORTUNA: 60% + 40% = 100% ��
¡LLEGASTE AL FINAL! TODOS TUS AMIGOS SE HAN SUBIDO A ALGO. ��
2.6
MEDIDAS DESCRIPTIVAS PARA UN CONJUNTO DE DATOS
�� ¿QUÉ SON LAS MEDIDAS DESCRIPTIVAS? (PIENSA EN ESTO COMO SI TUVIERAS QUE DESCRIBIR A TU GRUPO DE AMIGOS CON ESTADÍSTICAS ��)
LAS MEDIDAS DESCRIPTIVAS SON COMO LOS CHISMES MATEMÁTICOS SOBRE TUS DATOS. TE DICEN CÓMO SE COMPORTA EL GRUPO: SI SON TRANQUILOS, CAÓTICOS, PARECIDOS ENTRE SÍ O HAY ALGUIEN QUE SIEMPRE SE PASA DE RARO...
�� 1. MEDIDAS DE TENDENCIA CENTRAL (¿DÓNDE ESTÁ EL “CENTRO” DEL GRUPO?)
��MEDIA (PROMEDIO):
ES COMO DECIR:
“SI TODOS COMPARTIERAN TODO POR IGUAL, ¿CUÁNTO TENDRÍA CADA UNO?”
�� SE SUMA TODO Y SE DIVIDE ENTRE LA CANTIDAD DE DATOS.